Главная // Актуальные документы // Актуальные документы (обновление с 03.11.2025 по 29.11.2025) // Руководство
СПРАВКА
Источник публикации
М.: Стройиздат, 1977
Примечание к документу
Название документа
"Руководство по определению расчетной стоимости и трудоемкости изготовления сборных железобетонных конструкций на стадии проектирования. Конструкции жилых и общественных зданий"

"Руководство по определению расчетной стоимости и трудоемкости изготовления сборных железобетонных конструкций на стадии проектирования. Конструкции жилых и общественных зданий"


Содержание


РУКОВОДСТВО
ПО ОПРЕДЕЛЕНИЮ РАСЧЕТНОЙ СТОИМОСТИ И ТРУДОЕМКОСТИ
ИЗГОТОВЛЕНИЯ СБОРНЫХ ЖЕЛЕЗОБЕТОННЫХ КОНСТРУКЦИЙ
НА СТАДИИ ПРОЕКТИРОВАНИЯ
КОНСТРУКЦИИ ЖИЛЫХ И ОБЩЕСТВЕННЫХ ЗДАНИЙ
Руководство содержит основные методические положения и нормативы, позволяющие рассчитать себестоимость, трудоемкость и другие технико-экономические показатели вновь создаваемых конструкций и изделий из сборного железобетона жилых и гражданских зданий.
Предназначено для инженерно-технических работников проектных и научно-исследовательских организаций, занятых разработкой, проектированием и внедрением новых видов железобетонных конструкций.
ПРЕДИСЛОВИЕ
В десятой пятилетке предусматривается шире применять в строительстве жилых и гражданских зданий эффективные железобетонные конструкции из высокопрочных, легких и других видов бетонов, повышать сборность строительства.
Оценка эффективности и выбор оптимальных проектных решений невозможны без специальных методических пособий, позволяющих на стадии проектирования выявить стоимость, трудоемкость и другие показатели, характеризующие экономическую сторону вновь создаваемых конструкций.
Настоящее Руководство предназначается для расчета себестоимости, стоимости, трудоемкости и некоторых других технико-экономических показателей вновь разрабатываемых конструкций из сборного железобетона для жилых и гражданских зданий.
Вместе с "Типовой методикой определения экономической эффективности капитальных вложений", "Инструкцией по определению экономической эффективности капитальных вложений в строительстве" (СН 423-71) и другими отраслевыми методическими материалами Руководство позволяет рассчитывать на стадии проектирования по единой методике и нормативам необходимые для оценки эффективности сборных железобетонных конструкций и изделий экономические усредненные показатели, образующие наиболее важную часть приведенных затрат - себестоимость.
Впервые методика для оценки вариантов проектных решений для конструкций всех видов строительства была разработана НИИЭС, НИИЖБ и Гипротис в 1960 г. В дальнейшем она неоднократно обновлялась и переиздавалась под различными названиями. В последней редакции она действовала в виде "Руководства по определению расчетной стоимости и трудоемкости изготовления сборных железобетонных конструкций на стадии проектирования", выпуск II которого содержал нормативы, специфические для оценки конструкций для жилых и гражданских зданий. В настоящем издании он переработан, дополнен недостающими нормативами Общей части, уточнен в соответствии с экономическими и ценообразующими актами, принятыми в последние годы.
Нормативы настоящего Руководства определены для предприятий среднего по отрасли объема производства (до 70 тыс. м2 жилой площади в год), рассчитаны для группы центральных районов страны, входящих в III территориальный пояс "Прейскуранта оптовых цен на железобетонные изделия", N 06-08 (издания 1974 г.) и базируются на действующих по состоянию на 1 января 1977 г. ценах на сырье, материалы, полуфабрикаты и услуги.
Руководство разработано НИИЖБ (канд. экон. наук А.А. Миронов, канд. техн. наук С.П. Павлов, инженеры Е.И. Миронова, Д.А. Нефедова, Н.Н. Толпежникова, В.Г. Ускова), НИИЭС (инженеры М.Н. Гурбанова, И.З. Аптерман, Р.А. Кудревич) и ЦНИИЭПжилища (канд. техн. наук М.С. Любимова, инженеры В.Г. Завелев, В.В. Бахарев).
Общая редакция Руководства осуществлена канд. экон. наук А.А. Мироновым.
Замечания и предложения направлять по адресу 117331, Москва, В-331, пр. Вернадского, 29, НИИЭС.
1. ОСНОВНЫЕ ПОЛОЖЕНИЯ
1.1. Настоящее Руководство предназначено для определения на стадии проектирования расчетной заводской себестоимости, полной расчетной стоимости и трудоемкости изготовления отдельных вновь проектируемых сборных железобетонных конструкций и деталей.
Кроме этой основной задачи Руководство рекомендуется применять в следующих случаях:
а) для расчетов сравнительной экономической эффективности конструкций и деталей одинакового назначения при вариантном проектировании, когда условия сопоставимости решений позволяют ограничиться рассмотрением только заводской стоимости и трудоемкости и других показателей отдельных железобетонных изделий (не рассматривая показателей совокупности изделий, входящих в состав целых зданий);
б) при решении ряда задач по выбору изделий определенного назначения и эксплуатационных характеристик: бетона наивыгоднейшего вида и марки; оптимального по стоимости набора арматурных изделий из стали определенных классов; наивыгоднейшего вида напрягаемой арматуры и др.;
в) для технико-экономического анализа конструктивных решений с целью выявления резервов снижения веса, расхода материалов, стоимости и трудоемкости изготовления конструкций и изделий.
1.2. Руководство не распространяется на решение вопросов по выбору оптимальной технологии изготовления и наилучших способов осуществления отдельных операций по изготовлению конструкций (способов формования и термовлажностной обработки, способов изготовления арматуры и закладных деталей и т.д.) <1>.
--------------------------------
<1> Задачи такого рода решаются с использованием специальных методических указаний и руководств, например "Руководства по технико-экономической оценке способов формования бетонных и железобетонных изделий", НИИЖБ (Стройиздат, М., 1971).
Запрещается использование Руководства для калькулирования на предприятиях по производству сборного железобетона.
1.3. При решении задач, указанных в п. 1.1, рекомендуется использовать номенклатуру показателей, приведенную в табл. 1. Эти показатели определяются как для рассматриваемого нового решения, так и для эталона, в качестве которого выбирается наилучшее из уже существующих в массовом строительстве решений.
1.4. При установлении показателей поз. 2 - 4 и 7 табл. 1 используются имеющиеся проектные материалы: эскизы, технический проект, рабочие чертежи, пояснительные записки к ним и т.д.
ИС МЕГАНОРМ: примечание.
В официальном тексте документа, видимо, допущена опечатка: поз. 12 в табл. 1 отсутствует.
Показатели поз. 6, 8 - 12 являются расчетными и определяются согласно указаниям и нормативам настоящего Руководства.
Все технико-экономические показатели устанавливаются на одну конструкцию. В расчетах сравнительной экономической эффективности, кроме того, могут определяться в зависимости от целей сравнения, показатели на 1 м, на 1 м2 или 1 м3 конструкций, а также 1 м2 жилой или полезной площади здания.
1.5. Трудовые затраты на изготовление (поз. 9 табл. 1) включают лишь технологическую трудоемкость, т.е. учитывают затраты труда производственных рабочих основных цехов предприятий по изготовлению сборного железобетона, включающих бетоносмесительный, арматурный и формовочный цехи (участки, отделения).
Таблица 1
Номенклатура показателей
N поз.
Показатель
Условные обозначения
Единица измерения
1
Объем изделий по наружным размерам
Vи
м3
2
Масса изделия
Ви
кг
3
Объем бетона изделия (в плотном теле)
Би
м3
В том числе:
а) тяжелого
Бт
"
б) легкого на пористых заполнителях
Бл
"
в) ячеистого
Бя
"
г) бетона или раствора фактурного слоя
Бф
"
4
Марка бетона (раствора):
а) тяжелого
Rт
кгс/см2
б) легкого на пористых заполнителях
Rл
"
в) ячеистого
Rя
"
г) бетона (раствора) фактурного слоя
Rф
"
5
Объемная масса бетона:
а) тяжелого
кг/м3
б) легкого на пористых заполнителях (в сухом состоянии)
"
в) ячеистого (в сухом состоянии)
"
6
Расход вяжущего:
цемента
Вц
кг
извести
Виз
"
7
Общий расход стали (по спецификации)
Вст
"
В том числе:
а) на ненапрягаемую арматуру
Ва
"
б) на напрягаемую арматуру
Вн
"
в) на закладные детали
Вд
"
8
Расчетная производственная себестоимость конструкций
Сс.к
руб.
В том числе стоимость материалов:
а) стали
Сст
"
б) тяжелого бетона
Сб.т
"
в) легкого бетона на пористых заполнителях
Сб.л
"
г) ячеистого бетона
Сб.я
"
д) материалов для фактурных слоев
Сб.ф
"
9
Расчетные технологические трудовые затраты на изготовление конструкций
Тк
чел.-ч
10
Полная расчетная стоимость конструкции (заводская)
Ск
руб.
11
Расчетная себестоимость конструкции "в деле"
Ск.д
"
В случае необходимости определения производственной трудоемкости или полной трудоемкости изготовления конструкций, включающих еще трудозатраты обслуживания, а также управления производством, следует воспользоваться "Методикой учета трудоемкости промышленной продукции" НИИ труда и "Краткими методическими указаниями расчета трудоемкости продукции на предприятиях промышленности сборного железобетона" Главмоспромстройматериалов.
1.6. При оценке экономической эффективности проектных решений зданий и сооружений или их фрагментов по критерию приведенных затрат, пользуясь настоящим Руководством, определяются полная расчетная стоимость конструкций Ск и расчетная себестоимость конструкций "в деле" Ск.д.
Остальные составляющие данного критерия исчисляются согласно указаниям "Типовой методики определения экономической эффективности капитальных вложений" Академии наук СССР, Госплана и Госстроя СССР, "Инструкции по определению экономической эффективности капитальных вложений в строительстве" СН 423-71 Госстроя СССР и других отраслевых методических положений.
1.7. При разнице сравниваемых значений расчетной себестоимости, стоимости и трудоемкости в пределах 2% сопоставляемые варианты конструкций по этим показателям признаются равноценными.
2. МЕТОДИКА ОПРЕДЕЛЕНИЯ ТЕХНИКО-ЭКОНОМИЧЕСКИХ ПОКАЗАТЕЛЕЙ
Определение расчетной производственной себестоимости
и технологической трудоемкости изготовления
конструкций и изделий
2.1. Расчетная производственная себестоимость конструкций Сс.к определяется в рублях как сумма отдельных составляющих: себестоимости бетонной смеси, затрат на сталь, на изготовление арматуры и закладных деталей, затрат на формование и т.д., величины которых устанавливаются в соответствии с проектными характеристиками рассматриваемых конструкций и изделий.
Аналогичным образом устанавливаются расчетные технологические затраты (трудоемкость) на изготовление одного изделия в человеко-часах (чел.-ч).
Расчетная себестоимость Сс.к на изготовление одного изделия определяется по формуле
Сс.к = Сб + Сст + Са + Сн + Сд + Су + Сн.н +
+ Сф + Со + Сп + Сз.г, (1)
а трудоемкость Тк - по формуле
Тк = Тб + Та + Тн + Тд + Ту + Тн.н + Тф + Тз.г, (2)
где Сб и Тб - соответственно суммарная себестоимость бетонной смеси и трудовые затраты на ее приготовление;
Сст - суммарная цена всех видов стали, расходуемой на изготовление ненапрягаемой и напрягаемой арматуры и закладных деталей;
Са и Та - соответственно суммарные затраты на изготовление ненапрягаемой арматуры (сеток, каркасов, отдельных стержней, монтажных петель) и трудоемкость ее изготовления;
Сн и Тн - соответственно суммарные затраты на заготовку элементов напрягаемой арматуры (стержней, проволоки, прядей, струнопакетов, канатов и т.п.) и трудоемкость их заготовки;
Сд и Тд - соответственно себестоимость и трудоемкость изготовления закладных деталей;
Су и Ту - соответственно себестоимость и трудоемкость укладки элементов ненапрягаемой арматуры и закладных деталей в формы (опалубку, кассеты и т.д.);
Сн.н и Тн.н - соответственно себестоимость и трудоемкость комплекса работ по натяжению напрягаемой арматуры;
Сф и Тф - соответственно себестоимость и трудоемкость формования изделий;
Со - затраты на содержание и эксплуатацию форм для данного изделия;
Сп - себестоимость пара для тепловой обработки изделия;
Сз.г и Тз.г - соответственно суммарная себестоимость и трудоемкость операций по повышению заводской готовности (укрупнительная сборка, отделка и т.п.)
2.2. Расчетная производственная себестоимость Сс.к и трудовые затраты Тк на изготовление одной конструкции определяются в такой последовательности:
а) в соответствии с рекомендациями табл. 2 устанавливаются технология и параметры бетонной смеси как для эталонной конструкции, так и для конструкций, относящихся к вариантам новых решений;
Таблица 2
Технология изготовления конструкций и параметры
бетонной смеси (для тяжелого и легкого бетона)
Вид конструкций
Технология изготовления
Максимальная крупность заполнителя, мм
Консистенция бетонной смеси
жесткость, с
подвижность, см
Наружные стеновые панели и панели совмещенных крыш и покрытий:
однослойные
Агрегатно-поточная
20
20 - 40
-
многослойные
Агрегатно-поточная
10
-
1 - 3
Плиты карнизные и парапетные
"
20
-
1 - 3
Внутренние стеновые панели и перегородки толщиной:
до 18 см
Кассетная <1>
10
-
7 - 12
более 18 "
Агрегатно-поточная
20
-
4 - 6
Электропанели толщиной до 18 см
Кассетная
10
-
7 - 12
Панели перекрытий:
плоские сплошные
Кассетная <1>
10
-
7 - 12
многопустотные
Агрегатно-поточная
10
50 - 80
-
ребристые и часторебристые
"
10
20 - 40
-
шатровые и коробчатые
"
10
20 - 40
-
типа 2Т
"
20
20 - 40
-
Панели оснований полов
"
10
-
1 - 3
Балконные плиты, лестничные площадки, плиты козырьков, экраны входов, стенки лоджий
"
10
20 - 40
-
Лестничные марши
Конвейерная
10
-
7 - 12
Линейные изделия (элементы каркаса, балки, ригели, колонны, перемычки, сваи и др.) длиной:
до 9 м
Агрегатно-поточная
20
20 - 40
-
более 9 м
Стендовая
20
-
1 - 3
Рамы стен подвалов, веранд и террас
Агрегатно-поточная
20
20 - 40
-
Фундаментные блоки плоские, коробчатые, стаканного типа, фундаментные подушки и башмаки
"
40
20 - 40
-
Покрытия из армоцемента
"
-
-
-
Объемные элементы:
шахт лифтов
Стендовая
20
-
4 - 6
сантехкабин
"
20
-
4 - 6
вентиляционных шахт
Агрегатно-поточная
10
20 - 40
-
--------------------------------
<1> Предварительно-напряженные варианты изделий следует принимать по агрегатно-поточной технологии с параметрами бетонной смеси по аналогии с родственными конструкциями.
б) на основании этих рекомендаций с использованием нормативов разд. 3 определяются отдельные составляющие названных показателей, которые затем суммируются по формулам (1) и (2);
в) отдельные составляющие производственной себестоимости и технологической трудоемкости определяются в порядке, описанном ниже.
Себестоимость бетонной смеси, трудовые затраты
на ее приготовление и расход вяжущих
2.3. Себестоимость бетонной смеси определяется по формуле
, (3)
а трудовые затраты на ее приготовление - по формуле
, (4)
где - суммарный объем бетона конструкции (в плотном теле), м3.
При выполнении расчетов для конструкций, состоящих из различных видов бетона, в показатель Би вводятся дополнительные индексы:
Бт - для тяжелых бетонов;
Бл - для легких бетонов на пористых заполнителях;
Бя - для ячеистых бетонов;
Бм - для мелкозернистых бетонов;
Бф - для фактурных слоев (раствор);
Би - в этих случаях выступает как сумма объемов соответствующих видов бетона;
Кб - коэффициент расхода бетонной смеси, учитывающий вытеснение части бетона арматурой, потери и отходы бетонной смеси в процессе укладки (разд. 3, табл. 3);
Цб - себестоимость 1 м3 бетонной смеси (раствора), руб., франко-раздаточный бункер (бадья) в местах укладки смеси в формы в зависимости от вида бетона, марки бетона, наибольшей крупности заполнителя, консистенции бетонной смеси и отпускной прочности бетона (табл. 4 - 7);
Чб - трудовые затраты на приготовление 1 м3 бетонной смеси, чел.-ч (табл. 8 - 9).
2.4. Расход вяжущих Вв (цемента, извести и др.) определяется по формуле
Вв = БиКбНв, (5)
где Нв - расход вяжущего, кг, для приготовления 1 м3 бетонной смеси (табл. 10 - 14).
2.5. Себестоимость 1 м3 бетонной смеси (франко-формовочный цех) включает цену материалов с учетом их доставки на предприятие сборного железобетона, затраты на разгрузку вяжущих и заполнителей, складирование, сушку и помол их в необходимых случаях (ячеистый бетон, тяжелый силикатный, мелкий песок и др.), подачу вяжущих и заполнителей в бетоносмесительные установки, приготовлении бетонной смеси и ее доставку к месту укладки в формы.
В себестоимости бетонной смеси учтены также потери вяжущих, имеющие место в процессе их транспортировки, хранения и перегрузок до бетоносмесительной установки включительно, в размере 3%.
Затраты на сталь, себестоимость и трудоемкость изготовления
арматурных элементов и закладных деталей
2.6. Общие затраты на сталь Сст подсчитываются как суммарная стоимость всех видов стали, расходуемой на изготовление арматуры (ненапрягаемой и напрягаемой) и закладных деталей:
, (6)
где Вст - масса стали, кг, данного класса и диаметр по спецификации к рабочим чертежам конструкции;
Кст - коэффициент расхода стали, учитывающий отходы стали в процессе ее переработки в арматуру и закладные детали (табл. 15);
Цст - стоимость 1 т стали по классам, диаметрам и назначению, франко-склад металла предприятия сборного железобетона (табл. 16 - 21). Она включает оптовую цену стали, затраты по доставке на предприятие, разгрузку и складирование.
2.7. К ненапрягаемой арматуре относится круглая сталь гладкая и периодического профиля классов А-I, А-II, Ас-II, А-III и проволока классов В-I и Вр-I, входящая в состав плоских и пространственных каркасов и сеток (а также в виде отдельных стержней и монтажных петель), и прокатная сталь (листовая, полосовая, угловая и фасонная), входящая в состав рабочей арматуры каркасов.
2.8. К напрягаемой арматуре относится круглая сталь периодического профиля классов А-IIIв, А-IV и V, Ат-IV - VI, Атп-V и VI, высокопрочная проволока гладкая В-II, периодического профиля Вр-II и канаты арматурные типа П и К.
2.9. К закладным деталям относятся все детали, выполняющие роль узловых соединений сборных конструкций, изготовляемые из листовой и полосовой стали, уголков и тому подобных профилей проката с приваренными к ним анкерными стержнями из арматурной стали (или без них), хотя бы одна из поверхностей которых не покрыта бетоном. Кроме того, к закладным деталям относятся анкерные болты, шайбы, пробки, трубки и тому подобные металлические элементы, оставляемые в теле бетона.
2.10. Стоимость изготовления элементов (изделий) ненапрягаемой арматуры Са определяется по формуле
, (7)
а трудовые затраты на их изготовление - по формуле
, (8)
где Ва - масса, кг, каждого арматурного изделия по их видам (отдельные стержни, сетки и каркасы плоские, каркасы пространственные) и весовым группам;
Ца и Ча - соответственно себестоимость, руб., и трудоемкость, чел.-ч, изготовления 1 т ненапрягаемых арматурных элементов по их видам и зависящим от массы группам (табл. 22 - 24).
Себестоимость Ца, трудоемкость Ча изготовления 1 т ненапрягаемых арматурных элементов включают затраты на доставку стали от общезаводского (или цехового) склада металла предприятия до рабочих мест в арматурном цехе, сортировку, правку, резку, гнутье, сборку и сварку сеток и каркасов и доставку готовых полуфабрикатов из арматурного цеха к месту укладки в формы.
2.11. Себестоимость заготовки элементов напрягаемой арматуры Сн определяется по формуле
, (9)
а трудовые затраты на ее заготовку Тн - по формуле
, (10)
где Вн - масса, кг, напрягаемой арматуры по классам;
Цн и Чн - соответственно себестоимость, руб., и трудоемкость, чел.-ч, заготовки 1 т напрягаемой арматуры по ее классам, длинам и принятой технологии заготовки (табл. 25 - 27).
Себестоимость Цн и трудоемкость Чн заготовки 1 т напрягаемой арматуры включают затраты на доставку стали со склада до рабочего места в арматурном (или формовочном) цехе, сортировку, протяжку, отмеривание и резку требуемых длин (включая стыковку для стержневой арматуры) с выполнением операций по созданию анкерных устройств на концах арматурных элементов.
2.12. Себестоимость изготовления закладных деталей Сд определяется по формуле
, (11)
а трудовые затраты на их изготовление Тд - по формуле
, (12)
где Вд - масса, кг, каждого типа закладных деталей по классификации табл. 28 при неизменном их решении у сравниваемых вариантов конструкций или масса каждого вида и весовой группы закладных деталей Вд по классификации табл. 29 при изменяющихся их решениях у сравниваемых вариантов конструкций;
Цд и Чд - соответственно себестоимость, руб., и трудоемкость, чел.-ч, изготовления 1 т закладных деталей по их видам (табл. 28) или по технологически однородным группам деталей (табл. 29).
Себестоимость Цд и трудоемкость Чд изготовления 1 т закладных деталей включают затраты на доставку стали со склада до рабочего места в цехе - изготовителе деталей, сортировку, раскрой, резку, сверление, сварку, приварку анкерных стержней, их гибку (в необходимых случаях) и подачу готовых деталей к месту укладки в формы.
Определение себестоимости и трудоемкости работ и операций,
осуществляемых в формовочном цехе
2.13. В состав работ и затрат, осуществляемых в формовочном цехе, включены следующие:
укладка ненапрягаемой арматуры и закладных деталей в формы;
натяжение напрягаемой арматуры;
формование изделий;
повышение заводской готовности изделий;
содержание и эксплуатация форм;
пар для тепловой обработки изделий.
2.14. Себестоимость укладки ненапрягаемой арматуры и закладных деталей в форму Су определяется по формуле
, (13)
а трудовые затраты на укладку Ту - по формуле
, (14)
где Ва - общая масса, кг, ненапрягаемой арматуры в конструкции;
Вд - общая масса, кг, закладных деталей в конструкции;
Цу и Чу - соответственно себестоимость, руб., и трудоемкость, чел.-ч, укладки 1 т ненапрягаемой арматуры и закладных деталей в форму (табл. 30).
Себестоимость Цу и трудоемкость Чд укладки 1 т ненапрягаемой арматуры и закладных деталей включают затраты на комплекс операций по укладке в форму арматурных элементов и изделий (сеток, каркасов, отдельных стержней и монтажных петель) и установку закладных деталей с помощью крана или вручную с закреплением укладываемых элементов в проектное положение с помощью электросварки (прихватка) или вязкой с установкой в необходимых случаях, фиксирующих устройств (включая их стоимость).
2.15. Себестоимость натяжения напрягаемой арматуры Сн.н рассчитывается по формуле
, (15)
а трудовые затраты на натяжение Тн.н - по формуле
, (16)
где Вн - масса, кг, напрягаемой арматуры;
Цн.н и Чн.н - соответственно себестоимость, руб., и трудоемкость, чел.-ч, натяжения 1 т напрягаемой арматуры по классам и видам, а также по принятым способам натяжения (табл. 31 - 33).
Себестоимость Цн.н и трудоемкость Чн.н натяжения 1 т напрягаемой арматуры включают затраты на транспортировку заготовленных для натяжения арматурных элементов к месту укладки, натяжение на упоры стендов или форм (поддонов) гидродомкратами, электротермическим способом или методом непрерывной намотки, включая закладку арматуры в зажимные устройства, а также отпуск натяжения.
2.16. Себестоимость формования Сф изделий определяется по формуле
Сф = БиЦф, (17)
а трудовые затраты на формование Тф - по формуле
Тф = БиЧф, (18)
где Би - объем бетона, м3, в изделия в плотном теле;
Цф и Чф - соответственно себестоимость, руб., и трудоемкость, чел.-ч, формования 1 м3 бетона в плотном теле (табл. 34 - 42).
Себестоимость Цф и трудоемкость формования 1 м3 бетона включают затраты на подготовку и установку форм, их смазку, укладку бетонной смеси, ее уплотнение, отделку поверхностей, транспортировку отформованного изделия в установки тепловой обработки, обслуживание этих установок, распалубку форм после тепловой обработки, операции затирки и доставку готовых изделий на склад.
2.17. Затраты на содержание форм (опалубки) Со определяются по формуле
, (19)
где Би - суммарный объем бетона конструкции;
Цо - затраты на содержание стальных форм, руб., на 1 м3 бетона в плотном теле (табл. 43).
Затраты на содержание стальных форм Цо включают расходы на амортизацию и ремонт форм с учетом плановой их оборачиваемости в течение года.
2.18. Стоимость пара на тепловую обработку изделий Сп определяется по формуле
Сп = БиЦп, (20)
где Цп - себестоимость пара, руб., приходящаяся на тепловую обработку 1 м3 бетона изделия в плотном теле (табл. 44).
Себестоимость пара Цп включает затраты на получение тепловой энергии (пара), расходуемой на термовлажностную обработку в агрегатах ускоренного твердения и подогрев заполнителей в зимнее время, а также затраты на содержание коммуникаций по пароснабжению.
2.19. Себестоимость операций по повышению заводской готовности конструкций Сз.г определяется по формуле
, (21)
а трудовые затраты Тз.г - по формуле
, (22)
где Цу.с и Чу.с - соответственно себестоимость, руб., и трудоемкость, чел.-ч, на укрупнительную сборку одной конструкции из отдельных элементов (табл. 45);
Нд - число единиц измерения содержащихся в 1 конструкции при выполнении операций, повышающих ее заводскую готовность (м3, м2 - в зависимости от вида операций);
Цд.з и Чд.з - соответственно себестоимость, руб., и трудоемкость, чел.-ч, операций по повышению заводской готовности изделий (табл. 46).
Себестоимость Цд.з и трудоемкость Чд.з операций по повышению заводской готовности конструкций включают затраты по доставке элементов конструкций или конструкций в целом на сборочный стенд (пост), соединение (сборку) элементов, укладку дополнительных материалов (утеплителя, пароизоляции и др.), включая их стоимость, с выверкой, раскроем и закреплением.
Определение полной расчетной стоимости конструкций
и расчетной себестоимости конструкций "в деле"
2.20. При расчетах, связанных с выявлением экономической эффективности, выходящих из сферы изготовления конструкций (в сфере строительства и эксплуатации конструкций), возникает необходимость определения полной расчетной стоимости конструкций и расчетной себестоимости конструкций "в деле".
2.21. Полная расчетная стоимость конструкций Ск для III территориального пояса Прейскуранта N 06-08 определяется по формуле
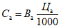
Ск = Сс.к·1,145 <*>, (23)
--------------------------------
<*> При необходимости определения расчетной стоимости конструкций Ск для районов, относящихся к другим территориальным поясам, допускается введение в формулу (23) поправочного поясного коэффициента Ктер, представляющего собой отношение оптовых цен на аналогичные или родственные анализируемым конструкциям изделия в рассматриваемом и III территориальном поясе Прейскуранта N 06-08.
где 1,145 - коэффициент, учитывающий среднеотраслевую рентабельность и расходы по реализации конструкции (внепроизводственные расходы).
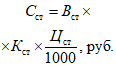
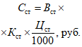
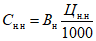
2.22. Расчетная себестоимость конструкций "в деле" (в законченном здании) Ск.д определяется по формуле
, (24)
где Ст - затраты по транспортировке конструкций от завода-изготовителя до стройплощадки, определяемые по формуле
Ст = БиЦт, (25)
Цт - затраты на транспортировку до стройплощадки 1 м3 сборных железобетонных конструкций в плотном теле, руб., включающие тарифную ставку за перевозку конструкций автомобильным транспортом, затраты по выгрузке конструкций с транспортных средств и стоимость реквизита (табл. 47);
1,02 - коэффициент, учитывающий заготовительно-складские расходы строительства;
См - затраты, руб., на монтаж конструкций в здании, определяются по сборнику N 11 Единых районных единичных расценок на строительные работы "Железобетонные и бетонные конструкции сборные" и дополнений к нему;
Су.з - затраты, руб., на укрупнительную сборку конструкций из отдельных элементов на строительной площадке;
Кз - коэффициент зимних удорожаний, определяемый на основании "Временных норм дополнительных затрат при производстве строительно-монтажных работ в зимнее время (ВНДЗ-69)". Для сборных и сборно-монолитных конструкций, в которых объем заделки стыков не превышает 15% от объема сборных конструкций, Кз может быть принят равным 1,025. При объемах этих работ свыше указанного Кз должен определяться по Временным нормам в соответствии с фактическими видами и объемами работ, ведущихся в зимнее время, и расчетной продолжительности зимнего периода для рассматриваемой зоны; Кз может относиться в целом к комплексу конструктивных элементов здания;
- изменяющаяся часть накладных расходов строительства, определяемая по формуле
, (26)
где 0,6 - сумма накладных расходов, руб., на 1 чел.-день трудоемкости строительно-монтажных работ;
Чм - трудоемкость работ, чел.-дни, на стройплощадке, связанных с монтажом и укрупнительной сборкой на стройплощадке конструкций;
0,15 - сумма накладных расходов, руб., на 1 руб. затрат по основной заработной плате строительно-монтажных работ;
Зм - основная заработная плата рабочих строительства на монтаже и укрупнительной сборке конструкций (определяется по формуле Чм·0,625·1,2);
0,067 - доля условно-постоянной части среднего уровня накладных расходов в строительстве (50% от уровня накладных расходов в размере 13,5% от суммы прямых затрат);
Ск.п - прямые затраты в себестоимости конструкций "в деле", представляющие собой промежуточный итог после выражения
(Ск + Ст)1,02 + См + Су.з в формуле (26).
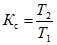
Такой расчет Ск.п рекомендуется выполнять при сопоставлении вариантов зданий и сооружений (или их фрагментов), не имеющих отличий по срокам их строительства.
При сопоставлении конструкций, применение которых влияет на продолжительность возведения зданий и сооружений, в вариант расчета для нового решения необходимо к показателю Ск.п дополнительно вводить коэффициент Кс, определяемый по формуле
, (27)
где Т1 - срок в годах продолжительности возведения здания, сооружения (комплекса конструкций) для эталонного решения;
Т2 - тот же показатель при новом решении конструкций.
Допускается определение показателя сразу ко всему комплекту конструктивных элементов, входящих в состав здания, сооружения или фрагмента.
2.23. Примеры определения расчетной стоимости и трудоемкости изготовления отдельных видов конструкций приводятся в прил. 1 настоящего Руководства.
Расход основных материалов, образующих бетонные смеси, приводится в прил. 2.
3. НОРМАТИВЫ ДЛЯ РАСЧЕТА СЕБЕСТОИМОСТИ И ТРУДОЕМКОСТИ
ИЗГОТОВЛЕНИЯ КОНСТРУКЦИЙ
3.1. Нормативы установлены в результате соответствующей статистической обработки фактического материала предприятий отрасли, получаемого в качестве отчетности о себестоимости и рентабельности продукции сборного железобетона, товарного бетона и арматуры.
3.2. Нормативы себестоимости рассчитаны на весь комплекс операций и необходимых затрат.
Нормативы охватывают всю сумму расходов, включаемых в заводскую себестоимость: материалы (в стоимости стали, бетонной смеси и операций по повышению заводской готовности изделий), основную и дополнительную заработную плату производственных рабочих, отчисления соцстраху от заработной платы рабочих, затраты на содержание и эксплуатацию оборудования, цеховые и общезаводские расходы.
3.3. Все нормативы определены для условий крупносерийного изготовления изделий.
Коэффициент расхода бетонной смеси Кб
Таблица 3
Характеристика бетона и изделий
Расход стали, кг/м3
до 25
26 - 50
51 - 150
151 - 250
251 - 350
351 и более
Тяжелый и легкий бетон на пористых заполнителях:
для всех изделий, кроме ажурных
1,03
1,02
1,01
1
0,99
0,98
для ажурных изделий (решетки, ограды, переплеты и т.п.)
1,06
1,05
1,04
1,03
1,02
1
Ячеистый бетон
1
0,995
0,985
0,975
-
-
Армоцемент
1,03
1,02
1,01
1
0,99
0,98
Примечания: 1. Расход стали на 1 м3 бетона включает массу всей напрягаемой и ненапрягаемой арматуры и закладных деталей.
2. При подсчете расхода стали на 1 м3 бетона объем фактурного слоя не учитывается.
3. Для многослойных изделий применять один коэффициент, отнесенный ко всему объему изделия, за вычетом фактурного слоя.
4. Для раствора фактурных слоев (включая поризованный) Кб = 1,03.
Себестоимость бетонной смеси
и трудоемкость ее приготовления
Таблица 4
Себестоимость 1 м3 бетонной смеси Цб, руб.,
на тяжелом заполнителе
Марка бетона
Наибольшая крупность заполнителя, мм
Для изделий с обычным армированием при отпускной прочности бетона, %
70
100
Консистенция бетонной смеси
подвижность 1 см и более
жесткость 20 с и более
подвижность 1 см и более
жесткость 20 с и более
100
10
14,1
14,1
-
-
20
13,5
13,5
-
-
40
12,9
12,9
-
-
150
10
14,8
14,8
-
-
20
14,2
14,2
-
-
40
13,6
13,6
-
-
200
10
15,7
15,6
17
16,9
20
15
14,9
16,2
16,1
40
14,4
14,3
15,4
15,2
250
10
16,7
16,4
18,4
18,3
20
16
15,7
17,6
17,4
40
15,3
15,1
16,7
16,5
300
10
17,9
17,5
20,2
20
20
17,1
16,8
19,3
19
40
16,4
16,1
18,4
18,1
350
10
19,2
18,8
21,9
21,6
20
18,4
18
21
20,6
40
16,6
17,3
20
19,7
400
10
20,5
20,1
23,6
23,4
20
19,7
19,3
22,6
22,5
40
18,8
18,6
21
21,2
450
10
22,2
21,8
25,2
25,3
20
21,2
20,8
24,4
24,3
40
20,3
19,9
23,3
23,1
500
10
23,8
23,4
26,9
27,5
20
22,8
22,4
26
26,4
40
21,7
21,4
25
25
600
10
27,3
26,8
-
-
20
26,1
25,7
-
-
40
24,9
24,5
-
-
700
10
-
30,6
-
-
20
-
29,3
-
-
800
10
-
34,6
-
-
20
-
33,2
-
-
Примечания: 1. Отпускная прочность бетона принимается на основании указаний пояснительных записок к рабочим чертежам конструкций, ГОСТов или технических условий.
При отсутствии данных об отпускной прочности изделий в указанных документах следует применять нормативы для 70% прочности (соблюдая условия сопоставимости вариантов).
2. Себестоимость бетонной смеси для предварительно-напряженных конструкций определяется по нормативам настоящей таблицы с применением поправочного коэффициента 1,03.
3. Для бетонных смесей, имеющих осадку конуса 7 - 12 см, применять нормативы для смеси подвижностью 1 см и более настоящей таблицы с коэффициентом 1,02.
Таблица 5
Себестоимость 1 м3 легкобетонной смеси Цб, руб.,
на керамзитовом заполнителе различного вида
А. Конструктивно-теплоизоляционный керамзитобетон
с 80%-ной отпускной прочностью
Марка бетона
Объемная масса бетона, кг/м3, до
Вид бетона
керамзитобетон плотной структуры на дробленом керамзитовом песке
керамзитопенобетон
керамзитогазобетон
без песка
на кварцевом песке
25
550
20,7
20,3
18,7
-
650
20,3
19,9
17,8
-
750
19,9
19,5
17,5
-
850
19,3
18,6
17,3
-
35
650
21
20,6
19
-
750
20,3
19,9
17,8
-
850
19,7
19
17,3
-
950
19,2
18,4
16,8
-
50
750
20,7
20,1
18
-
850
20,1
19,2
17,5
-
950
19,6
18,6
16,8
-
1050
19
17,9
16,5
-
1150
18,5
17,4
16,2
-
75
850
21
20,2
18,5
18,3
950
20,6
19,7
17,4
17
1050
19,8
18,8
17
16,8
1150
19,2
18,4
17,4
16,3
1250
18,6
18
16,9
15,8
100
1050
20,4
21,2
18,5
17,6
1150
19,8
19,6
18
17,2
1250
19,1
18,8
17,1
16,4
1300
18,8
18,3
16,7
16
Б. Конструктивный керамзитобетон с 70%-ной отпускной
прочностью (для изделий с обычным армированием)
Марка бетона
Объемная масса бетона. кг/м3, до
Консистенция бетонной смеси
подвижность 1 см и более
жесткость 20 с и более
150
1400
19,8
19,4
1500
18,9
18,6
1600
18,3
18,2
200
1400
20,6
19,9
1500
20
19,4
1600
19,3
18,8
1700
18,8
18,4
250
1500
20,6
19,7
1600
20,1
19,2
1700
19,5
18,8
1800
18,9
18,2
300
1600
21,4
20,7
1700
20,8
20,1
1800
20,2
19,5
350
1700
23,5
22,8
1800
22,7
22,4
400
1700
25,1
24,3
1800
24,5
23,8
450
1700
27,1
26,1
1800
26,5
25,5
500
1700
29,1
27,7
1800
28,6
27,2
Примечания: 1. Для предварительно-напряженных конструкций себестоимость бетонной смеси определяется по нормативам настоящей таблицы с применением коэффициента 1,03.
2. Для бетонных смесей, имеющих осадку конуса 7 - 12 см, для смеси подвижностью 1 см и более применять нормативы настоящей таблицы с коэффициентом 1,03.
Таблица 6
Себестоимость 1 м3 мелкозернистых бетонных смесей
и растворов Цб и Цр, руб.
Вид бетонной смеси
Марка бетона и раствора, до
100
150
200
300
400
500
600
Бетон:
для армоцементных конструкций
-
-
-
18,4
21
23,2
26,6
автоклавный цементный
10,4
11
11,6
13,3
14,8
16,1
17
автоклавный известковый (силикатный)
9
9,5
10
11,8
13
-
-
Цементно-песчаный раствор для фактурных слоев
11
12,4
-
-
-
-
-
Примечание. Поризованный раствор для фактурного слоя толщиной более 2 см в изделиях из ячеистых бетонов принимать по нормативу себестоимости 9,2 руб/м3; цементно-песчаный и поризованный раствор толщиной до 2 см включительно нормируется по табл. 46.
Таблица 7
Себестоимость 1 м3 ячеистого бетона Цб, руб.
Марка бетона
Объемная масса бетона, кг/м3, до
Себестоимость
Марка бетона
Объемная масса бетона, кг/м3, до
Себестоимость
15
500
5,3
75
800
9,4
25
500
6,1
900
9,6
600
6,4
1000
10
700
7
100
900
10,4
35
600
7,2
1000
10,6
700
7,5
1100
11,1
800
8,1
150
1000
11,2
50
700
8,2
1100
11,7
800
8,5
1200
12,7
900
9,1
200
1200
13,3
Таблица 8
Трудоемкость приготовления 1 м3 бетонной смеси Чб, чел.-ч,
на тяжелом заполнителе для изделий с 70%-ной и 100%-ной
отпускной прочностью
Марка бетона
Наибольшая крупность заполнителя, мм
Консистенция бетонной смеси
подвижность 1 см и более
жесткость 20 с и более
100 - 400
10
1,04
1,13
20
1
1,13
40
0,91
1,13
500 - 600
10
1,04
1,32
20
1
1,32
40
0,91
1,32
700 - 800
10
-
1,41
20
-
1,41
40
-
1,41
Таблица 9
Трудоемкость приготовления 1 м3 легких, ячеистых,
мелкозернистых бетонов и растворов фактурных
слоев Чб, чел.-ч
А. Легкие бетоны
Марка бетона
Конструктивный керамзитобетон
Конструктивно-теплоизоляционный керамзитобетон
Консистенция бетонной смеси
керамзитобетон плотной структуры на дробленом керамзитовом песке
керамзитопенобетон и керамзитогазобетон
подвижность 1 см и более
жесткость 20 с и более
35 - 50
-
-
0,9
0,95
75 - 100
-
-
1,05
1,13
150 - 200
1,1
1,29
-
-
250 - 400
1,26
1,43
-
-
500 и более
1,41
1,6
-
-
Б. Ячеистые и мелкозернистые бетоны
Марка бетона
Ячеистый бетон
Мелкозернистый бетон
для армоцементных конструкций
цементный автоклавный
известковый автоклавный (силикатный)
До 75
0,86
-
-
-
100 - 150
0,86
-
-
1,08
200
-
-
1,41
1,08
250 - 400
-
1,41
1,41
1,41
500 - 600
-
1,6
1,6
-
Примечание. Трудоемкость приготовления 1 м3 мелкозернистого и поризованного растворов для фактурного слоя толщиной более 2 см у изделий из ячеистого бетона принимать равной 1,1 чел.-ч.
Расход вяжущего Нв, кг, на 1 м3 бетона и раствора
Таблица 10
Бетон на тяжелом заполнителе
Марка бетона
Марка цемента
Наибольшая крупность заполнителя, мм
При консистенции бетонной смеси
подвижность, см
жесткость, с
4 - 6
1 - 3
20 - 40
50 - 80
А. Для изделий с обычным армированием при 70%-ной отпускной прочности бетона
100
300
10
265
250
230
220
20
240
225
210
200
40
225
210
195
185
150
300
10
315
295
280
260
20
285
270
255
235
40
265
250
235
220
200
400
10
325
310
290
270
20
295
280
265
245
40
275
260
245
230
250
400
10
375
350
330
305
20
340
320
300
280
40
315
295
280
260
300
400
10
425
395
375
345
20
385
360
340
315
40
360
335
315
290
350
400
10
470
445
425
390
20
430
405
385
355
40
400
375
360
330
400
500
10
460
435
410
385
20
420
395
375
350
40
390
365
350
325
450
500
10
520
490
460
430
20
475
445
420
390
40
440
415
390
360
500
500
10
640
595
550
495
20
580
540
500
450
40
540
500
465
420
600
600
10
695
669
621
562
20
650
625
580
525
40
605
581
540
488
700
700
10
-
-
680
630
20
-
-
640
590
40
-
-
-
-
800
800
10
-
-
740
680
20
-
-
700
640
Б. Для изделий с обычным армированием при 100%-ной отпускной прочности бетона
150
400
10
330
315
300
275
20
300
285
270
250
40
280
265
250
230
200
400
10
395
375
350
330
20
360
340
320
300
40
335
315
300
280
250
500
10
462
435
410
385
20
420
395
375
350
40
390
365
350
325
300
500
10
475
445
425
390
20
430
405
385
355
40
400
375
360
330
350
500
10
550
510
485
445
20
500
470
440
405
40
465
430
410
375
400
500
10
640
600
555
500
20
600
560
520
470
40
570
530
495
445
450
500
10
-
-
640
590
20
-
-
600
550
40
-
-
570
520
500
600
10
-
-
620
555
20
-
-
580
520
40
-
-
550
495
Примечания: 1. При определении расхода цемента для предварительно-напряженных конструкций к табличным значениям расхода цемента следует применять коэффициент 1,08.
2. Для бетонных смесей подвижностью 7 - 12 см к табличным значениям расхода цемента по смесям с подвижностью 4 - 6 см применять коэффициент 1,04.
Таблица 11
Конструктивно-теплоизоляционный керамзитобетон
с 80%-ной отпускной прочностью
Марка бетона
Объемная масса бетона, кг/м3, до
Вид бетона
керамзитобетон плотной структуры на дробленом керамзитовом песке
керамзитопенобетон
керамзитогазобетон
без песка
на кварцевом песке
25
550
200
270
260
-
650
190
260
250
-
750
190
250
240
-
850
180
240
230
-
35
650
240
300
290
-
750
230
290
280
-
850
220
280
270
-
950
210
270
260
-
50
750
250
300
290
-
850
240
290
280
-
950
230
280
270
-
1050
220
270
260
-
1150
210
260
250
-
75
850
270
330
320
-
950
260
320
300
300
1050
250
300
290
290
1150
240
290
280
280
1250
220
280
270
280
100
1050
270
400
360
330
1150
260
360
340
320
1250
240
340
320
310
1300
230
320
300
300
Таблица 12
Конструктивный керамзитобетон с 70%-ной отпускной прочностью
Марка бетона
Марка цемента
Объемная масса бетона, кг/м3, до
Консистенция бетонной смеси
подвижность, см
жесткость, с
1 - 5
20 - 40
50 - 80
150
400
1400
350
320
285
1500
320
295
255
1600
305
280
240
200
400
1400
415
385
345
1500
390
360
315
1600
365
335
285
1700
345
315
265
250
400
1500
440
420
385
1600
420
380
365
1700
395
370
345
1800
380
355
335
300
400
1600
490
470
445
1700
475
450
430
1800
460
425
405
350
500
1700
500
475
450
1800
485
440
420
400
500
1700
550
500
460
1800
500
460
430
450
500
1700
600
550
470
1800
565
520
440
500
600
1700
625
570
485
1800
595
540
460
Примечания: 1. При определении расхода цемента для предварительно-напряженных конструкций следует применять коэффициент 1,08.
2. Для бетонных смесей подвижностью 7 - 12 см к табличным значениям расхода цемента для смесей с подвижностью 4 - 6 см применять коэффициент 1,05.
Таблица 13
Мелкозернистые бетоны и растворы
Марка бетона
Марка цемента
Расход вяжущих
Марка бетона
Марка цемента
Расход вяжущих
Бетон для армоцементных конструкций
Известковый (силикатный) автоклавный бетон
300
300
700
100
Известь
150
400
400
700
200
"
200
500
500
700
300
"
270
600
600
700
400
"
310
Цементный автоклавный бетон
Цементно-песчаный раствор для фактурных слоев
200
400
320
100
400
350
300
400
420
150
400
400
400
400
500
500
400
560
600
400
610
Таблица 14
Ячеистый бетон
Марка бетона
Объемная масса бетона, кг/м3, до
Расход
Марка бетона
Объемная масса бетона, кг/м3, до
Расход
цемента
извести
цемента
извести
15
500
90
90
75
800
158
158
25
500
103
103
900
162
162
600
108
108
1000
165
165
700
113
113
100
900
174
174
35
600
121
121
1000
180
180
700
126
126
1100
186
186
800
131
131
150
1000
192
192
50
700
140
140
1100
198
198
800
144
144
1200
206
206
900
147
147
Примечания: 1. Марка цемента для всех марок бетона принята равной 400.
2. Расход цемента для поризованного раствора фактурных слоев изделий из ячеистого бетона равен 300 кг/м3.
Коэффициенты расхода стали, учитывающие отходы
при ее переработке, Кст
Таблица 15
Вид арматуры и изделий
Класс арматурной стали
Коэффициент, учитывающий отходы
Ненапрягаемая, петли и стержни для закладных деталей
А-I
1,01
А-II, Ас-II, А-III, В-I, Вр-I
1,02
Напрягаемая
А-IIIв, А-IV (20ХГ2Ц), А-V, Атп-V и Атп-VI
1,03
А-IV (80С), Ат-IV, Ат-V, Ат-VI
В-II, Вр-II
1,06
Канаты арматурные
П1x7, К1x3, К1x19
1,07
Сетки готовые, поставляемые метизной промышленностью
-
1,03
Сортовой прокат и трубы для рабочей арматуры, закладных деталей и других элементов
-
1,05
Цена арматурной стали и сеток (франко-склад предприятия
железобетонных изделий), Цст, руб. за 1 т
Таблица 16
Стержневая горячекатаная арматура
Класс стали
Марка стали
Диаметр, мм
10
12
14
16
18
20
22
25 - 28
32 и более
А-I
Ст.3
129
124
120
118
113
109
108
107
106
А-II
Ст.5
132
127
124
122
116
112
111
110
109
Ас-II
10ГТ
153
149
144
142
137
133
132
131
130
А-III
35ГС,
18Г2С,
25Г2С
137
133
130
128
123
118
117
116
115
А-IIIв
35ГС
151
144
139
136
128
122
121
119
118
А-IV
20ХГ2Ц
161
154
150
148
143
139
138
137
136
80С
142
137
134
132
127
-
-
-
-
А-V
23Х2Г2Т
167
161
157
154
149
145
144
-
-
Ат-IV
-
141
137
133
131
126
122
120
118
117
Ат-V
-
147
143
139
137
133
128
127
125
124
Ат-VI
-
162
156
150
148
143
139
138
136
135
Атп-V
-
155
151
147
145
141
136
135
133
132
Атп-VI
-
170
164
158
156
151
147
146
144
143
Примечания: 1. Для стали классов А-I и А-III диаметром до 10 мм цены, руб., принимать из таблицы:
Класс стали
Диаметр, мм
до 7
8
9
А-I
131
126
122
А-III
141
136
132
2. В случае отсутствия в рабочих чертежах указаний о марке стали класса А-IV следует применять норматив для стали 20ХГ2Ц.
3. Норматив цен для стали А-IIIв включает затраты по упрочнению вытяжкой на предприятии сборного железобетона. Норматив трудовых затрат по упрочнению принимается из примечания табл. 25.
Таблица 17
Проволочная арматура и арматурные канаты
Проволочная арматура
Арматурные канаты
класс стали
диаметр, мм
вид канатов
диаметр, мм
3
4
5 - 8
4,5
6
7,5
9
12
15
В-I
162
157
157
П1x7
312
304
299
297
296
295
Вр-I
-
165
165
В-II
270
263
263
Вр-II
275
268
268
Примечание. Для канатов К1x19 диаметром 14 мм принимать цену 299 руб., а для каната К1x3 диаметром 3 мм (три проволоки по 1,4 мм) - 540 руб. за 1 т; при его диаметре 3,5 мм (3 x 1,6 мм) следует пользоваться ценой 490 руб. за 1 т.
Таблица 18
Сталь прокатная (листовая и фасонная)
Вид прокатной стали
полосовая
толстолистовая
угловая неравнополочная
угловая равнополочная
толщина
------------
ширина, мм
цена, руб.
толщина, мм
цена, руб.
толщина
------------
ширина полки, мм
цена, руб.
толщина
------------
ширина полки, мм
цена, руб.
5 - 6
-----------
25 - 45
110,2
6 - 9
107,5
4 - 8
-----------
63 - 80
108,6
4 - 9
-----------
63 - 30
106,6
5 - 6
----------
50 - 85
107,5
10 - 12
106,2
6 - 10
-----------
90 - 100
107,7
6 - 16
-----------
90 - 100
105,7
5 - 6
-----------
90 - 200
103,5
13 - 20
107
7 - 14
------------
125 - 160
105,7
7 - 20
------------
110 - 160
103,6
7 - 10
-----------
20 - 45
108,2
21 - 32
108,7
10 - 20
------------
180 - 250
102,6
11 - 30
------------
180 - 250
100,7
7 - 10
-----------
50 - 75
104,2
-
-
-
-
-
-
7 - 10
-----------
80 - 200
102,2
-
-
-
-
-
-
11 - 60
-----------
16 - 200
101,2
-
-
-
-
-
-
Примечания: 1. Нормативы на полосовую сталь предназначены для закладных деталей с шириной пластин до 200 мм. При ширине пластин более 200 мм применять нормативы на толстолистовую сталь.
2. Для двутавровых балок применять цену 108 руб., а для швеллеров - 110,7 руб. за 1 т.
Таблица 19
Трубы стальные газовые (черные, обыкновенные)
Диаметр, мм (в числителе - условный проход, в знаменателе - наружный)
Цена, руб.
Диаметр, мм (в числителе - условный проход, в знаменателе - наружный)
Цена, руб.
20
------
26,8
166,8
70 - 90
----------------
75,5 - 101,3
156,5
25
------
33,5
160,7
100 - 150
----------------
114 - 165
155
32 - 50
------------
42,3 - 60
158,6
Таблица 20
Арматурные сетки, поставляемые метизной промышленностью
для армирования железобетонных конструкций
Марка сетки
Ширина сеток, мм
900 - 1700
2300
2500
2700 - 2900
3500 и более
А. Сетки рулонные сварные из проволоки
200/250/3/3
230,2
223,5
221,3
219
212,3
150/250/3/3
223,8
217,3
215,1
213
206,4
200/250/4/3
204,8
198,8
196,8
194,8
188,9
150/250/4/3
196,2
190,5
188,6
186,7
181
200/250/5/4
179,2
174
172,3
170,5
165,3
150/250/6/4
170,8
165,8
164,1
162,5
157,5
100/250/6/4
165,5
160,7
159,1
157,5
152,6
250/200/3/4
209
202,9
200,9
198,8
192,8
250/150/3/4
214,2
208
205,9
203,8
197,6
250/150/4/5
189,8
184,3
182,5
180,6
175,1
200/200/3/3
239,8
232,8
230,5
228,1
221,2
150/150/3/3
244
236,9
234,5
232,2
225,1
100/100/3/3
244
236,9
234,5
232,2
225,1
200/200/5/5
179,2
174
172,3
170,5
165,3
100/100/5/5
179,2
174
172,3
170,5
165,3
150/150/7/7
168,7
163,8
162,2
160,5
155,6
100/100/7/7
168,7
163,8
162,2
160,5
155,6
Б. Сетки плоские сварные из проволоки
200/250/3/3
239,8
232,8
230,5
228,1
221,2
150/250/3/3
232,3
225,6
223,3
221
214,3
200/250/4/3
212,3
206
203,9
201,9
195,7
150/250/4/3
214,2
208
205,9
203,8
197,6
200/250/5/4
173,8
179,2
177,4
175,6
170,2
150/250/5/4
175
169,9
168,2
166,5
161,4
100/250/6/4
169,7
164,8
163,1
161,5
156,5
250/200/3/4
216,4
210,1
208
205,9
199,6
250/150/3/4
222,8
216,3
214,1
212
205,5
250/150/4/5
196,3
190,5
188,6
186,7
181
200/200/3/3
251,4
244,1
241,7
239,2
231,9
150/150/3/3
255,7
248,2
245,7
243,3
235,8
100/100/3/3
255,7
248,2
245,7
243,3
235,8
200/200/5/5
183,5
178,2
176,4
174,6
169,3
100/100/5/5
184,6
179,2
177,4
175,6
170,2
150/150/7/7
172,9
167,9
166,2
164,5
159,5
100/100/7/7
172,9
167,9
166,2
164,5
159,5
В. Сетки плоские сварные из горячекатаной стали класса А-III
150/150/7/7
181,4
176,1
174,4
172,5
167,3
100/100/7/7
181,4
176,1
174,4
172,6
167,3
200/200/8/8
171,9
166,8
165,2
163,5
158,5
200/200/9/9
164,4
159,6
158
156,4
151,6
150/150/9/9
164,4
159,6
158
156,4
151,6
100/100/8/8
172,9
167,9
166,2
164,5
159,5
100/100/9/9
164,4
159,6
158
156,4
151,6
Таблица 21
Сетки проволочные тканые общего назначения
с квадратными ячейками для армоцементных конструкций
Номинальный размер ячейки в свету, мм
Номинальный диаметр проволоки, мм
Масса 1 м2 сетки, кг
Цена сеток, руб. за 1 т
из стальной проволоки
из оцинкованной проволоки
7
0,7
0,8
412,5
562,5
7
1
1,6
368,8
481,3
7
1,1
1,9
410,5
521,1
8
0,7
0,7
414,3
542,9
8
1,2
2,1
285,7
371,4
8
1,6
3,4
270,6
350
8
2
5,2
261,5
334,6
10
1
1,2
325
425
10
2
4,3
248,8
318,6
Себестоимость Ца, руб., и трудоемкость Ча, чел-ч,
изготовления 1 т ненапрягаемых арматурных элементов
Таблица 22
Сетки и каркасы плоские
Масса отдельного изделия (сетки и каркаса) кг, до
Себестоимость
Трудоемкость
Масса отдельного изделия (сетки и каркаса), кг, до
Себестоимость
Трудоемкость
0,5
270
218,6
12
28,8
23,3
1
166,8
135,1
14
25,2
20,4
1,5
133,2
107,9
16
22,8
18,5
2
109,2
88,4
18
20,4
16,5
2,5
79,2
64,1
20
18
14,6
3
68,4
55,4
25
12
9,7
3,5
63,6
51,5
30
10,8
8,7
4
58,8
47,6
35
9,6
7,8
4,5
52,8
42,8
40
8,4
6,8
5
48
38,9
41 и более
7,2
5,8
6
43,2
35
7
38,4
31,1
8
33,6
27,2
9
32,4
26,2
10
30
24,3
Примечания: 1. Себестоимость и трудоемкость изготовления гнутых сеток и каркасов определяются по нормативам таблицы с добавлением на каждый загиб, руб.:
При наибольшем диаметре сгибаемых стержней сетки и каркаса, мм
К себестоимости
К трудоемкости
До 14
0,01
0,008
" 20
0,02
0,016
Более 20
0,03
0,024
2. Себестоимость и трудоемкость изготовления спиралей и змеек принимать по нормативам плоских сеток с коэффициентом 0,5.
3. Размотку, очистку и раскрой сварных плоских проволочных сеток (любых масс), поставляемых метизной промышленностью в рулонах, нормировать по себестоимости 7 руб. и трудоемкости 51 чел.-ч за каждую тонну сеток, а также сеток для армоцементных конструкций соответственно 35 руб. и 30 чел.-ч за 1 т сеток.
4. Для криволинейных каркасов, изготовляемых в конструкторе, принимаются нормативы плоских каркасов с коэффициентом 1,3.
5. При антикоррозионной защите сеток и каркасов в конструкциях из ячеистых бетонов к нормативам настоящей таблицы добавлять: к стоимости 30 руб.; к трудоемкости 10 чел.-ч на каждую тонну защищаемых сеток и каркасов
Таблица 23
Отдельные стержни и монтажные петли, не входящие в состав
плоских сеток и каркасов
Масса отдельных стержней и петель, кг, до
Отдельные стержни прямые и гнутые диаметром, мм
Монтажные петли с числом отгибов
до 10
более 10
до 3
более 3
себестоимость
трудоемкость
себестоимость
трудоемкость
себестоимость
трудоемкость
себестоимость
трудоемкость
0,5
22,2
18,3
20,1
16,2
51
42
63
51
1
16,1
13,4
11
8,7
39
32
46
36
1,5
14,2
12
8,1
6,6
27
21
35
27
2
13,4
11,4
6,8
5,5
21
17
26
21
2,5
12,9
10,8
6,2
4,9
15
13
20
17
3
12,6
10,6
5,6
4,5
10
8
15
13
3,5
12,4
10,4
5,3
4,2
7
6
11
10
4 и более
12,3
10,3
5,2
4,1
6
4,5
9
8
Примечания: 1. Нормативами таблицы предусмотрено изготовление простых монтажных петель, состоящих из одного согнутого стержня. При наличии в конструкции сложных петель (типа "падающих" и т.д.), включающих кроме согнутого стержня и другие элементы, следует применять норматив: по себестоимости - 115 руб., по трудоемкости - 95 чел.-ч на каждую тонну сложных петель.
2. При антикоррозионной защите арматурных элементов в конструкциях из ячеистых бетонов к нормативам настоящей таблицы добавлять к себестоимости 35 руб.; к трудоемкости - 11,5 чел.-ч на каждую точку защищаемых элементов.
Таблица 24
Размер надбавки к себестоимости, руб., и трудоемкости,
чел.-ч, на сборку 1 т пространственных каркасов
Масса одного пространственного каркаса, кг, до
Плоские сетки и каркасы, входящие в состав пространственных каркасов
Отдельные стержни, входящие в состав пространственных каркасов
к себестоимости
к трудоемкости
к себестоимости
к трудоемкости
5
14,4
8
58,5
33
10
13,8
7,7
52,5
29
20
13,3
7,4
49,5
28
40
12,8
7,1
46,8
26
60
12,3
6,9
45
25
100
11,8
6,6
43,7
24,3
150
11
6,1
42,8
23,8
500
10,2
5,6
36,9
20,5
1000
8,7
4,9
31,5
17,5
Более 1000
6,1
3,4
28,8
16
Примечания: 1. Размеры надбавок за сборку пространственных каркасов определяются раздельно по плоским каркасам (сеткам) и по отдельным стержням, входящим в состав пространственного каркаса с суммированием полученных результатов.
2. Пространственные каркасы, собираемые в кондукторе с применением дуговой сварки, нормировать с коэффициентом 1,2.
Себестоимость Цн, руб., и трудоемкость Чн, чел.-ч,
заготовки 1 т напрягаемой арматуры
Таблица 25
Стержневая арматура
Диаметр, мм
Агрегатно-поточная технология с натяжением на форму при длине конструкции, м
Стендовая технология с натяжением на упоры
до 6
до 9
более 9
себестоимость
трудоемкость
себестоимость
трудоемкость
себестоимость
трудоемкость
себестоимость
трудоемкость
10
31,5
23
26,3
19,2
18,9
13,8
15,8
11,5
12
28,1
20,5
23,4
17,1
16,8
12,3
14,1
10,3
14
25,1
18,3
20,9
15,3
15
11
12,6
9,2
16
22,8
16,6
19,8
14,5
13,7
10
11,4
8,3
18
21,4
15,6
17,8
13
12,8
9,3
10,7
7,8
20
20,5
15
17,1
12,5
12,3
9
10,3
7,5
22
19,6
14,3
16,3
11,9
11,7
8,5
9,8
7,2
25
18,1
13,2
15,1
11
10,8
7,9
9,1
6,6
28
17,1
12,5
14,3
10,4
10,2
7,4
8,6
6,2
32 и более
16,1
11,8
13,4
9,8
9,6
7
8,1
5,9
Примечание. При использовании в качестве стержневой арматуры стали класса А-IIIв (упрочненной вытяжкой) к нормативам трудоемкости настоящей таблицы в зависимости от технологии изготовления, длины и диаметров стержней добавлять, чел.-ч на 1 т стали:
Технология
Диаметр стержней, мм
10
12
14
16 - 18
20 - 22
25
28 и более
1. Агрегатно-поточная при длине конструкции, м:
6 - 9
9,6
8
6,2
4,6
3,5
2,8
2,1
более 9
9,2
7,5
5,8
4,2
3
2,3
1,7
2. Стендовая
8,8
7
5,4
3,9
2,6
1,8
1,4
Таблица 26
Проволочная арматура
Диаметр, мм
Агрегатно-поточная технология с натяжением на форму при длине конструкции, м
Стендовая технология с натяжением на упоры с количеством проволок в одной зоне сечения, шт
до 6
до 9
более 9
до 11
от 12 до 23
от 24 и более
3
-
-
-
60
------
17,1
38
------
10,4
27
------
7,2
4
59,5
------
33,4
51
------
28,7
44,5
------
23,9
51
------
14,7
31,5
------
8,6
22,5
------
6
5
45,4
------
25,5
38
------
23,3
34
------
19,1
38
------
10,9
24,6
------
6,9
16,4
------
4,5
6
30,8
------
16,9
26
------
13,6
22,5
------
11,6
26
------
7,4
17,7
------
4,8
11,7
------
3,1
8
15,5
------
9,5
13
------
6,7
11
------
4
13
------
3,7
10,3
------
3
6,8
------
1,8
Примечания: 1. Норматив в таблице приводится в виде дроби: в числителе - себестоимость в руб., в знаменателе - трудоемкость изготовления, чел.-ч.
2. Под зоной сечения понимаются верхняя или нижняя полка, продольное и поперечное ребро, стенка и т.п.
3. Напрягаемые элементы, изготовляемые согласно рабочим чертежам с двумя концевыми промежуточными анкерами, должны нормироваться по настоящей таблице с надбавкой: к себестоимости - 10 руб., к трудоемкости - 3 чел.-ч на каждую тонну напрягаемой арматуры.
Таблица 27
Канатная арматура
Диаметр, мм
Агрегатно-поточная технология с натяжением на форму при длине конструкции, м
Стендовая технология с натяжением на упоры
до 6
до 9
более 9
себестоимость
трудоемкость
себестоимость
трудоемкость
себестоимость
трудоемкость
себестоимость
трудоемкость
6
45
32,4
43
30
42
30,7
48,3
13,1
7,5
34,2
24,6
33
23
32
23,4
36,8
11
9
24
17,3
23,1
16,1
22,5
16,4
25,9
7,8
12
13,7
9,9
13,2
9,2
12,8
9,3
14,7
4,4
15
8,8
6,3
8,4
5,8
8,2
6
12,2
3,7
18
-
-
-
-
6
4,4
7
2,1
20 и более
-
-
-
-
4,9
3,6
5,7
1,7
Себестоимость Цд, руб., и трудоемкость Чд, чел.-ч,
изготовления 1 т закладных и накладных деталей
Таблица 28
Для вариантов сопоставления, имеющих у эталонной
и новой конструкции одинаковые закладные детали
N п.п.
Характеристика закладных и накладных деталей
Не приваренных к стержням каркасов или сеток
Приваренных к стержням каркасов и сеток
себестоимость
трудоемкость
себестоимость
трудоемкость
1
Детали закладные и накладные, изготовляемые без применения сварки, гнутья и сверления (пробивки) отверстий
31
12,5
56
22,5
2
Детали закладные и накладные, изготовляемые с применением сварки, гнутья, сверловки или пробивки отверстий (при наличии одной из этих операций или всего перечня в любых сочетаниях)
105
41
125
49
3
Детали анкерные из прямых и гнутых круглых стержней с резьбой, шайбы и гайки (в том числе и входящие в состав деталей поз. 2 настоящей таблицы)
230
115
255
130
Примечания: 1. Детали анкерные, шайбы, гайки, приваренные к закладным деталям, в массу закладных деталей не включаются и нормируются отдельно по поз. 3 настоящей таблицы.
2. Прокат для крепления анкерных деталей к закладным включается в их массу.
3. Стержни рабочей и распределительной арматуры в случае приварки к ним закладных или анкерных деталей в массу этих деталей не включаются.
4. В случаях наличия в проектных материалах указаний о необходимости проведения металлизации закладных деталей эта операция нормируется дополнительно из расчета за 1 т металлизируемых деталей: при массе одной детали до 5 кг себестоимость 194 руб., трудоемкость 70 чел.-ч, а при массе более 5 кг себестоимость 140 руб., трудоемкость 60 чел.-ч.
Таблица 29
Для вариантов сопоставления, имеющих у нового решения
конструкции по сравнению с эталонным измененные
закладные детали
N группы закладных деталей
Вид закладных деталей
Масса одной закладной детали, кг
до 1
до 2
до 5
до 10
до 20
более 20
I
270
-------
40
137,7
-------
20,6
60
-------
9,1
46,8
-------
7
34,2
-------
5,1
18
-------
2,7
II
225
-------
45
133,2
-------
26,6
40,5
-------
8,1
34,2
-------
6,8
23,4
-------
4,7
19,8
-------
4
III
238
-------
50
180
-------
37,8
72
-------
15,1
60,3
-------
12,7
55,8
-------
11,7
49,5
-------
10,4
IV
189
-------
47,3
148,5
-------
37,2
108
-------
27
90
-------
22,5
59,4
-------
14,8
18
-------
4,5
V
-
210,6
-------
54,8
140,4
-------
36,5
55,8
-------
14,6
41,4
-------
10,8
21,6
-------
5,6
VI
55
-------
21,6
43,5
-------
17,4
28,7
-------
11,5
20,1
-------
8,3
14
-------
5,6
8
-------
3,2
VII
73,8
-------
28,1
60,3
-------
23
38,7
-------
14,7
28,8
-------
11
-
-
Примечания: 1. В числителе приводятся нормативы стоимости, а в знаменателе - трудоемкости.
ИС МЕГАНОРМ: примечание.
В официальном тексте документа, видимо, допущена опечатка: имеется в виду поз. 3 таблицы 28.
2. Детали анкерные из прямых и гнутых круглых стержней с резьбой, шайбы и гайки, приваренные к закладным деталям, любой из приведенных групп нормируются по поз. 3 таблицы.
3. При наличии отверстий на плоских элементах I - VI групп закладных деталей следует добавлять на одно отверстие: круглое диаметром или квадратное со стороной до 40 мм к себестоимости 0,04 руб., к трудоемкости - 0,015 чел.-ч; круглое и квадратное размерами более указанных выше или других форм (при любых размерах) - к себестоимости 0,1 руб., к трудоемкости - 0,05 чел.-ч.
4. Стержни рабочей и распределительной арматуры в случае приварки к ним закладных или анкерных деталей в массу этих деталей не включаются.
5. Металлизация закладных деталей нормируется дополнительно согласно примеч. 4 табл. 28.
Себестоимость Цу, руб., и трудоемкость Чу, чел-ч, укладки
в формы 1 т ненапрягаемой арматуры и закладных деталей
Таблица 30
Наименование конструкций
Себестоимость
Трудоемкость
Наружные стеновые панели
15,8
9,7
Панели совмещенных крыш и покрытий
9,5
6
Плиты карнизные и парапетные
7,4
4,5
Внутренние стеновые панели и перегородки
12,7
7,3
Электропанели
5,6
2,85
Панели перекрытий:
плоские сплошные
11,6
7,2
многопустотные
4,5
2,8
ребристые и часторебристые
5,4
3,4
шатровые и коробчатые
6,2
3,8
типа 2Т
4,8
2,4
Панели оснований полов
12,3
7,3
Балконные плиты
7,4
4,5
Лестничные площадки
6,3
3,9
Лестничные марши
9,4
5,8
Плиты козырьков, экраны входов, разделительные стенки лоджий и тому подобные изделия
5,2
3,3
Линейные изделия:
колонны:
прямоугольные
7,7
5,6
цилиндрические
8,
5,9
с консолями
9,5
6,9
Балки и ригели
4,1
3,6
Сваи, прогоны и перемычки прямоугольные
2,5
1,5
Рамы стен подвалов
4,4
2,8
Фундаментные блоки
6,5
4
Фундаментные подушки и башмаки
4,5
2,8
Покрытия из армоцемента
10,9
7,1
Объемные элементы:
шахт лифтов
8,7
5,4
сантехкабин
10
6,1
вентиляционных шахт
6,8
4,1
Примечания: 1. Нормативами настоящей таблицы предусмотрена укладка арматуры в горизонтальные формы. При вертикальных формах к нормативам применять коэффициент 1,3.
2. Для изделий, имеющих выпуски арматуры, пропускаемые через отверстия формы, нормативы настоящей таблицы применять с коэффициентом 1,1.
3. Для изделий, совмещенных при изготовлении с другими сопряженными элементами здания (например, лестничная площадка совмещенная с козырьком, балконная плита совмещенная с перемычкой и др.), нормативы применять с коэффициентом 1,2.
Себестоимость Цн.н, руб., и трудоемкость Чн.н, чел.-ч,
натяжения 1 т напрягаемой арматуры
Таблица 31
Стержневая и проволочная арматура
Диаметр, мм
Агрегатно-поточная технология с натяжением на форму при длине конструкций, м
Стендовая технология с натяжением на упоры
до 6
до 9
более 9
механическое натяжение
электротермическое натяжение
механическое натяжение
электротермическое натяжение
механическое натяжение
электротермическое натяжение
механическое натяжение
электротермическое натяжение
А Стержневая
10
39,5
------
36
21,1
------
11,8
35,6
------
30,9
18,7
------
9,8
30,1
------
27,5
17,8
------
9
28
------
20
21,5
------
11,3
12
35
------
31,5
19,1
------
10,6
29,8
------
26,8
16,9
------
8,7
25,3
------
23
15,8
------
7,8
22,6
------
16,1
18,7
------
9,8
14
30,4
------
27,5
17,3
------
9,5
25
------
22,7
14,8
------
7,5
21
------
18,4
13,6
------
6,5
18
------
13,2
16,5
------
8,5
16
26,2
------
23,4
15,1
------
8,2
20,8
------
18,3
12,9
------
6,4
17,3
------
14,8
11,8
------
5,4
14,3
------
10,8
14,5
------
7,3
18
22,1
------
19,6
13,3
------
7,1
16,9
------
14,4
11,3
------
5,5
13,8
------
11,7
10,3
------
4,6
11,5
------
8,7
12,8
------
6,4
20
18,8
------
16,2
11,9
------
6,3
13,7
------
11,7
10
------
4,8
11,4
------
9,5
9,1
------
4,1
9,3
------
7
11,4
------
5,7
22
15,6
------
13,4
10,5
------
5,7
11,5
------
9,7
9
------
4,3
9,4
------
7,8
8,2
------
3,6
7,9
------
5,7
10,2
------
5
25
11,8
------
10,4
9,3
------
4,9
9,3
------
7,8
7,9
------
3,7
7,7
------
6,3
7,1
------
3,1
6,2
------
4,5
8,9
------
4,3
28
9,5
------
8
8,4
------
4,3
7,6
------
6,2
6,9
------
3,2
6,1
------
5
6,4
------
2,6
5,1
------
3,5
8
------
3,7
32 и более
7,9
------
6,6
7,7
------
4
6
------
4,9
6,1
------
2,8
5
------
4
5,6
------
2,3
4,2
------
3
6,9
------
3,3
Б. Проволочная
3
-
-
-
-
-
-
31,3
------
19,2
-
4
41,6
------
28,8
-
39,4
------
27,9
-
37,5
------
27,2
-
21,3
------
13
-
5
32,9
------
22,6
22,4
------
11,8
31,1
------
21,8
19
------
15,3
29,1
------
21,1
-
16,6
------
10,1
-
6
27,2
------
19
14,3
------
11,1
25,8
------
18,1
11,4
------
8,7
24,6
------
17,4
-
13,9
------
8,5
-
8
22,3
------
15,2
8,1
------
5,8
21
------
14,4
8,7
------
3,8
20
------
13,7
-
11,3
------
7
-
Примечания: 1. Норматив в таблице приводится в виде дроби: в числителе - себестоимость, руб., в знаменателе - трудоемкость изготовления, чел.-ч.
2. При натяжении напрягаемых элементов на криволинейную поверхность конструкции (формы) нормативы настоящей таблицы для криволинейно напрягаемых элементов применять с коэффициентом 1,05.
Таблица 32
Канатная арматура
Диаметр, мм
Агрегатно-поточная технология с натяжением на форму при длине конструкции, м
Стендовая технология с механическим натяжением на упоры
до 6
до 9
более 9
себестоимость
трудоемкость
себестоимость
трудоемкость
себестоимость
трудоемкость
себестоимость
трудоемкость
Канаты П1x7
6
108
38
102
37
97
35,5
67,5
17
7,5
84
31,7
81
30
78
28,5
51
13
9
65,7
27,5
63,7
25,5
61,8
24
37,5
10
12
40,3
22,3
38,7
20
37,5
18
21,2
6,5
15
27,3
20,5
26,4
18
25,5
16
15,3
6
Канаты К1x3 и К1x19
9
-
-
-
-
99
80
66
56
12
-
-
-
-
68
51,5
41
34
15
-
-
-
-
46
35
26,5
21,5
18
-
-
-
-
34
26
19,2
15,5
20
-
-
-
-
30
22,5
16,3
11
25
-
-
-
-
20,3
15
13,5
8,3
30
-
-
-
-
14
11
11,1
7,3
Примечания: 1. При использовании напряженных элементов в конструкциях с оттянутой арматурой нормативы настоящей таблицы для оттянутых или отгибаемых элементов применять с коэффициентом 1,1.
2. К таблице следует также применять примеч. 2 табл. 31.
Таблица 33
Себестоимость Цн.н, руб., и трудоемкость Чн.н, чел.-ч,
непрерывной навивки 1 т напрягаемой проволоки и канатов
на упоры форм с помощью навивочных машин
Диаметр, мм
Длина конструкций, м
до 6
до 9
до 12
до 18
более 18
себестоимость
трудоемкость
себестоимость
трудоемкость
себестоимость
трудоемкость
себестоимость
трудоемкость
себестоимость
трудоемкость
А. Проволочная арматура
3
71,5
40,8
62,3
34,7
57
31,8
50,2
26,4
43
21,6
4
42,5
23,1
36,9
19,6
34,4
18
29,7
15
25,2
12,2
5
25,9
14,8
22,7
12,6
21
11,5
18,3
9,6
15,8
7,9
6
18,1
10,3
15,6
8,7
14,6
8
12,5
6,6
10,7
5,4
Б. Канатная арматура
4,5
40,3
23,1
34,2
19,1
32,6
18
28,2
15
23,9
12,2
6
26,7
15,3
23,2
13
21,5
11,9
18,7
9,9
15,9
8,1
7,5
17,2
9,8
14,8
8,3
13,8
7,6
11,9
6,3
10,1
5,2
Примечание. Нормативы настоящей таблицы учитывают операции заготовки и натяжения арматуры, поэтому их использование исключает необходимость применять нормативы табл. 26, 27 и 31, 32.
Себестоимость Цф, руб., и трудоемкость Чф, чел.-ч,
формования 1 м3 бетона конструкций (в плотном теле)
Таблица 34
Себестоимость и трудоемкость формования
однослойных ограждающих конструкций, изготовляемых
по агрегатно-поточной технологии из легкого бетона
Толщина изделия, см, до
Площадь изделия по наружному обмеру (без вычета проемов, вырезов и отверстий), м2
до 9
до 18
более 18
себестоимость
трудоемкость
себестоимость
трудоемкость
себестоимость
трудоемкость
А. Наружные стеновые панели
10
19,1
12,6
17,9
12,2
16,8
10,7
15
16,5
10,9
15,5
10,5
14,5
9,3
20
12,4
8,2
11,7
8
10,9
7
25
9,7
6,4
9,1
6,2
8,5
5,4
30
8,3
5,4
7,8
5,2
7,3
4,6
35
7,3
4,6
6,9
4,4
6,4
4
40
6,7
4
6,3
3,8
5,9
3,4
50
6,2
3,7
5,8
3,5
5,4
3,1
Более 50
5,7
3,4
5,4
3,2
5
2,9
Б. Панели совмещенных крыш и покрытий
10
18,2
12,2
17,7
11,8
16
10,1
15
15,5
10,4
14,6
10,1
13,6
8,6
20
11,5
7,7
10,8
7,4
10,1
6,4
25
9,3
6,2
8,7
6
8,2
5,2
30
8
5,2
7,5
5
7
4,4
35
7
4,4
6,6
4,2
6,2
3,8
40
6,3
3,8
5,9
3,6
5,5
3,2
50
5,8
3,5
5,4
3,3
5,1
3
Более 50
5,3
3,2
5
3
4,7
2,7
Примечания: 1. Для изделий, изготовляемых из керамзитопенобетона и керамзитогазобетона, нормативы настоящей таблицы умножать на коэффициент 0,95.
2. Нормативы формования даны для изделий с расходом стали до 50 кг/м3 бетона.
При больших расходах применять коэффициенты:
при расходе 51 - 100 кг/м3 - 1,05;
" " более 100 " - 1,1.
3. Для изделий, имеющих вырезы, проемы и отверстия, нормативы умножаются на коэффициенты, принимаемые по следующей таблице:
Площадь отверстий, % от общей площади изделия
Количество отверстий, вырезов, шт.
1 - 4
5 - 10
11 и более
До 2
1,02
1,05
1,1
" 5
1,03
1,1
1,15
" 10
1,04
1,12
1,2
" 20
1,05
1,15
1,3
" 40
1,06
1,2
1,35
" 60
1,08
1,25
1,4
Более 60
1,1
1,3
1,5
4. Для однослойных ограждающих конструкций, имеющих пустоты в теле изделия, нормативы настоящей таблицы умножать на коэффициенты:
при пустотности до 10% - 1,1;
" " более 10% - 1,2.
5. Многослойные конструкции из бетонов разной объемной массы, отдельные слои которых укладываются раздельно, нормативы на формование также принимать раздельно, исходя из толщины каждого слоя. Слои из тяжелого бетона многослойных конструкций нормировать по табл. 36. Укладку готовых утеплителей из материалов других видов (фибролит, пенопласт, ячеистый бетон, минераловатные и стекловатные маты и т.п.) определять дополнительно по нормативам табл. 46.
6. Конструкции, имеющие фактурный (декоративно-защитный) слой толщиной до 2 см, условно относятся к однослойным, а себестоимость и трудоемкость нанесения фактурного слоя принимается по табл. 46.
Таблица 35
Себестоимость и трудоемкость формования конструкций,
изготовляемых по кассетной технологии
из тяжелого и легкого бетона
Толщина изделия, см, до
Площадь изделия по наружному обмеру (без вычета проемов, вырезов, отверстий), м2
до 6
до 9
до 12
более 12
себестоимость
трудоемкость
себестоимость
трудоемкость
себестоимость
трудоемкость
себестоимость
трудоемкость
А. Панели внутренних стен без каналов, электропанели и перегородки
10
10,2
2,5
9,4
2,3
9
2,1
8,6
2
12
9,5
2,2
8,9
2,1
8,5
1,9
8,1
1,8
14
8,7
1,9
8,3
1,7
7,9
1,5
7,5
1,5
16
8,1
1,6
7,8
1,5
7,4
1,4
7
1,3
18
7,8
1,3
7,6
1,2
7,2
1,1
6,8
1,1
Б. Панели перекрытий плоские сплошные
10
8,9
2,1
8,4
2
8
1,9
7,6
1,8
12
8,1
1,8
7,6
1,7
7,2
1,6
6,9
1,5
14
7,5
1,5
7,2
1,4
6,8
1,4
6,5
1,3
16
7
1,3
6,8
1,3
6,4
1,2
6,1
1,1
18
6,8
1,2
6,6
1,1
6,2
1
5,8
0,9
В. Лестничные марши
6
13,8
9
13,3
8,6
12,7
8,2
12
7,7
8
12
7,7
11,4
7,3
10,8
6,9
10,4
6,6
10
10,9
7
10,5
6,7
10,1
6,4
9,5
6
12
10,3
6,5
9,8
6,2
9,4
6
8,9
5,5
14
9,6
6,1
9,2
5,8
8,8
5,4
8,3
5,2
Более 14
9
5,5
8,6
5,1
8,4
4,9
7,9
4,6
Примечания: 1. К нормативам настоящей таблицы следует применять коэффициенты, приводимые в примеч. 1 - 3 табл. 34.
2. Для лестничных маршей в графе "толщина изделия" указаны значения приведенной толщины.
3. Для лестничных маршей с полуплощадками (Z-образной формы) нормативы настоящей таблицы применять с коэффициентом 1,4.
Таблица 36
Себестоимость формования плоских и ребристых конструкций,
изготовляемых по агрегатно-поточной технологии
из тяжелого, легкого и силикатного бетона
Приведенная толщина, см, до
Плиты, панели, блоки, настилы
Конструкции ребристые типа 2Т, П-образные
плоские
сплошные
многопустотные
Площадь изделия по наружному обмеру (без вычета проемов и отверстий), м2
до 6
до 9
до 18
более 18
до 3
до 6
до 9
более 9
до 6
до 9
до 18
более 18
4
12,8
12,1
11,6
10,8
-
-
-
-
22,6
21,6
20,5
19,2
5
10,4
9,9
9,5
8,9
-
-
-
-
18,2
17,3
16,4
15,5
6
9,1
8,7
8,2
7,7
-
-
-
-
15,8
15
14,2
13,4
8
7,9
7,5
7,1
6,7
10,5
10,1
9,6
9,2
13,5
12,7
12,2
11,6
10
7,3
7
6,5
6,2
10,1
9,6
9,2
8,8
12,4
11,8
11,1
10,5
12
6,9
6,6
6,3
5,9
9,6
9,2
8,8
8,4
11,8
11,2
10,4
10
14
6,6
6,3
6
5,7
9,2
8,9
8,5
8
11,3
10,7
10,1
9,6
16
6,4
6,1
5,8
5,5
8,9
8,6
8,2
7,8
10,9
10,4
9,9
9,3
18
6,3
5,9
5,7
5,3
8,7
8,3
8
7,6
10,5
10,2
9,7
9,1
20
6,1
5,8
5,6
5,2
8,5
8
7,8
7,5
10,4
10
9,5
9
25
6
5,6
5,5
5,1
-
-
-
-
10,1
9,7
9,2
8,7
30 и более
5,9
5,5
5,3
5
-
-
-
-
9,8
9,4
9
8,5
Примечания: 1. Для изделий, изготовляемых из керамзитопенобетона и керамзитогазобетона, нормативы, указанные в настоящей таблице, следует умножать на коэффициент 0,95.
2. Нормативы формования даны для изделий с расходом стали до 50 кг/м3. При больших расходах применяются коэффициенты:
при расходе 52 - 100 кг/м3 - 1,05;
" " 101 - 200 " - 1,1;
" " 201 - 300 " - 1,15;
" " 301 - 400 " - 1,2;
" " более 400 " - 1,25
3. Для изделий, имеющих проемы, вырезы и отверстия, нормативы умножаются на коэффициенты, принимаемые по следующей таблице:
Площадь отверстий, % от общей площади изделий
Количество отверстий, вырезов, шт.
1 - 4
5 - 10
11 и более
До 2
1,02
1,05
1,1
" 10
1,03
1,1
1,2
" 20
1,04
1,12
1,27
40 и более
1,05
1,15
1,35
4. К числу плоских следует относить и изделия, имеющие борт или ребро с одной стороны. К ребристым относятся плиты, имеющие ребра или борта не менее чем с двух сторон по периметру изделия.
5. Шатровые плиты и панели, имеющие ребра по всему периметру изделия, оценивать по нормативам ребристых плит с коэффициентом 1,1.
6. Для плит коробчатого сечения (типа КОП и др.) применять нормативы ребристых плит с коэффициентом 1,3.
7. Для изделий с размерами, превышающими 12 м длины или 3 м ширины, изготовляемых по стендовой технологии, нормативы настоящей таблицы принимать с коэффициентом 1,15.
8. Конструкции, совмещающие в себе элементы плоских (ребристых) и линейных изделий (например, панели перекрытий с балконной плитой, балконные плиты с перемычкой, колонны со стенами и т.д.), нормировать по элементу, имеющему больший объем в совмещенной конструкции с применением к соответствующим нормативам коэффициента 1,15.
Таблица 37
Трудоемкость формования плоских и ребристых конструкций,
изготовляемых по агрегатно-поточной технологии
из тяжелого, легкого и силикатного бетона
Приведенная толщина, см, до
Плиты, панели, блоки, настилы
Конструкции ребристые типа 2Т, П-образные
плоские
сплошные
многопустотные
Площадь изделия по наружному обмеру (без вычета проемов и отверстий), м2
до 6
до 9
до 18
более 18
до 3
до 6
до 9
более 9
до 6
до 9
до 18
более 18
4
8,7
8,2
7,8
7,3
-
-
-
-
15,5
14,7
13,9
13,2
5
7
6,7
6,3
5,9
-
-
-
-
12,4
11,7
11
10,4
6
6,1
5,8
5,5
5,1
-
-
-
-
10,6
10,1
9,5
9
8
5,2
5
4,7
4,4
5,3
5,1
4,8
4,6
8,9
8,5
8,1
7,6
10
4,8
4,6
4,3
4,1
5,1
4,8
4,6
4,4
8,2
7,8
7,4
7
12
4,7
4,3
4,1
3,9
4,8
4,6
4,4
4,1
7,8
7,4
7
6,7
14
4,3
4,1
3,9
3,7
4,6
4,4
4,2
4
7,5
7,1
6,7
6,5
16
4,2
3,9
3,8
3,6
4,4
4,3
4
3,8
7,2
6,9
6,5
6,2
18
4,1
3,8
3,7
3,5
4,3
4,1
3,9
3,7
7
6,7
6,4
6,1
20
4
3,7
3,6
3,4
4,2
4
3,8
3,6
6,9
6,6
6,3
5,9
25
3,9
3,6
3,4
3,3
-
-
-
-
6,5
6,3
5,9
5,7
30 и более
3,7
3,5
3,3
3,1
-
-
-
-
6,3
6
5,7
5,4
Примечание. К нормативам настоящей таблицы следует применять указания, приводимые в примеч. табл. 36.
Таблица 38
Себестоимость и трудоемкость формования линейных изделий,
изготовляемых по агрегатно-поточной технологии
из тяжелого, легкого и силикатного бетона
Объем бетона в изделии или его составной части, бетонируемой отдельно, м3, до
Вид формы сечения
простой
сложный
Характеристика профиля
прямоугольный, трапециевидный, треугольный и др.
тавровый, цилиндрический сплошной
двутавровый, цилиндрический полый, крестовый
себестоимость
трудоемкость
себестоимость
трудоемкость
себестоимость
трудоемкость
0,1
20
11,4
21,5
12,3
25
14,5
0,2
18,3
10,5
20,2
11,5
23,8
13,6
0,3
17,5
10
19,3
11
22,5
13
0,4
16,5
9,3
18,1
10,3
21,5
12,3
0,5
15,9
9
17,6
10
20,8
11,9
0,75
15
8,5
16,4
9,4
19,3
11
1
14,4
8,1
15,8
9
18,7
10,7
1,5
13,1
7,4
14,6
8,3
17,2
9,8
2
12,1
6,8
13,4
7,6
15,8
9
3
11,4
6,4
12,3
6,9
14,5
8,3
4
10,3
5,7
11,2
6,3
13,3
7,5
5
9,9
5,5
10,7
5,9
12,5
7
Более 5
9,1
5,1
9,9
5,5
11,8
6,6
Примечания: 1. Нормативы даны для изделий с расходом стали до 100 кг/м3. При больших расходах стали применяются коэффициенты:
при расходе 101 - 200 кг/м3 - 1,1;
" " 201 - 300 " - 1,15;
" " 301 - 400 " - 1,2;
" " более 400 " - 1,25.
2. Для изделий с вырезами и отверстиями вводится коэффициент 1,05 (независимо от площади отверстий).
3. Для колонн и стоек, изготовляемых вместе с капителями, следует применять нормативы для изделий соответствующего типа профиля настоящей таблицы с коэффициентом 1,4.
Себестоимость и трудоемкость формования капителей, изготовляемых отдельно, следует определять по нормативам табл. 39.
4. Для линейных изделий с консолями вводятся коэффициенты:
при одной консоли на изделии - 1,15
" двух консолях " " - 1,25;
" трех " " " - 1,3;
" четырех " " " - 1,35;
" количестве консолей более
четырех на изделии - 1,5.
5. При изготовлении линейных изделий по стендовой технологии нормативы данной таблицы применять с коэффициентом 1,1.
6. Конструкции, совмещающие в себе элементы плоских (ребристых) и линейных изделий (например, панели перекрытий с балконной плитой, балконные плиты с перемычкой, колонны со стенами и т.д.), нормировать по элементу, имеющему больший объем в совмещенной конструкции с применением к соответствующим нормативам коэффициента 1,15.
Таблица 39
Себестоимость и трудоемкость формования элементов
фундаментов, изготовляемых по агрегатно-поточной технологии
из тяжелого бетона
Тип элементов фундаментов
приведенная толщина, см, до
фундаментные блоки и подушки
объем бетона изделия, м3, до
фундаментные блоки стаканного типа и коробчатые
себестоимость
трудоемкость
себестоимость
трудоемкость
20
9,2
6
0,1
15,4
10,9
25
8,2
5,4
0,2
14,3
9,6
30
7,4
5
0,3
13,6
9,1
35
6,9
4,6
0,4
13
8,7
40
6,5
4,3
0,5
12,4
8,2
45
6,2
4
0,75
11,4
7,6
Более 45
6
3,8
1
10,8
7,2
-
-
-
Более 1
10,2
6,8
Примечание. К нормативам настоящей таблицы следует применять коэффициенты, приводимые в примеч. 1 и 2 табл. 38.
Таблица 40
Себестоимость и трудоемкость формования
плоских ребристых конструкций из ячеистого бетона
Приведенная толщина изделия, см, до
Площадь изделия до 6 м2
Площадь изделия более 6 м2
Объемная масса бетона, кг/м3
500 - 600
700 - 900
1000 - 1200
500 - 600
700 - 900
1000 - 1200
6
12,2
------
7,8
12,7
------
8,2
13,5
------
8,6
9,2
------
5,8
10,2
------
6,5
11,3
------
7,2
8
11,8
------
7,5
12,4
------
7,9
13
------
8,3
9
------
5,7
10
------
6,3
11
------
6,9
10
11,6
------
7,3
12,1
------
7,7
12,7
------
8
8,7
------
5,5
9,7
------
6,1
10,7
------
6,7
12
11,2
------
7,1
11,8
------
7,4
12,4
------
7,8
8,5
------
5,3
9,5
------
5,9
10,4
------
6,5
14
11
------
6,9
11,6
------
7,2
12,2
------
7,6
8,3
------
5,2
9,1
------
5,8
10
------
6,4
16
10,8
------
6,9
11,3
------
7
12
------
7,5
8,2
------
5
9
------
5,6
9,9
------
6,2
18
10,7
------
6,6
11,1
------
6,8
11,8
------
7,3
8
------
4,9
8,8
------
5,5
9,8
------
6,1
20
10,5
------
6,6
10,9
------
6,7
11,6
------
7,1
7,8
------
4,8
8,3
------
5,4
9,1
------
6
25
10,3
------
6,2
10,6
------
6,5
11,3
------
7
7,2
------
4,6
7,8
------
5,1
8,6
------
5,6
Более 25
10,1
------
6,1
10,5
------
6,3
11,2
------
7
6,9
------
4,2
7,6
------
4,7
8,4
------
5,2
Примечания: 1. Норматив в таблице приводится в виде дроби: в числителе - себестоимость, руб., в знаменателе - трудоемкость, чел.-ч.
2. Для изделий, имеющих проемы, вырезы и отверстия, к нормативам себестоимости и трудоемкости формования настоящей таблицы следует применять коэффициенты в зависимости от величины отверстий и проемов:
При площади отверстий до 10%
(от общей площади изделия) - 1,05;
то же, до 15 - 1,1;
" " 20 - 1,15;
" более 20 - 1,2.
3. Нормативы формования даны для изделий с расходом стали до 20 кг/м3. При больших расходах стали применяются коэффициенты:
при расходе 21 - 40 кг/м3 - 1,05;
" " 41 - 60 " - 1,1;
" " 20 - 1,15;
4. Для многослойных конструкций, отдельные слои которых укладываются раздельно, а также для бетонов различного вида нормативы на формование принимаются раздельно для каждого слоя или вида бетона.
5. Нормативы даны для средней загрузки автоклава диаметром 2,6 м при коэффициенте заполнения 0,25 (0,25 - отношение объема изделий к объему автоклава).
При сравнении конструкций, характеризующихся габаритами и конфигурацией, приводящей к загрузке автоклавов, не соответствующей принятой, необходимо нормативы себестоимости формования умножать на коэффициент Kф, вычисляемый по формуле
,
где Vа - объем автоклава, м3.
При отсутствии данных об объеме автоклавов конкретных заводов ЖБИ следует принимать:
для автоклавов диаметром 2 м, длиной 17 м Vа1 = 57 м3;
" " " 2,6 м " 32 м Vа2 = 174 м3;
" " " 23,6 м " 21 м Vа3 = 220 м3;
Vи - объем бетона всех изделий, м3, размещаемых в автоклаве для одновременной тепловой обработки, определяется путем условного расположения изделий в автоклаве.
Для этого наиболее целесообразно прибегнуть к графическому способу, начертив поперечный разрез автоклава и размещаемые конструкции в одном масштабе.
При размещении изделий в автоклаве следует учесть размеры форм, увеличив длину на 0,3 м, ширину на 0,2 м, а высоту - в зависимости от приведенной толщины изделий. При толщине изделия до 10 см высоту увеличить на 0,06 м, до 20 см - на 0,1 м, при 30 см и более - на 0,15 м.
Нижний ряд изделий следует располагать в автоклаве, учитывая габариты тележки, равные 0,35 м от нижней полки внутренней поверхности автоклава.
Таблица 41
Себестоимость и трудоемкость формования
армоцементных конструкций покрытий
Приведенная толщина изделия, см, до
Площадь изделия, м2
до 3
до 6
до 9
до 12
более 12
А. Плиты и панели складчатые и плоские с бортом
2
51
------
35,5
48,8
------
34,2
47,1
------
33
44,7
------
31,8
43,6
------
31,1
3
32,8
------
22,8
30,8
------
21,5
29
------
20,3
28,2
------
19,7
27,5
------
19,2
4
23,5
------
16,4
22,1
------
15,4
20,9
------
14,6
20,2
------
14,1
19,7
------
13,7
5
19,4
------
13,6
18,2
------
12,7
17,1
------
11,9
16,8
------
11,7
16,2
------
11,3
Б. Плиты и панели ребристые
2
66
------
45,1
61,8
------
43,4
58,4
------
41
56,6
------
40
55,2
------
38,7
3
41,5
------
29,3
38,7
------
27,1
36,6
------
25,6
35,4
------
24,8
34,6
------
24,2
4
30,5
------
21,5
28,3
------
19,8
26,8
------
18,7
25,8
------
18,1
25,3
------
17,7
5
25,6
------
18
23,5
------
16,4
22,2
------
15,5
21,5
------
15
20,9
------
14,6
6
22,4
------
16
20,8
------
14,5
19,7
------
13,7
19,1
------
13,3
18,5
------
12,9
7
20,8
------
14,8
19,1
------
13,3
18,1
------
12,6
17,5
------
12,5
17
------
11,8
Примечания: 1. Норматив в таблице приводится в виде дроби: в числителе - себестоимость, руб., в знаменателе - трудоемкость, чел.-ч.
2. Нормативы даны для изделий с расходом стали до 70 кг/м3. При больших расходах применять коэффициенты:
при расходе 71 - 100 кг/м3 - 1,05;
" " 101 - 200 " - 1,1;
" " более 200 " - 1,15.
3. Нормативы плоских армоцементных изделий без ребер принимать по разделу А с коэффициентом 0,85.
4. Для ребристых плит, ребра которых изготовляются из обычного тяжелого бетона со сборными плоскими армоцементными элементами, нормативы принимать раздельно для каждого вида бетона.
Таблица 42
Себестоимость Цф, руб., и трудоемкость Чф, чел.-ч,
формования 1 м2 площади пола объемных элементов
(санитарно-технических кабин и лифтовых шахт),
изготовленных по стендовой технологии из тяжелого бетона
Площадь пола, элемента, м2
Себестоимость
Трудоемкость
2
5,4
1,8
4
5
1,7
6
4,6
1,5
8
4,4
1,4
10
4,3
1,3
Более 10
4,1
1,2
Примечание. К нормативам настоящей таблицы следует применять коэффициенты, приводимые в примеч. 1 табл. 38.
Затраты на содержание и эксплуатацию стальных форм
(опалубки) Цоп, руб., на 1 м3 бетона конструкции
Таблица 43
Наименование конструкций
Характеристика конструкций (их сечение или объем бетона)
Нормативы затрат
Наружные стеновые панели и панели совмещенных крыш (однослойные и многослойные)
Объемом бетона, м3:
до 0,5
4
0,51 - 1
2,5
более 1
1,5
Внутренние стеновые панели без каналов
Толщиной более 18 см
4,5
То же, с каналами и пустотами
"
5,4
Панели перекрытий и покрытий длиной:
до 6 м
Ребристые
5,2
Шатровые
5,5
Типа 2Т и П-образные
7,1
Коробчатые
8,5
Многопустотные
3,5
Плоские сплошные
3
более 6 м
Ребристые
5,4
Шатровые
6
Типа 2Т и П-образные
7,8
Многопустотные
4,2
Коробчатые
10
Панели оснований полов
-
6,6
Карнизные и балконные плиты, лестничные площадки, плиты козырьков и др.
Объемом бетона, м3:
до 0,5
3,8
0,51 - 1
3
1,1 - 2
2
более 2
1,8
Балки, ригели, перемычки
Прямоугольные, с четвертями и трапециевидного сечения
3,2
Тавровые
3,7
Двутавровые
4
Крестовые
4,2
Колонны и сваи
Прямоугольные
3,3
Двутавровые
5,2
Пустотелые и цилиндрического сечения
3,8
Фундаментные блоки, подушки, стаканы и башмаки
-
2
Объемные элементы (за 1 м2 площади пола)
-
0,8
Покрытия из армоцемента
Плоские
12,8
Складчатые
16
Примечания: 1. Для предварительно-напряженных изделий, изготавливаемых по агрегатно-поточной технологии (силовые формы), к нормативам настоящей таблицы применять коэффициент 1,15.
2. Для сплошных конструкций, имеющих вырезы и отверстия, применять: коэффициент 1,1 при числе до 5 шт. и 1,2 при числе более 5 шт.
3. Если изделие имеет выпуски арматуры, то к нормативам затрат вводится коэффициент:
при числе выпусков на 1 м2 поверхности формы до 5 шт. - 1,1;
при числе выпусков более 5 шт. - 1,15.
4. Для колонн и стоек, имеющих консоли, применяются коэффициенты:
при количестве консолей до двух - 1,25;
" " " более двух - 1,35.
5. Затраты на содержание форм для внутренних стеновых панелей и электропанелей толщиной до 18 см, а также плоских сплошных плит перекрытий и лестничных маршей кассетной технологии учтены в нормативах себестоимости формования табл. 35.
6. Для многослойных панелей, включающих утеплитель различных видов (фибролит, пенопласт, минераловатные маты и др.), объем изделия следует принимать с учетом объема утеплителя.
Себестоимость пара на тепловую обработку, Цп,
1 м3 конструкций, руб.
Таблица 44
Наименование конструкций
Вид бетона
тяжелый
легкий
ячеистый
плотный силикатный
Наружные стеновые панели и панели совмещенных крыш:
однослойные
-
1
1,6
-
многослойные
1
1,2
2,2
-
Внутренние стеновые панели, перегородки и электропанели толщиной, см:
до 18
1,7
1,5
2,4
3
более 18
1,4
1,2
2
3,1
Панели перекрытий и покрытий:
плоские сплошные толщиной, см:
до 18
2,2
1,9
3,1
4
более 18
1,8
1,6
2,5
3,3
ребристые и шатровые
1,7
1,5
2,7
3,5
типа 2Т и коробчатые
3
2,8
-
-
многопустотные
2,2
2
-
3
Панели оснований полов
2,8
2,6
-
-
Линейные изделия простого профиля (прямоугольного сечения):
балки, ригели, колонны бесконсольные, сваи и др.
1,5
1,3
-
2,4
То же, сложного профиля:
тавровые и двутавровые балки, ригели, прогоны, сваи, колонны с одной консолью, пустотелые и цилиндрические и т.п.
2
1,8
-
3
Плиты карнизные и балконные
1,8
1,6
3
2,8
Лестничные марши и лестничные площадки
2,4
2,2
-
3,4
Плиты козырьков, экранов входов, лоджий и др.
1,6
1,5
-
2,7
Элементы фундаментов (блоки, башмаки, стаканы)
1,2
-
-
-
Изделия из армоцемента
2,9
-
-
-
Объемные элементы:
шахт лифтов
1,6
1,4
-
-
сантехкабин
2,9
2,6
-
-
вентиляционных шахт
1,3
1,1
-
-
Примечания: 1. Для многослойных панелей, включающих утеплитель из материалов других видов (фибролит, пенопласт, минераловатные маты и др.), нормативы настоящей таблицы умножать на коэффициент 1,25.
2. Нормативы настоящей таблицы по конструкциям из ячеистого бетона и плотного силикатного бетона приняты для автоклавов диаметром 2,6 м. При расчетах для автоклавов диаметром 2 м нормативы умножать на коэффициент 1,1, а для автоклавов диаметром 3,6 м - на 0,9
3. Нормативы настоящей таблицы распространяются на изделия из бетонов обычных марок. Для конструкций из высокопрочных бетонов к приводимым нормативам следует применять коэффициенты:
для бетонов марки 600 - 700 - 1,15;
" " " 800 - 1,25.
4. Колонны, имеющие по две и более консоли, нормировать по нормативам колонн с одной консолью с применением коэффициента 1,3.
Таблица 45
Себестоимость Цу.с, руб., и трудоемкость Чу.с, чел.-ч,
укрупнительной сборки конструкций, осуществляемой
на заводе ЖБИ на одну укрупняемую конструкцию
Объем элемента укрупняемой конструкции, м3
Число укрупняемых элементов, шт., до
2
4
6
себестоимость
трудоемкость
себестоимость
трудоемкость
себестоимость
трудоемкость
0,01
0,3
0,26
0,35
0,3
0,4
0,35
0,025
0,9
0,75
1,1
0,9
1,3
1,1
0,05
1,3
1,1
1,5
1,3
1,6
1,4
0,075
1,55
1,3
1,8
1,5
2
1,7
0,1
1,8
1,5
2,1
1,75
2,3
1,9
0,125
1,9
1,6
2,2
1,9
2,6
2,2
0,15
2,2
1,8
2,5
2,1
3
2,5
0,2
2,6
2,2
3
2,5
3,5
3
0,25
3
2,5
3,6
3
4,2
3,6
0,3
3,6
3
4,2
3,5
5
4,2
0,35
3,9
3,2
4,8
4
5,7
4,8
0,4
4,2
3,5
5,4
4,5
6,3
5,3
0,45
4,7
3,8
5,8
4,8
7,2
6
0,5
4,9
4
6,4
5,3
7,8
6,5
0,6
5,6
4,6
7,3
6
9
7,6
0,7
6,4
5,2
8,3
6,9
10,4
8,8
0,8
7,4
6
9,7
8
10,7
9,7
0,9
7,7
6,3
10,4
8,6
12,8
10,7
1,25
9,7
7,7
13,1
10,7
16,3
13,5
1,5
10,9
8,8
14,7
12
18,6
15,3
2
12,9
10,2
17,3
14
-
-
2,5
14,7
11,5
-
-
-
-
3
15,6
12,2
-
-
-
-
Примечание. Нормативы настоящей таблицы предусматривают сборку любых видов конструктивных элементов, кроме объемных. Для объемных элементов шахт лифтов и сантехкабин, собираемых из плоских изделий, следует пользоваться нормативами, установленными на 1 м2 пола элемента:
Площадь пола, м2, до
Себестоимость
Трудоемкость
2
0,8
0,95
4
0,75
0,9
6
0,7
0,85
8
0,65
0,8
10
0,6
0,74
Более 10
0,5
0,62
Таблица 46
Себестоимость Цд.з руб., и трудоемкость Чд.з, чел.-ч,
операций по повышению заводской готовности конструкций
Наименование работ
Единица измерения
Себестоимость
Трудоемкость
всего
в том числе
материалов
переработки
А. Утепление наружных стеновых панелей совмещенных крыш и карнизных плит
Пенобетонными плитами с объемной массой 500 кг/м3, толщиной 100 мм
м2
2,65
2,3
0,35
0,26
При изменении толщины на каждые 10 мм добавить или исключить
"
0,26
0,23
0,03
0,02
Пенополистиролом ПСБ-С толщиной 50 мм, объемной массой (на битумной мастике), кг/м:
35
"
3,26
2,66
0,6
0,2
45
"
3,79
3,19
0,6
0,2
Фенольным пенопластом:
толщиной 50 мм, объемной массой 40 - 60 кг/м3
"
3,71
3,11
0,6
0,2
толщиной 80 мм, объемной массой 80 кг/м3
"
5,63
5,03
0,6
0,2
Плитами жесткими минераловатными толщиной 60 мм (на битумной мастике) марки:
250
"
4,94
3,76
1,18
0,6
300
"
4,76
3,58
1,18
0,6
400
"
4,48
3,3
1,18
0,6
При изменении толщины на каждые 10 мм добавить или исключить
"
0,64
0,49
0,15
0,07
Матами стекловатными полужесткими толщиной 60 мм (насухо) с объемной массой, кг/м3:
50
м2
1,76
1,06
0,7
0,4
35
"
1,6
0,9
0,7
0,4
При изменении толщины на каждые 10 мм добавить или исключить
"
0,25
0,14
0,11
0,06
Фибролитом цементным толщиной 50 мм, на битумной мастике марки:
300
"
2,01
1,25
0,76
0,49
500
"
2,49
1,73
0,76
0,49
При изменении толщины на каждые 10 мм добавить или исключить для марок:
300
"
0,3
0,19
0,11
0,06
500
"
0,38
0,27
0,11
0,06
Войлоком минераловатным на битумной связке марки 100 (на битумной мастике)
м3
23,12
11,5
11,6
7
Минеральной ватой марки 100
"
13,65
10,75
2,9
2,15
Керамзитом насыпным с объемной массой 550 - 600 кг/м3 и крупностью до 20 мм
"
11,7
8,8
2,9
2,15
Шлаком насыпным с объемной массой до 900 кг/м3
"
6,1
3,2
2,9
2,15
Б. Стяжка
Цементная раствором M-75 толщиной, мм:
12 мм по бетону
м2
0,32
0,14
0,18
0,13
20 мм по плитным утеплителям
"
0,4
0,22
0,18
0,14
25 мм по засыпным утеплителям
"
0,5
0,28
0,22
0,15
В. Отделка поверхностей конструкций
Улучшение защитных свойств стен и покрытий:
а) слоем цементно-песчаного раствора марки 100 - 150 толщиной менее 20 мм
"
0,53
0,25
0,28
0,17
б) слоем поризованного раствора толщиной менее 20 мм
"
0,75
0,18
0,57
0,17
Декоративно-защитной окраской поверхности стен красками:
а) известковыми
м2
0,09
0,01
0,08
0,06
б) клеевыми
"
0,11
0,02
0,09
0,07
в) цементными
"
0,33
0,16
0,17
0,11
г) перхлорвиниловыми и полимерцементными
"
0,57
0,33
0,24
0,13
д) водоэмульсионными типа
ВА-17
"
0,15
0,13
0,02
0,09
КЧ-26
"
0,07
0,05
0,02
0,06
Покраска с присыпкой:
а) гравийно-песчаной смесью
"
0,7
0,34
0,36
0,18
б) мраморной крошкой
"
0,8
0,44
0,36
0,18
Облицовка фасадных поверхностей, элементов наружных стен и полов лестничных площадок:
а) коврами типа "Брекчия"
"
2,6
2,22
0,38
0,12
б) коврами из малоразмерных плиток:
неглазурованных без красителей размером, мм:
46 x 46 x 4,
"
2,12
1,55
0,57
0,12
46 x 21 x 4, 21 x 21 x 4
"
2,79
2,22
0,57
0,12
неглазурованных с красителями, мм:
46 x 46 x 4
"
3,23
2,66
0,57
0,12
46 x 21 x 4, 21 x 21 x 4
"
4,34
3,77
0,57
0,12
глазурованных цветными или бесцветными глазурями размером, мм:
46 x 46 x 4
"
4,28
3,71
0,57
0,12
46 x 21 x 4, 21 x 21 x 4
"
5,39
4,82
0,57
0,12
мозаичных литых глазурованных цветных и белых размером (100 - 23) x (48 - 23) x (3 - 2,5), мм
"
4,9
4,33
0,57
0,12
в) плитками стеклокерамическими коврово-мозаичными с красителями
"
5,01
4,44
0,57
0,12
г) фасадными плитками типа "кабанчик" размером 125 x 60 x 8 мм
"
7,8
6,88
0,92
0,18
Облицовка фасадных поверхностей элементов наружных стен из ячеистых бетонов по слою поризованного раствора:
а) коврами типа "Брекчия"
"
1,83
1,33
0,5
0,18
б) коврами из малоразмерных плиток:
неглазурованных без красителей размером, мм:
46 x 46 x 4
м2
1,57
0,93
0,64
0,18
46 x 21 x 4, 21 x 21 x 4
"
1,97
1,33
0,64
0,18
неглазурованных с красителем:
46 x 46 x 4
"
2,24
1,6
0,64
0,18
46 x 21 x 4, 21 x 21 x 4
"
2,91
2,27
0,64
0,18
глазурованных цветными или бесцветными глазурями:
46 x 46 x 4
"
2,87
2,23
0,64
0,18
46 x 21 x 4, 21 x 21 x 4
"
3,54
2,9
0,64
0,18
Затраты на транспортировку Цт, руб., 1 м3 сборных
железобетонных конструкций (в плотном теле)
от завода-изготовителя до строительной площадки
автомобильным транспортом
Таблица 47
N п.п.
Вид конструктивных элементов
Масса конструкций, т
Объемная масса бетона изделия, кг/м3
Расстояние перевозки, км
15
25
50
100
1
Блоки, плиты фундаментов и пр., башмаки, перемычки, ригели, прогоны, сваи и т.п. с шириной до 1,5 м или длиной до 3 м
До 5
1000
2,1
2,5
3,4
4,9
1800
3,4
4,1
5,6
8,3
2500
4,4
5,5
7,6
11,3
2
Балки, прогоны, ригели, колонны, сваи, капители к колоннам, плиты, лестничные марши и площадки, настилы, панели стен и т.п. шириной до 2,3 м или длиной до 6,5 м
От 5,1 до 15
1000
2,3
2,8
3,8
5,6
1800
3,7
4,6
6,4
9,6
2500
4,9
6,1
8,7
13,2
3
Балки, прогоны, ригели, колонны, сваи, плиты, настилы, панели стен и т.п. шириной до 3 м или длиной до 12 м
До 15
1000
2,4
2,9
4
6
1800
3,9
4,8
6,8
10,3
2500
5,1
6,5
9,2
14,1
Свыше 15
1000
3,9
4,4
5,5
7,5
1800
6,6
7,5
9,5
13
2500
8,9
10,3
13
17,9
4
Балки, прогоны, ригели, колонны, сваи, плиты и настилы и т.п. с шириной более 3 м или длиной более 12 м
До 15
1000
2,6
3,2
4,5
6,7
1800
4,2
5,3
7,6
11,6
2500
5,6
7,2
10,3
15,9
От 15,1 До 25
1000
4,1
4,7
6
8,2
1800
6,9
8
10,3
14,4
2500
9,4
10,9
14,1
19,7
Примечание. Затраты на транспортировку 1 м3 сборных конструкций из легкого и ячеистого бетонов с объемной массой, отличной от приведенной в таблице, норматив Цт, следует определять по формуле
,
где Зт - тариф на перевозку с разгрузкой 1 т конструкций, руб., определяемый по показателям ниже следующей таблицы:
N п.п.
Вид конструктивных элементов
Масса конструкций, т, до
Тариф Зт на перевозку с разгрузкой конструкций на расстояние (км), руб.
15
25
50
100
1
Принимается по перечню табл. 47
5
1,6
2
2,8
4,3
2
То же
15
1,8
2,2
3,2
5
3
"
15
1,8
2,4
3,5
5,4
Свыше 15
3,3
3,9
5
6,9
4
Принимается по перечню табл. 47
15
2
2,6
3,9
6,2
25
3,5
4,2
5,4
7,7
Свыше 25
4,2
4,9
6,1
8,4
- объемная масса изделий, кг, определяемая по формуле
,
где Ви - масса изделия, кг, определяемая по рабочим чертежам с учетом отпускной влажности бетона;
Vи - объем изделия по наружным размерам, м3.
Приложение 1
ПРИМЕРЫ РАСЧЕТОВ
Пример 1. Сравнение расчетной себестоимости "в деле" сплошных плоских панелей перекрытия из предварительно-напряженного тяжелого бетона размером на комнату 6 x 3 м (эталон) - 1-й вариант и из ненапряженного ячеистого бетона размером 6 x 1,5 м (новое решение) - 2-й вариант.
Выявляется более эффективный вариант из двух новых конструктивных решений плоской плиты перекрытия для жилого дома:
а) из предварительно-напряженного тяжелого бетона M-250 толщиной 16 см, размером на комнату (6 x 3 м);
б) из ячеистого бетона M-50, , толщиной 24 см, размером 1,5 x 6 м, ненапряженной, дающей возможность непосредственной наклейки линолеума, но повышающей высоту стен здания.
I Характеристика конструкции
Наименование конструкций и марка:
1-й вариант (эталон) - сплошная плоская панель перекрытия размером 5,98 x 2,98 x 0,16 м, предварительно-напряженная, марка ПО-60-2 с несущей способностью 640 кг/м2;
2-й вариант (новое решение) - сплошная плоская панель перекрытия размером 5,98 x 1,49 x 0,24 м, ненапряженная, марки ПОЯ-60-2 с несущей способностью 645 кг/м2.
Автор проекта, серия и год выпуска:
1-й и 2-й варианты - проектные проработки ЦНИИЭПжилища.
1-й вариант
2-й вариант
Вид бетона
Тяжелый
Ячеистый
Марка бетона
250
50
Объемная масса бетона, кг/м3
2500
800 (в сухом состоянии)
Расчетная нагрузка (несущая способность), кг/м2
640
645
Масса конструкции, кг
6950
2050
Объем бетона, м3
2,78
1,98
Приведенная толщина, см
15,4
22
Расход стали, кг:
на 1 конструкцию
114,64
110,33
на 1 м3
41,2
55,7
II. Выбор технологии изготовления и параметров
бетонной смеси
1-й вариант
2-й вариант
Технология изготовления
Агрегатно-поточная
Автоклавный ячеистый бетон
Консистенция бетонной смеси
4 - 6 см
Не подразделяется
Наибольшая крупность заполнителя
до 20 мм
То же
III. Расход и затраты на сталь
Класс и вид
Диаметр, мм
Вст, кг
Кст
Цст, руб.
1-й вариант
А-I
12
2,82
1,01
124
0,35
16
7,6
1,01
118
0,91
В-I
4
12,9
1,02
157
2,07
5
3,48
1,02
157
0,56
А-IIIв
14
87,84
1,03
139
12,57
Итого по 1-му варианту
-
114,64
-
-
16,46
2-й вариант
А-I
6
7,92
1,01
131
1,05
А-II
12
85
1,02
127
11,01
В-I
3
5,62
1,02
162
0,92
4
5,24
1,02
157
0,84
5
6,55
1,02
157
1,05
Итого по 2-му варианту
-
110,33
-
-
14,87
IV. Себестоимость и трудовые затраты приготовления
бетонной смеси
Себестоимость, руб.
Трудоемкость, чел.-ч
1-й вариант
Сб = БиКбЦб = 2,78·1,02·16·1,03 = 46,7
Тб = БиКбЧб = 2,78·1,02·1 = 2,83
2-й вариант
Сб = БияКбЦб = 1,98·0,985·8,5 = 16,58
Тб = БияКбЧб = 1,98·0,985·0,86 = 1,67
V. Изготовление ненапрягаемой арматуры и закладных деталей
Обозначение изделий в чертеже
Наименование арматурных изделий
Число на 1 конструкцию
Масса, кг
Себестоимость, руб.
,
Трудоемкость, чел.-ч
одного арматурного изделия
всех изделий, приходящихся на 1 конструкцию, Ва
1-й вариант
С-3-2
Сетка
2
4,07
8,14
8,14·0,0528 = 0,43
8,14·0,0428 = 0,35
С-3-3
"
2
2,04
4,08
4,08·0,0792 = 0,32
4,08·0,0641 = 0,26
С-3-61
"
2
0,34
0,68
0,68·0,27 = 0,18
0,68·0,2186 = 0,15
С-3-62
"
2
1,74
3,48
3,48·0,1092 = 0,38
3,48·0,0884 = 0,31
Т-16
Отдельные стержни
(петли)
4
1,9
7,6
7,6·0,021 = 0,16
7,6·0,017 = 0,13
Отдельные "
6
0,47
2.82
2,82·0,0222 = 0,06
2,82·0,0183 = 0,05
Напрягаемые "
(вытяжка)
12
7,32
87,84
(Учтена в стоимости стали)
87,84·0,0062 = 0,54
Итого
1-й вариант
-
-
114,64
1,53
1,79
2-й вариант
С-1
Сетка
1
91,55
91,55
91,55·0,0072 = 0,66
91,55·0,0058 = 0,53
С-4
"
1
5,62
5,62
5,62·0,0432 = 0,24
5,62·0,035 = 0,2
С-29
"
2
1,87
3,74
3,74·0,1092 = 0,41
3,74·0,0884 = 0,33
К-1
Каркас
3
3,1
9,3
9,3·0,0636 = 0,59
9,3·0,0515 = 0,48
Поз. 28
Отдельные стержни
6
0,02
0,12
0,12·0,0222 = 0,01
0,12·0,0183 = 0,01
Защита сеток и каркасов
-
-
-
110,33·0,03 = 3,3
110,33·0,01 = 1,1
Итого
2-й вариант
-
-
110,33
5,21
2,65
VI. Заготовка элементов напрягаемой арматуры
1-й вариант:
;
;
2-й вариант: напрягаемой арматуры нет.
VII. Укладка ненапрягаемой арматуры
и закладных деталей в форму
1-й вариант:
;
;
2-й вариант:
;
.
VIII. Натяжение напрягаемой арматуры (электротермическое)
1-й вариант -
;
.
2-й вариант - напрягаемой арматуры нет.
IX. Формование
1-й вариант:
Сф = БиЦф = 2,78·5,8·1,02 <*> = 16,44;
Тф = БиЧф = 2,78·3,8·1,02 <*> = 10,77;
2-й вариант:
Сф = БияЦфKф = 1,98·7,8·1,05 <*> ·1,1·0,91 = 16,15;
Тф = БияЧфKф = 1,98·5,1·1,05 <*> ·1,1·0,91 = 10,55;
.
--------------------------------
<*> Коэффициенты 1,02 и 1,05 учитывают вырезы в панели.
X. Затраты на содержание форм
1-й вариант:
Со = БиЦо = 2,78·3·1,15·1,1 = 10,55;
2-й вариант:
Со = БиЦо = 1,98·3·1,1 = 6,53.
XI. Себестоимость пара
1-й вариант:
Сп = БиЦп = 2,78·2,2 = 6,12;
2-й вариант:
Сп = БиЦп = 1,98·2,5 = 4,95
XII. Расчетная себестоимость и трудоемкость изготовления
сравниваемых конструкций
N п.п.
Наименование показателя
Панель напряженная из тяжелого бетона
Панель ненапряженная из ячеистого бетона
себестоимость, руб.
трудоемкость, чел.-ч
себестоимость, руб.
трудоемкость, чел.-ч
1
Арматурная сталь
16,46
-
14,87
-
2
Бетонная смесь
46,7
2,83
16,58
1,67
3
Изготовление ненапрягаемой арматуры и закладных деталей
1,53
1,79
5,21
2,65
4
Заготовка напрягаемой арматуры
2,2
1,61
-
-
5
Укладка ненапрягаемой арматуры и закладных деталей в форму
0,31
0,19
1,28
0,79
6
Натяжение напрягаемой арматуры
1,52
0,83
-
-
7
Формование
16,44
10,77
16,15
10,55
8
Затраты на содержание форм
10,55
-
6,53
-
9
Себестоимость пара
6,12
-
4,95
-
Итого трудоемкость
-
18,02
-
15,66
Итого расчетная производственная себестоимость
101,83
-
65,57
-
XIII. Полная расчетная стоимость конструкций
1-й вариант:
Ск = Сс.к·1,145 = 101,83·1,145= 116,6;
2-й вариант:
Ск = Сс.к·1,145 = 65,57·1,145 = 75,08.
XIV. Затраты по транспортировке конструкций
от завода-изготовителя до строительной площадки
(на 15 км автотранспортом)
1-й вариант:
Ст = БиЦт = 2,78·5,1 = 14,17;
2-й вариант:
Ст = БиЦт = 1,98·2,3 = 4,55.
XV. Затраты на монтаж конструкций в здании
(по ЕРЕР N 11)
1-й вариант:
См = 3,89 (§ 11-321);
Чм = 2,7 чел.-ч, или 0,34 чел.-дн;
Зм = 1,63;
2-й вариант:
См = 3,01 (§ 11-323);
См = 1,9 чел.-ч, или 0,24 чел.-дн,
Зм = 1,15.
XVI. Прямые затраты в себестоимости конструкций "в деле"
1-й вариант:
Ск.п = (Ск + Ст)1,02 + См = (116,6 + 14,17)1,02 + 3,89 = 137,27;
2-й вариант:
Ск.п = (Ск + Ст)1,02 + См = (75,08 + 4,55)·1,02 + 3,11 = 84,23.
XVII. Изменяющаяся часть накладных расходов строительства
1-й вариант:
2-й вариант:
XVIII. Расчетная себестоимость конструкций "в деле"
1-й вариант:
, в том числе 1 м2 панели = 8,27 руб.;
2-й вариант:
, в том числе 1 м2 панели = 10,16 руб.
В результате проведенных расчетов установлено, что расчетная себестоимость панели перекрытия "в деле" из ячеистого бетона дороже на 1,98 руб. 1 м2 (или на 23%) аналогичной напряженной панели из тяжелого бетона. Однако окончательное решение можно выносить только после сравнения комплекса других сопряженных с ними элементов здания (пола или стен) и эксплуатационных свойств, отражаемых в составе приведенных затрат.
Пример 2. Сравнение производственной себестоимости и трудоемкости изготовления однослойной наружной стеновой панели из керамзитобетона объемной массой 800 кг/м3 (эталон) - 1-й вариант и трехслойной стеновой панели с наружными слоями из легкого бетона объемной массой 1500 кг/м3 и средним утепляющим слоем из фенольного пенопласта объемной массой 40 - 60 кг/м3 (новое решение) - 2-й вариант.
В связи со сложностью получения на местных глинах керамзита низких объемных масс (300 - 400 кг/м3) и нежелательностью увеличения толщины наружных стен выявляется эффективность нового конструктивного решения многослойных наружных стен на базе местного керамзита (700 - 800 кг/м3) и эффективного утеплителя из фенольного пенопласта толщиной 25 мм. Приводимый далее расчет себестоимости и трудоемкости изготовления является первым этапом выявления эффективности применения трехслойных стеновых панелей по сравнению с однослойными.
I. Характеристика конструкций
Наименование конструкций и марка: 1-й вариант (эталон) - однослойная наружная стеновая панель из керамзитобетона, марка НС-1, размер 3,19 x 2,58 x 0,35 м с оконным проемом размером 1,35 x 2,06 м.
2-й вариант (новое решение) - трехслойная стеновая панель с наружными слоями из керамзитобетона и утепляющим слоем из фенольного пенопласта толщиной 25 мм, марка НСф-1, размер 3,19 x 2,58 x 0,18 м с оконным проемом размером 1,35 x 2,06 м.
Автор проекта, серия и год выпуска:
1-й вариант - типовой проект ЦНИИЭПжилища, 1971 г.
2-й вариант - проектная проработка зонального Института экспериментального проектирования, 1976 г.
1-й вариант
2-й вариант
Вид бетона
Керамзитобетон
Керамзитобетон (в двух слоях). Утеплитель из фенольного пенопласта толщиной 25 мм
Марка бетона
50
150
Объемная масса бетона, кг/м3
800
1500 (утеплитель - 40 - 60)
Расчетная нагрузка
Не имеется
Не имеется
Масса конструкции, кг
1640
1710
Объем бетона, м3
1,67
0,91 (верхний слой 0,54, нижний слой 4,5; утеплитель 0,14
Приведенная толщина, см
20,3
12,8 (верхний слой 6,6, нижний слой 4,5); утеплитель 1,7)
Расход стали, кг:
на 1 конструкцию
41,23
31,57
" 1 м3 бетона
24,7
34,7
II. Выбор технологии изготовления и параметров
бетонной смеси
1-й вариант
2-й вариант
Технология изготовления
Агрегатно-поточная
Агрегатно-поточная
Консистенция бетонной смеси
20 - 40 с
1 - 3 см
Наибольшая крупность заполнителя
до 20 мм
До 10 мм
III. Расход и затраты на сталь
Класс и вид стали
Диаметр и толщина, мм
Вст, кг
Кст
Цст, руб.
1-й вариант
А-I
8
2,39
1,01
126
0,3
12
9,38
1,01
124
1,17
14
14,66
1,01
120
1,76
В-I
3
3,11
1,02
162
0,51
4
2,78
1,02
157
0,44
5
8,71
1,02
157
1,02
Ст3
-30 x 6
0,2
1,05
110,2
0,02
Итого 1-й вариант
41,23
-
-
5,22
2-й вариант
А-I
8
4,98
1,01
126
0,63
10
3,74
1,01
129
0,49
12
6,06
1,01
124
0,76
В-I
3
6,18
1,02
162
1,02
4
3,81
1,02
157
0,61
5
6,8
1,02
157
1,09
Ст3
-30 x 6
0,2
1,05
110,2
0,02
Итого 2-й вариант
31,57
-
-
4,62
IV. Себестоимость и трудовые затраты приготовления
бетонной смеси
Себестоимость, руб.
Трудоемкость, чел.-ч
1-й вариант
Сб = БиКбЦб = 1,66·1,03·20,1 = 34,56
Тб = БиКбЧб = 1,67·1,03·0,9 = 1,54
2-й вариант
Сб = БиКбЦб = 0,91·1,02·18,9 = 17,53
Тб = БиКбЧб = 1,67·1,02·1,1 = 1,87
V. Изготовление ненапрягаемой арматуры и закладных деталей
Обозначение изделий в чертеже
Наименование арматурных изделий
Число на 1 конструкцию
Масса, кг
Себестоимость, руб.
Трудоемкость, чел.-ч
одного арматурного изделия
всех изделий, приходящихся на 1 конструкцию
1-й вариант
К-1
Каркас
2
1,32
2,64
2,64·0,1332 = 0,35
2,64·0,1079 = 0,28
К-2
"
2
2,57
5,14
5,14·0,0684 = 0,35
5,14·0,0554 = 0,28
К-3
"
1
8,85
8,85
8,85·0,0324 = 0,29
8,85·0,0262 = 0,23
К-4
"
1
9,24
9,24
9,24·0,03 = 0,27
9,24·0,0243 = 0,22
К-5
"
1
2,75
2,75
2,75·0,0684 = 0,19
2,75·0,0554 = 0,15
К-5а
"
1
1,62
1,62
1,62·0,1092 = 0,18
1,62·0,0884 = 0,14
К-7
"
1
0,44
0,44
0,44·0,27 = 0,11
0,44·0,2186 = 0,1
С-2
Сетка
2
0,76
1,52
1,52·0,1668 = 0,25
1,52·0,1351 = 0,21
С-3
"
1
1,07
1,07
1,07·0,1332 = 0,14
1,07·0,1079 = 0,12
С-4
"
1
0,52
0,52
0,52·0,1668 = 0,09
0,52·0,1351 = 0,07
Поз. 1
Отдельный стержень (диаметром 10 мм)
8
0,03
0,24
0,24·0,0222 = 0,01
0,24·0,0183 = 0,01
П-1
Петля монтажная
1
0,83
0,83
0,83·0,039 = 0,03
0,83·0,032 = 0,03
А-1
То же
2
1,75
3,5
3,5·0,011 = 0,04
3,5·0,01 = 0,03
А-1а
Закладная деталь
2
1,6
3,2
3,2·0,1332 = 0,43
3,2·0,0266 = 0,09
М-31
То же
1
0,6
0,6
0,6·0,27 = 0,16
0,6·0,04 = 0,02
М-32
"
1
1,07
1,07
1,07·0,137 = 0,15
1,07·0,0206 = 0,02
ПКН-1
Сборка элементов в пространственный каркас (К-1 - К-7, поз. 1)
1
31,92
-
30,68·0,0128 +
+ 0,24·0,0468 = 0,4
30,68·0,0071 +
+ 0,24·0,026 = 0,23
Итого 1-й вариант
-
-
43,23
3,44
2,23
2-й вариант
К-1
Каркас
2
1,32
2,64
2,64·0,1332 = 0,35
2,64·0,1079 = 0,28
К-2
"
2
2,57
5,14
5,14·0,0684 = 0,35
5,14·0,0554 = 0,28
К-3
"
1
5,26
5,26
5,26·0,0432 = 0,23
5,26·0,035 = 0,18
К-4
"
1
3,4
3,4
3,4·0,0588 = 0,2
3,4·0,0476 = 0,16
К-5
"
1
2,75
2,75
2,75·0,0684 = 0,19
2,75·0,0554 = 0,15
К-6
"
1
1,62
1,62
1,62·0,1092 = 0,18
1,62·0,0884 = 0,14
К-7
"
1
0,44
0,44
0,44·0,27 = 0,11
0,44·0,2186 = 0,1
С-1
Сетка
2
1,19
2,38
2,38·0,1332 = 0,32
2,38·0,1079 = 0,26
С-2
"
2
0,71
1,42
1,42·0,1668 = 0,24
1,42·0,1351 = 0,19
С-3
"
2
1,19
2,38
2,38·0,1332 = 0,32
2,38·0,1079 = 0,26
Поз. 1
Отдельный стержень (диаметром до 10 мм)
8
0,033
0,26
0,26·0,0222 = 0,01
0,26·0,0183 = 0,01
П-1
Монтажная петля
2
0,92
1,84
1,84·0,039 = 0,07
1,84·0,032 = 0,06
А-1а
Закладная деталь
2
1,02
2,04
2,04·0,137 = 0,28
2,04·0,0206 = 0,04
ПКН-1
Сборка элементов в пространственный каркас (К-1 - К-7, поз. 1)
-
21,51
-
21,25·0,0128 +
+ 0,26·0,0468 = 0,28
21,25·0,0071 +
+ 0,26·0,026 = 0,16
Итого 2-й вариант
-
-
31,57
3,13
2,27
VI. Заготовка элементов напрягаемой арматуры
1-й и 2-й варианты - нет.
VII. Укладка ненапрягаемой арматуры
и закладных деталей в форму
1-й вариант:
;
;
2-й вариант:
;
.
VIII. Натяжение напрягаемой арматуры
1-й и 2-й варианты - нет.
IX. Формование
1-й вариант:
Сф = БиЦф = 1,67·7,3·1,02 = 12,43;
Тф = БиЧф = 1,67·4,6·1,02 = 7,83;
2-й вариант:
Сф = БиЦф = (0,54 + 0,37)19,1·1,02 = 17,57;
Тф = БиЦф = 0,91·12,6·1,02 = 11,68.
X. Затраты на содержание форм
1-й вариант:
Со = БиЦо = 1,67·1,5·1,1 = 2,67;
2-й вариант:
Со = (Би + Vут)Цо = 1,05·1,5·1,1 = 1,68.
XI. Себестоимость пара
1-й вариант:
Сп = БиЦп = 1,67·1 = 1,67
2-й вариант:
Сп = БиЦп = 0,91·1·1,25 = 1,13.
XII. Операции по повышению заводской готовности конструкций
Укладка утеплителя - фенольного пенопласта:
1-й вариант -
нет.
2-й вариант -
Сз.г = НдЦд.з = 5,45 м2 (3,71 - 3,11)·(3,11·0,5) = 5,06
Тз.г = НдЧд.з = 5,45 м2·0,2 = 1,09.
XIII. Расчетная себестоимость и трудоемкость изготовления
сравниваемых конструкций
N п.п.
Наименование конструкций
Однослойная стеновая панель из керамзитобетона
Трехслойная стеновая панель из легкого бетона с утеплителем из фенольного пенопласта
себестоимость, руб.
трудоемкость, чел.-ч
себестоимость, руб.
трудоемкость, чел.-ч
1
Арматурная сталь
5,22
-
4,62
-
2
Бетонная смесь
34,56
1,54
17,53
1,87
3
Изготовление ненапрягаемой арматуры и закладных деталей
3,44
2,23
3,13
2,27
4
Заготовка напрягаемой арматуры
-
-
-
-
5
Укладка ненапрягаемой арматуры и закладных деталей в форму
0,68
0,42
0,51
0,31
6
Натяжение напрягаемой арматуры
-
-
-
-
7
Формование
12,43
7,83
17,57
11,68
8
Затраты на содержание форм
2,67
-
1,68
-
9
Себестоимость пара
16,7
-
1,13
-
10
Операции повышения заводской готовности изделий (укладка утеплителя)
-
-
5,06
1,09
Итого трудоемкость
-
12,02
-
17,22
Итого расчетная производственная себестоимость
60,67
-
51,22
-
По аналогии с примером 1 расчет может быть продолжен до показателя расчетной себестоимости панелей "в деле". Но это не может уже повлиять на общий вывод.
В результате проведенных расчетов видно, что себестоимость трехслойных стеновых панелей (новое решение) оказалась на 15% ниже себестоимости однослойных панелей. Однако трудоемкость трехслойных панелей существенно выше трудоемкости изготовления однослойных стен, поэтому их применение может быть рекомендовано лишь для регионов, располагающих возможностями привлечения на заводы ЖБИ дополнительной рабочей силы по сравнению с производством однослойных панелей.
Приложение 2
РАСХОД ОСНОВНЫХ МАТЕРИАЛОВ, ОБРАЗУЮЩИХ БЕТОННЫЕ СМЕСИ (1 м3)
Таблица 1
Расход материалов бетона на тяжелом заполнителе
Марка бетона
Марка цемента
Наибольшая крупность заполнителя, мм
При консистенции бетонной смеси
Подвижность, см
Жесткость, с
4 - 6
1 - 3
20 - 40
50 - 80
цемент, кг
щебень, м3
песок, м3
цемент, кг
щебень, м3
песок, м3
цемент, кг
щебень, м3
песок, м3
цемент, кг
щебень, м3
песок, м3
А. Для изделий с обычным армированием при 70%-ной отпускной прочности бетона
100
300
10
265
0,9
0,43
250
0,91
0,44
230
0,93
0,44
220
0,95
0,45
20
240
0,94
0,42
225
0,96
0,42
210
0,97
0,43
200
0,98
0,44
40
225
0,98
0,41
210
0,98
0,43
195
1
0,43
185
1
0,43
150
300
10
315
0,89
0,41
295
0,89
0,43
280
0,91
0,43
260
0,94
0,43
20
285
0,92
0,41
270
0,94
0,41
255
0,95
0,42
235
0,97
0,42
40
265
0,96
0,4
250
0,98
0,4
235
1
0,4
220
1
0,41
200
400
10
325
0,88
0,41
310
0,89
0,42
290
0,91
0,43
270
0,93
0,43
20
295
0,91
0,41
280
0,94
0,41
265
0,95
0,42
245
0,97
0,42
40
275
0,95
0,4
260
0,97
0,4
245
1
0,4
230
1
0,41
250
400
10
375
0,86
0,4
350
0,88
0,4
330
0,9
0,41
305
0,91
0,42
20
340
0,91
0,39
320
0,92
0,4
300
0,94
0,4
280
0,96
0,41
40
315
0,94
0,39
295
0,96
0,39
280
0,98
0,39
260
0,99
0,4
300
400
10
425
0,84
0,38
395
0,86
0,39
375
0,88
0,39
345
0,9
0,41
20
385
0,88
0,38
360
0,9
0,39
340
0,93
0,39
315
0,94
0,4
40
360
0,92
0,38
335
0,94
0,38
315
0,96
0,4
290
0,98
0,39
350
400
10
470
0,81
0,37
445
0,85
0,38
425
0,84
0,38
390
0,86
0,39
20
430
0,86
0,37
405
0,88
0,38
385
0,88
0,38
355
0,9
0,39
40
400
0,9
0,37
375
0,86
0,38
360
0,92
0,38
330
0,94
0,38
400
500
10
460
0,83
0,38
435
0,86
0,38
410
0,87
0,39
385
0,9
0,4
20
420
0,86
0,38
395
0,89
0,38
375
0,92
0,38
350
0,94
0,39
40
390
0,9
0,37
365
0,92
0,38
350
0,94
0,38
325
0,97
0,38
450
500
10
520
0,82
0,36
490
0,8
0,38
460
0,86
0,38
430
0,9
0,4
20
475
0,85
0,36
445
0,85
0,38
420
0,89
0,37
390
0,94
0,39
40
440
0,88
0,36
415
0,88
0,38
390
0,91
0,37
360
0,97
0,38
500
500
10
640
0,7
0,36
595
0,76
0,36
550
0,81
0,36
495
0,86
0,36
20
580
0,76
0,36
540
0,8
0,36
500
0,85
0,36
450
0,88
0,37
40
540
0,79
0,36
500
0,84
0,36
465
0,88
0,36
420
0,91
0,37
600
600
10
695
0,66
0,36
669
0,69
0,36
621
0,74
0,36
562
0,79
0,36
20
650
0,71
0,36
625
0,74
0,36
580
0,78
0,36
525
0,83
0,36
40
605
0,74
0,36
581
0,77
0,37
540
0,81
0,37
488
0,87
0,36
700
700
10
-
-
-
-
-
-
680
0,71
0,38
630
0,75
0,39
20
-
-
-
-
-
-
640
0,8
0,38
590
0,82
0,39
40
-
-
-
-
-
-
-
-
-
-
-
-
800
800
10
-
-
-
-
-
-
740
0,66
0,38
680
0,73
0,38
20
-
-
-
-
-
-
700
0,73
0,38
640
0,79
0,38
Б. Для изделий с обычным армированием при 100%-ной отпускной прочности бетона
150
400
10
330
0,94
0,41
315
0,94
0,41
300
0,94
0,41
275
0,94
0,41
20
300
0,97
0,41
285
0,98
0,41
270
0,97
0,41
250
0,98
0,41
40
280
0,98
0,4
265
0,99
0,4
250
0,98
0,4
230
0,99
0,4
200
400
10
395
0,84
0,39
375
0,87
0,39
350
0,89
0,4
330
0,91
0,41
20
360
0,88
0,39
340
0,91
0,39
320
0,94
0,39
300
0,94
0,41
40
335
0,93
0,38
315
0,95
0,38
300
0,97
0,39
280
0,98
0,4
250
500
10
462
0,85
0,38
435
0,86
0,39
410
0,88
0,4
385
0,9
0,41
20
420
0,89
0,38
395
0,9
0,39
375
0,93
0,39
350
0,95
0,4
40
390
0,92
0,38
365
0,95
0,38
350
0,95
0,39
325
0,98
0,39
300
500
10
475
0,81
0,37
445
0,83
0,38
425
0,86
0,38
390
0,89
0,39
20
430
0,86
0,37
405
0,88
0,38
385
0,89
0,38
355
0,93
0,39
40
400
0,9
0,37
375
0,93
0,37
360
0,94
0,38
330
0,96
0,39
350
500
10
550
0,78
0,36
510
0,81
0,37
485
0,85
0,36
445
0,88
0,36
20
500
0,83
0,36
470
0,86
0,37
440
0,88
0,36
405
0,9
0,36
40
465
0,88
0,36
430
0,9
0,37
410
0,9
0,36
375
0,94
0,36
400
500
10
640
0,7
0,36
600
0,73
0,36
555
0,76
0,36
500
0,79
0,36
20
600
0,75
0,36
560
0,77
0,36
520
0,81
0,36
470
0,85
0,36
40
570
0,78
0,37
530
0,8
0,37
495
0,83
0,37
445
0,89
0,36
450
500
10
-
-
-
-
-
-
640
0,7
0,36
590
0,75
0,36
20
-
-
-
-
-
-
600
0,75
0,36
550
0,78
0,36
40
-
-
-
-
-
-
570
0,78
0,36
520
0,8
0,37
500
600
10
-
-
-
-
-
-
620
0,7
0,36
555
0,78
0,36
20
-
-
-
-
-
-
580
0,75
0,36
520
0,76
0,36
40
-
-
-
-
-
-
550
0,78
0,36
495
0,81
0,37
Примечание. При определении расхода цемента для предварительно-напряженных конструкций к табличным значениям расхода цемента следует применять коэффициент 1,08.
Таблица 2
Расход материалов конструктивно-теплоизоляционного
керамзитобетона с 80%-ной отпускной прочностью
Марка бетона
Объемная масса бетона, кг/м3, до
Вид бетона
керамзитобетон плотной структуры на дробленом керамзитовом песке
керамзитопенобетон
керамзитогазобетон
без песка
на кварцевом песке
цемент, кг
керамзит, м3
песок, м3
цемент, кг
керамзит, м3
цемент, кг
керамзит, м3
цемент, кг
керамзит, м3
песок, м3
25
550
200
0,85
0,2
270
1
260
1
-
-
-
650
190
0,85
0,2
260
1
250
1
-
-
-
750
190
0,85
0,2
250
1
240
1
-
-
-
850
180
0,85
0,2
240
1
230
1
-
-
-
35
650
240
0,95
0,35
300
1,1
290
1
-
-
-
750
230
0,95
0,35
290
1,1
280
1
-
-
-
850
220
0,95
0,35
280
1,1
270
1
-
-
-
950
210
0,95
0,35
270
1,1
260
1
-
-
-
50
750
250
0,95
0,4
300
1,1
290
1
-
-
-
850
240
0,95
0,4
290
1,1
280
1
-
-
-
950
230
0,95
0,4
280
1,1
270
1
-
-
-
1050
220
0,95
0,4
270
1,1
260
1
-
-
-
1150
210
0,95
0,4
260
1,1
250
1
-
-
-
75
850
270
0,9
0,45
330
1,1
320
1
-
-
-
950
260
0,9
0,45
320
1,1
300
1
300
1
0,15
1050
250
0,9
0,45
300
1,1
290
1
290
1
0,15
1150
240
0,9
0,45
290
1,1
280
1
280
0,95
0,15
1250
220
0,9
0,45
280
1,1
270
1
280
0,9
0,15
100
1050
270
0,85
0,5
400
1,1
360
0,95
300
1
0,15
1150
260
0,85
0,5
360
1,1
340
0,95
320
1
0,15
1250
240
0,85
0,5
340
1,1
320
0,95
310
0,95
0,15
1300
230
0,85
0,5
320
1,1
300
0,95
300
0,9
0,15
Таблица 3
Расход материалов конструктивного керамзитобетона с 70%-ной
отпускной прочностью для изделий с обычным армированием
Марка бетона
Марка цемента
Объемная масса бетона, кг/м3
Консистенция бетонной смеси
подвижность, см, 1 - 5
жесткость, с
20 - 30
50 - 80
цемент, кг
песок, м3
керамзит, м3
цемент, кг
песок, м3
керамзит, м3
цемент, кг
песок, м3
керамзит, м3
150
400
1400
350
0,45
0,72
320
0,54
0,7
285
0,57
0,72
1500
320
0,61
0,58
295
0,63
0,62
255
0,66
0,63
1600
305
0,66
0,58
280
0,67
0,61
240
0,69
0,65
200
400
1400
415
0,45
0,75
385
0,4
0,75
345
0,48
0,78
1500
390
0,46
0,7
360
0,53
0,7
315
0,56
0,72
1600
365
0,54
0,65
335
0,62
0,63
285
0,64
0,65
1700
345
0,7
0,5
315
0,66
0,6
265
0,7
0,65
250
400
1500
440
0,37
0,72
420
0,46
0,72
385
0,5
0,76
1600
420
0,5
0,65
380
0,54
0,67
365
0,55
0,75
1700
395
0,61
0,55
370
0,5
0,65
345
0,5
0,65
1800
380
0,66
0,55
355
0,61
0,62
335
0,7
0,5
300
400
1600
490
0,4
0,72
470
0,5
0,72
445
0,35
0,75
1700
475
0,45
0,7
450
0,56
0,65
430
0,4
0,7
1800
460
0,56
0,64
425
0,65
0,5
405
0,45
0,7
350
500
1700
500
0,43
0,69
475
0,46
0,7
450
0,46
0,75
1800
485
0,57
0,55
440
0,57
0,6
420
0,6
0,65
400
500
1700
550
0,33
0,74
500
0,34
0,79
460
0,38
0,83
1800
500
0,4
0,7
460
0,4
0,76
430
0,49
0,74
450
500
1700
600
0,44
0,55
550
0,45
0,65
470
0,45
0,71
1800
565
0,33
0,74
520
0,33
0,74
440
0,4
0,76
500
600
1700
625
0,26
0,74
570
0,27
0,79
485
0,32
0,83
1800
595
0,32
0,7
540
0,33
0,76
460
0,36
0,81
Примечание. При определении расхода цемента для предварительно-напряженных конструкций следует применять коэффициент 1,08.
Таблица 4
Расход материалов для приготовления
мелкозернистых бетонов и растворов
Марка раствора
Марка цемента и вяжущего
Расход вяжущего
портландцемент, кг
песок, м3
молотый песок, кг
Бетон для армоцементных конструкций
300
300
700
0,9
-
400
400
700
0,9
-
500
500
700
0,9
-
600
600
700
0,9
-
Цементный автоклавный бетон
200
400
320
1,04
-
300
400
420
1
-
400
400
500
0,96
-
500
400
560
0,93
-
600
400
610
0,9
-
Известковый (силикатный) автоклавный бетон
100
Известь
150
1,07
150
200
"
200
0,99
200
300
"
270
0,88
260
400
"
310
0,81
310
Цементно-песчаный раствор для фактурных слоев
100
400
350
0,8
-
150
400
400
0,8
-
Таблица 5
Расход материалов на 1 м3 ячеистого бетона, кг
Марка бетона
Объемная масса бетона, кг/м3, до
Расход материалов
портландцемент
известь
молотый песок
15
500
90
90
270
25
500
103
103
244
600
108
108
324
700
113
113
404
35
600
121
121
308
700
126
126
378
800
131
131
458
50
700
140
140
370
800
144
144
432
900
147
147
516
75
800
158
158
434
900
162
162
486
1000
165
165
570
100
900
174
174
512
1000
180
180
520
1100
186
186
538
150
1000
192
192
516
1100
198
198
594
1200
206
206
688
Примечания: 1. Марка цемента для всех марок бетона принята равной 400.
2. Расход цемента для поризованного раствора фактурных слоев изделий из ячеистого бетона равен 300 кг/м3.
УДК 691.32.003.13