Приказ
Федеральной службы по экологическому, технологическому
и атомному надзору от 26 декабря 2018 г. № 647
"Об
утверждении Руководства по безопасности
"Методика оценки риска аварий на опасных производственных
объектах магистрального трубопроводного транспорта газа"
В соответствии с пунктом 5 статьи 3 Федерального закона от 21 июля 1997 г. № 116-ФЗ "О промышленной безопасности опасных производственных объектов" (Собрание законодательства Российской Федерации, 1997, № 30, ст. 3588; 2017, № 11, ст. 1540), а также в целях содействия соблюдению требований Федеральных норм и правил в области промышленной безопасности "Правила безопасности для опасных производственных объектов магистральных трубопроводов", утвержденных приказом Ростехнадзора от 6 ноября 2013 г. № 520 (зарегистрирован Министерством юстиции Российской Федерации 16 декабря 2013 г., регистрационный № 30605), приказываю:
Утвердить прилагаемое Руководство по безопасности "Методика оценки риска аварий на опасных производственных объектах магистрального трубопроводного транспорта газа".
|
Руководитель |
А.В. Алёшин |
Утверждено
приказом Федеральной службы
по экологическому, технологическому
и атомному надзору
от 26 декабря 2018 г. № 647
Руководство по безопасности
"Методика оценки риска аварий на опасных
производственных
объектах магистрального трубопроводного транспорта газа"
1.1. Руководство по безопасности "Методика оценки риска аварий на опасных производственных объектах магистрального трубопроводного транспорта газа" (далее - Руководство) разработано в целях содействия соблюдению требований Федеральных норм и правил в области промышленной безопасности "Общие правила взрывобезопасности для взрывопожароопасных химических, нефтехимических и нефтеперерабатывающих производств" (далее - Федеральные нормы и правила в области промышленной безопасности "Общие правила взрывобезопасности для взрывопожароопасных химических, нефтехимических и нефтеперерабатывающих производств"), утвержденных приказом Ростехнадзора от 11 марта 2013 г. № 96, зарегистрированным Минюстом России 16 апреля 2013 г., регистрационный № 28138, требований Федеральных норм и правил в области промышленной безопасности "Общие требования к обоснованию безопасности опасного производственного объекта", утвержденных приказом Ростехнадзора от 15 июля 2013 г. № 306, зарегистрированным Минюстом России 20 августа 2013 г., регистрационный № 29581, требований Федеральных норм и правил в области промышленной безопасности "Правила безопасности для опасных производственных объектов магистральных трубопроводов", утвержденных приказом Ростехнадзора от 6 ноября 2013 г. № 520, зарегистрированным Минюстом России 16 декабря 2013 г., регистрационный № 30605, требований Федеральных норм и правил в области промышленной безопасности "Правила проведения экспертизы промышленной безопасности", утвержденных приказом Ростехнадзора от 14 ноября 2013 г. № 538, зарегистрированным Минюстом России 26 декабря 2013 г., регистрационный № 30855, Федеральных норм и правил в области промышленной безопасности "Правила промышленной безопасности опасных производственных объектов, на которых используется оборудование, работающее под избыточным давлением", утвержденных приказом Ростехнадзора от 25 марта 2014 г. № 116, зарегистрированным Минюстом России 19 мая 2014 г., регистрационный № 32326, и иных федеральных норм и правил в области промышленной безопасности, регулирующих вопросы безопасной эксплуатации опасных производственных объектов магистральных трубопроводов, в том числе магистральных газопроводов (далее - ОПО МГ).
1.2. Настоящее Руководство содержит рекомендации по проведению анализа опасностей и оценки риска аварий (далее - анализ риска аварий) в отношении объектов линейной части (далее - ЛЧ) и площадочных объектов ОПО магистрального трубопроводного транспорта газа.
Настоящее Руководство содержит рекомендации по методическим подходам, термины и определения, а также процедуре проведения и оформлению результатов количественного анализа риска аварий (далее - КолАР) на ОПО МГ, которые используются при разработке:
проектной документации на строительство или реконструкцию ОПО МГ;
документации на техническое перевооружение, капитальный ремонт, консервацию и ликвидацию ОПО МГ;
декларации промышленной безопасности ОПО МГ;
обоснования безопасности ОПО МГ;
плана мероприятий по локализации и ликвидации последствий аварий на ОПО МГ;
плана мероприятий по снижению риска аварий и других документов в составе документационного обеспечения систем управления промышленной безопасностью.
1.3. Настоящее Руководство рекомендуется использовать в качестве основы для разработки отраслевых методических рекомендаций, руководств и методик по проведению анализа риска аварий на ОПО МГ. Рекомендации по анализу риска аварий при необходимости могут дополняться и уточняться в соответствующих руководствах по безопасности, отражающих отраслевую специфику и технологические особенности ОПО МГ.
1.4. В настоящем Руководстве используются термины, определения и сокращения, приведенные в приложении № 1 к настоящему Руководству.
2.1. Анализ риска аварий на ОПО МГ является элементом
системы управления промышленной безопасностью в эксплуатирующих организациях и
представляет собой циклическую процедуру, включающую систематизацию всей
доступной информации о состоянии ОПО МГ и его окружения с точки зрения
промышленной безопасности, идентификацию опасностей, оценку риска аварий,
анализ полученных показателей риска, разработку рекомендаций по снижению риска
и проверку эффективности этих рекомендаций в следующем цикле анализа ОПО МГ.![]()
2.2. Основное назначение анализа риска аварий заключается в предоставлении лицам, принимающим решения:
объективной информации о состоянии промышленной безопасности ОПО МГ;
сведений о наиболее опасных составляющих ОПО МГ;
сведений о возможном количестве пострадавших, объемах материального ущерба производству, третьим лицам и компонентам природной среды от возможных аварий на ОПО МГ и ожидаемой частоте (вероятности) возникновения аварий и их нежелательных последствий;
обоснованных рекомендаций по уменьшению риска;
обоснованных рекомендаций по распределению материальных и финансовых ресурсов, направляемых на повышение уровня безопасности ОПО МГ.
2.3. Цели и задачи анализа техногенного риска на разных этапах жизненного цикла ОПО МГ различаются и конкретизируются для каждого этапа.
2.4. На этапе разработки проектной документации на строительство ОПО МГ целями анализа риска аварий являются:
выявление опасностей и предварительная количественная оценка риска для проектируемого ОПО МГ с установленными в целом технико-экономическими характеристиками ОПО МГ с учетом воздействия поражающих факторов аварий на персонал, население и окружающую природную среду для выбора оптимального варианта размещения технических устройств, зданий и сооружений ОПО по критерию безопасности для персонала, населения и окружающей природной среды:
обеспечение информацией для разработки инструкций, технологических регламентов и ПМЛЛПА на проектируемом ОПО МГ;
обеспечение разработчиков проекта информацией для оптимального выбора и размещения систем противоаварийной и противопожарной защиты, блокировок, сигнализаций и т.п. на ОПО МГ;
обеспечение информацией в соответствии с Порядком оформления декларации промышленной безопасности опасных производственных объектов и перечнем включаемых в нее сведений (РД 03-14-2005), утверждённым приказом Ростехнадзора от 29 ноября 2005 г. № 893, зарегистрированным Минюстом России 17 января 2006 г., регистрационный № 7375, для разработки ДПБ в составе проектной документации;
обеспечение информацией для разработки перечня мероприятий по гражданской обороне, мероприятий по предупреждению чрезвычайных ситуаций природного и техногенного характера для ОПО в составе проектной документации;
обеспечение информацией для разработки СТУ.
2.5. На этапе ввода в эксплуатацию ОПО целями анализа риска являются:
выявление опасностей и оценка последствий аварий, уточнение оценок риска, полученных на предыдущих этапах жизненного цикла ОПО МГ;
проверка соответствия условий эксплуатации требованиям промышленной безопасности;
разработка и уточнение инструкций по вводу в эксплуатацию.
2.6. На этапе эксплуатации ОПО МГ целями анализа риска являются:
проверка соответствия условий эксплуатации требованиям промышленной безопасности;
получение новой или уточнение существующей информации об основных опасностях и рисках на ОПО для персонала, населения и окружающей природной среды, в том числе при разработке вновь ДПБ, разработке паспортов безопасности и ОБ ОПО МГ;
расстановка приоритетов при направлении имеющихся в эксплуатирующей организации ограниченных ресурсов на техническое обслуживание и обновление оборудования с целью оптимального распределения средств по составляющим ОПО МГ в соответствии с уровнями рассчитанного для них риска;
разработка рекомендаций и мероприятий по снижению риска;
совершенствование инструкций по эксплуатации и техническому обслуживанию, уточнение ПМЛЛПА* ОПО МГ;
оценка степени снижения риска в результате внесенных изменений в организационные структуры ОПО МГ, приемы практической работы и технического обслуживания ОПО МГ при совершенствовании системы управления промышленной безопасностью.
____________
* При уточнении ПМЛЛПА должны использоваться готовые результаты анализа риска из ДПБ в части сценариев аварий и размеров зон поражения.
2.7. При реконструкции и техническом перевооружении ОПО МГ целями анализа риска являются:
обеспечение информацией для разработки ДПБ, перечня мероприятий по гражданской обороне, мероприятий по предупреждению чрезвычайных ситуаций природного и техногенного характера для ОПО, ОБ или СТУ в составе проектной документации/документации на реконструкцию, техническое перевооружение ОПО МГ;
выбор оптимальных (с учетом показателей риска) технических решений и размещения реконструируемых (перевооружаемых) составляющих ОПО МГ;
уточнение информации об опасностях и рисках на ОПО МГ с учетом технико-технологических изменений объекта, связанных с реконструкцией (перевооружением) отдельных составляющих ОПО МГ (в том числе при декларировании промышленной безопасности);
уточнение инструкций по эксплуатации и техническому обслуживанию, ПМЛЛПА*.
2.8. При капитальном ремонте на ОПО МГ целями анализа риска являются:
выявление специфических опасностей ремонтных работ;
уточнение информации об опасностях и рисках на ОПО МГ с учетом изменений в результате капитального ремонта технико-технологических характеристик и технического состояния ОПО и технологически сопряженных объектов;
обеспечение информацией для разработки ОБ ремонтируемого ОПО МГ;
уточнение технологических регламентов и инструкций, связанных с капитальным ремонтом.
____________
* При уточнении ПМЛЛПА должны использоваться готовые результаты анализа риска из ДПБ в части сценариев аварий и размеров зон поражения.
2.9. На этапах консервации и ликвидации ОПО МГ целями анализа риска являются:
выявление специфических опасностей, характерных для консервации и ликвидации ОПО, расчёт показателей риска аварий с учётом этих опасностей;
обеспечение информацией для разработки ДПБ или ОБ в составе документации на консервацию или ликвидацию ОПО МГ;
разработка и уточнение инструкций по консервации и/или ликвидации ОПО МГ.
3.1. Показатели риска аварии на ЛЧ МГ и площадочных объектах количественно характеризуют опасность аварии, используются для ранжирования составляющих ОПО МГ по степени опасности и обоснования приоритетов в мероприятиях по обеспечению безопасного функционирования ОПО МГ (риск-ориентированный подход).
Перечень показателей риска, вводимых настоящим Руководством, приведен в таблице № 3.1, порядок их расчета предложен в разделах V, VI. Расчет не указанных в таблице № 3.1 итоговых показателей риска аварии (потенциального, индивидуального, коллективного, социального) рекомендуется осуществлять по формулам, изложенным в Руководстве по безопасности "Методические основы по проведению анализа опасностей и оценки риска аварий на опасных производственных объектах", утвержденном приказом Ростехнадзора от 11 апреля 2016 г. № 144.
Показатели риска аварии, введенные настоящим Руководством
|
№ |
Показатель |
Обозначение и единицы измерения |
Примечание |
|
1 |
Удельная ожидаемая частота аварий на n-ом участке (ПОУ) МГ |
λn, 1/(1000 км·год) |
|
|
2 |
Ожидаемая частота аварий на n-ом участке (ПОУ) МГ или на n-ой опасной составляющей площадочного объекта (ОСПО) |
fn, 1/год |
|
|
3 |
Удельная ожидаемая частота аварий на участке технологического трубопровода |
λТТ, 1/(м·год) |
|
|
4 |
Ожидаемая частота аварий на участке технологического трубопровода |
fТТ, 1/год |
|
|
5 |
Ущерб от аварии (при реализации конкретного сценария аварии Сij) |
Уij, руб. |
Выполняется в соответствии с РД 03-496-02 "Методические рекомендации по оценке ущерба от аварий на опасных производственных объектах" (утвержден постановлением Госгортехнадзора России 29.10.2002 № 63) и настоящим руководством. Полнота расчета (например, только прямого ущерба производству или только экологического ущерба) определяется задачами анализа риска |
|
6 |
Средний ущерб от одной аварии на n-ом участке (ПОУ) МГ |
У(n)ПОУ, руб. |
|
|
7 |
Средний ущерб от одной аварии на k-ом МГ |
У(k)МГ, руб. |
|
|
8 |
Средний ущерб от одной аварии на n-ой составляющей площадочного объекта |
У(n)оспо, руб. |
|
|
9 |
Средний ущерб от одной аварии на k-ом площадочном объекте |
У(k)по, руб. |
|
|
10 |
Годовой ожидаемый ущерб от аварий на n-ом участке МГ |
У(n)ПОУ, руб./год |
Определяется как математическое ожидание ущерба от возможных аварий на участке МГ за 1 календарный год его эксплуатации. Рассчитывается через ущерб от одной аварии и ожидаемую частоту аварий |
|
11 |
Суммарный годовой ожидаемый ущерб от аварий на k-ом МГ |
У(k)МГ, руб./год |
Полнота расчета (например, только прямого ущерба производству или только экологического ущерба) определяется задачами анализа риска |
|
12 |
Годовой ожидаемый ущерб от аварий на n-ой составляющей площадочного объекта |
У(k)оспо, руб./год |
|
|
13 |
Суммарный годовой ожидаемый ущерб от аварий на k-ом площадочном объекте |
У(k)по, руб./год |
|
При проведении КолАР рекомендуется следовать основным этапам количественного анализа риска аварий на ОПО, которые приведены в Руководстве по безопасности "Методические основы по проведению анализа опасностей и оценки риска аварий на опасных производственных объектах", утвержденном приказом Ростехнадзора от 11 апреля 2016 г. № 144.
5.1.1. Общий алгоритм поэтапного количественного анализа риска аварий на ЛЧ МГ приведен в Руководстве по безопасности "Методические основы по проведению анализа опасностей и оценки риска аварий на опасных производственных объектах", утвержденном приказом Ростехнадзора от 11 апреля 2016 г. № 144. Полнота выполнения этапов анализа определяется целями и задачами конкретного задания по анализу риска.
Алгоритмы выполнения этапов и подэтапов описаны в подразделах 5.2 - 5.9.
5.1.2. При проведении анализа риска аварий на ЛЧ МГ под аварией на ЛЧ МГ понимается разрыв газопровода на полное сечение с выбросом природного газа с воспламенением или без воспламенения в окружающую среду.
5.2.1. Исходными информационными материалами для выполнения этапа "Планирование и организация работ по анализу риска на ЛЧ МГ" являются:
ТЗ заказчика на выполнение работы, связанной с необходимостью проведения количественного анализа риска МГ;
информация о фоновом риске техногенных происшествий для населения и персонала в регионах размещения трасс(ы) анализируемого МГ, предельно допустимом риске для населения и персонала.
Последовательность выполнения этапа отражена в пунктах 5.2.2 - 5.2.6.
5.2.2. Анализ технического задания. Типовыми работами, указываемыми в ТЗ, как правило, являются:
разработка вновь ДПБ для действующих МГ;
разработка ДПБ, перечня мероприятий по гражданской обороне, мероприятий по предупреждению чрезвычайных ситуаций природного и техногенного характера для ОПО в составе проектной документации, ОБ и/или СТУ в составе проектной документации/документации на строительство, реконструкцию, техническое перевооружение, консервацию или ликвидацию МГ в целом или отдельного участка МГ;
разработка перечня мероприятий по гражданской обороне, мероприятий по предупреждению чрезвычайных ситуаций природного и техногенного характера для ОПО в составе проектной документации, СТУ, ОБ в составе проектной документации на капитальный ремонт МГ в целом или отдельного участка МГ;
разработка паспортов безопасности на участки действующих МГ;
разработка ПМЛЛПА для проектируемых и действующих МГ;
проведение КолАР для отдельных участков действующих МГ для обоснования возможности строительства различных объектов вблизи трассы МГ и других целей.
В зависимости от вида указываемых в ТЗ работ определяются цели, задачи, глубина анализа риска и состав группы специалистов для выполнения КолАР в соответствии с пунктами 5.2.3, 5.2.4.
5.2.3. Определение цели, задач и глубины анализа риска проводится:
5.2.3.1. При разработке ДПБ, ОБ и паспортов безопасности для действующих МГ целью анализа риска является расчет всего спектра показателей риска для всех анализируемых участков МГ и разработка рекомендаций для эксплуатирующей организации по уменьшению риска эксплуатации МГ. Для реализации этих целей рекомендуется выполнять полный цикл КолАР с использованием методических подходов и математических моделей, приведенных или указанных в настоящем Руководстве.
5.2.3.2. При анализе риска на ранних стадиях проектирования МГ (стадии обоснования инвестиций) целью анализа риска является определение только части спектра показателей риска, как то: характеристик и степени опасности обращающегося на МГ вещества, ожидаемой частоты аварий (на основе использования статистических данных по авариям на аналогичных МГ и построенного дерева отказов для анализируемого газопровода (приложение № 4 к настоящему Руководству)), размеров зон воздействия наиболее опасных поражающих факторов аварий, объемов ущерба и ожидаемого числа пострадавших среди населения на наиболее критичных участках трассы МГ, рассчитываемых для различных вариантов прокладки трассы МГ и вариантов предварительных технических решений по ЛЧ МГ с дальнейшей разработкой рекомендаций по размещению трассы и выбору оптимальных технических решений. Глубину анализа следует ограничить применением инженерных моделей расчета последствий аварий на ЛЧ МГ, ряд которых приведен или указан в настоящем Руководстве.
5.2.3.3. При разработке ДПБ, перечня мероприятий по гражданской обороне, мероприятий по предупреждению чрезвычайных ситуаций природного и техногенного характера для ОПО в составе проектной документации, СТУ или ОБ в составе проектной документации на строительство и реконструкцию МГ в целом или отдельного участка МГ и тех же документов (кроме ДПБ) в составе проектной документации на капитальный ремонт целью анализа риска является расчет всех показателей риска (таблица № 1) и разработка рекомендаций по оптимизации технических решений с целью уменьшения риска МГ. Для реализации этих целей рекомендуется выполнить полный цикл КолАР в соответствии с требованиями раздела V настоящего Руководства.
5.2.3.4. При разработке ПМЛЛПА для ЛЧ МГ целью анализа риска является определение характерных сценариев аварий и оценка их последствий с дальнейшей разработкой организационно-технических мероприятий и плана действий персонала по локализации и ликвидации аварий. ПМЛЛПА следует разрабатывать с использованием готовых результатов анализа риска аварий из ДПБ МГ в части рассмотренных в ней сценариев аварий и размеров соответствующих зон поражения.
5.2.4. Необходимая численность специалистов в составе конкретной группы для выполнения КолАР определяется количеством анализируемых участков МГ с газопроводами-отводами в составе заказанной работы и требуемой (в соответствии с выявленными целями и задачами КолАР) глубиной анализа.
5.2.5. Описание анализируемого (ых) участка (ов) МГ и его окружения следует выполнять на основе анализа и систематизации следующих информационных материалов и исходных данных:
общие сведения об эксплуатирующей организации;
технологическая схема участка(ов) МГ с газопроводами-отводами;
план трасс (ы) участка (ов) МГ с газопроводами-отводами и прилегающей территории (c населенными пунктами, организациями, естественными и искусственными препятствиями, лесными и сельскохозяйственными угодьями);
перечень и конструктивно-технологические параметры газопровода(ов) (название, диаметр, давление, категория участка, протяженность, расстановка линейных кранов, данные по трубам и трубным сталям, изоляционным покрытиям);
описание природно-климатических условий района расположения газопровода(ов);
характеристики грунтов (коррозионные, механические, мерзлотные и др.) вдоль трасс (ы) газопровода (ов);
перечень и характеристики подземных переходов газопровода(ов) через дороги (автомобильные и железные);
сведения об идущих параллельно газопроводу (ам) авто- и железных дорогах, инженерных коммуникациях;
перечень и характеристики подводных переходов газопровода (ов);
перечень и характеристики воздушных переходов газопровода (ов);
перечень пересечений газопровода (ов) с инженерными коммуникациями;
перечень и характеристики наземного оборудования ЛЧ газопровода (ов);
технические характеристики системы линейной телемеханики;
описание и основные характеристики лесных угодий вдоль трасс (ы) газопровода (ов);
описание сельскохозяйственных угодий и распределения сельхозрабочих и сельхозтехники вдоль трасс (ы) газопровода (ов);
данные о размещении и численности населения близлежащих населенных пунктов;
данные о размещении и численности работников близлежащих организаций;
перечень опасных объектов сторонних организаций, которые могут явиться источником чрезвычайной ситуации для газопровода (ов);
численность, квалификация, режим работы и распределение обслуживающего персонала по трассе (ам) газопровода (ов);
данные об имевших место авариях на газопроводе (ах);
результаты диагностических обследований ЛЧ газопровода (ов).
5.2.6. Обоснование уровней допустимого риска как базы для сравнения с ними расчетных показателей риска после проведения КолАР рекомендуется выполнять отдельно для населения (третьих лиц) и производственного персонала.
Критерии допустимого (приемлемого) риска гибели людей при авариях на ОПО обосновываются в проектной документации исходя из условия не превышения индивидуального риска среднестатистических значений гибели людей в техногенных происшествиях (от неестественных причин).
5.3.1. При анализе риска МГ в качестве источника опасности идентифицируется непосредственно газопровод, транспортирующий опасное вещество - природный газ. Процедура идентификации в данном случае заключается в определении опасных свойств и параметров состояния транспортируемого газа, расчете количества природного газа в разных секциях МГ, определении возможных причин аварий на разных участках МГ, выделении наиболее опасных для потенциальных реципиентов участков трассы МГ (ПОУ) и определении расчётных сценариев аварий.
5.3.2. Состав исходных данных для выполнения данного этапа:
справочные материалы по характеристикам опасных веществ (приложение № 2 к настоящему Руководству);
технологическая схема участка (ов) МГ с газопроводами-отводами;
план трасс (ы) участка (ов) МГ с газопроводами-отводами и прилегающей территории;
перечень и конструктивно-технологические параметры газопровода (ов);
описание природно-климатических условий района расположения газопровода (ов);
Последовательность выполнения этапа отражена в пунктах 5.3.3 - 5.3.7.
5.3.3. На данном этапе "Определение опасных свойств транспортируемого газа" выявляются и перечисляются основные характеристики и опасные свойства природного газа, а также термодинамические параметры его состояния на анализируемом участке МГ в соответствии с таблицей № 5.1.
Таблица № 5.1
Характеристика опасного вещества
|
Наименование параметра |
Значение параметра |
Источник информации |
|
1 Вид опасного вещества (в соответствии с приложением № 1 Федерального закона от 21.07.1997 № 116-ФЗ "О промышленной безопасности опасных производственных объектов") |
|
|
|
2 Название вещества |
|
|
|
2.1 химическое |
|
|
|
2.2 торговое |
|
|
|
3 Формула |
|
|
|
3.1 эмпирическая |
|
|
|
3.2 структурная |
|
|
|
4 Состав, % |
|
|
|
4.1 основной продукт |
|
|
|
4.2 примеси |
|
|
|
5 Общие данные |
|
|
|
5.1 молекулярный вес |
|
|
|
5.2 температура кипения, °С (при давлении 101 кПа) |
|
|
|
5.3 плотность при 20 °С, кг/м3 |
|
|
|
5.4 удельная теплота сгорания |
|
|
|
6 Данные о взрывопожароопасности |
|
|
|
6.1 температура вспышки °С |
|
|
|
6.2 температура самовоспламенения, °С |
|
|
|
6.3 температура воспламенения, °С |
|
|
|
6.4 пределы взрываемости |
|
|
|
7 Данные о токсической опасности (класс опасности) |
|
|
|
7.1 ПДК в воздухе рабочей зоны, мг/м3 |
|
|
|
7.2 ПДК в атмосферном воздухе, мг/м3 |
|
|
|
7.3 летальная токсодоза LCt50 |
|
|
|
7.4 пороговая токсодоза PCt50 |
|
|
|
8 Реакционная способность |
|
|
|
9 Запах |
|
|
|
10 Коррозионное воздействие |
|
|
|
11 Меры предосторожности |
|
|
|
12 Информация о воздействии на людей |
|
|
|
13 Средства защиты |
|
|
|
14 Методы перевода вещества в безвредное состояние |
|
|
|
15 Меры первой помощи пострадавшим от воздействия вещества |
|
|
|
16 Давление (абс.) фактическое на участке газопровода (диапазон изменения участку), МПа |
|
|
|
17 Температура продукта фактическая зимняя на участке газопровода (диапазон изменения по участку), °С |
|
|
5.3.4. Расчет количества природного газа в анализируемом (ых) газопроводе (ах) выполняется при решении вопроса о необходимости разработки ДПБ для рассматриваемого участка МГ, при разработке самой ДПБ, а также при определении класса опасности ОПО.
Расчет выполняется посекционно (отдельно для каждой секции газопровода между линейными кранами) с последующим суммированием полученных значений. Последовательность расчета приведена в приложении № 3 к настоящему Руководству.
Примечание. Следует иметь в виду, что количество газа, как таковое, в секции газопровода или на участке между КС не является параметром, определяющим основные характеристики прямого поражающего воздействия при разгерметизации газопровода, а служит лишь критерием отнесения МГ к декларируемым ОПО и определяет максимально возможную длительность существования поражающих факторов при непринятии оперативных мер по локализации аварии.
5.3.5. Определение возможных причин и условий возникновения аварий на линейной части магистральных газопроводов.
Аварии на ЛЧ МГ происходят, как правило, по следующим причинам, определяемым источником воздействия на МГ и механизмом этого воздействия, приводящего к разгерметизации газопровода:
коррозионное растрескивание под напряжением (далее - КРН или стресс-коррозия);
подземная и атмосферная коррозия;
механические повреждения (строительной техникой, бурильным оборудованием, в результате взрывных работ, актов вандализма и терроризма);
дефекты труб, оборудования и материалов во время их изготовления, транспортировки и СМР;
внутренняя коррозия и эрозия;
циклические нагрузки, приводящие к усталостному разрушению;
природные воздействия (подвижки грунта из-за оползней, селей, карстов, землетрясений, размывов, морозного пучения и др. процессов, эффекты растепления многолетнемерзлых грунтов, обводнение траншей);
нарушения правил технической эксплуатации МГ;
неисправность оборудования, приборов и средств автоматизации, технологической связи, телемеханизации, АСУ ТП;
противоправные действия.
На данном подэтапе идентификации опасностей при анализе конкретного участка МГ рекомендуется из приведенного списка причин выделить ожидаемые причины аварий применительно именно к этому участку газопровода с учетом реальных условий его эксплуатации и местных действующих факторов окружающей среды, а также с учетом имеющихся статистических данных о причинах и условиях возникновения имевших место ранее аварий на аналогичных по конструктивно-технологическим параметрам и условиям эксплуатации участках МГ. Данный подэтап может рассматриваться как подготовительный для этапа оценки ожидаемой частоты аварий на анализируемом участке МГ с учетом влияния различных факторов на газопровод (пункт 5.4.1 настоящего Руководства).
5.3.6. Предварительная идентификация ПОУ на МГ.
Под ПОУ МГ на данном этапе анализа понимаются участки трассы МГ, аварии на которых могут привести к значительному социально-экономическому ущербу (гибели и травмированию людей), ущербу дорогостоящим компонентам имущественного комплекса и природной среды, а также участки, на которых при техническом диагностировании выявлено значительное количество дефектов.
Выделение ПОУ на трассе анализируемого МГ проводится с помощью плана трассы МГ с прилегающей территорией с учетом данных из технологической схемы МГ.
В качестве ПОУ в первую очередь выделяются:
а) участки МГ, вблизи которых на расстоянии не более 0,5 км от оси МГ расположены населенные пункты, отдельные общественные здания и места массового скопления людей.
Расположение и длина каждого такого участка определяются следующим образом. Серединой участка является точка пересечения с осью МГ перпендикуляра, проведенного к оси МГ из ближайшей к МГ точки рассматриваемого населенного пункта (здания, места скопления людей). Длина участка определяется выражением:
|
|
(5.1) |
где Hкр - дальность распространения от места аварии превалирующего поражающего фактора аварии на МГ (тепловой радиации от пожара), км;
Lнп - расстояние от оси МГ до ближайшей к МГ точке населенного пункта (здания, места скопления людей), км.
б) участки МГ, вблизи которых на расстоянии не более 0,5 км от оси МГ расположены комплексы зданий, сооружений, оборудования сторонних организаций. Расположение и длина участков определяется, как сказано в подпункте "а";
в) подземные переходы через автомобильные и железные дороги и примыкающие к ним участки МГ длиной по Lажд км в обе стороны от переходов, где Lажд = Hкр - см. формулу (5.56).
Дополнительно в качестве ПОУ рекомендуется рассматривать следующие участки:
а) участки МГ, проходящие по обрабатываемым сельскохозяйственным угодьям;
б) участки МГ, вблизи которых на расстоянии не более 0,5 км от оси МГ расположены лесные угодья;
в) участки МГ, на которых расположены площадки крановых узлов, газоизмерительные станции, включая участки длиной Hкр в обе стороны по трассе МГ от мест расположения наземного оборудования;
г) подводные переходы МГ с береговыми размываемыми участками;
д) участки пересечений МГ с различными трубопроводами, включая участки МГ длиной Hкр в обе стороны от мест пересечений;
е) участки МГ, на которых когда-либо имели место разрывы и свищи или по результатам диагностирования обнаружены опасные дефекты в стенке трубы;
ж) участки МГ, примыкающие к компрессорным станциям со стороны нагнетания.
Рекомендуется обозначить на плане трассы МГ границы всех ПОУ для дальнейшего анализа, определить километраж их границ по трассе МГ и пронумеровать ПОУ порядковыми номерами.
Следующие этапы и подэтапы КолАР проводятся для каждого выделенного на трассе МГ ПОУ.
5.3.7. Определение расчетных сценариев аварий на линейной части магистральных газопроводов.
5.3.7.1. Применительно к ЛЧ МГ сценарий аварии в обобщенном виде кратко описывается следующим образом: разгерметизация газопровода с выбросом (истечением) природного газа в окружающую среду → взаимодействие потока газа с компонентами ОС и его физико-химические трансформации в ОС (физическое проявление аварии) → воздействие поражающих факторов на реципиентов → поражение реципиентов.
Сценарный анализ рекомендуется строить по иерархической схеме, включающей группы сценариев С1 … СI и входящие в них расчетные сценарии C11 ... C1j ... С1J, С21 … C2j ... С2J, …, CI1 ... CIj ... СIJ, где i - номер группы сценариев, j - номер сценария в i-ой группе.
5.3.7.2. Группа сценариев аварии - это совокупность сценариев, характеризующихся одним и тем же типом физических проявлений аварии.
Наибольшая энергия при аварии на МГ выделяется при горении газа, с чем связаны и наиболее тяжелые последствия аварии. По этой причине воспламенение или невоспламенение газа определяет следующие наиболее значимые при анализе риска типы физических проявлений аварии на МГ, различающиеся, кроме факта горения/не горения, еще и характером истечения газа:
горение относительно низкоскоростного вертикального или наклонного шлейфа ("колонны") газа, образовавшегося в результате смешения двух струй газа, истекающих из концов разорвавшегося газопровода в едином грунтовом котловане (как правило, в "твердых" грунтах с высокой связностью);
горение двух свободных высокоскоростных струй газа (настильных, т.е. с углом наклона оси факела к горизонту не более 8° - 10°, или наклонных, т.е с углом наклона к горизонту более 8° - 10°), истекающих из двух концов (плетей) разрушенного газопровода, вырванных из грунта (как правило, из "слабонесущего" грунта с низкой связностью) на поверхность земли (для подземного МГ) или сорванных с опор (для надземного участка МГ);
рассеивание без воспламенения низкоскоростного шлейфа газа, истекающего из грунтового котлована;
рассеивание без воспламенения двух свободных высокоскоростных струй газа (настильных или с некоторым углом наклона к горизонту).
В соответствии с указанными типами физических проявлений аварии на ЛЧ МГ рекомендуется учитывать следующие 4 группы сценариев (таблица № 5.2 настоящего Руководства).
Группы сценариев аварий на ЛЧ МГ
|
Обозначение и название группы |
Группа сценариев (типовая последовательность событий) |
Поражающие факторы |
|
С1 "Пожар в котловане" ("Пожар колонного типа") |
Разрыв газопровода → образование котлована в грунте (как правило, в нормальных ("твердых") грунтах) → образование первичной ВУВ за счет расширения компримированного газа в атмосфере → разлет осколков трубы и фрагментов грунта → истечение газа из котлована в виде "колонного" шлейфа → воспламенение истекающего газа с образованием "столба" пламени в форме, близкой к цилиндрической → образование при воспламенении газа вторичной, незначительной по поражающему воздействию, ВВС → попадание людей, сооружений, оборудования ЛЧ МГ, транспорта, растительности в зону радиационного термического воздействия от пожара → гибель или получение людьми ожогов различной степени тяжести, а также травм от воздействия ВУВ или ВВС, осколков; уничтожение или повреждение перечисленных выше материальных объектов и элементов природной среды; загрязнение атмосферы продуктами сгорания. |
Разлет осколков, ВУВ, тепловое излучение от пламени, токсичные продукты сгорания |
|
С2 "Струевое пламя" |
Разрыв газопровода → "вырывание" плетей разрушенного газопровода из грунта на поверхность (как правило, "в слабонесущих" грунтах) → образование первичной ВУВ → разлет осколков трубы и фрагментов → грунта истечение газа из газопровода в виде двух независимых высокоскоростных струй → воспламенение истекающего газа с образованием двух струй пламени, горизонтальных или наклонных (вверх) → образование при воспламенении газа вторичной, незначительной по поражающему воздействию, ВВС → попадание людей, сооружений, оборудования ЛЧ МГ, транспорта, растительности в зоны динамического напорного воздействия струй газа, прямого или радиационного термического воздействия от пожара → гибель или получение людьми ожогов различной степени тяжести, а также травм от воздействия ВУВ или ВВС, осколков; уничтожение или повреждение перечисленных выше материальных объектов и элементов природной среды; загрязнение атмосферы продуктами сгорания. |
Разлет осколков, ВУВ, скоростной напор струи, прямое воздействие пламени, тепловое излучение от пламени, токсичные продукты сгорания |
|
С3 "Рассеивание низкоскоростного шлейфа газа" |
Разрыв газопровода → образование котлована в грунте (как правило, в нормальных ("твердых") грунтах) → образование ВУВ → разлет осколков трубы и фрагментов грунта → истечение газа из газопровода в виде колонного шлейфа → рассеивание истекающего газа без воспламенения → попадание людей, сооружений, оборудования ЛЧ МГ, транспорта в зону барического воздействия или газового облака → получение людьми травм и повреждение указанных выше материальных объектов в результате воздействия ВУВ и/или осколков; асфиксия людей при попадании в газовое облако; загрязнение атмосферы природным газом. |
Разлет осколков, ВУВ, попадание природного газа в атмосферу |
|
С4 "Рассеивание двух струй газа" |
Разрыв газопровода → вырывание плетей разрушенного газопровода из грунта на поверхность (как правило, в "слабонесущих" грунтах) → образование ВУВ → разлет осколков трубы и фрагментов грунта → истечение газа из газопровода в виде двух свободных независимых струй → рассеивание истекающего газа без воспламенения → попадание людей, сооружений, оборудования ЛЧ МГ, транспорта в зону барического, напорного, осколочного воздействия или газового облака → получение людьми травм и повреждение указанных выше материальных объектов в результате воздействия ударной волны и/или скоростного напора струи и/или осколков; асфиксия людей при попадании в газовое облако; загрязнение атмосферы природным газом. |
Разлет осколков, ВУВ, скоростной напор струи, попадание природного газа в атмосферу |
5.3.7.3. Расчетный j-ый сценарий Cij i-ой группы сценариев - это один из вариантов реализации соответствующей типовой последовательности из приведенной выше таблицы. Такая конкретная реализация может определяться рядом факторов, проклассифицированных в таблице № 5.3 в соответствии с их влиянием на характер поступления газа в атмосферу ("функцию источника") и на особенности распространения опасных веществ или энергии (например, тепловой радиации, волн сжатия) в окружающей среде.
Факторы, определяющие сценарии аварии на ЛЧ МГ
|
Фактор |
Характер влияния |
|
Факторы, влияющие на "функцию источника" |
|
|
1 Расположение места аварии относительно КС и линейных запорных кранов |
Влияет на интенсивность и продолжительность истечения газа из концов разорвавшегося МГ |
|
2 Давление в МГ (в месте разрыва) до аварии |
Определяет интенсивность истечения газа, величину избыточного давления при расширении сжатого газа |
|
3 Время от момента разгерметизации до перекрытия аварийной секции (время идентификации аварии + время остановки ГПА и закрытия линейных кранов) |
Влияет на продолжительность аварийного истечения газа |
|
4 Геометрия взаимного расположения концов разрушенного МГ в котловане или на поверхности земли |
Влияет на особенности динамического взаимодействия струй истекающего из двух концов МГ газа, а следовательно, - на форму пламени при колонном пожаре или направление независимых горящих струй при струевом горении |
|
Факторы, влияющие на распространение опасных веществ и потоков энергии в окружающей среде |
|
|
5 Метеорологические факторы: скорость и направление ветра, класс стабильности атмосферы, влажность воздуха |
Определяют различные варианты дисперсии газа, задают угол и направление наклона пламени; влажность воздуха определяет проницаемость атмосферы для тепловой радиации |
|
6 Шероховатость поверхности вблизи места разрыва |
Влияет на особенности рассеивания струи или шлейфа газа |
|
7 Распределение по территории, прилегающей к МГ других опасных объектов |
Влияет на вероятность реализации каскадного развития аварии |
|
8 Степень оперативности и грамотности действий персонала и аварийных спецслужб по локализации аварии и зон ее воздействия |
Влияют на продолжительность аварии, ход ее развития и размеры зон воздействий |
Часть перечисленных факторов являются детерминированными, поскольку связаны с конкретными местными условиями, существующими на анализируемом ПОУ МГ. К ним относятся: расположение ПОУ относительно КС и линейных кранов, фактическое давление газа на ПОУ, шероховатость поверхности. Значения этих факторов для определения расчетного сценария задаются из массива фиксированных исходных данных, описывающих рассматриваемый ПОУ.
Остальные факторы являются случайными величинами, к ним, относятся: угол и направление наклона пламени пожара, время перекрытия линейных кранов. Возможные комбинации именно этих факторов определяют многообразие сценариев аварий в составе той или иной группы.
Формирование набора расчетных сценариев для каждого ПОУ можно выполнять путем варьирования значений следующих факторов (таблица № 5.4).
Некоторые задающие факторы для формирования расчетных сценариев
|
Задающий фактор |
На какую группу сценариев распространяется |
Возможные значения фактора |
|||
|
Срабатывание линейных кранов |
С1 - С4 |
Закрываются оба крана с пом. ААЗК на границах аварийной секции МГ через Tоткл = 2 мин |
Закрывается один кран на границе аварийной секции МГ через Tоткл = 2 мин, ГПА не отключаются |
Краны на границах аварийной секции не закрываются, ГПА не отключаются в течение Tоткл > 2 мин |
- |
|
Геометрия "Пожара в котловане" - Lф/Dэф* |
С1 |
2 |
4 |
|
|
|
Скорость ветра, м/c |
С1, С3 |
0 |
5 |
10 |
- |
|
Направление ветра |
С1, С3 |
С |
В |
Ю |
З |
|
Угол отклонения осей двух струй газа от проектного положения оси МГ в вертикальной плоскости, град. |
С2, С4 |
На 8 град. вверх (настильные струи) |
На 15 град. вверх (наклонные струи) |
|
|
|
Угол отклонения осей двух струй газа от проектного положения оси МГ в горизонтальной плоскости, град. |
С2, С4 |
0 |
+15, -15 (т.е. в разные стороны от оси МГ) |
+15, +15 обе струи в одну сторону от оси МГ |
-15, -15, обе струи в одну сторону от оси МГ |
|
Класс стабильности атмосферы по Паскуиллу |
С3, С4 |
А, В, С, D, Е, F |
|||
|
Длина разрыва газопровода |
С1 - С4 |
От 6 до 75 м в зависимости от диаметра МГ (таблица № 5.8) |
|||
|
*Lф - длина пламени; Dэф - эффективный диаметр пожара (очага горения); Tоткл - время отключения кранов. |
|||||
Все вышеперечисленные задающие факторы опосредованно или напрямую влияют на конфигурацию и размеры зоны воздействия - термического, токсического, барического, механического (от осколков). Поэтому в конечном итоге каждый идентифицированный в ходе анализа риска МГ расчетный сценарий аварии будет отличаться от другого в общем случае конфигурацией и размерами зоны воздействия доминирующего поражающего фактора этого сценария и, соответственно, ущербом.
5.3.7.4. При использовании Руководства можно определить число расчетных сценариев путем задания различных комбинаций значений всех или части факторов из таблицы № 5.4 настоящего Руководства.
Рекомендуемый минимальный набор расчетных сценариев приведен в таблице № 5.5 настоящего Руководства.
Рекомендуемый минимальный набор расчетных сценариев
|
Группа сценариев |
Краткая характеристика расчетного сценария в точке разрыва МГ |
|
С1 "Пожар в котловане": |
С11: После разрыва МГ краны на границах аварийной секции не закрываются, ГПА не отключаются в течение Тоткл > 2 мин, скорость ветра 0 м/c → Вертикальный горящий "цилиндр" с Lф / Dэф = 2 |
|
С12: После разрыва МГ краны на границах аварийной секции не закрываются, ГПА не отключаются в течение Тоткл > 2 мин, скорость ветра 10 м/c, направление ветра - перпендикулярно направлению оси МГ, вправо по ходу газа → Наклонный "правый" горящий "цилиндр" с Lф / Dэф = 2 |
|
|
С13: После разрыва МГ краны на границах аварийной секции не закрываются, ГПА не отключаются в течение Тоткл > 2 мин, скорость ветра 10 м/c, направление ветра - перпендикулярно направлению оси МГ, влево по ходу газа → Наклонный "левый" горящий "цилиндр" с Lф / Dэф = 2 |
|
|
С2 "Струевое пламя": |
С21: После разрыва МГ краны на границах аварийной секции не закрываются, ГПА не отключаются в течение Тоткл > 2 мин. Имеют место 2 настильные свободные струи горящего газа, направленные в противоположных направлениях вдоль оси МГ с общей условной точкой истечения. |
|
С3 "Рассеивание низкоскоростного шлейфа газа": |
С31: После разрыва МГ краны на границах аварийной секции не закрываются, ГПА не отключаются в течение Тоткл > 2 мин., скорость ветра 15 м/c, класс устойчивости - D → Рассеивающийся шлейф газа |
|
С4 "Рассеивание двух струй газа": |
С41: После разрыва МГ краны на границах аварийной секции не закрываются, ГПА не отключаются в течение Тоткл > 2 мин. Имеют место 2 настильные струи газа, направленные в противоположных направлениях вдоль оси МГ с общей условной точкой истечения с дальнейшим рассеиванием в атмосфере. Скорость ветра 0 м/с. |
5.3.7.5. При дальнейшем анализе сформированный на данном этапе набор расчетных сценариев {Сij} рассматривается на каждом ПОУ трассы МГ как полная группа несовместных событий при возникновении разрыва газопровода в каждой рассматриваемой точке ПОУ.
5.3.7.6. Состав расчетных сценариев аварий на подводных переходах МГ через естественные и искусственные водные преграды зависит от конструкции и технологии строительства дюкера, а также от глубины водоема в месте возникновения разрыва МГ.
При этом в любом случае среди возможных поражающих факторов аварии на подводном переходе при проведении КолАР учитываются только те поражающие факторы, которые определены в таблице № 5.3 настоящего Руководства для аварий на сухопутных участках. Следующие возможные поражающие факторы аварии на подводном переходе: волна сжатия в воде, высокоскоростная газоводная струя в воде или при выходе на поверхность воды, гравитационная волна на поверхности воды, бурун в зоне выхода газа на поверхность не учитываются из-за ограниченных масштабов их действия по сравнению с факторами, указанными в таблице № 5.3 настоящего Руководства.
5.3.7.7. Для подводных переходов, выполненных традиционным методом прокладки трубы в траншее по дну водоема, при рассмотрении аварий на береговых участках, а также пойменных или подводных участках в русловой части с глубиной воды не более 5 м состав расчетных сценариев аварии совпадает с составом расчетных сценариев для сухопутных участков МГ в рамках групп С1, С2, С3, С4.
5.3.7.8. Для подводных переходов, выполненных традиционным методом прокладки трубы в траншее по дну водоема, при рассмотрении аварий на подводных участках с глубиной воды более 5 м состав расчетных сценариев аварии ограничивается сценариями из групп С1 ("Пожар колонного типа") и С3 ("Рассеивание низкоскоростного шлейфа газа"). При этом из состава возможных поражающих факторов аварии исключаются разлет осколков и воздушная волна сжатия.
5.3.7.9. Для подводных переходов, выполненных методом горизонтально-направленного бурения с конструкцией "труба в трубе", состав расчетных сценариев аварии ограничивается сценариями из групп С2 ("Струевое пламя") и С3 ("Рассеивание струи газа"). При этом, независимо от места разрыва трубы в пределах перехода, принимается, что выход газа в атмосферу имеет место только из концов кожуха в виде одной настильной струи на каждом берегу при одинаковых интенсивностях истечения газа из обоих концов кожуха.
5.4.1. Оценка ожидаемых частот возникновения аварий на линейной части магистральных газопроводов
5.4.1.1. При оценке (прогнозировании) ожидаемых частот аварий на ЛЧ МГ рекомендуется учитывать:
статистические данные по количеству, частоте и причинам аварий на газопроводах с разными технико-технологическими параметрами, эксплуатирующихся в разных ГТО;
влияние на вероятность нарушения целостности МГ различных внешних и внутренних факторов: природно-климатических условий, технико-технологических, эксплуатационных и возрастных параметров МГ, антропогенных (связанных с промышленно-хозяйственной деятельностью, плотностью населения) и других факторов, изменяющихся, как правило, вдоль трассы МГ.
5.4.1.2. Для оценки (прогнозирования) в рамках проведения КолАР ожидаемых частот аварий на произвольных участках МГ рекомендуется применять методические подходы, использующие принцип корректировки среднестатистической удельной частоты аварий на газопроводах газотранспортной компании (ДО, корпорации, страны) с помощью системы коэффициентов и/или балльных оценок, учитывающих неравнозначное на разных участках трасс МГ влияние на газопровод упомянутых в пункте 5.4.1.1 разнородных факторов.
К преимущественному применению рекомендуется подход, реализующий балльно-факторную оценку ожидаемой частоты аварий на участке газопровода, изложенный в приложении № 5 настоящего Руководства и использующий принцип корректировки среднестатистической удельной частоты аварий на ЛЧ МГ ЕСГ РФ λср (выраженной в количестве аварий на 1000 км в год и определенной за последние 10 лет) с помощью специально выстроенной системы из 7 групп факторов влияния с установленными экспертным путем весовыми коэффициентами и шкалами балльных оценок факторов применительно как к сухопутным участкам, так и к подводным переходам МГ. Учитываемые факторы влияния условно разделены на "угрожающие" и "защищающие". К первым относятся внешние агрессивные условия и воздействия окружающей природной и социальной среды, нарушения эксплуатационных требований, ко вторым - конструктивно-технологические решения и комплекс эксплуатационных организационно-технических мероприятий, направленных на сохранение целостности газопровода.
5.4.1.3. В рамках КолАР балльно-факторную оценку ожидаемых удельных частот аварий (λn) на линейной части анализируемого МГ рекомендуется выполнять применительно к заранее выделенным ПОУ данного МГ (пункт 5.3.7). Рассчитанные для каждого ПОУ значения λn заносятся в таблицу (таблица № 5.6 с примером ее заполнения).
Ожидаемые удельные частоты аварий на потенциально опасных участках МГ
|
Номер (n) и положение ПОУ на трассе МГ, км·км |
1 |
2 |
… |
n |
… |
n |
|
км 502,34 - км 503,45 |
км 512,14 - км 514,00 |
км 515,05 - км 516,32 |
км 517,09 - км 518,20 |
|||
|
λn, 1/(1000 км·год) |
0,241 |
0,125 |
… |
0,452 |
… |
0,653 |
5.4.1.4. Ожидаемая частота fn (1/год) возникновения аварии на n-ом ПОУ длиной Ln определяется по формуле
|
fn = λn · Ln / 1000 |
где λn - ожидаемая удельная частота аварий на n-ом ПОУ, 1/(1000 км·год);
Ln - длина n-го ПОУ, км.
5.4.2. Оценка условных вероятностей и ожидаемых частот реализации расчетных сценариев аварий на линейной части магистральных газопроводов
5.4.2.1. На данном подэтапе КолАР для каждого ПОУ определяются условные вероятности Р(Сij|A) реализации каждого расчетного сценария Сij (при условии, что произошел разрыв МГ-событие А) из набора {Сij}, образующего полную группу несовместных событий, с учетом имеющихся на данном ПОУ условий и факторов, влияющих на возможность реализации того или иного расчетного сценария Сij.
5.4.2.2. Расчет условных вероятностей Р(Сij|A) реализации расчетных сценариев Сij аварии выполняется по следующим формулам:
- для сценариев из групп C1, C2 (с возгоранием газа);
|
Р(Сij|A) = Р(B|A) · Р(Сi|AB) · Р(Сij|ABСi), i = 1, 2, |
(5.2) |
- для сценариев из групп C3, C4 (без возгорания газа);
|
|
(5.3) |
где А - событие, состоящее в возникновении аварии (разрыва МГ);
В - событие, состоящее в возгорании истекающего газа сразу после разрыва МГ;
- событие,
состоящее в отсутствии возгорания истекающего газа после разрыва МГ;
Сi - событие, состоящее в реализации хотя бы одного из сценариев группы Сi;
Сij - событие, состоящее в реализации конкретного j-го сценария группы Сi;
Р(B|A), Р(
|A) -
условные вероятности, соответственно, возгорания и отсутствия возгорания газа
при условии, что произошел разрыв МГ;
Р(Сi|AB), Р(Сi|A
) - условные вероятности реализации
хотя бы одного из сценариев группы Сi
при условии, что произошло (не произошло) возгорание истекающего из разрыва МГ
газа;
Р(Сij|ABСi), Р(Сij|A
Сi)
- условные вероятности реализации конкретного сценария Сij при условии реализации группы Ci
при аварии с возгоранием и при аварии без возгорания, соответственно.
При определении условных вероятностей рекомендуется строить дерево событий. На рисунке 5.1 показан пример упрощенного дерева событий с нанесенными значениями условных вероятностей промежуточных событий применительно к авариям на МГ с условным диаметром 1400 мм. События, относящиеся к каждому узлу ветвления дерева, образуют полную группу событий с суммой условных вероятностей, равной 1.
5.4.2.3. Для определения условных
вероятностей Р(B|A),
Р(
|A)
загорания/незагорания газа рекомендуется использовать статистические данные по
относительным частотам загорания/незагорания газа при разрыве МГ, зависящим,
как правило, от условного диаметра МГ. В графах 2 и 3 таблицы № 5.7 приведены рекомендуемые базовые
значения статистических условных вероятностей загорания/незагорания газа.

Рисунок 5.1. Упрощенное дерево событий
для идентификации сценариев аварий на МГ
(здесь Р(…|…) - условные вероятности реализации событий,
указанных в блоках дерева
(значения вероятностей приведены для МГ с Dу
1400 мм)
Вероятностные характеристики аварий на МГ
|
Dy, мм |
Условная вероятность P(B|A) загорания газа |
Условная
вероятность P( |
Условные вероятности реализации групп С1, С2, С3, С4 сценариев аварий |
|||
|
С1 - "Пожар в котловане" ("Пожар колонного типа") Р(C1|AB) |
С2 - "Струевое пламя" Р(C2|AB) |
С3 - "Рассеивание низкоскоростного шлейфа газа" Р(C3|A |
С4 - "Рассеивание
2-х струй газа" Р(C4|A |
|||
|
1 |
2 |
3 |
4 |
5 |
6 |
7 |
|
1400 |
0,72 |
0,28 |
0,2 |
0,8 |
0,2 |
0,8 |
|
1200 |
0,74 |
0,26 |
0,3 |
0,7 |
0,3 |
0,7 |
|
1000 |
0,6 |
0,4 |
0,4 |
0,6 |
0,4 |
0,6 |
|
700 |
0,5 |
0,5 |
0,5 |
0,5 |
0,5 |
0,5 |
|
500 |
0,3 |
0,7 |
0,7 |
0,3 |
0,7 |
0,3 |
|
300 и менее |
0,1 |
0,9 |
0,95 |
0,05 |
0,95 |
0,05 |
Указанные базовые значения вероятностей Р(B|A) и Р(
|A)
загорания/незагорания газа рекомендуется корректировать с помощью коэффициента kзаг, зависящего от имеющего место на данном
ПОУ конкретного типа грунта, количества каменистых включений в нем, способных
при соударении в потоке газа воспламенить газ
|
Р′(B|A) = kзаг·Р(B|A), |
(5.4) |
|
Р′( |
(5.5) |
где kзаг = 1,3 - для грунтов с каменистыми включениями;
kзаг = 1,2 - для глин;
kзаг = 1,0 - для суглинков;
kзаг = 0,7 - для торфяников, льдистых структур, песков.
В таблице № 5.7 (в графах 4, 5, 6, 7) также приведены полученные экспертным путем рекомендуемые базовые значения условных вероятностей реализации групп сценариев C1, С2, С3, С4 для МГ разных диаметров. Указанные базовые значения корректируются с помощью коэффициента kгр, зависящего от имеющей место на данном ПОУ степени связности или несущей способности грунта, и определяются по формулам
|
Р′(C1|AB) = kгр·Р(C1|AB), |
(5.6) |
|
Р′(C2|AB) = 1 - kгр·Р(C1|AB), |
(5.7) |
|
Р′(C3|A |
(5.8) |
|
Р′(C4|A |
(5.9) |
где kгр
= 1,3 - для грунтов с высокой связностью (глины, скальные грунты). Если при
домножении на kгр значение Р′(C1|AB) или Р′(C3|A
) превышает 1, то оно принимается
равным 1.
kгр = 1,0 - для грунтов со средней связностью (суглинки);
kгр = 0,7 - для грунтов с низкой связностью (торфяники).
Условные вероятности Р(Cij|ABCi) и Р(Cij|A
Ci)
реализации конкретных расчетных сценариев внутри каждой группы рекомендуется
определять с помощью статистических данных по относительной частоте реализации
различных возможных значений задающих факторов (например, из числа
перечисленных в таблице № 5.5),
участвующих в формировании набора сценариев. Например, условная вероятность Р(C12|ABCi)
реализации сценария C12 (таблица № 5.6) при условии, что реализовался пожар
в котловане (С1), определяется как повторяемость скорости
ветра в требуемом диапазоне скоростей (например, 8 - 12 м/c) с указанным
направлением, получаемая из метеоданных.
Пример расчета условной вероятности реализации сценария С12 (рисунок 5.2)
|
P(C12|A) = P(B|A) · Р(C1|AB) · P(C12|ABC1) = 0,72 · 0,2 · 0,3 = 0,0432, |
(5.10) |
5.4.2.4. Абсолютная частота реализации расчетного сценария Cij на n-ом участке МГ длиной Ln определяется по формуле
|
fn(ij) = λn · Ln · P(Cij|A) / 1000, |
(5.11) |
где λn - ожидаемая удельная частота аварий на n-ом участке, аварий / (1000 км·год);
Ln - длина n-го ПОУ, км;
P(Cij|A) - условная вероятность реализации сценария Cij, при условии, что на n-ом участке МГ произошел разрыв трубы с выбросом газа.
5.4.2.5. Применительно к подводным переходам МГ общий алгоритм расчета условных вероятностей реализации расчетных сценариев аварии соответствует изложенному в пунктах 5.6.1 - 5.6.4, однако имеются особенности определения условной вероятности загорания газа P(B|A), которая зависит от конструкции и технологии выполнения дюкера, а также от глубины водоема в месте возникновения разрыва МГ.
Для подводных переходов, выполненных традиционным методом прокладки трубы в траншее по дну водоема, при рассмотрении аварий на береговых, в т.ч. пойменных, участках, а также на подводных участках в русловой части водоема на глубинах менее 5 м вероятность загорания газа P(B|A) определяется в полном соответствии с пунктом 5.6.3.
Для подводных переходов, выполненных традиционным методом прокладки трубы в траншее по дну водоема, при рассмотрении аварий на подводных участках в русловой части водоема на глубинах больше 5 м вероятность загорания газа P(B|A) определяется вероятностью Pвнш загорания только от внешних источников зажигания (источников искрообразования и открытого огня на судах, лодках и т.д) и вычисляется по формуле
|
|
(5.12) |
где
- вероятность наличия (попадания) i-го
внешнего источника зажигания в зоне (у) загазованности, ограниченную изолинией
концентрации, соответствующей НКПР метана (5 % об.);
- вероятность "срабатывания"
i-го внешнего источника зажигания;
I - количество потенциальных источников зажигания.
Вероятности
в основном определяются интенсивностью
и маршрутами движения судов в районе подводного перехода и размерами зоны
загазованности.
Для подводных переходов, выполненных методом горизонтально-направленного бурения с конструкцией "труба в трубе", вероятность P(B|A) загорания газа, истекающего в атмосферу в виде высокоскоростных струй из концов кожуха, определяется в соответствии с пунктом 5.4.2.3, как для сухопутного участка газопровода.
5.5.1. Расчет интенсивности и объемов выбросов природного газа при разрыве магистральных газопроводов
5.5.1.1. На данном подэтапе КолАР необходимо для каждого расчетного сценария Cij аварии определяются:
зависимости интенсивностей истечения газа в окружающую среду от времени из обоих концов разрушенного газопровода;
продолжительность истечения и объем (массу) выброшенного газа;
количество газа, участвующего в аварии;
количество газа, участвующего в создании поражающих факторов аварии.
5.5.1.2. При расчете интенсивности G(τ) нестационарного истечения газа при разрыве МГ рассматриваются отдельно аварийные потоки газа с интенсивностями G1(τ) и G2(τ) из двух концов разрушенного газопровода, разделенного разрывом на два аварийных участка: верхний и нижний (относительно точки разрыва МГ по доаварийному потоку газа: верхний - от нагнетающей КС до точки разрыва, нижний - от точки разрыва до принимающей КС).
При этом учитываются внутренний диаметр МГ, фактическое доаварийное давление газа в МГ в точке разрыва, местоположение точки разрыва и время, требуемое для закрытия линейных кранов, предназначенных для отсечения аварийных участков МГ либо автоматически (минимальное время отсечения), либо с помощью средств дистанционного управления (время отсечения зависит от алгоритма идентификации факта аварии и реакции диспетчера), либо с участием персонала ЛЭС вручную по месту расположения кранов (время отсечения в основном определяется временем доставки персонала к площадкам крановых узлов транспортным средством).
5.5.1.3. При расчете объема выброшенного при разрыве МГ газа Vгаз дополнительно к перечисленным выше параметрам учитывается продолжительность идентификации факта аварии на диспетчерских пунктах КС вверх и вниз по потоку и конкретная технологическая схема обвязки параллельных ниток многониточного МГ.
5.5.1.4. При определении количества природного газа, участвующего в аварии, Mав, учитывается вся масса газа, заключенная между сечениями МГ, которых достигла волна разгрузки по давлению, распространяющаяся от точки разрыва. Эта масса складывается из массы газа, находящегося на аварийном перегоне между КС, и массы газа, находящейся в системе МГ выше нагнетающей КС (на перегоне от нее до предыдущей КС).
5.5.1.5. Массы природного газа, участвующие в создании поражающих факторов аварии Мпф, зависят от вида поражающего фактора.
Количество природного газа, участвующее в формировании зон осколочного воздействия Мпф-оск определяется массой газа, заключенной в пределах длины разрушенного участка МГ (таблица № 5.9, где приведены рекомендуемые расчетные значения длины разрывов МГ разных диаметров). Количество природного газа Мпф-б, участвующее в формировании зон барического воздействия (ВУВ и напора струи), определяется массой газа, истекающей за характерное время существования поражающего фактора.
Количество газа, участвующее в создании тепловой радиации пожара Мпф-т, в каждый данный момент времени определяется массой горящего газа. При практических применениях КолАР в качестве Мпф-т рекомендуется указывать не фиксированную массу газа, выброшенную из МГ за все время горения, а суммарную (из двух концов разрушенного МГ) интенсивность аварийного истечения горящего газа G(τ) на характерный момент времени истечения согласно пункту 5.5.2.6.4 и данным таблицы № 5.10.
5.5.1.6. Последовательность выполнения данного этапа КолАР:
а) определяются в пределах рассматриваемого n-го ПОУ точки xn(m) (m = 1, 2 ... М) - середины элементарных отрезков, в которых будет моделироваться разрыв газопровода;
б) определяются для каждой точки xn(m):
расстояние L1 от нагнетающей КС;
фактическое давление P0 до аварии в предположении, что на выходе нагнетающей КС давление проектное;
расстояния l1 и l2 до ближайших линейных кранов Л1 и Л2, расположенных соответственно вверх и вниз по потоку от места разрыва;
в) задается значения времени τ21, τ19, τл1, τл2 от момента разрыва МГ до моментов закрытия соответственно охранного крана № 21 на выходе нагнетающей КС, охранного крана № 19 на входе принимающей КС, ближайших к xn(m) линейных кранов Л1 и Л2 (в соответствии с описанием расчетных сценариев Cij);
г) с использованием приложения № 7 к настоящему Руководству выбираются модели расчета интенсивности аварийного истечения, и объемов выброса газа с учетом цели КолАР и связанной с ней требуемой точности расчетов;
д) с использованием выбранной модели истечения рассчитываются зависимости интенсивностей истечения (массовых расходов) от времени из обоих концов разрушенного газопровода в отдельности G1(τ), G2(τ) и суммарный расход G(τ), объем Vгаз выброшенного газа и продолжительность τист истечения для выбранных выше значений τ21, τ19, τл1, τл2 (т.е. для различных сценариев Cij);
е) определяется масса газа Мав, участвующая в аварии на МГ;
ж) определяются массы газа Мпф-ввс и Мпф-оск, участвующие в создании барического и осколочного поражающих факторов аварии с учетом длины разрыва МГ;
з) оценивается влияние исходных данных на результаты расчета G1(τ), G2(τ), G(τ), Vгаз, Мав, Мпф.
Результатом выполнения данного этапа КолАР являются массивы значений G1(τ), G2(τ), G(τ), Vгаз, Мав, Мпф для каждой точки xn(m) в пределах каждого n-го ПОУ.
5.5.1.7. При рассмотрении в рамках проведения КолАР аварийных разрывов МГ на ПОУ, включающих подземные переходы газопровода через автомобильные или железные дороги, расчет интенсивности истечения и объема выброшенного газа рекомендуется (для получения консервативной оценки указанных параметров) проводить без учета конкретной конструкции перехода (которая может включать, например, защитный кожух, бетонные плиты), полагая, что место разрыва находится на границе перехода, где газопровод не заключен в кожух.
5.5.1.8. При рассмотрении аварий на подводных переходах МГ, выполненных традиционным методом прокладки трубы в траншею по дну водоема, расчет интенсивности истечения и объемов выброшенного газа выполняется как изложено в пункте 5.5.1.6 для сухопутных участков, т.е. допускается пренебречь влиянием изменения гидростатического давления в месте разрыва МГ в русловой части перехода.
При рассмотрении аварий на подводных переходах МГ, выполненных методом горизонтально-направленного бурения с конструкцией "труба в трубе", влияние внешнего кожуха на истечение газа (с точки зрения гидравлического сопротивления) при разрыве газопровода допускается не учитывать. Расчет интенсивности истечения и объема выброшенного газа выполняется как изложено в пункте 5.5.1.6 для сухопутных участков.
5.5.2. Расчет распространения поражающих факторов аварии на линейную часть магистральных газопроводов
5.5.2.1. На данном подэтапе КолАР для каждого расчетного сценария Cij аварии определяется распределение в пространстве основных физических характеристик (размеров зон воздействия) следующих поражающих факторов аварии на МГ:
осколков разрушенного МГ (пункт 5.5.2.2 и приложение № 8 настоящего Руководства);
ВВС и ВУВ (пункт 5.5.2.3 настоящего Руководства);
динамического давления высокоскоростных струй газа (см. пункт 5.5.2.4 настоящего Руководства);
загазованности (пункт 5.5.2.5 и приложение № 9 настоящего Руководства);
тепловой радиации от пожара (в т.ч. прямого воздействия пламени) (пункт 5.5.2.6 и приложение № 10 настоящего Руководства).
5.5.2.2. Разлет осколков.
5.5.2.2.1. При расчете пространственных распределений характеристик разлета осколков при разрыве МГ важным элементом исходных данных является характерная длина разрыва газопровода. Рекомендуются приведенные в таблице № 5.8 характерные значения длин разрывов МГ, полученные по результатам анализа статистических данных об авариях на МГ в предположении, что в 90 % аварийных разрывов МГ данного диаметра длина разрыва не превысит указанное значение.
Рекомендуемые для использования характерные значения длин разрывов (Lразр) для МГ разных диаметров (Dу)
|
Dу |
1400 |
1200 |
1000 |
800 |
700 |
500 |
400 |
300 |
200 |
150 |
|
Lразр, м |
50 |
70 |
54 |
25 |
39 |
16 |
13 |
10 |
6,6 |
5 |
5.5.2.2.2. При разрыве подземного МГ количество образующихся осколков трубы, их форма и направление полета являются величинами случайными. В рамках проведения КолАР МГ принято, что направления движения осколков равновероятны, рассеивание осколков по площади зависит только от расстояния от места разрыва МГ, а зона соответствующего воздействия на поверхности земли имеет форму круга.
Размеры зоны осколочного воздействия (зоны разлета осколков) определяются максимальной дальностью ΔRmax полета осколков, зависящей от начальных скоростей, сообщаемых фрагментам трубы при разрыве МГ, и (значительно) от характера разрушения оболочки трубы (вязкого или хрупкого). Оценки размеров зон проводятся либо на основе статистических данных, либо путем расчета максимальных значений ΔRmax радиуса разлета осколков массой mоск.
5.5.2.2.3. Применяемые методы расчета расчеты дальности ΔRmax разлета осколков трубы базируются на предположении, что часть потенциальной энергии сжатого газа расходуется на фрагментацию оболочки трубы и слоя грунта и приобретение осколками начальной скорости. В дальнейшем рассчитывается динамика движения этих фрагментов в воздухе и определяются размеры зон (на поверхности земли) их разлета.
Последовательность расчета размеров зон разлета осколков трубы при разрыве МГ следующая:
а) определить для каждой точки xn(m) (см. пункт 5.5.1 настоящего Руководства) рассматриваемого n-го ПОУ:
расстояние L1 от нагнетающей КС;
фактическое давление Р0 до аварии в предположении, что на выходе принимающей КС давление проектное;
б) задать длину разрыва Lразр (м) МГ с использованием таблицы № 5.9 настоящего Руководства;
в) задать общее количество nоск образующихся при разрушении МГ одинаковых осколков;
г) определить массу mоск (кг) осколков исходя из того, что осколочная масса образуется на участке длиной 0,5 Lразр;
д) в окрестностях каждой точки xn(m) рассчитать максимальные дальности разлета осколков трубы массой mоск с использованием математической модели, изложенной в приложении № 8 настоящего Руководства. Результатами расчета являются массивы значений ΔRmax - радиусы круговых зон разлета осколков трубы с массами mоск на поверхности земли в окрестностях каждой точки xn(m) в пределах каждого n-го ПОУ.
5.5.2.3. Воздушная ударная волна и волна сжатия при разрыве МГ.
5.5.2.3.1. ВУВ возникает при разрыве МГ, как следствие расширения транспортируемого под высоким давлением природного газа (физический взрыв). Далее с определенной задержкой может произойти воспламенение газа - уже вне полости газопровода при смешении газа с воздухом до определенных концентраций (5 - 15 % об.) и одновременном появлении источника зажигания с необходимым энергетическим потенциалом. При сгорании газа в дефлаграционном режиме в окружающем пространстве генерируются ВВС. Возникающие при этом барические эффекты от ВВС на открытом пространстве настолько незначительны по сравнению с эффектами от расширения сжатого газа, то есть ВУВ, и тепловым воздействием пожара, что ими можно пренебречь.
5.5.2.3.2. Нелинейные волновые процессы в грунте (как упругом теле), возникающие при разрушении газопровода, затухают на расстояниях в несколько метров и не оказывают воздействия на параллельно уложенные нитки МГ.
5.5.2.3.3. Последовательность расчета распределения избыточного давления ВУВ физического взрыва в окружающей среде при разрыве МГ:
а) определяются для каждой точки xn(m) (пункт 5.5.1) рассматриваемого n-го ПОУ:
расстояние L1 от нагнетающей КС;
фактическое давление P0 до аварии в предположении, что на выходе принимающей КС давление равно проектному Pраб;
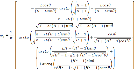
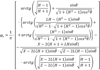
б) в окрестностях каждой точки xn(m) рассчитываются распределение избыточного давления ВУВ ΔPф и импульса I методами численного моделирования, в том числе изложенными в Руководстве по безопасности "Методика оценки последствий аварий на взрывопожароопасных химических производствах", утвержденном приказом Ростехнадзора от 20 апреля 2015 г. № 160.
Результатами расчета являются массивы значений ΔPф(x,y) и импульса I(x,y), отражающие территориальные распределения избыточного давления и импульса ВУВ вокруг каждой точки разрыва xn(m).
5.5.2.4. Динамическое давление высокоскоростных струй газа.
5.5.2.4.1. В случае гильотинного разрыва наземного или надземного МГ, а также подземного МГ с вырыванием плетей газопровода, истечение сжатого газа из концов трубы происходит в виде высокоскоростных струй. Распространение в пространстве высокоскоростных струй газа инициирует образование областей направленных газовых потоков. При взаимодействии с препятствиями, в качестве которых могут фигурировать люди, здания и сооружения, иные объекты инфраструктуры, потоки оказывают на них напорное воздействие.
5.5.2.4.2. Последовательность расчета распределения динамического давления в окружающей среде при разрыве МГ с образованием высокоскоростных струй газа:
а) определяются для каждой точки xn(m) рассматриваемого n-го ПОУ:
расстояние L1 от нагнетающей КС;
фактическое давление P0 до аварии в предположении, что на выходе принимающей КС давление равно проектному Pраб;
б) в окрестностях каждой точки xn(m) методами вычислительной гидродинамики рассчитывается распределение динамического давления струи ΔP.
5.5.2.5. Зоны загазованности при авариях на ЛЧ МГ
5.5.2.5.1. Если в момент разгерметизации МГ газ не воспламеняется (сценарии групп C3, С4), возникает необходимость анализа процессов его рассеяния (дисперсии) в атмосфере для определения размеров зон загазованности.
Размеры зоны загазованности (с учетом того, что метан не обладает выраженным токсическим действием) рекомендуется определять по двум концентрационным пределам метана:
30 % об. - определяет границу зоны асфиксионной опасности, в пределах которой в результате снижения концентрации кислорода в воздухе нарушаются обменные процессы в организме человека и животных и происходит удушье;
2,5 % об. (НКПР/2) - определяет границу зоны потенциального термического воздействия на реципиентов в случае так называемого "позднего поджигания" облака ГВС.
Зона асфиксионного воздействия намного меньше указанной зоны потенциального теплового воздействия и полностью поглощается последней.
5.5.2.5.2. При расчете указанных зон учитывается тот факт, что сценарий сгорания облака ГВС в результате "позднего поджигания" не входит в число расчетных сценариев аварий на МГ в рамках настоящего Руководства, поскольку предполагается, что в конечном итоге по своим последствиям, связанным с воздействием основного поражающего фактора - тепловой радиации, он сводится к сценариям групп C1 или C2. То есть в рамках КолАР принято, что сценарий задержанного воспламенения облака ГВС замещается сценариями групп C1 или C2.
5.5.2.5.3. При расчете дисперсии газа в атмосфере рекомендуется рассматривать два предельных режима формирования опасных зон загазованности, соответствующих группам сценариев C3 и C4 (подраздел 5.3 настоящего Руководства):
а) в виде двух невзаимодействующих наклонных или настильных струй (группа сценариев C4);
б) в виде восходящего вверх интегрального течения (низкоскоростного колонного шлейфа) из грунтового котлована (группа сценариев C3) (рисунок 5.2).
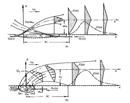
Рисунок 5.2. Варианты выброса газа при разрушении МГ без возгорания:
а) выорос в виде 2-х независимых струй из концов
разрушенного газопровода;
б) выброс в виде интегрального шлейфа из образовавшегося "котлована"
5.5.2.5.4. Оценка размеров зон возможных пожаровзрывоопасных концентраций газа при струевом выбросе (группа сценариев C4) проводится исходя из консервативных соображений (размеры струй рассчитываются при нулевой скорости ветра).
Последовательность расчета зоны загазованности от 2-х струй при разрыве МГ:
а) определить для каждой точки xn(m) исследуемого n-го ПОУ на трассе МГ, рассматриваемой в качестве источника аварийного истечения газа (пункт 5.5.1 настоящего Руководства):
расстояние L1 от нагнетающей КС;
фактическое давление P0 до аварии в предположении, что на выходе нагнетающей КС давление равно проектному Pраб;
б) с помощью математической модели, изложенной в приложении № 9 настоящего Руководства, в окрестностях каждой точки xn(m) рассчитываются распределения концентрации (С) и скорости (u) газа в струевых потоках.
5.5.2.5.5. Расчет более сложного процесса распространения низкоскоростного интегрального турбулентного шлейфа газа из котлована в условиях действия сносящего ветрового потока (группа сценариев С3), а также расчет процесса распространения двух невзаимодействующих наклонных или настильных струй (группа сценариев C4) для снижения консервативности оценок может проводиться с помощью методов, рекомендуемых в Руководстве по безопасности "Методика оценки последствий аварий на взрывопожароопасных химических производствах", утвержденном приказом Ростехнадзора от 20 апреля 2015 г. № 160.
5.5.2.6. Тепловая радиация от пожара на ЛЧ МГ.
5.5.2.6.1. Характер горения газа при авариях на газопроводах и масштабы теплового воздействия пожара на окружающую среду (пространственное распределение тепловых потоков q(x,y,z) в общем случае зависят от конкретного сочетания следующих факторов:
диаметра МГ, размера отверстия истечения (трещины) в трубе (диаметр отверстия истечения при авариях на МГ принимается равным внутреннему диаметру МГ), места разрыва на перегоне между КС, фактического давления в месте разрыва;
характерного размера (эффективного диаметра) грунтового котлована; характеристик массива грунта; взаимного положения осей концов разрушенного участка газопровода.
Факторы первой группы определяют интенсивность и динамику выброса газа из участков газопровода вверх и вниз по потоку от места разрыва и, в конечном итоге, мощность теплового излучения от пламени пожара, а факторы второй группы - интегральное газодинамическое поле при взаимодействии высокоскоростных струй газа и конечное положение фронта пламени в пространстве (геометрическую форму пламени) и времени.
5.5.2.6.2. Для оценочных расчетов тепловых потоков q от пожара на МГ все многообразие реально возможных вариантов горения и геометрических форм пламени, обусловленных несимметричным (в общем случае) газодинамическим взаимодействием звуковых струй газа, неопределенностью положения концов разрушенного МГ и конфигураций грунтового котлована может быть сведено к двум основным вариантам, описанным выше как сценарии группы C1 "Пожар в котловане" и сценарии группы C2 "Струевое пламя". При этом пламя моделируется как поверхностный тепловой излучатель в форме цилиндра (для группы C1) или лежачего полуцилиндра (для группы C2).
5.5.2.6.3. Частным случаем сценариев группы C2 являются сценарии с одной горящей струей, рассматриваемые при значительном различии массовых расходов, истекающих из 2-х концов разрушенного МГ (например, при авариях в начале или конце перегона между КС).
5.5.2.6.4. С целью снижения повышенной трудоемкости проведения расчетов q(x,y) и зависящих от q(x,y) показателей риска, связанной c нестационарностью процесса истечения газа G(τ) и, следовательно, изменением во времени размеров пламени и теплового потока, рекомендуется расчеты q(x,y) проводить для постоянного (фиксированного) значения интенсивности истечения G(τрек), соответствующего рекомендуемому моменту времени τрек (отсчет времени - от момента разрыва МГ), зависящему от диаметра МГ - таблицу № 5.9.
Указанные значения τрек и рассчитанные по ним значения q(x,y,τрек) рекомендуется применять при расчетах теплового воздействия, прежде всего, на людей с учетом принятого положения (подтверждаемого статистикой и результатами соответствующих научных исследований) о том, что тяжелые тепловые поражения людей (вплоть до летального исхода), находящихся вблизи пожара на МГ (в т.ч. убегающих от пожара), имеют место в пределах первых минут после возникновения пожара.
Значения τрек для перехода на модель пламени со "стационарными" параметрами при расчете теплового поражения людей
|
Условный диаметр МГ, мм |
1400 |
1200 |
1000 |
800 |
700 |
500 |
400 |
300 |
200 |
150 - 100 |
|
τрек, с |
60 |
60 |
60 |
45 |
45 |
30 |
30 |
30 |
30 |
30 |
5.5.2.6.5. При расчетах q(x,y), нацеленных на оценку последствий теплового воздействия на технологическое оборудование, здания, сооружения и компоненты природной среды, рекомендуется использовать значение характерного времени, равное 90 секундам, при условии общей продолжительности теплового воздействия не более 15 минут. В ином случае (более 15 минут) рассчитывается переменная во времени зависимость q(х,у,τ) (по полученной ранее зависимости G(τ)) в точке расположения рассматриваемого элемента оборудования, здания или компонента природной среды с дальнейшим расчетом тепловой дозы при заданном времени воздействия с целью оценки последствий (степени разрушения или поражения) указанных объектов (таблица № 5.10).
5.5.2.6.6. Расчет радиационного теплового воздействия (тепловых потоков q(x,y) пожара на МГ на прилегающие объекты (на реципиентов термического воздействия) рекомендуется проводить по следующей формуле
|
q(x,y) = Ef · φ(x,y) · v, |
(5.13) |
где Ef - интенсивность излучения с единицы поверхности ("внешней оболочки") пламени, кВт/м2;
φ(x,y) - угловой коэффициент облучения единичной площадки;
v - коэффициент поглощения теплового излучения атмосферой.
При этом последовательность расчета распределения тепловых потоков q(х,у,τ) следующая:
а) для каждой точки xn(m) n-го ПОУ исследуемого МГ последовательно рассматриваются сценарии 2-х групп: сначала C1 - "Пожар в котловане", затем С2 - "Струевое пламя" (для надземных участков МГ рассматриваются только сценарии группы C2). При этом на первом шаге по рассчитанным в пункте 5.5.1 настоящего Руководства зависимостям G(τ) (для сценариев группы C1) или G1(τ), G2(τ) (для сценариев группы C2) определяются фиксированные значения интенсивностей истечения G(τрек) или соответственно Gl(τрек), G2(τрек).
б) принимается, что для сценариев группы C1 геометрической формой пламени является цилиндр (вертикальный или наклонный), а для сценариев группы C2 - наклонный усеченный конус или лежачий горизонтальный полуцилиндр (последний - для настильных струй).
в) с помощью математических моделей, приведенных в приложении № 10 настоящего Руководства, определяются размеры пламени (стационарные или переменные во времени - в зависимости от вида реципиентов и конкретного сценария при рассмотрении воздействия на оборудование, здания, природную среду):
для сценариев группы C1 - по модели расчета размеров пламени пожара в котловане (пункт 4 приложения № 10 настоящего Руководства);
для сценариев группы C2 - по модели расчета размеров струевого пламени (пункт 5 приложения № 10 настоящего Руководства);
г) с помощью математической модели расчета тепловых потоков излучения от газовых пожаров, приведенной в приложении № 10 настоящего Руководства, определяются распределения тепловых потоков q(x,y) вокруг мест разрыва МГ (точек xn(m)) на уровне поверхности земли. При этом расчет значений углового коэффициента облучения рекомендуется проводить:
для сценариев группы C1 - по формулам (9) - (11) приложения № 10 настоящего Руководства;
для сценариев группы C2 - по формуле (6) приложения № 10 настоящего Руководства путем численного интегрирования - для пламени в виде наклонного усеченного конуса или по формулам (18), (19) приложения № 10 настоящего Руководства - для пламени в виде горизонтального полуцилиндра.
5.5.2.6.7. Для подводных переходов МГ, выполненных традиционным методом прокладки трубы в траншею по дну водоема, при рассмотрении аварий на береговых, в т.ч. пойменных, участках, а также на подводных участках в русловой части водоема на глубинах менее 5 м расчет распространения поражающих факторов выполняется как изложено в пункте 5.5.2.6.6 настоящего Руководства для сухопутных участков.
Для подводных переходов, выполненных методом горизонтально-направленного бурения с конструкцией "труба в трубе", расчет распространения поражающих факторов выполняется как изложено в пункте 5.5.2.6.6 настоящего Руководства для сухопутных участков.
5.5.3. Расчет количества пострадавших от аварии на линейной части магистрального газопровода
5.5.3.1. На данном подэтапе КолАР для каждого расчетного сценария Cij аварии определяются:
зоны потенциального поражения (ЗПП) (не путать с зонами воздействия поражающих факторов - пункт 5.5.2) людей от расчетных поражающих факторов, перечисленных в пункте 5.5.2.1;
ожидаемые количества погибших и пострадавших среди населения (включая проживающих в ближайших к МГ населенных пунктах, посетителей мест массового скопления людей, персонал сторонних организаций, водителей и пассажиров транспортных средств на переходах через автомобильные и железные дороги, а также через судоходные водные преграды, сельскохозяйственных работников на сельхозугодьях) в зоне потенциального поражения от превалирующего ("поглощающего" остальные факторы) поражающего фактора;
ожидаемые количества погибших и пострадавших среди персонала эксплуатирующей организации в зоне потенциального поражения от превалирующего поражающего фактора.
В рамках данного подэтапа (в заключительной его части) также определяется максимально возможное количество потерпевших от аварии на ЛЧ МГ в соответствии с Руководством по безопасности "Методические основы по проведению анализа опасностей и оценки риска аварий на опасных производственных объектах", утвержденным приказом Ростехнадзора от 11 апреля 2016 г. № 144.
5.5.3.2. В качестве единого уровня поражения человека (единого критерия поражения) от любых поражающих факторов аварии на МГ при расчетах зон потенциального поражения принимается летальный исход (гибель человека).
5.5.3.3. Зоны потенциального поражения рекомендуется представлять в виде распределений на поверхности земли вокруг точки разрыва МГ условных вероятностей поражения (от того или иного поражающего фактора) гипотетического человека со среднестатистическими возрастными и биологическими характеристиками. При нахождении человека в транспортном средстве в расчётах учитывается скорость движения транспортного средства.
5.5.3.4. Принцип расчета условных вероятностей поражения человека зависит от вида поражающего фактора аварии, воздействующего на человека и осуществляется с использованием специальных критериев поражения: вероятностных (пробит-функций), либо при отсутствии таковых - детерминированных критериев поражения. Рекомендуется использовать критерии поражения, представленные в приложении № 11 настоящего Руководства.
5.5.3.5. При рассмотрении воздействия таких поражающих факторов как ВВС и тепловая радиация на людей условная вероятность гибели человека в заданной точке территории определяется из выражения функции нормального распределения, аргументом которой является пробит-функция для соответствующего поражающего фактора.
5.5.3.6. Условная вероятность
поражения человека осколками
разрушенного МГ в точке территории Е с координатами (х,у)
отождествляется с вероятностью попадания осколка в человека (при этом
считается, что человек погибает). При расчете тело человека моделируется
вертикально расположенным цилиндром высотой 1,8 метра и радиусом основания 0,3
метра. Вероятность попадания в человека одного из nоск
осколков, вылетевших от места разрыва МГ (для подземных МГ - из грунтового
котлована) при ΔR ≤
Rmax (пункт 5.5.2.2), рассчитывается в соответствии с приложением
№ 8 настоящего Руководства:
5.5.3.7. Зоны потенциального поражения от того или иного поражающего фактора рекомендуется изображать на плане местности в виде изолиний условной вероятности поражения с шагом 10 % (от 1 % до 100 %). При этом изолинию условной вероятности 100 % следует считать внешней границей зоны абсолютного (100 %)-го поражения от данного поражающего фактора, а изолинию условной вероятности 1 % - внешней границей зоны санитарных потерь и внешней границей ЗПП в целом.
5.5.3.8. Рекомендуемая последовательность расчета зон потенциального поражения и количества пострадавших при реализации конкретного сценария Cij аварии на МГ.
5.5.3.8.1. Если рассматриваемый сценарий Cij относится к группе C1 или C2 (с возгоранием газа), то для целей расчета количества пострадавших рассчитывается ЗПП только от тепловой радиации; если сценарий Cij относится к группе C3 или C4 (без возгорания газа), то для тех же целей рассчитываются ЗПП только от напорного воздействия струи, ВУВ и разлета осколков.
5.5.3.8.2. Исходными данными для расчета ЗПП являются рассчитанные на предыдущем этапе КолАР территориальные распределения U(x,y) (стационарные или нестационарные) физических характеристик поражающих факторов, соответствующих рассматриваемому сценарию (избыточного давления на фронте ВВС ΔPф(х,у), динамического давления массовых потоков газа ΔP(х,у), тепловых потоков q(x,y), дальности rmax разлета осколков массой mоск).
5.5.3.8.3. Расчет ЗПП от воздействия ВУВ, напорного воздействия или тепловой радиации проводится в следующей последовательности:
в соответствии с пунктом 5.5.3.4 (раздел 1 приложения № 11 настоящего Руководства) выбирается пробит-функция, описывающая воздействие соответствующего поражающего фактора на человека при целевом уровне поражения, соответствующем летальному исходу (гибели человека);
для каждой точки (узла) Е расчетной сетки в окрестностях точки разрыва МГ (в плоскости поверхности земли) рассчитывается значение пробит-функции;
по значениям пробит-функции для всех точек сетки рассчитываются условные вероятности поражения от данного поражающего фактора, и на плане территории, близлежащей к трассе МГ, строятся изолинии условных вероятностей поражения вокруг точки разрыва МГ.
5.5.3.8.4. Для расчета ЗПП от разлета осколков разрушенного МГ:
задается расчетное количество поск одинаковых по размеру вылетевших за пределы котлована осколков массой mоск;
для каждой точки Е расчетной сетки, характеризующейся
расстоянием r от места разрыва МГ (ΔR ≤ ΔRmax, где - ΔRmax максимальная дальность
разлета осколков массой mоск),
рассчитывается вероятность
попадания осколка в человека, условно
помещаемого в указанную точку, по математической модели, изложенной в
приложении № 8, в
зависимости от выбранного значения nоск.
По полученным значениям
строятся
изолинии вероятностей поражения в окрестностях точки разрыва МГ.
5.5.3.8.5. После расчета ЗИП от каждого из поражающих факторов рассматриваемого сценария аварии из групп C3, C4 (без возгорания газа) определяется превалирующая по размерам зона путем сопоставления изолиний 1 % поражения от ВУВ, напорного воздействия струи и от разлета осколков. Для сценариев с загоранием газа (из групп C1, C2) превалирующей всегда является ЗПП от тепловой радиации от пожара.
5.5.3.8.6. Для каждого рассматриваемого сценария производится расчет количества пострадавших от аварии, которое определяется числом людей, оказавшихся в превалирующей ЗИП для данного сценария, в соответствии с Руководством по безопасности "Методические основы по проведению анализа опасностей и оценки риска аварий на опасных производственных объектах", утвержденным приказом Ростехнадзора от 11 апреля 2016 г. № 144, или в соответствии с отраслевой методикой.
5.5.3.9. Метод расчета количества пострадавших от аварии на подводном переходе МГ зависит от технологии исполнения перехода.
Для подводных переходов, выполненных методом горизонтально-направленного бурения и имеющих конструкцию "труба в трубе", на которых аварийный выброс газа происходит по межтрубному пространству с выходом в атмосферу уже на берегу в месте, где заканчивается кожух, расчет количества пострадавших осуществляется по описанным выше алгоритмам.
Для подводных переходов, выполненных традиционным методом с прокладкой в траншее по дну водоема, количество пострадавших определяется количеством людей на судах (плавсредствах), которые могут оказаться в районе разгерметизации МГ в период навигации (консервативная оценка). Количество пострадавших на судах рекомендуется определять с учетом количества судов, одновременно попадающих в ЗПП, при заданных средней скорости и интенсивности движения судов.
5.5.4. Расчет количеств уничтоженного и поврежденного имущества и компонентов природной среды от аварии на линейной части магистрального газопровода
5.5.4.1. На данном подэтапе КолАР для каждого принятого для анализа расчетного сценария Cij аварии определяются возможные количества (в натуральном выражении) следующих имущественных и природных компонентов (объектов), уничтоженных и поврежденных (но не уничтоженных) в результате аварии на МГ:
зданий и сооружений вблизи трассы МГ;
технологического оборудования линейной части МГ, а также другого оборудования вблизи МГ;
автотранспортных средств и автодорог на пересечениях МГ с автодорогами;
железнодорожного транспорта и железных дорог на пересечениях МГ с железными дорогами;
надземных инженерных коммуникаций, в т.ч. высоковольтных ЛЭП;
лесных угодий;
сельскохозяйственных культур.
Кроме того, для расчета штрафов за загрязнение атмосферы определяются объемы выбросов в атмосферу загрязняющих веществ - природного газа и продуктов его сгорания - при возникновении пожара на МГ.
5.5.4.2. В качестве поражающих факторов аварии, воздействующих на имущественные и природные компоненты (объекты), в общем случае учитываются: разлет осколков, ВУВ, напорное воздействие струи и тепловая радиация. В случае, если авария сопровождается воспламенением газа (группы сценариев C1 и C2), при расчетах количеств уничтоженных и поврежденных объектов учитывается только воздействие тепловой радиации.
5.5.4.3. При оценке воздействия на объекты указанных выше поражающих факторов используются 2 типа пороговых критериев поражающего воздействия - характеристический и дозовый.
Характеристический критерий задается путем указания пороговых (критических) значений основной физической характеристики поражающего фактора, определяющих диапазон изменения этой характеристики, соответствующий той или иной степени повреждения (в соответствии с принятой шкалой степеней повреждения) объекта или его полному уничтожению (разрушению). Характеристические критерии для того или иного поражающего фактора рекомендуется использовать в сочетании с построением зон воздействия поражающих факторов, представляющих собой совокупность изолиний заданных значений (в том числе пороговых значений) основной физической характеристики этого поражающего фактора.
Дозовый критерий задается путем указания диапазона изменения дозы (функции физической характеристики поражающего фактора и времени его воздействия на объект), соответствующего той или иной степени повреждения (в соответствии с принятой шкалой степеней повреждения) объекта или его полному уничтожению (разрушению). Дозовые критерии рекомендуется использовать при рассмотрении воздействия тепловой радиации на объекты из негорючих материалов при реализации аварийных сценариев из групп C1, C2 в сочетании с построением так называемых "зон полученных доз" (ЗПД) для стационарных (неподвижных объектов).
ЗПД представляет собой совокупность изолиний значений (в том числе критических) доз тепловой радиации, рассчитываемых в каждой точке расчетной сетки вокруг места аварии по переменному во времени потоку теплового облучения в этой точке в течение заданного (фиксированного) времени теплового воздействия. Время теплового воздействия (τдоз) определяется продолжительностью аварийного истечения природного газа с интенсивностью G(τ) от момента разрыва МГ (τ = 0) до момента снижения интенсивности истечения до 0,01G (τ = τдоз).
Типы и значения критериев поражающего воздействия для различных поражающих факторов аварии, используемые при расчетах для разных типов имущественных и природных компонентов и принятые шкалы степеней поражения этих компонентов приведены в таблице № 5.10.
5.5.4.4. При использовании как характеристических, так и дозовых критериев поражающего воздействия по результатам расчета для конкретного плана размещения имущественных и природных компонентов (объектов) относительно трассы прохождения МГ должно быть определено количество поврежденных (с данной степенью повреждения) или уничтоженных объектов в результате воздействия каждого поражающего фактора в рамках рассматриваемого сценария аварии, измеряемое числом (шт.) (если объектами являются здания, сооружения, транспортные средства) или площадью (км2) (если объектами являются лесные угодья, сельхозкультуры, почвы, поверхностные экосистемы северных регионов России).
5.5.4.5. Рекомендуемая последовательность определения количества уничтоженных и поврежденных стационарных объектов: зданий, сооружений, наружных установок, металлических конструкций, транспортных средств на стоянке в результате воздействия на них ВУВ или динамического давления струи газа (используется характеристический критерий поражающего воздействия) следующая:
а) на плане местности вокруг рассматриваемой точки xn(m) разрыва МГ с нанесенными изображениями указанных стационарных объектов рассчитывается (пункт 5.5.2) и строится зона барического воздействия в виде изолиний избыточного давления ΔРф и динамического давления ΔР от максимального значения до 0,5 кПа;
б) для каждого потенциально поражаемого объекта (т.е. объекта, попадающего в зону барического воздействия, ограниченную изолинией 0,5 кПа) в той его точке Е (хзд, узд), которая ближе всего к месту разрыва МГ, определяется значение избыточного и (или) динамического давления ΔРф, ΔР (либо по ближайшей изолинии зоны воздействия, либо непосредственно из расчетных массивов ΔРф(х, у) и ΔР);
в) для каждого потенциально поражаемого объекта, производится его идентификация, т.е. отнесение к одному из возможных видов зданий, сооружений, оборудования, транспортных средств, приведенных в таблицах № 1, № 1а, № 5 приложения № 11 к настоящему Руководству;
г) c использованием рассчитанных для каждого объекта значений ΔРф (или ΔР) с помощью тех же таблиц последовательно проверяется следующее условие повреждения объекта (или аналогичное для ΔР)
д)
|
|
(5.14) |
где
,
(k = 1, 2, 3, 4) -
соответственно нижний и верхний пределы избыточного давления, ограничивающие
один из четырех (k-ый) диапазонов давлений, соответствующих 4-м степеням
повреждения (от слабого повреждения до полного разрушения). При выполнении
условия рассматриваемому зданию (сооружению, оборудованию)
"присваивается" соответствующая степень повреждения kповр;
Критерии поражающего воздействия и принятые степени поражения имущественных и природных компонентов (поражаемых объектов)
|
Поражаемые объекты (имущество или компонент природной среды) |
Поражающий фактор |
Тип критерия поражающего воздействия |
Значения критериев поражающего воздействия |
Принятая качественная шкала степеней повреждения |
Количественные значения степени повреждения kповр (отношение стоимости поврежденной части к стоимости объекта) |
|
Здания и сооружения типа зданий, транспортные средства, автодороги (наличие пожарной нагрузки) |
Разлет осколков |
Характеристический критерий - соотношение масс осколка и объекта |
См. подраздел 2.2 приложения № 11 |
Слабое повреждение |
0,1 |
|
Воздушная ударная волна и напорное воздействие струи |
Характеристический критерий - избыточное давление на фронте ВУВ и динамическое давление в струе |
См. подраздел 2.1 приложения № 11 |
Среднее повреждение |
0,4 |
|
|
Тепловая радиация |
Характеристический критерий - критический тепловой поток |
См. подраздел 2.3 приложения № 11 |
Сильное повреждение |
0,7 |
|
|
Полное разрушение (уничтожение) |
1,0 |
||||
|
Наружные установки, металлические конструкции, железные дороги (отсутствие пожарной нагрузки) |
Разлет осколков |
Характеристический критерий - соотношение масс осколка и объекта |
См. подраздел 3.2 приложения № 5 |
Слабое повреждение |
0,1 |
|
Воздушная волна сжатия |
Характеристический критерий - Избыточное давление на фронте ВВС |
См. подраздел 3.1 приложения № 11 |
Среднее повреждение |
0,4 |
|
|
Сильное повреждение |
0,7 |
||||
|
Полное разрушение (уничтожение) |
1,0 |
||||
|
Тепловая радиация |
Дозовый критерий - Тепловая доза |
См. подраздел 3.3 приложения № 11 |
Степень повреждения kповр монотонно увеличивается от 0,1 до 1,0 при увеличении тепловой дозы |
||
|
Лесные угодья |
Тепловая радиация |
Характеристический критерий - Критический тепловой поток |
7 кВт/м2 |
Полное выгорание или повреждение деревьев до степени прекращения роста |
1,0 |
|
Сельхозкультуры |
Тепловая радиация |
Характеристический критерий - Критический тепловой поток |
5 кВт/м2 |
Полное уничтожение (необратимая деградация) |
1,0 |
|
Почвы |
Тепловая радиация |
Характеристический критерий - Критический тепловой поток |
35 кВт/м2 |
Полное уничтожение (необратимая деградация) |
1,0 |
д) Результаты выполнения процедуры для каждого объекта заносятся в таблицу, аналогичную таблице № 5.11.
Таблица № 5.11
Перечень поврежденных зданий, сооружений, оборудования, транспортных средств на стоянке в результате воздействия ВУВ при реализации сценария C34 аварии на n-ом км МГ "А-В", Ду 1400 мм (рекомендуемый образец таблицы)
|
№ |
Название и краткая характеристика здания, сооружения |
Расстояние от места разрыва МГ |
Степень повреждения |
kповр |
|
1 |
5-этажное кирпичное здание ООО "N-ское", в плане 30×12 м |
150 м |
Слабое повреждение |
0,1 |
|
2 |
Садовые одноэтажные деревянные дома (7 шт.) с/т "Восход" |
85 - 95 м |
Среднее повреждение |
0,4 |
|
3 |
2-этажное деревянное строение (склад сельхозинвентаря) |
45 м |
Полное разрушение |
1,0 |
|
4 |
Грузовой автомобиль "ЗИЛ-130" - 1 шт. |
30 м |
Сильное повреждение |
0,7 |
5.5.4.6. Рекомендуемая последовательность определения количеств уничтоженных и поврежденных стационарных объектов: зданий, сооружений, транспортных средств на стоянке в результате воздействия на них осколков разрушенного МГ в целом аналогична описанной выше для ВУВ. При этом используются результаты расчета дальности (rmax) разлета осколков с массами mоск (см. пункт 5.5.2 настоящего Руководства). Для определения степеней осколочного повреждения указанных объектов различных видов при попадании в них осколков следует использовать данные таблицы № 2 приложения № 11 настоящего Руководства, где приведены пороговые значения характеристического критерия - Моск = mоск / mоб (где mоск - масса осколка, кг, mоб - масса потенциально поражаемого объекта, кг), соответствующие 4-м различным степеням повреждения. После вычисления значения Моск и определения соответствующего k-ого диапазона, указанного в таблице № 2 приложения № 11 настоящего Руководства, объекту присваивается соответствующая степень повреждения kповр. К уничтоженным и поврежденным осколками объектам причисляются все объекты, находящиеся в пределах дальности разлета (rmax) осколков с заданными массами (mоск). Для каждого объекта, расположенного на расстоянии r ≤ ΔRmax (м) от места аварии рассчитываются условные вероятности Pоск(r) попадания в него осколка по математической модели, изложенной в приложении № 8 настоящего Руководства.
Результаты расчетов заносятся в таблицу № 5.12.
Перечень поврежденных зданий, сооружений, оборудования, транспортных средств на стоянке в результате воздействия осколков (nоск-л = 3, mоск = 5654 кг) при реализации сценария С34 аварии на n-ом км МГ "А-В", Ду 1400 мм (рекомендуемый образец таблицы)
|
№ |
Название и краткая характеристика здания, сооружения |
Расстояние от места разрыва МГ до объекта, м |
Максимальная дальность разлета осколков, м |
Степень повреждения, kповр |
Вероятность попадания осколков в объект |
|
1 |
Садовый одноэтажный деревянный дом |
95 |
140 |
Полное разрушение kповр = 1,0 |
0,0057 |
|
2 |
2-этажное деревянное строение (склад сельхозинвентаря) |
45 |
140 |
Сильное повреждение kповр = 0,7 |
0,1243 |
|
3 |
Грузовой автомобиль "ЗИЛ-130" - 1 шт. |
30 |
140 |
Полное разрушение, kповр = 1,0 |
0,0382 |
5.5.4.7. При определении количества уничтоженных и поврежденных единиц технологического оборудования, наружных установок осколками принимается, что в случае попадания осколка mоск массой в конкретный аппарат, установку, находящиеся под давлением, они полностью разрушаются (kповр = 1) за счет эффектов, обусловленных разгерметизацией аппарата или установки с последующим выбросом и, как правило, воспламенением содержащихся в них опасных веществ. К уничтоженным осколками наружным установкам причисляются все аппараты и установки, находящиеся в пределах дальности разлета (ΔRmax) осколков с заданными массами (mоск), и далее для этих установок рассчитываются вероятности попадания в них осколков.
5.5.4.8. Рекомендуемая последовательность определения количества уничтоженных и поврежденных зданий, сооружений и транспортных средств на стоянке (т.е. стационарных объектов, включающих горючие элементы и обладающих пожарной нагрузкой) в результате воздействия тепловой радиации от пожара (используется характеристический критерий поражающего воздействия):
а) для территории вокруг рассматриваемой точки xn(m) разрыва МГ с нанесенными изображениями объектов рассчитывается распределение удельного теплового потока облучения от пожара на МГ (пункт 5.5.2) на момент времени τхар = 90 с после начала истечения и строится зона теплового воздействия в виде изолиний тепловых потоков q от максимального значения до 7 кВт/м2;
б) для каждого потенциально поражаемого объекта (т.е. объекта, попадающего в зону теплового воздействия, ограниченную изолинией 7 кВт/м2), в той его точке Е(хзд, узд), которая ближе всего к месту аварии, определяется значение удельного теплового потока qоб, (либо по ближайшей изолинии зоны воздействия, либо непосредственно из расчетного массива q(x,y) - (пункт 5.5.2);
в) для каждого потенциально поражаемого объекта производится его идентификация, т.е. отнесение к одному из 3-х типов зданий, сооружений, транспортных средств, различающихся по пожарной нагрузке, по таблице № 3 приложения № 11 настоящего Руководства.
г) для каждого идентифицированного потенциально поражаемого объекта, "характеризуемого" рассчитанным тепловым потоком qоб, с помощью матрицы "тепловой поток - тип здания по пожарной нагрузке" и матрицы "тепловой поток - вероятность возгорания") определяется степень поражения объекта при условии возгорания kпор и вероятность возгорания Pвозг объекта с получением в итоге степени его повреждения kповр в соответствии с пунктами 2.3.2, 2.3.3 приложения № 11 настоящего Руководства:
|
kповр = kпорPвозг, |
(5.15) |
д) результаты выполнения процедуры для каждого здания (сооружения) заносятся в таблицу, аналогичную таблице № 5.13.
5.5.4.9. Если в поврежденном или полностью разрушенном (в результате воздействия какого-либо поражающего фактора аварии) здании находилось технологическое оборудование, транспортные средства или другое имущество, то степень повреждения kповр этого имущества приравнивается к степени повреждения здания.
5.5.4.10. Количество уничтоженных и поврежденных движущихся транспортных средств при аварии на подземном переходе МГ через автодорогу при воздействии заданного поражающего фактора рассчитывается по формулам
|
Nтр-у = Nад-г / 3, |
(5.16) |
|
Nтр-п = Nад-р / 3, |
(5.17) |
где Nад-г, Nад-р - число соответственно погибших и раненых людей в транспортных средствах при воздействии на них заданного поражающего фактора. Для поврежденных транспортных средств при аварии на переходе через автодорогу рекомендуется принимать степень повреждения кговр kповр = 0,2.
Полученные по формулам (5.17), (5.18) дробные (в общем случае) значения количеств уничтоженных и поврежденных транспортных средств следует округлять до ближайших больших целочисленных значений. Так, при расчетном значении Nтр-у = 1,3 значение Nтр-у для дальнейшего использования принимается равным 2.
5.5.4.11. Количество уничтоженных Nваг-у и поврежденных (кроме уничтоженных) Nваг-п вагонов движущегося поезда при аварии на подземном переходе МГ через железную дорогу при воздействии заданного поражающего фактора рассчитывается по формулам
|
Nваг-у = 0,5(L100(в) + L1(в))(Nваг(пп) · ωпп / υпп + Nваг(тп) - ωтп / υтп)), |
(5.18) |
|
Nваг-п = 0,5(L1(в) - L100(в))(Nваг(пп) · ωпп / υпп + Nваг(тп) - ωтп / υтп)), |
(5.19) |
где L100(в) - протяженность участка железной дороги в пределах зоны 100 %-го поражения вагонов превалирующим поражающим фактором аварии, км (для теплового излучения от пожара внешней границе зоны соответствует удельный тепловой поток 35 кВт/м2);
L100(в) - протяженность участка железной дороги в пределах зоны 1 %-го повреждения вагонов превалирующим поражающим фактором аварии, км (для теплового излучения от пожара внешней границе зоны соответствует удельный тепловой поток 7 кВт/м2);
Nваг(пп) - среднее количество вагонов в пассажирском составе, ед. (рекомендуется принимать 15 ед.);
Nваг(тп) - среднее количество вагонов в товарном составе, ед. (рекомендуется принимать 60 ед.)
ωпп - средняя интенсивность движения пассажирских составов на участке, ед./ч;
υпп - средняя скорость движения пассажирских составов на участке, км/ч (рекомендуется принимать 90 км/час);
ωтп - средняя интенсивность движения товарных составов на участке, ед./ч;
υтп - средняя скорость движения товарных составов на участке, км/ч (рекомендуется принимать 40 км/час).
Для поврежденных вагонов при аварии на переходе через железную дорогу рекомендуется принимать степень повреждения kповр = 0,2.
5.5.4.12. Рекомендуемая последовательность определения по дозовому критерию перечня и количеств уничтоженных и поврежденных наружных установок, металлических конструкций, железных дорог (т.е. стационарных объектов без горючих элементов и не обладающих пожарной нагрузкой) в результате воздействия тепловой радиации от пожара на МГ:
а) на плане местности вокруг рассматриваемой точки xn(m) разрыва МГ с нанесенными изображениями указанных стационарных объектов на основании рассчитанного ранее (пункт 5.5.2) массива значений тепловых потоков q(x,у,τ) на прилегающей к xn(m) территории рассчитывается и строится зона полученных доз за время τдоз (пункт 5.5.4.3) в виде изолиний тепловых доз от максимального значения до 5000 (кВт/м2) с. При этом тепловая доза в каждой точке с координатами (х,у) рассчитывается по формуле
|
|
(5.20) |
б) для каждого потенциально поражаемого объекта (т.е. объекта, попадающего в ЗПД, ограниченную изолинией 5000 (кВт/м2)·с), в той его точке Е(xоб, уоб), которая ближе всего к месту разрыва МГ, определяется значение полученной им тепловой дозы Dоб (либо по ближайшей изолинии ЗПД, либо непосредственно из расчетного массива D(x,y));
в) с использованием рассчитанных значений Dоб последовательно проверяется принадлежность каждого потенциально поражаемого объекта к тому или иному классу чувствительности к тепловому воздействию из числа приведенных в таблице № 6 приложения № 11 настоящего Руководства, и определяются соответствующие установленному для рассматриваемого объекта классу чувствительности значения нижней Dпор и верхней Dгиб пороговых доз из той же таблицы;
г) по формулам (9) приложения № 11 настоящего Руководства путем подстановки в них значений Dоб, Dпор и Dгиб для рассматриваемого объекта определяется степень его повреждения в виде значений kповр, отождествляемая с отношением стоимости поврежденной части объекта к общей его стоимости.
д) результаты выполнения процедуры для каждого объекта заносятся в таблицу, аналогичную приведенной в пункте 5.5.4.6 таблицы № 5.12 настоящего Руководства.
5.5.4.13. Рекомендуемая последовательность определения по характеристическому критерию площадей уничтоженных и поврежденных лесных угодий от теплового воздействия:
а) для территории вокруг рассматриваемой точки xn(m) разрыва МГ с нанесенным контуром лесных угодий рассчитывается распределение удельного теплового потока облучения (пункт 5.5.2 настоящего Руководства) на момент времени τхар = 90 с после начала истечения газа и строится зона теплового воздействия в виде изолинии теплового потока qу = 7 кВт/м2;
б) определяется площадь Sлес-у (га) уничтоженного леса, попадающего в зону теплового воздействия, ограниченную изолинией 7 кВт/м2 и контуром лесных угодий (рисунок 5.3).

Рисунок 5.3. К расчету площади уничтоженного леса в результате
теплового воздействия от пожара на МГ
5.5.4.14. Рекомендуемая последовательность определения по характеристическому критерию площадей уничтоженных сельхозкультур Sс/х-у на обрабатываемых землях от теплового воздействия идентична вышеизложенной последовательности для лесных угодий, но при этом рассматриваемая зона уничтожения сельхозкультур ограничена изолинией 5 кВт/м2 и из нее не вычитается площадь земли, занимаемая собственно коридором газопроводов.
5.5.4.15. В случае необходимости учета дополнительно выгорающей площади леса или сельхозугодий за счет распространения пожара при ветровой нагрузке рекомендуется воспользоваться известными методиками учета этого фактора, в частности, "Методикой оценки последствий лесных пожаров", введенной в действие указанием МЧС России от 14 апреля 1995 г. № 194.
5.5.4.16. Рекомендуемая последовательность определения по характеристическому критерию площадей уничтоженного тепловым излучением плодородного слоя почвы Sпочв-у аналогична вышеизложенной последовательности для лесных угодий, но при этом рассматриваемая зона уничтожения ограничена изолинией 35 кВт/м2 и из нее не вычитается площадь земли, занимаемая собственно коридором газопроводов.
5.5.4.17. При авариях на подводных переходах МГ оценка количества уничтоженных и поврежденных элементов имущества и компонентов природной среды выполняется в соответствии с подходами, изложенными в пунктах 5.5.4.1 - 5.5.4.16, с учетом ряда особенностей для переходов разных конструкций и их участков.
Для подводных переходов, выполненных традиционным методом прокладки трубы в траншее по дну водоема, при рассмотрении аварий на береговых, в т.ч. пойменных, участках оценка количества уничтоженных и поврежденных имущественных и природных компонентов, расположенных в окрестностях точки разрыва МГ (как на суше, так и в прилегающей акватории, включая суда и прочие плавсредства, но исключая биоресурсы водоема), производится в полном соответствии с пунктами 5.5.4.1 - 5.5.4.16 аналогично оценке для сухопутных участков МГ.
Для подводных переходов, выполненных традиционным методом прокладки трубы в траншее по дну водоема, при оценке последствий от аварий на подводных участках МГ в русловой части перехода принимается следующее:
дюкер претерпевает полное разрушение (степень повреждения kповр = 1), что означает необходимость нового строительства перехода в полном объеме (если методы ремонта не оговорены в технической документации); в противном случае проводится оценка степени повреждения в соответствии с принятой в проекте технологией ремонта;
оценка количества уничтоженных и поврежденных природных компонентов и элементов имущества других (третьих) лиц, включая суда и плавсредства в русловой части перехода, проводится в соответствии с пунктами 5.5.4.1 - 5.5.4.12 настоящего Руководства с учетом воздействия на эти компоненты поражающих факторов, характерных для принятых расчетных сценариев для данной конструкции перехода и глубины местоположения аварийного участка МГ (пункт 5.5.2);
биоресурсы пересекаемого газопроводом водоема в качестве потенциально поражаемых природных компонентов не учитываются.
Для подводных переходов, выполненных методом горизонтально-направленного бурения с конструкцией "труба в трубе", оценка количества уничтоженных и поврежденных имущественных и природных компонентов производится в соответствии с пунктами 5.5.4.1 - 5.5.4.16 настоящего Руководства с учетом принятых для этого случая расчетных сценариев аварии (пункт 5.5.2), предполагающих воздействие поражающих факторов аварии только на объекты, находящиеся на суше.
Дополнительно принимается, что степень повреждения дюкера в результате разрыва основного газопровода составляет kповр = 0,5, что соответствует проведению следующих работ по восстановлению работоспособности дюкера: извлечение поврежденного газопровода из кожуха на полную длину перехода, сварка новой плети и ее обратное протаскивание через кожух, сварочно-изоляционные работы по присоединению плети к сухопутным участкам МГ, испытание отремонтированного перехода.
5.6.1. На данном подэтапе КолАР выполняется оценка ущерба в денежном выражении (российских рублях) для каждого расчетного сценария Cij аварии в выбранных точках каждого ПОУ рассматриваемого МГ, и на этой основе - математическое ожидание ущерба от аварии в каждой точке ПОУ, средние значения ущерба в пределах ПОУ и в пределах рассматриваемого МГ (а при необходимости - средние значения ущерба по ЛПУМГ и ГТО в целом). При этом используются результаты расчета ущербов в натуральных показателях (количества погибших и раненых, уничтоженного (поврежденного) имущества и природных компонентов), полученные на предыдущих подэтапах (пункты 5.5.3, 5.5.4).
5.6.2. Оценка ущерба от аварии на МГ производится в соответствии с приложением № 12 настоящего Руководства, с учетом ряда изложенных ниже положений, отражающих специфику МГ.
5.6.3. Ущерб
при реализации сценария Cij аварии на МГ складывается из следующих
основных составляющих:
социально-экономического ущерба
(руб.), обусловленного гибелью и
травматизмом обслуживающего ЛЧ МГ персонала, а также населения на территориях,
прилегающих к МГ, включая работников близлежащих сторонних организаций;
прямого ущерба производству
(руб.), обусловленного разрушением и
повреждением элементов линейной части МГ и потерями газа;
ущерба
(руб.) имуществу других (третьих) лиц,
в том числе населения;
ущерба
(руб), обусловленного затратами на
локализацию аварии, ликвидацию ее последствий и расследование аварии;
экологического ущерба
(руб.).
5.6.4. При расчете всех составляющих ущерба в результате реализации того или иного сценария Cij аварии на ЛЧ МГ в качестве учитываемого количества потенциально поражаемых реципиентов (людей, элементов имущества и природной среды) используется количество реципиентов, подвергаемых воздействию наиболее значимого по масштабам своего распространения поражающего фактора, создающего наибольшую зону поражения (исходя из принципа "поглощения наибольшей опасностью всех меньших опасностей, действующих одновременно").
5.6.5. При расчете социально-экономического ущерба кроме установленных законодательством Российской Федерации выплат пособий на погребение погибших и пособий в случае смерти кормильца учитываются компенсационные выплаты Sкомп родственникам погибших, базирующиеся на стоимости среднестатистической жизни человека Sж в Российской Федерации (приложение № 12 настоящего Руководства).
В качестве значений количества погибших (Nперс-г) и травмированных (Nперс-р) среди персонала в формулах (3), (4), (6) приложения № 12 настоящего Руководства используются соответствующие значения количества погибших и раненых членов бригад, работающих в дневное время на ЛЧ МГ, полученные в пункте 5.5.3 настоящего Руководства.
В качестве значений количества погибших (Nдл-г) и травмированных (Nдл-р) среди третьих лиц в формулах (7), (8) приложения № 12 настоящего Руководства используются значения, полученные в пункте 5.5.3.9.7 настоящего Руководства.
5.6.6. Принимается, что прямой ущерб
производству
включает в себя не только потери,
равные балансовой стоимости уничтоженных и поврежденных основных фондов и
товарно-материальных ценностей, но и затраты на восстановление (стоимость восстановления)
основных фондов, поскольку в реальной практике эксплуатации МГ такое
восстановление после аварий всегда имеет место.
При расчете прямого ущерба производству
в результате аварии на МГ в качестве
потенциально поражаемых элементов основных фондов ГТО учитываются следующие
объекты:
а) собственно газопровод (и соседние с ним нитки при необходимости);
б) площадки линейных крановых узлов (в том числе на соседних нитках);
в) опоры и провода вдольтрассовой технологической ЛЭП;
г) блок-боксы системы телемеханики;
д) шкафы ЭХЗ, контрольно-измерительные пункты (колонки);
е) кабели связи;
ж) сооружения и оборудование газоизмерительных станций;
з) сооружения и оборудование пунктов замера и редуцирования газа;
и) краны, газопроводы, а также камеры приема-запуска очистных устройств на узле подключения КС (при аварии вблизи КС);
к) площадки с аварийным запасом труб, запорной арматуры и соединительных деталей;
л) сооружения и оборудование ГРС (при аварии на газопроводе-отводе вблизи ГРС).
м) сооружения и оборудование КС при бесшлейфовом размещении КС.
Последовательность расчета
приведена в разделе 3 приложения № 12 настоящего Руководства.
5.6.7. При расчете имущественного
ущерба другим (третьим) лицам (
) в результате аварии на МГ в качестве
потенциально уничтожаемого (повреждаемого) имущества других (третьих) лиц
учитываются следующие объекты (прежде всего, в местах нарушений СП 36.13330.2012
"Магистральные трубопроводы. Актуализированная редакция СНиП
2.05.06-85*", утвержденного приказом Федерального агентства по
строительству и жилищно-коммунальному хозяйству от 25 декабря 2012 г. № 108/ГС,
в части минимальных безопасных расстояний от МГ до указанных объектов):
а) жилые и общественные здания, сооружения на территории постоянных населенных пунктов,
б) дома, хозяйственные постройки и зеленые насаждения садоводческих товариществ;
в) здания, сооружения, оборудование сторонних организаций;
г) автотранспортные средства на переходах МГ через автодороги, в гаражах и на автостоянках вблизи трасс МГ;
д) автодорожное полотно и объекты обустройства автодорог вблизи подземных переходов МГ через автодороги;
е) железнодорожные составы на переходах МГ через железные дороги;
ж) железнодорожное полотно и объекты обустройства железных дорог вблизи подземных переходов МГ через железные дороги;
з) сторонние трубопроводы, ЛЭП, кабели вблизи трассы МГ;
и) сельхозкультуры на сельхозугодьях вблизи трасс МГ;
к) речные и морские суда, баржи в местах переходов МГ через водные препятствия.
Последовательность расчета
приведена в разделе 4 приложения № 12 настоящего Руководства.
5.6.8.
Затраты
на локализацию аварии, ликвидацию ее
последствий и расследование аварии рекомендуется принимать в размере 10 % от
суммарного прямого имущественного ущерба производству и другим (третьим) лицам
5.6.9. Экологический ущерб
, определяемый как вред, нанесенный
компонентам природной среды в результате аварии на МГ, исчисляется в денежном
эквиваленте в форме компенсационных выплат эксплуатирующей организацией за
причинение указанного вреда. При расчете
в результате аварии на МГ учитываются:
загрязнение атмосферного воздуха выбросами природного газа и продуктами его сгорания;
выгорание лесных массивов и их повреждение тепловой радиацией до степени прекращения роста деревьев;
повреждение плодородного слоя почвы в результате теплового воздействия от пожара.
Последовательность расчета
приведена в разделе 6 приложения № 12 настоящего Руководства.
Используемые в расчетах ущерба от загрязнения атмосферы объемы аварийных выбросов природного газа определяются в соответствии с пунктом 5.5.1 настоящего Руководства.
Используемые в расчетах ущерба, связанного с поражением лесных массивов, площади уничтоженного леса определяются в соответствии с пунктом 5.5.4.13 настоящего Руководства.
Используемые в расчетах ущерба, связанного с повреждением почв, площади поврежденных почв определяются в соответствии с пунктом 5.5.4.16 настоящего Руководства.
5.6.10. Математическое ожидание ущерба от аварии в m-ой точке трассы (с линейной координатой xn(m)) n-го ПОУ с учетом всех расчетных сценариев Cij аварии в этой точке, образующих полную группу событий, рассчитывается по формуле:
где
- полный ущерб при реализации сценария
Cij в m-ой
точке трассы n-го ПОУ;
P(Сij) - условная вероятность реализации сценария Cij.
5.6.11. Математические ожидания отдельных составляющих
ущерба (т.е. социально-экономического ущерба
, прямого производственного ущерба
, ущерба имуществу других лиц
, затрат на ликвидацию и расследование
аварии
, экологического ущерба
) от аварии в m-ой точке трассы т-го
ПОУ рассчитываются по формулам, аналогичным формуле (5.21) при подстановке в нее вместо
значений соответствующих составляющих
ущерба
,
,
,
,
, рассчитанных для каждого сценария Cij.
5.6.12. Среднее значение ущерба в пределах n-го ПОУ рассчитывается по формуле:
где
- математическое ожидание ущерба от
аварии в m-ой точке n-го ПОУ;
M - общее число точек пределах n-го ПОУ, в которых моделируется авария МГ и рассчитывается ущерб от аварии.
Средние по n-му ПОУ значения
отдельных составляющих ущерба (т.е. социально-экономического ущерба
, прямого производственного ущерба
, ущерба имуществу других лиц
, затрат на ликвидацию и расследование
аварии
, экологического ущерба
) рассчитываются по формулам,
аналогичным формуле (5.22) при
подстановке в нее вместо
значений соответствующих составляющих
ущерба
,
,
,
,
), рассчитанных для каждой m-ой
точки n-го ПОУ.
5.6.13. Среднее значение ущерба в пределах рассматриваемого (k-го) МГ рассчитывается по формуле
где
- среднее по n-му
ПОУ значение ущерба;
N - общее количество ПОУ на трассе рассматриваемого k-го МГ.
Средние по рассматриваемому (k-му) МГ значения
отдельных составляющих ущерба (т.е. социально-экономического ущерба
, прямого производственного ущерба
, ущерба имуществу других лиц
, затрат на ликвидацию и расследование
аварии
, экологического ущерба
,) рассчитываются по формулам,
аналогичным формуле (5.23) при
подстановке в нее вместо
значений соответствующих составляющих
ущерба
,
,
,
,
), рассчитанных для каждого n-го ПОУ k-го МГ.
5.6.14. Средние значения ущерба и его составляющих по s-му ЛПУМГ, в котором эксплуатируются K газопроводов, рассчитываются (при необходимости) через средние значения ущерба на каждом МГ с учетом долей по протяженности МГ в ЛПУМГ.
Средние значение ущерба и его составляющих по ГТО, состоящему из S ЛПУМГ, рассчитываются (при необходимости) в последовательности, аналогичной изложенной в пункте 5.6.13 настоящего Руководства, с подстановкой в аналогичные расчетные формулы средних значений ущерба по каждому ЛПУМГ.
5.7.1. Расчет потенциального, индивидуального, коллективного и социального рисков от аварий на линейной части магистральных газопроводов
5.7.1.1. На данном подэтапе КолАР выполняется расчет потенциального, индивидуального, коллективного и социального рисков, характеризующих меру опасности от возможных аварий на МГ для людей, проживающих или работающих на территориях, прилегающих к ПОУ рассматриваемых МГ. Расчет ведется на основании рассчитанных ранее ожидаемых удельных частот аварий (пункт 5.4.1), условных вероятностей реализации расчетных сценариев аварии (пункт 5.4.2), зон потенциального поражения (пункт 5.5.3) для всей совокупности расчетных сценариев аварий на идентифицированных ПОУ (подраздел 5.3) линейной части рассматриваемых МГ.
5.7.1.2. Расчеты индивидуального, коллективного и социального рисков рекомендуется проводить по формулам, изложенным в Руководстве по безопасности "Методические основы по проведению анализа опасностей и оценки риска аварий на опасных производственных объектах", утвержденным приказом Ростехнадзора от 11 апреля 2016 г. № 144.
5.7.1.3. Потенциальный риск от аварий на рассматриваемой k-ой нитке МГ в каждом узле E(x,y) расчетной области, покрывающей территорию вблизи МГ, определяется по формуле
|
|
(5.25) |
где fΔL - ожидаемая частота аварий на элементарном отрезке ΔL n-го ПОУ;
(х,у) - условная
вероятность гибели человека в точке E(x,y) расчетной сетки
в результате реализации сценария Cij аварии А в точке xn(m) - середине m-го элементарного
отрезка n-го ПОУ;
P(Cij|A) - условная вероятность реализации сценария Cij аварии на n-ом ПОУ;
i - номер группы сценариев;
j - номер сценария в группе;
m - номер элементарного отрезка в пределах n-го ПОУ;
M - общее количество элементарных отрезков в пределах n-го ПОУ.
При наличии нескольких (K) ниток в техническом коридоре МГ значения потенциального риска в каждом узле E(x,y) расчетной области от возможных аварий на любой из ниток этого технического коридора рассчитываются по формуле
|
|
(5.26) |
где
- значение потенциального риска в
точке E(x,y) расчетной области от возможных аварий на k-ой
нитке коридора МГ.
5.7.2. Расчет ожидаемого годового ущерба с учетом частот возникновения аварий на линейной части магистральных газопроводов
5.7.2.1. На данном подэтапе КолАР выполняется оценка в денежном выражении (рублях в год) ожидаемого годового ущерба и его составляющих с учетом рассчитанных ранее удельных частот (λn) возникновения аварий на каждом ПОУ анализируемых МГ (см. пункт 5.4.1 настоящего Руководства) для каждого уровня производственно-технологической иерархии ГТО (если КолАР проводится для всех МГ в составе ГТО), т.е. для каждого МГ, каждого ЛПУМГ и для ГТО в целом.
5.7.2.2. Ожидаемый от возможных аварий на n-ом ПОУ k-го МГ полный годовой ущерб (руб./год) и его составляющие (руб./год) рассчитываются по следующим формулам:
полный годовой ущерб от возможных аварий на n-ом ПОУ
|
|
(5.27) |
социально-экономический годовой ущерб от возможных аварий на n-ом ПОУ
|
|
(5.28) |
прямой годовой ущерб производству от возможных аварий на n-ом ПОУ
|
|
(5.29) |
годовой ущерб имуществу других лиц от возможных аварий на n-ом ПОУ
|
|
(5.30) |
годовые затраты на локализацию, ликвидацию и расследование возможных аварий на n-ом ПОУ
|
|
(5.31) |
экологический годовой ущерб от возможных аварий на n-ом ПОУ
|
|
(5.32) |
где
,
,
,
,
,
- средние значения полного ущерба и
его составляющих от одной аварии на n-ом ПОУ k-го
МГ, руб. (пункт 5.5.4.13
настоящего Руководства);
λn - ожидаемая удельная частота аварий на n-ом ПОУ k-го МГ, аварий/(1000 км в год) - (пункт 5.4.1);
Ln - длина n-го ПОУ k-го МГ, км.
5.7.2.3. Ожидаемый от возможных аварий на k-ом МГ s-го ЛПУМГ полный годовой ущерб и его составляющие (руб./год) рассчитываются по формулам:
полный годовой ущерб от возможных аварий на k-ом МГ
|
|
(5.33) |
социально-экономический годовой ущерб от возможных аварий на k-ом МГ
|
|
(5.34) |
прямой годовой ущерб производству от возможных аварий на k-ом МГ
|
|
(5.35) |
годовой ущерб имуществу других лиц от возможных аварий на k-ом МГ
|
|
(5.36) |
годовые затраты на локализацию, ликвидацию и расследование возможных аварий на k-ом МГ
|
|
(5.37) |
экологический годовой ущерб от возможных аварий на k-ом МГ
|
|
(5.38) |
где
,
,
,
,
,
- ожидаемый полный годовой ущерб и его
составляющие от возможных аварий на n-ом ПОУ k-го
МГ, руб./год (пункт 5.7.2.2);
N - общее количество ПОУ в пределах k-го МГ, шт.
5.7.2.4. Ожидаемый от возможных аварий на газопроводах s-го ЛПУМГ полный годовой ущерб и его составляющие (руб./год) рассчитываются по формулам:
полный годовой ущерб от возможных аварий на МГ s-го ЛПУМГ
|
|
(5.39) |
социально-экономический годовой ущерб от возможных аварий на МГ s-го ЛПУМГ
|
|
(5.40) |
прямой годовой ущерб производству от возможных аварий на МГ s-го ЛПУМГ
|
|
(5.41) |
годовой ущерб имуществу других лиц от возможных аварий на МГ s-го ЛПУМГ
|
|
(5.42) |
годовые затраты на локализацию, ликвидацию и расследование возможных аварий на МГ s-го ЛПУМГ
|
|
(5.43) |
экологический годовой ущерб от возможных аварий на МГ s-го ЛПУМГ
|
|
(5.44) |
где
,
,
,
,
,
- ожидаемый полный годовой ущерб и его
составляющие от возможных аварий на k-ом МГ, руб./год (пункт 5.7.2.3 настоящего Руководства);
K - общее количество МГ в пределах s-го ЛПУМГ, шт.
5.7.2.5. Ожидаемый от возможных аварий на всех газопроводах ГТО полный годовой ущерб и его составляющие (руб./год) рассчитываются по формулам:
полный годовой ущерб от возможных аварий на всех МГ ГТО
|
|
(5.45) |
социально-экономический годовой ущерб от возможных аварий на всех МГ ГТО
|
|
(5.46) |
прямой годовой ущерб производству от возможных аварий на всех МГ ГТО
|
|
(5.47) |
годовой ущерб имуществу других лиц от возможных аварий на всех МГ ГТО
|
|
(5.48) |
годовые затраты на локализацию, ликвидацию и расследование возможных аварий на всех МГ ГТО
|
|
(5.49) |
экологический годовой ущерб от возможных аварий на всех МГ ГТО
|
|
(5.50) |
где
,
,
,
,
,
- ожидаемый полный годовой ущерб и его
составляющие от возможных аварий на газопроводах s-го ЛПУМГ, руб./год
(пункт 5.7.2.4 настоящего
Руководства);
S - общее количество ЛПУМГ в пределах ГТО, шт.
5.8.1. При установлении степени опасности аварий на участках ЛЧ МГ руководствуются рекомендациями приложения № 6 Руководства по безопасности "Методические основы по проведению анализа опасностей и оценки риска аварий на опасных производственных объектах", утвержденного приказом Ростехнадзора от 11 апреля 2016 г. № 144.
5.9.1. При разработке рекомендаций по снижению риска аварий на ЛЧ МГ руководствуются положениями, изложенными в пунктах 27 - 30 Руководства по безопасности "Методические основы по проведению анализа опасностей и оценки риска аварий на опасных производственных объектах", утвержденного приказом Ростехнадзора от 11 апреля 2016 г. № 144, и положениями настоящего подраздела.
Разработка рекомендаций базируется на результатах предшествующих этапов КолАР ЛЧ МГ, в частности, на результатах идентификации опасностей, расчета показателей риска и оценки степени аварийной опасности участков ЛЧ МГ, которые используются для приоритезации мероприятий, направленных на компенсацию рисков и обеспечение безопасной эксплуатации ЛЧ МГ.
5.9.2. Мероприятия (технические решения и организационные меры) по снижению риска аварий рекомендуется разделять на две группы:
меры, направленные на предупреждение аварий (уменьшение вероятности их возникновения);
меры, направленные на снижение последствий возможных аварий.
5.9.3. В первой группе мероприятий, которая имеет более высокий приоритет по отношению ко второй, предусматриваются меры по исключению разгерметизации участков МГ и предупреждению аварийных выбросов газа, такие как:
применение материалов и конструкций газопроводов, рассчитанных на обеспечение их прочности и надежной эксплуатации в рабочем диапазоне давлений транспортируемого газа и природных внешних нагрузок;
повышение категории участков газопроводов, идентифицированных как участки с чрезвычайно высокой и высокой степенями опасности аварий;
обеспечение для предотвращения механических повреждений подземных газопроводов проектной глубины заложения в соответствии с требованиями СП 36.13330.2012 "Магистральные трубопроводы. Актуализированная редакция СНиП 2.05.06-85*", утвержденного приказом Федерального агентства по строительству и жилищно-коммунальному хозяйству от 25 декабря 2012 г. № 108/ГС, а при необходимости - сверхнормативной глубины заложения, заключение газопроводов на переходах через дороги МГ в стальные патроны;
усиление конструкций подводных переходов газопроводов;
увеличение объема контроля качества сварных стыков различными методами неразрушающего контроля;
усиление контроля надлежащего состояния охранной зоны газопроводов и зоны минимальных расстояний до сторонних объектов, своевременная очистка трасс газопроводов от поросли, проведение проверок наличия знаков закрепления трассы, предупреждающих и
запрещающих знаков на переходах через транспортные коммуникации, ограждений воздушных переходов и крановых узлов, створных знаков на переходах через водные преграды;
повышение надежности защиты от общей коррозии и коррозии под напряжением стальных газопроводов с помощью защитных изоляционных покрытий и установок ЭХЗ, в том числе современных автоматизированных комплексов ЭХЗ;
проведение своевременных осмотров трасс газопроводов, ревизий запорной арматуры, оптимизированных (с учетом технического состояния участков) технического обслуживания и ремонтов, внутритрубной дефектоскопии, ежегодной подготовки объектов и оборудования газопроводов к эксплуатации в осенне-зимних условиях и весеннему паводку, ежегодного обследования после весеннего паводка;
осуществление непрерывного контроля давления на крановых узлах с помощью систем линейной телемеханики, расширение функциональности указанных систем в части параметров телеизмерения и телесигнализации;
применение современной системы обнаружения утечек газа;
повышение требований к качеству производства труб и оборудования ЛЧ МГ, заводских испытаний, качеству доставки, погрузки (разгрузки), складирования и хранения труб и оборудования, качеству СМР;
проведение периодических испытаний на прочность и герметичность ЛЧ МГ;
повышение эффективности охраны ЛЧ МГ и мер защиты от вандализма и терроризма.
5.9.4. Во второй группе мероприятий предусматриваются меры по предупреждению развития аварий на ЛЧ МГ, локализации выбросов газа, локализации распространения поражающих факторов аварий, защите потенциальных реципиентов, такие как:
применение автоматики аварийного закрытия линейных кранов и системы телемеханики, обеспечивающих в случае разгерметизации газопровода оперативное перекрытие аварийной секции;
корректировка размеров зон минимальных расстояний до сторонних объектов;
своевременное обновление и оптимизация "Плана мероприятий по локализации и ликвидации последствий аварий", оптимизация периодичности проведения противоаварийных тренировок персонала ЛПУМГ,
оптимизация сил и средств для оперативной локализации и ликвидации аварий и др.
5.9.5. Выбор наиболее эффективных мер по снижению риска может быть выполнен двумя альтернативными способами:
при заданных ресурсах формируют оптимальную группу мер безопасности, обеспечивающих максимально возможное при этих ресурсах снижение риска аварий на наиболее опасных участках ЛЧ МГ;
минимизируя затраты, выбирают оптимальную группу мер безопасности, обеспечивающих снижение риска аварий на ЛЧ МГ до допустимых значений.
6.1.1. При проведении КолАР для площадочных объектов рекомендуется следовать основным этапам количественного анализа риска аварий на ОПО, которые приведены в Руководстве по безопасности "Методические основы по проведению анализа опасностей и оценки риска аварий на опасных производственных объектах", утвержденным приказом Ростехнадзора от 11 апреля 2016 г. № 144, и конкретизированы в настоящем разделе.
6.1.2. К площадочным объектам МГ в рамках настоящего Руководства отнесены линейные КС МГ, ГРС и АГНКС.
6.1.3. При проведении анализа риска под аварией на площадочном объекте подразумевается разрыв технологического трубопровода на полное сечение или разрушение сосуда, аппарата, технологической установки, ГПА (или компрессорной установки на АГНКС), насоса, включая их трубопроводную обвязку, сопровождающиеся выбросом содержащегося (обращающегося) в этом трубопроводе (сосуде, аппарате, ГПА, установке, насосе, трубопроводной обвязке) опасного вещества с воспламенением или без воспламенения.
6.2.1. В состав исходных информационных материалов для выполнения этапа планирования и организации работ по анализу риска для площадочных объектов входит:
ТЗ заказчика на выполнение работы, связанной с необходимостью проведения КолАР для данного площадочного объекта;
информация о фоновом риске техногенных происшествий для населения и персонала в регионах размещения площадочного объекта, предельно допустимом риске для населения и персонала, установленных для аналогичных объектов за рубежом, а также о рекомендуемых для Российской Федерации значениях предельно допустимого риска (пункт 6.2.6 настоящего Руководства).
Последовательность выполнения этапа отражена в пунктах 6.2.2 - 6.2.6 настоящего Руководства.
6.2.2. Анализ технического задания. Типовыми (характерными) работами, указываемыми в ТЗ для площадочных объектов, как правило, являются:
разработка вновь ДПБ для действующего(их) площадочного(ых) ОПО;
разработка ДПБ, перечня мероприятий по гражданской обороне, мероприятий по предупреждению чрезвычайных ситуаций природного и техногенного характера для ОПО в составе проектной документации, ОБ или СТУ в составе проектной документации/документации на строительство, реконструкцию, техническое перевооружение, консервацию или ликвидацию площадочного(ых) ОПО;
проведение анализа риска для обоснования основных компоновочных решений для площадочного(ых) ОПО на ранних этапах проектирования;
разработка паспорта(ов) безопасности для действующего(их) ОПО;
разработка ПМЛЛПА ОПО.
В зависимости от вида указываемых в ТЗ работ определяются цели, задачи, глубина анализа риска и состав группы специалистов для выполнения КолАР в соответствии с нижеследующими рекомендациями.
6.2.3. Определение цели, задач и глубины анализа риска проводится аналогично изложенному в пункте 5.2.3 настоящего Руководства для ЛЧ МГ.
6.2.4. Организация группы специалистов для выполнения КолАР.
Необходимая численность специалистов в составе конкретной группы определяется количеством анализируемых площадочных объектов и опасных составляющих площадочного объекта (далее - ОСПО) в их составе и требуемой (в соответствии с выявленными целями и задачами КолАР) глубиной анализа.
6.2.5. Описание анализируемого площадочного объекта и его инфраструктурного окружения выполняется на основе анализа и систематизации следующих информационных материалов и исходных данных:
общие сведения о заказчике проекта (только для проектируемых объектов) (наименование, адрес, телефон, Ф. И. О. руководителей);
общие сведения об эксплуатирующей (или намеченной к роли таковой - для проектируемых объектов) организации (наименование, адрес, телефон, Ф. И. О. руководителей);
технологическая схема объекта с узлом подключения к МГ, газопроводу-отводу или подводящему газопроводу;
план объекта с узлом подключения к МГ, газопроводу-отводу или подводящему газопроводу с газопроводами-шлейфами и инфраструктурой прилегающей территории (c населенными пунктами, организациями, естественными и искусственными препятствиями, лесными и сельскохозяйственными угодьями);
перечень и конструктивно-технологические параметры МГ или газопровода-отвода вблизи узла подключения (например, название, диаметр, давление, категория участка, протяженность, расстановка линейных кранов, данные по трубам и трубным сталям, изоляционным покрытиям);
описание природно-климатических условий района расположения объекта;
характеристики грунтов (например, коррозионные, механические, мерзлотные) на площадочном объекте и вблизи него;
перечень и технико-технологические характеристики оборудования площадочного объекта;
технические характеристики системы автоматизации, дистанционного управления и телемеханики для рассматриваемого объекта;
перечень отклонений размещения инфраструктурных объектов на прилегающих к анализируемому объекту территориях от требований нормативных документов по минимальным безопасным расстояниям;
данные о размещении и численности населения близлежащих населенных пунктов;
данные о размещении и численности работников близлежащих организаций;
перечень опасных объектов сторонних организаций, которые могут явиться источником ЧС для площадочных объектов;
численность, квалификация, режим работы и распределение обслуживающего персонала по территории производственной площадки объекта;
данные об имевших место авариях на анализируемом площадочном объекте и аналогичных объектах;
результаты диагностических обследований и данные о проведенном ремонте оборудования объекта.
6.2.6. Обоснование уровней допустимого риска для площадочных объектов осуществляется в соответствии с пунктом 5.2.6 настоящего Руководства.
6.3.1. При анализе риска для площадочных объектов в качестве источников опасности идентифицируются такие ОСПО, как: основные технологические газопроводы, емкости, аппараты, ГПА, технологические установки, транспортирующие или содержащие природный газ, а также трубопроводы, аппараты, установки и емкости вспомогательного производства, транспортирующие или содержащие турбинное масло, метанол, одорант, газовый конденсат, дизельное топливо, бензин, керосин и другие ГСМ. Процедура идентификации заключается в определении опасных свойств и параметров состояния опасных веществ, расчете их количеств для разных ОСПО, перечислении возможных физических проявлений аварий для ОСПО, определении возможных причин аварий, выделении ОСПО, наиболее опасных для жизни и здоровья персонала и населения.
6.3.2. Состав информационных материалов для выполнения данного этапа:
справочные материалы по характеристикам опасных веществ;
технологическая схема площадочного объекта с указанием всех технологических линий, в которых обращаются опасные вещества;
план производственной площадки объекта с прилегающей территорией;
перечень и конструктивно-технологические параметры трубопроводов, аппаратов, агрегатов, установок и емкостей, в которых обращаются опасные вещества;
описание природно-климатических условий района расположения объекта.
Последовательность выполнения этапа отражена в пунктах 6.3.3 - 6.3.7 настоящего Руководства.
6.3.3. Определение и представление опасных свойств всех опасных веществ, обращающихся на объекте, проводится аналогично пункту 5.3.3 настоящего Руководства.
6.3.4. Расчет количества опасных веществ для площадочных объектов выполняется при разработке ДПБ в соответствии с требованиями соответствующих нормативных документов Ростехнадзора и определении класса опасности ОПО.
В остальных случаях процедура определения количества опасных веществ, как одного из показателей опасности объекта, является рекомендуемой, но не обязательной.
Расчет выполняется отдельно для каждой технологической составляющей объекта с последующим суммированием полученных значений. Последовательность приближенного расчета приведена в приложении № 3 настоящего Руководства.
6.3.5. Определение возможных причин и условий возникновения аварий.
6.3.5.1. Причины аварий на подземных газопроводах площадочных объектов в значительной мере аналогичны причинам аварий для линейной части МГ (пункт 5.3.5).
6.3.5.2. Основными факторами, способствующими возникновению аварий на КС МГ, являются:
наличие большого числа арматуры, тройников, переходников, фасонных частей и т.п., т.е. мест с усложненной технологией проведения СМР, ухудшенным контролем качества сварных швов, повышенной концентрацией напряжений;
наличие значительного числа переходов подземных газопроводов в надземные, являющихся местами повышенной коррозионной активности и концентрации напряжений;
сложная пространственная стержневая конструкция надземных газопроводов обвязки компрессорных агрегатов в цехах с большим числом жестких и скользящих опор, испытывающая значительные переменные температурные и газодинамические (вибрационные) нагрузки, особенно со стороны нагнетания;
повышенная вибрация газопроводов, а также просадки газопроводов и опор;
дефекты изготовления оборудования (в первую очередь фасонных частей и арматуры); погрешности монтажа;
недостаточно качественный диагностический контроль и несвоевременное выполнение ремонтных работ по обеспечению герметичности трубопроводов, емкостей, аппаратов;
неисправности или отсутствие систем контроля, управления и противоаварийной защиты;
неудовлетворительное техническое состояние оборудования, его конструктивные недостатки, физический и моральный износ;
недостаточная профессиональная подготовка производственного персонала.
Аварии на установках, аппаратах и агрегатах объектов КС МГ происходят, как правило, по следующим причинам:
разгерметизация фланцевого соединения на входе (выходе) установки, аппарата или агрегата;
разгерметизация корпуса установки, аппарата или агрегата;
разрушение фундаментных опор под установкой, аппаратом или агрегатом;
разгерметизация торцовых уплотнений установки, аппарата или агрегата;
разгерметизация клапанов на трубопроводах обвязок установок, аппаратов и агрегатов;
порыв маслопровода;
порыв (трещина) на полное сечение газопровода выхлопа импульсного или пускового газа;
разгерметизация камеры сгорания турбины;
отказ системы зажигания в камере сгорания турбины;
самопроизвольное закрытие шарового крана на технологической линии природного газа;
самопроизвольное закрытие клапанов на газо(масло)проводах управления установок, аппаратов или агрегатов;
отказы отсекающей арматуры на технологических коммуникациях;
коррозия;
большой износ оборудования при недостаточно качественном диагностическом контроле и несвоевременном выполнении ремонтных работ по обеспечению герметичности трубопроводов, сосудов, арматуры;
внешние причины природного (например, удар молнии) или антропогенного характера (теракт);
нарушения правил технической эксплуатации.
6.3.5.3. Возможные причины и факторы, способствующие возникновению и развитию аварий на ГРС и АГНКС, в основном, те же, что на КС:
обращение в газопроводах и аппаратуре взрывоопасного газа высокого и среднего давления;
наличие большого числа арматуры, тройников, переходников, фасонных частей, т.е. мест с повышенной концентрацией напряжений;
наличие переходов подземных газопроводов в надземные, являющихся местами повышенной коррозионной активности и концентрации напряжений;
сложная пространственная стержневая конструкция надземных газопроводов;
заводские дефекты оборудования (арматуры, труб);
большой износ оборудования ГРС при недостаточно качественном диагностическом контроле и несвоевременном выполнении ремонтных работ по обеспечению герметичности трубопроводов, емкостей, арматуры;
ошибки проекта (например, отсутствие обратного клапана на линии аккумуляторов АГНКС);
нарушение персоналом ПТЭ и ПТБ, ошибки персонала из-за невнимательности или некомпетентности;
внешние причины природного (например, удар молнии) или антропогенного характера (теракт).
Вторичными типовыми причинами аварий могут быть неисправности предохранительных клапанов, регуляторов давления, запорной арматуры, защитной автоматики, образование гидратов в газопроводах, неисправности эжекторов в линии заправки расходных емкостей одоранта.
Кроме того, на АГНКС, в силу специфики их назначения, дополнительными причинами аварий могут быть:
присутствие на территории посторонних лиц (водителей заправляемых автомобилей), которые по неосторожности или намеренно могут повредить технологические элементы АГНКС;
возможные неисправности газобаллонной аппаратуры (например, вентилей баллонов) заправляемых автомобилей, что может привести к срыву заправочной головки с выбросом газа.
6.3.5.4. На подэтапе определения возможных причин аварий при анализе конкретной ОСПО рекомендуется из приведенного списка причин выделить ожидаемые причины аварий применительно именно к этой составляющей объекта с учетом реальных условий эксплуатации и местных действующих факторов окружающей среды, а также с учетом имеющихся статистических данных о причинах и условиях возникновения имевших место ранее аварий на аналогичных по конструктивно-технологическим параметрам и условиям эксплуатации составляющих объекта: трубопроводов, установок, аппаратов, агрегатов.
6.3.6. Предварительная идентификация опасных составляющих площадочных объектов.
Опасные составляющие площадочного объекта, для которых в дальнейшем рассчитываются показатели риска, выделяются на основе подробного анализа технологической схемы, генплана, перечня основного технологического оборудования объекта с учетом рассмотренных в пункте 6.3.5 настоящего Руководства возможных физических проявлений аварий.
6.3.6.1. На КС МГ рекомендуется выделять следующие ОСПО:
участок МГ вблизи КС со стороны низкого давления;
участок МГ вблизи КС со стороны высокого давления;
обводная линия КС;
крановые узлы на узле подключения;
входной газопровод-шлейф;
выходной газопровод-шлейф;
входной и выходной коллекторы пылеуловителей;
пылеуловители с трубопроводной обвязкой;
всасывающий коллектор ГПА;
нагнетательный коллектор ГПА;
газопровод пускового контура;
ГПА в укрытии или здании КЦ;
всасывающие газопроводы в составе надземной обвязки ГПА;
нагнетательные газопроводы в составе надземной обвязки ГПА;
газопроводы пускового контура в составе надземной обвязки ГПА;
коллекторы АВО газа;
блок АВО газа с обвязкой;
установка подготовки топливного, пускового, импульсного газа.
6.3.6.2. На ГРС рекомендуется выделять следующие ОСПО:
входной газопровод;
узел переключения;
узел очистки;
узел подогрева газа (предотвращения гидратообразования);
узел редуцирования;
узел измерения расхода газа;
узел сбора конденсата;
узел одоризации;
выходные газопроводы.
6.3.6.3. На АГНКС рекомендуется выделять следующие ОСПО:
входной газопровод АГНКС;
входной сепаратор;
газопровод подачи газа в машинный зал (от сепаратора до компрессорной установки);
компрессорная установка с трубопроводной обвязкой в машинном зале;
газопровод надземный от компрессорной установки до аккумуляторов газа;
газопровод надземный от аккумуляторов до коллектора газораздаточных колонок;
газораздаточные колонки.
6.3.7. Определение расчетных сценариев аварий на площадочных объектах МГ.
6.3.7.1. Возможные физические проявления аварий на ОСПО определяются взрыво- и (или) пожароопасностью природного газа, метанола, турбинного масла, дизельного топлива и др. ГСМ, а также высокими значениями давления в соответствующих ОСПО.
Природный газ по токсикологическим характеристикам относится к 4-му классу опасности (слаботоксичные вещества) и по этой причине проявления аварии, связанные с токсическим поражением, не рассматриваются. Для ГРС необходимо рассмотреть токсичность используемых одорирующих средств.
С учетом этого основными физическими проявлениями аварий и сопровождающими их поражающими факторами на площадочных объектах являются следующие:
а) разрыв газопровода или разрушение емкости, аппарата, установки с природным газом под давлением с выбросом (истечением) и воспламенением газа и образованием струевых пламен или колонного пожара с распространением вблизи места аварии поражающих факторов: осколков (фрагментов трубы), воздушной волны сжатия, образующейся в начальные моменты истечения сжатого газа в атмосферу, скоростного напора струи газа, прямого воздействия пламени, теплового излучения от пламени;
б) разрыв газопровода или разрушение емкости, аппарата, установки с истечением природного газа в атмосферу, его рассеиванием, образованием зоны загазованности и последующим задержанным воспламенением и дефлаграционным сгоранием газовоздушной смеси;
в) утечка природного газа внутри производственного помещения с образованием взрывоопасной газовоздушной смеси, воспламенение смеси и ее взрывное превращение в дефлаграционном режиме с образованием волны сжатия и пожара колонного типа в загроможденном пространстве;
г) утечка турбинного масла из патрубков масла ГПА, попадание его на горячие поверхности ГПА и возгорание с развитием пожара внутри здания компрессорного цеха или укрытия ГПА с переходом в пожар колонного типа;
д) взрыв ТВС в емкостях с метанолом, дизельным топливом, бензином с последующим разливом и воспламенением горючих жидкостей и горением в виде пожара разлития с распространением вблизи места аварии поражающих факторов: осколков емкостей, воздушной волны сжатия, прямого воздействия пламени и теплового излучения от пламени;
е) утечка горючей термодинамически стабильной жидкости (дизельного топлива, турбинного масла, бензина, метанола) из емкости, резервуара, технологического трубопровода с образованием лужи разлития и испарением жидкости с поверхности разлива; воспламенение взрывопожароопасных паров жидкости (ТВС) от какого-либо источника зажигания, находящегося вблизи лужи разлития с возникновением воздушной волны сжатия, образующейся при взрывном сгорании смеси, прямого воздействия пламени при сгорании облака ТВС и теплового излучения от пламени пожара разлития;
ж) токсическое воздействие одоранта при аварийной разгерметизации емкостей или трубопроводов с одорантом на ГРС.
6.3.7.2. Сценарный анализ для площадочных объектов рекомендуется строить по иерархической схеме, включающей группы Ci сценариев и входящие в них расчетные сценарии Cij. При формировании сценарных групп и расчетных сценариев рекомендуется учитывать не все возможные физические проявления аварий на площадочных объектах, перечисленные в пункте 6.3.7.1, а наиболее значимые из них, характеризующиеся наиболее масштабными поражающими факторами с тяжелыми последствиями.
Для обеспечения четкой формализации вероятностных расчетов на дальнейших этапах расчета риска типовые группы Ci расчетных сценариев формируют отдельно для каждого из следующих типов ОСПО, идентифицируемых с помощью соответствующих буквенных шифров:
участки подземных технологических газопроводов: шифр - "ГП";
участки надземных наружных технологических газопроводов, включая наружную обвязку ГПА на КС, обвязку наружных емкостей и аппаратов и сами емкости под давлением газа на всех рассматриваемых в настоящем Руководстве площадочных объектах: шифр - "ГНН";
участки надземных внутренних технологических газопроводов, расположенных внутри помещений (включая обвязку ГПА внутри укрытий ГПА или зданий компрессорных цехов, обвязку закрытых блоков подготовки топливного, пускового импульсного газа на площадках КС, обвязку газотурбинных электростанций, газопроводы внутри блоков редуцирования ГРС, помещений компрессорных установок АГНКС): шифр - "ГНВ";
технологические жидкостные трубопроводы горючих термодинамически стабильных жидкостей, емкости ГСМ, насосное оборудование с трубопроводной обвязкой: шифр - "ЖС";
6.3.7.3. Исходным событием каждого расчетного сценария Cij является событие А, обозначающее аварийную разгерметизацию одного из M элементов (или элементарных участков - для трубопроводов), на которые для расчетных целей разбивается каждая ОСПО из числа перечисленных в пункте 6.3.7.2 настоящего Руководства и находящихся в пределах рассматриваемого площадочного объекта. Для расчетных целей рекомендуется идентифицировать указанные элементы (элементарные участки) с помощью буквенно-цифрового шифра следующего вида
|
ПОk - ОСПОn-m, |
(6.1) |
где ПО - буквенный шифр (аббревиатура) типа площадочного объекта со следующими возможными вариантами: КС, ГРС, АГНКС;
k - номер площадочного объекта данного типа, условно присваиваемый площадочному объекту при рассмотрении нескольких площадочных объектов одного типа в рамках выполняемой работы по КолАР;
ОСПО - буквенный шифр (аббревиатура) типа ОСПО на данном площадочном объекте со следующими возможными вариантами (пункт 6.3.7.2): ГП, ГНН, ГНВ, ЖС;
n - номер, присвоенный конкретной ОСПО на k-ом площадочном объекте;
m - номер элемента (или элементарного участка) рассматриваемой ОСПО.
6.3.7.4. При рассмотрении аварийных событий на каждом m-ом элементе (элементарном участке) той или иной n-ой ОСПО сформированная совокупность расчетных сценариев {Cij} представляет собой полную группу несовместных событий с соблюдением следующего равенства
|
|
(6.2) |
где I - общее количество сценарных групп для данного типа ОСПО;
J(i) - общее количество расчетных сценариев в i-той группе,
Р(Cij|A) - условная вероятность реализации расчетного сценария Cij при условии возникновения аварии A.
6.3.7.5. Рекомендуемые группы сценариев для ОСПО типа ГП (подземные технологические газопроводы) по физическим проявлениям аналогичны 4-м группам сценариев, описанным для ЛЧ подземных МГ. Эти группы обозначаются Ci(ГП) (где i = 1, 2, ... I - номер группы сценариев, I = 4 - общее число групп сценариев для ОСПО типа ГП). Перечень групп с описанием приведен в таблице № 6.1.
Группы сценариев аварий для ОСПО типа ГП (подземные технологические газопроводы)
|
Обозначение и название группы |
Группа сценариев (типовая последовательность событий) |
Поражающие факторы |
|
C1(ГП) "Пожар в котловане ("Пожар колонного типа") |
Разрыв подземного технологического газопровода → образование котлована (как правило, в нормальных ("твердых") грунтах) → образование первичной ВУВ за счет расширения компримированного газа в атмосфере → разлет осколков трубы и фрагментов грунта → истечение газа из котлована в виде "колонного" шлейфа → воспламенение истекающего газа с образованием "столба" пламени в форме, близкой к цилиндрической → термическое воздействие пожара на технологическое оборудование, здания и сооружения площадочного объекта, а также на персонал, оказавшийся вне → помещений возможное каскадное развитие аварии при воздействии поражающих факторов на оборудование под давлением, емкости и аппараты, содержащие природный газ и горючие жидкости, с распространением поражающих факторов за пределы объекта → разрушение или повреждение оборудования, зданий и сооружений на объекте и, возможно, имущества 3-х лиц и компонентов природной среды за пределами объекта, гибель или получение людьми (персоналом и, возможно, населением) ожогов различной степени тяжести, а также травм от действия ВУВ, осколков. |
Разлет осколков, ВУВ, прямое воздействие пламени, тепловое излучение от пламени, токсичные продукты сгорания |
|
C2(ГП) "Струевое пламя" |
Разрыв газопровода → "вырывание" плетей разрушенного газопровода из грунта на поверхность (как правило, "в слабонесущих" грунтах) → образование первичной ВУВ → разлет осколков трубы и фрагментов грунта → истечение газа из газопровода в → виде двух независимых высокоскоростных струй воспламенение истекающего газа с образованием двух струй пламени, горизонтальных или наклонных (вверх) → прямое и радиационное термическое воздействие пожара на технологическое оборудование, здания и сооружения площадочного объекта, а также на людей, → оказавшихся вне помещений возможное каскадное развитие аварии при воздействии поражающих факторов на оборудование под давлением, емкости и аппараты, содержащие природный газ и горючие жидкости, с распространением поражающих факторов за пределы объекта → разрушение или повреждение оборудования, зданий и сооружений на объекте и, возможно, имущества 3-х лиц и компонентов природной среды за пределами объекта, гибель или получение людьми (персоналом и, возможно, населением) ожогов различной степени тяжести, а также травм от динамического напорного воздействия струй газа, действия ВУВ, осколков. |
Разлет осколков, ВВС, скоростной напор струи, прямое воздействие пламени, тепловое излучение от пламени, токсичные продукты сгорания |
|
C3(ГП) "Рассеивание низкоскоростного шлейфа газа" |
Разрыв газопровода → образование котлована в грунте (как правило, в нормальных ("твердых") грунтах) → образование ВУВ → разлет осколков трубы и фрагментов грунта → истечение газа из газопровода в виде колонного низкоскоростного шлейфа → рассеивание истекающего газа без воспламенения → попадание персонала объекта, зданий сооружений, технологического оборудования объекта в зону барического, осколочного воздействия или газового облака → получение персоналом травм и повреждение зданий, сооружений, оборудования с возможной вторичной разгерметизацией оборудования под давлением в результате воздействия ВВС и осколков; асфиксия персонала объекта при попадании в газовое облако; загрязнение атмосферы природным газом. |
Разлет осколков, ВУВ, попадание природного газа в атмосферу |
|
C4(ГП) "Рассеивание двух струй газа" |
Разрыв газопровода → вырывание плетей разрушенного газопровода из грунта на поверхность (как правило, в "слабонесущих" грунтах) → образование ВУВ → разлет осколков трубы и фрагментов грунта → истечение газа из газопровода в виде 2-х свободных независимых струй → а рассеивание истекающего газа без воспламенения → попадание персонала объекта, зданий, сооружений, технологического оборудования объекта в зону воздействия ВУВ, осколочного воздействия, скоростного напора струи или газового облака → получение персоналом травм и повреждение зданий, сооружений, оборудования с возможной вторичной разгерметизацией оборудования под давлением в результате воздействия ВУВ, скоростного напора струи и осколков; асфиксия персонала объекта при попадании в газовое облако (струю); загрязнение атмосферы природным газом. |
Разлет осколков, ВУВ, скоростной напор струи, попадание природного газа в атмосферу |
6.3.7.6. Рекомендуемые группы сценариев для ОСПО типа ГНН (надземные наружные технологические газопроводы) обозначаются Ci(ГНН) (где i = 1, 2, ... I - номер группы сценариев, I = 3 - общее число групп сценариев для ОСПО типа ГНН) и приведены в таблице № 6.2.
Группы сценариев аварий для ОСПО типа ГНН (надземные наружные технологические газопроводы)
|
Обозначение и название группы |
Группа сценариев (типовая последовательность событий) |
Поражающие факторы |
|
C1(ГНН) "Пожар колонного типа в загроможденном пространстве" |
Разрыв надземного наружного технологического газопровода при наличии вблизи места разрыва преграды (оборудования, сооружения, здания) → образование ВУВ в момент разрыва → разлет фрагментов трубы → истечение струй газа из концов разорванного газопровода и их взаимодействие с окружающими преградами, ограничивающими динамическое распространение струй газа → воспламенение образовавшейся газовоздушной смеси с возникновением в условиях загроможденного пространства пожара колонного типа → несрабатывание или безуспешная отработка систем пожаротушения → термическое воздействие пожара на технологическое оборудование, здания и сооружения площадочного объекта, а также на персонал, оказавшийся вне помещений → возможное каскадное развитие аварии при воздействии поражающих факторов на оборудование под давлением, емкости и аппараты, содержащие природный газ и горючие жидкости, с распространением поражающих факторов за пределы объекта → разрушение или повреждение оборудования, зданий и сооружений на объекте и, возможно, имущества 3-х лиц и компонентов природной среды за пределами объекта, гибель или получение людьми (персоналом и, возможно, населением) ожогов различной степени тяжести, а также травм от действия ВУВ, осколков. |
Разлет фрагментов газопроводов и другого технологического оборудования под давлением, ВУВ, прямое воздействие пламени, тепловое излучение от пламени, токсичные продукты сгорания от вторичных пожаров |
|
C2(ГНН) "Струевые пламена" |
Разрыв надземного наружного технологического газопровода → образование ВУВ в момент разрыва → разлет фрагментов трубы → истечение газа из концов разорванного газопровода в виде высокоскоростных струй → воспламенение истекающего газа с образованием высокоскоростных струй пламени (факелов) → несрабатывание или безуспешная отработка систем пожаротушения → свободная ориентация факелов в горизонтальной плоскости → прямое и радиационное термическое воздействие пожара на технологическое оборудование, здания и сооружения площадочного объекта, а также на людей, оказавшихся вне помещений → возможное каскадное развитие аварии при воздействии поражающих факторов на оборудование под давлением, емкости и аппараты, содержащие природный газ и горючие жидкости, с распространением поражающих факторов за пределы объекта → разрушение или повреждение оборудования, зданий и сооружений на объекте и, возможно, имущества 3-х лиц и компонентов природной среды за пределами объекта, гибель или получение людьми (персоналом и, возможно, населением) ожогов различной степени тяжести, а также травм от действия ВУВ, скоростного напора струи, осколков. |
Разлет фрагментов газопроводов и другого технологического оборудования под давлением, ВУВ, скоростной напор струи, прямое воздействие пламени, тепловое излучение от пламени, токсичные продукты сгорания |
|
C3(ГНН) "Рассеивание струй газа без воспламенения" |
Разрыв надземного наружного технологического газопровода → истечение газа из концов разорванного газопровода в виде высокоскоростных струй с образованием ВУВ в момент разрыва → разлет фрагментов трубы → рассеивание истекающего газа без воспламенения → попадание персонала объекта, зданий, сооружений, технологического оборудования объекта в зону воздействия ВУВ, осколочного воздействия, скоростного напора струи или газового облака → получение персоналом травм и повреждение зданий, сооружений, оборудования с возможной вторичной разгерметизацией оборудования под давлением в результате воздействия ВУВ, скоростного напора струи и осколков; асфиксия персонала объекта при попадании в газовое облако (струю); загрязнение атмосферы природным газом. |
Разлет осколков, ВУВ, скоростной напор струи, попадание природного газа в атмосферу |
6.3.7.7. Рекомендуемые группы сценариев для ОСПО типа ГНВ (надземные внутренние технологические газопроводы) обозначаются Ci(ГНВ) (где i = 1, …, I - номер группы сценариев, I = 2 - общее число групп сценариев для ОСПО типа ГНВ) и приведены в таблице № 6.3.
Группы сценариев аварий для ОСПО типа ГНВ (надземные внутренние технологические газопроводы)
|
Обозначение и название группы |
Группа сценариев (типовая последовательность событий) |
Поражающие факторы |
|
C1(ГНВ) "Пожар колонного типа в загроможденном пространстве" |
Разрыв надземного технологического газопровода внутри здания (помещения, укрытия) → образование ВУВ в момент разрыва газопровода → разлет фрагментов трубы → истечение струи газа из концов разорванного газопровода и их взаимодействие с окружающими преградами (в виде стен и смежного оборудования), ограничивающими динамическое распространение струй газа → заполнение здания (укрытия) газовоздушной смесью → воспламенение смеси со взрывным эффектом → частичное или полное разрушение здания (помещения, укрытия) и смежного оборудования и трубопроводов в результате взрывного сгорания ГВС с гибелью людей, находящихся в здании → возникновение пожара колонного типа в условиях загроможденного пространства разрушенного здания (помещения, укрытия) → термическое воздействие пожара на технологическое оборудование, здания и сооружения площадочного объекта, а также на персонал, оказавшийся вне помещений → возможное каскадное развитие аварии при воздействии поражающих факторов на оборудование под давлением, емкости и аппараты, содержащие природный газ и горючие жидкости, с распространением поражающих факторов за пределы объекта → разрушение или повреждение оборудования, зданий и сооружений на объекте и, возможно, имущества 3-х лиц и компонентов природной среды за пределами объекта, гибель или получение людьми (персоналом и, возможно, населением) ожогов различной степени тяжести, а также травм от действия ВУВ, осколков. |
Разлет осколков, ВУВ, прямое воздействие пламени, тепловое излучение от пламени, токсичные продукты сгорания |
|
C2(ГНВ) "Рассеивани е газа без воспламенен ия" |
Разрыв надземного технологического газопровода внутри здания (помещения, укрытия) → образование ВУВ в момент разрыва газопровода → разлет фрагментов трубы → истечение струй газа из концов разорванного газопровода и их взаимодействие с окружающими преградами (в виде стен и смежного оборудования) → частичное разрушение здания (помещения, укрытия) в части остекления, "легкосбрасываемых" элементов конструкции, смежного технологического оборудования за счет ВУВ, скоростного напора струи и осколков → заполнение здания (помещения, укрытия) газовоздушной смесью и ее истечение в атмосферу без воспламенения через образовавшиеся проемы в стенах, кровле с дальнейшим рассеиванием → попадание персонала, находящегося в здании (помещении, укрытии) объекта в зону воздействия ВУВ, осколочного воздействия, загазованности, скоростного напора струи → получение персоналом механических травм, асфиксия персонала, загрязнение атмосферы природным газом. |
Разлет осколков, ВУВ, скоростной напор струи, попадание природного газа в атмосферу |
6.3.7.8. Рекомендуемые группы сценариев для ОСПО типа ЖС (технологические жидкостные трубопроводы горючих термодинамически стабильных жидкостей, емкости ГСМ, насосное оборудование с трубопроводной обвязкой) обозначаются Ci(ЖС) (где i = 1, … I - номер группы сценариев, I = 2 - общее число групп сценариев для ОСПО типа ЖС) и приведены в таблице № 6.4.
Группы сценариев аварий для ОСПО типа ЖС (технологические жидкостные трубопроводы горючих стабильных жидкостей, емкости ГСМ, насосное оборудование с трубопроводной обвязкой)
|
Обозначение и название группы |
Группа сценариев (типовая последовательность событий) |
Поражающие факторы |
|
C1(ЖС) "Пожар разлития" |
Разгерметизация жидкостного трубопровода, емкости или обвязки насоса с горючей жидкостью → утечка горючей жидкости → образование лужи (пролива) горючей жидкости → испарение горючей жидкости → воспламенение паров горючей жидкости от горячей поверхности или открытого источника огня → отказ системы пожаротушения или безуспешная отработка системы пожаротушения → возникновение и развитие пожара пролива с перерастанием в пожар колонного типа → термическое воздействие пожара на смежное оборудование, сооружения здания площадочного объекта, а также на персонал объекта → разрушение или повреждение оборудования, зданий и сооружений на объекте, гибель или получение людьми ожогов различной степени тяжести. |
Прямое воздействие пламени, тепловое излучение от пламени, токсичные продукты сгорания |
|
C2(ЖС) "Утечка горючей жидкости без воспламенения" |
Разгерметизация жидкостного трубопровода, емкости или обвязки насоса с горючей жидкостью → утечка горючей жидкости → образование лужи (пролива) горючей жидкости → испарение горючей жидкости → рассеивание паров жидкости без воспламенения; или → воспламенение паров горючей жидкости от горячей поверхности или открытого источника огня → срабатывание системы пожаротушения с быстрым тушением очага пожара → рассеивание паров несгоревшей жидкости; → отравление персонала парами жидкости |
Токсичное воздействие паров жидкости на людей, загрязнение атмосферы |
6.3.7.9. Расчетный j-ый сценарий Cij i-ой группы сценариев для той или иной ОСПО -это один из вариантов реализации соответствующей типовой последовательности событий из таблиц № 6.2 - № 6.5. Конкретная реализация сценария определяется рядом факторов, влияющих на интенсивность и характер поступления опасных веществ в атмосферу ("функцию источника"), на особенности распространения опасных веществ или энергии (например, тепловой радиации, волн сжатия) в конкретных условиях инфраструктурного окружения, на время и эффективность локализации аварии на той или иной ОСПО. Указанные "задающие" расчетный сценарий факторы опосредованно или напрямую влияют на конфигурацию и размеры зоны воздействия - термического, токсического, барического, механического. Поэтому в конечном итоге каждый идентифицированный в ходе анализа риска ОСПО расчетный сценарий аварии будет отличаться от другого в общем случае конфигурацией и размерами зоны опасного воздействия доминирующего поражающего фактора этого сценария и, соответственно, ущербом.
Ряд влияющих факторов, которые рекомендуется учитывать при формировании расчетных сценариев, в том числе, и на площадочных объектах, а также общие подходы к формированию набора расчетных сценариев внутри каждой группы сценариев описаны в пункте 5.3.7 настоящего Руководства.
Применительно к площадочным объектам важнейшими задающими факторами (кроме указанных в пункте 5.3.7 настоящего Руководства), которые в большинстве случаев рекомендуется учитывать при формировании расчетных сценариев, являются:
факторы, связанные с адекватностью реагирования диспетчера объекта на аварию;
факторы, связанные с местом расположения, срабатыванием/несрабатыванием и временем срабатывания (перекрытия) отсечной запорной арматуры,
факторы, связанные с местом расположения, срабатыванием/несрабатыванием и временем срабатывания штатных средств пожаротушения, аварийной вентиляции, других пассивных и активных средств защиты.
6.3.7.10. Процедуру формирования расчетных сценариев для каждой заранее выделенной n-ой ОСПО рекомендуется выполнять с использованием метода построения деревьев событий). Исходным событием каждого дерева должно быть событие А - разгерметизация (разрыв) m-го элемента ОСПО, которое (т.е. событие А) может иметь дальнейшее развитие в рамках определенных в таблицах № 6.2 - № 6.5 (в зависимости от типа рассматриваемой ОСПО) групп сценариев. При этом каждый узел (разветвление) дерева событий отражает "вмешательство" в ход событий одного из учитываемых влияющих ("задающих") факторов, указанных в пункте 6.3.7.9. После учета при построении дерева всех заранее заданных влияющих факторов получившееся на выходе дерева общее число конечных ветвей соответствует общему числу IJ расчетных сценариев аварии на m-м элементе n-ой ОСПО, образующих полную группу несовместных событий (рисунок 6.1).
При выполнении данной процедуры пользователь по своему усмотрению путем задания влияющих факторов может определить общее количество расчетных сценариев аварии на m-м элементе n-ой ОСПО, но в любом случае оно не должно быть меньше числа I групп сценариев, рекомендуемого в таблицах № 6.2 - № 6.5 (т.е. по каждой группе сценариев определяют не менее одного расчетного сценария).

Рисунок 6.1. Пример дерева событий (числа обозначают условные
вероятности
промежуточных событий РА - развитие аварии, ПИ - прекращение истечения)
6.3.7.11. При формировании расчетных сценариев аварий на конкретных ОСПО КС МГ рекомендуется задавать сценарии из групп, указанных в таблице № 6.5.
Опасные составляющие КС и соответствующие им группы сценариев аварий
|
Наименование ОСПО |
Характерные группы сценариев аварий |
|
Магистральный газопровод на участках, прилегающих к КС |
C1(ГП), C2(ГП), C3(ГП), C4(ГП) |
|
Входной газопровод-шлейф, подземный |
C1(ГП), C2(ГП), C3(ГП), C4(ГП) |
|
Выходной газопровод-шлейф, подземный |
C1(ГП), C2(ГП), C3(ГП), C4(ГП) |
|
Всасывающий и нагнетательный коллекторы ГПА, газопроводы пускового контура, подземные |
C1(ГП), C2(ГП), C3(ГП), C4(ГП) |
|
Всасывающий и нагнетательный газопроводы обвязки ГПА, подземные |
C1(ГП), C2(ГП), C3(ГП), C4(ГП) |
|
Всасывающие и нагнетательные газопроводы ГПА, надземные, вне укрытия ГПА или здания компрессорного цеха; |
C1(ГНН), C2(ГНН), C3(ГНН) |
|
Газопроводы пускового контура, надземные, наружные |
|
|
Всасывающие и нагнетательные газопроводы ГПА, надземные, внутри укрытия ГПА или здания компрессорного цеха |
C1(ГНВ), C2(ГНВ) |
|
Газопроводы топливного и пускового газа, надземные наружные |
C1(ГНН), C2(ГНН), C3(ГНН) |
|
Газопроводы топливного и пускового газа внутри здания блока подготовки топливного и пускового газа, укрытия ГПА или здания КЦ |
C1(ГНВ), C2(ГНВ) |
|
Емкости блока подготовки топливного и пускового газа |
C1(ГНВ), C2(ГНВ) |
|
ГПА |
C1(ГНВ), C2(ГНВ) |
|
Пылеуловители с обвязкой |
C1(ГНН), C2(ГНН), C3(ГНН) |
|
АВО газа с обвязкой |
C1(ГНН), C2(ГНН), C3(ГНН) |
|
Крановые узлы, тройники на наружных газопроводах |
C1(ГНН), C2(ГНН), C3(ГНН) |
|
Емкости склада ГСМ с обвязкой; емкости и трубопроводы насосной |
C1(ЖС), C2(ЖС) |
|
Маслопроводы |
C1(ЖС), C2(ЖС) |
Для получения консервативной оценки показателей риска КС при формировании расчетных сценариев аварий на КС МГ рекомендуется принимать, что при разрывах основных технологических газопроводов, разрушениях емкостей, аппаратов и обвязки ГПА, расположенных на площадке КС, имеет место:
срабатывание обратного клапана, установленного на выходе КС и препятствующего обратному потоку газа из МГ, подключенного со стороны высокого давления КС;
отказ системы дистанционного управления краном № 7 (на входе КС) на его закрытие и развитие аварии с подключенным к КС участком МГ со стороны входа на КС.
6.3.7.12. При формировании расчетных сценариев аварий на конкретных ОСПО ГРС рекомендуется задавать сценарии из групп, указанных в таблице № 6.6.
Таблица № 6.6
Опасные составляющие ГРС и соответствующие им группы сценариев аварий
|
Наименование ОСПО |
Характерные группы сценариев аварий |
|
Ближайший к ГРС участок подводящего газопровода-отвода |
C1(ГП), C2(ГП), C3(ГП), C4(ГП) |
|
Входной газопровод ГРС до узла переключения (по ходу газа), подземный |
C1(ГП), C2(ГП), C3(ГП), C4(ГП) |
|
Выходной газопровод ГРС после узла переключения, подземный |
C1(ГП), C2(ГП), C3(ГП), C4(ГП) |
|
Участок входного газопровода после узла переключения (по ходу газа), надземный, наружный |
C1(ГНН), C2(ГНН), C3(ГНН) |
|
Участок выходного газопровода до узла переключения (по ходу газа), надземный, наружный |
C1(ГНН), C2(ГНН), C3(ГНН) |
|
Технологические газопроводы между узлами очистки, подогрева, редуцирования, надземные наружные |
C1(ГНН), C2(ГНН), C3(ГНН) |
|
Пылеуловители с обвязкой |
C1(ГНН), C2(ГНН), C3(ГНН) |
|
Технологические газопроводы внутри блока редуцирования и других технологических помещений |
C1(ГНВ), C2(ГНВ) |
|
Краны, регуляторы давления, тройники, предохранительные клапаны внутри блока редуцирования |
C1(ГНВ), C2(ГНВ) |
|
Крановые узлы на наружных газопроводах |
C1(ГНН), C2(ГНН), C3(ГНН) |
6.3.7.13. При формировании расчетных сценариев аварий на конкретных ОСПО АГНКС рекомендуется задавать сценарии из групп, указанных в таблице № 6.7.
Таблица № 6.7
Опасные составляющие АГНКС и соответствующие им группы сценариев аварий
|
Наименование ОСПО |
Характерные группы сценариев аварий |
|
Участок подводящего газопровода и входной газопровод АГНКС, подземный |
C1(ГП), C2(ГП), C3(ГП), C4(ГП) |
|
Входной газопровод АГНКС, надземный, наружный |
C1(ГНН), C2(ГНН), C3(ГНН) |
|
Сепараторы газа |
C1(ГНН), C2(ГНН), C3(ГНН) |
|
Газопровод к газоподогревателю, надземный, наружный |
C1(ГНН), C2(ГНН), C3(ГНН) |
|
Газоподогреватели |
C1(ГНН), C2(ГНН), C3(ГНН) |
|
Компрессорная установка с газопроводной обвязкой внутри здания производственно-технологического корпуса |
C1(ГНВ), C2(ГНВ) |
|
Газопровод до аккумуляторов газа, подземный |
C1(ГП), C2(ГП), C3(ГП), C4(ГП) |
|
Аккумуляторы газа с наружной обвязкой |
C1(ГНН), C2(ГНН), C3(ГНН) |
|
Крановые узлы, раздаточные колонки |
C1(ГНН), C2(ГНН), C3(ГНН) |
6.4.1. Оценка ожидаемых частот возникновения аварий на площадочных объектах магистральных газопроводов
6.4.1. При определении ожидаемой частоты аварий на площадочных объектах рекомендуется использовать результаты анализа статистической информации Ростехнадзора по авариям и отказам на КС, ГРС, АГНКС.
6.4.1.1. Для действующих КС МГ, построенных до 2000 г., в качестве консервативных оценок удельной частоты аварий (аварийной разгерметизации) различных ОСПО рекомендуется использовать значения, приведенные в таблице № 6.8.
Примечание. Частота аварий на условно "точечных" ОСПО (ГПА, сепараторах, пылеуловителях, АВО газа и др.) включает в себя и частоту аварий на трубопроводной обвязке этих ОСПО.
6.4.1.2. Для действующих ГРС, построенных до 2000 г., в качестве консервативных оценок удельной частоты аварийной разгерметизации различных ОСПО рекомендуется использовать значения, приведенные в таблице № 6.9.
Таблица № 6.8
Рекомендуемые консервативные значения ожидаемой удельной частоты разгерметизации технологических элементов ОСПО на действующих КС МГ постройки до 2000 г.
|
Наименование ОСПО и их технологических элементов |
Удельная частота аварий, λnm, 1/(м·год) или 1/(сосуд·год) или 1/(агрегат·год) или 1/(элемент·год) |
|
1 |
2 |
|
Магистральный газопровод на участках, прилегающих к КС |
3λМГ* |
|
Входной газопровод-шлейф, подземный |
2·10-7 1/(м·год) |
|
Выходной газопровод-шлейф, подземный |
4·10-7 1/(м·год) |
|
Всасывающие коллектор и газопроводы ГПА, коллектор и газопроводы пускового контура, подземные |
6·10-7 1/(м·год) |
|
Нагнетательные коллектор и газопроводы ГПА, подземные |
9·10-7 1/(м·год) |
|
Всасывающие газопроводы ГПА, надземные (в том числе внутри укрытий ГПА) |
12·10-7 1/(м·год) |
|
Газопроводы пускового контура, надземные |
|
|
Нагнетательные газопроводы ГПА, надземные (в том числе внутри укрытий ГПА) |
15·10-7 1/(м·год) |
|
Газопроводы топливного и пускового газа, диаметром менее 219 мм |
6·10-7 1/(м·год) |
|
Газопроводы диаметром менее 219 мм |
12·10-7 1/(м·год) |
|
ГПА |
1·10-4 1/(агрегат·год) |
|
Пылеуловители |
2,5·10-5 1/(сосуд·год) |
|
АВО газа |
2,5·10-5 1 /(блок·год) |
|
Крановые узлы, тройники |
1,5·10-5 1/(элемент·год) |
|
Блок подготовки топливного и пускового газа |
2,5·10-5 1/(блок·год) |
|
____________ * λМГ - среднее значение удельной частоты аварий на перегоне между КС |
|
Рекомендуемые консервативные оценки ожидаемой удельной частоты разгерметизации технологических элементов ОСПО на действующих ГРС
|
Наименование ОСПО и их технологических элементов |
Удельная частота аварий, λnm, 1/(м·год) или 1/(сосуд·год) или 1/(элемент·год) |
|
Ближайший к ГРС участок подводящего газопровода-отвода |
2λГО* |
|
Входной газопровод ГРС до узла переключения (по ходу газа), подземный |
2·10-7 1/(м·год) |
|
Выходной газопровод ГРС после узла переключения, подземный |
2·10-7 1/(м·год) |
|
Участок входного газопровода после узла переключения (по ходу газа), надземный |
9·10-7 1/(м·год) |
|
Участок выходного газопровода до узла переключения (по ходу газа), надземный |
9·10-7 1/(м·год) |
|
Технологические газопроводы между узлами очистки, подогрева, редуцирования |
4·10-7 1/(м·год) |
|
Пылеуловители |
2,5·10-5 1/(сосуд·год) |
|
Крановые узлы, регуляторы давления, тройники, предохранительные клапаны |
1,5·10-5 1/(элемент·год) |
|
____________ * λГО - средняя удельная частота аварий на газопроводе-отводе, к которому подключена ГРС. |
|
6.4.1.3. Для действующих АГНКС в качестве консервативных оценок удельной частоты аварийной разгерметизации различных ОСПО рекомендуется использовать значения, приведенные в таблице № 6.10.
Таблица № 6.10
Рекомендуемые консервативные оценки ожидаемой удельной частоты разгерметизации технологических элементов ОСПО на действующих АГНКС
|
Наименование ОСПО и их технологических элементов |
Удельная частота аварий, λnm, 1/(м·год) или 1/(сосуд·год) или 1/(элемент·год) |
|
1 |
2 |
|
Входной газопровод АГНКС, надземный, на площадке АГНКС |
3·10-7 1/(м·год) |
|
Сепараторы газа |
2,5·10-5 1/(сосуд·год) |
|
Газопровод к газоподогревателю |
8,8·10-7 1/(м·год) |
|
Газоподогреватели |
3·10-5 1/(элемент·год) |
|
Газопровод до аккумуляторов газа (68×4 мм, 24,4 МПа) |
8,8·10-7 1/(м·год) |
|
Аккумуляторы газа |
1·10-4 1/(сосуд·год) |
|
Крановые узлы, раздаточные колонки |
1·10-5 1/(элемент·год) |
|
Компрессорная установка |
1·10-4 1/(элемент·год) |
6.4.2. Использование приведенных в пункте 6.4.1 настоящего Руководства консервативных оценок частот в процедуре анализа риска рекомендуется в следующих случаях:
при отсутствии в полном объеме технологической и технической документации по объекту;
при отсутствии в полном объеме регламентов обслуживания технологических систем КС, ГРС, АГНКС;
при отсутствии данных по внутритрубной дефектоскопии газопроводов - шлейфов, коллекторов и технологических обвязок аппаратов и установок;
при нарушениях сроков проведения диагностических и ремонтных работ;
при имеющихся неустраненных замечаниях, касающихся работ по диагностике, ремонту и техническому обслуживанию, со стороны надзорных органов (организаций).
6.4.3. При безусловном выполнении всех указанных в пункте 6.4.2 настоящего Руководства требований к организационно-техническим мероприятиям для площадочных объектов, предусмотренных нормативными документами в области промышленной безопасности, указанные в пункте 6.4.1 настоящего Руководства значения ожидаемой удельной частоты аварий уменьшают в k раз, где k находится в диапазоне от 1 до 2 и выбирается с учетом условий эксплуатации объекта, уровня культуры производства, срока службы применяемого оборудования и показателей его надежности.
6.4.4. Для проектируемых площадочных объектов указанные в пункте 6.4.1 значения ожидаемой удельной частоты аварий уменьшают в 10 раз.
6.4.5. Для условно "точечных" элементов (ГПА, сепараторов, пылеуловителей, АВО газа и др.) ожидаемая частота аварий fnm совпадает c удельной частотой аварий λnm, значения которой для различных "точечных" элементов приведены в таблицах № 6.9 - № 6.11 настоящего Руководства. Для каждого n-го ОСПО, состоящего из М таких элементов, абсолютная ожидаемая частота аварий fn определяется как сумма ожидаемых частот аварий на fnm этих элементах.
6.4.6. С целью установления влияния на ожидаемую частоту аварий специфических условий функционирования площадочных объектов, проводимых на них ремонтов, изменяющихся природных условий рекомендуется оценивать вариабельность частоты методами логико-вероятностного моделирования по приложению № 6 настоящего Руководства.
6.4.2. Оценка условных вероятностей и ожидаемых частот реализации расчетных сценариев аварий на площадочных объектах магистральных газопроводов
6.4.2.1. На данном этапе КолАР для каждой рассматриваемой ОСПО на анализируемом площадочном объекте определяются условные вероятности P(Cij|A) реализации каждого расчетного сценария Cij (при условии, что произошла разгерметизация (разрушение) ОСПО событие А) из сформированного на предыдущем этапе набора сценариев {Сij} для каждого m-го элемента ОСПО.
6.4.2.2. При определении условных вероятностей реализации расчетных сценариев аварий на различных ОСПО рекомендуется базироваться на основных положениях методических подходов, описанных в пункте 5.4.2 настоящего Руководства, предусматривающих построение деревьев событий. В деревья событий, кроме основных событий, связанных с разгерметизацией ОСПО, загоранием/незагоранием опасного вещества, влиянием на характер (вид) истечения опасного вещества, метеоусловиями включают промежуточные события, связанные:
с возможными ошибками Oчел диспетчера объекта при обнаружении и локализации аварии, условные вероятности P(Oчел|A) которых (т.е. ошибок человека) рекомендуется определять с использованием имеющихся статистических данных и результатов экспертных оценок;
со срабатыванием/несрабатыванием TЗА,
автоматической и дистанционно
управляемой запорной арматуры, расположенной на территории площадочного
объекта, что влияет на динамику и продолжительность аварийного истечения
опасного вещества в окружающую среду; при этом соответствующие условные
вероятности P(
|A)
рекомендуется определять на основе статистических данных по отказам и
паспортных данных по надежности запорной арматуры, привода и арматуры и системы
управления приводом;
со срабатыванием/несрабатыванием TПЖТ,
штатных средств пожаротушения,
аварийной вентиляции, других пассивных и активных средств защиты; при этом
соответствующие условные вероятности P(
|A)
рекомендуется определять на основе имеющихся статистических данных по отказам данного
оборудования, а также паспортных данных по его надежности;
6.4.2.3. Для подземных технологических газопроводов
площадочного объекта при определении условных вероятностей P(
|A)
реализации расчетных сценариев
аварии допускается использовать в
полном объеме методический подход, описанный в пункте 5.4.2.3 настоящего Руководства. При этом для
примыкающих к КС, ГРС, АГНКС участков МГ (или соответственно,
газопроводов-отводов, подводящих газопроводов), а также для входного и
выходного подземных газопроводов-шлейфов КС рекомендуется принимать значения
условных вероятностей промежуточных событий, приведенные в таблице № 5.8 настоящего Руководства.
Для остальных подземных технологических газопроводов, расположенных в условиях плотной производственной застройки площадочного объекта с наличием постоянно, периодически или эпизодически действующих источников зажигания, рекомендуется увеличить приведенные в первой графе таблицы № 5.8 настоящего Руководства значения условной вероятности "мгновенного" (сразу после разгерметизации) загорания истекающего газа на 30 %.
6.4.2.4. При рассмотрении аварий на надземных наружных и внутренних трубопроводах, емкостях, аппаратах, установках условную вероятность "мгновенного" загорания горючего опасного вещества задают в диапазоне значений 0,8 - 1,0 в зависимости от плотности размещения оборудования и/или сооружений, среди которых находится анализируемый технологический элемент, и близости постоянно, периодически или эпизодически действующих источников зажигания.
6.4.2.5. Рекомендуемая формула
расчета условной вероятности реализации j-го сценария с пожаром на
примере аварии из группы сценариев
с разгерметизацией надземного
наружного газопровода с возникновением и развитием открытого пожара колонного
типа в загроможденном пространстве имеет вид
|
|
(6.4) |
где P(B|A) - условная вероятность "мгновенного" загорания истекающего газа;
- условная вероятность несрабатывания
запорной арматуры, которая должна изолировать аварийный участок;
- условная вероятность несрабатывания
средств пожаротушения;
- условная вероятность реализации
сценарной группы
при условии, что произошло загорание
истекающего газа. Зависит от степени загроможденности пространства: чем больше
степень загроможденности, тем больше вероятность сценариев из группы
"Пожар колонного типа в
загроможденном пространстве";
P(uψφ) - относительная частота повторяемости в году скорости ветра uψφ в ψ-том диапазоне скоростей и φ-ом географическом направлении (общее количество Ψ и размеры диапазонов скоростей ветра, а также общее количество учитываемых направлений ветра (число румбов - Ф) задаются пользователем).
6.4.2.6. Ожидаемая удельная частота λcij-nm реализации сценария Cij аварии на m-ом элементе n-ой ОСПО рассчитывается по формуле
|
λcij-nm = λnmP(mn)(Cij), |
(6.5) |
где λnm - ожидаемая удельная частота аварии на m-ом элементе n-ой линейной или точечной ОСПО, 1/(м·год) или 1/(элемент·год);
P(mn)(Cij) - условная вероятность реализации сценария Cij на m-ом элементе n-ой ОСПО.
6.5.1. Расчет интенсивности и объемов выбросов опасных веществ при авариях на площадочных объектах магистральных газопроводов
6.5.1.1. На данном подэтапе КолАР определяются интенсивности, объемы или массы (в том числе, массы опасных веществ, непосредственно участвующих в создании поражающих факторов аварии) и продолжительности аварийных выбросов опасных веществ для заданных (в рамках расчетных сценариев аварий) вариантов нарушений герметичности ОСПО (т.е. размеров отверстий истечения) и вариантов перекрытия потоков углеводородов запорной арматурой.
6.5.1.2. Расчет интенсивности G(τ) нестационарного истечения газа при разрыве технологических газопроводов выполняют, рассматривая отдельно аварийные потоки газа с интенсивностями G1(τ) и G2(τ) из двух концов разрушенного газопровода, разделенного разрывом на два аварийных участка: верхний и нижний (относительно точки разрыва газопровода по доаварийному потоку газа: верхний - с более высоким начальным давлением, нижний - с более низким начальным давлением).
При рассмотрении случаев разгерметизации аппаратов, емкостей рассчитывается интенсивность истечения G(τ) из образовавшегося единственного отверстия разрыва.
При этом в качестве основных влияющих на интенсивность истечения параметров учитывают: диаметр отверстия истечения; фактическое доаварийное давление газа в месте разгерметизации; местоположение аварийного элемента ОСПО в общей технологической схеме; время, требуемое для закрытия кранов либо в автоматическом режиме (минимальное время отсечения), либо с помощью средств дистанционного управления (время закрытия зависит от алгоритма идентификации факта аварии и реакции диспетчера), либо с участием персонала объекта вручную по месту расположения кранов (время отсечения в данном случае в основном определяется временем прибытия персонала к местам расположения запорной арматуры).
Интенсивность истечения газа рекомендуется рассчитывать с помощью математических моделей, приведенных в приложении № 7 настоящего Руководства, либо в Руководстве по безопасности "Методика оценки риска аварий на технологических трубопроводах, связанных с перемещением взрывопожароопасных газов", утвержденном приказом Ростехнадзора от 17 сентября 2015 г. № 365. При расчетах интенсивности истечения газа при авариях на КС МГ в качестве одного из основных вариантов перекрытия запорной арматуры рекомендуется рассматривать закрытие (в течение первых 30 с после аварийной разгерметизации) обратного клапана на выходном газопроводе-шлейфе и отказ закрытия входного (ой) крана (задвижки) на входном газопроводе-шлейфе.
6.5.1.3. При расчете объема (массы) выброшенного при аварии транспортируемого газа дополнительно к перечисленным в пункте 6.7.2 настоящего Руководства параметрам учитывают продолжительность идентификации факта аварии на диспетчерских пунктах управления технологическим режимом объекта.
6.5.1.4. При определении количества Мав выброшенного газа учитывается вся масса газа, которая может попасть в окружающую среду через отверстие разгерметизации за время, необходимое по технологическому регламенту на локализацию и ликвидацию аварии. При отсутствии в технологическом регламенте указанного значения времени, его определяют, рассматривая три вида оценок: оптимистическую (автоматическое закрытие кранов), среднюю (закрытие крана диспетчером с учетом времени на идентификацию аварии) и пессимистическую (ручное закрытие кранов).
6.5.1.5. Массы Мпф опасных веществ, участвующие в создании поражающих факторов аварии на площадочных объектах, зависят от вида поражающего фактора.
Количество природного газа, участвующее в формировании зон действия воздушной волны сжатия Мпф-ввс и осколочного воздействия Мпф-оск определяется:
для технологических газопроводов - параметрами газопровода (условным диаметром и рабочим давлением);
для емкостного оборудования - массой газа в объеме внутренней полости резервуара, емкости, аппарата.
Количество опасного вещества, участвующее в создании тепловой радиации пожара Мпф-т, в каждый данный момент времени определяется интенсивностью горения (кг/c) газообразных продуктов, либо выбрасываемых из отверстия разгерметизации, либо поступающих в зону горения с поверхности пролива. При этом для потенциальных реципиентов наиболее критично воздействие пламени и тепловой радиации в течение первых минут после разрыва, поскольку наибольшие масштабы поражающего теплового воздействия имеют место именно на этом временном отрезке.
6.5.2. Расчет распространения поражающих факторов аварий на площадочных объектах магистральных газопроводов
6.5.2.1. На данном подэтапе КолАР для каждого расчетного сценария Cij аварии определяется распределение в пространстве основных физических характеристик (размеров зон воздействия) характерных для данного сценария следующих поражающих факторов аварии:
осколков разрушенной ОСПО (газопровода, емкости, аппарата или другого технологического оборудования);
ВУВ и ВВС (в условиях загроможденного пространства на площадочных объектах учитывается не только ВУВ от физического взрыва, но и ВВС, возникающая при воспламенении газа);
динамического давления высокоскоростных струй газа;
загазованности;
тепловой радиации от пожара (в т.ч. прямого воздействия пламени);
тепловой радиации от пожара разлития.
6.5.2.2. Расчет пространственных распределений характеристик разлета осколков выполняется с учетом рекомендаций, приведенных в пункте 5.5.2.2 настоящего Руководства, с использованием математической модели, изложенной в приложении № 8 настоящего Руководства.
6.5.2.3. Расчет пространственных распределений характеристик ВУВ физического взрыва выполняется с учетом рекомендаций, приведенных в пункте 5.5.2.3 настоящего Руководства.
Расчет пространственных распределений характеристик ВВС при воспламенении газа выполняется в соответствии с приложением № 3 Федеральных норм и правил в области промышленной безопасности "Общие правила взрывобезопасности для взрывопожароопасных химических, нефтехимических и нефтеперерабатывающих производств", утвержденных приказом Ростехнадзора от 11 марта 2013 г. № 96, зарегистрированным Минюстом России 16 апреля 2013 г., регистрационный № 28138.
6.5.2.4. Расчет динамического давления высокоскоростных струй газа выполняется с учетом рекомендаций, приведенных в пункте 5.5.2.4 настоящего Руководства.
6.5.2.5. Расчет пространственных распределений характеристик загазованности выполняется с учетом рекомендаций, приведенных в пункте 5.5.2.5, с использованием рекомендаций приложения № 9 настоящего Руководства.
6.5.2.6. Расчет геометрии пламени и территориального распределения потоков теплового облучения от пожаров (струевых и колонного типа), возникающих на площадочных объектах при аварийных истечениях природного газа, выполняется с учетом рекомендаций, приведенных в пункте 5.5.2.6 настоящего Руководства, с использованием соответствующих математических моделей, изложенных в приложении № 10 настоящего Руководства.
6.5.2.7. Расчет геометрии пламени и территориального распределения потоков теплового облучения от пожаров разлития, возникающих на площадочных объектах при аварийных истечениях жидких углеводородов, выполняется с использованием Методики определения расчетных величин пожарного риска на производственных объектах, утвержденной приказом МЧС России от 10 июля 2009 г. № 404.
6.5.3. Расчет количества пострадавших среди населения и персонала от аварий на площадочных объектах магистральных газопроводов
6.5.3.1. На данном подэтапе КолАР для каждого расчетного сценария Cij аварии на каждой выделенной ОСПО определяются размеры ЗПП от расчетных поражающих факторов и ожидаемые количества погибших и раненых среди персонала площадочного объекта и населения (если ЗПП выходят за пределы объекта).
6.5.3.2. В качестве единого целевого уровня поражения человека (единого критерия поражения) от любых поражающих факторов аварии на площадочном объекте при расчетах ЗПП устанавливается летальный исход (гибель человека).
6.5.3.3. Для каждого рассматриваемого сценария производится расчет количества пострадавших от аварии, которое определяется в соответствии с Руководством по безопасности "Методические основы по проведению анализа опасностей и оценки риска аварий на опасных производственных объектах", утвержденным приказом Ростехнадзора от 11 апреля 2016 г. № 144.
6.5.4. Расчет количеств уничтоженного и поврежденного имущества и компонентов природной среды от аварий на площадочных объектах магистральных газопроводов
6.5.4.1. На данном подэтапе КолАР для каждого принятого для анализа расчетного сценария Cij аварии на том или ином элементе ОСПО (из числа перечисленных в пункте 6.3.7 настоящего Руководства) определяются возможные количества (в натуральном выражении) следующих имущественных и природных компонентов (объектов), уничтоженных и поврежденных в результате аварии на площадочном объекте:
зданий и сооружений как на территории площадочного объекта, так и на прилегающих территориях;
технологического оборудования площадочного объекта, и смежных с ним объектов;
автотранспортных средств на переходах газопроводов (учитываемых как ОСПО - ближайших к площадочному объекту участков МГ, подводящих газопроводов ГРС, АГНКС) через автодороги, а также в гаражах и на автостоянках;
автодорожного полотна и объектов обустройства дорог, инженерных коммуникаций на объекте и за его пределами;
расположенных вблизи объекта лесных угодий;
расположенных вблизи объекта сельскохозяйственных культур;
почв.
Кроме того, для расчета штрафов за загрязнение атмосферы и почв определяются объемы выбросов загрязняющих веществ - природного газа, жидких углеводородов (ГСМ) и продуктов их сгорания при возникновении пожара.
6.5.4.2. В качестве поражающих факторов аварии, воздействующих на имущественные и природные компоненты (объекты), в общем случае учитываются: разлет осколков, ВУВ, воздушная волна сжатия и напорное струевое воздействие, прямое воздействие пожаров, тепловая радиация от пожаров, воздействие жидких углеводородов (ГСМ) на почву.
6.5.4.3. При оценке воздействия поражающих факторов аварии на элементы имущественного комплекса и природной среды в полной мере выполняются рекомендации пункта 5.5.4.3 настоящего Руководства относительно применения дозовых и характеристических детерминированных критериев различных поражающих воздействий.
При использовании как характеристических, так и дозовых критериев поражающих воздействий по результатам расчета этих воздействий для конкретного плана размещения имущественных и природных компонентов на и вблизи площадочного объекта определяют количество поврежденных (с данной степенью повреждения) или уничтоженных компонентов (объектов) в результате воздействия каждого поражающего фактора в рамках рассматриваемого сценария аварии, измеряемое в штуках (если объекты - здания, сооружения, транспортные средства) или площадью (га) (если объекты - лесные угодья, сельхозкультуры, почвы, поверхностные экосистемы северных регионов Российской Федерации).
6.5.4.4. Наряду с детерминированными критериями при оценке воздействия поражающих факторов аварии на элементы имущественного комплекса по возможности рекомендуется использовать вероятностные критерии Федеральных норм и правил в области промышленной безопасности "Общие правила взрывобезопасности для взрывопожароопасных химических, нефтехимических и нефтеперерабатывающих производств", утвержденных приказом Ростехнадзора от 11 марта 2013 г. № 96, зарегистрированным Минюстом России 16 апреля 2013 г., регистрационный № 28138, и Руководства по безопасности "Методические основы по проведению анализа опасностей и оценки риска аварий на опасных производственных объектах", утвержденного приказом Ростехнадзора от 11 апреля 2016 г. № 144. Для корреляции детерминированных и вероятностных критериев рекомендуется пользоваться таблицей № 6.11.
Корреляция детерминированных и вероятностных критериев
|
Количественные значения степени повреждения kповр |
Условная вероятность повреждения Pповр |
|
0,1 |
0,01 < Pповр ≤ 0,2 |
|
0,4 |
0,02 < Pповр ≤ 0,6 |
|
0,7 |
0,6 < Pповр < 0,9 |
|
1 |
0,9 < Pповр |
6.5.4.5. В рамках вероятностных критериев распределение условной
вероятности повреждения элементов имущественного комплекса
(x,y) при реализации сценария Cij аварии на площадочном объекте следует определять по
соотношению
|
|
(6.14) |
где
- распределение условной вероятности
повреждения выбранного элемента имущественного комплекса от k-го
поражающего фактора (в соответствии со списком в пункте 6.5.2.1 настоящего Руководства).
При доминировании одного из поражающих факторов (для определенности пятого k = 5)
|
|
(6.15) |
Распределение условной вероятности повреждения выбранного элемента при аварии на площадном объекте
|
|
(6.16) |
Или при ![]()
|
|
(6.17) |
Зонами повреждения для выбранного
элемента имущественного комплекса при реализации аварии на площадочном объекте
или сценария аварии Cij считаются области
(x,y) и
(x,y), в которых соответственно Рповр(x,y) ≥ 0,01 и
(x,y) ≥ 0,01.
Элемент имущественного комплекса считается поврежденным, если он попадает в зону повреждений. Степень повреждения элемента определяется по вероятности повреждения в соответствии с таблицей № 6.12 настоящего Руководства.
6.5.4.6. Рекомендуемая последовательность определения количества уничтоженных и поврежденных стационарных объектов в результате воздействия ВУВ и волн сжатия приведена в пунктах 5.5.4.5 и 5.5.4.9 настоящего Руководства.
6.5.4.7. Рекомендуемая последовательность определения количеств уничтоженных и поврежденных стационарных объектов: зданий, сооружений, транспортных средств на стоянке в результате воздействия на них осколков приведена в пунктах 5.5.4.6 - 5.5.4.7, 5.5.4.9 настоящего Руководства.
6.5.4.8. Рекомендуемая последовательность определения количеств уничтоженных и поврежденных зданий, сооружений и транспортных средств на стоянке (т.е. стационарных объектов, включающих горючие элементы и обладающих пожарной нагрузкой) в результате прямого воздействия пламени и воздействия тепловой радиации от пожара приведена в пунктах 5.5.4.8 и 5.5.4.9 настоящего Руководства.
6.5.4.9. Рекомендуемая последовательность определения количеств уничтоженных и поврежденных движущихся транспортных средств при аварии на подземном переходе через автодорогу газопровода-шлейфа КС, смежного с КС участка МГ, подводящего газопровода к ГРС, АГНКС при воздействии заданного поражающего фактора приведена в пункте 5.5.4.10 настоящего Руководства.
6.5.4.10. Рекомендуемая последовательность определения по дозовому критерию перечня и количеств уничтоженных и поврежденных наружных установок и различных металлических конструкций (т.е. стационарных объектов без горючих элементов и не обладающих пожарной нагрузкой) в результате воздействия тепловой радиации от пожара приведена в пункте 5.5.4.12 настоящего Руководства.
6.5.4.11. Рекомендуемая последовательность определения по характеристическому критерию площадей уничтоженных и поврежденных лесных угодий, плодородного слоя почв и сельхозкультур от пожара приведена в пунктах 5.5.4.13 - 5.5.4.16 настоящего Руководства.
6.6.1. На данном подэтапе КолАР выполняется оценка ущерба в денежном выражении (рублях) для каждого расчетного сценария Cij аварии на элементах выделенных опасных составляющих площадочного объекта и на этой основе - математическое ожидание ущерба от аварии на каждом данном элементе рассматриваемой ОСПО, средние значения для каждой ОСПО и для объекта в целом. При этом используются полученные на предыдущих этапах КолАР (см. пункты 6.5.3 и 6.5.4 настоящего Руководства) результаты расчета ущербов в натуральных показателях (количества погибших и раненых, уничтоженного (поврежденного) имущества и природных компонентов).
6.6.2. Оценка ущерба от аварии на площадочном объекте производится в соответствии с приложением № 12 настоящего Руководства, с учетом ряда изложенных в пунктах 6.6.3 - 6.6.13 настоящего Руководства положений, отражающих специфику площадочных объектов.
6.6.3. Ущерб Уa(ij) при реализации сценария Cij для аварии на той или иной ОСПО складывается из следующих основных составляющих:
социально-экономического ущерба
(руб.), обусловленного гибелью и
травматизмом персонала площадочного объекта, а также населения на прилегающих к
объекту территориях;
прямого ущерба производству
(руб.), обусловленного разрушением и
повреждением зданий и сооружений, технологического оборудования, транспортных
средств и потерями газа и других продуктов, обращающихся на объекте;
ущерба
(руб.) имуществу других (третьих) лиц,
в том числе населения (только для площадочных объектов, зоны воздействия от
аварий на которых выходят за пределы территории объекта, и для которых имеют
место нарушения требований СП 36.13330.2012
"Магистральные трубопроводы. Актуализированная редакция СНиП
2.05.06-85*", утвержденного приказом Федерального агентства по
строительству и жилищно-коммунальному хозяйству от 25 декабря 2012 г. № 108/ГС,
в части минимальных расстояний до имущественных объектов других лиц);
ущерба
(руб), обусловленного затратами на
локализацию аварии, ликвидацию ее последствий и расследование аварии;
экологического ущерба
(руб.).
6.6.4. При расчете составляющих ущерба в полной мере применяются положения пунктов 5.6.5 - 5.6.6 настоящего Руководства.
6.6.5. При расчете
социально-экономического ущерба
(рекомендуемая последовательность
расчета
приведена в подразделе 2 приложения № 12 настоящего Руководства) в
части, касающейся персонала площадочного объекта, следует использовать количества
погибших и раненых среди работников дневной (наибольшей) смены, полученные в
пункте 6.5.3 настоящего Руководства.
6.6.6. При расчете прямого ущерба производству
в результате аварии на площадочном
объекте в качестве потенциально поражаемых элементов основных фондов
эксплуатирующей организации следует учитывать здания, сооружения и
технологическое оборудование, расположенное на территории площадочного объекта,
включая перечисленные в 6.3.6
настоящего Руководства ОСПО с входящими в них технологическими элементами.
Последовательность расчета
приведена в подразделе 3 приложения № 12 настоящего Руководства.
6.6.7. При расчете имущественного ущерба другим (третьим)
лицам
в результате аварии на площадочном
объекте в качестве потенциально уничтожаемого (повреждаемого) имущества других
(третьих) лиц рекомендуется учитывать следующие объекты, расположенные с
нарушением требований СП 36.13330.2012
"Магистральные трубопроводы. Актуализированная редакция СНиП
2.05.06-85*", утвержденного приказом Федерального агентства по
строительству и жилищно-коммунальному хозяйству от 25 декабря 2012 г. № 108/ГС,
в части минимальных расстояний:
жилые и общественные здания, сооружения на территории постоянных населенных пунктов, коттеджных поселков;
дома, хозяйственные постройки и зеленые насаждения садоводческих товариществ;
здания, сооружения, оборудование сторонних организаций;
автотранспортные средства на переходах газопроводов (учитываемых как ОСПО - ближайших к площадочному объекту участков МГ, подводящих газопроводов ГРС, АГНКС) через автодороги, а также в гаражах и на автостоянках; автодорожное полотно;
сторонние трубопроводы, ЛЭП, кабели вблизи площадочного объекта;
сельхозкультуры на сельхозугодьях вблизи площадочного объекта.
Последовательность расчета
приведена в подразделе 4 приложения № 12 настоящего Руководства.
6.6.8. Затраты
на локализацию аварии, ликвидацию ее
последствий и расследование аварии рекомендуется определять в соответствии с
пунктом 5.6.8 настоящего Руководства.
6.6.9. При расчете экологического
ущерба
в результате аварий на площадочных
объектах следует учитывать:
загрязнение атмосферного воздуха выбросами природного газа, продуктами сгорания природного газа и ГСМ;
выгорание лесных массивов и их повреждение тепловой радиацией до степени прекращения роста деревьев;
повреждение плодородного слоя почвы в результате теплового воздействия от пожара.
Последовательность расчета
приведена в подразделе 6 приложения № 12 к настоящему Руководству.
Используемые в расчетах ущерба от загрязнения атмосферы объемы аварийных выбросов опасных веществ определяются в соответствии с пунктом 6.5.1 настоящего Руководства.
Используемые в расчетах ущерба, связанного с поражением лесных массивов и почв тепловой радиацией, площади уничтоженного леса и площади поврежденных почв определяются в соответствии с пунктом 6.5.4.11 настоящего Руководства.
6.6.10. Расчет рассмотренных в пунктах 6.6.5 - 6.6.9 настоящего Руководства составляющих ущерба проводится для всех расчетных сценариев аварий на выделенных по рекомендациям пункта 6.3.6 настоящего Руководства ОСПО.
6.6.11. Математическое ожидание ущерба от аварии на m-ом элементе n-ой ОСПО с учетом всех расчетных сценариев Cij аварии в этой точке, образующих полную группу событий, рассчитывается по формуле
|
|
(6.18) |
где
- полный ущерб при реализации сценария
Cij аварии на m-ом элементе n-ой ОСПО;
Р(mn)(Cij) - условная вероятность реализации сценария Cij на m-ом элементе n-ой ОСПО.
Математические ожидания отдельных составляющих ущерба (т.е.
социально-экономического ущерба
, прямого производственного ущерба
, ущерба имуществу других лиц
, затрат на ликвидацию и расследование
аварии
, экологического ущерба
от аварии на m-ом элементе n-ой ОСПО рассчитываются по формулам, аналогичным формуле
(6.6) при подстановке в нее вместо
значений соответствующих составляющих
ущерба
,
,
,
,
, рассчитанных для каждого сценария Cij.
6.6.12. Среднее значение ущерба от возможных аварий в пределах всей n-ой ОСПО рассчитывается по формуле
где
- математическое ожидание ущерба от
аварии на m-ом элементе n-ой ОСПО;
M - общее число элементов данной ОСПО, моделируются аварии.
Средние по n-ой ОСПО значения
отдельных составляющих ущерба (т.е. социально-экономического ущерба
, прямого производственного ущерба
, ущерба имуществу других лиц
, затрат на ликвидацию и расследование
аварии
, экологического ущерба
) рассчитываются по формулам,
аналогичным формуле (6.19) при
подстановке в нее вместо
значений соответствующих составляющих
ущерба
,
,
,
,
, рассчитанных для каждого m-ого
элемента n-ой ОСПО.
6.6.13. Среднее значение ущерба в пределах рассматриваемого площадочного объекта рассчитывается по формуле
где
- среднее по n-ой
ОСПО значение ущерба;
n - общее количество ОСПО на рассматриваемом площадочном объекте.
Средние по рассматриваемому площадочному объекту значения
отдельных составляющих ущерба (т.е. социально-экономического ущерба
, прямого производственного ущерба
, ущерба имуществу других лиц
, затрат на ликвидацию и расследование
аварии
, экологического ущерба
) рассчитываются по формулам,
аналогичным формуле (6.20) при
подстановке в нее вместо
значений соответствующих составляющих
ущерба
,
,
,
,
), рассчитанных для каждой n-ой ОСПО.
6.7.1. Расчет потенциального, индивидуального, коллективного и социального рисков от аварий на площадочных объектах магистральных газопроводов
6.7.1.1. На данном подэтапе КолАР выполняется расчет потенциального, индивидуального, коллективного и социального рисков, характеризующих меру опасности от возможных аварий на площадочном объекте для персонала объекта, а также для населения на прилегающих к объекту территориях. Расчет ведется на основании рассчитанных ранее ожидаемых удельных частот аварий (пункт 6.4.1), условных вероятностей реализации расчетных сценариев аварии (пункт 6.4.2), зон потенциального поражения (пункт 6.5.3) для всей совокупности расчетных сценариев аварий на идентифицированных ОСПО.
6.7.1.2. Расчеты потенциального, индивидуального, коллективного и социального рисков рекомендуется проводить с учетом положений Руководства по безопасности "Методические основы по проведению анализа опасностей и оценки риска аварий на опасных производственных объектах", утвержденного приказом Ростехнадзора от 11 апреля 2016 г. № 144.
6.7.2. Расчет ожидаемого годового ущерба с учетом частот возникновения аварий на площадочных объектах магистральных газопроводов
6.7.2.1. На данном подэтапе КолАР выполняется оценка в денежном выражении (рублях в год) ожидаемого годового ущерба и его составляющих с учетом рассчитанных ранее ожидаемых частот fn (для технологических трубопроводов fn = fTT - см. формулу (6.3)) возникновения аварий на каждой ОСПО для всех выделенных ОСПО и для площадочного объекта в целом, а также при необходимости - суммарные годовые ущербы от аварий на площадочных объектах в пределах рассматриваемого ЛПУМГ и в пределах всего ГТО.
6.7.2.2. Ожидаемый от возможных аварий на n-ой ОСПО k-го площадочного объекта полный годовой ущерб (руб./год) и его составляющие (руб./год) рассчитываются по следующим формулам:
полный годовой ущерб от возможных аварий на n-ой ОСПО
|
|
(6.32) |
социально-экономический годовой ущерб от возможных аварий на n-ой ОСПО
|
|
(6.33) |
прямой годовой ущерб производству от возможных аварий на n-ой ОСПО
|
|
(6.34) |
годовой ущерб имуществу других лиц от возможных аварий на n-ой ОСПО
|
|
(6.35) |
годовые затраты на локализацию, ликвидацию и расследование возможных аварий на n-ой ОСПО
|
|
(6.36) |
экологический годовой ущерб от возможных аварий на n-ой ОСПО
|
|
(6.37) |
где
,
,
,
,
,
- средние значения полного ущерба и
его составляющих от одной аварии на n-ой ОСПО, руб. (пункт 6.6.12.);
fn - частота аварий на n-ой ОСПО, аварий/год. Для линейных ОСПО - технологических трубопроводов площадочного объекта частота аварий определяется по формуле
|
fn = fTT = λTT · LTT + s·· fs, |
(6.38) |
λTT - ожидаемая средняя удельная частота аварий на технологическом трубопроводе аварий/(м·год) - (см. пункт 6.4.1 настоящего Руководства);
LTT - длина технологического трубопровода, м;
s - число крановых узлов и тройников на рассматриваемом трубопроводе, шт.;
fs - частота разгерметизации крановых узлов, тройников, аварий/год (пункт 6.4.1).
Для ОСПО типа сосудов, аппаратов, агрегатов, состоящих в общем случае из нескольких (от одного до М) элементов или рассматриваемых как неделимые ОСПО, частота аварий определяется по формуле
|
|
(6.39) |
где fm - частота аварий для m-го элемента на n-ой ОСПО, аварий/год.
6.7.2.3. Ожидаемый от возможных аварий на k-ом площадочном объекте полный годовой ущерб и его составляющие (руб./год) рассчитываются по формулам:
полный годовой ущерб от возможных аварий на площадочном объекте
|
|
(6.40) |
социально-экономический годовой ущерб от возможных аварий на площадочном объекте
|
|
(6.41) |
прямой годовой ущерб производству от возможных аварий на площадочном объекте
|
|
(6.42) |
годовой ущерб имуществу других лиц от возможных аварий на площадочном объекте
|
|
(6.43) |
годовые затраты на локализацию, ликвидацию и расследование возможных аварий на площадочном объекте
|
|
(6.44) |
экологический годовой ущерб от возможных аварий на площадочном объекте
|
|
(6.45) |
где
,
,
,
,
,
- ожидаемый полный годовой ущерб и его
составляющие от возможных аварий на n-ой ОСПО, руб./год;
N - общее количество ОСПО в пределах рассматриваемого k-го площадочного объекта, шт.
6.7.2.4. Ожидаемый полный годовой ущерб от аварий на всех K площадочных объектах в пределах рассматриваемого s-го ЛПУМГ рассчитывается по формуле
|
|
(6.46) |
6.7.2.5. Ожидаемый полный годовой ущерб от возможных аварий на всех площадочных объектах всех S ЛПУМГ в пределах ГТО рассчитывается по формуле
|
|
(6.47) |
6.8.1. При установлении степени опасности аварий на опасных составляющих площадочного объекта (ОСПО) или степени опасности площадочного объекта в целом руководствуются рекомендациями приложения № 6 Руководства по безопасности "Методические основы по проведению анализа опасностей и оценки риска аварий на опасных производственных объектах", утвержденного приказом Ростехнадзора от 11 апреля 2016 г. № 144.
6.9.1. При разработке рекомендаций по снижению риска аварий на площадочных объектах МГ следует руководствоваться положениями, изложенными в пунктах 27 - 30 Руководства по безопасности "Методические основы по проведению анализа опасностей и оценки риска аварий на опасных производственных объектах", утвержденного приказом Ростехнадзора от 11 апреля 2016 г. № 144, и положениями настоящего подраздела.
Разработка рекомендаций базируется на результатах предшествующих этапов КолАР площадочных объектов, в частности, на результатах идентификации опасностей, расчета показателей риска и оценки степени аварийной опасности различных ОСПО и площадочных объектов в целом, которые используют для приоритизации мероприятий, направленных на компенсацию рисков и обеспечение безопасной эксплуатации площадочных объектов.
6.9.2. Мероприятия (технические решения и организационные меры) по снижению риска аварий рекомендуется разделять на две группы:
меры, направленные на предупреждение аварий на ОСПО (уменьшение вероятности их возникновения);
меры, направленные на снижение последствий возможных аварий на ОСПО.
6.9.3. В первой группе мероприятий, которая имеет более высокий приоритет по отношению ко второй, предусматриваются меры по исключению разгерметизации ОСПО и предупреждению аварийных выбросов опасных веществ, такие как:
применение материалов и конструкций технологического оборудования и трубопроводов, рассчитанных на обеспечение их прочности и надежной эксплуатации в рабочем диапазоне давлений и температур природного газа и других опасных веществ, а также внешних нагрузок;
повышение категории участков технологических газопроводов, идентифицированных как участки с чрезвычайно высокой и высокой степенями опасности аварий;
осуществление ежегодного контроля сосудов и трубопроводов на эрозионный износ методами ультразвуковой толщинометрии, ежегодного технического освидетельствования сосудов высокого давления;
применение обвязки нагнетателей ГПА, устойчивой к вибрациям;
увеличение объема контроля качества сварных и фланцевых соединений различными методами неразрушающего контроля;
усиление контроля надлежащего состояния ограждения, охранной зоны площадочных объектов и зоны минимальных расстояний до сторонних объектов;
повышение надежности защиты от общей коррозии и коррозии под напряжением стальных технологических трубопроводов и оборудования с помощью защитных изоляционных покрытий и установок ЭХЗ;
проведение своевременных осмотров оборудования, ревизий запорной арматуры, оптимизированных (с учетом технического состояния) технического обслуживания и ремонтов, дефектоскопии, ежегодной подготовки объектов и оборудования к эксплуатации в осенне-зимних условиях;
осуществление непрерывного контроля давления, температуры, уровня жидких веществ с помощью систем дистанционного контроля;
использование предохранительных клапанов для предотвращения разгерметизации оборудования вследствие превышения давления;
применение современной системы обнаружения утечек опасных веществ;
повышение требований к качеству производства труб и оборудования, заводских испытаний, качеству доставки, погрузки (разгрузки), складирования и хранения труб и оборудования, качеству СМР;
проведение периодических испытаний на прочность и герметичность технологического оборудования и трубопроводов;
повышение эффективности охраны площадочных объектов и мер защиты от терроризма.
6.9.4. Во второй группе мероприятий предусматриваются меры по предупреждению развития аварий на площадочных объектах, локализации выбросов опасных веществ, локализации распространения поражающих факторов аварий, защите потенциальных реципиентов, такие как (пример для КС МГ):
использование самых современных систем управления на площадочных объектах: агрегатных систем автоматического управления и регулирования, систем автоматического управления и регулирования компрессорных цехов (КЦ) КС, систем автоматического управления пожарообнаружением;
применение технических решений, предусматривающих автоматическую защиту ГПА КС от недопустимых отклонений температуры, давления, уровня масла, вибрации и др. с их остановкой, отключением и сбросом газа из трубопроводной обвязки ГПА;
применение технических решений, предусматривающих автоматическую защиту оборудования от недопустимого повышения и падения давления на входе и выходе КЦ, автоматическую остановку ГПА и КЦ при недопустимо высоких температурах газа на выходе цеха, дублирование управления аварийной остановкой КЦ, а также кранами узла подключения и охранными кранами КС по радиоканалу, сигнализацию с оповещением о пожаре и загазованности в укрытиях ГПА и установке подготовки топливного газа с остановкой при пожаре и при повышенной концентрации газа в воздухе укрытия ГПА, управление пуском огнетушащего средства при идентификации пожара, сигнализацию с оповещением о пожаре и загазованности в зданиях КЦ;
оптимизация мест постоянного размещения и маршрутов перемещения по территории КС различных категорий персонала, с целью предотвращения пребывания или максимального уменьшения времени пребывания в непосредственной близости от опасных технологических объектов КС тех категорий персонала, в обязанности которых не входит обслуживание данного оборудования;
корректировка размеров зон минимальных расстояний до сторонних объектов;
своевременное обновление и оптимизация "Плана мероприятий по локализации и ликвидации последствий аварий", оптимизация периодичности проведения противоаварийных тренировок персонала ЛПУ МГ,
оптимизация сил и средств для оперативной локализации и ликвидации аварий на площадочных объектах;
и другие.
6.9.5. Выбор наиболее эффективных мер по снижению риска может быть выполнен двумя альтернативными способами:
при заданных ресурсах формируют оптимальную группу мер безопасности, обеспечивающих максимальное возможное при этих ресурсах снижение риска аварий на наиболее опасных ОСПО и площадочных объектах;
минимизируя затраты, выбирают оптимальную группу мер безопасности, обеспечивающих снижение риска аварий на ОСПО и площадочных объектах в целом до допустимых значений.
7.1. Подтверждение выполнения требований пункта 10.4 Федеральных норм и правил в области промышленной безопасности "Общие правила взрывобезопасности для взрывопожароопасных химических, нефтехимических и нефтеперерабатывающих производств", утвержденных приказом Ростехнадзора от 11 марта 2013 г. № 96, зарегистрированным Минюстом России 16 апреля 2013 г., регистрационный № 28138, на площадочных объектах МГ рекомендуется проводить в соответствии с процедурой, изложенной в пунктах 7.2 - 7.5 настоящего Руководства.
7.2. Составляющие ОПО МГ разбивают на две группы. В первую группу входят оборудование и участки трубопроводов, в которых обращается природный газ, во вторую ОСПО с обращением иных опасных веществ (ОВ в жидком состоянии, опасные тяжелые газы). Для ОСПО с обращением сжатого природного газа определяются сценарии аварий, при которых в качестве поражающих факторов реализуются воздушная ударная волна от расширения первоначально сжатого газа (физического взрыва) или динамическое напорное воздействие струи. Для ОСПО второй группы определяются сценарии с взрывным химическим превращением опасного вещества (взрывным горением). В совокупности перечисленные сценарии аварий образуют подгруппу сценариев барического воздействия.
7.3. Для каждого ij-го сценария барического воздействия рассчитывают распространение соответствующих сценарию поражающих факторов и значение избыточного давления ударных волн и динамического давления в струе ΔPij, реализуемые на зданиях, требование о защите которых предусмотрено в пункте 10.4 Федеральных норм и правил в области промышленной безопасности "Общие правила взрывобезопасности для взрывопожароопасных химических, нефтехимических и нефтеперерабатывающих производств", утвержденных приказом Ростехнадзора от 11 марта 2013 г. № 96 г., зарегистрированным Минюстом России 16 апреля 2013 г., регистрационный № 28138.
Расчет зон разрушения и распространения ударных волн, связанных с воспламенением струи газа, рекомендуется проводить в соответствии с Федеральными нормами и правилами в области промышленной безопасности "Общие правила взрывобезопасности для взрывопожароопасных химических, нефтехимических и нефтеперерабатывающих производств", утвержденными приказом Ростехнадзора от 11 марта 2013 г. № 96, зарегистрированным Минюстом России 16 апреля 2013, регистрационный № 28138, Руководством по безопасности "Методика оценки последствий аварий на взрывопожароопасных химических производствах", утвержденным приказом Ростехнадзора от 20 апреля 2015 г. № 160, Руководством по безопасности "Методы обоснования взрывоустойчивости зданий и сооружений при взрывах топливно-воздушных смесей на опасных производственных объектах", утвержденным приказом Ростехнадзора от 3 июня 2016 г. № 217. Для расчета ударных волн при отсутствии воспламенения (физический взрыв), рекомендуется использовать методы численного моделирования, в том числе изложенные в Руководстве по безопасности "Методика оценки последствий аварий на взрывопожароопасных химических производствах", утвержденном приказом Ростехнадзора от 20 апреля 2015 г. № 160.
Расчет распространения напорного воздействия струи производится в соответствии с пунктом 5.5.2.4.
7.4. Рекомендуемый порядок оценки взрывоустойчивости зданий представлен в пункте 12 Руководства по безопасности "Методы обоснования взрывоустойчивости зданий и сооружений при взрывах топливно-воздушных смесей на опасных производственных объектах", утвержденного приказом Ростехнадзора от 3 июня 2016 г. № 217.
к Руководству по безопасности "Методика
оценки риска аварий на опасных производственных
объектах магистрального трубопроводного
транспорта газа", утвержденному приказом
Федеральной службы по экологическому,
технологическому и атомному надзору
от 26 декабря 2018 г. № 647
Термины, определения, обозначения и сокращения
1. В настоящем Руководстве применены термины в соответствии с Федеральным законом от 21 июля 1997 г. № 116-ФЗ "О промышленной безопасности опасных производственных объектов", а также следующие термины с соответствующими определениями и сокращениями:
Авария - разрушение сооружений и (или) технических устройств, применяемых на ОПО, неконтролируемые взрыв и (или) выброс опасных веществ (статья 1 Федерального закона от 21 июля 1997 г. № 116-ФЗ "О промышленной безопасности опасных производственных объектов").
Анализ риска аварий (анализ опасностей и оценка риска аварий) - взаимосвязанная совокупность научно-технических методов исследования опасностей возникновения, развития и последствий возможных аварий для обеспечения промышленной безопасности ОПО (приложение № 1 Руководства по безопасности "Методические основы по проведению анализа опасностей и оценки риска аварий на опасных производственных объектах", утвержденного приказом Ростехнадзора от 11 апреля 2016 г. № 144).
Анализ риска аварий - процесс идентификации опасностей и оценки риска аварий на опасном производственном объекте для отдельных лиц или групп людей, имущества или окружающей природной среды (Руководство по безопасности "Методические рекомендации по проведению количественного анализа риска аварий на опасных производственных объектах магистральных нефтепроводов и магистральных нефтепродуктопроводов", утвержденное приказом Ростехнадзора от 17 июня 2016 г. № 228).
Взрыв - неконтролируемый быстропротекающий процесс выделения энергии, связанный с физическим, химическим или физико-химическим изменением состояния вещества, приводящий к резкому динамическому повышению давления или возникновению ударной волны, сопровождающийся образованием сжатых газов, способных привести к разрушительным последствиям.
"Взрыв" сосуда под высоким давлением - быстропротекающее разрушение оборудования (технологического аппарата, баллона, резервуара, цистерны, трубопровода), в котором в рабочем состоянии находятся сжатые под высоким давлением опасные вещества (природный газ, газожидкостные смеси); разрушение оборудования происходит в результате внешнего механического воздействия, нагрева или взрыва образовавшейся взрывоопасной смеси внутри сосуда, коррозии, развития дефекта материала сосуда или сварного шва.
Газораспределительная станция; ГРС - совокупность технологического оборудования газопровода для снижения давления, очистки, одоризации и учета расхода газа перед подачей его в газораспределительную сеть.
Газотранспортная система; ГТС - совокупность взаимосвязанных газопроводов и сопутствующих им сооружений, предназначенных для обеспечения газом потребителей.
Декларация промышленной безопасности опасного производственного объекта; ДПБ - документ, в котором представлены результаты всесторонней оценки риска аварии и связанной с нею угрозы; анализ достаточности принятых мер по предупреждению аварий, по обеспечению готовности организации к эксплуатации опасного производственного объекта в соответствии с требованиями промышленной безопасности, а также к локализации и ликвидации последствий аварии на опасном производственном объекте; разработанные мероприятия, направленные на снижение масштаба последствий аварии и размера ущерба, нанесенного в случае аварии на опасном производственном объекте (пункт 1 статьи 14 Федерального закона от 21 июля 1997 г. № 116-ФЗ "О промышленной безопасности опасных производственных объектов").
Декларируемый объект - опасный производственный объект, для которого разработка декларации промышленной безопасности является обязательной согласно законодательству Российской Федерации в области промышленной безопасности (статья 14 Федерального закона от 21 июля 1997 г. № 116-ФЗ "О промышленной безопасности опасных производственных объектов").
Допустимый (предельно допустимый) риск аварии - установленное либо полученное в соответствии с установленной формализованной процедурой значение риска аварии на ОПО, превышение которого характеризует угрозу возникновения аварии.
Заказчик КолАР - юридическое лицо, заказывающее работу, включающую в свой состав количественный анализ риска.
Зона воздействия поражающего фактора - зона территориального (на уровне земли) распределения физической характеристики заданного поражающего фактора аварии вокруг места возникновения аварии, ограниченная изолинией заранее установленного порогового значения данной физической характеристики.
Примечание - например, зона теплового воздействия от вертикального колонного пламени может характеризоваться распределением на уровне земли вокруг центра основания пламени удельного потока тепловой радиации с внешней границей, соответствующей изолинии порогового значения теплового потока 1,5 кВт/м2.
Зона потенциального поражения; ЗПП - зона территориального (на уровне земли) распределения условных вероятностей поражения человека заданным поражающим фактором аварии, ограниченная изолинией условной вероятности гибели человека, равной 0,01 (1 процент).
Индивидуальный риск - ожидаемая частота (частота) поражения отдельного человека в результате воздействия исследуемых поражающих факторов аварии (Руководство по безопасности "Методические основы по проведению анализа опасностей и оценки риска аварий на опасных производственных объектах", утвержденное приказом Ростехнадзора от 11 апреля 2016 г. № 144).
Идентификация опасностей аварии - выявление источников возникновения аварий и определение соответствующих им типовых сценариев аварии.
Коллективный риск (или ожидаемые людские потери) - ожидаемое количество пораженных в результате возможных аварий за определенный период времени (Руководство по безопасности "Методические основы по проведению анализа опасностей и оценки риска аварий на опасных производственных объектах", утвержденное приказом Ростехнадзора от 11 апреля 2016 г. № 144).
Количественный анализ риска аварий, КолАР (или количественная оценка риска аварий) - анализ риска аварий, выполняемый с использованием расчетных методов оценки показателей риска.
Компрессорная станция; КС - комплекс сооружений магистрального газопровода, предназначенный для компримирования газа.
Линейная часть магистрального газопровода; ЛЧ МГ - совокупность участков магистрального газопровода, соединяющих компрессорные станции между собой либо с газораспределительными станциями, и сооружений, входящих в состав газопровода: отводов, лупингов, перемычек, запорной арматуры, переходов через естественные и искусственные препятствия, узлов редуцирования давления, узлов очистки полости газопроводов, устройств для ввода метанола, установок электрохимической защиты от коррозии, сооружений технологической связи, средств телемеханики, линий электроснабжения, противопожарных средств, противоэрозионных средств, сооружений линейно-эксплуатационной службы, вдольтрассовых проездов, вертолетных площадок.
Магистральный газопровод; МГ - магистральный трубопровод, предназначенный для транспортировки природного газа.
Магистральный трубопровод - технологически неделимый, централизованно управляемый имущественный производственный комплекс, состоящий из взаимосвязанных объектов и сооружений, являющихся его неотъемлемой технологической частью, предназначенных для транспортировки подготовленной в соответствии с требованиями национальных стандартов продукции от объектов добычи и (или) пунктов приема до пунктов сдачи потребителям и передачи в распределительные трубопроводы или иной вид транспорта и (или) хранения.
Ожидаемая частота аварий f, аварий/год - прогнозируемое количество аварий на опасном производственном объекте за 1 календарный год его эксплуатации.
Ожидаемая удельная частота аварий на участке магистрального газопровода λn, 1/(1000 км·год) - прогнозируемое количество аварий на единице длины (1000 км) магистрального газопровода за 1 календарный год его эксплуатации.
Ожидаемый годовой ущерб от аварий у, руб./год - математическое ожидание ущерба от возможных аварий на опасном производственном объекте за 1 календарный год его эксплуатации.
Опасность аварии - возможность причинения ущерба человеку, имуществу и (или) окружающей среде вследствие разрушения сооружений и (или) технических устройств, взрыва и (или) выброса опасных веществ на ОПО. Опасность аварии на ОПО обусловлена наличием на них опасных веществ, энергомассообменными свойствами технологических процессов, ошибками проектирования, строительства и эксплуатации, отказами технических устройств и их систем, а также нерасчетными (запроектными) внешними природными, техногенными и антропогенными воздействиями на ОПО (Руководство по безопасности "Методические основы по проведению анализа опасностей и оценки риска аварий на опасных производственных объектах", утвержденное приказом Ростехнадзора от 11 апреля 2016 г. № 144).
Оценка риска аварии - определение качественных и (или) количественных характеристик опасности аварии (Руководство по безопасности "Методические основы по проведению анализа опасностей и оценки риска аварий на опасных производственных объектах", утвержденное приказом Ростехнадзора от 11 апреля 2016 г. № 144).
Оценка риска аварий - процесс, используемый для определения вероятности (или частоты) и степени тяжести последствий реализации опасностей аварий для здоровья человека, имущества и (или) окружающей природной среды.
Примечание: Оценка риска включает анализ вероятности (или частоты), анализ последствий и их сочетания. (Руководство по безопасности "Методические рекомендации по проведению количественного анализа риска аварий на опасных производственных объектах магистральных нефтепроводов и магистральных нефтепродуктопроводов", утвержденное приказом Ростехнадзора от 17 июня 2016 г. № 228).
Поле потенциального риска - пространственное распределение значений потенциального риска, рассчитанных в каждой точке (узле) выбранной расчетной сетки на рассматриваемой территории, изображаемое, как правило, совокупностью изолиний потенциального риска.
Последствия аварии - явления, процессы, события и состояния, обусловленные возникновением аварии на опасном производственном объекте (травмирование людей, нанесение ущерба владельцу, третьим лицам или окружающей среде).
Потенциальный территориальный риск (или потенциальный риск) - частота реализации поражающих факторов аварий в рассматриваемой точке на площадке ОПО и прилегающей территории (Руководство по безопасности "Методические основы по проведению анализа опасностей и оценки риска аварий на опасных производственных объектах", утвержденное приказом Ростехнадзора от 11 апреля 2016 г. № 144).
Приемлемый риск - риск, уровень которого допустим и обоснован, исходя из экономических и социальных соображений
Разрушение - событие, заключающееся в деформировании, изменении геометрических размеров конструкций или отдельных элементов технологической системы (с возможным разделением их на части) в результате силовых, термических или иных воздействий, сопровождающееся нарушением работоспособности объекта.
Реципиент - объект воздействия поражающих факторов аварии. Реципиентами могут быть люди, компоненты природной среды и материальные ценности.
Риск аварии - мера опасности, характеризующая возможность возникновения аварии на ОПО и соответствующую ей тяжесть последствий (Руководство по безопасности "Методические основы по проведению анализа опасностей и оценки риска аварий на опасных производственных объектах", утвержденное приказом Ростехнадзора от 11 апреля 2016 г. № 144).
Составляющие опасного производственного объекта - участки, установки, цеха, хранилища или другие составляющие (составные части), объединяющие технические устройства или их совокупность по технологическому и/или административному принципу и входящие в состав опасного производственного объекта (Порядок оформления декларации промышленной безопасности опасных производственных объектов и перечень включаемых в нее сведений (РД 03-14-2005), утвержденный приказом Ростехнадзора от 29 ноября 2005 г. № 893, зарегистрированным Минюстом России 17 января 2006 г., регистрационный № 7375).
Социальный риск (или риск поражения группы людей) - зависимость частоты возникновения сценариев аварий F, в которых пострадало на определенном уровне не менее N человек, от этого числа N. Характеризует социальную тяжесть последствий (катастрофичность) реализации совокупности сценариев аварии и представляется в виде соответствующей F/N-кривой (Руководство по безопасности "Методические основы по проведению анализа опасностей и оценки риска аварий на опасных производственных объектах", утвержденное приказом Ростехнадзора от 11 апреля 2016 г. № 144).
Специалист - работник, имеющий высшее (техническое) образование и участвующий в выполнении работ по анализу риска.
Степень опасности аварии (степень аварийной опасности) - сравнительная мера опасности, характеризующая относительную возможность возникновения и тяжесть последствий аварий на ОПО и (или) его составных частях (Руководство по безопасности "Методические основы по проведению анализа опасностей и оценки риска аварий на опасных производственных объектах", утвержденное приказом Ростехнадзора от 11 апреля 2016 г. № 144).
Степень риска аварий - сравнительная мера опасности аварий по отношению к среднестатистическому (фоновому) уровню риска аварий или максимальному значению рассчитанного показателя риска аварий (Руководство по безопасности "Методические рекомендации по проведению количественного анализа риска аварий на опасных производственных объектах магистральных нефтепроводов и магистральных нефтепродуктопроводов", утвержденное приказом Ростехнадзора от 17 июня 2016 г. № 228).
Сценарий аварии - последовательность отдельных логически связанных событий, обусловленных конкретным инициирующим (исходным) событием, приводящих к определенным опасным последствиям аварии (Порядок оформления декларации промышленной безопасности опасных производственных объектов и перечень включаемых в нее сведений (РД 03-14-2005), утвержденный приказом Ростехнадзора от 29 ноября 2005 г. № 893, зарегистрированным Минюстом России 17 января 2006 г., регистрационный № 7375).
Сценарий наиболее вероятной аварии (наиболее вероятный сценарий аварии) - сценарий аварии, вероятность реализации которого максимальна за определенный период времени (Порядок оформления декларации промышленной безопасности опасных производственных объектов и перечень включаемых в нее сведений (РД 03-14-2005), утвержденный приказом Ростехнадзора от 29 ноября 2005 г. № 893, зарегистрированным Минюстом России 17 января 2006 г., регистрационный № 7375).
Сценарий наиболее опасной по последствиям аварии (наиболее опасный по последствиям сценарий аварии) - сценарий аварии с наибольшим ущербом людским и материальным ресурсам или компонентам природной среды (Порядок оформления декларации промышленной безопасности опасных производственных объектов и перечень включаемых в нее сведений (РД 03-14-2005), утвержденный приказом Ростехнадзора от 29 ноября 2005 г. № 893, зарегистрированным Минюстом России 17 января 2006 г., регистрационный № 7375).
Техническое состояние объекта - состояние объекта, которое характеризуется в определенный момент времени при определенных условиях внешней среды значениями параметров, установленных нормативно-технической документацией.
Условная вероятность поражения людей Pгиб - вероятность гибели человека при условии нахождения его под воздействием заданного поражающего фактора аварии.
Ущерб от аварии - потери (убытки) в производственной и непроизводственной сферах жизнедеятельности человека, а также при негативном изменении окружающей среды, причиненные в результате аварии на ОПО объекте и исчисляемые в натуральной (денежной) форме (Руководство по безопасности "Методические основы по проведению анализа опасностей и оценки риска аварий на опасных производственных объектах", утвержденное приказом Ростехнадзора от 11 апреля 2016 г. № 144).
Фоновый риск аварии - численное значение риска аварии на ОПО (или составной части ОПО), определенное с учётом статистики за последние 5 - 10 лет (Руководство по безопасности "Методические основы по проведению анализа опасностей и оценки риска аварий на опасных производственных объектах", утвержденное приказом Ростехнадзора от 11 апреля 2016 г. № 144).
2. Сокращения:
ААЗК - автомат аварийного закрытия крана;
АВО - аппарат воздушного охлаждения;
АГНКС - автомобильная газонаполнительная компрессорная станция;
АСУ ТП - автоматизированная система управления технологическим процессом;
БФФ - балльно-факторная функция;
ВВС - воздушная волна сжатия;
ВУВ - воздушная ударная волна;
ВФ - вероятностная функция;
ГВС - газовоздушная смесь;
ГНВ - газопровод надземный внутренний (шифр одного из типов ОСПО пункт 6.5.2);
ГНН - газопровод надземный наружный (шифр одного из типов ОСПО пункт 6.5.2);
ГП - газопровод подземный (шифр одного из типов ОСПО пункт 6.5.2)
ГПА - газоперекачивающий агрегат;
ГРС - газораспределительная станция;
ГСМ - горюче-смазочные материалы;
ГТО - газотранспортное дочернее общество;
ГЩУ - главный щит управления;
ДПБ - декларация промышленной безопасности;
ДПП - детальным прямым причинам;
ДТП - дорожно-транспортное происшествие;
ЕСГ - Единая система газоснабжения;
ЖС - жидкость стабильная (шифр одного из типов ОСПО пункт 6.5.2);
ЗПД - зона полученных доз;
ЗПП - зона потенциального поражения;
ИС - исходные события;
КИК - контрольно-измерительная колонка;
КИПиА - контрольно-измерительные приборы и автоматика;
КПТМ - контрольный пункт телемеханики;
КолАР - количественный анализ риска аварий;
КРН - коррозионное растрескивание под напряжением;
КС - компрессорная станция;
КЦ - компрессорный цех;
ЛПУМГ - линейное производственное управление магистральных газопроводов;
ЛЭС - линейно-эксплуатационная служба;
ЛЭП - линия электропередач;
ЛЧ - линейная часть;
МГ - магистральный газопровод;
ММП - многолетнемерзлые породы;
НД - нормативный документ;
НДС - напряженно-деформированное состояние;
НДУ - необходимые и достаточные условия;
НКПР - нижний концентрационный предел воспламенения;
ОБ - обоснование безопасности;
ОПО - опасный производственный объект;
ОС - опасная составляющая;
ОСПО - опасная составляющая площадочного объекта;
ПМЛЛПА - план мероприятий по локализации и ликвидации последствий аварии;
ПОУ - потенциально опасный участок;
ПП - прямые причины;
ППР - планово-предупредительный ремонт;
ПТЭ - правила технической эксплуатации;
ПТБ - правила техники безопасности;
ПЭБ - производственно-энергетический блок;
СИЗ - средства индивидуальной защиты;
СМР - строительно-монтажные работы;
СП - свод правил;
СТУ - специальные технические условия;
ТВС - топливно-воздушная смесь;
ТДА - турбодетандерный агрегат;
ТЗ - техническое задание;
ТМЦ - товарно-материальные ценности;
ТО - техническое обслуживание;
УДО - унифицированное дерево отказов;
ФНП - федеральные нормы и правила в области промышленной безопасности;
ФСС - функция состояния системы;
ЭО - эксплуатирующая организация;
ЭХЗ - электрохимическая защита;
ЭВМ - электронно-вычислительная машина.
к Руководству по безопасности "Методика
оценки риска аварий на опасных производственных
объектах магистрального трубопроводного
транспорта газа", утвержденному приказом
Федеральной службы по экологическому,
технологическому и атомному надзору
от 26 декабря 2018 г. № 647
Характеристики некоторых опасных веществ, обращающихся на объектах МГ представлены в таблицах № 1 - 6 настоящего приложения.
Природный газ
|
Наименование параметра |
Параметр |
|
Общие сведения |
|
|
Эмпирическая формула |
CH4 (по метану) |
|
Молекулярная масса, кг/кмоль |
16,043 (по метану) |
|
Агрегатное состояние |
Газообразное |
|
Внешний вид |
бесцветный газ |
|
Запах |
без запаха |
|
Физико-химические свойства |
|
|
Плотность газа при 20°С и давлении 101,3 кПа, кг/м3 |
0,668 |
|
Температура кипения при давлении 101,3 кПа, °С |
минус 161 |
|
Удельная теплота сгорания, кДж/кг |
50000 |
|
Растворимость в воде при 25 °С |
Практически не растворим. |
|
Реакционная способность |
Растворим в органических растворителях (этаноле, эфире, четыреххлористом углероде, в углеводородах). При обычных температурах химически инертен. При высоких - полностью сгорает, образуя диоксид углерода и воду |
|
Санитарно-гигиенические характеристики |
|
|
Класс опасности в воздухе рабочей зоны |
4 |
|
ПДКм.р. в воздухе рабочей зоны, мг/м3 |
7000 |
|
ОБУВ в атмосферном воздухе, мг/м3 |
50 |
|
Воздействие на людей |
Относится к малоопасным веществам. Вызывает раздражение слизистых оболочек глаза, конъюнктивиты. При сильных отравлениях - пневмония, потеря сознания |
|
Меры первой помощи пострадавшим от воздействия вещества |
Удалить пострадавшего из вредной атмосферы. При нарушении дыхания - кислород. При тяжелом отравлении - госпитализация. Противопоказаны морфин и адреналин |
|
Меры предосторожности |
Герметизация аппаратуры и коммуникаций, вентиляция помещений. Одновременное присутствие в воздухе сероводорода и повышенные температуры усиливают токсический эффект |
|
Средства защиты |
При невысоких концентрациях пригоден фильтрующий промышленный противогаз. При высоких концентрациях и нормальном содержании кислорода - изолирующие шланговые противогазы. При недостатке кислорода - кислородные респираторы |
|
Методы перевода вещества в безвредное состояние |
Сжигание |
|
Пожаровзрывоопасные свойства |
|
|
Группа горючести |
горючий газ |
|
Температура самовоспламенения, °С |
535 |
|
Концентрационные пределы распространения пламени в воздухе, % (об.) |
5,28 - 14,1 |
|
Нормальная скорость распространения пламени при 25 °С, м/с |
0,338 |
|
Максимальное давление взрыва, кПа |
706 |
|
Минимальная флегматизирующая концентрация флегматизатора, % об. |
диоксида углерода - 24; |
|
азота - 37; |
|
|
водяного пара - 29; |
|
|
аргона - 51; |
|
|
четыреххлористого углерода - 13 |
|
|
Средства пожаротушения |
инертные газы |
Таблица № 2
Масло турбинное
|
Наименование параметра |
Параметр |
|
Общие сведения |
|
|
Торговая марка |
Т22, Т30, Т46, Т57 |
|
Агрегатное состояние |
Жидкое |
|
Внешний вид |
вязкая жидкость от светло-желтого до темно-коричневого цвета |
|
Запах |
Специфический |
|
Физико-химические свойства |
|
|
Плотность, кг/м3 |
860-900 |
|
Температура застывания при давлении 101,3 кПа, °С |
марка Т22 - минус 15; |
|
марка Т30 - минус 10; |
|
|
марка Т46 - минус 10 |
|
|
Удельная теплота сгорания, кДж/кг |
41870 |
|
Растворимость в воде при 25 °С |
не растворимо |
|
Реакционная способность |
Растворяется в растворителях, масла - химически инертны |
|
Санитарно-гигиенические характеристики |
|
|
Класс опасности в воздухе рабочей зоны |
3 |
|
ПДКм.р. в воздухе рабочей зоны, мг/м3 |
5 |
|
ОБУВ в атмосферном воздухе, мг/м3 |
0,05 |
|
Воздействие на людей |
Малотоксичное. Хроническое отравление может привести к заболеваниям кожи: масляный фолликулит, токсические меланодермии, экземы, кератозы, папилломы |
|
Меры первой помощи пострадавшим от воздействия вещества |
При попадании масла на кожу или слизистую оболочку глаз необходимо обильно промыть кожу теплой мыльной водой, глаза - теплой водой |
|
Меры предосторожности |
В помещениях запрещается обращение с открытым огнем. Электрооборудование, искусственное освещение должны быть во взрывобезопасном исполнении. Не допускается использовать инструменты, дающие искру при ударе. Помещение должно быть оснащено вентиляцией |
|
Средства защиты |
Следует применять индивидуальные средства защиты: респираторы, резиновые перчатки, спецодежду, фартук. Не допускать попадания препарата внутрь организма |
|
Методы перевода вещества в безвредное состояние |
При разливе масла необходимо собрать его в отдельную тару, место разлива засыпать песком с последующим удалением массы песка, пропитанного маслом |
|
Пожаровзрывоопасные свойства |
|
|
Группа горючести |
трудногорючая жидкость |
|
Температура вспышки, °С |
марка Т22 - 180; |
|
марка Т30 - 180; |
|
|
марка Т46 - 195; |
|
|
марка Т57 - 195 |
|
|
Температура самовоспламенения, °С |
840 |
|
Средства пожаротушения |
воздушно-механическая пена, порошки |
Таблица № 3
Дизельное топливо
|
Наименование параметра |
Параметр |
|
Общие сведения |
|
|
Марка |
Марка Л (летнее), Марка З (зимнее), Марка А (арктическое) |
|
Агрегатное состояние |
жидкость |
|
Внешний вид |
Маслянистая жидкость желто-коричневого цвета |
|
Запах |
Характерный запах нефтепродуктов |
|
Физико-химические свойства |
|
|
Плотность, кг/м3 |
835 ÷ 850 |
|
Температура кипения, °С |
180 ÷ 360 |
|
Удельная теплота сгорания, кДж/кг |
43590 |
|
Растворимость в воде |
не растворяется |
|
Реакционная способность |
химически стабильно |
|
Санитарно-гигиенические характеристики |
|
|
Класс опасности в воздухе рабочей зоны |
4 |
|
ПДКм.р. в воздухе рабочей зоны, мг/м3 |
300 |
|
Воздействие на людей |
При попадании в организм вызывает раздражение слизистых оболочек носа, глотки и глубоких дыхательных путей, головную боль, головокружение, тошноту. При хроническом отравлении поражаются желудочно-кишечный тракт, почки, печень. Раздражает кожу |
|
Меры первой помощи пострадавшим от воздействия вещества |
При легких отравлениях - свежий воздух, покой, тепло. Освободить от стесняющей дыхание одежды. Успокаивающие средства. При потере сознания пострадавшему необходимо придать горизонтальное положение с несколько опущенной головой. Вдыхание нашатырного спирта. При тяжелых отравлениях - ингаляция увлажненным кислородом, при остановке или резком ослаблении дыхания - искусственное дыхание. Госпитализация |
|
Меры предосторожности |
Максимальное устранение выделения паров, аэрозоля и контактов с кожей. В помещениях для хранения и работы с дизельным топливом запрещается обращение с открытым огнем, искусственное освещение должно быть во взрывобезопасном исполнении, помещение должно быть снабжено общеобменной механической вентиляцией. Не допускается пользоваться инструментами, дающими при ударе искру. Емкости должны быть герметичны и защищены от статического электричества |
|
Средства защиты |
Респираторы, резиновые перчатки, спецодежда, фартук. Не допускать попадания внутрь организма |
|
Методы перевода вещества в безвредное состояние |
Сжигание. При разливе дизельного топлива необходимо собрать его в отдельную тару, место разлива засыпать песком с последующим удалением |
|
Пожаровзрывоопасные свойства |
|
|
Группа горючести |
Марка Л - ГЖ; |
|
Марка З - ЛВЖ; |
|
|
Марка А - ЛВЖ |
|
|
Температура вспышки, °С |
Марка Л - 62; |
|
Марка З - 40; |
|
|
Марка А - 35 |
|
|
Температура самовоспламенения, °С |
Марка Л - 210; |
|
Марка З - 225; |
|
|
Марка А - 333 |
|
|
Нижний концентрационный предел распространения пламени, % об. |
Марка Л - 0,5; |
|
Марка З - 0,6 |
|
|
Средства пожаротушения |
Воздушно-механическая пена, порошки |
Таблица № 4
Бензин
|
Наименование параметра |
Параметр |
|
Общие сведения |
|
|
Агрегатное состояние |
жидкость |
|
Внешний вид |
бесцветная жидкость |
|
Запах |
характерный запах нефтепродуктов |
|
Физико-химические свойства |
|
|
Плотность, кг/м3 |
725 ÷ 780 |
|
Температура замерзания ниже, °С |
минус 60 |
|
Удельная теплота сгорания, кДж/кг |
43000 - 44000 |
|
Растворимость в воде |
не растворим |
|
Реакционная способность |
химически стабильно |
|
Санитарно-гигиенические характеристики |
|
|
Класс опасности в воздухе рабочей зоны |
4 |
|
ПДКм.р./с.с. в воздухе рабочей зоны, мг/м3 |
300/100 |
|
Воздействие на людей |
Обладает наркотическим действием, раздражает верхние дыхательные пути, слизистую оболочку глаз и кожу человека. Постоянный контакт с бензином может вызвать острые воспаления и хронические экземы |
|
Меры первой помощи пострадавшим от воздействия вещества |
При попадании бензина на открытые участки тела необходимо его удалить и обильно промыть кожу теплой мыльной водой; при попадании на слизистую оболочку глаз обильно промыть глаза теплой водой |
|
Меры предосторожности |
В помещениях для хранения и использования бензинов запрещается обращение с открытым огнем; электрооборудование, электрические сети и искусственное освещение должны быть взрывобезопасного исполнения. При работе с бензином не допускается использовать инструменты, дающие при ударе искру. Емкости и трубопроводы, предназначенные для хранения и транспортирования бензина, должны быть защищены от статического электричества. Помещения для работ с бензинами должны быть оборудованы общеобменной вентиляцией, места интенсивного выделения паров бензинов должны быть снабжены местными отсосами |
|
Средства защиты |
При работе с бензином применяют индивидуальные средства защиты. Работу в зоне с высокой концентрацией паров бензина необходимо проводить с применением средств защиты органов дыхания: кратковременно - фильтрующие противогазы марки А, долговременно - шланговые противогазы |
|
Методы перевода вещества в безвредное состояние |
При разливе бензина необходимо собрать его в отдельную тару; место разлива протереть сухой тряпкой; при разливе на открытой площадке место разлива засыпать песком с последующим его удалением и обезвреживанием |
|
Пожаровзрывоопасные свойства |
|
|
Группа горючести |
ЛВЖ |
|
Температура вспышки, °С |
минус 27 ÷ минус 39 |
|
Температура самовоспламенения, °С |
255 ÷ 370 |
|
Концентрационные пределы распространения пламени, % (об) |
1 ÷ 6 |
|
Средства пожаротушения |
Воздушно-механическая пена, при подслойном тушении - фторированные пенообразователи |
Таблица № 5
Метанол
|
Наименование параметра |
Параметр |
|
Общие сведения |
|
|
Формула |
СН4О |
|
Молекулярная масса, кг/кмоль |
32,04 |
|
Агрегатное состояние |
жидкое |
|
Внешний вид |
бесцветная жидкость |
|
Запах |
спиртовой |
|
Физико-химические свойства |
|
|
Плотность при 25 °С, кг/м3 |
786,9 |
|
Температура кипения, °С |
64,9 |
|
Удельная теплота сгорания, кДж/кг |
23839 |
|
Растворимость в воде |
неограниченная |
|
Реакционная способность |
Растворяется в спиртах, ацетоне, бензоле. По химическим свойствам - типичный одноатомный алифатический спирт: сочетает свойства очень слабого основания и еще более слабой кислоты. С щелочными металлами образует метилаты, с кислотами - сложные эфиры. Окисляется кислородом воздуха |
|
Санитарно-гигиенические характеристики |
|
|
Класс опасности в воздухе рабочей зоны |
3 |
|
ПДКм.р./с.с. в воздухе рабочей зоны, мг/м3 |
15/5 |
|
Воздействие на людей |
Сильный преимущественно нервный и сосудистый яд с резко выраженным кумулятивным эффектом. Слабо действует на кожу |
|
Меры первой помощи пострадавшим от воздействия вещества |
Задача заключается в удалении метилового спирта из организма, задержке его окисления и борьбе с ацидозом. При острых отравлениях через рот - промывание желудка в течение первых 2 ч; внутрь 2 - 4 л и внутривенно 1 л 5 % раствора питьевой соды. Под кожу 500 мл 5 % раствора глюкозы. Противоядие - этиловый спирт: 1 л 5 % этилового спирта в 5 % водном растворе глюкозы вводят внутривенно незамедлительно |
|
Меры предосторожности |
Обязательны местные вытяжные устройства и общая вентиляция помещений. Герметизация аппаратуры и коммуникаций. Замена метилового спирта всюду, где только возможно, на этиловый синтетический или гидролизный спирты; изъятие из рецептуры растворителей. Предупреждение всех о высокой ядовитости метилового спирта как питья. Маркировка тары и соответствующая окраска трубопроводов с указанием на токсичность |
|
Средства защиты |
Фильтрующий промышленный противогаз |
|
Пожаровзрывоопасные свойства |
|
|
Группа горючести |
ЛВЖ |
|
Температура вспышки, °С |
6 |
|
Температура воспламенения, °С |
13 |
|
Температура самовоспламенения, °С |
440 |
|
Концентрационные пределы распространения пламени, % (об) |
6,98 ÷ 35,5 |
|
Максимальное давление взрыва, кПа |
620 |
|
Минимальная флегматизирующая концентрация флегматизатора, % об. |
азота - 49; |
|
диоксида углерода - 32; |
|
|
водяного пара - 38,6 |
|
|
Группа взрывоопасной смеси |
Т2 |
|
Категория взрывоопасности смеси |
IIA |
|
Средства пожаротушения |
Воздушно-механическая пена, порошки, преимущественно порошки ПСБ и ПФ; при тушении пенами использовать фторированные пенообразователи с интенсивностью подачи 0,06 - 0,08 л/(м2·с) |
Этантиол (одорант)
|
Наименование параметра |
Параметр |
|
Общие сведения |
|
|
Формула |
C2H6S |
|
Молекулярная масса, кг/кмоль |
62,13 |
|
Агрегатное состояние |
жидкое |
|
Внешний вид |
бесцветная жидкость |
|
Запах |
резкий, неприятный специфический запах |
|
Физико-химические свойства |
|
|
Плотность при 20 °С и давлении 101,3 кПа, кг/м3 |
840 |
|
Температура кипения, °С |
37 |
|
Удельная теплота сгорания, кДж/кг |
34975,1 |
|
Растворимость в воде |
мало растворим. |
|
Реакционная способность |
Мало растворим в эфире, растворим в этаноле |
|
Санитарно-гигиенические характеристики |
|
|
Класс опасности в воздухе рабочей зоны |
2 |
|
ПДКм.р. в воздухе рабочей зоны, мг/м3 |
1 |
|
Воздействие на людей |
При концентрации 0,001 - 0,002 мг/л и вдыхании в течение 5 минут работоспособность нарушается, но при многодневном повторении воздействия восстанавливается. В ничтожных концентрациях пары вызывают рефлекторную тошноту и головную боль вследствие отвратительного запаха. В более высоких концентрациях влияют на центральную нервную систему. Обладает наркотическим эффектом, характеризующимся особой мышечной скованностью |
|
Меры первой помощи пострадавшим от воздействия вещества |
При легких отравлениях - свежий воздух, покой, крепкий чай или кофе. При сильной тошноте - аминазин (0,025 г), трифтазин (0,001 г) или седативные средства, а также витамины В6 (10 мг), РР (25 мг), С (100 мг). При упорной рвоте - внутримышечно 1 - 2 мг 2,5 % раствора аминазина. При раздражении слизистой глаз, полости рта и носа - обильно промыть 2 % раствором соды, в нос закапать несколько капель раствора 0,05 % нафтизина. При попадании на кожу тщательно обмыть теплой водой с мылом |
к Руководству по безопасности "Методика
оценки риска аварий на опасных производственных
объектах магистрального трубопроводного
транспорта газа", утвержденному приказом
Федеральной службы по экологическому,
технологическому и атомному надзору
от 26 декабря 2018 г. № 647
1. Природный газ
1.1. Расчет количества (массы) природного газа на анализируемом участке МГ выполняется посекционно (в секциях между линейными кранами), с последующим сложением полученных "секционных" масс для получения общего количества газа на участке.
1.2. Приблизительный расчет массы газа М, т, в секции МГ осуществляется по формуле (см. также рисунок 1 настоящего приложения)
где Pн - проектное (абс.) давление на выходе предыдущей (по отношению к секции) КС, МПа;
Рк - расчетное (абс.) давление на входе последующей КС, МПа;
LКС - расстояние между двумя последовательными КС, км;
x - расстояние от предыдущей КС до середины секции, км;
Dу - условный (внутренний) диаметр МГ, мм;
Lсекц - длина секции газопровода, км;
T - средняя температура газа в секции (в точке x), К, упрощенно рассчитываемая по формуле
|
|
(2) |
где Тк - зимняя температура на входе последующей КС, К;
Тн - зимняя температура на выходе предыдущей (по отношению к секции) КС, К.
Рисунок 1. Схема МГ с обозначением входных параметров для расчета массы газа
1.3. Для расчета массы газа М, т, в газопроводе-отводе можно использовать вышеприведенную формулу (1), подставляя значение LКС вместо Lсекц;
Pн - абсолютное давление в точке подключения газопровода-отвода к МГ, МПа;
Pк - абсолютное давление в конце газопровода-отвода (на входе ГРС), МПа;
x - половина общей длины газопровода-отвода, км;
T - средняя зимняя температура в газопроводе-отводе, К.
1.4. Для расчета массы газа М, т, в технологических газопроводах (на КС, ГРС, АГНКС и т.д.) используют формулу (1), подставляя значение Lтех - длину технологического газопровода вместо Lсекц, м;
Рх - фактическое (абс.) давление в середине технологического газопровода, МПа;
Dу - условный (внутренний) диаметр технологического газопровода, мм;
T - средняя зимняя температура газа в технологическом газопроводе, К.
1.5. Для расчета массы газа М, т, в сосудах используется формула
|
|
(3) |
где Pс - рабочее (абсолютное) давление в сосуде, МПа;
Vc - внутренний объем сосуда, м3;
Tс - температура (зимняя) газа в сосуде, К.
2. Опасные вещества в жидком состоянии
2.1. Масса М, т, опасного вещества в жидком состоянии в трубопроводе рассчитывается по формуле
|
M = 7.854 · 10-4 · Dу2 · Lтруб · ρтран, |
(4) |
где Lтруб - длина трубопровода, км;
ρтран - плотность опасного вещества в условиях транспортировки, т/м3.
2.2. Масса М, т, опасного вещества в жидком состоянии в сосуде рассчитывается по формуле
|
М = Vc · ρс · Кз, |
(5) |
где Vc - внутренний объем сосуда, м3;
ρс - плотность опасного вещества в условиях содержания в сосуде, т/м3;
Кз - коэффициент заполнения сосуда.
к Руководству по безопасности "Методика
оценки риска аварий на опасных производственных
объектах магистрального трубопроводного
транспорта газа", утвержденному приказом
Федеральной службы по экологическому,
технологическому и атомному надзору
от 26 декабря 2018 г. № 647
Обобщенное дерево отказов для подземного магистрального газопровода



Рисунок 1. Дерево отказов для подземного магистрального газопровода
к Руководству по безопасности "Методика
оценки риска аварий на опасных производственных
объектах магистрального трубопроводного
транспорта газа", утвержденному приказом
Федеральной службы по экологическому,
технологическому и атомному надзору
от 26 декабря 2018 г. № 647
Балльно-факторная оценка ожидаемой частоты аварий на участке газопровода
1. Общие положения
При балльно-факторной оценке ожидаемой частоты аварий на участке газопровода используется совокупность наиболее значимых факторов, влияющих на вероятность нарушения целостности газопровода (далее - факторы влияния), которая разделена на 7 групп (таблица № 1).
Таблица № 1
Учитываемые группы факторов влияния
|
Обозначение группы |
Наименование группы факторов влияния |
Весовой коэффициент группы, рi |
|
|
для сухопутных участков МГ |
для подводных переходов МГ |
||
|
FG1 |
Возможные механические воздействия третьих лиц* |
0,14 |
0,06 |
|
FG2 |
Наружная коррозия (без учета КРН) |
0,06 |
0,06 |
|
FG3 |
Коррозия под напряжением (КРН) |
0,37 |
0,22 |
|
FG4 |
Качество производства труб и оборудования |
0,12 |
0,20 |
|
FG5 |
Качество строительно-монтажных работ |
0,20 |
0,21 |
|
FG6 |
Природные воздействия |
0,06 |
0,20 |
|
FG7 |
Уровень технической эксплуатации |
0,05 |
0,05 |
|
|
Итого |
1,00 |
1,00 |
____________
* Группа учитывает в числе прочих воздействий возможные диверсии.
Каждая группа FGi (i = 1, 2, ... 7 - номер группы) состоит из определенного числа J(i) факторов влияния (таблицы № 5, № 40). Количество факторов в разных группах различно и зависит от номера (i) группы. Каждая группа FGi и каждый фактор Fij внутри i-ой группы (j - номер фактора в данной группе) характеризуются определенными относительными "вкладами" в аварийность (долями влияния), учитываемыми с помощью весовых коэффициентов pi и qij. Значения pi приведены выше в таблице № 1, значения qij - в таблицах № 5, № 40.
Ряд факторов влияния может определяться несколькими характеристиками и, в связи с этим может иметь несколько составляющих, которые называются подфакторами и обозначаются Fmij, где m - номер подфактора.
Факторы и подфакторы имеют различную природу и могут принимать как качественные, так и количественные (дискретные или непрерывные) "натуральные" значения (не путать с натуральными числами). Например, фактор "Минимальная глубина заложения газопровода" может принимать количественные значения в непрерывном диапазоне от 0 до нескольких метров. То есть каждому фактору Fij соответствует шкала дискретных {fijs, s = 1, …, S} (где S - максимальное число возможных значений фактора Fij) или непрерывных "натуральных" значений ϵ [fij(min); fij(max)] этого фактора (где fij(min); fij(max) - соответственно минимальное и максимальное значения Fij), отражающая возможный диапазон его изменения от "наихудшего" значения до "наилучшего" с точки зрения влияния на вероятность разгерметизации МГ.
С целью унифицированного учета влияния разнородных факторов на ожидаемую частоту аварий на МГ диапазоны изменений "натуральных" значений различных факторов трансформированы в единую 10-балльную шкалу. При этом 0 баллов соответствуют наилучшему для газопровода влиянию со стороны данного фактора, т.е. наименьшей вероятности нарушения его целостности, а 10 баллов соответствуют наихудшему для газопровода влиянию, т.е. наибольшей вероятности нарушения его целостности. Промежуточные балльные значения соответствуют промежуточным уровням вероятности нарушения целостности МГ на рассматриваемом участке. Перевод "натуральных" шкал в 10-балльную шкалу осуществляется с помощью БФФ Вij = φij(Fij) (где Вij – число баллов), трансформирующих "натуральные" значения фактора влияния Fij (или его подфактора) в соответствующие балльные оценки. Данные функции заданы в виде формул или таблиц в зависимости от вида конкретного фактора (подфактора) влияния (разделы 3, 4 настоящего приложения).
Для рассматриваемого n-ого участка трассы газопровода рекомендуется определять во сколько раз ожидаемая частота аварий на этом участке отличается от средней удельной частоты аварий λср на ЛЧ МГ ЕСГ. При этом ожидаемая частота аварий на n-ом участке трассы рассчитывается как:
|
|
(1) |
где λср - средняя удельная частота аварий по МГ ЕСГ в целом, аварий/(1000 км·год) (для сухопутных участков принимается равной среднестатистической (определенной за последние 5 лет) удельной частоте аварий на ЛЧ МГ ЕСГ (за период 2013 - 2017 гг. - 0,1 аварий/(1000 км·год)), для участков подводных переходов принимается равной удвоенной среднестатистической (определенной за последние 5 лет) удельной частоте аварий на ЛЧ МГ ЕСГ).
kрег - региональный коэффициент влияния (таблица № 2);
kвозр - возрастной коэффициент влияния (таблица № 3);
kкат - категорийный коэффициент влияния (таблица № 4);
Bср - балльная оценка гипотетического среднестатистического участка газопровода ЕСГ, аварийность на котором соответствует среднестатистической удельной частоте аварий по МГ ЕСГ (Вср = 3,74 балла - для сухопутных участков; Вср = 4,34 балла - для подводных переходов)*;
Bij - балльная оценка наблюдаемого на анализируемом участке МГ "натурального" значения фактора Fij, определяемая с помощью соответствующей БФФ;
pi - доля (весовой коэффициент) i-той группы факторов;
qij - доля (весовой коэффициент) j-го фактора в i-той группе;
I = 7 - общее число расчетных групп факторов влияния;
J(i) - общее число факторов влияния в i-ой группе.
2. Последовательность действий по определению ожидаемых частот аварий на участках магистральных газопроводов
Последовательность расчёта λn на тех или иных участках газопровода включает следующие шаги:
1) Выполнить разбиение трассы рассматриваемого газопровода на участки (выделить ПОУ - пункт 5.3.7. настоящего Руководства), для которых необходимо определить λn. (В общем случае анализируемые ПОУ, выделяемые на МГ для анализа, не равны по длине. Однако при необходимости построения непрерывного поля потенциального риска вдоль протяженного МГ рекомендуется деление трассы МГ на равные участки, длиной по 0,5 или 1 км).
2) Выделить отдельно участки подводных переходов МГ.
3) Выполнить шаги 4) - 14) для каждого из выделенных участков МГ.
4) Для рассматриваемого n-го участка МГ определить значение регионального коэффициента kрег, исходя из принадлежности участка к северному, центральному или южному региону с помощью таблицы № 2.
Значения регионального коэффициента влияния**
|
Наименование региона и относящиеся к нему эксплуатирующие организации |
Северный(ООО "Газпром трансгаз Санкт-Петербург", ООО "Газпром трансгаз Ухта", ООО "Газпром трансгаз Сургут", ООО "Газпром трансгаз Томск", ООО "Газпром трансгаз Югорск", ООО "Газпром добыча Уренгой", ООО "Газпром добыча Ноябрьск", ООО "Газпром добыча Ямбург", ООО "Газпром добыча Надым", ООО "Газпром добыча Иркутск", ООО "Газпром добыча Кузнецк") |
Центральный (ООО "Газпром трансгаз Уфа", ООО "Газпром трансгаз Нижний Новгород", ООО "Газпром трансгаз Москва", ООО "Газпром трансгаз Чайковский", ООО "Газпром трансгаз Самара", ООО "Газпром трансгаз Казань", ООО "Газпром трансгаз Екатеринбург", ОАО "Газпром трансгаз Беларусь", ООО "Газпром добыча Оренбург") |
Южный (ООО "Газпром трансгаз Волгоград", ООО "Газпром трансгаз Ставрополь", ООО "Газпром трансгаз Махачкала", ООО "Газпром трансгаз Краснодар", ООО "Газпром трансгаз Саратов", ООО "Газпром Кыргызстан", ОАО "Газпром Армения", ООО "Газпром добыча Астрахань") |
|
Значение kрег |
1,13 |
0,81 |
1,23 |
5) Определить значение "возрастного" коэффициента kвозр для анализируемого участка с помощью таблицы № 3 исходя из реального срока эксплуатации участка МГ (с учетом даты проведения капитального ремонта с заменой труб, если он был).
Значения возрастного коэффициента влияния
|
Возрастной диапазон МГ, лет |
0 - 4 |
5 - 9 |
10 - 14 |
15 - 19 |
20 - 29 |
30 и более |
30 и более (со сниженным разрешенным давлением) |
|
kвозр |
0,7 |
0,5 |
0,9 |
1,05 |
1,4 |
1,5 |
1,0 |
6) Определить значение категорийного коэффициента kкат для анализируемого участка с помощью таблицы № 4 исходя из категории участка.
Значения категорийного коэффициента влияния
|
Категория участка МГ (в соответствии с СП 36.13330.2012 "Магистральные трубопроводы. Актуализированная редакция СНиП 2.05.06-85*") |
B |
I |
II |
III |
IV |
|
kкат |
0,7 |
0,75 |
0,85 |
0,9 |
1,13 |
7) Определить основные технико-технологические характеристики МГ на этом участке (условный диаметр МГ, проектное, разрешенное и фактическое давления МГ) и наихудшие в пределах участка фактические "натуральные" значения учитываемых факторов влияния из соответствующей данному типу элементов ЛЧ (сухопутный участок, подводный переход) совокупности факторов последовательно по каждой группе факторов (разделы 3, 4 настоящего приложения).
8) В зависимости от типа анализируемого участка МГ (сухопутный участок или подводный переход) выбрать один из 2-х наборов факторов влияния, приведенных в разделах 3, 4 настоящего приложения, и дальнейшие шаги осуществлять в пределах выбранного раздела.
9) Определить для каждого фактического "натурального" значения фактора его балльную оценку в 10-балльной шкале с помощью БФФ Bij = φij(Fij), формульные или табличные выражения которых приведены в разделе 3 (для сухопутных участков) или разделе 4 (для подводных переходов) настоящего приложения. Если по каким-либо причинам "натуральное" значение какого-то фактора определить не удалось, его балльная оценка принимается равной 10 (наихудшему значению).
10) Откорректировать полученные балльные оценки Bij для каждого фактора, умножив их на соответствующие данному фактору весовые коэффициенты qij и pi с получением произведений pi · qij · Bij (весовые коэффициенты для сухопутных участков приведены в разделе 3, для подводных переходов - в разделе 4 настоящего приложения)
11) Просуммировать откорректированные ("взвешенные") балльные оценки внутри каждой i-ой группы факторов с получением групповых балльных оценок
|
|
|
12) Определить итоговую балльную оценку Bn рассматриваемого n-го участка МГ путем суммирования полученных выше групповых балльных оценок по всем группам факторов влияния:
|
|
|
13) Определить значение локального коэффициента влияния по формуле:
|
|
|
где Bср = 3,74 - для сухопутных участков МГ; Bср = 4,34 - для подводных переходов МГ.
14) Определить значение ожидаемой частоты аварий на рассматриваемом n-ом участке МГ (предварительно уточнив значение λср за последние 5 лет применительно к сухопутным участкам или подводным переходам) по формуле:
|
λn = λср · kрег · kвозр · kкат · kлок, |
|
15) Построить распределение λn(x) удельной ожидаемой частоты аварий по длине трассы МГ.
3.1. Перечень учитываемых факторов влияния и весовые коэффициенты групп и факторов в каждой группе применительно к сухопутным участкам приведены в таблице № 5.
Факторы влияния и их весовые коэффициенты для сухопутных участков газопроводов
|
Группа факторов влияния |
Вес группы pi |
Фактор влияния |
Вес фактора в группе qij |
|
|
FG1: Возможные механические воздействия третьих лиц |
0,14 |
F11 |
Минимальная глубина заложения подземного газопровода |
0,18 |
|
F12 |
Уровень антропогенной активности |
0,18 |
||
|
F13 |
Согласовательно-разъяснительная работа |
0,10 |
||
|
F14 |
Состояние охранной зоны газопровода |
0,10 |
||
|
F15 |
Частота патрулирования трассы газопровода |
0,14 |
||
|
F16 |
Нарушения охранной зоны и зоны минимальных безопасных расстояний |
0,20 |
||
|
F17 |
Аварии и отказы, имевшие место на газопроводе из-за воздействий 3-х лиц |
0,10 |
||
|
FG2: Наружная коррозия (без учета КРН) |
0,06 |
F21 |
Коррозионные свойства грунтов |
0,09 |
|
F22 |
Температура перекачиваемого газа |
0,06 |
||
|
F23 |
Наличие зон блуждающих токов |
0,09 |
||
|
F24 |
Результаты шурфований |
0,07 |
||
|
F25 |
Тип и состояние изоляционного покрытия |
0,18 |
||
|
F26 |
Время, прошедшее с момента последних электрометрических обследований |
0,14 |
||
|
F27 |
Качество работы устройств ЭХЗ |
0,18 |
||
|
F28 |
Мониторинг и контроль эффективности ЭХЗ |
0,09 |
||
|
F29 |
Аварии и отказы, имевшие место по причине наружной коррозии |
0,10 |
||
|
FG3: Коррозия под напряжением (КРН) |
0,37 |
F31 |
Комбинированный фактор (НДС + условия развития КРН), состоящий из подфакторов: |
0,60 |
|
F31-1 - коррозионная активность грунта |
||||
|
F31-2 - тип и состояние изоляционного покрытия |
||||
|
F31-3 - удаленность участка МГ от КС |
||||
|
F31-4 - отношение фактического давления в МГ к проектному |
||||
|
F31-5 - диаметр МГ (учитывается в виде коэффициента kD) |
||||
|
F32 |
Наличие водотоков |
0,15 |
||
|
F33 |
Уровень грунтовых вод |
0,15 |
||
|
F34 |
Аварии и отказы, имевшие место по причине стресс-коррозии |
0,10 |
||
|
FG4: Качество производства труб и оборудования |
0,12 |
F41 |
Изготовитель и год выпуска труб для газопровода |
0,50 |
|
F42 |
Испытания газопровода |
0,40 |
||
|
F43 |
Аварии и отказы, имевшие место по причине производственных дефектов труб и оборудования |
0,10 |
||
|
FG5: Качество строительно-монтажных работ (СМР) |
0,20 |
F51 |
Категория участка по сложности производства СМР |
0,20 |
|
F52 |
Климатический район и сезон производства СМР |
0,20 |
||
|
F53 |
Контроль качества СМР |
0,20 |
||
|
F54 |
Контроль качества сварных соединений |
0,20 |
||
|
F55 |
Адекватность применяемых материалов и изделий |
0,05 |
||
|
F56 |
Качество обращения с материалами |
0,05 |
||
|
F57 |
Аварии и отказы, имевшие место по причине дефектов СМР |
0,10 |
||
|
FG6: Природные воздействия |
0,06 |
F61 |
Подвижки и деформации грунта |
0,50 |
|
F62 |
Состав грунта с точки зрения его несущей способности |
0,10 |
||
|
F63 |
Наличие на участке линейной арматуры и наземных узлов разветвленной конфигурации |
0,10 |
||
|
F64 |
Превентивные мероприятия |
0,20 |
||
|
F65 |
Аварии и отказы, имевшие место по причине природных воздействий |
0,10 |
||
|
FG7: Уровень технической эксплуатации |
0,05 |
F71 |
Эксплуатационная документация |
0,09 |
|
F72 |
Техническая оснащенность ЛЭС |
0,15 |
||
|
F73 |
Укомплектованность ЛЭС |
0,15 |
||
|
F74 |
Периодичность ТО и ППР |
0,18 |
||
|
F75 |
Квалификация персонала |
0,18 |
||
|
F76 |
Системы телемеханики и автоматики |
0,15 |
||
|
F77 |
Аварии и отказы, имевшие место по причине нарушений правил эксплуатации |
0,10 |
||
3.2. Балльные оценки Bij факторов влияния, перечисленных в таблице № 5, определяются с помощью соответствующих БФФ, описанных ниже в настоящем подразделе.
3.2.1. БФФ для факторов влияния из группы FG1 "Возможные механические воздействия третьих лиц"
3.2.1.1. БФФ В11 = φ11(F11) для фактора F11 "Минимальная глубина заложения подземного газопровода".
БФФ для данного фактора имеет вид:
|
В11 = 1,5 - 0,83h |
при 0,6 ≤ h ≤ 1,8 (м) |
(2) |
|
В11 = (1 + 100(h - 0,6))2 |
при 0,3 ≤ h < 0,6 (м) |
|
|
В11 = 10 |
при h < 0,3 (м) |
|
|
h = hгр + hдоп, |
|
где h - эквивалентная глубина заложения МГ, м;
hгр - толщина слоя грунта над верхней образующей МГ, м;
hдоп - толщина слоя грунта, эквивалентная толщине дополнительного механического защитного покрытия газопровода (например, бетонных плит), м, определяемая по таблице № 6.
Эквивалентирование защитных средств МГ слоем грунта
|
Дополнительная защита МГ |
Эквивалентная толщина слоя грунта, hдоп, м |
|
Бетонное покрытие толщиной 0,05 м |
0,2 |
|
Бетонное покрытие толщиной 0,1 м |
0,3 |
|
Защитный кожух (футляр) |
0,6 |
3.2.1.2. БФФ В12 = φ12(F12) для фактора F12 "Уровень антропогенной активности". Данный фактор влияния включает 4 подфактора, БФФ которых приведены в таблице № 7 (m - номер подфактора).
БФФ для подфакторов фактора F12 "Уровень антропогенной активности"***
|
m |
Составляющие фактора F12 и их балльно-факторные функции |
|
||
|
1 |
F112 |
Плотность населения (Н) в районе прохождения трассы МГ: |
|
|
|
- при 0 ≤ Н ≤ 150 (чел./км2) |
B112 = 0,02Н |
← |
||
|
- при Н > 150 (чел./км2) |
B112 = 3 |
|
||
|
2 |
F212 |
Активность строительных работ в районе участка МГ: |
|
|
|
- высокая (в пределах 500 м от оси МГ строительные, земляные, сейсмографические и т.п. работы, как правило, ведутся более 3 месяцев в году) |
3 |
|||
|
- умеренная (указанные работы ведутся от 1 до 3 месяцев в году или МГ проходит по ежегодно обрабатываемым сельхозугодьям) |
2 |
|||
|
- низкая (указанные работы носят эпизодический характер) |
1 |
|||
|
- отсутствует (указанные работы никогда не проводились ранее и не проводятся сейчас) |
0 |
|||
|
3 |
F312 |
Удельное количество подземных переходов nажд через авто- и железные дороги на участке МГ, шт./км: |
|
|
|
- при 0 ≤ nажд ≤ 2 (шт./км) |
B312 = nажд |
← |
||
|
- при nажд > 2 (шт./км) |
B312 = 2 |
|
||
|
4 |
F412 |
Удельное количество пересечений (nком) участка МГ с подземными трубопроводами и другими подземными коммуникациями шт./км: |
|
|
|
- при 0 ≤ nком ≤ 6 (шт./км) |
B412 = 0,33nком |
← |
||
|
- при nком > 6 (шт./км) |
B412 = 2 |
|
||
Балльная оценка фактора F12 рассчитывается как сумма балльных оценок 4-х подфакторов:
|
|
|
3.2.1.3. БФФ В13 = φ13(F13) для фактора F13 "Согласовательно-разъяснительная работа". Фактор влияния F13 включает 3 подфактора, БФФ которых представлены в таблице № 8 (m - номер подфактора).
БФФ для подфакторов фактора F13 "Согласовательно-разъяснительная работа"
|
m |
Составляющие фактора F13 и их возможные значения |
|
|
|
1 |
F113 |
Система согласования и контроля проведения строительных и взрывных работ в охранной зоне: |
|
|
- строго соблюдается (все работы согласуются и контролируются ЛПУМГ) |
0 |
||
|
- в основном соблюдается (имели место отдельные нарушения инструкций в части контроля проведения работ) |
0,5 - 1,5 |
||
|
- нечетко соблюдается (имели место неоднократные случаи нарушения инструкций в части согласования и контроля проведения работ) |
2 - 3 |
||
|
- не соблюдается (были многочисленные случаи проведения работ сторонними организациями без разрешения ЛПУМГ с грубыми нарушениями инструкций, приводившими к инцидентам и авариям) |
4 |
||
|
2 |
F213 |
Наличие у землепользователей обновляемых карт с нанесенной трассой МГ***: |
|
|
- обновляемые (не реже 1 раза в 3 года) карты с трассой МГ имеются у всех землепользователей |
0 |
||
|
- обновленные карты с трассой МГ имеются у большей части землепользователей (или - у всех, но с частотой обновления 1 раз в 3,5 - 4 года) |
1 - 1,5 |
||
|
- обновленные карты с трассой МГ имеются у меньшей части землепользователей (или - у всех, но с частотой обновления 1 раз в 5 - 7 лет) |
2 - 2,5 |
||
|
- обновленные карты с трассой МГ отсутствуют у всех землепользователей (или карты есть, но частота обновления - 1 раз в 8 - 10 лет и реже) |
3 |
||
|
3 |
F313 |
Разъяснительная работа в организациях и среди населения: |
|
|
- проводится регулярно (оповещения предприятий о необходимости выполнения Правил охраны МГ и соответствующие обращения к населению в прессе - не реже 2 раз в год) |
0 |
||
|
- проводится с недостаточной частотой (1 раз в год) |
1 |
||
|
- проводится нерегулярно (реже 1 раза в год) |
2 |
||
|
- не проводится (оповещения не рассылаются, и обращения в прессе не печатаются) |
3 |
||
Итоговая балльная оценка фактора рассчитывается как сумма балльных оценок 3-х подфакторов:
|
|
|
3.2.1.4. БФФ В14 = φ14(F14) для фактора F14 "Состояние охранной зоны газопровода".
Фактор влияния F14 включает 2 подфактора, БФФ для которых приведены в таблице № 9 (m - номер подфактора).
Таблица № 9
БФФ для составляющих фактора F14 "Состояние охранной зоны газопровода"
|
m |
Составляющие фактора F14 и возможные значения |
|
||
|
1 |
F114 |
Степень расчистки трассы МГ древесно-кустарниковой растительности (доля общей протяженности участка МГ, очищенная от растительности), rрасч (%): |
|
|
|
- при 0 ≤ rрасч ≤ 100 (%) |
B114 = 6 - 0,06rрасч |
← |
||
|
2 |
F214 |
Процент отсутствующих на участке МГ знаков закрепления трассы (z, %): |
|
|
|
- при 0 ≤ z ≤ 20 (%) |
B214 = 0,2z |
← |
||
|
- при z > 20 (%) |
B214 = 4 |
|
||
Итоговая балльная оценка фактора рассчитывается как сумма балльных оценок 2-х подфакторов:
|
|
|
3.2.1.5. БФФ В15 = φ15(F15) для фактора F15 "Частота патрулирования трассы газопровода".
Данный фактор включает 2 равнозначных подфактора, БФФ которых представлены в таблице № 10 (m - номер подфактора).
Таблица № 10
|
m |
Составляющие фактора F16 и их возможные значения |
|
|
|
1 |
F115 |
Частота патрулирования (обходов, объездов, облетов) участка МГ: |
|
|
- не реже 2 раз в неделю |
0 |
||
|
- раз в неделю |
1 |
||
|
- 3 раза в месяц |
2 |
||
|
- 2 раза в месяц |
3 |
||
|
- 1 раз в месяц |
4 |
||
|
- реже 1 раза в месяц |
5 |
||
|
2 |
F215 |
Частота облетов участка МГ с приборами обнаружения утечек: |
|
|
- чаще 2 раз в год |
0 |
||
|
- 2 раза в год |
1 |
||
|
- от 1 до 2 раз в год, |
2 |
||
|
- 1 раз в год |
3 |
||
|
- от 1 раза в год до 1 раза в 2 года |
4 |
||
|
- реже 1 раза в 2 года |
5 |
||
Итоговая балльная оценка фактора F15 рассчитывается как сумма балльных оценок 2-х составляющих:
|
|
|
3.2.1.6. БФФ В16 = φ16(F16) для фактора F16 "Нарушения охранной зоны и зон минимальных расстояний".
БФФ задана для данного фактора в таблице № 11.
Таблица № 11
БФФ для фактора F16 "Нарушения охранной зоны и зон минимальных расстояний"
|
№ |
Возможные значения фактора F16 |
B16 |
|
1 |
Объект-нарушитель (из перечисленных в строках 1 - 6, 8, 10 - 13 таблицы № 4* СП 36.13330.2012 "Магистральные трубопроводы. Актуализированная редакция СНиП 2.05.06-85*" (утверждены приказом Федерального агентства по строительству и жилищно-коммунальному хозяйству от 25 декабря 2012 г. № 108/ГС)) находится в пределах охранной зоны МГ (не далее 25 м от оси МГ) или в охранной зоне МГ проводятся несанкционированные строительные или взрывные работы |
10 |
|
2 |
Объект-нарушитель (из перечисленных в строках (пунктах) 1, 11, 12 таблицы № 4* СП 36.13330.2012) находится на расстоянии R < 0,5Rmin от оси МГ* |
10 |
|
3 |
Объект-нарушитель (из перечисленных в строках 1, 11, 12 таблицы № 4* СП 36.13330.2012) находится на расстоянии 0,5Rmin ≤ R < Rmin от оси МГ |
8 - 9 |
|
4 |
Объект-нарушитель(из перечисленных в строках 2, 4, 5 таблицы № 4* СП 36.13330.2012) находится на расстоянии R < 0,5Rmin от оси МГ* |
7 |
|
5 |
Объект-нарушитель (из перечисленных в строках 2, 4, 5 таблицы № 4* СП 36.13330.2012) находится на расстоянии 0,5Rmin ≤ R < Rmin от оси МГ |
6 |
|
6 |
Объект-нарушитель (из перечисленных в строках 3 и 6 таблицы № 4* СП 36.13330.2012) находится на расстоянии R < 0,5Rmin от оси МГ* |
5 |
|
7 |
Объект-нарушитель (из перечисленных в строках 3 и 6 таблицы № 4* СП 36.13330.2012) находится на расстоянии 0,5Rmin ≤ R < Rmin от оси МГ |
4 |
|
8 |
Объект-нарушитель (из перечисленных в строках 8 - 10, 13 - 17 таблицы № 4* СП 36.13330.2012) находится на расстоянии R < 0,5Rmin от оси МГ* |
3 |
|
9 |
Объект-нарушитель (из перечисленных в строках 8 - 10, 13 - 17 таблицы № 4* СП 36.13330.2012) находится на расстоянии 0,5Rmin ≤ R < Rmin от оси МГ |
2 |
|
10 |
Нарушение (я) охранной зоны и зон минимальных расстояний имеют место на соседнем с анализируемым участке МГ |
1 |
|
11 |
Нарушений охранной зоны и зон минимальных расстояний на анализируемом участке МГ нет |
0 |
|
____________ * Rmin - минимально допустимое расстояние от объекта до МГ, нормативно варьируемое в зависимости от диаметра и класса МГ и вида объекта (таблица № 4* СП 36.13330.2012). |
||
3.2.1.7. БФФ В17 = φ17(F17) для фактора F17 "Имевшие место аварии и отказы из-за воздействий третьих лиц". БФФ функция имеет следующий вид:
|
В17 = 2Nсвищ-мех + 10Nрзр-мех, |
(3) |
где Nсвищ-мех - количество имевших место свищей (утечек) на анализируемом участке по причине механических повреждений газопровода третьими лицами за весь период его эксплуатации;
Nрзр-мех - количество имевших место разрывов на анализируемом участке по причине механических повреждений газопровода третьими лицами за весь период его эксплуатации.
Если расчетное значение В17 получится больше 10, то итоговое значение В17 принимается равным 10 баллов.
3.2.2. БФФ для факторов влияния из группы FG2 "Наружная коррозия (без учета КРН)".
Если анализируемый участок газопровода построен из новых труб с изоляцией из экструдированного или напыленного полиэтилена заводского нанесения со сварными стыками, изолированными термоусаживающимися манжетами, то вероятность возникновения коррозионных повреждений пренебрежимо мала и допускается принять равной 0 суммарную балльную оценку данной группы факторов, т.е. В2 = 0, без проведения дальнейшего анализа по данной группе факторов. В ином случае анализ проводится по стандартной схеме с рассмотрением каждого фактора данной группы.
3.2.2.1. БФФ В21 = φ21(F21) для фактора F21 "Коррозионные свойства грунтов".
БФФ для данного фактора оперирует двумя показателями: удельным сопротивлением грунта ρг (Ом м) и фактом наличия/отсутствия чередования грунтов на анализируемом участке МГ и имеет вид:
|
В21 = k21-1 |
при ρг > 100 |
(4) |
|
В21 = k21-1 + 2,5 - 0,025ρг |
при 20 < ρг ≤ 100 |
|
|
В21 = k21-2(6 - 0,2ρг) |
при 5 < ρг ≤ 20 |
|
|
В21 = k21-2·5 |
при ρг ≤ 5; |
где k21-1 = 2, k21-2 = 2 - при первом типе чередования грунтов, когда среднее (геометрическое) значение ρг на анализируемом участке длиной L в пять или более раз меньше средних (геометрических) значений ρг на прилегающих к нему участках длиной по 3L (рисунок 1);
k21-1 = 1, k21-2 = 1,5 - при втором типе чередования грунтов, когда среднее значение ρг на анализируемом участке длиной L в пять или более раз меньше среднего значения ρг на прилегающем к нему с одной стороны участке длиной 3L и одновременно с этим больше среднего значения ρг на прилегающем к нему с другой стороны участке длиной 3L;
k21-1 = 0, k21-2 = 1 - при третьем типе чередования грунтов, когда среднее значение ρг на анализируемом участке длиной L одновременно больше средних значений ρг на прилегающих к нему с двух стороны участках длиной 3L.
В качестве значения ρг в приведенной выше БФФ фигурирует геометрическое среднее
|
|
(5) |
где ρi…ρn - измеренные значения удельного сопротивления грунт в n точках (анализируемого участка трассы МГ и прилегающих к нему участках длиной 3L), отстоящих не менее чем в 100 м друг от друга, Ом·м.

Рисунок 1. Типы чередования грунтов с различными удельными сопротивлениями
3.2.2.2. БФФ В22 = φ22(F22) для фактора F22 "Температура перекачиваемого газа".
БФФ для данного фактора отражает факт увеличения интенсивности коррозии с повышением температуры газа и имеет вид:
|
В22 = 0,2tг |
при 0 °С ≤ tг ≤ 50 °С |
(6) |
|
В22 = 10 |
при tг > 50 °С |
3.2.2.3. БФФ В23 = φ23(F23) для фактора F23 "Наличие зон блуждающих токов".
БФФ задана в таблицах № 12 и № 13 соответственно для коротких и для протяженных анализируемых участков МГ.
Таблица № 12
БФФ для фактора "Наличие зон блуждающих токов" (для коротких участков МГ c L ≤ 3 км)
|
№ |
Возможные значения фактора F23 |
B23 |
|
1 |
На анализируемом участке и прилегающих к нему с 2-х сторон участках газопровода длиной по 3 км не обнаружено зон блуждающих токов |
0 |
|
2 |
На анализируемом участке и прилегающих к нему с 2-х сторон участках газопровода длиной по 3 км обнаружены знакопеременные зоны блуждающих токов |
3 |
|
3 |
На анализируемом участке и прилегающих к нему с 2-х сторон участках газопровода длиной по 3 км обнаружены анодные зоны блуждающих токов |
10 |
Таблица № 13
БФФ для фактора "Наличие зон блуждающих токов" (для протяженных участков МГ длиной несколько десятков км)
|
№ |
Возможные значения фактора F23 |
B23 |
|
1 |
На анализируемом участке МГ не обнаружено зон блуждающих токов |
0 |
|
2 |
На анализируемом участке МГ обнаружены знакопеременные зоны блуждающих токов |
3 |
|
3 |
На анализируемом участке МГ обнаружены анодные зоны блуждающих токов |
10 |
3.2.2.4. БФФ В24 = φ24(F24) для фактора F24: "Результаты шурфований".
При определении фактических значений и балльной оценки данного фактора учитывают наихудшие результаты шурфований на анализируемом участке МГ (если шурфований было несколько), причем проведенных не ранее, чем за 2 - 3 года до момента проведения оценки ожидаемой частоты аварий для данного участка. БФФ представлена в виде матрицы (таблица № 14).
Таблица № 14
БФФ для фактора F24 "Результаты шурфований"
|
|
Фактическая скорость коррозии |
|||
|
Менее 0,1 мм/год |
0,1 - 0,3 мм/год |
Более 0,3 мм/год |
||
|
Состояние изоляционного покрытия (ИП) |
Хорошее (по критериям ВРД 39-1.10-026-2001) |
0 |
- |
- |
|
Удовлетворительное (по критериям ВРД 39-1.10-026-2001) |
0,5 |
0,5 - 1,5 |
2 |
|
|
Сквозные дефекты размером более 1 см2/м2 |
3 |
4 - 6 |
9 - 10 |
|
|
Наличие отслоений ИП |
3 |
7 - 8 |
9 - 10 |
|
|
Комбинация отслоений ИП и сквозных дефектов размером более 1 см2/м2 |
6 |
9 |
10 |
|
3.2.2.5. БФФ В25 = φ25(F25) для фактора F25 "Тип и состояние изоляционного покрытия".
БФФ для данного фактора представлена в виде матрицы (таблица № 15).
Таблица № 15
БФФ для фактора F25 "Тип и состояние изоляционного покрытия"
|
|
Тип и условия нанесения ИП |
|||||
|
Из экструдированного или напыленного полиэтилена заводского нанесения со сварными стыками, изолированными термоусаживающимися манжетами |
Из экструдированного или напыленного полиэтилена заводского нанесения со сварными стыками, изолированным и полимерными липкими лентами |
Битумная мастика базового и трассового нанесения |
Усиленные пленочные базового и трассового нанесения |
Нормальные пленочные базового и трассового нанесения |
||
|
Относительная протяженность участков (в пределах анализируемого участка МГ) с неудовлетворительным состоянием ИП, % |
0 |
0 |
1** |
2 |
3 |
4 |
|
1 - 5 |
0* |
2 |
3 |
4 |
5 |
|
|
6 - 10 |
0* |
3 |
4 |
5 |
6 |
|
|
11 - 15 |
0* |
4 |
5 |
6 |
7 |
|
|
15 - 20 |
0* |
5 |
6 |
7 |
8 |
|
|
21 - 25 |
0* |
6 |
7 |
8 |
9 |
|
|
> 25 |
0* |
7 |
8 |
9 |
10 |
|
|
____________ * Считается, что ИП заводского нанесения со сварными стыками, изолированными термоусаживающимися манжетами, находится в удовлетворительном, хорошем и отличном состояниях. ** Для ИП заводского нанесения со сварными стыками, изолированными липкими полимерными лентами, учитывается не относительная протяженность участка, а процент сварных стыков с неудовлетворительным состоянием ИП. |
||||||
3.2.2.6. БФФ В26 = φ26(F26) для фактора F26 "Время, прошедшее с момента последних электрометрических обследований".
БФФ представлена системой следующих выражений:
|
В26 = 0,4Tэо |
при 0 < Tэо ≤ 5 |
(7) |
|
В26 = -18 + 4Tэо |
при 5 < Tэо ≤ 7 |
|
|
В26 = 10 |
при Tэо > 7 |
где Tэо - количество лет, прошедших с момента проведения последних обследований.
3.2.2.7. БФФ В27 = φ27(F27) для фактора F27 "Качество работы средств ЭХЗ".
Фактор влияния F27 включает 3 подфактора, балльно-факторные функции для которых приведены в таблице № 16 (m - номер подфактора).
Таблица № 16
БФФ подфакторов фактора F27 "Качество работы средств ЭХЗ"
|
m |
Составляющие фактора F27 и их возможные значения |
|
|
|
1 |
F127 |
Защищенность МГ по протяженности (Зп, %) (сохранение разности потенциалов "труба-земля" в пределах от -0,85 до -1,1 В): |
|
|
Зп = 100 % |
0 |
||
|
96 < Зп ≤ 99 % |
1 |
||
|
92 < Зп ≤ 96 % |
2 |
||
|
88 < Зп ≤ 92 % |
3 |
||
|
85 < Зп ≤ 88 % |
4 |
||
|
Зп < 85 % |
5 |
||
|
2 |
F227 |
Срок ввода ЭХЗ в эксплуатацию на участке: |
|
|
- одновременно с МГ |
0 |
||
|
- менее, чем через 1 год после начала эксплуатации МГ |
1 |
||
|
- через 1 - 2 года после начала эксплуатации МГ |
2 |
||
|
- более, чем через 2 года после начала эксплуатации МГ |
3 |
||
|
3 |
F327 |
Периодичность обслуживания и проверки работы средств ЭХЗ: |
|
|
- не реже 1 (2) раз в месяц на УКЗ, обеспеченных (необеспеченных) дистанционным контролем; 4 раз в месяц на УДЗ и 1 раза в полгода на УПЗ (по ПТЭ МГ) |
0 |
||
|
- с отклонениями от ПТЭ МГ |
1 |
||
|
- грубые нарушения сроков |
2 |
||
|
При отсутствии средств ЭХЗ на газопроводе В27 = 10. |
|||
Итоговая балльная оценка фактора рассчитывается как сумма балльных оценок 3-х подфакторов:
|
|
|
3.2.2.8. БФФ В28 = φ28(F28) для фактора F28 "Мониторинг и контроль эффективности ЭХЗ".
Балльная оценка данного фактора в целом рассчитывается как сумма балльных оценок 3-х подфакторов:
|
|
|
БФФ первых 2-х подфакторов задаются в табличном виде (строки 1 и 2 таблицы № 17), а БФФ третьего подфактора - в виде формул (3-я строка таблицы № 17).
Таблица № 17
БФФ 3-х составляющих фактора F28 "Мониторинг и контроль эффективности ЭХЗ"
|
m |
Составляющие фактора F28 и их возможные значения |
|
||
|
1 |
F128 |
Расстояния между КИК (Lкик) и установка КИК на "проблемных" участках: |
|
|
|
1) Lкик ≤ 1,0 км, контроль всех проблемных участков |
0 |
|||
|
2) Lкик ≤ 1,0 км, контролируются не все проблемные участки |
1 |
|||
|
3) 1,0 < Lкик ≤ 3,0 км или контролируются не все проблемные участки |
2 |
|||
|
4) местами Lкик > 3,0 км, не все проблемные участки контролируются |
3 |
|||
|
5) контроль не производится |
4 |
|||
|
2 |
F228 |
Частота fкик (раз в год) проведения измерений в КИК: |
|
|
|
fкик ≥ 2 (ПТЭ) |
0 |
|||
|
1 < fкик < 2 |
1 |
|||
|
fкик ≤ 1 |
2 |
|||
|
- измерения не производятся |
3 |
|||
|
3 |
F328 |
Время, (количество лет Tки), прошедшее с момента проведения последних измерений с короткими интервалами, - вид балльно-факторной функции: |
|
|
|
F328 = 0,2Tки |
при 0< Tки ≤ 5 |
|
||
|
F328 = -4 + Tки |
при 5< Tки ≤ 7 |
|
||
|
F328 = 3 |
при Tки > 7 |
|
||
3.2.2.9. БФФ В29 = φ29(F29) для фактора F29 "Аварии и отказы, имевшие место по причине наружной коррозии".
БФФ для данного фактора имеет следующий вид:
|
В29 = 29Nсвищ-кор + 10Nрзр-кор, |
(8) |
где Nсвищ-кор - количество имевших место свищей (утечек) на анализируемом участке по причине наружной коррозии за весь период его эксплуатации,
Nрзр-кор - количество имевших место разрывов на анализируемом участке по причине наружной коррозии за весь период его эксплуатации.
Если расчетное значение В29 получится больше 10, то итоговое значение В29 принимается равным 10 баллов.
3.2.3. БФФ для факторов влияния из группы FG3 "Коррозия под напряжением (КРН)".
Если анализируемый участок газопровода построен из новых труб с изоляцией из экструдированного или напыленного полиэтилена заводского нанесения со сварными стыками, изолированными термоусаживающимися манжетами, то вероятность возникновения стресс-коррозионных повреждений пренебрежимо мала и допускается принять равной 0 суммарную балльную оценку данной группы факторов, т.е. Вз = 0, без проведения дальнейшего анализа по данной группе факторов.
3.2.3.1. БФФ В31 = φ31(F31) для фактора F31 "Комбинированный фактор КРН".
БФФ для фактора 31 имеет вид:
|
В31 = kD · В31-ПРМ, |
(9) |
где В31-ПРМ - промежуточная балльная оценка значения фактора F31, выбираемая из ячеек таблицы № 18.
kD - коэффициент, учитывающий влияние диаметра газопровода на возможность возникновения стресс-коррозионных дефектов и отказов, значения которого определены на основе анализа статистических данных по аварийности по причине КРН на газопроводах разных диаметров и приведены в таблице № 18.
Таблица № 18
Значения корректирующего коэффициента kD для газопроводов с различными условными диаметрами Dу и проектными давлениями Рпр
|
Dу |
1200 мм |
1200 мм |
1400 мм |
1400 мм |
1000 мм |
1000 мм |
800 мм |
|
Рпр |
7,5 МПа |
5,5 МПа |
7,5 МПа |
5,5 МПа |
7,5 МПа |
5,5 МПа |
и менее |
|
kD |
1,25 |
1,24 |
1,0 |
0,95 |
0,7 |
0,65 |
0,35 |
При максимальных значениях kD (1,25) и В31-ПРМ (8 баллов), т.е. при наихудшем значении комбинированного фактора F31 его балльная оценка, как и положено, будет равна 10 баллов.
Шкала возможных значений и промежуточных балльных оценок В31-ПРМ (в диапазоне от 0 до 8 баллов) для комбинированного фактора F31 задана в виде матрицы (таблица № 19).
Таблица № 19
Промежуточные балльные оценки В31-ПРМ возможных значений фактора F31
|
В31-ГИКС |
|
0,4
< |
0,55
< |
0,07
< |
0,85
< |
|
|
26 - 30 |
3,0 |
4,0 |
5,0 |
6,0 |
7,0 |
8,0 |
|
21 - 25 |
2,5 |
3,5 |
4,5 |
5,5 |
6,5 |
7,5 |
|
16 - 20 |
2,0 |
3,0 |
4,0 |
5,0 |
6,0 |
7,0 |
|
11 - 15 |
1,5 |
2,5 |
3,5 |
4,5 |
5,5 |
6,5 |
|
6 - 10 |
1,0 |
2,0 |
3,0 |
4,0 |
5,0 |
6,0 |
|
1 - 5 |
0,5 |
1,5 |
2,5 |
3,5 |
4,5 |
5,5 |
|
0 |
0 |
1,0 |
2,0 |
3,0 |
4,0 |
5,0 |
Здесь
= Pфакт/Pпр
- отношение фактического давления газа на анализируемом участке газопровода к
проектному давлению;
В31-ГИКС -
сумма балльных оценок для подфакторов:
"Коррозионная активность
грунта",
"Тип и состояние изоляционного
покрытия",
"Удаленность участка МГ от
нагнетающей КС", т.е.
|
|
(10) |
БФФ подфактора
"Коррозионная активность
грунта" оперирует только значениями удельного электрического сопротивления
грунта (ρг) без учета чередования грунтов (поскольку
процессы КРН индифферентны к чередованию электросопротивления грунтов). БФФ для
данного подфактора имеет следующий вид:
|
|
при ρг > 100; |
(11) |
|
|
при 20 < ρг ≤ 100; |
|
|
|
при 5 < ρг ≤ 20; |
|
|
|
при ρг ≤ 5; |
БФФ для подфактора
"Тип и состояние изоляционного
покрытия" представлена в таблице № 20.
Таблица № 20
БФФ
для подфактора
"Тип и состояние изоляционного
покрытия"
|
Тип и условия нанесения изоляционного покрытия |
Возраст покрытия, лет |
|
|
ИП из экструдированного или напыленного полиэтилена заводского нанесения со сварными стыками, изолированными термоусаживающимися манжетами. Другие ИП нового поколения. |
0 - 15 |
0 |
|
ИП из экструдированного или напыленного полиэтилена заводского нанесения со сварными стыками, изолированными полимерными липкими лентами |
0 - 15 |
2 |
|
Битумная мастика базового и трассового нанесения |
0 - 20 |
1 - 3 |
|
Битумная мастика базового и трассового нанесения |
Более 20 |
4 |
|
Усиленные пленочные ИП базового и трассового нанесения |
0 - 7 |
7 |
|
Нормальные пленочные ИП базового и трассового нанесения |
0 - 7 |
8 |
|
Усиленные пленочные ИП базового и трассового нанесения |
Более 7 |
9 |
|
Нормальные пленочные ИП базового и трассового нанесения |
Более 7 |
10 |
БФФ для подфактора
"Удаленность участка МГ от
нагнетающей КС" имеет вид:
|
|
при 0 км ≤ Lкс ≤ 100 км; |
(12) |
|
|
при Lкс > 100 км |
3.2.3.2 БФФ В32 = φ32(F32) для фактора F32 "Наличие водотоков".
БФФ для данного фактора выражается в виде следующих формул:
|
В32 = 3,33nвод |
при 0 ≤ nвод ≤ 3 (шт./км); |
(13) |
|
В32 = 10 |
при nвод > 3 (шт./км) |
3.2.3.3. БФФ В33 = φ33(F33) для фактора F33 "Уровень грунтовых вод"
БФФ для данного фактора имеет вид:
|
В33 = 10rугв-1 + 5rугв-05 |
(14) |
|
|
В33 = 0 |
при rугв-0 = 1 |
где rугв-1 - доля от общей протяженности анализируемого участка МГ, на которой проектная отметка УГВ пересекает трубу;
rугв-05 - доля от общей протяженности анализируемого участка МГ, на которой проектная отметка УГВ выше верхней образующей трубы;
rугв-0 = 1 - rугв-1 - rугв-05 - доля анализируемого участка МГ, на которой проектная отметка УГВ ниже нижней образующей трубы.
3.2.3.4 БФФ В34 = φ34(F34) для фактора F34 "Имевшие место аварии и отказы по причине коррозии под напряжением".
БФФ для данного фактора имеет следующий вид:
|
В34 = 2Nсвищ-крн + 10Nрзр-крн, |
(15) |
где Nсвищ-крн - количество имевших место свищей (утечек) на анализируемом участке по причине КРН за весь период его эксплуатации,
Nрзр-крн - количество имевших место разрывов на анализируемом участке по причине КРН за весь период его эксплуатации.
Если расчетное значение В34 получится больше 10, то итоговое значение В34 принимается равным 10 баллов.
3.2.4. БФФ для факторов влияния из группы FG4 "Качество производства труб и оборудования".
3.2.4.1. БФФ В41 = φ41(F41) для фактора F41 "Изготовитель и год выпуска труб для газопровода"
БФФ для данного фактора задана в табличном виде (таблица № 21).
Таблица № 21
БФФ для фактора F41 "Изготовитель и год выпуска труб" (балльные оценки труб разных диаметров, изготовленных на разных заводах до и после 2001 г.)
|
Диаметр труб, вид сварки |
Год выпуска |
Завод(страна) - изготовитель труб |
||||||||
|
Япония, Германия (Маннесман) |
Италия |
Челябинский ТЗ |
Ижорский ТЗ |
Выксунский МЗ |
Харцызский ТЗ |
Волжский ТЗ |
Новомосковский ТЗ |
Болгария, Чехия |
||
|
1420 мм ЭДСФ(1) |
До 2001 г. |
0 |
2 |
10 |
-(4) |
- |
10 |
10 |
- |
|
|
После 2001 г. |
0 |
2 |
- |
1 |
1 |
4 |
4 |
- |
|
|
|
1220 мм ЭДСФ |
До 2001 г. |
0 |
2 |
10 |
- |
- |
9 |
9 |
- |
|
|
После 2001 г. |
0 |
2 |
5 |
1 |
1 |
4 |
4 |
|
|
|
|
530 мм - 1020 мм ЭДСФ |
До 2001 г. |
0 |
2 |
10 |
- |
3 |
8 |
8 |
10 |
|
|
После 2001 г. |
0 |
2 |
4 |
1 |
1 |
3 |
3 |
5 |
|
|
|
Менее 530 мм ТВЧ(2) |
До 2001 г. |
0 |
2 |
10 |
- |
8 |
- |
- |
10 |
|
|
После 2001 г. |
0 |
2 |
4 |
- |
3 |
- |
- |
4 |
|
|
|
Менее 426 мм, Б/Ш(3) |
До 2001 г. |
0 |
2 |
10 |
- |
- |
- |
2 |
- |
1 |
|
После 2001 г. |
0 |
2 |
5 |
- |
- |
- |
2 |
- |
|
|
|
__________ (1) ЭДСФ - электродуговая сварка под флюсом. (2) ТВЧ - сварка токами высокой частоты. (3) Б/Ш - бесшовные трубы. (4) Прочерк означает, что трубы указанного диаметра завод не выпускает. |
||||||||||
3.2.4.2. БФФ В42 = φ42(F42) для фактора F42 "Испытания газопровода".
Данный фактор включает два подфактора:
-
- "Отношение испытательного
давления к рабочему Pисп/Pпр" (0 ... 6
баллов),
-
- "Время, прошедшее с момента
последнего испытания (Tисп)" (0 ... 4 балла).
БФФ для фактора F42 складывается из БФФ указанных подфакторов:
|
В42
= |
(16) |
Вид БФФ для подфактора
определен исходя из следующих
предположений:
чем выше испытательное давление, тем ниже вероятность разгерметизации МГ при дальнейшей эксплуатации,
наихудшие значения составляющей, соответствующие 6 баллам, лежат в интервале Pисп/Pпр < 1,1.
БФФ для подфактора
имеет следующий вид:
|
|
при 1,1 ≤ Pисп/Pпр ≤ 1,5; |
(17) |
|
|
при Pисп/Pпр < 1,1 |
Вид БФФ для второго подфактора
определен исходя из следующих
предположений:
чем больше времени прошло с момента последних испытаний МГ, тем выше вероятность разгерметизации МГ при дальнейшей эксплуатации,
наихудшие значения составляющей, соответствующие 4 баллам, лежат в интервале Tисп > 10 лет.
БФФ для второго подфактора
имеет вид:
|
|
при 0 ≤ Tисп ≤ 10 (лет); |
(18) |
|
|
при Tисп > 10 (лет) |
3.2.4.3. БФФ В43 = φ43(F43) для фактора F43 "Аварии и отказы, имевшие место по причине производственных дефектов труб и оборудования".
БФФ для данного фактора имеет следующий вид:
|
В43 = 2Nсвищ-труб + 10Nрзр-труб, |
(19) |
где Nсвищ-труб - количество имевших место свищей (утечек) на анализируемом участке по причине производственных дефектов труб за весь период его эксплуатации;
Nрзр-труб - количество имевших место разрывов на анализируемом участке по причине производственных дефектов труб за весь период его эксплуатации.
Если расчетное значение В43 получится больше 10, то итоговое значение В43 принимается равным 10 баллов.
3.2.5. БФФ для факторов влияния из группы FG5 "Качество строительно-монтажных работ".
3.2.5.1. БФФ В51 = φ51(F51) для фактора F51 "Категория участка по сложности производства работ".
БФФ для данного фактора представлена в таблице № 22. В качестве возможных значений фактора F51 выступают различные категории участков по сложности строительства (которые не следует путать с категориями, определяющими требования к МГ, связанные с обеспечением прочности труб).
Таблица № 22
БФФ для фактора F51 "Категория участка по сложности производства работ"
|
№ |
Возможные значения фактора F51 |
В51 |
|
1 |
Участки I категории сложности строительства (болота II и III типов, вечномерзлые грунты, горные участки, барханные незакрепленные пески, продольные уклоны крутизной более 30° и протяженностью более 100 м) |
8 - 10 |
|
2 |
Участки II категории сложности строительства (болота I типа, закрепленные барханные пески, продольные уклоны крутизной до 30°, косогорные участки с боковой крутизной до 15°, подземные и воздушные переходы через железные дороги, отдельные продольные уклоны с крутизной более 30° и протяженностью менее 100 м, овраги и балки) |
4 - 7 |
|
3 |
Участки III категории сложности строительства (отдельные продольные уклоны крутизной до 30° малой протяженности, косогорные участки с малой крутизной, подземные и воздушные переходы через автодороги, балки) |
1 - 3 |
|
4 |
Равнинные, сухие участки |
0 |
3.2.5.2. БФФ В52 = φ52(F52) для фактора F52 "Климатический район и сезон проведения СМР"
БФФ для данного фактора задана в виде таблицы № 23.
Таблица № 23
БФФ для фактора "Климатический район и сезон проведения СМР"
|
№ |
Возможные значения фактора F52: Климатический район* и сезон проведения СМР |
В52 |
|
1 |
От умеренно холодного до умеренно теплого с мягкой зимой (II4, II5, II6, II7, II8, II9), лето |
0 |
|
2 |
Умеренно теплый с мягкой зимой (II9), жаркий сухой (II11), весна, осень |
1 - 2 |
|
3 |
Жаркий сухой (II11), лето |
2 |
|
4 |
От умеренно холодного до умеренно теплого (II4, II5, II6, II7), весна, осень |
3 - 4 |
|
5 |
Арктический, холодный, очень холодный (I1, I2, II2, II3), лето |
3 - 4 |
|
6 |
Арктический, холодный, очень холодный (I1, I2, II2, II3), весна, осень |
5 - 7 |
|
7 |
Умеренно теплый влажный, умеренно теплый с мягкой зимой (II8, II9), зима |
6 - 7 |
|
8 |
От умеренно холодного до умеренно теплого (II4, II5, II6, II7), холодный, очень холодный (I1, I2), весна, лето, осень + болота |
7 - 8 |
|
9 |
Арктический, холодный, очень холодный (I1, I2, II2, II3), лето + болота |
7 - 8 |
|
10 |
От умеренно холодного до умеренно теплого (II4, II5, II6, II7), зима |
8 - 9 |
|
11 |
Арктический, холодный, очень холодный (I1, I2, II2, II3), зима |
10 |
|
____________ * Обозначения климатических районов приводятся в соответствии с ГОСТ 16350-80 "Климат СССР. Районирование и статистические параметры климатических факторов для технических целей" (введен в действие постановлением Государственного комитета СССР по стандартам от 17 декабря 1980 г. № 5857). |
||
3.2.5.3. БФФ В53 = φ53(F53) для фактора F53 "Контроль качества строительных работ".
БФФ для данного фактора представлена в таблице № 24.
Таблица № 24
БФФ для фактора "Контроль качества строительных работ"
|
№ |
Возможные значения фактора F53: |
В53 |
|
1 |
Производителями работ осуществлялся операционный контроль качества по всем технологическим процессам, был произведен выборочный приборный контроль качества всех видов работ заказчиком, органами госнадзора и госинспекции, о чем свидетельствуют соответствующие документы |
0 |
|
2 |
Производителями работ осуществлялся операционный контроль качества по всем технологическим процессам, был произведен выборочный контроль качества отдельных видов работ заказчиком, о чем свидетельствуют соответствующие документы |
1 - 2 |
|
3 |
Производителями работ осуществлялся операционный контроль качества по всем технологическим процессам, о чем свидетельствуют документы; технадзор заказчика осуществлялся без надлежащего приборного оснащения |
3 - 5 |
|
4 |
Операционный контроль проводился не по всем операциям; технадзор Заказчика осуществлялся без приборного оснащения или отсутствовал |
6 - 8 |
|
5 |
Уровень операционного контроля низкий; технадзор заказчика отсутствовал или о проверках качества работ ничего не известно |
9 - 10 |
3.2.5.4. БФФ В54 = φ54(F54) для фактора F54 "Контроль качества сварных соединений".
БФФ для данного фактора имеет вид:
|
В74 = 22,1 - 0,22Kсв |
при 55 % ≤ Kсв ≤ 100 %; |
(20) |
|
В74 = 10 |
при Kсв < 55 % |
где Kсв - процент охвата сварных стыков (в пределах анализируемого участка) контролем физическими методами.
3.2.5.5. БФФ В55 = φ55(F55) для фактора F55 "Адекватность применяемых материалов и изделий".
БФФ для данного фактора представлена в виде таблицы № 25.
Таблица № 25
БФФ для фактора F55 "Адекватность применяемых материалов и изделий"
|
№ |
Возможные значения фактора F55: |
В55 |
|
1 |
Имеется в наличии вся документация, свидетельствующая о применении строго соответствующих проекту материалов и изделий, а также сертификаты, паспорта, другие документы, подтверждающие качество примененных материалов или их замен |
0 |
|
2 |
Имеющаяся документация свидетельствует о произведенных заменах материалов и изделий, требуемых по проекту, на сходные по основным характеристикам |
1 - 2 |
|
3 |
При отсутствии части подтверждающей документации, существуют свидетельства персонала об отсутствии нарушений проектных требований в части примененных материалов и изделий. |
2 - 5 |
|
4 |
Существуют документальные свидетельства о применении на этапе строительства материалов и изделий, не соответствующих проекту и в той или иной степени отличающихся от проектных по основным характеристикам в худшую сторону |
6 - 10 |
|
5 |
Отсутствие документации, подтверждающей применение материалов и изделий в соответствии с проектом |
10 |
3.2.5.6. БФФ В56 = φ56(F56) для фактора F56 "Качество хранения и обращения с материалами".
Вероятность использования при строительстве и ремонте МГ дефектных материалов зависит от условий транспортировки материалов до места строительства, условий хранения до момента установки или применения, правильности обращения с ними во время проведения технологических операций. Любые дефекты труб, полученные во время транспортировки, могут в дальнейшем стать очагами развития трещин, а повреждение изоляционных покрытий ведет к ускоренной коррозии МГ. С учетом этого фактор F56 включает 3 подфактора:
- удаленность МГ от центров
производства труб и оборудования и труднодоступность участков МГ (от 0 до 4
баллов);
- условия хранения материалов и
изделий (от 0 до 3 баллов);
- условия обращения с материалами и
изделиями при производстве работ (от 0 до 3 баллов).
БФФ для указанных подфакторов представлены в таблице № 26 (m - номер подфактора).
Итоговая балльная оценка фактора рассчитывается как сумма балльных оценок 3-х подфакторов:
|
|
(21) |
Таблица № 26
Балльно-факторные функции 3-х подфакторов фактора F56 "Качество хранения и обращения с материалами"
|
m |
Подфакторы фактора F56 и их возможные значения |
|
|
|
1 |
|
Удаленность МГ от центров производства труб и оборудования, труднодоступность участков МГ: |
|
|
- дальность транспортировки более 2000 км, число погрузок-разгрузок - максимальное |
4 |
||
|
- дальность транспортировки от 1000 до 2000 км, число погрузок-разгрузок - выше среднего |
3 |
||
|
- дальность транспортировки от 500 до 1000 км, число погрузок-разгрузок - среднее |
2 |
||
|
- дальность транспортировки менее 500 км, число погрузок-разгрузок - минимальное |
0 - 1 |
||
|
2 |
|
Условия хранения материалов и изделий: |
|
|
- материалы защищены от вредных воздействий окружающей среды и хранятся в надлежащих условиях |
0 |
||
|
- материалы защищены от вредных воздействий, но хранятся с нарушениями требуемых условий (например, правильности складирования и т.п.) |
1 - 2 |
||
|
- материалы не защищены от вредных воздействий окружающей среды |
3 |
||
|
3 |
|
Условия обращения с материалами и изделиями при производстве работ: |
|
|
- способы подготовки материалов к установке (применению) и обращение с ними во время технологических операций строго соответствовали требованиям НД по производству работ |
0 |
||
|
- не соответствовали в той или иной мере требованиям НД по производству работ |
1 - 3 |
||
3.2.5.7. БФФ В57 = φ57(F57) для фактора F57 "Аварии и отказы, имевшие место по причине дефектов СМР".
БФФ для данного фактора имеет следующий вид:
|
В57 = 2Nсвищ-смр + 10Nрзр-смр, |
(22) |
где Nсвищ-смр - количество имевших место свищей (утечек) на анализируемом участке по причине дефектов СМР за весь период его эксплуатации;
Nрзр-смр - количество имевших место разрывов на анализируемом участке по причине дефектов СМР за весь период его эксплуатации.
Если расчетное значение В57 получится больше 10, то итоговое значение В57 принимается равным 10 баллов.
3.2.6. БФФ для факторов влияния из группы FG6 "Природные воздействия".
3.2.6.1. БФФ В61 = φ61(F61) для фактора F61 "Подвижки и деформации грунта".
Фактор включает 6 подфакторов, отражающих возможность возникновения и степень опасности на участке МГ природных процессов (оползней, селей, землетрясений, просадок, пучения, карстов, паводков), связанных с перемещениями и деформациями грунта или инициирующих их. БФФ для 6 подфакторов данного фактора приведены в таблице № 27 (m - номер подфактора).
Таблица № 27
БФФ для составляющих фактора F61
|
№ |
Подфакторы фактора F61 и их возможные значения |
|
|
|
1 |
|
Оползневые процессы: |
|
|
- 50 - 100 % участка МГ находится в зоне весьма опасных оползней(1) |
5,5 |
||
|
- 30 - 50 % участка МГ находится в зоне весьма опасных оползней |
4 |
||
|
- 50 - 100 % участка МГ находится в зоне опасных оползней |
3 |
||
|
- 30 - 50 % участка МГ находится в зоне опасных оползней |
2 |
||
|
- участок МГ находится в зоне малоопасных оползней |
1 |
||
|
- оползневые процессы на участке отсутствуют |
0 |
||
|
2 |
|
Селевая опасность: |
|
|
- участок МГ находится в зоне очень высокой селевой опасности(2) |
3 |
||
|
- участок МГ находится в зоне высокой селевой опасности |
2,5 |
||
|
- участок МГ находится в зоне средней селевой опасности |
2 |
||
|
- участок МГ находится в зоне низкой селевой опасности |
1 |
||
|
- участок МГ находится в зоне очень низкой или нулевой селевой опасности |
0 |
||
|
3 |
|
ММП: |
|
|
- участок МГ находится в зоне сильнольдистых ММП(3) |
1 |
||
|
- участок МГ находится в зоне среднельдистых ММП |
0,7 |
||
|
- участок МГ находится в зоне слабольдистых ММП |
0,5 |
||
|
- ММП на участке нет |
0 |
||
|
4 |
|
Карстовые процессы: |
|
|
- участок МГ находится в зоне весьма опасных карстовых процессов(4) |
0,5 |
||
|
- участок МГ находится в зоне опасных карстовых процессов |
0,3 |
||
|
- карстовых процессов на участке нет |
0 |
||
|
5 |
|
Землетрясения: |
|
|
- участок МГ - в зоне весьма опасных сейсмических процессов (9 баллов по шкале МSK-64)(5) |
0,5 |
||
|
- участок МГ - в зоне опасных сейсмических процессов (8 б. МSK-64) |
0,4 |
||
|
- участок МГ - в зоне умеренно опасных сейсмопроцессов (7 б. МSK-64) |
0,3 |
||
|
- участок МГ - в зоне малоопасных сейсмопроцессов (6 б. по МSK-64) |
0,2 |
||
|
- участок МГ - вне сейсмически опасных зон |
0 |
||
|
6 |
|
Паводки и половодья: |
|
|
- участок МГ находится в зоне регулярных сильных паводков и половодий |
0,5 |
||
|
- участок МГ находится в зоне эпизодических паводков и половодий |
0,3 |
||
|
- участок МГ - вне зон паводков и половодий |
0 |
||
|
Если данные о возможности перемещений грунта на участке неизвестны, то В61 = 10 |
|||
|
_________ (1) Показатели опасности оползневых процессов приведены в таблице № 28. (2) Показатели селевой опасности приведены в таблице № 29. (3) Типы ММП по льдистости приведены в таблице № 30. (4) Показатели опасности карстовых процессов приведены в таблице № 31. (5) Показатели сейсмической опасности, приведены в таблице № 32. |
|||
Таблица № 28
Показатели опасности оползневых процессов
|
Тип процесса по степени опасности |
Пораженность территории, % |
Повторяемость активизации процесса, раз за 100 лет |
Максимальный объем оползня, тыс. куб. м |
Максимальная глубина захвата пород оползнем, м |
Максимальная скорость смещения, м/сут |
|
Весьма опасный |
25 - 50 |
2 - 3 |
1000 |
30 |
1 |
|
Опасный |
10 - 24 |
5 - 10 |
100 |
20 |
Преимущественно менее 1 м/сут |
Показатели опасности селей
|
Категории опасности |
Площадь территории, занятой селевыми бассейнами, % |
Максимальный объем единовременных выносов, тыс. м3 |
|
Очень высокая |
> 75 |
> 3000 |
|
Высокая |
50 - 75 |
500 - 3000 |
|
Средняя |
10 - 50 |
50 - 500 |
|
Низкая |
5 - 10 |
10 - 50 |
|
Очень низкая |
< 5 |
< 10 |
Классификация горных пород в криолитозоне по природной суммарной льдистости ММП
|
Тип многолетнемерзлых пород (ММП) |
Природная суммарная льдистость ММП, % |
|
Сильнольдистые ММП |
Более 40 |
|
Среднельдистые ММП |
20 - 40 |
|
Слабольдистые ММП |
Менее 20 |
Показатели опасности карстовых провалов
|
Тип процесса по степени опасности |
Пораженность территории, % |
Скорость карстовой денудации, куб. м/кв. м год |
Диаметр поверхностных карстовых форм, м |
Частота провалов, раз за 10 лет на 1 кв. м |
Преимущественный литологический состав карстующихся пород |
|
|
средний |
максимальный |
|||||
|
Весьма опасный |
Более 25 |
5,0 |
30 |
150 |
1 |
Галоидные, сульфатные, карбонатно-сульфатные |
|
Опасный |
10 - 25 |
2,0 - 5,0 |
10 - 30 |
50 |
0,5 - 2 |
Сульфатно-карбонатные, карбонатные: известняки |
Показатели сейсмической опасности
|
Тип процесса по степени опасности |
Категория опасности, баллы |
Ускорение колебаний грунта, см/с2 |
Скорость колебаний грунта, см/с |
Амплитуда колебаний грунта, см |
Площадь одновременных сотрясений, тыс. кв. км |
Остаточные деформации, см |
|
Весьма опасный |
9 |
400 - 900 |
55 - 180 |
20 - 80 |
От 0,1 до 8 - 20 |
50 - 150 |
|
Опасный |
8 |
180 - 400 |
18 - 55 |
5 - 20 |
От 0,1 до 20 - 80 |
5 - 50 |
|
Умеренно опасный |
7 |
80 - 180 |
5,5 - 18 |
1,25 - 5 |
От 0,1 до 80 - 200 |
0,5 - 5 |
|
Мало |
6 |
35 - 80 |
1,8 - 5,5 |
5 - 10 |
От 0,1 до 200 - 800 |
0,05 - 0,5 |
|
опасный |
|
|
|
|
|
|
|
Незначительно опасный |
5 и менее |
16 - 36 и менее |
0,55 - 1,8 и менее |
0,08 - 0,32 и менее |
От 0,1 до 800 - 2000 |
0 - 0,05 |
Итоговая балльная оценка фактора рассчитывается как сумма балльных оценок 6-ти подфакторов:
|
|
(23) |
3.2.6.2. БФФ В62 = φ62(F62) для фактора F62 "Состав грунта (с точки зрения его несущей способности)"
БФФ для данного фактора задана в таблице № 33.
Таблица № 33
БФФ для фактора F62 "Состав грунта (с точки зрения его несущей способности)"
|
№ |
Возможные значения фактора F62 |
В62 |
|
1 |
Торфяники сильно и слаборазложившиеся (низкая несущая способность) |
9 - 10 |
|
2 |
Пески-пылеватые мерзлые и пылеватые с включениями гальки, гравия и валунов; супеси пластичные, мерзлые, мало- и сильнольдистые; мягкопластичные глины и суглинки (низкая несущая способность) |
6 - 8 |
|
3 |
Суглинки полутвердые тугопластичные, мерзлые - малольдистые и льдистые, с включениями гравия и гальки; полутвердые тугопластичные глины; мелкие плотные влажные и водонасыщенные пески (средняя несущая способность) |
3 - 5 |
|
4 |
Глины твердые, мерзлые-малольдистые и льдистые; глинистые сланцы с кварцевыми жилами; твердые суглинки и супеси; гравелистые крупные влажные и водонасыщенные пески (нормальная несущая способность) |
0 - 2 |
|
При поверхностном обводнении балльная оценка увеличивается на 1 балл |
||
3.2.6.3. БФФ В63 = φ63(F63) для фактора F63 "Наличие на участке линейной арматуры и наземных узлов разветвленной конфигурации".
Фактор учитывает дополнительное влияние, оказываемое наличием на газопроводе тяжелой наземной арматуры, на вероятность возникновения при сезонных колебаниях температуры и неравномерной осадке грунта значительных напряжений и деформаций изгиба участков МГ, примыкающих к наземным узлам и, следовательно, на вероятность разрушения МГ.
БФФ для фактора задана в табличном виде (таблица № 34).
Таблица № 34
БФФ для фактора F63 "Наличие на участке линейной арматуры и наземных узлов разветвленной конфигурации"
|
№ |
Возможные значения фактора F62 |
В63 |
|
1 |
На участке присутствует надземный узел со сложной обвязкой и арматурой без фундамента |
8 - 10 |
|
2 |
На участке присутствует сложный надземный узел с арматурой на фундаменте, рамная конструкция рассчитана с учетом рекомендаций современных нормативных документов |
4 - 7 |
|
3 |
На участке присутствует линейная арматура без фундамента |
6 - 8 |
|
4 |
На участке присутствует линейная арматура на фундаменте |
2 - 5 |
|
5 |
Надземные сооружения отсутствуют |
0 |
3.2.6.4. БФФ В64 = φ64(F64) для фактора F64 "Превентивные мероприятия".
К превентивным и компенсационным мерам относятся:
1) Меры, обеспечивающие ослабление напряжений в МГ и повышение его устойчивости. Среди них: заложение МГ ниже глубины деформаций грунта (для подводных переходов - ниже предполагаемой глубины размыва), перенос участка трассы, устройство подпорных стенок на косогорах, установка компенсаторов, грунтовая разгрузка МГ с помощью устройства параллельных траншей, создание опорных мерзлых массивов, расчленение массива пучинистого грунта с помощью поперечных траншей, применение утяжелителей, анкеров, конструкций и способов балластировки с применением геотекстильного синтетического материала;
2) Меры по изменению свойств грунта, например, осушение грунта с помощью систем дренажа;
3) Охлаждение перекачиваемого газа на участках с ММП;
4) Проведение мониторинга деформаций грунта и изменений положения МГ.
В соответствии с этим фактор F64 включает 4 подфактора, БФФ которых представлены в таблице № 35.
Таблица № 35
БФФ для подфакторов фактора F64 "Превентивные и компенсационные мероприятия"
|
m |
Подфакторы фактора F64 и их возможные значения |
|
|
|
1 |
|
Меры по ослаблению напряжений и повышению устойчивости МГ: |
|
|
- имеют место (или не требуются) |
0 |
||
|
- требуются, но не вполне адекватны |
1 - 2 |
||
|
- требуются, но не имеют места |
3 |
||
|
2 |
|
Мероприятия по изменению свойств грунта: |
|
|
- проводятся (или не требуются) |
0 |
||
|
- проводятся не вполне адекватно |
1 |
||
|
- требуются, но не проводятся |
2 |
||
|
3 |
|
Охлаждение газа для предотвращения растепления ММП: |
|
|
- осуществляется (или не требуется) |
0 |
||
|
- осуществляется не вполне адекватно |
1 |
||
|
- требуется, но не осуществляется |
2 |
||
|
4 |
|
Мониторинг деформаций грунта и перемещений газопровода: |
|
|
- проводится постоянно с помощью специальных систем |
0 |
||
|
- проводится визуально (по реперам) 2 раза в год |
1 |
||
|
- проводится редко |
2 |
||
|
- не проводится |
3 |
||
3.2.6.5. БФФ В65 = φ65(F65) для фактора F65 "Аварии и отказы, имевшие место из-за природных воздействий".
БФФ для данного фактора имеет следующий вид:
|
В65 = 2Nсвищ-прир + 10Nрзр-прир, |
(24) |
где Nсвищ-прир - количество имевших место свищей (утечек) на анализируемом участке по причине природных воздействий за весь период его эксплуатации;
Nрзр-прир - количество имевших место разрывов на анализируемом участке по причине природных воздействий за весь период его эксплуатации.
Если расчетное значение В65 получится больше 10, то итоговое значение В65 принимается равным 10 баллов.
3.2.7. БФФ для факторов влияния из группы FG7 "Уровень технической эксплуатации".
3.2.7.1. БФФ В71 = φ71(F71) для фактора F71 "Эксплуатационная документация"
Фактор включает 3 подфактора, учитывающие наличие у персонала ЛЭС и периодичность обновления технической и оперативной документации (ТД) по ЛЧ МГ. БФФ для 3-х подфакторов представлены в таблице № 36.
БФФ для подфакторов фактора F71 "Эксплуатационная документация"
|
m |
Составляющие фактора F71 и их возможные значения |
|
|
|
1 |
|
Наличие необходимой документации: |
|
|
- в наличии весь требуемый в соответствии с действующими в ЭО правилами эксплуатации МГ объем ТД |
0 |
||
|
- часть ТД отсутствует или физически изношена |
1 - 4 |
||
|
2 |
|
Внесение необходимых изменений и записей в ТД: |
|
|
- необходимые изменения и записи вносятся незамедлительно |
0 |
||
|
- изменения и записи вносятся с задержками |
1 - 3 |
||
|
- изменения не вносятся |
4 |
||
|
3 |
|
Пересмотр инструкций и схем: |
|
|
- производится не реже 1 раза в 3 года |
0 |
||
|
- производится реже, чем 1 раз в 3 года |
2 |
||
Итоговая балльная оценка фактора рассчитывается как сумма балльных оценок 3-х подфакторов:
|
|
(23) |
3.2.7.2. БФФ В72 = φ72(F72) для фактора F72 "Техническая оснащённость ЛЭС"
Фактор отражает влияние на вероятность нарушения целостности газопровода степени оснащенности ЛЭС (в процентах от требуемой по "Табелю оснащенности") транспортом (вездеходами), землеройной техникой, трубоукладчиками, автокранами, очистными и изоляционными машинами, сварочными агрегатами, измерительными приборами, материалами, запчастями, в предположении, что чем выше техническая оснащенность ЛЭС, тем оперативнее и качественнее проводятся диагностические и ремонтные работы и тем меньше вероятность аварии.
БФФ для данного фактора имеет вид:
|
В72 = 12,5 - 0,125Kосн |
при 20 ≤ Kосн ≤ 100; |
(26) |
|
В72 = 10 |
при Kосн ≤ 20; |
|
|
В72 = 0 |
при Kосн > 100 |
где Kосн - общая оснащенность (%), рассчитываемая как среднее арифметическое уровней оснащенности по отдельным видам техники и материалов.
3.2.7.3. БФФ В73 = φ73(F73) для фактора F73 "Укомплектованность ЛЭС персоналом"
БФФ для данного фактора такая же, как для фактора F72, выражаемая формулой (28). Но вместо Kосн в качестве аргумента БФФ выступает фактическая относительная численность персонала (Kук) в ЛЭС в процентах от требуемой по нормам.
3.2.7.4. БФФ В74 = φ74(F74) для фактора F74 "Периодичность технического обслуживания и планово-предупредительных ремонтов"
БФФ для этого фактора представлена в таблице № 37.
Таблица № 37
БФФ фактора F74 "Периодичность технического обслуживания и планово-предупредительных ремонтов"
|
№ |
Возможные значения фактора F74: Периодичность осмотров, ТО и ППР |
В74 |
|
1 |
В соответствии с действующими в ЭО правилами эксплуатации МГ (ПЭМГ) |
0 |
|
2 |
Частота осмотров, ТО и ППР на 5 - 50 % ниже требуемой по действующими в ЭО ПЭМГ |
1 - 6 |
|
3 |
Частота осмотров, ТО и ППР на 51 - 100 % ниже требуемой по действующими в ЭО ПЭМГ |
7 - 9 |
|
4 |
Систематические грубые нарушения сроков проведения ТО и ППР (частота осмотров, ТО и ППР более чем в 2 раза ниже требуемой по действующими в ЭО ПЭМГ или они вообще не проводятся) |
10 |
3.2.7.5. БФФ В75 = φ75(F75) для фактора F75 "Квалификация персонала"
Квалификация персонала ЛЭС
зависит от полученного базового специального образования и квалификационного
разряда (подфактор
), дальнейшего повышения квалификации
(подфактор
), и периодической проверки знаний
работников (подфактор
). Балльно-факторная функция имеет вид:
|
|
(27) |
где
- сумма баллов, соответствующих
опциям, имеющим место в ЛПУМГ, в которое входит анализируемый участок МГ,
определяемая с помощью таблицы № 38. Балльная оценка каждой составляющей
взвешивается с учетом доли работников (%), имеющих то или иное образование
(квалификационный разряд), доли работников регулярно повышающих свою
квалификацию и доли работников, экзаменуемых с требуемой по нормативам
периодичностью. Для данного фактора, в отличие от всех остальных, балльные
оценки
подфакторов начисляются по обратной
логике - лучшим значениям подфакторов начисляется больше баллов, худшим -
меньше баллов.
Таблица № 38
Балльные оценки составляющих фактора F75 "Квалификация персонала"
|
m |
Составляющие фактора F75 и их возможные значения |
|
|
|
1 |
|
Образование: |
|
|
- высшее и среднее специальное |
4 |
||
|
- общее среднее и спецкурсы в учебно-курсовом комбинате (УКК) или 5, 6 квалификационный разряд рабочего |
3 |
||
|
- неполное среднее и спецкурсы в УКК или 3, 4 квалификационный разряд рабочего |
2 |
||
|
- 1-й - 2-й квалификационный разряд рабочего |
1 |
||
|
- отсутствие специального образования и разряда |
0 |
||
|
2 |
|
Периодическое повышение квалификации |
3 |
|
3 |
|
Периодическое тестирование персонала (ФНП, правила эксплуатации, правила безопасности, должностные инструкции и др.) в объеме занимаемой должности и выполняемой работы |
3 |
3.2.7.6. БФФ В76 = φ76(F76) для фактора F76 "Системы автоматики и телемеханики".
Системы телемеханики обеспечивают получение диспетчером ЛПУМГ необходимого объема информации о режиме работы МГ, позволяя своевременно отреагировать на недопустимые изменения основных технологических параметров, прежде всего, давления перекачиваемого газа. Системы автоматики обеспечивают автоматическое срабатывание защитных устройств в аварийных режимах. Степень влияния этого фактора на вероятность возникновения аварии вследствие повышения давления сверх допустимого уровня определяется тем, насколько полно (по охвату эксплуатационного участка), точно (по месту) и оперативно система обеспечивает телеизмерения давления в пределах ЛПУМГ, обеспечивает ли аварийную сигнализацию по давлению, автоматическое управление отключением перекачивающих агрегатов и соответствующей арматурой. При назначении баллов следует учитывать надежность используемой системы.
БФФ функция для данного фактора представлена в таблице № 39.
Таблица № 39
БФФ для фактора F76 "Системы автоматики и телемеханики"
|
№ |
Возможные значения фактора F76 |
В76 |
|
1 |
Система телемеханики и автоматики обеспечивает телеизмерение давления и температуры газа, потенциала катодной защиты (и других параметров ЭХЗ); телеизмерение данных датчиков "интеллектуальных вставок", аварийную сигнализацию по давлению, по загазованности территории; телесигнализацию положения линейных кранов по трассе и телеуправление ими, автоматическую передачу сигнала на отключение перекачки в случае недопустимого повышения давления. |
0 - 2 |
|
2 |
Система телемеханики обеспечивает телеизмерение давления в пределах ЛПУМГ, аварийную сигнализацию, телесигнализацию положения линейных кранов по трассе. Число баллов определяется в зависимости от физического износа (уровня надежности) системы. |
4 - 6 |
|
3 |
Система телемеханики морально и физически устарела или отсутствует |
8 - 10 |
3.2.7.7. БФФ В77 = φ77(F77) для фактора F77 "Аварии и отказы, имевшие место из-за нарушений правил эксплуатации".
БФФ для данного фактора имеет следующий вид:
|
В77 = 2Nсвищ-птэ + 10Nрзр-птэ, |
(28) |
где Nсвищ-птэ - количество имевших место свищей (утечек) на анализируемом участке по причине нарушений ПТЭ за весь период его эксплуатации;
Nрзр-птэ - количество имевших место разрывов на анализируемом участке по причине нарушений ПТЭ за весь период его эксплуатации.
Если расчетное значение B65 получится больше 10, то итоговое значение B65 принимается равным 10 баллов.
4. Перечень, весовые коэффициенты и балльно-факторные функции факторов влияния для оценки частоты аварий на подводных переходах МГ
4.1. Перечень учитываемых факторов влияния и весовые коэффициенты групп и факторов в каждой группе применительно к указанному варианту приведены в таблице № 40. Балльные оценки Bij факторов влияния, перечисленных в таблице № 36, определяются с помощью БФФ, описанных в 4.2.1 - 4.2.7.
Перечень и весовые коэффициенты факторов влияния применительно к подводным переходам газопроводов
|
Группа факторов влияния |
Вес группы pi |
Фактор влияния |
Вес фактора в группе qij |
|
|
FG1: Возможные механические воздействия третьих лиц |
0,06 |
*F11 |
*Минимальная глубина заложения подводного газопровода в грунт в русловой части и глубина водоема над этим участком |
0,18 |
|
*F12 |
*Уровень антропогенной активности |
0,18 |
||
|
*F13 |
*Согласовательно-разъяснительная работа |
0,10 |
||
|
*F14 |
*Наличие сигнальных знаков на берегах |
0,10 |
||
|
F15 |
Частота патрулирования перехода |
0,14 |
||
|
F16 |
Нарушения охранной зоны и зоны минимальных безопасных расстояний |
0,20 |
||
|
F17 |
Аварии и отказы, имевшие место на МГ из-за воздействий 3-х лиц |
0,10 |
||
|
FG2:Наружная коррозия (без учета КРН) |
0,06 |
F21 |
Коррозионные свойства грунтов |
0,09 |
|
F22 |
Температура перекачиваемого газа |
0,06 |
||
|
F23 |
Наличие зон блуждающих токов |
0,09 |
||
|
F24 |
Результаты шурфований |
0,07 |
||
|
F25 |
Тип и состояние изоляционного покрытия |
0,18 |
||
|
F26 |
Время, прошедшее с момента последних электрометрических обследований |
0,14 |
||
|
F27 |
Качество работы устройств ЭХЗ |
0,18 |
||
|
F28 |
Мониторинг и контроль эффективности ЭХЗ |
0,09 |
||
|
F29 |
Аварии и отказы, имевшие место по причине наружной коррозии |
0,10 |
||
|
FG3: Коррозия под напряжением (КРН) |
0,22 |
F31 |
Комбинированный фактор (НДС + условия развития КРН), состоящий из подфакторов: |
0,60 |
|
F31-1 - коррозионная активность грунта |
|
|||
|
F31-2 - тип и состояние изоляционного покрытия |
||||
|
F31-3 - удаленность участка МГ от КС |
||||
|
F31-4 - отношение фактического давления в МГ к проектному |
||||
|
F31-5 - диаметр МГ (учитывается в виде коэффициента kD) |
||||
|
*F32 |
Наличие водотоков |
0,15 |
||
|
F33 |
Уровень грунтовых вод |
0,15 |
||
|
F34 |
Аварии и отказы, имевшие место по причине стресс-коррозии |
0,10 |
||
|
FG4: Качество производства труб и оборудования |
0,20 |
F41 |
Изготовитель и год выпуска труб для газопровода |
0,50 |
|
F42 |
Испытания газопровода |
0,40 |
||
|
F43 |
Аварии и отказы, имевшие место по причине производственных дефектов труб и оборудования |
0,10 |
||
|
FG5: Качество строительно-монтажных работ (СМР) |
0,21 |
*F51 |
*Сложность строительства подводного перехода |
0,20 |
|
F52 |
Климатический район и сезон производства СМР |
0,20 |
||
|
F53 |
Контроль качества СМР |
0,20 |
||
|
F54 |
Контроль качества сварных соединений |
0,20 |
||
|
F55 |
Адекватность применяемых материалов и изделий |
0,05 |
||
|
F56 |
Качество обращения с материалами |
0,05 |
||
|
F57 |
Аварии и отказы, имевшие место по причине дефектов СМР |
0,10 |
||
|
FG6: Природные воздействия |
0,20 |
*F61 |
*Фоновые опасные природные процессы |
0,10 |
|
*F62 |
*Тип подводного перехода по степени опасности размыва |
0,15 |
||
|
*F63 |
*Наличие провисов труб |
0,20 |
||
|
*F64 |
*Наличие размывов на береговых урезах |
0,15 |
||
|
*F65 |
*Уровень опасности ледохода |
0,05 |
||
|
*F66 |
*Наличие запорной арматуры на берегах |
0,05 |
||
|
*F67 |
*Время, прошедшее с момента последних обследований и изысканий |
0,20 |
||
|
F68 |
Аварии и отказы, имевшие место по причине природных воздействий |
0,10 |
||
|
FG7: Уровень технической эксплуатации |
0,05 |
F71 |
Эксплуатационная документация |
0,09 |
|
F72 |
Техническая оснащенность ЛЭС |
0,15 |
||
|
F73 |
Укомплектованность ЛЭС |
0,15 |
||
|
F74 |
Периодичность ТО и ППР |
0,18 |
||
|
F75 |
Квалификация персонала |
0,18 |
||
|
F76 |
Системы телемеханики и автоматики |
0,15 |
||
|
F77 |
Аварии и отказы, имевшие место по причине нарушений правил эксплуатации |
0,10 |
||
____________
* - новые или модифицированные (по отношению к факторам для сухопутных участков) факторы влияния, отражающие специфику подводных переходов
4.2. Балльные оценки Bij факторов влияния, перечисленных в таблице № 40, определяются с помощью соответствующих БФФ, описанных ниже в настоящем подразделе.
4.2.1. БФФ для факторов влияния из группы FG1 "Возможные механические воздействия третьих лиц"
4.2.1.1. БФФ В11 = φ11(F11) для фактора F11 "Минимальная глубина заложения подводного газопровода в грунт в русловой части и глубина водоема над этим участком"
Данный фактор состоит из двух подфакторов:
- Минимальная глубина заложения
подводного газопровода в грунт в русловой части (0 - 6 баллов);
- Глубина водоема над минимально
заглубленным в грунт участком газопровода (0 - 4 балла).
БФФ имеет вид:
|
|
|
(29) |
|
|
при 0 ≤ (hгр + hдоп) ≤ 3 (м); |
|
|
|
при 0 ≤ hв ≤ 40 (м); |
|
|
В11 = 0 |
при (hгр + hдоп) > 3 (м) и hв > 40, |
где hгр - толщина слоя грунта над верхней образующей МГ, м;
hдоп - толщина слоя грунта, эквивалентная толщине дополнительного механического защитного покрытия МГ (определяется по таблице № 6);
hв - фактическая глубина водоема над самым мелкозаглубленным (в грунт) участком перехода;
4.2.1.2. БФФ В12 = φ12(F12) для фактора F12 "Уровень антропогенной активности (применительно к подводным переходам")
Данный фактор влияния применительно к подводным переходам включает 3 подфактора, БФФ которых приведены в таблице № 41 (m - номер подфактора).
Таблица № 41
БФФ для составляющих фактора F12 "Уровень антропогенной активности"*
|
m |
Составляющие фактора F12, их значения и балльно-факторные функции |
|
||
|
1 |
|
Плотность населения (Н) в районе прохождения трассы МГ: |
|
|
|
- при 0 ≤ Н ≤ 150 (чел./км2) |
|
← |
||
|
- при Н > 150 ( чел./км2) |
|
|
||
|
2 |
|
Активность подводно-строительных работ и промышленного рыболовства в районе перехода: |
|
|
|
- высокая (в пределах 500 м от оси МГ подводно-строительные, дноуглубительные, сейсмографические и т.п. работы, как правило, ведутся более 3 месяцев в году) |
3 |
|||
|
- умеренная (указанные работы ведутся от 1 до 3 месяцев в году |
2 |
|||
|
- низкая (указанные работы носят эпизодический характер) |
1 |
|||
|
- отсутствует (указанные работы никогда не проводились ранее и не проводятся сейчас) |
0 |
|||
|
3 |
|
Интенсивность судоходства |
|
|
|
- высокая |
4 |
|||
|
- средняя |
2 - 3 |
|||
|
- низкая |
1 |
|||
|
- река несудоходная |
0 |
|||
|
____________ * Если подводный МГ располагается на территории с потенциальной опасностью совершения противоправных действий (диверсий) на МГ, то балльная оценка данного фактора влияния принимается равной 10 баллов. |
||||
Итоговая балльная оценка фактора рассчитывается как сумма балльных оценок 3-х подфакторов:
|
|
(30) |
4.2.1.3. БФФ В13 = φ13(F13) для фактора F13 "Согласовательно-разъяснительная работа (применительно к подводным переходам)".
Количество и названия подфакторов и их БФФ совпадают с соответствующими
подфакторами и БФФ для сухопутных участков (пункт 3.2.2.3.). Есть лишь следующие изменения в
формулировках названий подфакторов
и
, отражающие специфику согласовательной
работы в отношении подводных переходов:
- "Наличие у землепользователей
обновляемых топографических карт (а в бассейновых управлениях водного пути -
лоцманских карт) с нанесенной трассой МГ и подводным переходом МГ";
- "Разъяснительная работа в
бассейновых управлениях водного пути, других организациях и среди
населения".
4.2.1.4. БФФ В14 = φ14(F14) для фактора F14 "Наличие сигнальных знаков на берегах".
БФФ для данного фактора представлена в таблице № 42.
Таблица № 42
БФФ фактора F14 "Наличие сигнальных знаков на берегах"
|
№ |
Возможные значения фактора F14 |
В14 |
|
1 |
Сигнальные знаки на обоих берегах есть, исправны, хорошо просматриваются |
0 |
|
2 |
Сигнальные знаки на обоих берегах есть, но плохо просматриваются или есть знак только на одном берегу |
5 |
|
3 |
Сигнальных знаков на обоих берегах нет |
10 |
4.2.1.5. БФФ В15 = φ15(F15) для фактора F15 "Частота патрулирования перехода"
БФФ для данного фактора совпадает с соответствующей БФФ для сухопутных участков (пункт 3.2.1.5).
4.2.1.6. БФФ В16 = φ16(F16) для фактора F16 "Нарушения охранной зоны и зоны минимальных безопасных расстояний"
БФФ для данного фактора совпадает с соответствующей БФФ для сухопутных участков (пункт 3.2.1.6).
4.2.1.7. БФФ В17 = φ17(F17) для фактора F17 "Аварии и отказы, имевшие место на переходе из-за воздействий 3-х лиц"
БФФ для данного фактора совпадает с соответствующей БФФ для сухопутных участков (пункт 3.2.1.7).
4.2.2. БФФ для факторов влияния из группы FG2 "Наружная коррозия (без учета коррозии под напряжением) применительно к подводным переходам".
БФФ для всех факторов данной группы совпадают с соответствующими БФФ для сухопутных участков (пункт 3.2.2).
4.2.3. БФФ для факторов влияния из группы FG3 "Коррозия под напряжением применительно к подводным переходам".
БФФ для всех факторов данной группы совпадают с соответствующими БФФ для сухопутных участков (пункт 3.2.3).
4.2.4. БФФ для факторов влияния из группы FG4 "Качество производства труб и оборудования применительно к подводным переходам".
БФФ для всех факторов данной группы совпадают с соответствующими БФФ для сухопутных участков (пункт 3.2.4).
4.2.5. БФФ для факторов влияния из группы FG5 "Качество строительно-монтажных работ применительно к подводным переходам".
4.2.5.1. БФФ В51 = φ51(F51) для фактора F51 "Сложность строительства подводного перехода".
Сложность строительства подводного перехода оценивается в зависимости не только от ширины водоема, но и от его типа по степени опасности размыва (таблица № 44). БФФ представлена в виде следующей матрицы (таблица № 43).
Таблица № 43
БФФ для фактора F51 "Сложность строительства подводного перехода"
|
|
Балльные оценки В51 возможных значений фактора F51 |
|||
|
Тип перехода |
Тип 1 |
Тип 2 |
Тип 3 |
Тип 4 |
|
Ширина водоема* |
||||
|
До 50 м |
4 |
5 |
6 |
7 |
|
50 м и более |
7 |
8 |
9 |
10 |
|
____________ * Ширина водоема (границы подводного перехода) определяется уровнем воды в водоеме 10 %-ой обеспеченности. |
||||
Таблица № 44
Классификация подводных переходов по степени опасности размыва дюкера
|
Тип участка перехода |
Характеристика водной преграды |
Степень опасности размыва |
|
1-го типа |
Глубинные переформирования незначительны, газопроводы, как правило, не размываются (переходы через малые реки шириной до 50 м ленточно-грядового, осередкового и побочневого типов, реки любой ширины с устойчивыми берегами и руслами) |
Незначительная. Эксплуатация перехода ведется без осложнений |
|
2-го типа |
Глубинные деформации - до 2 м, плановые - до 10 м (средние и крупные реки ленточно-грядового и побочневого типов). |
Умеренная и умеренно высокая. Размывы часты при неправильной глубине заложения дюкера |
|
3-го типа |
Глубинные деформации - до 2 м, плановые - до 100 м (мелкие, средние и крупные реки с русловым процессом ограниченного, незавершенного и свободного типов меандрирования и пойменной многорукавности). Возможные размывы представляют большую опасность из-за трудности точного определения максимальных плановых переформирований. Возможны повреждения газопровода водным потоком, ледоходом, якорями, волокушами судов. |
Высокая. Размывы очень часты и нередко сопровождаются разрушениями труб |
|
4-го типа |
Горные реки, селевые потоки, реки с ярко выраженным неустойчивым руслом. Максимальные плановые переформирования и глубинные переформирования более 2 м могут происходить в течение нескольких дней, недель или месяцев. |
Очень высокая. Строительство подводных газопроводов не рекомендуется |
Для остальных факторов F52, F53, F54, F55, F56, F57 данной группы БФФ совпадают с соответствующими БФФ для сухопутных участков (пункт 3.2.5.).
4.2.6. БФФ для факторов влияния из группы FG6 "Природные воздействия применительно к подводным переходам".
Вес р6 группы (по сравнению с сухопутными участками) увеличился с 6 % до 20 %. Количество факторов влияния в группе увеличилось до 8-ми. Введено 4 новых фактора: "Тип подводного перехода по степени опасности размыва", "Наличие провисов труб", "Наличие размывов на береговых урезах", "Уровень опасности ледохода", "Время, прошедшее с момента последних обследований и изысканий". Изменились названия и весовые коэффициенты следующих факторов:
фактор F61 "Подвижки и деформации грунта" (q61 = 50 %) стал называться F61 "Фоновые опасные природные процессы (q61 = 10 %)";
фактор F63 "Наличие на участке линейной арматуры и наземных узлов разветвленной конфигурации" (q63 = 10 %) превратился в F66 "Наличие запорной арматуры на берегах" (q66 = 5 %).
4.2.6.1. БФФ В61 = φ61(F61) для фактора F61 "Фоновые опасные природные процессы".
Данный фактор для сухопутных участков МГ назывался "Подвижки и деформации грунта" (пункт 3.2.6) и учитывал негативное влияние на подземный газопровод оползневых, карстовых, селевых, сейсмических и ММП-процессов, приводящих к опасным для газопровода деформациям грунта. Для подводных переходов эти процессы переходят в разряд фоновых, уступая место опасным гидрологическим процессам непосредственно в русловой части перехода. В связи с этим уменьшен весовой коэффициент фактора F61 внутри группы (с 50 до 10 %). БФФ совпадает с соответствующей БФФ для сухопутных участков при (таблица № 27 пункта 3.2.6.1).
4.2.6.2. БФФ В62 = φ62(F62) для фактора F62 "Тип подводного перехода по степени опасности размыва".
БФФ для данного фактора приведена в таблице № 45.
Таблица № 45
БФФ для фактора F62 "Тип подводного перехода по степени опасности размыва"
|
№ |
Возможные значения фактора F62 |
В62 |
|
1 |
1-й тип: Переходы через малые реки шириной до 50 м ленточно-грядового, осередкового и побочневого типов, реки любой ширины с устойчивыми берегами и руслами. Степень опасности размыва - незначительная. |
0 - 2 |
|
2 |
2-й тип: Средние и крупные реки ленточно-грядового и побочневого типов с глубинными деформациями до 1 м, плановыми - до 5 м. Степень опасности размыва - умеренная при правильно определенной глубине заложения дюкера. |
4 - 5 |
|
3 |
2-й тип: Средние и крупные реки ленточно-грядового и побочневого типов с глубинными деформациями от 1 до 2 м, плановыми - от 5 до 10 м. Степень опасности размыва - умеренно высокая при неправильно определенной глубине заложения дюкера. |
6 - 7 |
|
4 |
3-й тип: Мелкие, средние и крупные реки с русловым процессом ограниченного, незавершенного и свободного типов меандрирования или пойменной многорукавности, глубинные деформации - до 2 м, плановые - до 100 м. Степень опасности размыва - высокая. |
8 - 9 |
|
5 |
4-й тип: Горные реки, селевые потоки, реки с ярко выраженным неустойчивым руслом. Максимальные плановые переформирования и глубинные переформирования более 2 м могут происходить в течение нескольких дней, недель или месяцев. Степень опасности размыва - очень высокая. |
10 |
4.2.6.3 БФФ В63 = φ63(F63) для фактора F63 "Наличие провисов труб".
Наличие фактических провисов ниток перехода, образовавшихся в результате размывов, определяется при осмотрах и обследованиях перехода. Если на подводном переходе имеются провисы труб, то резко возрастает вероятность повреждения и разрушения газопровода, например, в результате гидродинамического воздействия потока, ледохода, якорей и волокуш судов и плотов. БФФ представлена в таблице № 46.
Таблица № 46
БФФ для фактора F63 "Наличие провисов труб"
|
№ |
Возможные значения фактора F63 |
В63 |
|
1 |
Провисы труб есть |
10 |
|
2 |
Провисов труб нет |
0 |
4.2.6.4. БФФ В64 = φ64(F64) для фактора F64 "Наличие размывов на береговых урезах".
Наличие размывов ниток перехода на береговых урезах определяется при периодических осмотрах перехода. При оголении газопровода в результате размывов на береговых урезах он оказывается на границе раздела сред "грунт-вода-атмосфера" и становится уязвимым сразу в нескольких отношениях: интенсифицируются процессы атмосферной коррозии и стресс-коррозии, увеличиваются напряжения в стенках трубы из-за потери проектного положения, увеличивается вероятность повреждения газопровода ледоходом, плотами (на сплавных реках), повышается уязвимость от террористических воздействий. БФФ дана в таблице № 47.
Таблица № 47
БФФ для фактора F64 "Наличие размывов труб на береговых урезах"
|
№ |
Возможные значения фактора F64 |
В64 |
|
1 |
Размывы на береговых урезах есть |
10 |
|
2 |
Размывов на береговых урезах нет |
0 |
4.2.6.5. БФФ В65 = φ65(F65) для фактора F65 "Уровень опасности ледохода".
Ледоход представляет опасность для подводного газопровода, особенно в тех случаях, когда имеются размывы или провисы труб. На реках с интенсивным ледоходом и высокой вероятностью образования заторов крупные льдины могут повредить даже заглубленный в грунт газопровод. При ликвидации ледяных заторов, приводящих, как правило, к резкому подъему воды в реке и наводнениям, проводят взрывные работы, что также увеличивает опасность повреждения подводного газопровода. БФФ представлена в таблице № 48.
Таблица № 48
БФФ для фактора F65 "Уровень опасности ледохода"
|
№ |
Возможные значения фактора F65 |
В65 |
|
1 |
Ледоход интенсивный, скорость течения 1 м/c и выше, толщина льдин 0,5 м и больше, образуются ледяные заторы |
10 |
|
2 |
Ледоход интенсивный, скорость течения 0,6 - 0,9 м/c, толщина льдин 0,3 - 0,4 м, образуются заторы |
7 - 9 |
|
3 |
Ледоход средней интенсивности, скорость течения 0,3 - 0,5 м/c, толщина льдин 0,3 - 0,4 м, заторы, как правило, не образуются |
4 - 6 |
|
4 |
Ледоход спокойный, скорость течения 0,1 - 0,2 м/c, толщина льдин незначительна, заторы не образуются |
1 - 2 |
|
5 |
Ледохода не бывает |
0 |
4.2.6.6. БФФ В66 = φ66(F66) для фактора F66 "Наличие запорной арматуры на берегах".
Данный фактор аналогичен фактору F63 "Наличие на участке линейной арматуры и наземных узлов разветвленной конфигурации" для сухопутных участков" и отражает дополнительное влияние тяжелых узлов запорной арматуры, устанавливаемых на берегах, на вероятность разгерметизации газопровода из-за неравномерной осадки грунта и связанных с этим изгибных деформаций участков газопровода, примыкающих к кранам. БФФ для фактора задана в табличном виде (таблица № 49).
Таблица № 49
БФФ для фактора F66 "Наличие запорной арматуры на берегах"
|
№ |
Возможные значения фактора F66 |
В66 |
|
1 |
На берегах присутствует запорная арматура со сложной обвязкой без фундамента |
10 |
|
2 |
На берегах присутствует запорная арматура на фундаменте |
4 |
|
3 |
Запорная арматура на берегах отсутствует |
0 |
4.2.6.7. БФФ В67 = φ67(F67) для фактора F67 "Время, прошедшее с момента последних обследований и изысканий".
Фактор отражает влияние на вероятность нарушения целостности подводных газопроводов давности проведения приборно-водолазных обследований переходов и гидрологических изысканий. Приборно-водолазные обследования проводятся с использованием эффективных средств приборной диагностики, таких как электронные тахеометры, эхолоты, гидролокаторы, трассоискатели, полевые компьютеры, спутниковые средства позиционирования и позволяют своевременно обнаруживать неисправности переходов с последующим целенаправленным ремонтом. Гидрологические изыскания позволяют определить причины переформирования дна и берегов и дать рекомендации по защите переходов и регулированию русловых процессов, что в свою очередь снижает вероятность размыва дюкеров.
Фактор включает 2 подфактора:
-
- время, прошедшее с момента последних
приборно-водолазных обследований (6 баллов из 10);
-
- время, прошедшее с момента последних
гидрологических изысканий (4 балла из 10).
БФФ подфакторов заданы, исходя из предположения, что чем больше лет прошло с даты последних обследований или гидрологических изысканий, тем больше степень незнания о техническом состоянии подводного газопровода и о состоянии русла и тем выше вероятность разрушения газопровода. В качестве критического значения того и другого подфактора (соответствующего 6 и 4 баллам) определен срок 5 лет, учитывая, что процессы переформирования дна рек и, как следствие, размывы газопроводов могут происходить достаточно быстро. БФФ имеет вид:
|
|
|
(31) |
|
|
при 0 < Tобсл ≤ 5; |
|
|
|
при Tобсл > 5; |
|
|
|
при 0 < Tизыск ≤ 5; |
|
|
|
при Tизыск > 5; |
|
4.2.6.8. БФФ В68 = φ68(F68) для фактора F68 "Аварии и отказы, имевшие место на переходе из-за природных воздействий".
БФФ для данного фактора совпадает с соответствующей БФФ для сухопутных участков (пункт 3.2.6.5).
4.2.7. БФФ для факторов влияния из группы FG7 "Уровень технической эксплуатации".
БФФ для всех факторов данной группы совпадают с соответствующими БФФ для сухопутных участков (пункт 3.2.7).
___________
* Эти балльные оценки являются величинами постоянными, определенными один раз на этапе разработки данного методического подхода через балльные оценки средних значений Bij-ср каждого фактора влияния c использованием статистических данных по распределению российских газопроводов по их технико-технологическим, эксплуатационным параметрам и характеристикам природного и социального окружения
** Региональный коэффициент kрег отражает влияние на ожидаемую частоту аварий глобальных природно-климатических факторов северного, центрального и южного регионов, а также социально-экономических региональных факторов, учитывающих особенности развития региона на обозримом историческом отрезке, давая возможность учесть влияние на аварийность завуалированных, труднораспознаваемых причин.
*** Если анализируемый участок МГ располагается на территориях с потенциальной опасностью совершения противоправных действий (диверсий) на МГ, то балльная оценка данного фактора влияния принимается равной 10 баллов.
к Руководству по безопасности "Методика
оценки риска аварий на опасных производственных
объектах магистрального трубопроводного
транспорта газа", утвержденному приказом
Федеральной службы по экологическому,
технологическому и атомному надзору
от 26 декабря 2018 г. № 647
Оценка ожидаемой частоты аварий на площадочных объектах магистральных газопроводов
Оценки ожидаемой частоты аварий на площадочных объектах МГ проводится методами логико-вероятностного моделирования аварий в соответствии с нижеследующими положениями.
1. Логико-вероятностное моделирование аварийности основывается на событийно-логическом подходе к оценке ожидаемых частот аварий, который предусматривает последовательное выполнение следующих этапов:
а) этап структурно-логической постановки задачи, включающий:
1) выбор логической схемы (например, дерева отказов, схемы функциональной целостности, сценария аварии) для проведения исследования;
2) выделение на основе анализа причинно-следственных и структурных связей конечного числа элементов системы, каждый из которых описывается двумя возможными состояниями и заданными вероятностными параметрами;
3) определение содержания и логических условий реализации или нереализации выходных функций для каждого элемента в системе;
4) описание критериев аварии;
5) логически строгое описание множества отдельных элементов системы и множества условий реализации ими своих функций, которые в совокупности образуют логическую схему системы;
б) этап логического моделирования, на котором на основе критериев аварии и логической схемы осуществляется построение логической функции состояния системы (ФСС), которая в аналитическом или графическом виде позволяет определить все комбинации состояний элементов, приводящие к реализации в системе аварии;
в) этап вероятностного моделирования, на котором с помощью ФСС осуществляется построение многочлена расчетной вероятностной функции (ВФ) аварии;
г) этап выполнения расчетов ожидаемой частоты аварии или существенного инцидента, которые выполняются на основе ВФ и заданных вероятностных параметров состояния элементов.
2. При оценке ожидаемой частоты аварий рекомендуется:
а) логическую схему системы в графической форме представлять в виде УДО с использованием входящих в комплект проектной документации "причинно-следственных таблиц";
6) элементами системы считать события и условия, приводящие к аварии на каждой ОСПО;
в) состояние элементов описывать в терминах реализация/не реализация события или условия;
г) критерием аварии считать разгерметизацию емкостного оборудования или разрыв трубопровода с опасным веществом, сопровождаемые одним из следующих событий или их комбинацией:
1) утечка опасного вещества в жидком состоянии в объеме более 10 м3;
2) утечка легкоиспаряющейся жидкости с интенсивностью, превышающей 1 м3/сут;
3) утечка природного газа в объеме более 10 000 м3;
4) воспламенение или взрыв газа;
5) воспламенение жидкости или взрыв ее паров.
3. УДО.
3.1. УДО представляет собой пятиуровневую графологическую структуру причинных взаимосвязей при возникновении аварии на опасной составляющей площадочного объекта заданного типа, полученных в результате прослеживания опасных ситуаций в обратном порядке. Уровни связаны логическими элементами "И" и "ИЛИ", в соответствии со следующим правилом: комбинация ИС приводит к ДПП, которые в свою очередь формируют ПП, последние создают НДУ для аварии. С учетом критериев аварии УДО представляет собой ФСС.
УДО для ОСПО строятся исходя из отнесения последних к одному из следующих типов:
условный сосуд со сжатым природным газом I категории взрывоопасности;
условный сосуд со сжатым природным газом II или III категории взрывоопасности;
условный сосуд с опасной жидкостью;
участок технологического газопровода со сжатым природным газом I категории взрывоопасности;
участок технологического газопровода со сжатым природным газом II или III категории взрывоопасности;
участок маслопровода.
Примечание - Под условными сосудами подразумеваются как
собственно сосуды (емкостное и сепарационное оборудование), так и:
теплообменное оборудование; турбодетандерные агрегаты; насосно-компрессорное
оборудование; запорно-регулирующая арматура; обвязка оборудования, а также
единичные участки газопроводов, протяженность которых не превышает 0,8·Ду·
, где Pg
- абсолютное давление газа в газопроводе, МПа; P0 -
атмосферное давление, МПа; Ду - условный диаметр трубы, м.
3.2. В зависимости от типа ОСПО НДУ (события 4 уровня) для аварии могут являться:
разгерметизация (для сосудов или участков технологических газопроводов со сжатым природным газом I категории взрывоопасности или сосудов с опасной жидкостью);
разгерметизация в сочетании с отказом запорно-регулирующей арматуры или воспламенением опасного вещества (для сосудов или участков технологического газопровода со сжатым природным газом II или III категории взрывоопасности или маслопровода);
разрушением сосуда с опасной жидкостью вследствие "парового взрыва".
При построении УДО в качестве ПП (события 3 уровня) рекомендуется рассматривать:
критические отказы на ОСПО;
экстремальные эксплуатационные нагрузки;
экстремальные внешние воздействия антропогенного характера;
экстремальные внешние воздействия природного характера;
отказы САЗ при критическом отказе на ОСПО;
воспламенение ОВ;
вскипание перегретой жидкости по всему объему.
За ДПП и ИС (события 1 и 2 уровня) в УДО ОСПО КС принимаются:
проявление специфических физико-химических свойств ОВ;
ошибки проектирования;
дефекты материала, изготовления и монтажа;
старение и износ;
усталостное разрушение;
коррозия (при наличии коррозионного воздействия и отсутствии или недостаточности антикоррозионной защиты);
нежелательное воздействие соседних элементов, включая вибрационные нагрузки;
выход значений технологических параметров за допустимые пределы из-за непреднамеренных ошибок персонала при управлении или отказов АСУ ТП;
нарушение правил эксплуатации и технического обслуживания;
изменение гидравлического сопротивления рабочих каналов (секций) технологического
оборудования или трубопроводов;
несанкционированное вмешательство в технологический процесс;
диверсии или террористические акты;
аварии или другие техногенные происшествия на соседних объектах;
землетрясения, ураганы, оползни, карсты, сели, запредельные гололедные и снеговые нагрузки;
отказы ББ или систем непосредственно обеспечивающие функционирование ББ;
наличие раскаленных поверхностей, открытых источников пламени, неисправной электропроводки, искрящего электрооборудования;
другие события и условия, выявленные при проведении анализа объекта.
3.3. Рекомендуемые УДО для площадочных объектов МГ приведены на рисунках 1, 2 и 3. Экспликация рисунков дана в таблице № 1.
Рисунок 1. УДО для ОСПО типа "условный
сосуд со сжатым природным газом
I категории взрывоопасности",
"участок технологического газопровода со
сжатым
природным газом I категории взрывоопасности". Легенда к схеме приведена
в таблице № 1. Здесь и далее на рисунках 2, 3 нумерация соответствует таблице №
2
Легенда к рисункам 1, 2, 3
|
завершающее критическое событие (авария) |
|
|
НДУ аварии |
|
|
ПП аварии |
|
|
раскрываемые ДПП аварии |
|
|
неразвитое событие (скрытые ДПП) |
|
|
ИС при аварии |
|
|
логический элемент "ИЛИ" |
|
|
логический элемент "И" |
Рисунок 2. УДО для ОСПО типа "условный
сосуд со сжатым природным газом
II или III категории взрывоопасности", "участок
технологического газопровода
со сжатым природным газом II или III категории взрывоопасности",
"участок маслопровода"
(легенда в таблице № 1)
Рисунок 3. УДО для ОСПО типа "условный
сосуд с опасной жидкостью"
(легенду см. в таблице № 1)
События и условия, учитываемые при построении УДО
|
Уровень |
Событие |
|
|
№ |
Описание |
|
|
5 - Авария |
- |
- |
|
4 - НДУ |
1 |
Разгерметизация (для сосудов или участков технологических газопроводов со сжатым природным газом I категории взрывоопасности или сосудов с опасной жидкостью) |
|
2 |
Разгерметизация в сочетании с отказом ЗРА или воспламенением ОВ (для сосудов или участков технологических газопроводов со сжатым природным газом II или III категории взрывоопасности или маслопроводов) |
|
|
3 |
Разрушение сосуда с опасной жидкостью вследствие "парового взрыва" |
|
|
3 - ПП |
1 |
Критические отказы на ОСПО |
|
2 |
Экстремальные эксплуатационные нагрузки |
|
|
3 |
Экстремальные внешние воздействия антропогенного характера |
|
|
4 |
Экстремальные внешние воздействия природного характера |
|
|
5 |
Отказы системы аварийной защиты при критическом отказе на ОСПО |
|
|
6 |
Воспламенение ОВ |
|
|
7 |
Вскипание перегретой жидкости по всему объему |
|
|
2 - ДПП |
1 |
Ошибки проектирования |
|
2 |
Дефекты материала, изготовления и монтажа |
|
|
3 |
Коррозия |
|
|
4 |
Отсутствие или недостаточность контроля технического состояния |
|
|
5 |
Нежелательное воздействие соседних элементов, включая вибрационные нагрузки |
|
|
6 |
Выход значений технологических параметров за допустимые пределы |
|
|
7 |
Нарушение правил эксплуатации |
|
|
8 |
Изменение гидравлического сопротивления рабочих каналов (секций) технологического оборудования или трубопроводов |
|
|
9 |
Отказ систем контроля технологических параметров и аварийного останова |
|
|
10 |
Несанкционированное вмешательство в технологический процесс |
|
|
11 |
Отказ систем защиты от несанкционированного вмешательства в технологический процесс |
|
|
12 |
Диверсии или террористические акты |
|
|
13 |
Аварии или другие техногенные происшествия на соседних объектах |
|
|
14 |
Отказ ЗРА, ограничивающей поступление флюида в аварийный ОСПО |
|
|
15 |
Отказ систем контроля загазованности или вентиляции при разгерметизации аварийного элемента в помещении |
|
|
16 |
Неправильная работа предохранительных клапанов |
|
|
17 |
Зажигание от открытого пламени |
|
|
18 |
Зажигание от искрящегося электрооборудования |
|
|
19 |
Зажигание от неисправной электропроводки |
|
|
20 |
Зажигание от раскаленной поверхности |
|
|
1 - ИС |
1 |
Разрушение в результате старения и износа |
|
2 |
Усталостное разрушение |
|
|
3 |
Наличие коррозионной среды |
|
|
4 |
Отсутствие или недостаточность антикоррозионной защиты |
|
|
5 |
Отказ технических средств охраны |
|
|
6 |
Попытка проникновения на КС для совершения противоправных действий |
|
|
7 |
Землетрясение |
|
|
8 |
Ураган |
|
|
9 |
Оползень |
|
|
10 |
Карстовый провал |
|
|
11 |
Сель |
|
|
12 |
Запредельные гололедные и снеговые нагрузки |
|
|
13 |
Ошибка в определении прочности сосуда на "паровой взрыв" |
|
|
14 |
Наличие открытого пламени |
|
|
15 |
Наличие искрящегося электрооборудования |
|
|
16 |
Наличие неисправной электропроводки |
|
|
17 |
Наличие раскаленной поверхности |
|
|
18 |
Проявление специфических физико-химических свойств опасной жидкости по переходу в неравновесное состояние при атмосферном давлении |
|
|
19 |
Проявление специфических физико-химических свойств ОВ по воспламенению от различных источников |
|
Перечень, приведенный в таблице № 2, рекомендуется, но не является окончательным.
4. Оценка вероятности аварии на ОСПО
4.1. Для оценки вероятности аварии на ОСПО заданного типа по соответствующим УДО строятся многочлены ВФ. В ВФ определенному событию ставится в соответствие его вероятность. Причем, вероятность каждого события более высокого уровня определяется через вероятности независимых событий низшего уровня по следующим правилам:
если событие более высокого уровня является суммой n событий низшего уровня (агрегирование происходит посредством логического элемента "ИЛИ"), то его вероятность p вычисляют по формуле
|
|
(2) |
если событие более высокого уровня является произведением n событий низшего уровня (агрегирование происходит посредством логического элемента "И"), то его вероятность p вычисляют по формуле
где pi - вероятность i-го события низшего уровня.
Последовательные преобразование по формулам (1) - (3) для УДО выбранного ОСПО дают многочлен ВФ аварии на нем как функцию вероятности событий нижнего уровня (ИС и скрытых ДПП).
4.2. Многочлены расчетных ВФ рекомендованные для применения при расчетах аварий на типовых ОСПО Pа,ОСПО (t = 1 год) определяются как:
для ОСПО типа "условный сосуд со сжатым природным газом I категории взрывоопасности", "участок технологического газопровода со сжатым природным газом I категории взрывоопасности" по формуле
для ОСПО типа "условный сосуд со сжатым природным газом II или III категории взрывоопасности", "участок технологического газопровода со сжатым природным газом II или III категории взрывоопасности" или "участок маслопровода" по формуле
|
|
(5) |
для ОСПО типа "условный сосуд с опасной жидкостью" по формуле
где Pi3 - ВФ i-й ПП;
- вероятность ошибки в определении
прочности сосуда на "паровой взрыв".
Многочлены расчетных ВФ ПП аварий для УДО рисунков 1 - 3, как функции вероятности (ВФ) ДПП и ИС, приведены в таблице № 3.
Таблица № 3
ВФ ПП аварий для УДО
|
Событие |
Многочлен расчетной ВФ |
|
(1,3) |
|
|
(2,3) |
|
|
(3,3) |
|
|
(4,3) |
|
|
(5,3) |
|
|
(6,3) |
|
|
(7,3) |
|
|
Примечание - Верхние индексы при значениях вероятности PJI указывают на уровень, нижние - на номер выбранного события в соответствии с нумерацией событий в таблице № 2. |
|
При вычислении вероятности события вышестоящего уровня на основе вероятностей нижестоящих событий по УДО и невозможности осуществления в реальных условиях, какого-либо события нижестоящего уровня, его вероятность в расчетной формуле полагается равной нулю.
5. Расчет значений вероятностных функций и оценка ожидаемой частоты аварий
5.1. Для вычисления значения ВФ в многочлены (4) - (6) следует подставить величины вероятности отдельных событий. Их следует определять на основе:
статистических данных об аварийности и ее причинах на ОПО транспорта газа и объектах, входящих в их окружение;
нормативных документов: Руководства по безопасности "Методические основы по проведению анализа опасностей и оценки риска аварий на опасных производственных объектах", утвержденного приказом Ростехнадзора от 11 апреля 2016 г. № 144, Методика определения расчетных величин пожарного риска на производственных объектах, утвержденная приказом МЧС России от 10 июля 2009 г. № 404, ГОСТ 27.310-95 "Надежность в технике. Анализ видов, последствий и критичности отказов. Основные положения", введенный в действие постановлением Комитета Российской Федерации по стандартизации, метрологии и сертификации от 26 июня 1996 г. № 429, отраслевых стандартов по анализу риска;
сведений о параметрах опасных природных процессов в районе расположения ОПО;
данных по надежности барьеров безопасности (ББ);
сведений об ошибках оператора, приведенных в таблице № 4.
Таблица № 4
Вероятности типичных ошибок среднестатистического оператора с коэффициентом вариации 3 %
|
Вид ошибки |
Вероятность ошибки × 103 |
|
Неисполнение отдельного требования инструкции при наличии памятки на рабочем столе |
1 |
|
Ошибка выбора при считывании информации с дисплея, находящегося в группе |
1 |
|
Ошибка при считывании информации со стрелочного прибора, осматриваемого периодически |
3 |
|
Ошибка при арифметических расчетах |
10 |
|
Ошибка при считывании информации с индикаторного прибора, по которому ведется работа, выделенному мнемолинией на мнемосхеме |
0,5 |
|
Ошибка при работе с органами управления, находящимися в группе подобных органов |
1 |
|
Ошибка при работе с ЗРА, если она находятся в группе и выделена расстоянием, маркировкой, конструкцией |
1 |
|
Ошибка при управлении, связанная с определением состояния ЗРА при отсутствии индикатора положения |
10 |
|
Отсутствие реакции на сигнализацию, включая отклик в течение минуты после отключения сигнала |
1 |
|
Ошибка в действиях, при наличии зависимости исполнителей работ диспетчер-начальник смены (условная вероятность при коэффициенте вариации 5 %) |
150 |
|
Примечание - Допускается варьировать вероятность ошибки оператора от приведенной величины до 50 % в ту или иную сторону в зависимости от его квалификации. |
|
При использовании в качестве источника информации непрофильных справочников следует вводить поправку на следующие факторы, способствующие критическим отказам на ОПО транспорта газа:
наличие большого числа мест с повышенной концентрацией напряжений (например, переходники, фасонные части) или коррозионной активностью (например, переходы подземных трубопроводов в наземные);
сложная пространственная стержневая конструкция надземных газопроводов обвязки агрегатов;
повышенная вибрация оборудования и газопроводов на компрессорных станциях.
Примечание - Перечисленные факторы могут приводить к увеличению частоты отказов на порядок по сравнению с данными непрофильных справочников.
5.2. Оценка ожидаемой частоты аварии на каждом ОСПО площадочного объекта fа, ОСПО и на объекте целиком fa проводится соответственно по соотношениям
|
|
(7) |
|
|
(8) |
В соотношении (8) суммирование проводится по всем ОСПО площадочного объекта.
5.3. При неоднозначности результатов, полученных по пункту 5.2 исходя из пункта 5.1, вычисления рекомендуется проводить для наибольших и для наименьших значений вероятности определяющих событий с последующим указанием диапазона изменения и среднего значения для ожидаемой частоты аварий.
к Руководству по безопасности "Методика
оценки риска аварий на опасных производственных
объектах магистрального трубопроводного
транспорта газа", утвержденному приказом
Федеральной службы по экологическому,
технологическому и атомному надзору
от 26 декабря 2018 г. № 647
Расчет интенсивности истечения и количества выбрасываемого газа при разрушениях газопроводов
1. Расчет интенсивности истечения газа на основе численного моделирования
Для расчета параметров истечения газа (скорости, расхода и массы выброса) при разгерметизации трубопровода рекомендуется использовать систему уравнений газодинамики, описывающую нестационарное одномерное движение в трубе
|
|
(2) |
где t - время;
x - координата вдоль оси трубопровода;
u - скорость;
p - давление;
z - высотная отметка линии трубопровода;
g - ускорение свободного падения;
D0 и DH - соответственно внутренний и наружный диаметры трубопровода;
λ - коэффициент гидравлического сопротивления,
учитывающий действие трения на стенках трубы, связан с внутренним диаметром D0
(м) и шероховатостью стенок трубы Δ соотношением 1/
= -2log10(Δ/(3,71D0));
ε - удельная внутренняя энергия;
T - температура внутри трубопровода;
Ts - температура снаружи трубопровода;
KT - коэффициент теплопередачи, который для проектных расчетов задается нормативно с возможностью уточнения по натурным замерам расходов и температур при эксплуатации.
В соотношение (3) для расчета плотности потока тепла, поступающего в газ через стенки трубопровода от окружающей среды, применяется закон Ньютона.
Для замыкания системы (1) - (3) используются калорическое и термическое уравнение состояния в виде:
|
|
(4) |
|
p = ZρR*T |
(5) |
где Z и R* - соответственно удельная постоянная и сжимаемость газа;
CV(T) - удельная теплоемкость как функция температуры.
В качестве граничных условий используется условие постоянства давления на входе и выходе трубопровода. В качестве начального условия для трубопровода задается режим стационарной перекачки.
При моделировании истечения в конце каждой ветки разорванного трубопровода задается давление равное окружающему, т.е. 1 атм (для дозвукового истечения), либо на срезе в месте разрыва задается скорость равная скорости звука на срезе трубы (для сверхзвукового истечения). Соответственно интенсивность выброса с одной ветки будет определяться на срезе разорванной трубы как произведение плотности, скорости и площади поперечного сечения трубопровода G(t) = ρuπD02/4.
Система уравнений (1) - (3) записывается для каждого линейного участка с постоянным диаметром. В местах стыковки отдельных линейных участков выполняются законы сохранения.
Допускается применять приближенные методы расчета интенсивности истечения газа для случаев, изложенных ниже в пунктах 2 - 4 данного приложения.
2. Разгерметизация однониточного газопровода
2.1. Исходные данные:
λ - коэффициент гидравлического сопротивления, б/р;
d0 - внутренний диаметр трубы, м;
Р1ср (Па), T1ср (К) - средние давление и температура для первого аварийного участка газопровода;
Q - производительность газопровода в нормальном режиме его эксплуатации, млн. м3/сут.;
Рн, Pк - давления в начале и конце газопровода до его разрыва, Па;
ρ - плотность газа при нормальных условиях, г/м3;
L1, L2 - расстояние от места разрыва до КС1 и КС2 соответственно, м;
х1, х2 - расстояние от места разрыва до ближайшего линейного крана, м;
k - показатель адиабаты газа, б/р.
2.2 Искомые параметры:
G1(t) - массовый расход, (кг/с).
M1, M2 - полная масса газа, выброшенная из первого и второго аварийного участка соответственно, кг.
2.3. Последовательность расчета
Моделируется разрыв участка газопровода на перегоне между компрессорными станциями КС1 и КС2 на расстоянии L1 (м) от КС1 (рисунок 1). Направление движения газа - слева направо.

Рисунок 1. Схема фрагмента магистрального газопровода
Время, прошедшее от момента аварии до момента полного закрытия станционного охранного крана К21 на КС1, составляет величину t21 (с) (включает в себя время идентификации аварии оператором, время принятия им решения об отключении КС и время закрытия охранного крана). Аналогичное время для крана К19 на КС2 величину t19 (с). Ближайшие к месту аварии линейные краны Л1 и Л2 расположены на расстояниях x1 (м) и x2 (м). Линейные краны полностью закрываются через время tл (с) от момента аварии. В данном сценарии для большей общности принимается, что закрытие кранов может происходить не одновременно.
До своего отключения КС1 нагнетает на перегон дополнительную массу газа МКС1, а КС2 забирает из аварийного участка массу МКС2.
Аварийным участком считается участок от места разрыва газопровода до компрессорной станции (под первым аварийным участком понимается участок от места разрыва до КС1, соответственно под вторым аварийным участком - участок от места разрыва до КС2). Аварийной секцией считается участок от места разрыва до ближайшего линейного крана (если линейный кран отсутствует или не может быть закрыт, - под аварийной секцией понимается весь аварийный участок и расчет истечения ведется только по формулам первого этапа).
Расчет истечения газа для каждой из аварийных секций производится в два этапа. На первом этапе рассчитывается аварийный расход газа от момента аварии до момента закрытия линейного крана. На втором - аварийный расход газа из отсеченной секции (после закрытия линейного крана) до его полного истечения.
2.4. Этап I. Расчет массового расхода газа из аварийного газопровода от момента аварии до отсечения аварийной секции tл (на примере расчета для первого аварийного участка)
Давление Р0 в момент аварии в точке разрыва газопровода рассчитывается по формуле
|
|
(6) |
Расход газа G1(t) (кг/с) при t больше 0,1 (с) для первого аварийного участка протяженностью L1 задается формулой
|
|
(7) |
МГ - масса газа, находящаяся в аварийном участке газопровода до аварии, кг, рассчитывается по формуле
где
,
- средние
давление и температура для первого аварийного участка газопровода, Па;
- коэффициент
сжимаемости газа до разрыва при параметрах
и
;
МКС - масса газа, которая нагнетается в аварийный участок газопровода КС1 до момента отсечения аварийного участка, кг (если время закрытия крана меньше времени отключения КС, то есть tл < t21, то время t21 в нижеприведенной формуле (9) заменяется на tл);
R - газовая постоянная, Дж/(кг·°К).
Знак "плюс" в формуле (8) применяется при расчете MГ в первом аварийном участке газопровода, знак "минус" используется при расчете MГ во втором аварийном участке. Предполагается, что отключение кранов на участке от места аварии до КС2 происходит до полного опорожнения второго аварийного участка (т.е. предполагается, что МГ > 0).
Мкс вычисляется по следующей формуле
|
MКС1 = GКС·t21, |
(9) |
где GКС - производительность газопровода (кг/с) в нормальном режиме его эксплуатации.
МН (кг) - масса газа, истекающего в адиабатическом режиме. Величина МН (кг) рассчитывается по формуле
|
|
(10) |
|
|
(11) |
где εL - постоянная времени, с, определяется по соотношению,
|
|
(12) |
a0 - скорость звука в газе до разрыва, м/с, задается выражением
|
|
(13) |
G0 - начальный критический массовый расход газа, кг/с, рассчитывается по формуле
|
|
(14) |
Zk - коэффициент сжимаемости газа в критическом сечении (принимается равным 1).
Масса газа, выброшенная из аварийной секции на первом этапе истечения, определяется по формуле
|
|
(15) |
Расход газа на момент времени tЛ закрытия линейного крана G1(tЛ) кг/с, задается формулой
|
|
(16) |
Аналогичным образом производится расчет параметров аварийного истечения газа из второго аварийного участка газопровода.
2.5. Этап II. Расчет массового расхода газа из аварийного газопровода после локализации аварии на примере первой аварийной секции протяженностью x1.
Расход газа G2(t) (кг/с) для аварийной секции после закрытия крана на линейной части (t > tЛ) задается формулой
|
|
(17) |
εx - постоянная времени, с, определяется по формуле
|
|
(18) |
аx - скорость звука в газе в отсеченной секции на момент времени t12, м/с, задается формулой
|
|
(19) |
- средняя
температура в отсеченной секции от линейного крана до места разрыва на момент
времени tЛ (К).
Масса газа из первой аварийной секции M12 на втором этапе истечения, определяется по формуле
|
|
(20) |
Полная масса газа, выброшенная из первого аварийного участка, рассчитывается как сумма масс M11 и M12 по формуле
|
M1 = M11 + M12. |
(21) |
Для второй отсеченной секции длиной x2 расчет производится аналогичным образом.
3. Разгерметизация нитки многониточного газопровода при открытых кранах на перемычках
3.1. Исходные данные:
λ - коэффициент гидравлического сопротивления, б/р;
d0 - внутренний диаметр трубы, м;
Р1ср (Па), T1ср (°К) - средние давление и температура для первого аварийного участка газопровода;
Q - производительность газопровода в нормальном режиме его эксплуатации, млн. м3/сут.;
Pн, Pк - давления в начале и конце газопровода до его разрыва, Па;
ρ - плотность газа при нормальных условиях, г/м3;
L1, L2 - расстояние от места разрыва до КС1 и КС2 соответственно, м;
х1, х2 - расстояние от места разрыва до ближайшего линейного крана, м;
k - показатель адиабаты газа, б/р.
3.2. Искомые параметры:
G1(t) - массовый расход, кг/с,
М1, М2 - полная масса газа, выброшенная из первого и второго аварийного участка соответственно, кг.
3.3. Последовательность расчета
Разгерметизация многониточного газопровода рассчитывается в предположении, что число ниток две и более (N ≥ 2).
Моделируется разрыв участка многониточного газопровода на перегоне между компрессорными станциями КС1 и КС2 на расстоянии L1 (м) от КС1 (рисунок 2). Направление движения газа слева направо.

Рисунок 2. Обобщенная схема многониточного газопровода
Сценарий аварии соответствует таковому для однониточного газопровода. Аварийным участком считается участок А - С (рисунок 3) от места разрыва многониточного газопровода до компрессорной станции (под первым аварийным участком понимается участок от места разрыва до КС1, соответственно под вторым аварийным участком - участок от места разрыва до КС2). Аварийной секцией считается участок Б - С (рисунок 3) от места разрыва до ближайшего линейного крана на крановом узле (если линейный кран отсутствует или не может быть закрыт, под аварийной секцией понимается весь аварийный участок и расчет истечения ведется только по формулам первого этапа).

Рисунок 3. Эквивалентная схема многониточного газопровода для расчета аварийного истечения
Характер истечения при аварии многониточного газопровода определяется соотношением между суммарной пропускной способностью всех ниток и расходом при установившемся течении газа в аварийной секции от места разрыва до ближайших перемычек между нитками (на рисунке 3(а) - участок между точками Б - С). Если секция достаточно длинная, то падение давления в ней за счет трения велико и, соответственно, квазистационарный расход мал.
Считаем, что истечение из многониточного газопровода эквивалентно истечению из трубы с переменным (в месте соединения ниток перемычками) сечением. Истечение рассчитывается по эквивалентной модели, которая многониточную систему от КС до последних перед разрывом перемычек аппроксимирует "толстой" трубой А - Б (рисунок 3(б)) с эквивалентным сечением, равным сумме поперечных сечений всех ниток, и патрубком Б - С от кранового узла с перемычками до места разрыва.
В начале истечения реализуется переходный процесс формирования квазистационарного распределения скорости по длине аварийной секции (патрубка), а затем при его достижении расход газа далее изменяется достаточно медленно в соответствии с процессами формирования течения газа в "толстой" трубе (участок А - Б на рисунке 3(б)) до времени перекрытия запорных кранов Лi.
Расчет истечения газа для каждой из аварийных участков выше и ниже по потоку газа от места разрыва производится в два этапа. На первом этапе рассчитывается аварийный расход газа от момента аварии до момента закрытия линейных кранов Л1 и Л2. На втором - аварийный расход газа из отсеченной секции (после закрытия линейного крана на аварийной секции) до его полного истечения.
3.4. Этап I. Расчет массового расхода газа из аварийного газопровода от момента аварии до отсечения аварийной секции tЛ (на примере расчета для первого аварийного участка).
3.4.1. Расчет параметров истечения для переходного процесса
Протяженность первого аварийного участка рассчитывается по формуле
|
L1 = LK1 + x1, |
(22) |
Давление Р0 в момент аварии в точке разрыва газопровода определяется по формуле
|
|
(23) |
Расход газа G1(t) (кг/с) при t больше 0,1 (с) для первого аварийного участка протяженностью L1 задается формулой
|
|
(24) |
MГ - масса газа, находящаяся в аварийном участке газопровода до аварии, кг, определяется из формулы
|
|
(25) |
Знак "плюс" применяется при расчете MГ в первом аварийном участке газопровода, знак "минус" используется при расчете MГ во втором аварийном участке. Предполагается, что отключение кранов на участке от места аварии до КС2 происходит до полного опорожнения второго аварийного участка (т.е. предполагается, что MГ > 0).
MКС - масса газа, которая нагнетается в аварийный участок газопровода КС1 до момента отсечения аварийного участка, кг (если время закрытия крана меньше времени отключения КС, то есть tЛ < t21, то время t21 в нижеприведенной формуле заменяется на tЛ) рассчитывается по формуле
|
MКС1 = GКСt21, |
(26) |
где GКС - производительность газопровода (кг/с) в нормальном режиме его эксплуатации, вычисляемая как
![]()
где ρ - плотность газа при нормальных условиях (для метана 0,7168 , кг/м3);
P1ср - среднее давление для первого аварийного участка газопровода, Па;
T1ср - средняя температура газа в первом аварийном участке газопровода в момент аварии, К;
Z0ср - коэффициент сжимаемости газа до разрыва при параметрах P1ср и T1ср.
Величина Мн (кг) рассчитывается по формуле
|
|
(27) |
|
|
(28) |
где εL - постоянная времени, с, задается выражением
|
|
(29) |
где a0 - скорость звука в газе до разрыва, м/с, определяется по формуле
|
|
(30) |
где G0 - начальный критический массовый расход газа, кг/с, рассчитывается по формуле
|
|
(31) |
где Zk - коэффициент сжимаемости газа в критическом сечении (принимается 1).
Переходный процесс заканчивается при достижении квазистационарного режима истечения. Данный режим истечения устанавливается при достижении расхода через сечение разрыва величины GСТАЦ, кг/с, определяется по формуле
|
|
(32) |
где vП - скорость газового потока в районе перемычек между нитками (точки А1 и А2), необходимая для существования стационарного режима истечения, задается выражением
|
vП = Ma0, |
(33) |
где М - число Маха в рассматриваемой точке газового потока;
a0 - скорость звука в газе до разрыва, м/с.
Значение времени, при котором расход сравнивается с GСТАЦ определяется как tСТАЦ.
Число Маха определяется из решения следующего уравнения
|
|
(34) |
3.4.2. Истечение газа после достижения квазистационарного режима истечения
После достижения квазистационарного расхода характер истечения формируется за счет установления течения в "толстой" трубе. При этом считается, что длина вышеупомянутой эквивалентной "толстой" трубы равна LK1, а эквивалентный диаметр вычисляется из соотношения
|
|
(35) |
Тогда расход газа G1(t) (кг/с) для аварийной секции после завершения переходного процесса при t ≥ tСТАЦ задается формулой
|
|
(36) |
где tСТАЦ - время достижения квазистационарного режима истечения, с;
εСТАЦ - постоянная времени, с;
|
|
(37) |
3.5. Этап II. Расчет массового расхода газа из аварийного газопровода после локализации аварии и закрытия линейных кранов на примере первой аварийной секции протяженностью x1
Расход газа G2(t) (кг/с) для аварийной секции после закрытия крана на линейной части (t > tЛ) задается формулой
|
|
(38) |
где εx - постоянная времени, с, вычисляется по формуле
|
|
(39) |
Аналогичным образом производится расчет параметров аварийного истечения газа из второго аварийного участка газопровода.
Изложенный алгоритм расчета допускается применять при экспресс-оценках. Для расчета же детальных и более точных интенсивностей истечения (например, при обосновании безопасности), рекомендуется использовать подход, базирующийся на решении уравнений (1) - (3), для совокупности линейных участков, составляющих многониточный трубопровод.
4. Разгерметизация технологической линии на площадочных сооружениях (на примере КС)
4.1. Исходные данные:
λ - коэффициент гидравлического сопротивления, б/р;
Lмг, Dмг - длина и внутренний диаметр трубы МГ, м;
Т0 - средняя температура газа в МГ на входе площадочного сооружения, К;
P0 - давление в МГ на входе площадочного сооружения до аварии, Па;
ρ - плотность газа при нормальных условиях, (г/м3);
LМГ - длина магистрального газопровода, подводящего газ к площадочному объекту (КС, ГРС или АГНКС, м);
L1 - длина участка подводящей однородной трубы (с одинаковым диаметром) от узла подключения МГ (кранового узла) до труб обвязки оборудования площадочного объекта, м;
d0 - внутренний диаметр патрубка, м;
k - показатель адиабаты газа, б/р.
4.2. Искомые параметры:
G1(t) - массовый расход, (кг/с).
4.3 Последовательность расчета
Участок газопровода от МГ до места разрыва на площадочных сооружениях КС, ГРС и АГНКС может состоять из нескольких участков с различным диаметром труб исходя из технологической схемы объекта. При этом характер истечения при аварии на площадочных сооружениях определяется наименьшей пропускной способностью участка труб с максимальным гидравлическим сопротивлением. При условии большого гидравлического сопротивления участка, падение давления в нем за счет трения велико и истечение газа быстро переходит в установившийся квазистационарный режим, при этом квазистационарный расход мал. Рассмотрим аварию на примере КС (рисунок 4). На формирование аварийного выброса сильно влияет с какой ("низкой" или "высокой") стороны от КС произошла авария. При аварии с "высокой" стороны может реализоваться два варианта:
а) авария между ГПА и отсечным клапаном,
б) авария между отсечным клапаном и крановым узлом Кр8.
Авария типа а) очень быстро обнаруживается, локализуется без крупных последствий и больших выбросов газа. С точки зрения оценки риска рассматривать эту ситуацию нецелесообразно. Авария типа (б) может быть оценена в соответствии с пунктом 1 текущего приложения.

Рисунок 4. Эквивалентная схема основного потока газа на типовой КС
При аварии с "низкой стороны" истечение может быть рассчитано по эквивалентной модели "толстая труба - патрубок", в которой МГ является "толстой" трубой А - Б (рисунки 5, 6) с присоединенным к ней патрубком Б - С от МГ до места разрыва. В качестве патрубка принимается однородный участок с наибольшим гидравлическим сопротивлением.

Рисунок 5. Схема возможной аварии на площадочных сооружениях

Рисунок 6. Эквивалентная схема аварии на площадочных сооружениях КС, ГРС и АГНКС
В начале истечения реализуется переходный процесс формирования квазистационарного распределения скорости по длине (патрубка), а затем при его достижении расход газа далее изменяется достаточно медленно в соответствии с процессами формирования течения газа в "толстой" трубе МГ (участок А - Б на рисунке 6) до времени перекрытия запорного крана Кр7 (рисунок 4).
Расчет истечения газа производится в два этапа. На первом этапе рассчитывается аварийный расход газа от момента аварии до момента закрытия линейного крана Кр7. На втором - аварийный расход газа из отсеченной секции до его полного истечения.
4.4. Этап I. Расчет истечения газа от момента аварии до отсечения аварийного участка от МГ
4.4.1. Расчет параметров истечения для переходного процесса установления квазистационарного профиля давления в патрубке
Расход газа G1(t) (кг/с) при формировании квазистационарного течения газа в патрубке протяженностью L1 задается формулой
|
|
(40) |
МГ - масса газа, находящаяся в аварийном участке газопровода до аварии, кг, определяется по формуле
|
|
(41) |
- коэффициент
сжимаемости газа до разрыва при параметрах P0
и T0.
Величина Mн (кг) рассчитывается по формуле
|
|
(42) |
|
|
(43) |
εL - постоянная времени, с, рассчитывается по формуле
|
|
(44) |
a0 - скорость звука в газе до разрыва, м/с, задается формулой
|
|
(45) |
G0 - начальный критический массовый расход газа, кг/с, вычисляется по формуле
|
|
(46) |
Zk - коэффициент сжимаемости газа в критическом сечении (принимается 1).
Переходный процесс заканчивается при достижении квазистационарного режима истечения. Данный режим истечения устанавливается при достижении расхода через сечение разрыва величины GСТАЦ, кг/с, рассчитывается по формуле
|
|
(47) |
где vП - скорость газового потока в начале участка с максимальным гидравлическим сопротивлением (точка Б на рисунке 7-б), необходимая для существования стационарного режима истечения, задается выражением
|
vП = Ma0, |
(48) |
где М - число Маха в рассматриваемой точке газового потока;
a0 - скорость звука в газе до разрыва, м/с.
Число Маха определяется из решения следующего уравнения
|
|
(34) |
где x1 - длина от начала патрубка до места разрыва, м.
4.4.2. Истечение газа после достижения квазистационарного режима истечения.
После достижения квазистационарного расхода характер истечения формируется за счет установления течения в "толстой" трубе МГ. Тогда расход газа G1(t) (кг/с) для аварийной секции после завершения переходного процесса при t ≥ tСТАЦ задается формулой
|
|
(50) |
где tСТАЦ - время достижения квазистационарного режима истечения, с;
εСТАЦ - постоянная времени, с, определяется по формуле
|
|
(51) |
4.5. Этап II. Расчет массового расхода газа после локализации аварии и закрытия линейных кранов
Расход газа G2(t) (кг/с) для аварийной секции после закрытия запорного крана (t > tзакрытия) задается формулой
|
|
(52) |
εx - постоянная времени, с, определяется по формуле
|
|
(53) |
Изложенный алгоритм расчета применяется при экспресс-оценках. Для расчета же детальных и более точных интенсивностей истечения (например, при обосновании безопасности), рекомендуется использовать подход, базирующийся на решении уравнений (1) - (3), для совокупности линейных участков, составляющих многониточный трубопровод.
к Руководству по безопасности "Методика
оценки риска аварий на опасных производственных
объектах магистрального трубопроводного
транспорта газа", утвержденному приказом
Федеральной службы по экологическому,
технологическому и атомному надзору
от 26 декабря 2018 г. № 647
Расчёт разлета осколков при разрушении газопроводов и сосудов с газом под давлением тоск
1. При расчётах принято, что масса mоск (кг) и угол вылета (по отношению к горизонту) θ0 осколков носят вероятностный характер, а абсолютное значение начальной скорости осколка U0 (м/с) - детерминировано и определяется по таблице № 1.
Таблица № 1
Значение скорости первичных осколков в зависимости от аварийного элемента
|
|
Аварийный элемент |
Формула для вычисления |
|
1. |
Наземный цилиндрический сосуд из хрупких сталей |
|
|
2. |
Наземный сферический сосуд из хрупких сталей |
|
|
3. |
Подземный газопровод |
|
|
где Моб, ρоб и V0 - соответственно масса (кг), плотность материала (кг/м3) оболочки и объем (м3) наземного аварийного сосуда (предполагается, что наземное оборудование разрушается на nоск ≥ 10 фрагментов); P0 - избыточное давление (атм) в аварийном элементе до аварии; h - заглубление (м) нижнего основания газопровода; D - диаметр (м) газопровода |
||
2. В предположении равновероятной ориентации осколка по направлению вектора скорости и равновероятном значении угла вылета осколков θ0 в значимом диапазоне Δθ0 = 5° ÷ 85 движение осколка описывается системой уравнений
|
|
|
|
|
|
|
x = tan(θ); |
где x0 и xk начальное и конечное (при столкновении осколка с землей) значения х;
θ - угол наклона траектории движения к горизонтали (в начальный момент равен углу вылета осколка);
A - приведенный коэффициент сопротивления осколка;
U - текущее значение полной скорости осколка;
Ui - текущие значения скорости осколка соответственно в горизонтальном (i = 1) и вертикальном (i = 2) направлениях;
ΔH - смещение осколка в вертикальном направлении;
ΔR - смещение осколка в горизонтальном направлении;
Sср = (m/ρоб)2/3 cx = 2 - площадь миделя (м2) и безразмерный коэффициент сопротивления осколка;
ρоб - плотность воздуха (кг/м3);
g - ускорение силы тяжести (м/с2).
Параметром представленного решения (1), при заданном угле вылета (заданном x0) является безразмерный комплекс (2), состоящий из частного двух величин, имеющих размерность длины: A-1 и g-1U20
|
|
(2) |
Численное решение системы (1) позволило найти максимальную высоту подъема ΔHp и радиус разлета Rp осколков как функции x0, W
|
ΔHp = F1(x0, W); ΔRp = F2(x0, W) |
(3) |
и установить на основе аппроксимации данных функций, что при равновероятном значении угла вылета осколков θ0 в значимом диапазоне Δθ0 = 5° ÷ 85° максимальная дальность разлета ΔRmax(W) и начальный угол вылета, при котором она достигается - Δθ0,max(W) являются следующими функциями W:
|
|
(4) |
|
Δθ0,max(W) = arctan(0,65W0,16 + 0,17) при W < 4,6 |
|
Δθ0,max(W) = 45° при W ≥ 4,6 |
3. Определение функции
распределения
и ее плотности
для нормированной дальности полета
.
аппроксимируется бета - распределением
|
|
(5) |
где
бета - распределение; Г(х) - и
гамма-функция.
С помощью (5) вероятность Р(
, ΔS) попадания
единственного образовавшегося осколка в выделенную область площадью ΔS,
удаленную на расстояние
от центра разгерметизации,
определяется как:
|
|
(6) |
Для человека, моделируемого цилиндром с радиусом r и высотой l, находящегося на расстоянии ΔR от аварийного элемента, с учетом того, что попадание любого осколка - смертельно, вероятность поражения единичным осколком (движение которого описывается параметром W) при движении осколка по ниспадающей траектории (после достижения максимальной высоты подъема) рассчитывается по формулам:
|
|
(7) |
|
|
Вероятность поражения человека при движении осколка на восходящей ветке траектории (по "прямой наводке") консервативно определяется по формулам
|
|
(8) |
|
|
|
|
где ΔRs - "дальность прямого попадания".
При реализации обеих возможностей, вероятность поражения человека от осколочного воздействия рассчитывается как:
|
Рчел(ΔR,W) = Р1,чел(ΔR,W) + Р2,чел(ΔR,W) - Р1,чел(ΔR,W)Р2,чел(ΔR,W). |
(9) |
4. Прогнозируемая вероятность поражения при образовании nоск осколков, каждый из которых характеризуется параметром Wi, определяется в соответствии с законами теории вероятности на основе (9) как:
|
|
(10) |
где Pi(Wi) - вероятность того, что параметр движения осколка будет равняться Wi.
Расчеты по (10) вероятности поражения при образовании nоск осколков, сопоставимых по массе, для дальней зоны могут быть упрощены на основе приближения:
|
|
которое дает при Wi = const:
|
|
В практических расчетах для случая разрушения газопроводов из хрупких сталей (старых газопроводов) рекомендуется выбирать nоск c массой каждого до 150 кг, для газопроводов из вязких сталей (относительно новые газопроводы) количество фрагментов следует принимать до трех с массой каждого по несколько тонн.
к Руководству по безопасности "Методика
оценки риска аварий на опасных производственных
объектах магистрального трубопроводного
транспорта газа", утвержденному приказом
Федеральной службы по экологическому,
технологическому и атомному надзору
от 26 декабря 2018 г. № 647
Расчёт параметров газового облака, сформированного при аварийном истечении газа
1. Параметры (размеры) облака газа в приземном слое оцениваются консервативно по распределению концентрации в свободной невзаимодействующей с окружающим загромождением струе газа, истекающей в критическом режиме. Такой подход позволяет консервативно оценить протяженность зоны загазованности.
2. Для критических условий (М = 1 - число Маха) аварийного истечения газа из конца разорванного участка газопровода (в аварийном выходном сечении участка газопровода, индекс "Е") с учетом параметров в разрушенном газопроводе определяются следующие газодинамические параметры потока скорость uE, равная местной скорости звука aE, плотность ρE, давление pE. Данные величины могут быть рассчитаны в приложении № 7 настоящего Руководства и использоваться в данном приложении в качестве начальных параметров расчета характеристик газового облака.
3. После выходного сечения на определенном участке (в пределах нескольких диаметров трубы) при превышении статическим давлением на срезе трубы атмосферного давления происходит изоэнтропическое расширение газа с разгоном потока до сверхзвуковых скоростей (М > 1) и формированием системы скачков уплотнения (без изменения расходных характеристик в образующемся струйном течении) с потерей полного давления. В конце данного участка давление в поперечной плоскости течения (ударной плоскости) выравнивается и становится равным атмосферному. Параметры именно в этой плоскости - температура Ts, число Маха Ms, плотность ρs и диаметр эквивалентного сечения струи ds в ударной плоскости - используются при расчете процесса рассеяния струи (пункт 4).
Для определения перечисленных выше параметров в ударно-волновой плоскости (параметры с индексом "s") рекомендуется использовать методы численного моделирования, в том числе на основе решения уравнений, представленных в Руководстве по безопасности "Методика оценки последствий аварий на взрывопожароопасных химических производствах", утвержденном приказом Ростехнадзора от 20 апреля 2015 г. № 160.
4. Распределение скорости и объемной концентрации по осевой (ξ) координате на расстояниях, существенно превышающих длину участка расширения, описывается функциями:
- для струй распространяющихся в неограниченном воздушном пространстве
|
|
(1) |
- для настильных струй, распространяющихся вдоль поверхности земли;
|
|
(2) |
где ρa - плотность атмосферного воздуха, а функция φ(Ms) определяется как
|
|
(3) |
Безразмерная координата
определяется из соотношения
|
|
(4) |
5. Распределение скорости и концентрации в поперечном к оси струи направлении r задаются зависимостями
|
|
(5) |
|
|
(6) |
где
, значение c1
принимается равным 0,2 ÷ 0,25 (рекомендуется c1
= 0,22).

Рисунок 1. Параметры свободного струйного истечения природного
газа
из одного конца поврежденного газопровода
6. Пример результатов расчёта. На рисунке 1 приведены результаты расчета длины и полуширины струи, соответствующих НКПР метана, при свободном истечении при сверхкритических параметрах в неподвижную атмосферу из одного конца поврежденного МГ диаметром 1420 мм с максимальным рабочим давлением 7,5 МПа при разрыве посередине перегона между КС длиной 120 км. Из полученных результатов видно, что максимальная длина (по оси струи) зоны загазованности при выбросе из МГ большого диаметра не превышает 800 - 900 м. С учетом того, что при независимом выбросе струй из двух концов участка разрыва они будут ориентированы вдоль исходной оси МГ с возможным отклонением от нее (по оценкам) не более чем на 15 - 20°, потенциально опасная (воспламеняемая) зона загазованности не выходит за пределы нормативных разрывов между МГ и населенными пунктами.
Описанный выше подход позволяет оценить лишь протяженность максимальных зон загазованности (консервативный подход). Для более точного расчета реальных ситуаций, связанных с образованием зон загазованности, и определения реалистичных зон поражения необходимо использовать подходы, учитывающие нестационарность процессов, взаимодействие струй друг с другом, с землей и с загроможденным окружающим пространством. С этой целью рекомендуется использовать методы численного моделирования, в том числе на основе решения уравнений, представленных в Руководстве по безопасности "Методика оценки последствий аварий на взрывопожароопасных химических производствах", утвержденном приказом Ростехнадзора от 20 апреля 2015 г. № 160.
к Руководству по безопасности "Методика
оценки риска аварий на опасных производственных
объектах магистрального трубопроводного
транспорта газа", утвержденному приказом
Федеральной службы по экологическому,
технологическому и атомному надзору
от 26 декабря 2018 г. № 647
1. При расчётах теплового излучения в качестве основных сценариев горения газа при разрывах газопроводов, определяющих формы пламени пожара (формы факела), рекомендуется принимать:
- горение невзаимодействующих настильных (слабо наклонных к горизонту) двух (или одной) струй газа, истекающих в сверхкритических режимах в противоположных направлениях из разведенных (относительно исходного положения) концов разрушенного газопровода (группа сценариев - "Струевое пламя");
- горение газового шлейфа, образующегося при встречном газодинамическом взаимодействии двух потоков газа, истекающих со звуковой скоростью из концов поврежденного участка газопровода и с ориентацией интегрального, относительно низкоскоростного, потока, близкой к вертикальной (группа сценариев - "Пожар в котловане").
2. Расчет радиационного теплового воздействия (удельного теплового потока q(x,y)) на прилегающие к факелу объекты (в точках территории с координатами (x,y) проводится по формуле
|
q(x,y) = Ef · v · φmax(x,y), |
(1) |
где v - коэффициент поглощения излучения атмосферой.
Ef - интенсивность излучения с единицы поверхности пламени, кВт/м2, составляющая
где Sф - площадь излучающей поверхности, м2 (определяется, как сумма площадей верхней и боковой поверхностей цилиндра/наклонного цилиндра/конуса, соответствующих поверхностям горения очага);
Qизл - поток теплового излучения, определяемый как часть общего тепловыделения факела (Qф), кВт/м2,
где
- коэффициент
излучения в окружающее пространство, зависящий от динамики смешения газа с
воздухом.
Коэффициент поглощения излучения атмосферой (в основном парами воды) определяется как
|
v = a - 0,12lg(r), |
(4) |
где r - расстояние от источника до облучаемого объекта, м;
а - коэффициент, зависящий от относительной влажности воздуха w %, определяется по таблице № 1.
Таблица № 1
Значения коэффициента "а"
|
Относительная влажность воздуха w |
0,2 |
0,5 |
1,0 |
|
Коэффициент "а" |
1,0 |
0,96 |
0,92 |
Относительная влажность воздуха w определяется из метеорологических данных.
3. Угловой коэффициент облучения φ(x,y) является геометрической характеристикой, зависящей от взаимного расположения и формы поверхностей источника излучения и объекта. Угловой коэффициент облучения единичной площадки F2 от факела с видимой поверхностью F1 имеет следующий вид
где F1 - излучающая поверхность факела, видимая со стороны облучаемой площадки;
β1 - угол между нормалью к поверхности факела F1 и направлением на облучаемую площадку F2;
β2 - угол между нормалью к облучаемой площадке F2 и направлением на излучающую поверхность факела F1;
r - расстояние между поверхностью факела F1 и облучаемой площадкой F2.
Приближенное значение интеграла (5), т.е. значения φ(x,y) в конкретной точке территории с координатами (x,y), вычисляется численными методами при предварительном разбиении поверхности факела на элементарные площадки ΔFij (рисунок 1) по формуле
где fij - подинтегральная функция, вычисляемая для каждой элементарной площадки ΔFij, расположенной на поверхности факела по формуле
|
|
(7) |

Рисунок 1. Схема (пример) аппроксимации усеченного конуса
пламени факела усеченной пирамидой
При этом рекомендуется использовать аппроксимацию поверхности пламени следующими приближениями:
приближение лежащим полуцилиндром;
приближение прямым или наклонным цилиндром;
приближение усеченным конусом.
Рекомендуемые к использованию при расчете аналитические выражения коэффициента φ для указанных форм факела при расчётах q(x,y) приведены в пунктах 4, 5 настоящего приложения.
4. Расчет геометрических размеров пламени и теплового излучения при горении газа по сценариям из группы "Пожар в котловане"
Для сценариев указанной группы пламя пожара моделируется в виде цилиндрического твердого теплового излучателя, вертикального или наклонного (рисунок 2).

Рисунок 2. Схематическое представление пламени пожара на
газопроводе при
сценариях из группы "Пожар в котловане" в виде вертикального цилиндра
Геометрические параметры пламени (длина (высота) цилиндра пламени Lф(ц), м, эффективный диаметр очага пожара Dэф(ц), м) определяются путем решения следующей системы уравнений относительно переменных Lф(ц) и Dэф(ц)
|
|
|
|
|
(8) |
|
Qф = GQнт, |
|
где Qф - общее тепловыделение пожара, кВт;
Qнт - низшая теплота сгорания метана, кДж/кг;
G, кг/c - суммарный массовый расход газа при его аварийном истечении из двух концов разрушенного газопровода на заданный момент времени τ (отсчет времени - от момента разрушения газопровода) или его осредненное значение за заданный промежуток времени Δτ.
Коэффициент излучения струевого пламени принимается
≈ 0,25. Значение удельной
интенсивности излучения пламени Ef
при сценариях группы "Пожар в котловане" не может превышать 120 кВт/м2.
Если расчеты по формуле (4) дают более
высокие значения Ef, то для
последующих оценок теплового излучения, воспринимаемого объектом-приемником,
используют максимально возможное значение Ef
= 120 кВт/м2.
Угловые коэффициенты облучения от пламени в общем случае в виде наклонного цилиндра (рисунок 3) для вертикальной φв и горизонтальной φг единичных площадок на поверхности грунта на удалении х в направлении по ветру и перпендикулярно направлению ветра от центра нижней поверхности цилиндра рассчитываются по формулам (9а, б, в, г).

Рисунок 3. Модель излучателя в виде наклонного цилиндра
Формулы для угловых коэффициентов облучения от наклонного цилиндра в направлении ветра:
|
|
(9а) |
|
|
(9б) |
Формулы для излучения от наклонного цилиндра в направлении, перпендикулярном ветру:
|
|
(9в) |
|
|
(9г) |
|
|
|
где θ - угол отклонения оси пламени (цилиндра) от вертикали под действием ветра, рассчитываемый по формуле
где
;
- средняя в пределах высоты пламени
скорость ветра, м/с;
m - массовая скорость поступления топлива в зону реакции с единицы поверхности очага горения, кг/м2·с;
ρ - плотность паров топлива при температуре поверхности раздела фаз (можно принимать равной плотности газа при нормальных условиях), кг/м3;
g - ускорение силы тяжести, м/с2;
Dэф - эффективный (видимый) диаметр очага горения, м.
Для других углов расположения площадок (не по направлению ветра, как в формулах 9 а - б, и не перпендикулярно ветру, как в формулах 9 в - г) значения φв и φг рассчитываются численным интегрированием по формуле (5).
Значения φв и φг при θ = 0 можно получить как частный случай общего решения.
Расчет величины φmax =
для различных значений θ
(с подветренной и наветренной стороны) и характерного отношения Lф/Dэф
= 3 показан на рисунке 4.

Рисунок 4. Угловой коэффициент облучения единичной площадки на
уровне
поверхности земли от наклонного цилиндра (Rэк = Dэф/2)
В тех случаях, когда необходимо рассчитать тепловое воздействие пламени не на поверхность грунта, например, на стену или крышу здания, необходимо учитывать эффект оптического затенения. Для случая, показанного на рисунке 4, соответствующий коэффициент облучения для горизонтальных площадок крыши, например для точки В, рассчитывается как:
φг = φ(L+2).
Для вертикальных поверхностей стены (например, узла сопряжения с крышей)
Φd = φ(L+2) + φ(L-1).
Верхние индексы (+ и -) означают соответственно наклон пламени в сторону единичной площадки и от нее.
5. Расчет геометрических размеров пламени и теплового излучения при горении газа по сценариям из группы "Струевое пламя"
При расчёте принимается:
- длина видимои части пламени (
) настильной (прилегающей к земле)
струи увеличивается на 20 - 25 % по сравнению с длиной свободного пламени;
- на поздних стадиях горения концевая часть настильного
факела (
) имеет выраженное отклонение вверх,
сгорает в виде отдельных языков пламени (рисунок 5) и вносит относительно
незначительный вклад в общее излучение тепла от факела в окружающее
пространство;
- начальный ("слабосветящийся") участок факела
длиной
также оказывает незначительное влияние
на характеристики теплового излучения;
для сценариев группы "Струевое пламя" факел моделируется как твердый тепловой излучатель в виде приподнятого или лежачего усеченного наклонного конуса (рисунок 6).

Рисунок 5. Встречное струевое горение. Излучающая поверхность
пламени
представляется в виде конусов

Рисунок 6. Схематическое представление струевого пламени при
сценариях
из группы "Струевое пламя" (показана одна струя)
Общая длина струи определяется по формуле (13) (с учетом заданной интенсивности истечения G1 (или G2))
где
- диаметр аварийного газопровода;
Отрыв факела пламени от среза разорванной трубы (отверстия) h, м, определяется по формуле
|
h
= 0,2 |
(12) |
Длина видимой части пламени RL, м, определяется по формуле
|
RL = |
(13) |
При моделировании струи в виде усеченного конуса ширина малого основания W1, м, определяется по формуле
|
|
(14) |
где ρs и ρE - плотности газа соответственно в ударной плоскости и в критическом сечении, рассчитанные по приложению № 9, кг/м3.
Ширина большого основания усеченного конуса W2, м, определяется по формуле
|
W2
= 0,26 |
(15) |
При моделировании струи в виде цилиндра (на ранней стадии истечения) ширина основания W0, м, определяется по формуле
|
W2 = 0,15 |
(16) |
Общая длина настильной струи (т.е. горизонтальной струи с источником выброса на уровне земли) рассчитывается по формуле
|
|
(17) |
Остальные геометрические размеры настильной струи рассчитываются по формулам (14) - (18).
Коэффициент излучения струевого пламени принимается
= 0,25. Это консервативная оценка без
учета процессов, ослабляющих излучение при интенсивных смешении с воздухом в
струе.
При необходимости уточнения величины
рекомендуется использовать следующую
формулу
= 0,21exp(-0,00322uстр) + 0,11, где uстр
- скорость достигаемая в струе после ее расширения до давления окружающей среды
1 атм. Величина uстр рассчитывается в
соответствии с приложением № 9
настоящего Руководства.
Значение удельной интенсивности излучения пламени Ef при таком горении не может превышать 200 кВт/м2. Если расчеты по формуле (2) дают более высокие значения Ef, то для последующих оценок теплового излучения, воспринимаемого объектом-приемником, следует использовать максимально возможное значение Ef = 200 кВт/м2.
В общем случае угловые коэффициенты облучения от пламени при струйном горении рассчитываются численными методами. Исключение составляют факелы настильных струй на ранней стадии (аппроксимируются излучателями в виде лежачих полуцилиндров) и пламя вертикальной струи на поздних стадиях горения (аппроксимируется излучателем в виде усеченного вертикально стоящего конуса).
Угловой коэффициент φ для одиночного настильного факела может быть рассчитан аналитически, если принять, что излучающая поверхность факела аппроксимируется боковой поверхностью полуцилиндра, лежащего на поверхности земли с характерной длиной 0,2Lmax ≤ x ≤ 0,8Lmax и диаметром D ≈ 0,15Lmax, где Lmax =1,25Lф. При консервативных оценках длина полуцилиндра принимается равной 1,25Lф. В этом случае форма пламени имеет вид лежащего на земле полуцилиндра, который имеет три излучающие поверхности: две концевых поверхности, через которые проходит ось цилиндра, SC1 и SC2, и боковую поверхность S3 (рисунок 7). Вблизи места аварии размещаются два полуцилиндра, каждый из них аппроксимирует тепловое излучение от соответствующего пламени факела.

Рисунок 7. Модель излучателя в виде двух полуцилиндров
Расчет угловых коэффициентов излучения проводится для точек поверхности земли, расположенных на лучах Л1 … Л6 от боковой поверхности пламени, на лучах и ЛC1 и ЛC2 от торцевых поверхностей цилиндра. Лучи Л1, Л3, Л4 и Л6 проводятся по нормали к оси цилиндра через боковую поверхность цилиндра, лучи Л2 и Л5 - по нормали к оси цилиндра на половине его длины. Лучи ЛC1 и ЛC2 проводятся по оси цилиндра в направлении от торцевых поверхностей, начало этих лучей лежит на торцевых поверхностях цилиндра.
Для лучей Л1 … Л6 угловой коэффициент излучения от лежащего полуцилиндра для вертикально ориентированных площадок-приемников излучения φв и для горизонтально расположенных площадок формулам φг ,расположенных на поверхности грунта, рассчитывается по формулам
где Rэкв -
эффективный радиус факела пламени, определяется по формуле Rэкв
=
- расстояние по горизонтали от оси
цилиндра до приемника излучения, м;
Lф1 - длина полуцилиндра пламени с одной стороны от луча, проведенного по нормали к оси цилиндра, м;
Lф2 - длина полуцилиндра пламени с другой стороны от луча, проведенного по нормали к оси цилиндра, м.
Для лучей ЛС1 и ЛС2 расчет угловых коэффициентов излучения при x > Rэкв проводится по формуле (полуокружность для точек, лежащих на оси)
В силу симметрии течения расчеты проводят только для точек расположенных на лучах Л1, Л2 и ЛС1. Для луча Л1 Lф1 = 0 и Lф2 = 0,8LВ. Для луча Л2 Lф1 = Lф2 = 0,4LВ. Результаты, полученные для луча Л1 переносят на лучи Л3, Л4 и Л6; результаты для луча Л2 - на луч Л5; результаты для луча ЛС1 - на луч ЛС2.
На поверхности земли под нижней поверхностью полуцилиндра предполагается прямой огневой контакт с пламенем при тепловых нагрузках на поверхность объектов не менее 200 кВт/м2.
Расчет угловых коэффициентов от второго настильного факела и дальнейший расчет тепловых потоков в противоположном направлении от места разрыва газопровода строится аналогичным способом.
к Руководству по безопасности "Методика
оценки риска аварий на опасных производственных
объектах магистрального трубопроводного
транспорта газа", утвержденному приказом
Федеральной службы по экологическому,
технологическому и атомному надзору
от 26 декабря 2018 г. № 647
1. К критериям и пробит-функциям поражающего воздействия на человека относятся:
напорное воздействие струи газа;
воздействие ВУВ и ВВС на человека.
1.1. При анализе воздействий напорного струевого, ВУВ и ВВС на человека и установлении соответствующего критерия поражения в настоящем Руководстве учитывается только один из ряда действующих на человека негативных факторов ВУВ (ВВС) - эффект, обусловленный метательным действием, приводящий к летальному исходу при падении человека на землю. Другие эффекты (повреждения легких, барабанных перепонок, введение человека в состояние нокдауна), действующие одновременно с метанием человека, но имеющие при этом меньшие масштабы воздействия, не учитываются.
1.2. Выражение для пробит-функции гибели человека вследствие его метания имеет вид
а) при воздействии ВУВ (ВВС)
|
|
(1) |
где ΔPф - избыточное давление на фронте ВУВ (ВВС), Па;
I - импульс, Па·с.
б) при напорном воздействии струи
|
Pr2 = - 2,54 + 2,14ln(Umax), |
(2) |
Umax - скорость разгона человека в потоке, м/с.
1.3. Воздействие осколков на человека.
При анализе воздействия осколков (фрагментов газопровода, сосуда под давлением) на человека в настоящем Руководстве учитывается только вероятность попадания осколка в человека. Вследствие того, что при авариях на ОПО газовой промышленности масса осколков в большинстве случаев превышает сотни кг, принимается, что в случае попадания осколка в человека он гибнет. Расчет условной вероятности попадания осколка в человека при моделировании тела человека вертикально расположенным цилиндром высотой 1,8 метра и радиусом основания 0,3 метра осуществляется в соответствии с приложением № 8 к настоящему Руководству.
1.4. Воздействие тепловой радиации от пожара на человека.
1.4.1. Критерием термического поражающего воздействия является значение накопленной дозы тепловой радиации Dчел ((кВт/м2)4/3·c), на основе которого определяется условная вероятность гибели человека через соответствующую пробит-функцию (см. пункт 1.4.2 настоящего приложения). Величина Dчел вычисляется по формуле:
|
|
(3) |
где q0 - значение теплового потока в месте начального расположения человека, кВт/м2;
qi - среднее значение теплового потока (кВт/м2) за период времени Δτi (с) (см. ниже), воздействующего на человека в процессе его движения, n - число шагов расчетной сетки). Значение промежутка времени Δτi, фигурирующего в формуле (3), определяется значением шага расчетной сетки ΔL, задаваемой в окрестностях точки разрыва газопровода на плоскости поверхности земли
|
Δτi = ΔL / vчел, |
(4) |
1.4.2. Пробит-функции гибели человека при термическом поражении имеют вид:
|
Pr3 = -14,9 + 2,56ln(Dчел). |
(5) |
1.4.3 Доза тепловой радиации Dчел рассчитывается с учетом следующих принятых допущений:
при возникновении пожара в условиях плотной застройки или наличия естественных укрытий человек принимает решение двигаться в сторону ближайшего здания/укрытия, достигает здания/укрытия и пережидает наиболее активную фазу аварии, покидая укрытие только после достижения тепловым потоком безопасных значений. При этом принимается, что время теплового воздействия на человека (время на принятие решения и достижения укрытия) составляет 20 сек.;
при возникновении пожара в условиях открытого пространства человек не остается на месте, а после 5-секундной задержки покидает опасную зону со средней скоростью vчел, м/с (рекомендуется принимать vчел = 5 м/с), начиная свое движение из точки М (x = xнач, y = yнач), соответствующей положению человека в момент начала воздействия на него тепловой радиации по направлению от очага аварии (рисунок 1).

Рисунок 1. Схема покидания человеком опасной зоны
Координаты точки М определяются в декартовой системе координат с началом в точке О (х = 0, у = 0), соответствующей месту возникновения аварии. При этом направление оси X системы координат на рисунке 1 определяется направлением движения человека из опасной зоны.
Накопление дозы тепловой радиации Dчел прекращается при достижении человеком зоны с интенсивностью теплового потока менее 4 кВт/м2 (безопасное значение плотности теплового потока).
2. Критерии поражающего воздействия на здания, сооружения, неподвижные транспортные средства.
2.1. Воздействие воздушной ударной волны и напорное воздействие газовой струи на здания, сооружения, неподвижные транспортные средства.
2.1.1. Критерием поражающего воздействия ВУВ (барического воздействия) на здания, сооружения, транспортные средства является значение давления ΔPф на фронте ВУВ. При этом установленным диапазонам значений ΔPф соответствуют различные степени повреждения kповр-зд зданий, сооружений, транспортных средств (слабое повреждение - kповр-зд = 0,1; среднее повреждение - kповр-зд = 0,4; сильное повреждение - kповр-зд = 0,7; полное разрушение - kповр-зд = 1,0). Значение kповр-зд отождествляется с отношением стоимости поврежденной части здания (сооружения, транспортного средства) к общей его стоимости (таблица № 1).
Пороговые значения ΔPф (Па), соответствующие различным степеням повреждения зданий, сооружений, транспортных средств различных видов
|
Наименование здания/сооружения |
ΔPф для степеней повреждения, Па |
|||
|
слабое повреждение, kповр-зд = 0,1 |
среднее повреждение, kповр-зд = 0,4 |
сильное повреждение, kповр-зд = 0,7 |
полное разрушение к kповр-зд = 1 |
|
|
Промышленные, административные и жилые здания |
||||
|
1 Промышленные здания с тяжелым металлическим или железобетонным каркасом |
2·104 - 3·104 |
3·104 - 4·104 |
4·104 - 5·104 |
> 5·104 |
|
2 Промышленные здания с легким каркасом и бескаркасной конструкции |
104 - 2·104 |
2,5·104 - 3,5·104 |
3,5·104 - 4,5·104 |
> 4,5·104 |
|
3 Бетонные и железобетонные здания и здания антисейсмической конструкции. |
2,5·104 - 3,5·104 |
8·104 - 1,2·105 |
1,5·105 - 2·105 |
> 2·105 |
|
4 Тепловые электростанции |
1,5·104 - 2,5·104 |
2,5·104 - 3,5·1041 |
3,5·104 - 4,5·104 |
> 4,5·104 |
|
5 Складские кирпичные здания |
104 - 2·104 |
2·104 - 3·104 |
3·104 - 4·104 |
> 4·104 |
|
6 Одноэтажные складские помещения с металлическим каркасом и стеновым заполнением из листового металла |
5·103 - 7·103 |
7·103 - 104 |
104 - 1,5·104 |
> 1,5·104 |
|
7 То же, с крышей и стеновым заполнением из волнистой стали |
7·103 - 104 |
104 - 1,5·104 |
1,5·104 - 2,5·104 |
> 2,5·104 |
|
8 Кирпичные многоэтажные здания (три этажа и более) |
8·103 - 1,2·104 |
1,2·104 - 2·104 |
2·104 - 3·104 |
> 3·104 |
|
9 Кирпичные малоэтажные здания (один - два этажа) |
8·103 - 1,5·104 |
1,5·104 - 2,5·104 |
2,5·104 - 3,5·104 |
> 3,5·104 |
|
10 Деревянные дома |
6·103 - 8·103 |
8·103 - 1,2·104 |
1,2·104 - 2·104 |
> 2·104 |
|
11 Разрушение обычного остекления жилых и промышленных зданий |
5·102 - 103 |
103 - 2,0·103 |
2,0·103 - 4·103 |
> 4·103 |
|
12 Разрушение остекления из армированного стекла |
103 -1,5·103 |
1,5·103 - 2·103 |
2·103 - 5·103 |
> 5·103 |
|
Здания и сооружения компрессорных станций |
||||
|
13 Укрытия и блок-контейнеры ГПА (с легким каркасом со стенами типа "сэндвич") |
104 - 2·104 |
2,5·104 - 3,5·104 |
3,5·104 - 4,5·104 |
> 4,5·104 |
|
14 Компрессорный цех в капитальном кирпичном или блочном здании |
2·104 - 3·104 |
3·104 - 4·104 |
4·104 - 5·104 |
> 5·104 |
|
15 Здание производственно-энергетического блока, здание служебного ремонтно-эксплуатационного блока |
|
|
|
|
|
- кирпичное малоэтажное здание |
8·103 - 1,5·104 |
1,5·104 - 2,5·104 |
2,5·104 - 3,5·104 |
3,5·104 - 4,5·104 |
|
- блочное с легким каркасом со стенами типа "сэндвич") |
1·104 - 2·104 |
2,5·104 - 3,5·104 |
3,5·104 - 4,5·104 |
5·104 |
|
16 Электростанция собственных нужд |
104 - 3·104 |
3·104 - 4·104 |
4·104 - 5·104 |
> 5·104 |
|
17 ГРС, насосные станции ГСМ и водоснабжения, будки КИПиА |
104 - 2·104 |
2·104 - 3·104 |
3·104 - 4·104 |
> 4·104 |
|
18 Блок-боксы |
5·103 - 104 |
104 - 2·104 |
2·104 - 3·104 |
> 3·104 |
|
Электрические сети |
||||
|
19 Кабельные подземные линии |
5·105 - 7·105 |
7·105 - 106 |
106 - 1,5·106 |
> 1,5·106 |
|
20 Воздушные линии высокого напряжения |
3·104 - 5·104 |
5·104 - 7·104 |
8·104 - 1,2·105 |
> 1,2·105 |
|
21 Воздушные линии низкого напряжения на деревянных опорах |
2·104 - 4·104 |
4·104 - 6·104 |
6·104 - 105 |
> 105 |
|
Средства связи |
||||
|
22 Автомобильные радиостанции |
1,5·104 - 2·104 |
2·104 - 3·104 |
4,5·104 - 5,5·104 |
5,5·104 |
|
23 Переносные радиостанции |
105 |
1,1·105 -1,3·105 |
> 1,3·105 |
> 1,3·105 |
|
24 Радиорелейные линии и стационарные воздушные линии связи |
3·104 |
5·104 - 7·104 |
> 7·104 |
> 7·104 |
|
25 Телефонотелеграфная аппаратура |
5·104 |
6·104 - 9·104 |
> 9·104 |
> 9·104 |
|
26 Постоянные воздушные линии связи |
6·104 |
7·104 - 9·104 |
> 9·104 |
> 9·104 |
|
27 Кабельные наземные линии |
4·104 |
4,5·104 - 5,5·104 |
> 5,5·104 |
> 5,5·104 |
|
28 Антенные устройства |
1·104 - 2·104 |
2·104 - 3·104 |
4·104 |
4·104 |
|
Автомобильные и железные дороги |
||||
|
29 Автодороги с асфальтовым и бетонным покрытием |
3·105 - 4·105 |
4·105 - 1,5·106 |
1,5·106 - 2·106 |
> 2·106 |
|
30 Железнодорожные пути |
1·105 - 2·105 |
2·105 - 3·105 |
3·105 - 5·105 |
> 5·105 |
|
Транспортные средства |
||||
|
31 Подвижной железнодорожный состав и энергопоезда |
2·104 - 4·104 |
4·104 - 7·104 |
6·104 - 9·104 |
> 9·104 |
|
32 Тепловозы и электровозы |
5·104 - 7·104 |
7·104 - 105 |
105 - 1,5·105 |
> 1,5·105 |
|
33 Грузовые автомобили и автоцистерны |
2·104 - 4·104 |
4·104 - 5·104 |
5·104 - 6·104 |
> 6·104 |
|
34 Легковые автомобили, автобусы и специальные машины с кузовами автобусного типа |
1,5·104 - 2·104 |
2·104 - 3·104 |
3·104 - 5·104 |
> 5·104 |
|
35 Транспортные суда |
3·104 - 6·104 |
6·104 - 8·104 |
8·104 - 105 |
> 105 |
|
36 Экскаваторы, автогрейдеры |
2·104 - 3·104 |
3·104 - 5·104 |
5·104 - 6·104 |
> 6·104 |
|
37 Гусеничные тягачи и тракторы |
3·104 - 4·104 |
5·104 - 7·104 |
7·104 - 8·104 |
> 8·104 |
|
38 Транспортные поршневые самолеты связи и вертолеты |
7·103 - 8·103 |
8·103 - 104 |
104 - 1,8·104 |
> 1,8·104 |
2.1.2 Критерием поражающего воздействия газовой струи на объекты инфраструктуры является значение избыточного давления ΔP (Па) в струе. Нижние пороговые значения ΔP (Па), соответствующие различным степеням повреждения kповр-зд объектов инфраструктуры приведены в таблице № 1а настоящего приложения.
Нижние пороговые значения ΔРф (Па), соответствующие различным степеням повреждения объектов инфраструктуры различных видов от динамического воздействия газовой струи
|
Наименование оборудования |
ΔPф для степеней повреждения, Па |
|||
|
слабое повреждение, kповр-зд = 0,1 |
среднее повреждение, kповр-зд = 0,4 |
сильное повреждение, kповр-зд = 0,7 |
полное разрушение к kповр-зд = 1 |
|
|
Сооружения и оборудование на объектах газовой промышленности |
||||
|
1 Промышленные здания |
5,5·102 |
9,9·102 |
1,9·103 |
> 3,4·103 |
|
2 Кирпичные малоэтажные здания |
3,1·102 |
|
1,5·103 |
> 3,2·103 |
|
3 Воздушные ЛЭП |
4,65·102 |
7,5·102 |
1,4·103 |
> 2,8·103 |
|
4 Резервуары |
5,5·102 |
9,9·102 |
1,5·103 |
> 2,2·103 |
|
5 Трансформаторные подстанции |
9,9·102 |
2,2·103 |
4,15·103 |
> 6,1·103 |
|
6 Трубопроводы наземные |
3·103 |
3,9·103 |
5,0·103 |
> 6,1·103 |
2.2. Воздействие осколков на здания, сооружения, неподвижные транспортные средства.
Критерием поражающего воздействия на здания, сооружения и транспортные средства является параметр Моск характеризующий отношение масс осколка и массы объекта: здания, сооружения или транспортного средства
|
Моск = mоск / mобъект, |
(6) |
где mоск - масса осколка в кг,
mобъект - масса объекта в кг.
При этом установленным пороговым диапазонам значений Моск соответствуют различные степени повреждения kповр-зд зданий или сооружений. Значение kповр-зд отождествляется с отношением стоимости поврежденной части здания (сооружения, транспортного средства) к общей его стоимости - таблица № 2.
Пороговые значения Моск, соответствующие различным степеням повреждения зданий, сооружений, транспортных средств различных видов
|
Моск = mоск / mобъект |
0,001 - 0,01 |
0,01 - 0,05 |
0,05 - 0,1 |
> 0,1 |
|
Степень повреждения |
слабое повреждение, kповр-зд = 0,1 |
среднее повреждение, kповр-зд = 0,4 |
сильное повреждение, kповр-зд = 0,7 |
полное разрушение к kповр-зд = 1 |
2.3.1. Критерием теплового поражающего воздействия на здания, сооружения, транспортные средства является значение удельного теплового потока q (кВт/м2).
При этом степень повреждения зданий и сооружений определяется по формуле
|
kповр-зд = kпор-зд · Pвозг, |
(7) |
где kпор-зд - степень поражения здания, сооружения, транспортного средства при условии его возгорания (определяется по таблице № 3 настоящего приложения);
Pвозг - вероятность возгорания материалов (по группам воспламеняемости, согласно ГОСТ 30402-96 "Материалы строительные. Метод испытания на воспламеняемость", введенного в действие с 1 июля 1996 г. постановлением Минстроя России от 24 июня 1996 г. № 18-40), зданий, сооружений, транспортных средств, подвергаемых тепловому воздействию (определяется по таблице № 4 настоящего приложения).
2.3.2. Степень поражения kпор-зд здания, сооружения, транспортного средства определяется типом (по уровню пожарной нагрузки) объекта, и значением воздействующего на объект теплового потока, как показано в таблице № 3 настоящего приложения.
Зависимость степени поражения здания сооружения, транспортного средства (при условии их возгорания) от воздействующего на них удельного теплового потока и типа по пожарной нагрузке
|
Значение воздействующего удельного теплового потока, кВт / м |
Степени поражения kпор-зд зданий, сооружений, транспортных средств при условии их возгорания |
||
|
Тип объекта по уровню пожарной нагрузки |
|||
|
Офисные и жилые здания, грузовики и трейлеры с тентами из горючих материалов (высокая пожарная нагрузка) |
Вспомогательные производственные здания, транспортные средства (средняя пожарная нагрузка) |
Основные производственные здания и цеха с минимумом горючих материалов, автодороги, железные дороги, металлические наружные конструкции (низкая пожарная нагрузка) |
|
|
Менее 20 |
1,0 |
0,1 |
0 |
|
от 20 включительно до 25 |
1,0 |
0,4 |
0,1 |
|
от 25 включительно до 30 |
0,7 |
||
|
от 30 включительно до 35 |
1,0 |
||
|
Свыше 35 |
1,0 |
1,0 |
1,0 |
2.3.3. Вероятность Pвозг возгорания материалов, из которых построено (изготовлено) здание сооружение, транспортное средство, определяется группой воспламеняемости материала (по ГОСТ 30402-96 "Материалы строительные. Метод испытания на воспламеняемость", введенный в действие с 1 июля 1996 г. постановлением Минстроя России от 24 июня 1996 г. № 18-40) и значением воздействующего на объект теплового потока, как показано в таблице № 4 настоящего приложения.
Группу воспламеняемости материала объекта следует определять по тем внешних элементам объекта, которые изготовлены из горючих материалов (для зданий - кровля, оконные рамы; для транспортных средств - тент кузова, деревянные, пластиковые, тканевые элементы, окрашенные поверхности).
Зависимость вероятности возгорания материалов от группы воспламеняемости и воздействующего теплового потока
|
Значение теплового потока, кВт/м2 |
Вероятность Рвозг возгорания материалов зданий, сооружений, транспортных средств |
||
|
Группа В3 |
Группа В2 |
Группа В1 |
|
|
Менее 20 |
1 |
0 |
0 |
|
от 20 включительно до 25 |
1 |
1 |
0 |
|
от 25 включительно до 30 |
1 |
||
|
от 30 включительно до 35 |
1 |
||
|
Свыше 35 включительно |
1 |
1 |
1 |
3. Критерии поражающего воздействия на технологическое оборудование, наружные установки.
3.1.1. Критерием поражающего воздействия ВУВ на технологическое оборудование, наружные установки является значение избыточного давления ΔРф (Па) на фронте ВУВ. При этом установленным пороговым диапазонам значений ΔРф (Па) соответствуют различные степени повреждения kповр-зд технологического оборудования и наружных установок (слабое повреждение - kповр-об = 0,1; среднее повреждение - kповр-об = 0,4; сильное повреждение kповр-об = 0,7; полное разрушение - kповр-об = 1,0). Значение kповр-об отождествляется с отношением стоимости поврежденной части технологического оборудования или наружной установки к общей стоимости оборудования (установки) - (таблица № 5 настоящего приложения).
Пороговые значения ΔРф (Па), соответствующие различным степеням повреждения технологического оборудования или наружных установок различных видов
|
Наименование оборудования |
ΔРф для степеней повреждения, Па |
|||
|
слабое повреждение, kповр-об = 0,1 |
среднее повреждение, kповр-об = 0,4 |
сильное повреждение, kповр-об = 0,7 |
полное разрушение к kповр-об = 1 |
|
|
Сооружения и оборудование на объектах газовой промышленности |
||||
|
1 Газопровод подземный |
3·105 |
7·105 |
1,2·106 |
> 1,5·106 |
|
2 Газопровод наземный в обваловании |
1,5·105 |
3·105 |
5·105 |
> 5·105 |
|
3 Газопровод надземный |
5·103 - 104 |
3·104 |
5·104 |
> 5·104 |
|
4 Балочные висячие, арочные переходы через естественные препятствия и инженерные коммуникации |
5·103 - 104 |
104 - 2·104 |
2,5·104 |
> 2,5·105 |
|
5 Линейные крановые узлы и узлы запуска и приема очистных устройств |
2·105 |
3·105 |
106 |
> 106 |
|
6 Вертикальные аппараты (абсорберы, сепараторы, реакторы, скрубберы и т.п.): |
|
|
|
|
|
- колонны высотой до 25 м |
3·104 - 4·104 |
4·104 - 5·104 |
5·104 - 6·104 |
>6·104 |
|
7 Пылеуловители |
5·103 - 104 |
104 - 2·104 |
2·104 - 3·104 |
> 3·104 |
|
8 Пункт редуцирования газа |
5·103 - 104 |
104 - 2·104 |
2·104 - 3·104 |
> 3·104 |
|
9 Трубопроводы газовой обвязки |
5·103 - 104 |
104 - 2·104 |
2·104 - 3·104 |
> 3·104- |
|
10 Холодильники, теплообменные аппараты: |
|
|
|
|
|
- на нулевой отметке |
2·104-4·1 |
04·104 - 5·1 |
5·104 - 105 |
> 105 |
|
- на этажерках |
5·103 -104 |
104 - 3·104 |
3·104 - 5·104 |
> 5·104 |
|
11 Компрессорные, котельные, регуляторные, насосные станции в кирпичных зданиях |
8·103 - 1,5·104 |
1,5·104 - 2,5·104 |
2,5·104 - 3,5·104 |
> 4·104 |
|
12 Насосы, открытые компрессоры |
3·104 |
3·104 - 7·104 |
7·104 - 1,3·105 |
> 1,3·105 |
3.1.2. Критерием поражающего воздействия газовой струи на технологическое оборудование, наружные установки является значение избыточного давления ΔР (Па) в струе. Нижние пороговые значения ΔР (Па), соответствующие различным степеням повреждения kповр-зд технологического оборудования и наружных установок в числе объектов инфраструктуры приведены в пункте 2.1.2 настоящего приложения.
3.2. Воздействие осколков на технологическое оборудование, наружные установки.
При анализе воздействия осколков (фрагментов газопровода, сосуда под давлением) на технологическое оборудование с газом (или другим опасным веществом) под давлением в настоящем Руководстве учитывается только вероятность попадания осколка (фрагмента) в установку, аппарат или иной вид оборудования. Вследствие того, что при авариях на ОПО газовой промышленности масса осколков в большинстве случаев превышает сотни (тысячи) килограммов, принимается, что при попадании осколка в аппарат или установку, находящиеся под давлением, они полностью уничтожаются, причем, главным образом, за счет разрушительных эффектов, связанных с их разгерметизацией в результате попадания осколка.
3.3. Воздействие тепловой радиации от пожара на технологическое оборудование, наружные установки.
3.3.1. Критерием термического поражающего воздействия на технологическое оборудование и наружные установки является значение поглощенной дозы тепловой радиации, вычисляемой по формуле
|
Dобор = qобτ, |
(8) |
где qоб - величина теплового потока на единицу площади, кВт/м2;
τ - длительность теплового воздействия, с.
3.3.2. Зависимость степени повреждения оборудования kповр-об от дозы поглощенной тепловой радиации Dобор имеет вид
где Dпор - пороговое значение дозы поглощенной тепловой радиации (кДж/м2) ниже которого оборудование получает только слабые повреждения (kповр-об = 0,1);
Dгиб - значение дозы поглощенной тепловой радиации (кДж/м2), выше которого оборудование считается полностью разрушенным.
Значения Dпор и Dгиб для различных типов оборудования приведены в таблице № 6 настоящего приложения.
Значения Dпор и Dгиб для оборудования разных классов чувствительности к воздействию тепловой радиации
|
Класс чувствительности оборудования |
Тип оборудования |
Dпор, кДж/м2 |
Dгиб, кДж/м2 |
|
I (высокочувствительное) |
ГПА в исполнении без блок-контейнера и индивидуального укрытия, ТДА, открытые блоки подготовки топливного, пускового и импульсного газов, открытые электростанции на собственные нужды, оборудование ПЭБ, ГЩУ и другое расположенное вне укрытия сложное вспомогательное оборудование |
5000 |
10000 |
|
II (средней чувствительности) |
ГПА в блок-контейнерах и индивидуальных укрытиях, АВО, сепараторы, пылеуловители, блоки подготовки топливного, пускового и импульсного газов и электростанции на собственные нужды в укрытиях, незащищенные крановые узлы, шкафы ЭХЗ, КПТМ, опоры ЛЭП и другое незащищенное технологическое оборудование с фланцевыми соединениями с чувствительными к нагреву материалами-уплотнителями |
10000 |
20000 |
|
III (слабочувствительное) |
Надземные трубопроводы, крановые узлы в защитном укрытии. |
30000 |
40000 |
3.3.3. Подземное технологическое оборудование принимается нечувствительным к термическому воздействию и при любой аварии считается неповрежденным (kповр-об = 0).
4. Критерии поражающего воздействия на компоненты природной среды.
4.1. Принимается, что единственным поражающим фактором аварий на рассматриваемых в настоящем Руководстве ОПО, способным нанести значимый ущерб компонентам природной среды (кроме атмосферы), является тепловая радиация.
4.2. Критерием поражающего воздействия является критический тепловой поток qкр, кДж/м2, рассчитанный на 90-ю секунду после начала аварийного истечения газа. Значения qкр, при превышении которого происходят необратимые изменения древесной растительности, лесной подстилки, плодородного слоя почв и сельхозкультур, вызывающие их гибель, представлены в таблице № 7.
Критические значения теплового потока для различных компонентов природной среды, соответствующие уничтожению плодородного слоя почв и растительности
|
Компонент природной среды |
qкр, кВт/м2 |
|
Древесная растительность |
7 |
|
Почвы |
35 |
|
Лесная подстилка |
5 |
|
Сельскохозяйственные культуры |
5 |
к Руководству по безопасности "Методика
оценки риска аварий на опасных производственных
объектах магистрального трубопроводного
транспорта газа", утвержденному приказом
Федеральной службы по экологическому,
технологическому и атомному надзору
от 26 декабря 2018 г. № 647
1. Полный ущерб при реализации того или иного расчетного сценария аварии на ОПО рассчитывается по формуле:
где Ус-э - социально-экономический ущерб, связанный с гибелью и травматизмом людей в результате аварий, руб.;
Упр - прямой ущерб производству ОПО, руб.;
Уим.др.л - ущерб, связанный с уничтожением и повреждением имущества других (третьих) лиц (населения, сторонних организаций и т.п.), руб.;
Ула - затраты на локализацию аварии, ликвидацию ее последствий и расследование аварии, руб.;
Уэкол - экологический ущерб, руб.
2. Социально-экономический ущерб рассчитывается по формуле:
где Уг.п, Ут.п - затраты на компенсацию и проведение мероприятии вследствие гибели и травмирования персонала ЭО, руб.;
Уг.д.л, Ут.д.л - затраты на компенсацию и проведение мероприятии вследствие соответственно гибели и травмирования других (третьих) лиц, руб.
2.1. Затраты, связанные с гибелью персонала ЭО определяются по формуле:
|
Уг.п = (Sп.к.перс. + Sпог)Nперс.г + Sкомп, |
(3) |
где Sп.к.перс. - средний размер возможных выплат в случае гибели персонала ЭО;
Sпог - средний размер пособия на погребение одного погибшего, руб.;
Sкомп - компенсационные выплаты родственникам погибших исходя из стоимости среднестатистической жизни человека, руб.;
Nперс.г - число погибших среди персонала при реализации рассматриваемой аварии, чел.
В общем случае пособие по потере кормильца Sп.к.перс. определяется по формуле
|
Sп.к.перс. = Sп.к.1 + Sп.к.2 + Sп.к.3, |
(4) |
Sп.к.1 - страховая выплата по договору обязательного страхования гражданской ответственности владельца ОПО за причинение вреда в результате аварии на опасном объекте (Федеральный закон от 27 июля 2010 г. № 225-ФЗ "Об обязательном страховании гражданской ответственности владельца опасного объекта за причинение вреда в результате аварии на опасном объекте"). Сумма выплаты может составлять до 2000000 руб.;
Sп.к.2 - единовременная страховая выплата в случае гибели работника на производстве по договору об обязательном социальном страховании от несчастных случаев на производстве и профессиональных заболеваний (Федеральный закон № 125-ФЗ от 24 июля 1998 г. "Об обязательном социальном страховании от несчастных случаев на производстве и профессиональных заболеваний"). Сумма выплаты определяется в соответствии со степенью утраты застрахованным профессиональной трудоспособности и законом о бюджете Фонда социального страхования на текущий год. В 2017 - 2019 годах сумма выплаты определяется в соответствии с Федеральным законом от 19 декабря 2016 г. № 417-ФЗ "О бюджете Фонда социального страхования Российской Федерации на 2017 год и на плановый период 2018 и 2019 годов".
Sп.к.3 - дополнительно выплачиваемое единовременное пособие, размеры которого определяются с учетом соответствующих положений коллективного договора ЭО на соответствующий год (например, Sп.к.3 = 10 годовых заработков одному из членов семьи умершего работника).
Общая сумма выплат Sп.к.перс. может составлять 6000000 руб. и выше;
Средний размер пособия на погребение одного погибшего Sпог определяется как
где Sпог1 - страховые выплаты по договору обязательного страхования (Федеральный закон от 27 июля 2010 г. № 225-ФЗ "Об обязательном страховании гражданской ответственности владельца опасного объекта за причинение вреда в результате аварии на опасном объекте"), не более 25000 руб. - в счет возмещения расходов на погребение;
Sпог2 - социальное пособие 4000 руб. на погребение или возмещение стоимости гарантированного перечня услуг по погребению (Федеральный закон № 8-ФЗ от 12 января 1996 г. "О погребении и похоронном деле").
Sкомп следует рассчитывать по формуле
|
Sкомп = Nперс.гSж, |
(6) |
где Sж - стоимость среднестатистической жизни человека, составляющая для современных условий Российской Федерации 2500000 руб.; в общем случае Sж рекомендуется принимать в диапазоне 1,5 ÷ 15 млн руб.
2.2. Затраты, связанные с травмированием (ранением) персонала ЭО, определяются по формуле
|
Ут.п = (Sв + Sи.п + Sм) Nперс.-р, |
(7) |
где Sв = 300000 руб. - средний размер пособия по временной нетрудоспособности (в соответствии с Федеральным законом от 24 июля 1998 г. № 125-ФЗ "Об обязательном социальном страховании от несчастных случаев на производстве и профессиональных заболеваний");
Sи.п = 21769 руб. - средний размер пенсии одному лицу, ставшему инвалидом, руб. (в соответствии с Федеральным законом от 15 декабря 2001 г. № 167-ФЗ "Об обязательном пенсионном страховании в Российской Федерации");
Sм = 300000 руб. - средний размер расходов, связанный с повреждением здоровья одного пострадавшего, на его медицинскую, социальную и профессиональную реабилитацию (в соответствии с Федеральным законом № 125-ФЗ от 24 июля 1998 г. "Об обязательном социальном страховании от несчастных случаев на производстве и профессиональных заболеваний");
Nперс.-р - число травмированных (раненых) среди персонала, чел.
Примечание: значения Sпог, Sп.к.перс., Sв, Sи.п, Sм могут уточняться с учетом соответствующих положений коллективного договора ЭО.
2.3. Затраты, связанные соответственно с гибелью и травмированием других (третьих) лиц определяются по формулам
|
Уг.д.л = (Sп.к + Sпог + Sкомп) Nдл.-г, |
(8) |
|
Ут.д.л = (Sв + Sи.п + Sм) Nдл.-р, |
(9) |
где Nдл.-г - общее количество погибших среди других (третьих) лиц при реализации рассматриваемой аварии, чел.;
Nдл.-р - общее количество раненых среди других (третьих) лиц при реализации рассматриваемой аварии, чел.;
Sп.к - сумма выплат в случае потери кормильца.
Величины Sп.к, Sпог, Sв, Sи.п, Sм расшифрованы выше, их значения для других (третьих) лиц определяются в соответствии с действующим законодательством.
3. Прямой ущерб производству на ОПО, Упр, руб., рассчитывается по формуле:
|
Упр = Уо.ф.у + Уо.ф.п + Ут-м.ц + Bо.ф.у + Bо.ф.п, |
(10) |
где Уо.ф.у, Уо.ф.п - потери ЭО в результате соответственно уничтожения и повреждения своих основных фондов, руб.;
Ут-м.ц - потери ЭО в результате уничтожения и повреждения товарно-материальных ценностей, руб.;
Bо.ф.у, Bо.ф.п - стоимости восстановления соответственно уничтоженных и поврежденных основных фондов, руб.
Степень повреждения основных фондов (оборудования, наружных установок, зданий) определяется в соответствии с подразделами 5.5.4, 6.6.4 и приложением № 11 настоящего Руководства.
3.1. Потери, связанные с уничтожением основных фондов, Уо.ф.у, руб., рассчитываются по формуле
|
|
(11) |
где Iоб-у - число видов уничтоженного технологического оборудования или наружных установок;
- балансовая (остаточная) стоимость
единицы оборудования или наружной установки i-го вида, руб.;
- количество уничтоженных единиц
оборудования или наружных установок i-го вида;
Iзд-у - число видов уничтоженных зданий;
- балансовая (остаточная) стоимость
здания i-го вида, руб.;
- количество уничтоженных зданий i-го
вида.
3.2. При частичном повреждении имущества стоимость ущерба, Уо.ф.п, руб., рекомендуется рассчитывать по формуле:
|
|
(12) |
где Iоб-п - число видов поврежденного технологического оборудования или наружных установок;
- степень повреждения единицы
оборудования i-ого вида;
- балансовая (остаточная) стоимость
единицы оборудования i-го вида, руб.;
- количество поврежденных единиц
оборудования или наружных установок i-го вида;
Iзд-п - число видов поврежденных зданий;
- степень повреждения здания i-го
вида;
- балансовая (остаточная) стоимость
здания i-го вида, руб.;
- количество поврежденных зданий i-го
вида.
3.3. Потери организации в результате уничтожения товарно-материальных ценностей (ТМЦ), Ут-м.ц, руб., определяются по сумме потерь каждого вида ценностей по формуле
|
|
(13) |
где Iтм - число видов утраченных в результате аварии товарно-материальных ценностей;
- количество товарно-материальных
ценностей i-го вида, т или шт.;
- стоимость единицы i-го вида
товарно-материальных ценностей, руб./т или руб./шт.
В качестве ТМЦ следует в первую очередь учитывать транспортируемый природный газ. Ущерб, связанный с безвозвратными потерями газа, определяется по формуле
|
Упрод = МпродSпрод, |
(14) |
где Мпрод - объем (или масса) безвозвратно потерянного продукта, тыс. м3 или т;
Sпрод - внутренняя расчетная (оптовая) цена транспортируемого продукта, руб./тыс. м3 или руб./т.
Sпрод определяется в соответствии с ежегодно утверждаемыми внутренними расчетными (оптовыми) ценами на газ и внутренние расчетные тарифы на услуги по транспортировке и хранению газа для ЭО.
3.4. Стоимость восстановления уничтоженных основных фондов, Bо.ф.у, руб., рассчитывается по формуле
|
|
(15) |
где Iоб-у - число видов уничтоженного технологического оборудования или наружных установок;
- цена единицы нового аналогичного
оборудования или наружной установки i-го вида с учётом стоимости
разборки завалов, образовавшихся при разрушении старого оборудования этого
вида, руб.;
- коэффициент, учитывающий затраты на
транспортировку, таможенные пошлины и монтаж оборудования i-го вида
(рекомендуемые значения 1,2 ÷ 1,8 в зависимости от вида оборудования;
при отсутствии точной информации принимать kмонт
= 1,5);
- количество уничтоженных единиц
оборудования или наружных установок i-го вида;
Iзд-у - число видов уничтоженных зданий;
- стоимость строительства нового
здания i-го вида с учётом стоимости разборки завалов, образовавшихся при
разрушении старого здания этого вида, руб.;
- количество уничтоженных здании i-го
вида.
3.5. Стоимость восстановления основных фондов, Bо.ф.п, руб., при частичном их повреждении рекомендуется определять либо как полную сметную стоимость ремонта основных фондов, либо рассчитывать по формуле:
|
|
(16) |
где Iоб-п - число видов поврежденного технологического оборудования или наружных установок;
- степень повреждения единицы
оборудования i-го вида;
- стоимость единицы нового
оборудования i-го вида без учёта разборки завалов, руб.;
- количество поврежденных единиц
оборудования или наружных установок i-го вида;
Iзд-п - число видов поврежденных зданий;
- степень повреждения здания i-го
вида;
- стоимость строительства нового
аналогичного здания i-го вида без учёта разборки завалов, руб.;
- количество поврежденных здании i-го
вида.
4. Ущерб имуществу других (третьих) лиц, Уим.др.л., руб., рассчитывается по аналогии с расчетом прямого ущерба эксплуатирующеи организации, а также на основании рыночнои стоимости принадлежащего физическим лицам имущества.
В общем случае ущерб, связанный с уничтожением имущества других лиц, определяется балансовои (остаточнои) стоимостью и затратами на восстановление уничтоженных и поврежденных строений, инженерных коммуникаций, дорог, сельхозугодий по формуле:
|
Уим.др.л. = Узд + Уа/д + Уж/д + Уик + Ус/х + Взд + Ва/д + Вж/д + Вик + Вс/х, |
(17) |
где Узд - ущерб, связанный с уничтожением и повреждением зданий и сооружений, руб.;
Уа/д - ущерб, связанный с уничтожением и повреждением участков автодорог и транспортных средств на них, руб.;
Уж/д - ущерб, связанный с уничтожением и повреждением участков железных дорог и транспортных средств на них, руб.;
Уик - ущерб, связанный с разрушением инженерных коммуникаций, руб.;
Ус/х - ущерб, связанный с уничтожением сельхозкультур, принадлежащих третьим лицам, руб.;
Взд - стоимость восстановления уничтоженных и поврежденных зданий и сооружений, руб.;
Ва/д - стоимость восстановления уничтоженных и поврежденных участков автодорог и транспортных средств на них, руб.;
Вж/д - стоимость восстановления уничтоженных и поврежденных участков железных дорог и транспортных средств на них, руб.;
Вик - стоимость восстановления уничтоженных участков инженерных коммуникаций, руб.;
Вс/х - стоимость восстановления уничтоженных сельхозкультур, принадлежащих третьим лицам, руб.
Примечание: затраты на восстановление уничтоженных и поврежденных строений, инженерных коммуникаций, дорог, сельхозугодий Взд, Ва/д, Вж/д, Вс/х в общей сумме ущерба имуществу других (третьих) лиц следует учитывать и рассчитывать только в случае, если такое решение принято заказчиком КолАР, поскольку в реальной практике указанные лица не всегда восстанавливают свое уничтоженное или поврежденное в результате аварий имущество.
4.1. Ущерб, связанный с уничтожением и повреждением зданий и сооружений, принадлежащих третьим (другим) лицам, рассчитывается по формулам:
|
Узд = Узд-у + Узд-п, |
(18) |
|
|
(19) |
|
|
(20) |
где Iзд-у - число видов уничтоженных строений;
Iзд-п - число видов поврежденных строений;
- балансовая (остаточная) стоимость
здания i-го вида до аварии, руб.;
- число уничтоженных строений i-го
вида;
- число поврежденных строений i-го
вида;
- степень повреждения строения i-го
вида.
4.2. Ущерб, связанный с уничтожением и повреждением участков автодорог и транспортных средств на них Уа/д, рассчитывается по формуле
|
Уа/д = Sа/дLа/д + Nтр-уSтр + Nтр-пSтрkповр-тр, |
(21) |
где Sа/д - балансовая (остаточная) удельная (на погонный метр автодороги) стоимость дороги до аварии, руб./м;
Lа/д - длина разрушенного полотна автодороги, м;
Nтр-у - число уничтоженных автотранспортных средств, шт.;
Nтр-п - число поврежденных автотранспортных средств, шт.;
Sтр - средняя остаточная стоимость автотранспортного средства, руб. (рекомендуется принимать равной 300000 руб.);
kповр-тр - степень повреждения автотранспортного средства (рекомендуется принимать равной 0,2).
4.3. Ущерб, связанный с уничтожением и повреждением участков железных дорог и вагонов на них Уж/д, рассчитывается по формуле
|
Уж/д = Sж/дLж/д + Nв-уSв + Nв-пSвkповр-в, |
(22) |
где Sж/д - балансовая (остаточная) удельная (на погонный метр железной дороги) стоимость дороги до аварии, руб./м;
Lж/д - длина разрушенного участка железной дороги, м;
Nв-у - число уничтоженных вагонов, шт.;
Nв-п - число поврежденных вагонов, шт.;
Sв - средняя остаточная стоимость вагона, руб. (рекомендуется принимать равной 700000 руб.);
kповр-в - степень повреждения вагона (рекомендуется принимать равной 0,2).
4.4. Ущерб, связанный с разрушением инженерных коммуникаций Уик, рассчитывается по формуле
|
Уик = SикLик, |
(23) |
где Sик - балансовая (остаточная) удельная (на погонный метр коммуникации) стоимость инженерной коммуникации до аварии, руб./м;
Lик - длина разрушенного участка коммуникации, м.
4.5 Ущерб, связанный с уничтожением сельхозкультур Усх, обусловленный термическим воздействием на сельхозкультуры от возникающего в результате аварии пожара, определяется исходя из средней за последние 5 лет урожайности сельхозкультуры в данном регионе (в качестве базовых сельхозкультур можно принимать зерновые) и закупочных цен, действующих в регионе, по формуле:
|
Усх = Sс/х-у(Cс/кРга), |
(24) |
где Sс/х-у - площадь уничтоженных сельхозугодий, га;
Cс/к - местная закупочная цена сельхозкультуры, руб./т;
Рга - урожайность сельхозкультуры в данном регионе, т/га;
4.6. Стоимость восстановления уничтоженных и поврежденных зданий и сооружений третьих лиц рассчитывается по формулам:
|
Взд = Взд-у + Взд-п, |
(25) |
|
|
(26) |
|
|
(27) |
где Iзд-у - число видов уничтоженных строений;
Iзд-п - число видов поврежденных строений;
- стоимость строительства нового
строения i-го вида, аналогичного уничтоженному, с учётом стоимости
разборки завалов, образовавшихся при разрушении старого здания этого вида,
руб.;
- стоимость строительства нового
строения i-го вида, аналогичного поврежденному без учёта разборки
завалов, руб.;
- число уничтоженных строений i-го
вида;
- число поврежденных строении i-го
вида;
- степень повреждения строения i-го
вида.
4.7. Стоимость восстановления разрушенного участка автодороги и автотранспортных средств Ва/д рассчитывается по формуле:
|
Ва/д = (Sа/д-зав + Sа/д-м + Sа/д-стр)Lа/д + Nтр-уSтр-н + Nтр-пSтр-нkповр-тр, |
(28) |
где Sа/д-зав, Sа/д-м, Sа/д-стр - удельные (на 1 погонный метр автодороги) стоимости соответственно разборки завалов, новых материалов и строительных восстановительных работ, руб./м;
Lа/д - длина разрушенного участка дороги, м.
Nтр-у - число уничтоженных автотранспортных средств, шт.;
Nтр-п - число поврежденных автотранспортных средств, шт.;
Sтр-н - средняя стоимость нового автотранспортного средства, руб. (рекомендуется принимать равной 1000000 руб.);
kповр-тр - степень повреждения автотранспортного средства (рекомендуется принимать равной 0,2).
4.8. Стоимость восстановления разрушенного участка железной дороги и вагонов Вж/д рассчитывается по формуле:
|
Вж/д = (Sж/д-зав + Sж/д-м + Sж/д-стр)Lж/д + Nв-уSв-н + Nв-пSв-пkповр-в, |
(29) |
где Sж/д-зав, Sж/д-м, Sж/д-стр - удельные (на 1 погонный метр железной дороги) стоимости соответственно разборки завалов, новых материалов и строительных восстановительных работ, руб./м;
Lж/д - длина разрушенного участка железной дороги, м.
Nв-у - число уничтоженных вагонов, шт.;
Sв-п - число поврежденных вагонов, шт.;
Sв-н - средняя стоимость нового вагона, руб. (рекомендуется принимать равной 2500000 руб.);
kповр-в - степень повреждения вагона (рекомендуется принимать равной 0,2).
4.9. Стоимость восстановления инженерных коммуникаций Вик рассчитывается по формуле
|
Вик = (Sик-зав + Sик-м + Sик-стр)Lик, |
(30) |
где Sик-зав, Sик-м, Sик-стр - удельные (на погонный метр коммуникации) стоимости соответственно разборки завалов, новых материалов и строительных работ для восстановления инженерной коммуникации, руб./м;
Lик - длина разрушенного участка коммуникации, м.
4.10. Стоимость восстановления сельхозкультур Вс/х рассчитывается по формуле
|
Вс/х = Sс/х-уCвоздел, |
(31) |
где Sс/х-у - площадь уничтоженных сельхозугодий, га;
Cвоздел - затраты на возделывание 1 га сельскохозяйственной культуры, руб./га.
5. Затраты на локализацию аварии, ликвидацию последствий и расследование аварии, Ул.а, рассчитывают по формуле
|
Ул.а = Ул + Ур, |
(32) |
где Ул - расходы, связанные с локализацией аварии и ликвидацией её последствий, руб.;
Ур - расходы на расследование аварии, руб.
При отсутствии информации о значениях Ул, Ур значение Ул.а допускается принимать в размере 10 % от стоимости прямого (имущественного) ущерба производству и третьим лицам
|
Ул.а = 0,1(Упр + Уим.др.л). |
(33) |
6. Расчет экологического ущерба.
Под экологическим ущербом понимается вред, нанесенный компонентам природной среды в результате аварии на ОПО, который исчисляется в денежном эквиваленте в форме компенсационных выплат эксплуатирующей организацией за причинение указанного вреда (т.е. за нарушение ею законодательства в сфере природопользования, обусловленное причинением вреда компонентам природной среды).
Экологический ущерб, Уэкол, руб., рассчитывается по следующей формуле:
|
Уэкол = Kатм + Kлес.ф + Kпочв, |
(34) |
где Kатм - компенсационные выплаты за ущерб, связанный с загрязнением атмосферного воздуха, руб.;
Kлес.ф - компенсационные выплаты за ущерб лесному фонду и не входящим в лесной фонд лесам, руб.;
Kпочв - компенсационные выплаты за ущерб, связанный с воздействием на почву.
6.1 Компенсационные выплаты за ущерб, связанный с загрязнением атмосферного воздуха, рассчитываются в соответствии с постановлением Правительства Российской Федерации от 3 марта 2017 г. № 255 "Об исчислении и взимании платы за негативное воздействие на окружающую среду" как плата за сверхлимитный выброс загрязняющих веществ с применением повышающего коэффициента по формуле
|
|
(35) |
I - количество видов загрязняющих веществ;
Mср-i - платежная база за выброс соответствующего i-го загрязняющего вещества, определяемая лицом, обязанным вносить плату, за отчетный период как разница между массой выбросов загрязняющих веществ в количестве, превышающем установленные в соответствующих разрешениях выбросы загрязняющих веществ, и массой лимитов на выбросы либо при их отсутствии нормативно допустимых выбросов загрязняющих веществ, т;
Hпл-i - ставка платы за выброс i-го загрязняющего вещества в соответствии с постановлением Правительства Российской Федерации от 13 сентября 2016 г. № 913 "О ставках платы за негативное воздействие на окружающую среду и дополнительных коэффициентах", руб./т;
Kот - дополнительный коэффициент к ставкам платы в отношении территорий и объектов, находящихся под особой охраной в соответствии с федеральными законами, равный 2;
Kср - коэффициент к ставкам платы за выброс соответствующего i-го загрязняющего вещества за массу выбросов загрязняющих веществ, превышающих установленные разрешениями на выбросы загрязняющих веществ в атмосферный воздух, равный 25.
В расчетах принимается, что из одной тонны сгоревшего природного газа в среднем образуются: несгоревший метан (СН4) - 0,015 т, оксид углерода (СО) - 0,057 т, оксид азота (NO) - 0,00013 т, диоксид азота (NO2) - 0,0008 т, сажа - 0,03 т.
6.2. Расчет ущерба лесам, связанного с воздействием тепловой радиации от пожара.
Расчет размера ущерба лесам при пожарах производится в соответствии с постановлением Правительства Российской Федерации от 8 мая 2007 г. № 273 "Об исчислении размера вреда, причиненного лесам вследствие нарушения лесного законодательства" по формуле
|
Kлес.ф = K1K2K3K4VSлес-уCлес, |
(36) |
где K1 - коэффициент, учитывающий вид нарушения лесного законодательства (для случая "уничтожение или повреждение до степени прекращения роста деревьев" K1 = 50);
K2 - повышающий коэффициент, зависящий от времени года (в период с декабря по январь - 2; в остальные месяцы - 1);
K3 - повышающий коэффициент для ставок платы за единицу объема древесины лесных насаждений (утверждается ежегодно в соответствии с федеральным законом о федеральном бюджете на очередной год);
K4 - повышающий коэффициент, учитывающий категорию лесного массива (устанавливается в соответствии с Постановлением Правительства Российской Федерации от 08 мая 2007 г. № 273 "Об исчислении размера вреда, причиненного лесам вследствие нарушения лесного законодательства");
V - корневой запас древесины на 1 га, м3/га;
Sлес-у - площадь уничтоженного лесного массива, попадающего в зону теплового воздействия, ограниченную изолинией теплового потока 7 кВт/м2, га;
Слес - ставка платы за единицу объема лесных ресурсов, руб. (устанавливается в соответствии с Постановлением Правительства Российской Федерации от 22 мая 2007 г. № 310 "О ставках платы за единицу объема лесных ресурсов и ставках платы за единицу площади лесного участка, находящегося в федеральной собственности").
6.3. Расчет компенсационных выплат за ущерб, связанный с термическим воздействием от пожара на почву, производится по формуле
|
Kпочв = Sпочв-уhпочв-уρпочв-уCпочв-у, |
(37) |
где Sпочв-у - площадь утраченного плодородного слоя почвы, га, определяемая в случае пожара на МГ в соответствии с 5.5.4.16 настоящего Руководства;
hпочв-у = 0,20 - глубина утраченного плодородного слоя почвы, м.
ρпочв-у = 1,1 - средняя плотность грунта, т/м3;
Cпочв-у - рыночная стоимость 1 тонны чернозема, руб./т.
СОДЕРЖАНИЕ