Главная // Актуальные документы // Актуальные документы (обновление 2025.04.26-2025.05.31) // Методические рекомендацииСПРАВКА
Источник публикации
М., 1973
Примечание к документу
Название документа
"Методические рекомендации по конструкциям и технологии сооружения земляного полотна автомобильных дорог на участках залегания иольдиевых глин"
"Методические рекомендации по конструкциям и технологии сооружения земляного полотна автомобильных дорог на участках залегания иольдиевых глин"
МЕТОДИЧЕСКИЕ РЕКОМЕНДАЦИИ
ПО КОНСТРУКЦИЯМ И ТЕХНОЛОГИИ СООРУЖЕНИЯ ЗЕМЛЯНОГО ПОЛОТНА
АВТОМОБИЛЬНЫХ ДОРОГ НА УЧАСТКАХ ЗАЛЕГАНИЯ ИОЛЬДИЕВЫХ ГЛИН
Одобрены Главдорстроем Минтрансстроя СССР
Рассмотрены особенности проектирования и выбора конструкций автодорожных насыпей на иольдиевых глинах, учитывающие физико-механические свойства глин и условия их залегания. Приведены варианты конструктивных решений насыпей: легкая насыпь; насыпь с распределительной плитой; насыпь с пригрузочными бермами; насыпь с песчаными сваями в основании. Разработан расчет рекомендуемых конструкций и даны указания по технологии их сооружения.
При строительстве автомобильных дорог с капитальными покрытиями на Северо-Западе европейской части СССР нередко возникает необходимость использовать иольдиевые глины в качестве естественного основания автодорожных насыпей. Возведение насыпей на иольдиевых глинах часто требует специальных мероприятий, повышающих устойчивость основания. Для решения вопроса о конструкции земляного полотна на участках залегания иольдиевых глин в Союздорнии были выполнены исследования глин, их работы в основании насыпи и предложены рациональные варианты конструктивных решений.
Настоящие "Методические рекомендации по конструкциям и технологии сооружения земляного полотна автомобильных дорог на участках залегания иольдиевых глин" разработаны в развитие "Методических указаний по проектированию земляного полотна на слабых грунтах" и содержат классификацию иольдиевых глин для дорожного строительства, методику расчета устойчивости оснований, сложенных иольдиевыми глинами, рекомендации по выбору конструкций земляного полотна, их расчет и технологию сооружения.
Настоящие "Методические рекомендации" составили канд. техн. наук В.Д. Казарновский и инж. А.Г. Полуновский.
Замечания, пожелания по данной работе просьба направлять по адресу: 143900 Балашиха-6 Московской обл., Союздорнии.
ЗАМ. ДИРЕКТОРА СОЮЗДОРНИИ
кандидат технических наук
Ю.МОТЫЛЕВ
1. Свойства иольдиевых глин и их поведение под нагрузками от дорожных насыпей
<*> позволяют отнести иольдиевые глины к слабым грунтам. Поэтому изыскания, проектирование и строительство автомобильных дорог на участках залегания иольдиевых глин следует вести в соответствии с требованиями, изложенными в "Методических
указаниях по проектированию земляного полотна на слабых грунтах" (М., 1968), в дальнейших ссылках сокращенно именуемых "Методическими указаниями".
--------------------------------
<*> В исследованиях физико-механических свойств иольдиевых глин принимали участие инженеры Е.Т. Семенова, Т.И. Федосеева, а в строительстве опытных участков - инженеры Б.Е. Беляев, Ю.В. Пудов, Н.С. Трошков.
2. Конструкция, грунты и методы возведения верхней части земляного полотна на иольдиевых глинах должны отвечать общим требованиям, изложенным в
СНиП II-Д.5-72 и
СНиП III-Д.5-62.
При назначении сроков сооружения покрытий капитального типа на участках насыпей, построенных на иольдиевых глинах, необходимо руководствоваться требованиями п. 1.14 СНиП III-Д.5-62 независимо от высоты насыпи.
3. При проектировании и строительстве автомобильных дорог на участках залегания иольдиевых глин следует классифицировать глины по приводимой
таблице.
4. Конструкцию земляного полотна на иольдиевых глинах необходимо назначать с учетом особенностей свойств глин и условий их залегания.
Глины залегают слоями мощностью 5 - 10 м, иногда до 30 м, и перекрыты обычно торфами мощностью 2 - 3 м. В условиях природного залегания глины отличаются высокой пористостью, влажностью выше предела текучести, слабой водопроницаемостью, низкими прочностными показателями и резким снижением прочности при разрушении природной структуры.
| Относительная влажность | Модуль осадки, мм/м, при нагрузке, кгс/см2 | Предел структурной прочности, кгс/см2 | Полное сцепление, кгс/см2 | Угол внутреннего трения, град. | Структурное сцепление, кгс/см2 |
0,2 | 1,0 |
I | Менее 1,0 | 7 - 9 | 15 - 40 | - | Более 0,15 | Более 7 | Более 0,10 |
II | От 1,0 до 1,5 | 9 - 11 | 40 - 120 | Более 0,5 | 0,20 - 0,10 | 7 - 3 | 0,13 - 0,07 |
III | Более 1,5 | 11 - 14 | 120 - 250 | Менее 0,5 | 0,15 - 0,05 | 3 - 0 | 0,07 - 0,03 |
К характерным особенностям физико-механических свойств глин
(приложение 1) и условий их залегания относятся:
- слабая упрочняемость под нагрузками до 1 кгс/см2;
- наличие предела структурной прочности при компрессионном сжатии;
- возможность разделения полного сцепления на восстанавливающуюся и невосстанавливающуюся при сдвиге составляющие.
5. Полную сопротивляемость сдвигу иольдиевых глин выражают зависимостью:

(1)
где Spw - полная сопротивляемость сдвигу;
p - нормальное давление;

- угол внутреннего трения при данной влажности;

- восстанавливающаяся при сдвиге часть сцепления;
Cс - невосстанавливающееся при сдвиге структурное сцепление.
6. Длительную сопротивляемость сдвигу

определяют по формуле

(2)
Величина невосстанавливающейся части сцепления может быть найдена с помощью сдвиговых испытаний как разность между полной сопротивляемостью сдвигу глин с ненарушенной структурой и сопротивляемостью повторному сдвигу или сдвигу по методике "плашка по плашке":

(3)
7. В основании, сложенном иольдиевыми глинами, развитие недопустимых по условиям работы дорожного покрытия деформаций может происходить под действием касательных напряжений, превышающих мгновенную или длительную сопротивляемость грунта сдвигу, или нормальных сжимающих напряжений, превышающих предел структурной прочности при компрессионном сжатии.
Работу грунта на сдвиг можно выразить следующими зависимостями:
а) быстрое разрушение с образованием кривой скольжения

(4)
где

- касательные напряжения, действующие по наиболее опасным площадкам;
б) медленная деформация сдвига типа ползучести

(5)
в) отсутствие деформаций сдвига

(6)
Работу грунта на сжатие можно выразить зависимостями:
а) значительные и длительные деформации уплотнения

(7)
где

- большее главное напряжение;
Pстр - предел структурной прочности при компрессионном сжатии;
б) отсутствие деформаций уплотнения

(8)
Назначение конструкций земляного полотна на участках
залегания иольдиевых глин
8. При назначении конструкций земляного полотна необходимо принимать во внимание особенности физико-механических свойств и условий залегания иольдиевых глин
(п. 4).
9. Целесообразно применять конструкции с полным или частичным удалением глины или перекрывающего ее торфа на участках иольдиевых глин. Замена торфа привозным грунтом увеличивает давление на основание, к тому же удаление торфа сопряжено с возможностью нарушения естественного сложения верхнего, наиболее прочного горизонта иольдиевых глин. Удаление самой иольдиевой глины с заменой ее стабильным грунтом практически исключено из-за значительной мощности иольдиевых глин и опасности их разжижения в случае нарушения естественной структуры грунта.
10. Нерационально применять на иольдиевых глинах конструкции, ускоряющие процесс консолидации глинистой толщи или упрочняющие иольдиевые глины путем их уплотнения весом насыпи (вертикальные дрены, дренажные прорези, временная пригрузка и предварительная консолидация). Неприемлемость таких конструкций обусловлена чрезвычайно низкой водопроницаемостью иольдиевых глин и их слабой способностью к упрочнению при уплотнении, поэтому стимулирование процесса консолидации не в состоянии существенно сократить его продолжительность и повысить прочность глин.
Расчет высоты насыпи
11. Высота насыпи на иольдиевых глинах должна быть не меньше минимальной толщины насыпного слоя по условию воздействия напряжений от временной нагрузки. Минимальную толщину насыпного слоя рассчитывают в соответствии с
п. 62 "Методических указаний".
При залегании глин I группы на поверхности минимальную толщину насыпного слоя уменьшают на толщину корки, т.е.
hmin >= hвр - hк, (9)
где hmin - минимальная высота насыпи на иольдиевых глинах;
hвр - минимальная толщина насыпного слоя;
hк - толщина корки.
12. Высота насыпи на иольдиевых глинах должна быть не меньше минимального возвышения бровки земляного полотна по условиям снегозаносимости и водно-теплового режима (СНиП II-Д.5-72,
пп. 5.4 и
5.7).
13. Максимальную допустимую высоту насыпи обычного очертания без специальных мер по обеспечению устойчивости оснований, сложенных иольдиевыми глинами II или III группы, рассчитывают исходя из следующих условий:

(10)
Pдоп = Pстр, (11)
где Pдоп - допустимое давление на основание;
Cс - структурное сцепление глины;
Pстр - предел структурной прочности при компрессионном сжатии;

- функция проектного очертания насыпи, принимаемая по графику (
рис. 5 "Методических указаний").
14. Если глины выходят на поверхность, максимальную допустимую высоту насыпи обычного очертания определяют по формулам:

(12)

(13)
где

- осредненный объемный вес всей дорожной конструкции (насыпь и дорожная одежда).
В расчет принимают меньшее из полученных значений hдоп.
15. На участках глин, перекрытых торфами, величину
hдоп принимают равной

(14)

(15)
где

- ожидаемая относительная осадка торфа под насыпью;
hт - мощность торфяной залежи.
16. Если максимальная допустимая высота насыпи (
пп. 14,
15) меньше минимального возвышения бровки (
пп. 11,
12), то необходимы специальные мероприятия по обеспечению устойчивости и недеформируемости основания.
17. Расчет оснований, сложенных иольдиевыми глинами, следует вести по двум предельным состояниям:
а) по предельной величине опасных сдвигающих напряжений, т.е.

(16)
б) по предельной величине нормальных сжимающих напряжений, т.е.

(17)
18. Условия работы иольдиевых глин в основании насыпи
(п. 17) можно улучшить путем:
а) снижения веса насыпи (ограничения ее высоты, отсыпки в насыпь материала с малым объемным весом);
б) изменения конструкции насыпи (придание определенного поперечного очертания, устройство в основании конструкций, позволяющих разгрузить слабый грунт).
19. Для обеспечения устойчивости и недеформируемости основания, сложенного иольдиевыми глинами, можно применить следующие конструкции: легкую насыпь; насыпь с распределяющей плитой; насыпь с пригрузочными бермами; насыпь с песчаными сваями.
При этом конструкции с пригрузочными бермами следует устраивать для обеспечения устойчивости основания при условии
п. 17, а.
Легкая насыпь
20. Легкие насыпи отсыпают из материалов с объемным весом менее 1,5 т/м3 (шлаков, керамзита, антисептированных опилок, торфа, смеси песка с торфом).
Кроме того, снижение веса насыпи может быть достигнуто устройством ячеистой конструкции из гравийного материала с добавкой цемента.
21. Материалы для легкой насыпи необходимо подбирать на основе специальных лабораторных испытаний с определением водопоглощения, водо- и морозостойкости, долговечности и других показателей.
22. При использовании в насыпи опилок и торфа необходимо индивидуальным расчетом или экспериментально оценить величину упругих прогибов покрытия. Тип покрытия назначают в зависимости от величины ожидаемого упругого прогиба. При этом необходимо обеспечить пожарную безопасность конструкции.
Поскольку легкие насыпи отсыпают из материалов, значительно отличающихся по своим теплофизическим свойствам от обычных грунтов, минимальное возвышение бровки легкой насыпи по условию
п. 11 может быть снижено при соответствующем обосновании в проекте.
23. Легкую насыпь сооружают по индивидуальному проекту с соответствующим технико-экономическим обоснованием, учитывающим наличие, отпускную цену, дальность возки и условия транспортировки материала, отсыпаемого в насыпь.
Конструкция с распределяющей плитой
24. Распределяющую плиту в насыпи земляного полотна устраивают из песка или песчано-гравийной смеси, обработанных цементом, с получением материала типа тощего бетона. Основанием для плиты служат непосредственно глины или песчаный выравнивающий слой. Дорожную одежду, включая нижний слой основания, укладывают прямо на плиту.
Устройство распределяющей плиты позволяет уменьшить расчетную нагрузку на основание, снизить напряжение в основании от временной нагрузки, достигнуть требуемой степени уплотнения материала во всех слоях дорожной одежды.
25. Насыпь с распределяющей плитой может быть запроектирована в тех случаях, когда:
- иольдиевые глины выходят на поверхность и не имеют торфяного покрова;
- горизонт грунтовых вод при самом высоком положении не достигает подошвы плиты;
- обеспечено минимальное возвышение бровки насыпи по условию снегозаносимости или предусмотрены специальные мероприятия по защите участка от снежных заносов в период эксплуатации дороги;
- имеются местные грунты, пригодные для устройства плиты.
Целесообразность устройства насыпи с распределяющей плитой требует технико-экономического обоснования.
26. Толщину распределяющей плиты назначают исходя из условия, что минимальная высота насыпи, при которой в основание не передаются напряжения от подвижной нагрузки, равна 2,5 м.
Именно такой высоте насыпи и должна быть эквивалентна распределяющая плита, уложенная непосредственно на иольдиевые глины II и III группы. Требуемую толщину плиты в этом случае определяют по формуле:

(18)
где hпл - толщина плиты;
Eн - модуль упругости материала насыпи;
Eпл - модуль упругости материала распределяющей плиты.
При наличии в основании глин I группы и укладке плиты на выравнивающий слой песка требуемую толщину плиты находят по формуле:

(19)
где hк - толщина корки;
hпс - толщина подстилающего слоя.
27. Модуль упругости материала распределяющей плиты в зависимости от заполнителей, содержания цемента и от технологии устройства плиты может быть принят в пределах от 50000 до 100000 кгс/см2. При этих условиях толщина плиты обычно равна 20 - 30 см.
28. Распределяющую плиту не следует рассматривать как часть дорожной одежды, а включение ее в дорожную конструкцию не дает оснований для уменьшения толщины дорожной одежды. В расчетах дорожной одежды модуль упругости (деформации) основания, представленного распределяющей плитой, может быть принят для земляного полотна на остальных участках.
Все слои дорожной одежды, устраиваемой по распределяющей плите, рекомендуется выполнять из битумо- или цементосвязных материалов.
29. Распределяющую плиту
(рис. 1) устраивают на ширину насыпи поверху. Дорожную одежду укладывают непосредственно на плиту, а обочины присыпают местным дренирующим грунтом. Плита имеет постоянную по поперечному сечению толщину. Поперечный уклон придают ей за счет соответствующей планировки поверхности песчаного выравнивающего слоя, на который укладывают смесь.
Рис. 1. Конструкция земляного полотна
с распределяющей плитой:
1 - дорожная одежда; 2 - распределяющая плита;
3 - песчаный выравнивающий слой
30. Технология устройства распределяющей плиты включает следующие операции: снятие растительного слоя; отсыпку выравнивающего слоя; укладку и уплотнение грунта, укрепленного цементом; устройство дорожной одежды; присыпку обочин.
При снятии растительного слоя и корчевке пней особое внимание следует обращать на то, чтобы не повредить корки иольдиевых глин ножом или гусеницами дорожно-строительных машин. При работе на глинах нельзя допускать пробуксовку гусениц, вызывающую прорыв корки, нарушение структуры грунта и его разжижение.
31. Выравнивающий слой отсыпают из дренирующего морозостойкого материала непосредственно на поверхность глин и прикатывают легким катком. Поверхности слоя придают двускатный профиль с поперечным уклоном 2%, соответствующий профилю распределительной плиты и покрытия.
32. Цементогрунтовую смесь для распределительной плиты можно приготовить как на месте, так и в стационарных установках. Укладка смеси возможна по схеме "на себя" сразу на всю ширину или же (при необходимости сохранения сквозного проезда по земляному полотну) на половину ширины как по схеме "на себя", так и "от себя". Уложенную в плиту смесь уплотняют виброуплотняющими средствами или катками на пневматических шинах. Уход за распределительной плитой ведется обычными способами, выбор которых определяется конструкцией нижнего слоя основания дорожной одежды (посыпка песком, обработка битумной эмульсией при основании из битумогрунта и т.п.). После завершения схватывания плиты на нее укладывают дорожную одежду и присыпают обочины. Для присыпки обочин используют тот же материал, что и для подстилающего слоя.
Насыпь с пригрузочными бермами
33. Пригрузочные бермы целесообразно устраивать в тех случаях, когда необходимо повысить устойчивость основания по условию
п. 17, а, в то время как условие
п. 17, б обеспечено. Устойчивость основания насыпи с бермами рассчитывают в соответствии с
пп. 171 -
177 "Методических указаний". Дополнительно расчет должен включать проверку выполнения условия
п. 17, б, заключающуюся в построении эпюры

по оси насыпи и в сравнении ее с эпюрой
Pстр по глубине толщи.
На участках возможного подтопления берм или развитой поверхностной заболоченности следует учитывать эффект взвешивания берм.
34. Выбор конструкции с бермами обязательно обосновывают технико-экономическим сравнением вариантов с учетом наличия грунтов, пригодных для отсыпки в насыпь, возможности и стоимости их разработки и транспортировки. При сравнении необходимо иметь в виду возможность конкурирующих решений (песчаные сваи, распределяющая плита, легкая насыпь).
Насыпь с песчаными сваями
35. Устройство песчаных свай в основании насыпи позволяет:
а) уменьшить нормальные напряжения, действующие в слабом грунте (условие
п. 17, б), частично передав давление через сваи на прочные подстилающие породы;
б) снизить максимальные сдвигающие напряжения, действующие в слабом грунте, улучшив тем самым условия работы иольдиевых глин в основании на сдвиг (условие
п. 17, а);
в) снизить величину конечной осадки иольдиевых глин и перекрывающих их торфов, сократив тем самым время протекания интенсивной части осадки насыпи;
г) увеличить плотность и снизить влажность иольдиевых глин в основании за счет введения несжимаемого песчаного объема, что способствует возрастанию прочностных показателей (сцепления и угла внутреннего трения);
д) повысить устойчивость основания в случае возможного нарушения устойчивости по схеме сдвига по фиксированной поверхности скольжения благодаря частичной замене глины на поверхности скольжения песчаным грунтом с высоким углом внутреннего трения;
е) ускорить осадку торфа, перекрывающего глину, за счет дренирования торфяной толщи песчаными сваями, работающими при соответствующем заполнении как вертикальные дрены.
36. Конструкцию насыпи с песчаными сваями применяют независимо от положения горизонта грунтовых вод и от наличия торфяного слоя, перекрывающего глины.
37. Для устройства свай требуется привозной грунт, хотя и в значительно меньшем объеме, чем, например, для пригрузочных берм. Кроме того, для внедрения свай требуются специальные механизмы, поэтому конструкции насыпи со сваями, так же как и все остальные перечисленные выше конструкции, должны проектировать индивидуально с соответствующим технико-экономическим обоснованием.
38. Если иольдиевые глины перекрыты торфами мощностью свыше 3 м, осадку которых необходимо ускорить, сваи в пределах торфяного горизонта или на всю длину выполняют как вертикальные дрены. Подобная конструкция позволяет совместить эффект перераспределения напряжения с эффектом ускорения осадки за счет сокращения пути фильтрации воды из основания. В этом случае грунты для заполнения свай и для рабочей платформы должны удовлетворять тем же требованиям, которые предъявляются к грунтам в конструкции с вертикальными дренами.
39. Устойчивость насыпи со сваями с учетом дополнительного обжатия глин при внедрении свай следует оценивать коэффициентом стабильности, определяемым по формуле:

(20)
(расчет выполняют для оси симметрии)
где Pz - вертикальные напряжения, возникающие в грунте межсвайного пространства;
Px - горизонтальные напряжения, возникающие в межсвайном объеме за счет бокового обжатия иольдиевой глины;
Cс - невосстанавливающаяся часть сцепления;
P' - предварительное обжатие глин за счет внедрения свай.
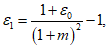
Величину предварительного обжатия определяют по компрессионной кривой как напряжение, необходимое для уменьшения коэффициента пористости иольдиевой глины от значения

(в природном состоянии) до величины

, определяемой по выражению

(21)
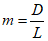
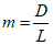
где
m - сближение свай, равное отношению диаметра свай к расстоянию между ними в свету;

.
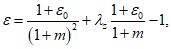
40. Вертикальное
Pz и горизонтальное
Px напряжение в основании со сваями, так же как и вертикальную

и горизонтальную

относительную деформацию грунта в межсвайном пространстве следует определять по таблицам (см. вклейку). Значения переменных
Px,
Pz,

,

даны в таблицах в долях от напряжений
P0 и относительных деформаций

, возникающих в основании без свай в условиях компрессионного сжатия.
В качестве исходных расчетных показателей при составлении таблиц приняты:

- относительная осадка иольдиевой глины в условиях компрессионного опыта под нагрузкой от веса насыпи;

- коэффициент бокового давления иольдиевой глины;

- коэффициент бокового давления грунта сваи.
41. Величину сближения свай, характеризующую плотность их расположения, определяют подбором с подстановкой
Pz и
Px, соответствующих заданному сближению

. Пример расчета насыпи с песчаными сваями приведен в
приложении 2. Сближение назначают в интервале от 0,2 до 1,0. Диаметр свай определяют имеющимся оборудованием, в частности, диаметром обсадной трубы. В большинстве случаев диаметр свай равен 0,2 - 0,6 м.
42. Для засыпки свай применяют грунт, не содержащий включений крупнее четверти внутреннего диаметра обсадной трубы. Коэффициент фильтрации грунта для свай не нормируется, за исключением того случая, когда сваи работают одновременно и как дрены. Тогда коэффициент фильтрации грунта должен быть не менее 5 м/сутки.
43. Коэффициент бокового давления материала свай принимают независимо от влажности: для песков крупных 0,33; средней крупности 0,34; мелких и пылеватых 0,36.
Если известен угол внутреннего трения, то коэффициент бокового давления может быть определен по формуле
44. Коэффициент бокового давления иольдиевых глин устанавливают по результатам испытания на трехосное сжатие. Для приближенных расчетов значения коэффициента бокового давления принимают:
для глин I группы 0,10 - 0,20;
для глин II группы 0,30 - 0,40;
для глин III группы 0,40 - 0,45.
45. Коэффициент бокового давления торфов в зависимости от их влажности и степени разложения принимают в интервале от 0,20 до 0,50.
46. В расчетах мгновенной устойчивости основания с песчаными сваями необходимо учитывать площадь свай S, перерезаемых поверхностью скольжения:

(22)
где Pс и Pг - давления от веса насыпи, передаваемые на сваю и на глину;

и

- угол внутреннего трения материала свай и глины в основании со сваями;
Cсв и Cw - слепление материала свай и глины в основании со сваями.
47. Уплотнение иольдиевых глин и перекрывающих их торфов вследствие внедрения сваи и их деформации в процессе осадки основания определяют по формуле

(23)
где

и

- коэффициенты пористости грунта в природном состоянии и в основании со сваями.
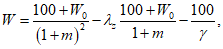
48. Влажность иольдиевых глин в основании со сваями может быть выражена через природную влажность:

(24)
где W0, W - влажности грунта в природном состоянии и при наличии свай;

- удельный вес слабого грунта;

- относительная осадка основания со сваями, определяемая по таблицам (см. вклейку).
49. Сцепление и угол внутреннего трения иольдиевых глин в расчетах устойчивости необходимо принимать с учетом уплотнения глины сваями, т.е. при значениях влажности, отвечающих влажности глин в основании со сваями
(п. 47). В этом случае величину сцепления и угол внутреннего трения определяют в зависимости от влажности

и
CW =
f(
W) при лабораторных испытаниях иольдиевых глин на сдвиг по методике "плотности-влажности".
Технология устройства песчаных свай
50. Технология устройства песчаных свай на иольдиевых глинах включают три основных этапа: подготовительные работы, устройство свай, отсыпку насыпи.
51. Подготовительные работы включают расчистку полосы отвода, снятие растительного покрова, устройство рабочей платформы, разбивку свай и вывозку грунта для их заполнения.
Если иольдиевые глины перекрыты торфом, то при устройстве насыпей со сваями его не удаляют.
При мощности торфа свыше 3 м и жестких сроках сооружения дорожной одежды верхнюю часть свай и рабочую платформу для ускорения осадки выполняют из дренирующего материала.
52. При расчистке полосы и снятии растительного покрова необходимо принять меры, предотвращающие повреждение верхнего слоя иольдиевых глин рабочими органами и гусеницами землеройных машин. При выполнении работ бульдозерами нож бульдозера не доводится до поверхности глин на 5 см. Объем призмы волочения ограничивают с таким расчетом, чтобы исключить пробуксовку гусениц и связанное с ней повреждение кровли иольдиевых глин.
53. На освобожденной от растительного покрова поверхности иольдиевой глины отсыпают рабочую платформу. Чтобы обеспечить устройство крайних рядов свай при продольном движении установки, рабочая платформа выводится за оси крайних рядов не менее, чем на 2,5 м
(рис. 2). Толщина рабочей платформы должна быть достаточной для работы дорожно-строительных машин и равной 0,5 - 1,5 м. Уплотнения рабочей платформы не требуется, так как оно достигается в процессе работ по устройству свай.
Рис. 2. Поперечное сечение насыпи земляного полотна
со сваями:
1 - рабочая платформа; 2 - иольдиевая глина;
3 - моренный суглинок
Рабочая платформа может быть выполнена из любого грунта, пригодного для отсыпки в насыпь, исключая рваный камень и моренные грунты с содержанием валунов свыше 10%. Коэффициент фильтрации грунта не нормируется. Если предусматривается работа сваи как несущей, так и дренирующей конструкции (см.
п. 38), то в рабочую платформу должен быть отсыпан грунт с коэффициентом фильтрации не ниже 3 м/сутки. Поверхность рабочей платформы планируют с поперечным уклоном не менее 2%, затем разбивают ось у свай с выноской и закреплением поперечных осей. На спланированную рабочую платформу самосвалами завозят грунт для заполнения свай и выставляют кучами
(рис. 3). Если сваи выполняют из того же грунта, что и рабочую платформу, то грунт для свай и платформы вывозят одновременно, и сваи устраивают непосредственно за планировкой платформы.
Рис. 3. Технологическая схема устройства песчаных свай
агрегатом ВВПС 32/19
1 - агрегат ВВПС 32/19; 2 - тракторный погрузчик Д-574;
3 - грунт для заполнения свай
54. В качестве основной машины при устройстве свай используют вибровдавливающий погружатель типа ВВПС 32/19, оборудованный обсадной трубой, конструкция которой аналогична применяемой при устройстве вертикальных дрен. Техническая характеристика установки ВВПС 32/19 приведена в
приложении 3.
Устройство свай выполняет механизированное звено, включающее установку ВВПС 32/19 и погрузчик-планировщик Д-442. Последний предназначен для засыпки грунта в обсадную трубу и планировки поверхности рабочей платформы до и после устройства свай.
55. Работы по устройству свай ведут по челночной схеме (см.
рис. 3). Сваи забивают продольными рядами по 20 - 30 штук, после чего установка разворачивается и забивает соседний ряд, следуя в обратном направлении. При переезде установки от сваи к свае обсадную трубу притягивают тросом или канатом к основанию стрелы во избежание раскачивания.
Обсадную трубу задавливают безвибрационным способом под действием пригруза. Вибропогружение рекомендуется лишь для прокалывания рабочей платформы и для проходки корки иольдиевых глин или встречающихся в толще глин плотных прослоек, т.е. в тех случаях, когда действие пригруза оказывается недостаточным для преодоления сопротивления задавливанию.
Погруженную на заданную глубину обсадную трубу заполняют грунтом, включая и приемный бункер, с тем, чтобы обеспечить в нем запас материала на уплотнение. Загрузку ведут погрузчиком-планировщиком Д-442.
По окончании загрузки обсадную трубу извлекают при включенном вибраторе. В продолжение первых 10 сек скорость извлечения не должна превышать 0,1 м/сек при максимальной интенсивности вибрации. В дальнейшем, если не наблюдается зависания песка в трубе, скорость извлечения может быть увеличена до 0,2 м/сек, а интенсивность вибрации снижена. Затем установка переезжает на новую точку.
56. В состав бригады по устройству свай входят: машинист ВВПС, помощник машиниста и машинист погрузчика. Сменная производительность механизированного отряда составляет около 60 свай диаметром 300 мм и длиной 6 м, время на устройство одной сваи не более 6 мин, включая переезд. При шаге свай 1 м и расположении их до 12 штук в ряд суточный темп потока при двухсменной работе составит 10 пог. м.
При необходимости сокращения сроков строительства работы по устройству свай можно вести одновременно двумя отрядами, которые в этом случае целесообразно размещать на разных захватках.
ФИЗИКО-МЕХАНИЧЕСКИЕ СВОЙСТВА ИОЛЬДИЕВЫХ ГЛИН
Наименование показателей | Единица измерения | Значения показателей | Коэффициент однородности, % |
от | до |
Содержание частиц мельче 0,005 мм | % | 88,0 | 96,7 | 90 |
0,001 мм | % | 58,6 | 75,8 | 81 |
Природная влажность | % | 37 | 140 | 42 |
Предел текучести | % | 42 | 79 | 69 |
Граница раскатывания | % | 23 | 32 | 84 |
Число пластичности | % | 17 | 40 | 60 |
Коэффициент консистенции | - | 0,30 | 4,0 | 10 |
Относительная влажность | - | 0,68 | 2,23 | 46 |
Удельный вес | г/см3 | 2,69 | 2,83 | 97 |
Объемный вес | г/см3 | 1,35 | 1,76 | 87 |
Коэффициент пористости | - | 1,30 | 3,00 | 60 |
Коэффициент фильтрации | м/сутки | 10-4 | 10-5 | 20 |
Предел структурной прочности при компрессионном сжатии | кгс/см2 | 0,2 | 1,0 | 34 |
Модуль осадки до предела структурной прочности | мм/м | 10 | 40 | 40 |
Модуль осадки за пределом структурной прочности при P = 1 кгс/см2 | мм/м | 60 | 300 | 33 |
Сопротивляемость сдвигу по крыльчатке | кгс/см2 | 0,05 | - | - |
Сопротивляемость сдвигу при нормальном давлении P = 0,5 кгс/см2 | кгс/см2 | 0,04 | 0,35 | 7 |
ПРИМЕР РАСЧЕТА НАСЫПИ С ПЕСЧАНЫМИ СВАЯМИ
Исходные данные
1. Автомобильная дорога с асфальтобетонным покрытием, устраиваемым через один год после отсыпки насыпи.
Насыпь: расчетная высота
h = 3 м, ширина поверху
B = 12 м; откосы 1:1,5; объемный вес грунта насыпи

.
2. Основание насыпи: иольдиевые глины III группы залегают с поверхности и подстилаются моренными суглинками. Мощность глин
H = 7 м. Прочностные характеристики глин в условиях природного залегания:
CW = 0,15 кгс/см
2,
Cс = 0,10 кгс/см
2;

;
Pстр = 0,4 кгс/см
2;

;
eр=0,6 = 100 мм/м.
Расчет основания без свай
Расчетная нагрузка на основание
Безопасная нагрузка на основание по графику (
рис. 5 "Методических указаний") при

т.е. Pбез < P0 - устойчивость не обеспечена.
Расчетная нагрузка на основание P0 = 0,6 кгс/см2.
Безопасная нагрузка
Pбез =
Pстр = 0,4 кгс/см
2, т.е. условие по
п. 17, б не обеспечено, возможна осадка основания
S =
eP0H = 0,10·0,6·7 = 0,42 м.
Столь значительная осадка не может быть допущена, ибо интенсивность ее к моменту устройства покрытия превысит 10 см/год.
Расчет песчаных свай
Для обеспечения устойчивости
(п. 17, а) и недеформируемости
(п. 17, б) основания насыпи могут быть устроены песчаные сваи. Диаметр свай
D = 0,30 м, коэффициент бокового давления песка

.
Условие обеспечения устойчивости при

запишем:

, т.е.

.
В долях от расчетной нагрузки допустимая разность главных напряжений составит
По табл. 4 (см. вклейку настоящих "Методических рекомендаций") при

этой величине соответствует сближение

.
Для получения недеформируемого основания давление на глину должно быть ограничено пределом структурной прочности грунта, т.е. 0,4 кгс/см2.
В долях от
P0 это составит

.
По табл. 4 (см. вклейку) величине

отвечает

.
Из расчета (по обоим условиям
п. 17) принимаем
m = 0,2, что отвечает расстоянию между сваями
L = 1,5 м и шагу свай 1,8 м.
ТЕХНИЧЕСКАЯ ХАРАКТЕРИСТИКА УСТАНОВКИ ДЛЯ УСТРОЙСТВА
СВАЙ-ДРЕН ВВПС 32/19
Способ погружения обсадной трубы в грунт | Комбинированный - вибрационно-вдавливающий |
Наибольшая длина погружаемой обсадной трубы |
без вставки | 7,0 м |
со вставкой | 11,0 м |
Наибольший вес погружаемого снаряда | 2600 кг |
Диаметр погружаемой трубы | 300 - 500 мм |
Максимальная возмущающая сила | 28000 кгс |
Максимальное усилие вдавливания | 18000 кгс |
Базовая машина | Трактор Т-140 или Т-180 |
Вес агрегата |
общий | 26886 кг |
без вибропогружателя | 22876 кг |
Габариты в рабочем положении |
высота | 12480 мм |
длина | 8500 мм |
ширина | 2740 мм |
Электрический генератор С-116-6 |
мощность на зажимах | 96 кВт |
номинальное напряжение | 380 В |
Двухбарабанная 4-тонная лебедка |
тяговое усилие каждого барабана | 4000 кгс |
мощность электродвигателя | 6,5/10 кВт |
Удельное давление на грунт | 0,53 кгс/см2 |
Обслуживающий персонал | 2 человека |