Главная // Актуальные документы // Актуальные документы (обновление 2025.07.05-2025.08.02) // ГОСТ Р (Государственный стандарт)СПРАВКА
Источник публикации
М.: ФГБУ "Институт стандартизации", 2025
Примечание к документу
Документ
вводится в действие с 01.03.2026.
Название документа
"ГОСТ Р 72006-2025. Национальный стандарт Российской Федерации. Устойчивое развитие. Системы менеджмента устойчивого развития производства пластмасс и изделий из них. Требования"
(утв. и введен в действие Приказом Росстандарта от 28.03.2025 N 229-ст)
"ГОСТ Р 72006-2025. Национальный стандарт Российской Федерации. Устойчивое развитие. Системы менеджмента устойчивого развития производства пластмасс и изделий из них. Требования"
(утв. и введен в действие Приказом Росстандарта от 28.03.2025 N 229-ст)
Утвержден и введен в действие
по техническому регулированию
и метрологии
от 28 марта 2025 г. N 229-ст
НАЦИОНАЛЬНЫЙ СТАНДАРТ РОССИЙСКОЙ ФЕДЕРАЦИИ
УСТОЙЧИВОЕ РАЗВИТИЕ
СИСТЕМЫ МЕНЕДЖМЕНТА УСТОЙЧИВОГО РАЗВИТИЯ
ПРОИЗВОДСТВА ПЛАСТМАСС И ИЗДЕЛИЙ ИЗ НИХ
ТРЕБОВАНИЯ
Sustainable development. Sustainability management
systems for plastics and plastic products. Requirements
ГОСТ Р 72006-2025
Дата введения
1 марта 2026 года
1 РАЗРАБОТАН Обществом с ограниченной ответственностью "Качество и Надежность" (ООО "КиН")
2 ВНЕСЕН Техническим комитетом по стандартизации ТК 076 "Системы менеджмента"
3 УТВЕРЖДЕН И ВВЕДЕН В ДЕЙСТВИЕ
Приказом Федерального агентства по техническому регулированию и метрологии от 28 марта 2025 г. N 229-ст
4 ВВЕДЕН ВПЕРВЫЕ
Правила применения настоящего стандарта установлены в статье 26 Федерального закона от 29 июня 2015 г. N 162-ФЗ "О стандартизации в Российской Федерации". Информация об изменениях к настоящему стандарту публикуется в ежегодном (по состоянию на 1 января текущего года) информационном указателе "Национальные стандарты", а официальный текст изменений и поправок - в ежемесячном информационном указателе "Национальные стандарты". В случае пересмотра (замены) или отмены настоящего стандарта соответствующее уведомление будет опубликовано в ближайшем выпуске ежемесячного информационного указателя "Национальные стандарты". Соответствующая информация, уведомление и тексты размещаются также в информационной системе общего пользования - на официальном сайте Федерального агентства по техническому регулированию и метрологии в сети Интернет (www.rst.gov.ru)
По данным Организации Объединенных Наций, при сохранении существующих линейных моделей производства и потребления человечеству для поддержания привычного образа жизни к 2050 году потребуются ресурсы трех таких планет, как Земля, поскольку они в основном основаны на добыче, производстве, использовании и утилизации природных ресурсов. Для удовлетворения текущих и будущих потребностей человечества в настоящее время все большую значимость приобретает осознание обществом необходимости перехода от линейной экономики к экономике замкнутого цикла, которая является одним из механизмов достижения целей устойчивого развития, предлагает принципиально новый подход к производству, потреблению и ведению хозяйственной деятельности и которая основана на производстве устойчивых продуктов.
Термин "устойчивые продукты" образован от английского выражения "sustainable products", которое в последнее время все больше используется в международной практике, международном законотворчестве и международной стандартизации. Под устойчивыми продуктами понимаются продукты, которые либо получены, либо произведены, либо переработаны с соблюдением принципов устойчивого развития, то есть экономически жизнеспособным, экологически безопасным и социально ответственным способом, и которые обеспечивают экологические, социальные и экономические преимущества, одновременно защищая здоровье населения и окружающую среду на протяжении всего их жизненного цикла. Устойчивые продукты обладают одной или несколькими совокупностями данных:
- содержат вторичное сырье;
- произведены из сырья из возобновляемых источников;
- могут быть легко переработаны;
- имеют меньший углеродный и экологический след в течение своего жизненного цикла;
- потребляют меньшее количество энергии и/или произведены с потреблением меньшего количества энергии и т.п.
Главная задача экономики замкнутого цикла - сохранить ценность материалов и ресурсов в экономике как можно дольше. Прежде всего эта инициатива направлена на возврат в хозяйственный оборот полезных компонентов, которые можно извлечь из отходов производства и потребления. При такой экономической модели максимальное количество отходов должно перерабатываться во вторичное сырье и использоваться повторно. И в первую очередь это касается производства всех видов пластмасс. В сочетании с долговечностью, которая придает пластмассам их особую ценность, отсутствие управления отходами приводит к серьезному загрязнению окружающей среды. Вместо наложения запретов и ограничений на использование синтетических пластмасс экономика замкнутого цикла предлагает более целостный подход к проблеме пластмассовых (полимерных) отходов, при котором они не попадают в окружающую среду, а возвращаются в производственный цикл после соответствующей подготовки. Кроме того, ископаемые компоненты для производства синтетических пластмасс заменяются сырьем из возобновляемых источников.
Включение в состав пластмасс переработанных пластмассовых отходов и сырья из возобновляемых источников, а также производство этих пластмасс экономически жизнеспособным, социально ответственным и экологически безопасным способом дает право отнести их к устойчивым продуктам, так как:
- создает возможности защиты окружающей среды путем использования пластмассовых отходов, вовлекая их в производственный цикл, что способствует сокращению потребления природных ресурсов. Кроме того, ископаемые компоненты синтетических пластмасс заменяются сырьем из возобновляемых источников, что значительно сокращает цикл их разложения (экологический аспект устойчивого развития);
- значительно снижает углеродный след продукции, что способствует смягчению последствий изменения климата и достижению углеродной нейтральности (экологический аспект устойчивого развития);
- способствует повышению рентабельности, одновременно защищая организацию от колебаний цен на первичные материальные ресурсы (экономический аспект устойчивого развития);
- обеспечивает качественные, функциональные и безопасные продукты для потребителей, которые эффективны и доступны по цене, служат дольше и предназначены для повторного использования, ремонта и высококачественной переработки (социальный и экономический аспект устойчивого развития);
- производство и поставка пластмасс с применением вторичного сырья и сырья из возобновляемых источников осуществляются в рамках системы менеджмента, предусматривающей обязательное выполнение всех применимых законодательных и нормативных правовых требований в области трудового права, охраны труда, окружающей среды, промышленной и пожарной безопасности (экологический и социальный аспект устойчивого развития).
Включение подходов экономики замкнутого цикла в бизнес-модель организации способствует достижению сразу нескольких целей устойчивого развития, разработанных в 2015 году Генеральной ассамблеей Организации Объединенных Наций в качестве "плана достижения лучшего и более устойчивого будущего для всех", а также достижению национальных показателей целей устойчивого развития, в том числе:
- цель N 11 "Обеспечение открытости, безопасности, жизнестойкости и экологической устойчивости городов и населенных пунктов";
- цель N 12 "Обеспечение перехода к рациональным моделям потребления и производства";
- цель N 13 "Принятие срочных мер по борьбе с изменением климата и его последствиями";
- цель N 14 "Сохранение и рациональное использование океанов, морей и морских ресурсов в интересах устойчивого развития";
- цель N 15 "Защита и восстановление экосистем суши и содействие их рациональному использованию, рациональное лесопользование, борьба с опустыниванием, прекращение и обращение вспять процесса деградации земель и прекращение процесса утраты биологического разнообразия".
Организации, участвующие в цепочке поставок продуктов, произведенных с соблюдением одного или нескольких принципов устойчивого развития (устойчивых продуктов), могут заявить о своем вкладе в продвижение принципов экономики замкнутого цикла и достижение целей устойчивого развития, внедряя систему менеджмента устойчивого развития производства пластмасс и изделий из них.
Взаимосвязь целей устойчивого развития и системы менеджмента устойчивого развития производства пластмасс и изделий из них представлена на
рисунке 1.
Рисунок 1 - Взаимосвязь целей устойчивого развития и системы
менеджмента устойчивого развития производства пластмасс
и изделий из них
Основная цель системы менеджмента устойчивого развития производства пластмасс и изделий из них - обеспечить четкое распределение ролей и обязанностей для содействия внутреннему планированию, внедрению, мониторингу, оценке и обучению, а также обеспечить непрерывный прогресс в реализации целей в области достижения устойчивого развития в части вовлечения пластмассовых и биоразлагаемых отходов в экономику замкнутого цикла.
Потенциальными преимуществами для организации от применения системы менеджмента устойчивого развития производства пластмасс и изделий из них, основанной на настоящем стандарте, являются:
а) способность стабильно поставлять продукты или предоставлять услуги, произведенные с применением принципов устойчивого развития;
б) создание возможностей для защиты окружающей среды путем использования пластмассовых (полимерных) отходов производства и потребления и вовлечения их в производственный цикл после соответствующей подготовки с возможностью прослеживаемости факта утилизации по всей цепочке поставок. Кроме того, ископаемые компоненты для производства синтетических пластмасс могут заменяться сырьем из возобновляемых источников, что значительно сокращает цикл их разложения. Вместе с тем производство пластмасс с применением сырья из возобновляемых источников обычно генерирует меньше выбросов парниковых газов по сравнению с производством обычных пластмасс, что способствует смягчению последствий изменения климата;
в) создание возможностей для демонстрации своей социальной ответственности посредством прозрачного и этичного поведения, которое учитывает ожидания заинтересованных сторон, соответствует действующему законодательству, интегрировано во всей организации и применяется во всех отношениях со всеми участниками цепочки поставок устойчивых продуктов и другими заинтересованными сторонами;
г) создание возможностей для более рационального использования всех видов ресурсов, в том числе невозобновляемых;
д) получение финансовых и репутационных выгод, которые можно извлечь из внедрения экологически безопасных альтернатив, которые усилят позиции организации на рынке.
Выполнение требований настоящего стандарта может являться подтверждением выполнения законодательных и других нормативных правовых требований в отношении целей устойчивого развития, а также демонстрацией соблюдения добровольных требований экологических аспектов устойчивого развития.
Настоящий стандарт обеспечивает возможность организациям установить и документировать разумный уровень подтверждения фактического использования вторичного сырья и продуктов, полученных с применением вторичного сырья или сырья из возобновляемых источников в рамках цепочки поставок устойчивых продуктов, что позволит организациям принимать более взвешенные решения с точки зрения реализации принципов устойчивого развития.
Подход, заложенный в основу системы менеджмента устойчивого развития производства пластмасс и изделий из них, базируется на концепции "Планируй - Делай - Проверяй - Действуй" (PDCA - Plan-Do-Check-Act). Модель PDCA представляет собой циклический процесс, используемый организациями для достижения постоянного улучшения. Кратко эту модель можно описать следующим образом:
- "Планируй": разработка целей системы и ее процессов, а также определение ресурсов, необходимых для достижения результатов в соответствии с требованиями потребителей - участников цепочки поставок в части устойчивости продуктов и политикой организации в области устойчивого развития производства;
- "Делай": выполнение того, что было запланировано;
- "Проверяй": мониторинг и (там, где это применимо) измерение процессов, продуктов и услуг в сравнении с политикой, целями и требованиями, информирование о результатах;
- "Действуй": принятие мер по улучшению результатов деятельности в той степени, насколько это необходимо.
Структура настоящего стандарта основывается на концепции цикла PDCA, как показано на
рисунке 2.
Примечание - Цифры в скобках являются ссылками на структурные элементы настоящего стандарта.
Настоящий стандарт соответствует требованиям
ГОСТ Р 56245, которые включают рекомендации по структуре верхнего уровня, идентичному тексту, общим терминам с основными определениями, разработанные в интересах пользователей, внедряющих несколько стандартов на системы менеджмента.
Настоящий стандарт не включает требования к другим системам менеджмента, таким как менеджмент качества, экологический менеджмент, менеджмент безопасности труда и охраны здоровья, энергетический или финансовый менеджмент. Однако настоящий стандарт позволяет организации применять общий подход и риск-ориентированное мышление для интеграции ее системы менеджмента устойчивого развития производства пластмасс и изделий из них с требованиями к другим системам менеджмента.
Настоящий стандарт содержит требования, которые могут быть применимы для оценки соответствия системы менеджмента устойчивого развития производства пластмасс и изделий из них в организациях, участвующих в цепочке поставок устойчивых продуктов. Организация, которая хочет продемонстрировать соответствие настоящему стандарту, может сделать это посредством:
- осуществления деятельности по оценке соответствия первой стороной; или
- подтверждения ее соответствия сторонами, которые заинтересованы в организации, такими как потребители, то есть посредством осуществления деятельности по оценке соответствия второй стороной; или
- сертификации ее системы менеджмента устойчивого развития производства пластмасс и изделий из них внешней организацией, то есть посредством осуществления деятельности по оценке соответствия третьей стороной.
Настоящий стандарт устанавливает требования к системе менеджмента устойчивого развития производства пластмасс и изделий из них (далее - система менеджмента), в тех случаях, когда организация:
- нуждается в демонстрации своей способности стабильно поставлять продукты, отвечающие требованиям к их устойчивости (то есть наличие в составе поставляемых продуктов вторичного сырья или сырья из возобновляемых источников и производство их экономически жизнеспособным, социально ответственным и экологически безопасным способом);
- нуждается в демонстрации своей способности постоянно поставлять продукты, отвечающие применимым законодательным и нормативным правовым требованиям;
- нуждается в демонстрации своей приверженности целям устойчивого развития.
Настоящий стандарт распространяется на системы менеджмента участников цепочки поставок устойчивых (то есть имеющих в составе вторичное сырье или сырье из возобновляемых источников и произведенных экономически жизнеспособным, социально ответственным и экологически безопасным способом) продуктов. Типы участников и объекты цепочки поставок устойчивых продуктов приведены в
приложении А.
Внедряя систему менеджмента на основе настоящего стандарта, организации могут продемонстрировать, что были выполнены требования к прослеживаемости и целевым показателям использования вторичного сырья или сырья из возобновляемых источников (то есть к их устойчивости), в том числе с применением приемлемой модели цепочки поставок - модели баланса масс, модели контролируемого смешивания или сегрегированной модели. Таким образом, в рамках функционирования системы менеджмента на основе требований настоящего стандарта организации могут формировать обоснованные заявления о доле вторичного сырья или сырья из возобновляемых источников в готовой композиции или расплаве (растворе) полимера по истечении трех месяцев, одного месяца и, при необходимости, в каждой партии готового продукта.
Настоящий стандарт может быть использован любой организацией, работающей на любом этапе цепочки поставок устойчивых продуктов независимо от их вида и/или размера.
В настоящем стандарте использованы нормативные ссылки на следующие стандарты:
ГОСТ Р 1.12 Стандартизация в Российской Федерации. Термины и определения
ГОСТ Р 56245 Рекомендации по разработке стандартов на системы менеджмента
ГОСТ Р 70508 Оценка соответствия. Аудит и сертификация системы менеджмента организаций, имеющих несколько мест осуществления деятельности
ГОСТ Р ИСО 14001 Системы экологического менеджмента. Требования и руководство по применению
ГОСТ Р ИСО 19011 Оценка соответствия. Руководящие указания по проведению аудита систем менеджмента
ГОСТ Р ИСО 45001 Системы менеджмента безопасности труда и охраны здоровья. Требования и руководство по применению
ГОСТ Р ИСО 50001 Системы энергетического менеджмента. Требования и руководство по применению
Примечание - При пользовании настоящим стандартом целесообразно проверить действие ссылочных стандартов в информационной системе общего пользования - на официальном сайте Федерального агентства по техническому регулированию и метрологии в сети Интернет или по ежегодному информационному указателю "Национальные стандарты", который опубликован по состоянию на 1 января текущего года, и по выпускам ежемесячного информационного указателя "Национальные стандарты" за текущий год. Если заменен ссылочный стандарт, на который дана недатированная ссылка, то рекомендуется использовать действующую версию этого стандарта с учетом всех внесенных в данную версию изменений. Если заменен ссылочный стандарт, на который дана датированная ссылка, то рекомендуется использовать версию этого стандарта с указанным выше годом утверждения (принятия). Если после утверждения настоящего стандарта в ссылочный стандарт, на который дана датированная ссылка, внесено изменение, затрагивающее положение, на которое дана ссылка, то это положение рекомендуется применять без учета данного изменения. Если ссылочный стандарт отменен без замены, то положение, в котором дана ссылка на него, рекомендуется применять в части, не затрагивающей эту ссылку.
3.1 Термины, относящиеся к организации
3.1.1 трейдер: Лицо или организация, которые покупают и продают сырье, промежуточные или конечные продукты следующему участнику цепочки поставок устойчивых продуктов, а также могут осуществлять их промежуточное хранение.
3.1.2 место осуществления деятельности: Место (физическое или виртуальное), где организация производит продукты, осуществляет работы или откуда оказывает услуги на постоянной основе.
3.2 Термины, относящиеся к системе менеджмента
3.2.1 система менеджмента устойчивого развития производства пластмасс и изделий из них: Система менеджмента организации в отношении устойчивого развития производства пластмасс и изделий из них.
3.2.2 политика в области устойчивого развития производства: Намерения и направление организации в отношении устойчивого развития производства своих исходящих продуктов, официально сформулированные ее высшим руководством.
3.2.3 передача процесса: Заключение соглашения, в соответствии с которым внешний поставщик выполняет часть функций или процесса организации.
3.3 Термины, относящиеся к устойчивости
3.3.1
биомасса: Совокупная масса растительных организмов на определенной площади или в определенном объеме. |
3.3.2 вторичные органические ресурсы: Полностью биоразлагаемые отходы, которые или части которых могут быть повторно использованы для производства продуктов, выполнения работ или оказания услуг и которые получены в результате раздельного накопления, сбора или обработки отходов.
3.3.3 вторичные полимерные ресурсы: Отходы синтетических полимеров, которые или части которых могут быть повторно использованы для производства продуктов, выполнения работ или оказания услуг и которые получены в результате раздельного накопления, сбора или обработки отходов.
3.3.4
вторичные ресурсы: Отходы, которые или части которых могут быть повторно использованы для производства товаров, выполнения работ, оказания услуг или получения энергии и которые получены в результате раздельного накопления, сбора или обработки отходов либо образованы в процессе производства. |
3.3.5
вторичное сырье: Продукция, полученная из вторичных ресурсов непосредственно (без обработки) или в соответствии с технологическими процессами, методами и способами, предусмотренными документами в области стандартизации Российской Федерации, которая может использоваться в производстве другой продукции и (или) иной хозяйственной деятельности. |
3.3.6 входящий материал: Сырье и материалы, поступающие в организацию, используемые для производства исходящих продуктов организации.
3.3.7 исходящий продукт: Продукт, который покидает организацию или часть организации.
Примечание - Исходящий продукт может быть создан на любом этапе цепочки поставок.
3.3.8 коэффициент пересчета: Коэффициент, который отражает, сколько входящего материала необходимо использовать для получения исходящего продукта, принимая во внимание потери материала из-за химических реакций или особенностей технологического процесса.
3.3.9 кредит: Излишек устойчивого входящего материала в случае, когда в течение одного периода сальдирования баланса массы было получено больше устойчивого входящего материала (включая существующий запас устойчивого входящего материала, который был доступен в начале периода сальдирования баланса массы), чем было отправлено в составе устойчивого исходящего продукта.
3.3.10
отходы: Вещества или предметы, которые образованы в процессе производства, выполнения работ, оказания услуг или в процессе потребления, которые удаляются, предназначены для удаления или подлежат удалению в соответствии с [1]. К отходам не относится донный грунт, используемый в порядке, определенном законодательством Российской Федерации, а также вскрышные и вмещающие горные породы, которые подлежат использованию в соответствии с [3]. |
3.3.11 период сальдирования баланса массы: Период времени, по истечении которого организация рассчитывает баланс массы входящего материала и исходящего продукта.
3.3.12 прослеживаемость: Возможность отслеживать физическое перемещение и/или соответствие пластмасс и изделий из них, произведенных устойчивым образом, на определенных этапах их сбора, приема, размещения, хранения, обработки, производства, переработки и распределения.
3.3.13 сырье из возобновляемых источников: Сырье, полученное или синтезированное непосредственно или через промежуточные этапы из растительной биомассы или вторичных органических ресурсов.
3.3.14 устойчивая доля: Доля вторичного сырья, производство которого осуществляется с использованием вторичных полимерных ресурсов, или доля сырья из возобновляемых источников в исходящем продукте.
3.3.15 устойчивое развитие производства (производство устойчивым образом): Состояние системы производства, которое обеспечивает экономически жизнеспособное, экологически безопасное и социально ответственное производство, при котором потребности настоящего времени удовлетворяются без ущерба для способности будущих поколений удовлетворять свои собственные потребности.
Примечания
1 Термин "производство" включает в себя сбор, прием, размещение, хранение, обработку, производство и распределение материалов и/или продуктов.
2 Производство устойчивым образом означает, что организация использует вторичные ресурсы, вторичное сырье или сырье из возобновляемых источников для производства своих исходящих продуктов.
3.3.16 устойчивость материала и/или продукта: Соответствие материала и/или продукта требованиям, предъявляемым к способам их производства устойчивым образом и к их составу в части включения вторичного сырья или сырья из возобновляемых источников.
3.3.17 устойчивые материал и/или продукт: Материал и/или продукт, производство которых осуществляется устойчивым образом и которые являются или в составе которых содержатся вторичные ресурсы, вторичное сырье, биомасса или сырье из возобновляемых источников.
Пример - Если при производстве вторичной гранулы организация использует вторичное сырье, но при этом не выполняет требования к устойчивому развитию производства своих продуктов (требования к экономическим, экологическим и социальным аспектам), она не может заявлять о том, что ее вторичная гранула является устойчивой. То есть при производстве вторичной гранулы организация должна подтвердить:
- вовлечение в производство вторичного сырья и сырья из возобновляемых источников и соответствие законодательным и нормативным правовым требованиям в области охраны окружающей среды (экологический аспект устойчивого развития);
- соответствие вторичной гранулы ее предполагаемому назначению и наличие необходимых свойств, направленных на удовлетворение требований участников исходящей цепочки поставок (экономический аспект устойчивого развития);
- соответствие законодательным и нормативным правовым требованиям в области трудового права, охраны труда, промышленной и пожарной безопасности (социальный аспект устойчивого развития).
3.3.18 цепочка поставок устойчивых продуктов: Ряд процессов или действий, связанных с производством и распределением устойчивого входящего материала, через которые он проходит с целью производства устойчивых исходящих продуктов.
3.4 Термины, относящиеся к информации
3.4.1 руководство по устойчивости: Документ организации, определяющий способ реализации требований к системе менеджмента устойчивого развития производства пластмасс и изделий из них.
Примечание - Руководства по устойчивости могут различаться по детальности изложения и форме, исходя из размера и сложности конкретной организации.
3.4.2 декларация устойчивости: Документ поставки, содержащий информацию о характеристиках устойчивости исходящего продукта, который на каждую поставку оформляет организация, получившая сертификат соответствия требованиям настоящего стандарта от органа по сертификации систем менеджмента.
3.4.3 заявление об устойчивости: Документ поставки, содержащий информацию о характеристиках устойчивости исходящего продукта, который на каждую поставку оформляет организация, не получившая сертификат соответствия требованиям настоящего стандарта от органа по сертификации систем менеджмента.
3.4.4 характеристика устойчивости: Присущая материалу или продукту характеристика, относящаяся к их устойчивости.
4.1 Понимание организации и ее среды
4.1.1 Организация должна определить внешние и внутренние факторы, относящиеся к ее целям и влияющие на ее способность достигать целевого(ых) результата(ов) ее системы менеджмента.
Организация должна определить, является ли изменение климата соответствующим фактором.
Организация должна осуществлять мониторинг и анализ информации об этих внешних и внутренних факторах.
4.1.2 Организация должна разрабатывать, актуализировать и применять документированную информацию, устанавливающую методологию определения и мониторинга среды организации.
4.1.3 Организация должна регистрировать и сохранять документированную информацию как свидетельство определения и мониторинга среды организации.
4.2 Понимание потребностей и ожиданий заинтересованных сторон
4.2.1 Общие положения
4.2.1.1 Организация должна определить:
а) заинтересованные стороны, имеющие отношение к системе менеджмента;
б) требования этих заинтересованных сторон;
в) какие из этих требований будут влиять на достижение целей и функционирование системы менеджмента.
Примечание - Соответствующие заинтересованные стороны могут иметь требования, связанные с изменением климата.
4.2.1.2 Организация должна разрабатывать, актуализировать и применять документированную информацию, устанавливающую методологию определения и мониторинга заинтересованных сторон и их требований.
4.2.1.3 Организация должна регистрировать и сохранять документированную информацию как свидетельство определения и мониторинга заинтересованных сторон и их требований.
4.2.2 Законодательные, нормативные правовые и другие требования
4.2.2.1 Организация должна:
а) внедрить и поддерживать процесс идентификации, доступа и оценки применимых законодательных, нормативных правовых и других требований, связанных с достижением и сохранением устойчивости исходящих продуктов;
б) обеспечить, чтобы эти применимые законодательные, нормативные правовые и другие требования учитывались при внедрении и поддержании своей системы менеджмента.
4.2.2.2 Организация должна регистрировать и сохранять документированную информацию как свидетельство определения и выполнения законодательных, нормативных правовых и других требований.
4.3 Определение области применения системы менеджмента
4.3.1 Общие положения
4.3.1.1 Организация должна определить границы системы менеджмента и охватываемую ею деятельность, чтобы установить область ее применения.
4.3.1.2 При определении области применения организация должна рассматривать:
- внешние и внутренние факторы, указанные в
4.1;
- требования, указанные в
4.2;
- продукты или услуги организации в цепочке поставок устойчивых продуктов.
4.3.1.3 Область применения системы менеджмента должна быть доступна в виде документированной информации.
4.3.1.4 Область применения должна указывать:
- на входящий(ие) материал(ы);
- исходящий(ие) продукт(ы);
- виды деятельности организации в цепочке поставок устойчивых продуктов.
4.3.1.5 Область применения системы менеджмента должна давать обоснование для исключения требования настоящего стандарта, которое она определила как неприменимое к ее области применения системы менеджмента.
4.3.2 Применение требований
4.3.2.1 Организация должна применять все требования настоящего стандарта, если эти требования релевантны в пределах установленной области применения ее системы менеджмента.
4.3.2.2 Если какое-либо из требований настоящего стандарта неприменимо ввиду специфики деятельности организации, входящего материала или исходящего продукта либо ввиду предоставляемых услуг, организация может исключить это требование из области применения системы менеджмента при условии, что это исключение осуществляется из
раздела 8 и не повлияет на результат деятельности организации, достижение и сохранение устойчивости входящих материалов или исходящих продуктов, выполнение законодательных, нормативных правовых и других требований.
4.3.3 Руководство по устойчивости
4.3.3.1 Организация должна разработать, актуализировать и применять как документированную информацию руководство по устойчивости.
4.3.3.2 В руководстве по устойчивости должно быть определено, каким образом организация реализует все требования настоящего стандарта, и как минимум включать:
а) область применения системы менеджмента, включая обоснование неприменимых требований;
б) документированную информацию, требуемую настоящим стандартом, или ссылки на нее;
в) организационную структуру системы менеджмента;
г) описание взаимодействия процессов системы менеджмента.
4.4 Система менеджмента
4.4.1 Организация должна разработать, внедрить, поддерживать в рабочем состоянии и постоянно улучшать систему менеджмента, включая необходимые процессы и их взаимодействие, в соответствии с требованиями настоящего стандарта.
4.4.2 Организация должна:
а) определять процессы, необходимые для системы менеджмента, их последовательность и взаимодействие;
б) определять ресурсы, необходимые для этих процессов, и обеспечить их доступность;
в) распределять обязанности, ответственность и полномочия в отношении этих процессов;
г) определять и применять критерии и методы, необходимые для обеспечения результативного функционирования этих процессов и управления ими;
д) учитывать риски и возможности в соответствии с требованиями
6.1;
е) оценивать эти процессы и вносить любые изменения, необходимые для обеспечения того, чтобы процессы достигали намеченных результатов;
ж) улучшать процессы и систему менеджмента.
5.1 Лидерство и приверженность
Высшее руководство должно демонстрировать свое лидерство и приверженность в отношении системы менеджмента посредством:
а) обеспечения разработки политики в области устойчивого развития производства и целей в области устойчивого развития производства, согласуемых со стратегией организации;
б) обеспечения интеграции требований системы менеджмента в бизнес-процессы организации;
в) обеспечения того, чтобы основное внимание организации уделялось устойчивому развитию производства пластмасс и/или изделий из них;
г) обеспечения ресурсами, необходимыми для системы менеджмента;
д) распространения в организации понимания важности результативного менеджмента в части достижения и сохранения устойчивости входящих материалов и исходящих продуктов и соответствия требованиям системы менеджмента;
е) обеспечения достижения системой менеджмента целевых результатов;
ж) руководства и оказания поддержки работникам в их участии в обеспечении результативности системы менеджмента;
и) содействия постоянному улучшению;
к) поддержки других соответствующих руководителей в демонстрации ими лидерства в сфере их ответственности.
Примечание - Термин "бизнес" следует понимать в широком смысле, как отображение видов деятельности, которые являются ключевыми для целей существования организации.
5.2 Политика в области устойчивого развития производства
5.2.1 Разработка политики в области устойчивого развития производства
Высшее руководство должно разработать политику в области устойчивого развития производства, которая:
а) соответствует целям организации;
б) создает основу для установления целей в области устойчивого развития производства;
в) включает в себя обязательство выполнять применимые требования;
г) включает в себя обязательство постоянно улучшать систему менеджмента.
5.2.2 Доведение политики в области устойчивого развития производства
Политика в области устойчивого развития производства должна быть:
а) доступной и применяться как документированная информация;
б) доведена до сведения работников организации;
в) доступной для соответствующих заинтересованных сторон, насколько это применимо.
5.3 Функции, ответственность и полномочия
5.3.1 Высшее руководство должно обеспечить определение и доведение до работников организации ответственности и полномочий для выполнения соответствующих функций.
5.3.2 Высшее руководство должно распределить ответственность и полномочия:
а) для обеспечения соответствия системы менеджмента требованиям настоящего стандарта;
б) обеспечения разработки, внедрения, поддержания в рабочем состоянии и обеспечения получения намеченных результатов процессов, требуемых системой менеджмента;
в) хранения, обработки, производства и распределения устойчивых входящих материалов и исходящих продуктов;
г) регистрирования и сохранения документированной информации в соответствии с требованиями настоящего стандарта;
д) планирования и проведения аудита внешних поставщиков (см.
8.9.2) и внутреннего аудита (см.
9.2).
5.3.3 В организации должна быть разработана и применяться как документированная информация организационная структура системы менеджмента.
5.3.4 Высшее руководство должно назначить представителя из состава высшего руководства организации, который независимо от других обязанностей должен нести ответственность и иметь полномочия, распространяющиеся:
а) на обеспечение соответствия системы менеджмента требованиям настоящего стандарта;
б) представление отчетов высшему руководству о результатах функционирования системы менеджмента и возможностях ее улучшения;
в) поддержание связи с внешними сторонами по вопросам, касающимся системы менеджмента.
6.1 Действия в отношении рисков и возможностей
6.1.1 При планировании в системе менеджмента организация должна рассмотреть вопросы, сформулированные в
4.1, и требования, указанные в
4.2, и определить риски и возможности, подлежащие рассмотрению:
- для обеспечения уверенности в том, что система менеджмента может достичь своих целевых результатов;
- предотвращения или уменьшения нежелательных результатов;
- достижения постоянного улучшения;
- достижения и сохранения устойчивости входящих материалов и исходящих продуктов по всей цепочке поставок устойчивых продуктов.
6.1.2 Организация должна планировать:
а) действия в отношении этих рисков и возможностей;
б) каким образом интегрировать и внедрять эти действия в процессы системы менеджмента;
в) каким образом оценивать результативность этих действий.
Действия, реализуемые в отношении рисков и возможностей, должны быть пропорциональны их возможному влиянию на достижение и сохранение устойчивости входящих материалов и исходящих продуктов в цепочке поставок устойчивых продуктов.
6.1.3 Организация должна разрабатывать, актуализировать и применять документированную информацию для управления действиями в отношении рисков и возможностей.
6.1.4 Организация должна регистрировать и сохранять документированную информацию в отношении действий по рассмотрению рисков и возможностей.
6.2 Цели в области устойчивого развития производства
6.2.1 Цели в области устойчивого развития производства
6.2.1.1 Организация должна установить цели в области устойчивого развития производства для соответствующих функций, уровней, а также процессов, необходимых для системы менеджмента.
6.2.1.2 Цели в области устойчивого развития производства должны:
а) быть согласованными с политикой в области устойчивого развития производства;
б) быть измеримыми;
в) быть связанными с устойчивым развитием производства исходящих продуктов;
г) быть достижимыми в течение ограниченного периода времени;
д) учитывать применимые законодательные, нормативные правовые и другие требования, в том числе требования заинтересованных сторон;
е) подлежать мониторингу;
ж) быть доведенными до работников;
и) актуализироваться при необходимости, в том числе по результатам мониторинга.
6.2.1.3 Организация должна разрабатывать, актуализировать, применять и сохранять документированную информацию о целях в области устойчивого развития производства.
6.2.2 Планирование достижения целей в области устойчивого развития производства
При планировании действий по достижению целей в области устойчивого развития производства организация должна определить:
а) что должно быть сделано;
б) какие потребуются ресурсы;
в) кто будет нести ответственность;
г) когда эти действия будут завершены;
д) каким образом будут оцениваться результаты.
6.3 Планирование изменений
6.3.1 Там, где организация определяет необходимость изменений в системе менеджмента, эти изменения должны осуществляться на плановой основе.
6.3.2 При определении возможности реализации изменений организация должна проводить анализ и учитывать:
а) цель вносимых изменений;
б) возможные риски, связанные с планируемыми изменениями, и их последствия;
в) целостность системы менеджмента;
г) достижение и сохранение устойчивости входящих материалов и исходящих продуктов;
д) наличие ресурсов;
е) распределение или перераспределение обязанностей, ответственности и полномочий.
6.3.3 Реализация изменений должна осуществляться только в случае минимизации нежелательных последствий в части достижения или сохранения устойчивости входящих материалов и исходящих продуктов, если они были определены в процессе проведения анализа.
7.1 Ресурсы
7.1.1 Общие положения
Организация должна определить и обеспечить наличие ресурсов, необходимых для разработки, внедрения, поддержания и постоянного улучшения системы менеджмента.
7.1.2 Человеческие ресурсы
Организация должна определить и обеспечить наличие работников, необходимых для результативного внедрения и функционирования системы менеджмента и ее процессов.
7.1.3 Инфраструктура
7.1.3.1 Организация должна определить, создать и поддерживать инфраструктуру, необходимую для функционирования процессов системы менеджмента.
7.1.3.2 Организация должна обеспечить наличие документированной информации, подтверждающей владение на праве собственности или ином законном основании объектами инфраструктуры, необходимыми для функционирования системы менеджмента.
7.1.3.3 Организация должна обеспечить, чтобы имеющиеся в наличии объекты инфраструктуры:
а) были пригодными для функционирования системы менеджмента;
б) поддерживались в целях сохранения их работоспособного состояния для предусмотренных целей.
Организация должна регистрировать и сохранять документированную информацию как свидетельство работоспособного состояния объектов инфраструктуры.
Примечание - Инфраструктура организации может включать:
- здания, сооружения и связанные с ними инженерные сети и системы;
- средства технологического оснащения;
- информационные и коммуникационные технологии, а также программные средства;
- транспортные ресурсы.
7.1.4 Среда для функционирования процессов
7.1.4.1 Организация должна определить, создать и поддерживать среду, необходимую для функционирования процессов системы менеджмента.
7.1.4.2 Деятельность организации должна осуществляться в соответствии с законодательными и нормативными правовыми требованиями в области трудового права, охраны труда, окружающей среды, промышленной и пожарной безопасности.
7.1.4.3 Организация должна регистрировать и сохранять документированную информацию как свидетельство осуществления деятельности в соответствии с законодательными и нормативными правовыми требованиями в области трудового права, охраны труда, окружающей среды, промышленной и пожарной безопасности.
Примечание - Подходящая среда может представлять собой сочетание таких факторов, как:
а) социальные (например, этичность, дипломатичность, спокойствие, бесконфликтность);
б) психологические (например, снижение уровня стресса, профилактика эмоционального выгорания);
в) физические (например, температура, влажность и др.).
7.1.5 Ресурсы для мониторинга и измерений
7.1.5.1 Организация должна определить и предоставить ресурсы, необходимые для обеспечения имеющих законную силу и надежных результатов в тех случаях, когда мониторинг или измерения используются для подтверждения соответствия входящих материалов и исходящих продуктов требованиям к их устойчивости.
Организация должна разрабатывать, актуализировать и применять документированную информацию, устанавливающую порядок управления ресурсами для мониторинга и измерений.
7.1.5.2 Организация должна обеспечить, чтобы предоставленные ресурсы:
а) были пригодными для конкретного типа предпринимаемых действий по мониторингу и измерению;
б) поддерживались в целях сохранения их пригодности для предусмотренных целей.
7.1.5.3 Для подтверждения соответствия измеряемых характеристик входящих материалов и исходящих продуктов оборудование для мониторинга и измерений должно быть:
а) откалибровано или поверено через установленные периоды или перед его применением по эталонам соответствующих единиц величин, прослеживаемых к государственным первичным эталонам соответствующих единиц величин;
б) идентифицировано в целях установления их статуса;
в) защищено от регулировок, повреждения и ухудшения состояния, которые сделали бы недействительными последующие результаты измерений.
7.1.5.4 Организация должна регистрировать и сохранять соответствующую документированную информацию как свидетельство наличия и пригодности ресурсов для мониторинга и измерения.
7.1.5.5 Организация должна определить правомочность предыдущих результатов измерения в тех случаях, когда было обнаружено, что ресурсы для мониторинга и измерений непригодны для применения по их прямому назначению, и при необходимости предпринять соответствующие действия.
7.1.5.6 Организация должна регистрировать и сохранять документированную информацию как свидетельство правомочности предыдущих результатов измерения в тех случаях, когда было обнаружено, что ресурсы для мониторинга и измерения непригодны для применения по их прямому назначению.
7.2 Компетентность
7.2.1 Организация должна:
а) определять необходимую компетентность лиц, выполняющих работу под ее управлением, которая оказывает влияние на результаты деятельности и результативность системы менеджмента;
б) обеспечивать компетентность этих лиц на основе соответствующего образования, профессиональной подготовки и опыта;
в) определять потребности в обучении, связанном:
1) с обеспечением устойчивости входящих материалов и исходящих продуктов,
2) обеспечением прослеживаемости и ведением учета входящих материалов и исходящих продуктов,
3) ведением и расчетом баланса массы (в случае применения модели баланс массы),
4) оформлением исходящих и верификацией входящих деклараций устойчивости и заявлений об устойчивости,
5) планированием и проведением аудитов внешних поставщиков (см.
8.9.2) и внутренних аудитов (см.
9.2);
г) где это возможно, предпринимать действия, направленные на получение требуемой компетентности, и оценивать результативность предпринятых действий.
7.2.2 Организация должна регистрировать и сохранять соответствующую документированную информацию как свидетельство компетентности.
7.3 Осведомленность
Организация должна обеспечить, чтобы соответствующие лица, выполняющие работу под управлением организации, были осведомлены:
а) о политике в области устойчивого развития производства;
б) соответствующих целях в области устойчивого развития производства;
в) своем вкладе в результативность системы менеджмента, включая преимущества от реализации принципов устойчивого развития;
г) последствиях невыполнения требований системы менеджмента;
д) своей роли и ответственности в достижении соответствия политике в области устойчивого развития производства, выполнения процедур и требований системы менеджмента;
е) требованиях к устойчивости входящих материалов и исходящих продуктов в цепочке поставок устойчивых продуктов.
7.4 Обмен информацией
7.4.1 Организация должна разработать, внедрить и поддерживать процесс, необходимый для внутреннего и внешнего обмена информацией в рамках системы менеджмента, включая определение:
а) по каким вопросам осуществлять обмен информацией;
б) когда осуществлять обмен информацией;
в) с кем осуществлять обмен информацией:
1) внутри организации между различными уровнями и функциональными структурами организации,
2) с участниками цепочки поставок устойчивых продуктов,
3) с другими заинтересованными сторонами;
г) как осуществлять обмен информацией.
7.4.2 Организация должна обеспечить, чтобы соответствующие требования к устойчивости входящих материалов и исходящих продуктов в цепочке поставок устойчивых продуктов были доведены до сведения всех соответствующих заинтересованных сторон, включая работников организации, внешних поставщиков и потребителей.
7.4.3 Организация должна предоставлять своим потребителям в цепочке поставок устойчивых продуктов необходимую информацию, в том числе документированную, для подтверждения устойчивости в рамках требований настоящего стандарта.
7.5 Документированная информация
7.5.1 Общие положения
Система менеджмента должна включать в себя:
а) руководство по устойчивости;
б) документированную информацию, требуемую настоящим стандартом;
в) документированную информацию, определенную организацией как необходимую для обеспечения результативности системы менеджмента.
Примечание - Объем документированной информации системы менеджмента одной организации может отличаться от другой в зависимости:
- от размера организации и вида ее деятельности, процессов, продуктов и услуг;
- сложности процессов и их взаимодействия;
- компетентности работников.
7.5.2 Создание и актуализация
При создании и актуализации документированной информации организация должна соответствующим образом обеспечить:
а) идентификацию и описание (например, название, дата, автор, ссылочный номер);
б) формат (например, язык, версия программного обеспечения, графические средства) и носитель (например, бумажный или электронный);
в) анализ и официальное одобрение с точки зрения достаточности и пригодности.
7.5.3 Управление документированной информацией
7.5.3.1 Документированная информация, требуемая системой менеджмента и настоящим стандартом, должна находиться под управлением в целях обеспечения:
а) доступности и пригодности, где и когда она необходима;
б) достаточной защиты (например, от несоблюдения конфиденциальности, от ненадлежащего использования или потери целостности).
7.5.3.2 Для управления документированной информацией организация должна предусматривать следующие действия в той степени, насколько это применимо:
а) распределение, обеспечение доступности, восстановление и использование;
б) хранение и обеспечение сохранности, включая четкость;
в) управление изменениями (например, управление версиями);
г) сохранение документов в течение установленных сроков, а также их удаление.
7.5.3.3 Документированная информация внешнего происхождения, определенная организацией как необходимая для планирования и функционирования системы менеджмента, должна быть соответствующим образом идентифицирована и находиться под управлением.
7.5.4 Управление сохраняемой документированной информацией
7.5.4.1 Документированная информация, регистрируемая и сохраняемая в качестве свидетельств соответствия, должна быть защищена от несанкционированных изменений.
7.5.4.2 Документированная информация, регистрируемая и сохраняемая в качестве свидетельств соответствия устойчивости и прослеживаемости, должна храниться в организации не менее пяти лет.
8 Деятельность по достижению и сохранению устойчивости исходящих продуктов
8.1 Оперативное планирование и контроль
8.1.1 Организация должна обеспечить достижение и сохранение устойчивости исходящих продуктов путем:
а) включения в их состав вторичного сырья или сырья из возобновляемых источников, соответствующих требованиям устойчивости (см.
8.2);
б) обеспечения производства исходящих продуктов устойчивым образом (см.
8.3);
в) применения способов идентификации, которые соответствуют потребностям прослеживаемости, позволяющей установить историю происхождения, историю обработки и распределения вторичного сырья или сырья из возобновляемых источников в цепочке поставок устойчивых продуктов (см.
8.4);
г) применения подходящей модели цепочки поставок устойчивых продуктов (см.
8.5,
8.6,
8.7).
Примечание - Термин "производство" включает в себя сбор, прием, размещение, хранение, обработку, производство и распределение исходящих продуктов.
8.1.2 Организация должна планировать, внедрять и контролировать процессы, необходимые для достижения и сохранения устойчивости и осуществления действий, определенных в
6.1, и осуществлять управление этими процессами посредством:
- установления критериев для процессов;
- управления процессами в соответствии с установленными критериями.
Организация должна в необходимом объеме разрабатывать, актуализировать и применять документированную информацию, необходимую для обеспечения функционирования процессов.
Организация должна регистрировать и сохранять документированную информацию в объеме, необходимом для обеспечения уверенности, что процессы осуществляются в соответствии с планами.
8.1.3 Организация должна управлять запланированными изменениями и анализировать последствия непредусмотренных изменений, предпринимая, при необходимости, меры по смягчению любых негативных воздействий.
8.1.4 Организация должна обеспечивать, чтобы процессы, переданные внешним поставщикам, находились под управлением ее системы менеджмента (см.
8.9).
8.2 Требования к устойчивости входящих материалов
8.2.1 Требования к устойчивости вторичных ресурсов и вторичного сырья
8.2.1.1 При использовании вторичных ресурсов организация должна убедиться, что:
а) используемые вторичные ресурсы соответствуют определению отходов согласно законодательству в области обращения с отходами (см.
[1]);
б) включены в федеральный классификационный
каталог отходов (см.
[4]);
в) используемые вторичные ресурсы не были намеренно изменены или загрязнены, для того чтобы соответствовать определению отходов согласно законодательству в области обращения с отходами (см.
[1]).
Организация должна обеспечить, чтобы отходы, полученные в производственном процессе, не были использованы повторно в производственном процессе, в котором они были получены, и не были признаны в качестве вторичных ресурсов с целью достижения устойчивости.
Организация должна регистрировать и сохранять документированную информацию как свидетельство соответствия вторичных ресурсов требованиям законодательства в области обращения с отходами.
8.2.1.2 При использовании вторичного сырья организация должна убедиться, что:
а) используемое вторичное сырье было получено из вторичных ресурсов, соответствующих определению отходов согласно законодательству в области обращения с отходами (см.
[1]);
б) используемое вторичное сырье было получено из вторичных ресурсов, включенных в федеральный классификационный
каталог отходов (см.
[4]).
Организация должна обеспечить, чтобы отходы, полученные в производственном процессе, не были использованы повторно в производственном процессе, в котором они были получены, и не были признаны в качестве вторичных ресурсов с целью достижения устойчивости.
8.2.2 Требования к устойчивости биомассы и сырья из возобновляемых источников
8.2.2.1 При использовании биомассы организация должна убедиться, что:
а) сельскохозяйственная биомасса получена с земель, соответствующих требованиям
[5];
б) лесная биомасса получена с земель, соответствующих требованиям
[6].
Организация, осуществляющая производство биомассы, должна регистрировать и сохранять документированную информацию как свидетельство владения на праве собственности или ином законном основании землями, где осуществляется производство биомассы.
8.2.2.2 При использовании сырья из возобновляемых источников организация должна убедиться, что:
а) сырье из возобновляемых источников было произведено из сельскохозяйственной биомассы, полученной с земель, соответствующих требованиям
[5];
б) сырье из возобновляемых источников было произведено из лесной биомассы, полученной с земель, соответствующих требованиям
[6];
в) сырье из возобновляемых источников было произведено из вторичных органических ресурсов, соответствующих определению отходов согласно законодательству в области обращения с отходами (см.
[1]) и включенных в федеральный классификационный
каталог отходов (см.
[4]).
8.3 Требования к устойчивому развитию производства исходящих продуктов
8.3.1 Общие положения
Организация должна обеспечить производство своих исходящих продуктов устойчивым образом путем выполнения требований в отношении экономических, экологических и социальных аспектов.
8.3.2 Требования в отношении экономических аспектов
8.3.2.1 Организация должна обеспечить, чтобы ее исходящие продукты соответствовали их предполагаемому назначению и обладали необходимыми свойствами, направленными на удовлетворение требований участников исходящей цепочки поставок устойчивых продуктов.
8.3.2.2 Организация должна предоставить свидетельства того, что предприняла действия по мониторингу и измерениям на соответствующих этапах в целях верификации соответствия исходящих продуктов критериям приемки.
8.3.2.3 По требованиям участников исходящей цепочки поставок устойчивых продуктов организация должна предоставлять им соответствующие результаты верификации исходящих продуктов критериям приемки.
8.3.3 Требования в отношении экологических аспектов
8.3.3.1 Организация должна обеспечить, чтобы производство ее исходящих продуктов осуществлялось в соответствии с законодательными и нормативными правовыми требованиями в области охраны окружающей среды, относящимися к деятельности организации.
8.3.3.2 Организация должна обеспечить, чтобы производство ее исходящих продуктов осуществлялось с использованием надлежащих технологических практик, направленных на оптимизацию использования природных ресурсов и сокращение образования отходов производства.
Примечания
1 Практики, направленные на оптимизацию использования природных ресурсов, могут включать использование возобновляемых источников энергии, повышение энергоэффективности и снижение энергопотребления, вовлечение в технологический цикл большего количества вторичного сырья и сырья из возобновляемых источников.
2 Внедрение системы экологического менеджмента в соответствии с требованиями
ГОСТ Р ИСО 14001 и системы энергетического менеджмента в соответствии с требованиями
ГОСТ Р ИСО 50001 может являться основополагающим шагом к обеспечению выполнения требований к экологическим аспектам устойчивого развития.
8.3.4 Требования в отношении социальных аспектов
8.3.4.1 Организация должна обеспечить, чтобы производство ее исходящих продуктов осуществлялось в соответствии с законодательными и нормативными правовыми требованиями в области трудового права.
8.3.4.2 Организация должна обеспечить, чтобы производство ее исходящих продуктов осуществлялось в соответствии с законодательными и нормативными правовыми требованиями в области охраны труда, промышленной и пожарной безопасности.
Примечание - Внедрение системы менеджмента безопасности труда и охраны здоровья в соответствии с требованиями
ГОСТ Р ИСО 45001 может являться основополагающим шагом к обеспечению выполнения требований к социальным аспектам устойчивого развития.
8.4 Идентификация и прослеживаемость
8.4.1 Организация должна внедрить, разработать и поддерживать процесс передачи, идентификации, мониторинга и контроля входящих материалов и исходящих продуктов и связанной с ними информации.
8.4.2 Организация должна разрабатывать, актуализировать и применять документированную информацию, содержащую описание внутренних материальных потоков.
8.4.3 Организация должна использовать подходящие способы идентификации входящих материалов и исходящих продуктов на всех стадиях хранения, обработки, производства и распределения. Организация должна регистрировать и сохранять документированную информацию по идентификации, необходимую для обеспечения прослеживаемости.
8.4.4 Организация должна регистрировать и сохранять документированную информацию об устойчивых входящих материалах, в том числе:
а) перечень внешних поставщиков (см.
8.9.1.5) устойчивых входящих материалов;
б) договоры с внешними поставщиками (см.
8.9.1.6) устойчивых входящих материалов;
в) сопроводительную документированную информацию на устойчивый входящий материал, в том числе декларации устойчивости (см.
8.8.2) и заявления об устойчивости (см.
8.8.3).
Если входящий материал поступает без декларации устойчивости или заявления об устойчивости, он не может быть определен как устойчивый.
При получении декларации устойчивости организация должна убедиться, что:
а) внешний поставщик имеет действующий сертификат соответствия требованиям настоящего стандарта на дату физической отправки материала;
б) внешний поставщик имеет действующий сертификат соответствия требованиям настоящего стандарта на дату оформления декларации устойчивости, если дата отправки продукта и дата оформления декларации устойчивости отличаются.
8.4.5 Организация должна установить и внедрить процедуру идентификации и верификации партий входящих материалов.
Организация должна регистрировать и сохранять документированную информацию как свидетельство идентификации и верификации партий входящих материалов.
8.4.6 Организация должна осуществлять сбор данных и вести учет относительно:
а) характеристик устойчивости входящих материалов:
1) тип материала,
2) наименование материала,
3) количество устойчивой части поставленного материала, выраженное в тоннах или кубических метрах,
4) устойчивая доля партии входящего материала,
5) информация о применяемой модели цепочки поставок устойчивых продуктов: модели баланса массы, модели контролируемого смешивания или сегрегированной модели;
б) характеристик устойчивости исходящих продуктов:
1) тип продукта,
2) наименование продукта,
3) количество устойчивой части поставляемого продукта, выраженное в тоннах или кубических метрах,
4) устойчивая доля партии исходящего продукта,
5) наименование и тип устойчивого материала, использованного при создании продукта,
6) тип операций по переработке (если применимо),
7) информация о применяемой модели цепочки поставок устойчивых продуктов: модели баланса массы, модели контролируемого смешивания или сегрегированной модели.
8.4.7 Организация должна осуществлять сбор данных и вести учет относительно количества входящих материалов и исходящих продуктов. Организация должна разделять учет количества для входящих материалов и исходящих продуктов с различными характеристиками устойчивости, даже если модель цепочки поставок устойчивых продуктов допускает физическое смешивание материалов. Учет должен быть разделен в соответствии:
а) с типом и наименованием входящего материала;
б) типом и наименованием исходящего продукта.
8.4.8 Если в организации применяется более одной модели цепочки поставок устойчивых продуктов, для каждой модели организация должна осуществлять сбор данных и вести отдельный учет.
Характеристики устойчивости определенного количества устойчивого входящего материала или устойчивого исходящего продукта могут использоваться только один раз и только для одного применения. Организация должна обеспечить исключение ведения множественного учета.
8.4.9 Организация должна регистрировать и сохранять документированную информацию как свидетельство учета.
8.4.10 Организация должна регистрировать и сохранять документированную информацию для всех устойчивых исходящих продуктов:
а) перечень трейдеров и потребителей устойчивых исходящих продуктов;
б) договоры с трейдерами и потребителями устойчивых исходящих продуктов;
в) сопроводительную документированную информацию на устойчивые продукты, в том числе декларации устойчивости (см.
8.8.2) и/или заявления об устойчивости (см.
8.8.3).
8.4.11 Организация должна через запланированные интервалы времени оценивать количество имеющихся в наличии устойчивых и прочих входящих материалов и исходящих продуктов на начало и конец оцениваемого периода.
Организация должна регистрировать и сохранять документированную информацию как свидетельство оценки.
8.4.12 Чтобы гарантировать, что все соответствующие свойства продукта и характеристики устойчивости передаются по цепочке поставок устойчивых продуктов, организация должна использовать подходящие способы обеспечения прослеживаемости и модели цепочки поставок устойчивых продуктов, среди которых:
а) модель баланса массы (см.
8.5);
б) модель контролируемого смешивания (см.
8.6);
в) сегрегированная модель (см.
8.7).
Организация должна разрабатывать, актуализировать и применять документированную информацию, устанавливающую методологию и способы обеспечения прослеживаемости и реализации выбранных моделей цепочки поставок устойчивых продуктов.
8.4.13 Организация должна регистрировать, сохранять и передавать по исходящей цепочке поставок устойчивых продуктов документированную информацию как свидетельство устойчивости исходящих продуктов в виде деклараций устойчивости (см.
8.8.2) или заявлений об устойчивости (см.
8.8.3).
8.5.1 Общие положения
8.5.1.1 Организация должна использовать модель баланса массы и проверить его правильность применительно к выбранному периоду времени.
Организация должна:
а) установить период сальдирования баланса массы;
б) собирать данные о входящих материалах и исходящих продуктах в течение выбранного периода сальдирования и определять устойчивую долю исходящих продуктов;
в) осуществлять расчет баланса массы и проверять правильность расчетов.
8.5.1.2 Организация должна разрабатывать, актуализировать и применять документированную информацию, устанавливающую методологию составления и расчета баланса массы (см.
8.4.12).
8.5.2 Период сальдирования баланса массы
8.5.2.1 Максимальный период сальдирования баланса массы должен составлять три месяца. Для пунктов сбора сельскохозяйственной или лесной биомассы период сальдирования баланса массы может составлять до двенадцати месяцев.
8.5.2.2 Периоды сальдирования баланса массы должны быть непрерывными во времени, то есть не должно возникать промежутков между периодами сальдирования баланса массы. Даже в периоды отсутствия движения устойчивых входящих материалов и/или исходящих продуктов баланс массы должен поддерживаться и сохраняться как документированная информация (см.
8.5.5.2).
8.5.3 Сбор данных и составление баланса массы
8.5.3.1 Для составления баланса массы организация должна использовать информацию, содержащуюся в сопроводительной документированной информации на поставку, в том числе в декларациях устойчивости и заявлениях об устойчивости, а также организация должна использовать данные учета.
8.5.3.2 Организация должна составлять и рассчитывать баланс массы:
а) для каждого устойчивого исходящего продукта с указанием соответствующего типа устойчивого входящего материала;
б) для каждого места осуществления деятельности на уровне географического местоположения с точными границами, даже если эти места осуществления деятельности находятся в рамках одной организации.
8.5.3.3 Информация об устойчивом входящем материале может быть включена в баланс массы только в том случае, если он физически поступил в организацию, то есть должна быть обеспечена физическая связь между балансом массы и материалом. Организация должна обеспечить, чтобы информация об устойчивом входящем материале не включалась в баланс массы без физического поступления материала в организацию.
Примечание - Для трейдеров, не имеющих складов, включение информации об устойчивом входящем материале в баланс массы может быть осуществлено после получения права собственности на этот материал.
8.5.3.4 В течение периода сальдирования баланса массы партии устойчивого и прочего входящего материала могут произвольно объединяться или разделяться в рамках учета до тех пор, пока сумма всех партий исходящих продуктов, выводимых из смеси, будет иметь те же характеристики устойчивости в тех же количествах, что и сумма всех партий, которые были добавлены в смесь.
8.5.3.5 Присвоение характеристик устойчивости исходящим партиям продуктов должно ограничиваться коэффициентом пересчета.
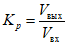
Коэффициент пересчета Kp должен вычисляться по формуле

, (1)
где Vвых - масса исходящего продукта, полученного в рамках обработки входящего материала, т;
Vвх - масса входящего материала, требуемого для получения исходящего продукта в процессе обработки, т.
Значение коэффициента пересчета не может быть больше 1.
8.5.3.6 Организация должна определять коэффициент пересчета:
а) для каждой технологической линии или установки;
б) для каждого исходящего продукта или групп продуктов.
В случае наличия многоступенчатой технологической линии может потребоваться расчет коэффициента пересчета для каждой технологической ступени. В таком случае каждый этап технологического процесса должен быть проанализирован отдельно, что приведет к конкретным коэффициентам пересчета для каждого отдельного входящего компонента каждого этапа процесса.
Если организация применяет расчет коэффициента пересчета для группы исходящих продуктов, она должна регистрировать и сохранять документированную информацию как свидетельство определения групп исходящих продуктов.
8.5.3.7 Определение коэффициента(ов) пересчета организация должна проводить на основании оперативных данных производства. Коэффициент(ы) пересчета не могут быть определены на основе теоретических данных. Для операций, которые не приводят к изменению количества входящего материала, таких как хранение, коэффициент пересчета может быть равным 1.
Организация должна актуализировать коэффициент(ы) пересчета через запланированные интервалы времени.
8.5.3.8 Организация должна регистрировать и сохранять документированную информацию как свидетельство определения коэффициента(ов) пересчета.
8.5.4 Определение устойчивой доли исходящих продуктов
8.5.4.1 На основании данных учета (см.
8.4.7) и баланса массы организация должна определять устойчивую долю каждой партии исходящих продуктов путем:
а) присвоения устойчивой доли каждой партии исходящих продуктов;
б) расчета устойчивой доли в каждой партии исходящих продуктов.
8.5.4.2 В случае применения способа присвоения устойчивой доли партиям исходящих продуктов организация может отнести произвольную устойчивую долю к любой партии исходящих продуктов независимо от физического количества устойчивого входящего материала в этой конкретной партии.
При этом организация должна соблюдать следующие условия:
а) присвоение характеристик устойчивости исходящим партиям продуктов должно ограничиваться коэффициентом пересчета (см.
8.5.3.5);
б) должно быть обеспечено нулевое или положительное сальдо баланса массы по истечении периода сальдирования баланса массы (см.
8.5.5.1);
в) присваиваемый объем устойчивой доли не может быть выше, чем физический объем производства в период сальдирования баланса массы.
8.5.4.3 В случае применения способа расчета устойчивой доли каждой партии исходящих продуктов организация должна рассчитывать устойчивую долю каждой партии Ls, %, исходящего продукта по формуле

(2)
где Asj - масса компонента устойчивого входящего материала, т;
Kpj - коэффициент пересчета компонента устойчивого входящего материала;
M - масса исходящего продукта, т;
n - число компонентов;
j - порядковый номер компонента.
8.5.4.4 Организация должна в декларации об устойчивости или в заявлении об устойчивости раскрывать устойчивую долю каждой партии исходящего продукта.
8.5.5 Расчет баланса массы
8.5.5.1 Организация должна обеспечить нулевое или положительное сальдо баланса массы по истечении периода сальдирования. Организация не может иметь отрицательное сальдо баланса массы.
Организация должна вычислять сальдо баланса массы по истечении периода сальдирования C, т, по формуле
C = (As + as)·Kp + bs - Is, (3)
где As - масса устойчивого входящего материала, поступившего за период сальдирования, т;
as - масса устойчивого входящего материала, имеющегося в наличии на начало периода сальдирования, т;
Kp - коэффициент пересчета;
bs - масса устойчивой части исходящего продукта, имеющегося в наличии на начало периода сальдирования, т;
Is - масса устойчивой части исходящего продукта, который был физически отправлен потребителю за весь период сальдирования, т.
8.5.5.2 Расчет баланса массы должен регистрироваться и сохраняться как документированная информация и содержать:
а) даты начала и конца периода сальдирования, для которого он был рассчитан;
б) наименование, количество и характеристики устойчивости входящих материалов и исходящих продуктов на начало периода сальдирования баланса массы;
в) наименование, количество и характеристики устойчивости входящих материалов и исходящих продуктов в течение периода сальдирования баланса массы;
г) сумму кредитов, которые могут быть перенесены на следующий период сальдирования (при наличии);
д) сумму кредитов за предыдущий период сальдирования (если имеется);
е) коэффициент пересчета (если применимо).
8.5.6 Перевод кредита
8.5.6.1 Организация может осуществить перенос кредита с одного периода сальдирования баланса массы на другой независимо от количества имеющихся в наличии устойчивых и прочих материалов на конец периода сальдирования баланса массы.
8.5.6.2 Организация может осуществить перенос кредита с одного продукта на другой только при условии их идентичности или при условии схожести характеристик устойчивости, физических и химических характеристик.
8.5.6.3 Организация может осуществить перенос кредита между местами осуществления деятельности при обязательном выполнении следующих условий:
а) область деятельности места осуществления деятельности должна включать либо производство и/или переработку, либо хранение устойчивых продуктов;
б) область деятельности места осуществления деятельности, являющегося поставщиком кредита, и места осуществления деятельности, являющегося получателем кредита, должна быть идентична;
в) места осуществления деятельности должны быть включены в границы применения системы менеджмента (см.
4.3);
г) места осуществления деятельности должны быть расположены на территории Российской Федерации или на территории Российской Федерации и страны Содружества Независимых Государств;
д) места осуществления деятельности должны быть частью одного юридического лица или частью юридических лиц одной корпоративной группы. Корпоративная группа должна представлять собой объединение нескольких юридических лиц, которые контролируются одной материнской компанией. Доля участия материнской компании в уставном капитале как места осуществления деятельности, являющегося поставщиком кредита, так и места осуществления деятельности, являющегося получателем кредита, должна составлять более 50%.
8.6 Модель контролируемого смешивания
8.6.1 В случае применения модели контролируемого смешивания организация должна обеспечить запланированные режимы смешивания устойчивых и прочих входящих материалов, исключая их химическую или биологическую реакцию.
8.6.2 Перед смешиванием устойчивых и прочих входящих материалов организация должна установить значение устойчивой доли для каждой партии устойчивого исходящего продукта.
8.6.3 Организация должна обеспечить, чтобы устойчивая доля исходящего продукта не превышала объем устойчивого входящего материала с учетом коэффициента пересчета. Это достигается путем:
а) физического разделения устойчивых и прочих входящих материалов на протяжении всех стадий хранения, обработки, производства и распределения до момента смешивания;
б) четкой идентификации устойчивых и прочих входящих материалов на протяжении всех стадий хранения, обработки, производства и распределения до момента смешивания;
в) смешивания устойчивых и прочих входящих материалов с учетом коэффициента пересчета таким образом, чтобы гарантировать, что каждая партия исходящего продукта содержит устойчивую долю, установленную как требование перед началом смешивания.
8.6.4 Организация должна через запланированные интервалы времени, но не реже одного раза в три месяца, сверять объем устойчивых входящих материалов и объем устойчивых исходящих продуктов с учетом заданной устойчивой доли и коэффициентов пересчета.
Организация должна регистрировать и сохранять документированную информацию как свидетельство сверки объема устойчивых входящих материалов и объема устойчивых исходящих продуктов с учетом заданной устойчивой доли и коэффициентов пересчета.
8.6.5 Организация должна разрабатывать, актуализировать и применять документированную информацию, описывающую порядок реализации модели контролируемого смешивания (см.
8.4.12).
8.6.6 Организация должна в декларации устойчивости или заявлении об устойчивости раскрывать устойчивую долю каждой партии исходящего продукта.
8.6.7 Организация должна определять коэффициент пересчета в соответствии с
8.5.3.5 -
8.5.3.8.
8.7 Сегрегированная модель
8.7.1 В случае применения сегрегированной модели организация должна обеспечить полное разделение и идентификацию устойчивого и прочего входящего материала и исходящего продукта на протяжении всех стадий хранения, обработки, производства и распределения.
8.7.2 Это должно быть достигнуто следующими способами:
а) физическим разделением производственных и складских помещений или
б) физическим разделением по времени.
Организация должна разрабатывать, актуализировать и применять документированную информацию, описывающую порядок реализации сегрегированной модели (см.
8.4.12).
8.7.3 Организация должна определять коэффициент переработки в соответствии с
8.5.3.5 -
8.5.3.8.
8.8 Декларация устойчивости и заявление об устойчивости
8.8.1 Общие положения
8.8.1.1 Организация должна регистрировать, сохранять и передавать по исходящей цепочке поставок устойчивых продуктов документированную информацию как свидетельство устойчивости исходящих продуктов в виде деклараций устойчивости в случае, если она подтвердила соответствие требованиям настоящего стандарта путем сертификации.
8.8.1.2 Организация должна регистрировать, сохранять и передавать по исходящей цепочке поставок устойчивых продуктов документированную информацию как свидетельство устойчивости исходящих продуктов в виде заявлений об устойчивости в случае, если она не подтвердила соответствие требованиям настоящего стандарта путем сертификации.
8.8.2 Декларация устойчивости
8.8.2.1 Декларация устойчивости должна быть оформлена на каждую партию исходящего продукта и охватывать конкретное количество устойчивого продукта. Прочие компоненты продукта, например из ископаемого топлива, не могут быть включены в количество устойчивого исходящего продукта, указанное в декларации устойчивости.
8.8.2.2 Организация должна обеспечить, чтобы декларация устойчивости была оформлена и передана потребителю не позднее, чем через пять дней после даты физической отправки устойчивого исходящего продукта.
8.8.2.3 Декларация устойчивости может быть оформлена для нескольких поставок партий устойчивого исходящего продукта при выполнении следующих требований:
а) устойчивые исходящие продукты должны поставляться в рамках одного договора и иметь идентичные характеристики устойчивости за исключением устойчивой доли;
б) срок поставки всех партий, указанных в декларации устойчивости, не должен превышать одного месяца, а конечный срок поставки должен быть указан в декларации устойчивости;
в) с целью возможности оценки общего количества устойчивого исходящего продукта и даты доставки должна регистрироваться и сохраняться документированная информация для каждой отдельной поставки;
г) место, откуда устойчивый исходящий продукт доставляется, и место, где устойчивый продукт принимается, не должны меняться в течение периода поставки.
8.8.2.4 Организация не может оформлять более одной декларации устойчивости для одной и той же партии исходящего продукта.
8.8.2.5 Декларация устойчивости должна содержать как минимум следующую информацию:
а) общую информацию:
1) наименование и адрес организации,
2) наименование и адрес потребителя,
3) реквизиты договора на поставку,
4) дату отправки/отгрузки устойчивого исходящего продукта,
5) адрес пункта отправки/отгрузки устойчивого исходящего продукта,
6) реквизиты сертификата, подтверждающего соответствие системы менеджмента требованиям настоящего стандарта (номер, дата, срок действия),
7) дату выпуска декларации устойчивости,
8) уникальный номер декларации устойчивости;
б) информацию об исходящем продукте:
1) тип устойчивого исходящего продукта,
2) наименование устойчивого исходящего продукта,
3) количество устойчивой части поставляемого продукта, выраженное в тоннах или кубических метрах, или устойчивую долю исходящего продукта,
4) наименование и тип устойчивого входящего материала, использованного при создании исходящего продукта,
5) информацию о применяемой модели цепочки поставок устойчивых продуктов: модели баланса масс, модели контролируемого смешивания или сегрегированной модели.
8.8.3 Заявление об устойчивости
8.8.3.1 При оформлении заявления об устойчивости организация должна применять правила, установленные в
8.8.2, с дополнением, приведенным в настоящем пункте.
8.8.3.2 Заявление об устойчивости не может содержать ссылку на реквизиты сертификата, подтверждающего соответствие требованиям настоящего стандарта.
8.9 Управление входящими материалами, процессами и услугами, поставляемыми внешними поставщиками
8.9.1 Общие положения
8.9.1.1 Организация должна обеспечить соответствие входящих материалов, процессов и услуг, поставляемых внешними поставщиками, требованиям к устойчивости (см.
8.2) и прослеживаемости (см.
8.4), а также законодательным и нормативным правовым требованиям.
8.9.1.2 Организация должна определять средства управления, применимые для входящих материалов, процессов и услуг, поставляемых внешними поставщиками, в тех случаях, когда:
а) входящий материал предназначен для включения в состав исходящих продуктов организации;
б) процесс или его часть выполняется внешним поставщиком в результате принятия решения организацией;
в) услуги от внешних поставщиков влияют на достижение и сохранение устойчивости исходящего продукта.
8.9.1.3 На основании анализа требований к сохранению и достижению устойчивости своего исходящего продукта организация должна определить и обеспечить выполнение требований к входящим материалам, процессам и услугам, поставляемым внешними поставщиками. Для этих целей организация должна, где это необходимо:
а) определять состав входящих материалов, процессов и услуг, поставляемых внешними поставщиками, необходимых для достижения и сохранения устойчивости своих исходящих продуктов и обеспечения прослеживаемости;
б) устанавливать требования к входящим материалам, процессам и услугам, поставляемым внешними поставщиками, необходимые для достижения и сохранения устойчивости своих исходящих продуктов и обеспечения прослеживаемости;
в) устанавливать требования к методам упаковывания, складирования, хранения, транспортирования входящих материалов (при необходимости);
г) учитывать другие требования, необходимые для обеспечения устойчивости и прослеживаемости.
8.9.1.4 Организация должна устанавливать, документировать и сообщать внешним поставщикам входящих материалов, процессов и услуг свои требования:
б) к наличию, поддержанию и улучшению системы менеджмента в соответствии с требованиями настоящего стандарта;
в) к предоставлению декларации устойчивости или заявления об устойчивости для каждой партии устойчивого входящего материала, поставляемого внешним поставщиком;
г) к предоставлению доступа для организации или ее представителя на территорию внешнего поставщика с целью проведения проверки соответствия системы менеджмента внешнего поставщика (аудит внешнего поставщика) требованиям настоящего стандарта и собственным требованиям организации (см.
8.9.2);
д) к распространению всех применимых требований настоящего стандарта своим внешним поставщикам далее по цепочке поставок устойчивых продуктов.
8.9.1.5 Организация должна определить и применять критерии и методы (см.
8.9.2) оценки, выбора, мониторинга деятельности и повторной оценки внешних поставщиков исходя из их способности поставлять входящие материалы, выполнять процессы или предоставлять услуги в соответствии с требованиями устойчивости и прослеживаемости. Организация должна регистрировать и сохранять документированную информацию об этих действиях и о любых необходимых действиях, вытекающих из оценок.
8.9.1.6 Организация должна заключать договоры со всеми внешними поставщиками входящих материалов, процессов и услуг. Организация должна обеспечить путем включения необходимых положений в договоры выполнение внешними поставщиками требований, установленных в
8.9.1.4.
Договоры должны регистрироваться и сохраняться как документированная информация.
8.9.2 Аудиты внешних поставщиков
8.9.2.1 Организация должна проводить анализ рисков и возможностей деятельности внешних поставщиков, которые оказывают существенное влияние на достижение и сохранение устойчивости ее исходящих продуктов.
Основываясь на анализе рисков и возможностей деятельности внешних поставщиков, организация должна:
а) устанавливать критерии для определения необходимости и частоты проведения проверки соответствия системы менеджмента внешних поставщиков (аудит внешнего поставщика) требованиям настоящего стандарта и собственным требованиям организации;
б) устанавливать критерии и обеспечивать компетентность аудиторов, проводящих аудит внешнего поставщика;
в) определять необходимость и проводить проверку соответствия системы менеджмента внешних поставщиков (аудит внешнего поставщика) требованиям настоящего стандарта и собственным требованиям организации.
8.9.2.2 Организация должна проводить проверку соответствия системы менеджмента внешних поставщиков (аудит внешнего поставщика) требованиям настоящего стандарта и собственным требованиям организации в отношении всех поставщиков, поставляющих свои продукты на основании заявлений об устойчивости.
8.9.2.3 Организация должна разрабатывать, актуализировать и применять документированную информацию, устанавливающую порядок определения ответственности и требований, связанных с планированием и проведением аудитов внешних поставщиков, регистрацией и сохранением документированной информации о результатах проведенных аудитов.
8.9.2.4 Организация должна регистрировать и сохранять документированную информацию:
а) по критериям для определения необходимости и частоты проведения проверки соответствия системы менеджмента внешних поставщиков;
б) по критериям и результатам оценки компетентности аудиторов, проводящих аудит внешнего поставщика;
в) по анализу необходимости и определению частоты проведения проверки соответствия системы менеджмента внешних поставщиков;
г) как свидетельство проведенных аудитов.
8.9.2.5 Организация должна учитывать результаты аудитов внешних поставщиков при проведении повторной оценки внешних поставщиков (см.
8.9.1.5).
8.9.3 Передача процесса
8.9.3.1 Организация должна нести ответственность за соответствие процессов, выполняемых внешними поставщиками, требованиям по достижению и сохранению устойчивости и обеспечению прослеживаемости.
8.9.3.2 В случае применения модели баланса массы организация должна обеспечить составление и расчет баланса массы, а также регистрацию и сохранение соответствующей документированной информации для каждого процесса хранения, обработки, производства и распределения устойчивых входящих материалов и/или исходящих продуктов, выполняемого внешним поставщиком.
8.9.3.3 Организация должна обеспечить, чтобы внешний поставщик процесса принял на себя обязательства:
а) по соответствию требованиям, установленным организацией как необходимые для достижения и сохранения устойчивости и обеспечения прослеживаемости;
б) подтверждению предоставления доступа для организации или ее представителя на территорию внешнего поставщика с целью проведения проверки соответствия системы менеджмента внешнего поставщика (аудит внешнего поставщика) требованиям настоящего стандарта и собственным требованиям организации;
в) непередаче переданного ему процесса третьей стороне.
8.9.3.4 При передаче внешнему поставщику процесса организация должна сохранять юридическое право собственности на все переданные материалы и/или продукты.
9 Оценка результатов деятельности
9.1 Мониторинг, измерение, анализ и оценка
9.1.1 Организация должна определить:
а) что должно подлежать мониторингу и измерениям;
б) методы мониторинга, измерения, анализа и оценки в той степени, в которой они применимы, в целях обеспечения достоверности результатов;
в) когда должны проводиться мониторинг и измерения;
г) когда результаты мониторинга и измерений должны быть проанализированы и оценены.
9.1.2 Организация должна оценивать результаты деятельности и результативность системы менеджмента.
9.1.3 Организация должна регистрировать и сохранять соответствующую документированную информацию как свидетельство полученных результатов.
9.2.1 Организация должна проводить внутренние аудиты через запланированные интервалы времени для получения информации, что система менеджмента:
а) соответствует:
1) собственным требованиям организации к ее системе менеджмента,
2) требованиям настоящего стандарта;
б) результативно внедрена и поддерживается в рабочем состоянии.
9.2.2 Организация должна:
а) планировать, разрабатывать, внедрять и поддерживать в рабочем состоянии программу аудитов, включая периодичность и методы проведения аудитов, а также ответственность, требования, касающиеся планирования, и предоставление отчетности. Программа аудитов должна разрабатываться с учетом важности и значения проверяемых процессов и результатов, полученных при проведении предыдущих аудитов;
б) определять критерии аудитов и область проверки для каждого аудита;
в) выбирать аудиторов и проводить аудиты так, чтобы обеспечивалась объективность и беспристрастность процесса аудита;
г) обеспечивать передачу информации о результатах аудитов соответствующим руководителям;
д) сохранять документированную информацию как свидетельства, подтверждающие внедрение программы аудитов и полученные результаты аудитов.
9.2.3 Аудит системы менеджмента должен планироваться таким образом, чтобы не реже одного раза в год обеспечить:
а) проверку ее соответствия требованиям настоящего стандарта;
б) проверку всех процессов системы менеджмента, включая процессы, переданные внешним поставщикам.
9.2.4 Организация должна разрабатывать, актуализировать и применять документированную информацию, устанавливающую порядок определения ответственности и требований, связанных с планированием и проведением внутренних аудитов, регистрацией и сохранением документированной информации о результатах проведенных аудитов.
9.3 Анализ со стороны руководства
9.3.1 Высшее руководство должно анализировать через запланированные интервалы времени систему менеджмента в целях обеспечения ее постоянной пригодности, достаточности и результативности.
9.3.2 Анализ со стороны руководства должен планироваться и включать в себя рассмотрение:
а) статуса действий по результатам предыдущих анализов со стороны руководства;
б) изменений:
1) во внешних и внутренних факторах, касающихся системы менеджмента,
2) потребностей и ожиданий заинтересованных сторон, имеющих отношение к системе менеджмента,
3) состава и типа входящих материалов и исходящих продуктов;
в) степени достижения целей в области устойчивого развития производства;
г) информации о результатах деятельности в области достижения и сохранения устойчивости исходящих продуктов, включая тенденции в отношении:
1) несоответствий и корректирующих действий,
2) результатов мониторинга и измерений,
3) данных учета движения устойчивых входящих материалов и исходящих продуктов,
4) результатов расчета баланса массы (для организаций, применяющих модель баланса массы),
5) результатов сверки объема устойчивых входящих материалов и объема устойчивых исходящих продуктов с учетом заданной устойчивой доли и коэффициентов пересчета (для организаций, применяющих модель контролируемого смешивания),
6) результатов оценок достигнутой устойчивости исходящих продуктов,
7) результатов аудитов,
8) результатов деятельности внешних поставщиков;
д) возможностей для постоянного улучшения;
е) сообщений от внешних заинтересованных сторон, включая жалобы;
ж) результативности действий, предпринятых в отношении рисков и возможностей.
9.3.3 Выходные данные анализа со стороны руководства должны включать в себя решения, относящиеся к возможностям для постоянного улучшения и к любым необходимым изменениям системы менеджмента.
9.3.4 Организация должна сохранять документированную информацию как свидетельства, подтверждающие результаты анализов со стороны руководства.
10.1 Несоответствие и корректирующие действия
10.1.1 При возникновении несоответствия организация должна:
а) реагировать на данное несоответствие и, если это применимо, предпринимать действия:
1) по управлению и устранению выявленного несоответствия,
2) в отношении последствий данного несоответствия;
б) оценивать необходимость действий по устранению причин данного несоответствия, чтобы избежать его повторного появления или появления в другом месте посредством:
1) анализа несоответствия,
2) определения причин, вызвавших появление несоответствия,
3) определения наличия другого аналогичного несоответствия или возможности его возникновения;
в) выполнять все необходимые действия по устранению причин данного несоответствия;
г) проанализировать результативность каждого предпринятого корректирующего действия;
д) актуализировать при необходимости риски и возможности, определенные в ходе планирования;
е) вносить при необходимости изменения в систему менеджмента.
Корректирующие действия должны соответствовать последствиям выявленных несоответствий в части обеспечения сохранения устойчивости входящих материалов и исходящих продуктов.
10.1.2 Организация должна разрабатывать, актуализировать и применять документированную информацию, устанавливающую порядок управления несоответствиями и корректирующими действиями.
10.1.3 Организация должна регистрировать и сохранять документированную информацию как свидетельство:
а) характера выявленных несоответствий и последующих предпринятых действий;
б) результатов всех корректирующих действий.
10.2 Постоянное улучшение
Организация должна постоянно улучшать пригодность, адекватность и результативность системы менеджмента.
(справочное)
УЧАСТНИКИ И ОБЪЕКТЫ ЦЕПОЧКИ ПОСТАВОК УСТОЙЧИВЫХ ПРОДУКТОВ
А.1 Участниками цепочки поставок устойчивых продуктов являются:
- пункты сбора;
- трейдеры/склады;
- производители устойчивых продуктов;
- производители изделий из устойчивых продуктов.
Типовая цепочка поставок устойчивых продуктов приведена на
рисунке А.1.
Рисунок А.1 - Типовая цепочка поставок устойчивых продуктов
А.2 Пункты сбора - это организации, которые осуществляют:
- только прием и размещение вторичных ресурсов и/или биомассы;
- только обработку вторичных ресурсов и/или биомассы;
- прием, размещение и обработку вторичных ресурсов и/или биомассы.
А.3 Между каждым звеном цепочки поставок устойчивых продуктов может находиться трейдер (со складскими помещениями или без них).
А.4 Производители устойчивых продуктов - это организации, которые преобразуют входящие материалы в виде вторичного сырья или сырья из возобновляемых источников, изменяя их физические и/или химические свойства, во вторичные пластмассы или биопластмассы в виде полимерных гранул, компаунда и т.п.
А.5 Производители изделий из устойчивых продуктов - это организации, которые преобразуют входящие материалы в виде устойчивых продуктов в любые готовые изделия: упаковку, безнапорные трубы, товары бытового и хозяйственного назначения, элементы автокомпонентов и т.п.
А.6 В качестве объектов цепочки поставок устойчивых продуктов, в отношении которых может функционировать система менеджмента, рассматриваются:
- изделия в виде упаковки, безнапорных труб, товаров бытового и хозяйственного назначения, элементов автокомпонентов и т.п., производство которых осуществляется с использованием устойчивых продуктов в их составе;
- устойчивые продукты в виде гранул, компаунда и т.п., производство которого осуществляется с использованием вторичного сырья или сырья из возобновляемых источников;
- вторичное сырье, полученное из вторичных полимерных ресурсов непосредственно (без обработки) или в соответствии с технологическими процессами, методами и способами, предусмотренными документами по стандартизации Российской Федерации;
- сырье из возобновляемых источников, полученное или синтезированное непосредственно или через промежуточные этапы из биомассы или вторичных органических ресурсов;
- вторичные полимерные ресурсы в виде пластмассовых отходов;
- вторичные органические ресурсы;
- биомасса, образующаяся в сельском и лесном хозяйстве, деревообрабатывающей и пищевой промышленности.
| Федеральный закон от 24 июня 1998 г. N 89-ФЗ "Об отходах производства и потребления" |
| | ИС МЕГАНОРМ: примечание. В официальном тексте документа, видимо, допущена опечатка: Федеральный закон N 7-ФЗ принят 10.01.2002, а не 10.01.2022. | |
|
| Федеральный закон от 10 января 2022 г. N 7-ФЗ "Об охране окружающей среды" |
| Закон Российской Федерации от 21 февраля 1992 г. N 2395-I "О недрах" |
| Приказ Росприроднадзора от 22 мая 2017 г. N 242 "Об утверждении Федерального классификационного каталога отходов" |
| Земельный кодекс Российской Федерации от 25 октября 2001 г. N 136-ФЗ |
| Лесной кодекс Российской Федерации от 4 декабря 2006 г. N 200-ФЗ |
УДК 658.562.3:006.354 | |
Ключевые слова: система менеджмента устойчивого развития производства пластмасс и изделий из них, требования к системе менеджмента устойчивого развития производства пластмасс и изделий из них, лидерство, действия в отношении рисков и возможностей, устойчивость, прослеживаемость, цепочка поставок устойчивых продуктов, модель баланса массы, модель контролируемого смешивания, сегрегированная модель, декларации устойчивости, заявления об устойчивости |