Главная // Актуальные документы // Актуальные документы (обновление 2025.06.02-2025.07.05) // Методические рекомендацииСПРАВКА
Источник публикации
М.: Союздорнии, 1978
Примечание к документу
Название документа
"Методические рекомендации по проектированию и устройству на автомобильных дорогах конструктивных теплоизолирующих слоев из цементогрунтов с пористыми заполнителями"
"Методические рекомендации по проектированию и устройству на автомобильных дорогах конструктивных теплоизолирующих слоев из цементогрунтов с пористыми заполнителями"
Минтрансстроем
МЕТОДИЧЕСКИЕ РЕКОМЕНДАЦИИ
ПО ПРОЕКТИРОВАНИЮ И УСТРОЙСТВУ НА АВТОМОБИЛЬНЫХ ДОРОГАХ
КОНСТРУКТИВНЫХ ТЕПЛОИЗОЛИРУЮЩИХ СЛОЕВ ИЗ ЦЕМЕНТОГРУНТОВ
С ПОРИСТЫМИ ЗАПОЛНИТЕЛЯМИ
Даны рекомендации по проектированию теплоизолирующих слоев из цементогрунтов с пористыми заполнителями (керамзитом, полистиролом, перлитом, аглопоритом) как конструктивных элементов дорожной одежды. Рассмотрены метод теплотехнического расчета и особенности расчета на прочность указанных конструкций. Даны расчетные значения теплофизических, деформативных и прочностных характеристик конструкционных теплоизоляционных материалов.
Изложены требования к грунтам, пористым заполнителям, вяжущим материалам и их композициям. Приведен метод проектирования композиций с заданными теплофизическими и физико-механическими свойствами, а также стоимостный критерий для предварительного определения эффективности устройства слоев из конструкционных теплоизоляционных композиций. Рассмотрены особенности приготовления смеси и производства работ по устройству теплоизолирующего слоя как конструктивного элемента дорожной одежды. Даны примеры конструирования и расчета такой одежды и технологические схемы устройства конструктивного теплоизолирующего слоя.
В Союздорнии, его Ленинградском филиале, МАДИ по договору с Минавтодором РСФСР, Белдорнии и в других организациях выполнены экспериментально-теоретические исследования, направленные на расширение номенклатуры дорожно-строительных материалов за счет создания новых конструкционных теплоизоляционных композиций - цементогрунтов с пористыми заполнителями (керамзит, гранулы полистирола, измельченные отходы пенопласта, перлит, аглопорит). Устройство из этих материалов конструктивных теплоизолирующих слоев позволит существенно уменьшить материалоемкость дорожных одежд и в то же время повысить их прочность, морозоустойчивость и улучшить эксплуатационные качества автомобильных дорог.
Результаты указанных исследований обобщены в настоящих "Методических рекомендациях по проектированию и устройству на автомобильных дорогах конструктивных теплоизолирующих слоев из цементогрунтов с пористыми заполнителями". В них приведены требования к грунтам, пористым заполнителям, вяжущим материалам и их композициям, изложен метод проектирования составов теплоизоляционных смесей с заданными теплофизическими и физико-механическими свойствами, рекомендованы конструкции дорожных одежд со слоями из этих композиций и дан метод теплотехнического расчета. Кроме того, рассмотрены особенности расчета их на прочность. Предложен стоимостный критерий для предварительной оценки эффективности устройства слоев из конструкционных теплоизоляционных материалов.
"Методические рекомендации" разработали докт. техн. наук М.Б. Корсунский (
разд. 1 -
8;
приложения 1,
2,
7), инженеры П.Д. Россовский (
разд. 2,
4,
8), В.Н. Гайворонский (
разд. 2,
8;
приложения 1,
4,
5), Е.А. Золотарь (
разд. 3,
5;
приложения 1,
7), А.А. Михайлов (
разд. 2,
8;
приложения 4,
5,
6) - Ленинградский филиал Союздорнии; кандидаты технических наук Р.А. Агапова (
разд. 2,
3,
8), В.И. Рувинский (
разд. 2,
4,
8;
приложение 3) - Союздорнии; докт. техн. наук А.Я. Тулаев (
разд. 2,
8), инж. В.И. Куканов (
разд. 2,
8) - МАДИ; канд. техн. наук Р.З. Порицкий (
разд. 2,
3,
8) - Белдорнии.
Координация работ и общее редактирование выполнены М.Б. Корсунским.
Замечания и пожелания просьба направлять по адресу: 143900 Балашиха-6 Московской обл., Союздорнии или 191065 Ленинград, ул. Герцена, 19, Ленинградский филиал Союздорнии.
1.1. Настоящие "Методические рекомендации по проектированию и устройству на автомобильных дорогах конструктивных теплоизолирующих слоев из цементогрунтов с пористыми заполнителями" предназначены для использования при проектировании дорожных одежд с покрытиями усовершенствованного типа на пучиноопасных участках вновь сооружаемых или реконструируемых автомобильных дорог.
При использовании настоящих "Методических рекомендаций" следует руководствоваться также "Техническими указаниями по устройству оснований дорожных одежд из каменных материалов, не укрепленных и укрепленных неорганическими вяжущими",
ВСН 184-75 (М., "Транспорт", 1976), "Инструкцией по применению грунтов, укрепленных вяжущими материалами, для устройства оснований и покрытий автомобильных дорог и аэродромов"
СН 25-74 (М., Стройиздат, 1975) и "Методическими
рекомендациями по осушению земляного полотна и оснований дорожных одежд в районах избыточного увлажнения и сезонного промерзания грунтов"
/2/.
1.2. Настоящие "Методические рекомендации" разработаны в развитие
СНиП II-Д.5-72,
СНиП III-Д.5-73, "Инструкции по проектированию дорожных одежд нежесткого типа"
ВСН 46-72 (М., "Транспорт", 1973) и "Методических
рекомендаций по проектированию и устройству теплоизолирующих слоев на пучиноопасных участках автомобильных дорог"
/1/.
1.3. В настоящих "Методических рекомендациях" изложены вопросы проектирования и устройства теплоизолирующих слоев из цементогрунта с пористым заполнителем (керамзит, полистирол, перлит, аглопорит) как конструктивных слоев дорожной одежды.
1.4. Устройство теплоизолирующих слоев следует предусматривать на участках, где технически невозможно или экономически невыгодно применять традиционные способы обеспечения морозоустойчивости конструкций.
1.5. Применение теплоизоляции из цементогрунта с пористым заполнителем целесообразно в тех случаях, когда по условиям проектирования можно ограничиться только уменьшением глубины промерзания земляного полотна и соответственно размеров деформации пучения до допустимых пределов. Допустимую глубину промерзания выбирают в этом случае на основании сравнения вариантов, составленных в соответствии с требованиями ВСН 46-72 к морозоустойчивости конструкций.
Применение указанного теплоизоляционного материала для полного предотвращения промерзания земляного полотна в настоящее время нерационально, так как для этого потребуется теплоизолирующий слой большой толщины, что ни технически, ни экономически не оправдывается.
1.6. Грунт, укрепленный цементом с пористым заполнителем, выполняет не только теплозащитные функции, но и работает как конструктивный слой дорожной одежды, воспринимающий напряжения от действующих нагрузок. Кроме того, теплоизолирующие слои благоприятно влияют на водно-тепловой режим земляного полотна, что способствует повышению прочности и устойчивости всей дорожной конструкции.
1.7. Толщину и расположение теплоизолирующего слоя в конструкции определяют теплотехническим расчетом, основанным на теоретическом решении нестационарной тепловой задачи применительно к слоистому полупространству, на данных исследования процессов промерзания с помощью гидроинтегратора, с учетом влияния температуры вблизи грунтовых вод, а также на результатах наблюдений в натурных условиях за температурным режимом и промерзанием дорожных конструкций с теплоизоляцией.
1.8. Определенную теплотехническим расчетом толщину теплоизолирующего слоя, а также деформативные и прочностные характеристики его материалов учитывают при расчете каждого слоя дорожной конструкции на прочность по трехкритерийному методу в соответствии с указаниями ВСН 46-72. Прочность конструктивного теплоизолирующего слоя оценивают подобно тому, как это делают при расчете промежуточного монолитного слоя дорожной конструкции.
1.9. Теплоизоляционные материалы должны сохранять свои теплофизические, деформативные и прочностные свойства в течение всего периода между капитальными ремонтами дорожной одежды, хорошо противостоять воздействиям мороза и колебаниям температуры и, кроме того, должны быть биостойкими нетоксичными.
1.10. К дорожным одеждам с конструктивными теплоизолирующими слоями предъявляются следующие общие требования:
они должны быть достаточно прочными и долговечными, чтобы противостоять воздействию нагрузок от транспортных средств и влиянию природно-климатических факторов;
экономичными (при возможности максимального использования местных дорожно-строительных материалов);
должны допускать применение комплексной механизации работ без нарушения установленного режима движения механизированного потока при строительстве дороги;
смеси должны быть технологичными, способствующими достижению высокой ровности и обеспечивающими равномерное уплотнение каждого слоя.
2. Требования к грунтам, пористым заполнителям, вяжущим
материалам и составу смесей
2.1. Для устройства теплоизолирующих слоев из цементогрунта с пористым заполнителем можно применять все виды песков, легких крупных, легких пылеватых супесей, легких пылеватых суглинков в соответствии с классификацией грунтов, установленной "Указаниями по проектированию земляного полотна железных и автомобильных дорог"
СН 449-72 (М., Стройиздат, 1973).
Возможно также использование гравийно-песчаных смесей, удовлетворяющих требованиям СНиП на материалы и изделия для автомобильных дорог, а также отходов камнедробления, удовлетворяющих требованиям ВСН 184-75. При определении пригодности грунтов для укрепления цементом должны учитываться требования, изложенные в "Инструкции" СН 25-74.
2.2. Для приготовления цементогрунтовых смесей с пористым заполнителем рекомендуется применять портландцементы, шлакопортландцементы и пуццолановые портландцементы марок, как правило, не ниже 200, отвечающие требованиям СН 25-74. В цементы марки 300 и выше в качестве активной добавки можно вводить золы уноса сухого отбора в соответствии с данными табл. 5 "Инструкции" СН 25-74.
2.3. В качестве пористого заполнителя теплоизоляционной смеси могут быть применены: гравий керамзитовый, получаемый при обжиге силикатных пород (глин, трепела, сланцев) или зол тепловых электростанций; вспученные гранулы полистирола или измельченные отходы жестких пенопластов; перлитовый щебень и песок, получаемые при термической обработке дробленых водосодержащих вулканических стекол; аглопоритовый щебень и песок, получаемые при термической обработке силикатного сырья методом агломерации.
2.4. Зерновой и химический составы, морозостойкость и водопоглощение гравия керамзитового должны отвечать требованиям
ГОСТ 9759-76. Рекомендуется применять керамзитовый гравий марки 550-700 (по объемной массе) класса "А" (по прочности при сжатии).
| | ИС МЕГАНОРМ: примечание. Постановлением Госстроя СССР от 10.04.1991 N 15 с 01.01.1992 введен в действие ГОСТ 10832-91. | |
2.5. Зерновой состав, морозостойкость и водопоглощение перлитового щебня и песка должны отвечать требованиям ГОСТ 10832-74. Рекомендуется применять перлитовый песок марки 150-250 (по объемной массе) и щебень марки 300-600.
2.6. Применяемые в качестве легкой добавки к цементогрунту гранулы полистирола должны удовлетворять требованиям МРТУ 6-05-1019-66. Их насыпная плотность не должна превышать 25 - 50 кг/м3, а размер исходных гранул должен находиться в пределах 0,5 - 3 мм. Перед смешением с другими компонентами гранулы полистирола вспучивают нагреванием до температуры 80 °C и выше.
Вместо гранул полистирола могут применяться также измельченные до размеров 5 - 30 мм отходы жесткого пенопласта с плотностью не менее 60 кг/м3 (ВТУ 6-05-021). Указанные материалы следует хранить в складских помещениях при температуре не выше 35 °C.
| | ИС МЕГАНОРМ: примечание. Постановлением Госстроя СССР от 11.07.1986 N 97 с 01.01.1988 введен в действие ГОСТ 9758-86. | |
2.7. Зерновой и химический составы, морозостойкость и водопоглощение аглопоритового щебня должны отвечать требованиям
ГОСТ 11991-76. Рекомендуется применять аглопоритовый щебень (фракции 5 - 10 мм) марки 500-700 с прочностью при сдавливании в цилиндре по ГОСТ 9758-68 на глубину 20 мм не менее 8 - 12 кгс/см
2 соответственно. Допускается также применение дробленого аглопоритового песка с размером зерен 2 - 5 мм.
2.8. К цементогрунту с пористым заполнителем как к материалу, применяемому в конструктивном теплоизолирующем слое, предъявляются соответствующие требования в отношении физико-механических и теплофизических свойств, учитывающие вид укрепляемого грунта и пористого заполнителя, а также условия работы этого материала в конструкции (климатические и грунтово-гидрологические особенности местности, тип покрытия, интенсивность и состав движения, местоположение слоя в конструкции):
коэффициент теплопроводности не должен превышать 0,6 ккал/м·ч·град, а коэффициент теплоусвоения - 20;
предел прочности при сжатии водонасыщенных образцов в возрасте 28 и 7 суток - не менее 10 - 20 и 6 - 15 кгс/см2;
предел прочности на растяжение при изгибе водонасыщенных образцов-балочек в возрасте 28 суток - не менее 2 кгс/см2;
коэффициент морозостойкости образцов в возрасте 28 суток - не менее 0,65;
коэффициент морозного пучения - не более 1%.
Следует учесть, что коэффициент морозостойкости теплоизоляционного материала есть отношение предела прочности при сжатии после 10 циклов замораживания-оттаивания при температуре -5 °C к пределу прочности при сжатии водонасыщенных образцов, не подвергавшихся промораживанию.
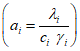
2.9. Теплозащитные свойства материалов характеризуют коэффициентом теплоусвоения Sw, определяемым по формуле

, (2.1)
где

- коэффициент теплопроводности материала при расчетной влажности, ккал/м·ч·град.;
Cw - удельная теплоемкость влажного материала, ккал/кг·град.;

- объемная масса уплотненного до стандартной плотности материала при расчетной влажности, кг/м
3.
3. Проектирование составов смесей
3.1. Соотношение грунта и пористого заполнителя в теплоизоляционном материале, а также качество вяжущего при минимальном его содержании должны обеспечить требуемые прочностные и теплофизические показатели смеси
(п. 2.8).
3.2. Проектирование смеси включает <x>:
--------------------------------
<x> Испытания исходных грунтов и подбор смеси по номограмме
рис. 3.1 проводит проектная организация, окончательный состав смеси устанавливает лаборатория строительной организации.
отбор проб материалов;
определение теплофизических и физико-механических свойств грунта, пористого заполнителя и вяжущего;
подбор состава смеси с коэффициентом теплопроводности менее 0,6 ккал/м·ч·град.;
определение максимальной плотности образца и оптимального содержания воды в смеси;
приготовление трех-четырех пробных замесов с различным содержанием вяжущего;
определение плотности образцов, пределов прочности при сжатии, изгибе (или расколе) после 7-, 28-, 90-суточного хранения во влажных условиях в соответствии с требованиями ВСН 184-75 и СН 25-74, а также коэффициента морозостойкости и степени морозного пучения;
выбор наиболее экономичной смеси, удовлетворяющей требованиям по прочности, теплопроводности, морозостойкости и степени пучинистости;
расчет количества материалов для приготовления 1 м3 плотной смеси и расхода каждого материала из дозатора в единицу времени.
3.3. Используемые для приготовления смеси материалы следует испытывать и устанавливать соответствие их свойств требованиям ГОСТов, СНиПов, Инструкций, Технических указаний и настоящих "Методических рекомендаций".
3.4. Для проведения лабораторных испытаний требуется масса грунта около 60 кг, пористого заполнителя - 10 - 20 кг в зависимости от его вида, а вяжущего - около 10% массы грунта и заполнителя.
3.5. Содержание грунта и пористого заполнителя в единице объема смеси, обеспечивающее требуемое значение коэффициента ее теплопроводности
(п. 2.8) в зависимости от теплофизических свойств заполнителя, определяют по номограмме
рис. 3.1 <x>.
--------------------------------
<x> Номограмма
рис. 3.1 построена по формуле для трехкомпонентных композиций. Эта формула получена Р.З. Порицким на основе общего решения И.А. Золотаря.
Получаемые по этой номограмме данные справедливы при содержании в смеси цемента в пределах 5 - 10% ее массы и коэффициенте теплопроводности грунта от 1,40 до 1,65 ккал/м·ч·град. Указанным диапазоном значений теплопроводности охватываются все грунты, пригодные для приготовления теплоизоляционных смесей.
3.6. При пользовании номограммой
рис. 3.1 значения коэффициентов теплопроводности грунта, пористых заполнителей и вяжущих могут быть приняты по данным
табл. 3.1.
Материал | Коэффициент теплопроводности, ккал/м·ч·град. |
Песок крупный | 1,50 |
Песок средней крупности и мелкий | 1,65 |
Песок пылеватый и супесь | 1,55 |
Суглинок легкий и пылеватый | 1,40 |
Шлак топливный гранулированный | 0,19 |
Керамзитовый гравий | |
фракции 20 - 40 мм | 0,15 |
10 - 20 мм | 0,25 |
5 - 10 мм | 0,35 |
Перлитовый песок | 0,05 |
Перлитовый щебень | 0,07 |
Аглопоритовый щебень | 0,15 |
Вспученные гранулы полистирола | 0,035 |
Цемент | 0,85 |
Битум | 0,15 |
Деготь | 0,18 |
Рис. 3.1. Номограмма для подбора состава теплоизоляционной
смеси цементогрунта с пористым заполнителем; цифры
у кривых - коэффициент теплопроводности пористого
заполнителя, ккал/м·ч·град
3.7. Оптимальную влажность и максимальную плотность смеси грунта и пористого заполнителя (ранее подобранной по номограмме
рис. 3.1) устанавливают методом стандартного уплотнения в соответствии с рекомендациями "Инструкции"
СН 25-74.
Смеси, содержащие вспученные гранулы полистирола или песка перлитового, испытывают в приборе Союздорнии для стандартного уплотнения с объемом цилиндра 1 л, а смеси с гравием керамзитовым или щебнем аглопоритовым либо перлитовым испытывают в специальных цилиндрах-формах емкостью 3 л.
3.8. Смесь приготавливают в лабораторной мешалке принудительного действия. Предварительно высушенные материалы, составляющие смеси, в требуемом количестве подают в мешалку в определенной последовательности: сначала загружают пористый заполнитель и 50 - 60% воды и перемешивают в течение 1 - 2 мин, затем подают грунт, цемент и остальную часть воды. Продолжительность перемешивания всей смеси - около 5 мин.
Для определения оптимального содержания цемента в проектируемом теплоизоляционном материале приготавливают три-четыре замеса, отличающиеся по количеству в нем цемента на 2%.
Количество цемента марки 400 можно варьировать в пределах 4 - 10% массы грунта и пористого заполнителя. При использовании цемента других марок количество его назначают с учетом приведенных ниже коэффициентов:
Марка цемента | Относительный расход, % |
500 .................................. | 0,9 |
400 .................................. | 1,0 |
300 .................................. | 1,2 |
200 .................................. | 1,4 |
3.9. Для оценки физико-механических свойств смесей испытывают по три образца, приготовленных для каждого вида и срока испытания. Форму и размеры образцов выбирают в зависимости от вида испытания и крупности зерен материала по
табл. 3.2.
Размер наиболее крупных зерен материала, мм | Минимальный размер образца цилиндрической или кубической формы для испытания на сжатие, мм | Размер балочек для испытания на изгиб, мм |
5 | 50 | 40 x 40 x 160 |
15 | 75 | 100 x 100 x 400 |
25 | 100 | 100 x 100 x 400 |
40 | 150 | 150 x 150 x 550 |
Смесь в форму засыпают в три слоя, каждый слой штыкуют 25 раз металлическим стержнем. Образцы уплотняют на копре с механическим приводом.
Образцы из смесей можно также приготавливать на прессе в металлических формах с двусторонними вкладышами. Статическую нагрузку на образец выбирают такой, чтобы плотность образца была равна максимальной плотности, определяемой по методу стандартного уплотнения. Как правило, уплотняющее давление составляет примерно 150 кгс/см2, время выдерживания образца под нагрузкой - 3 мин.
3.10. Образцы, вынутые из формы, до испытания выдерживают в камере влажного хранения при температуре 18 - 20 °C, затем насыщают водой в течение 24 ч, взвешивают для установления объемной массы и испытывают.
3.11. Прочность при сжатии образцов определяют по методике, изложенной в ВСН 184-75 и СН 25-74, а при изгибе - по методике ВСН 46-72.
3.12. Испытания на морозостойкость проводят на образцах, хранившихся в течение 28 суток. Из шести образцов каждой смеси три насыщают водой в течение 48 ч, затем замораживают в морозильной камере при температуре не выше -5 °C и оттаивают в воде при температуре 20 °C. Остальные три образца оставляют твердеть во влажной камере до окончания испытания образцов на замораживание-оттаивание. После этого все шесть образцов испытывают на сжатие и определяют коэффициент морозостойкости.
3.13. Теплоизоляционные материалы, полученные на основе пылеватых грунтов, испытывают, кроме того, на морозное пучение по методике, изложенной в ВСН 46-72.
3.14. Из всех испытанных смесей для устройства теплоизолирующего слоя выбирают наиболее экономичную (с меньшим расходом цемента) и отвечающую требованиям
п. 2.8 настоящих "Методических рекомендаций". В целях контроля теплофизических свойств выбранной смеси приготовленные из нее образцы испытывают также на теплопроводность в соответствии с "Методическими
рекомендациями"
/1/.
4. Конструкции дорожных одежд с теплоизолирующими слоями
4.1. Теплоизолирующие слои можно устраивать в один или в два приема в зависимости от общей толщины, устанавливаемой теплотехническим расчетом. Наибольшую толщину нижней и верхней части теплоизолирующего слоя назначают с учетом возможностей уплотняющих средств.
4.2. Общую толщину конструктивного теплоизолирующего слоя, деформативные и прочностные характеристики цементогрунта с пористыми заполнителями учитывают при расчете дорожной одежды по трехкритерийному методу в соответствии с ВСН 46-72 и дополнениями к ним, изложенными в настоящих "Методических рекомендациях".
4.3. Характерные конструкции дорожных одежд с теплоизолирующим слоем из укрепленного цементом грунта с пористыми заполнителями показаны на
рис. 4.1 -
4.3.
Рис. 4.1. Схема конструкции с теплоизолирующим слоем
из цементогрунта с пористым заполнителем:
1 - дорожная одежда, см. разрез А-А (масштаб 1:100); 2 - укрепительная полоса; 3 - укрепление обочины; 4 - песок; 5 - укрепление откосов; 6 - грунт обочин. Разрез по А-А: I - усовершенствованное покрытие; II - основание (щебень, гравий, тощий бетон, укрепленные местные материалы); III - конструктивный теплоизолирующий слой - цементогрунт с легким заполнителем (керамзит, перлит, аглопорит, полистирол); IV - дренирующий (одновременно морозозащитный) слой - песок и другие хорошо фильтрующие материалы
Рис. 4.2. Схема опытной конструкции дорожной одежды
с теплоизолирующим слоем из цементогрунта с уменьшенным
содержанием вяжущего с легким заполнителем в обойме
Рис. 4.3. Схема конструкции с теплоизолирующим слоем
на реконструируемых (усиление дорожной одежды
и уширение проезжей части) пучинистых участках.
4.4. При типе и конструкции теплоизоляции, показанных на
рис. 4.1, допускающих частичное промерзание грунта, не исключена возможность зимнего влагонакопления в земляном полотне. Поэтому для предупреждения ослабления данной конструкции при весеннем оттаивании подстилающего грунта предусматривают дренирующий слой из зернистого материала, который устраивают либо на всю ширину земляного полотна, либо только на ширину проезжей части со сбросом воды из него в пониженных местах с помощью продольных трубчатых дрен.
Толщину дренирующего слоя и качество материала для его устройства определяют по методике, изложенной в
ВСН 46-72 и в "Методических
рекомендациях"
/2/.
Дренирующий слой устраивают, как правило, из материала, не изменяющегося в объеме при промерзании. В этом случае он выполняет одновременно и функции морозозащитного слоя, что следует учитывать при расчете дорожной конструкции на морозоустойчивость по ВСН 46-72.
4.5. На
рис. 4.2 показана конструкция с теплоизолирующим, замкнутым в гидроизоляцию из нетканого материала типа водонепроницаемого "бидима" слоем из цементогрунта (цемента 3 - 4%) с легкими заполнителями (керамзита более 50%, перлита, аглопорита, полистирола более 30%). Такой теплоизолирующий слой обладает повышенной конструкционной устойчивостью, что позволяет применить его (пока в опытном порядке) на слабых, мокрых, пучинистых участках при отсутствии возможности возведения земляного полотна в насыпи.
4.6. В расчетах теплоизолирующих слоев при реконструкции дорог с усилением и уширением проезжей части (см.
рис. 4.3) должны быть учтены теплозащитные свойства не только новых слоев дорожной одежды, но и существующей конструкции дороги. В рекомендуемой конструкции предусмотрено укрепление основания под уширяемой проезжей частью дороги.
4.7. Теплоизолирующий слой целесообразно устраивать шире проезжей части дороги на 1 м с каждой стороны, чтобы предупредить влияние обочин на промерзание грунта под проезжей частью.
5. Теплотехнический расчет и оценка
морозоустойчивости конструкций
5.1. Дорожная одежда с теплоизолирующим слоем должна достаточно хорошо сопротивляться вредному воздействию воды и мороза, а также напряжениям от транспортной нагрузки. Поэтому при проектировании дорожной одежды производят теплотехнический расчет ее с оценкой морозоустойчивости и расчет на прочность.
5.2. Теплотехнический расчет конструкции ведут применительно к трехслойному полупространству, в котором теплоизоляция представляет собой промежуточный слой
(рис. 5.1).
Рис. 5.1. Модель дорожной конструкции
с теплоизолирующим слоем
При многослойной конструкции слои, находящиеся над теплоизолирующим слоем, можно привести к эквивалентному по теплофизическим характеристикам однородному слою, а слои, лежащие под теплоизоляцией, включая земляное полотно, - к однородному полупространству; расчет ведут в соответствии с "Методическими
рекомендациями"
/1/.
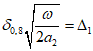
5.3. Толщину теплоизолирующего слоя определяют теплотехническим расчетом в зависимости от параметров изменения температуры поверхности покрытия; климатического показателя, характеризующего скорость промерзания грунта земляного полотна; допускаемых величин его пучения и промерзания; толщин и теплофизических характеристик слоев, находящихся под и над теплоизоляцией; теплофизических свойств самого теплоизоляционного материала и грунта земляного полотна; условий увлажнения и пучинистых свойств этого грунта; места расположения теплоизоляции в конструкции; типа покрытия и периода между капитальными ремонтами.
Для конструкций с теплоизолирующим слоем из цементогрунта с пористым заполнителем, предназначенным для ограничения деформации морозного пучения до допустимой величины, должно быть удовлетворено следующее неравенство:
lпуч <=
lдоп = [
Z]
Kпуч, (5.1)
где lпуч - ожидаемая величина пучения;
lдоп - допускаемое пучение;
[Z] - допускаемая глубина промерзания от низа теплоизолирующего слоя;
Kпуч - коэффициент пучения грунта при 3-м типе местности по условиям увлажнения, доли единицы.
5.4. Установление величины
lдоп представляет собой технико-экономическую задачу. Исходя из недопустимости появления трещин на усовершенствованном покрытии вследствие морозного пучения земляного полотна, величины
lдоп не должны превышать значений, рекомендуемых
ВСН 46-72. Однако они могут быть меньше указанных в
ВСН 46-72 величин, если ровность поверхности покрытия обеспечивает высокую экономическую эффективность работы транспортных средств на дорогах. Так как уменьшение величины
lдоп приводит к удорожанию сооружения дорожной одежды, оптимальное значение
lдоп должно быть установлено на основе технико-экономического сравнения вариантов.
5.5. Коэффициент пучения грунта Kпуч определяют, руководствуясь методикой, изложенной в приложении к ВСН 46-72. При невозможности экспериментально определить коэффициент пучения находят его расчетные значения по формуле

, (5.2)
где B - комплексная характеристика пучинистых свойств грунта (см. табл. 13 ВСН 46-72), см2/сутки;

- климатический показатель (см.
п. 4.24 и
рис. 26 ВСН 46-72), см
2/сутки.
5.6. Располагая значениями
lдоп и
Kпуч, определяют по
формуле (5.1) допускаемую глубину промерзания грунта земляного полотна от низа теплоизолирующего слоя [
Z].
5.7. Для того чтобы подстилающие теплоизоляцию слои и земляное полотно за зиму не промерзли больше, чем на глубину [Z], должно быть выполнено следующее условие:

, (5.3)
где

- допускаемое значение произведения средневзвешенной отрицательной температуры поверхности земляного полотна
t и продолжительности промерзания его

, градусо-часы;

- удельная теплота перехода воды в лед, принимаемая равной 80000 ккал/т;
Wт - влажность грунта при пределе текучести, доли единицы;
Wн - содержание (по массе) незамерзшей воды, доли единицы, определяемое по СНиП II-Б.6-66, п. 2.6;

- коэффициент теплопроводности мерзлого грунта, ккал/м·ч·град.;

- плотность скелета мерзлого грунта, т/м
3.
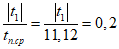
5.8. Допускаемую величину самой низкой отрицательной температуры на нижней границе теплоизолирующего слоя находят по формуле
[t] = |t1| + |tзам|, (5.4)
tп ср - среднегодовая температура поверхности покрытия в наиболее неблагоприятном году <x> за период между капитальными ремонтами, °C (см.
приложение 1);
--------------------------------
<x> Наиболее неблагоприятным годом считают год с максимальной суммой отрицательных температур поверхности покрытия за период между капитальными ремонтами дорожной одежды.
tзам - температура замерзания грунта, принимаемая для песков и супесей равной 0 °C, для легких суглинков - (-0,3 °C), для тяжелых суглинков (-0,6 °C) и для глины - (-1 °C).
Рис. 5.2. График для определения допускаемого значения суммы
отрицательных температур на границе поверхности земляного
полотна и низа теплоизоляции за зиму, градусо-часы
5.9. С учетом закономерностей изменения температуры поверхности покрытия (см.
приложение 1) и значения [
t] производят теплотехнический расчет дорожной одежды с теплоизолирующим слоем. Расчет сводится к определению толщины и местоположения теплоизоляции, при которых выполняется условие

, (5.5)
где

- амплитуда годового колебания температуры поверхности земляного полотна (низа теплоизоляции), °C;

- допускаемое значение этой амплитуды, °C.
5.10. Теплотехнический расчет дорожной одежды ведут с помощью номограмм
рис. 5.3 и
5.4.
Рис. 5.3. Номограмма для расчета теплоизолирующего слоя
из цементогрунта с пористым заполнителем
Рис. 5.4. Номограмма для определения толщины
теплоизолирующего слоя
Sк при

и известном значении
цифры у линий обозначают

Номограмма
рис. 5.3 построена по формуле, связывающей между собой следующие комплексы параметров

,
где
Aп - амплитуда годового колебания температуры поверхности покрытия (см.
приложение 1), °C;
h - толщина слоя, находящегося над теплоизоляцией (общая толщина слоев над теплоизоляцией при многослойной конструкции), м;

- толщина теплоизолирующего слоя, м;

- частота колебаний температуры, 1/ч;
a1 и
a2 - коэффициенты температуропроводности материала, находящегося над теплоизоляцией, и теплоизоляционного материала

, м
2/ч;
Si - коэффициент теплоусвоения материала
i-го слоя, определяемый по
формуле (2.1).
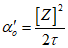
Для того чтобы с помощью номограммы (см.
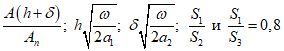
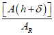
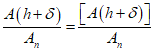
рис. 5.3) рассчитать толщину теплоизолирующего слоя, предварительно вычисляют отношение

, затем на нижней оси номограммы находят точку, соответствующую величине

. Из этой точки ведут вертикаль до пересечения с лучом

, откуда проводят горизонтальную прямую до кривой с заданным значением

. Из точки пересечения опускают перпендикуляр на верхнюю ось абсцисс, отсекающий на ней отрезок

. Зная величины

и
a2, нетрудно вычислить толщину теплоизолирующего слоя

При расчете конструкций, для которых отношение

отличается от 0,8, наряду с номограммой
рис. 5.3 используют также и номограмму
рис. 5.4. В этом случае по предварительно полученной при

(см.
рис. 5.3) величине

и фактическому значению

находят по номограмме
рис. 5.4 значение

, а затем и величину

.
Искомую толщину теплоизолирующего слоя

с учетом теплового потока от грунтовых вод определяют по формуле

, (5.6)
где K1 = 0,8 - коэффициент, учитывающий влияние теплового потока от грунтовых вод на промерзание конструкций.
Пользуясь номограммами
рис. 5.3 и
5.4, можно также определить другие показатели. В частности, можно найти ожидаемую величину амплитуды колебания температуры на нижней границе теплоизолирующего слоя

при известных значениях остальных показателей, связанных между собой номограммами.
5.11. Расчетные величины теплофизических характеристик теплоизоляционного материала из цементогрунта с пористым заполнителем могут быть приняты по
табл. 5.1.
Расчетные значения теплофизических характеристик традиционных дорожно-строительных материалов и грунтов назначают в соответствии с "Методическими
рекомендациями"
/1/.
Наименование и состав материала (% массы) | Объемная масса, кг/м3 | Коэффициент теплопроводности, ккал/м·ч·град. | Удельная теплоемкость, ккал/кг·град. |
Цементогрунт с керамзитом | | | |
песок (75) керамзит (25) цемент (6) | 1500 - 1600 | 0,5 - 0,6 | 0,21 - 0,23 |
Цементогрунт с полистиролом | | | |
песок (97 - 98) гранулы полистирола (3 - 2) цемент (7 - 6) | 1300 - 1500 | 0,35 - 0,50 | 0,30 |
Битумоцементогрунт с перлитом | | | |
перлитовый щебень (25 - 20) песок (75 - 80) цемент (6 - 4) битум (12 - 10) (от массы песка, перлита и цемента) | 1400 - 1450 | 0,40 - 0,50 | 0,32 |
Цементогрунт с аглопоритом | | | |
супесь или песок (70 - 80) аглопорит (30 - 20) цемент (6) | 1700 - 1800 | 0,55 - 0,65 | 0,24 - 0,26 |
Примечание. Показатели теплофизических характеристик цементогрунтов с пористыми заполнителями можно использовать и при расчете теплоизоляции из этих материалов в обойме из нетканого материала (см.
п. 4.6 и
рис. 4.3).
5.12. Морозоустойчивость конструкции с теплоизолирующим слоем оценивают с учетом указаний
ВСН 46-72 применительно к участкам дорог, проходящим по местности 3-го типа по условиям увлажнения. Конструкция морозоустойчива, если
lпуч <= lдоп, (5.7)
где lпуч - расчетное (ожидаемое) значение пучения грунта земляного полотна;
lдоп - допускаемая величина зимнего вспучивания покрытия, принимаемая по
ВСН 46-72 с учетом указаний
п. 5.4 настоящих "Методических рекомендаций".
При определении величины lпуч необходимо учитывать следующие дополнения к ВСН 46-72.
Глубину промерзания от поверхности покрытия и общую приведенную толщину слоев из стабильных материалов, включая теплоизоляцию, надо принимать соответственно равными

, (5.8)
где

и

- эквиваленты материалов слоев, находящихся над теплоизоляцией, и теплоизоляционного материала по отношению к уплотненному щебню, определяемые по формуле

(под корнем - коэффициенты теплопроводности щебня и соответствующих материалов или грунта

).
Климатический показатель определяют по формуле

, (5.9)
где

- продолжительность промерзания земляного полотна, ч, определяемая по формуле

. (5.10)
6. Расчет конструкций на прочность
6.1. При расчете дорожной одежды с конструктивным теплоизолирующим слоем руководствуются указаниями ВСН 46-72 и приведенными ниже дополнениями к ним.
6.2. Прочность теплоизолирующего слоя на растяжение при изгибе рассчитывают аналогично расчету прочности промежуточного слоя из монолитного материала по
ВСН 46-72. Расчетные значения деформативных и прочностных характеристик теплоизоляционного материала принимают по
табл. 6.1.
| | ИС МЕГАНОРМ: примечание. В официальном тексте документа, видимо, допущена опечатка: имеется в виду таблица 5.1, а не 2.3. | |
|
| Модуль упругости, кгс/см2 | Предел прочности при изгибе, кгс/см2 |
Цементогрунт с керамзитом | 3000 | 3 |
То же с полистиролом | 3000 | 2 |
Битумоцементогрунт с перлитом | 2000 - 3000 | 2 - 3 |
Цементогрунт с аглопоритом | 2500 - 3500 | 2,5 - 3,5 |
Примечания: 1. Данные
таблицы могут быть использованы при расчете на прочность конструкций со слоями из цементогрунта с пористым заполнителем в обойме из нетканого материала (см.
п. 4.6 и
рис. 4.2).
2. Меньшие значения относятся к цементогрунтам с пористыми заполнителями типа песков, большие - к материалам типа щебня.
6.3. Если при теплотехническом расчете допускаемая величина морозного пучения земляного полотна
lдоп принята по
ВСН 46-72, то расчетную влажность грунта, от которой зависят расчетные значения его деформативных и прочностных характеристик, также принимают по данным этой
"Инструкции".
6.4. В случае, если величина
lдоп меньше регламентируемой
ВСН 46-72, расчетную влажность грунта земляного полотна прогнозируют методом, изложенным в "Методических
рекомендациях"
/2/. Пользуясь этим методом, следует учитывать данные о глубине промерзания
(п. 5.3) и эквивалентной толщине слоев из стабильных материалов, в том числе и теплоизолирующего слоя. Прочностные и деформативные характеристики при полученной таким образом расчетной влажности назначают по
табл. 4 приложения 2 к "Инструкции" ВСН 46-72.
6.5. Материалы, находящиеся выше теплоизолирующего слоя и ниже его (пески), обычно сохраняют свои свойства, как и в традиционных конструкциях (без теплоизоляции), поэтому значения их расчетных характеристик принимают по ВСН 46-72.
6.6. Величину модуля упругости (см.
табл. 6.1) и толщину теплоизолирующего слоя учитывают при расчете на сдвиг грунтов земляного полотна и слоев из зернистых и слабосвязных материалов, а также при расчете всей конструкции по упругому прогибу в соответствии с указаниями
ВСН 46-72.
7. Эффективность применения цементогрунта с пористым
заполнителем для устройства теплоизолирующих слоев
7.1. Экономическую целесообразность устройства теплоизолирующего слоя в общем случае определяют методом сравнительной эффективности, показывающей, насколько один вариант капитальных вложений эффективнее другого.
7.2. Для участков дорог, где одинаковая морозоустойчивость может быть обеспечена различными способами - традиционным и введением в конструкцию теплоизолирующего слоя, проектное решение принимают на основании технико-экономического анализа обоих вариантов.
7.3. Предварительные сведения об эффективности применения того или иного вида теплоизоляция могут быть получены с помощью формулы, выведенной путем сопоставления первоначальных затрат на устройство дорожной одежды с традиционной морозозащитой и одежды с теплоизолирующим слоем, обеспечивающих в одинаковых климатических и грунтово-гидрологических условиях равную морозоустойчивость конструкции; при этом должно быть выполнено следующее условие:

, (7.1)
где Cп.з - стоимость 1 т пористого заполнителя "в деле" <x>, руб.;
--------------------------------
<x> С учетом транспортных расходов и затрат на приготовление, укладку и уплотнение смеси.

- плотность пористого заполнителя, т/м
3;
Vг - объемное содержание грунта в теплоизоляционном материале, доли единицы;
K - коэффициент, представляющий собой отношение требуемой толщины морозозащитного слоя из традиционных материалов (песок, щебень и другие зернистые материалы) к необходимой толщине теплоизолирующего слоя (см.
приложение 2);

и

- плотность традиционного морозозащитного материала и грунта, т/м
3;
Cт и Cг - стоимость 1 т традиционного материала и грунта для теплоизоляции "в деле", руб.;
m - содержание вяжущего материала, доли массы грунта и пористого заполнителя;
Cц - стоимость 1 т вяжущего материала.
7.4. При невыполнении условия, приведенного в
формуле (7.1), следует произвести более полное сопоставление вариантов. Вариант с теплоизолирующим слоем, требующий дополнительных капиталовложений по сравнению с традиционным, может обеспечить большую экономию в текущих расходах. Поэтому намеченные варианты сопоставляют между собой по сумме приведенных капитальных вложений, дорожных и транспортных эксплуатационных затрат (сумма капитальных вложений и эксплуатационных затрат с учетом фактора времени).
Наилучшим вариантом признают вариант с минимальными приведенными затратами за определенный срок, принятый для сравнения. Методика составления и сравнения вариантов изложены в "Методических
рекомендациях" /
1,
2/.
7.5. При технико-экономическом обосновании конструкции дорожной одежды с теплоизолирующим слоем наряду с количественной оценкой эффективности капитальных вложений по приведенным затратам за определенный срок, принятый для сравнения вариантов, необходимо учитывать также качественные различия и главнейшие натуральные показатели, характеризующие безопасность движения, производительность труда при строительстве и эксплуатации дороги, затраты энергии, потребность в дефицитных материалах и специальных машинах, возможность применения наиболее совершенных индустриальных методов строительства и др.
8. Устройство теплоизолирующих слоев
8.1. Смеси из цементогрунта и битумоцементогрунта с пористыми заполнителями, предназначенные для устройства теплоизолирующих слоев, следует приготавливать в установках циклического или непрерывного действия с принудительным перемешиванием. Могут быть использованы установки С-951, СБ-93, СБ-75, СБ-78, применяемые в настоящее время для приготовления бетона, а также Д-709, в которых приготавливают цементогрунтовые смеси.
8.2. Все оборудование, в том числе смесительные установки и транспортные устройства, занятое на приготовлении смесей цементогрунта и битумоцементогрунта с пористыми заполнителями, должно быть герметичным. В комплект оборудования должно быть включено устройство для погрузки получаемого в мешках пористого (легкого) заполнителя в расходный бункер. Подача пористого заполнителя из расходного бункера в смесительную установку должна производиться через дозатор объемов.
8.3. Последовательность подачи в установку составляющих смеси и режим перемешивания зависят главным образом от вида пористого заполнителя, его прочности, дробимости, зернового состава, плотности и характера пор (замкнутые или открытые).
8.4. При приготовлении цементогрунта с керамзитом составляющие смеси подают в установку в такой последовательности: сначала загружают керамзит, подают около 50% воды и в течение 1 - 2 мин перемешивают, затем подают песок, цемент и остальную часть воды и всю смесь перемешивают в течение 3 - 5 мин. Более точно продолжительность перемешивания устанавливают на месте производства работ в зависимости от качества составляющих, свойств цементогрунтово-керамзитовой смеси, типа и емкости применяемых смесительных установок.
8.5. При приготовлении цементогрунта с полистиролом в смеситель вводят последовательно часть песка, цемент, воду и перемешивают в течение 3 - 4 мин. Затем добавляют предварительно вспученные гранулы полистирола или измельченные отходы пенопласта, а также оставшуюся часть песка и всю смесь перемешивают в течение 3 - 4 мин.
Такая последовательность загружения смесителя и перемешивания обусловлена необходимостью предотвратить разбрасывание и смятие частиц пенопласта лопастями в процессе перемешивания.
8.6. Битумоцементогрунт с перлитом приготавливают так: сначала в смеситель подают песок, цемент, перлит и перемешивают их в течение 1,0 - 1,5 мин, затем в смесь добавляют битумную эмульсию, воду и окончательно перемешивают всю смесь в течение 1,5 - 2,0 мин.
8.7. Последовательность подачи в смесительную установку составляющих цементогрунта с аглопоритом такова: подают супесь или песок, аглопоритовый щебень и цемент. Смесь перемешивают с одновременным увлажнением ее до оптимальной влажности.
8.8. К месту производства работ готовую смесь вывозят самосвалами. Для распределения смеси по подготовленной поверхности земляного полотна или песчаного основания и ее предварительного уплотнения целесообразно использовать универсальный укладчик Д-724 с вибробрусом. Окончательное уплотнение слоя производят самоходным пневмокатком Д-627.
Для ухода за слоем из свежеуложенной смеси могут быть использованы пленкообразующие материалы (ПМ-86 и ПМ-100А). Допускается также применение защитных пленок из битумных эмульсий, засыпка теплоизолирующего слоя песком (толщина слоя 5 см) или поливка водой.
8.9. Приготовление теплоизоляционного материала непосредственно на дороге допускается только из цементогрунта с керамзитом при строительстве опытных участков небольшой протяженности. В этом случае приготовление смеси и устройство из нее теплоизолирующего слоя представляют собой единый процесс.
Так как керамзит является более легким материалом, чем грунт, производство работ по устройству теплоизолирующего слоя необходимо вести в такой последовательности: сначала по подготовленной поверхности земляного полотна или песчаного основания автогрейдером равномерно распределяют керамзит, затем по нему отсыпают и разравнивают песок. Далее цементораспределителем ДС-72 подают в песок цемент на глубину около 8 см. Всю смесь увлажняют с помощью поливо-моечной машины и перемешивают дорожной фрезой за 1 - 2 прохода. После перемешивания материал уплотняют самоходным пневмокатком. Уход за слоем производят в соответствии с рекомендациями
п. 8.8.
8.10. При проектировании организации работ по устройству теплоизолирующих слоев из цементогрунтов с пористыми заполнителями необходимо составить технологические схемы (
приложения 3 -
6), на основе которых устанавливают состав отряда машин и механизмов, стоимость их эксплуатации и заработную плату рабочих за смену.
Примеры технологических схем устройства теплоизолирующих слоев и порядок пользования схемами приведены в
приложениях 3 -
5.
8.11. В контроль производства работ входит: оценка качества исходных материалов, проверка запроектированного состава смеси с учетом фактической влажности материалов, контроль работы дозаторов и герметичности смесительной установки со вспомогательным оборудованием, контроль качества приготовления смеси, контроль качества устройства теплоизолирующего слоя и ухода за ним.
В основном весь цикл контроля при устройстве конструктивных теплоизолирующих слоев не отличается от контроля, осуществляемого при строительстве оснований дорожных одежд из грунтов (материалов), укрепленных вяжущими веществами. Поэтому в данном случае следует руководствоваться соответствующими рекомендациями ВСН 184-75 и СН 25-74.
Контроль качества пористых заполнителей осуществляют в соответствии с требованиями ГОСТов на них (см.
пп. 2.4 -
2.7).
ЗНАЧЕНИЯ СРЕДНЕГОДОВОЙ ТЕМПЕРАТУРЫ ПОВЕРХНОСТИ
АСФАЛЬТОБЕТОННОГО ПОКРЫТИЯ tп.ср И АМПЛИТУДЫ КОЛЕБАНИЯ
ЕЕ Aп В РАСЧЕТНОМ ГОДУ
Город | tп ср, °C | Aп, °C |
Великие Луки | 10,72 | 12,76 |
Вильнюс | 12,44 | 20,62 |
Вологда | 8,46 | 22,56 |
Вышний Волочек | 10,12 | 21,20 |
Горький | 11,04 | 24,12 |
Иваново | 9,02 | 23,34 |
Казань | 9,62 | 25,18 |
Калинин | 9,56 | 23,24 |
Калуга | 10,60 | 23,86 |
Каунас | 12,90 | 21,16 |
Кострома | 9,28 | 23,94 |
Киров | 8,08 | 24,86 |
Курск | 11,82 | 22,54 |
Ленинград | 9,92 | 22,64 |
Минск | 12,59 | 22,22 |
Москва | 11,12 | 22,70 |
Новгород | 9,68 | 20,14 |
Пермь | 9,28 | 27,80 |
Петрозаводск | 7,38 | 20,98 |
Псков | 10,68 | 21,74 |
Рига | 11,59 | 20,88 |
Рязань | 10,18 | 25,44 |
Саратов | 13,58 | 28,16 |
Смоленск | 10,98 | 23,16 |
Таллин | 10,06 | 18,62 |
Тамбов | 12,16 | 25,68 |
Примечание. Расчетным годом является год с максимальной суммой отрицательных температур поверхности покрытия за период между капитальными ремонтами дорожной одежды (в данном случае 20 лет)
ОТНОШЕНИЕ ТРЕБУЕМОЙ ТОЛЩИНЫ МОРОЗОЗАЩИТНОГО СЛОЯ
ИЗ ТРАДИЦИОННЫХ МАТЕРИАЛОВ К НЕОБХОДИМОЙ ТОЛЩИНЕ
ТЕПЛОИЗОЛИРУЮЩЕГО СЛОЯ

| Грунт земляного полотна |
пучинистый | сильно пучинистый и чрезмерно пучинистый |
Великие Луки | 3,3 | 3,6 |
Вильнюс | 3,4 | 3,5 |
Вологда | 2,6 | 3,1 |
Вышний Волочек | 3,4 | 3,8 |
Горький | 4,0 | 4,5 |
Иваново | 2,9 | 3,0 |
Казань | 3,0 | 3,1 |
Калинин | 2,7 | 3,0 |
Калуга | 2,3 | 2,4 |
Каунас | 2,8 | 3,1 |
Кострома | 2,6 | 3,3 |
Киров | 3,1 | 3,2 |
Курск | 3,6 | 3,7 |
Ленинград | 2,4 | 2,6 |
Минск | 2,5 | 3,4 |
Москва | 4,1 | 4,6 |
Новгород | 2,9 | 3,4 |
Пермь | 2,8 | 3,8 |
Петрозаводск | 1,6 | 2,3 |
Псков | 2,9 | 3,0 |
Рига | 0,6 | 1,1 |
Рязань | 3,2 | 3,6 |
Саратов | 4,0 | 4,4 |
Смоленск | 2,9 | 3,1 |
Таллин | 2,6 | 3,2 |
Тамбов | 4,1 | 4,3 |
Значения коэффициента K даны применительно к теплоизоляционному материалу из грунта с керамзитом, укрепленного цементом. При других теплоизоляционных материалах величины коэффициентов K определяют по формуле

, (1)
где

- отношение толщин традиционного морозозащитного и теплоизолирующего слоев, принимаемое по
таблице;

,
C,

- расчетные значения коэффициента теплопроводности, удельной теплоемкости и плотности конструкционного теплоизоляционного материала.
Технологическая схема <x>
устройства теплоизолирующего слоя шириной 8 м
и толщиной 10 см из цементогрунта с перлитом
при дальности возки готовой смеси 10 км
--------------------------------
<x> Технологическая схема составлена инженерами В.И. Чуевым и Р.М. Ефимовой.
Технологическая последовательность рабочих процессов и потребность в ресурсах | Производительность за смену | Потребность машино-смен на 1 км |
1. Разработка песчаного грунта II группы в карьере с перемещением его к приемному бункеру транспортера на среднее расстояние 50 м бульдозером Д-492А. Потребность в грунте на 1 км от веса сухой смеси (песок, перлит, цемент) в количестве 66% (объемный вес сухой смеси - 1,43 гс/см3) 1000 x 8 x 0,1 x 1,43 x 0,66 x 1,03 = 778 т | 510 | 1,5 |
2. Подвозка воды поливо-моечными машинами ПМ-130 на среднее расстояние 3 км в количестве 9% массы сухой смеси 1000 x 8 x 0,1 x 1,43 x 0,09 x 1,03 = 106 тыс. л | 61 | 1,7 |
3. Подвозка цемента автоцементовозом С-853 на среднее расстояние 10 км в количестве 4% массы сухой смеси. Потребность в цементе на 1 км 1000 x 8 x 0,1 x 1,43 x 0,04 x 1,03 = 47 т | 30 | 1,6 |
4. Подвозка битумной эмульсии 50%-ной концентрации автобитумовозом Д-642 на среднее расстояние 10 км в количестве 10% массы сухой смеси. Потребность битумной эмульсии на 1 км 1000 x 8 x 0,1 x 1,43 x 0,1 x 1,03 = 117,8 т | 24 | 4,9 |
5. Подвозка перлита на бортовых автомобилях ЗИЛ-130 на среднее расстояние 10 км в количестве 30% массы сухой смеси. Потребность в перлите на 1 км (объемный вес перлита - 0,08 гс/см3) 1000 x 8 x 0,1 x 1,43 x 0,3 x 1,03 = 353 т, или 4410 м3 | 47,6 | 92,6 |
6. Подача компонентов в смеситель Д-709, перемешивание и одновременное увлажнение смеси до оптимальной влажности, выгрузка смеси в накопительный бункер. Потребность в готовой смеси на 1 км 1000 x 8 x 0,1 x 1,7 x 1,03 x 1,18 = 1653 т | 660 | 2,5 |
7. Подвозка готовой смеси к месту укладки самосвалами ЗИЛ-ММЗ-555 на среднее расстояние 10 км, т | 36 | 45,9 |
8. Профилирование земляного полотна автогрейдером Д-557 при скорости движения 3 км/ч за 6 круговых проходов, м2 | 7600 | 1,05 |
9. Укладка смеси в основание универсальным укладчиком Д-724 и предварительное уплотнение вибробрусом укладчика, м2 | 2850 | 2,8 |
10. Окончательное уплотнение уложенного слоя самоходным катком на пневматических шинах Д-627 за 10 проходов по одному следу, м2 | 3310 | 2,4 |
11. Доставка и розлив битумной эмульсии в количестве 1,2 л/м2 автогудронатором Д-640. Потребность в битумной эмульсии на 1 км 1000 x 8 x 1,2 = 9,6 т | 18,5 | 0,7 |
Технологическая схема
устройства теплоизолирующего слоя шириной 8 м и толщиной
16 см из цементогрунта с керамзитом (50% объема смеси)
при приготовлении смеси в карьерной грунтосмесительной
установке Д-709
Технологическая последовательность рабочих процессов и потребность в ресурсах | Производительность за смену |
1. Разработка песчаного грунта в притрассовом карьере фронтальным погрузчиком на пневматических шинах (Д-660, ТО-18) или бульдозером на тракторе Т-130 или Т-100 с загрузкой грунта в приемный бункер-питатель грузоизмельчающего агрегата Д-709. Потребность в грунте на 1 км основания 1000 x 8 x 0,16 x 0,50 x 1,76 x 1,03 = 1160,19 т | 430 |
2. Подвозка цемента на расстояние 25 км автоцементовозами грузоподъемностью 13,5 т (С-972) в количестве 5 - 6% массы грунта с разгрузкой в емкости расходного склада. Потребность в цементе на 1 км основания 1000 x 8 x 0,16 x 2 x 0,05 x 1,03 = 132 т | 28 |
3. Подвозка керамзита на расстояние 25 км на керамзитовозах АП-14К с автомобилем-тягачом (МАЗ-503, МАЗ-205) грузоподъемностью 7 т в количестве 50% объема грунта с разгрузкой в емкости расходного склада. Потребность в керамзите на 1 км основания 1000 x 8 x 0,16 x 2 x 0,50 x 1,03 = 132 т | 28 |
4. Подвозка воды автоцистернами на расстояние 2 км со сливом в расходную емкость. Потребность в воде при 5%-ном увлажнении смеси 1000 x 8 x 0,16 x 2 x 0,05 x 1,03 = 132 т | 36 |
5. Приготовление укрепленной цементогрунтокерамзитовой смеси в грунтосмесительной установке Д-709 с дозированием всех компонентов, их перемешиванием и выгрузкой в бункер-накопитель. Потребность в готовой смеси на 1 км основания 1000 x 8 x 0,16 x 2 x 1,03 = 2640 т | 560 |
6. Перевозка готовой смеси от смесительной установки к месту укладки в основание автомобилями-самосвалами грузоподъемностью 7 т (МАЗ-503, МАЗ-205) на среднее расстояние 10 км - 2640 т | 32 |
7. Исправление, восстановление профиля земляного полотна, песчаного слоя укладкой смеси в основание автогрейдером мощностью 75 - 90 л.с. (ДЗ-40А) за шесть круговых проходов - 1 км | 0,7 |
8. Контрольная укладка земляного полотна после восстановления, исправления песчаного слоя профиля верхней его части самоходным катком на пневматических шинах ДУ-31 (Д-627) со скоростью 2 - 3 км/ч двумя проходами по одному следу - 1 км | 1,4 |
9. Укладка смеси в основание универсальным укладчиком Д-724 и предварительное уплотнение вибробрусом укладчика - 2640 м2 | 560 |
10. Окончательное уплотнение уложенного слоя самоходным катком на пневматических шинах Д-627 за 10 проходов по одному следу - 1 км | 0,35 |
11. Подвозка битумной эмульсии на расстояние 25 км и розлив эмульсии по готовому основанию в количестве 1,0 - 1,2 л/м2 автогудронатором Д-640 с цистерной емкостью 3500 л. Потребность в битумной эмульсии на 1 км основания 1000 x 8 x 1,62 x 1,03 = 9,9 т | 14 |
Потребность в машино-сменах на 1 км теплоизолирующего слоя
Грунтосмесительная установка Д-709 ........................................... | 4,7 |
Самоходный укладчик Д-724 .......................................................... | 4,7 |
Самоходный каток на пневматических шинах Д-627 ................... | 3,6 |
Автогрейдер ДЗ-40А ........................................................................ | 1,4 |
Фронтальный пневмоколесный погрузчик ТО-18 ....................... | 4,5 |
Автогудронатор ДС-39А ................................................................. | 0,7 |
Автоцементовоз С-972 .................................................................... | 20,1 |
Поливо-моечная машина ПМ-130 .................................................. | 4,3 |
Автомобили-самосвалы МАЗ-205, МАЗ-503 ................................ | 82,3 |
Битумовоз ДС-41А ........................................................................... | 13,0 |
Технологическая схема
устройства теплоизолирующего слоя шириной 8 м и толщиной
16 см из цементогрунта с керамзитом (50% объема смеси)
при приготовлении непосредственно на дороге
дорожной фрезой ДС-74
Технологическая последовательность рабочих процессов и потребность в ресурсах | Производительность за смену |
1. Разработка песчаного грунта в притрассовом карьере пневмоколесным фронтальным погрузчиком ТО-18 - 1160 м3 | 430 |
2. Исправление, восстановление профиля земляного полотна или песчаного слоя перед укладкой смеси в основание автогрейдером мощностью 75 - 90 л.с. (ДЗ-40А) за 6 круговых проходов - 1 км | 0,7 |
3. Контрольная укладка земляного полотна после восстановления, исправления верхней его части самоходным катком на пневматических шинах ДУ-31 (Д-627) со скоростью 2 - 3 км/ч двумя проходами по одному следу - 1 км | 1,4 |
4. Подвозка керамзита на керамзитовозах АП-14К с автомобилем-тягачом (МАЗ-503, МАЗ-205) грузоподъемностью 7 т на среднее расстояние 10 км. Потребность в керамзите на 1 км в количестве 50% объема слоя (объемный вес керамзита 550 кгс/м3) 1000 x 8 x 0,16 x 0,50 x 0,55 x 1,03 = 226,6 т | 25,5 |
5. Распределение керамзита по готовому земляному полотну автогрейдером мощностью 75 - 90 л.с. (ДЗ-40А) - 1 км | 0,75 |
6. Подвозка песчаного грунта автосамосвалами грузоподъемностью 7 т (МАЗ-503, МАЗ-205) на среднее расстояние 10 км. Потребность в песчаном грунте на 1 км в количестве 50% объема слоя (объемный вес грунта - 1,76) 1000 x 8 x 0,16 x 0,50 x 1,03 x 1,76 = 1160,19 т | 300 |
7. Распределение песчаного грунта по керамзиту автогрейдером мощностью 75 - 90 л.с. (ДЗ-40А) - 1 км | 0,75 |
8. Подвозка и распределение цемента цементораспределителем ДС-72 на базе трактора Т-158 (емкость цистерны 6,8 м3) в количестве 6% массы смеси. (Цемент вводится в песчано-керамзитовую смесь через гребенку сошников на глубину 7 - 8 см). Потребность в цементе на 1 км основания 1000 x 8 x 0,16 x 2 x 0,06 x 1,03 = 158,2 т | 16,5 |
9. Подвозка воды поливо-моечной машиной ПМ-130 на расстояние 2 км. Потребность в воде при 5%-ном увлажнении смеси 1000 x 8 x 0,16 x 2 x 0,05 x 1,03 = 132 т | 36 |
10. Перемешивание смеси дорожной фрезой ДС-74 и увлажнение смеси через дозировочно-распределительную систему фрезы с выполнением этих операций за два прохода фрезы по одному следу на III рабочей скорости (0,265 км/ч) <x> - 1 км | 0,19 |
11. Уплотнение смеси самоходным катком Д-627 на пневматических шинах за 10 проходов по одному следу - 1 км | 0,35 |
12. Доставка и розлив битумной эмульсии в количестве 1,0 - 1,2 л/м2 автогудронатором Д-640. Потребность в битумной эмульсии на 1 км 1000 x 8 x 1,2 x 1,03 = 9,9 т | 14 |
--------------------------------
<x> Для перемешивания песчано-керамзитовой смеси с вяжущим могут быть использованы сельскохозяйственные культиваторы глубокого рыхления или лущильники
Потребность в машино-сменах для устройства 1 км
теплоизолирующего слоя
Фронтальный пневмоколесный погрузчик ТО-18 ......................... | 4,5 |
Автогрейдер ДЗ-40А .......................................................................... | 1,4 |
Самоходный каток на пневматических шинах Д-627 ..................... | 3,6 |
Автомобили-самосвалы МАЗ-205, МАЗ-503 .................................. | 82,3 |
Поливо-моечная машина ПМ-130 .................................................... | 4,3 |
Фреза дорожная ДС-74 с колесным трактором Т-158 .................... | 15,8 |
Распределитель цемента ДС-72 с колесным трактором Т-158 ...... | 6,4 |
Автогудронатор Д-640 ....................................................................... | 0,7 |
Битумовоз ДС-41А ............................................................................. | 13,0 |
МАШИНЫ, ИСПОЛЬЗУЕМЫЕ ДЛЯ УСТРОЙСТВА ДОРОЖНЫХ КОНСТРУКЦИЙ
С ТЕПЛОИЗОЛИРУЮЩИМИ СЛОЯМИ, И ТАРИФНЫЕ СТАВКИ
ОБСЛУЖИВАЮЩИХ ИХ РАБОЧИХ
Машины | Количество рабочих, обслуживающих машины | Разряд | Тарифная ставка, руб. |
Бульдозер Д-492А | 1 | 6 | 6,48 |
Поливо-моечная машина ПМ-130 | 1 | 3 | 5,00 |
Цементовоз С-853 | 1 | 3 | 5,00 |
Битумовоз Д-642 | 1 | 3 | 5,00 |
Бортовой автомобиль ЗИЛ-130 | 1 | 3 | 6,48 |
Смеситель Д-709 | 1 | 5 | 5,76 |
То же | 1 | 6 | 6,48 |
Автогрейдер Д-557 | 1 | 6 | 5,76 |
Универсальный укладчик Д-724 | 1 | 6 | 6,48 |
Каток на пневматических шинах Д-627 | 1 | 5 | 6,48 |
Автогудронатор Д-640 | 1 | 6 | 6,48 |
То же | 1 | 5 | 5,76 |
Автомобиль-самосвал ЗИЛ-555 | 1 | 3 | 5,00 |
Фронтальный пневмоколесный погрузчик ТО-18 | 1 | 6 | 6,48 |
Автомобиль-самосвал МАЗ-503 | 1 | 3 | 5,00 |
Распределитель цемента ДС-72 | 1 | 3 | 5,00 |
Фреза дорожная ДС-74 с колесным трактором Т-158 | 1 | 6 | 6,48 |
ПРИМЕР ПРОЕКТИРОВАНИЯ И РАСЧЕТА
Запроектировать дорожную одежду с асфальтобетонным покрытием и конструктивным теплоизолирующим слоем из битумоцементогрунта с перлитом.
Исходные данные. Пучиноопасный участок дороги II категории находится на территории Московской обл. (II дорожно-климатическая зона). При проектировании продольного профиля дороги установлено, что расстояние от поверхности покрытия до расчетного уровня грунтовых вод должно составлять 1,6 м (3-й тип местности по условиям увлажнения). Грунт земляного полотна - пылеватая супесь.
Расчетная приведенная интенсивность движения по дороге 500 авт/сутки на одну полосу (с учетом перспективы). Расчетная нагрузка - автомобиль группы "А" по ГОСТ 9314-59.
Для устройства основания дорожной одежды строительная организация может использовать битумоминеральную смесь (асфальтобетон по ГОСТ 9128-76), битумоцементогрунт с перлитом и песок средней крупности и мелкий.
Прежде чем приступить к проектированию дорожной конструкции, необходимо определить экономическую целесообразность устройства на данном пучиноопасном участке конструктивного теплоизолирующего слоя из битумоцементогрунта с перлитом. Для этого следует воспользоваться
формулой (7.1) и приведенными ниже данными о содержании и стоимости составляющих теплоизоляционного материала, а также о соотношении требуемой толщины морозозащитного слоя из традиционных материалов (в данном случае пески средней крупности) и необходимой толщины теплоизолирующего слоя
(приложение 2). Плотность перлита "в деле"

; объемное содержание грунта (мелкого песка) в теплоизоляционном материале (в долях единицы)
Vг = 0,64; коэффициент
K = 4,6 (по
приложению 2); плотность песка средней крупности

и мелкого -

; стоимость 1 т песка средней крупности "в деле"
Cт = 1,0 руб. и мелкого
Cг = 0,3 руб.; содержание вяжущего материала (битума и цемента), доли массы грунта и перлита,
m = 0,11; стоимость 1 т вяжущего материала (цемента и битума) "в деле"
Cц = 25 руб., стоимость 1 т перлита ~ 14 руб.
По
формуле (7.1) находят стоимость 1 т перлита, при которой выгодно устраивать теплоизолирующий слой вместо традиционного теплозащитного слоя:
Конструирование и расчет
1. Исходя из эксплуатационных требований к проезжей части дороги и с учетом возможностей строительной организации, намечают следующую конструкцию дорожной одежды: покрытие - два слоя асфальтобетона, верхний слой основания - битумоминеральная смесь, нижний конструктивный теплоизолирующий слой основания - битумоцементогрунт с перлитом, дренирующий слой - песок средней крупности.
2. Теплотехнический расчет производят следующим образом. Назначают расчетные значения теплофизических характеристик слоев дорожной конструкции:
а) для верхнего и нижнего слоев асфальтобетона

;
б) для битумоминеральной смеси

;
в) для битумоцементогрунта с перлитом

;
г) для песка средней крупности

;
д) для грунта земляного полотна (супеси пылеватые)

.
Характеристики для песка и грунта земляного полотна относятся к мерзлому их состоянию, потому что допускается некоторое промерзание среды под теплоизолирующим слоем. Толщины слоев конструкции показаны на
рисунке.
Схема конструкции к примеру приложения 7:
1 - 2 - верхний и нижний слои асфальтобетонного покрытия;
3 - битумоминеральная смесь; 4 - битумоцементогрунт
с перлитом; 5 - песок средней крупности;
6 - супесь пылеватая
Многослойная конструкция, приводимая к трехслойной расчетной модели (см.
п. 5.2), характеризуется следующими значениями параметров:

;

;

;

;

.
По
приложению 1 находят, что расчетные параметры годовой закономерности изменения температуры поверхности покрытия для района Москвы равны:
tп ср = 11,12 °C и Aп = 22,70 °C.
По
формуле (5.1) определяют допускаемую глубину промерзания среды под теплоизоляцией [
Zгр]. Для этого предварительно по "Инструкции"
ВСН 46-72 устанавливают, что для одежд с асфальтобетонным покрытием величина пучения не должна превышать 4 см, т.е.
lдоп = 4 см. Затем по
формуле (5.2) находят, что коэффициент пучения для пылеватой супеси

. Величины параметров
B и

приняты по
ВСН 46-72.

;
допускаемая глубина промерзания среды под теплоизоляцией (с учетом слоя песка) равна
[Z] = [Zгр] + 22 = 51 + 22 = 73 см.
По
формуле (5.3), учитывающей фазовые превращения воды, определяют допускаемое значение произведения средневзвешенной отрицательной температуры на нижней границе теплоизолирующего слоя и продолжительности промерзания среды под ним

:

.
Здесь в
формулу (5.3) подставлены значения параметров для песка средней крупности, так как он находится непосредственно под теплоизоляцией.
По графику
рис. 5.2 при известном значении

находят, что

, откуда
t1 = -2,23 °C, а [
t1 +
tзам] = -[
t] = -2,23 °C, так как песок замерзает при 0 °C (см.
п. 5.8).
По
формуле (5.5) определяют допускаемую амплитуду годового колебания температуры на нижней границе теплоизолирующего слоя:

.
Для того чтобы промерзание среды под теплоизоляцией не превысило 73 см, в том числе 51 см в грунте земляного полотна, необходимо соблюдать следующее соотношение амплитуд:

.
При отношении амплитуд 0,588 и

, а также

находят по номограмме
рис. 5.3 
, а по номограмме
рис. 5.4 при

устанавливают, что

или

.
--------------------------------
<x> Индекс 0,95 при

обозначает, что толщина теплоизолирующего слоя найдена для

.
С учетом влияния теплового потока от грунтовых вод (см.
п. 5.10) толщину теплоизолирующего слоя из битумоцементогрунта с перлитом принимают равной

.
3. Оценивают морозоустойчивость конструкции (см.
рисунок) в соответствии с требованиями
ВСН 46-72 и с учетом
п. 5.12 настоящих "Методических рекомендаций".
Предварительно выполняют следующие расчеты. Устанавливают эквивалентную глубину промерзания конструкции от поверхности покрытия по
формуле (5.8):

.
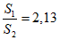
Уточняют расчетную толщину слоев из стабильных материалов включая битумоцементогрунт с перлитом, с учетом теплофизических эквивалентов Z1,э = 1,39 - 0,51 = 0,88 м.

,
где

.
С учетом этих предварительных расчетов по номограмме
рис. 2.4 ВСН 46-72 при

,

находят, что

откуда

.
Следовательно, необходимая морозоустойчивость конструкции обеспечивается.
4. Оценивают прочность конструкции (см.
рисунок). Так как величина

соответствует норме по
ВСН 46-72, то согласно
п. 6.3 расчетную влажность грунта принимают также по этой
"Инструкции".
Для пылеватой супеси, при 3-м типе местности (по условиям увлажнения) во II дорожно-климатической зоне, расчетное значение влажности с учетом пригрузки от вышележащих стабильных материалов равно 0,85 Wт (см. приложение 2 ВСН 46-72).
Для оценки прочности намеченной конструкции (см.
рисунок) принимают следующие расчетные значения деформационных и прочностных характеристик:
а) модуль упругости верхнего слоя асфальтобетона при +10 °C - 15000 кгс/см2, а нижнего - 10000 кгс/см2, сопротивление растяжению при изгибе асфальтобетона (нижнего слоя) при N = 500 авт/сутки Ru = 12·1 = 12 кгс/см2 (см. приложение 3 ВСН 46-72);
б) модуль упругости битумоминерального материала - 8000 кгс/см2;
в) модуль упругости битумоцементогрунта с перлитом - 2000 кгс/см
2: сопротивление растяжению при изгибе
Ru = 2 кгс/см
2 (см.
табл. 6.1);
г) модуль упругости песка средней крупности 1200 кгс/см
2; параметры сдвига:
C = 0,05 кгс/см
2;

(
приложение 2 ВСН 46-72);
д) расчетная влажность грунта земляного полотна (пылеватая супесь) - 0,85
Wт; при этой влажности модуль упругости грунта
E = 210 кгс/см
2;

;
C = 0,07 кгс/см
2 (см.
табл. 4 приложения 2 ВСН 46-72).
Требуемый общий модуль упругости конструкции при N = 500 авт/сутки равен 2100 кгс/см2.
Результаты послойного расчета конструкции (см.
рисунок) на прочность по трем критериям
ВСН 46-72 приведены в
таблице.
Характеристика и результаты расчета на прочность
Материал слоя | E, кгс/см2 | h, см | | Общий модуль упругости на поверхности слоев Eобщ кгс/см2 | Активное напряжение сдвига в грунте кгс/см2 | Напряжение растяжения, кгс/см2 | Коэффициент прочности |
прогиб | сдвиг | изгиб |
Асфальтобетон верхнего слоя | 15000 | 5 | 0,15 | Eобщ = 2175 | - | - | 1,03 | - | - |
Асфальтобетон нижнего слоя | 10000 | 5 | 0,15 | | - | 12,0 | - | - | 1,0 |
Битумоминеральная смесь | 8000 | 15 | 0,46 | | - | - | - | - | - |
Битумоцементогрунт с перлитом | 2000 | 25 | 0,76 | | - | 1,2 | - | - | 1,0 |
Песок средней крупности | 1200 | 22 | 0,67 | | - | - | - | - | - |
Пылеватая супесь | 210 | - | - | - | 0,051 | - | - | 0,99 | - |
Как видно из этой
таблицы, запроектированная дорожная конструкция отвечает требованиям
ВСН 46-72 по прочности и морозоустойчивости.
1. Методические
рекомендации по проектированию и устройству теплоизолирующих слоев на пучиноопасных участках автомобильных дорог. Союздорнии. М., 1977.
2. Методические
рекомендации по осушению земляного полотна и оснований дорожных одежд в районах избыточного увлажнения и сезонного промерзания грунтов. Союздорнии. М., 1974.