Главная // Актуальные документы // Актуальные документы (обновление 2025.03.03-2025.03.29) // Рекомендация / РекомендацииСПРАВКА
Источник публикации
М.: Стройиздат, 1985
Примечание к документу
Название документа
"Рекомендации по расчету экономической эффективности технических решений в области организации, технологии и механизации строительных работ"
"Рекомендации по расчету экономической эффективности технических решений в области организации, технологии и механизации строительных работ"
РЕКОМЕНДАЦИИ
ПО РАСЧЕТУ ЭКОНОМИЧЕСКОЙ ЭФФЕКТИВНОСТИ
ТЕХНИЧЕСКИХ РЕШЕНИЙ В ОБЛАСТИ ОРГАНИЗАЦИИ,
ТЕХНОЛОГИИ И МЕХАНИЗАЦИИ СТРОИТЕЛЬНЫХ РАБОТ
Рекомендованы к изданию решением секции организации и управления строительным производством научно-технического совета ЦНИИОМТП Госстроя СССР.
Изложены способы расчета экономической эффективности по пяти группам наиболее часто встречающихся видов задач. Приведены формулы для определения основных показателей экономической эффективности, исходные данные для расчетов.
Для инженерно-технических работников научно-исследовательских организаций.
Разработаны ЦНИИОМТП Госстроя СССР (инженеры Л.И. Бланк, Р.И. Левит, С.А. Тартынская, канд. эконом. наук М.А. Беркович и канд. техн. наук С.В. Пинхасик).
| | ИС МЕГАНОРМ: примечание. В официальном тексте документа, видимо, допущена опечатка: пропущен номер раздела. | |
1.1. В Рекомендациях изложены способы и порядок расчета экономической эффективности технических решений в области организации, технологии и механизации производства строительных работ. Под техническими решениями в данном случае подразумеваются такие, которые принимают в ходе разработки, проектирования и применения в строительном производстве любых технологических и организационных методов производства строительных работ, а также новых средств механизации и автотранспорта.
1.2. Рекомендации предназначены для экономического обоснования при выборе наилучших вариантов на стадиях создания и применения новых и при использовании традиционных методов и средств технологии, организации и механизации в строительном производстве.
1.3. Экономический эффект образуется только при снижении расхода трудовых, материально-технических, финансовых ресурсов и времени. Поэтому наилучший вариант технического решения выбирается на основе расчета сравнительного годового экономического эффекта, определяющего суммарную экономию указанных видов ресурсов с позиций народного хозяйства по критерию минимума приведенных затрат

(1)
где С - текущие затраты (себестоимость);
Ен - нормативный коэффициент сравнительной эффективности капитальных вложений;
К - капитальные вложения (или производственные фонды).
1.4. Наиболее распространенными задачами по определению годового экономического эффекта при выборе вариантов технических решений в области организации, технологии и механизации производства строительных работ являются следующие типы:
А. Оценка различных методов организации производства строительных работ и организационных мероприятий (поточный, вахтовый, экспедиционный; применение диспетчеризации, сетевого планирования и управления; повышение коэффициента сменности работы и т.д.);
Б. Оценка различных методов выполнения технологических процессов возведения зданий и сооружений (процессы разработки и перемещения грунта, уплотнения насыпи, планировки земляной поверхности; устройства свайных, монолитных или сборных фундаментов; монтаж строительных конструкций и оборудования; устройство монолитных или каменных несущих и ограждающих конструкций, кровли; оштукатуривание и окраска поверхности и др.) с использованием орудий труда традиционных видов и типоразмеров;
В. Оценка новых орудий труда нетрадиционных видов и типоразмеров, в том числе модернизированных с целью повышения производительности труда или улучшения других эксплуатационных качеств - мобильности, безотказности, ремонтопригодности и др., расширение области применения средств механизации и их универсализация;
Г. Оценка технических решений по улучшению использования парка средств механизации и автотранспорта (повышение сменности работы, коэффициента внутрисменного использования, снижение расстояния перебазировки машин и их "нулевого пробега" и пр.);
Д. Оценка технических решений по совершенствованию процессов технической эксплуатации парка строительных машин и автотранспорта.
1.5. Показатели годового экономического эффекта, единицы измерения, на которые рассчитывают эти показатели, правила выбора базы для сравнения (БТ)
<*> и виды текущих и капитальных затрат, величина которых может измениться, при реализации технических решений, перечисленные в пп. 1.4 (
А -
Д), приведены в
таблице на с. 4 - 7.
--------------------------------
<*> Здесь и далее БТ - базисный вариант технического решения, а НТ - вариант новой техники или вариант существующей техники, организации, технологии, который сравнивается с БТ.
Наиболее распространенные типы задач по определению экономической эффективности технических решений | Показатели годового экономического эффекта и единицы измерений | База для сравнении (БТ) | Виды затрат, величина которых может изменяться (+) или не изменяться (-) при реализации технических решений |
годовой объем работ | себестоимость и капитальные вложения, руб. | строительные материалы | основная заработная плата рабочих | на эксплуатацию машин | накладные расходы | оборотные средства | капитальные вложения | Экономия капитальных вложений за счет |
ликвидации основных фондов | досрочного пуска объектов в эксплуатацию |
Оценка методов и мероприятий по организации производства строительных работ | Здание, сооружение. Годовая программа работ строительной организации. Комплекс зданий (сооружений) | На одно здание (сооружение). На годовую программу работ. На комплекс зданий (сооружений) | Показатели уровня организации строительного производства до применения новых методов и реализации мероприятий | + | + | + | + | + | + | + | + |
Оценка методов выполнения технологических процессов возведения зданий и сооружений с использованием орудий труда традиционных видов и типоразмеров | При выполнении одного повторяющегося процесса - 1000 натуральных единиц измерения (м3, м2, м и т.д.). При выполнении нескольких последовательных или совмещенных процессов - здания (сооружения) или их повторяющиеся части | На натуральную единицу измерения. На здание (сооружение) или их повторяющуюся часть (секцию, пролет, блок, ячейку) | Показатели выполнения технологических процессов до реализации предлагаемых технических решений | + | + | + | + | + | + | + | + |
Оценка новых орудий труда | Годовая эксплуатационная производительность одной среднесписочной машины или годовое количество работы, маш.-ч | На единицу измерения годовой производительности или на 1 маш.-ч работы машины | На этапе проектирования и конструирования - лучшие образцы, обеспечивающие минимум приведенных затрат на единицу измерения. На этапах серийного производства и применения - наиболее распространенная техника. На этапе переаттестации - та же техника до ее аттестации | + | + | + | + | - | + | + | - |
Оценка модернизации орудий труда силами строительных организаций с целью повышения их производительности или улучшения других эксплуатационных параметров. Оценка модернизации орудий труда, осуществляемая в сфере машиностроения, рассматривается так же, как создание новых орудий труда | То же | То же | Та же машина до ее модернизации | - | - | + | + | - | + | - | - |
То же, с целью расширения области их применения, в том числе с целью универсализации | | | Машина, выпускаемая отечественной промышленностью, с такими же техническими параметрами, как у модернизированной | + | + | + | + | - | + | + | - |
Оценка мероприятий по улучшению использования парка средств механизации | " | " | Показатели использования парка машин до реализации технических решений | - | - | + | - | + | + | + | - |
Оценка совершенствования процессов технической эксплуатации | " | " | Показатели выполнения этих процессов до реализации технических решений | - | - | + | - | + | + | + | - |
1.6. В случае необходимости определения годового экономического эффекта технического решения, реализация которого осуществляется более одного года (при возведении зданий, сооружений или их комплексов), годовые затраты, связанные с использованием этого технического решения, и экономический эффект, получаемый в каждом году, приводятся к первому году применения, а результат делится на число лет реализации данного технического решения (определение среднегодового экономического эффекта за период реализации технического решения).
1.7. Если рассматриваемое новое орудие труда входит в комплект средств механизации, с применением которого осуществляется один или несколько взаимосвязанных технологических процессов, то годовой объем работ определяется по годовой эксплуатационной производительности ведущей машины этого комплекта.
1.8. Сравниваемые варианты технических решений для всех видов задач должны быть приведены в сопоставимый вид по области их применения; объему работ, выполняемых с их применением; качественным параметрам; моменту осуществления затрат и получения эффекта ("фактору времени"); срокам службы орудий труда; уровню цен, тарифов, норм и пр.; социальным факторам (влияние технических решений на условия труда рабочего и окружающую среду).
1.9. Приведение сравниваемых вариантов технических решений к сопоставимому виду по области их применения достигается правильным выбором базисного варианта (БТ) в соответствии с таблицей.
Для
задач типа А и
Г варианты технических решений должны сравниваться при одинаковых конструктивных, объемно-планировочных решениях и технологических условиях производства строительных работ; для
задач типа Б и
Д - при одинаковых конструктивных, объемно-планировочных решениях и организационных условиях производства работ, а для
задач типа В - при одинаковых конструктивных, объемно-планировочных решениях, организационных и технологических условиях.
При решении любых типов задач необходимо исключить факторы, непосредственно не влияющие на величину годового экономического эффекта.
Например, при определении экономической эффективности вахтового метода организации строительства и производства работ не следует учитывать эффект, получаемый от использования новых инвентарных производственных и бытовых помещений взамен временных помещений на объектах строительства. При определении экономической эффективности диспетчеризации нельзя принимать в расчет несопоставимые организационно-технические уровни строительного производства. При определении экономической эффективности новых технологических методов монтажа конструкций необходимо исключить влияние применения эффективных конструкций и новых орудий труда на величину экономической эффективности рассматриваемых методов, а при определении эффективности новых орудий труда следует учитывать одинаковый организационно-технический уровень выполнения механизированных процессов в сравниваемых вариантах.
В отдельных случаях, когда применение эффективных конструкций или технологических методов невозможно без применения новых орудий труда, в расчетах следует указывать, что определяется совокупный годовой экономический эффект, обусловленный применением двух или нескольких новых технических решений (например, метод "стена в грунте").
При решении
задач типа Б,
В,
Д сопоставимость вариантов обеспечивается сравнением показателей выполнения технологических процессов возведения конструктивных элементов, частей зданий и сооружений, перемещения строительных грузов, а также технической эксплуатации машин.
Обычно при определении эффективности средств механизации монтажа зданий или сооружений за единицу измерения целесообразно принять здание (сооружение) в целом или его повторяющуюся типовую часть, поскольку производительность кранов и других машин на монтаже зданий (сооружений) изменяется в зависимости от технологичности применяемых строительных конструкций и объемно-планировочных решений.
В тех случаях, когда производительность сравниваемых средств механизации не изменяется в течение всего технологического процесса, за единицу измерения целесообразно принять натуральный измеритель продукции технологического процесса.
При решении
задач типа Б в тех случаях, когда выбор вариантов ограничен наличием парка машин в данной организации, надо оценивать выполнение рассматриваемого технологического процесса с помощью различных комплектов имеющихся средств механизации, которые по своим техническим параметрам могут обеспечить выполнение этого процесса.
Если выбор не ограничен наличием парка машин, в расчет следует принимать лучшие, наиболее совершенные машины, имеющиеся в строительстве. Обычно это делают при разработке типовых технологических карт, типовых проектов производства работ и при выполнении научных исследований.
Если новое средство механизации или автотранспорта (НТ) создано для применения при выполнении двух или нескольких технологических процессов (орудия труда многоцелевого назначения), то при решении
задач типа В расчет осуществляется по каждому процессу. Средняя величина экономического эффекта в этом случае определяется с учетом удельного веса занятости данного средства механизации по времени при выполнении тех или иных технологических процессов.
Если модернизация машин имеет целью ее универсализацию (возможность использования новых видов сменного оборудования), то в качестве БТ принимается выполнение технологических процессов с использованием аналогичной универсальной машины, выпускаемой отечественной промышленностью. При отсутствии таковой сравнение надо производить с осуществлением операций и процессов специализированными машинами или вручную.
Приведение сравниваемых вариантов технических решений к сопоставимому виду по объему работ, выполняемому с их применением, достигается расчетом удельных показателей себестоимости и капитальных вложений по вариантам на принятую единицу измерения работы с последующим умножением на годовой объем работ, выполняемый с применением технического решения, обеспечивающего большую производительность.
В случаях когда объем работ ограничен годовой программой строительно-монтажных работ и не может быть увеличен при использовании нового технического решения (НТ) без проведения дополнительных организационных и других мероприятий (увеличение поставки строительных материалов и конструкций, орудий труда, увеличение численности рабочих и пр.), годовой объем работ принимается одинаковым.
1.10. Приведение сравниваемых вариантов технических решений к сопоставимому виду по фактору времени необходимо, если капитальные вложения осуществляются в течение ряда лет, а также в тех случаях, когда текущие издержки и результаты реализации технических решений изменяются с течением времени. Сопоставимость обеспечивается приведением разновременных затрат и результатов к одному моменту времени - году начала реализации нового технического решения путем их умножения на коэффициент приведения

:

(2)
где Е - норматив приведения (Е = 0,1);
t - период приведения в годах (t > 1).
Затраты и результаты, осуществляемые и получаемые до момента приведения, умножаются на

, а после момента приведения - на

. Коэффициенты приведения даны в
табл. 1.
Приведение сравниваемых вариантов технических решений к сопоставимому виду по срокам службы орудий труда (задачи типа Б и В) осуществляется путем учета дополнительных капитальных вложений на приобретение техники с меньшим нормативным сроком службы в течение срока службы более долговечной техники.
С этой целью капитальные вложения в менее долговечную технику следует умножить на коэффициент

, величина которого при
t2:
t1 <= 2 составляет:

(3)
где t2 и t1 - нормативные сроки службы соответственно более и менее долговечной техники.
1.11. Приведение сравниваемых вариантов технических решений к сопоставимому виду по социальным факторам (влияние на условия труда рабочего и окружающую среду) осуществляется в тех случаях, когда это влияние невозможно определить прямым счетом. При этом необходимо руководствоваться следующим правилом: экономическому сравнению подлежат только те варианты технических решений, которые в части их отрицательного влияния на условия труда рабочих и окружающую среду (уровень вибрации, шума, запыленности, освещенности, вредных выбросов и т.д.) соответствуют нормам государственных стандартов. Если параметры отрицательного воздействия выходят за пределы указанных норм, то данный вариант технического решения не следует рассматривать. Исключение составляет только сопоставление с заменяемой техникой, отдельные, морально устаревшие образцы которой, не соответствующие действующим в настоящее время ГОСТам, еще находятся в эксплуатации.
Если эти параметры не выходят за пределы норм государственных стандартов, но в одном из рассматриваемых вариантов они более благоприятны; для приведения вариантов к сопоставимому виду следует увеличить стоимость (капитальные вложения) варианта техники с менее благоприятными параметрами. Увеличение стоимости производится в соответствии с данными о величине затрат, необходимой и достаточной для создания устройств, обеспечивающих улучшение указанных параметров до уровня лучшего из рассматриваемых вариантов техники.
1.12. Сопоставимость вариантов технических решений по уровню цен, тарифов, норм и пр. обеспечивается применением в расчетах сравнительного годового экономического эффекта цен, тарифов и пр., действующих на момент выполнения расчета.
1.13. Экономический эффект следует определять только по тем нормативным документам, которые непосредственно регламентируют изменение или непосредственно влияют на изменение в строительном производстве расхода ресурсов, перечисленных в
п. 1.3, и их реализация не требует проведения каких-либо дополнительных организационно-технических мероприятий (повышение уровня организации производства, применение новых орудий или предметов труда, технологии производства работ и т.д.).
1.14. Сравнительный годовой экономический эффект от реализации тех или иных технических решений определяется по разности приведенных затрат Э = П' - П" или с учетом изменения годового объема работ

(4)
где В" - годовой объем работ, выполняемый с использованием НТ, а индекс (у) означает удельную величину себестоимости (С) и капитальных вложений (К) на соответствующую единицу измерения объема работ.
2. ПОРЯДОК ВЫПОЛНЕНИЯ РАСЧЕТА
ГОДОВОГО ЭКОНОМИЧЕСКОГО ЭФФЕКТА
2.1. Расчет годового экономического эффекта производится в следующем порядке:
определяются назначение и область применения технического решения (НТ);
выбирается базисное (или заменяемое) решение (БТ);
выявляются факторы, обеспечивающие снижение текущих или капитальных затрат или изменение отвлеченности производственных фондов при использовании в строительном производстве НТ вместо БТ;
собираются и систематизируются исходные данные, необходимые для выполнения расчета;
определяется годовой объем работ при использовании БТ и НТ;
рассчитываются капитальные затраты (или отвлеченность производственных фондов);
рассчитываются текущие затраты (себестоимость) и годовой экономический эффект.
2.2. Выявление назначения и области применения НТ производится при разработке новых методов организации, технологии и новых орудий труда на основе научной и технической документации (научные отчеты, технические требования или задания на разработку НТ). На этом этапе должны быть установлены конкретные или усредненные (в зависимости от типа задачи) условия применения НТ, технологические процессы, для выполнения которых предназначена НТ.
2.3. Выбор БТ зависит от типа задачи и определяется назначением НТ, областью ее применения, условиями ее использования. Если НТ предназначена для выполнения технологической операции (процесса), ранее осуществлявшейся вручную, в качестве базисного варианта принимаются показатели ручного труда рабочих.
2.4. Влияние факторов, обеспечивающих снижение текущих или капитальных затрат или изменение производственных фондов при использовании НТ вместо БТ, осуществляется в соответствии с типом задачи, условиями и областью применения НТ и ее преимуществами по сравнению с БТ.
2.5. Источниками информации для выполнения расчетов экономического эффекта являются:
для
задач типа А - нормы продолжительности строительства и реконструкции зданий, сооружений и их комплексов, проектно-сметная документация;
для
задач типа Б - объемно-планировочные и конструктивные решения зданий и сооружений, специальная литература, содержащая данные о технических и эксплуатационных параметрах машин традиционных видов и типоразмеров;
для
задач типа В - на этапе проектирования и конструирования новых орудий труда - технические требования на машину и техническое задание на ее проектирование, технический проект, рабочая документация, карта технического уровня и качества, отчетная калькуляция себестоимости затрат на изготовление БТ за прошедший год; на этапе принятия решения о серийном изготовлении и применении НТ - акты государственных испытаний, паспорт машины и инструкция по ее эксплуатации, отчетная калькуляция себестоимости затрат на изготовление БТ за прошедший год и плановая для НТ; на этапах аттестации машины (после определенного периода ее эксплуатации) и ее повторной аттестации - справки строительных организаций, карта технического уровня и качества, инструкция по эксплуатации машины, отчетная калькуляция себестоимости изготовления НТ за прошедший год.
Кроме того, для всех типов задач источниками информации являются:
при определении затрат на материалы - нормы расхода материалов, утвержденные в установленном порядке, а также расчетные величины расхода материалов;
при определении затрат труда рабочих - ЕНиР, ВНиР, карты технологических процессов, нормы обслуживания (в частности нормативный состав экипажа машин), хронометражные данные, приведенные к уровню ЕНиР, нормативные и методические документы, утвержденные в установленном порядке;
при определении затрат на заработную плату рабочих - расценки, указанные в ЕНиР, ВНиР, тарифные ставки и коэффициенты к ним, а также данные тарифно-квалификационного справочника;
при определении суммы амортизационных отчислений - "
Нормы амортизационных отчислений по основным производственным фондам народного хозяйства", утвержденные постановлением Совета Министров СССР от 14.03.74 N 183;
при определении суммы накладных расходов на общестроительные работы - усредненный норматив в размере 18% к сумме прямых затрат, а по эксплуатации машин - в размере 0,3 от суммы основной заработной платы рабочих и 0,1 от остальных статей прямых затрат (кроме задач, в которых определяется эффективность новых автотранспортных средств);
при определении затрат на автотранспорт в строительных организациях -
Прейскурант N 13-01-01;
при определении суммы капитальных вложений и основных производственных фондов - сметная стоимость зданий и сооружений (или их удельная стоимость на единицу производственной площади, общей площади жилых зданий, одного учащегося и т.п.), прейскуранты оптовых цен на машины и другую промышленную продукцию, вводимые с 01.01.82, с учетом средней величины затрат на ее первоначальную доставку от завода-изготовителя.
В
табл. 1 -
25 изложены основные величины исходных данных.
В связи с тем что большинство исходных данных (особенно нормы) носят вероятностный характер, в расчетах экономического эффекта следует учитывать их средние отклонения от нормативных величин. Коэффициенты, учитывающие отклонения фактических величин от нормативных, указаны в
табл. 2.
При выполнении расчетов экономического эффекта в строительном управлении, тресте или аналогичной по уровню управления организации ряд исходных данных, величина которых зависит от конкретных условий производства работ (коэффициент сменности, продолжительность работы на одном объекте, отклонение фактических затрат времени от нормативных, доли объемов работ в различных грунтовых условиях, годовой фонд рабочего времени машин и др.), следует определять на основе материалов производственного и бухгалтерского учета.
2.6. Ускорение темпов научно-технического прогресса приводит к тому, что новые технические решения (НТ) через относительно короткие промежутки времени заменяются новейшими. В этом случае в расчетах экономической эффективности новейшей техники исходные данные и расчетные показатели (НТ) следует принимать как базисные (БТ) с соответствующей корректировкой данных, указанных в таблицах
Приложения.
3. ОПРЕДЕЛЕНИЕ ГОДОВОГО ОБЪЕМА РАБОТ
3.1. Технические решения в области организации производства строительных работ (задачи типа А), как правило, имеют непосредственной целью улучшение использования (экономию) календарного времени (снижение внутрисменных потерь рабочего времени, повышение коэффициента, сменности работы, совмещение по времени выполнения однородных или различных технологических процессов или этапов строительства). При этом в некоторых случаях снижаются затраты труда рабочих и в большинстве случаев занятости по времени производственных фондов при выполнении технологических процессов возведения зданий и сооружений. Однако при этом годовой объем строительно-монтажных работ строительной организации остается неизменным в связи с ограниченностью поставки в каждый отрезок календарного времени строительных материалов, деталей и конструкций. Поэтому при решении
задач типа А в качестве годового объема работ следует принимать годовую программу строительно-монтажных работ строительной организации (
В' =
В"). Если рассматриваются конкретные технические решения (мероприятия) по снижению продолжительности строительства и при этом обеспечивается возможность увеличения годовой поставки строительных материалов, деталей и конструкций (без увеличения численности рабочих, машин и пр.), то годовой объем работ с использованием НТ определяется на основе расчетного увеличения выработки на одного рабочего (
В' <
В"), которая определяется делением объема строительно-монтажных работ на расчетную численность рабочих, занятых на этих работах и в подсобных производствах.
В случаях когда определяется экономическая эффективность укрупнения строительной организации (в пределах, ограниченных возможностью оперативного управления всеми одновременно строящимися объектами), в качестве годового объема следует принимать суммарный объем строительно-монтажных работ этих организаций до их укрупнения (В' < В").
3.2. При решении
задач типа А и
Б в условиях ограниченности поставки строительных материалов, деталей и конструкций годовой объем работ определяется годовой производительностью ведущей машины (или комплекта машин) при заменяемом способе выполнения технологического процесса (
В' =
В").
Если годовая поставка строительных материалов, деталей и конструкций не ограничена мощностью производственной базы строительства, то годовой объем работ определяется по производительности ведущих машин (или комплектов машин) при БТ и НТ (В' < В").
Годовая производительность строительных машин В определяется по формуле
где bэ - среднечасовая эксплуатационная производительность машины в натуральных измерителях (м3, м2, м, т и т.д.);
Тг - количество маш.-ч работы в год на одну среднесписочную машину при выполнении рассматриваемых технологических процессов.
3.3. Среднечасовая эксплуатационная производительность строительных машин bэ традиционных видов и типоразмеров при наличии утвержденных норм определяется по формуле

(6)
где Vе - объем работ, принятый за единицу измерения в ЕНиР и других нормах, единица продукции/маш.-ч;
Кх - средний коэффициент к нормам времени, учитывающий отклонение фактических затрат времени от нормативных
(табл. 2);
Кус - средний коэффициент, отражающий условия производства работ
(табл. 5);
Нвi - норма времени по ЕНиР, ВНиР, МНиР на принятую единицу измерения объема работы, маш.-ч/единица объема работ;
уi - удельный вес (в долях единицы) применения каждой нормы времени (
табл. 3 и
4).
3.4. При отсутствии утвержденных норм среднечасовая эксплуатационная производительность определяется по формуле

(7)
где bтi - техническая часовая производительность при выполнении технологических операций в i-тых конкретных условиях (например, в грунтах III категории), ед. прод./ч;

- коэффициент перехода от технической производительности к эксплуатационной для базисной техники, отражающий для
i-тых условий долю чистого времени работы БТ в продолжительности рабочей смены (
табл. 5,
6);

- коэффициент, отражающий величину изменения
. Для НТ

, для БТ

.
Техническая производительность при экономическом обосновании вариантов новой техники на стадиях технического задания, технического проекта определяется по аналитическим зависимостям, в которых должны быть учтены физико-механические свойства разрабатываемой среды, энергетические возможности силовой установки, КПД привода, тягово-сцепные параметры базовой машины и т.д.
На стадии приемочных испытаний и постановки на серийное производство, аттестации на высшую категорию техническая производительность принимается по актам испытаний, где средний объем получаемой продукции и время рабочего цикла устанавливаются путем хронометрирования и обмера объема работ, выполненных в сопоставимых для БТ и НТ производственных условиях.
Коэффициент

для НТ зависит от характера использования машины и факторов роста технической производительности НТ по сравнению с БТ.
При увеличении технической производительности НТ

за счет снижения продолжительности рабочего цикла


(8)
При увеличении технической производительности НТ за счет увеличения выполненного объема работы за один цикл


(9)
где
tсм - средняя продолжительность рабочей смены, ч
(табл. 9),
tн - часть перерывов в работе техники, обусловленных в основном конструктивными особенностями (выполнение ежесменного обслуживания, замена рабочих органов, выдвижение стрелы или башни, заправка топливом, отдых машиниста и пр.), которые при работе НТ остаются неизменными, ч. При снижении затрат рабочего времени на перерывы, обусловленные конструктивными особенностями НТ либо организационными мероприятиями по повышению внутрисменного использования техники,

(10)
где

- величина снижения затрат рабочего времени НТ на перерывы;

- перерывы, величина которых снижается.
При совместном влиянии всех указанных ранее факторов

(11)
3.5. Если строительная машина предназначена для выполнения двух последовательно осуществляемых технологических процессов (например, рыхление и перемещение разрыхленного грунта бульдозером-рыхлителем), то общая среднечасовая эксплуатационная производительность такой машины (bэо) определяется по формуле
bэо =
bэ1bэ2/(
bэ1 +
bэ2), (12)
где bэ1 и bэ2 - среднечасовая эксплуатационная производительность машины при выполнении первого и второго технологических процессов.
3.6. По строительным машинам цикличного действия, предназначенным для выполнения отдельных операций технологического процесса, осуществляемого с применением ручного труда (машины для погрузки и выгрузки строительных материалов, их вертикального транспорта и монтажа конструкций), эксплуатационная среднечасовая производительность БТ определяется по данным
табл. 11, а НТ - по формуле

(13)
где

и

- продолжительность выполнения ежесменного обслуживания БТ и НТ, маш.-ч;

и

- продолжительность рабочего цикла БТ и НТ при осуществлении трех различных технологических процессов (погрузка или разгрузка материалов, их вертикальный транспорт и монтаж строительных конструкций и оборудования), мин;
уi - доля занятости машины на выполнении
i-го вида процессов
(табл. 11);
ур - доля занятости машины по времени на выполнении операций технологического процесса (для автокранов и кранов на специальном шасси автомобильного типа ур = 0,7);
уд - доля занятости машины на ежесменное передвижение с базы на объект и между объектами (уд = 0,3);
V' и V" - средние скорости передвижения машин соответственно БТ и НТ, км/ч;
3.7. Количество машино-часов работы в год на одну среднесписочную строительную машину определяется по формуле
Тр =
Фуi/(1/
Ксмtсм +
Dр +
Тп/
Тоб +
Тз/
tз, маш.-ч/год, (14)
где
Ф - фонд рабочего времени, которое необходимо для выполнения механизированных работ, перебазировку машины, ее техническое обслуживание, ремонт и переоборудование, определяется числом календарных дней в году без выходных и праздничных дней
Дв и потерь рабочего времени по метеорологическим условиям
Дм. Для основных строительных машин значение
Ф приведено в
табл. 8;
Ксм - средний коэффициент сменности работы машины, количество смен/дн. (
табл. 5 -
7);
tсм - средняя продолжительность рабочей смены, маш.-ч/смена
(табл. 9);
Др - количество дней нахождения машины в техническом обслуживании и ремонте (плановом и неплановом), приходящееся на 1 маш.-ч работы, дн./маш.-ч;
Тп - средняя продолжительность одной перебазировки машины, дни
(табл. 5);
Тоб - среднее количество машино-часов работы на одном объекте
(табл. 5);
Тз - средняя продолжительность замены рабочего оборудования машины, дни (по технической документации);
tз - средняя периодичность замены рабочего оборудования машины (по данным эксплуатации), маш.-ч;
уi - удельный вес (в долях единицы) применения машин на выполнение различных видов работ
(табл. 10).
3.8. Количество дней нахождения машины в техническом обслуживании и ремонте определяется по формуле

(15)
где
Кх - коэффициент, определяемый по
табл. 2;
Бi - нормативная продолжительность выполнения технических обслуживаний и ремонтов (по технической документации), дни;
Нi - количество технических обслуживаний и ремонтов за межремонтный цикл;
Бо - средняя продолжительность устранения одного отказа (по данным эксплуатации машин), дни;
tо - наработка машины на отказ (по технической документации), маш.-ч;
Тц - межремонтный цикл (средний ресурс до первого капитального ремонта) (по технической документации), маш.-ч.
Величина

для традиционной техники приведена в
табл. 13.
При использовании источников информации, в которых межремонтный цикл, наработка на отказ указаны в мото-часах (часах наработки), необходимо эти величины перевести в машино-часы путем деления количества мото-часов на коэффициент перехода от мото-часа к машино-часу
Кч (
табл. 5 и
6).
Если в источниках информации указан

ресурс до текущего или капитального ремонта машины, то его следует перевести в средний ресурс, умножив значение

ресурса на соответственный коэффициент, указанный в
табл. 15.
В расчетах экономической эффективности величина ресурса принимается в размере не более 110% нормативного срока службы орудия труда (
Тц <= 1,1
ТгТнс). Нормативный срок службы
Тнс определяется в соответствии с данными
табл. 13 и
14.
3.9. Количество технических обслуживаний и ремонтов за межремонтный цикл определяется по формулам:

(16)
где Тр - средний ресурс до первого капитального ремонта (межремонтный цикл), мото-ч (по технической документации);
tрi - периодичность выполнения технического обслуживания и текущего ремонта, мото-ч (по технической документации).
Величины Тр и tрi должны быть обязательно кратны между собой.
3.10. По механизированному инструменту цикличного действия (сверлильные и резьбонарезные машины, гайковерты, шуруповерты, перфораторы, молотки и пр.) годовая эксплуатационная производительность определяется по формуле
где bти - техническая производительность данного вида механизированного инструмента, ед. продукции (или количество операций) за 1 ч чистого времени работы;
Тги - количество часов чистого времени работы механизированного инструмента на объектах строительства в году, ч.
3.11. Техническая производительность БТ и НТ (количество просверленных или пробитых отверстий определенной длины и диаметра, закрученных гаек и пр.) составляет:
где tц - продолжительность чистого времени работы механизированного инструмента при выполнении одной операции, с.
В случае необходимости среднечасовая эксплуатационная производительность механизированного инструмента определяется по формуле
bэн = bтиКти. (19)
3.12. Коэффициент перехода от технической производительности к эксплуатационной для БТ определяется по формуле

(20)
где

- среднее количество циклов работы данного вида механизированного инструмента в течение смены.
При увеличении технической производительности НТ по сравнению с БТ


(21)
3.13. Количество часов чистого времени работы механизированного инструмента в год определяется по формуле
Тги =
Фи/(1/
КсмtсмКти + 2/
tри), (22)
где Фи - фонд рабочего времени механизированного инструмента (для инструмента, предназначенного для работы внутри отапливаемых зданий Фи = 225 дн.; в неотапливаемых помещениях и на открытом воздухе Фи = 210 дн.);
Кти - коэффициент перехода от технической производительности инструмента к эксплуатационной (для БТ - по
табл. 7), а для НТ - по
формуле (21)];
tри - средний ресурс до первого текущего ремонта или до списания (по технической документации), ч.
Если ресурс указан в технической документации в количестве операций (циклов), то
где nц - количество операций (циклов) до первого текущего ремонта или до списания (по технической документации), ч.
3.14. Годовая эксплуатационная производительность автотранспортных средств В, ткм, определяется по формуле

(24)
где Lг - средний годовой пробег автотранспортного средства, км;
q - номинальная грузоподъемность (по технической документации), т;

- коэффициент использования грузоподъемности (отношение фактически перевозимого груза к номинальной грузоподъемности - принимается по данным эксплуатации);

- коэффициент использования пробега (отношение пробега с грузом к общему пробегу: для автосамосвалов и специализированных машин

; для универсальных -

).
3.15. Среднегодовой пробег автотранспортного средства определяется по формуле
Lг = ТгVэ, (25)
где Vэ - эксплуатационная скорость, км/ч, определяется по формуле

(26)
где Lср - средняя длина груженой ездки, км (по данным эксплуатации);
Vт - средняя техническая скорость движения автотранспортного средства (для автомобилей грузоподъемностью до 7 т - 21 км/ч, свыше 7 т - 19 км/ч);
tпр - время простоя под погрузкой, разгрузкой и по сопутствующим технологическим причинам, ч.
3.16. При выполнении расчетов экономической эффективности для конкретных строительных организаций исходные данные, перечисленные в
разд. 3 и характеризующие степень использования средств механизации и транспорта по времени и производительности, принимаются в соответствии с отчетными данными этих строительных организаций.
Во всех остальных случаях исходные данные принимаются в соответствии с указанными в тексте и в
табл. 1 -
25.
При решении задач типа Д в качестве годового объема работ следует принимать количество машино-часов (или авточасов) работы парка машин данной типоразмерной группы в строительных организациях, уровень которых (управление, трест механизации, главное территориальное управление по строительству и т.п.) следует принимать в зависимости от намечаемых масштабов реализации данного технического решения.
В этом случае количество машино-часов (или авточасов) до проведения мероприятий следует принимать по отчетным данным, а после их проведения рассчитывать прирост количества машино-часов, используя
формулу (14).
4. РАСЧЕТ КАПИТАЛЬНЫХ ЗАТРАТ
4.1. В соответствии с
п. 1.5 определяется круг факторов, которые влияют на изменение капитальных вложений или отвлеченность основных производственных фондов при решении тех или иных типов задач.
Величина удельных капитальных вложений для БТ и НТ определяется по формуле

(27)
где Цi - оптовая цена i-го вида орудия труда, средств связи, инвентарных зданий и других объектов капитальных вложений, необходимых для осуществления рассматриваемых технических решений по выполнению технологических процессов возведения зданий, сооружений и их комплексов, руб.;
Кбi - коэффициент перехода от оптовой цены к среднебалансовой стоимости i-го объекта капитальных вложений (для машин, перебазируемых в демонтированном состоянии, Кбi = 1,12, для остальных - Кбi = 1,09);
Кi - капитальные вложения на приобретение i-го элемента основных производственных фондов, руб.;
n - количество элементов основных производственных фондов.
4.2. При решении всех типов задач наряду с потребностью в дополнительных капитальных вложениях

на приобретение новых, нетрадиционных орудий труда, средств связи, инвентарных зданий, технологической оснастки и т.п. в ряде случаев изменяется потребность в существующих производственных фондах для выполнения технологических процессов возведения зданий, сооружений и их комплексов. В этих случаях величина

определяется по формуле

(28)
где

- снижение (-) или увеличение (+) потребности (отвлеченности) существующих основных производственных фондов при использовании НТ, руб.;
mi - количество производственных фондов i-го вида, шт.
Величина

определяется по формуле

(29)
При выполнении расчетов экономического эффекта для конкретной строительной организации величина

определяется на основе бухгалтерских данных о среднебалансовой стоимости основных производственных фондов, потребность в которых изменяется при использовании НТ.
Величина m определяется по формулам:
при снижении потребности в существующих производственных фондах (В" > В')
m = 1 - В'/В"; (30)
при увеличении потребности в существующих производственных фондах (В" < В')
m = В'/В" - 1. (31)
Стоимость новых машин, оборудования, приспособлений и пр., изготавливаемых в одном или нескольких экземплярах, определяют по фактической себестоимости их производства Сф с коэффициентом рентабельности Кр, утвержденным в установленном порядке.
При определении годового экономического эффекта от массового применения в строительстве указанных элементов НТ необходимо предусмотреть снижение себестоимости их заводского изготовления при серийном производстве. Для этого к себестоимости изготовления экспериментального образца (опытной партии) НТ применяются поправочные коэффициенты, учитывающие снижение себестоимости изготовления НТ при ее массовом производстве, по формуле
К" = КбКрСфК1К2, (32)
где
К1 - коэффициент, учитывающий снижение заводской себестоимости изготовления НТ на второй, третий и т.д. год выпуска в связи с освоением новой технологии и оснащением производства соответствующим оборудованием
(табл. 16);
К2 - коэффициент, учитывающий снижение заводской себестоимости изготовления НТ в связи с увеличением серийности выпуска
(табл. 17).
4.3. При решении
задач типа В на стадии разработки технических требований на новое орудие труда (машину, прибор, оборудование и пр.) большинство экономических параметров неизвестно. На этом этапе можно только определить заданное превышение годовой эксплуатационной производительности НТ по сравнению с БТ и основные технические параметры НТ.
В этих случаях величину капитальных вложений на приобретение НТ целесообразно определять на основе расчета максимально допустимой цены НТ, имея в виду, что применение НТ в строительном производстве должно обеспечить получение минимально необходимого экономического эффекта.
Расчет производится по формуле

(33)
где Цм - максимально допустимая цена НТ, при которой обеспечивается экономический эффект от ее применения, руб.;

- себестоимость единицы продукции (м
3, м
2, т и т.п.) или при

1 маш.-ч эксплуатации НТ без амортизационных отчислений, руб.;

- норма амортизационных отчислений по НТ
(табл. 13).
Величину

на этом этапе разработки НТ можно определить с достаточной степенью точности, пользуясь формулами
разд. 5.
Расчет по
формуле (33) позволяет определить экономическую целесообразность дальнейшей проработки конструкции данного нового орудия труда.
При последующей разработке можно определить проектную цену нового орудия труда по формуле

(34)
Подставляя различные увеличивающиеся значения
Эг в
формулу (34), можно получить ряд величин

, одна из которых будет соответствовать уровню действующих оптовых цен на машины аналогичного назначения, находящиеся в одном типоразмерном ряду с новой моделью машины.
4.4. При решении
задач типа А и
Б в случае снижения продолжительности возведения объектов производственного назначения и их досрочного пуска в эксплуатацию при использовании НТ определяется дополнительный экономический эффект по формуле
где Ф - стоимость основных производственных фондов, вводимых в эксплуатацию, руб.;
Т1 и Т2 - продолжительность строительства при использовании БТ и НТ, годы;
Ен - нормативный коэффициент эффективности капитальных вложений (Ен = 0,15).
Экономический эффект образуется после окончания строительства и является единовременным. При его суммировании с годовым экономическим эффектом, определяемым по
формуле (4), последняя принимает вид

(36)
где

;
t = Т2;
Е = 0,1.
4.5. При решении
задач типа Б и
В в случаях, когда в вариантах БТ и НТ используются машины с различными нормативными сроками службы, эти варианты необходимо привести к сопоставимому виду путем умножения
Кi в
формуле (27) на величину

, определяемую в соответствии с
формулой (3).
5.1. Текущие затраты на выполнение технологических процессов с использованием БТ и НТ определяются в соответствии с действующими в строительстве правилами калькулирования себестоимости строительно-монтажных работ и эксплуатации машин и включают следующие статьи:
затраты на строительные материалы, используемые в технологическом процессе М;
основная заработная плата строительных рабочих Зр;
затраты на эксплуатацию средств механизации Ммех;
общестроительные накладные расходы Нр.
Если при использовании рассматриваемых вариантов технических решений отдельные статьи затрат не изменяются, то их можно не учитывать в расчете экономического эффекта. В общем виде изменение удельных величин текущих затрат определяется по формуле

.
В соответствии с
п. 1.5 определяют те факторы, которые подлежат учету при решении того или иного типа задач по расчету экономической эффективности, и выбирают единицу измерения, на которую рассчитывают величины текущих затрат.
5.2. Затраты на строительные материалы, детали и конструкции определяются для БТ по соответствующим производственным нормам их расхода и действующим ценам, а для НТ - на основе технологического расчета изменения расхода материалов при реализации НТ.
При выполнении расчета экономического эффекта для конкретной строительной организации принимаются планово-расчетные цены на материалы, детали и конструкции, действующие в этой организации. В остальных случаях расчет осуществляется на основе прейскурантных цен на материалы, детали и конструкции с учетом транспортных расходов, затрат на тару, реквизит и заготовительно-складские расходы. Для БТ и НТ указанные затраты принимаются в размере 4% к ценам на материалы, детали и конструкции, кроме задач по определению экономической эффективности совершенствования организации материально-технического снабжения объектов строительства и средств доставки строительных грузов. Для этих задач указанные затраты определяются прямым счетом для БТ и НТ.
5.3. Затраты на основную заработную плату строительных рабочих (кроме экипажей машин и рабочих, занятых на технической эксплуатации машин) определяются по исходным данным, перечисленным в
п. 2.5, на соответствующую единицу измерения годового объема работ.
В случае отсутствия норм и расценок, утвержденных в установленном порядке, допускается использование расчетных норм времени или норм обслуживания, разработанных методами технического нормирования применительно к рассматриваемым техническим решениям.
5.4. Затраты на эксплуатацию средств механизации и автотранспорта включают:
основную заработную плату машинистов, помощников машинистов, шоферов Зм;
основную заработную плату рабочих, занятых на технической эксплуатации строительных машин, Зрем;
затраты на выполнение технического обслуживания и текущего ремонта (планового и непланового) Ррем;
отчисления на амортизацию средств механизации и автотранспорта А;
затраты на энергоносители (топливо, электричество, сжатый воздух) Зэ;
затраты на смазочные материалы Зс;
затраты на рабочую жидкость для гидросистемы Зг;
затраты на шины Зш;
затраты на перебазировку строительных машин Зп;
затраты на устройство, разборку и перевозку рельсовых путей Зр;
отчисления на амортизацию шин аш.
Все затраты по эксплуатации средств механизации и автотранспорта определяются на 1 маш.-ч или авто-ч, а для механизированного инструмента - на 1 ч чистого времени его работы.
При решении
задач типа А и
Б величины
Ммех, рассчитанные на 1 маш.-ч (или авто-ч) работы, умножают на количество маш.-ч (или авто-ч), необходимое для выполнения принятой единицы измерения годового объема работ.
5.5. Затраты на основную заработную плату машинистов, помощников машинистов и шоферов определяются по формуле

(37)
где 1,3 - коэффициент, учитывающий накладные расходы по эксплуатации строительных машин и автотранспортных средств, приходящихся на основную заработную плату;
1,25 - средний коэффициент, учитывающий премии экипажу машин;
Кс - средний коэффициент к тарифной ставке (для северных районов страны
(ГОСТ 15150-69) Кс = 1,44; для других районов страны
Кс = 1,062; в среднем по СССР
Кс = 1,105);
Стi - часовая тарифная ставка
i-го разряда работы (
табл. 13 и
14), руб.;
n - количество человек в составе экипажа машины в одну смену (
табл. 13 и
14).
5.6. Заработная плата строительных рабочих, использующих механизированный инструмент, определяется на 1 ч чистого времени работы инструмента по формуле
Зми =
КсСтj(
tц +
tв)/
tц, (38)
где
tв - вспомогательное время на подключение механизированного инструмента к источнику энергии, его переноску по фронту работ, замену режущего (ударного и др.) рабочего органа, установку инструмента в рабочее положение и прочие работы, приходящиеся на один цикл
(табл. 7);
Стj - часовая тарифная ставка разряда работы (по ЕНиР).
5.7. Затраты на основную заработную плату рабочих, занятых техническим обслуживанием и текущим ремонтом (плановым и неплановым) строительных машин, определяются по формуле

(39)
где ri и rо - соответственно трудоемкость выполнения каждого вида технического обслуживания, планового текущего ремонта, а также непланового ремонта (ликвидация отказов машины), чел.-ч;
1,2 - средний коэффициент, учитывающий премии ремонтным рабочим;
Ст - часовая тарифная ставка среднего разряда работы по техническому обслуживанию и ремонту машин
(табл. 13), а для средств малой механизации и механизированного инструмента средняя часовая тарифная ставка - 0,625 руб.
5.8. Затраты на выполнение технического обслуживания и текущего ремонта (планового и непланового) строительных машин определяются по формуле
Ррем =
Зрем +
ЗремКнпКзч/
Кнз =
Зрем(1 + 0,846
Кзч), (40)
где
Кзч - коэффициент перехода от суммы основной заработной платы рабочих, занятых технической эксплуатацией машин, к стоимости запасных частей
(табл. 5);
Кнп - коэффициент, учитывающий накладные расходы по эксплуатации средств механизации, приходящиеся на статьи затрат, не связанные с заработной платой (Кнп = 1,1).
5.9. Затраты на выполнение технического обслуживания и ремонта механизированного инструмента определяются по формуле
Ррем. и =
КнпККтр/
Тги, (41)
где К - расчетно-балансовая стоимость данного вида механизированного инструмента;
Ктр - коэффициент перехода от расчетно-балансовой стоимости к затратам на техническое обслуживание и ремонт (
табл. 6 и
7).
Если БТ и НТ различаются по продолжительности работы в течение года

и величине ресурса, а количество и трудоемкость выполнения технического обслуживания и текущего ремонта остаются неизменной, то величина

для НТ определяется по формуле

(42)

(43)
где

и

- величина ресурса БТ и НТ, ч.
5.10. Затраты на выполнение технического обслуживания и текущего ремонта автотранспортных средств определяются по формуле
Ррем.а = 1,1·10-3СпLг/Тг, (44)
где Сп - затраты на выполнение технического обслуживания и текущего ремонта на 1000 км пробега (по технической документации), руб./км.
5.11. Отчисления на амортизацию строительных машин, механизированного инструмента и специальных автомобилей (передвижные мастерские, топливомаслозаправщики и др.) определяются по формуле
где
ан - норма амортизационных отчислений в долях единицы (
табл. 13 и
14). Для механизированного инструмента
ан = 0,5.
5.12. Отчисления на амортизацию автотранспортных средств (кроме специальных автомобилей) определяются по формуле
А = 1,1ан·10-3КL/Тг. (46)
5.13. Затраты на топливо для строительных машин с двигателями внутреннего сгорания определяются по формулам:

(47)

(48)
где
Цтi - оптовая цена
i-го вида топлива, руб.
(табл. 18);
Wi - расход i-го вида топлива на 1 маш.-ч работы машины, кг/маш.-ч;
Nн - номинальная мощность двигателя, кВт (л.с.)
(табл. 19);

- удельный расход топлива при номинальной мощности двигателя, г/(л.с.·ч)
(табл. 19);
КN - коэффициент, учитывающий изменение расхода топлива в зависимости от степени использования двигателя по мощности
(табл. 19);
Кдв - коэффициент использования двигателя по времени (
табл. 5 и
6);
Кдм - коэффициент использования двигателя по мощности (
табл. 5 и
6);
n - количество двигателей внутреннего сгорания, установленных на одной машине.
5.14. Затраты на электроэнергию для строительных машин и механизированного инструмента определяются по формуле

(50)
где Цэ - тариф на электроэнергию, руб./кВт·ч (Цэ = 0,03);
Wэ - расход электроэнергии на 1 маш.-ч работы машины, а для механизированного инструмента - на 1 ч чистого времени работы, кВт·ч;
Nэi - номинальная мощность i-го электродвигателя, кВт;
5.15. Затраты на сжатый воздух для механизированного инструмента и других орудий труда с пневмоприводом, используемых на объектах строительства, определяются по формуле
Зэв = Цк/n, (51)
где Цк - цена 1 маш.-ч работы передвижного компрессора, руб./маш.-ч; для механизированного инструмента Цк = 12 руб. на 1 ч чистого времени работы, для пневмопробойников - 4 руб./маш.-ч;
n - среднее количество орудий труда с пневмоприводом, одновременно работающих от одного компрессора (для механизированного инструмента n = 3, для пневмопробойников n = 1).
5.16. Затраты на смазочные материалы определяются по формуле
Зс =
КеЗэ или
Зс =
КеЗээ, (52)
где
Ке - коэффициент перехода от затрат на топливо или электроэнергию к затратам на смазочные материалы
(табл. 5).
5.17. Затраты на рабочую жидкость для гидросистем определяются по формуле

(53)
где Vг - емкость гидросистемы, дм3;
Кдл - коэффициент доливок жидкости за период ее замены (Кдл = 1,5);
tм - периодичность замены жидкости в гидросистеме, маш.-ч (по технической документации).
5.18. Затраты на перебазировку машин, осуществляемую своим ходом (машины на шасси автомобиля, пневмоколесного трактора, специальном шасси автомобильного типа), которые могут перемещаться со скоростью 20 км/ч и более и приходящиеся на 1 маш.-ч работы, определяются по формуле
Зпi = (Зм + Ррем + А + Зэт + Зс + аш)tпсх/Тоб, (54)
где
tпсх - продолжительность переезда машины своим ходом (определяется исходя из расстояния и средней скорости переезда по
табл. 21).
5.19. Затраты на перебазировку машин, перевозимых без их демонтажа или с частичным демонтажем в кузове автомобиля, на буксире или трайлере и приходящиеся на 1 маш.-ч их работы, определяются по формуле
Зп2 = [1,3(
Зэк +
Зт) + 1,1(
Ззт +
Звк)]/
Тоб, (55)
где Зэк - затраты на заработную плату экипажа машины, руб.;
Зт - затраты на заработную плату такелажников, руб.;
Зэт - затраты на эксплуатацию автомобиля, руб.;
Звк - затраты на эксплуатацию вспомогательного крана, руб.;

(56)

(57)
где Во - общее время работы тягача.
Во = 2L/V + tпв, (58)
где L - среднее расстояние перебазировки, км;
tпв - средняя продолжительность погрузки и выгрузки, ч
(табл. 22).
Зэт = (
ВоЦа + 2
LЦд)
Кд, (59)
Кд - коэффициент увеличения стоимости 1 авто-ч при использовании специализированного автомобиля или прицепа (
Прейскурант N 13-01-01).
Звк = tвкСвк, (60)
где
tвк - продолжительность работы вспомогательного крана, маш.-ч
(табл. 22);
Свк - себестоимость 1 маш.-ч работы вспомогательного крана, руб.
5.20. Затраты на монтаж и демонтаж крупных строительных машин определяются в соответствии с
табл. 24, а на их перевозку - по
формуле (55).
5.21. Затраты на устройство и разборку рельсовых подкрановых путей определяются в соответствии с данными
табл. 25.
5.22. Если совершенствование конструкции механизированного инструмента обеспечивает снижение износа рабочего органа (сверл, долот и пр.) или при одном и том же механизированном инструменте применяются более стойкие (долговечные) рабочие органы, то годовое снижение себестоимости выполнения работ определяется на основе расчета снижения годовых затрат на их приобретение.
5.23. Общие затраты на 1 маш.-ч определяются суммированием всех затрат по эксплуатации машин.
5.24. Экономия общестроительных накладных расходов образуется при использовании НТ за счет снижения продолжительности строительства или реконструкции зданий, сооружений и их комплексов, затрат труда и расходов на заработную плату рабочих.
5.25. При решении
задач типа А и
Б экономия накладных расходов от снижения продолжительности выполнения технологических процессов строительства или реконструкции зданий, сооружений и их комплексов определяется только в том случае, если продолжительность выполнения рассматриваемых процессов оказывает прямое влияние на сроки возведения или реконструкции здания и пр., т.е. если эти процессы находятся на критическом пути сетевого графика.
В случаях когда на критическом пути находится только часть рассматриваемых технологических процессов (задел, обеспечивающий выполнение последующих процессов), в расчет принимаются продолжительность выполнения и объем работ только по этой части процессов.
По остальным типам задач (
В -
Д) указанный вид экономии накладных расходов не определяется.
5.26. Экономия накладных расходов за счет снижения продолжительности строительства или реконструкции зданий и пр. определяется по формуле

(61)
где Но - сумма общестроительных накладных расходов при выполнении технологических процессов с использованием БТ, руб.;
Т1 и Т2 - продолжительность выполнения работ с использованием БТ и НТ, определяемая по проектам производства работ, год (или доля года);
0,5 - средний размер условно-постоянной части накладных расходов, величина которой зависит от продолжительности выполнения работ.
5.27. При наличии данных о полной сметной стоимости строительно-монтажных работ по выполнению рассматриваемых технологических процессов См с использованием БТ величина Но определяется по формуле
Но =
СмНр/1,08(100 +
Нр), (62)
где Нр - средняя величина накладных расходов, % (Нр = 18%; 1,08 - коэффициент, учитывающий размер плановых накоплений в составе См).
Если имеются данные о сумме прямых сметных затрат на выполнение работ
Сп с использованием БТ,
формула (62) принимает вид
Но = СпНр/100. (63)
При наличии коэффициентов перехода от суммы затрат по статье "Основная заработная плата рабочих" к сумме накладных расходов
Кпз формула (62) принимает вид
Но = ЗрКпз. (64)
5.28. При решении
задач типа А и
Б в некоторых случаях продолжительность работ, находящихся на критическом пути, снижается за счет увеличения количества машин и численности рабочих на данном объекте. В таких случаях необходимо учитывать соответствующее повышение накладных расходов в связи с увеличением численности рабочих по формуле

(65)
где Р - затраты труда рабочих, выполняющих технологические операции вручную (в рассматриваемом случае Р' = Р"), чел.-ч;
r' и r" - количество рабочих, выполняющих работу вручную при использовании БТ НТ, чел.;
0,6 - средний размер изменения накладных расходов в зависимости от изменения количества отработанных чел.-дн., руб.
5.29. Если при использовании НТ изменяются численность рабочих, трудоемкость и продолжительность выполнения технологических процессов, расчет экономии накладных расходов осуществляется по формуле

(66)
где 0,15 - средний размер снижения накладных расходов при сокращении затрат на заработную плату рабочих, руб.
5.30. В случаях когда продолжительность выполнения технологического процесса не изменяется при использовании НТ или в целях сопоставимости БТ и НТ необходимо принять, что Т1 = Т2, расчет экономии накладных расходов от снижения затрат труда и расходов на основную заработную плату определяется по формуле

(67)
--------------------------------
<1> Основные показатели принимаются по
разд. 1 -
5 Рекомендаций. Количественные значения исходных данных являются условными.
Пример 1. Расчет годового экономического эффекта применения системы диспетчеризации в общестроительном тресте при возведении жилых зданий.
1. Краткая характеристика НТ
Технические решения в области организации производства строительных работ имеют непосредственной целью снижение внутрисменных потерь рабочего времени и тем самым способствуют снижению продолжительности возведения зданий и сооружений. В результате изменяются текущие затраты на выполнение строительно-монтажных работ (расходы на заработную плату рабочих, эксплуатацию машин и накладные расходы), величина оборотных средств (в том числе незавершенное строительство), отвлеченность капитальных вложений в средства производства строительных работ.
Поскольку в данном случае годовой объем работ треста не изменяется, целесообразно пользоваться не удельными, а абсолютными величинами текущих и капитальных затрат. Тогда
формула (4) принимает вид
Э = С' - С" + Ен(К' - К").
Разность себестоимости (
С' -
С") в этом случае определяется: снижением затрат на основную заработную плату и накладные расходы в связи со снижением внутрисменных простоев, руб./год

; снижением накладных расходов, затрат на эксплуатацию машин и заготовительно-складские расходы в связи с сокращением продолжительности строительства, руб./год

; увеличением текущих затрат в связи с расходами по содержанию диспетчерской службы, руб./год

.
Разность капитальных вложений (К' - К") определяется: снижением отвлеченности основных производственных фондов и оборотных средств (включая незавершенное строительство), руб. (К'); затратами на создание и внедрение системы диспетчеризации, руб. (К").
Величина

определяется по формуле
где П0 - часть потерь рабочего времени (простой), которая снижается после внедрения системы диспетчеризации, в долях единицы;
Ач - численность рабочих треста, чел.;
Б - величина простоев рабочих до внедрения системы диспетчеризации в процентах к продолжительности рабочей смены;
8 - постоянная величина, равная произведению величин годового фонда рабочего времени одного рабочего, размера оплаты простоев, продолжительности рабочей смены и размера экономии накладных расходов от снижения заработной платы, деленному на

;
Ст - средняя часовая тарифная ставка рабочего, руб./ч;
1,35 - постоянная величина, равная произведению величин годового фонда рабочего времени и размера экономии накладных расходов от снижения затрат труда, деленному на продолжительность рабочей смены и на 100(1,35 = 1860·0,6/8,2·100).
Величина

определяется по формуле
где Т1, Т2 - средняя продолжительность строительства объектов соответственно до и после внедрения системы диспетчеризации, годы;
См - среднегодовая сметная стоимость строительно-монтажных работ (СМР), тыс. руб.;
Нр - сметная норма накладных расходов, %;
Д - удельный вес стоимости материалов в полной сметной стоимости СМР, %;
471,2 - постоянная величина, равная частному от деления размера условно-постоянной части накладных расходов на норму плановых накоплений, умноженному на 1000(471,2 = 1000·0,5/1,08);
5 - постоянная величина, равная произведению удельного веса заготовительно-складских расходов на их условно-постоянную часть, умноженному на 1000.
Величина

определяется по формуле
где Ид - численность персонала диспетчерской службы;
Л - среднегодовая зарплата одного работника, руб.;
К - стоимость оборудования и устройств диспетчерской связи, включая стоимость монтажа, руб.;
1,325 - коэффициент, учитывающий дополнительную зарплату персонала и отчисления на социальное страхование;
0,28 - коэффициент, учитывающий амортизационные отчисления и затраты на текущий ремонт оборудования.
Величина К' определяется по формуле
К' = М1Т1 - М2Т2,
где М1, М2 - среднегодовая величина основных производственных фондов и оборотных средств (включая незавершенное строительство) соответственно до и после внедрения системы диспетчеризации, руб.
Величина К" определяется по формуле
К" = Спр + 0,12К + К = Спр + 1,12К,
где Спр - стоимость научно-исследовательских, проектных и других работ по созданию системы диспетчеризации в общестроительном тресте, руб.;
0,12 - коэффициент, учитывающий затраты на пусконаладочные работы.
2. Основные исходные данные
Показатели | Условное обозначение | Величина показателей | Источники информации |
Величина простоев рабочих до внедрения системы диспетчеризации, % к продолжительности рабочей смены | Б | 30 | Данные внедряющей организации |
Часть потерь рабочего времени, которая снижается после внедрения системы диспетчеризации, доли единицы | По | 0,15 | То же |
Численность рабочих треста, чел. | Ач | 2500 | " |
Средняя часовая тарифная ставка рабочего, руб./чел.-ч | Ст | 0,7 | " |
Относительное сокращение продолжительности строительства объектов после внедрения системы диспетчеризации, доли единицы | (Т1 - Т2)/Т1 | 0,0604 | (Т1 - Т2)/Т1 = 1 - Т2/Т1 = 1 - (100 - Б)/(100 - Б + БПо) |
Среднегодовая сметная стоимость СМР, тыс. руб. | См | 25 000 | Данные внедряющей организации |
Сметная норма накладных расходов, % | Нр | 17,3 | То же |
Удельный вес стоимости материалов в полной сметной стоимости СМР, % | Д | 65 | " |
Численность персонала диспетчерской службы, чел. | Ид | 25 | " |
Среднегодовая зарплата одного работника, руб. | Л | 2000 | " |
Стоимость оборудования и устройств диспетчерской связи, руб. | К | 47 500 | " |
Среднегодовая величина основных производственных фондов и оборотных средств (включая незавершенное строительство), руб. | М | 26 000 000 | " |
Стоимость проектных работ на привязку системы диспетчеризации, руб. | Спр | 1250 | " |
3. Определение годового экономического эффекта
К' = М(Т1 - Т2) = 26 000 000·0,0604 = 1 570 400 руб.
(при М1 = М2 = М Т1 = 1 год);
К" = Спр + 1,12К = 1250 + 1,12·47 500 = 54 450 руб.;
Пример 2. Расчет экономического эффекта от применения комплектно-блочного метода при возведении компрессорной станции.
1. Краткая техническая характеристика
Преимущества комплектно-блочного метода возведения станции заключаются: в снижении продолжительности строительства и доли СМР на строительной площадке за счет перенесения основного объема работ в условия специализированных предприятий, в изменении структуры работ на строительной площадке и росте выработки на одного работника.
Создание блочно-комплектной компрессорной станции позволяет снизить стоимость СМР за счет: уменьшения объемов сооружений и расширения возможности заводского изготовления наземной части; уменьшения протяженности коммуникаций и площади застройки; снижения объема СМР по выполнению нулевого цикла.
Эффект в сфере эксплуатации достигается за счет уменьшения теплопотребления, водопотребления, электропотребления, а также снижения трудоемкости эксплуатации.
Базой для сравнения принимается компрессорная станция с пятью газоперекачивающими агрегатами, размещаемыми в компрессорном цехе.
В связи с тем что в варианте НТ предполагается наличие восьми газоперекачивающих аппаратов, стоимость эталонного варианта пересчитана на восемь газоперекачивающих агрегатов.
2. Основные исходные данные
Показатели | Условное обозначение | Единица измерения | БТ | НТ | Источники информации |
Полная сметная стоимость объекта | Со | тыс. руб. | 6061,5 | 5454,3 | Данные внедряющей организации |
В том числе: | | | | | |
а) строительно-монтажных работ | См | то же | 3151,2 | 2556,1 | То же |
1-й год строительства | С1м | " | 2113,2 | 1712,6 | " |
2-й год строительства | С2м | " | 1039,9 | 843,5 | " |
б) оборудования | Соб | " | 2910,4 | 2898,2 | " |
Средняя величина общестроительных накладных расходов | Нр | % | 19,9 | 19,9 | " |
Среднедневная выработка одного работающего | Вд | руб. | 38 | 43 | Данные внедряющей организации |
Среднедневная заработная плата одного работающего | Сд | " | 7,98 | 8,8 | То же |
Среднегодовые эксплуатационные расходы | И | тыс. руб. | 6632 | 6490 | По проекту |
Капитальные вложения потребителя | Кп | то же | 425 | 329,2 | То же |
Капитальные вложения строительных организаций в основные производственные фонды: | Кс | " | 345,9 | 462 | Данные внедряющей организации |
1-й год строительства | К1с | " | 231,8 | 309,5 | То же |
2-й год строительства | К2с | " | 114,1 | 152,5 | " |
Затраты на проектирование комплектно-блочного метода (с учетом приведения разновременных затрат) и освоение НТ | Спр | " | - | 202,6 | " |
Срок службы здания | Тнс | лет | 20 | 20 | По проекту |
Продолжительность строительства | Т | " | 1,5 | 1,2 | Данные внедряющей организации |
3. Расчет экономического эффекта по факторам
а) Приведенные затраты на возведение объекта (с учетом стоимости оборудования) П определяются как сумма себестоимости СМР, стоимости оборудования и капитальных вложений строительных организаций в основные производственные фонды (с учетом коэффициента Ен):
П = 1,1(С1м + С2м)/1,06 + Соб + Ен(1,1К1с + К2с),
где 1,1 - коэффициент приведения разновременных затрат по
формуле (2) при
t = 1;
1,06 - коэффициент, учитывающий размер плановых накоплений в составе См.
Подставляя значения исходных данных, имеем:
П' = (1,1·2113,2 + 1039,9)/1,06 + 2910,4 +
+ 0,15(1,1·231,8 + 114,1) = 6139,8 тыс. руб.;
П" = (1,1·1712,6 + 843,5)/1,06 + 2898,2 +
+ 0,15(1,1·309,5 + 152,5) = 5545 тыс. руб.
б) Определение экономии накладных расходов от сокращения сроков строительства производится по
формулам (61) и
(62):
Энп = [0,5СмНр/1,06(100 + Нр)](1 - Т2/Т1) =
= [0,5·2556,1·19,9/1,06(100 + 19,9)](1 - 1,2/1,5) =
= 40 тыс. руб.
в) Экономия накладных расходов от снижения затрат труда и расходов на основную заработную плату определяется аналогично
формуле (67)
где См/Вд1000 - затраты труда, чел.-дн., в сравниваемых вариантах.
Подставляя значения исходных данных, имеем:
г) Экономический эффект в сфере эксплуатации станции за срок ее службы Ээ определяется по разности приведенных затрат потребителя (с учетом приведения разновременных затрат). При определении суммы среднегодовых приведенных затрат за срок службы здания используется формула суммы убывающей геометрической прогрессии:
тогда
д) Дополнительный экономический эффект от получения продукции за период досрочного ввода промышленного объекта в эксплуатацию определяется по
формуле (35)
Эф = 0,15·5454,3(1,5 - 1,2) = 245,9 тыс. руб.;
е) Общий экономический эффект складывается из изменения приведенных затрат, экономии накладных расходов (за счет сокращения сроков строительства и снижения трудозатрат), экономического эффекта в сфере эксплуатации станции, дополнительного эффекта от получения продукции за период досрочного ввода объекта в эксплуатацию за вычетом единовременных затрат на создание НТ (с нормативным коэффициентом эффективности и учетом разновременности затрат) и составляет
Э = 6139,8 - 5545 + 40 + 34,88 + 1331,6 +
+ 245,9 - 0,15·202,6·1,12 = 2210,4 тыс. руб.
Пример 3. Расчет экономического эффекта от применения узлового метода при строительстве прокатного толстолистового стана.
1. Краткая характеристика НТ
Применение узлового метода при строительстве промышленного комплекса обеспечивает экономию условно-постоянной части общестроительных накладных расходов за счет снижения продолжительности строительства и экономический эффект от досрочного ввода промышленного объекта в эксплуатацию.
2. Основные исходные данные
Показатели | Условные обозначения | Единица измерения | БТ | НТ | Источники информации |
Сметная стоимость | Ф | тыс. руб. | 380 253 | 359 324 | Данные внедряющей организации |
Себестоимость | С | то же | 164 134 | 167 498 | |
В том числе по годам строительства: | | | | | |
1-й | С1 | " | 4 592 | 4 509 | То же |
2-й | С2 | " | 18 994 | 18 772 | " |
3-й | С3 | " | 35 087 | 34 409 | " |
4-й | С4 | " | 45 879 | 48 268 | " |
5-й | С5 | " | 59 582 | 61 540 | " |
Продолжительность строительства | Т | год | 5 | 4,83 | " |
Капитальные вложения в основные производственные фонды | К | тыс. руб. | 35 945,1 | 36 681,7 | Данные внедряющей организации |
В том числе по годам строительства: | | | | | |
1-й | | то же | 1005,6 | 987,4 | То же |
2-й | | " | 4159,6 | 4111 | " |
3-й | | " | 7684 | 7535,5 | " |
4-й | | " | 10047,5 | 10570,6 | " |
5-й | | " | 13048,4 | 13477,2 | " |
Затраты на проектирование узлового метода | Спр | " | - | 48,1 | Данные проектной организации |
3. Определение экономического эффекта
Приведение сравниваемых вариантов к сопоставимому виду по "фактору времени".
Приведение выполнено с использованием
формулы (2) и результаты сведены в таблицы.
Годы строительства | | С' | К' | П' = С' + ЕнК' | | |
1-й | 1,46 | 4 592 | 1005,6 | 4742,8 | 6704,3 | 6924,4 |
2-й | 1,33 | 18 994 | 4159,6 | 19 617,9 | 25 262 | 26 091,8 |
3-й | 1,21 | 35 087 | 7 684 | 36 239,6 | 42 455,3 | 43 849,9 |
4-й | 1,1 | 45 879 | 10 047,5 | 47 386,1 | 50 466,9 | 52 124,7 |
5-й | 1 | 59 582 | 13 048,4 | 61 539,2 | 59 582 | 61 539,2 |
Итого | 184 470,5 | 190 530 |
Годы строительства | | С" | К" | П" = С" + ЕнК" | |
1-й | 1,46 | 4 509 | 987,4 | 4 657,1 | 6 799,3 |
2-й | 1,33 | 18 772 | 4 111 | 19 388,6 | 25 786,8 |
3-й | 1,21 | 34 409 | 7 535,5 | 35 539,3 | 43 002,5 |
4-й | 1,1 | 48 268 | 10 570,6 | 49 853,5 | 54 838,8 |
5-й | 1 | 61 540 | 13 477,2 | 63 561,5 | 63 561,5 |
Итого | - | - | - | - | 193 988,9 |
Расчет условно-постоянных расходов в составе сметной стоимости:
а) в затратах на материалы
где 0,6 - доля затрат на материалы в составе сметной стоимости (по данным строительной организации);
0,01 - доля условно-постоянной части расходов в затратах на материалы.
Н1 = 0,6·0,01·184 470,5 = 1106,8 тыс. руб.;
б) в затратах на эксплуатацию машин
где 0,08 - доля затрат на эксплуатацию машин;
0,15 - доля условно-постоянных расходов в затратах на эксплуатацию машин
Н2 = 0,08·0,15·184 470,5 = 2213,6 тыс. руб.;
в) в накладных расходах
где 0,14 - норма накладных расходов (по данным внедряющей организации);
0,5 - доля условно-постоянных затрат в накладных расходах
Н3 = 0,14·0,5·184 470,5 = 12 912,9 тыс. руб.
Общая сумма условно-постоянных расходов Н = Н1 + Н2 + Н3 = 1106,8 + 2213,6 + 12 912,9 = 16 233,3 тыс. руб.
Экономия условно-постоянных расходов определяется по
формуле (61)
Энп = Н(1 - Т2/Т1) = 16 233,3(1 - 4,83/5) =
= 551,9 тыс. руб.
Эффект в сфере эксплуатации за период досрочного ввода стана определяется по
формуле (35) Эф = 0,15·359 324(5 - 4,83) = 8983,1 тыс. руб.
Экономический эффект определяется по
формуле (36). При
В" =
В' получаем
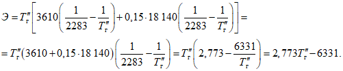
Пример 4. Расчет экономического эффекта внедрения единой системы подготовки строительного производства (ЕСПСП) с переводом объектов строительства на долговременные потоки.
1. Краткая характеристика НТ
Внедрение ЕСПСП обеспечивает рост производительности труда в строительстве; унификацию системы документооборота и методов обработки информации; централизацию службы подготовки строительного производства в организациях; автоматизацию решения задач подготовки строительного производства.
Экономический эффект при применении ЕСПСП достигается за счет сокращения затрат труда строительных рабочих, ИТР строительных организаций и соответствующей экономии накладных расходов. Расчет выполнен на 1 млн. руб. строительно-монтажных работ при возведении объектов производственного назначения.
2. Основные исходные данные
Показатели | Условные обозначения | Единица измерения | Величина показателей | Источник информации |
Снижение затрат труда на 1 млн. руб. СМР | | чел.-лет | 1,35 | Данные внедряющей организации |
Среднегодовая заработная плата на одного человека | Зг | руб. | 2000 | То же |
Прирост объемов СМР за счет роста производительности труда в год | | " | 2250 | " |
3. Определение экономического эффекта
Экономия заработной платы на 1 млн. руб. СМР определяется по формуле

.
Энт = (1860/8,2)0,6·1,35 + 0,15·2700 = 589 руб.,
где 1860 - среднее количество часов работы одного работника за год;
8,2 - средняя продолжительность рабочей смены, ч.
Тогда экономический эффект определяется по формуле
При выполнении расчета на большие периоды времени (пятилетку, десятилетку и т.п.) суммирование экономического эффекта производится с умножением величины эффекта каждого года на коэффициент 1/(1 + Е)t, где t - порядковый номер года.
Пример 5. Определение годового экономического эффекта от применения в строительстве бульдозера с рыхлителем ДЗ-126А (стадия постановки на серийное производство).
1. Назначение и область применения НТ
Бульдозер с рыхлителем ДЗ-126А предназначен для выполнения земляных работ большого объема в дорожном, гражданском, промышленном, гидротехническом и других видах строительства. Агрегат представляет собой навесное оборудование (бульдозер ДЗ-118 и рыхлитель ДП-9НХЛ), смонтированное на тракторе ДЭТ-250М с дополнительной гидросистемой.
2. Выбор базисного варианта
В качестве БТ выбран бульдозер с рыхлителем ДЗ-126 до модернизации (рыхлитель ДП-9С и бульдозер ДЗ-118) на тракторе ДЭТ-250М.
3. Конструктивно-эксплуатационные особенности НТ
Модернизированная машина отличается от существующей более прогрессивной конструкцией рыхлительного оборудования, имеющего один жестко закрепленный зуб,

глубину рыхления и механизм изменения вылета зуба, управление которым производится из кабины водителя. Эти усовершенствования привели, согласно акту приемочных испытаний, к увеличению технической производительности при рыхлении на 23%.
4. Основные исходные данные
Наименование | Условные обозначения | Единица измерения | БТ | НТ | Источники информации |
Производительность на бульдозирование | bт1 | м3/ч | 202 | 202 | Акты приемочных испытаний |
Производительность рыхления | bт2 | " | 117 | 144 | То же |
Средняя наработка на отказ | tо | мото-ч | 120 | 120 | Расчет надежности |
Средняя продолжительность устранения отказа | Бо | дн. | 0,3 | 0,3 | Справки эксплуатирующих организаций |
Удельный вес выполнения технологических процессов: | уi | | | | |
бульдозирование | у1 | доли единицы | 0,35 | 0,35 | То же |
рыхление | у2 | то же | 0,1 | 0,1 | " |
рыхление с бульдозированием | у3 | доли единицы | 0,55 | 0,55 | Справки эксплуатирующих организаций |
Оптовая цена | Ц | руб. | 58 000 x 1,04 <*> = 60 320 | 62 460 | Прейскурант N 22-01 |
Средняя трудоемкость устранения отказа | rо | чел.-ч | 4,8 | 4,8 | Справки эксплуатирующих организаций |
--------------------------------
<*> Для обеспечения сопоставимости показателей в сравниваемых вариантах цена на БТ приведена к уровню цен Прейскуранта N 22-01, введенного в действие с 01.01.82 г.
5. Определение годового объема работ
а) Среднечасовая эксплуатационная производительность на бульдозировании определяется по
формуле (7) 
.
Эксплуатационная производительность на рыхлении определяется по
формулам (7) и
(9):
tн = tео + tот = 1 + 0,75 = 1,75 ч;
tео - продолжительность выполнения ежесменного обслуживания;
tот - регламентированное время отдыха машиниста (10% от tсм).
Эксплуатационная производительность выполнения двух последовательных процессов определяется по
формуле (12):
Среднечасовая эксплуатационная производительность (с учетом удельного веса различных технологических процессов)

;

.
б) Величина
Тг в данном случае одинакова в сравниваемых вариантах и определяется по
формуле (14), где
Ф = 247 дн.
(табл. 8); 1/
tсмКсм = 0,067 (
табл. 5 и
9).
в) Годовой объем работ определяется по
формуле (5):
В' = 36,94·2875 = 106 203 м
3/год;
В" = 37,9·2875 = 108 963 м
3/год.
6. Расчет капитальных затрат
Капитальные затраты
К определяются по
формуле (27). Для бульдозеров
Кб = 1,09.
К' = 60 320·1,09 = 65 748,8 руб.;
К" = 62 460·1,09 = 68 081,4 руб.
7. Расчет текущих затрат
а) Затраты на основную заработную плату машиниста определяются по
формуле (37)
Зм = 1,62·1,105·0,893 = 1,599 руб./маш.-ч,
б) Затраты на основную заработную плату рабочих, занятых техническим обслуживанием (ТО) и текущим ремонтом (плановым и неплановым) машин, определяются по
формуле (39)
Зрем = 1,3·1,2·1,105·0,755[(0,4136/0,8) +
+ (4,8/175)] = 0,736 руб./маш.-ч,
в) Затраты на выполнение технического обслуживания и текущего ремонта (планового и непланового) машин определяются по
формуле (40)
Ррем = 0,736(1 + 0,846·1,35) = 1,577 руб./маш.-ч,
г) Отчисления на амортизацию машин определяются по
формуле (45):
А' = 1,1·0,206·65 748,8/2875 = 5,18 руб.;
А" = 1,1·0,206·68 081,4/2875 = 5,36 руб.,
Зэ = 1,1·0,076·35,7 = 2,98 руб./маш.-ч,
W = 1,03·10-3·330·175·0,6·1,01 = 35,7 кг/ч,
где Nн = 242,6 кВт (330 л.с.);
е) Затраты на смазочные материалы определяются по
формуле (52)
Зс = 0,22·2,98 = 0,66 руб./маш.-ч,
ж) Затраты на рабочую жидкость для гидросистемы определяются по
формуле (53)
Зг = 1,1·120·0,865·0,71·1,5/1500 = 0,081 руб./маш.-ч,
где Vг = 120 дм3 (по техническому паспорту машины);
Кдл = 1,5;
tм = 1500 маш.-ч (инструкция по эксплуатации машины).
з) Затраты на перебазировки машин (БТ и НТ), перевозимых на трайлере, определяются по
формулам (55),
(56),
(59):
Зп2 = [1,3(Зэк + Зт) + 1,1(Зэт + Звк)]/Тоб =
= (1,3·71,44 + 1,1·33,12)/4000 = 0,032 руб./маш.-ч;
Зэк = 10ТпСт = 10·7·0,893 = 71,44 руб.; Зт = 0; Звк = 0;
Зэт = (ВоЦа + 2LсрЦд)Кд = (7,32·2,94 + 2,20·0,29) =
= 33,12 руб.;
Во = Lср·2/V + tпв = 20·2/10,2 + 3,4 = 7,32 ч,
Калькуляция себестоимости машино-часа
эксплуатации техники (БТ и НТ)
Статьи затрат | Затраты, руб. |
БТ | НТ |
Заработная плата машиниста | 1,599 | 1,599 |
Затраты на выполнение ТО и ТР | 1,577 | 1,577 |
Отчисления на амортизацию | 5,18 | 5,36 |
Затраты на топливо | 2,98 | 2,98 |
Затраты на смазочные материалы | 0,66 | 0,66 |
Затраты на жидкость для гидросистемы | 0,081 | 0,081 |
Затраты на перебазировки | 0,032 | 0,032 |
Себестоимость 1 маш.-ч эксплуатации (С) | 12,11 | 12,29 |
8. Определение годового экономического эффекта
Годовой экономический эффект определяется по
формуле (4) Э = 108 962(12,11/36,94 - 12,29/37,9) + 0,15(65 748,8/106 202 - 68 081,4/108 962) = 291 руб.
Пример 6. Определение годового экономического эффекта от применения в строительстве автомобильного крана КС-2561К-1 (переаттестация на высшую категорию качества).
1. Назначение и область применения НТ
Автомобильный кран КС-2561К-1 грузоподъемностью 6,3 т на шасси автомобиля ЗИЛ-130 предназначен для погрузочно-разгрузочных работ, вертикальной транспортировки материалов и монтажа конструкций на рассредоточенных объектах производственного и непроизводственного назначения.
Для повышения мобильности и эффективности использования крана при работе в стесненных условиях кран оборудован выдвижной стрелой.
2. Выбор базисного варианта
В качестве базы для сравнения принят тот же кран КС-2561К-1 по состоянию на момент предыдущей аттестации.
3. Конструктивно-эксплуатационные особенности НТ
В новой технике основной является выдвижная стрела, что позволяет работать и передвигаться со стрелой в сдвинутом положении (длина стрелы - 5,6 м) и в выдвинутом положении (длина стрелы - 8 м), а также со вставкой.
Стрела имеет механизированное выдвижение с помощью телескопического пневмоцилиндра и автоматическую фиксацию в сдвинутом и выдвинутом положениях.
Базовая техника в качестве основной стрелы имеет решетчатую стрелу постоянной длины 8 м.
В новой машине, кроме того, снижена трудоемкость технического обслуживания, применен более надежный, бесконтактный ограничитель грузоподъемности ОГП-2 вместо ОГП-1, установлены дополнительные приборы безопасности: автоматические сигнализаторы верхнего и нижнего положений крюка, нижнего рабочего положения стрелы и границы рабочей зоны.
Применение на кране НТ выдвижной стрелы обеспечивает возможность работы его в стесненных условиях и позволяет увеличить транспортные скорости передвижения, в особенности при движении в городских условиях, на дорогах с интенсивным движением и на лесоразработках. С выдвижной стрелой в сдвинутом положении кран может работать внутри зданий, складов, под перекрытиями и металлоконструкциями, а применение вставки к выдвижной стреле позволяет быстро увеличивать высоту подъема до 10,5 м.
Основной экономический эффект от применения новой техники образуется за счет увеличения эксплуатационной производительности крана в связи с увеличением транспортной скорости передвижения, а также от изменения периодичности смены рабочей жидкости гидросистемы и сокращения трудоемкости планового технического обслуживания крана.
4. Основные исходные данные
Показатели | Условные обозначения | Единица измерения | БТ | НТ | Источники информации |
Средняя эксплуатационная скорость передвижения крана: | | | | | |
с основной стрелой | Vо | км/ч | 17 | 21 | Акт испытаний |
с удлиненной стрелой (со вставкой) | Vв | км/ч | 15 | 17 | То же |
Оптовая цена | Ц | руб. | 10 802 | 11 000 | Прейскурант N 19-06 |
Межремонтный цикл | Тц | маш.-ч | 18 000 | 18 000 | Расчет надежности |
Количество i-тых ТО и ремонтов за межремонтный цикл: | Нi | шт. | | | |
ТО-1 | | | 45 | 45 | То же |
ТО-2 | | | 10 | 10 | " |
ТР | | | 4 | 4 | " |
Продолжительность пребывания крана в i-том ТО, ремонте: | Бi | дн. | | | |
ТО-1 | | | 0,2 | 0,2 | " |
ТО-2 | | | 1 | 1 | " |
ТР | | | 7 | 7 | " |
КР | | | 19 | 19 | " |
Трудоемкость выполнения i-тых видов ТО и ТР: | ri | чел.-ч | | | |
ТО-1 | | | 5,15 | 4,95 | " |
ТО-2 | | | 19,55 | 19,55 | " |
ТР | | | 620 | 620 | " |
Периодичность отказов | tо | маш.-ч | 1000 | 1000 | " |
Средняя продолжительность устранения отказа | Бо | дн. | 0,5 | 0,5 | Справки эксплуатирующих организаций |
Средняя трудоемкость устранения отказа | rо | чел.-ч | 8 | 8 | Справки эксплуатирующих организаций |
Периодичность смены масла | tм | - | Один раз в год | Один раз в два года | Инструкция по эксплуатации машин |
5. Определение годового объема работ
а) Величина среднечасовой эксплуатационной производительности БТ принята из расчета экономической эффективности на момент предыдущей аттестации

.
Поскольку значения технической производительности и времени проведения ЕО в сравниваемых вариантах одинаковы, то с учетом времени работы крана с основной стрелой и стрелой со вставкой
формула (13) принимает вид
где К1 и К2 - коэффициенты, учитывающие доли времени работы крана с основной стрелой и стрелой со вставкой соответственно.
Значения К1 = 0,85 и К2 = 0,15 приняты на основании плана производства вставок к стрелам при годовом выпуске вставок 400 шт., что составляет 15% от количества выпускаемых кранов 2650 шт.
Определение
Др производится по
формуле (15). Поскольку ресурс, периодичность и трудоемкость проведения технического обслуживания и ремонта автомобильного крана КС-2561К-1 отличаются от средних величин, приведенных в
табл. 13, расчет величины
Др производится по данным технической документации с добавлением продолжительности ожидания текущего и капитального ремонта, соответственно 10 и 20 дней. Аналогичным образом определена величина
Др и в других примерах, где рассматриваются машины, показатели надежности и долговечности которых значительно отличаются от средних.
При
Кх = 0,95
(табл. 2) получим

=

= [0,2·45 + 1·10 + (7 + 10)4 + 1(19 + 20)/0,95·18 000 + 0,5/1000 = 0,00787 дн./маш.-ч.
Количество машино-часов работы крана в год

.
в) Годовая эксплуатационная производительность определяется по
формуле (5):
В' = 6,2607·2355 = 14 744 т/год;
В" = 6,6739·2355 = 15 717 т/год.
6. Расчет капитальных затрат
Капитальные затраты
К определяются по
формуле (27). Для автомобильных кранов
Кб = 1,09.
Для учета влияния социальных факторов (см.
п. 1.11) при установке на НТ приборов безопасности определяем дополнительные капитальные затраты
К', которые условно принимаем в варианте БТ для достижения социального результата, равнозначного НТ.
По калькуляции завода затраты на приборы безопасности

, тогда
.
Капитальные затраты:

;
К" =
КбЦ" = 11 000·1,09 = 11 990 руб.
7. Расчет текущих затрат
а) Затраты на заработную плату машиниста крана
Зм определяются по
формуле (37). При
Кс = 1,105
n = 1;
Стi = 0,79
(табл. 13);

.
б) Для определения затрат на выполнение технического обслуживания и текущего ремонта
Ррем определяются затраты на заработную плату рабочих, занятых техническим обслуживанием и текущим ремонтом машин
Зрем, по
формуле (39).
е) Затраты на шины Зш определяются по формуле
Зш = [1,1Цшnн(ТгТнс - Тш)]/ТнсТшТг руб./маш.-ч.
По Прейскуранту N 015-14 Цш = 91 руб.
При
nн = 6 шт.
Тнс = 10 лет
(табл. 13);
Тш = 7000 ч (срок службы шин).
А' = 1,1·0,155·11 837,4/2355 = 0,857 руб./маш.-ч;
А" = 1,1·0,155·11 990/2355 = 0,868 руб./маш.-ч.
Калькуляция текущих затрат
Статьи затрат | Обозначения | Затраты, руб. |
БТ | НТ |
Заработная плата машиниста | Зм | 1,414 | 1,414 |
Затраты на ТО и ТР | Ррем | 0,923 | 0,919 |
Затраты на топливо | Зэ | 1,637 | 1,637 |
Затраты на смазочные материалы | Зс | 0,327 | 0,327 |
Затраты на масло для гидросистем | Зг | 0,034 | 0,017 |
Затраты на шины | Зш | 0,059 | 0,059 |
Амортизационные отчисления | А | 0,857 | 0,868 |
Общая сумма затрат (себестоимость машино-часа) | С | 5,251 | 5,241 |
8. Определение годового экономического эффекта
Годовой экономический эффект определяем по
формуле (4), где
Пример 7. Определение годового экономического эффекта от применения в строительстве гидравлического экскаватора ЭО-6122 (на стадии серийного производства).
1. Назначение и область применения НТ
Одноковшовый гидравлический полноповоротный гусеничный экскаватор предназначен для производства земляных работ, рытья котлованов, траншей, каналов в грунтах I - IV категории и для погрузки дробленых скальных пород при температуре окружающего воздуха от -40 до +40 °C.
2. Выбор базисного варианта

часть экскаваторов данной размерной группы применяются для работы в карьерах или на земляных работах типа карьерных. Поэтому для сравнения в качестве базисного варианта принят экскаватор Э-2503 с такой же вместимостью ковша.
Для расчета эффективности принята работа экскаваторов в карьере при разработке грунта III категории с погрузкой в транспорт рабочим оборудованием "прямая лопата".
3. Конструктивно-эксплуатационные особенности НТ
Экскаватор ЭО-6122 представляет собой универсальную машину на гусеничном ходу с гидроприводом на все органы движения.
Степень подвижности ковша экскаватора с гидроприводом на единицу выше, чем с канатным приводом, что позволяет режущей кромке ковша описывать любую траекторию, а в сочетании с большим усилием копания лучше использовать емкость ковша.
Наличие гидропривода обеспечивает снижение трудоемкости ежесменного обслуживания экскаватора.
Экономический эффект от применения НТ образуется в основном за счет повышения технической производительности и снижения продолжительности ежесменного технического обслуживания.
4. Основные исходные данные
Наименование показателей | Условные обозначения | Единица измерения | БТ | НТ | Источники информации |
Усредненная техническая производительность | bт | м3/ч | 268 | 347 | Акт испытаний |
Продолжительность выполнения ежесменного технического обслуживания | tЕо | ч | 0,64 | 0,425 | Расчет надежности |
Продолжительность перерывов на отдых машиниста | tот | " | 0,767 | 0,767 | Нормируемая величина |
Оптовая цена (проект цены НТ) экскаватора, оснащенного прямой лопатой | Ц | руб. | 52 800 | 72 000 | Прейскурант N 22-01 (для БТ) и калькуляция цены НТ завода-изготовителя |
Средний ресурс до первого капитального ремонта | Тр | мото-ч | 12 000 | 11 000 | Расчет надежности |
Периодичность выполнения ТО и ТР: | tр | мото-ч | | | Рекомендации по организации технического обслуживания и ремонта строительных машин |
ТО-1 | | | 50 | 100 |
ТО-2 | | | 250 | 500 |
ТР | | | 1000 | 1000 |
Трудоемкость i-тых видов ТО и ТР: | ri | чел.-ч | | | |
ТО-1 | | | 20 | 10 | То же |
ТО-2 | | | 90 | 30 | " |
ТР | | | 960 | 960 | " |
Продолжительность выполнения i-тых видов ТО и ремонта: | Бt | дн. | | | |
ТО-1 | | | 0,8 | 0,6 | " |
ТО-2 | | | 2 | 1 | " |
ТР | | | 16 | 14 | " |
КР | | | 41 | 32 | " |
Периодичность отказов | tо | мото-ч | 300 | 250 | Расчет надежности |
Средняя продолжительность устранения отказов | Бо | дн. | 0,5 | 0,5 | Справки эксплуатирующих организаций |
Средняя трудоемкость устранения отказа | rо | чел.-ч | 8 | 8 | То же |
Емкость гидросистемы | Vг | дм3 | - | 700 | Инструкция по эксплуатации машины |
Периодичность смены масла | tм | маш.-ч | - | 3500 | То же |
Номинальная мощность двигателя | Nн | кВт | 160 | 150 | " |
5. Определение годового объема работ
а) Среднечасовая эксплуатационная производительность определена по
формуле (7) при
уi = 1.
Тогда

;

.
б) Количество машино-часов работы техники в год определяется по
формуле (14), где для данного случая
Тз и
Тп равны нулю;
уi = 1;
Ф = 247
(табл. 8).
Количество ТО и ремонтов за межремонтный цикл определено по
формулам (16):
Затраты времени на выполнение всех видов ТО и ТР определены по
формуле (15).
Межремонтный цикл в машино-часах:
Наработка на отказ, маш.-ч:
Следовательно:
Отсюда количество машино-часов работы техники в год:
в) Годовая эксплуатационная производительность определена по
формуле (5):
В' = 107,2·2144 = 229 837 м3/год;
В" = 127,4·2319 = 295 441 м3/год.
6. Расчет капитальных затрат
Капитальные затраты определяются по
формуле (27). Для экскаваторов данного типоразмера
Кб = 1,12;
К' = 52 800·1,12 = 59 136;
К" = 72 000·1,12 = 80 640.
7. Расчет текущих затрат
а) Затраты на заработную плату рабочих, занятых управлением машиной
Зм, определяются по
формуле (37). При
Кс = 1,062;
n = 2;
Ст1 = 0,79;
Ст2 = 0,702
(табл. 13).

.
в) Затраты на электроэнергию
Зээ определяются по
формуле (49).
При
Ксп = 0,49
(табл. 20):
Зээ = 1,1·0,03·160·0,49 = 2,587 руб./маш.-ч;
Зээ = 1,1·0,03·150·0,49 = 2,426 руб./маш.-ч.
г) Затраты на смазочные материалы
Зс определены по
формуле (52). При
Кс = 0,1333 (для электрических экскаваторов):

;

.
| | ИС МЕГАНОРМ: примечание. Обозначения пунктов даны в соответствии с официальным текстом документа. | |
в) Затраты на амортизацию определены по
формуле (45). При
ан = 0,15
(табл. 13):
А' = 1,1·0,15·59 136/2144 = 4,551 руб./маш.-ч;
А" = 1,1·0,15·80 640/2319 = 5,738 руб./маш.-ч.
Калькуляция текущих затрат
Статьи затрат | Обозначения | Затраты, руб. |
БТ | НТ |
Заработная плата экипажа машины | Зм | 2,575 | 2,575 |
Затраты на ТО и ТР | Ррем | 1,72 | 1,17 |
Затраты на электроэнергию | Зээ | 2,587 | 2,426 |
Затраты на смазочные материалы | Зс | 0,345 | 0,323 |
Затраты на масло для гидросистемы | Зг | - | 0,203 |
Амортизационные отчисления | А | 4,551 | 5,738 |
Общая сумма затрат | С | 11,778 | 12,435 |
8. Определение годового экономического эффекта
Годовой экономический эффект определяется по
формуле (4)
Пример 8. Определение годового экономического эффекта от применения в строительстве самоходного скрепера (стадия переаттестации на высшую категорию качества).
1. Назначение и область применения НТ
Самоходный скрепер предназначен для послойной разработки грунтов I - II категории и предварительно разрыхленных грунтов III - IV категории, их транспортировки и отсыпки с планированием слоя заданной толщины в возводимые сооружения или отвалы.
Самоходный скрепер используют в дорожном, ирригационном и гидротехническом строительстве.
2. Выбор базисного варианта
В качестве базы для сравнения принят тот же скрепер на момент предыдущей аттестации.
3. Конструктивно-эксплуатационные особенности НТ
В новой машине по сравнению с базисной увеличен ресурс до первого капитального ремонта, а также сокращены трудоемкости проведения плановых технических обслуживаний.
Экономический эффект от применения новой техники образуется за счет увеличения межремонтного цикла и снижения трудоемкости проведения технических обслуживаний.
4. Основные исходные данные
Наименование показателей | Условные обозначения | Единица измерения | БТ | НТ | Источники информации |
Оптовая цена скрепера | Цс | руб. | 18 290 | 18 350 | Прейскурант N 22-01 и калькуляция завода-изготовителя |
Оптовая цена толкача | Цт | руб. | 22 900 | 22 900 | То же |
Дальность транспортировки грунта | L | м | 1 500 | 1 500 | Акт испытаний |
Средний ресурс до первого капитального ремонта | Тр | мото-ч | 7 000 | 8 000 | Расчет надежности |
Периодичность выполнения ТО, ТР: | tр | то же | | | |
ТО-1 | | | 100 | 200 | То же |
ТО-2 | | | 500 | 800 | " |
ТР | | | 1 000 | 1 600 | " |
Продолжительность выполнения i-го ТО, ремонта: | Би | дн. | | | "Рекомендации по организации технического обслуживания и ремонта строительных машин" для БТ и акты испытаний для НТ |
ТО-1 | | | 0,3 | 0,2 |
ТО-2 | | | 1 | 0,8 |
ТР | | | 6 | 6 |
КР | | | 16 | 16 |
Трудоемкость i-тых видов ТО, ТР: | чi | чел.-ч | | | |
ТО-1 | | | 6 | 4 | То же |
ТО-2 | | | 30 | 24 | " |
ТР | | | 340 | 340 | " |
Периодичность отказов | tо | маш.-ч | 200 | 300 | Расчет надежности |
Средняя продолжительность устранения отказов | Бо | дн. | 0,3 | 0,3 | Акты испытаний |
5. Определение количества машино-часов работы техники в году
а) Количество технических обслуживаний и ремонтов за межремонтный цикл определено по
формулам (16):
б) Затраты времени на выполнение всех видов технических обслуживаний и ремонтов определены по
формуле (15). При
Кц = 0,74
(табл. 5) межремонтный цикл в машино-часах:

;

. При
Кх = 0,72
(табл. 2) находим:
в) Количество машино-часов работы техники в год определено по
формуле (14).
6. Расчет капитальных затрат
При наборе грунта самоходные скреперы работают с толкачом - бульдозером ДЗ-35С. В соответствии с ЕНиР,
сб. 2, вып. 1 при дальности транспортировки грунта свыше 1000 м один толкач обслуживает пять скреперов.

.
Тогда суммарные капитальные затраты составят: К' = 19 936 + 4992 = 24 923 руб.; К" = 20 001 + 4992 = 24 994 руб.
7. Расчет экономии текущих затрат
а) Экономия текущих затрат на проведение ТО и ТР

определяется по формуле
б) Экономия текущих затрат от снижения доли амортизационных отчислений

определяется по формуле
.
в) Суммарная экономия текущих затрат

.
8. Определение годового экономического эффекта
Годовой экономический эффект определяется по
формуле (4), которая после преобразований в данном случае принимает вид
Пример 9. Определение годового экономического эффекта от применения в строительстве автомобильного крана КС-2561Л.
1. Назначение и область применения НТ
Автомобильный кран предназначен для выполнения погрузочно-разгрузочных работ, вертикального транспортирования материалов и монтажа конструкций на рассредоточенных объектах строительства.
2. Выбор базисного варианта
Модернизированная машина предназначена для замены автомобильного крана КС-2561Е.
3. Конструктивно-эксплуатационные особенности НТ
Кран КС-2561Л по сравнению с базисным вариантом КС-2561Е имеет: модернизированную лебедку, с помощью которой обеспечивается рациональное совмещение операций подъема груза и изменения вылета стрелы; устройство контроля затяжки крюка в транспортное положение; устройство фиксации откидных опор в рабочем и транспортном положении, позволяющее сократить время установки и снятия крана с опор.
Экономический эффект от применения новой техники образуется за счет уменьшения продолжительности рабочего цикла при производстве погрузочно-разгрузочных работ (длительность цикла при монтаже конструкций и вертикальном транспорте груза изменяется незначительно и в расчете не учтена), а также сокращения времени перевода крана в рабочее и транспортное положение.
4. Основные исходные данные
Наименование показателей | Условные обозначения | Единица измерения | БТ | НТ | Источники информации |
Продолжительность рабочего цикла при выполнении погрузочно-разгрузочных работ | tц | мин | 4,95 | 4,5 | Акты испытаний |
Продолжительность установки крана в рабочее и транспортное положение | tуст | " | 18 | 16,3 | То же |
Оптовая цена | Ц' | руб. | 7910 | - | Прейскурант N 19-06 |
Проект оптовой цены | Ц" | руб. | - | 7960 | Калькуляция завода-изготовителя |
Периодичность отказов | tо | маш.-ч | 1000 | 1000 | Расчет надежности |
Средняя продолжительность ликвидации отказа | Бо | дн. | 0,5 | 0,5 | Справки эксплуатирующих организаций |
Средняя трудоемкость устранения отказов | чо | чел.-ч | 8 | 8 | То же |
5. Определение годового объема работ
а) Определение среднечасовой эксплуатационной производительности.
Среднечасовая эксплуатационная производительность БТ определена с учетом занятости крана на трех видах работ
(табл. 11) 
.
Коэффициент

для НТ определяется по
формуле (10). При числе установок крана за смену
n = 5,
tсм = 7,752 (
табл. 5,
9)

, где 60 - число минут в 1 ч.
Среднечасовая эксплуатационная производительность НТ определена по
формуле (13)
в) Годовая эксплуатационная производительность определяется по
формуле (5):
В' = 5,06·2392 = 12 103 т/год;
В" = 5,467·2392 = 13 077 т/год.
6. Расчет капитальных затрат
Капитальные затраты
К определяются по
формуле (27). Для автомобильных кранов
Кб = 1,09:
К' = 7910·1,09 = 8622 руб.;
К" = 7960·1,09 = 8676 руб.
7. Расчет текущих затрат
а) Затраты на заработную плату машиниста крана
Зм определяются по
формуле (37). При
Кс = 1,105;
n = 1;
Ст = 0,79
(табл. 13);

.
б) Затраты на техническое обслуживание и текущие ремонты определяются по
формулам (39) и
(40).
д) Затраты на шины определены по формуле
Зш = 1,1Цш·nн(ТгТнс - Тш)/ТнсТшТг,
где Цш = 91 руб.;
nн = 6 шт.;
Тнс = 10 лет;
Тш = 7000 ч - срок службы шин.
е) Отчисления на амортизацию крана определены по
формуле (45). При
ан = 0,155
(табл. 13):
А' = 1,1·0,155·8622/2392 = 0,614 руб./маш.-ч;
А" = 1,1·0,155·8676/2392 = 0,618 руб./маш.-ч.
Калькуляция текущих затрат
Статьи затрат | Обозначения | Затраты, руб. |
БТ | НТ |
Заработная плата машиниста | Зм | 1,414 | 1,414 |
Затраты на ТО и ТР | Ррем | 0,763 | 0,763 |
Затраты на топливо | Зэ | 1,637 | 1,637 |
Затраты на смазочные материалы | Зс | 0,327 | 0,327 |
Затраты на шины | Зщ | 0,06 | 0,06 |
Амортизационные отчисления | А | 0,614 | 0,618 |
Общая сумма затрат | С | 4,815 | 4,819 |
8. Определение экономического эффекта
| | ИС МЕГАНОРМ: примечание. Формула дана в соответствии с официальным текстом документа. | |
Пример 10. Определение годового экономического эффекта от применения в строительстве гайковерта электрического ударного ИЭ-3119.
1. Назначение и область применения НТ
Гайковерт электрический ударный ИЭ-3119 предназначен для тарированной затяжки и разборки резьбовых соединений от М14 до М36. Энергия удара 40 Дж. Нормальный момент затяжки 430 Н·м.
2. Выбор базисного варианта
В качестве БТ выбран ближайший по области применения гайковерт ИЭ-3115А, аналогичный по конструкции гайковерту ИЭ-3119, но имеющий энергию удара 25 Дж и нормальный момент затяжки 320 Н·м, предназначенный для тарированной затяжки и разборки резьбовых соединений от М12 до М30.
3. Конструктивно-эксплуатационные особенности НТ
У гайковерта ИЭ-3119 снижена продолжительность чистого времени работы при выполнении одной операции (продолжительность цикла) и увеличен ресурс при затяжке резьбовых соединений до момента 430 Н·м. Для достижения большей энергии удара гайковерт ИЭ-3119 снабжен более мощным двигателем (450 Вт) по сравнению с БТ (420 Вт).
Экономический эффект образуется за счет повышения производительности и ресурса до первого ремонта.
4. Основные исходные данные
Показатели | Условные обозначения | Единица измерения | БТ | НТ | Источник информации |
Время затяжки одного болта до момента 430 Н·м | tц | с | 8 | 3 | Акты испытаний |
Время до первого ремонта при затяжке до момента 430 Н·м | nц | цикл | 5617 | 15 000 | Расчет надежности |
Оптовая цена | Ц | руб. | 70 | 95 | Прейскурант N 18-05 для БТ и калькуляция завода-изготовителя для НТ |
Часовая тарифная ставка | Стj | " | 0,555 | 0,555 | |
Номинальная мощность электродвигателя | Nн | кВт | 0,42 | 0,45 | Паспорта гайковертов |
5. Определение годового объема работ
а) Техническая производительность БТ и НТ рассчитывается по
формуле (18) и составляет:
б) При увеличении технической производительности НТ по сравнению с БТ величина

рассчитывается по
формуле (21), а коэффициент

рассчитывается по
формуле (8).

, где
(табл. 7). Тогда

.
в) Количество часов чистого времени работы механизированного инструмента в год
Тги определяется по
формуле (22). Для определения
Тги необходимо рассчитать средний ресурс
tри по
формуле (23):

(чистого времени работы);

(чистого времени работы);

(чистого времени работы);

(чистого времени работы),
где Фи = 225 дн.;
г) Годовой объем работ, выполняемый с помощью БТ и НТ, рассчитывается по
формуле (17):
В' = 450·51,6 = 23 220 циклов;
В" = 1200·20,3 = 24 360 циклов.
6. Определение капитальных затрат
Капитальные затраты
К, руб., определяются по
формуле (27) при
Кб = 1,09:
К' = 1,09·70 = 76,3 руб.;
К" = 1,09·95 = 103,55 руб.
7. Определение текущих затрат
а) Заработная плата строительных рабочих, использующих механизированный инструмент, определяется на 1 ч чистого времени работы инструмента по
формуле (38):
б) Затраты на выполнение технического обслуживания и ремонта механизированного инструмента определяются по
формуле (41).
Для определения коэффициента перехода от расчетно-балансовой стоимости к затратам на ТО и ремонт в варианте НТ используются
формулы (42) и
(43).
Крс = 12,48·20,3/12,5·51,6 = 0,393.
в) Затраты на амортизацию механизированного инструмента состоят только из реновационных отчислений (
ан = 0,5 при
Тнс = 2 года); по
формуле (45) получаем:
А' = 1,1·0,5·76,3/51,6 = 0,813 руб.;
А" = 1,1·0,5·103,55/20,3 = 2,81 руб.
д) Себестоимость 1 ч чистой работы: С' = 5,21 + 0,407 + 0,813 + 0,0268 = 6,46 руб.; С" = 12,88 + 0,724 + 2,81 + 0,0287 = 16,44 руб.
8. Определение годового экономического эффекта
Годовой экономический эффект определяется по
формуле (4)
Эг = 24 360[6,46/450 - 16,44/1200 + 0,15(76,3/23 220 -
- 103,55/24 360)] = 12,45 руб.
Пример 11. Расчет годового экономического эффекта повышения коэффициента сменности работы строительных машин.
1. Краткая характеристика
Расчет выполнен для средних (наиболее характерных) условий применения в строительстве одноковшового экскаватора с гидравлическим приводом ЭО-4121А.
В качестве базисного варианта рассматривается применение экскаватора со средним существующим коэффициентом сменности Ксм = 1,5. Определяется экономическая эффективность проведения организационно-технических мероприятий с целью повышения коэффициента сменности с 1,5 до 2,2. При повышении коэффициента сменности увеличивается количество машино-часов работы техники за год. За счет этого снижается отвлеченность капитальных вложений в основные производственные фонды строительства и текущие затраты (в части амортизационных отчислений).
2. Основные исходные данные
Наименование показателей | Условные обозначения | Единица измерений | Величина | Источники информации |
Годовой фонд рабочего времени экскаватора | Ф | дн. | 247 | |
Коэффициент сменности (для БТ) | Ксм | доли единицы | 1,5 | |
Простои во всех видах обслуживания и ремонта | Др | дн./маш.-ч | 0,0121 | |
Средний коэффициент, учитывающий отклонение фактических затрат времени от нормативных | Кх | доли единицы | 0,78 | |
Средняя продолжительность одной перебазировки | Тп | дн. | 1 | |
Продолжительность работы на объекте | Тоб | маш.-ч | 240 | |
Средняя продолжительность замены рабочего оборудования машины | Тз | дн. | 0,1 | Рабочая документация |
Средняя периодичность замены рабочего оборудования машины | tз | маш.-ч | 300 | Данные эксплуатирующих организаций |
Оптовая цена экскаватора ЭО-4121А | Ц | руб. | 18 140 | Прейскурант N 22-01 |
Средняя продолжительность устранения одного отказа | Бо | дн. | 0,3 | Данные эксплуатирующих организаций |
Средняя периодичность отказов машины | tо | маш.-ч | 250 | Техническая документация |
3. Определение годового объема работ
Поскольку среднечасовая эксплуатационная производительность одинакова в сравниваемых вариантах, в качестве годового объема работ следует использовать количество машино-часов работы техники за год. Величина
Тг определяется по
формуле (14), тогда
Величина

определяется по этой же формуле для

:
при

при

при

при

при

при

при

4. Расчет капитальных затрат
Капитальные затраты определяются по
формуле (27). Для экскаватора ЭО-4121А величина
Кб = 1,09.
Тогда К' = К" = 18 140·1,09 = 19 773 руб.
5. Расчет текущих затрат
В составе текущих затрат изменяются только амортизационные отчисления, определяемые по
формуле (45), которую в связи с вариантностью величины

целесообразно привести к виду
6. Определение годового экономического эффекта
Годовой экономический эффект на один экскаватор определяется по
формуле (4), которая в данном случае после преобразований приобретает вид

или, подставляя неизменяемые величины (при
К' =
К"),

Подставляя полученные значения

:
при
Э = 2,773·2393 - 6331 = 305 руб.;
при
Э = 2,773·2490 - 6331 = 574 руб.;
при
Э = 2,773·2595 - 6331 = 865 руб.;
при
Э = 2,773·2708 - 6331 = 1178 руб.;
при
Э = 2,773·2800 - 6331 = 1433 руб.;
при
Э = 2,773·2899 - 6331 = 1708 руб.;
при
Э = 2,773·3005 - 6331 = 2002 руб.
Пример 12. Определение годового экономического эффекта от применения в строительстве одного комплекта тупиковых упоров, разработанных ЦНИИОМТП (проект 29-4.00.000).
1. Назначение и область применения НТ
Комплект новых тупиковых упоров предназначен для ограничения перемещения башенного крана по рельсовым путям.
2. Выбор базисного варианта
В качестве базы для сравнения принимается комплект тупиковых упоров, используемых в настоящее время, конструкция которых указана в
СН 78-79.
3. Конструктивно-эксплуатационные особенности НТ
В отличие от существующих новый тупиковый упор представляет собой закрепляемую на головке рельса конструкцию с плавно повышающейся криволинейной рабочей поверхностью. При наезде крана на упор колесо ходовой тележки поднимается по указанной поверхности, и в связи с постепенно нарастающим сопротивлением движению кран останавливается. Исключается возможность динамического удара в момент остановки крана, который имел место при заменяемой конструкции тупикового упора.
Основные преимущества НТ по сравнению с БТ заключаются в повышении безопасности и надежности работы, упрочнении конструкции и повышении технологичности изготовления, уменьшении металлоемкости, возможности ликвидации буфера на ходовой тележке крана, увеличении срока службы упора, упрощении и снижении трудоемкости его монтажа и демонтажа на рельсовом пути, отсутствии необходимости ремонта упора.
4. Основные исходные данные
Наименование показателей | Условные обозначения | Единица измерения | БТ | НТ | Источники информации |
Масса одного тупикового упора (ТУ) | m | кг | 97 | 13,5 | Техническое описание |
Затраты на одну перестановку комплекта (4 упора) | Зп | руб. | 58,4 | 29,2 | Данные эксплуатирующих организаций |
Среднегодовое количество перестановок комплекта ТУ | Кп | шт. | 2,55 | 2,55 | То же |
Среднегодовые затраты на ремонт комплекта ТУ | Зрем | руб. | 11,91 | 0 | " |
Цена комплекта ТУ | Ц | " | 128 | 76,4 | Калькуляция завода-изготовителя |
Срок службы ТУ | Т | лет | 5 | 10 | Расчет надежности |
Стоимость комплекта буферов (4 шт.) | Сб | руб. | 17 | 0 | Калькуляция завода-изготовителя |
Стоимость комплекта щитков | Сш | " | 0 | 13 | То же |
5. Расчет капитальных затрат
С учетом различных сроков службы БТ и НТ капитальные затраты по БТ определяются по
формулам (3) и
(27):
К' = 128·1,09[1 + (10 - 5)/5(1 + 0,1)5] = 226,16 руб.
К" = 76,4·1,09 = 83,28 руб.
Применение ТУ новой конструкции взамен существующих позволяет отказаться от установки буферов на ходовых тележках кранов, а также от сбрасывающих плужков, вместо которых устанавливаются легкие поворотные щитки.
В этом случае изменение сопутствующих капитальных вложений потребителя составит:
Тогда

6. Расчет текущих затрат
Использование НТ взамен БТ не отражается на затратах по эксплуатации крана, поэтому в составе текущих затрат в данном случае учитываются только годовые затраты по перестановке и ремонту одного комплекта сравниваемых вариантов ТУ, т.е.
С = Зпг + Зрем,
где Зпг - годовые затраты на перестановку комплекта тупиковых упоров;
Зрем - годовые затраты на ремонт комплекта тупиковых упоров.
Значение Зпг определяется по формуле
Зпг = ЗпКп,
тогда

;
7. Определение годового экономического эффекта
Годовой экономический эффект от применения одного комплекта ТУ новой конструкции определяется по
формуле (4) Эг = 160,83 - 74,46 + 0,15(226,16 - 79,28) = 108,4 руб.
Исходные данные для выполнения расчетов
Таблица 1
Коэффициенты приведения разновременных затрат 
Годы | (1 + Е)t | (1 + Е)-t |
1 | 1,1000 | 0,9091 |
2 | 1,2100 | 0,8264 |
3 | 1,3310 | 0,7513 |
4 | 1,4641 | 0,6830 |
5 | 1,6105 | 0,6209 |
6 | 1,7716 | 0,5645 |
7 | 1,9487 | 0,5132 |
8 | 2,1436 | 0,4665 |
9 | 2,3579 | 0,4241 |
10 | 2,5937 | 0,3855 |
11 | 2,8531 | 0,3505 |
12 | 3,1384 | 0,3186 |
13 | 3,4523 | 0,2897 |
14 | 3,7975 | 0,2633 |
15 | 4,1772 | 0,2394 |
Таблица 2
Учет вероятностного характера исходных данных, принимаемых
в расчетах годового экономического эффекта
Виды работ, технологических операций и процессов | Средние коэффициенты к нормам времени, учитывающие отклонения фактических затрат времени от нормативных Кх |
Переноска, погрузка и разгрузка строительных грузов: | |
вручную | 0,95 |
с применением средств механизации | 1,15 |
Выполнение земляных работ: | |
вручную | 0,9 |
с применением средств механизации | 1,2 |
Монтаж строительных конструкций и технологического оборудования | 1,3 |
Выполнение штукатурных работ: | |
вручную | 1,1 |
с применением средств механизации | 1,2 |
Выполнение малярных работ: | |
вручную | 1,1 |
с применением средств механизации | 1,2 |
Выполнение прочих отделочных работ | 1,15 |
Выполнение бетонных работ: | |
вручную | 1,1 |
с применением средств механизации | 1,15 |
Устройство рулонных кровель: | |
вручную | 1,05 |
с применением средств механизации | 1,15 |
Выполнение технического обслуживания и ремонта: | |
тракторов с навесным экскаваторным оборудованием с ковшом вместимостью 0,25 м3 | 0,7 |
экскаваторов одноковшовых | 1,05 |
экскаваторов многоковшовых | 0,6 |
бульдозеров | 0,8 |
скреперов | 1,05 |
автогрейдеров | 0,75 |
кранов автомобильных | 0,5 |
кранов башенных | 0,65 |
кранов гусеничных | 0,85 |
кранов пневмоколесных | 0,4 |
погрузчиков одноковшовых | 0,5 |
трубоукладчиков | 0,8 |
прочих машин на шасси трактора и автомобиля | 0,8 |
остальных средств механизации | 0,65 |
Продолжительность нахождения на техническом обслуживании и ремонте, а также в ожидании ремонта: | |
тракторов с навесным экскаваторным оборудованием с вместимостью ковша 0,25 м3 | 0,75 |
экскаваторов одноковшовых | 0,78 |
экскаваторов многоковшовых | 0,6 |
бульдозеров | 0,83 |
скреперов | 0,72 |
автогрейдеров | 0,6 |
кранов автомобильных | 0,95 |
кранов башенных | 0,95 |
кранов гусеничных | 0,9 |
кранов пневмоколесных | 0,8 |
погрузчиков одноковшовых | 0,7 |
трубоукладчиков | 0,65 |
прочих машин | 0,8 |
Примечание. При использовании нормативных величин в расчетах их величина делится на коэффициент Кх.
Таблица 3
Доли объемов работ, выполняемых одноковшовыми экскаваторами
(включая тракторы с навесным экскаваторным оборудованием)
в различных грунтовых условиях с погрузкой в транспорт
и в отвал, yi
Виды сменного оборудования | Способ разработки грунта | Группа грунта | Экскаваторы с ковшом вместимостью, м3 |
до 0,25 | 0,26 - 0,49 | 0,5 - 1 | 1,1 - 2 | 2 - 4 | св. 4 (шагающие экскаваторы) |
Прямая лопата | В транспорт | I | 0,04 | 0,05 | 0,04 | 0,05 | 0,1 | - |
II | 0,06 | 0,07 | 0,06 | 0,1 | 0,2 | - |
III | - | 0,03 | 0,03 | 0,1 | 0,25 | - |
IV | - | - | 0,02 | 0,05 | 0,15 | - |
| Итого | | 0,1 | 0,15 | 0,15 | 0,3 | 0,7 | - |
Обратная лопата | В транспорт | I | 0,05 | 0,12 | 0,05 | 0,01 | - | - |
II | 0,1 | 0,24 | 0,07 | 0,02 | - | - |
III | - | 0,09 | 0,05 | 0,01 | - | - |
IV | - | - | 0,03 | 0,01 | - | - |
В отвал | I | 0,25 | 0,11 | 0,03 | 0,01 | - | - |
II | 0,5 | 0,21 | 0,06 | 0,02 | - | - |
III | - | 0,08 | 0,04 | 0,01 | - | - |
IV | - | - | 0,02 | 0,01 | - | - |
| Итого | | 0,9 | 0,85 | 0,35 | 0,1 | - | - |
Драглайн | В транспорт | I | - | - | 0,08 | 0,1 | 0,02 | 0,01 |
II | - | - | 0,1 | 0,1 | 0,03 | 0,02 |
III | - | - | 0,07 | 0,07 | 0,05 | 0,04 |
IV | - | - | 0,03 | 0,03 | 0,03 | 0,03 |
В отвал | I | - | - | 0,04 | 0,1 | 0,02 | 0,1 |
II | - | - | 0,08 | 0,1 | 0,04 | 0,25 |
III | - | - | 0,07 | 0,07 | 0,08 | 0,4 |
IV | - | - | 0,03 | 0,03 | 0,03 | 0,15 |
| Итого | - | - | - | 0,5 | 0,6 | 0,3 | 1 |
Примечания: 1. При наличии погрузочного оборудования доля его применения определяется за счет уменьшения доли применения прямой лопаты.
2. При наличии грейферного оборудования доля его применения определяется за счет уменьшения применения обратной лопаты.
3. В случае применения рабочего органа для рыхления мерзлого грунта доля его применения определяется для средних условий в размере 18% от расчетного количества машино-часов работы в год данной машины. Соответственно уменьшается количество машино-часов работы по разработке грунта (при определении годовой эксплуатационной производительности).
4. Для гидравлических экскаваторов доля применения обратной лопаты увеличивается за счет отсутствия драглайна.
Таблица 4
Доли объемов работ, выполняемых многоковшовыми
экскаваторами, бульдозерами и скреперами
в различных грунтовых условиях, yi
Способ разработки грунта | Группа грунта | Экскаваторы | Бульдозеры мощностью двигателя, кВт (л.с.) | Скреперы с ковшом вместимостью, м3 |
цепные | роторные | до 58,8 (80) | 66,1 - 110,3 (81 - 150) | 117,6 - 220 (151 - 300) | св. 200,6 (300) | до 4 | св. 4 |
В транспорт | I | 0,02 | 0,02 | - | - | - | - | - | - |
II | 0,08 | 0,08 | - | - | - | - | - | - |
III | - | 0,05 | - | - | - | - | - | - |
В отвал | I | 0,18 | 0,11 | 0,25 | 0,15 | 0,1 | 0,05 | 0,4 | 0,3 |
II | 0,72 | 0,44 | 0,65 | 0,6 | 0,4 | 0,3 | 0,6 | 0,7 |
III | - | 0,3 | 0,1 | 0,25 | 0,5 | 0,65 | - | - |
Таблица 5
Средние величины коэффициентов, используемые в расчетах
экономического эффекта
Средства механизации | Коэффициенты | Средняя продолжительность одной перебазировки Тп | Продолжительность работы на объекте, Тоб, маш.-ч |
внутрисменного использования Кв | условий производства работ Ку | сменности Ксм | использования двигателя по | перехода от |
времени Кдв | мощности Квм | мото-ч к маш.-ч Кч | технической производительности к эксплуатационной  | затрат на топливо или электроэнергию к затратам на смазочные материалы Кс | суммы зарплаты к стоимости запчастей Кзч |
1. Основные строительные машины |
Автогрейдеры | 0,78 | 1,16 | 1,15 | 0,9 | 0,5 | 0,45 | 0,4 | 0,19 | 1,35 | 0,5 | 750 |
Автопогрузчики грузоподъемностью, т: | | | | | | | | | | | |
до 2 | 0,65 | - | 1,3 | 0,7 | 0,37 | 0,26 | 0,3 | 0,2 | 1,35 | 0,5 | 400 |
3 - 5 | 0,65 | - | 1,3 | 0,7 | 0,4 | 0,28 | 0,3 | 0,2 | 1,35 | 0,5 | 400 |
св. 5 | 0,65 | - | 1,3 | 0,75 | 0,4 | 0,3 | 0,3 | 0,2 | 1,35 | 0,5 | 400 |
Асфальтоукладчики самоходные | 0,65 | - | 1,3 | 0,78 | 0,46 | 0,36 | 0,52 | 0,19 | 1,35 | 2 | 500 |
Бетононасосы: | | | | | | | | | | | |
передвижные | 0,6 | - | 1,3 | 0,6 | 0,5 | 0,3 | 0,4 | - | 1,25 | 2 | 500 |
стационарные | 0,7 | - | 1,4 | 0,6 | 0,5 | 0,3 | 0,4 | 0,4 | 1,25 | 2 | 500 |
Бетоносмесители передвижные вместимостью, л: | | | | | | | | | | | |
до 500 | 0,5 | - | 1,62 | 0,5 | 0,6 | 0,3 | 0,3 | - | 1,25 | 2 | 500 |
800 - 1000 | 0,5 | - | 1,62 | 0,5 | 0,7 | 0,35 | 0,35 | - | 1,25 | 2 | 500 |
1600 - 2000 | 0,5 | - | 1,14 | 0,51 | 0,75 | 0,38 | 0,35 | - | 1,25 | 4 | 1000 |
3000 | 0,5 | - | 1,14 | 0,51 | 0,75 | 0,38 | 0,35 | - | 1,25 | 4 | 1000 |
Бетоносмесители стационарные вместимостью, л: | | | | | | | | | | | |
500 | 0,4 | - | 1,62 | 0,8 | 0,4 | 0,32 | 0,4 | - | 1,25 | 8 | 1700 |
800 - 1000 | 0,5 | - | 1,62 | 0,8 | 0,5 | 0,4 | 0,4 | - | 1,25 | 8 | 2000 |
1600 - 2000 | 0,5 | - | 1,62 | 0,8 | 0,5 | 0,4 | 0,4 | - | 1,25 | 12 | 3500 |
3000 | 0,5 | - | 1,62 | 0,8 | 0,5 | 0,4 | 0,4 | - | 1,25 | 12 | 4000 |
Бетоносмесительные установки с комплектом всех необходимых машин и оборудования: | | | | | | | | | | | |
стационарные | 0,82 | - | 1,62 | 0,82 | 0,5 | 0,41 | 0,4 | - | 1,25 | 4 | 1000 |
передвижные | 0,82 | - | 1,14 | 0,82 | 0,5 | 0,41 | 0,4 | - | 1,25 | 4 | 1000 |
Бетоноукладочные машины | 0,65 | - | 1,3 | 0,75 | 0,4 | 0,3 | 0,4 | 0,19 | 1,3 | 10 | 2000 |
Бетоноотделочные машины | 0,75 | - | 1,2 | 0,75 | 0,4 | 0,3 | 0,5 | 0,19 | 1,3 | 10 | 800 |
Битумоплавильные установки (УБ, УБК-81) | 0,85 | - | 1,1 | 0,85 | 0,82 | 0,7 | 0,5 | 0,19 | 1,17 | 3 | 400 |
Бульдозеры на базе пневмоколесного трактора класса 1,4 т ("Беларусь") | 0,75 | 1,22 | 1,4 | 0,86 | 0,35 | 0,3 | 0,3 | 0,22 | 1,35 | 0,3 | 170 |
Бульдозеры на базе гусеничного трактора класса, т: | | | | | | | | | | | |
3 - 15 | 0,75 | 1,22 | 1,4 | 0,86 | 0,51 | 0,44 | 0,3 | 0,22 | 1,35 | 4 | 2000 |
25 | 0,75 | 1,22 | 1,4 | 0,86 | 0,7 | 0,60 | 0,3 | 0,22 | 1,35 | 8 | 4000 |
Бурильно-крановые машины на базе трактора класса, т: | | | | | | | | | | | |
3 | 0,6 | - | 1,2 | 0,72 | 0,4 | 0,29 | 0,3 | 0,22 | 1,35 | 0,4 | 200 |
10 | 0,6 | - | 1,2 | 0,72 | 0,4 | 0,29 | 0,3 | 0,22 | 1,35 | 16 | 3100 |
Бурильно-крановые машины на базе автомобиля | 0,6 | - | 1,2 | 0,66 | 0,5 | 0,33 | 0,3 | 0,22 | 1,25 | 0,2 | 100 |
Вибраторы общего назначения | 0,2 | - | 1,4 | 0,2 | 0,9 | 0,18 | 0,2 | - | 1,2 | - | - |
Вибраторы глубинные | 0,2 | - | 1,4 | 0,2 | 0,8 | 0,16 | 0,2 | - | 1,2 | - | - |
Вибропитатели | 0,15 | - | 1,1 | 0,15 | 0,9 | 0,14 | 0,15 | - | 1,2 | - | - |
Виброплиты | 0,6 | - | 1,5 | 0,63 | 0,6 | 0,38 | 0,3 | - | 1,2 | - | - |
Виброплощадки | 0,4 | - | 2 | 0,4 | 0,8 | 0,32 | 0,4 | - | 1,2 | 1 | 365 |
Грейдер-элеваторы | 0,75 | - | 1 | 0,85 | 0,5 | 0,43 | 0,4 | 0,22 | 1,3 | 16 | 3200 |
Грохоты инерционные | 0,82 | - | 2 | 0,82 | 0,6 | 0,49 | 0,35 | - | 1,17 | - | - |
Грунтосмесительные однопроходные машины | 0,75 | - | 1,3 | 0,83 | 0,4 | 0,33 | 0,37 | 0,22 | 1,3 | 10 | 2000 |
Дозаторы | 0,9 | - | 1,4 | 0,9 | 0,5 | 0,45 | 0,4 | - | 1,3 | 10 | 2000 |
Дробилки шнековые | 0,82 | - | 2 | 0,86 | 0,6 | 0,52 | 0,4 | - | 1,17 | - | - |
Дробильно-сортировочные установки передвижные | 0,7 | - | 2 | 0,94 | 0,6 | 0,56 | 0,35 | - | 1,2 | 3 | 2000 |
Землесосные снаряды производительностью, м3/ч: | | | | | | | | | | | |
до 50 | 0,75 | | 2 | 0,79 | 0,6 | 0,47 | 0,45 ------- 0,6 | 0,22 | 1,4 | 1 | 580 |
до 100 | 0,65 | - | 2 | 0,68 | 0,5 | 0,34 | 0,45 ------- 0,6 | 0,22 | 1,4 | 1,5 | 700 |
св. 100 | 0,65 | - | 2 | 0,68 | 0,5 | 0,34 | 0,45 ------- 0,7 | 0,22 | 1,4 | 7 | 1400 |
Землеройно-фрезерные машины | 0,75 | - | 1,15 | 0,86 | 0,6 | 0,5 | 0,5 | 0,22 | 1,35 | 4 | 1000 |
Катки самоходные и прицепные | 0,75 | - | 1,5 | 0,79 | 0,5 | 0,4 | 0,6 | 0,22 | 1,3 | 2 | 500 |
Канавокопатели плужные и фрезерные | 0,75 | - | 1,5 | 0,83 | 0,5 | 0,42 | 0,5 ------- 0,6 | 0,22 | 1,2 | 1 | 800 |
Каналоочистители | 0,75 | - | 1,5 | 0,83 | 0,5 | 0,42 | 0,5 ------- 0,6 | 0,22 | 1,4 | 2 | 800 |
Комплекты машин для облицовки каналов монолитным бетоном глубиной, м: | | | | | | | | | | | |
до 1,5 | 0,75 | - | 1,2 | 0,7 | 0,6 | 0,42 | 0,5 ------- 0,65 | 0,22 | 1,4 | 5 | 365 |
св. 1,5 | 0,75 | - | 1,2 | 0,6 | 0,6 | 0,36 | 0,5 ------- 0,5 | 0,22 | 1,4 | 10 | 800 |
Компрессоры передвижные с электроприводом производительностью, м3/мин: | | | | | | | | | | | |
0,25 - 0,5 | 0,6 | - | 1,4 | 0,8 | 0,9 | 0,72 | 0,5 | 0,22 | - | - | - |
1,2 - 5 | 0,8 | - | 1,4 | 0,8 | 0,6 | 0,48 | 0,4 | 0,22 | - | - | - |
Компрессоры передвижные с приводом от двигателя внутреннего сгорания | 0,8 | - | 1,4 | 0,8 | 0,6 | 0,48 | 0,4 | - | - | - | - |
Компрессоры стационарные с электроприводом производительностью 3 - 5 м3/мин | 0,8 | - | 1,4 | 0,8 | 0,6 | 0,48 | 0,4 | - | - | - | - |
Котлованокопатели (типа ВК, БМ, МКТС) | 0,75 | - | 1,5 | 0,86 | 0,6 | 0,52 | 0,5 | 0,22 | 1,35 | 1 | 1000 |
Копровые установки (без молота свайного) | 0,82 | - | 1,3 | 0,82 | 0,3 | 0,25 | 0,5 | 0,22 | 1,1 | 0,4 | 150 |
Корчеватели, кусторезы | 0,8 | - | 1,5 | 0,92 | 0,35 | 0,32 | 0,55 ------ 0,6 | 0,22 | 1,35 | 1 | 340 |
Краны автомобильные стреловые грузоподъемностью, т: | | | | | | | | | | | |
до 6,3 | 0,5 | - | 1,33 | 0,53 | 0,37 | 0,20 | 0,1 | 0,2 | 1,35 | - | - |
10 | 0,7 | - | 1,33 | 0,74 | 0,3 | 0,22 | 0,1 | 0,2 | 1,35 | - | - |
16 | 0,75 | - | 1,33 | 0,79 | 0,31 | 0,25 | 0,1 | 0,2 | 1,35 | - | - |
Краны башенные с грузовым моментом, т·м: | | | | | | | | | | | |
до 250 | 0,82 | - | 1,65 | 0,41 | 0,9 | 0,4 | 0,2 | - | 1,25 | 8 | 1600 |
400 - 1400 | 0,82 | - | 1,88 | 0,41 | 0,9 | 0,4 | 0,2 | - | 1,25 | 20 | 4000 |
Краны гусеничные | 0,75 | - | 1,65 | 0,9 | 0,37 | 0,33 | 0,15 | 0,2 | 1,35 | 2 | 1000 |
Краны пневмоколесные, т: | | | | | | | | | | | |
до 25 | 0,75 | - | 1,65 | 0,9 | 0,37 | 0,33 | 0,15 | 0,2 | 1,35 | 1 | 330 |
40 | 0,75 | - | 1,65 | 0,9 | 0,37 | 0,33 | 0,15 | 0,2 | 1,35 | 0,5 | 275 |
св. 40 | 0,75 | - | 1,65 | 0,9 | 0,37 | 0,33 | 0,15 | 0,2 | 1,35 | 1,5 | 375 |
Краны на специальном шасси автомобильного типа | 0,75 | - | 1,65 | 0,86 | 0,4 | 0,35 | 0,18 | 0,22 | 1,35 | - | - |
Краны мачтовые стреловые | 0,4 | - | 1,8 | 0,4 | 0,9 | 0,36 | 0,15 | - | 1,17 | 15 | 1000 |
Краны на базе тракторов | 0,5 | - | 1,2 | 0,7 | 0,3 | 0,21 | 0,2 | 0,22 | 1,25 | 2 | 200 |
Краны стреловые переносные (типа "Пионер") | 0,4 | - | 1,2 | 0,28 | 0,2 | 0,056 | 0,1 | - | 1,17 | 8 | 1600 |
Лебедки электрические | 0,2 | - | 1,3 | 0,1 | 0,25 | 0,025 | 0,05 | - | 1,17 | 8 | 1600 |
Машины для очистки и разделки трещин | 0,6 | - | 1 | 0,63 | 0,5 | 0,32 | 0,42 | 0,19 | 1,2 | 3 | 1000 |
Машины для приготовления и распределения шлака | 0,6 | - | 1 | 0,63 | 0,7 | 0,44 | 0,42 | 0,22 | 1,3 | 10 | 2000 |
Машины для устранения неровностей | 0,6 | - | 1 | 0,63 | 0,7 | 0,44 | 0,42 | 0,22 | 1,2 | 5 | 1000 |
Машины для устройства полос уширения | 0,6 | - | 1 | 0,63 | 0,4 | 0,25 | 0,42 | 0,22 | 1,3 | 10 | 2000 |
Машины для укрепления откосов | 0,6 | - | 1 | 0,63 | 0,4 | 0,25 | 0,42 | 0,22 | 1,3 | 5 | 1000 |
Монтажные машины с шарнирной стрелой МШТС-2СТ на базе трактора мощностью до 55 кВт (75 л.с.) | 0,8 | - | 1,2 | 0,9 | 0,25 | 0,22 | 0,25 | 0,22 | 1,3 | 1 | 200 |
Насосы диафрагмовые с электроприводом производительностью до 25 м3/ч | 0,45 | - | 1 | 0,4 | 0,7 | 0,26 | 0,45 | - | 1,17 | 0,5 | 100 |
Насосы самовсасывающие центробежные с электроприводом | 0,45 | - | 1 | 0,45 | 0,8 | 0,36 | 0,45 | - | 1,17 | 0,5 | 200 |
Насосы самовсасывающие с приводом от двигателя внутреннего сгорания производительностью, м3/ч: | | | | | | | | | | | |
до 35 | 0,5 | - | 1 | 0,6 | 0,8 | 0,48 | 0,45 | 0,19 | 1,17 | 1 | 250 |
36 - 120 | 0,7 | - | 1,5 | 0,8 | 0,8 | 0,64 | 0,65 | 0,19 | 1,17 | 1,5 | 200 |
Оборудование для приготовления битумных эмульсий | 0,7 | - | 1 | 0,6 | 0,8 | 0,48 | 0,6 | 0,19 | 1,2 | 2 | 200 |
Планировщики | 0,75 | - | 1,2 | 0,9 | 0,4 | 0,36 | 0,5 | 0,19 | 1,39 | 1 | 1360 |
Погрузчики одноковшовые | 0,75 | - | 1,16 | 0,86 | 0,3 | 0,26 | 0,3 | 0,19 | 1,35 | 4 | 1000 |
Погрузчики многоковшовые | 0,5 | - | 1,3 | 0,8 | 0,35 | 0,28 | 0,2 | 0,19 | 1,35 | - | - |
Подъемники строительные мачтовые | 0,5 | - | 1,2 | 0,15 | 0,25 | 0,038 | 0,12 | - | 1,15 | 2 | 1000 |
Плитоукладчики для облицовки каналов сборным бетоном | 0,75 | - | 2 | 0,7 | 0,3 | 0,21 | 0,5 | 0,19 | 1,1 | 2 | 2400 |
Профилировщики основания (самоходные) производительностью до 48 м3/ч | 0,75 | - | 1,2 | 0,9 | 0,4 | 0,36 | 0,5 | 0,19 | 1,3 | 4 | 1000 |
Разгрузчики нерудных материалов | 0,2 | - | 2 | 0,75 | 0,5 | 0,38 | 0,2 | 0,22 | 1,25 | 3 | 2000 |
Разгрузчики и подъемники цемента пневматические | 0,3 | - | 2 | 0,3 | 0,9 | 0,27 | 0,2 | - | 1,1 | 2 | 2000 |
Распределители каменной мелочи | 0,4 | - | 1,3 | 0,48 | 0,4 | 0,19 | 0,28 | 0,20 | 1,3 | 10 | 2000 |
Растворонасосы производительностью 10 м3/ч | 0,3 | - | 1 | 0,3 | 0,6 | 0,18 | 0,55 | - | 1,25 | 1 | 240 |
Растворонасосы производительностью более 10 м3/ч | 0,6 | - | 1,3 | 0,6 | 0,5 | 0,30 | 0,4 | - | 1,25 | 2 | 500 |
Растворосмесители вместимостью, л: | | | | | | | | | | | |
до 800 | 0,5 | - | 1,3 | 0,2 | 0,4 | 0,08 | 0,25 | - | 1,25 | 2 | 500 |
800 - 1200 | 0,7 | - | 1,4 | 0,7 | 0,4 | 0,28 | 0,35 | - | 1,25 | 2 | 500 |
Рыхлители на базе гусеничных и колесных тракторов | 0,75 | - | 1,4 | 0,86 | 0,8 | 0,69 | 0,3 | 0,22 | 1,17 | 0,5 | 170 |
Сваебойное оборудование: | | | | | | | | | | | |
дизель-молоты | 0,82 | - | 1,3 | 0,82 | 0,3 | 0,25 | 0,5 | 0,19 | 1,15 | 0,5 | 100 |
копровые установки (без молота свайного) | 0,82 | - | 1,3 | 0,82 | 0,3 | 0,25 | 0,5 | 0,19 | 1,1 | 0,4 | 150 |
Скреперы прицепные | 0,8 | 1,1 | 1,25 | 0,92 | 0,8 | 0,74 | 0,55 | 0,19 | 1,35 | 2 | 500 |
Скреперы самоходные | 0,8 | 1,1 | 1,33 | 0,92 | 0,8 | 0,74 | 0,55 | 0,19 | 1,35 | 1,5 | 750 |
Снегоочистители шнекороторные | 0,75 | - | 1,23 | 0,77 | 0,6 | 0,46 | 0,5 | 0,22 | 1,35 | 0,5 | 100 |
Снегоочистители газоструйные | 0,75 | - | 1,23 | 0,77 | 0,85 | 0,65 | 0,5 | 0,22 | 1,35 | 0,5 | 100 |
Тракторы пневмоколесные Т-40 и Т-40А | 0,6 | - | 1,1 | 0,66 | 0,6 | 0,4 | - | 0,2 | 1,3 | 0,3 | 170 |
Тракторы "Беларусь" | 0,7 | - | 1,1 | 0,77 | 0,65 | 0,5 | - | 0,2 | 1,3 | 0,3 | 170 |
Тракторы Т-150 и Т-150К | 0,75 | - | 1,2 | 0,83 | 0,7 | 0,59 | - | 0,2 | 1,3 | 0,3 | 170 |
Тракторы К-700, К-701, К-702 | 0,8 | - | 1,2 | 0,9 | 0,7 | 0,63 | - | 0,2 | 1,3 | 0,3 | 300 |
Тракторы гусеничные: | | | | | | | | | | | |
Т-74, ДТ-75 | 0,7 | - | 1,1 | 0,8 | 0,7 | 0,56 | - | 0,2 | 1,3 | 0,5 | 170 |
Т-100М, Т-130 | 0,8 | - | 1,2 | 0,9 | 0,7 | 0,63 | - | 0,2 | 1,3 | 0,5 | 250 |
Т-4, Т-4М | 0,8 | - | 1,2 | 0,9 | 0,75 | 0,68 | - | 0,2 | 1,3 | 1 | 500 |
Т-140, Т-180, Т-180Г | 0,85 | - | 1,3 | 0,93 | 0,8 | 0,74 | - | 0,2 | 1,3 | 0,5 | 250 |
ДЭТ-250 и ДЭТ-250М | 0,9 | - | 1,5 | 0,95 | 0,8 | 0,76 | - | 0,2 | 1,3 | 1 | 500 |
Трамбующие машины и оборудование специальное уплотняющее | 0,4 | - | 1,5 | 0,42 | 0,37 | 0,11 | 0,3 | 0,19 | 1,27 | 2 | 500 |
Транспортеры | 0,82 | - | 2 | 0,82 | 0,6 | 0,49 | 0,35 | 1,17 | 1,2 | 1 | 300 |
Трубоочистные машины | 0,9 | - | 1,2 | 0,95 | 0,7 | 0,66 | - | 0,15 | 1,2 | 6 | 1200 |
Трубоизоляционные машины самоходные | 0,9 | - | 1,2 | 0,95 | 0,7 | 0,66 | - | 0,15 | 1,2 | 6 | 1200 |
Трубоукладчики гусеничные | 0,9 | - | 1,2 | 0,95 | 0,42 | 0,4 | 0,5 | 0,19 | 1,35 | 6 | 1200 |
Траншеезасыпатели | 0,9 | - | 1,2 | 0,95 | 0,42 | 0,4 | 0,5 | 0,19 | 1,35 | 6 | 1200 |
Фрезы дорожные | 0,7 | - | 1 | 0,6 | 0,6 | 0,36 | 0,5 | - | 1,3 | 10 | 2000 |
Экскаваторы одноковшовые с механическим приводом с ковшом вместимостью: | | | | | | | | | | | |
до 0,4 м3 | 0,75 | 1,24 | 1,35 | 0,86 | 0,6 | 0,52 | 0,37 | 0,22 | 1,35 | 1 | 140 |
св. 0,4 м3 | 0,78 | 1,24 | 1,5 | 0,9 | 0,5 | 0,45 | 0,4 | 0,22 | 1,35 | 1 | 140 |
Экскаваторы одноковшовые с гидравлическим приводом с ковшом вместимостью: | | | | | | | | | | | |
до 0,25 м3 | 0,75 | 1,24 | 1,35 | 0,86 | 0,6 | 0,52 | 0,37 | 0,22 | 1,35 | 0,3 | 140 |
св. 0,25 м3 | 0,78 | 1,24 | 1,5 | 0,9 | 0,5 | 0,45 | 0,4 | 0,22 | 1,35 | 1 | 240 |
Экскаваторы многоковшовые: | | | | | | | | | | | |
траншейные цепные | 0,75 | 1,24 | 1,5 | 0,83 | 0,6 | 0,5 | 0,4 | 0,22 | 1,4 | 1 | 150 |
траншейные роторные | 0,8 | 1,24 | 1,15 | 0,88 | 0,5 | 0,44 | 0,5 | 0,22 | 1,4 | 1 | 550 |
Элеваторы | 0,7 | - | 1,2 | 0,7 | 0,9 | 0,63 | 0,3 | - | 1,17 | 4 | 1500 |
Электросварочное оборудование | 0,7 | - | 1,45 | 0,8 | 0,6 | 0,48 | 0,5 | 0,22 | 1,25 | 1 | 200 |
II. Автотранспортные средства |
Автобетоновозы | 0,8 | - | 1,4 | 0,82 | 0,5 | 0,41 | 0,4 | 0,22 | 1,3 | - | - |
Авторастворовозы | 0,8 | - | 1,4 | 0,82 | 0,5 | 0,41 | 0,4 | 0,22 | 1,3 | - | - |
Автоцементовозы | 0,8 | - | 1,4 | 0,82 | 0,5 | 0,41 | 0,4 | 0,22 | 1,3 | - | - |
Цементовозы-распределители | 0,82 | - | 1 | 0,7 | 0,4 | 0,28 | 0,55 | 0,22 | 1,3 | - | - |
Примечание. В показателях коэффициентов, выраженных дробным числом, над чертой дан коэффициент для двигателя автомобиля, под чертой - для двигателя рабочего оборудования.
Таблица 6
Средние величины коэффициентов, используемых в расчетах
экономического эффекта средств малой механизации
Средства механизации | Внутрисменного использования Кв | Сменности Ксм | Коэффициент |
Использования двигателя по | перехода от |
времени Кдв | мощности Кдм | мото-ч к маш.-ч Кч | технической производительности к эксплуатационной Кт | капитальных затрат к годовым затратам на текущие ремонты и ТО Ктр |
Агрегаты для окраски фасадов здания | 0,4 | 1 | 0,4 | 0,5 | 0,2 | 0,4 | 0,1 |
Агрегаты для перекачки битумных мастик | 0,75 | 1 | 0,75 | 0,9 | 0,68 | 0,5 | 0,04 |
Агрегаты штукатурные | 0,4 | 1 | 0,4 | 0,7 | 0,28 | 0,5 | 0,1 |
Агрегаты шпаклевочные | 0,45 | 1 | 0,45 | 0,7 | 0,32 | 0,6 | 0,11 |
Аппараты для окраски фасадов зданий | 0,4 | 1 | 0,6 | 0,7 | 0,42 | 0,4 | 0,15 |
Баки красконагнетательные | 0,4 | 1 | - | - | - | 0,45 | 0,15 |
Вибросита | 0,5 | 1 | 0,5 | 0,8 | 0,40 | 0,55 | 0,12 |
Виброрейки | 0,75 | 1 | 0,75 | 0,8 | 0,60 | 0,65 | 0,06 |
Диспергаторы | 0,3 | 1 | 0,3 | 0,7 | 0,21 | 0,55 | 0,18 |
Катки для прикатки линолеума | 0,3 | 1 | - | - | - | 0,65 | 0,1 |
Клееварки | 0,4 | 1 | 0,4 | 0,5 | 0,20 | 0,45 | 0,04 |
Краскотерки | 0,8 | 1 | 0,45 | 0,7 | 0,32 | 0,5 | 0,06 |
Машины для наклейки наплавленного рубероида | 0,75 | 1 | 0,75 | 0,8 | 0,6 | 0,65 | 0,02 |
Машины для нанесения полимерных мастик | 0,6 | 1 | 0,6 | 0,7 | 0,42 | 0,5 | 0,02 |
Машины для нанесения битумных мастик | 0,75 | 1 | 0,75 | 0,7 | 0,53 | 0,5 | 0,08 |
Машины для нанесения битумных эмульсий | 0,75 | 1 | 0,75 | 0,9 | 0,68 | 0,55 | 0,02 |
Машины для очистки и перемотки рулонных материалов | 0,75 | 1 | 0,75 | 0,7 | 0,53 | 0,65 | 0,02 |
Машины для приготовления и подачи жестких растворов | 0,7 | 1 | 0,7 | 0,8 | 0,56 | 0,5 | 0,06 |
Машины для приготовления и нанесения гипсовых растворов | 0,4 | 1 | 0,4 | 0,6 | 0,24 | 0,5 | 0,06 |
Машины для приклейки пленочных покрытий | 0,75 | 1 | 0,75 | 0,7 | 0,53 | 0,65 | 0,03 |
Машины для раскатки и приклейки рулонных материалов | 0,4 | 1 | 0,4 | 0,7 | 0,28 | 0,4 | 0,08 |
Машины для устройства стяжек | 0,7 | 1 | 0,7 | 0,4 | 0,28 | 0,5 | 0,005 |
Машины для сушки основания кровли | 0,6 | 1 | 0,6 | 0,6 | 0,36 | 0,4 | 0,11 |
Машины самоходные шарико-захватные для исследования бетонных полов | 0,5 | 1 | 0,5 | 0,6 | 0,30 | 0,55 | 0,02 |
Машины самоходные для укладки, выравнивания и уплотнения бетона | 0,4 | 1 | 0,4 | 0,7 | 0,28 | 0,55 | 0,03 |
Машины для уборки шлака | 0,5 | 1 | 0,5 | 0,4 | 0,2 | 0,55 | 0,02 |
Машины для удаления воды с основания кровли | 0,3 | 1 | 0,3 | 0,5 | 0,15 | 0,3 | 0,08 |
Машины для устройства защитного слоя | 0,5 | 1 | 0,5 | 0,6 | 0,3 | 0,4 | 0,08 |
Мелотерки | 0,2 | 1 | 0,2 | 0,8 | 0,16 | 0,5 | 0,1 |
Мешалки для красочных составов | 0,45 | 1 | 0,45 | 0,7 | 0,32 | 0,6 | 0,06 |
Преобразователи частоты | В зависимости от комплектации машин | - | 0,3 |
Приспособление для устройства полов из керамических плиток | 0,2 | 1 | - | - | - | 0,65 | 0,05 |
Растворосмесители передвижные | 0,4 | 1 | 0,4 | 0,7 | 0,28 | 0,55 | 0,11 |
Смесители малярных колеров | 0,6 | 1 | 0,6 | 0,7 | 0,42 | 0,55 | 0,02 |
Станки для сверления алмазными сверлами | 0,1 | 1 | - | - | - | 0,45 | 0,15 |
Станки заточные | 0,2 | 1 | - | - | - | 0,7 | 0,25 |
Станции штукатурные | 0,6 | 1 | 0,6 | 0,5 | 0,3 | 0,5 | 0,1 |
Станки для резки паркетных клепок | 0,24 | 1 | 0,65 | 0,8 | 0,52 | 0,65 | 0,2 |
Станции передвижные для устройства наливных полимерцементных полов | 0,65 | 1 | 0,65 | 0,6 | 0,39 | 0,45 | 0,02 |
Станция малярная | 0,5 | 1 | 0,5 | 0,7 | 0,35 | 0,45 | 0,1 |
Установка для нанесения жидкой шпаклевки | 0,65 | 1 | 0,65 | - | - | 0,45 | 0,15 |
Установки компрессорные для малярных работ | 0,7 | 1 | 0,7 | 0,6 | 0,42 | 0,55 | 0,3 |
Установки для подачи и нанесения битумных эмульсий | 0,75 | 1 | 0,75 | 0,9 | 0,68 | 0,55 | 0,03 |
Установки для подачи и нанесения полимерных мастик | 0,6 | 1 | 0,6 | 0,7 | 0,42 | 0,5 | 0,02 |
Устройство для приклейки рулонных материалов в местах примыкания | 0,15 | 1 | - | - | - | 0,55 | 0,03 |
Устройство для разогрева рубероида | 0,25 | 1 | 0,25 | 0,8 | 0,2 | 0,5 | 0,08 |
Устройство для хранения, подогрева и подачи мастик на кровлю | 0,75 | 1 | 0,75 | 0,5 | 0,38 | 0,5 | 0,02 |
Устройства загрузочные для растворонасосов | 0,4 | 1 | 0,4 | 0,7 | 0,28 | 0,45 | 0,1 |
Примечание. Средняя продолжительность одной перебазировки Тп для средств малой механизации принимается 1 дн., а продолжительность работы на объекте Тоб - 240 маш.-ч.
Таблица 7
Показатели по БТ, используемые в расчетах
экономической эффективности механизированного инструмента
Наименование машин | Коэффициент, учитывающий долю чистого машинного времени в течение смены, Ктн | Коэффициент сменности Ксм | Вспомогательное время, приходящееся: | Коэффициент перехода от балансовой стоимости к затратам на ТО и ТР Ктр |
на 1 ч работы (коэффициент) | на 1 цикл, сек |
Бороздоделы | 0,1 | 1,2 | 1,1 | - | 0,2 |
Гайковерты нереверсивные и реверсивные, Н: | | | | | |
до 200 | 0,02 | 1,55 | - | 60 | 0,25 |
св. 200 | 0,02 | 1,55 | - | 60 | 0,25 |
Долбежники | 0,12 | 1,2 | - | 40 | 0,25 |
Краскопульты электрические | 0,55 | 1 | 1,15 | - | 0,25 |
Краскораспылители | 0,4 | 1 | 1,15 | - | 0,15 |
Кромкорезы | 0,04 | 1,2 | 1,5 | - | 0,25 |
Лобзики | 0,05 | 1,2 | 1,5 | - | 0,25 |
Ломы электрические | 0,12 | 1,2 | 1,1 | - | 0,3 |
Ломы пневматические | 0,12 | 1,2 | 1,2 | - | 0,25 |
Молотки с энергией удара, Дж: | | | | | |
до 2,5 | 0,12 | 1,3 | 1,2 | - | 0,3 |
" 4 | 0,1 | 1,3 | 1,25 | - | 0,3 |
св. 4 | 0,08 | 1,3 | 1,25 | - | 0,3 |
Мотобетоноломы | 0,1 | 1,3 | 1,3 | - | 0,3 |
Ножницы для резки листового металла | 0,05 | 1,2 | 2 | - | 0,25 |
Паркетно-шлифовальные машины | 0,3 | 1 | 1,05 | - | 0,2 |
Перфораторы | 0,1 | 1,3 | - | 50 | 0,3 |
Пилы дисковые | 0,1 | 1,2 | 1,1 | - | 0,2 |
Пистолеты для забивки скоб | 0,03 | 1 | - | 15 | 0,05 |
Пневмопробойники | 0,15 | 1,1 | 1,15 | - | 0,2 |
Пневмошприцы | 0,1 | 1,4 | 2 | - | 0,15 |
Промазчики | 0,15 | 1 | 2 | - | 0,11 |
Резьбонарезные машины | 0,1 | 1,2 | 1,4 | - | 0,2 |
Рубанки электрические | 0,12 | 1,2 | 8 | - | 0,2 |
Развальцовочные машины | 0,1 | 1,1 | 1,15 | - | 0,25 |
Сверлильные машины одно- и двухскоростные диаметром, мм: | | | | | |
до 9 | 0,12 | 1,3 | - | 15 | 0,2 |
до 14 | 0,12 | 1,3 | - | 20 | 0,2 |
св. 14 | 0,08 | 1,3 | - | 30 | 0,2 |
Сверлильные машины ударно-вращательного действия диаметром, мм: | | | | | |
до 9 | 0,1 | 1,3 | - | 15 | 0,25 |
до 14 мм | 0,1 | 1,3 | - | 20 | 0,25 |
св. 14 мм | 0,1 | 1,3 | - | 30 | 0,25 |
Трамбовки массой, кг: | | | | | |
до 30 | 0,2 | 1,2 | 1,15 | - | 0,3 |
св. 30 | 0,2 | 1,2 | 1,2 | - | 0,3 |
Шлифовальные машины для мозаичных полов | 0,5 | 1 | 1,05 | - | 0,1 |
Шлифовальные машины для шпаклевки | 0,4 | 1 | 1,05 | - | 0,2 |
Шлифовальные машины с диаметром круга до 100 мм | 0,2 | 1,2 | 1 | - | 0,25 |
Шпильковерты | 0,04 | 1,2 | - | 15 | 0,25 |
Штукатурно-затирочные машины | 0,5 | 1 | 1,15 | - | 0,2 |
Шуруповерты | 0,04 | 1,2 | - | 10 | 0,2 |
Щетки | 0,2 | 1,1 | 1,05 | - | 0,25 |
Таблица 8
Годовой фонд рабочего времени техники Ф <*>, дни
--------------------------------
<*> Показатель включает продолжительность выполнения технологических процессов, нахождения в перебазировке, техническом обслуживании, ремонте.
Наименование машин | В северной зоне | В южной зоне | В целом по СССР |
Экскаваторы одноковшовые, бульдозеры, погрузчики, компрессоры передвижные, вибромашины, транспортеры (конвейеры), дробилки | 238 | 255 | 247 |
Экскаваторы многоковшовые, скреперы, автогрейдеры (на земляных работах), снегоочистители, машины землеройно-фрезерные | 120 | 254 | 200 |
Машины для ремонта и содержания дорожных покрытий, для уплотнения дорожных покрытий, машины и оборудование для строительства и реконструкции дорожных и аэродромных покрытий, для скоростного строительства автомобильных дорог, для приготовления бетонных смесей | 130 | 256 | 220 |
Краны стреловые, трубоукладчики, машины для свайных работ | 238 | 255 | 247 |
Краны башенные | 234 | 249 | 233 |
Машины ручные | - | - | 250 |
Машины строительно-отделочные, работающие: | | | |
в помещении | - | - | 225 |
вне помещения | - | - | 210 |
Машины для производства кровельных работ | - | - | 200 |
Таблица 9
Средние значения продолжительности смены в зависимости
от величины коэффициента сменности
(для пятидневной рабочей недели)
Ксм | tсм | |
1 | 8 | 0,125 |
1,05 | 7,95 | 0,12 |
1,1 | 7,91 | 0,115 |
1,15 | 7,87 | 0,11 |
1,2 | 7,83 | 0,106 |
1,25 | 7,8 | 0,103 |
1,3 | 7,77 | 0,099 |
1,35 | 7,74 | 0,096 |
1,4 | 7,71 | 0,093 |
1,45 | 7,69 | 0,09 |
1,5 | 7,67 | 0,087 |
1,55 | 7,65 | 0,084 |
1,6 | 7,63 | 0,082 |
1,65 | 7,61 | 0,08 |
1,7 | 7,59 | 0,078 |
1,75 | 7,57 | 0,075 |
1,8 | 7,56 | 0,074 |
1,85 | 7,54 | 0,072 |
1,9 | 7,53 | 0,07 |
1,95 | 7,51 | 0,068 |
2 | 7,5 | 0,067 |
2,05 | 7,49 | 0,065 |
2,1 | 7,48 | 0,064 |
2,15 | 7,465 | 0,062 |
2,2 | 7,455 | 0,061 |
2,25 | 7,444 | 0,06 |
2,3 | 7,435 | 0,058 |
2,35 | 7,426 | 0,057 |
2,4 | 7,417 | 0,056 |
2,45 | 7,408 | 0,055 |
2,5 | 7,4 | 0,054 |
2,55 | 7,39 | 0,053 |
2,6 | 7,385 | 0,052 |
2,65 | 7,377 | 0,051 |
2,7 | 7,37 | 0,05 |
2,75 | 7,264 | 0,049 |
2,8 | 7,357 | 0,0486 |
2,85 | 7,351 | 0,0477 |
2,9 | 7,345 | 0,047 |
2,95 | 7,34 | 0,0462 |
3 | 7,333 | 0,0455 |
Таблица 10
Удельный вес в долях единицы применения землеройных машин
на выполнении различных видов работ yj <*>
--------------------------------
<*> Для машин, не указанных в таблице,
yj = 1.
Виды машин | Виды работ |
земляные и карьерные | монтажные | вертикальный транспорт и погрузочно-разгрузочные работы | забивка свай | разрушение старых зданий и сооружений | |
Экскаваторы одноковшовые с ковшом вместимостью, м3: | | | | | | |
до 0,49 | 0,95 | - | - | - | 0,03 | 0,02 |
0,5 - 0,99 | 0,85 | 0,06 | 0,02 | 0,01 | 0,04 | 0,02 |
1 - 2,5 | 0,85 | 0,09 | 0,03 | 0,01 | 0,01 | 0,01 |
2,6 - 4 | 1 | - | - | - | - | - |
Тракторы с навесным экскаваторным оборудованием | 0,5 | - | - | - | 0,05 | 0,45 |
Бульдозеры с двигателем, кВт (л.с.): | | | | | | |
до 110,3 (150) | 0,4 | - | - | - | 0,05 | 0,55 |
св. 110,3 (150) | 0,8 | - | - | - | 0,1 | 0,1 |
Автогрейдеры | 0,6 | - | - | - | - | 0,4 |
Погрузчики одноковшовые грузоподъемностью, т: | | | | | | |
до 3 | 0,05 | - | 0,05 | - | - | 0,9 |
св. 3 | 0,85 | - | 0,15 | - | - | - |
--------------------------------
<**> Установка бордюрного камня, разравнивание бетонной смеси, очистка габаритов железных дорог, очистка автодорог и проездов от снега и грязи, уход за временными дорогами, очистка строительных площадок от мусора, подача инертных материалов к загрузочным устройствам установок по приготовлению бетона и раствора, перемещение оборудования, материалов и изделий на строительных площадках, корчевка пней, срезка кустарника, бурение скважин, использование со специальными видами оборудования и т.д.
Таблица 11
Среднечасовая эксплуатационная производительность
стреловых и башенных кранов (для БТ)
Краны | Среднечасовая эксплуатационная производительность (над чертой) и доля занятости кранов по времени (под чертой) при выполнении, т/ч |
погрузочно-разгрузочных работ | вертикального транспорта | монтажа строительных конструкций и оборудования |
Автомобильные грузоподъемностью, т: | | | |
до 6,3 | 5,7 ------ 0,92 | 3,3 ------ 0,03 | 1,9 ------ 0,05 |
" 9 | 5,7 ------ 0,8 | 3,4 ------ 0,08 | 1,9 ------ 0,12 |
св. 9 | 5,7 ------ 0,7 | 3,4 ------ 0,1 | 1,9 ------ 0,2 |
Гусеничные грузоподъемностью, т: | | | |
до 25 | 5,7 ------ 0,2 | 3,8 ------ 0,1 | 2,3 ------ 0,7 |
" 40 | 5,7 ------ 0,12 | 3,8 ------ 0,1 | 2,3 ------ 0,78 |
св. 40 | 5,7 ------ 0,1 | 3,8 ------ 0,1 | 2,3 ------ 0,8 |
Пневмоколесные грузоподъемностью, т: | | | |
до 25 | 5,7 ------ 0,2 | 3,8 ------ 0,15 | 2,3 ------ 0,65 |
" 40 | 5,7 ------ 0,1 | 3,8 ------ 0,1 | 2,3 ------ 0,8 |
св. 40 | 5,7 ------ 0,1 | 3,8 ------ 0,1 | 2,5 ------ 0,8 |
На специальном шасси автомобильного типа грузоподъемностью, т: | | | |
до 25 | 5,7 ------ 0,4 | 3,8 ------ 0,2 | 2,3 ------ 0,40 |
" 40 | 5,7 ------ 0,3 | 3,8 ------ 0,2 | 2,3 ------ 0,5 |
св. 40 | 5,7 ------ 0,2 | 3,8 ------ 0,25 | 2,5 ------ 0,55 |
Башенные | | | |
грузоподъемность, т | высота подъема крюка, м | | | |
до 5 | до 40 | 5,7 ------ 0,35 | 4,6 ------ 0,35 | 2,6 ------ 0,3 |
" 10 | " 70 | 5,7 ------ 0,25 | 4,6 ------ 0,25 | 2,6 ------ 0,5 |
" 10 | " 100 | 5,7 ------ 0,1 | 4,6 ------ 0,25 | 2,6 ------ 0,65 |
св. 10 | св. 100 | 5,7 ------ 0,05 | 4,6 ------ 0,25 | 2,6 ------ 0,7 |
Таблица 12
Коэффициент Кц для определения допустимой цены НТ
Группировка норм амортизации строительных машин, % | Средние величины коэффициента |
6 - 9 | 0,63 |
9,01 - 13,5 | 0,67 |
13,51 - 20,25 | 0,71 |
20,26 - 30,37 | 0,76 |
30,38 - 50 | 0,81 |
Таблица 13
Часовые тарифные ставки машинистов и их помощников, нормы
амортизации, затраты рабочего времени, труда и часовые
ставки среднего разряда работы рабочих на выполнении
технического обслуживания и ремонта машин
Наименование машин | Часовая тарифная ставка, руб. | Амортизационные отчисления | Нормативный срок службы Тнс, лет | Простои во всех видах обслуживания и ремонте БТ,  | Трудоемкость текущих ремонтов и технических обслуживаний БТ,  | Часовая ставка среднего разряда работы машин по ТО и ТР, руб. |
машиниста | | шифр | |
1 | 2 | 3 | 4 | 5 | 6 | 7 | | 9 |
Основные строительные машины |
Автогрейдеры: |
легкого типа | 0,702 | - | 41 823 | 12,0/6,1 | 8 | 0,0095 | 0,1454 | 0,755 |
среднего типа | 0,702 | - | 41 823 | 12,0/6,1 | 8 | 0,0104 | 0,1795 | 0,755 |
тяжелого типа | 0,790 | - | 41 824 | 9,6/4,0 | 10 | 0,0127 | 0,2165 | 0,755 |
Автопогрузчики грузоподъемностью, т: | | | | | | | | |
до 2 | 0,625 | - | 41 741 | 16,0/9,6 | 6 | 0,0041 | 0,0343 | 0,755 |
3 - 5 | 0,625 | - | 41 741 | 16,0/9,6 | 6 | 0,0045 | 0,0525 | 0,755 |
св. 5 | 0,625 | - | 41 741 | 16,0/9,6 | 6 | 0,0054 | 0,0801 | 0,755 |
Асфальтоукладчики самоходные | 0,702 | - | 42 102 | 12,0/7,0 | 8 | 0,0085 | 0,1902 | 0,755 |
Бетононасосы: | | | | | | | | |
передвижные | 0,625 | - | 42 002 | 15,3/6,3 | 6 | 0,0058 | 0,0103 | 0,755 |
стационарные | 0,625 | - | 42 002 | 15,3/6,3 | 6 | 0,0060 | 0,0140 | 0,679 |
Бетоносмесители передвижные вместимостью, л: | | | | | | | | |
165 | 0,555 | - | 42 001 | 11,0/9,8 | 8 | 0,0038 | 0,0073 | 0,679 |
350 | 0,555 | - | 42 001 | 11,0/9,8 | 8 | 0,0039 | 0,0092 | 0,679 |
500 | 0,625 | - | 42 001 | 11,0/9,8 | 8 | 0,0043 | 0,0126 | 0,679 |
800 - 1000 | 0,625 | - | 42 001 | 11,0/9,8 | 8 | 0,0051 | 0,0185 | 0,679 |
1600 - 2000 | 0,702 | - | 42 001 | 11,0/9,8 | 8 | 0,0056 | 0,0236 | 0,679 |
3000 | 0,702 | - | 42 001 | 11,0/9,8 | 8 | 0,0060 | 0,0262 | 0,679 |
Бетоносмесители стационарные вместимостью, л: | | | | | | | | |
до 500 | 0,625 | - | 42 003 | 12,0/13,3 | 8 | 0,0046 | 0,0135 | 0,679 |
800 - 1000 | 0,625 | - | 42 003 | 12,0/13,3 | 8 | 0,0059 | 0,0212 | 0,679 |
1600 - 2000 | 0,702 | - | 42 003 | 12,0/13,3 | 8 | 0,0060 | 0,0250 | 0,679 |
3000 | 0,702 | - | 42 003 | 12,0/13,3 | 8 | 0,0064 | 0,0276 | 0,679 |
Бетоносмесительные установки с комплектом всех необходимых машин и оборудования: | | | | | | | | |
стационарные | 0,702 | - | 42 003 | 12,0/13,3 | 8 | 0,0063 | 0,0276 | 0,679 |
передвижные | 0,702 | - | 42 001 | 11,0/9,8 | 9 | 0,0059 | 0,0262 | 0,679 |
Бетоноотделочные машины | 0,790 | - | 42 003 | 12,0/13,3 | 8 | 0,0062 | 0,0526 | 0,679 |
Бетоноукладочные машины | 0,790 | - | 42 003 | 12,0/13,3 | 8 | 0,0074 | 0,1148 | 0,679 |
Битумоплавильные установки (УБ, УБК-81) | 0,790 | - | 42 103 | 32,0/- | 3 | 0,0257 | 0,4122 | 0,679 |
Бульдозеры на базе пневмоколесного трактора 1,4 т ("Беларусь") | 0,625 | - | 41 830 | 13,7/16,0 | 7 | 0,0059 | 0,0812 | 0,755 |
Бульдозеры на базе гусеничного трактора класса: | | | | | | | | |
3Т (Т-74, Т-35, ДТ-75) | 0,702 | - | 41 830 | 13,7/16,0 | 7 | 0,0103 | 0,1808 | 0,755 |
4Т (Т-4, Т-4М) | 0,702 | - | 41 831 | 12,0/14,0 | 8 | 0,0125 | 0,2253 | 0,755 |
10Т (Т-130) | 0,702 | - | 41 832 | 12,0/10,6 | 8 | 0,0115 | 0,2175 | 0,755 |
15Т (Т-140, Т-180) | 0,790 | - | 41 832 | 12,0/10,6 | 8 | 0,0134 | 0,3136 | 0,755 |
25Т (ДЭТ-250, ДЭТ-250М) | 0,893 | - | 41 833 | 10,6/10,0 | 9 | 0,0191 | 0,5642 | 0,755 |
Бурильно-крановые машины на базе трактора класса: | | | | | | | | |
3 т | 0,702 | - | 43 416 | 12,0/4,0 | 8 | 0,0079 | 0,1267 | 0,755 |
10 т | 0,702 | - | 43 416 | 12,0/4,0 | 8 | 0,0086 | 0,1595 | 0,755 |
Бурильно-крановые машины на базе автомобиля: | | | | | | | | |
ГАЗ | 0,702 | - | 43 416 | 12,0/4,0 | 8 | 0,0084 | 0,1069 | 0,755 |
ЗИЛ | 0,702 | - | 43 416 | 12,0/4,0 | 8 | 0,0087 | 0,1294 | 0,755 |
КрАЗ | 0,702 | - | 43 416 | 12,0/4,0 | 8 | 0,0101 | 0,1663 | 0,755 |
Вибраторы общего назначения | | | 60 000 | 50/- | 2 | - | - | 0,625 |
Вибраторы глубинные | | | 60 000 | 50/- | 2 | - | - | 0,625 |
Вибропитатели | | | 42 607 | 9,8/7,0 | 10 | - | - | 0,625 |
Виброплиты | | | 44 175 | 19,4/10,1 | 5 | - | - | 0,625 |
Виброплощадки | | | 44 175 | 19,4/10,1 | 5 | - | - | 0,625 |
Грейдер-элеваторы с двигателем мощностью, кВт (л.с.): | | | | | | | | |
до 132,4 (180) | 0,702 | - | 41 826 | 12,0/6,0 | 8 | 0,0134 | 0,3135 | 0,720 |
св. 132,4 (180) | 0,702 | - | 41 827 | 9,6/4,0 | 10 | 0,0134 | 0,3135 | 0,720 |
Грохоты инерционные: | | | | | | | | |
легкие | 0,493 | - | 42 600 | 12,2/7,0 | 8 | 0,0036 | 0,0041 | 0,625 |
средние | 0,493 | - | 42 600 | 12,2/7,0 | 8 | 0,0039 | 0,0081 | 0,625 |
тяжелые | 0,555 | - | 42 600 | 12,2/7,0 | 8 | 0,0046 | 0,0144 | 0,625 |
Грунтосмесительные однопроходные машины | 0,790 | 1 ------- 0,702 | 42 110 | 16,0/8,3 | 6 | 0,0098 | 0,2277 | 0,625 |
Дозаторы непрерывного действия и цикличные Дробилки щековые с размером загрузочного отверстия, мм: | 0,493 | - | 43 279 | 16,3/12,0 | 6 | - | - | 0,755 |
160 x 250, 250 x 240 мм | 0,493 | - | 42 602 | 8,2/6,4 | 10 | 0,0040 | 0,0104 | 0,625 |
600 x 400, 250 x 900, 600 x 900, 400 x 900 | 0,493 | - | 42 602 | 8,2/6,4 | 10 | 0,0040 | 0,0134 | 0,625 |
900 x 1200 | 0,493 | - | 42 602 | 8,2/6,4 | 10 | 0,0040 | 0,0219 | 0,625 |
1200 x 1500 | 0,555 | - | 42 602 | 8,2/6,4 | 10 | 0,0040 | 0,0221 | 0,625 |
1500 x 2100 | 0,555 | - | 42 602 | 8,2/6,4 | 10 | 0,0045 | 0,0296 | 0,625 |
2100 x 2500 | 0,555 | - | 42 602 | 8,2/6,4 | 10 | 0,0050 | 0,0437 | 0,625 |
Дробильно-сортировочные установки передвижные до 10 м3/ч | 0,625 | 1 ------- 0,555 | 42 603 | 9,8/7,8 | 10 | 0,0051 | 0,0585 | 0,755 |
Землесосные снаряды производительностью, м3/ч: | | | | | | | | |
до 50 | 0,790 | 1 ------- 0,702 | 41 901 | 10,0/9,0 | 9 | 0,0100 | 0,0734 | 0,755 |
до 100 | 0,790 | 1 ------- 0,702 | 41 902 | 6,5/9,5 | 14 | 0,0085 | 0,0850 | 0,755 |
св. 100 | 0,790 | 1 ------- 0,702 | 41 902 | 6,5/9,5 | 14 | 0,0099 | 0,1248 | 0,755 |
Землеройно-фрезерные машины | 0,790 | - | 41 819 | 16,0/8,0 | 5 | 0,0786 | 0,1483 | 0,755 |
Катки прицепные, легкие кулачковые, статические с тракторами класса 3 т (Т-74, ДТ-75) | 0,625 | - | 42 105 | 12,0/3,0 | 8 | 0,0094 | 0,1644 | 0,720 |
Катки средние с тракторами класса 10 т (Т-100М и Т-130) | 0,702 | - | 42 105 | 12,0/3,0 | 8 | 0,0104 | 0,1965 | 0,720 |
Катки тяжелые с тракторами класса 15 т (Т-180) | 0,702 | - | 42 105 | 12,0/3,0 | 8 | 0,0116 | 0,2908 | 0,720 |
Катки легкие, прицепные, на пневматических шинах, статические с тракторами класса 3 т (Т-74, ДТ-75) | 0,625 | - | 42 105 | 12,0/3,0 | 8 | 0,0095 | 0,1692 | 0720 |
Катки средние с тракторами класса 10 т (Т-100М и Т-130) | 0,702 | - | 42 105 | 12,0/3,0 | 8 | 0,0109 | 0,2062 | 0,720 |
Катки полуприцепные на пневматических шинах, статические с одноосным тягачом марки: | | | | | | | | |
МоАЗ-546 | 0,702 | - | 42 165 | 12,0/3,0 | 8 | 0,0089 | 0,1152 | 0,720 |
БелАЗ-531 | 0,702 | - | 42 105 | 12,0/3,0 | 8 | 0,0094 | 0,1464 | 0,720 |
Катки самоходные: | | | | | | | | |
средние, с гладкими вальцами, статические, массой (без балласта) до 6 т | 0,702 | - | 42 104 | 16,0/5,9 | 6 | 0,0071 | 0,0800 | 0,720 |
тяжелые, массой 10 - 15 т | 0,702 | - | 42 104 | 16,0/5,9 | 6 | 0,0078 | 0,0864 | 0,720 |
легкие, с гладкими вальцами, вибрационные, массой (без балласта) до 2 т | 0,625 | - | 42 104 | 16,0/5,9 | 6 | 0,0072 | 0,0390 | 0,720 |
средние, массой 6 т | 0,702 | - | 42 104 | 16,0/5,9 | 6 | 0,0078 | 0,0550 | 0,720 |
Катки прицепные, вибрационные, с гладкими вальцами и кулачковые с тракторами класса 10 т | 0,702 | - | 42 106 | 10,7/6,2 | 9 | 0,0111 | 0,2220 | 0,720 |
Канавокопатели плужные и фрезерные | 0,702 | - | 41 829 | 16,0/3,5 | 6 | 0,0116 | 0,461 | 0,625 -------- 0,755 |
Каналоочистители Комплекты машин для облицовки каналов монолитным бетоном глубиной, м: | 0,702 | - | 41 822 | 12,0/12,0 | 8 | 0,01082 | 0,1919 | 0,755 |
до 1,5 | 0,790 | 1 -------- 0,702 | 42 005 | 19,2/4,0 | 5 | 0,0101 | 0,1604 | 0,755 |
св. 1,5 до 3 | 0,790 | 1 -------- 0,702 | 42 005 | 19,2/4,0 | 5 | 0,0086 | 0,137 | 0,755 |
св. 3 | 0,790 | 1 -------- 0,702 | 42 005 | 19,2/4,0 | 5 | 0,0086 | 0,137 | 0,755 |
Компрессоры передвижные с электроприводом производительностью, м3/мин: | | | | | | | | |
0,25 - 0,5 | 0,555 | - | 41 404 | 13,9/5,3 | 7 | 0,0175 | 0,0276 | 0,720 |
1,2 | 0,555 | - | 41 404 | 13,9/5,3 | 7 | 0,0125 | 0,0362 | 0,720 |
3 - 5 | 0,555 | - | 41 404 | 13,9/5,3 | 7 | 0,0087 | 0,0508 | 0,720 |
Компрессоры передвижные с приводом от двигателя внутреннего сгорания, производительностью, м3/мин: | | | | | | | | |
5 - 6 | 0,625 | - | 41 404 | 13,9/5,3 | 7 | 0,0101 | 0,0823 | 0,720 |
7 - 9 | 0,625 | - | 41 404 | 13,9/5,3 | 7 | 0,0113 | 0,1100 | 0,720 |
Компрессоры стационарные с электроприводом производительностью 3 - 5 м3/мин | 0,493 | - | 41 404 | 13,9/5,3 | 7 | 0,0084 | 0,0580 | 0,720 |
Компрессорные станции типа УКП-20 и УКП-80 | | | 41 404 | 13,9/5,3 | 7 | 0,0192 | 0,7368 | 0,720 |
Котлованокопатели (типа ВК, БМ, МКТС) | 0,790 | - | 41 821 | 12,0/11,0 | 8 | 0,0116 | 0,3050 | 0,755 |
Копровые установки (без молота свайного) | 0,702 | 2 -------- 0,555 | 42 204 | 8,2/10,0 | 12 | 0,0038 | 0,0225 | 0,625 |
Корчеватели навесные на базе тракторов класса, т: | | | | | | | | |
3 | 0,702 | - | 41 842 | 16,0/5,8 | 6 | 0,0076 | 0,1326 | 0,625 |
10 | 0,702 | - | 41 842 | 16,0/5,8 | 6 | 0,0082 | 0,1506 | 0,625 |
15 | 0,790 | - | 41 842 | 16,0/5,8 | 6 | 0,0095 | 0,2220 | 0,625 |
Кусторезы навесные на базе тракторов класса, т: | | | | | | | | |
3 | 0,702 | - | 41 842 | 16,0/5,8 | 6 | 0,0076 | 0,1326 | 0,625 |
10 | 0,790 | - | 41 842 | 16,0/5,8 | | 0,0101 | 0,1506 | 0,625 |
Краны автомобильные стреловые грузоподъемностью, т: | | | | | | | | |
4 | 0,702 | - | 41 715 | 9,0/6,5 | 10 | 0,0051 | 0,1144 | 0,755 |
6,3 | 0,790 | - | 41 715 | 9,0/6,5 | 10 | 0,0055 | 0,1328 | 0,755 |
10 | 0,790 | - | 41 715 | 9,0/6,5 | 10 | 0,0067 | 0,1615 | 0,755 |
16 | 0,790 | - | 41 715 | 9,0/6,5 | 10 | 0,0079 | 0,2200 | 0,755 |
Краны башенные с грузовым моментом, тм, до: | | | | | | | | |
25 | 0,702 | - | 41 700 | 9,6/2,3 | 10 | 0,0076 | 0,1126 | 0,720 |
60 | 0,702 | - | 41 700 | 9,6/2,3 | 10 | 0,0077 | 0,1156 | 0,720 |
100 | 0,702 | - | 41 700 | 9,6/2,3 | 10 | 0,0079 | 0,1232 | 0,720 |
160 | 0,702 | - | 41 700 | 9,6/2,3 | 10 | 0,0084 | 0,1382 | 0,720 |
250 | 0,893 | - | 41 701 | 6,0/2,6 | 16 | 0,0089 | 0,1703 | 0,720 |
400 | 0,893 | - | 41 701 | 6.0/2,6 | 16 | 0,0094 | 0,1852 | 0,720 |
630 | 0,893 | - | 41 701 | 6,0/2,6 | 16 | 0,0100 | 0,2318 | 0,720 |
1000 | 0,955 | - | 41 701 | 6,0/2,6 | 16 | 0,0106 | 0,2601 | 0,720 |
1400 | 0,955 | - | 41 701 | 6,0/2,6 | 16 | 0,0116 | 0,2858 | 0,720 |
Краны гусеничные стреловые грузоподъемностью, т: | | | | | | | | |
10 | 0,790 | - | 41 706 | 8,7/4,7 | 11 | 0,0104 | 0,2716 | 0,755 |
15 | 0,790 | - | 41 706 | 8,7/4,7 | 11 | 0,0111 | 0,3128 | 0,755 |
25 | 0,790 | - | 41 707 | 8,0/4,5 | 12 | 0,0119 | 0,3639 | 0,755 |
40 | 0,790 | - | 41 707 | 8,0/4,5 | 12 | 0,0128 | 0,3929 | 0,755 |
63 | 0,893 | 1 ------- 0,702 | 41 708 | 6,9/4,0 | 13 | 0,0135 | 0,4496 | 0,755 |
100 | 0,955 | 1 ------- 0,702 | 41 709 | 6,0/2,8 | 16 | 0,0145 | 0,4953 | 0,755 |
Краны пневмоколесные стреловые грузоподъемностью, т: | | | | | | | | |
16 | 0,790 | | 41 703 | 8,7/4,0 | 11 | 0,0109 | 0,2956 | 0,755 |
25 | 0,790 | 1 ------- 0,702 | 41 704 | 8,0/3,6 | 12 | 0,0116 | 0,3348 | 0,755 |
40 | 0,790 | 1 ------- 0,702 | 41 704 | 8,0/3,6 | 12 | 0,0125 | 0,3696 | 0,755 |
63 | 0,893 | 1 ------- 0,702 | 41 705 | 6,9/3,2 | 13 | 0,0130 | 0,4091 | 0,755 |
100 | 0,955 | 1 ------- 0,702 | 41 705 | 6,9/3,2 | 13 | 0,0141 | 0,4517 | 0,755 |
Краны на специальном шасси автомобильного типа грузоподъемностью, т: | | | | | | | | |
16 | 0,790 | 0,5 ------- 0,702 | 41 703 | 8,7/4,0 | 11 | 0,0115 | 0,3135 | 0,755 |
25 | 0,835 | 0,5 ------- 0,702 | 41 704 | 8,0/3,6 | 12 | 0,0122 | 0,3551 | 0,755 |
40 | 0,835 | 0,5 ------- 0,702 | 41 704 | 8,0/3,6 | 12 | 0,0132 | 0,3980 | 0,755 |
63 | 0,955 | 0,5 ------- 0,702 | 41 705 | 6,9/3,2 | 13 | 0,0138 | 0,4339 | 0,755 |
100 | 0,955 | 0,5 ------- 0,702 | 41 705 | 6,9/3,2 | 13 | 0,0149 | 0,4790 | 0,755 |
Краны мачтово-стреловые | 0,555 | - | 41 721 | 8,0/3,0 | 12 | 0,0055 | 0,0087 | 0,755 |
Краны на базе тракторов класса 10 т (Т-100М, Т-130) | 0,790 | - | 41 716 | 10/11,2 | 9 | 0,077 | 0,1730 | 0,755 |
Краны стреловые переносные (типа КЛ "Пионер") | 0,555 | - | 41 722 | 12/7,0 | 8 | 0,0013 | 0,0025 | 0,625 |
Лебедки электрические реверсивные однобарабанные с тяговым усилием 0,5 - 1 тс | 0,493 | - | 41 763 | 18,9/10,3 | 5 | 0,0004 | 0,0005 | 0,622 |
Лебедки фрикционные однобарабанные с тяговым усилием 0,5 - 1,25 тс | 0,555 | - | 41 763 | 18,9/10,3 | 5 | 0,0004 | 0,0005 | 0,622 |
Лебедки трехбарабанные с тяговым усилием 3 - 5 тс | 0,555 | - | 41 763 | 18,9/10,3 | 5 | 0,0004 | 0,0006 | 0,622 |
Лебедки двухбарабанные с тяговым усилием 1,25 - 5 тс | 0,555 | - | 41 763 | 18,9/10,3 | 5 | 0,0004 | 0,0005 | 0,622 |
Лебедки монтажные однобарабанные с тяговым усилием 3 - 5 тс | 0,493 | - | 41 763 | 18,9/10,3 | 5 | 0,0004 | 0,0005 | 0,622 |
Лебедки монтажные с тяговым усилием 8 - 15 тс | 0,493 | - | 41 763 | 18,9/10,3 | 5 | 0,0004 | 0,0007 | 0,622 |
Машины для очистки и разделки трещин | 0,702 | - | 42 010 | 12,0/5,3 | 8 | 0,0092 | 0,1080 | 0,625 |
Машины для приготовления и распределения шлаков | 0,555 | - | 42 110 | 16,0/8,3 | 6 | 0,0097 | 0,1509 | 0,625 |
Машины для устранения неровностей | 0,790 | 1 -------- 0,625 | 42 102 | 12,0/7,0 | 8 | 0,0097 | 0,1509 | 0,625 |
Машины для устройства полос уширения | 0,702 | 1 -------- 0,436 | 42 108 | 16,0/5,2 | 6 | 0,0127 | 0,216 | 0,755 |
Машины для укрепления откосов | 0,790 | 1 -------- 0,702 | 49 010 | 10,0/4,2 | 9 | 0,0085 | 0,1533 | 0,755 |
Монтажные машины с шарнирной стрелой ММТС-2 СТ на базе трактора мощностью до 55 кВт (75 л.с.) | 0,702 | - | 41 749 | 12,0/7,5 | 8 | 0,0061 | 0,0981 | 0,755 |
То же, МШТС-2А на базе автомобиля ЗИЛ | 0,702 | - | 41 749 | 12,0/7,5 | 8 | 0,0060 | 0,1039 | 0,755 |
Насосы диафрагмовые с электроприводом производительностью до 25 м3/ч | 0,493 | - | 41 506 | 13,0/15,0 | 7 | 0,0038 | 0,0034 | 0,625 |
Насосы самовсасывающие центробежные с электроприводом производительностью, м3/ч: | | | | | | | | |
до 35 | 0,493 | - | 41 503 | 11,1/8,0 | 9 | 0,0053 | 0,0094 | 0,625 |
36 - 120 | 0,493 | - | 41 503 | 11,1/8,0 | 9 | 0,0055 | 0,0124 | 0,625 |
Насосы самовсасывающие центробежные с приводом от двигателя внутреннего сгорания производительностью, м3/ч: | | | | | | | | |
35 | 0,493 | - | 41 503 | 11,1/8,0 | 9 | 0,007 | 0,0144 | 0,625 |
36 - 120 | 0,493 | - | 41 503 | 11,1/8,0 | 9 | 0,0104 | 0,0259 | 0,625 |
Оборудование для очистки каналов к одноковшовым экскаваторам | 0,790 | 1 ------- 0,625 | 41 822 | 12,0/12,0 | 8 | 0,0140 | 0,4000 | 0,720 |
Планировщики с тракторами класса, т: | | | | | | | | |
3 | 0,702 | - | 42 113 | 16,0/8,0 | 6 | 0,0864 | 0,1560 | 0,720 |
10 | 0,702 | - | 42 113 | 16,0/8,0 | 6 | 0,0946 | 0,1870 | 0,720 |
15 | 0,790 | - | 42 113 | 16,0/8,0 | 6 | 0,1120 | 0,2580 | 0,720 |
Погрузчики одноковшовые на базе тракторов класса, т: | | | | | | | | |
3 (Т-74, ДТ-75) | 0,625 | - | 41 830 | 13,7/16,0 | 7 | 0,0069 | 0,1181 | 0,755 |
10 (Т-100М, Т-130) | 0,625 | - | 41 831 | 12,0/14,0 | 8 | 0,0072 | 0,1373 | 0,755 |
15 (Т-140, Т-180) | 0,702 | - | 41 832 | 12,0/10,6 | 8 | 0,0082 | 0,2025 | 0,755 |
Погрузчики одноковшовые на пневмоколесном ходу грузоподъемностью, т: | | | | | | | | |
до 2 | 0,702 | - | 41 746 | 10,0/12,0 | 9 | 0,0065 | 0,1053 | 0,755 |
3 | 0,702 | - | 40 610 | 11,1/5,5 | 8 | 0,0065 | 0,1192 | 0,755 |
4 | 0,702 | - | 40 610 | 11,1/5,5 | 8 | 0,0071 | 0,1331 | 0,755 |
Погрузчики многоковшовые на пневмоколесном ходу | 0,702 | - | 41 741 | 16,0/9,6 | 6 | 0,0062 | 0,952 | 0,720 |
Погрузчики многоковшовые на гусеничном ходу | 0,702 | - | 41 746 | 10,0/12,0 | 9 | 0,0065 | 0,1045 | 0,720 |
Подъемники строительные мачтовые грузоподъемностью, кг: | | | | | | | | |
320 | 0,555 | - | 41 747 | 19,2/4,6 | 5 | 0,0004 | 0,0007 | 0,679 |
500 | 0,555 | - | 41 747 | 19,2/4,6 | 5 | 0,0004 | 0,0008 | 0,679 |
Плитоукладчики для облицовки каналов сборным бетоном | 0,702 | 1 ------- 0,625 | 42 005 | 19,2/4,0 | 5 | 0,008 | 0,148 | 0,755 |
Профилировщики основания (самоходные) производительностью до 48 м/ч | 0,790 | - | 42 113 | 16,0/8,0 | 6 | 0,0434 | 0,0682 | 0,755 |
Разгрузчики и подъемники цемента пневматические | 0,625 | - | 41 508 | 8,2/1,9 | 12 | 0,0129 | 0,0246 | 0,625 |
Разгрузчики нерудных материалов | 0,702 | - | 41 740 | 12,0/8,0 | 8 | 0,0052 | 0,0658 | 0,625 |
Распределители каменной мелочи | 0,702 | - | 42 110 | 16,0/8,3 | 6 | 0,0052 | 0,0658 | 0,755 |
Растворонасосы производительностью, м3/ч: | | | | | | | | |
10 | 0,555 | - | 42 002 | 15,3/6,3 | 6 | 0,0028 | 0,0098 | 0,679 |
20 | 0,555 | - | 42 002 | 15,3/6,3 | 6 | 0,0048 | 0,0184 | 0,679 |
40 | 0,555 | - | 42 002 | 15,3/6,3 | 6 | 0,0048 | 0,0220 | 0,679 |
Растворосмесители вместимостью, л: | | | | | | | | |
30 - 65 | 0,555 | - | 42 001 | 11,0/9,8 | 8 | 0,0012 | 0,0009 | 0,679 |
125 - 250 | 0,555 | - | 42 001 | 11,0/9,8 | 8 | 0,0010 | 0,0019 | 0,679 |
400 | 0,625 | - | 42 001 | 11,9/9,8 | 8 | 0,0010 | 0,0035 | 0,679 |
800 | 0,625 | - | 42 001 | 11,0/9,8 | 8 | 0,0040 | 0,0136 | 0,679 |
1200 | 0,625 | - | 42 001 | 11,0/9,8 | 8 | 0,0047 | 0,0280 | 0,679 |
Рыхлители на базе тракторов класса, т: | | | | | | | | |
10 | 0,702 | - | 41 842 | 16,0/5,8 | 6 | 0,0184 | 0,3329 | 0,625 |
15 | 0,790 | - | 41 842 | 16,0/5,8 | 6 | 0,0206 | 0,4737 | 0,625 |
25 т | 0,790 | - | 41 842 | 16,0/5,8 | 6 | 0,0224 | 0,6330 | 0,625 |
Сваебойное оборудование: | | | | | | | | |
дизель-молоты, свайные с массой ударной части, кг: | | | | | | | | |
1800 | 0,790 | - | 41 201 | 24,0/7,0 | 4 | 0,0135 | 0,0325 | 0,625 |
2500 | 0,790 | - | 42 201 | 24,0/7,0 | 4 | 0,0157 | 0,0450 | 0,625 |
копровые установки (без молота свайного) | - | - | 42 204 | 8,2/10,0 | 12 | 0,0038 | 0,0225 | 0,625 |
Скреперы прицепные | | | | | | | | |
с ковшом вместимостью, м3: | тракторами класса, т: |
3 - 5 | 3 (Т-74, Т-75, ДТ-75) | 0,702 | - | 41 836 | 13,7/10,0 | 7 | 0,0186 | 0,2796 | 0,755 |
8 | 10 (Т-100М, Т-130) | 0,702 | - | 41 837 | 13,7/6,0 | 7 | 0,0202 | 0,3926 | 0,755 |
10 | 15 (Т-180, Т-180Г) | 0,790 | - | 41 837 | 13,7/6,0 | 7 | 0,0231 | 0,5648 | 0,755 |
15 | 25 (ДЭТ-250, ДЭТ-250М) | 0,790 | - | 41 838 | 9,6/6,0 | 10 | 0,0249 | 0,7215 | 0,755 |
Скрепер самоходный с одноосным тягачом: | | | | | | | | |
МАЗ-529Б | 0,790 | - | 41 836 | 13,7/10,0 | 7 | 0,0201 | 0,3641 | 0,755 |
МоАЗ-546 | 0,790 | - | 41 837 | 13,7/6,0 | 7 | 0,0168 | 0,2674 | 0,755 |
БелАЗ-531 | 0,790 | - | 41 838 | 9,6/6,0 | 10 | 0,0176 | 0,3330 | 0,755 |
Снегоочистители: | | | | | | | | |
шнекороторные | 0,702 | - | 49 010 | 10/4,2 | 9 | 0,0166 | 0,265 | 0,755 |
газоструйные | 0,702 | - | 49 010 | 10/4,2 | 9 | 0,0234 | 0,375 | 0,755 |
Тракторы пневмоколесные: | | | | | | | | |
Т-40 и Т-40А | 0,625 | - | 40 616 | 12,5/4,5 | 7 | 0,0075 | 0,0820 | 0,625 |
"Беларусь" и ЮМЗ всех модификаций, | 0,625 | - | 40 616 | 12,5/4,5 | 7 | 0,0098 | 0,1102 | 0,625 |
Т-150 и Т-150К | 0,625 | - | 40 612 | 12,5/6,0 | 7 | 0,0129 | 0,1549 | 0,625 |
К-700, К-701, К-702 | 0,702 | - | 40 610 | 11,1/5,5 | 8 | 0,0148 | 0,02559 | 0,755 |
Тракторы гусеничные: | | | | | | | | |
Т-74, ДТ-75 | 0,702 | - | 40 613 | 12,5/5,0 | 7 | 0,0131 | 0,2117 | 0,755 |
Т-100М, Т-130 и их модификации | 0,702 | - | 40 609 | 11,1/6,0 | 8 | 0,0154 | 0,2832 | 0,755 |
Т-4, Т-4М | 0,702 | - | 40 611 | 12,5/5,5 | 7 | 0,0189 | 0,3129 | 0,755 |
Т-140, Т-180 и Т-180Г | 0,790 | - | 40 609 | 11,1/6,0 | 8 | 0,0204 | 0,4944 | 0,755 |
ДЭТ-250 и ДЭТ-250М | 0,790 | - | 40 609 | 11,1/6,0 | 8 | 0,0228 | 0,6615 | 0,755 |
Трамбовочные машины | 0,790 | - | 41 828 | 11,2/7,2 | 8 | 0,0100 | 0,1910 | 0,625 |
Транспортеры ленточные передвижные длиной, м: | | | | | | | | |
5 | 0,493 | - | 41 731 | 19,2/5,7 | 5 | 0,0060 | 0,0065 | 0,625 |
10 | 0,493 | - | 41 731 | 19,2/5,7 | 5 | 0,0063 | 0,0106 | 0,625 |
15 | 0,493 | - | 41 731 | 19,2/5,7 | 5 | 0,0067 | 0,0147 | 0,625 |
Транспортеры ленточные звеньевые длиной, м: | | | | | | | | |
до 40 | 0,493 | - | 41 731 | 19,2/5,7 | 5 | 0,0071 | 0,0193 | 0,625 |
" 80 | 0,493 | - | 41 731 | 19,2/5,7 | 5 | 0,0078 | 0,0237 | 0,625 |
св. 200 | 0,493 | - | 41 731 | 19,2/5,7 | 5 | 0,0084 | 0,0319 | 0,625 |
Транспортеры шнековые диаметром 300 - 500 мм, длиной, м: | | | | | | | | |
8 | 0,493 | - | 41 739 | 10,0/11,8 | 9 | 0,0062 | 0,0090 | 0,625 |
16 | 0,493 | - | 41 739 | 10,0/11,8 | 9 | 0,0067 | 0,0137 | 0,625 |
32 | 0,493 | - | 41 739 | 10,0/11,8 | 9 | 0,0074 | 0,0196 | 0,625 |
Трубоочистные машины с двигателем мощностью, кВт (л.с.): | | | | | | | | |
29,4 кВт (40 л.с.) (ОМ-14, ОМЛ-8А) | 0,702 | - | 43 803 | 19,4/19,7 | 5 | 0,0115 | 0,0870 | 0,755 |
47,8 - 55,2 кВт (65 - 75 л.с.), ОМЛ-10, ОМ-521 | 0,702 | - | 43 803 | 19,4/19,7 | 5 | 0,0125 | 0,1390 | 0,755 |
73,6 - 95,7 кВт (100 - 130 л.с.), ОМ-1422 | 0,790 | - | 43 804 | 16,2/12,9 | 6 | 0,0135 | 0,1670 | 0,755 |
128,8 - 147,2 кВт (175 - 200 л.с.), ОМЛ-12, ОМЛ-121 | 0,790 | - | 43 805 | 14/10,8 | 7 | 0,0146 | 0,1480 | 0,755 |
Трубоизоляционные машины самоходные с двигателем мощностью до, кВт (л.с.): | | | | | | | | |
29,4 (40) | 0,702 | | 43 806 | 24,5/21,1 | 4 | 0,0153 | 0,0954 | 0,755 |
55 (75) | 0,702 | - | 43 806 | 24,5/21,1 | 4 | 0,0169 | 0,1939 | 0,755 |
Трубоукладчики гусеничные грузоподъемностью, т: | | | | | | | | |
6,3 | 0,702 | - | 41 850 | 10,0/11,7 | 9 | 0,0102 | 0,1779 | 0,755 |
10 - 12,5 | 0,790 | - | 41 750 | 10,0/11,7 | 9 | 0,0112 | 0,2082 | 0,755 |
15 - 20 | 0,790 | - | 41 750 | 10,0/11,7 | 9 | 0,0114 | 0,3007 | 0,755 |
25 - 35 | 0,790 | - | 41 750 | 10,0/11,7 | 9 | 0,0145 | 0,4421 | 0,755 |
Траншеезасыпатели | - | - | 41 843 | 13,5/8,1 | 7 | 0,0187 | 0,3247 | 0,625 |
Фрезы дорожные (без трактора) | - | - | 42 112 | 19,2/- | 5 | 0,007 | 0,140 | 0,755 |
Экскаваторы одноковшовые с механическим приводом на пневмоколесном ходу с ковшом вместимостью 0,4 м3 | 0,702 | - | 41 806 | 12,0/8,0 | 8 | 0,0146 | 0,3654 | 0,755 |
Экскаваторы одноковшовые с механическим приводом на гусеничном ходу с ковшом вместимостью, м3: | | | | | | | | |
0,4 | 0,702 | - | 41 801 | 12,0/7,0 | 8 | 0,0167 | 0,4203 | 0,755 |
0,65 | 0,790 | 0,5 ------- 0,395 | 41 802 | 10,7/7,0 | 9 | 0,0142 | 0,4014 | 0,755 |
1 | 0,790 | 0,5 ------- 0,395 | 41 803 | 9,6/7,0 | 10 | 0,0158 | 0,4984 | 0,755 |
1,25 - 1,6 | 0,790 | 0,5 ------- 0,395 | 41 804 | 8,1/6,9 | 12 | 0,0169 | 0,5737 | 0,755 |
2 - 2,5 | 0,790 | 1 ------- 0,702 | 41 804 | 8,1/6,9 | 12 | 0,0217 | 0,6543 | 0,755 |
Экскаваторы одноковшовые с гидравлическим приводом на базе пневмоколесного трактора с ковшом вместимостью 0,25 м3 | 0,702 | - | 41 805 | 12,0/10,0 | 8 | 0,0124 | 0,2322 | 0,755 |
Экскаваторы одноковшовые с гидравлическим приводом на пневмоколесном ходу с ковшом вместимостью, м3: | | | | | | | | |
0,4 - 0,65 | 0,790 | - | 41 807 | 10,7/5,0 | 9 | 0,0115 | 0,235 | 0,755 |
0,65 - 1,25 | 0,790 | 0,5 ------- 0,395 | 41 803 | 9,6/7,0 | 10 | 0,0121 | 0,3019 | 0,755 |
1,25 - 2 | 0,790 | 0,5 ------- 0,395 | 41 804 | 8,1/6,9 | 12 | 0,0129 | 0,3641 | 0,755 |
2 - 3,2 | 0,790 | 1 ------- 0,702 | 41 804 | 8,1/6,9 | 12 | 0,0147 | 0,4383 | 0,755 |
Экскаваторы многоковшовые траншейные цепные с глубиной копания, м: | | | | | | | | |
до 1,6 | 0,702 | | 41 817 | 16,0/7,0 | 6 | 0,0097 | 0,1514 | 0,755 |
1,7 - 2 | 0,790 | 1 ------- 0,702 | 41 817 | 16,0/7,0 | 6 | 0,0125 | 0,1624 | 0,755 |
2,5 и более | 0,790 | 1 ------- 0,702 | 41 817 | 16,0/7,0 | 6 | 0,0108 | 0,1919 | 0,755 |
Экскаваторы траншейные роторные с глубиной копания, м: | | | | | | | | |
до 1,6 | 0,790 | 1 ------- 0,702 | 41 818 | 12,0/7,0 | 8 | 0,0138 | 0,3856 | 0,755 |
1,6 - 2 | 0,790 | 1 ------- 0,702 | 41 818 | 12,0/7,0 | 8 | 0,0153 | 0,4643 | 0,755 |
св. 2 | 0,790 | 1 ------- 0,702 | 41 818 | 12,0/7,0 | 8 | 0,01619 | 0,5478 | 0,755 |
Элеваторы цепные вертикальные с наибольшей высотой подъема, м: | | | | | | | | |
10 | 0,555 | - | 41 739 | 10,0/11,8 | 9 | 0,0770 | 0,0100 | 0,625 |
16 | 0,555 | - | 41 739 | 10,0/11,8 | 9 | 0,0082 | 0,0147 | 0,625 |
Элеваторы цепные наклонные с наибольшей высотой подъема, м: | | | | | | | | |
10 | 0,555 | - | 41 739 | 10,0/11,8 | 9 | 0,0087 | 0,0160 | 0,625 |
20 | 0,555 | - | 41 739 | 10,0/11,8 | 9 | 0,0086 | 0,0184 | 0,625 |
Элеваторы ленточные вертикальные с наибольшей высотой подъема, м: | | | | | | | | |
17 | 0,555 | - | 41 739 | 10,0/11,8 | 10 | 0,0081 | 0,0121 | 0,625 |
27 | 0,555 | - | 41 739 | 10,0/11,8 | 10 | 0,0086 | 0,0197 | 0,625 |
Электросварочное оборудование - передвижные сварочные агрегаты с двигателем: | | | | | | | | |
ГАЗ | 0,625 | - | 42 500 | 19,4/11,0 | 5 | 0,0074 | 0,0422 | 0,625 |
ЗИЛ | 0,625 | - | 42 500 | 19,4/11,0 | 5 | 0,0084 | 0,0578 | 0,625 |
Электросварочное оборудование - передвижные сварочные агрегаты с двигателем ЯАЗ мощностью 147,2 - 176,6 кВт (200 - 240 л.с.) | 0,625 | - | 42 500 | 19,4/11,0 | 5 | 0,0084 | 0,0609 | 0,625 |
То же, с двигателем тракторного типа мощностью до 55 кВт (75 л.с.) | 0,625 | - | 42 500 | 19,4/11,0 | 5 | 0,0086 | 0,0418 | 0,625 |
Электросварочные агрегаты постоянного тока: | | | | | | | | |
ПС-100 | 0,625 | - | 42 502 | 16,0/11,0 | 6 | 0,0052 | 0,0175 | 0,625 |
ПС-300 | 0,625 | - | 42 502 | 16,0/11,0 | 6 | 0,0054 | 0,0207 | 0,625 |
ПС-500 | 0,625 | - | 42 502 | 16,0/11,0 | 6 | 0,0056 | 0,0238 | 0,625 |
II. Автотранспортные средства |
Автобетоновозы | | - | 50 412 | 9,0/6,5 | 10 | - | - | 0,755 |
Авторастворовозы | | - | 50 412 | 9,0/6,5 | 10 | - | - | 0,755 |
Автоцементовозы | | - | 50 412 | 9,0/6,5 | 11 | - | - | 0,755 |
Цементовозы-распределители | | - | 50 412 | 9,0/6,5 | 10 | - | - | 0,755 |
--------------------------------
<*> Над чертой - количество человек, под чертой - часовая тарифная ставка.
<**> Над чертой - на реновацию, под чертой - на капитальный ремонт;
ан равно сумме этих величин.
<***> Часовые тарифные ставки водителя специализированного транспорта принимаются в зависимости от грузоподъемности этого транспорта: св. 1,5 до 3 т - 0,539 руб.; св. 3 до 5 т - 0,596 руб.; св. 5 до 10 т - 0,659 руб.; св. 10 до 20 т - 0,729 руб.; св. 20 до 40 т - 0,807 руб.; св. 40 до 60 т - 0,983 руб.; св. 60 т - 0,996 руб.
В
гр. 8 учтены потери рабочего времени в ожидании текущего ремонта - 10 дней, капитального ремонта - 20 дней.
Таблица 14
Часовые тарифные ставки машинистов и их помощников, нормы
амортизации средств малой механизации
Наименование машин | Часовая тарифная ставка, руб. | Амортизационные отчисления | Нормативный срок службы Тнс, лет |
машиниста | | шифр | |
Агрегаты для окраски фасадов зданий | 0,555 | - | 42 009 | 20,3/14,7 | 4,5 |
Агрегаты для перекачки битумных мастик | 0,555 | - | 41 507 | 27,4/22,8 | 3,5 |
Агрегаты штукатурные | 0,555 | - | 42 002 | 15,3/6,3 | 6 |
Агрегаты шпаклевочные | 0,555 | - | 42 009 | 20,3/14,7 | 4,5 |
Аппараты для окраски фасадов зданий | 0,555 | - | 42 009 | 20,3/14,7 | 4,5 |
Баки красконагнетательные | - | - | 42 009 | 20,3/14,7 | 4,5 |
Вибросита | 0,493 | - | 60 000 | 50,0/- | 2 |
Виброрейки | 0,555 | - | 60 000 | 50,0/- | 2 |
Диспергаторы | 0,555 | - | 42 009 | 20,3/14,7 | 4,5 |
Катки для прикатки линолеума | - | - | 60 000 | 50,0/- | 2 |
Клееварки | 0,555 | - | 42 001 | 11,0/9,8 | 8 |
Краскотерки | 0,555 | - | 42 006 | 15,0/12,4 | 6 |
Машины для наклейки наплавленного рубероида | 0,625 | 1/0,493 | 42 103 | 32,0/- | 3 |
Машины для нанесения полимерных мастик | 0,625 | - | - | 19,2/4,0 | 5 |
Машины для нанесения битумных мастик | 0,625 | - | 41 507 | 27,4/22,8 | 3,5 |
Машины для нанесения битумных эмульсий | 0,625 | - | 42 004 | 25,0/5,3 | 4 |
Машины для очистки и перемотки рулонных материалов | 0,555 | - | - | 24,0/5,3 | 4 |
Машины для приготовления и подачи жестких растворов | 0,555 | - | 42 002 | 15,3/6,3 | 6 |
Машины для приготовления и нанесения гипсовых растворов | 0,555 | - | 42 002 | 15,3/6,3 | 6 |
Машины для приклейки пленочных покрытий | 0,625 | - | 42 005 | 19,2/4,0 | 5 |
Машины для раскатки и приклейки рулонных материалов | 0,555 | - | 41 609 | 19,2/5,7 | 5 |
Машины для устройства стяжек | 0,555 | - | 42 005 | 19,2/4,0 | 5 |
Машины для сушки оснований кровли | 0,555 | - | 42 103 | 32/- | 3 |
Машины самоходные широкозахватные для шлифования бетонных полов | 0,555 | - | 42 009 | 20,3/14,7 | 4,5 |
Машины самоходные для укладки, выравнивания и уплотнения бетона | 0,555 | - | 42 005 | 19,2/4,0 | 5 |
Машины для уборки шлама | 0,555 | - | 42 009 | 20,3/14,7 | 4,5 |
Машины для удаления воды с основания кровли | 0,555 | - | 41 505 | 17,5/5,0 | 5,5 |
Машины для устройства защитного слоя | 0,625 | 1/0,493 | 42 005 | 19,2/13,0 | 5 |
Мелотерки | 0,555 | - | 42 006 | 15,0/12,4 | 6 |
Мешалки для красочных составов | - | - | 42 001 | 11,0/9,8 | 8 |
Преобразователи частоты | - | - | 40 701 | 3,5/2,9 | 25 |
Приспособление для устройства полов из керамических плиток | 0,555 | - | 60 000 | 50,0/- | 2 |
Растворосмесители передвижные | 0,555 | - | 42 001 | 11,0/9,8 | 8 |
Смесители малярных колеров | 0,555 | - | 42 001 | 11,0/9,8 | 8 |
Станки для сверления алмазными сверлами | 0,625 | - | 42 804 | 23,7/6,5 | 4 |
Станции штукатурные | 0,555 | - | 42 002 | 15,3/6,3 | 6 |
Станки для резки паркетных клепок | 0,555 | - | 60 000 | 50,0/- | 2 |
Станции передвижные для устройства наливных полимерных цементных полов | 0,625 | - | 50 400 | 15,0/5,3 | 6 |
Станции малярные | 0,555 | - | 42 003 | 12,0/13,3 | 8 |
Установка для нанесения жидкой шпаклевки | 0,555 | - | 42 002 | 15,3/6,3 | 6 |
Установки компрессорные для малярных работ | 0,555 | - | 41 404 | 13,9/5,3 | 7 |
Установки для подачи и нанесения битумных эмульсий | 0,555 | - | - | 16,0/10,0 | 6 |
Установки для подачи и нанесения полимерных мастик | 0,555 | - | 41 507 | 27,4/22,8 | 3,5 |
Устройство для приклейки рулонных материалов в местах примыкания | 0,555 | - | 60 000 | 50,0/- | 2 |
Устройство для разогрева рубероида | 0,555 | - | - | 19,2/5,7 | 5 |
Устройства для хранения, подогрева и подачи мастик на кровлю | - | - | - | 25,0/5,3 | 4 |
Устройство загрузочное для растворонасосов | 0,493 | - | 41 736 | 23,7/8,6 | 4 |
--------------------------------
<*> Над чертой - количество человек; под чертой - часовая тарифная ставка.
<**> Над чертой - на реновацию; под чертой - на капитальный ремонт;
ан равно сумме этих величин.
Таблица 15
Коэффициент перевода
ресурса
в средний ресурс
Вид распределения величины ресурса |  , % | Коэффициент вариации |
0,2 | 0,25 | 0,3 | 0,4 | 0,5 | 0,6 |
Нормальный закон | 80 | 1,2 | 1,25 | 1,3 | - | - | - |
90 | 1,35 | 1,45 | 1,6 | - | - | - |
Закон Вейбулла | 80 | - | - | - | 1,54 | 1,82 | 2,13 |
90 | - | - | - | 2 | 2,5 | 3 |
Логарифмически нормальный закон | 80 | - | - | - | 1,5 | 1,65 | - |
90 | - | - | - | 1,75 | 2,05 | - |
Примечание. Вид распределения величины ресурса определяется по расчетам надежности и данным эксплуатационной информации, предоставляемым для обоснования

ресурса машин.
Таблица 16
Коэффициенты К1, учитывающие снижение заводской
себестоимости изготовления орудий труда на второй,
третий и т.д. годы выпуска
Орудия труда | Годы выпуска |
1-й | 2-й | 3-й | 4-й | 5-й | 6-й |
Строительные и дорожные машины | 1 | 0,95 | 0,91 | 0,87 | 0,84 | 0,81 |
В том числе: | | | | | | |
экскаваторы, краны башенные | 1 | 0,93 | 0,87 | 0,82 | 0,78 | 0,74 |
бульдозеры, дробилки | 1 | 0,95 | 0,91 | 0,87 | 0,84 | 0,81 |
скреперы | 1 | 0,98 | 0,96 | 0,95 | 0,93 | 0,92 |
автогрейдеры, бетоносмесители | 1 | 0,96 | 0,92 | 0,89 | 0,86 | 0,84 |
Механизированный инструмент | 1 | 0,92 | 0,86 | 0,82 | 0,79 | 0,76 |
В том числе для отделочных работ | 1 | 0,93 | 0,89 | 0,86 | 0,85 | 0,84 |
Таблица 17
Коэффициенты К2, учитывающие снижение заводской
себестоимости изготовления орудий труда в связи
с увеличением серийности их выпуска
Количество машин | Коэффициент изменения себестоимости | Количество машин | Коэффициент изменения себестоимости |
5 | 1 | 2000 | 0,62 |
10 | 0,97 | 2500 | 0,6 |
20 | 0,93 | 3000 | 0,59 |
30 | 0,91 | 3500 | 0,57 |
40 | 0,9 | 4000 | 0,57 |
50 | 0,89 | 4500 | 0,57 |
100 | 0,83 | 5000 | 0,56 |
200 | 0,78 | 5500 | 0,56 |
300 | 0,75 | 6000 | 0,56 |
400 | 0,73 | 6500 | 0,55 |
500 | 0,71 | 7000 | 0,54 |
600 | 0,7 | 8000 | 0,54 |
750 | 0,68 | 9000 | 0,53 |
1000 | 0,66 | 10000 | 0,53 |
1500 | 0,64 | | |
Таблица 18
Цена топлива, масел и смазочных материалов
Наименование | N позиции по Прейскуранту N 04-02 | Цена по прейскуранту, руб. за 1 т массы нетто, по 1 поясу без стоимости тары и упаковки, руб.-коп. | Объемная масса, кг/дм3 |
Топливо дизельное зимнее, северное ЗС-02 | 1-013 | 68-00 | 0,790 - 0,825 |
Топливо дизельное зимнее, северное ЗС-0,5 | 1-014 | 66-00 | 0,790 - 0,825 |
Топливо дизельное летнее Л-0,2 | 1-017 | 68-00 | 0,790 - 0,825 |
Топливо дизельное летнее Л-0,5 | 1-018 | 66-00 | 0,790 - 0,825 |
Топливо для быстроходных дизелей ДА | 1-019 | 80-00 | 0,790 - 0,825 |
Топливо для быстроходных дизелей ДЗ | 1-020 | 76-00 | 0,790 - 0,825 |
Топливо для быстроходных дизелей ДС высшей категории качества | 1-021 | 74-00 | 0,790 - 0,825 |
Топливо для быстроходных дизелей ДС | 1-022 | 74-00 | 0,790 - 0,825 |
Топливо для быстроходных дизелей ДЛ | 1-023 | 68-00 | 0,790 - 0,825 |
Топливо дизельное экспортное летнее ДЛЭ высшей категории качества | 1-024 | 69-00 | 0,790 - 0,825 |
Топливо дизельное экспортное зимнее ДЗЭ | 1-027 | 76-00 | 0,790 - 0,825 |
Керосин для технических целей | 2-006 | 63-00 | 0,815 |
Масла моторные автомобильные для карбюраторных двигателей: | | | |
М-8А | 4-016 | 225-00 | 0,895 |
М-8Б1 | 4-017 | 235-00 | 0,895 |
М-8В1 | 4-018 | 265-00 | 0,895 |
М-8Г1 | 4-019 | 580-00 | 0,948 |
М-63/10Г1 | 4-020 | 770-00 | 0,948 |
М-12Г1 | 4-021 | 555-00 | 0,948 |
Масло автомобильное АСЗп-10 | 4-025 | 255-00 | 0,948 |
Масла моторные для автотракторных двигателей: | | | |
М-8В2 | 4-029 | 270-00 | 0,895 |
М-10В2 | 4-030 | 290-00 | 0,905 |
М-8Г2 | 4-031 | 295-00 | 0,895 |
М-10Г2 | 4-032 | 305-00 | 0,89 |
М-8Г2К | 4-033 | 500-00 | 0,895 |
М-10Г2К | 4-034 | 480-00 | 0,89 |
Масло моторное М-12Б | 4-044 | 230-00 | 0,9 |
Масло: | | | |
МТ-14П | 4-051 | 255-00 | 0,905 |
МТ-16П | 4-052 | 255-00 | 0,905 |
МТ-16П | 4-053 | 260-00 | 0,905 |
Масла трансмиссионные: | | | |
ТСп-14 | 4-072 | 285-00 | 0,91 |
ТСп-10 | 4-073 | 270-00 | 0,91 |
ТСп-14,5 | 4-074 | 300-00 | 0,91 |
ТАП-15В | 4-076 | 200-00 | 0,91 |
ТЭп-15 | 4-078 | 135-00 | 0,91 |
Масла индустриальные: | | | |
И-30А | 4-084 | 170-00 | 0,885 |
И-40А | 4-085 | 170-00 | 0,885 |
Масло компрессорное: | | | |
К-12 | 4-108 | 210-00 | 0,890 |
К-19 | 4-109 | 260-00 | 0,890 |
КС-19 | 4-110 | 260-00 | 0,890 |
Масло трансформаторное: | | | |
Т-1500 | 4-119 | 300-00 | 0,875 |
Т-750 | 4-120 | 280-00 | 0,875 |
ТК | 4-122 | 215-00 | 0,875 |
Масло всесезонное гидравлическое ВМГЗ | 4-128 | 710-00 | 0,865 |
Масло АМГ-10 | 4-129 | 600-00 | 0,865 |
Масла гидравлические для гидроприводов объемного типа МГ-20, МГ-30 | 4-135 | 190-00 | 0,885 |
Масло веретенное АУ | 4-136 | 200-00 | 0,886 |
Смазка: | | | |
солидол синтетический марки пресс-солидол "С" | 5-001 | 215-00 | - |
солидол синтетический марки солидол "С" | 5-002 | 215-00 | - |
ВНИИ НП-242 | 5-007 | 4000-00 | - |
Литол-24 | 5-010 | 1055-00 | - |
ЦИАТИМ-201 | 5-037 | 600-00 | - |
ЦИАТИМ-203 | 5-039 | 950-00 | - |
ЦИАТИМ-202 | 5-041 | 620-00 | - |
канатная N 39у | 5-053 | 210-00 | - |
Бензин автомобильный: | | | |
А-76 | Доп. N 6 к Прейскуранту | 195-00 | 0,715 - 0,725 |
А-72 | 182-00 | 0,710 - 0,720 |
для пусковых двигателей А-66 | | 156-00 | 0,710 - 0,720 |
Таблица 19
Коэффициент КN, учитывающий изменение расхода топлива
в зависимости от степени использования двигателей
по мощности
Модель двигателя | Номинальная мощность, кВт (л.с.) | Удельный расход топлива, г/л.с.·ч | Значение КN при соответствующих значениях Кдм |
0,4 | 0,45 | 0,5 | 0,55 | 0,6 | 0,66 | 0,7 | 0,8 | 0,9 |
Тракторные дизели |
Д-37М | 29,4 (40) | 185 | 1,19 | 1,14 | 1,09 | 1,06 | 1,025 | 1,0 | 0,97 | 0,94 | 0,93 |
Д-48 | 36,8 (50) | 200 | 1,30 | 1,25 | 1,18 | 1,14 | 1,10 | 1,075 | 1,04 | 1,01 | 1,0 |
Д-54 | 39,7 (54) | 220 | 1,195 | 1,16 | 1,09 | 1,05 | 1,03 | 1,07 | 0,97 | 0,94 | 0,92 |
Д-50 | 40,4 (55) | 195 | - | - | - | - | - | - | 1,035 | 1,015 | 0,98 |
Д-75 | 55,1 (75) | 198 | 1,30 | 1,22 | 1,18 | 1,13 | 1,10 | 1,08 | 1,05 | 1,01 | 0,935 |
СМД-14 | 58,8 (80) | 185 | 1,28 | 1,215 | 1,16 | 1,12 | 1,09 | 1,07 | 1,05 | 1,015 | 0,99 |
Д-108; Д-108М; Д-108Г; Д-108ГЛ | 79,4 (108) | 175 | 1,26 | 1,20 | 1,14 | 1,11 | 1,08 | 1,07 | 1,05 | 1,03 | 1,02 |
Д-130, СМД-17К | 102,9 (140) | 175 | 1,68 | 1,45 | 1,35 | 1,26 | 1,16 | 1,11 | 1,06 | 1,02 | 1,02 |
Д-130, СМД-17К | 73,5 (100) | 190 | 1,68 | 1,45 | 1,35 | 1,26 | 1,16 | 1,11 | 1,06 | 1,02 | 1,02 |
Д-180 | 132,4 (180) | 175 | - | - | - | - | 1,06 | 1,01 | 0,97 | 0,92 | 0,87 |
У-2Д6 | 95,6 (130) | 190 | - | | - | - | - | - | - | - | - |
СМД-7 | 47,8 (65) | 200 | 1,26 | 1,20 | 1,14 | 1,1 | 1,1 | 1,035 | 1 | 0,99 | 0,98 |
СМД-14А | 55,1 (75) | 198 | 1,28 | 1,215 | 1,16 | 1,12 | 1,09 | 1,07 | 1,05 | 1,015 | 0,99 |
АМ-01 | 80,9 (110) | 185 | 1,30 | 1,23 | 1,18 | 1,135 | 1,08 | 1,06 | 1,03 | 0,99 | 0,98 |
АМ-03 | 95,6 (130) | 185 | 1,30 | 1,24 | 1,19 | 1,14 | 1,10 | 1,06 | 1,03 | 0,99 | 1,0 |
Ам-41 | 62,5 (85) | 185 | 1,24 | 1,22 | 1,18 | 1,135 | 1,08 | 1,04 | 1,03 | 0,99 | 0,98 |
Карбюраторные двигатели |
ГАЗ-51 | 51,5 (70) | 270 | 1,074 | 1,037 | 1,018 | 1,0 | 0,96 | 0,96 | 0,94 | 0,948 | 0,951 |
ЗИЛ-164 | 71,3 (97) | 250 | - | - | 1,12 | 1,08 | 1,06 | 1,048 | 1,032 | 1,02 | 1,048 |
ЗИЛ-157 | 76,5 (104) | 255 | - | - | 1,058 | 1,035 | 1,019 | 1,0 | 0,99 | 1,019 | 1,078 |
ЗИЛ-130 | 110,3 (150) | 240 | 1,05 | 1,04 | 1,033 | 1,025 | 1,020 | 1,02 | 1,025 | 1,033 | 1,045 |
ЗИЛ-375 | 132,4 (180) | 240 | 1,062 | 1,041 | 1,037 | 1,033 | 1,029 | 1,02 | 1,025 | 1,037 | 1,05 |
Автомобильные дизели |
ЯАЗ-М-204А | 88,2 (120) | 195 | - | - | - | - | 1,23 | 1,18 | 1,15 | 1,13 | 1,12 |
ЯАЗ-М-204В | 99,3 (135) | 215 | - | - | 1,05 | 1,02 | 1,01 | 1 | 0,98 | 0,95 | 1,05 |
ЯАЗ-М-204К | 132,4 (180) | 195 | - | - | 1,05 | 1,02 | 1,01 | 1 | 0,98 | 0,95 | 1,05 |
ЯАЗ-206Б | 154 (210) | 230 | - | - | 1,17 | 1,13 | 1,11 | 1,09 | 1,02 | 1 | 1,01 |
ЯМЗ-236 | 132,4 (180) | 175 | 0,97 | 0,96 | 0,95 | 0,94 | 0,94 | 0,93 | 0,92 | 0,91 | 0,92 |
ЯМЗ-238 | 176,5 (240) | 175 | - | - | - | - | 1,02 | 1,01 | 1 | 1 | 1,02 |
ЯМАЗ-240 | 158,1 (215) | 175 | - | - | 1,02 | 1,03 | 1,02 | 1,01 | 1,02 | 1,03 | 1,04 |
ЯМЗ-240М | 220,6 (300) | 175 | - | - | 1,02 | 1,03 | 1,02 | 1,01 | 1,02 | 1,03 | 1,04 |
В-30Б | 264,7 (360) | 175 | - | - | - | - | - | - | - | 0,94 | 0,91 |
В-31 | 242,6 (330) | 175 | - | - | - | - | - | 1,02 | 1,01 | 1 | 0,97 |
--------------------------------
<*> При отсутствии значения КN в таблице его определяют на основании регуляторной характеристики двигателя.
Таблица 20
Коэффициент нагрузки электродвигателя
(коэффициент спроса Ксп)
Коэффициент использования электродвигателя по мощности Кдм | Коэффициент использования электродвигателя по времени Кдв |
0,15 | 0,2 | 0,25 | 0,3 | 0,35 | 0,4 | 0,45 | 0,5 | 0,55 | 0,6 | 0,65 | 0,7 | 0,75 | 0,8 | 0,85 |
0,35 | 0,07 | 0,09 | 0,1 | 0,12 | 0,14 | 0,15 | 0,17 | 0,19 | 0,21 | 0,23 | 0,25 | 0,27 | 0,28 | 0,31 | 0,33 |
0,40 | 0,08 | 0,1 | 0,12 | 0,13 | 0,15 | 0,18 | 0,2 | 0,22 | 0,24 | 0,27 | 0,29 | 0,31 | 0,33 | 0,36 | 0,38 |
0,45 | 0,08 | 0,11 | 0,13 | 0,15 | 0,17 | 0,2 | 0,22 | 0,25 | 0,27 | 0,3 | 0,32 | 0,35 | 0,37 | 0,4 | 0,42 |
0,50 | 0,1 | 0,12 | 0,15 | 0,17 | 0,18 | 0,22 | 0,25 | 0,28 | 0,31 | 0,33 | 0,36 | 0,39 | 0,42 | 0,44 | 0,47 |
0,55 | 0,11 | 0,13 | 0,16 | 0,18 | 0,21 | 0,24 | 0,27 | 0,31 | 0,33 | 0,36 | 0,4 | 0,43 | 0,46 | 0,49 | 0,52 |
0,60 | 0,11 | 0,14 | 0,17 | 0,2 | 0,23 | 0,27 | 0,3 | 0,33 | 0,37 | 0,4 | 0,43 | 0,47 | 0,5 | 0,53 | 0,57 |
0,65 | 0,13 | 0,16 | 0,19 | 0,22 | 0,25 | 0,29 | 0,33 | 0,36 | 0,4 | 0,43 | 0,47 | 0,51 | 0,54 | 0,58 | 0,61 |
0,70 | 0,14 | 0,17 | 0,2 | 0,23 | 0,27 | 0,31 | 0,35 | 0,39 | 0,43 | 0,47 | 0,51 | 0,54 | 0,58 | 0,62 | 0,66 |
0,75 | 0,15 | 0,18 | 0,22 | 0,25 | 0,29 | 0,33 | 0,37 | 0,42 | 0,46 | 0,5 | 0,54 | 0,58 | 0,62 | 0,67 | 0,71 |
0,80 | 0,16 | 0,2 | 0,23 | 0,27 | 0,31 | 0,35 | 0,4 | 0,44 | 0,49 | 0,53 | 0,58 | 0,62 | 0,67 | 0,71 | 0,76 |
0,85 | 0,17 | 0,21 | 0,25 | 0,28 | 0,33 | 0,36 | 0,42 | 0,46 | 0,52 | 0,56 | 0,61 | 0,66 | 0,7 | 0,75 | 0,79 |
0,90 | 0,18 | 0,22 | 0,26 | 0,3 | 0,35 | 0,39 | 0,44 | 0,49 | 0,55 | 0,59 | 0,64 | 0,69 | 0,74 | 0,79 | 0,84 |
Таблица 21
Средняя скорость передвижения самоходных машин
Наименование и марки самоходных машин, перебазируемых своим ходом | Средняя скорость передвижения машин по дорогам, км/ч |
I класса | II класса | III класса |
Краны пневмоколесные: | | | |
КС-4361А | 3,6 | 2,9 | 2,41 |
КС-4362, МКП-25А, КС-7361, К-161С | 3 | 2,4 | 2,01 |
КС-6362 (К-406); КС-5363 ХЛ | 3,2 | 2,56 | 2,14 |
КС-6361 (К-401); КС-7362 | 2,8 | 2,24 | 1,88 |
КС-5361 (К-255); КС-8361 (К-1001); К-255С | 4 | 3,2 | 2,68 |
МКП-40 | 5 | 4 | 3,35 |
Автогрейдеры: | | | |
ДЗ-99-1-4; ДЗ-99-1-2; ДЗ-99-1-4; ДЗ-99А-1-2; ДЗ-99А-1-1 | 19 | 15,2 | 12,73 |
ДЗ-99-1-1 | 16,2 | 13 | 10,85 |
ДЗ-31-1 (Д-557-1) | 18,4 | 14,72 | 12,33 |
ДЗ-31-2 | 19,5 | 15,6 | 13,07 |
ДЗ-98; ДЗ-105; ДЗ-96 | 20 | 16 | 13,4 |
ДЗ-98-01 | 22,5 | 18 | 15,08 |
Автопогрузчики: | | | |
4008М | 5,0 | 4 | 3,35 |
4045ЛМ; 4043М; 4014; 4045Н; 4045Р | 7,5 | 6 | 5,03 |
4022; 4008; ЕП-25 | 10 | 8 | 6,7 |
4043Л; 4045М; 4049А | 12,5 | 10 | 8,38 |
Краны автомобильные грузоподъемностью, т: | | | |
до 10 | 23 | 23 | 23 |
св. 10 | 21 | 21 | 21 |
Таблица 22
Исходные данные для расчетов стоимости перебазировки машин
в кузове, на буксире автомобиля или на большегрузном прицепе
Наименование и марки строительных машин, перевозимых в кузове автомобиля, на буксире или на прицепе-тяжеловозе без разборки (или с частичной разборкой) | Грузоподъемность автомобиля, т | Средняя скорость передвижения автомобилей по дорогам, км/ч, класса | Продолжительность погрузки и разгрузки, ч | Продолжительность демонтажа и монтажа | Продолжительность работы вспомогательного крана, маш.-ч |
I | II | III |
Агрегаты вибровдавливающие на базе трактора для погружения свай длиной до 9 м | 12 | 13,5 | 10,8 | 9,1 | 4 | - | - |
Агрегаты сваебойные на базе трактора для погружения свай длиной до 10 м | 7 | 13,5 | 10,8 | 9,1 | 6 | - | - |
Бетононасосы производительностью, м3/ч: | | | | | | | |
до 20 | 5 x 3 | 13,5 | 10,8 | 9,1 | 10 | 23 | 23 |
20 - 40 | 7 x 6 | 11,2 | 9 | 7,5 | 30 | 40 | 40 |
Бетоносмесители передвижные вместимостью до 250 л | 2,5 | 10,5 | 8,4 | 7 | 2 | - | 2 |
Бетоносмесители стационарные вместимостью, л: | | | | | | | |
250 - 500 | 4 | 13,5 | 10,8 | 9,1 | 2 | - | 2 |
до 1200 | 5 | 13,5 | 10,8 | 9,1 | 4 | - | 4 |
1200 - 2400 | 12 | 10,5 | 8,4 | 7 | 4 | - | 4 |
Битумоплавильные установки УБ-1, УБ-2, БК-4 | 5 | 13,5 | 10,8 | 9,1 | 4 | - | 4 |
Бульдозеры на базе трактора: | | | | | | | |
ДТ-54, ДТ-75 | 7 | 11,2 | 9 | 7,5 | 1,5 | - | - |
Т-100М | 7 | 11,2 | 9 | 7,5 | 2,9 | - | - |
Т-140, Т-180 | 12 | 10,5 | 8,4 | 7 | 3,4 | - | - |
ДЭТ-250 | 14 | 12,7 | 10,2 | 8,5 | 3,4 | - | - |
Бурильно-крановые машины | 5 | 13,5 | 10,8 | 9,1 | 3 | 2 | 2 |
Воздуходувные машины производительностью до 3000 м3/ч | 5 | 13,5 | 10,8 | 9,1 | 2 | - | 2 |
Гравиемоечные сортировочные барабаны производительностью, м3/ч: | | | | | | | |
до 20 | 5 | 13,5 | 10,8 | 9,1 | 2 | - | 2 |
21 - 45 | 7 | 11,2 | 9 | 7,5 | 4 | - | 4 |
Грейдер-элеваторы прицепные с трактором Т-100М | 7 | 11,2 | 9 | 7,5 | 3,5 | - | - |
Грохоты инерционные и вибрационные эксцентриковые производительностью 13 - 60 м3/ч | 5 | 13,5 | 10,8 | 9,1 | 2 | - | 2 |
Грохоты вибрационные тяжелого типа производительностью от 200 м3/ч | 7 | 11,2 | 9 | 7,5 | 4 | - | 4 |
Дорожные бетоноотделочные и бетоноукладочные машины | 5 | 13,5 | 10,8 | 9,1 | 4 | - | 4 |
Дробилки щековые производительностью, м3/ч: | | | | | | | |
3,5 - 30 | 12 | 10,5 | 8,4 | 7 | 2 | - | 2 |
35 - 120 | 14 | 12,7 | 10,2 | 8,5 | 6 | - | 6 |
Дробилки валковые производительностью 2 - 4 т/ч | 7 | 11,2 | 9 | 7,5 | 6 | - | 6 |
Катки моторные вибрационные весом, т: | | | | | | | |
до 3 | 4 | 13,5 | 10,8 | 9,1 | 2 | - | 2 |
3 - 8 | 5 - 12 | 13,5 | 10,8 | 9,1 | 3 | - | 3 |
10 - 15 | 7 | 11,2 | 9 | 7,5 | 4 | - | - |
Компрессоры стационарные давлением до 7 атм производительностью, м3/мин: | | | | | | | |
0,25 - 0,5 | 2,5 | 17,5 | 14 | 11,7 | 0,5 | - | 0,5 |
3 - 9 | 2,5 | 17,5 | 14 | 11,7 | 2 | - | 2 |
Компрессоры передвижные производительностью до 10 м3/мин | 4 | 22,5 | 18 | 15,1 | 0,5 | - | - |
Копры универсальные | 5 | 13,5 | 10,8 | 9,1 | 4 | 14 | 14 |
Краны башенно-стреловые гусеничные грузоподъемностью, т: | | | | | | | |
25 | 7 | 11,2 | 9 | 7,5 | 4 | 4 | 9,3 |
30 | 14 | 12,7 | 10,2 | 8,5 | 4 | 4 | 9,3 |
50 | 14 | 12,7 | 10,2 | 8,5 | 4 | 6 | 11,2 |
63 | 14 | 12,7 | 10,2 | 8,5 | 6 | 6 | 13,2 |
100 | 14 | 12,7 | 10,2 | 8,5 | 6 | 12 | 19,2 |
160 | 14 | 12,7 | 10,2 | 8,5 | 6 | 16 | 23,2 |
Краны стреловые гусеничные грузоподъемностью, т: | | | | | | | |
5 - 6,3 (максимальная) | 7 | 11,2 | 9 | 7,5 | 2,1 | - | - |
10 - 25 | 12 | 10,5 | 8,4 | 7 | 4 | 6,4 | 6,4 |
40 - 60 | 14 | 12,7 | 10,2 | 8,5 | 4 | 9,3 | 9,3 |
Краны стреловые пневмоколесные грузоподъемностью, т: | | | | | | | |
5 - 16 (максимальная) | 7 | 18,7 | 15 | 12,6 | 0,5 | - | - |
25 | 12 | 17,5 | 14 | 11,7 | 0,5 | 6,4 | 6,4 |
40 | 12 | 17,5 | 14 | 11,7 | 1,5 | 9,3 | 9,3 |
63 | 14 | 21,2 | 17 | 14,2 | 1,5 | 9,3 | 9,3 |
100 | 14 | 21,2 | 17 | 14,2 | 2,5 | 16 | 16 |
Краны: | | | | | | | |
передвижные и переносные грузоподъемностью 0,3 - 1 т | 2,5 | 10,5 | 8,4 | 7 | 0,5 | - | 1,5 |
тракторные монтажные грузоподъемностью 5 - 7 т | 7 | 11,2 | 9 | 7,5 | 3 | 1,0 | 1,3 |
трубоукладчики грузоподъемностью, т: | | | | | | | |
3 - 15 | 7 | 11,2 | 9 | 7,5 | 2,9 | - | - |
25 | 12 | 10,5 | 8,4 | 7 | 3,4 | - | - |
Лебедки с тяговым усилием, тс: | | | | | | | |
до 2 | 2,5 | 10,5 | 8,4 | 7 | 1 | - | - |
3 - 5 | 4 | 13,5 | 10,8 | 9,1 | 1,5 | - | - |
8 - 16 | 7 | 11,2 | 9 | 7,5 | 2 | - | 2 |
Мачтовые строительные подъемники грузоподъемностью 1 т (стоечные) | 5 | 13,5 | 10,8 | 9,1 | 5 | 16 | 10 |
Машины для устройства швов при выполнении дорожных работ | 5 | 13,5 | 10,8 | 9,1 | 0,5 | - | 0,5 |
Насосы производительностью, м3/ч: | | | | | | | |
35 | 2,5 | 10,5 | 8,4 | 7 | 0,5 | - | 0,5 |
36 - 100 | 4 | 13,5 | 10,8 | 9,1 | 1 | - | 1 |
св. 100 | 5 | 13,5 | 10,8 | 9,1 | 2 | - | 2 |
Погрузчики: | | | | | | | |
одноковшовые пневмоколесные грузоподъемностью 1,2 - 2 т | 7 | 18,7 | 15 | 12,6 | - | - | - |
гусеничные - до 5 т | 7 | 11,2 | 9 | 7,5 | 2,9 | - | - |
Растворосмесители передвижные и стационарные вместимостью до 750 л | 4 | 13,5 | 10,8 | 9,1 | 2 | - | 2 |
Растворонасосы производительностью, м3/ч: | | | | | | | |
1 - 3 | 5 | 13,5 | 10,8 | 9,1 | 1,5 | 4 | 3 |
4 - 6 | 5 | 13,5 | 10,8 | 9,1 | 3 | 6 | 4 |
Скреперы прицепные (с трактором) с ковшом вместимостью, м3, до: | 7 | 11,2 | 9 | 7,5 | 2 | - | - |
6 | 7 | 11,2 | 9 | 7,5 | 3,4 | - | - |
1 - 15 | 14 | 12,7 | 10,2 | 8,5 | 3,9 | - | - |
Смесители асфальтобетона | 7 | 11,2 | 9 | 7,5 | 4 | - | - |
Транспортеры ленточные передвижные длиной, м: | | | | | | | |
до 5 | 2,5 | 10,5 | 8,4 | 7 | 1 | - | - |
15 | 4 | 13,5 | 10,8 | 9,1 | 1 | - | 1 |
Транспортеры ленточные звеньевые длиной, м: | | | | | | | |
до 40 | 4 x 4 | 13,5 | 10,8 | 9,1 | 3 | - | 3 |
" 80 | 4 x 8 | 13,5 | 10,8 | 9,1 | 6 | - | 6 |
240 | 4 x 24 | 13,5 | 10,8 | 9,1 | 18 | - | 18 |
Транспортеры шнековые диаметром 300 - 500 мм | 4 | 13,5 | 10,8 | 9,1 | 2 | - | 2 |
Трубоочистные машины: | | | | | | | |
ОМЛ1 (С-238), ОМЛ-10, ОМЛ-4 | 4 | 13,5 | 10,8 | 9,1 | 2 | - | 2 |
ОМЛ-12 | 7 | 11,2 | 9 | 7,5 | 4 | - | 4 |
Укладчики асфальтобетона | 7 | 11,2 | 9 | 7,5 | 4 | - | 4 |
Установки горизонтального бурения УГБ-2, УГБ-4, УГБ-5 | 4 | 13,5 | 10,8 | 9,1 | 3 | - | 3 |
Экскаваторы гусеничные одноковшовые вместимостью, м3: | | | | | | | |
0,25 - 0,4 | 7 | 11,2 | 9 | 7,5 | 2,1 | - | - |
до 0,8 | 7 | 11,2 | 9 | 7,5 | 2,1 | - | - |
1 - 1,25 | 12 | 10,5 | 8,4 | 7 | 4 | - | - |
1,6 - 2,5 | 12 | 10,5 | 8,4 | 7 | 4 | 4 | 4 |
Экскаваторы: | | | | | | | |
пневмоколесные с ковшом вместимостью 0,25 - 0,65 м3 | 7 | 18,7 | 15 | 12,6 | 0,5 | - | - |
многоковшовые непрерывного действия для рытья траншей глубиной до 3,5 м | 7 | 11,2 | 9 | 7,5 | 2,9 | - | - |
Элеваторы цепные вертикальные, наибольшая высота подъема, м: | | | | | | | |
10 | 4 | 13,5 | 10,8 | 9,1 | 2 | - | 2 |
18 | 5 | 13,5 | 10,8 | 9,1 | 3,5 | - | 3,5 |
Электросварочные агрегаты постоянного тока (с двигателем внутреннего сгорания) | 2,5 | 17,5 | 14 | 11,7 | 0,5 | - | - |
То же, постоянного тока (ПС-100, ПС-300, ПС-500) | 4 | 13,5 | 10,8 | 9,1 | 1 | - | - |
Электростанции передвижные мощностью, кВт: | | | | | | | |
до 21 | 2,5 | 17,5 | 14 | 11,7 | 0,5 | - | - |
22 - 150 | 4 | 22,5 | 18 | 15,1 | 0,5 | - | - |
Таблица 23
Стоимость автомобиле-часа эксплуатации грузовых автомобилей
Грузоподъемность автомобиля, т | За один авто-час, руб.-коп. | Дополнительная плата за каждый километр пробега, руб.-коп. |
До 0,5 | 1-00 | 0-06 |
Св. 0,5 до 1,5 | 1-25 | 0-07 |
Св. 1,5 до 3 | 1-40 | 0-08 |
Св. 3 до 5 | 1-50 | 0-11 |
10 | 2-30 | 0-21 |
12 | 2-62 | 0-25 |
Примечание. Св. 5 т за каждую дополнительную тонну грузоподъемности доплачивается 16 коп. и 2 коп. - за каждый километр пробега.
Таблица 24
Затраты и трудоемкость монтажа и демонтажа кранов
(на полную высоту с балластом)
Наименование и марки машин | Затраты на 1 т (без заработной платы), руб. (монтаж и демонтаж) | Зарплата на 1 т массы, руб. (монтаж и демонтаж) | Трудоемкость на 1 т массы, чел.-ч (монтаж и демонтаж) |
Краны башенные грузоподъемностью, т: | | | |
БКСМ-5-5 | 7,26 | 7,9 | 11,7 |
БКСМ-7-6 | 9,9 | 7,5 | 11,1 |
БКСМ-14 | 16,5 | 13,2 | 19,4 |
КБ-160.1М | 3,47 | 2,26 | 3,3 |
КБ-160.2 | 4,62 | 1,9 | 2,8 |
КБ-160.4 | 4,46 | 2,7 | 4 |
КБ-404 | 3,63 | 3,8 | 5,4 |
БК-300 | 9,24 | 10,9 | 15,6 |
КБ-405.2 | 4,79 | 1,5 | 2,1 |
КБ-573 | 2,97 | 3,4 | 5 |
КБ-674-4 | 5,61 | 4,8 | 6,8 |
БК-180 | 4,29 | 3,5 | 5,1 |
КК-405.1 | 4,62 | 1,4 | 1,9 |
Краны стреловые легкие: | | | |
КЛ, БТК-2, БТК-2А | 0,1 | 0,56 | 0,8 |
"Пионер" | 0,68 | 4,1 | 5,8 |
ДИП, Т-108 | 0,45 | 4 | 5,7 |
Таблица 25
Затраты на устройство, разборку и перевозку 1 звена
рельсовых путей
Марка машины | Затраты на устройство, разборку и перевозку 1 звена рельсовых путей, руб.-коп. |
основная заработная плата рабочих, руб.-коп. | затраты на материалы, руб. | масса верхнего строения рельсового пути, т |
МБТК-80; МСТК-90; КБ-60 | 20-52 | 61-60 | 2,3 |
МСК-5-20; КБк-100.1 | 20-52 | 90-51 | 2,8 |
МБСТК-80/100 | 20-52 | 94-39 | 2,8 |
КБ-100; МСК-8/20; МСК-7,5/20 | 20-52 | 102-16 | 2,8 |
КБ-100.0 решетч.; КБ-100.ОС; КБ-100.1 трубч. | 21-10 | 108-53 | 2,8 |
МСК-3-5-20 | 21-67 | 77-46 | 3 |
МСК-5-20А; С-464; КБ-100.2 | 21-10 | 112-42 | 3 |
КБ-100.ОМ | 21-10 | 116-30 | 3 |
МЗ-5-10 | 21-10 | 116-30 | 3,4 |
КБ-306 (С-981); С-981А; МСК-10-20 (МСК-7-25) | 27-41 | 112-40 | 3,4 |
БКСМ-5-5А | 27-41 | 116-29 | 3,4 |
БКСМ-7-9 | 31-95 | 113-77 | 3,4 |
МСК-250 | 31-95 | 117-65 | 3,4 |
БКСМ-5-9 | 31-95 | 117-65 | 3,8 |
КБ-160.2; КБ-160.4; КБ-404 (КС-250); БКСМ-5-10 (Т-223); КБк-160.2; БКСМ-7-5 | 31-95 | 113-19 | 3,8 |
КБ-405 | 31-95 | 152-62 | 3,8 |
Примечание: Затраты на эксплуатацию вспомогательных машин при устройстве, разборке и перевозке 1 звена рельсовых путей составляют 12,25 руб. (компрессор ПКСД-5,25 для рыхления мерзлого грунта в зимнее время, сварочный агрегат для устройства заземления и автокран КС-1562А).