Главная // Актуальные документы // Актуальные документы (обновление 2025.09.01-2025.09.27) // ГОСТ (Государственный стандарт)СПРАВКА
Источник публикации
В данном виде документ опубликован не был.
Первоначальный текст документа опубликован в издании
М.: Стандартинформ, 2019.
Информацию о публикации документов, создающих данную редакцию, см. в справке к этим документам.
Примечание к документу
Документ включен в
Перечень стандартов, содержащих правила и методы исследований (испытаний) и измерений, в том числе правила отбора образцов, необходимые для применения и исполнения требований технического
регламента Таможенного союза "Безопасность автомобильных дорог" (ТР ТС 014/2011) и осуществления оценки соответствия объектов технического регулирования (
Решение Коллегии Евразийской экономической комиссии от 18.09.2012 N 159).
Изменение N 1 введено в действие на территории Российской Федерации
Приказом Росстандарта от 18.03.2025 N 153-ст с 01.05.2025.
Название документа
"ГОСТ 32860-2014. Межгосударственный стандарт. Дороги автомобильные общего пользования. Щебень и песок шлаковые. Определение гранулометрического состава"
(введен в действие Приказом Росстандарта от 02.02.2015 N 55-ст)
(ред. от 18.03.2025)
"ГОСТ 32860-2014. Межгосударственный стандарт. Дороги автомобильные общего пользования. Щебень и песок шлаковые. Определение гранулометрического состава"
(введен в действие Приказом Росстандарта от 02.02.2015 N 55-ст)
(ред. от 18.03.2025)
агентства по техническому
регулированию и метрологии
от 2 февраля 2015 г. N 55-ст
МЕЖГОСУДАРСТВЕННЫЙ СТАНДАРТ
ДОРОГИ АВТОМОБИЛЬНЫЕ ОБЩЕГО ПОЛЬЗОВАНИЯ
ЩЕБЕНЬ И ПЕСОК ШЛАКОВЫЕ
ОПРЕДЕЛЕНИЕ ГРАНУЛОМЕТРИЧЕСКОГО СОСТАВА
Automobile roads of general use. Rubble and sand slag.
Determination of particle size distribution
ГОСТ 32860-2014
| | Список изменяющих документов Приказом Росстандарта от 18.03.2025 N 153-ст) | |
Дата введения
1 июля 2015 года
Цели, основные принципы и общие правила проведения работ по межгосударственной стандартизации установлены
ГОСТ 1.0 "Межгосударственная система стандартизации. Основные положения" и
ГОСТ 1.2 "Межгосударственная система стандартизации. Стандарты межгосударственные, правила и рекомендации по межгосударственной стандартизации. Правила разработки, принятия, обновления и отмены"
1 РАЗРАБОТАН Обществом с ограниченной ответственностью "Центр метрологии, испытаний и стандартизации", Межгосударственным техническим комитетом по стандартизации МТК 418 "Дорожное хозяйство"
2 ВНЕСЕН Федеральным агентством по техническому регулированию и метрологии
3 ПРИНЯТ Межгосударственным советом по стандартизации, метрологии и сертификации (протокол от 25 июня 2014 г. N 45)
За принятие проголосовали:
Краткое наименование страны по МК (ИСО 3166) 004-97 | Код страны по МК (ИСО 3166) 004-97 | Сокращенное наименование национального органа по стандартизации |
Армения | AM | Минэкономики Республики Армения |
Беларусь | BY | Госстандарт Республики Беларусь |
Казахстан | KZ | Госстандарт Республики Казахстан |
Киргизия | KG | Кыргызстандарт |
Россия | RU | Росстандарт |
Таджикистан | TJ | Таджикстандарт |
4
Приказом Федерального агентства по техническому регулированию и метрологии от 2 февраля 2015 г. N 55-ст межгосударственный стандарт ГОСТ 32860-2014 введен в действие в качестве национального стандарта Российской Федерации с 1 июля 2015 г.
5 ВВЕДЕН ВПЕРВЫЕ
6 ПЕРЕИЗДАНИЕ. Август 2019 г.
Информация о введении в действие (прекращении действия) настоящего стандарта и изменений к нему на территории указанных выше государств публикуется в указателях национальных стандартов, издаваемых в этих государствах, а также в сети Интернет на сайтах соответствующих национальных органов по стандартизации.
В случае пересмотра, изменения или отмены настоящего стандарта соответствующая информация будет опубликована на официальном интернет-сайте Межгосударственного совета по стандартизации, метрологии и сертификации в каталоге "Межгосударственные стандарты"
Настоящий стандарт входит в группу межгосударственных стандартов, устанавливающих требования и методы испытаний для шлаковых щебня и песка.
Абзац исключен с 01.05.2025. -
Изменение N 1, введенное в действие Приказом Росстандарта от 18.03.2025 N 153-ст.
Настоящий стандарт распространяется на щебень и песок из шлаков черной и цветной металлургии, а также фосфорные шлаки, применяемые при строительстве, ремонте, капитальном ремонте, реконструкции и содержании автомобильных дорог общего пользования.
Настоящий стандарт устанавливает метод определения гранулометрического состава шлаковых щебня и песка.
В настоящем стандарте использованы нормативные ссылки на следующие межгосударственные стандарты:
ГОСТ 12.1.004 Система стандартов безопасности труда. Пожарная безопасность. Общие требования
ГОСТ 12.1.007 Система стандартов безопасности труда. Вредные вещества. Классификация и общие требования безопасности
ГОСТ 12.1.044 (ИСО 4589-84) Система стандартов безопасности труда. Пожаровзрывоопасность веществ и материалов. Номенклатура показателей и методы их определения
Ссылка исключена с 01.05.2025. -
Изменение N 1, введенное в действие Приказом Росстандарта от 18.03.2025 N 153-ст.
--------------------------------
<1> Сноска исключена с 01.05.2025. -
Изменение N 1, введенное в действие Приказом Росстандарта от 18.03.2025 N 153-ст.
ГОСТ 28846 (ИСО 4418-78) Перчатки и рукавицы. Общие технические условия
ГОСТ 32826 Дороги автомобильные общего пользования. Щебень и песок шлаковые. Технические требования
ГОСТ 32859 Дороги автомобильные общего пользования. Щебень и песок шлаковый. Определение содержания пылевидных и глинистых частиц
ГОСТ 32862 Дороги автомобильные общего пользования. Щебень и песок шлаковые. Отбор проб
Примечание - При пользовании настоящим стандартом целесообразно проверить действие ссылочных стандартов и классификаторов на официальном интернет-сайте Межгосударственного совета по стандартизации, метрологии и сертификации (www.easc.by) или по указателям национальных стандартов, издаваемым в государствах, указанных в предисловии, или на официальных сайтах соответствующих национальных органов по стандартизации. Если на документ дана недатированная ссылка, то следует использовать документ, действующий на текущий момент, с учетом всех внесенных в него изменений. Если заменен ссылочный документ, на который дана датированная ссылка, то следует использовать указанную версию этого документа. Если после принятия настоящего стандарта в ссылочный документ, на который дана датированная ссылка, внесено изменение, затрагивающее положение, на которое дана ссылка, то это положение применяется без учета данного изменения. Если ссылочный документ отменен без замены, то положение, в котором дана ссылка на него, применяется в части, не затрагивающей эту ссылку.
В настоящем стандарте применены термины по
ГОСТ 32826, а также следующие термины с соответствующими определениями:
3.1 гранулометрический состав: Содержание в материале зерен различной крупности, выраженное в процентах от массы всего материала.
3.2 просеивание: Ручная или механическая сортировка сыпучего материала по размерам зерен с помощью сит.
3.3 частный остаток: Остаток материала на каждом сите, получаемый после просеивания.
3.4 полный остаток: Сумма частных остатков на данном сите и всех ситах с большими размерами ячеек.
3.5 единичная проба: Проба шлакового щебня или песка, полученная методом сужения из лабораторной пробы и предназначенная для сокращения до требуемого количества мерных проб для проведения испытания.
3.6 мерная проба: Количество шлакового щебня или песка, используемое для получения одного результата в одном испытании.
3.7 постоянная масса: Масса пробы, высушиваемой в сушильном шкафу при температуре (110 +/- 5) °C, различающаяся не более чем на 0,1% по результатам двух последних последовательно проведенных взвешиваний через промежутки времени, составляющие не менее 1 ч.
4 Требования безопасности и охраны окружающей среды
4.1 При работе со шлаковыми щебнем и песком необходимо соблюдать требования техники безопасности, предусмотренные
ГОСТ 12.1.007.
4.2 Шлаковые щебень и песок в соответствии с
ГОСТ 12.1.044 относятся к негорючим веществам.
4.3 Персонал при работе со шлаковым щебнем и песком должен быть обеспечен средствами индивидуальной защиты:
4.4 При работе с сушильным шкафом необходимо соблюдать правила пожарной безопасности, предусмотренные
ГОСТ 12.1.004.
4.5 Утилизацию испытанного материала проводят в соответствии с рекомендациями завода-изготовителя и действующим законодательством.
5 Требования к условиям испытания
При проведении испытания шлакового щебня и песка должны соблюдаться следующие условия для помещений:
- температура воздуха - (21 +/- 4) °C;
- относительная влажность воздуха - не более 80%.
Перед началом испытания щебень и песок должны иметь температуру, соответствующую температуре воздуха в помещении.
Сущность метода заключается в распределении и разделении зерен шлакового щебня и песка путем просеивания мерной пробы через набор сит и определении полных остатков на каждом сите.
7.1 Требования к средствам измерений и вспомогательным устройствам
При проведении испытания применяют следующие средства измерений и вспомогательные устройства:
- сита с квадратными ячейками, соответствующими номинальным размерам зерен определенной фракции: 2D; 1,4D; D; d; d/2, и среднее сито с размерами ячеек для широких фракций D/1,4 для смеси фракций D/2 в соответствии с
[1] и
[2].
Примечание - Если выбранные сита не совпадают с серией R20, указанной в стандарте
[3], то вместо них применяют сита на ступень выше или ниже;
- поддоны и крышки для сит;
- шкаф сушильный, обеспечивающий циркуляцию воздуха и поддержание температуры (110 +/- 5) °C;
- сито для промывки щебня с размером ячеек 0,063 мм в соответствии с
[1];
- весы, обеспечивающие измерение массы пробы с относительной погрешностью не более 0,1% от минимальной массы мерной пробы;
(в ред.
Изменения N 1, введенного в действие Приказом Росстандарта от 18.03.2025 N 153-ст)
- противни металлические.
7.2 Подготовка к проведению испытания
7.2.1 Отбор и формирование проб шлакового щебня проводят в соответствии с
ГОСТ 32862.
7.2.2 Для проведения испытания единичную пробу шлакового щебня высушивают при температуре (110 +/- 5) °C до постоянной массы. Из высушенной единичной пробы готовят мерную пробу шлакового щебня массой, приведенной в таблице 1.
Таблица 1
Наибольший номинальный размер зерен, мм | Масса мерной пробы, г не менее |
5,6 | 2000 |
8 |
11,2 | 5000 |
16 |
22,4 | 10 000 |
31,5 |
45 | 40 000 |
63 |
90 | 80 000 |
(п. 7.2.2 в ред.
Изменения N 1, введенного в действие Приказом Росстандарта от 18.03.2025 N 153-ст)
7.2.3 Мерную пробу шлакового щебня взвешивают и фиксируют массу
m1: до 0,1 г - при массе пробы до 2000 г включительно; до 1 г - при массе пробы свыше 2000 г до 10 000 г включительно; до 10 г - при массе пробы свыше 10 000 г.
(п. 7.2.3 в ред.
Изменения N 1, введенного в действие Приказом Росстандарта от 18.03.2025 N 153-ст)
7.3 Порядок проведения испытания
7.3.1 Высушенную мерную пробу шлакового щебня просеивают через набор сит. Сита располагают сверху вниз по степени уменьшения размеров ячеек, заканчивая поддоном.
7.3.2 После завершения просеивания сита последовательно снимают, начиная с верхнего.
7.3.3 Шлаковый щебень просеивают отдельно на каждом сите вручную, не допуская потери материала. Для этого используют поддон и крышку.
7.3.4 Процесс просеивания можно считать законченным, когда масса остатка на сите в течение 1 мин просеивания изменяется не более чем на 1%.
Примечание - Процесс просеивания может быть проведен ручным или механическим способом. После просеивания механическим способом необходимо осуществлять контрольное встряхивание каждого сита вручную.
7.3.5 Гранулометрический состав шлакового щебня допускается определять после предварительной промывки пробы этого материала для определения содержания пылевидных и глинистых частиц в его составе. Методика промывки и определение содержания пылевидных и глинистых частиц приведены в
ГОСТ 32859.
7.3.6 Во избежание перегрузки сит масса зерен шлакового щебня X, г, на сите при просеивании не должна превышать значения, рассчитанного по формуле

, (1)
где A - площадь сита, мм2;
d - размер ячеек сита, мм.
Если масса зерен шлакового щебня, предназначенных для просеивания через сито, превышает значение, рассчитанное по
формуле (1), то навеску разделяют на две части или более и последовательно просеивают.
7.3.7 Частные остатки на всех ситах и поддоне последовательно взвешиваюти фиксируют массы
mi, в соответствии с
7.2.3.
(в ред.
Изменения N 1, введенного в действие Приказом Росстандарта от 18.03.2025 N 153-ст)
7.4 Обработка результата испытания
Значение частного остатка ai на каждом сите выражают в процентах от массы пробы в сухом состоянии, и m1 рассчитывают по формуле

, (2)
где mi - масса частного остатка на данном сите, г;
m1 - масса мерной пробы в сухом состоянии, г.
Полные остатки на каждом сите определяют в процентах от массы мерной пробы путем сложения частных остатков на данном сите и частных остатков на всех ситах с размерами ячеек, превышающими размер ячеек данного сита.
Полные проходы через каждое сито определяют в процентах от массы мерной пробы путем вычитания частного остатка на данном сите и на всех ситах с большими размерами ячеек от суммы частных остатков на всех ситах.
(абзац введен
Изменением N 1, введенным в действие Приказом Росстандарта от 18.03.2025 N 153-ст)
Если сумма частных остатков более чем на 1% отличается от массы m1, испытание необходимо повторить. Результат испытания рассчитывают до первого знака после запятой. За результат испытаний принимают среднее арифметическое значение двух параллельных определений.
(в ред.
Изменения N 1, введенного в действие Приказом Росстандарта от 18.03.2025 N 153-ст)
8.1 Требования к средствам измерений и вспомогательным устройствам
При проведении испытания применяют следующие средства измерений и вспомогательные устройства:
- весы, обеспечивающие измерение массы пробы с относительной погрешностью не более 0,1% от минимальной массы мерной пробы;
(в ред.
Изменения N 1, введенного в действие Приказом Росстандарта от 18.03.2025 N 153-ст)
- сита с квадратными ячейками размерами 0,125; 0,25; 0,5; 1; 2; 4; 8 мм в соответствии с
[1] и
[2];
- поддоны и крышки для сит;
- противни металлические;
- шкаф сушильный, обеспечивающий циркуляцию воздуха и поддержание температуры (110 +/- 5) °C.
8.2 Подготовка к проведению испытания
8.2.1 Отбор и формирование проб шлакового песка проводят в соответствии с
ГОСТ 32862.
8.2.2 Для подготовки к испытанию используют единичную пробу, которая должна составлять не менее 5000 г.
8.3 Определение содержания частиц крупнее 8 и 4 мм
8.3.1 Единичную пробу шлакового песка высушивают до постоянной массы при температуре (110 +/- 5) °C, взвешивают, фиксируют массу m до 0,1 г и просеивают через сита с размерами ячеек 8 и 4 мм.
(п. 8.3.1 в ред.
Изменения N 1, введенного в действие Приказом Росстандарта от 18.03.2025 N 153-ст)
8.3.2 Процесс просеивания можно считать законченным, когда масса остатка на сите в течение 1 мин просеивания изменяется не более чем на 1%.
8.3.3 Остаток на сите с размером ячейки 8 мм взвешивают и фиксируют массу m8 до 0,1 г. Остаток на сите с размером ячейки 4 мм взвешивают и фиксируют массу m4 до 0,1 г.
(п. 8.3.3 в ред.
Изменения N 1, введенного в действие Приказом Росстандарта от 18.03.2025 N 153-ст)
8.4 Определение гранулометрического состава и модуля крупности
8.4.1 Из шлакового песка, оставшегося в поддоне после просеивания через сито 4 мм, формируют две мерные пробы. Масса мерной пробы m должна составлять не менее 1000 г.
(п. 8.4.1 в ред.
Изменения N 1, введенного в действие Приказом Росстандарта от 18.03.2025 N 153-ст)
8.4.2 Сформированную мерную пробу просеивают через набор сит с квадратными ячейками размерами 2; 1; 0,5; 0,25; 0,125 мм.
8.4.3 При просеивании необходимо соблюдать указания, приведенные в
8.3.2.
8.4.4 Частные остатки на всех ситах и поддоне последовательно взвешивают и фиксируют массу mi до 0,1 г.
(п. 8.4.4 в ред.
Изменения N 1, введенного в действие Приказом Росстандарта от 18.03.2025 N 153-ст)
8.5 Обработка результата испытания
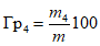
8.5.1 Содержание частиц размерами крупнее 8 (Гр8) и 4 мм (Гр4), в процентах по массе, определяют по формулам:

, (3)

, (4)
где m8 - остаток на сите с размерами ячеек 8 мм, г;
m - масса единичной пробы, г;
m4 - остаток на сите с размерами ячеек 4 мм, г.
8.5.2 Частный остаток на каждом сите ai, в процентах по массе, определяют по формуле

, (5)
где mi - масса остатка на данном сите, г;
m - масса мерной пробы, г.
Результат испытания рассчитывают до первого знака после запятой. Если сумма частных остатков более чем на 1% отличается от массы m, испытание необходимо повторить. За результат испытаний принимают среднее арифметическое значение двух параллельных определений.
(в ред.
Изменения N 1, введенного в действие Приказом Росстандарта от 18.03.2025 N 153-ст)
8.5.3 Полный остаток на каждом сите Ai, в процентах по массе, определяют по формуле
Ai = a2 + a1 + ... + ai, (6)
где a1, a2, ..., ai - частные остатки на ситах с размерами ячеек 2; 1; ...; i мм.
8.5.4 Модуль крупности песка Мк определяют по формуле

, (7)
где A2, A1, A0,5, A0,25, A0,125 - полные остатки на ситах с размерами ячеек 2; 1; 0,5; 0,25; 0,125 мм.
8.5.5 Результат испытания представляют в форме таблицы, указывая частные и полные остатки в процентах от массы. Результат испытания рассчитывают с точностью до первого знака после запятой.
9 Оформление результата испытания
Результат испытания оформляется в виде протокола, который должен содержать:
- номер протокола;
- дату проведения испытания;
- наименование организации, проводившей испытание;
- ссылку на настоящий стандарт;
- ссылку на акт отбора проб;
- наименование испытуемого материала;
- результат испытания;
- сведения об условиях проведения испытания;
- фамилию, инициалы и личную подпись лица, проводившего испытание;
- фамилию, инициалы и личную подпись лица, ответственного за испытание.
10 Контроль точности результата испытания
Точность результата испытания обеспечивается:
- соблюдением требований настоящего стандарта;
- проведением периодической оценки метрологических характеристик средств измерений;
- проведением периодической аттестации оборудования.
Лицо, проводящее испытание, должно быть ознакомлено с требованиями настоящего стандарта.
| ISO 3310-1:2016 | Test sieves - Technical requirements and testing - Part 1: Test sieves of metal wire cloth (Сита лабораторные. Технические требования и испытания. Часть 1. Сита из проволочной ткани) |
(позиция [1] в ред. Изменения N 1, введенного в действие Приказом Росстандарта от 18.03.2025 N 153-ст) |
| ISO 3310-2:2013 | Test sieves - Technical requirements and testing - Part 2: Test sieves of perforated metal plate (Сита лабораторные. Технические требования и испытания. Часть 2. Сита из металлической перфорированной пластины) |
(позиция [2] в ред. Изменения N 1, введенного в действие Приказом Росстандарта от 18.03.2025 N 153-ст) |
| ISO 565:1990 | Сита контрольные. Проволочная ткань, перфорированные пластины и листы, изготовленные гальваническим методом. Номинальные размеры отверстий (Test sieves; metal wire cloth, perforated metal plate and electroformed sheet; nominal sizes of openings) |
УДК 625.073:006.354 | |
Ключевые слова: щебень шлаковый, песок шлаковый, гранулометрический состав, просеивание, частные остатки, полные остатки, фракция |