ГОСУДАРСТВЕННЫЙ КОМИТЕТ СССР ПО СТАНДАРТАМ
ВСЕСОЮЗНЫЙ НАУЧНО-ИССЛЕДОВАТЕЛЬСКИЙ ИНСТИТУТ
МЕТРОЛОГИЧЕСКОЙ СЛУЖБЫ (ВНИИМС)
МЕТОДИЧЕСКИЕ УКАЗАНИЯ
Определение потребности поверочных подразделений
в производственных ресурсах
МИ 670-84
Москва
ИЗДАТЕЛЬСТВО СТАНДАРТОВ
1985
РАЗРАБОТАНЫ Всесоюзным научно-исследовательским институтом метрологической службы (ВНИИМС); Центральным научно-исследовательским институтом связи (ЦНИИС)
ИСПОЛНИТЕЛИ:
Н.Г. Герасимова, канд. экон. наук В.М. Гранатуров, канд. техн. наук Л.Н. Закашанский (руководитель темы), канд. техн. наук В.А. Сковородников
ПОДГОТОВЛЕНЫ К УТВЕРЖДЕНИЮ отделом Научно-методического руководства стандартизацией в области метрологии ВНИИМС
Начальник отдела канд. техн. наук Г.П. Сафаров
Старший инженер Ю.Д. Лукашина
Утверждены решением Научно-технического совета ВНИИМС от 18 декабря 1984 г. (протокол № 62)
Содержание
МЕТОДИЧЕСКИЕ УКАЗАНИЯ
Определение
потребности поверочных подразделений
в производственных ресурсах
МИ 670-84
Взамен МИ 15-74
Настоящие методические указания устанавливают порядок расчета потребности подразделений поверки средств измерений в основных производственных ресурсах - количестве поверочного оборудования, численности поверителей, размере производственных площадей и времени на обслуживание поступающих в подразделение заявок на поверку. Методические указания предназначены для подготовки и обоснования вариантов решений, принимаемых при проектировании новых и управлении работой действующих поверочных подразделений, входящих в структуру органов государственной или ведомственных метрологических служб.
1.1. Настоящие методические указания включают:
методику расчета числа рабочих мест, требуемых для поверочного подразделения (методика 1);
методику расчета сроков пребывания в подразделении поверяемых средств измерений (методика 2);
методику расчета производственных площадей поверочного подразделения (методика 3) и требования к его помещениям;
методику технико-экономического обоснования вариантов оснащения поверочного подразделения производственными ресурсами и создания новых рабочих мест в нем (методика 4).
1.2. Расчеты по каждой из методик первоначально выполняют для отдельных потоков заявок на поверку средств измерений.
Поток характеризуется количеством и размером партий средств измерений, поступающих в данное поверочное подразделение в единицу времени. Потоки разделяются на простые и укрупненные. Простой поток охватывает средства измерений одной группы, в которую они объединены по принципу общности средств и методик их поверки. Он обслуживается на одном или на нескольких аналогичных и параллельно действующих рабочих местах данного поверочного подразделения. Если в одном потоке проходят обслуживание средства измерений, принадлежащие разным группам, то этот поток - укрупненный.
Партия - одновременно представленные на поверку средства измерений, принадлежащие одному потоку и одному заказчику данного поверочного подразделения. Принимают, что представляемую партию средств измерений заказчик оформляет одной заявкой.
Рабочее место включает комплект поверочного оборудования, с применением которого обслуживается данный поток (или соответственно комплекты, если поток укрупненный), и работающего на нем поверителя (или поверителей, если методиками поверки средств измерений данного потока регламентирована иная численность исполнителей одной поверочной работы.
1.3. Методики 1 и 4 устанавливают способы выполнения расчетов для любого из условий, указанных в п.п. 1.3.1 - 1.3.3, а методики 2 и 3 - для условий, указанных в пп. 1.3.2 и 1.3.3.
1.3.1. Средства измерений поступают эффективно управляемым (например, равномерным) либо неинтенсивным потоком, что практически исключает возможность систематического их скопления в подразделении.
1.3.2. Средства измерений поступают случайным (достоверно непредсказуемым) интенсивным потоком, но партиями одинакового размера (например, по одному либо по два средства измерений).
1.3.3. Средства измерений поступают случайным интенсивным потоком и партиями случайного размера.
Примечание. Интенсивность потока устанавливают по отношению к пропускной способности п - числа рабочих мест, занятых его обслуживанием в данном поверочном подразделении, и выражают с помощью r - коэффициента загрузки рабочего места. Значения этого коэффициента, при превышении которых поток считают интенсивным, для разных значений n таковы:
|
n… |
1 |
2 |
3 |
4 |
5 |
6 |
7 |
|
r… |
0,60 |
0,70 |
0,75 |
078 |
0,80 |
0,81 |
0,82 |
1.4. Аналогичные методы применяют и для расчетов потребности в производственных ресурсах прибороремонтных подразделений, а также подразделений проката средств измерений и выполнения высокоточных измерений. Во втором случае эти методы включают расчеты парка выдаваемых напрокат средств измерений, числа рабочих мест, требуемых для обслуживания заданного потока заявок, и расчет сроков начала обслуживания поступающих заявок.
2.1. При выполнении расчетов по методикам 1 - 4 для каждого из условий, указанных в п.п. 1.3.1 - 1.3.3, необходимы числовые значения следующих исходных данных:
Q - количество средств измерений данного потока, поступающих в рассматриваемое поверочное подразделение (средств измерений/год). Значения этого показателя определяют на основе учета данных о поступлении заявок либо о составе н размеры обслуживаемого парка средств измерений (у заказчиков подразделения).
Примечание. Если Q определяют исходя из состава и размера обслуживаемого парка, то при неоднократном направлении на поверку в течение года одних и тех же средств измерений (по графику или вне графика) их надлежит учитывать столь же неоднократно;
Тр - планируемый для данного рабочего места годовой фонд рабочего времени (рабочих дней/год);
m - пропускная способность одного рабочего места при обслуживании средств измерений данного потока (средств измерений/рабочий день); значения этого параметра устанавливают, ис-ходя из типовой нормы времени на поверку соответствующих средств измерений, которая равна 1/m, а при отсутствии типовых норм - путем определения аналогичного показателя на основе методики, изложенной в разд. 2 методических указаний РД 50-419-83; параметр 1/m выражается в рабочих днях, для приведения к которым значение типовой нормы, выраженное в часах, следует разделить на 8,2 ч (продолжительность рабочего дня).
2.2. При выполнении расчетов для условий, изложенных в пп. 1.3.2 и 1.3.3, необходимы еще два исходных параметра потока:
l - среднее число партий средств измерений данного потока, поступающих в поверочное подразделение за единицу времени (партий/рабочий день);
v - средний размер (для условий из п. 1.3.2 - просто размер) партии данного потока (средств измерений/партия).
Значения этих параметров оценивают по формулам
где N - число партий (заявок) данного потока, поступающих в поверочное подразделение (партий/год).
3.1. Определение потребности подразделения в поверочном оборудовании включает выбор номенклатуры средств поверки, необходимых для обслуживания средств измерений данного потока, и расчет требуемого количества рабочих мест, оснащенных этими средствами поверки. Указанную номенклатуру устанавливают на основе данных, содержащихся в НТД на методики поверки средств измерений или включенных в «Сборник комплектов средств поверки. Состав и характеристики оборудования комплектных поверочных лабораторий» (М: Изд-во стандартов, 1981 - 1982).
При эксплуатации в подразделении нескольких комплектов средств поверки потребность в отдельных их элементах, которые повторяются или имеют идентичные характеристики, подлежит уточнению с учетом технической возможности и экономической целесообразности сокращения общего количества элементов. Пример такого уточнения приведен в приложении 1 (п. 1.1).
3.2. Требуемое число рабочих мест, предназначенных для обслуживания рассматриваемого потока средств измерений при условиях, которые указаны в п. 1.3.1, рассчитывают по формуле
В случае, когда каждое из этих рабочих мест достаточно универсально и в результате обслуживает укрупненный поток (сумму определенного числа простых потоков), то взамен формулы (3) применяют формулу
где Qi - количество средств измерений i-го простого потока, поступающих в поверочное подразделение за год; 1/mi - средняя продолжительность поверки средств измерений i-ro простого потока (рабочих дней); m - число простых потоков, входящих в данный укрупненный поток.
Примечание. При дробных значениях n, вычисленных по формуле (3) или (4), их округляют до ближайшего большего целого числа.
3.3. Для условий, указанных в пп. 1.3.2 и 1.3.3, подлежат определению следующие характеристики обслуживания данного потока средств измерений в поверочном подразделении:
3.3.1. Коэффициент загрузки рабочего места, вычисляемый по формуле
3.3.2. Среднее число скапливающихся в поверочном подразделении средств измерений данного потока, вычисляемое по формуле
где М - среднее число одновременно обслуживаемых в подразделении средств измерений, значения которого определяют с помощью номограммы из приложения 2 (для упрощенного расчета) или по формулам из приложения 3 (для полного расчета); Dv - дисперсия числа средств измерений в партии, принимаемая для условия из п. 1.3.2 равной нулю, а для условия из п. 1.3.3 равной v; t - интервал времени (в рабочих днях) между очередными изъятиями из подразделений обслуженных средств измерений данного потока. Значения этого параметра определяют, исходя из порядка проведения работ в подразделении (на основе установленной периодичности отправки из поверочного подразделения обслуженных партий данного потока).
3.3.3. Средняя продолжительность (в рабочих днях) пребывания в поверочном подразделении средств измерений данного потока, вычисляемая по формуле
3.3.4. Максимальное число скапливающихся в поверочном подразделении средств измерений данного потока, вычисляемое по формуле
где K - коэффициент соотношения (максимального и среднего числа скапливающихся в подразделении средств измерений), значения которого определяют с помощью номограммы из приложения 4 (для упрощенного расчета) или по формулам из приложения 5 (для полного расчета).
3.3.5. С использованием параметров из формул (7) и (8) вычисляют максимальную продолжительность (в рабочих днях) пребывания в поверочном подразделении средств измерений данного потока, что служит результатом расчета по методике 2:
3.3.6. Суммарные годовые издержки из-за пребывания в поверочном подразделении средств измерений данного потока и из-за содержания в этом подразделении рабочих мест для его обслуживания вычисляют по формуле
Среднегодовые издержки из-за пребывания в поверочном под-разделении средств измерений данного потока вычисляют по формуле
где Са - годовые амортизационные отчисления от средней стоимости средства измерений данного потока;
Сс - среднегодовые расходы по содержанию площади поверочного подразделения, требуемой для складирования средства измерений данного потока.
Годовые расходы по содержанию в поверочном подразделении одного рабочего места для обслуживания данного потока вычисляют по формуле
где Сз - годовая зарплата (основная и дополнительная, с начислениями на соцстрах) поверителя (поверителей), занятого на данном рабочем месте;
Сп - общая балансовая стоимость средств поверки, принадлежащих данному рабочему месту;
а - годовая норма амортизационных отчислений от стоимости данного поверочного оборудования;
См - годовые расходы на метрологическое обслуживание (ремонт, поверку, аттестацию) данных средств поверки;
Сэ - годовые расходы на электроэнергию, потребляемую поверочным оборудованием при поверке средств измерений данного потока;
Св - годовые расходы на вспомогательные материалы и образцовые вещества, которые требуются для нормального обеспечения поверочных работ, производимых на данном рабочем месте;
Сх - прочие годовые (хозяйственные и административные) расходы, приходящиеся на одно данное рабочее место.
Значения параметров из формул (11) и (12) вычисляют на основе действующих общесоюзных или отраслевых нормативнометодических документов по определению плановой себестоимости производимых работ. Если в осуществлении каких-либо из расходов, охватываемых формулой (12), нет производственной необходимости, то значения соответствующих параметров приравниваются к нулю.
3.4. Вычисления по методике I для условий, изложенных в пп. 1.3.2 и 1.3.3, завершают выбором оптимального (расчетного) варианта. Общим критерием оптимальности служит минимум суммарных издержек. Исходя из этого критерия, в качестве оптимального выбирают значение no, которому соответствует минимальное из возможных значений С(n). Оптимальное число рабочих мест, обслуживающих данный поток средств измерений, можно вычислить на основе формулы
Значения параметров M и K для формулы (15) первоначально выбирают на основе пп. 3.3.2 и 3.3.4 для варианта, соответствующего значению п, которое определяют по формуле (3). После вычисления по формуле (13) нового значения no и его округления (в соответствии с примечанием к п. 3.2) в формулу (15) подставляют соответствующие ему уточненные значения этих параметров. Окончательный результат так же округляют.
3.5. Если заданы ограничения по количеству средств измерений, одновременно скапливающихся в поверочном подразделении, или по срокам их пребывания в нем, и вычисленное значение Lmах или Tmах, которое соответствует no не удовлетворяет этим ограничениям, т.е. превышает заданное предельно допускаемое значение (Lmах > Lпд или Tmах > Tпд), то в качестве оптимального значения числа рабочих мест в данном случае принимают наименьшее значение n²o, при котором обеспечивается соотношение Lmах ≤ Lпд или Tmах ≤ Tпд. Если заданы оба ограничения и исходя из них, получены два несовпадающих значения n²o, то выполнение обоих наложенных ограничений обеспечивают принятием большего из этих значений.
Пример расчета по методикам 1 и 2 приведен в приложении 1 (п. 1.2).
4.1. Размер производственной площади, требуемой для поверочного подразделения, вычисляют по формуле
|
|
(16) |
где Sj - площадь, требуемая для размещения в подразделении одного рабочего места по обслуживанию j-го потока средств измерений;
nj - расчетное значение n для j-го потока, определяемое в соответствии с пп. 3.4 или 3.5;
Scj - средняя площадь, требуемая для размещения одного средства измерений j-го потока;
Lmax - максимальное число скапливающихся в подразделении средств измерений, вычисляемое для nj в соответствии с формулой (8);
CTj - число ярусов при стеллажном складировании в помещении поверочного подразделения средств измерений j-го потока;
k - количество потоков средств измерений, обслуживаемых в данном поверочном подразделении.
4.2. Рекомендуется, чтобы помещения поверочных подразделений соответствовали действующим строительным и санитарным нормам (см. приложение 6), были сухими, чистыми и изолированными от производственных участков, откуда могут проникать пыль, агрессивные пары и газы. Через помещения поверочных подразделений не допускается проведение парогазопроводов и фановых труб.
4.3. Поверочные подразделения размещают в специальном здании или помещении вдали от высоковольтных линий электропередач, контактной электросети (электротранспорта), источников вибрации, шума (с уровнем выше 90 дБ), радиопомех (электросварочного и другого высокочастотного электрооборудования) и от объектов, создающих сильные магнитные или высокочастотные поля (преобразовательных подстанций, установок индукционного нагрева и т.п.). Допускаемый уровень помех устанавливается в НТД на соответствующие методики поверки.
4.4. При размещении поверочного оборудования рекомендуется соблюдать следующие нормы: ширина прохода - не менее 1,5 м; ширина незанятого пространства около отдельных поверочных ус-тановок (комплектов средств поверки) или стационарных их элементов- не менее 1 м; расстояние от шкафов и столов со средствами измерений или поверки до отопительных систем - не менее 0,2 м; расстояние между рабочими столами, если за столом работает один поверитель,- не менее 0,8 м, а если два - не менее 1,5 м.
4.5. В помещениях надлежит поддерживать постоянную температуру воздуха + 20 °С и относительную его влажность в пределах (60 ± 15) %. Допускаемые отклонения устанавливают в соответствии с НТД на методики производимых в помещении поверочных работ. В случаях, когда отклонение от нормальной температуры (20 °С) не должно превышать ± 3 °С, в помещениях устанавливают терморегулирующие устройства.
4.6. Коэффициент естественной освещенности на поверхности стола поверителя допускается в пределах 1,00 - 1,50. Обеспечивают условия, чтобы дневной свет в помещении был рассеянным и не давал бликов, для чего на окнах должны быть шторы. Окна в помещениях, где поверяют средства измерений линейных и угловых величин, массы, объема и расхода жидкостей и газов, рекомендуется располагать на северной стороне здания.
Рекомендуется, чтобы искусственное освещение поверочных подразделений, к которым не предъявляются специальные требования по освещению, было люминесцентным, рассеянным. В помещениях, где поверяют стробоскопические средства измерений, применяют лампы накаливания. Освещенность на уровне рабочего места не должна быть менее 300 лк.
4.7. Стены до 3/4 их высоты окрашивают масляной краской светлых тонов, остальную часть стен и потолков - белой прочной краской, допускающей протирку. Полы помещений, для которых не установлены специальные требования, рекомендуется покрывать линолеумом, релином или пластиком.
Специальные требования к помещениям поверочных подразделений устанавливают в методиках поверки соответствующих средств измерений или в другой нормативно-технической и эксплуатационной документации.
4.8. Операции, связанные с применением агрессивных, токсичных или взрывоопасных веществ или с подготовкой средств измерений к поверке (расконсервацией, очисткой и т.п.) и сопровождаемые загрязнением воздуха или огнеопасными выделениями, рекомендуется производить в отдельных изолированных помещениях. Рабочие места в этих помещениях оборудуют вытяжными шкафами, местными отсосами и другими устройствами для удаления вредных или огнеопасных жидкостей, паров и газов.
5.1. Данную методику применяют для оценки технико-экономической эффективности в двух случаях:
реализация расчетного варианта, если соответствующее ему оптимальное число рабочих мест для обслуживания данного потока отличается от существующего в подразделении;
создание рабочих мест для обслуживания новых потоков средств измерений.
5.2. Технико-экономическую эффективность оценивают на основе двух показателей - годового экономического эффекта и сро
ка окупаемости производимых капитальных вложений.
5.2.1. В первом случае годовой экономический эффект вычисляют по формуле
где nн и no - значения n для вариантов с соответственно наличным и расчетным (оптимальным) числом рабочих мест, обслуживающих данный поток средств измерений;
значения С(nн) и С(no) вычисляют для соответствующих вариантов по формуле (10), а смысловое содержание указано вслед за формулой (12);
Ен - нормативный коэффициент эффективности капитальных вложений (его принимают равным 0,15, если отсутствуют иные его значения, установленные для данной отрасли).
Формула (17) позволяет оценить также экономическую целе-сообразность замены одних средств йоверки, принадлежащих данному рабочему месту, другими с учетом различий в их стоимости и влиянии на общую производительность рабочего места.
5.2.2. Срок окупаемости приобретаемого поверочного оборудо-вания вычисляют для случаев, когда реализация оптимального варианта связана с возрастанием количества средств поверки в подразделении (т. е. при no > nн), по формуле
Максимально допускаемое нормативное значение срока окупаемости определяют по формуле Тoк = 1/Ен.
Примеры вычисления технико-экономической эффективности по формулам (17) и (18) содержатся в приложении 1 (п. 1.2).
5.3. При оценке технико-экономической эффективности, получаемой в результате создания в поверочном подразделении рабочих мест для обслуживания новых потоков средств измерений, в качестве базы для сравнения принимают вариант поверки этих средств измерений в сторонней организации.
5.4. Годовой экономический эффект, получаемый в результате создания в рассматриваемом поверочном подразделении рабочих мест для обслуживания данного потока средств измерении, вычисляют по формуле
где З1 и З2 - приведенные затраты на осуществление поверки средств измерений данного потока соответственно для базового и расчетного вариантов;
С"1 и К"2 - соответственно текущие годовые расходы и капитальные вложения на осуществление поверки средств измерений данного потока при базовом варианте;
С2 - текущие годовые расходы по содержанию в рассматриваемом подразделении одного рабочего места для обслуживания данного потока средств измерений;
К"2 - капитальные вложения, необходимые для создания в рассматриваемом поверочном подразделении одного рабочего места для обслуживания данного потока средств измерений; n - число рабочих мест, создаваемых в рассматриваемом подразделении и требуемых для обслуживания данного потока (в соответствии с расчетным вариантом).
Примечание. Приведенные затраты поверочного подразделения определяют на основании фактических данных, а также общесоюзных и отраслевых нормативно-справочных документов по планированию и калькулированию себестоимости производимых работ.
5.4.1. Текущие годовые расходы метрологической службы на организацию поверки данных средств измерений в сторонней ор-ганизации вычисляют по формуле
|
|
(20) |
где Сo - годовые расходы на оплату поверки, выполняемой силами сторонней организации в соответствии с установленными нормами оплаты данных поверочных работ;
Си - годовые расходы на подготовку данных средств измерений к поверке в сторонней организации и на подготовку их к эксплуатации после поверки;
Ст - годовые расходы по транспортировке данных средств измерений на поверку в стороннюю организацию и обратно;
Ср - годовые расходы по содержанию резервного парка поверяемых средств измерений (в том числе по оборудованию складских помещений для их хранения).
Капитальные вложения K"1 включают (при производственной необходимости) дополнительные затраты на приобретение средств транспортировки данных средств измерений и на создание резервного парка последних.
5.4.2. Текущие годовые расходы С2 вычисляют по формуле (12).
Капитальные вложения, необходимые для создания одного рабочего места в составе рассматриваемого поверочного подразделения, вычисляют по формуле
|
|
(21) |
где Сп - затраты на приобретение всех средств поверки, требуемых для оснащения данного рабочего места;
Км - затраты на доставку, монтаж и наладку указанных средств поверки;
Кс - затраты на строительство (реконструкцию) помещения поверочного подразделения в расчете на площадь, выделенную для данного рабочего места.
5.5. Общее количество и состав оборудования в поверочном подразделении определяют по результатам расчетов требуемого числа рабочих мест и на основании решений об организации поверки, принимаемых по каждому из потоков средств измерений. При этом целесообразность оснащения подразделения поверочным оборудованием оценивают на основе показателей технико-экономической эффективности расчетных вариантов, вычисленной по формулам (17 - 19).
5.5.1. Суммарный годовой экономический эффект, получаемый в результате создания или расширения данного поверочного подразделения, вычисляют по формуле
где Эj - годовой экономический эффект положительный или отрицательный, получаемый в результате обслуживания в поверочном подразделении j-го потока средств измерений и вычисляемый по формуле (19);
k - количество потоков средств измерений, обслуживаемых в данном поверочном подразделении.
5.5.2. Срок окупаемости капитальных вложений на создание (расширение) рассматриваемого поверочного подразделения вычисляют по формуле
где K"2j - капитальные вложения, необходимые для создания одного рабочего места для обслуживания j-го потока;
nj - расчетное число рабочих мест в поверочном подразделении, требуемых для обслуживания j-го потока;
- капитальные вложения, необходимые
для обслуживания j-го потока при базовом
варианте;
и - текущие годовые расходы по
осуществлению обслуживания j-го потока при
базовом варианте;
С2j - текущие годовые расходы по содержанию в рассматриваемом поверочном подразделении одного рабочего места для обслуживания j-го потока.
5.6. При негативных результатах расчета технико-экономической эффективности по формулам (22) и (23), получаемым для варианта создания в рассматриваемом поверочном подразделении новых рабочих мест, надлежит изучить вопрос о поверке данных средств измерений в каком-либо из других поверочных подразделений (в том числе принадлежащих метрологическим службам иной ведомственной подчиненности) в целях поиска наиболее обоснованного варианта.
ПРИМЕРЫ ВЫПОЛНЕНИЯ РАСЧЕТОВ
1.1. Условия: В поверочное подразделение партиями случайного размера поступают три потока средств измерений. Составы комплектов поверочного оборудования, требуемого для обслуживания каждого из этих потоков, таковы:
|
Номер потока |
Типы элементов поверочного оборудования, входящих в комплекты для раздельного обслуживания данных потоков |
||||||
|
1….. |
B1-8; |
В3-49; |
Д1-13; |
Г3-112; |
Г4-118; |
|
|
|
2….. |
B1-8; |
В3-49; |
Д1-13; |
Г3-102 |
|
|
|
|
3….. |
Г3-109; |
Г3-112; |
В3-49 |
Д1-13; |
Ч3-54; |
B1-8; |
ST-702 |
Исходные данные для расчетов числа комплектов поверочного оборудования, необходимых для раздельного обслуживания указанных простых потоков, представлены в табл. 1.
Таблица 1
|
Исходные параметры |
Номера потоков |
||
|
№ 1 |
№ 2 |
№ 3 |
|
|
1 |
2 |
3 |
4 |
|
Количество средств измерений Q, шт./год |
120 |
60 |
30 |
|
Средняя продолжительность поверки одного средства измерений 1/m, раб. дн. |
0,37 |
1,0 |
1,58 |
|
Число партий N, шт./год |
70 |
40 |
30 |
|
Среднегодовой фонд рабочего времени Тр, раб. дн. |
255 |
255 |
255 |
|
Среднегодовые издержки из-за пребывания одного средства измерений в поверочном подразделении С1, руб./год |
80 |
70 |
120 |
|
Текущие годовые расходы по содержанию одного рабочего места С2, руб/год |
1294 |
1157 |
1645 |
|
Пропускная способность одного рабочего места m, шт./день |
2,73 |
1,00 |
0,63 |
|
Среднее число партий, поступающих в единицу времени l, партий/день |
0,27 |
0,16 |
0,12 |
|
Среднее число средств измерений в одной партии v, шт. |
1,71 |
1,50 |
1,00 |
|
Промежуток времени между очередными изъятиями из подразделения обслуженных партий t, раб. дн. |
1 |
2 |
3 |
В результате выполнения данных расчетов установлено, что для раздельного обслуживания указанных потоков требуется по одному рабочему месту. При этом поверочному подразделению требуются следующие номенклатура и количество элементов средств поверки:
|
Типы элементов средств поверки |
количество |
Типы элементов средств поверки |
количество |
Типы элементов средств поверки |
количество |
|
В1-8 .... |
3 |
Г3-112 ... |
2 |
Г3-109 ... |
1 |
|
В3-49 ... |
3 |
Г4-118 ... |
1 |
Ч3-54 ... |
1 |
|
Д1-13 ... |
3 |
Г3-102 ... |
1 |
ST-702 ... |
1 |
Требуется рассмотреть возможность сокращения количества используемых элементов поверочного оборудования путем укрупнения данных потоков средств измерений.
Расчет: Используя данные, приведенные выше, рассчитаем основные параметры укрупненного потока и состав комплекта оборудования для соответствующего ему рабочего места:
1) в состав комплекта поверочного оборудования для данного универсального рабочего места входят следующие типы элементов средств поверки: В1-8; В3-49; Д1-13; Г3-102; Г3-109; Г3-112; Г4-118; Ч3-54; ST-702;
2) годовое количество средств измерений представляет собой сумму средств измерений, принадлежащих объединяемым потокам, т.е. ΣQ=210;
3) среднюю продолжительность поверки одного средства измерений, принадлежащего укрупненному потоку, определяют как частное от деления общего времени поверки всех средств измерений этого потока на их количество 1/mср= (120 × 0,37 + 60 × 1,0 + 30 × 1,58)/210= 0,72 раб. дн.
4) при объединении потоков число партий, обслуживаемых за год, определяется для заданных условий поступления средств измерений и зависит от количества заказчиков и возможности совместной отправки на поверку принадлежащих им средств измерений. В данном случае, исходя из такой возможности, принимаем за общее число партий максимальное их число в укрупняемых потоках, т.е. принимаем ΣN = 70.
Тогда для укрупненного потока m = 1,0/0,72= 1,39 и в соответствии с формулами (1) и (2) имеем l = 70/255 = 0,27 и v = 210/70=3,0.
С учетом того, что для этих условий С1 = 83 руб. и С2 = 2490 руб., по формуле (13) определяем оптимальное число рабочих мест. В результате уточняем, что для обслуживания укрупненного потока требуется одно универсальное рабочее место.
Таким образом, объединение указанных потоков и создание на их основе укрупненного потока позволяет уменьшить требуемое число элементов поверочного оборудования - довести его до девяти и высвободить семь элементов.
1.2. Условия: Произвести упрощенный расчет числа рабочих мест в поверочном подразделении, которые требуются для обслуживания потока средств измерений, поступающих партиями случайного размера при годовом объеме их поступления 950 шт. в составе 307 партий, средней продолжительности одной поверки 4,1 ч или однодневном интервале между очередными изъятиями из подразделения партий поверенных средств измерений.
Тогда в соответствии с пп. 2.1, 2.2 и 3.3.2 имеем Q = 950; N = 307;
m = 8,2/4,1 = 2; t = 1; Тр = 255; l = 307/255 = 1,2 и v = 950/307 = 3,1.
Дополнительно заданы предельно допускаемое число средств измерений, скапливающихся в подразделении, Lпд = 30 шт. и предельно допускаемый недельный срок их пребывания в поверочном подразделении, т.е. Тпд = 5 раб. дн. Для получения решения по критерию минимума суммарных издержек и оценок технико- экономической эффективности расчетного варианта имеются следующие исходные данные: Сп = 1050 руб.; Са = 17 руб.; Сс = 5 руб./год, а = 0,10; Cм = 70 руб./год; Сз = 1560 руб./год; а значения Сэ, Св и Сх приняты пренебрежимо малыми.
Расчет: Для заданных условий расчет начинается с варианта, соответствующего значению n = 2 как наименьшему, при котором r < 1. Оно может быть вычисленною формуле (3), чем исчерпывался бы расчет для условия из п. 1.3.1; тогда n = 950/2 × 255 = 1,8 с округлением до 2 в соответствии с примечанием из п. 3.2.
Теперь, согласно формуле (5), имеем r = 1,2 × 3,1/2 × 2=0,93. Для вычислений по формуле (6) следует определить М из приложения 2. При n = 2 и r = 0,93 имеем M = 0,5. Тогда в соответствии с формулой (6) имеем L = 0,5 + 0,93(3,1 + 2)/2(1 - 0,93) + 1 × 1,2 × 3,1/2=0,5 + 33,9 + 1,9=36,3 шт., а по формуле (7) получаем Т = 36,3/1,2 × 3,1 = 9,8 раб. дн.
Вычисляемые значения Lmax и Тmax надлежит соответственно сопоставить с заданными Lпд и Тпд. Максимальное число скапливающихся средств измерений, согласно формуле (8), есть Lmax = KL, для которой значение коэффициента K подбирают по приложению 4. Для данных условий, когда n = 2, r = 0,93 и t = 1, по номограмме из приложения 4 получаем K = 4,5.
Если t≠1, то первоначально значение K также надлежит выбрать по номограмме для t = 1. Затем, исходя из этого K, по формуле (5.1) вычисляют D, к которому добавляют (t2 - 1) l2v2/12 при новом значении t. Подставив полученную сумму в (5.1) взамен прежнего D, вычисляют новое значение K, соответствующее этому t.
В рассматриваемом примере имеем Lmax = 4,5 × 36,3 = 163 шт., а Tmax = 43,8 дн. Поскольку Lmax превышает Lпд, а Тmах превышает Тпд, то значение n = 2 для обоих случаев неоптимально и расчет следует продолжить путем рассмотрения следующего варианта, при котором n = 3. Тогда r = 1,2 × 3,1/3 × 2 = 0,62. Для этих условий из приложения 2 получаем M = 0,5. Теперь, согласно формуле (6), имеем L = 0,5 + 0,62(3,1 + 2)/2(1 - 0,62) + 1,9 = 6,6 шт., а в соответствии с формулой (7) получаем L = 7,1/1,2 × 3,1. = 1,8 дн.
Значение K при n = 3 и r = 0,62, согласно приложению 4, равно 3,5. В результате по формуле (8) получаем Lmax=3,5 × 6,6 = 23,1 шт., чему по формуле (9) соответствует Тmax = 6,7 дн.
Поскольку три - наименьшее значение n, при котором Lmax не превышает Lпд (по условию равное 30), то этот вариант в данном случае рассматривают как оптимальный. В отношении ограничения по времени пребывания аналогичное условие не выполняется, так как Тmax > Тпд = 5 дн., и расчет целесообразно продолжить для варианта с n = 4. При этом получаем r = 1,2 × 3,1/4 × 2 = 0,47. Из приложения 2 для условия, когда n = 4 и r = 0,47, имеем М = 1.
Согласно формуле (6), получаем L= 1 + 1,9 + 0,47 × 5,1/2 × 0,53 = 5,2 шт., а в соот-ветствии с формулой (7) имеем Т = 5,2/3,7=1,4 дн. Из приложения 4 определяем, что K = 3. В результате, согласно формуле (8), имеем Lmax = 5,2 × 3= 15,6 шт., чем по формуле (9) соответствуют Тmax = 15,6/3,7=4,2 дн. Поскольку это расчетное значение максимального времени пребывания не превышает Тпд = 5 дн, то четыре как наименьшее значение, при котором выполняется это ограничение, рассматривают в данном случае как результат решения.
Перейдем теперь к определению минимума суммарных издержек. Его вычисляют по формуле (10), в которой множители С1 и С2 выполняют роль постоянных стоимостных параметров. На основе формул (11) и (12) и принятых по условию значений дополнительных исходных данных, получаем: C1 = 17 + 5= =22 руб./год; С2 = 1560 × 1 + 1050 × 0,10 + 70=1735 руб./год.
Вычислим по формуле (10) значения С(n), используя результаты расчетов для всех трех рассмотренных вариантов:
С(2) =22 × 163+1735 × 2 = 7056 руб./год;
С(3) =22 × 23,1 + 1735 × 3 = 5713 руб./год;
С(4) =22 × 15,6+1735 × 4 = 7283 руб./год;
Поскольку наименьшее значение суммарных среднегодовых издержек соответствует n = 3, то три, как результат данных расчетов по критерию минимума суммарных издержек, служит оптимальным числом рабочих мест.
Для расчета,
основнного на применении формулы (13),
имеем n = 2; r
= 093; М = 0,5; K = 4,5; и получаем g = 1,2 ×
3,1/2 = 1,86; A = 0,14). Тогда по этой формуле
вычисляем
. Округлив этот результат в
соответствии с примечанием к п. 3.2,
получим nо=3. Следовательно, и в данном
случае оптимальный вариант соответствует n = 3.
Полученные в данном примере результаты расчетов представлены в табл. 2.
Таблица 2
|
Число рабочих мест п |
Характеристики обслуживания потока |
|||||
|
Коэффициент загрузки r |
Среднее число СИ потока, скапливающихся в подразделении L, шт. |
Средняя продолжительность пребывания СИ в подразделении Т, раб. дн. |
Максимальное число СИ потока в подразделении Lmax, ШТ. |
Максимальная продолжительность пребывания СИ Тmax, раб. дн. |
Cуммарные годовые издержки С(n), руб/год |
|
|
2 |
0,93 |
36,3 |
9,8 |
163 |
43,8 |
7053 |
|
3 |
0,62 |
6,6 |
1,8 |
23,1 |
6,2 |
5713 |
|
4 |
0,47 |
5.2 |
1,4 |
15,6 |
4,2 |
7283 |
Вычислим теперь оценки технико-экономической эффективности, получаемой в результате реализации оптимального варианта, в сравнении с другими рассмотренными. Если его выбор означает сокращение числа имеющихся в подразделении рабочих мест (с nи = 4 до nо = 3), то, согласно формуле (17), годовой экономический эффект оценивается в размере Э = 7283 - 5713+0,15´1050= 1727,5 руб./год.
Если же реализация оптимального варианта связана с увеличением числа рабочих мест (с 2 до 3), то показатели обоснованности создания нового рабочего места вычисляют по формулам (17) и (18), и они составляют соответственно Э = 7056 - 5713 - 0,15 × 1050=1185,5 руб./год и Ток = 1050(3 - 2)/(7056 - 5713) = 0,78 года.
Непревышение нормативного значения срока окупаемости подтверждает экономическую целесообразность принятия для данных условий варианта, при котором рассматриваемый поток средств измерений обслуживается в поверочном подразделении на трех рабочих местах.
НОМОГРАММА ДЛЯ ОПРЕДЕЛЕНИЯ ЗНАЧЕНИЙ М

ФОРМУЛЫ ДЛЯ ВЫЧИСЛЕНИЯ ЗНАЧЕНИЙ М
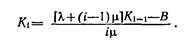
где вероятность скопления в поперечном подразделении i необслуженных средств измерений равна
Для условия из п. 1.3.2 в (3.4) принимается
а для условия из п, 1.3.3-соответственно
При этом е = 2,7 для (3.6) и, исходя из (3.2), Kо = 1 для (3.4).
НОМОГРАММА ДЛЯ ГРАФИЧЕСКОГО ОПРЕДЕЛЕНИЯ ЗНАЧЕНИЙ K ПРИ t = 1

ФОРМУЛЫ ДЛЯ ВЫЧИСЛЕНИЯ ЗНАЧЕНИЙ K
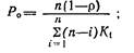
Для этой формулы L вычисляют по формуле (6), a D - дисперсию числа средств измерений данного потока, одновременно скапливающихся в поверочном подразделении, - по формуле
При этом М к Pi можно вычислить по формулам из приложения 3 - соответственно по (3.1) и (3,2), а
НОРМЫ И ПРАВИЛА СТРОИТЕЛЬНЫЕ (СН, СНиП), САНИТАРНЫЕ, ПРОТИВОПОЖАРНЫЕ И ПО ТЕХНИКЕ БЕЗОПАСНОСТИ
1. СН 245-71. Санитарные нормы проектирования промышленных предприятий.
2. СНиП II-92-77, Вспомогательные здания и помещения промышленных предприятий. Нормы проектирования.
3. СНиП II-4-79. Естественное и искусственное освещение.
4. СНиП II-33-75. Отопление, вентиляция и кондиционирование воздуха.
5. СН 463-74. Указания по определению категории производств по взрывной взрывопожарной и пожарной опасности.
6. СНиП II-2-80. Противопожарные нормы проектирования зданий и сооружений.
7. Правила по технике безопасности и производственной санитарии для метрологических институтов и ЛГН. Утверждены приказом Комитета стандартов от 27 мая 1969 г. № 91.
8. Правила пожарной безопасности для учреждений, организаций и предприятий АН СССР. Утверждены распоряжением Президиума АН СССР от 10 сентября 1979 г. № 10130-1639.
9. Санитарные правила проектирования, оборудования, эксплуатации и содержания производственных и лабораторных помещений, предназначенных для проведения работ со ртутью, ее соединениями и приборами с ртутным наполнением. Утверждены Главным санитарно-эпидемиологическим управлением Министерства здравоохранения СССР № 780-69.