Главная // Актуальные документы // Актуальные документы (обновление 2025.06.02-2025.07.05) // ГОСТ (Государственный стандарт)СПРАВКА
Источник публикации
В данном виде документ опубликован не был.
Первоначальный текст документа опубликован в издании
М.: Стандартинформ, 2019.
Информацию о публикации документов, создающих данную редакцию, см. в справке к этим документам.
Примечание к документу
Документ включен в
Перечень стандартов, содержащих правила и методы исследований (испытаний) и измерений, в том числе правила отбора образцов, необходимые для применения и исполнения требований технического
регламента Таможенного союза "Безопасность автомобильных дорог" (ТР ТС 014/2011) и осуществления оценки соответствия объектов технического регулирования (
Решение Коллегии Евразийской экономической комиссии от 18.09.2012 N 159).
Изменение N 1 введено в действие на территории Российской Федерации
Приказом Росстандарта от 18.03.2025 N 146-ст с 01.05.2025.
Название документа
"ГОСТ 33049-2014. Межгосударственный стандарт. Дороги автомобильные общего пользования. Щебень и гравий из горных пород. Определение сопротивления дроблению и износу"
(введен в действие Приказом Росстандарта от 09.09.2015 N 1306-ст)
(ред. от 18.03.2025)
"ГОСТ 33049-2014. Межгосударственный стандарт. Дороги автомобильные общего пользования. Щебень и гравий из горных пород. Определение сопротивления дроблению и износу"
(введен в действие Приказом Росстандарта от 09.09.2015 N 1306-ст)
(ред. от 18.03.2025)
агентства по техническому
регулированию и метрологии
от 9 сентября 2015 г. N 1306-ст
МЕЖГОСУДАРСТВЕННЫЙ СТАНДАРТ
ДОРОГИ АВТОМОБИЛЬНЫЕ ОБЩЕГО ПОЛЬЗОВАНИЯ
ЩЕБЕНЬ И ГРАВИЙ ИЗ ГОРНЫХ ПОРОД
ОПРЕДЕЛЕНИЕ СОПРОТИВЛЕНИЯ ДРОБЛЕНИЮ И ИЗНОСУ
Automobile roads of general use.
Crushed stone and gravel from rocks.
Determination of resistance to crushing and abrasion
ГОСТ 33049-2014
| | Список изменяющих документов Приказом Росстандарта от 18.03.2025 N 146-ст) | |
(в ред.
Изменения N 1, введенного в действие Приказом Росстандарта от 18.03.2025 N 146-ст)
Дата введения
1 июня 2016 года
Цели, основные принципы и общие правила проведения работ по межгосударственной стандартизации установлены
ГОСТ 1.0 "Межгосударственная система стандартизации. Основные положения" и
ГОСТ 1.2 "Межгосударственная система стандартизации. Стандарты межгосударственные, правила и рекомендации по межгосударственной стандартизации. Правила разработки, принятия, обновления и отмены"
1 РАЗРАБОТАН Федеральным государственным унитарным предприятием "Российский дорожный научно-исследовательский институт" совместно с Автономной некоммерческой организацией "Научно-исследовательский институт транспортно-строительного комплекса"
2 ВНЕСЕН Межгосударственным техническим комитетом по стандартизации МТК 418 "Дорожное хозяйство"
3 ПРИНЯТ Межгосударственным советом по стандартизации, метрологии и сертификации (протокол от 5 декабря 2014 г. N 46)
За принятие проголосовали:
Краткое наименование страны по МК (ИСО 3166) 004-97 | Код страны по МК (ИСО 3166) 004-97 | Сокращенное наименование национального органа по стандартизации |
Азербайджан | AZ | Азстандарт |
Армения | AM | Минэкономики Республики Армения |
Беларусь | BY | Госстандарт Республики Беларусь |
Казахстан | KZ | Госстандарт Республики Казахстан |
Киргизия | KG | Кыргызстандарт |
Молдова | MD | Молдова-Стандарт |
Россия | RU | Росстандарт |
Узбекистан | UZ | Узстандарт |
Украина | UA | Минэкономразвития Украины |
4
Приказом Федерального агентства по техническому регулированию и метрологии от 9 сентября 2015 г. N 1306-ст межгосударственный стандарт ГОСТ 33049-2014 введен в действие в качестве национального стандарта Российской Федерации с 1 июня 2016 г.
5 ВВЕДЕН ВПЕРВЫЕ
6 ПЕРЕИЗДАНИЕ. Август 2019 г.
Информация о введении в действие (прекращении действия) настоящего стандарта и изменений к нему на территории указанных выше государств публикуется в указателях национальных стандартов, издаваемых в этих государствах, а также в сети Интернет на сайтах соответствующих национальных органов по стандартизации.
В случае пересмотра, изменения или отмены настоящего стандарта соответствующая информация будет опубликована на официальном интернет-сайте Межгосударственного совета по стандартизации, метрологии и сертификации в каталоге "Межгосударственные стандарты"
Настоящий стандарт входит в группу межгосударственных стандартов, устанавливающих требования и методы испытаний для щебня и гравия из горных пород.
Настоящий стандарт распространяется на щебень и гравий [далее - щебень (гравий)] из горных пород со средней плотностью зерен от 2,0 до 3,5 г/см3, применяемые при строительстве, ремонте, капитальном ремонте, реконструкции и содержании автомобильных дорог общего пользования.
Настоящий стандарт устанавливает метод определения сопротивления дроблению и износу зерен щебня (гравия).
В настоящем стандарте использованы нормативные ссылки на следующие межгосударственные стандарты:
ГОСТ 12.1.004 Система стандартов безопасности труда. Пожарная безопасность. Общие требования
ГОСТ 12.1.005 Система стандартов безопасности труда. Общие санитарно-гигиенические требования к воздуху рабочей зоны
ГОСТ 12.1.007 Система стандартов безопасности труда. Вредные вещества. Классификация и общие требования безопасности
ГОСТ 12.1.019 Система стандартов безопасности труда. Электробезопасность. Общие требования и номенклатура видов защиты
ГОСТ 12.4.021 Система стандартов безопасности труда. Системы вентиляционные. Общие требования
Ссылка исключена с 01.05.2025. -
Изменение N 1, введенное в действие Приказом Росстандарта от 18.03.2025 N 146-ст.
ГОСТ 12.4.280 Система стандартов безопасности труда. Одежда специальная для защиты от общих производственных загрязнений и механических воздействий. Общие технические требования
(в ред.
Изменения N 1, введенного в действие Приказом Росстандарта от 18.03.2025 N 146-ст)
ГОСТ 28846 (ИСО 4418-78) Перчатки и рукавицы. Общие технические условия
ГОСТ 32703 Дороги автомобильные общего пользования. Щебень и гравий из горных пород. Технические требования
ГОСТ 33029 Дороги автомобильные общего пользования. Щебень и гравий из горных пород. Определение гранулометрического состава
ГОСТ 33048 Дороги автомобильные общего пользования. Щебень и гравий из горных пород. Отбор проб
Примечание - При пользовании настоящим стандартом целесообразно проверить действие ссылочных стандартов и классификаторов на официальном интернет-сайте Межгосударственного совета по стандартизации, метрологии и сертификации (www.easc.by) или по указателям национальных стандартов, издаваемым в государствах, указанных в предисловии, или на официальных сайтах соответствующих национальных органов по стандартизации. Если на документ дана недатированная ссылка, то следует использовать документ, действующий на текущий момент, с учетом всех внесенных в него изменений. Если заменен ссылочный документ, на который дана датированная ссылка, то следует использовать указанную версию этого документа. Если после принятия настоящего стандарта в ссылочный документ, на который дана датированная ссылка, внесено изменение, затрагивающее положение, на которое дана ссылка, то это положение применяется без учета данного изменения. Если ссылочный документ отменен без замены, то положение, в котором дана ссылка на него, применяется в части, не затрагивающей эту ссылку.
В настоящем стандарте применены термины по
ГОСТ 32703, а также следующие термины с соответствующими определениями:
3.1 сопротивление дроблению и износу: Способность материала сопротивляться воздействию ударных нагрузок и истирающих усилий.
3.2 единичная проба: Проба щебня (гравия), полученная методом сужения из лабораторной пробы и предназначенная для сокращения до требуемого количества мерных проб для проведения испытания.
3.3 мерная проба: Количество щебня (гравия), используемое для получения одного результата в одном испытании.
3.4 постоянная масса: Масса пробы, высушиваемой в сушильном шкафу при температуре (110 +/- 5) °C, различающаяся не более чем на 0,1% по результатам двух последних последовательно проводимых взвешиваний через промежутки времени, составляющие не менее 1 ч.
4 Требования к средствам измерений и вспомогательным устройствам
При проведении испытания применяют следующие средства измерений и вспомогательные устройства:
- сита с размером ячеек 1,6; 4; 6,3; 8; 10; 11,2; 14; 16; 20; 22,4; 28; 31,5 мм по
[1] и
[2];
(в ред.
Изменения N 1, введенного в действие Приказом Росстандарта от 18.03.2025 N 146-ст)
- сушильный шкаф, обеспечивающий циркуляцию воздуха и поддержание температуры в интервале (110 +/- 5) °C;
- весы, обеспечивающие измерение массы пробы с относительной погрешностью не более 0,1% от минимальной массы мерной пробы;
(в ред.
Изменения N 1, введенного в действие Приказом Росстандарта от 18.03.2025 N 146-ст)
- противни металлические;
- металлический поддон размером 650 x 580 x 70 мм, не менее;
- установка "Лос-Анжелес" или барабан полочный с отверстием и съемной крышкой с уплотнителем, имеющий следующие внутренние размеры: длина (497 +/- 16) мм, диаметр (708 +/- 8) мм. На внутренней поверхности барабана по образующей расположена захватная планка на всю длину барабана шириной (94 +/- 6) мм. Частота вращения барабана при испытаниях должна быть от 30 до 33 об/мин;
- 14 стальных шаров общей массой от 5810 до 6010 г. Диаметр одного шара - от 45 до 49 мм, масса - от 400 до 445 г.
(в ред.
Изменения N 1, введенного в действие Приказом Росстандарта от 18.03.2025 N 146-ст)
Сущность метода заключается в определении потери массы пробы щебня (гравия), возникающей при воздействии ударных нагрузок и истирающих усилий. Остаток пробы материала после просеивания через сито с размером отверстий 1,6 мм используют для расчета показателя сопротивления дроблению и износу.
6 Требования безопасности, охраны окружающей среды
6.1 Содержание вредных веществ в воздухе лаборатории, образующихся при проведении испытаний, не должно превышать предельно допустимых концентраций по
ГОСТ 12.1.005.
6.2 Помещение, в котором проводятся испытания щебня (гравия), должно быть оборудовано местной приточно-вытяжной и общеобменной вентиляцией по
ГОСТ 12.4.021.
6.3 Эксплуатацию электрических приборов проводят в соответствии с правилами техники безопасности при эксплуатации электроустановок, а также правилами электробезопасности по
ГОСТ 12.1.019.
6.4 Пожарная безопасность лабораторных помещений должна соответствовать требованиям
ГОСТ 12.1.004.
6.5 При работе со щебнем (гравием) необходимо соблюдать требования техники безопасности, предусмотренные
ГОСТ 12.1.007.
6.6 При работе с сушильным шкафом необходимо соблюдать правила пожарной безопасности, предусмотренные
ГОСТ 12.1.004.
6.7 Персонал при работе со щебнем и гравием должен быть обеспечен средствами индивидуальной защиты:
(в ред.
Изменения N 1, введенного в действие Приказом Росстандарта от 18.03.2025 N 146-ст)
6.8 Утилизацию материала, подвергнутого испытаниям, производят в соответствии с рекомендациями предприятия-изготовителя и действующим законодательством.
7 Требования к условиям испытания
При проведении испытания щебня (гравия) должны соблюдаться следующие условия для помещений:
- температура воздуха (21 +/- 4) °C;
- относительная влажность воздуха не более 80%.
8 Подготовка к выполнению испытания
8.1 Отбор и формирование проб щебня (гравия) производят по
ГОСТ 33048.
8.2 Рекомендуемая фракция щебня (гравия) для проведения испытания должна состоять из зерен крупностью от 10 до 14 мм. Допускается применять альтернативные фракции, приведенные в
приложении А.
(в ред.
Изменения N 1, введенного в действие Приказом Росстандарта от 18.03.2025 N 146-ст)
Примечание - Щебень (гравий) с зернами крупнее 31,5 мм предварительно дробят и испытывают фракцию с размером зерен свыше 10 до 14 мм включительно либо альтернативные фракции с размером зерен свыше 16 до 22,4 мм включительно или свыше 22,4 до 31,5 мм включительно.
(примечание введено
Изменением N 1, введенным в действие Приказом Росстандарта от 18.03.2025 N 146-ст)
8.3 Масса единичной пробы щебня (гравия) фракции от 10 до 14 мм должна быть не менее 15 000 г.
8.4 Для подготовки к испытанию единичную пробу щебня (гравия) промывают под струей воды и высушивают в сушильном шкафу при температуре (110 +/- 5) °C до постоянной массы.
8.5 Высушенную до постоянной массы единичную пробу просеивают по
ГОСТ 33029 через сита с размером ячеек 10; 11,2 и 14 мм.
(п. 8.5 в ред.
Изменения N 1, введенного в действие Приказом Росстандарта от 18.03.2025 N 146-ст)
8.6 Из просеянной единичной пробы готовят мерную пробу, масса которой должна быть (5000 +/- 10) г и в состав которой должно входить от 60% до 70% зерен крупнее 11,2 мм.
(п. 8.6 в ред.
Изменения N 1, введенного в действие Приказом Росстандарта от 18.03.2025 N 146-ст)
9 Порядок выполнения испытания
9.1 В чистый полочный барабан загружают 11 стальных шаров общей массой от 4690 до 4860 г, затем загружают мерную пробу щебня (гравия) и закрывают крышку полочного барабана.
9.2 Запускают полочный барабан и после совершения 500 оборотов останавливают, открывают крышку и, избегая потери материала, высыпают содержимое барабана в металлический поддон, расположенный под полочным барабаном.
9.3 Затем полочный барабан очищают, извлекая все мелкие частицы, в тот же металлический поддон.
9.4 Из щебня (гравия) убирают стальные шары.
9.5 Щебень (гравий) просеивают через сита с размером ячеек 1,6 и 8 мм, удаляя частицы размером менее 1,6 мм.
(в ред.
Изменения N 1, введенного в действие Приказом Росстандарта от 18.03.2025 N 146-ст)
9.6 Остатки на ситах объединяют, взвешивают и фиксируют массу M2 до 1 г.
(п. 9.6 в ред.
Изменения N 1, введенного в действие Приказом Росстандарта от 18.03.2025 N 146-ст)
10 Обработка результата испытания
10.1 Значение показателя сопротивления дроблению и износу щебня (гравия) И, %, рассчитывают по формуле

(1)
где M1 - масса мерной пробы щебня (гравия) до испытания, г;
M2 - объединенная масса остатков на сите с размером ячеек 1,6 и 8 мм, г.
Результат испытания рассчитывают до первого знака после запятой. За результат испытания принимают среднее арифметическое значение двух параллельных определений. Расхождение результатов двух параллельных определений не должно превышать 2%, в противном случае испытание необходимо повторить.
(в ред.
Изменения N 1, введенного в действие Приказом Росстандарта от 18.03.2025 N 146-ст)
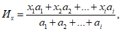
10.2 Значение показателя сопротивления дроблению и износу щебня (гравия) в широкой фракции или в смеси фракций Иx, %, рассчитывают по формуле

(2)
где x1, x2, ..., xi - потеря массы при испытании каждой отдельной фракции, %;
a1, a2, ..., ai - содержание данной фракции, %.
Результат испытания рассчитывают до первого знака после запятой.
(в ред.
Изменения N 1, введенного в действие Приказом Росстандарта от 18.03.2025 N 146-ст)
11 Оформление результата испытания
Результат испытания регистрируют в журнале и оформляют в виде протокола, который должен содержать:
- номер протокола;
- дату проведения испытания;
- наименование организации, проводившей испытание;
- ссылку на настоящий стандарт;
- ссылку на акт отбора проб;
- наименование испытываемого материала;
- результат испытания;
- сведения об условиях проведения испытания;
- фамилию, имя, отчество и подпись лица, проводившего испытание;
- фамилию, имя, отчество и подпись лица, ответственного за испытание.
12 Контроль точности результата испытания
Точность результата испытания обеспечивается:
- соблюдением требований настоящего стандарта;
- проведением периодической оценки метрологических характеристик средств измерений;
- проведением периодической аттестации оборудования.
Лицо, проводящее испытание, должно быть ознакомлено с требованиями настоящего стандарта.
(обязательное)
АЛЬТЕРНАТИВНЫЕ ФРАКЦИИ ДЛЯ ОПРЕДЕЛЕНИЯ СОПРОТИВЛЕНИЯ
ДРОБЛЕНИЮ И ИЗНОСУ ЗЕРЕН ЩЕБНЯ (ГРАВИЯ)
Приказом Росстандарта от 18.03.2025 N 146-ст)
Альтернативные фракции щебня (гравия) используют для испытаний в том случае, когда невозможно получить фракцию с размером зерен от 10 до 14 мм. Размер зерен альтернативных фракций щебня (гравия), требования к их гранулометрическому составу и испытательному оборудованию приведены в таблице А.1.
(в ред.
Изменения N 1, введенного в действие Приказом Росстандарта от 18.03.2025 N 146-ст)
Таблица А.1
Приказом Росстандарта от 18.03.2025 N 146-ст)
Альтернативная фракция, мм | Размер ячеек среднего сита, мм | Остаток на среднем сите, % | Число стальных шаров, шт. | Общая масса партии стальных шаров, г |
От 4 до 8 включ. | 6,3 | От 30 до 40 | 8 | От 3410 до 3540 |
От 8 до 11,2 включ. | 10 | От 30 до 40 | 10 | От 4250 до 4420 |
От 11,2 до 16 включ. | 14 | От 30 до 40 | 12 | От 5120 до 5300 |
От 16 до 22,4 включ. | 20 | От 30 до 40 | 13 | От 5530 до 5750 |
От 22,4 до 31,5 включ. | 28 | От 30 до 40 | 14 | От 5810 до 6010 |
Приказом Росстандарта от 18.03.2025 N 146-ст)
| ISO 3310-1:2016 | Test sieves - Technical requirements and testing - Part 1: Test sieves of metal wire cloth (Сита лабораторные. Технические требования и испытания. Часть 1. Сита из проволочной ткани) |
| ISO 3310-2:2013 | Test sieves - Technical requirements and testing - Part 2: Test sieves of perforated metal plate (Сита лабораторные. Технические требования и испытания. Часть 2. Сита из металлической перфорированной пластины) |
УДК 625.072:006.354 | |
(в ред. Изменения N 1, введенного в действие Приказом Росстандарта от 18.03.2025 N 146-ст) |
Ключевые слова: щебень и гравий из горных пород, определение сопротивления дроблению и износу, мерная проба, полочный барабан, среднее сито |
(в ред. Изменения N 1, введенного в действие Приказом Росстандарта от 18.03.2025 N 146-ст) |