Государственное санитарно-эпидемиологическое
нормирование
Российской Федерации
Федеральная
служба по надзору в сфере защиты прав потребителей
и благополучия человека
4.1. МЕТОДЫ КОНТРОЛЯ. ХИМИЧЕСКИЕ ФАКТОРЫ
Определение остаточных количеств
фенпироксимата в ботве и корнеплодах
сахарной свеклы методом высокоэффективной
жидкостной хроматографии
Методические указания
МУК 4.1.3322-15
Москва 2016
1. Разработаны сотрудниками ФГБНУ «Всероссийский НИИ защиты растений» (В.И. Долженко, А.С. Комарова, В.В. Человечкова) и ООО «Инновационный центр защиты растений» (И.А. Цибульская, Т.Д. Черменская, А.А. Далинова).
2. Рекомендованы к утверждению Комиссией по государственному санитарно-эпидемиологическому нормированию Федеральной службы по надзору в сфере защиты прав потребителей и благополучия человека (протокол от 17 декабря 2015 г. № 2).
3. Утверждены руководителем Федеральной службы по надзору в сфере защиты прав потребителей и благополучия человека, Главным государственным санитарным врачом Российской Федерации А.Ю. Поповой 28 декабря 2015 г.
4. Введены впервые.
|
УТВЕРЖДАЮ Руководитель
Федеральной службы ____________________ А.Ю. Попова 28 декабря 2015 г. |
4.1. МЕТОДЫ КОНТРОЛЯ. ХИМИЧЕСКИЕ ФАКТОРЫ
Определение остаточных количеств фенпироксимата
в ботве и корнеплодах сахарной свеклы методом
высокоэффективной жидкостной хроматографии
Методические указания
МУК 4.1.3322-15
Свидетельство о метрологической аттестации № 01.5.04.197/01.00043/2015 от 08.06.2015.
Настоящие методические указания устанавливают порядок применения метода высокоэффективной жидкостной хроматографии для определения остаточных количеств фенпироксимата в диапазонах: в корнеплодах 0,05 - 0,5 мг/кг, в ботве 0,1 - 1,0 мг/кг.
Методические указания носят рекомендательный характер.
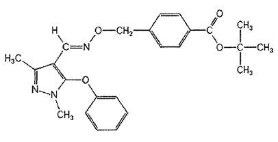
Фенпироксимат
трет-Бутил (E)-ά-(1,3-диметил-5-феноксипиразол-4-ил-метиленеаминоокси)-р-толуат (ИЮПАК).

Эмпирическая формула C24H27N3O4.
Молекулярная масса: 421,5.
Химически чистое вещество представляет собой белый кристаллический порошок.
Температура плавления: 99,0 - 102 °С.
Давление пара при 25 °С: 0,0074 мПа.
Растворимость: в воде 0,02 мг/л (при 20 °С), в хлороформе 1179, дихлорметане 1307, метаноле 15, ацетоне 150 (г/л, при 25 °С).
Стабильность: стабилен в кислых и щелочных средах.
Краткая токсикологическая характеристика. Острая пероральная токсичность LD50 для крыс 245 - 480 мг/кг, острая дермальная токсичность LD50 для крыс превышает 2000 мг/кг. Не ирритант. Ингаляционная токсичность LD50 (4 часа) для крыс 0,33 - 0,36 мг/л воздуха. Класс опасности по ВОЗ II. Не токсичен для пчел.
Область применения препарата: активен в отношении многих видов фитофаговых клещей на плодовых и цитрусовых культурах, обладает ларвицидной, нимфацидной и имагоцидной активностью. Не фитотоксичен.
Гигиенические нормативы для фенпироксимата в России: МДУ - соя (бобы, масло), виноград плодовые семечковые - 0,3 мг/кг.
При соблюдении всех регламентированных условий проведения анализа в точном соответствии с данной методикой погрешность (и ее составляющие) результатов измерений при доверительной вероятности Р = 0,95 не превышает значений, приведенных в табл. 1 для соответствующих диапазонов концентраций.
Метрологические параметры
|
Анализируемый объект |
Диапазон определяемых концентраций, мг/кг |
Показатель точности* (границы относительной погрешности) (Р = 0,95), ±δ, % |
Показатель повторяемости (среднеквадратическое отклонение повторяемости) σr, % |
Показатель воспроизводимости (среднеквадратическое отклонение воспроизводимости) σR, % |
Предел повторяемости (значение допустимого расхождения между двумя результатами параллельных определений) r,% |
Предел воспроизводимости (значение допустимого расхождения между двумя результатами измерений, полученными в разных лабораториях),% (Р = 0,95) |
|
Ботва свеклы |
0,1 - 1,0 |
22 |
7 |
11 |
20 |
31 |
|
Корнеплоды свеклы |
0,05 - 0,5 |
22 |
7 |
11 |
20 |
31 |
|
* соответствует расширенной неопределенности Uотн. при коэффициенте охвата k = 2 |
||||||
Таблица 2
Полнота извлечения фенпироксимата, стандартное отклонение,
доверительный интервал среднего результата
|
Анализируемый объект |
Метрологические параметры, Р = 0,95, n = 20 |
||||
|
предел количественного определения, мг/кг |
диапазон определяемых концентраций, мг/кг |
полнота извлечения вещества, % |
стандартное отклонение, % |
доверительный интервал среднего результата, ±, % |
|
|
Ботва свеклы |
0,1 |
0,1 - 1,0 |
84,3 |
1,67 |
4,72 |
|
Корнеплоды свеклы |
0,05 |
0,05 - 0,5 |
89,4 |
1,47 |
4,15 |
Метод основан на определении фенпироксимата методом высокоэффективной жидкостной хроматографии (ВЭЖХ) с использованием УФ-детектора после его экстракции из образцов ботвы и корнеплодов свеклы ацетонитрилом.
Идентификация фенпироксимата проводится по времени удерживания, количественное определение - методом абсолютной калибровки.
Избирательность метода обеспечивается сочетанием условий подготовки проб и хроматографирования.
|
Жидкостный хроматограф с УФ-детектором, снабженный дегазатором, автоматическим пробоотборником и термостатом колонки |
|
|
Весы аналитические с пределом взвешивания до 210 г и пределом допускаемой погрешности 0,1 мг |
ГОСТ 53228-08 |
|
Весы технические с пределом взвешивания до 150 г и пределом допускаемой погрешности 0,1 г |
ГОСТ 53228-08 |
|
Колбы мерные на 10, 100 см3 |
|
|
Микродозаторы одноканальные переменного объема от 100 до 1000 мм3 и от 1 до 5 см3 |
|
|
Цилиндры мерные на 50 и 100 см3 |
Примечание. Допускается использование средств измерения с аналогичными или лучшими характеристиками.
|
Ацетонитрил для ВЭЖХ |
ТУ 2634-002-04715285-12 |
|
Вода для лабораторного анализа (бидистиллированная, деионизованная) |
|
|
Фенпироксимат с содержанием основного вещества 99,4 % |
|
|
Кислота ортофосфорная, хч |
|
|
Магний сернокислый, безводный, хч |
ГОСТ 4523-67 |
|
Натрий хлористый, чда |
|
|
Подвижная фаза для ВЭЖХ: смесь ацетонитрила и 0,005 М ортофосфорной кислоты в соотношении 90:10 |
|
Примечание. Допускается использование реактивов с более высокой квалификацией, не требующих дополнительной очистки растворителей.
|
Аналитическая колонка, заполненная сорбентом с привитыми бифункциональными полярными группами С18, (250×4,6) мм, 5 мкм |
|
|
Вакуумный манипулятор для работы с патронами для твердофазной экстракции |
|
|
Колбы круглодонные на шлифе вместимостью 10, 25, 100 см3 |
|
|
Пробирки полипропиленовые центрифужные с крышками объемом 50 см3 |
|
|
Ротационный вакуумный испаритель с мембранным насосом, с пределом вакуума до 10 мбар |
|
|
Устройство перемешивающее (50 - 200 колебаний в минуту) |
ТУ 4389-007-44330709-11 |
|
Центрифуга со скоростью вращения 4000 об./мин |
|
Примечание. Допускается применение оборудования с аналогичными или лучшими техническими характеристиками.
4.1. При выполнении измерений необходимо соблюдать требования техники безопасности при работе с химическими реактивами по ГОСТ 12.1.007-76, требования по электробезопасности при работе с электроустановками по ГОСТ 12.1.019-09, а также требования, изложенные в технической документации на жидкостный хроматограф.
4.2. Помещение лаборатории должно быть оборудовано приточно-вытяжной вентиляцией, соответствовать требованиям пожарной безопасности по ГОСТ 12.1.004-91 и иметь средства пожаротушения по ГОСТ 12.4.009-83. Содержание вредных веществ в воздухе не должно превышать ПДК (ОБУВ), установленных ГН 2.2.5.1313-03 и ГН 2.2.5.2308-07.
Организация обучения работников безопасности труда - по ГОСТ 12.0.004-90.
Измерения в соответствии с настоящей методикой может выполнять специалист-химик, имеющий опыт работы методом высокоэффективной жидкостной хроматографии, ознакомленный с руководством по эксплуатации хроматографа, освоивший данную методику и подтвердивший экспериментально соответствие получаемых результатов нормативам контроля погрешности измерений по п. 13.
При выполнении измерений выполняют следующие условия:
- процессы приготовления растворов и подготовки проб к анализу проводят при температуре воздуха (20 ± 5) °С и относительной влажности не более 80 %;
- выполнение измерений на жидкостном хроматографе проводят в условиях, рекомендованных технической документацией к прибору.
Перед началом анализа аналитическую колонку кондиционируют в потоке подвижной фазы (1,0 см3/мин) до стабилизации нулевой линии.
7.2.1. 0,005 М раствор ортофосфорной кислоты: (0,5 ± 0,01) г 98 %-й ортофосфорной кислоты помещают в мерную колбу объемом 1 дм3, растворяют в бидистиллированной воде и доводят объем до метки. Раствор хранят при комнатной температуре не более 1 месяца.
7.2.2. Для приготовления подвижной фазы смешивают ацетонитрил с 0,005 М раствором ортофосфорной кислоты в соотношении 90:10 по объему, используя мерные цилиндры. Раствор хранят при комнатной температуре не более 1 месяца.
7.3.1. Основной раствор с концентрацией 0,1 мг/см3: точную навеску фенпироксимата (10 ± 0,1) мг помещают в мерную колбу вместимостью 100 см3, растворяют в ацетонитриле и доводят объем до метки ацетонитрилом.
Градуировочные растворы с концентрациями фенпироксимата 0,1; 0,2; 0,5; 1,0; 2,0 мкг/см3 готовят методом последовательного разбавления по объему, используя раствор подвижной фазы (смесь ацетонитрила и 0,005 М ортофосфорной кислоты в соотношении 90:10).
7.3.2. Раствор № 1 с концентрацией 2,0 мкг/см3: в мерную колбу вместимостью 100 см3 вносят 2,0 см3 основного раствора и доводят до метки подвижной фазой.
7.3.3. Раствор № 2 с концентрацией 1,0 мкг/см3: в мерную колбу вместимостью 10 см3 помещают 5 см3 раствора № 1 и доводят объем до метки подвижной фазой.
7.3.4. Раствор № 3 с концентрацией 0,5 мкг/см3: в мерную колбу вместимостью 10 см3 помещают 2,5 см3 раствора № 1 и доводят объем до метки подвижной фазой.
7.3.5. Раствор № 4 с концентрацией 0,2 мкг/см3: в мерную колбу вместимостью 10 см3 помещают 1 см3 раствора № 1 и доводят объем до метки подвижной фазой.
7.3.6. Раствор № 5 с концентрацией 0,1 мкг/см3: в мерную колбу вместимостью 10 см3 помещают 0,5 см3 раствора № 1 и доводят объем до метки подвижной фазой.
Основной раствор можно хранить в холодильнике при температуре 0 - 4 °С в течение 7 дней, градуировочные растворы использовать в день приготовления.
При изучении полноты определения фенпироксимата используют ацетонитрильные растворы вещества, приготовленные из основного раствора методом последовательного разбавления по объему ацетонитрилом.
Для установления градуировочной характеристики (площадь пика - концентрация фенпироксимата в растворе) в хроматограф вводят по 20 мм3 градуировочных растворов (не менее 3 параллельных измерений для каждой концентрации, не менее 4 точек по диапазону измеряемых концентраций). Затем измеряют площади пиков и строят график зависимости среднего значения площади пика от концентрации фенпироксимата в градуировочном растворе.
Методом наименьших квадратов рассчитывают градуировочный коэффициент (K) в уравнении линейной регрессии:
|
С = KS, где |
S - площадь пика градуировочного раствора.
Градуировку признают удовлетворительной, если значение коэффициента линейной корреляции оказывается не ниже 0,99.
Градуировочную характеристику необходимо проверять при замене реактивов, хроматографической колонки или элементов хроматографической системы, а также при отрицательном результате контроля градуировочного коэффициента.
Градуировочную зависимость признают стабильной при выполнении следующего условия:
|
|
С - аттестованное значение массовой концентрации фенпироксимата в градуировочном растворе,
СK - результат контрольного измерения массовой концентрации фенпироксимата в градуировочном растворе,
λконтр. - норматив контроля градуировочного коэффициента, %. λконтр. = 10 % при Р = 0,95).
Отбор проб производится в соответствии с «Унифицированными правилами отбора проб сельскохозяйственной продукции, пищевых продуктов и объектов окружающей среды для определения микроколичеств пестицидов» (№ 2051-79 от 21.08.79), а также в соответствии с ГОСТ 1722-85 «Свекла столовая свежая, заготовляемая и поставляемая». Для длительного хранения аналитические пробы свеклы (ботва и корнеплоды) помещают в морозильную камеру с температурой -18 °С и хранят в закрытой полиэтиленовой таре.
Навеску измельченных ботвы (5 г) или корнеплодов (10 г) помещают в полипропиленовую центрифужную пробирку вместимостью 50 см3, добавляют 20 см3 ацетонитрила, 4 г безводного сульфата магния и 1 г хлорида натрия, пробирку плотно закрывают и помещают в перемешивающее устройство на 10 мин, затем центрифугируют (скорость вращения центрифуги - 4000 об./мин). Берут аликвоту 5 мл и упаривают досуха на ротационном вакуумном испарителе при температуре бани не выше 40 °С. Сухой остаток растворяют в 1 см3 подвижной фазы и 20 мм3 вводят в хроматограф.
Высокоэффективный жидкостный хроматограф с УФ-детектором, снабженный дегазатором, автоматическим пробоотборником и термостатом колонки. Аналитическая колонка, заполненная сорбентом с привитыми бифункциональными полярными группами С18, (250×4,6) мм, 5 мкм. Температура колонки (30 ± 1) °С. Подвижная фаза: ацетонитрил и 0,005 М ортофосфорная кислота в соотношении 90: 10. Скорость потока элюента: 1,0 см3/мин. Рабочая длина волны УФ-детектора 260 нм. Объем вводимой пробы 20 мм3. Время удерживания фенпироксимата (6,3 ± 0,1) мин.
Количественное определение проводят методом абсолютной калибровки. Содержание фенпироксимата в пробе (X, мг/кг) вычисляют по формуле:
|
|
Sx - площадь пика фенпироксимата на хроматограмме испытуемого образца, мм2 (AU);
K - градуировочный коэффициент, найденный на стадии построения соответствующей градуировочной зависимости;
V - объем пробы, подготовленной для хроматографического анализа, см3;
Р - навеска анализируемого образца, 1,25 г для ботвы и 2,5 г для корнеплодов.
Содержание остаточных количеств фенпироксимата в образце вычисляют как среднее из двух параллельных определений.
Образцы, дающие пики большие, чем стандартный раствор фенпироксимата с концентрацией 5,0 мкг/см3, разбавляют подвижной фазой для ВЭЖХ.
За результат анализа принимают среднее арифметическое результатов двух параллельных определений, расхождение между которыми не превышает предела повторяемости:
X1, Х2 - результаты параллельных определений, мг/кг;
r - значение предела повторяемости (r = 2,8σr).
При невыполнении условия (1) выясняют причины превышения предела повторяемости, устраняют их и вновь выполняют анализ.
Результат анализа представляют в виде:
|
( |
- среднее арифметическое результатов
определений, признанных приемлемыми, мг/кг;
Δ - граница абсолютной погрешности, мг/кг;
|
|
δ - граница относительной погрешности методики (показатель точности в соответствии с диапазоном концентраций), %.
В случае, если содержание компонента меньше нижней границы диапазона определяемых концентраций, результат анализа представляют в виде: «содержание вещества в пробе «менее нижней границы определения» (например: менее 0,05 мг/кг*, где * 0,05 мг/кг - предел обнаружения фенпироксимата в корнеплодах свеклы).
Оперативный контроль погрешности и воспроизводимости измерений осуществляется в соответствии с ГОСТ Р ИСО 5725-1 - 6-02 «Точность (правильность и прецизионность) методов и результатов измерений».
13.1. Стабильность результатов измерений контролируют перед проведением измерений, анализируя один из градуировочных растворов.
13.2. Плановый внутрилабораторный оперативный контроль процедуры выполнения анализа проводится с применением метода добавок.
Величина добавки Сд должна удовлетворять условию:
|
|
- характеристика погрешности
(абсолютная погрешность) результатов анализа, соответствующая содержанию
компонента в испытуемом образце (расчетному значению содержания компонента в
образце с добавкой соответственно), мг/кг; при этом:
|
Δл = ±0,84Δ, где |
Δ - граница абсолютной погрешности, мг/кг:
|
|
δ - граница относительной погрешности методики (показатель точности в соответствии с диапазоном концентраций), %.
Результат контроля процедуры Кк рассчитывают по формуле:
|
Кк = Хʹ - Х - Сд, где |
Xʹ, X, Cд - среднее арифметическое результатов параллельных определений (признанных приемлемыми по п. 11) содержания компонента в образце с добавкой, испытуемом образце, концентрация добавки соответственно, мг/кг.
Норматив контроля К рассчитывают по формуле:
|
|
(2) |
Проводят сопоставление результата контроля процедуры (Кк) с нормативом контроля (К).
Если результат контроля процедуры удовлетворяет условию
|
|Кк| ≤ К, |
(3) |
процедуру анализа признают удовлетворительной.
При невыполнении условия (3) процедуру контроля повторяют. При повторном невыполнении условия (3) выясняют причины, приводящие к неудовлетворительным результатам, и принимают меры к их устранению.
13.3. Проверка приемлемости результатов измерений, полученных в условиях воспроизводимости.
Расхождение между результатами измерений, выполненных в двух разных лабораториях, не должно превышать предела воспроизводимости (R):
|
|
(4) |
X1, Х2 - результаты измерений в двух разных лабораториях, мг/кг;
R - предел воспроизводимости (в соответствии с диапазоном концентраций), %.
СОДЕРЖАНИЕ