Главная // Актуальные документы // Актуальные документы (обновление 2025.08.04-2025.08.30) // ГОСТ Р (Государственный стандарт)СПРАВКА
Источник публикации
М.: ФГБУ "Институт стандартизации", 2025
Примечание к документу
Документ
вводится в действие с 01.04.2026.
Название документа
"ГОСТ Р 72160-2025. Национальный стандарт Российской Федерации. Менеджмент риска. Управление рисками проектов"
(утв. и введен в действие Приказом Росстандарта от 19.06.2025 N 591-ст)
"ГОСТ Р 72160-2025. Национальный стандарт Российской Федерации. Менеджмент риска. Управление рисками проектов"
(утв. и введен в действие Приказом Росстандарта от 19.06.2025 N 591-ст)
Утвержден и введен в действие
по техническому регулированию
и метрологии
от 19 июня 2025 г. N 591-ст
НАЦИОНАЛЬНЫЙ СТАНДАРТ РОССИЙСКОЙ ФЕДЕРАЦИИ
МЕНЕДЖМЕНТ РИСКА
УПРАВЛЕНИЕ РИСКАМИ ПРОЕКТОВ
Risk management. Project risk management
ГОСТ Р 72160-2025
Дата введения
1 апреля 2026 года
1 ПОДГОТОВЛЕН Петербургским государственным университетом путей сообщения Императора Александра I (ФГБОУ ВО ПГУПС) и Ассоциацией риск-менеджмента "Русское общество управления рисками" (АРМ "РусРиск")
2 ВНЕСЕН Техническим комитетом по стандартизации ТК 010 "Менеджмент риска"
3 УТВЕРЖДЕН И ВВЕДЕН В ДЕЙСТВИЕ
Приказом Федерального агентства по техническому регулированию и метрологии от 19 июня 2025 г. N 591-ст
4 ВВЕДЕН ВПЕРВЫЕ
5 Некоторые элементы настоящего стандарта могут являться объектами патентных прав
Правила применения настоящего стандарта установлены в статье 26 Федерального закона от 29 июня 2015 г. N 162-ФЗ "О стандартизации в Российской Федерации". Информация об изменениях к настоящему стандарту публикуется в ежегодном (по состоянию на 1 января текущего года) информационном указателе "Национальные стандарты", а официальный текст изменений и поправок - в ежемесячном информационном указателе "Национальные стандарты". В случае пересмотра (замены) или отмены настоящего стандарта соответствующее уведомление будет опубликовано в ближайшем выпуске ежемесячного информационного указателя "Национальные стандарты". Соответствующая информация, уведомление и тексты размещаются также в информационной системе общего пользования - на официальном сайте Федерального агентства по техническому регулированию и метрологии в сети Интернет (www.rst.gov.ru)
Мир финансовой глобализации уходит в прошлое, открывая дорогу цивилизациям, несущим традиционные ценности, новые смыслы и проекты будущего. Трансформация миропорядка, перестройка глобальных финансовых, логистических и производственных систем, цифровизация, ускоренное развитие и внедрение технологий искусственного интеллекта порождают большие вызовы.
Большие вызовы - это объективно требующая реакции со стороны государства совокупность проблем, угроз и возможностей, сложность и масштаб которых таковы, что они не могут быть решены, устранены или реализованы исключительно за счет увеличения объема используемых ресурсов
[1].
Большие вызовы, включая вызовы технологического развития, становятся источником неопределенности и создают существенные риски для общества, экономики, системы государственного управления, но одновременно представляют собой важный фактор для открытия новых возможностей и перспектив научно-технологического развития. Указанную особенность следует принимать во внимание в управлении проектами с учетом права на обоснованный риск
[2], обеспечивая необходимый уровень их результативности, эффективности и устойчивости в условиях неопределенности на этапах жизненного цикла.
Проект - это временное предприятие, направленное на создание уникального продукта, услуги или результата
[3]. Каждый проект характеризуется наличием цели, достижение которой приводит к его завершению. Важной особенностью проекта является новизна цели и неповторимость результатов. Цель проекта определяет длительность жизненного цикла, ожидаемый результат проекта и критерии его успешности.
Вместе с тем в реальных условиях реализации только 16,2% проектов признаются успешными - выполняются вовремя и в рамках бюджета, 52,7% проектов реализуются с превышением бюджета (в среднем на 89%), 31,1% проектов считаются нереализованными - отменяются, поставленные цели не достигаются. Основными причинами сложившейся неблагоприятной ситуации в управлении проектами эксперты называют игнорирование на практике новых вызовов, неопределенности и риска, низкую эффективность управления рисками и недостаточную для практики достоверность оценок ожидаемых результатов проекта.
В условиях больших вызовов, неопределенности и риска все проекты подвержены изменениям, что вызывает появление их новых качеств, а неустойчивость и неравновесность проектов является источником возникновения нового порядка управления проектами. Это приводит к повышению требований к проектной подготовке и реализации проектов на этапах жизненного цикла, поскольку в этих случаях проектом необходимо предусматривать меры по управлению рисками, обеспечивая адаптацию проекта к постоянно меняющимся условиям реализации.
Управление рисками проектов - это культура, компетенции и практики, которые руководитель проекта и иные заинтересованные стороны применяют для обоснованного выбора стратегии управления и ее реализации в условиях неопределенности значительного количества факторов, оказывающих влияние на риск. Управление рисками проекта предполагает постоянную работу руководителя проекта и иных заинтересованных сторон с угрозами и возможностями, которые могут существенно повлиять на достижение целей проекта.
Управление рисками проектов в условиях неопределенности прямо ориентировано на обеспечение устойчивости и эффективное использование ресурсов проектов, в том числе путем выявления, оценки, приоритизации, выбора стратегии управления и мониторинга рисков.
В достижении целей проектов необходимо шире использовать положительный международный и отечественный опыт управления рисками, совершенствовать и развивать количественные методы управления рисками, постоянно оценивать влияние рисков на конкурентоспособность, качество, стоимость, сроки, иную результативность и эффективность проектов, разрабатывать и внедрять в проектное управление цифровые технологии и интегрированные системы управления рисками.
В практике управления рисками проектов это неизбежно приводит к необходимости результатно-ориентированного подхода
[4], применение которого все более отчетливо обнажает проблему недостаточной для принятия обоснованных решений достоверности большинства существующих стандартизированных моделей и методов оценки риска, включая универсальные и широко распространенные вероятностно-статистические и логико-вероятностные модели риска.
Настоящий стандарт описывает современные технологии и методы количественной оценки рисков, прямо ориентированных на точечную и распределенную оценку последствий с приемлемой для практики достоверностью оценок и выбор на этой основе стратегии управления, обеспечивающей возможность достижения результативности, эффективности и устойчивости проекта в условиях больших вызовов, неопределенности и риска.
Стандарт не имеет аналогов среди международных, межгосударственных и национальных стандартов и содержит руководящие указания по интеграции управления рисками проектов в проектное управление. Применение концепции интеграции управления рисками с процессами стратегического планирования, создания стоимости, обеспечения результативности и эффективности проектов
[5], умение использовать в управлении проектами современные методы оценки и управления рисками помогут специалистам решать сложнейшие задачи управления проектами в условиях неопределенности и доводить такие проекты до их полной и экономически эффективной реализации.
Настоящий стандарт является руководством по управлению рисками проектов в реальном секторе экономики на основе результатно-ориентированного подхода
[4], современных технологий качественной и количественной оценки рисков, концепции интеграции управления рисками
[5] с процессами стратегического планирования, создания стоимости, обеспечения результативности, эффективности и устойчивости проектов.
Настоящий стандарт устанавливает основные понятия в области управления рисками проектов, включая такие концептуально и методологически взаимосвязанные понятия, как стратегия управления риском, профиль риска проекта, допустимый уровень риска, толерантность к риску проекта, устойчивость проекта.
Настоящий стандарт устанавливает критерии риска, технологии и методы точечной и распределенной оценки риска, прямо ориентированные на выбор стратегии управления риском, создание стоимости, обеспечение эффективности и устойчивости проекта.
Положения настоящего стандарта применимы для всех проектов, независимо от их статуса, значимости, сложности, источников финансирования и этапа жизненного цикла, от инвестиционного замысла и разработки концепции до полного завершения и достижения целей проекта в условиях больших вызовов, неопределенности и риска.
В настоящем стандарте использованы нормативные ссылки на следующие стандарты:
ГОСТ Р 58970 Менеджмент риска. Количественная оценка влияния рисков на стоимость и сроки инвестиционных проектов
ГОСТ Р ИСО 21500 Управление проектами, программами и портфелями проектов. Контекст и основные понятия
Примечание - При пользовании настоящим стандартом целесообразно проверить действие ссылочных стандартов в информационной системе общего пользования - на официальном сайте Федерального агентства по техническому регулированию и метрологии в сети Интернет или по ежегодному информационному указателю "Национальные стандарты", который опубликован по состоянию на 1 января текущего года, и по выпускам ежемесячного информационного указателя "Национальные стандарты" за текущий год. Если заменен ссылочный стандарт, на который дана недатированная ссылка, то рекомендуется использовать действующую версию этого стандарта с учетом всех внесенных в данную версию изменений. Если заменен ссылочный стандарт, на который дана датированная ссылка, то рекомендуется использовать версию этого стандарта с указанным выше годом утверждения (принятия). Если после утверждения настоящего стандарта в ссылочный стандарт, на который дана датированная ссылка, внесено изменение, затрагивающее положение, на которое дана ссылка, то это положение рекомендуется применять без учета данного изменения. Если ссылочный стандарт отменен без замены, то положение, в котором дана ссылка на него, рекомендуется применять в части, не затрагивающей эту ссылку.
3.1 Термины и определения, относящиеся к проекту
3.1.1
проект: Временное предприятие, направленное на создание уникального продукта, услуги или результата. Примечания 1 Временный характер проектов определяет существование начала и конца выполнения проекта или этапа его жизненного цикла. 2 Проекты могут существовать самостоятельно, в составе программы или портфеля проектов. |
3.1.2 цель проекта: Результат проекта, который должен быть достигнут.
Примечания
1 Цель проекта может относиться к этапу жизненного цикла проекта или ожидаемому результату проекта.
2 Цель проекта может быть выражена через результат или целевой параметр проекта, такие как стоимость, сроки, качество, результативность, эффективность или устойчивость проекта.
3.1.3
жизненный цикл проекта: Совокупность взаимосвязанных этапов последовательного изменения состояния проекта либо период времени от инвестиционного замысла и разработки концепции проекта до достижения цели и полного завершения проекта.
Примечание - Жизненный цикл состоит из этапов выполнения проекта с момента разработки инвестиционного замысла до завершения проекта.
3.1.4
этап жизненного цикла проекта: Деление жизненного цикла проекта (3.1.3) на управляемые наборы действий, таких как создание концепции, разработка, реализация и завершение проекта. |
3.1.5 эффективность проекта: Соотношение между достигнутым результатом проекта и использованными ресурсами.
Примечание - Эффективность проекта отражает его соответствие целям и интересам заинтересованных сторон.
3.1.6
устойчивость проекта: Способность проекта
(3.1.3) к равновесию и адаптации в сложных и изменяющихся условиях реализации на этапах жизненного цикла.
3.2 Термины и определения, относящиеся к риску проекта
3.2.1
риск проекта: Следствие влияния неопределенности на достижение цели проекта.
Примечания
1 Под следствием влияния неопределенности понимают отклонение от ожидаемого результата проекта. Оно может быть положительным, отрицательным или тем и другим, и может приводить к возникновению возможностей и угроз.
2 Риск проекта часто выражается через его источники, потенциальные события, их последствия и вероятность.
3.2.2
фактор риска проекта: Существенное обстоятельство, событие, источник неопределенности, причина угрозы и (или) возможности, оказывающие существенное влияние на риск проекта
(3.2.1) и определяющие его содержание и возможные последствия.
Примечания
1 Под последствием понимают результат влияния фактора риска на достижение цели проекта.
2 Последствия могут обладать качественными или количественными характеристиками.
3.2.3
управление риском проекта: Скоординированные меры, направленные на адаптацию к риску и изменение риска проекта (3.2.1). Примечание - Управление риском проекта может включать в себя: - изменение предельных значений результата или целевых параметров проекта; - пересмотр допустимого уровня риска; - воздействие на риск. [Адаптировано из ГОСТ Р ИСО 31000-2019, пункт 3.8] |
3.2.4 стратегия управления риском: Способ воздействия на риск, направленный на удержание и (или) изменение риска для достижения цели проекта в условиях больших вызовов, неопределенности и риска.
Примечание - Выбор стратегии осуществляется в отношении каждой цели и (или) целевого параметра проекта.
воздействие на риск проекта: Процесс изменения риска проекта (3.2.1), вероятности и последствий. Примечания 1 Воздействие на риск проекта может включать в себя: - исключение риска путем принятия решения не начинать или завершить проект, которому присущ риск; - принятие риска или увеличение риска для достижения возможности; - изменение вероятности и последствий риска; - передачу риска другой стороне или сторонам (путем включения в контракты и формирования финансовых резервов по риску); - обоснованное решение о сохранении риска. |
3.2.6
критерии риска проекта: Правило, признак, принцип, на основании которых формируется оценка существенности риска проекта
(3.2.1).
Примечания
1 Критерии риска проекта могут быть сформированы на основе установленных целей, ожидаемых результатов и условий реализации проекта, а также с учетом правовых и регуляторных требований.
2 Критерии риска проекта в общем случае могут включать в себя:
- критерии приемлемости риска;
- критерии допустимости риска;
- критерии значимости риска;
- критерии выбора варианта.
3.2.7 толерантность к риску проекта: Приемлемое отклонение ожидаемого результата проекта от поставленной цели или предельные значения приемлемости целевого параметра проекта.
Примечания
1 Характеризуется ценой риска и рассматривается как готовность руководителя проекта и (или) иных заинтересованных сторон к приемлемому (в границах толерантности) изменению ожидаемого значения целевого параметра проекта в ходе его реализации.
2 Определяется в масштабе результата или целевого параметра проекта (стоимости, сроков, качества, результативности, эффективности или устойчивости проекта), а не уровня риска.
3.2.8 допустимый уровень риска: Уровень риска, который руководитель проекта и иные заинтересованные стороны готовы принять или поддерживать в процессе достижения цели проекта.
Примечание - Допустимый уровень риска может также быть назван термином "риск-аппетит".
3.2.9
уровень риска проекта: Размер риска проекта
(3.2.1), характеризующий вероятность возникновения ожидаемых последствий в достижении цели проекта.
3.2.10
цена риска проекта: Ожидаемые последствия влияния риска на достижение цели проекта в стоимостном, временном, материальном или ином выражении результата проекта.
3.2.11 профиль риска проекта: Функция распределения целевого параметра проекта в стоимостном, временном, материальном или ином выражении результата проекта; иначе - функция риска.
3.2.12
оценка риска проекта: Процесс, охватывающий идентификацию риска, анализ риска и сравнительную оценку риска проекта. [Адаптировано из ГОСТ Р ИСО 31000-2019, пункт 6.4] |
анализ риска проекта: Процесс изучения сути и содержания риска, определения уровня риска проекта (3.2.9) и цены риска проекта (3.2.10). Примечание - Анализ риска обеспечивает базу для сравнительной оценки риска и принятия решения о воздействии на риск. |
3.2.14
сравнительная оценка риска проекта: Процесс сравнения результатов анализа риска (3.2.13) с критериями риска (3.2.6) для определения приемлемости, допустимости и значимости риска проекта. Примечание - Сравнительная оценка риска используется в принятии решения о воздействии на риск (3.2.5). |
4.1 Принцип учета неопределенности и риска в управлении проектами
Переход России к проектному управлению и проектному финансированию в реальном секторе экономики осуществляется в условиях роста рисковой напряженности, обусловленной большими вызовами
[1] и постоянно возрастающей неопределенностью условий реализации проектов, что вызывает все более высокий интерес государства и бизнеса к управлению рисками проектов. В условиях высокой неопределенности и возможного отсутствия данных для принятия стратегических проектных решений право на риск вполне обоснованно становится принципом технологического развития
[6], а учет неопределенности и риска - одним из важнейших принципов проектного управления
[7].
Каждый проект характеризуется наличием цели, достижение которой приводит к завершению проекта. Важной особенностью проекта является новизна цели и неповторимость ожидаемых результатов или продукта проекта. Цель проекта определяет длительность жизненного цикла, ожидаемый результат или продукт проекта и критерии его успешности.
В условиях больших вызовов, неопределенности и риска все проекты подвержены изменениям, что вызывает появление их новых качеств, а неустойчивость и неравновесность проектов является источником возникновения нового порядка управления проектами. В этих условиях необходимо предусматривать меры по управлению рисками, обеспечивающие адаптацию проекта к постоянно меняющимся условиям его реализации на этапах его жизненного цикла
[3]. Например, изменение объемов и номенклатуры производимой продукции при изменениях цен, изменение логистических цепей поставок при сохранении цены, прекращение добычи нефти из отдельных скважин при снижении цен на экспортируемую нефть и возобновление добычи при повышении этих цен.
В целях реализации проектов важное значение имеют закупки и выбор поставщиков продуктов и услуг на этапах жизненного цикла проекта, которые нередко осуществляют специалисты вне управления проектами и рисками
[8].
Целевые параметры проекта, включая стоимость и сроки, в условиях неопределенности также оказываются неопределенными. Факторы неопределенности и имеющаяся информация об их влиянии на параметры проекта многообразны и неповторимы, поэтому в каждом конкретном случае неопределенность и риск могут учитываться по-разному. Целевые параметры проекта, определяемые с учетом факторов риска и неопределенности, являются ожидаемыми, оценки которых на этапах жизненного цикла проекта характеризуются предельными значениями (диапазоном), точностью и достоверностью.
Прогнозирование предельных значений целевых параметров проекта следует проводить с учетом статуса, значимости, технологической и технической сложности, источников финансирования и этапа жизненного цикла проекта, а также полноты и достоверности исходных данных, экологических требований, подтверждения технической реализуемости, экономической и финансовой целесообразности проекта, наличия данных о ранее реализованных проектах-аналогах и допустимого уровня риска проекта.
По мере развития проекта предельные значения ожидаемых параметров проекта могут меняться, исходя из постоянно обновляемых текущих данных и меняющихся условий реализации проекта, что приводит к уменьшению диапазона оценок ожидаемых целевых параметров проекта на этапах жизненного цикла, как показано на
рисунке 1.
Рисунок 1 - Уменьшение диапазона оценок ожидаемых целевых
параметров проекта на этапах жизненного цикла
Жизненный цикл состоит из этапов выполнения проекта с момента формирования инвестиционного замысла и разработки концепции до достижения цели и завершения проекта. Тип и этапы жизненного цикла проекта зависят от многих факторов, среди которых основными факторами следует считать каденцию поставок и подход к разработке проекта
[3]. Каденция поставок означает сроки и частоту применительно к поставляемым результатам проекта, для которого может быть предусмотрена разовая поставка, неоднократные или периодические поставки.
Примерами этапов проекта предиктивного жизненного цикла, в котором один этап завершается до начала следующего этапа, могут быть:
- инициирование и создание концепции проекта, в том числе предпроектные проработки, определение требований и ожидаемых результатов, обоснование эффективности проекта;
- разработка проекта, в том числе проведение изысканий, проектирование, разработка конструкторской, проектной и рабочей документации;
- создание продукта проекта: производство, строительство, реконструкция, тестирование и ввод в эксплуатацию;
- развертывание проекта: выпуск продукции, содержание, эксплуатация, реализация выгод и управление организационными изменениями;
- завершение проекта.
Завершение проекта следует определять на стадии инициирования проекта и включать в план проекта. При планировании завершения проекта следует учитывать опыт, полученный в ходе завершения аналогичных проектов. Вместе с тем, в некоторых случаях в силу непредвиденных обстоятельств необходимо закрыть проект ранее или позднее запланированного времени.
Независимо от причины завершения проекта необходимо проводить полный анализ его эффективности, при этом особое внимание следует уделять отзывам потребителей и других заинтересованных сторон и обеспечивать, чтобы такие отзывы были по возможности измеримыми.
Оценкам результатов и целевых параметров проекта присуща неопределенность, которая является первопричиной риска и приводит к необходимости управления рисками проектов с учетом требования (уровня) достоверности и класса достоверности оценок
(таблица 1).
Таблица 1
Классы достоверности оценок риска
Класс достоверности | Диапазон оценок, % | Уровень достоверности, % |
Общий | В нижнем диапазоне | В верхнем диапазоне |
1 | [-5; +15] | [-5; 0] | [+5; +15] | 81 - 100 |
2 | [-15; +25] | [-15; -5] | [+10; +25] | 61 - 80 |
3 | [-20; +50] | [-20; -15] | [+20; +50] | 31 - 60 |
4 | [-30; +60] | [-30; -20] | [+50; +60] | 11 - 30 |
5 | [-50; +100] | [-50; -30] | [-60; +100] | 0 - 10 |
Достоверность оценок определяется обоснованностью предельных значений толерантности, исходя из постоянно обновляемых текущих данных, применяемых критериев риска, технологий и методов оценки, а также меняющихся условий реализации проекта на этапах жизненного цикла.
Влияние неопределенности на стоимость, результативность и эффективность проектов постоянно растет, а высокая цена риска нередко становится определяющим фактором в принятии стратегических решений на этапах жизненного цикла проекта. Неопределенность как неполнота, неточность или случайность данных об условиях реализации и ожидаемых результатах проекта порождает возможность отклонения от цели и характеризуется понятием "риск проекта".
В настоящее время нет единой классификации рисков проекта. Вместе с тем в практике управления проектами рассматривают вполне определенные риски, применяемые к этапам жизненного цикла, отличающиеся действующими факторами риска, последствиями и способами воздействия на риск для достижения поставленных целей.
Учитывая реально складывающуюся ситуацию риска и многоцелевой характер проекта, риск проекта, когда это возможно, необходимо определять не по источникам возникновения, уровню риска или уровню управления проектом, как это обычно принято на практике, а по следствию (последствиям) влияния неопределенности на достижение каждой цели и/или ожидаемого результата проекта. Под следствием следует понимать отклонение от цели в масштабе целевого параметра или результата проекта. Отклонение от цели может быть положительным, отрицательным или тем и другим, и может приводить к возникновению возможностей и угроз.
Примерами подобного определения риска являются: риск спроса на продукт проекта, риск окупаемости проекта, риск безубыточности проекта, риск финансовой реализуемости проекта, риск потребности в дополнительном финансировании проекта, риск расписания проекта, контрактный риск в сфере закупок для реализации проекта.
В общем случае риск включает в себя последствия любой из известных форм неопределенности, которая является максимальной на начальном этапе жизненного цикла и практически исчезает к моменту полного завершения проекта.
Одним из способов описания риска, допускающих вероятностную оценку и построение профиля риска, является формирование набора последствий и их вероятностей, которые могут возникнуть в результате определенных, но изменчивых событий. Последствия могут принимать дискретные значения, быть непрерывными, переменными или неизвестными, при этом они не всегда могут быть оценены вначале, но могут накапливаться в процессе реализации проекта. В этой связи риск не всегда может быть легко скомбинирован в виде множества событий, их последствий и вероятностей.
4.2 Концепция интеграции управления рисками в проектное управление
Лучшие практики используют концепцию интеграции управления рисками со стратегией и эффективностью деятельности
[5]. Управление рисками, интегрированное в проектное управление, участвует в создании стоимости, обеспечении результативности, эффективности и устойчивости проектов, обеспечивая их способность к равновесию и адаптации в реальных условиях реализации.
Настоящий стандарт прямо ориентирован на проактивное выявление и использование новых возможностей проектного управления путем развития и комплексного применения инструментов интеграции управления рисками на основе результатно-ориентированного подхода, обоснованного выбора и реализации выбранной стратегии управления риском.
При формировании суждения об эффективности управления рисками необходимо оценивать соответствие стратегии и целей, полноту и достоверность оценок, эффективность воздействия на риски и их удержания в пределах допустимого уровня риска и предельных значений толерантности.
На
рисунке 2 для примера показана новая цифровая графика интеграции управления рисками в проектное управление, отражающая взаимосвязь между целью проекта, допустимым уровнем риска, толерантностью к риску и профилем риска проекта в масштабе целевого параметра эффективности проекта - чистой приведенной стоимости (NPV).
Рисунок 2 - Новая цифровая графика
управления риском проекта (пример)
В общем случае цель проекта формулируется как результат проекта, который должен быть достигнут и который может быть выражен через целевые параметры проекта, такие как спрос, объем производства, стоимость, сроки, качество, результативность, эффективность, устойчивость проекта.
Толерантность к риску характеризуется ценой риска и определяется предельными значениями приемлемости целевого параметра проекта. Установленные методом варьирования параметров границы толерантности отражают предельные значения эффективности проекта в условиях неопределенности и риска.
В контексте развития концепции интеграции управления рисками в проектное управление профиль риска проекта представляет собой дискретную функцию распределения целевого параметра проекта, иначе - функцию риска
(рисунок 2). При использовании целевых параметров проекта, для которых "чем меньше, тем эффективнее" (например, срок окупаемости проекта), профиль риска будет представлять собой дискретно убывающую функцию риска. Функция риска определяется числовыми характеристиками уровня риска и цены риска проекта, в стоимостном, временном, материальном или ином выражении его результативности или эффективности.
Для практического применения новой графики управления рисками в контексте концепции интеграции необходимо определить количественные характеристики профиля риска и построить функцию риска с необходимой для практики точностью и достоверностью. Решение этой сложной задачи стало возможным с применением описанных ниже цифровых технологий распределенной оценки риска, которые основаны на утверждении о нелинейности и произвольном (не обязательно нормальном) распределении целевых параметров проекта.
Для более полной реализации концепции интеграции управления рисками на этапах жизненного цикла проекта необходимо шире использовать положительный опыт управления рисками проектов, совершенствовать и развивать существующие технологии качественной и количественной оценки риска, разрабатывать и внедрять в проектное управление интегрированные системы управления рисками и внутреннего контроля
[9].
При этом документирование и отчетность в сфере управления рисками проектов должна быть сфокусирована на выборе стратегии управления рисками с учетом возможных изменений путем установления взаимосвязи ключевых инструментов интеграции управления рисками, включая цель проекта, толерантность к риску, допустимый уровень риска и профиль риска. Реализация концепции интеграции управления рисками в проектное управление может стать дополнительным драйвером роста национальной экономики и экономики организаций.
4.3 Процесс управления рисками проектов
Процесс управления рисками проектов - это скоординированные действия по руководству, контролю и управлению проектами в области риска. Процесс управления рисками проектов основан на принципах и структуре, установленных
ГОСТ Р ИСО 31000, предполагает системное применение процедур и действий по обмену информацией и консультированию, мониторингу и пересмотру риска, документированию риска и отчетности, и должен включать
(рисунок 3):
- определение ситуации риска, условий реализации и области применения;
- определение критериев риска;
- оценку риска;
- изменение риска, включая воздействие на риск;
- разработку мероприятий по управлению риском и построение интегрированной системы управления рисками (СУР).
Рисунок 3 - Процесс управления рисками проектов,
интегрированный в проектное управление
Целью определения ситуации риска, условий реализации и области применения является адаптация процесса управления риском, позволяющая адекватно и эффективно оценивать риск и обосновывать соответствующие методы воздействия на риск.
Поскольку процесс управления рисками может применяться на разных уровнях управления (стратегическом, операционном, программном, проектном и др.) и этапах жизненного цикла проекта, важно хорошо понимать рассматриваемую область применения, соответствующие цели, которые необходимо учитывать, а также их согласование с организационными целями. Понимание ситуации риска и условий реализации проекта должно исходить из внешнего и внутреннего окружения и отражать конкретные условия реализации в контексте интеграции управления рисками. Необходимо также установить тип риска, который можно или нельзя принять по отношению к целям проекта.
При определении критериев риска показатели и критерии риска должны быть адаптированы к конкретным целям, отражать ценности, ресурсы проекта и соответствовать заявлениям в отношении допустимого уровня риска. При этом критерии риска должны быть определены до проведения оценки риска и служить основанием для выбора технологий и методов оценки риска с учетом класса достоверности оценок
(таблица 1).
В соответствии с
[4], базовыми критериями оценки рисков проектов следует считать:
- целевой характер оценки рисков, в соответствии с которым оценка рисков должна проводиться в отношении конкретной цели проекта;
- временной характер оценки рисков; для проведения оценки должен быть определен конкретный прогнозный период жизненного цикла и периоды его отдельных этапов, в которых оценивается риск;
- результатно-ориентированный подход, на основании которого результатом оценки должна стать оценка влияния рисков на достижение целей и ожидаемых результатов проекта.
Оценка риска охватывает идентификацию риска, анализ риска и сравнительную оценку риска
(рисунок 3). Оценка риска должна проводиться систематически, итеративно и совместно, опираясь на знания и опыт руководителя проекта и иных заинтересованных сторон.
Цель идентификации риска - найти, распознать и описать риски, которые могут помочь или помешать достижению целей проекта. Для идентификации рисков важно использовать достоверную, применимую и актуальную информацию.
Цель анализа риска заключается в том, чтобы понять природу риска и его характеристики. Анализ риска включает подробное рассмотрение неопределенности, факторов риска, последствий, вероятности, событий, сценариев, способов воздействия на риск и их эффективности.
Сравнительная оценка риска включает сравнение результатов анализа риска по принятым показателям и критериям оценки для определения приемлемости, допустимости и значимости риска, а также выбора стратегии управления риском.
Изменение риска рассматривается как процесс, который включает в себя:
- корректирование цели, предельных значений толерантности к риску;
- пересмотр допустимого уровня риска;
- воздействие на риск одним из стандартизированных способов, которое приводит к изменению профиля риска, вероятности и последствий.
По результатам изменения риска проекта должна проводиться повторная оценка риска и, в случае удовлетворения требованиям и критериям риска, - разработка мероприятий по управлению риском.
Важным принципом управления рисками проектов остается комплексный взгляд на риски, при котором остаточный риск должен быть в пределах допустимого уровня риска и установленных предельных значений толерантности.
Целью обмена информацией и консультирования является оказание помощи заинтересованным сторонам в понимании риска, предпосылок, на основании которых принимаются решения, и причин, в отношении которых требуются конкретные действия. Обмен информацией направлен на повышение осведомленности и понимание риска, тогда как консультирование подразумевает получение обратной связи и информации для поддержки процесса принятия решений по управлению проектом и риском. Тесная взаимосвязь между данными процессами должна способствовать фактическому, своевременному, актуальному и понятному движению информации с учетом ее конфиденциальности и целостности. Обмен информацией и консультирование должны проводиться на всех этапах жизненного цикла проекта.
Цель мониторинга и пересмотра заключается в обеспечении и повышении качества и эффективности разработки, реализации и результатов процесса управления рисками. Мониторинг и пересмотр включают в себя планирование, сбор и анализ информации, документирование результатов и предоставление обратной связи. Результаты мониторинга и пересмотра должны быть частью системы оценки эффективности проекта.
Процесс управления рисками и его результаты должны документироваться и отражаться в отчетности по проекту с помощью соответствующих механизмов. Отчетность является неотъемлемой частью управления рисками проектов, что должно повышать качество взаимодействия руководителя проекта и иных заинтересованных сторон.
Результаты выбора стратегии, применяемые технологии и методы, а также результаты повторной оценки риска должны быть задокументированы, при этом формы документов могут быть нескольких или одного из следующих видов:
- матрица риска (рисков), иначе - матрица последствий и вероятности, в соответствии с рекомендациями
ГОСТ Р 58771;
- карта риска;
- профиль риска, включая взаимосвязь его характеристик с целью, предельными значениями толерантности и допустимым уровнем риска.
4.4 Цифровая парадигма управления рисками проектов
Усложнение институциональной структуры, интеграция управления рисками и результатно-ориентированный подход неизбежно порождают "кризис" в области управления рисками проектов. Во многих случаях это проблема несоответствия предпосылок, способов и результатов управления рисками реальным условиям, степени неопределенности действующих факторов риска, изменившимся требованиям к достоверности оценок, эффективности и устойчивости проектов.
Все более отчетливо обнажается проблема недостаточной для принятия обоснованных решений большинства стандартизированных качественных и количественных методов оценки риска, включая универсальные и широко распространенные вероятностно-статистические и логико-вероятностные модели риска. Принципиальное значение в управлении рисками проектов приобретает полнота и достоверность исходных данных и положений, точность формализованного описания и идентификации рисков, обоснованность критериев риска и достоверность оценок риска, уровень интеграции управления рисками в проектное управление и выбор стратегии управления риском в реальных условиях реализации проекта.
Гипотеза о нормальном распределении ожидаемых целевых параметров проекта не соответствует реальным процессам проектного управления, но, несмотря на это, моделирование методом Монте-Карло нередко оказывается весьма полезным для получения точечных оценок при высокой степени неопределенности.
Гипотеза о нормальном распределении необходима для использования статистического анализа и применения на практике моделирования методом Монте-Карло с учетом количественных характеристик неопределенности и риска. Вне предположения о нормальном распределении большая часть экономических теорий и эмпирических работ ставится под сомнение, поскольку компромисс между стоимостью, эффективностью и риском в этом случае практически невозможен.
Сложившаяся ситуация в управлении рисками проектов приводит к необходимости смены существующей линейной парадигмы на цифровую парадигму, которая основана на утверждении о нелинейности и произвольном (не обязательно нормальном) распределении ожидаемых целевых параметров проекта (например, спроса, объема производства, стоимости, сроков, характеристик качества, эффективности и устойчивости), а также цифровом способе описания риска методом интегральных сверток чисел. Данный метод моделирования риска позволяет перейти от точечной к распределенной оценке риска с измеряемой и приемлемой для практики достоверностью оценок.
Цифровизация расширяет наши возможности и выдвигает новые требования к стандартизации в области управления рисками, а цифровая парадигма управления рисками отражает необходимость и обоснованность внедрения современных цифровых технологий в проектное управление для повышения качества и эффективности проектов.
Цифровой способ управления рисками на основе интегральных сверток чисел в случае, когда его применение возможно и необходимо, отражает качественно новый уровень цифровой графики управления рисками, обеспечивая требуемую для практики достоверность оценок, прозрачность и обоснованность выбора стратегии управления рисками.
5 Технологии и методы оценки риска проекта
5.1 Содержание и особенности применения технологий оценки риска
Оценка риска проекта должна базироваться на имеющейся достоверной информации и постоянно дополняться в процессе реализации проекта актуальными данными. До и во время оценки риска проекта необходимо собирать актуальную информацию и статистические данные для моделирования и применения технологий, описанных в
ГОСТ Р 58771 и настоящем стандарте.
Технологии оценки риска проекта направлены на то, чтобы обеспечить понимание неопределенности и связанного с ней риска проекта с целью обеспечения принятия более обоснованных решений и действий по управлению проектом. Выбор технологий и методов их использования определяется целью оценки, возможностью адаптации технологий с областью их применения, факторами риска, а также наличием ресурсов проекта, требованиями к достоверности оценок, форме документирования и представления результатов оценки.
Технологии оценки риска проекта могут применяться в рамках принятого структурированного подхода для определения ситуации риска, условий реализации и среды проекта, мониторинга и пересмотра, документирования и отчетности, обмена информацией и консультирования. Методы оценки риска проекта могут применяться для идентификации, анализа и сравнительной оценки риска, когда есть необходимость понять неопределенность и ее последствия в процессе разработки и реализации проекта, а также в рамках процесса управления риском для выбора стратегии и обоснования мероприятий по воздействию на риск проекта.
Технологии оценки риска могут предоставить ряд практических преимуществ в управлении проектом в следующих случаях:
- когда необходимо принять проектное решение с учетом неопределенности действующих факторов риска;
- при обосновании метода оценки риска с учетом критериев риска;
- в рамках сравнительного анализа вариантов с учетом неопределенности и риска;
- как часть процесса поддержки принятия решений по выбору стратегии и обоснованию мероприятий по воздействию на риск.
До и во время оценки риска проекта на этапах жизненного цикла необходимо постоянно собирать актуальную информацию, которая используется в качестве входных данных для статистического анализа, моделирования или применения технологий и методов оценки риска.
Если во время оценки риска обнаруживается недостаток объема и достоверности данных, должны быть собраны дополнительные данные. Процесс сбора данных может включать в себя работу по внедрению новых механизмов мониторинга. При ограниченности данных в качестве альтернативного варианта оценка риска проекта может быть выполнена в условиях малой выборки.
5.2 Критерии риска проекта
Критерии риска проекта, на основании которых формируется оценка существенности риска и которые необходимо принимать во внимание при принятии стратегических решений по проекту, должны быть установлены до проведения оценки риска. Вместе с тем критерии риска проекта являются динамичными и, при необходимости, должны пересматриваться и корректироваться на этапах жизненного цикла проекта.
Критерии риска проекта могут быть сформированы на основе установленных целей, ожидаемых результатов и условий реализации проекта, стандартов, законов, политик и иных требований к оценке риска. Критерии риска проекта могут быть качественными или количественными.
При определении критериев риска проекта необходимо учитывать:
- тип и источники неопределенности, иные факторы риска, которые могут оказать существенное влияние на риск проекта, определить его содержание и возможные последствия;
- способ определения и оценки последствий как результата влияния факторов риска на достижение цели проекта;
- согласованность и достоверность применяемых методов оценки риска проекта;
- порядок определения уровня и цены риска проекта;
- способ учета комбинации факторов риска и последовательности множественных рисков;
- статус, значимость и сложность проекта.
В контексте концепции интеграции управления рисками в проектное управление следует использовать следующие критерии оценки риска проекта
(рисунок 4):
Рисунок 4 - Критерии риска проекта
5.2.1 Критерии приемлемости риска проекта
Критерии оценки характера и приемлемости риска могут быть установлены в контексте концепции толерантности к риску проекта в виде приемлемого отклонения ожидаемого результата проекта от поставленной цели или предельных значений приемлемости целевого параметра проекта, обусловленных неопределенностью и риском, превышение которых в обе стороны от цели является неприемлемым.
Критерии приемлемости риска определяются ценой риска проекта и характеризуют готовность руководителя проекта и (или) иных заинтересованных сторон к приемлемому (в границах толерантности) изменению ожидаемого значения целевого параметра проекта в ходе его реализации.
Ограничения, установленные таким образом для приемлемого риска по отношению к цели, могут зависеть от потенциальных выгод, уровня спроса на продукт проекта, уровня безубыточности, срока окупаемости или иных показателей эффективности проекта. Приемлемость риска также может быть определена путем указания приемлемого отклонения конкретных показателей стоимости, результативности или эффективности проекта, связанных с целями.
Различные критерии приемлемости могут быть выбраны в зависимости от цели проекта, типа и характеристик последствий риска. Например, критерии оценки риска спроса на продукт проекта могут отличаться от критериев оценки риска потребности в дополнительном финансировании проекта, риска расписания либо риска окупаемости проекта.
Примером подхода к определению приемлемости риска могут служить критерии толерантности к риску в виде предельных цен, предельных сроков реализации проекта, уровней (границ) безубыточности, эффективности проекта, а также возврат на инвестиции (ROI) и др.
5.2.2 Критерии допустимости риска проекта
Критерии определения характера и уровня риска, которые могут быть приняты как допустимые в отношении поставленной цели проекта, называемые допустимым уровнем риска, могут быть определены через выбор технологии определения величины риска, превышение которой является недопустимым.
Критерии допустимости риска определяются уровнем риска проекта, который руководитель проекта и (или) иные заинтересованные стороны готовы принять или поддерживать в процессе достижения цели (целей) проекта.
Примером критериев допустимости риска проекта могут служить:
- потенциал риска проекта - уровень риска, который потенциально возможен с учетом ресурсов проекта в условиях внешних и внутренних факторов риска;
- допустимый уровень риска проекта - уровень риска, который руководитель проекта и иные заинтересованные стороны готовы принять или поддерживать в процессе достижения цели проекта;
- ALARP (As low as reasonably possible) и SFAIRP (So far as is reasonably practicable): критерии, устанавливаемые на законодательном уровне и используемые для принятия решений относительно риска, связанного с безопасностью. Включают в себя гарантии того, что допустимый уровень риска является настолько низким, насколько это практически возможно (ALARP), или демонстрацию того, что существующие меры управления снижают риск, насколько это практически осуществимо (SFAIRP);
- глобальный эквивалент (Globally At Least Equivalent, GALE/GAME): в рамках данного подхода считается допустимым увеличение риска проекта с неблагоприятными последствиями по определенному фактору риска, если можно доказать, что риски по другим факторам уменьшились на эквивалентную или большую величину.
В контексте концепции интеграции управления рисками в проектное управление следует устанавливать критерий допустимого уровня риска для единого понимания допустимости риска при реализации проекта, который может быть выражен качественно и (или) на основе количественных показателей. Качественное выражение допустимого уровня риска подразумевает, что он не имеет четких количественных показателей, то есть представляет собой общее заявление о том, что допустимо или недопустимо в процессе реализации проекта и достижения поставленных целей. Количественные показатели допустимого уровня риска могут быть выражены посредством максимально допустимого значения уровня риска или его предельных значений.
При применении критерия допустимого уровня риска проекта рекомендуется учитывать:
- соответствие допустимого уровня риска стратегическим целям проекта и наличие связи с ними;
- формулирование допустимого уровня риска посредством обозначения четких и понятных ориентиров для принятия решений таким образом, чтобы не оставалось сомнений и исключалась двусмысленность толкования допустимости риска;
- изменяемость допустимого уровня риска, которая приводит к необходимости его пересмотра на этапах жизненного цикла проекта для приведения в соответствие текущей ситуацией с учетом изменений внешней и внутренней среды проекта;
- каскадирование допустимого уровня риска на все уровни принятия решений.
5.2.3 Критерии значимости риска проекта
Критерии значимости риска могут быть выражены через возможные последствия и вероятность и определены с использованием показателей риска проекта - цены риска и уровня риска проекта. Проектно-технические, производственно-технологические, экологические, экономические, контрактные, правовые и другие аспекты также могут иметь значение.
Сравнительная оценка значимости риска проекта часто базируется на оценке уровня риска и его сопоставлении с альтернативными значениями уровня риска в пределах толерантности к риску, в стоимостном, временном, материальном или ином выражении результата проекта. Это позволяет получить информацию о том, на каких рисках нужно сосредоточить управление, исходя из потенциала снижения риска в пределах допустимого уровня риска.
Уровень риска все реже является единственным критерием, относящимся к приоритизации рисков, выбору мероприятий по воздействию на риск или определению того, какие риски наиболее значимы с точки зрения их последующей оценки и мониторинга. Другими соответствующими критериями могут быть: правовые и стоимостные критерии, характер последствий и цена риска, эффективность и устойчивость проекта, максимально возможные потери в случае, если управление риском отсутствует или оно не является эффективным.
Устойчивость проекта рассматривается как его способность сохранять ожидаемые целевые параметры в установленных предельных значениях толерантности и допустимого уровня риска в сложных и изменяющихся условиях его реализации. Устойчивость проекта имеет стохастическую природу и характеризует способность проекта к равновесию и адаптации в принятых условиях реализации на этапах жизненного цикла с учетом неопределенности и риска.
5.2.4 Критерии выбора варианта
Риск проекта должен приниматься во внимание при выборе варианта изменения риска, когда каждый вариант связан с несколькими рисками, которые могут иметь положительные или отрицательные последствия, или и то и другое.
В управлении проектами, как правило, рассматривается множество стратегий изменения риска, часто конкурирующих между собой, поэтому в условиях неопределенности необходимо анализировать как возможные неблагоприятные последствия, так и потенциальные выгоды. При выборе варианта может потребоваться сопоставление нескольких критериев и поиск компромисса между конкурентоспособными проектными решениями и целями. Необходимо определить критерии, имеющие отношение к принимаемому решению и обеспечивающие сопоставимость рассматриваемых вариантов. Данная информация должна быть задокументирована.
При определении критериев выбора варианта следует учитывать возможность того, что затраты и выгоды могут отличаться для разных заинтересованных сторон. Следует также принять во внимание, каким образом будут учтены различные формы неопределенности.
5.3 Общая характеристика методов оценки риска проекта
Выбор методов оценки риска проекта зависит от многих факторов, включая сложность ситуации риска, ее новизны и уровня информационного обеспечения, имеющихся данных и понимания ситуации риска. В
таблице 2 приведена общая характеристика методов оценки риска, используемых в области проектного управления, в соответствии с их основным применением и технологиями управления рисками по
ГОСТ Р 58771 и настоящему стандарту.
В простейшей ситуации, когда нет ничего нового или необычного, ситуация риска хорошо понимается, без каких-либо существенных последствий или с незначительными последствиями для заинтересованных сторон, оценка риска, как правило, осуществляется с использованием проверенных методов и опыта предыдущих оценок риска.
К технологиям управления рисками проекта следует отнести технологии:
Таблица 2
Общая характеристика методов оценки риска
Технологии | Применение | Методы | Описание |
1) Технологии выявления мнения заинтересованных сторон и экспертов | Определение ситуации риска, условий реализации и области применения. Определение критериев риска. Обмен информацией и консультирование. Качественная оценка риска | Мозговой штурм | Метод, используемый для стимулирования и поощрения группы людей к разработке идей; может применяться на любом уровне для выявления факторов неопределенности и риска, причин, последствий, критериев риска, принятия решений или вариантов снижения риска; может быть структурирован или не структурирован |
Метод Дельфи | Метод сбора и сопоставления суждений по определенной теме посредством набора последовательных вопросников; позволяет получить консенсус мнения от группы экспертов; эксперты выражают свое мнение индивидуально, независимо и анонимно, имея доступ к мнению другого эксперта по мере продвижения процесса |
Метод номинальной группы | Метод выявления взглядов группы людей, где при первоначальном участии люди не взаимодействуют, но затем следует групповое обсуждение идей |
2) Технологии идентификации риска | Идентификация риска | Контрольные списки, классификация и систематизация | Метод, основанный на опыте или концепциях и моделях, которые могут использоваться для определения рисков или мер по управлению ими, такими как помощь в понимании области применения, определении риска и группировании рисков для различных целей во время анализа; примерами эффективно используемых контрольных списков являются SWOT-анализ как метод выявления факторов внешней и внутренней среды проекта по категориям: сильные стороны (S), слабые стороны (W), возможности (O), угрозы (T); и PEST-анализ, используемый для прогнозирования макроэкономических (внешних) факторов риска: политических (P), экономических (E), социально-культурных (S), технологических (T), а также для анализа их влияния на достижение поставленных целей с учетом возможных изменений |
Анализ сценариев | Совокупность методов определения возможных сценариев посредством предположений, экстраполяции текущего состояния или моделирования будущих событий; рассматривается риск для каждого из анализируемых сценариев |
Структурированный метод "Что, если?" (SWIFT) | Метод определения уровня риска на высоком уровне, который может использоваться независимо или как часть поэтапного подхода для повышения эффективности методов снизу вверх; более простая форма с подсказками "что, если", используемая для определения отклонений от ожидаемого результата |
3) Анализ источников и ключевых факторов риска | Анализ риска | Синдинический подход | Подход, при котором принимаются во внимание цели, ценности, правила, данные и модели заинтересованных сторон и выявляются противоречия, упущения, неоднозначности и пренебрежения; они формируют системные факторы риска |
Метод Исикавы | Командный подход для выявления возможных причин желательного или нежелательного эффекта, события или проблемы. Сопутствующие факторы риска делятся на категории и отображаются в древовидной структуре или диаграмме в форме "рыбьей кости" |
Анализ дерева решений | Метод использует древовидное представление или модель решений и их возможных последствий; результаты представляются в денежном выражении или с точки зрения выгод; альтернативным представлением является диаграмма влияния |
4) Технологии анализа средств контроля | Сравнительная оценка риска. Изменение риска | Метод "галстук-бабочка" | Метод представляет собой схематический способ описания событий и риска от фактора риска до его последствий, а также анализа мер по управлению риском |
Анализ рисков и критические контрольные точки (HACCP) | Метод обеспечивает структуру для выявления факторов риска (угрозы или возможности) и введения контроля на всех этапах реализации проекта для воздействия на риски; ориентирован на выявление факторов риска, связанных с качеством продукта проекта, и определение критических контрольных точек |
5) Технологии понимания последствий, вероятности и риска | Идентификация риска. Качественная и количественная оценки риска | Байесовский анализ | Способ сделать вывод о параметрах модели с использованием теоремы Байеса, которая имеет возможность включения эмпирических данных в имеющиеся суждения о вероятностях |
Байесовская сеть (BN) | Графическая модель переменных и их причинно-следственных связей, выраженная с помощью вероятностей; базовая BN содержит переменные, представляющие неопределенные события, и может использоваться для оценки риска или получения вывода о ключевых факторах риска, приводящих к последствиям; расширенная версия, известная как диаграмма влияния, включает переменные, представляющие неопределенности, последствия и действия |
Анализ влияния на бизнес (BIA) | Метод BIA рассматривает все возможные сценарии и риски, которые могут повлиять на реализацию проекта, с целью анализа критических процессов, определение последствий прекращения, прерывания или нарушения план-графика реализации проекта, а также определение минимального уровня ресурсов, необходимого для успешного восстановления процессов за приемлемый промежуток времени |
Анализ чувствительности | Подход к оценке устойчивости проекта при изменении параметров проекта в диапазоне практической изменчивости; анализ чувствительности проводится методом варьирования параметров, путем определения предельных значений отдельных параметров (стоимости, уровня безубыточности и др.), а также методом сценариев |
| | Моделирование методом Монте-Карло | Метод моделирования, который обеспечивает возможность формализованного описания неопределенности действующих факторов и количественную оценку риска; математическое ожидание определяет ожидаемый результат проекта, а среднеквадратическое отклонение служит показателем достоверности результата в условиях неопределенности и риска |
Метод интегральных сверток чисел | Цифровой метод распределенной оценки риска, построения профиля риска с заданной достоверностью; основан на утверждении о произвольном (не обязательно нормальном) распределении стоимости, результативности или эффективности проекта, а также цифровом способе описания риска |
Условная стоимость под риском (CVar) или ожидаемые потери (ES) | CVar, также называется ожидаемыми потерями (ES), является средним значением потерь на "хвосте распределения", отсекаемым соответствующим процентилем; является показателем ожидаемого убытка финансового портфеля в наихудшем проценте (%) случаев |
Методы нечеткой логики | Используется для формализации нечетких знаний, характеризуемых числовой или лингвистической неопределенностью, дополняя или заменяя вероятностные методы |
6) Технологии анализа зависимостей и взаимодействий | Анализ риска | Отображение причин | Сетевая диаграмма, представляющая события, причины и следствия и их взаимосвязи, которые могут быть отображены на карте |
Анализ перекрестного влияния | Оцениваются изменения вероятности появления определенного набора событий, вытекающие из фактического появления одного из них |
7) Технологии выбора между вариантами | Сравнительная оценка риска. Изменение риска | Анализ затрат и выгод (CBA) | Позволяет оценить общую ожидаемую стоимость изменений в денежном выражении против их общих ожидаемых выгод, чтобы выбрать наиболее эффективный или наиболее выгодный вариант; денежное выражение используется для оценки положительных и отрицательных, материальных и нематериальных последствий различных вариантов |
Анализ дерева решений | Метод использует древовидное представление или модель решений и их возможных последствий; результаты обычно представляются в денежном выражении или с точки зрения выгод; альтернативным представлением дерева решений является диаграмма влияния |
Теория игр | Принятие стратегических решений для моделирования влияния различных решений и последствий с учетом ряда возможных ситуаций; примером применения может быть ценообразование с учетом риска |
Многокритериальный анализ (MCA) | Варианты сравниваются таким образом, чтобы сделать компромиссы явными; представляет собой альтернативу метода анализа затрат и выгод, который не требует использования денежного выражения всех исходных данных |
8) Технологии оценки допустимости и значимости риска | Сравнительная оценка риска. Изменение риска | ALARP (SFAIRP) | ALARP и SFAIRP используются в качестве критериев для принятия решения о необходимости изменения риска; ALARP обеспечивает безопасность, делая риск настолько низким, насколько это практически возможно, тогда как SFAIRP - это демонстрация того, что принятые меры снижают риск настолько, насколько это практически осуществимо |
Матрица последствий/вероятности | Способ отображения рисков в соответствии с их последствиями и вероятностью и объединения этих характеристик для отображения значимости риска |
S-кривые | Средство отображения взаимосвязей между последствиями и их вероятностью, построенное как интегральная функция распределения (S-кривая) |
9) Технологии распределенной оценки риска | Количественная оценка риска. Изменение риска. Документирование и отчетность | Метод интегральных сверток чисел | Цифровой метод распределенной оценки риска, построения профиля риска с заданной достоверностью; основан на утверждении о произвольном (не обязательно нормальном) распределении стоимости, результативности и эффективности проекта, а также цифровом способе описания риска и выбора стратегии изменения риска |
10) Технологии отчетности и документирования риска | Документирование и отчетность | Реестр рисков | Реестр рисков используется для документирования и отслеживания информации об отдельных рисках и управлении ими |
Матрица последствий/вероятности | Способ отображения рисков в соответствии с их последствиями и вероятностью и объединения этих характеристик для отображения рейтинга значимости риска |
Метод "галстук-бабочка" | Метод представляет собой схематический способ описания событий и риска от источника риска до его последствий, а также анализа мер по управлению риском |
S-кривые | Средство отображения взаимосвязей между последствиями и их вероятностью, построенное как интегральная функция распределения (S-кривая) |
Цифровой профиль риска | Цифровая графика управления риском и выбора стратегии изменения риска во взаимосвязи с профилем риска, толерантностью к риску и допустимым уровнем риска |
Для новых, комплексных или сложных ситуаций, когда существует высокая неопределенность и имеется небольшой опыт реализации аналогичных проектов, а традиционные методы оценки не дают требуемого результата, используется, как правило, несколько технологий и методов оценки. Используемые вначале технологии и методы могут стать применимыми на последующих этапах жизненного цикла проекта, на которых становится доступно больше исходной информации с учетом установленных ценностей, критериев риска и мнений заинтересованных сторон. Это также относится к сложным ситуациям, когда руководитель проекта и другие заинтересованные стороны имеют разные точки зрения на установленные ценности, факторы и критерии риска.
Применение методов оценки риска должно включать определение решений или действий, к которым будут применены результаты оценки, а также сроков и характера ожидаемых результатов. Любые условия, допущения, ограничения или необходимые ресурсы, относящиеся к оценке риска проекта, также должны быть предварительно определены.
5.4 Качественная и количественная оценка риска проекта
Особую значимость в оценке риска проекта приобретает полнота и достоверность исходных данных, точность описания и идентификация риска, выбор критериев риска и методов оценки риска. В этой связи различают качественную и количественную оценку риска проекта.
При выборе метода оценки риска проекта необходимо учитывать:
- цель оценки и потребности в результатах оценки заинтересованных сторон;
- допущения и ограничения по проекту, нормативные и контрактные требования;
- сложность ситуации риска, условия реализации проекта и применяемые технологии оценки риска;
- значимость решения и влияние на последствия его принятия;
- критерии оценки риска;
- время, необходимое для принятия решений;
- информацию, которая доступна и может быть получена на начало оценки риска;
- имеющийся опыт оценки риска и опыт, который может быть получен на этапах жизненного цикла проекта.
В контексте концепции интеграции и обеспечения достоверности оценок применение существующих качественных и количественных методов оценки риска проекта по-прежнему вызывает значительные трудности.
5.4.1 Качественная оценка риска
Качественная оценка применяется для выявления неопределенности и определения ситуации риска, идентификации риска и определения параметров модели оценки риска. К методам качественной оценки риска относят: мозговой штурм, метод Дельфи, метод номинальной группы, контрольные списки (в том числе SWOT-анализ и PEST-анализ), анализ сценариев, анализ дерева решений, анализ перекрестного влияния и другие, которые характеризуются невысокой точностью и крайне низкой достоверностью оценок.
Определение ситуации риска предусматривает установление внешних и внутренних факторов риска, которые могут негативно или позитивно влиять на риск.
При проведении идентификации риска должны быть рассмотрены все возможные причины и последствия. Идентификация риска является крайне важной составляющей оценки риска проекта, поскольку факторы риска и параметры модели оценки риска, которые не были определены, в последующий анализ риска включены не будут. Для идентификации риска применяются стандартизированные методы, включая PEST-анализ риска, анализ чувствительности и др. При этом, независимо от выбранного метода идентификации, оценка значимости факторов риска проводится, как правило, методом экспертного опроса, для реализации которого формируется экспертная группа из числа экспертов, обладающих соответствующими компетенциями и опытом.
Лучшей практикой идентификации риска проекта является анализ чувствительности целевых параметров проекта при изменении отдельных факторов риска и оценка степени их влияния на результаты и эффективность проекта. Анализ чувствительности рекомендуется проводить методом варьирования параметров путем определения их предельных значений и границы безубыточности, а также методом сценариев в определенной последовательности их использования.
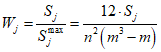
Достоверность экспертных оценок факторов риска в баллах обеспечивается проверкой согласованности мнений экспертов с применением коэффициента конкордации Wj в виде

,
где Sj - сумма квадратов отклонения всех оценок, присваиваемых экспертами каждому фактору j-го типа, от их среднего значения;

,
Sijk - приведенная к 10-балльной шкале оценка Bijk фактора риска j-го типа, присуждаемая i-му фактору k-м экспертом, Sijk = Bijk/10;
n - количество членов экспертной комиссии (экспертов);
m - число факторов (объектов экспертизы) j-го типа;

- приведенное к 10-балльной шкале максимальное значение
Sj как максимальный средний квадрат отклонения, равный
n2(
m3 -
m)/12.
В случае использования шкалы качества согласованность оценок экспертов определяется с применением коэффициента согласованности Микони.
В
таблице 3 приведен пример карты контрактного риска, составленной по результатам анализа чувствительности и идентификации факторов риска в сфере закупок товаров, работ и услуг в целях реализации проекта. Полученные по результатам анализа чувствительности данные следует использовать в процедуре качественной или количественной оценки риска.
Таблица 3
Карта контрактного риска в сфере закупок (пример)
Факторы риска | Источники возникновения риска | Степень влияния, % | Параметры модели оценки риска |
Рыночный | низкая конкурентоспособность участников закупки; низкий уровень спроса на продукт проекта; высокий уровень производственных затрат; низкий уровень доходов от реализации продукта проекта; | 10 | уровень и эластичность спроса на продукт проекта; постоянные и переменные затраты; доходы от реализации продукта проекта; уровень и граница безубыточности проекта; риск спроса |
Ценовой | низкая достоверность определения начальной (максимальной) цены контракта; недостаточная обоснованность цены контракта; непредвиденные работы и затраты; потребность в дополнительном финансировании | 30 | начальная (максимальная) цена контракта; стоимость ресурсов и работ по контракту; объем непредвиденных работ и затрат; цена риска; риск потребности в дополнительном финансировании |
Производственно-технологический | отсутствие резервов и запасов; недостаточные производственные мощности; низкая готовность производства; низкая квалификация участников закупки; недостаточный опыт по предмету закупки | 10 | резерв и запасы; производственные мощности; коэффициент готовности производства; квалификация участников закупки; опыт по предмету закупки; риск ненадлежащего качества |
| недостоверность определения сроков поставки; некорректность определения этапов работ; некорректность определения срока действия контракта; | 20 | сроки поставки; параметры календарного план-графика закупок; нормативы продолжительности работ; риск расписания |
Финансовый | неудовлетворительное финансовое состояние участников закупки; недостаточная финансовая устойчивость участников закупки; низкий уровень обеспечения контракта | 12 | коэффициент покрытия; коэффициент общей платежеспособности; коэффициент обеспеченности собственными средствами; размер обеспечения контракта; риск финансовой устойчивости |
Правовой | неточное определение предмета и существенных условий контракта; несоответствие предмета контракта цели закупки; несоответствие правовым нормативным документам в сфере закупок | 5 | предмет и существенные условия контракта; права и обязанности сторон; распределение ответственности сторон; правовой риск |
Информационный | неполнота или отсутствие данных о показателях качества и квалификации в документации о закупке; недостоверность данных в заявках участников о качестве работ; недостоверность данных в заявках участников о цене контракта | 10 | требования документации о закупке; предложения участников закупки по качеству работ; предложения участников закупки по цене контракта; показатели и критерии оценки заявок; риск достоверности информации |
Инфляционный | изменение стоимости работ и используемых ресурсов во времени | 3 | индекс пересчета сметной стоимости; индекс инфляции; риск инфляции |
Качественная оценка риска является основой для проведения количественной оценки риска проекта.
5.4.2 Количественная оценка риска
Целью количественной оценки риска проекта является определение показателей результативности и эффективности проекта с учетом неопределенности и риска. Примером методов количественной оценки риска проекта являются: Байесовский анализ, S-кривые, анализ затрат и выгод, метод моделирования Монте-Карло, цифровой метод интегральных сверток чисел, анализ устойчивости и др.
При использовании количественных методов оценки риска требуются актуальные, полные и достоверные данные, однако в некоторых случаях, когда данных недостаточно, применение количественных методов может дать возможность лучше понять риск, хотя результаты расчета для их практического применения могут оказаться неприемлемыми.
В зависимости от цели оценки, критериев риска и способа формализованного описания риска, а также точности и достоверности оценок, применяемые на практике методы количественной оценки риска проекта можно разделить на четыре группы:
1) введение поправки на риск или "премии" за риск, которая, как правило, применяется к безрисковой ставке дисконтирования затрат и результатов проекта;
2) корректировка параметров проекта и (или) условий его реализации, замена плановых или нормативных значений параметров проекта на ожидаемые значения с учетом факторов риска; например, увеличение сроков проекта на среднюю величину возможных задержек;
3) имитационное моделирование и вероятностная (точечная и распределенная) оценка риска проекта, результатов и эффектов проекта;
4) анализ устойчивости проекта в сложных и изменяющихся условиях реализации на этапах его жизненного цикла.
Наиболее широкое распространение в практике проектного управления вследствие своей простоты получил метод, в котором учет риска проводится путем применения ставки дисконтирования r с учетом поправки на риск в виде:
r = rf + rp + I,
где rf - безрисковая ставка дисконтирования;
rp - поправка на риск или "премия" за риск;
I - процент инфляции.
Ставка дисконтирования r отражает доходность альтернативных вариантов инвестиций в развитие, характеризующихся тем же риском, что и инвестиции в оцениваемый проект. Безрисковая ставка дисконтирования отражает доходность безрисковых направлений инвестирования.
Поправка на риск используется при сравнении разных инвестиционных моделей проекта, когда прогнозирование показателей возможного риска доходности представляет значительные трудности. Поправка на риск не вводится в случае страхования ответственности и риска, когда затраты инвестора увеличиваются на размер страховой премии.
В методе кумулятивного построения ставку дисконтирования для независимых рисков рассчитывают по формуле
r = rf + r1 + r2 +... + rn,
где rf - безрисковая ставка дисконтирования;
r1, r2, ... - ставки дисконтирования за определенный риск проекта.
Итоговая ставка дисконтирования может колебаться от безрисковой ставки до ставки с максимальным количеством рисков. В этом случае ставка дисконтирования может иметь существенный диапазон, а ее определение будет субъективным.
Для проектов, реализуемых на территории России, ставка дисконтирования определяется как ключевая ставка регулятора Центрального банка Российской Федерации, сложенная с риском, который в ряде случаев может достигать 30% и более.
Вместе с тем применять поправку на риск следует с особой осторожностью, по крайней мере по двум причинам. Во-первых, отсутствуют стандартизованные процедуры определения поправки на риск, а во-вторых, практически невозможно обеспечить достоверность такой оценки.
5.5 Детерминированная и вероятностная оценка риска проекта
Детерминированная оценка риска проекта, также называемая точечной оценкой, представляет собой одно число или количество, например: 36 месяцев, 2400 тыс. руб. Детерминированная оценка риска является наиболее простой и доступной, однако при ее применении нельзя забывать о том, что получаемые таким образом оценки не отражают вероятностную природу риска.
В вероятностной оценке риска проекта используется ряд оценок вместе со связанными с ними вероятностями в данном ряду. Результатом вероятностной оценки может быть средневзвешенная величина искомого целевого параметра проекта, полученная на основе симуляции нескольких вероятных последствий риска или имитации риска с целью анализа вероятности и последствий, как правило, в отношении стоимости, сроков или эффективности проекта.
В зависимости от цели оценки, полноты и достоверности исходных данных вероятностная оценка риска проекта на основе имитационного моделирования обеспечивает возможность проведения:
- точечной оценки последствий или цены риска в диапазоне ожидаемых значений целевого параметра проекта, например: 36+3/-1 [мес]; 2400+600/-300 [тыс. руб];
- точечной оценки уровня риска или достоверности оценки, например: 90%;
- распределенной оценки, описывающей распределение вероятностей последствий или цены риска внутри и за пределами диапазона ожидаемых значений целевого параметра проекта, например путем построения и анализа профиля риска.
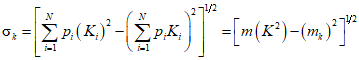
5.5.1 Моделирование методом Монте-Карло
По сравнению со многими другими инструментами и методами точечной оценки риска проекта, приведенными в
таблице 2, моделирование методом Монте-Карло обеспечивает возможность формализованного описания неопределенности действующих факторов риска и определения количественных характеристик профиля риска по целевому параметру проекта
K - математического ожидания и среднеквадратического отклонения

в виде:

,

,
где
N - количество реализаций случайной величины

в расчетный период;
pi - вероятность принятия случайной величиной

значения
Ki в
i-й реализации;
m(
K2) - математическое ожидание квадрата случайной величины

.
При этом математическое ожидание определяет ожидаемый результат или ожидаемое значение целевого параметра проекта, а среднеквадратическое отклонение служит индикатором достоверности результата проекта в условиях неопределенности и риска.
Вместе с тем, используя универсальный метод Монте-Карло и датчики псевдослучайных чисел, нельзя забывать о том, что он основан на законах больших чисел, предельных теоремах теории вероятностей и предположении о нормальном распределении выходных параметров, характеризующих результат проекта. Это позволяет делать правильные выводы лишь об их средних значениях, реализуемых с вероятностью не более 50%. В общем случае, когда искомое распределение отличается от нормального, задача его построения решается путем проб и ошибок. Даже если установлен тип искомого распределения, оценка его числовых характеристик для практического применения даже в окрестности средних значений может оказаться неприемлемой.
Гипотеза о нормальном распределении выходных параметров проекта не соответствует реальным процессам, но несмотря на это, моделирование методом Монте-Карло нередко оказывается единственно возможным для получения точечных оценок в диапазоне ожидаемых значений целевого параметра проекта при высокой степени неопределенности. Гипотеза о нормальном распределении необходима для получения статистических данных и имитации последствий и вероятности с учетом количественных характеристик неопределенности и риска. Вне предположения о нормальном распределении большая часть экономических теорий и эмпирических работ ставится под сомнение, поскольку компромисса между стоимостью, сроками и риском проекта, риском и эффективностью проекта в этом случае сложно достичь или он оказывается практически невозможным.
Пример моделирования методом Монте-Карло профиля риска расписания приведен в
ГОСТ Р 58970.
5.5.2 Цифровой метод распределенной оценки риска
Цифровой метод распределенной оценки риска основан на утверждении о свободном (не обязательно нормальном) распределении целевого параметра проекта и цифровом способе описания риска методом интегральных сверток числовых последовательностей, который обеспечивает возможность построения цифрового профиля риска в масштабе целевого параметра проекта, а во взаимосвязи с другими инструментами интеграции управления риском проекта обеспечивает возможность принять обоснованное проектное решение с учетом риска.
Существо данного метода состоит в получении дискретной функции риска по результату или целевому параметру проекта путем многократного применения операции интегральной свертки числовых последовательностей, представляющих собой условные дискретные распределения искомого параметра по ключевым действующим факторам риска. Метод не требует промежуточной стилизации статистических данных и априорной информации об искомом распределении, а необходимая точность и достоверность оценок как в уровне средних значений, так и на хвостах распределения может быть достигнута при относительно небольшом числе реализаций (102). Особую важность при использовании цифрового метода распределенной оценки риска, как впрочем и любого иного метода количественной оценки, включая метод Монте-Карло, имеет актуальность, полнота и достоверность исходных данных, адекватность и точность описания процессов с использованием результатно-ориентированного подхода, выбор критериев риска, корректность идентификации и анализа риска.
Задача распределенной оценки риска методом интегральных сверток чисел сводится к получению профиля риска проекта в виде:

.
В таком формализованном виде профиль риска характеризует вероятность того, что случайная величина целевого параметра проекта

окажется меньше ожидаемого значения
K0 на горизонте расчета [0,
T]. В случае точечной оценки риска решением задачи может служить ожидаемое значение искомого результата проекта
K0 и соответствующий уровень риска его достижения
r* =
R(
K0).
В явном виде цифровой профиль риска определяется вектором возможных значений целевого параметра проекта {
Kj},
j = 1, ...,
n, на расчетный момент времени
t, и числовой последовательностью {
rj}, каждый элемент которой характеризует вероятность того, что случайная величина

окажется меньше
Kj(
t)

,
где

, если
j >
s;

, если
j <=
s;
j = 1,...,
n;

;

.
Случайная числовая последовательность {
rj} содержит значения функции риска {
Kj} и определяется интегральной сверткой числовых последовательностей {
ak},
k = 1, ...,
s, и

,

.
5.5.3 Примеры построения цифрового профиля риска
Пример 1
Построение цифрового профиля риска потребности в дополнительном финансировании проекта капитального ремонта 1-го Елагина моста через р. Ср. Невку в Санкт-Петербурге.
На
рисунке 5 показаны условные дискретные распределения стоимости проекта по установленным факторам риска и функция риска потребности в дополнительном финансировании проекта с использованием цифрового метода интегральных сверток действительных чисел и его программной реализации в среде Microsoft Excel.
 Проектно-технический фактор |  Контрактный фактор |
 Ценообразующий фактор |  Производственно-технологический фактор |
 Функция риска |  Сметная стоимость (без резерва) |
Рисунок 5 - Цифровой профиль риска потребности
в дополнительном финансировании проекта
Полученная таким образом дискретная функция риска характеризует вероятность того, что случайная величина фактической стоимости проекта превысит или окажется равной ожидаемой (сметной) стоимости проекта, которая определена проектно-сметным, в частности, ресурсным методом ценообразования, без учета резерва средств на непредвиденные работы и затраты.
Резервирование в объеме резерва средств на непредвиденные работы и затраты в составе сводного сметного расчета стоимости ремонта рассматривается как основной способ управления риском потребности в дополнительном финансировании проекта.
Для построения функции риска выполнена идентификация факторов риска путем анализа чувствительности параметров модели и степени влияния действующих факторов риска на стоимость проекта. Рассмотрены проектно-технический, производственно-технологический, контрактный и ценообразующий факторы риска.
Сметная стоимость капитального ремонта 1-го Елагина моста без учета резерва средств на непредвиденные работы и затраты по утвержденной смете составляет 28038 тыс. руб. Тогда при заданном допустимом уровне риска 10% стоимость капитального ремонта с учетом резервирования должна быть принята в размере не менее 30000 тыс. руб., при этом цена риска (в данном примере - потребность в дополнительном финансировании проекта) составит: 30000 - 28038 = 1962 [тыс. руб.].
При допустимом уровне риска 10% цена риска отражает ожидаемые последствия влияния риска на достижение цели в стоимостном выражении результата проекта (28038 тыс. руб.), при этом величина непредвиденных работ и затрат, обусловленных потребностью в дополнительном финансировании проекта, должна быть принята в размере не менее 1962 тыс. руб.
В данном примере цена риска необходима для понимания возможного превышения фактической стоимости проекта его ожидаемой (сметной) стоимости, а также для обоснования способа воздействия на риск. Уровень риска отражает достоверность стоимостной оценки проекта - степень доверия к результатам оценки риска и ожидаемой стоимости проекта.
Сравнительная оценка риска потребности в дополнительном финансировании проекта может служить основанием для определения резерва средств на непредвиденные работы и затраты и выбора способа изменения риска, включая воздействие на риск.
По результатам анализа можно сделать вывод о том, что при заданном допустимом уровне риска резерв средств в размере 1962 тыс. руб. превышает резерв средств на непредвиденные работы и затраты - 576 тыс. руб., установленный сводным сметным расчетом при норме 3% от итога глав 1 - 9 сводного сметного расчета с учетом НДС. Смета по проекту капитального ремонта 1-го Елагина моста утверждена в сумме 28038 тыс. руб. На основании профиля риска
(рисунок 5) уровень риска в этом случае составит 23,5%, что более чем в два раза превышает допустимый уровень риска и не соответствует требованиям задания.
Возможны следующие способы управления риском потребности в дополнительном финансировании проекта:
1) снижение риска до допустимого уровня (10%) путем проведения дополнительного обследования моста и поверочного расчета его грузоподъемности с учетом обнаруженных дефектов, а также корректировки задания на проектирование и повторной оценки риска;
2) обоснованное изменение допустимого уровня риска проекта до фактически обеспечиваемого уровня - 23,5%;
3) сохранение резерва средств на непредвиденные работы и затраты в пределах нормативно установленного лимита 3% (576 тыс. руб.) и покрытие нераспределенного риска в размере 1385 тыс. руб. за счет проведения мероприятий по воздействию на риск.
Учитывая возможности заказчика по управлению риском в правовых рамках государственного контракта Санкт-Петербурга и относительно невысокое значение нераспределенного риска, рекомендуется принятие резерва средств на непредвиденные работы и затраты в пределах установленного лимита и покрытие разницы в размере 1385 тыс. руб. за счет обеспечения государственного контракта в размере 5% на этапе закупки товаров, работ и услуг в целях реализации проекта.
Пример 2
Построение цифрового профиля риска превышения плановых сроков выполнения проекта (риска расписания) реконструкции уникального объекта - Особняка Феликса Шопена в Санкт-Петербурге (построен в 1856 - 1859 гг. архитектором Франсуа Дезире).
На реальных данных и в рамках принятых допущений и ограничений по проекту составлена карта риска
(таблица 4) и построен цифровой профиль риска превышения плановых сроков выполнения проекта
(рисунок 6).
Поставлена задача построения профиля риска расписания, хотя не менее актуальным было бы решение задачи построения профиля риска утраты объекта культурного наследия, что отличает данный проект по объекту, некогда представлявшего историческую ценность.
Таблица 4
Карта риска превышения плановых сроков
выполнения проекта реконструкции (пример)
Фактор риска и источники его возникновения | Степень влияния, % | Мероприятия по управлению риском | Владелец риска |
Рыночный. Конъюнктура рынка, конкурентоспособность проекта, уровень спроса, маркетинговый комплекс | 20 | Диверсификация и снижение риска, повышение инвестиционной привлекательности и использование ресурсов партнеров | Инвестор |
Управленческий. Неопределенность исторической ценности здания, система управления проектом, компетенции персонала, график проекта и цена проекта, показатели эффективности проекта | 30 | Снижение риска, формирование управленческих компетенций персонала, страхование ответственности и риска | Руководитель проекта |
Проектно-технический. Неопределенность исходных данных, качество проектных решений, использование инноваций, достоверность оценок | 20 | Страхование ответственности и риска, резервирование - использование средств компенсационного и резервного фондов | Застройщик |
 . Качество планирования, график проекта, сроки проекта и его отдельных этапов, нормативы продолжительности работ | 25 | Резервирование - использование компенсационного и резервного фондов, страхование ответственности и риска | Подрядчик |
Инфляционный. Изменение стоимости работ и используемых ресурсов во времени | 5 | Резервирование - формирование и использование средств резервного фонда | Инвестор |

Рисунок 6 - Профиль риска превышения
плановых сроков выполнения проекта
Ситуация риска: в 2001 г. заводоуправление включено Комитетом по государственному контролю, использованию и охране памятников истории и культуры в Перечень вновь выявленных объектов, представляющих историческую, научную, художественную или иную культурную ценность. В 2005 г. ОАО "Сталепрокатный завод" продало свою приватизированную территорию площадью 7,2 г финской компании Lipsanen & Co Group. В 2011 г. здание особняка Феликса Шопена было снесено, а в 2019 г. построено заново под офисный центр площадью 1822,35 м2, с отклонением от линии застройки на 5 м ближе к Масляному каналу.
Уровень риска и цена риска, измеряемая в данном случае временем превышения плановых сроков/опережения календарного графика проекта, служат объективными показателями профиля риска расписания проекта реконструкции особняка Феликса Шопена.
Полученные численные данные сопоставлены с установленными плановыми сроками выполнения проекта (52 мес) и фактическими сроками на дату оценки (74 мес).
На основе полученных результатов оценки риска по проекту реконструкции с учетом утраты особняка Феликса Шопена как объекта культурного наследия, в частности, рекомендовано особое внимание уделить управленческому и

факторам риска, обоснованию цели проекта и предельных значений толерантности в отношении сроков выполнения проекта, обоснованию допустимого уровня риска, а также принятию обоснованных решений по воздействию на риск и обеспечению устойчивости проекта на ранних этапах жизненного цикла.
6 Управление риском проекта в реальном секторе экономики
6.1 Управление риском проекта как изменение риска
Управление риском проекта нужно понимать как скоординированные меры, направленные на адаптацию к риску и изменение риска, направленные на достижение цели проекта. Управление риском проекта охватывает процессы, политику, методы и другие средства, используемые для удержания и (или) изменения риска, при этом управление риском не всегда может привести к ожидаемым результатам и не связано только с внутренним контролем.
В контексте интеграции управление риском проекта тесно взаимосвязано со стратегией, корпоративным управлением, коммуникациями с заинтересованными сторонами, стоимостью и эффективностью проекта. При этом влияние условий реализации проекта на профиль риска и выбор стратегии управления риском может рассматриваться в перспективе прошлых, текущих и будущих событий.
Альтернативными стратегиями управления риском проекта следует считать:
- корректирование цели и (или) предельных значений толерантности к риску;
- пересмотр допустимого уровня риска и удержание риска;
- воздействие на риск проекта и изменение профиля риска.
При выборе стратегии управления риском необходимо шире использовать возможности количественных методов, отличающихся точностью и достоверностью оценок, а также критерии риска и устойчивости проекта с учетом риска, не ограничиваясь только уровнем риска и возможными последствиями.
В целях управления риском следует проводить анализ всех альтернативных стратегий и оценивать риск и возможности управления риском по каждой из альтернатив. В процессе управления риском принимается во внимание присущий риск и остаточный риск.
Важным принципом управления риском проекта признается комплексный взгляд на риск, прямо ориентированный на определение соответствия остаточного профиля риска проекта допустимому уровню риска и предельным значениям толерантности в области допустимых решений.
В управлении риском проекта используют один или несколько способов воздействия на риск:
- исключение риска проекта;
- принятие риска или увеличение риска для достижения возможности;
- изменение вероятности и последствий;
- передача риска другой стороне или сторонам;
- обоснованное решение о сохранении и удержании риска.
Исключение риска означает исключение источника неопределенности, устранение фактора риска или принятие решения не начинать или завершить проект, которому присущ риск. Такое решение принимается с использованием установленных критериев риска в случаях, когда:
- уровень возможных потерь, а также дополнительные затраты, связанные с изменением последствий или передачей риска, неприемлемы;
- уровень возможных потерь значительно превышает ожидаемые выгоды и преимущества.
Неприемлемый уровень потерь определяется предельными значениями толерантности к риску в масштабе эффективности.
Принятие риска или увеличение риска для достижения возможности означает сохранение всего или части риска проекта либо увеличение риска для достижения возможности в масштабе цели проекта. В этом случае руководитель проекта и иные заинтересованные стороны принимают решение о покрытии возможных потерь в результате свершения рискового события за счет собственных средств. Основными методами принятия риска или увеличения риска для достижения возможности являются:
- компенсация: покрытие риска за счет текущего денежного потока;
- резервирование: создание и использование резерва средств на покрытие непредвиденных расходов и затрат;
- самострахование: создание собственного страхового фонда, который предназначен для покрытия потерь и создается в виде перестраховочной компании;
- добор риска: проведение анализа ситуации, в которой выгода вероятна и достаточно контролируема, оценка риска и последующее увеличение риска.
Изменение вероятности и последствий означает изменение допустимости появления события вероятности и результата его влияния на достижение цели проекта. Результаты последствий могут обладать качественными или количественными характеристиками. Для изменения вероятности и последствий риска применяются следующие приемы и способы:
- диверсификация: процесс распределения капитала между различными объектами вложения - продуктами и результатами проекта, которые непосредственно не связаны между собой;
- приобретение дополнительной информации об условиях реализации и результатах, что позволяет сделать более точный прогноз и, как следствие, изменить риск;
- лимитирование, которое заключается в установлении лимита - предельных сумм расходов, производства, продажи, кредита и др.
Лимитирование является достаточно распространенным способом снижения уровня риска и применяется, например, банками при выдаче кредитов и ссуд, в сфере закупок в целях реализации проекта, при продаже товаров в кредит или предоставлении займов.
Передача риска другой стороне или сторонам - сохранение уровня риска путем передачи ответственности за риск третьим лицам путем страхования, хеджирования, защитных оговорок, а также путем контрактной передачи риска и формирования финансовых резервов по риску.
Страхование риска предусматривает передачу риска страховой компании за плату. Суть метода заключается в том, что инвестор готов отказаться от некоторой части доходов, чтобы минимизировать риски.
Хеджирование представляет собой биржевую операцию, которая позволяет полностью исключить или же ограничить риск финансовых операций при неблагополучных изменениях в будущем, изменении цен и др.
Защитные оговорки делятся на валютные, которые представляют собой специальное условие, позволяющее предотвратить потери от девальвации валюты, и товарно-ценовые, например оговорки о скользящих ценах или индексные оговорки, которые предполагают изменение цены пропорционально изменениям цен на ресурсы.
К формам контрактной передачи риска следует отнести:
- контракт, в соответствии с которым риск распределяется между сторонами либо переходит к одной из сторон, например подрядчику;
- аренду, при которой после заключения договора аренды риск переходит к арендатору, но некоторая часть остается у собственника;
- контракт на хранение, перевозку грузов, когда транспортной компании передается риск, связанный с порчей или утратой продукции в процессе ее транспортировки.
Формирование финансовых резервов по риску - форма воздействия на риск, которая включает согласованное резервирование средств в целях покрытия или изменения возникающих финансовых последствий в случае, если такие последствия произойдут.
Обоснованное решение о сохранении и удержании риска - решение о принятии потенциальных потерь или выгод от риска проекта с учетом установленных критериев риска и этапов жизненного цикла проекта.
6.2 Выбор стратегии управления риском проекта
На
рисунке 7 приведена укрупненная блок-схема алгоритма выбора стратегии и построения интегрированной системы управления риском (СУР), в основе которого лежит результативно-ориентированный подход, концепция проекта и требования к результатам в масштабе целевых параметров проекта.
Рисунок 7 - Укрупненная блок-схема выбора стратегии
управления риском и построения интегрированной СУР
Идентификация риска должна быть проведена с применением качественных и количественных методов настолько достоверно, детально и корректно, включая анализ чувствительности результата проекта к выявленным факторам риска, насколько это необходимо для построения профиля риска, обоснования предельных значений толерантности и допустимого уровня риска проекта.
Информацию об идентификации и последующем анализе риска проекта необходимо применять при формировании вывода о том, следует ли принять риск, а также для сравнения значимости риска с точки зрения влияния риска на результат проекта с учетом предельных значений толерантности к риску. Это дает возможность принимать решения о приемлемости и допустимости риска или необходимости воздействия на риск проекта.
Для полной интеграции управления риском в проектное управление предусмотрена распределенная оценка риска и построение профиля риска проекта с использованием цифровой модели интегральных сверток чисел.
На следующем шаге алгоритма проводится анализ указанных выше альтернативных стратегий управления риском проекта и применяемых способов воздействия на риск. Стратегия рассматривается как способ достижения цели проекта в условиях неопределенности и риска, поэтому выбор стратегии должен осуществляться в отношении каждой цели и (или) ожидаемого результата проекта.
Альтернативные стратегии рассматриваются в рамках принятых условий реализации проекта, а также с учетом установленных критериев толерантности, допустимости и значимости риска. Выбор стратегии осуществляется с использованием установленного проектом критерия выбора варианта (см.
рисунок 7). В случае, когда допустимый уровень риска оказывается слишком высоким, а способы воздействия на риск неприемлемыми или недостаточно эффективными, необходимо пересмотреть стратегическую цель проекта.
На завершающем этапе алгоритма проводится повторная оценка риска и, в случае удовлетворения установленным требованиям, осуществляется построение интегрированной системы управления риском и последующий переход к разработке мероприятий по управлению риском проекта на операционном уровне.
Повторная оценка риска необходима, чтобы убедиться, что предлагаемые стратегии и способы воздействия на риск не вызвали дополнительные неблагоприятные последствия, характеристики риска находятся в области допустимых решений, а устойчивость проекта соответствует установленным требованиям.
Результаты выбора стратегии, применяемые технологии и методы, а также результаты повторной оценки риска проекта должны быть задокументированы.
Целями документирования могут служить:
- предоставление документальных свидетельств и обоснование принимаемых стратегических решений по управлению риском;
- сохранение результатов выбора и реализации стратегии для использования на последующих этапах жизненного цикла проекта;
- мониторинг эффективности и устойчивости проекта, отражение основных тенденций;
- обеспечение доступности и адекватного восприятия принятых стратегических решений по управлению риском проекта.
Независимо от установленных требований документация должна содержать необходимую техническую и экономическую глубину проработки и достаточную детализацию для применения на этапах жизненного цикла проекта.
При этом формы документов могут быть нескольких или одного из следующих видов:
- матрица риска (рисков) - матрица последствий и вероятности в соответствии с рекомендациями
ГОСТ Р 58771;
- профиль риска, включая взаимосвязь его характеристик с целью, предельными значениями толерантности и допустимым уровнем риска
(рисунок 8).
Содержание документов и предоставляемые данные должны быть достаточными для того, чтобы можно было проанализировать и подтвердить как сам процесс оценки, так и его результаты. Предположения и ограничения, связанные с исходными данными или методами, а также основания для принятия стратегических решений и причины сформулированных рекомендаций должны быть описаны.
Новая графика управления риском проекта
(рисунок 8) отражает взаимосвязь профиля риска с целью, предельными значениями толерантности и допустимым уровнем риска, совместный анализ которых позволяет определить область допустимых стратегических решений и обосновать выбор стратегии управления риском проекта с учетом установленных требований и условий его реализации на этапах жизненного цикла.
Рисунок 8 - Управление риском проекта: выбор
стратегии (пример)
Из примера на
рисунке 8, в частности, видно, что при принятых исходных данных и неопределенности условий реализации цель проекта, выраженная в масштабе показателя эффективности - чистой приведенной стоимости проекта, оказывается вне области допустимых решений, что является неприемлемым и требует принятия решений по стратегии управления риском.
Корректирование цели и (или) предельных значений толерантности к риску, если это возможно и достаточно обосновано, может изменить ситуацию риска без прямого воздействия на риск и изменения профиля риска, обеспечивая достижение цели проекта в области допустимых решений, как показано в примере на
рисунке 9.
Рисунок 9 - Корректирование цели и предельных значений
толерантности (пример)
Пересмотр допустимого уровня риска и удержание риска рекомендуется применять на регулярной основе на отдельных этапах жизненного цикла проекта в целях адаптации и повышения устойчивости проекта при изменении стратегических целей, результатов проекта и условий его реализации. Заявление о пересмотре допустимого уровня риска целесообразно формулировать в соответствии с целью проекта, в том числе на очередной период планирования, этап жизненного цикла, среднесрочную или долгосрочную перспективу.
Обоснование данной стратегии не требует значительных ресурсов, поэтому ее применение может оперативно изменить ситуацию риска проекта до уровня, при котором цель оказывается в области допустимых решений с учетом предельных значений толерантности, как показано в примере на
рисунке 10.
Рисунок 10 - Пересмотр допустимого уровня риска
и удержание риска (пример)
Воздействие на риск проекта и изменение профиля риска - наиболее эффективная и часто используемая стратегия управления риском, для применения которой существует большое разнообразие рассмотренных выше, стандартизированных и иных применяемых в практике управления проектами способов воздействия на риск. В контексте новой графики управления риском - это стратегия изменения профиля риска, как показано в примере на
рисунке 11.
Рисунок 11 - Воздействие на риск проекта
и изменение профиля риска (пример)
В случае воздействия на риск корректируется профиль риска и проводится повторная оценка риска. При выполнении установленных требований осуществляется детальная разработка мероприятий по управлению риском.
При многоцелевом подходе процедура повторяется в отношении каждой цели и соответствующего риска проекта, результаты прохождения которой служат объективным основанием для построения и внедрения интегрированной системы управления риском проекта.
В отношении реализации проектов, на которые распространяются требования
[7], информацию о рисках, стратегии и мероприятиях по управлению рисками следует отражать в паспорте проекта и отчетах о ходе его реализации. Информация и данные о возможных рисках проекта и изменениях параметров паспорта проекта (при необходимости) формируются в государственной автоматизированной информационной системе "Управление" и государственной интегрированной информационной системе управления общественными финансами "Электронный бюджет".
6.3 Анализ устойчивости проекта
6.3.1 Качественный анализ устойчивости проекта
В сложившейся практике проектного управления анализ устойчивости проекта, как правило, не проводится либо проводится в наиболее вероятных и опасных для участников проекта условиях реализации на основании предварительного анализа чувствительности факторов риска и их влияния на результат проекта и (или) целевые параметры проекта
[10].
Неполнота или неточность информации об условиях реализации и ожидаемых параметрах проекта означает, что возможны различные сценарии реализации проекта. Под сценарием понимают непротиворечивую комбинацию целевых параметров проекта и его экономического окружения. В частности, разные сценарии могут отличаться прогнозной динамикой цен, прогнозируемыми объемами производства, объемом и разновременностью планируемых инвестиционных и операционных затрат.
Наличие или отсутствие риска, связанного с реализацией того или иного сценария, определяется экспертно по величине и знаку соответствующих отклонений от цели. Для более полного учета факторов неопределенности и риска необходима достоверная информация обо всех возможных сценариях реализации проекта.
В целях оценки устойчивости проекта с учетом неопределенности и риска следует проводить:
- расчеты ожидаемых целевых параметров проекта на основе некоторого базисного варианта, агрегированно отражающего возможные сценарии реализации проекта;
- анализ чувствительности целевых параметров и результатов проекта к изменению отдельных факторов риска;
- анализ наиболее рискованных сценариев реализации проекта.
Анализ чувствительности в полном объеме проводится обычно после завершения расчетов ожидаемых параметров проекта и получения их приемлемых значений. По результатам анализа делается вывод об устойчивости или неустойчивости проекта, а в случае необходимости вносятся соответствующие изменения в проект (например, увеличиваются сроки и стоимость проекта, предусматриваются дополнительные меры по снижению или передаче риска).
Проект признается устойчивым, если при всех возможных изменениях условий его реализации, экономического окружения, ожидаемых значений параметров проекта и факторов риска проект оказывается технически осуществимым, финансово реализуемым и экономически эффективным, а возможные неблагоприятные последствия устраняются предусмотренными проектом компенсирующими мероприятиями и способами воздействия на риск.
В противном случае проект признается неустойчивым, технически неосуществимым либо финансово нереализуемым, либо реализация проекта приводит к последствиям, не отвечающим цели (целям) проекта и интересам заинтересованных сторон.
6.3.2 Количественный анализ устойчивости проекта
При анализе устойчивости проекта нередко оказывается возможным и практически полезным определить ряд показателей, количественно характеризующих приемлемый диапазон изменения значений параметров проекта
[10]. С этой целью определяются предельные значения и границы безубыточности таких параметров. Например, в контексте экономической эффективности предельным считается такое значение параметра проекта, при котором ожидаемая чистая приведенная стоимость, иначе интегральный эффект, становится равным нулю.
Обычно концепцией проекта предусматривается, что на этапе реализации проект становится прибыльным. При этом прибыль может зависеть не только от принятых проектных решений, но и от ожидаемых целевых параметров проекта, значения которых могут меняться на этапах жизненного цикла. По таким параметрам проекта (например, объем производства, цены на сырье, оборудование и материалы, объем спроса, график платежей) для каждого шага расчетного периода может определяться граница (точка) и уровень безубыточности.
Границей безубыточности для некоторого шага расчетного периода называется такой коэффициент к ожидаемому значению параметра проекта, при котором чистая прибыль, полученная в результате реализации проекта на данном шаге, становится нулевой. Иными словами, это отношение так называемого "безубыточного" значения параметра проекта к его ожидаемому (проектному) значению.
Наиболее часто границу безубыточности определяют для объема (плана) производства. В этом случае границей безубыточности производства Vб может служить такой план производства, при котором:
- объем доходов от реализации продукции D равен объему полных текущих затрат производства Zо;
- доходы от внереализационной деятельности и расходы по этой деятельности не зависят от объема продаж;
- полные текущие затраты производства Zо могут быть разделены на условно постоянные затраты Zпс, не изменяющиеся во времени при изменении объема производства, и условно переменные затраты Zпр, линейно или нелинейно изменяющиеся пропорционально объему производства.
В масштабе объема производства граница (точка) безубыточности
Vб может быть определена в виде
(рисунок 12):

,
где C - цена продукции, продукта проекта или услуг.
Рисунок 12 - Определение границы
безубыточности производства (пример)
Если в рассмотренном детерминированном подходе вместо границы безубыточности использовать уровень безубыточности производства
Uб, то при норме прибыли
nр и соответствующем этой норме значении объема производства и приращении полных текущих затрат

можно определить цену продукции, продукта проекта или услуги
Cу, обеспечивающую ценовую устойчивость проекта, в виде

.
По значениям границы и уровня безубыточности можно также судить об устойчивости проекта к кратковременному снижению спроса или изменению иных параметров проекта.
Более полную информацию об устойчивости проекта можно получить, используя метод сценариев и проводя анализ применительно к различным возможным сценариям реализации проекта. При этом параметры проекта в каждом сценарии должны быть сопоставимы и взаимоувязаны. Например, при формировании сценариев, отвечающих разным темпам инфляции, необходимо предусматривать одновременное изменение цен на производимую продукцию и отдельные виды потребляемых ресурсов, процентных ставок, задержки платежей, а также изменение спроса.
Рассмотрение различных сценариев позволяет оценивать возможные последствия и влияние на них факторов риска с учетом предусмотренных проектом способов воздействия на риск, при необходимости, обосновать размер ресурсов, резервов, запасов и скорректировать организационно-экономический механизм реализации проекта с учетом риска.
Набор рассматриваемых сценариев формируется в соответствии с представлениями заинтересованных сторон о возможных рисках проекта и эффективных способах воздействия на риск. Вместе с тем в условиях адаптации и изменений на этапах жизненного цикла проекта детерминированный подход может оказаться недостаточным для принятия обоснованных стратегических решений по управлению риском проекта.
6.3.3 Вероятностный метод анализа устойчивости проекта
В условиях неопределенности и риска устойчивость проекта имеет ярко выраженную стохастическую природу и характеризует способность проекта к равновесию и адаптации на этапах жизненного цикла в реальных условиях его реализации. Это предопределяет возможность и целесообразность вероятностного описания и анализа устойчивости в управлении риском проекта.
В контексте концепции интеграции управления рисками и результатно-ориентированного подхода к управлению проектом устойчивость проекта может быть определена как его способность сохранять и удерживать ожидаемые целевые параметры в установленных пределах толерантности и допустимого уровня риска в сложных и постоянно изменяющихся условиях реализации.
В вероятностном смысле устойчивость проекта Yпр есть величина обратная уровню риска проекта Rк, при всех принятых проектом требованиях, допущениях, ограничениях и изменениях в отношении искомого целевого параметра проекта K

.
Вероятностный анализ устойчивости проекта проводится в долях единицы либо в процентах, в зависимости от цели оценки.
В формате используемой в стандарте цифровой графики управления риском проект признается неустойчивым, технически неосуществимым либо финансово нереализуемым, если цель проекта находится вне области допустимых решений или уровень риска, определяемый профилем риска, превышает допустимый уровень риска проекта, как показано в примере на
рисунке 8. В таких случаях реализация проекта приведет к последствиям, не отвечающим цели проекта и интересам заинтересованных сторон.
При проведении анализа устойчивости проекта в области допустимых решений в вероятностной постановке может быть использована точечная, приведенная точечная или распределенная оценка.
Точечная оценка устойчивости проекта
Yт применяется, например, в случаях, когда риск проекта является одинаковым в установленных пределах толерантности к риску, а уровень риска определяется величиной допустимого уровня риска, как показано на
рисунке 10:
Yт = 1 - Rд,
где Rд - допустимый уровень риска проекта.
В примере на
рисунке 10 устойчивость проекта будет равна:
Yт1 = 0,6 (60%).
Приведенная точечная оценка устойчивости проекта
Yп применяется в случаях, когда допустимый уровень риска превышает уровень риска проекта, а профиль риска характеризуется несколькими значениями уровня риска в установленных пределах толерантности, дискретно возрастающими при изменении ожидаемых значений искомого целевого параметра проекта (
рисунки 9,
11):

,
где Ri - i-й уровень риска проекта, i-1,..., m; m - количество уровней риска в диапазоне приемлемых значений целевого параметра проекта;

- удельный вес
i-го уровня риска в диапазоне приемлемых значений целевого параметра проекта, определяемый в долях единицы.
В примерах на
рисунках 9 и
11 устойчивость проекта будет соответственно равна:
Yтп1 = 0,429 (1 - 0,21) + 0,571 (1 - 0,43) = 0,66 (66%),
Yтп2 = 0,25 (1 - 0,33) + 0,5 (1 - 0,48) + 0,25 (1 - 0,56) =
= 0,54 (54%).
Распределенная оценка устойчивости проекта
Yр применяется в случаях высокой изменчивости профиля риска и достаточно широкой области допустимых решений в диапазоне приемлемых значений целевого параметра проекта - пределах толерантности к риску, а также в случаях, когда допустимый уровень устойчивости устанавливается в виде предельных значений. На
рисунке 13 на примере оценки устойчивости по показателю эффективности проекта показаны возможности цифровой графики распределенной оценки и определена область, в которой устойчивость проекта обеспечивается.
Рисунок 13 - Распределенная оценка
устойчивости проекта (пример)
Устойчивость проекта достигается сохранением и удержанием ожидаемых целевых параметров проекта с учетом критериев риска в сложных и постоянно изменяющихся условиях реализации проекта.
Используя функцию устойчивости проекта в области допустимых решений, достигается максимально возможная достоверность оценок и обоснованность принимаемых стратегических решений в условиях больших вызовов, неопределенности и риска.
| Указ Президента Российской Федерации от 28 февраля 2024 г. N 145 "О стратегии научно-технологического развития Российской Федерации" |
| Федеральный закон от 28 декабря 2024 г. N 523-ФЗ "О технологической политике в Российской Федерации и о внесении изменений в отдельные законодательные акты Российской Федерации" |
| PMBOK - 2021 | Руководство к своду знаний по управлению проектом - седьмое издание (A Guide to the Project Management Body of Knowledge - 7th Edition) |
| Постановление Правительства Российской Федерации от 22 декабря 2020 г. N 2204 "О некоторых вопросах реализации государственной поддержки инновационной деятельности, в том числе путем венчурного и (или) прямого финансирования инновационных проектов, и признании утратившими силу акта Правительства Российской Федерации и отдельного положения акта Правительства Российской Федерации" (вместе с "Правилами оценки эффективности, особенностями определения целевого характера использования бюджетных средств, направленных на государственную поддержку инновационной деятельности, и средств из внебюджетных источников, возврат которых обеспечен государственными гарантиями, и применяемые при проведении такой оценки критерии", "Правилами определения допустимого уровня рисков, в том числе финансовых, и базовых критериев управления ими при реализации инновационного проекта с использованием средств государственной поддержки", "Положением о проведении экспертиз, осуществлении мониторинга и контроля реализации инновационного проекта, мониторинге и контроле целевого расходования средств государственной поддержки, направленных на финансовое обеспечение инновационного проекта", "Условиями и допустимыми формами финансового обеспечения инновационного проекта за счет средств государственной поддержки инновационной деятельности" |
| COSO Enterprise Risk Management 2017 | Концептуальные основы управления рисками: Интеграция со стратегией и эффективностью деятельности (Enterprise Risk Management - Integrating with Strategy and Performance) |
| Распоряжение Правительства Российской Федерации от 20 мая 2023 г. N 1315-р "Об утверждении концепции технологического развития на период до 2030 года" |
| Постановление Правительства Российской Федерации от 31 октября 2018 г. N 1288 "Об организации проектной деятельности в Правительстве Российской Федерации (вместе с "Положением об организации проектной деятельности в Правительстве Российской Федерации")" |
| ИСО 21502:2020(Е) | Управление проектами и программами, портфельный менеджмент. Руководящие указания в части управления проектами (Project, programme and portfolio management - Guidance on project management) |
| Рекомендации Банка России от 1 октября 2020 г. N ИН-06-28/143 "О рекомендации по организации управления рисками, внутреннего контроля, внутреннего аудита, работы комитета совета директоров (наблюдательного совета) по аудиту в публичных акционерных обществах" |
| Рекомендации от 21 июня 1999 г. N ВК 477 Методические рекомендации по оценке эффективности инвестиционных проектов (Вторая редакция) (утв. Министерством экономики Российской Федерации, Министерством финансов Российской Федерации, Государственным комитетом Российской Федерации по строительной, архитектурной и жилищной политике) |
УДК 658.5.011:006.354 | |
Ключевые слова: проект, жизненный цикл проекта, эффективность проекта, устойчивость проекта, риск проекта, управление риском проекта, критерии риска проекта, оценка риска проекта, профиль риска проекта, уровень риска проекта, цена риска проекта, допустимый уровень риска, толерантность к риску проекта, воздействие на риск проекта |