Главная // Актуальные документы // Актуальные документы (обновление с 29.09.2025 по 01.11.2025) // РуководствоСПРАВКА
Источник публикации
М.: Стройиздат, 1977
Примечание к документу
Название документа
"Руководство по определению расчетной стоимости и трудоемкости изготовления сборных железобетонных конструкций на стадии проектирования. Конструкции транспортного строительства"
"Руководство по определению расчетной стоимости и трудоемкости изготовления сборных железобетонных конструкций на стадии проектирования. Конструкции транспортного строительства"
ПО ОПРЕДЕЛЕНИЮ РАСЧЕТНОЙ СТОИМОСТИ И ТРУДОЕМКОСТИ
ИЗГОТОВЛЕНИЯ СБОРНЫХ ЖЕЛЕЗОБЕТОННЫХ КОНСТРУКЦИЙ
НА СТАДИИ ПРОЕКТИРОВАНИЯ
КОНСТРУКЦИИ ТРАНСПОРТНОГО СТРОИТЕЛЬСТВА
Рекомендовано к изданию решением бюро секции ценообразования и расчетов в строительстве и бюро секции эффективности научно-технического прогресса в строительстве НИИЭС Госстроя СССР.
Руководство содержит основные методические положения и нормативы, позволяющие рассчитывать себестоимость, трудоемкость и другие технико-экономические показатели вновь создаваемых конструкций и изделий из сборного железобетона сооружений транспортного строительства.
Руководство предназначено для инженерно-технических работников проектных и научно-исследовательских организаций, занятых разработкой, проектированием и внедрением новых конструкций.
Стоимость, трудоемкость и качество современного транспортного строительства во многом определяются экономичностью применяемых железобетонных конструкций. Оценка эффективности и выбор оптимальных конструктивных решений для транспортного строительства невозможны без специальных методических пособий, позволяющих на стадии проектирования выявлять показатели, характеризующие экономическую сторону вновь создаваемых конструкций.
Настоящее Руководство предназначается для расчета себестоимости, стоимости, трудоемкости и некоторых других технико-экономических показателей вновь разрабатываемых специфических конструкций, сооружений транспортного строительства <1>.
--------------------------------
<1> Сборные конструкции для строительства зданий транспортного назначения (депо, склады, мастерские, вокзалы и тому подобных объектов) следует оценивать по соответствующим выпускам Руководства, содержащим нормативы для изделий промышленных и гражданских зданий.
Вместе с "Типовой
методикой определения экономической эффективности капитальных вложений", "Инструкцией по определению экономической эффективности капитальных вложений в строительстве"
(СН 423-71) и другими отраслевыми методическими материалами Руководство позволяет рассчитывать по единой методике и нормативам необходимые для оценки экономической эффективности сборных железобетонных конструкций и изделий показатели их себестоимости.
Нормативы Руководства определены для предприятий среднего по отрасли объема производства (до 40 тыс. м3 сборного железобетона в год), рассчитаны для группы центральных районов страны, входящих в III территориальный пояс "Прейскуранта оптовых цен на железобетонные изделия" N 06-08 (1974 г.) и базируются на действующих по состоянию на 1 января 1976 г. ценах на сырье, материалы и полуфабрикаты.
Руководство разработано НИИЖБ (канд. экон. наук А.А. Миронов, канд. техн. наук С.П. Павлов, инженеры Л.А. Нефедова, Н.Н. Толпежникова, Е.И. Миронова, В.Г. Ускова), НИИЭС (инженеры М.Н. Гурбанова, И.З. Аптерман, Р.А. Кудревич), Гипропромтрансстроем (инженеры Н.Г. Шпеер, Е.И. Фитерман, Е.Б. Коренцвит).
Общая редакция Руководства осуществлена канд. экон. наук А.А. Мироновым.
Замечания и предложения направлять по адресу: 117331, Москва, пр. Вернадского, 29, НИИЭС.
1.1. Настоящее Руководство рекомендуется для определения на стадии проектирования расчетной заводской себестоимости, полной расчетной стоимости и трудоемкости изготовления отдельных вновь проектируемых сборных железобетонных конструкций и изделий.
Кроме этой основной задачи Руководство рекомендуется применять в следующих случаях:
а) для расчетов сравнительной экономической эффективности конструкций и деталей одинакового назначения при вариантном проектировании, когда условия сопоставимости решений позволяют ограничиться рассмотрением только заводской себестоимости и трудоемкости и других показателей отдельных железобетонных изделий (не рассматривая показатели совокупности изделий в составе целых сооружений);
б) при решении ряда задач по выбору изделий определенного назначения и эксплуатационных характеристик (бетона соответствующего вида и марки; оптимального по стоимости набора арматурных изделий из стали определенных классов; наивыгоднейшего вида напрягаемой арматуры и др.);
в) для технико-экономического анализа конструктивных решений с целью выявления резервов снижения массы, расхода материалов, стоимости и трудоемкости изготовления конструкций и изделий.
1.2. Руководство не рекомендуется использовать при решении вопросов по выбору оптимальной технологии изготовления конструкций и наилучших способов осуществления отдельных операций по изготовлению конструкций (способов формования и термовлажностной обработки, изготовления арматуры и закладных деталей и т.д. <1>). Руководство нельзя использовать для калькулирования на предприятиях по производству сборного железобетона.
--------------------------------
<1> Такие вопросы решаются с использованием специальных методических указаний и руководств. Например, "Руководства по технико-экономической оценке способов формования бетонных и железобетонных изделий" (НИИЖБ, М., Стройиздат, 1971) и др.
1.3. При решении задач, указанных в
п. 1.1, рекомендуется использовать номенклатуру показателей, приведенную в табл. 1. Эти показатели определяются как для рассматриваемого нового решения, так и для эталона, в качестве которого выбирается железобетонная конструкция, содержащаяся в типовых проектах и получившая широкое распространение в массовом строительстве.
Таблица 1
Номенклатура показателей
N п. п. | Показатели | Условные обозначения | Единица измерения |
1 | Объем изделия по наружным размерам | Vн | м3 |
| Масса изделия | Вн | кг |
3 | Объем бетона изделия (в плотном теле) | Би | м3 |
В том числе: | | |
тяжелого | Бт | " |
легкого на пористых заполнителях | Бл | " |
бетона или раствора фактурного слоя | Бф | " |
| Марка бетона (раствора): | | |
тяжелого | Rт | кгс/см |
легкого на пористых заполнителях | Rл | " |
бетона (раствора) фактурного слоя | Rф | " |
5 | Объемная масса бетона: | | |
тяжелого | | кг/м3 |
легкого на пористых заполнителях (в сухом состоянии) | | " |
| Расход цемента | Вц | кг |
| Расход стали (по спецификации) | Вст | " |
В том числе: | | |
на ненапрягаемую арматуру | Ва | " |
на напрягаемую арматуру | Вн | " |
на закладные детали | Вд | " |
| Расчетная производственная себестоимость конструкций | Сс.к | руб. |
В том числе стоимость материалов: | | |
стали | Сс.т | " |
тяжелого бетона | Сб.т | " |
легкого бетона на пористых заполнителях | Сб.л | " |
растворов и фактурных слоев | Сб.ф | " |
| Расчетные трудовые затраты на изготовление конструкций | Тк | чел.-ч |
10 | Полная расчетная стоимость конструкции (заводская) | Ск | руб. |
11 | Расчетная себестоимость конструкции в деле | Ск.д | " |
1.4. При установлении показателей
поз. 2 -
4 и
7 табл. 1 используются имеющиеся проектные материалы: задания на проектирование, чертежи, пояснительные записки к ним и т.д.
| | ИС МЕГАНОРМ: примечание. В официальном тексте документа, видимо, допущена опечатка: поз. 12 в табл. 1 отсутствует. | |
Показатели
поз. 6,
8 - 12 табл. 1 являются расчетными и определяются согласно рекомендациям и нормативам настоящего Руководства.
Все технико-экономические показатели устанавливаются на одну конструкцию. В расчетах сравнительной экономической эффективности, кроме того, могут определяться в зависимости от целей сравнения показатели на 1 м, на 1 м2 или 1 м3 конструкций, а также 1 м2 площади причалов или 1 км пути, сетей и т.п.
1.5. Трудовые затраты на изготовление
(поз. 9 табл. 1) включают лишь технологическую трудоемкость, т.е. учитывают затраты труда производственных рабочих основных цехов предприятий по изготовлению сборного железобетона: бетоносмесительного, арматурного и формовочного (участков, отделений).
В случае необходимости определения производственной трудоемкости или полной трудоемкости изготовления конструкций, включающих еще трудозатраты обслуживания, а также управления производством, следует пользоваться "Методикой учета трудоемкости промышленной продукции" ВНИПИ труда и "Краткими методическими указаниями расчета трудоемкости продукции на предприятиях промышленности сборного железобетона" Главмоспромстройматериалов.
1.6. При оценке экономической эффективности проектных решений сооружений или их фрагментов по критерию приведенных затрат определяется полная расчетная стоимость конструкции Ск и расчетная себестоимость конструкций в деле Ск.д.
Остальные составляющие данного критерия исчисляются согласно указаниям "Типовой
методики определения экономической эффективности капитальных вложений" Академии наук СССР, Госплана СССР и Госстроя СССР, "Инструкции по определению экономической эффективности капитальных вложений в строительстве"
(СН 423-71) Госстроя СССР и других отраслевых методических положений.
1.7. При разнице сравниваемых значений расчетной себестоимости, стоимости и трудоемкости +/- 2% сопоставляемые варианты конструкций по этим показателям признаются равноценными.
2. МЕТОДИКА ОПРЕДЕЛЕНИЯ ТЕХНИКО-ЭКОНОМИЧЕСКИХ ПОКАЗАТЕЛЕЙ
ОПРЕДЕЛЕНИЕ РАСЧЕТНОЙ ПРОИЗВОДСТВЕННОЙ
СЕБЕСТОИМОСТИ И ТЕХНОЛОГИЧЕСКОЙ ТРУДОЕМКОСТИ
ИЗГОТОВЛЕНИЯ КОНСТРУКЦИЙ И ИЗДЕЛИЙ
2.1. Расчетная себестоимость изделия Сс.к определяется как сумма отдельных составляющих (руб.): себестоимости бетонной смеси, затрат на сталь, на изготовление арматуры и закладных деталей, затрат на формование и т.д., величины которых устанавливаются в соответствии с проектными характеристиками рассматриваемых конструкций и изделий.
Аналогичным образом устанавливаются расчетные трудовые затраты (трудоемкость) на изготовление одного изделия (чел.-ч).
Расчетная себестоимость Сс.к на изготовление одного изделия определяется по формуле
Сс.к =
Сб +
Сст +
Са +
Сн +
Сд +
Су +
Сн.н +
+ Сф + Со + Сп + Сз.г, (1)
а трудоемкость Тк - по формуле
Тк =
Тб +
Та +
Тн +
Тд +
Ту +
Тн.н +
Тф +
Тз.г, (2)
где Сб и Тб - соответственно суммарная себестоимость бетонной смеси и трудовые затраты на ее приготовление;
Сст - суммарная цена всех видов стали, расходуемой на изготовление ненапрягаемой и напрягаемой арматуры и закладных деталей;
Са и Та - соответственно суммарные затраты на изготовление ненапрягаемой арматуры (сеток, каркасов, отдельных стержней, монтажных петель) и трудоемкость ее изготовления;
Сн и Тн - соответственно суммарные затраты на заготовку элементов напрягаемой арматуры (стержней, проволоки, прядей, струнопакетов, канатов и т.п.) и трудоемкость их заготовки;
Сд и Тд - соответственно себестоимость и трудоемкость изготовления закладных деталей;
Су и Ту - соответственно себестоимость и трудоемкость укладки элементов ненапрягаемой арматуры и закладных деталей в формы (опалубку);
Сн.н и Тн.н - соответственно себестоимость и трудоемкость комплекса работ по натяжению напрягаемой арматуры;
Сф и Тф - соответственно себестоимость и трудоемкость формования изделий;
Со - затраты на содержание и эксплуатацию форм для данного изделия;
Сп - себестоимость пара для тепловой обработки изделия;
Сз.г и Тз.г - соответственно суммарная стоимость и трудоемкость операций по повышению заводской готовности.
2.2. Расчетная производственная себестоимость Сс.к и трудовые затраты Тк на изготовление одной конструкции определяются в следующей последовательности:
а) в соответствии с рекомендациями
табл. 2 устанавливается технология и характеристика бетонной смеси как для эталонной конструкции, так и для конструкций, относящихся к вариантам новых решений;
б) на основании этих рекомендаций с использованием нормативов
раздела 3 определяются отдельные составляющие перечисленных показателей, которые затем суммируются по
формулам (1) и
(2).
СЕБЕСТОИМОСТЬ БЕТОННОЙ СМЕСИ, ТРУДОВЫЕ ЗАТРАТЫ
НА ЕЕ ПРИГОТОВЛЕНИЕ И РАСХОД ЦЕМЕНТА
2.3. Себестоимость бетонной смеси Сб определяется по формуле

, (3)
а трудовые затраты на ее приготовление Тб определяются по формуле

, (4)
где

- суммарный объем бетона конструкции (в плотном теле), м
3;
Кб - коэффициент расхода бетонной смеси, учитывающий вытеснение части бетона арматурой, потери и отходы бетонной смеси в процессе укладки (см.
табл. 3);
Цб - себестоимость 1 м
3 бетонной смеси (раствора), руб., франко-раздаточный бункер (бадья) в месте укладки смеси в формы в зависимости от вида бетона, марки бетона, наибольшей крупности заполнителя, консистенции бетонной смеси и отпускной прочности бетона (см.
табл. 4 -
7);
Чб - трудовые затраты на приготовление 1 м
3 бетонной смеси, чел.-ч (см.
табл. 8 и
9).
2.4. Расход цемента Вц определяется по формуле
Вц = БиКбНц, (5)
где
Нц - расход цемента для приготовления 1 м
3 бетонной смеси (см.
табл. 10 -
13), кг.
2.5. Себестоимость <1> 1 м3 бетонной смеси (франко-формовочный цех) включает цену материалов с учетом их доставки на предприятие сборного железобетона, затраты на разгрузку вяжущих и заполнителей, складирование, сушку и помол их в необходимых случаях, подачу вяжущего и заполнителей в бетоносмесительные установки, приготовление бетонной смеси и ее доставку к месту укладки в формы.
--------------------------------
<1> Здесь и далее состав работ, предусмотренный нормативами себестоимости, является аналогичным и для нормативов трудоемкости.
В себестоимости бетонной смеси учтены также потери вяжущего, имеющие место в процессе его транспортировки, хранения и перегрузок до бетоносмесительной установки включительно, в размере 3%.
ЗАТРАТЫ НА СТАЛЬ, СЕБЕСТОИМОСТЬ И ТРУДОЕМКОСТЬ ИЗГОТОВЛЕНИЯ
АРМАТУРНЫХ ЭЛЕМЕНТОВ И ЗАКЛАДНЫХ ДЕТАЛЕЙ
2.6. Общие затраты на сталь Сст подсчитываются как суммарная стоимость всех видов стали, расходуемой на изготовление арматуры (ненапрягаемой и напрягаемой) и закладных деталей

, (6)
где

- масса стали данного класса и диаметра по спецификации к рабочим чертежам конструкции, кг;
Кст - коэффициент расхода стали, учитывающий отходы стали в процессе ее переработки в арматуру и закладные детали (см.
табл. 14);
Цст - цена 1 т стали по классам, диаметрам и назначению франко-склад металла предприятия сборного железобетона (см.
табл. 15 -
18); включает в себя оптовую цену стали, затраты на ее доставку до предприятия, на разгрузку и складирование.
2.7. К ненапрягаемой арматуре относится круглая сталь гладкая и периодического профиля классов А-I, А-II, Ас-II, А-III и проволока классов В-I и Вр-I, входящая в состав плоских и пространственных каркасов и сеток (а также в виде отдельных стержней и монтажных петель), и прокатная сталь (листовая, полосовая, угловая и фасонная), входящая в состав рабочей арматуры каркасов.
2.8. К напрягаемой арматуре относится сталь периодического профиля классов А-IIIв, А-IV, А-V, Ат-IV, Ат-V, Ат-VI, Атп-V, Атп-VI, высокопрочная проволока гладкая В-II, периодического профиля Вр-II и канаты арматурные типа П и К.
2.9. К закладным деталям относятся все детали, выполняющие роль узловых соединений сборных конструкций, изготавливаемые из листовой и полосовой стали, уголков и тому подобных профилей проката с приваренными к ним анкерными стержнями из арматурной стали (или без них), хотя бы одна из поверхностей которых не покрыта бетоном. Кроме того, к закладным деталям относятся также анкерные болты, шайбы, пробки, трубки и тому подобные металлические элементы, оставляемые в теле бетона.
2.10. Себестоимость изготовления элементов (изделий) ненапрягаемой арматуры Са определяется по формуле

, (7)
а трудовые затраты на их изготовление Та определяются по формуле

, (8)
где

- масса каждого арматурного изделия по их видам (отдельные стержни, сетки и каркасы плоские, каркасы пространственные), кг;
Ца и
Ча - соответственно себестоимость, руб., и трудоемкость, чел.-ч, изготовления 1 т ненапрягаемых арматурных элементов по их видам и группам по массе (см.
табл. 21 -
24).
Себестоимость Ца и трудоемкость Ча изготовления 1 т ненапрягаемых арматурных элементов включает затраты на доставку стали от общезаводского (или цехового) склада металла предприятия до рабочих мест в арматурном цехе, сортировку, правку, резку, гнутье, сборку и сварку сеток и каркасов, а также доставку готовых полуфабрикатов из арматурного цеха к месту укладки в формы.
2.11. Себестоимость заготовки элементов напрягаемой арматуры Сн определяется по формуле

, (9)
а трудовые затраты на ее заготовку Тн определяются по формуле

, (10)
где Вн - масса напрягаемой арматуры, кг;
Цн и
Чн - соответственно себестоимость, руб., и трудоемкость, чел.-ч, заготовки 1 т напрягаемой арматуры по ее классам, длине и принятой технологии заготовки (см.
табл. 25 -
27).
Себестоимость Цн и трудоемкость Чн заготовки 1 т напрягаемой арматуры включают затраты на доставку стали со склада до рабочего места в арматурном (или формовочном) цехе, сортировку, протяжку, отмеривание и резку требуемой длины (включая стыковку для стержневой арматуры) с выполнением операций по созданию анкерных устройств на концах арматурных элементов.
2.12. Себестоимость изготовления закладных деталей Сд определяется по формуле

, (11)
а трудовые затраты на их изготовление Тд находим по формуле

, (12)
где

- масса, кг, каждого типа закладных деталей по классификации
табл. 28 при неизменном их решении в сравниваемых вариантах конструкций или масса каждого вида и группы по массе закладных деталей
Вд по классификации
табл. 29 при изменяющихся их решениях в сравниваемых вариантах конструкций;
Цд и
Чд - соответственно себестоимость, руб., и трудоемкость, чел.-ч, изготовления 1 т закладных деталей по их видам (см.
табл. 28) или по видовым группам в зависимости от массы деталей (см.
табл. 29).
Себестоимость Цд и трудоемкость Чд изготовления 1 т закладных деталей включает затраты на доставку стали со склада до рабочего места в цехе - изготовителе деталей, сортировку, раскрой, резку, сверление, сварку, приварку анкерных стержней, их гибку (в необходимых случаях) и подачу готовых деталей к месту их укладки в формы.
ОПРЕДЕЛЕНИЕ СЕБЕСТОИМОСТИ И ТРУДОЕМКОСТИ РАБОТ И ОПЕРАЦИЙ,
ОСУЩЕСТВЛЯЕМЫХ В ФОРМОВОЧНОМ ЦЕХЕ
2.13. В состав работ и затрат, осуществляемых в формовочном цехе, входят следующие:
укладка ненапрягаемой арматуры и закладных деталей в формы;
натяжение напрягаемой арматуры;
формование изделий;
содержание и эксплуатация форм;
пар для тепловой обработки изделий;
повышение заводской готовности изделий.
2.14. Себестоимость укладки ненапрягаемой арматуры и закладных деталей в форму Су определяется по формуле

, (13)
а трудовые затраты на укладку Ту определяются по формуле

, (14)
где Ва - общая масса ненапрягаемой арматуры в конструкции, кг;
Вд - общая масса закладных деталей в конструкции, кг;
Цу и
Чу - соответственно себестоимость, руб., и трудоемкость чел.-ч укладки 1 т ненапрягаемой арматуры и закладных деталей в форму (см.
табл. 30).
Себестоимость Цу и трудоемкость Чу укладки 1 т ненапрягаемой арматуры и закладных деталей включают затраты на комплекс операций по укладке в форму арматурных элементов и изделий (сеток, каркасов, отдельных стержней и монтажных петель) и установку закладных деталей с помощью крана или вручную с закреплением укладываемых элементов в проектное положение электросваркой (прихватка) или вязкой с установкой в необходимых случаях фиксирующих устройств (включая их стоимость).
2.15. Себестоимость натяжения напрягаемой арматуры Сн.н рассчитывается по формуле

, (15)
а трудовые затраты на натяжение Тн.н определяются по формуле

, (16)
где Вн - масса напрягаемой арматуры, кг;
Цн.н и
Чн.н - соответственно себестоимость, руб., и трудоемкость, чел.-ч, натяжения 1 т напрягаемой арматуры по классам и видам ее, а также по принятым способам натяжения (см.
табл. 31 -
33).
Себестоимость Цн.н и трудоемкость Чн.н натяжения 1 т напрягаемой арматуры включают затраты на транспортировку заготовленных для натяжения арматурных элементов к месту укладки, натяжение на упоры стендов или форм (поддонов) гидродомкратов, натяжение электротермическим способом или методом непрерывной намотки, включая закладку арматуры в зажимные устройства, а также отпуск натяжения.
2.16. Себестоимость формования изделий Сф определяется по формуле
Сф = БиЦф, (17)
а трудовые затраты на формование Тф определяются по формуле
Тф = БиЧф, (18)
где Би - объем бетона в изделии в плотном теле, м3;
Цф и
Чф - соответственно себестоимость, руб., и трудоемкость, чел.-ч, формования 1 м
3 бетона в плотном теле (см.
табл. 34 -
42).
Себестоимость Цф и трудоемкость Чф формования 1 м3 включает затраты на подготовку и установку форм, их смазку, укладку бетонной смеси, ее уплотнение, отделку поверхностей, транспортирование отформованного изделия в установки тепловой обработки, обслуживание этих установок, распалубку форм после тепловой обработки, операции затирки и доставку готовых изделий на склад.
2.17. Затраты на содержание форм (опалубки) Со определяются по формуле
Со = БиЦо, (19)
где
Цо - затраты на содержание стальных форм на 1 м
3 бетона в плотном теле (см.
табл. 43), руб.
Затраты на содержание стальных форм Цо включают расходы по амортизации и ремонту форм с учетом их плановой оборачиваемости в течение года.
2.18. Себестоимость пара на тепловую обработку изделий Сп определяется по формуле
Сп = БиЦп, (20)
где
Цп - себестоимость пара, приходящаяся на тепловую обработку 1 м
3 бетона изделия в плотном теле (см.
табл. 44), руб.
Себестоимость пара Цп включает затраты на получение тепловой энергии (пара), расходуемой на термовлажностную обработку в агрегатах ускоренного твердения и подогрев заполнителей в зимнее время, а также затраты на содержание коммуникаций по пароснабжению.
2.19. Себестоимость операций по повышению заводской готовности конструкций Сз.г определяется по формуле

, (21)
а трудовые затраты Тз.г определяются по формуле

, (22)
где

- сумма площадей поверхностей 1 конструкции при выполнении операций, повышающих ее заводскую готовность;
Цд.з и
Чд.з - соответственно стоимость, руб., и трудоемкость, чел.-ч, операций по повышению заводской готовности изделий (см.
табл. 45).
Себестоимость операций по повышению заводской готовности конструкций Сз.г включает затраты по перемещению конструкции на сборочный или отделочный стенд (пост), укладку дополнительных материалов (пароизоляции и др.). Себестоимость включает также стоимость материалов с их раскроем, укладкой и закреплением.
ОПРЕДЕЛЕНИЕ ПОЛНОЙ РАСЧЕТНОЙ СТОИМОСТИ КОНСТРУКЦИЙ
И РАСЧЕТНОЙ СЕБЕСТОИМОСТИ КОНСТРУКЦИЙ В ДЕЛЕ
2.20. При расчетах, связанных с определением экономической эффективности при строительстве и эксплуатации конструкций, возникает необходимость определения полной расчетной стоимости конструкций и расчетной себестоимости конструкций в деле.
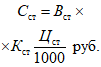
2.21. Полная расчетная стоимость конструкций Ск для группы районов III территориального пояса Прейскуранта N 06-08 определяется по формуле
Ск =
Сс.к·1,145 <*>, (23)
--------------------------------
<*> При необходимости определения расчетной стоимости конструкций
Ск для районов, относящихся к другим территориальным поясам, допускается введение в
формулу (23) поясного коэффициента
Ктер, представляющего отношение оптовых цен на аналогичные или родственные анализируемым конструкциям изделия в рассматриваемом и III территориальном поясе Прейскуранта N 06-08.
где 1,145 - коэффициент, учитывающий среднеотраслевую рентабельность и расходы по реализации конструкций (внепроизводственные расходы).
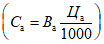
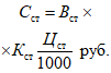
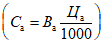
2.22. Расчетная стоимость конструкций в деле (в законченном сооружении) Ск.д определяется по формуле

, (24)
где Ст - затраты по транспортировке конструкций от завода-изготовителя до стройплощадки, определяемые по формуле
Ст = БиЦт; (25)
Цт - норматив затрат на транспортировку до стройплощадки 1 м
3 сборных железобетонных конструкций в плотном теле, включающий тарифную ставку и экспедиционные сборы за перевозку конструкции автомобильным или железнодорожным транспортом, затраты по выгрузке конструкций с транспортных средств и стоимость реквизита (см.
табл. 46 и
47), руб.;
1,02 - коэффициент, учитывающий заготовительно-складские расходы строительства;
См - затраты на установку (монтаж) конструкций в сооружении, определяемые по сборникам "Единых районных единичных расценок на строительные работы" (ЕРЕР) N 30 - 39 и дополнений к ним, руб.;
Кз - коэффициент зимних удорожаний, определяемый на основании "Временных норм дополнительных затрат при производстве строительно-монтажных работ в зимнее время (ВНДЗ-69)"; для сборных и сборно-монолитных конструкций, в которых объем бетона на монтаж не превышает 15% объема сборных конструкций, Кз может быть принят равным 1,025; при объемах этих работ свыше указанного Кз должен определяться по временным нормам в соответствии с видами и объемами сопутствующих работ, ведущихся в зимнее время и расчетной продолжительностью зимнего периода для рассматриваемой зоны;

- изменяющаяся часть накладных расходов строительства, определяемая по формуле

, (26)
где 0,6 - сумма накладных расходов на 1 чел.-дн. трудоемкости строительно-монтажных работ, руб.;
Чм - трудоемкость работ на стройплощадке, связанных с монтажом конструкций, чел.-дн.;
0,15 - сумма накладных расходов на 1 руб. затрат по основной заработной плате строительно-монтажных работ, руб.;
Зм - основная заработная плата рабочих строительства на монтаже конструкций;
0,082 - процент условно-постоянной части среднего уровня накладных расходов в строительстве (50% уровня накладных расходов, принимаемых в размере 16,5% суммы прямых затрат);
Ск.п - прямые затраты себестоимости конструкций в деле, равные выражению:
Такой расчет Ск.п рекомендуется выполнять при сопоставлении вариантов сооружений (или их фрагментов), не имеющих отличий по срокам их строительства.
При сопоставлении конструкций, применение которых влияет на продолжительность возведения сооружений, в вариант расчета

для нового решения необходимо к показателю
Ск.п дополнительно вводить коэффициент
Кс, определяемый по формуле

, (27)
где Т1 - срок (в годах) продолжительности возведения сооружения (комплекса конструкций) для эталонного решения;
Т2 - то же, при новом решении конструкций.
Допускается определение показателя

сразу ко всему комплекту конструктивных элементов, входящих в состав сооружения или его фрагмента.
Примеры определения расчетной себестоимости, стоимости и трудоемкости изготовления отдельных видов конструкций приводятся в
приложении к настоящему Руководству.
Таблица 2
Технология изготовления конструкций и параметры
бетонной смеси (для тяжелого и легкого бетона)
Вид конструкций | Технология изготовления | Максимальная крупность заполнителя, мм | Консистенция бетонной смеси |
жесткость, с | подвижность, см |
Блоки пролетных строений мостов и путепроводов | Стендовая | 20 | - | 4 - 6 |
Блоки массивных опор мостов | " | 20 | - | 4 - 6 |
Плиты проезжей части сталебетонных мостов | " | 20 | - | 4 - 6 |
Плиты ребристые настилов пассажирских платформ и других сооружений | Агрегатно-поточная | 10 | - | 1 - 3 |
Плиты гладкие (плоские) покрытий автодорог, аэродромов, покрытий кабельных каналов, тоннелей, укрепления откосов земляного полотна и тому подобных сооружений | То же | 20 | 20 - 40 | - |
Плиты анкерные и опорные опор контактной сети, автоблокировки, линий связи и ЛЭП | " | 20 | - | 1 - 3 |
Плиты и блоки берегоукрепления и облицовки набережных | " | 20 | - | 1 - 3 |
Плиты корытообразные (лотки) | " | 10 | 20 - 40 | - |
Плиты типа 2Т и П-образные различных сооружений | " | 20 | - | 1 - 3 |
Объемные элементы пешеходных тоннелей, блоки коллекторов, коробов коммуникаций | Стендовая | 20 | - | 4 - 6 |
Блоки-тюбинги (гладкие и ребристые) перегонных тоннелей | Агрегатно-поточная | 20 | - | 1 - 3 |
Линейные конструкции стоечных и рамных мостов, эстакад, путепроводов, платформ, тоннелей, набережных, дорог и тому подобных сооружений: | | | | |
простого, профиля (прямоугольного, трапецеидального ромбовидного): балки, ригели, сваи, колонны, прогоны, стойки, столбики, приставки, брусья и другие элементы длиной, м: | | | | |
до 9 | Агрегатно-поточная | 20 | 20 - 40 | - |
9 и более | Стендовая | 20 | - | |
сложного профиля (таврового, двутаврового, цилиндрического, переменного сечения и т.п.): балки, ригели, колонны, стойки, рамы опор, шпунт | Стендовая | 20 | - | |
Стойки центрифугированные, конические опор контактной сети, автоблокировки, связи, низковольтных ЛЭП, мачты светофоров длиной до 17 м | Агрегатно-поточная (центрифугирование) | 20 | - | 1 - 3 |
Стойки центрифугированные конические и цилиндрические опор высоковольтных ЛЭП длиной свыше 17 м (унифицированные) | Агрегатно-поточная (центрифугирование) | 20 | - | 1 - 3 |
Стойки вибрированные опор высоковольтных ЛЭП длиной до 17 м (унифицированные) | Агрегатно-поточная | 20 | - | 1 - 3 |
Сваи-оболочки | То же | 20 | - | 1 - 3 |
Звенья водопропускных труб: | | | | |
круглых | " | 20 | - | 1 - 3 |
прямоугольных | Стендовая | 20 | - | 4 - 6 |
Шпалы железнодорожные | Агрегатно-поточная | 20 | 20 - 40 | - |
Шпалолежни и подрельсовые основания | То же | 20 | - | 1 - 3 |
Блоки и плиты фундаментные: | | | | |
прямоугольные и трапецеидального сечения | Агрегатно-поточная | 40 | 20 - 40 | - |
стаканные, таврового, двутаврового сечения и другой сложной конфигурации | То же | 20 | - | 1 - 3 |
Панели армоцементные кровельные для навесов платформ и павильонов | " | - | - | - |
--------------------------------
<*> При насыщении линейных изделий арматурой 150 кг/м
3 и выше рекомендуется применять консистенцию бетонной смеси подвижностью 4 - 6 см.
3. НОРМАТИВЫ ДЛЯ РАСЧЕТА СЕБЕСТОИМОСТИ
И ТРУДОЕМКОСТИ ИЗГОТОВЛЕНИЯ КОНСТРУКЦИЙ
3.1. Нормативы установлены в результате соответствующей статистической обработки большого фактического материала предприятий отрасли о себестоимости и рентабельности продукции сборного железобетона, товарного бетона и арматуры.
3.2. Нормативы себестоимости учитывают весь комплекс операций и необходимых затрат.
Нормативы охватывают всю сумму расходов, включаемых в заводскую себестоимость: материалы (в стоимости стали и бетонной смеси и операций по повышению заводской готовности изделий), основную и дополнительную заработную плату производственных рабочих, отчисления соцстраху от заработной платы рабочих, затраты на содержание и эксплуатацию оборудования, цеховые и общезаводские расходы.
3.3. Все нормативы определены для условий серийного изготовления изделий.
Таблица 3
Коэффициент расхода бетонной смеси Кб
Характеристика бетона и изделий | Расход стали, кг/м3 |
до 25 | 26 - 50 | 51 - 150 | 151 - 250 | 251 - 350 | 351 и более |
Тяжелый бетон и легкий бетон на пористых заполнителях: | | | | | | |
для всех изделий, кроме ажурных | 1,03 | 1,02 | 1,01 | 1 | 0,99 | 0,98 |
для ажурных изделий (решетки, ограды и т.п.) | 1,06 | 1,05 | 1,04 | 1,03 | 1,02 | 1,01 |
Армоцемент | 1,03 | 1,02 | 1,01 | 1 | 0,99 | 0,98 |
Примечания: 1. Расход стали на 1 м3 бетона включает массу всей напрягаемой и ненапрягаемой арматуры и закладных деталей.
2. При подсчете расхода стали на 1 м3 бетона объем фактурного слоя не учитывается.
3. Для раствора фактурных слоев Кб = 1,03.
Таблица 4
Себестоимость 1 м3 бетонной смеси Цб,
руб.,
на тяжелом заполнителе
Марка бетона | Наибольшая крупность заполнителя, мм | Для изделий с обычным армированием при отпускной прочности бетона, % |
70 | 100 |
Консистенция бетонной смеси |
подвижность 1 см и более | жесткость 20 см и более | подвижность 1 см и более | жесткость 20 с и более |
M100 | 10 | 14,1 | 14,1 | - | - |
20 | 13,5 | 13,5 | - | - |
40 | 12,9 | 12,9 | - | - |
M150 | 10 | 14,8 | 14,8 | - | - |
20 | 14,2 | 14,2 | - | - |
40 | 13,6 | 13,6 | - | - |
M200 | 10 | 15,7 | 15,6 | 17 | 16,9 |
20 | 15 | 14,9 | 16,2 | 16,1 |
40 | 14,4 | 14,3 | 15,4 | 15,2 |
M250 | 10 | 16,7 | 16,4 | 18,4 | 18,3 |
20 | 16 | 15,7 | 17,6 | 17,4 |
40 | 15,3 | 15,1 | 16,7 | 16,5 |
M300 | 10 | 17,9 | 17,5 | 20,2 | 20 |
20 | 17,1 | 16,8 | 19,3 | 19 |
40 | 16,4 | 16,1 | 18,4 | 18,1 |
M350 | 10 | 19,2 | 18,8 | 21,9 | 21,6 |
20 | 18,4 | 18 | 21 | 20,6 |
40 | 17,6 | 17,3 | 20 | 19,7 |
M400 | 10 | 20,5 | 20,1 | 23,6 | 23,4 |
20 | 19,7 | 19,3 | 22,6 | 22,0 |
40 | 18,8 | 18,6 | 21,7 | 21,2 |
M450 | 10 | 22,2 | 21,8 | 25,2 | 25,3 |
20 | 21,2 | 20,8 | 24,2 | 24,3 |
40 | 20,3 | 19,9 | 23,3 | 23,5 |
M500 | 10 | 23,8 | 23,4 | 26,9 | 27,5 |
20 | 22,8 | 22,4 | 25,8 | 26,4 |
40 | 21,7 | 21,4 | 25 | 25 |
M600 | 10 | 27,3 | 26,8 | - | - |
20 | 26,1 | 25,7 | - | - |
40 | 24,9 | 24,5 | - | - |
M700 | 10 | - | 30,6 | - | - |
20 | - | 29,3 | - | - |
M800 | 10 | - | 34,6 | - | - |
20 | - | 33,2 | - | - |
Примечания: 1. Отпускная прочность бетона принимается на основании указаний пояснительных записок к рабочим чертежам конструкций, ГОСТов или технических условий.
При отсутствии данных об отпускной прочности изделий в указанных документах следует применять нормативы для 70%-ной прочности (соблюдая условия сопоставимости вариантов).
2 Себестоимость бетонной смеси для предварительно-напряженных конструкций определяется по нормативам настоящей таблицы с применением коэффициента 1,03.
3. Нормативы настоящей таблицы рассчитаны для бетонных смесей при следующих проектных марках бетона в возрасте 28 суток:
По прочности при сжатии M | По морозостойкости Мрз | По водонепроницаемости B |
До 200 | 50 | - |
250 | 100 | 2 |
300 | 150 | 2 |
350 | 150 | 4 |
400 и более | 200 | 4 |
4. Когда рабочими чертежами конструкций из тяжелых бетонов с маркой до M500 предъявляются более высокие требования по морозостойкости и водонепроницаемости, чем названные выше для соответствующих марок по прочности на сжатие, следует применять надбавки к нормативам данной таблицы за 1 м3 бетона в плотном теле в следующих размерах:
а) по морозостойкости за каждые полные 50 циклов переменного замораживания и оттаивания (за неполные 50 циклов пересчет не производится):
при Мрз до 150 циклов - 0,43 руб.;
" Мрз 200 и более циклов - 0,85 руб.;
б) по водонепроницаемости за каждые две единицы давления воды:
для бетонов с маркой до M200 - 1,3 руб.;
то же, M250 и более - 0,65 руб.
При применении надбавки по морозостойкости пересчет по водонепроницаемости не производится. За пониженные требования по морозостойкости и водонепроницаемости по сравнению с приведенными выше скидки не применяются.
Таблица 5
Себестоимость Цб, руб., 1 м3 гидротехнического бетона БГТ
на тяжелом заполнителе с подвижностью смеси 1 см и более
Марка бетона | Наибольшая крупность заполнителя, мм | Для изделий при отпускной прочности бетона, % |
70 | 100 |
M100 | 10 | 17,5 | - |
20 | 16,6 | - |
40 | 15,6 | - |
M150 | 10 | 17,9 | - |
20 | 16,9 | - |
40 | 15,9 | - |
M200 | 10 | 19,7 | 20,7 |
20 | 18,6 | 19,5 |
40 | 17,6 | 18,5 |
M250 | 10 | 21 | 22,7 |
20 | 19,9 | 21,5 |
40 | 18,9 | 20,4 |
M300 | 10 | 22,4 | 24,6 |
20 | 21,2 | 23,3 |
40 | 19,9 | 21,9 |
M350 | 10 | 23,7 | 26,3 |
20 | 22,5 | 25 |
40 | 21,3 | 23,6 |
M400 | 10 | 25 | 28 |
20 | 24,1 | 27 |
40 | 22,8 | 25,5 |
M450 | 10 | 26,7 | 29,7 |
20 | 25,8 | 28,6 |
40 | 24,5 | 27,1 |
M500 | 10 | 28,5 | 31,3 |
20 | 27,5 | 30,2 |
40 | 26,2 | 28,8 |
Примечания: 1. Нормативы настоящей таблицы рассчитаны при следующих марках бетона:
По прочности на сжатие M (180 сут) | По морозостойкости Мрз (28 сут) | По водонепроницаемости B (180 сут) |
150 | 100 | 4 |
200 | 150 | 6 |
250 и 300 | 200 | 8 |
350 и более | 300 | 12 |
2. Когда рабочими чертежами конструкций из гидротехнических бетонов предъявляются более высокие требования по морозостойкости и водонепроницаемости, чем названные выше для соответствующих марок по прочности на сжатие, следует применять надбавки к нормативам данной таблицы за 1 м3 бетона в плотном теле в размерах:
а) по морозостойкости за каждые полные 50 циклов переменного замораживания и оттаивания - 0,45 руб.;
б) по водонепроницаемости за каждые две единицы давления воды для бетонов с маркой по прочности до M200 - 1,3 руб., M250 и более - 0,65 руб.
Таблица 6
Себестоимость 1 м3 легкобетонной смеси Цб, руб.,
на керамзитовом гравии для конструкций с обычным
армированием и отпускной 70%-ной прочностью бетона
Марка бетона | Объемная масса бетона, кг/м3, до | Консистенция бетонной смеси |
подвижность 1 см и более | жесткость 20 с и более |
M150 | 1400 | 19,8 | 19,4 |
1500 | 18,9 | 18,6 |
1600 | 18,3 | 18,2 |
M200 | 1400 | 20,6 | 19,9 |
1500 | 20 | 19,4 |
1600 | 19,3 | 18,8 |
1700 | 18,8 | 18,4 |
M250 | 1500 | 20,6 | 19,7 |
1600 | 20,1 | 19,2 |
1700 | 19,5 | 18,8 |
1800 | 18,9 | 18,2 |
M300 | 1600 | 21,4 | 20,7 |
1700 | 20,8 | 20,1 |
1800 | 20,2 | 19,5 |
M350 | 1700 | 23,5 | 22,8 |
1800 | 22,7 | 22,4 |
M400 | 1700 | 25,1 | 24,3 |
1800 | 24,5 | 23,8 |
M450 | 1700 | 27,1 | 26,1 |
1800 | 26,5 | 25,5 |
M500 | 1700 | 29,1 | 27,7 |
1800 | 28,6 | 27,2 |
Примечание. Себестоимость бетонной смеси для предварительно напряженных конструкций определяется по нормативам настоящей таблицы с применением коэффициента 1,03.
Таблица 7
Себестоимость 1 м3 мелкозернистых бетонных смесей
и растворов Цб или Цр, руб.
Вид бетонной смеси | Марка бетона и раствора, до |
M100 | M150 | M200 | M300 | M400 | M500 | M600 |
Бетон для армоцементных конструкций | - | - | - | 18,4 | 21 | 23,2 | 26,6 |
Цементно-песчаный раствор для фактурных слоев | 11 | 12,4 | - | - | - | - | - |
Таблица 8
Трудоемкость приготовления 1 м3 бетонной смеси Чб, чел.-ч,
на тяжелом заполнителе (включая БГТ) для изделий
с 70%-ной и 100%-ной отпускной прочностью
Марка бетона | Наибольшая крупность заполнителя, мм | Консистенция бетонной смеси | Гидротехнический бетон (БГТ) |
подвижность 1 см и более | жесткость 20 с и более |
M100 - 400 | 10 | 1,04 | 1,13 | 1,25 |
20 | 1 | 1,13 | 1,2 |
40 | 0,91 | 1,13 | 1,09 |
M500 - 600 | 10 | 1,04 | 1,32 | 1,25 |
20 | 1 | 1,32 | 1,2 |
40 | 0,91 | 1,32 | 1,09 |
M700 - 800 | 10 | - | 1,41 | - |
20 | - | 1,41 | - |
40 | - | 1,41 | - |
Таблица 9
Трудоемкость приготовления 1 м3 легких
и мелкозернистых бетонов Чб, чел.-ч
Марка бетона | Конструктивный керамзитобетон | Мелкозернистый бетон для армоцементных конструкций |
Консистенция бетонной смеси |
подвижность 1 см и более | жесткость 20 с и более |
M150 - 200 | 1,1 | 1,29 | - |
M250 - 400 | 1,26 | 1,43 | 1,41 |
M500 и более | 1,41 | 1,6 | 1,6 |
Примечание. Трудоемкость приготовления 1 м3 цементно-песчаного раствора для фактурных слоев Цр рекомендуется принимать равной 1,1 чел.-ч.
Таблица 10
Расход цемента Нц, кг, на 1 м3 бетона
(на тяжелом заполнителе) и раствора
Марка бетона | Марка цемента | Наибольшая крупность заполнителя, мм | Расход цемента при консистенции бетонной смеси |
подвижность, см | жесткость, с |
4 - 6 | 1 - 3 | 20 - 40 | 50 - 80 |
А. Для изделий с обычным армированием при отпускной прочности бетона, равной 70%-ной проектной |
M100 | M300 | 10 | 265 | 250 | 230 | 220 |
20 | 240 | 225 | 210 | 200 |
40 | 225 | 210 | 195 | 185 |
M150 | M300 | 10 | 315 | 295 | 280 | 260 |
20 | 285 | 270 | 255 | 235 |
40 | 265 | 250 | 235 | 220 |
M200 | M400 | 10 | 325 | 310 | 290 | 270 |
20 | 295 | 280 | 265 | 245 |
40 | 275 | 260 | 245 | 230 |
M250 | M400 | 10 | 375 | 350 | 330 | 305 |
20 | 340 | 320 | 300 | 280 |
| 40 | 315 | 295 | 280 | 260 |
M300 | M400 | 10 | 425 | 395 | 375 | 345 |
| 20 | 385 | 360 | 340 | 315 |
40 | 360 | 335 | 315 | 290 |
M350 | M400 | 10 | 470 | 445 | 425 | 390 |
20 | 430 | 405 | 385 | 355 |
40 | 400 | 375 | 360 | 330 |
M400 | M500 | 10 | 460 | 435 | 410 | 385 |
20 | 420 | 395 | 375 | 350 |
40 | 390 | 365 | 350 | 325 |
M450 | M500 | 10 | 520 | 490 | 460 | 430 |
20 | 475 | 445 | 420 | 390 |
40 | 440 | 415 | 390 | 360 |
M500 | M500 | 10 | 640 | 595 | 550 | 495 |
20 | 580 | 540 | 500 | 450 |
40 | 540 | 500 | 465 | 420 |
M600 | M600 | 10 | 695 | 669 | 621 | 562 |
20 | 650 | 625 | 580 | 525 |
40 | 605 | 581 | 540 | 488 |
M700 | M700 | 10 | - | - | 680 | 630 |
20 | - | - | 640 | 590 |
40 | - | - | - | - |
M800 | M800 | 10 | - | - | 740 | 680 |
20 | - | - | 700 | 640 |
Б. Для изделий с обычным армированием при отпускной прочности бетона, равной 100%-ной проектной |
M150 | M400 | 10 | 330 | 315 | 300 | 275 |
20 | 300 | 285 | 270 | 250 |
40 | 280 | 265 | 250 | 230 |
M200 | M400 | 10 | 395 | 375 | 350 | 330 |
20 | 360 | 340 | 320 | 300 |
40 | 335 | 315 | 300 | 280 |
M250 | M500 | 10 | 462 | 435 | 410 | 385 |
20 | 420 | 395 | 375 | 350 |
40 | 390 | 365 | 350 | 325 |
M300 | M500 | 10 | 475 | 445 | 425 | 390 |
20 | 430 | 405 | 385 | 355 |
40 | 400 | 375 | 360 | 330 |
M350 | M500 | 10 | 550 | 510 | 485 | 445 |
20 | 500 | 470 | 440 | 405 |
40 | 465 | 430 | 410 | 375 |
M400 | M500 | 10 | 640 | 600 | 555 | 500 |
20 | 600 | 560 | 520 | 470 |
40 | 570 | 530 | 495 | 445 |
M450 | M500 | 10 | - | - | 640 | 590 |
20 | - | - | 600 | 550 |
40 | - | - | 570 | 520 |
M500 | M600 | 10 | - | - | 620 | 555 |
20 | - | - | 580 | 520 |
40 | - | - | 550 | 495 |
Примечание. При определении расхода цемента для предварительно-напряженных конструкций следует применять коэффициент 1,08.
Таблица 11
Расход цемента Нц, кг, на 1 м3
гидротехнического бетона (БГТ)
Марка бетона | Марка цемента | Наибольшая крупность заполнителя, мм | Для изделий при отпускной прочности бетона, % |
70 | 100 |
M100 | M300 | 10 | 365 | - |
20 | 330 | - |
40 | 295 | - |
M150 | M300 | 10 | 395 | - |
20 | 360 | - |
40 | 325 | - |
M200 | M100 | 10 | 430 | 490 |
20 | 390 | 450 |
40 | 350 | 415 |
M250 | M400 | 10 | 460 | 530 |
20 | 420 | 490 |
40 | 380 | 455 |
M300 | M400 | 10 | 490 | 590 |
20 | 445 | 540 |
40 | 405 | 495 |
M350 | M500 | 10 | 475 | 580 |
20 | 440 | 550 |
40 | 405 | 510 |
M400 | M500 | 10 | 535 | 650 |
20 | 500 | 620 |
40 | 465 | 585 |
M450 | M500 | 10 | 605 | 670 |
20 | 565 | 630 |
40 | 525 | 600 |
M500 | M600 | 10 | 625 | 680 |
20 | 580 | 640 |
40 | 535 | 610 |
Таблица 12
Конструктивный керамзитобетон с отпускной 70%-ной
прочностью для изделий с обычным армированием
Проектная марка бетона | Марка цемента | Объемная масса бетона, кг/м3, до | Расход цемента, кг, при консистенции бетонной смеси |
подвижность 1 - 6 см | жесткость, с |
20 - 30 | 50 - 80 |
M150 | M400 | 1400 | 350 | 320 | 285 |
1500 | 320 | 295 | 255 |
1600 | 305 | 280 | 240 |
M200 | M400 | 1400 | 415 | 385 | 345 |
1500 | 390 | 360 | 315 |
1600 | 365 | 335 | 285 |
1700 | 345 | 315 | 265 |
M250 | M400 | 1500 | 440 | 420 | 385 |
1600 | 420 | 380 | 365 |
1700 | 395 | 360 | 345 |
1800 | 380 | 355 | 335 |
M300 | M400 | 1600 | 490 | 470 | 445 |
1700 | 475 | 450 | 430 |
1800 | 460 | 425 | 405 |
M350 | M500 | 1700 | 500 | 475 | 450 |
1800 | 485 | 440 | 420 |
M400 | M500 | 1700 | 550 | 500 | 460 |
1800 | 500 | 460 | 430 |
M450 | M500 | 1700 | 600 | 550 | 470 |
1800 | 565 | 520 | 440 |
M500 | M600 | 1700 | 625 | 570 | 485 |
1800 | 595 | 540 | 460 |
Примечание. При определении расхода цемента для предварительно-напряженных конструкций следует применять коэффициент 1,08.
Таблица 13
Мелкозернистые бетоны и растворы
Марка бетона, раствора | Марка цемента | Расход цемента, кг |
Бетон для армоцементных конструкций |
M300 | M300 | 700 |
M400 | M400 | 700 |
M500 | M500 | 700 |
M600 | M600 | 700 |
Цементно-песчаный раствор для фактурных слоев |
M100 | M400 | 350 |
M150 | M400 | 400 |
Таблица 14
Коэффициент расхода стали, учитывающий отходы
на ее переработку, Kст
Вид арматуры и изделий | Класс арматурной стали | Коэффициент Kст |
Ненапрягаемая, петли и стержни для закладных деталей | А-I | 1,01 |
А-II, Ас-II, А-III, В-I, Вр-I | 1,02 |
Напрягаемая | А-IIIв, А-IV (20ХГ2Ц), А-V, Атп-V и Атп-VI А-IV (80С), | 1,03 |
Ат-IV, Ат-V, Ат-VI В-II, Вр-II, | 1,06 |
канаты арматурные П1 x 7, К1 x 19, К1 x 3 и др. | 1,07 |
Сетки готовые, включая тканые | - | 1,03 |
Сортовой прокат и трубы для рабочей арматуры, закладных деталей и других элементов | - | 1,05 |
ЦЕНА АРМАТУРНОЙ И ПРОКАТНОЙ СТАЛИ
(ФРАНКО-СКЛАД ПРЕДПРИЯТИЯ ЖЕЛЕЗОБЕТОННЫХ ИЗДЕЛИЙ)
Цст, РУБ., ЗА 1 Т
Таблица 15
Стержневая горячекатаная арматура
Класс стали | Марка стали | Диаметр, мм |
10 | 12 | 14 | 16 | 18 | 20 | 22 | 25 - 28 | 32 и более |
А-I | Ст3 | 129 | 124 | 120 | 118 | 113 | 109 | 108 | 107 | 106 |
А-II | Ст5 | 132 | 127 | 124 | 122 | 116 | 112 | 111 | 110 | 109 |
Ас-II | 10ГТ | 153 | 149 | 144 | 142 | 137 | 133 | 132 | 131 | 130 |
А-III | 35ГС 18Г2С 25Г2С | | 137 | 133 | 130 | 128 | 123 | 118 | 117 | 116 | 115 |
А-IIIв | 35ГС | 151 | 144 | 139 | 136 | 122 | 122 | 121 | 120 | 118 |
А-IV | 20ХГ2Ц | 161 | 154 | 150 | 148 | 143 | 139 | 138 | 137 | 136 |
А-IV | 80С | 142 | 137 | 134 | 132 | 127 | - | - | - | - |
А-V | 23Х2Г2Т | 167 | 161 | 157 | 154 | 149 | 145 | 144 | - | - |
Ат-IV | - | 141 | 137 | 133 | 131 | 126 | 122 | 120 | 118 | 117 |
Ат-V | - | 147 | 148 | 139 | 137 | 133 | 128 | 127 | 125 | 124 |
Ат-VI | - | 162 | 156 | 150 | 148 | 143 | 139 | 138 | 136 | 135 |
Атп-V | - | 155 | 151 | 147 | 145 | 141 | 136 | 135 | 133 | 132 |
Атп-VI | - | 170 | 164 | 158 | 156 | 151 | 147 | 146 | 144 | 143 |
Примечания: 1. Для стали классов А-I и А-III диаметром до 10 мм цены принимать из таблицы:
Класс стали | Марка стали | Диаметр, мм |
до 7 | 8 | 9 |
А-I | - | 131 | 126 | 122 |
А-III | - | 141 | 136 | 132 |
2. Норматив цен для стали А-IIIв включает затраты по упрочнению вытяжкой на предприятии сборного железобетона. Норматив трудовых затрат следует применять по
примечанию к табл. 25.
3. В случае отсутствия в рабочих чертежах указаний о марке стали класса А-IV следует применять норматив по стали марки 20ХГ2Ц.
Таблица 16
Проволочная арматура и арматурные канаты
Класс стали | Проволочная арматура диаметром, мм |
3 | 4 | 5 - 8 |
В-I | 162 | 157 | 157 |
Вр-I | - | 165 | 165 |
В-II | 270 | 263 | 263 |
Вр-II | 275 | 268 | 268 |
Таблица 16а
Марка | Арматурные канаты диаметром, мм |
4,5 | 6 | 7,5 | 9 | 12 | 15 |
П1 x 7 | 312 | 304 | 299 | 297 | 296 | 295 |
Примечание. Для канатов К1 x 19 диаметром 14 мм принимать цену 299 руб., для канатов К1 x 3 диаметром 3 мм - 540 руб., а диаметром 3,5 мм - 490 руб. за 1 т.
Таблица 17
Сталь прокатная (листовая и фасонная)
Вид прокатной стали |
полосовая | толстолистовая | угловая неравнополочная | угловая равнополочная |
толщина ---------- ширина мм | цена, руб. | толщина, мм | цена, руб. | толщина ---------- ширина полки, мм | цена, руб. | толщина ---------- ширина полки, мм | цена, руб. |
5 - 6 ---------- 25 - 45 | 110,2 | 6 - 9 | 107,5 | 4 - 8 ---------- 63 - 80 | 108,6 | 4 - 9 ---------- 63 - 80 | 106,6 |
5 - 6 --------- 50 - 85 | 107,5 | 10 - 12 | 106,2 | 6 - 10 --------- 90 - 100 | 107,7 | 6 - 16 ---------- 90 - 100 | 105,7 |
5 - 6 --------- 90 - 200 | 103,5 | 13 - 20 | 107 | 7 - 14 --------- 125 - 160 | 105,7 | 7 - 20 ---------- 110 - 160 | 103,6 |
7 - 10 --------- 20 - 45 | 108,2 | 21 - 32 | 108,7 | 10 - 20 ---------- 180 - 250 | 102,6 | 11 - 30 ---------- 180 - 250 | 100,7 |
7 - 10 --------- 50 - 75 | 104,2 | - | - | - | - | - | - |
7 - 10 --------- 80 - 200 | 102,2 | - | - | - | - | - | - |
11 - 60 --------- 16 - 200 | 101,2 | - | - | - | - | - | - |
Примечания: 1. Нормативы на полосовую сталь предназначены для закладных деталей с шириной пластин до 200 мм. При ширине пластин более 200 мм рекомендуется применять нормативы на толстолистовую сталь.
2. Для двутавровых балок рекомендуется применять цену 108 руб., а для швеллеров - 110,7 руб. за 1 т.
Таблица 18
Трубы стальные газовые (черные, обыкновенные)
Диаметр, мм (в числителе - условный проход, в знаменателе - наружный) | Цена, руб. | Диаметр, мм (в числителе - условный проход, в знаменателе - наружный) | Цена, руб. |
20 ------ 26,8 | 166,8 | 70 - 90 --------------- 75,5 - 101,3 | 156,5 |
25 ------ 33,5 | 160,7 | 100 - 150 --------------- 114 - 165 | 155 |
32 - 50 ------------ 42,3 - 60 | 158,6 | | |
ЦЕНА СВАРНЫХ И ТКАНЫХ АРМАТУРНЫХ СЕТОК
(ФРАНКО-СКЛАД ПРЕДПРИЯТИЯ ЖЕЛЕЗОБЕТОННЫХ ИЗДЕЛИЙ)
Цст, руб., ЗА 1 т
Таблица 19
Арматурные сетки, поставляемые метизной промышленностью
для армирования железобетонных конструкций
Марка сетки | Ширина сеток, мм |
900 - 1700 | 2300 | 2500 | 2700 - 2900 | 3500 и более |
А. Сетки рулонные сварные из проволоки |
200/250/3/3 | 230,2 | 223,5 | 221,3 | 219 | 212,3 |
150/250/3/3 | 223,8 | 217,3 | 215,1 | 213 | 206,4 |
200/250/4/3 | 204,8 | 198,8 | 196,8 | 194,8 | 188,9 |
150/250/4/3 | 196,2 | 190,5 | 188,6 | 166,7 | 181 |
200/250/5/4 | 179,2 | 174 | 172,3 | 170,5 | 165,3 |
150/250/6/4 | 170,8 | 165,8 | 164,1 | 162,5 | 157,5 |
100/250/6/4 | 165,5 | 160,7 | 159,1 | 157,5 | 152,6 |
250/200/3/4 | 209 | 202,9 | 200,9 | 198,8 | 192,8 |
250/150/3/4 | 214,2 | 208 | 205,9 | 203,8 | 197,6 |
250/150/4/5 | 189,8 | 184,3 | 182,5 | 180,6 | 175,1 |
200/200/3/3 | 239,8 | 232,8 | 230,5 | 228,1 | 221,2 |
150/150/3/3 | 244 | 236,9 | 234,5 | 232,2 | 225,1 |
100/100/3/3 | 244 | 236,9 | 234,5 | 232,2 | 225,1 |
200/200/5/5 | 179,2 | 174 | 172,3 | 170,5 | 165,3 |
100/100/5/5 | 179,2 | 174 | 172,3 | 170,5 | 165,3 |
150/150/7/7 | 168,7 | 163,8 | 162,2 | 160,5 | 155,6 |
100/100/7/7 | 168,7 | 163,8 | 162,2 | 160,5 | 155,6 |
Б. Сетки плоские сварные из проволоки |
200/250/3/3 | 239,8 | 232,8 | 230,5 | 228,1 | 221,2 |
150/250/3/3 | 232,3 | 225,6 | 223,3 | 221 | 214,3 |
200/250/4/3 | 212,2 | 206 | 203,9 | 201,9 | 195,7 |
150/250/4/3 | 214,2 | 208 | 205,9 | 203,8 | 197,6 |
200/250/5/4 | 173,8 | 179,2 | 177,4 | 175,6 | 170,2 |
150/250/5/4 | 175 | 169,9 | 168,2 | 166,5 | 161,4 |
100/250/6/4 | 169,7 | 164,8 | 163,1 | 161,5 | 156,5 |
250/200/3/4 | 216,4 | 210,1 | 208 | 205,9 | 199,6 |
250/150/3/4 | 222,8 | 216,3 | 214,1 | 212 | 205,5 |
250/150/4/5 | 196,3 | 190,5 | 188,6 | 186,7 | 181 |
200/200/3/3 | 251,4 | 244,1 | 241,7 | 239,2 | 231,9 |
150/150/3/3 | 255,7 | 248,2 | 245,7 | 243,3 | 235,8 |
100/100/3/3 | 255,7 | 248,2 | 245,7 | 243,3 | 235,8 |
200/200/5/5 | 183,5 | 176,2 | 176,4 | 174,6 | 169,3 |
100/100/5/5 | 184,6 | 179,2 | 177,4 | 175,6 | 170,2 |
150/150/7/7 | 172,9 | 167,9 | 166,2 | 164,5 | 159,5 |
100/100/7/7 | 172,9 | 167,9 | 166,2 | 164,5 | 159,5 |
В. Сетки плоские сварные из горячекатаной стали класса А-III |
150/150/7/7 | 181,4 | 176,1 | 174,4 | 172,5 | 167,3 |
100/100/7/7 | 181,4 | 176,1 | 174,4 | 172,6 | 167,3 |
200/200/8/8 | 171,9 | 166,8 | 165,2 | 163,5 | 158,5 |
200/200/9/9 | 164,4 | 159,6 | 158 | 156,4 | 151,6 |
150/150/9/9 | 164,4 | 159,6 | 158 | 156,4 | 151,6 |
100/100/8/8 | 172,9 | 167,9 | 166,2 | 164,5 | 159,5 |
100/100/9/9 | 164,4 | 159,6 | 158 | 156,4 | 151,6 |
Таблица 20
Сетки проволочные тканые общего назначения
с квадратными ячейками для армоцементных конструкций
Номинальный размер ячейки в свету, мм | Номинальный диаметр проволоки, мм | Масса 1 м2 сетки, кг | Цена сеток, руб., за 1 т |
из стальной проволоки | из оцинкованной проволоки |
7 | 0,7 | 0,8 | 412,5 | 562,5 |
7 | 1 | 1,6 | 368,8 | 481,3 |
7 | 1,1 | 1,9 | 410,5 | 521,1 |
8 | 0,7 | 0,7 | 414,3 | 542,9 |
8 | 1,2 | 2,1 | 285,7 | 371,4 |
8 | 1,6 | 3,4 | 270,6 | 350 |
8 | 2 | 5,2 | 261,5 | 334,6 |
10 | 1 | 1,2 | 325 | 425 |
10 | 2 | 4,3 | 248,8 | 318,6 |
СЕБЕСТОИМОСТЬ
Ца, руб., И ТРУДОЕМКОСТЬ
Ча, чел.-ч,
ИЗГОТОВЛЕНИЯ 1 т НЕНАПРЯГАЕМЫХ АРМАТУРНЫХ ЭЛЕМЕНТОВ
Таблица 21
Масса отдельного изделия (сетки, и каркаса), кг, до | Себестоимость | Трудоемкость | Масса отдельного изделия (сетки и каркаса), кг, до | Себестоимость | Трудоемкость |
1 | | 3 | 4 | | 6 |
0,5 | 270 | 219 | 9 | 32 | 26 |
1 | 167 | 135 | 10 | 30 | 24 |
1,5 | 133 | 108 | 12 | 29 | 23 |
2 | 109 | 88 | 14 | 25 | 20,5 |
2,5 | 79 | 64 | 16 | 23 | 18,5 |
3 | 68 | 55 | 18 | 20,5 | 16,5 |
3,5 | 64 | 52 | 20 | 18 | 14,5 |
4 | 59 | 48 | 25 | 12 | 9,7 |
4,5 | 53 | 43 | 30 | 11 | 8,7 |
5 | 48 | 39 | 35 | 9,5 | 7,8 |
6 | 43 | 35 | 40 | 8,5 | 6,8 |
7 | 38 | 31 | 41 и более | | |
8 | 34 | 27 | | 7 | 5,8 |
Примечания: 1. Себестоимость и трудоемкость изготовления гнутых сеток и каркасов определяется по нормативам таблица с добавлением на каждый загиб, руб.:
При наибольшем диаметре сгибаемых стержней сетки и каркаса, мм | К себестоимости | К трудоемкости |
До 14 | 0,01 | 0,008 |
" 20 | 0,02 | 0,016 |
Более 20 | 0,03 | 0,024 |
2. Себестоимость и трудоемкость изготовления спиралей и змеек рекомендуется принимать по нормативам плоских сеток с коэффициентом 0,5.
3. Размотку, очистку и раскрой сварных плоских проволочных сеток (любых масс), поставляемых метизной промышленностью в рулонах, следует нормировать по себестоимости 7 руб. и трудоемкости 5,1 чел.-ч за каждую тонну сеток, а тканых сеток для армоцементных конструкций соответственно 35 руб. и 30 чел.-ч за 1 т сеток.
4. Для криволинейных каркасов, изготавливаемых в кондукторе, принимаются нормативы
граф 2 и
5 настоящей таблицы с коэффициентом 1,3.
Таблица 22
Отдельные стержни и монтажные петли,
не входящие в состав плоских сеток и каркасов
Масса отдельных стержней и петель, кг, до | Отдельные стержни прямые и гнутые диаметром, мм | Монтажные петли с количеством отгибов |
до 10 | более 10 | до 3 | более 3 |
себестоимость | трудоемкость | себестоимость | трудоемкость | себестоимость | трудоемкость | себестоимость | трудоемкость |
0,5 | 22,2 | 18,3 | 20,1 | 16,2 | 51 | 42 | 63 | 51 |
1 | 16,1 | 13,4 | 11 | 8,7 | 39 | 32 | 46 | 36 |
1,5 | 14,2 | 12 | 8,1 | 6,6 | 27 | 21 | 35 | 27 |
2 | 13,4 | 11,4 | 6,8 | 5,5 | 21 | 17 | 26 | 21 |
2,5 | 12,9 | 10,8 | 6,2 | 4,9 | 15 | 13 | 20 | 17 |
3 | 12,6 | 10,6 | 5,6 | 4,5 | 10 | 8 | 15 | 13 |
3,5 | 12,4 | 10,4 | 5,3 | 4,2 | 7 | 6 | 11 | 10 |
4 и более | 12,3 | 10,3 | 5,2 | 4,1 | 6 | 4,5 | 9 | 8 |
Примечание. Нормативами таблицы предусмотрено изготовление простых монтажных петель, состоящих из одного согнутого стержня. При наличии в конструкции сложных петель (типа "падающих" и т.д.), включающих кроме согнутого стержня и другие элементы, следует применять себестоимость 115 руб., трудоемкость - 95 чел.-ч на каждую тонну сложных петель.
Таблица 23
Размер надбавки к себестоимости, руб., и трудоемкости,
чел.-ч, на сборку 1 т пространственных каркасов
Масса одного пространственного каркаса в собранном виде, кг | К плоским сеткам и каркасам, входящим в состав пространственных каркасов | К отдельным стержням, входящим в состав пространственных каркасов |
к себестоимости | к трудоемкости | к себестоимости | к трудоемкости |
До 5 | 14,4 | 8 | 58,5 | 33 |
" 10 | 13,8 | 7,7 | 52,5 | 29 |
" 20 | 13,3 | 7,4 | 49,5 | 28 |
" 40 | 12,8 | 7,1 | 46,8 | 26 |
" 60 | 12,3 | 6,9 | 45 | 25 |
" 100 | 11,8 | 6,6 | 43,7 | 24,3 |
" 150 | 11 | 6,1 | 42,8 | 23,8 |
" 500 | 10,2 | 5,6 | 36,9 | 20,5 |
" 1000 | 8,7 | 4,9 | 31,5 | 17,5 |
Более 1000 | 6,1 | 3,4 | 28,8 | 16 |
Примечания: 1. Размеры надбавок за сборку пространственных каркасов определяются раздельно по плоским каркасам (сеткам) и по отдельным стержням, входящим в состав пространственного каркаса, с суммированием полученных результатов.
2. Нормативы настоящей таблицы для пространственных каркасов пролетных строений, массивных опор мостов, объемных элементов тоннелей, а также для звеньев прямоугольных труб с объемной массой каркаса 500 кг и более рекомендуется применять с коэффициентом 1,15.
3. Пространственные каркасы цилиндрической (трубчатой) формы следует нормировать по табл. 24.
Таблица 24
Себестоимость Ца, руб., и трудоемкость Ча, чел.-ч,
изготовления 1 т цилиндрических каркасов
Масса одного цилиндрического каркаса в собранном виде, кг | Стойки опор центрифугированные конические и цилиндрические | Сваи-оболочки | Звенья круглых труб |
себестоимость | трудоемкость | себестоимость | трудоемкость | себестоимость | трудоемкость |
20 | 88 | 65 | - | - | 35,2 | 24,6 |
50 | 72 | 53 | - | - | 32,1 | 22,8 |
100 | 45 | 32,5 | - | - | 28,8 | 19,6 |
200 | 36 | 26 | - | - | 25,5 | 16,2 |
300 | 28 | 19,8 | 46,3 | 32 | 22,1 | 13 |
500 | 19 | 13,4 | 42,8 | 30,4 | - | - |
1000 | 11 | 7,8 | 42,8 | 30,4 | - | - |
Более 1000 | 8,5 | 5,9 | 42,8 | 30,4 | - | - |
Примечания: 1. Нормативы каркасов с промежуточными значениями по массе следует определять методом интерполяции.
2. В массу цилиндрических каркасов необходимо включать приваренные к ним закладные детали. Себестоимость и трудоемкость изготовления последних следует нормировать отдельно по
табл. 28 или
29.
3. В нормативах настоящей таблицы учтены затраты по заготовке всех видов арматуры, натяжению напрягаемой стали и укладке арматуры в формы.
СЕБЕСТОИМОСТЬ
Цн, руб., И ТРУДОЕМКОСТЬ
Чн, чел.-ч,
ЗАГОТОВКИ 1 т НАПРЯГАЕМОЙ АРМАТУРЫ
Таблица 25
Диаметр, мм | Агрегатно-поточная технология с натяжением на форму при длине конструкции, м | Стендовая технология с натяжением на упоры |
до 6 | до 9 | более 9 | себестоимость | трудоемкость |
себестоимость | трудоемкость | себестоимость | трудоемкость | себестоимость | трудоемкость |
10 | 31,5 | 23 | 26,3 | 19,2 | 18,9 | 13,8 | 15,8 | 11,5 |
12 | 28,1 | 20,5 | 23,4 | 17,1 | 16,8 | 12,3 | 14,1 | 10,3 |
14 | 25,1 | 18,3 | 20,9 | 15,3 | 15 | 11 | 12,6 | 9,2 |
16 | 22,8 | 16,6 | 19,8 | 14,5 | 13,7 | 10 | 11,4 | 8,3 |
18 | 21,4 | 15,6 | 17,8 | 13 | 12,8 | 9,3 | 10,7 | 7,8 |
20 | 20,5 | 15 | 17,1 | 12,5 | 12,3 | 9 | 10,3 | 7,5 |
22 | 19,6 | 14,3 | 16,3 | 11,9 | 11,7 | 8,5 | 9,8 | 7,2 |
25 | 18,1 | 13,2 | 15,1 | 11 | 10,8 | 7,9 | 9,1 | 6,6 |
28 | 17,1 | 12,5 | 14,3 | 10,4 | 10,2 | 7,4 | 8,6 | 6,2 |
30 и более | 16,1 | 11,8 | 13,4 | 9,8 | 9,6 | 7 | 8,1 | 5,9 |
Примечание. При использовании в качестве стержневой арматуры стали класса А-IIIв (упрочненной вытяжкой) к нормативам трудоемкости настоящей таблицы в зависимости от технологии изготовления, длины и диаметров стержней добавлять:
Технология | Диаметр стержней, мм |
10 | 12 | 14 | 16 - 18 | 20 - 22 | 25 | 28 и более |
Агрегатно-поточная при длине конструкции, м: | | | | | | | |
6 - 9 | 9,6 | 8 | 6,2 | 4,6 | 3,5 | 2,8 | 2,1 |
более 9 | 9,2 | 7,5 | 5,8 | 4,2 | 3 | 2,3 | 1,7 |
Стендовая | 8,8 | 7 | 5,4 | 3,9 | 2,6 | 1,8 | 1,4 |
Таблица 26
Проволочная арматура
Диаметр, мм | Агрегатно-поточная технология с натяжением на форму при длине конструкций, м | Стендовая технология с натяжением на упоры с числом проволок в одной зоне сечения |
до 6 | до 9 | более 9 | до 11 | от 12 до 23 | 24 и более |
3 | 71 ------ 40 | 60 ------ 34,3 | 53 ------ 28,5 | 60 ------ 17,1 | 38 ------ 10,4 | 27 ------ 7,2 |
4 | 59,5 ------ 33,4 | 51 ------ 28,7 | 44,5 ------ 23,9 | 51 ------ 14,7 | 31,5 ------ 8,6 | 22,5 ------ 6 |
5 | 45,4 ------ 25,5 | 38 ------ 23,3 | 34 ------ 19,1 | 38 ------ 10,9 | 24,6 ------ 6,9 | 16,4 ------ 4,5 |
6 | 30,8 ------ 16,9 | 26 ------ 13,6 | 22,5 ------ 11,6 | 26 ------ 7,4 | 17,7 ------ 4,8 | 11,7 ------ 3,1 |
8 | 15,5 ------ 9,5 | 13 ------ 6,7 | 11 ------ 4 | 13 ------ 3,7 | 10,3 ------ 3 | 6,8 ------ 1,8 |
Примечания: 1. Норматив в таблице приводится в виде дроби: в числителе - себестоимость, руб., в знаменателе - трудоемкость изготовления, чел.-ч.
2. Под зоной сечения понимается верхняя или нижняя полка, продольное или поперечное ребро, стенка и т.п.
3. Напрягаемые элементы, изготовляемые согласно рабочим чертежам с двумя концевыми промежуточными анкерами, должны нормироваться по настоящей таблице с надбавкой к себестоимости 10 руб., а к трудоемкости 6 чел.-ч на каждую тонну напрягаемой арматуры.
Таблица 27
Диаметр, мм | Агрегатно-поточная технология с натяжением на форму при длине конструкции, м | Стендовая технология с натяжением на упоры |
до 6 | до 9 | более 9 | себестоимость | трудоемкость |
себестоимость | трудоемкость | себестоимость | трудоемкость | себестоимость | трудоемкость |
6 | 45 | 32,4 | 43 | 30 | 42 | 30,7 | 48,3 | 13,1 |
7,5 | 34,2 | 24,6 | 33 | 23 | 32 | 23,4 | 36,8 | 11 |
9 | 24 | 17,3 | 23,1 | 16,1 | 22,5 | 16,4 | 25,9 | 7,8 |
12 | 13,7 | 9,9 | 13,2 | 9,2 | 12,8 | 9,3 | 14,7 | 4,4 |
15 | 8,8 | 6,3 | 8,4 | 5,8 | 8,2 | 6 | 12,2 | 3,7 |
18 | - | - | - | - | 6 | 4,4 | 7 | 2,1 |
20 | - | - | - | - | 4,9 | 3,6 | 5,7 | 1,7 |
25 | - | - | - | - | 3,5 | 2,6 | 4 | 1,2 |
30 | - | - | - | - | 3 | 2,2 | 3,5 | 1 |
Таблица 28
Себестоимость Цд, руб., и трудоемкость Чд, чел.-ч,
изготовления 1 т закладных и накладных деталей
(для вариантов сопоставления, когда у эталонной
и новой конструкций закладные детали одинаковы)
N п. п. | Характеристика закладных и накладных деталей | Не приваренных к стержням каркасов или сеток | Приваренных к стержням каркасов и сеток |
себестоимость | трудоемкость | себестоимость | трудоемкость |
1 | Изготовляемые без применения сварки, гнутья и сверления (пробивки) отверстий | 31 | 12,5 | 56 | 22,5 |
| Изготовляемые с применением сварки, гнутья, сверловки или пробивки отверстий (при наличии одной из этих операций или всего перечня в любых сочетаниях) | 105 | 41 | 125 | 49 |
| Анкерные из прямых и гнутых круглых стержней с резьбой, шайбы и гайки (в том числе и входящие в состав деталей поз. 2 настоящей таблицы) | 230 | 115 | 255 | 130 |
Примечания: 1. Детали анкерные, шайбы, гайки, приваренные к закладным деталям, в массу закладных деталей не включаются и нормируются отдельно по
поз. 3 настоящей таблицы.
2. Прокат для крепления анкерных деталей к закладным включается в их массу.
3. Стержни рабочей и распределительной арматуры в случае приварки к ним закладных или анкерных деталей в массу этих деталей не включаются.
4. При наличии в проектных материалах указаний о необходимости проведения металлизации закладных деталей эта операция нормируется дополнительно из расчета за 1 т металлизируемых деталей: при массе одной детали до 5 кг - себестоимость 194 руб., трудоемкость 70 чел.-ч, а при массе более 5 кг - себестоимость 140 руб., трудоемкость 60 чел.-ч.
Таблица 29
Себестоимость Цд (в числителе - руб.) и трудоемкость Чд
(в знаменателе - чел.-ч.) изготовления 1 т закладных
и накладных деталей (для вариантов сопоставления,
когда у нового решения конструкций по сравнению
с эталонным закладные детали изменены)
N группы закладных деталей | Вид закладных деталей | Масса одной закладной детали, кг |
до 1 | до 2 | до 5 | до 10 | до 20 | более 20 |
I | | 270 ------- 40 | 137,7 ------- 20,6 | 60 ------- 9,1 | 46,8 ------- 7 | 34,2 ------- 5,1 | 18 ------- 2,7 |
II | | 225 ------- 45 | 133,2 ------- 26,6 | 40,5 ------- 8,1 | 34,2 ------- 6,8 | 23,4 ------- 4,7 | 19,8 ------- 4 |
III | | 238,5 ------- 50 | 180 ------- 37,8 | 72 ------- 15,1 | 60,3 ------- 12,7 | 55,8 ------- 11,7 | 49,5 ------- 10,4 |
IV | | 189 ------- 47,3 | 148,5 ------- 37,2 | 108 ------- 27 | 90 ------- 22,5 | 59,4 ------- 14,8 | 18 ------- 4,5 |
V | | - | 210,6 ------- 54,8 | 140,4 ------- 36,5 | 55,8 ------- 14,6 | 41,4 ------- 10,8 | 21,6 ------- 5,6 |
VI | | 55 ------- 21,6 | 43,5 ------- 17,4 | 28,7 ------- 11,5 | 20,1 ------- 8,3 | 14 ------- 5,6 | 8 ------- 3,2 |
VII | | 73,8 ------- 28,1 | 60,3 ------- 23 | 38,7 ------- 14,7 | 28,8 ------- 11 | - | - |
Примечания: 1. В числителе приводятся нормативы себестоимости, а в знаменателе - трудоемкости.
2. Детали анкерные из прямых и гнутых круглых стержней с резьбой, шайбы и гайки, приваренные к закладным деталям любой из приведенных групп, нормируются по
поз. 3 табл. 28.
3. При наличии отверстий на плоских элементах I - VI групп закладных деталей следует добавлять на одно круглое или квадратное отверстие диаметром (или стороной) до 40 мм к себестоимости 0,04 руб., к трудоемкости 0,015 чел.-ч; на одно отверстие круглое или квадратное размером более указанного выше, а также при других формах отверстий добавлять к себестоимости 0,1 руб., к трудоемкости 0,05 чел.-ч.
4. Стержни рабочей и распределительной арматуры в случае приварки к ним закладных или анкерных деталей в массу этих деталей не включаются.
Таблица 30
Себестоимость Цу, руб., и трудоемкость Чу, чел.-ч., укладки
в формы 1 т ненапрягаемой арматуры и закладных деталей
Наименование конструкций | Себестоимость | Трудоемкость |
Блоки пролетных строений мостов и путепроводов | 7,6 | 5,6 |
Блоки массивных опор мостов | 4,1 | 3,6 |
Плиты проезжей части сталебетонных мостов | 7,4 | 4,5 |
Плиты ребристые настила пассажирских платформ и других сооружений | 6,4 | 3,9 |
Плиты гладкие (плоские) покрытий автодорог, аэродромов, покрытий кабельных каналов и тоннелей, укрепления откосов земляного полотна | 5,9 | 3,7 |
Плиты анкерные и опорные опор контактной сети автоблокировки и линий связи | 5,2 | 3,3 |
Плиты берегоукрепления и облицовки набережных | 7,4 | 4,5 |
Плиты типа 2Т и корытообразные | 4,8 | 2,4 |
Объемные элементы пешеходных тоннелей, блоки коллекторов, коробов коммуникаций | 8,4 | 5,2 |
Блоки-тюбинги (гладкие и ребристые) для перегонных тоннелей | 3,5 | 2,1 |
Линейные конструкции мостов, эстакад, путепроводов, платформ, тоннелей, набережных: | | |
простого профиля (прямоугольные и трапецеидальные): | | |
сваи, прогоны, стойки, столбики, приставки | 2,5 | 1,5 |
балки, ригели, колонны | 7,7 | 5,6 |
сложного профиля (таврового, двутаврового, цилиндрического, переменного сечения и др.): балки, ригели, сваи, колонны, шпунт | 8 | 5,9 |
Стойки опор центрифугированные | - | - |
Стойки опор вибрированные | 3 | 1,9 |
Сваи-оболочки | - | - |
Звенья труб (прямоугольных) | 3,9 | 2,9 |
Шпалы железнодорожные | 10,5 | 7,2 |
Шпалолежни и подрельсовые основания | 8,6 | 5,9 |
Блоки и плиты фундаментные: | | |
прямоугольные и трапецеидального сечения | 4,5 | 2,8 |
стаканные, таврового, двутаврового сечения | 6,5 | 4 |
Панели армоцементные кровельные для навесов | 10,9 | 7,1 |
Примечания: 1. Нормативами настоящей таблицы предусмотрена укладка арматуры в горизонтальные формы. При вертикальных формах к нормативам следует применять коэффициент 1,3.
2. Для изделий, имеющих выпуски арматуры, пропускаемые через отверстия формы, нормативы настоящей таблицы следует применять с коэффициентом 1,2.
3. Укладка арматуры в форму для центрифугированных опор, свай-оболочек и звеньев круглых труб учтена нормативами
табл. 24.
СЕБЕСТОИМОСТЬ
Цн.н, руб., И ТРУДОЕМКОСТЬ
Чн.н, чел.-ч,
НАТЯЖЕНИЯ 1 т НАПРЯГАЕМОЙ АРМАТУРЫ
Таблица 31
Стрежневая проволочная арматура
Диаметр, мм | Агрегатно-поточная технология с натяжением на форму при длине конструкций, м | Стендовая технология с натяжением на упоры |
до 6 | до 9 | более 9 |
механическим | электротермическим | механическим | электротермическим | механическим | электротермическим | механическим | электротермическим |
А. Стержневая |
10 | 39,5 ------ 36 | 21,1 ------ 11,8 | 35,6 ------ 30,9 | 18,7 ------ 9,8 | 30,1 ------ 27,5 | 17,8 ------ 9 | 28 ------ 20 | 21,5 ------ 11,3 |
12 | 35 ------ 31,5 | 19,1 ------ 10,6 | 29,8 ------ 26,8 | 16,9 ------ 8,7 | 25,3 ------ 23 | 15,8 ------ 7,8 | 22,6 ------ 16,1 | 18,7 ------ 9,8 |
14 | 30,4 ------ 27,5 | 17,3 ------ 9,5 | 25 ------ 22,7 | 14,8 ------ 7,5 | 21 ------ 18,4 | 13,6 ------ 6,5 | 18 ------ 13,2 | 16,5 ------ 8,5 |
16 | 26,2 ------ 23,4 | 15,1 ------ 8,2 | 20,8 ------ 18,3 | 12,9 ------ 6,4 | 17,3 ------ 14,8 | 11,8 ------ 5,4 | 14,3 ------ 10,8 | 14,5 ------ 7,3 |
18 | 22,1 ------ 19,6 | 13,3 ------ 7,1 | 16,9 ------ 14,4 | 11,3 ------ 5,5 | 13,8 ------ 11,7 | 10,3 ------ 4,6 | 11,5 ------ 8,7 | 12,8 ------ 6,4 |
20 | 18,8 ------ 16,2 | 11,9 ------ 6,3 | 13,7 ------ 11,7 | 10 ------ 4,8 | 11,4 ------ 9,5 | 9,1 ------ 4,1 | 9,3 ------ 7 | 11,4 ------ 5,7 |
22 | 15,6 ------ 13,4 | 10,5 ------ 5,7 | 11,5 ------ 9,7 | 9 ------ 4,3 | 9,4 ------ 7,8 | 8,2 ------ 3,6 | 7,9 ------ 5,7 | 10,2 ------ 5 |
25 | 11,8 ------ 10,4 | 9,3 ------ 4,9 | 9,3 ------ 7,8 | 7,9 ------ 3,7 | 7,7 ------ 6,3 | 7,1 ------ 3,1 | 6,2 ------ 4,5 | 8,9 ------ 4,3 |
28 | 9,5 ------ 8 | 8,4 ------ 4,3 | 7,6 ------ 6,2 | 6,9 ------ 3,2 | 6,1 ------ 5 | 6,4 ------ 2,6 | 5,1 ------ 3,5 | 8 ------ 3,7 |
32 и более | 7,9 ------ 6,6 | 7,7 ------ 4 | 6 ------ 4,9 | 6,1 ------ 2,8 | 5 ------ 4 | 5,6 ------ 2,3 | 4,2 ------ 3 | 6,9 ------ 3,3 |
Б. Проволочная |
3 | 46,3 ------ 32,5 | - | 43,4 ------ 30,3 | - | 41,5 ------ 29 | - | 31,3 ------ 19,2 | - |
4 | 41,6 ------ 28,8 | - | 39,4 ------ 27,9 | - | 37,5 ------ 27,2 | - | 21,3 ------ 13 | - |
5 | 32,9 ------ 22,6 | 22,4 ------ 11,8 | 31,1 ------ 21,8 | 19 ------ 15,3 | 29,1 ------ 21,1 | - | 16,6 ------ 10,1 | - |
6 | 27,2 ------ 19 | 14,3 ------ 11,1 | 25,8 ------ 18,1 | 11,4 ------ 8,7 | 24,6 ------ 17,4 | - | 13,9 ------ 8,5 | - |
8 | 22,3 ------ 15,2 | 8,1 ------ 5,8 | 21 ------ 14,4 | 8,7 ------ 3,8 | 20 ------ 13,7 | - | 11,3 ------ 7 | - |
Примечания: 1. Норматив в таблице приводится в виде дроби: в числителе - себестоимость, руб., в знаменателе - трудоемкость изготовления, чел.-ч.
2. При натяжении напрягаемых элементов на криволинейную поверхность конструкции (формы) нормативы настоящей таблицы для криволинейно напрягаемых элементов следует применять с коэффициентом 1,05.
Таблица 32
Диаметр, мм | Агрегатно-поточная технология с натяжением на форму при длине конструкции, м | Стендовая технология с механическим натяжением на упоры |
до 6 | до 9 | более 9 |
себестоимость | трудоемкость | себестоимость | трудоемкость | себестоимость | трудоемкость | себестоимость | трудоемкость |
Канаты П1 x 7 |
6 | 108 | 38 | 102 | 37 | 97 | 35,5 | 67,5 | 17 |
7,5 | 84 | 31,7 | 81 | 30 | 78 | 28,5 | 51 | 13 |
9 | 65,7 | 27,5 | 63,7 | 25,5 | 61,8 | 24 | 37,5 | 10 |
12 | 40,3 | 22,3 | 38,7 | 20 | 37,5 | 18 | 21,2 | 6,5 |
15 | 27,3 | 20,5 | 26,4 | 18 | 25,5 | 16 | 15,3 | 6 |
Канаты К1 x 3 и К1 x 19 |
9 | - | - | - | - | 99 | 80 | 66 | 56 |
12 | - | - | - | - | 68 | 51,5 | 41 | 34 |
15 | - | - | - | - | 46 | 35 | 26,5 | 21,5 |
18 | - | - | - | - | 34 | 26 | 19,2 | 15,5 |
20 | - | - | - | - | 30 | 22,5 | 16,3 | 11 |
25 | - | - | - | - | 20,3 | 15 | 13,5 | 8,3 |
30 | - | - | - | - | 14 | 11 | 11,1 | 7,3 |
Примечания: 1. При использовании напряженных элементов в конструкциях с оттянутой арматурой нормативы настоящей таблицы для оттянутых или отгибаемых элементов следует применять с коэффициентом 1,1.
Таблица 33
Себестоимость Цн.н, руб., и трудоемкость Чн.н, чел.-ч,
непрерывной навивки 1 т напрягаемой проволоки и прядей
на упоры форм с помощью навивочных машин
Диаметр, мм | Длина конструкции, м |
до 6 | до 9 | до 12 | до 18 | более 18 |
себестоимость | трудоемкость | себестоимость | трудоемкость | себестоимость | трудоемкость | себестоимость | трудоемкость | себестоимость | трудоемкость |
А. Проволочная арматура |
3 | 71,5 | 40,8 | 62,3 | 34,7 | 57 | 31,8 | 50,2 | 26,4 | 43 | 21,6 |
4 | 42,5 | 23,1 | 36,9 | 19,6 | 34,4 | 18 | 29,7 | 15 | 25,2 | 12,2 |
5 | 25,9 | 14,8 | 22,7 | 12,6 | 21 | 11,5 | 18,3 | 9,6 | 15,8 | 7,9 |
6 | 18,1 | 10,3 | 15,6 | 8,7 | 14,6 | 8 | 12,5 | 6,6 | 10,7 | 5,4 |
Б. Канатная арматура |
4,5 | 40,3 | 23,1 | 34,2 | 19,1 | 32,6 | 18 | 28,2 | 15 | 23,9 | 12,2 |
6 | 26,7 | 15,3 | 23,2 | 13 | 21,5 | 11,9 | 18,7 | 9,9 | 15,9 | 8,1 |
7,5 | 17,2 | 9,8 | 14,8 | 8,3 | 13,8 | 7,6 | 11,9 | 6,3 | 10,1 | 5,2 |
Примечание. Нормативы настоящей таблицы учитывают операции заготовки и натяжения арматуры, поэтому их использование исключает необходимость применять нормативы
табл. 31 и
32.
СЕБЕСТОИМОСТЬ
Цф, руб., И ТРУДОЕМКОСТЬ
Чф, чел.-ч,
ФОРМОВАНИЯ 1 м3 КОНСТРУКЦИЙ ИЗ ТЯЖЕЛОГО И ЛЕГКОГО БЕТОНА
Таблица 34
Элементы пролетных строений мостов и путепроводов,
изготавливаемые из тяжелого и легкого бетона
по стендовой технологии
Объем бетона изделия, м3 | Блоки пролетных строений мостов и путепроводов | Блоки массивных опор мостов | Плиты проезжей части сталебетонных мостов |
на автомобильных дорогах | на железных дорогах |
себестоимость | трудоемкость | себестоимость | трудоемкость | себестоимость | трудоемкость | себестоимость | трудоемкость |
До 1 | 22,2 | 8,8 | 24,6 | 10,7 | 19 | 9,1 | 23,4 | 9,7 |
" 2 | 19,6 | 7,4 | 24 | 10,4 | 18 | 8,6 | 21,7 | 9 |
" 3 | 17 | 6,5 | 23,4 | 10,2 | 17,4 | 8,4 | 19,9 | 8,4 |
" 4 | 15,2 | 5,9 | 23 | 10,1 | 17 | 7,9 | 19,2 | 7,9 |
" 5 | 14,8 | 5,5 | 22,6 | 9,8 | 16,6 | 7,7 | 18,6 | 7,7 |
" 7,5 | 14,2 | 5,4 | 21,6 | 9,5 | 15,8 | 7,2 | 17,9 | 7,4 |
" 10 | 13,8 | 5,3 | 20,8 | 8,6 | 15,4 | 7 | 17,3 | 7 |
" 15 | 13,1 | 5 | 18,6 | 7,6 | 15 | 6,7 | 15,8 | 6,4 |
Более 15 | 12,7 | 4,9 | 16,3 | 6,6 | 14,4 | 6,4 | - | - |
Примечания: 1. Нормативы таблицы даны для изделий с расходом стали до 100 кг/м
3. При

расходах стали, кг/м
3, применяются коэффициенты:
101 - 200 ...................... 1,1
201 - 300 ...................... 1,15
301 - 400 ...................... 1,2
более 400 ...................... 1,25
2. Для изделий, имеющих вырезы и отверстия, нормативы умножаются на коэффициент 1,05 независимо от площади вырезов и отверстий.
3. Блоки пролетных строений для пешеходных мостов определяются по нормативам блоков для мостов на железных дорогах с коэффициентом 1,3.
Таблица 35
Плиты ребристые настилов платформ, гладкие (плоские) плиты
покрытий дорог, аэродромов, каналов, тоннелей, крепления
откосов полотна, анкерных, опорных и прочих плоских изделий,
изготавливаемых по агрегатно-поточной технологии
Приведенная толщина, см | Плиты и панели |
ребристые, типа 2Т, П-образные | гладкие (плоские) |
Площадь изделий, м2 |
до 6 | до 9 | до 18 | более 18 | до 3 | до 6 | до 12 | более 12 |
До 4 | 22,6 | 21,6 | 20,5 | 19,2 | 14,1 | 12,8 | 11,8 | 10,8 |
" 5 | 18,2 | 17,3 | 16,4 | 15,5 | 11,4 | 10,4 | 9,7 | 8,9 |
" 6 | 15,8 | 15 | 14,2 | 13,4 | 10 | 9,1 | 8,5 | 7,7 |
" 8 | 13,5 | 12,7 | 12,2 | 11,6 | 8,7 | 7,9 | 7,3 | 6,7 |
" 10 | 12,4 | 11,8 | 11,1 | 10,5 | 8 | 7,3 | 6,7 | 6,2 |
" 12 | 11,8 | 11,2 | 10,4 | 10 | 7,6 | 6,9 | 6,4 | 5,9 |
" 14 | 11,3 | 10,7 | 10,1 | 9,6 | 7,3 | 6,6 | 6,1 | 5,6 |
" 16 | 10,9 | 10,4 | 9,9 | 9,3 | 6,9 | 6,3 | 5,8 | 5,3 |
" 18 | 10,5 | 10,2 | 9,7 | 9,1 | 6,7 | 6,1 | 5,6 | 5,1 |
" 20 | 10,3 | 10 | 9,4 | 8,9 | 6,5 | 5,9 | 5,4 | 4,9 |
" 25 | 10,1 | 9,7 | 9,2 | 8,7 | 6,3 | 5,7 | 5,2 | 4,7 |
Более 25 | 9,8 | 9,4 | 8,9 | 8,4 | 6 | 5,5 | 5 | 4,5 |
Примечания: 1. Нормативы даны для изделий с расходом стали 50 кг/м
3. При

расходах стали, кг/м
3, применяются коэффициенты:
51 - 100 ...................... 1,05
101 - 200 ..................... 1,1
201 - 300 ..................... 1,15
301 - 400 ..................... 1,2
более 400 ..................... 1,25
2. Для изделий, имеющих вырезы и отверстия, нормативы умножаются на коэффициенты, принимаемые по следующей таблице:
Площадь отверстий, % площади поверхности, открытой при бетонировании | Число отверстий |
1 - 4 | 5 - 10 | 11 и более |
До 2 | 1,02 | 1,05 | 1,1 |
" 10 | 1,03 | 1,1 | 1,2 |
" 20 | 1,04 | 1,12 | 1,27 |
" 40 и более | 1,05 | 1,15 | 1,35 |
3. К числу плоских плит следует относить изделия гладкие или имеющие борт, а также ребро с одной стороны. К ребристым относятся плиты, имеющие ребра или борта не менее чем с двух сторон по периметру изделия, а также имеющие внутренние ребра.
4. Плиты и панели, имеющие ребра или борта по всему периметру изделия, рекомендуется оценивать по нормативам ребристых плит с коэффициентом 1,1.
5. Для плоских изделий коробчатого сечения следует применять нормативы гладких плит с коэффициентом 1,3.
6. Конструкции, совмещающие в себе элементы гладких или ребристых плит с линейными изделиями (например, плиты, совмещенные с ригелями, колонны - с элементами ограждений и т.п.), следует нормировать по элементу, имеющему больший объем в совмещенной конструкции с применением к соответствующим нормативам коэффициента 1,15.
7. Для изделий с размерами, превышающими 12 м длины или 3 м ширины, изготавливаемых по стендовой технологии, нормативы настоящей таблицы следует принимать с коэффициентом 1,15.
8. Площадь изделия у плоских стоек опор ЛЭП вибрированных, конических следует определять исходя из длины и среднего размера лицевой поверхности ее сечения.
Таблица 36
Плиты ребристые настилов платформ, гладкие (плоские) плиты
покрытий дорог, аэродромов, каналов, тоннелей, крепления
откосов, полотна, анкерных, опорных и прочих плоских
изделий, изготавливаемых по агрегатно-поточной технологии
Приведенная толщина, см | Плиты и панели |
ребристые типа 2Т, П-образные | гладкие (плоские) |
Площадь изделий, м2 |
до 6 | до 9 | до 18 | более 18 | до 3 | до 6 | до 12 | более 12 |
До 4 | 15,5 | 14,7 | 13,9 | 13,2 | 9,6 | 8,7 | 8 | 7,3 |
" 5 | 12,4 | 11,7 | 11 | 10,4 | 7,7 | 7 | 6,5 | 5,9 |
" 6 | 10,6 | 10,1 | 9,5 | 9 | 6,7 | 6,1 | 5,7 | 5,1 |
" 8 | 8,9 | 8,5 | 8,1 | 7,6 | 5,6 | 5,1 | 4,8 | 4,4 |
" 10 | 8,2 | 7,8 | 7,4 | 7 | 5,3 | 4,8 | 4,5 | 4,1 |
" 12 | 7,8 | 7,4 | 7 | 6,7 | 5,1 | 4,6 | 4,2 | 3,9 |
" 14 | 7,5 | 7,1 | 6,7 | 6,5 | 4,7 | 4,3 | 4 | 3,7 |
" 16 | 7,2 | 6,9 | 6,5 | 6,2 | 4,5 | 4,1 | 3,9 | 3,5 |
До 18 | 7 | 6,7 | 6,4 | 6,1 | 4,3 | 3,9 | 3,7 | 3,3 |
" 20 | 6,8 | 6,5 | 6,2 | 5,9 | 4,2 | 3,8 | 3,6 | 3,2 |
" 25 | 6,5 | 6,3 | 5,9 | 5,6 | 4,1 | 3,7 | 3,5 | 3,1 |
Более 25 | 6,2 | 6 | 5,6 | 5,3 | 3,8 | 3,5 | 3,3 | 3 |
Примечание. К нормативам настоящей таблицы следует применять рекомендации, приводимые в
примеч. 1 -
8 табл. 35.
Таблица 37
Линейные конструкции стоечных и рамных мостов, эстакад,
путепроводов, платформ, набережных и прочих транспортных
сооружений, изготавливаемые по стендовой технологии
Объем бетона изделия или его составной части, бетонируемой отдельно, м3 | Вид формы сечения |
простой | сложный |
Характеристика профиля |
прямоугольный, трапецеидальный, треугольный | тавровый, цилиндрический | двутавровый, крестовый, переменного сечения | решетчатый и рамный |
себестоимость | трудоемкость | себестоимость | трудоемкость | себестоимость | трудоемкость | себестоимость | трудоемкость |
До 0,1 | 18,2 | 10,4 | 23,6 | 13,5 | 27,5 | 15,9 | - | - |
" 0,2 | 16,6 | 9,5 | 22,2 | 12,6 | 26,2 | 15 | - | - |
" 0,3 | 15,9 | 9,1 | 21,2 | 12,1 | 24,7 | 14,3 | - | - |
" 0,4 | 15 | 8,5 | 19,9 | 11,3 | 23,6 | 13,5 | - | - |
" 0,5 | 14,5 | 8,2 | 19,4 | 11 | 22,9 | 13,1 | - | - |
" 0,75 | 13,6 | 7,7 | 18 | 10,4 | 21,2 | 12,1 | - | - |
" 1 | 13,1 | 7,4 | 17,4 | 9,9 | 20,6 | 11,8 | - | - |
До 1,5 | 11,9 | 6,7 | 16,1 | 9,1 | 18,9 | 10,8 | 25,1 | 11,7 |
" 2 | 11 | 6,2 | 14,7 | 8,4 | 17,4 | 9,9 | 23,2 | 10,5 |
" 3 | 10,4 | 5,8 | 13,5 | 7,6 | 15,9 | 9,1 | 21,2 | 9,6 |
" 4 | 9,4 | 5,2 | 12,3 | 6,9 | 14,6 | 8,2 | 19,4 | 8,6 |
" 5 | 9 | 5 | 11,7 | 6,5 | 13,7 | 7,7 | 18,2 | 8,1 |
Более 5 | 8,5 | 4,7 | 10,9 | 6 | 13 | 7,2 | 17,5 | 7,6 |
Примечания: 1. Нормативы даны для изделий с расходом стали по 100 кг/м
3. При

расходах, кг/м
3, применять коэффициенты:
101 - 200 ................... 1,1
201 - 300 ................... 1,15
301 - 400 ................... 1,2
более 400 ................... 1,25
2. Для изделий с вырезами и отверстиями вводится коэффициент 1,05 (независимо от площади отверстий).
3. Для линейных изделий простой формы сечения длиной до 9 м, изготавливаемых по агрегатно-поточной технологии, нормативы данной таблицы рекомендуется применять с коэффициентом 0,9.
Таблица 38
Конструкции криволинейной и цилиндрической формы (полые),
изготавливаемые по агрегатно-поточной технологии
Объем бетона изделия, м3 | Изделия корытообразные (лотки) | Стойки опор линий связи, контактной сети, ЛЭП <1> центрифугированные | Сваи-оболочки | Звенья круглых водопропускных труб |
себестоимость | трудоемкость | себестоимость | трудоемкость | себестоимость | трудоемкость | себестоимость | трудоемкость |
До 0,2 | 19,5 | 14,5 | 20 | 16 | - | - | 6,9 | 4,3 |
" 0,3 | 19,2 | 14,3 | 17,6 | 14,5 | - | - | 6,1 | 3,7 |
" 0,4 | 18,8 | 14 | 16,4 | 13,9 | - | - | 4,9 | 3,2 |
" 0,5 | 18,6 | 13,9 | 15,8 | 12,5 | 17,5 | 10,4 | 4,4 | 2,7 |
" 0,75 | 18,2 | 13,8 | 13,6 | 10,5 | 17,2 | 10 | 3,5 | 2,2 |
" 1 | 17,5 | 13,2 | 11,6 | 9 | 16,7 | 9,7 | 3,2 | 1,9 |
" 1,5 | 16,7 | 12,5 | 9,2 | 7,5 | 15,7 | 9,1 | 2,8 | 1,6 |
" 2 | 16 | 12 | 7 | 5,5 | 15 | 8,7 | 2,7 | 1,5 |
" 3 | 15,2 | 11,4 | 4,5 | 3,5 | 14,4 | 8,2 | 2,6 | 1,4 |
До 4 | 14,6 | 11 | 3,5 | 2,8 | 13,8 | 7,6 | 2,4 | 1,3 |
" 5 | - | - | 3 | 2,4 | 13,3 | 7,3 | - | - |
" 6 | - | - | 2,6 | 2 | 12,8 | 7,2 | - | - |
Более 6 | - | - | 2,4 | 1,9 | 12,4 | 7 | - | - |
--------------------------------
<1> Стойки опор ЛЭП вибрированные следует нормировать по плоским изделиям
табл. 35 и
36. К нормативам настоящей таблицы следует также применять рекомендации
прим. 1 табл. 34.
Таблица 39
Специальные изделия транспортного строительства
(тюбинги, шпалы, конструкции берегоукрепления),
изготавливаемые по агрегатно-поточной технологии
Объем бетона изделия, м3 | Блоки-тюбинги (гладкие) перегонных тоннелей | Плиты и блоки берегоукрепления и облицовки набережных | Шпалы железнодорожные, шпалолежни и подрельсовые основания |
себестоимость | трудоемкость | себестоимость | трудоемкость | себестоимость | трудоемкость |
До 0,02 | - | - | - | - | 41 | 21 |
" 0,03 | - | - | - | - | 36 | 18 |
" 0,05 | - | - | - | - | 25 | 12 |
" 0,1 | - | - | - | - | 12 | 5,8 |
" 0,2 | 22 | 10,6 | - | - | 5,5 | 2,9 |
" 0,3 | 18,8 | 9,2 | 17 | 8,6 | 5,1 | 2,5 |
До 0,4 | 15,8 | 7,8 | 16,8 | 8,5 | 4,7 | 2,3 |
" 0,5 | 13 | 6,4 | 16,5 | 8,3 | 4,5 | 2,2 |
" 0,75 | 11 | 5,3 | 16 | 8,1 | 4,3 | 2,1 |
" 1 | 9,2 | 4,5 | 15,5 | 7,8 | 4,1 | 2 |
" 1,5 | 7,9 | 3,8 | 14,8 | 7,5 | 3,9 | 1,9 |
До 2 | 7,1 | 3,4 | 14 | 7,1 | - | - |
" 3 | 6,5 | 3,1 | 12,9 | 6,5 | - | - |
Более 3 | 6 | 2,9 | 12 | 6,1 | - | - |
2. Блоки-тюбинги ребристые следует нормировать с применением к нормативам настоящей таблицы коэффициента 1,15.
Таблица 40
Объемные элементы тоннелей, блоки коллекторов, коробов
коммуникаций, звенья прямоугольных водопропускных труб,
изготавливаемые по стендовой технологии
Объем бетона изделия, м3 | Звенья прямоугольных водопропускных труб | Объемные элементы тоннелей, коллекторов, коробов коммуникаций |
себестоимость | трудоемкость | себестоимость | трудоемкость |
До 0,2 | 5,6 | 3,4 | - | - |
" 0,5 | 4,8 | 2,9 | - | - |
" 0,75 | 4,2 | 2,5 | - | - |
" 1 | 4 | 2,4 | - | - |
" 1,5 | 3,7 | 2,2 | 23,8 | 16,2 |
" 2 | - | - | 21,8 | 14,8 |
" 3 | - | - | 20 | 13,6 |
" 4 | - | - | 19,6 | 13,3 |
" 5 | - | - | 19 | 12 |
Более 5 | - | - | 18,4 | 11,4 |
Примечания: 1. Себестоимость и трудоемкость формования звеньев прямоугольных труб с отверстием свыше 2 м принимаются как себестоимость и трудоемкость объемных элементов тоннелей.
2. К нормативам настоящей таблицы следует также применять рекомендации
прим. 1 и
2 табл. 34.
Таблица 41
Блоки и плиты фундаментные
Фундаментные блоки и плиты прямоугольного и трапецеидального сечения | Фундаментные башмаки и блоки стаканного типа, таврового, двутаврового и других сложных видов сечения |
приведенная толщина, см | себестоимость | трудоемкость | объем бетона изделия, м3 | себестоимость | трудоемкость |
До 20 | 9,2 | 6 | До 0,05 | 16 | 10,9 |
" 25 | 8,2 | 5,4 | " 0,1 | 15,4 | 10,4 |
" 30 | 7,4 | 5 | " 0,2 | 14,3 | 9,6 |
" 35 | 6,9 | 4,6 | " 0,3 | 13,6 | 9,1 |
" 40 | 6,5 | 4,3 | " 0,4 | 13 | 8,7 |
" 45 | 6,2 | 4 | " 0,5 | 12,4 | 8,2 |
Более 45 | 6 | 3,8 | " 0,75 | 11,4 | 7,6 |
| | | " 1 | 10,8 | 7,2 |
| | | Более 1 | 10,3 | 6,8 |
Примечание. К нормативам настоящей таблицы следует применять рекомендации
примеч. 1 табл. 35.
Таблица 42
Армоцементные кровельные конструкции навесов и павильонов
Приведенная толщина изделия, см, до | Площадь изделия, м2 |
до 3 | до 6 | до 9 | до 12 | более 12 |
А. Плиты и панели складчатые и плоские с бортом |
2 | 51 ------ 35,5 | 48,8 ------ 34,2 | 47,1 ------ 33 | 44,7 ------ 31,8 | 43,6 ------ 31,1 |
3 | 32,8 ------ 22,8 | 30,8 ------ 21,5 | 29 ------ 20,3 | 28,2 ------ 19,7 | 27,5 ------ 19,2 |
4 | 23,5 ------ 16,4 | 22,1 ------ 15,4 | 20,9 ------ 14,6 | 20,2 ------ 14,1 | 19,7 ------ 13,7 |
5 | 19,4 ------ 13,6 | 18,2 ------ 12,7 | 17,1 ------ 11,9 | 16,8 ------ 11,7 | 16,2 ------ 11,3 |
Б. Плиты и панели ребристые |
2 | 66 ------ 45,1 | 61,8 ------ 43,4 | 58,4 ------ 41 | 56,6 ------ 40 | 55,2 ------ 38,7 |
3 | 41,5 ------ 29,3 | 38,7 ------ 27,1 | 36,6 ------ 25,6 | 35,4 ------ 24,8 | 34,6 ------ 24,2 |
4 | 30,5 ------ 21,5 | 28,3 ------ 19,8 | 26,8 ------ 18,7 | 25,8 ------ 18,1 | 25,3 ------ 17,7 |
5 | 25,6 ------ 18 | 23,5 ------ 16,4 | 22,2 ------ 15,5 | 21,5 ------ 15 | 20,9 ------ 14,6 |
6 | 22,4 ------ 16 | 20,8 ------ 14,5 | 19,7 ------ 13,7 | 19,1 ------ 13,3 | 18,5 ------ 12,9 |
7 | 20,8 ------ 14,8 | 19,1 ------ 13,3 | 18,1 ------ 12,6 | 17,5 ------ 12,5 | 17 ------ 11,8 |
Примечания: 1. Норматив в таблице приводится в виде дроби: в числителе - себестоимость, руб., в знаменателе - трудоемкость, чел.-ч.
2. Нормативы даны для изделий с расходом стали до 70 кг/м
3. При

расходах, кг/м
3, следует применять коэффициенты:
71 - 100 ...................... 1,05
101 - 200 ..................... 1,1
более 200 ..................... 1,15
3. Нормативы плоских армоцементных изделий без ребер рекомендуется принимать по
разделу А с коэффициентом 0,85.
4. Для плит и скорлуп-оболочек цилиндрической кривизны к нормативам
раздела Б следует вводить коэффициент 1,2, а для плит и скорлуп-оболочек двоякой кривизны - 1,3.
5. Для ребристых плит, ребра которых изготавливаются из обычного тяжелого бетона со сборными плоскими армоцементными элементами, нормативы принимаются раздельно для каждого вида бетона.
Таблица 43
Затраты на содержание и эксплуатацию форм (опалубки)
Цо на 1 м3 бетона конструкции, руб.
Вид конструкций | Объем бетона изделия, м3 | Нормативы затрат |
Блоки пролетных строений мостов и путепроводов длиной: | | |
до 12 м | - | 10 |
более 12 м | - | 13,5 |
Блоки массивных опор мостов | - | 9,1 |
Плиты проезжей части сталебетонных мостов | - | 7,2 |
Плиты ребристые настила пассажирских платформ длиной: | | |
до 6 м | - | 5,2 |
более 6 м | - | 5,4 |
Плиты гладкие (плоские) покрытий автодорог, аэродромов, крепления откосов, покрытий кабельных каналов и тоннелей длиной: | | |
до 6 м | - | 4,8 |
более 6 м | - | 5 |
Плиты анкерные и опорные опор контактной сети, автоблокировки и линий связи | До 0,5 | 4,7 |
Более 0,5 до 1 | 2,9 |
Более 1 | 1,8 |
Плиты берегоукрепления и облицовки набережных | До 0,5 | 5,9 |
Более 0,5 | 4,1 |
Плиты типа 2Т и П-образные длиной: | | |
до 6 м | - | 7,1 |
более 6 м | - | 7,8 |
Плиты корытообразные | - | 13,1 |
Объемные элементы тоннелей, коллекторов, коробов коммуникаций | - | 5,9 |
Объемные элементы путепроводов | Более 8 | 10 |
Блоки-тюбинги перегонных тоннелей, гладкие и ребристые | - | 6,7 |
Линейные конструкции мостов, путепроводов, эстакад, тоннелей, набережных: | | |
прямоугольные, с четвертями, трапецеидальные | - | 3,3 |
тавровые | - | 3,8 |
двутавровые | - | 4,2 |
крестовые и переменного сечения | - | 5,2 |
решетчатые и рамные | - | 10 |
Линейные конструкции массивные (рамные, двутавровые и др.) | Более 8 | 18 |
Стойки центрифугированных опор | До 1,5 | 8,6 |
Контактной сети связи и ЛЭП | Более 1,5 | 4,5 |
Стойки вибрированные опор ЛЭП | - | 3,2 |
Сваи-оболочки | - | 5,4 |
Звенья водопропускных труб: | | |
круглых | - | 6,5 |
прямоугольных | - | 5,9 |
Шпалы железнодорожные | До 0,1 | 6,5 |
Более 0,1 | 2 |
Шпалолежни и подрельсовые основания | - | 3,5 |
Блоки и плиты фундаментные: | | |
прямоугольные и трапецеидальные | - | 2 |
стаканного типа, таврового и двутаврового сечения | - | 2,3 |
Панели армоцементные кровельные для навесов и павильонов: | | |
плоские | - | 12,8 |
складчатые | - | 16 |
Примечания: 1. Для предварительно-напряженных конструкций, изготавливаемых по агрегатно-поточной технологии, с натяжением арматуры на формы, нормативы следует принимать с коэффициентом 1,15.
2. Для сплошных изделий, имеющих вырезы и отверстия, рекомендуется применять: коэффициент 1,1 при их числе до 5 шт. и 1,2 при большем числе.
3. Если изделие имеет выпуски арматуры, пропускаемые через отверстия форм, то к нормативам затрат рекомендуется применять коэффициенты:
при числе выпусков на 1 м2 поверхности формы не более 5 - 1,1; 6 и более - 1,15.
4. Нормативы для плит и панелей круглой или шестигранной формы рекомендуется принимать с коэффициентом 1,2.
Таблица 44
Себестоимость пара на тепловую обработку Цп 1 м3
конструкций, руб.
Наименование конструктивных элементов | Вид бетона |
тяжелый | легкий |
Блоки пролетных строений мостов и путепроводов | 2 | 1,8 |
Блоки массивных опор мостов | 1,5 | 1,3 |
Плиты проезжей части сталебетонных мостов | 1,3 | 1,1 |
Плиты ребристые для пассажирских платформ и других сооружений длиной, м: | | |
до 6 | 2,2 | 2 |
более 6 | 1,7 | 1,5 |
Плиты гладкие (плоские) покрытий автодорог, аэродромов, кабельных каналов, тоннелей, укрепления откосов | 1,6 | 1,5 |
Плиты анкерные и опорные опор контактной сети автоблокировки и линий связи | 1,8 | 1,6 |
Плиты и блоки берегоукрепления и облицовки набережных | 2,2 | - |
Плиты типа 2Т и П-образные | 3 | 2,8 |
Плиты корытообразные (лотки) | 2,8 | - |
Объемные элементы тоннелей, блоки коллекторов, коробов коммуникаций | 2,9 | 2,6 |
Блоки-тюбинги перегонных тоннелей (гладкие и ребристые) | 2,2 | 2 |
Линейные конструкции мостов, эстакад, путепроводов, платформ, набережных, тоннелей: | | |
простого профиля (прямоугольные) | 1,5 | 1,3 |
сложного профиля (таврового, двутаврового, цилиндрического) | 2,2 | 2 |
Стойки опор контактной сети, связи, ЛЭП центрифугированные | 2,7 | 2,4 |
То же, вибрированные | 1,6 | 1,4 |
Сваи-оболочки | 2 | 1,8 |
Звенья водопропускных труб (круглых и прямоугольных) | 2,5 | - |
Шпалы железобетонные, объемом, м3: | | |
до 0,1 | 3,5 | - |
более 0,1 | 1,5 | - |
Шпалолежни и основания подрельсовые | 2,8 | - |
Блоки и плиты фундаментные | 1,7 | - |
Панели армоцементные кровельные для навесов и павильонов | 2,9 | - |
Примечание. Нормативы настоящей таблицы распространяются для изделий из бетонов до марки 400. Для конструкций из бетонов высоких марок к приводимым нормативам рекомендуется применять коэффициенты:
500 ................................. 1,1
600 - 700 ............................... 1,15
800 ................................. 1,25
Таблица 45
Себестоимость Цд.з, руб., и трудоемкость
Чд.з, чел.-ч, операций по повышению заводской готовности
1 м2 поверхности конструкций
Наименование операций | Себестоимость | Трудоемкость |
всего | в том числе |
материалы | затраты на переработку |
А. Гидроизоляция | | | | |
Прокладочная: | | | | |
из рубероида или пергамина в один слой | 0,3 | 0,18 | 0,12 | 0,08 |
из толя | 0,4 | 0,28 | 0,12 | 0,08 |
из изола | 0,5 | 0,38 | 0,12 | 0,08 |
Оклеечная: | | | | |
из рубероида или пергамина в один слой | 0,65 | 0,43 | 0,22 | 0,14 |
из толя, изола и стеклорубероида | 0,85 | 0,63 | 0,22 | 0,14 |
из пленки полиэтиленовой толщиной 0,02 мм | 0,34 | 0,24 | 0,12 | 0,08 |
Обмазочная битумная | 0,4 | 0,22 | 0,18 | 0,14 |
Оклеивание стеклотканью (стеклохолст) | 2,6 | 2,2 | 0,4 | 0,26 |
Б. Стяжка и защитный слой | | | | |
Цементная стяжка раствором M75: | | | | |
толщиной 12 мм по бетону | 0,32 | 0,14 | 0,18 | 0,13 |
толщиной 20 мм по плитным конструкциям | 0,4 | 0,22 | 0,18 | 0,14 |
толщиной 25 мм по насыпным материалам | 0,5 | 0,28 | 0,22 | 0,15 |
Защитный слой из цементно-песчаного раствора марок 100 - 150 толщиной 20 мм | 0,53 | 0,26 | 0,27 | 0,17 |
При изменении толщины на каждые 10 мм добавлять или исключать | 0,26 | 0,13 | 0,13 | 0,08 |
Укладка стальной тканой сетки со стороной ячейки от 10 до 20 мм и диаметром проволоки 1 - 1,6 мм под защитный слой раствора | 1,17 | 0,73 | 0,44 | 0,11 |
Защитный слой эпоксидными смолами: | | | | |
по бетонной поверхности шпатлевкой: | | | | |
ЭП-4020 | 0,79 | 0,7 | 0,09 | 0,05 |
ЭП-4022 | 0,82 | 0,61 | 0,21 | 0,15 |
Э-00-10 | 1,12 | 0,81 | 0,31 | 0,21 |
нанесение на подготовленную поверхность грунт-шпатлевки: | | | | |
ЭП-4020 | 0,2 | 0,16 | 0,04 | 0,03 |
ЭП-4022 | 0,12 | 0,07 | 0,05 | 0,03 |
В. Отделка поверхностей и улучшение защитных свойств конструкций | | | | |
Улучшение защитных свойств поверхностей изделий гидрофобизацией водным раствором: | | | | |
ГКЖ-94 | 0,51 | 0,4 | 0,11 | 0,08 |
ГКЖ-10 | 0,16 | 0,06 | 0,1 | 0,08 |
Отделка декоративно-защитными красками: | | | | |
известковой | 0,09 | 0,01 | 0,08 | 0,06 |
клеевой | 0,11 | 0,02 | 0,09 | 0,07 |
цементной | 0,33 | 0,16 | 0,17 | 0,11 |
перхлорвиниловой и полимерцементной | 0,57 | 0,33 | 0,24 | 0,13 |
водоэмульсионной типа: | | | | |
ВА-17 | 0,15 | 0,13 | 0,02 | 0,09 |
КЧ-26 | 0,07 | 0,06 | 0,02 | 0,06 |
Примечание. Операции нанесения бетонной подготовки под гидроизоляцию конструкций пролетных строений железнодорожных мостов следует исчислять по соответствующим нормативам себестоимости (и трудоемкости) бетонной смеси и формования.
ЗАТРАТЫ НА ТРАНСПОРТИРОВАНИЕ
Цт, руб., 1 м
3 СБОРНЫХ
ЖЕЛЕЗОБЕТОННЫХ КОНСТРУКЦИЙ (В ПЛОТНОМ ТЕЛЕ)
ОТ ЗАВОДА-ИЗГОТОВИТЕЛЯ ДО СТРОИТЕЛЬНОЙ ПЛОЩАДКИ
Таблица 46
N п. п. | Вид конструкций | Масса конструкций, т, до | Расстояние перевозки, км |
до 25 | 26 - 50 | 51 - 100 |
1 | Блоки пролетных строений железнодорожных мостов | 40 | 11,5 | 15,8 | 20,2 |
2 | То же, автодорожных мостов | 15 | 5,7 | 10 | 14,4 |
3 | Блоки массивных опор мостов | 10 | 4,8 | 8,1 | 11,5 |
4 | Плиты проезжей части сталебетонных мостов | 5 | 5,1 | 8,6 | 12,4 |
| Плиты ребристые настилов пассажирских платформ | 5 | 4,4 | 7,1 | 10 |
6 | Плиты гладкие плоские покрытий автодорог, аэродромов, перекрытий кабельных каналов, тоннелей, труб, укрепления откосов земляного полотна | 5 | 4,4 | 7,1 | 10 |
7 | Плиты анкерные и опорные опор контактной сети, автоблокировки и линий связи | 5 | 4,4 | 7,1 | 10 |
| Плиты берегоукрепления и облицовки набережных | 5 | 4,4 | 7,1 | 10 |
9 | Плиты корытообразные и типа 2Т | 15 | 5,5 | 9,6 | 13,9 |
10 | Объемные элементы пешеходных тоннелей, блоки коллекторов, коробов коммуникаций и т.п. | 5 | 5,5 | 9,6 | 13,9 |
11 | Блоки-тюбинги (гладкие и ребристые) для перегонных тоннелей | 5 | 4,4 | 7,1 | 10 |
12 | Линейные конструкции простого профиля (прямоугольные) - балки, ригели, сваи, колонны, прогоны, стойки, приставки и т.п. длиной, м: | | | | |
до 12 | 15 | 5 | 8,6 | 12,3 |
более 12 | 25 | 8,1 | 13,9 | 19,9 |
13 | Линейные конструкции сложного профиля (таврового, двутаврового, цилиндрического, переменного сечения и т.п.) - балки, ригели, колонны, стойки, рамы опор, шпунт и т.п. длиной, м: | | | | |
до 12 | 15 | 6 | 8,7 | 11,4 |
более 12 | 25 | 9,7 | 14 | 18,4 |
14 | Стойки центрифугированные и вибрированные опор контактной сети, автоблокировки, связи, ЛЭП, мачты светофоров | 5 | 5,5 | 9,7 | 13,9 |
15 | Сваи-оболочки диаметром, м: | | | | |
до 2,5 | 15 | 5 | 8,4 | 11,9 |
более 2,5 | 15 | 5,9 | 9,9 | 14 |
16 | Звенья круглых труб | 5 | 4,8 | 8,2 | 11,6 |
17 | Звенья прямоугольных труб | 10 | 5,5 | 9,6 | 13,9 |
18 | Шпалы железнодорожные | 5 | 4,4 | 7,1 | 10 |
19 | Шпалолежни и подрельсовые основания | 5 | 4,4 | 7,1 | 10 |
20 | Блоки и плиты фундаментные: | | | | |
прямоугольного и трапецеидального сечения | 5 | 4,4 | 7,1 | 10 |
сложной конфигурации, таврового и двутаврового сечения | 15 | 5,5 | 9,6 | 13,9 |
21 | Панели армоцементные кровельные для навесов платформ и павильонов | 5 | 4,9 | 8,3 | 11,9 |
Примечания: 1. Затраты на транспортирование по
поз. 5 -
8 настоящей таблицы приведены для плит длиной до 3 м и шириной до 2 м. Для плит длиной от 3 до 6,5 м и шириной до 2,3 м нормативы рекомендуется применять с коэффициентом 1,14; для плит длиной свыше 6,5 до 12 м или шириной свыше 2,3 до 3 м - с коэффициентом 1,20, а при длине свыше 12 м или шириной свыше 3 м - с коэффициентом 1,34.
2. Нормативы затрат на транспортирование в настоящей таблице даны для конструкций из тяжелого бетона. При транспортировании конструкций из легкого бетона объемной массой 1800 кг/м3 к нормативам таблицы необходимо применять коэффициент 0,75.
3. Затраты на транспортирование в настоящей таблице исчислены для 1 - 6 и 10-го территориальных районов по ЕРЕР-69. Для перевозок в 7 - 9, 11 - 14 и 19-м районах нормативы таблицы принимаются с коэффициентом 1,14; в 15, 16 и 18-м районах - с коэффициентом 1,23, а в 17-м районе - с коэффициентом 1,51.
Таблица 47
Железнодорожный транспорт
N п. п. | Вид конструкций | Масса конструкции, т, до | Расстояние перевозки, км |
до 200 | 201 - 300 | 301 - 500 | 501 - 1000 |
1 | Блоки пролетных строений железнодорожных мостов | 40 | 16,2 | 17,7 | 19,2 | 22,4 |
2 | То же, автодорожных мостов | 15 | 16,4 | 18,7 | 21 | 26 |
3 | Блоки массивных опор мостов | 10 | 6,4 | 7,2 | 8 | 9,7 |
4 | Плиты проезжей части сталебетонных мостов | 5 | 10,6 | 13 | 14,9 | 19,5 |
| Плиты ребристые настилов пассажирских платформ | 5 | 10,6 | 12,7 | 14,9 | 19,5 |
6 | Плиты гладкие плоские покрытий автодорог, аэродромов, перекрытий кабельных каналов, тоннелей, труб, укрепления откосов земляного полотна | 5 | 6,2 | 7 | 7,8 | 9,5 |
7 | Плиты анкерные и опорные опор контактной сети, автоблокировки и линий связи | 5 | 6,2 | 7 | 7,8 | 9,5 |
8 | Плиты берегоукрепления и облицовки набережных | 5 | 6,2 | 7 | 7,8 | 9,5 |
9 | Плиты корытообразные типа 2Т и П-образные | 15 | 8,4 | 9,8 | 11,3 | 14,4 |
10 | Объемные элементы пешеходных тоннелей, блоки коллекторов, коробов коммуникаций и т.п. | 5 | 8,3 | 9,7 | 11,2 | 14,3 |
11 | Блоки-тюбинги (гладкие и ребристые) для перегонных тоннелей | 5 | 6,4 | 7,3 | 8,2 | 10 |
12 | Линейные конструкции (балки, ригели, колонны, стойки, сваи, шпунт, рамы опор и т.п.) длиной, м: | | | | | |
до 13,6 | 15 | 6,3 | 7,1 | 7,9 | 9,6 |
более 13,6 | 25 | 12,1 | 13,6 | 15,1 | 18,3 |
13 | Стойки центрифугированные и вибрированные опор контактной сети, автоблокировки, связи, ЛЭП, мачты светофоров, длиной, м: | | | | | |
до 13,6 | 5 | 9 | 10,1 | 11,2 | 13,6 |
более 13,6 | 5 | 10,2 | 11,6 | 13,1 | 16,2 |
| Сваи-оболочки | 15 | 13 | 15,2 | 17,5 | 22,4 |
15 | Звенья круглых труб | 5 | 8,3 | 9,7 | 11,2 | 14,3 |
16 | Звенья прямоугольных труб | 10 | 7,3 | 8,3 | 9,4 | 11,8 |
17 | Шпалы железнодорожные | 5 | 6,2 | 7 | 7,8 | 9,5 |
18 | Шпалолежни и подрельсовые основания | 5 | 6,2 | 7 | 7,8 | 9,5 |
19 | Блоки и плиты фундаментные: | | | | | |
прямоугольного и трапецеидального сечения | 5 | 6,2 | 7 | 7,8 | 9,5 |
сложной конфигурации, таврового и двутаврового сечения | 15 | 8,4 | 9,8 | 11,3 | 14,4 |
20 | Панели армоцементные кровельные для навесов платформ и павильонов | 5 | 8 | 9,4 | 10,8 | 13,8 |
Примечания: 1. Затраты на транспортирование по
поз. 5 настоящей таблицы приведены для плит ребристых длиной до 6 м, шириной 1,4 м и более.
Для плит ребристых длиной до 6 м и шириной до 1,4 м применять коэффициент 0,63; для плит ребристых длиной 7 - 12 м и шириной свыше 1,4 м - коэффициент 0,76.
2. Затраты на транспортирование по
поз. 14 настоящей таблицы даны для свай-оболочек диаметром 1; 1,6 - 2,4 м. Для свай-оболочек других диаметров затраты на перевозки принимаются с коэффициентом 0,6.
3. Нормативы настоящей таблицы исчислены для конструкций из тяжелого бетона. При транспортировании конструкций из легкого бетона объемной массой 1800 кг/м3 рекомендуется применять коэффициент 0,85.
4. Затраты на транспортирование в настоящей таблице предусмотрены для 1 - 6 и 10-го территориальных районов по ЕРЕР-69. Для перевозок в 7 - 9, 11 - 14 и 19-м районах нормативы таблицы принимаются с коэффициентом 1,03; в 15, 16, 18-м районах - с коэффициентом 1,06, а в 17-м районе - с коэффициентом 1,11.
Пример 1. Сравниваются производственная себестоимость и трудоемкость изготовления предварительно-напряженного блока пролетного строения длиной 12 м для мостов и путепроводов автомобильных дорог, армированного напрягаемой арматурой класса А-IV (эталон) и А-V (новое решение).
Выявляется эффективность замены напрягаемой арматуры класса А-IV (20ХГ2Ц) на новую сталь класса А-V.
I. Наименование, характеристика и марка конструкции
1-й вариант (эталон) - блок пролетного строения пустотелый длиной 12 м марки П-12 с расчетной нагрузкой Н-30 и НК-80, предварительно-напряженный сталью А-IV.
2-й вариант (новое решение) - тот же блок, но с напрягаемой арматурой класса А-V.
Автор проекта, серия и год выпуска:
1-й вариант - ГПИ Союздорпроект, 1968 г., серия 3.503-12, инв. N 384/25.
2-й вариант - Госдорнии, Киев, проектная проработка.
Вид бетона - тяжелый, гидротехнический.
Марка бетона: 1-й и 2-й варианты - M400, Мрз300.
Объемная масса бетона - 2500 кг/м3.
Расчетная нагрузка (1-й и 2-й варианты) - Н-30 и НК-80.
Масса конструкции (1-й и 2-й варианты) - 8500 кг.
Объем бетона (1-й и 2-й варианты) - 3,4 м3.
Расход стали:
а) на конструкцию 1-го варианта - 495,9 кг, 2-го варианта - 427,9 кг;
б) на 1 м3: 1-й вариант - 145,8 кг, 2-й вариант - 126 кг.
II. Выбор технологии изготовления и параметров
бетонной смеси
Технология изготовления (1-й и 2-й варианты) - стендовая.
Консистенция бетонной смеси (1-й и 2-й варианты) - 4 - 6 см.
Наибольшая крупность заполнителя для 1-го и 2-го вариантов: 50% объема до 10 мм и 50% до 20 мм.
III. Расход и стоимость стали
Класс и вид стали | Диаметр, мм | Вст, кг | Кст | Цст, руб. | |
1-й вариант |
А-I | 6 | 87,9 | 1,01 | 131 | 11,63 |
А-I | 8 | 83,6 | 1,01 | 126 | 10,64 |
А-I | 25 | 16,6 | 1,01 | 107 | 1,79 |
А-II | 10 | 47,8 | 1,01 | 132 | 6,37 |
А-IV | 18 | 260 | 1,03 | 143 | 38,3 |
Итого | | 495,9 | - | - | 68,73 |
2-й вариант |
А-I | 6 | 87,9 | 1,01 | 131 | 11,63 |
А-I | 8 | 83,6 | 1,01 | 126 | 10,64 |
А-I | 25 | 16,6 | 1,01 | 107 | 1,79 |
А-II | 10 | 47,8 | 1,01 | 132 | 6,37 |
А-V | 18 | 192 | 1,03 | 149 | 29,5 |
Итого | | 427,9 | - | - | 59,93 |
IV. Себестоимость и трудовые затраты приготовления
бетонной смеси
Себестоимость, руб. | Трудоемкость, чел.-ч |
1-й и 2-й варианты |
Сб = БиКбЦб = 3,4·1,01 (25·0,5 + 24,1·0,5) = 84,3 | Тб = БиКбЧб = 3,4·1,01 (1,25·0,5 + 1,2·0,5) = 4,41 |
V. Изготовление ненапрягаемой арматуры и закладных деталей
Обозначение изделий в чертеже | Наименование арматурных изделий | Число на одну конструкцию | Масса, кг | Себестоимость, руб. | Трудоемкость, чел.-ч |
одного арматурного изделия | всех изделий, приходящихся на одну конструкцию |
1-й и 2-й варианты |
КП состоит из: | Пространственный каркас | 1 | 218,1 | 218,1 | - | - |
СП-2 | Сетка | 4 | 20,9 | 83,6 | 83,6 x 0,012 = 1 | 83,6 x 0,0097 = 0,81 |
СП-3 | " | 4 | 11,1 | 44,4 | 44,4 x 0,029 = 1,29 | 44,4 x 0,023 = 1,02 |
СР-7 | " | 4 | 8,4 | 33,6 | 33,6 x 0,032 = 1,07 | 33,6 x 0,026 = 0,87 |
СР-8 | " | 6 | 4,4 | 26,4 | 26,4 x 0,053 = 1,4 | 26,4 x 0,043 = 1,14 |
СР-9 | " | 2 | 8 | 16 | 16 x 0,034 = 0,54 | 16 x 0,027 = 0,43 |
СР-10 | " | 3 | 4,7 | 14,1 | 14,1 x 0,048 = 0,68 | 14,1 x 0,039 = 0,55 |
Надбавка на сборку пространственного каркаса | - | - | - | 218,1 x 0,0102 = 2,22 | 218,1 x 0,0056 = 1,22 |
П-25 | Петли | 2 | 8,3 | 16,6 | 16,6 x 0,009 = 0,15 | 16,6 x 0,008 = 0,13 |
- | Стержни | 6 | 0,2 | 1,2 | 1,2 x 0,0222 = 0,03 | 1,2 x 0,0183 = 0,02 |
Итого (1-й и 2-й варианты) | - | - | 235,9 | 8,38 | 6,19 |
VI. Заготовка элементов напрягаемой арматуры
1-й вариант:

;

.
2-й вариант:

;

.
VII. Укладка ненапрягаемой арматуры
и закладных деталей в форму
1-й и 2-й варианты:

;

.
VIII. Натяжение напрягаемой арматуры
1-й вариант:

;

.
2-й вариант:

;

.
IX. Формование
1-й и 2-й варианты:
Сф = БиЦф = 3,4·15,2·1,1·1·1,05 = 59,7;
Тф = БиЧф = 3,4·5,9·1,1·1·1,05 = 23,2.
X. Затраты на содержание форм
1-й и 2-й варианты:
Со = БиЦо = 3,4·10·1,1 = 37,4.
XI. Себестоимость пара
1-й и 2-й варианты:
Сп = БиЦп = 3,4·2 = 6,8.
XII. Расчетная себестоимость и трудоемкость
изготовления сравниваемых блоков
N п. п. | Наименование показателей | Блок, армируемый сталью класса А-IV, 1-й вариант | Блок, армируемый сталью класса А-V, 2-й вариант |
себестоимость, руб. | трудоемкость, чел.-ч | себестоимость, руб. | трудоемкость, чел.-ч |
1 | Арматурная сталь | 68,73 | - | 59,93 | - |
2 | Бетонная смесь | 84,3 | 4,41 | 84,3 | 4,41 |
3 | Изготовление ненапрягаемой арматуры и закладных деталей | 8,38 | 6,19 | 8,38 | 6,19 |
4 | Заготовка напрягаемой арматуры | 2,8 | 2,03 | 2,05 | 1,5 |
5 | Укладка ненапрягаемой арматуры и закладных деталей в форму | 1,79 | 1,32 | 1,79 | 1,32 |
6 | Натяжение напрягаемой арматуры | 2,99 | 2,26 | 2,21 | 1,67 |
7 | Формование | 59,7 | 23,2 | 59,7 | 23,2 |
8 | Содержание форм | 37,4 | - | 37,4 | - |
9 | Себестоимость пара | 6,8 | - | 6,8 | - |
Итого расчетная производственная себестоимость | 272,89 | - | 262,56 | - |
Итого трудоемкость | - | 39,41 | - | 38,29 |
В результате проведенных расчетов выявлено, что для рассматриваемых блоков пролетных строений длиной 12 м переход на предварительно-напрягаемую арматуру класса А-V обеспечивает на 4% меньшую себестоимость и на 2,8% меньшую трудоемкость изготовления по сравнению с применяемой в них напрягаемой арматурой класса А-IV.
Пример 2. Сравниваются производственная себестоимость и трудоемкость изготовления центрифугированных конических унифицированных стоек опор ВЛ 35-330 (эталон) и центрифугированных стоек со смешанной прядевой стержневой арматурой (новое решение).
Выявляется эффективность нового решения стоек опор ЛЭП со смешанной прядево-стержневой арматурой по сравнению с унифицированной стойкой.
I. Характеристика конструкций
Наименование конструкций и марка:
1-й вариант (эталон) - центрифугированная коническая стойка СК-1 длиной 22,6 м для унифицированных железобетонных опор ВЛ 35-330;
2-й вариант (новое решение) - центрифугированная коническая стойка СК-1пс-А со смешанной прядево-стержневой арматурой длиной 22,6 м для железобетонных опор ВЛ 35-330.
Автор проекта, серия и год выпуска:
1-й вариант - Энергосетьпроект, серия 3082 ТМ-Т2-10.
2-й вариант - Энергосетьпроект, северо-западное отделение, Ленинград (для опытного применения).
Вид бетона - тяжелый. Марка бетона - M500. Объемная масса бетона - 2500 кг/м3.
Расчетная нагрузка (предельный прочностной момент) ТМ-7,13.
Масса конструкции (1-й и 2-й варианты) - 4200 кг.
Объем бетона (1-й и 2-й варианты) - 1,66 м3.
Расход стали:
а) на одну конструкцию:
1-й вариант - 478,9 кг, 2-й вариант - 284,9 кг;
б) на 1 м3:
1-й вариант - 288,5 кг, 2-й вариант - 171,2 кг.
II. Выбор технологии изготовления и параметров
бетонной смеси
Технология изготовления (1-й и 2-й варианты) - поточно-агрегатная.
Консистенция бетонной смеси (1-й и 2-й варианты) - 1 - 3 см.
Наибольшая крупность заполнителя - до 20 мм.
III. Расход и стоимость стали
Класс и вид стали | Диаметр, мм | Вст, кг | Кст | Цст, руб. | |
1-й вариант |
А-IV | 12 | 395 | 1,03 | 154 | 62,65 |
А-I | 12 | 2,3 | 1,01 | 124 | 0,29 |
А-I | 8 | 20 | 1,01 | 126 | 2,55 |
В-I | 4 | 41 | 1,02 | 157 | 6,57 |
| - | 1,2 | 1,05 | 106,6 | 0,13 |
| - | 19,4 | 1,05 | 106,6 | 2,17 |
Итого | 478,9 | - | - | 74,36 |
2-й вариант |
А-V | 12 | 87,6 | 1,03 | 161 | 14,53 |
П1 x 7 | 12 | 137 | 1,07 | 296 | 43,39 |
В-I | 4 | 19,2 | 1,02 | 157 | 3,07 |
А-I | 8 | 19,8 | 1,01 | 126 | 2,52 |
| - | 1,2 | 1,05 | 106,6 | 0,13 |
| - | 19,4 | 1,05 | 106,6 | 2,17 |
Итого | 284,2 | - | - | 65,81 |
IV. Себестоимость и трудовые затраты приготовления
бетонной смеси
Себестоимость, руб. | Трудоемкость, чел.-ч |
1-й вариант |
Сб1 = БиКбЦб = 1,66·0,99·22,8·1,03 = 38,6 | Тб1 = БиКбЧб = 1,66·0,99·1 = 1,64 |
2-й вариант |
Сб2 = БиКбЦб = 1,66·1·22,8·1,03 = 39 | Тб1 = БиКбЧб = 1,66·1 = 1,66 |
V. Изготовление арматуры и закладных деталей
Обозначение изделий в чертеже | Наименование арматурных изделий | Число на одну конструкцию | Масса, кг | Себестоимость, руб. | Трудоемкость, чел.-ч |
одного арматурного изделия | всех изделий, приходящихся на одну конструкцию |
1-й вариант |
| Цилиндрический каркас | 1 | 478,9 | 478,9 | 478,9·0,019 = 9,1 | 478,9·0,0134 = 6,42 |
Закладные детали | 18 | - | 22,9 | 22,9·0,056 = 1,28 | 22,9·0,0225 = 0,51 |
Итого | | - | - | - | 10,38 | 6,93 |
2-й вариант |
| Цилиндрический каркас | 1 | 284,2 | 284,2 | 284,2·0,028 = 7,96 | 284,2·0,0198 = 5,63 |
Закладные детали | 18 | - | 22,9 | 22,9·0,056 = 1,28 | 22,9·0,0225 = 0,51 |
Итого | | - | - | - | 9,24 | 6,14 |
VI. Заготовка элементов напрягаемой арматуры - учтена в
п. V в строке "Изготовление цилиндрического каркаса".
VII. Укладка ненапрягаемой арматуры и закладных деталей в форму - учтена в
п. V "Изготовление цилиндрического каркаса".
VIII. Натяжение напрягаемой арматуры - учтено в
п. V "Изготовление цилиндрического каркаса".
IX. Формование
1-й вариант:
Сф = БиЦф = 1,66·7·1,15 = 13,36;
Тф = БиЧф = 1,66·5,5·1,15 = 10,50.
2-й вариант:
Сф = БиЦф = 1,66·7·1,11 = 12,78;
Тф = БиЧф = 1,66·5,5·1,1 = 10,04.
X. Затраты на содержание форм
1-й и 2-й варианты: Со = БиЦо = 1,66·4,5 = 7,47.
XI. Себестоимость пара
1-й и 2-й варианты: Сп = БиЦп = 1,66·2,7·1,1 = 4,93.
XII. Расчетная себестоимость и трудоемкость
изготовления сравниваемых стоек опор ЛЭП
N п. п. | Наименование показателей | СК-1 | СК-1ПС-А |
себестоимость, руб. | трудоемкость, чел.-ч | себестоимость, руб. | трудоемкость, чел.-ч |
1 | Арматурная сталь | 74,36 | - | 65,81 | - |
2 | Бетонная смесь | 38,6 | 1,64 | 39 | 1,66 |
| Изготовление арматуры и закладных деталей | 10,38 | 6,93 | 9,24 | 6,14 |
4 | Заготовка напрягаемой арматуры | |
5 | Укладка ненапрягаемой арматуры и закладных деталей | То же |
6 | Натяжение напрягаемой арматуры | |
7 | Формование | 13,36 | 10,5 | 12,78 | 10,04 |
8 | Содержание форм | 7,47 | - | 7,47 | - |
9 | Себестоимость пара | 4,93 | - | 4,93 | - |
Итого расчетная производственная себестоимость | 149,1 | - | 139,23 | - |
Итого трудоемкость | - | 19,07 | - | 17,84 |
В результате проведенного расчета выявлено, что стойка с новым видом смешанного прядево-стержневого армирования имеет на 6% меньшую себестоимость и трудоемкость изготовления по сравнению с типовым решением армирования стойки.
Пример 3. Сравниваются производственная себестоимость и трудоемкость изготовления ненапрягаемых (эталон) и предварительно-напряженных (новое решение) свай-оболочек опор мостов длиной 10 м, диаметром 1,2 м.
I. Характеристика конструкций
Наименование конструкций и марка:
1-й вариант (эталон) - ненапрягаемая свая-оболочка длиной 10 м, диаметром 1,2 м, марки B; несущая способность оболочки по прочности на изгиб M = 225 т·м;
2-й вариант (новое решение) - предварительно-напряженная свая-оболочка длиной 10 м, диаметром 1,2 м, марки A; несущая способность оболочки по прочности на изгиб M = 240 т·м.
Автор проекта, серия и год выпуска 1-го и 2-го вариантов - Ленгипротрансмост, 1970 г., серия 3.501-58, инв. N 729.
Вид бетона - тяжелый, гидротехнический. Марка бетона: 1-й и 2-й варианты - M400, Мрз300; B - не указана; отпускная прочность - 100%.
Объемная масса бетона: 1-й вариант - 2700 кг/м3; 2-й вариант - 2600 кг/м3.
Расчетная нагрузка (несущая способность на изгиб): 1-й вариант - M = 225 т·м; 2-й вариант - M = 240 т·м.
Масса конструкции: 1-й вариант - 10 800 кг; 2-й вариант - 10 400 кг.
Объем бетона (1-й и 2-й варианты) - 4 м3.
Расход стали:
а) на одну конструкцию: 1-й вариант - 1709,8 кг; 2-й вариант - 1193,5 кг;
б) на 1 м3: 1-й вариант - 427,4 кг; 2-й вариант - 298,3 кг.
II. Выбор технологии изготовления и параметров
бетонной смеси
Технология изготовления (1-й и 2-й варианты) - агрегатно-поточная.
Подвижность бетонной смеси - 1 - 3 см.
Наибольшая крупность заполнителя (1-й и 2-й варианты) - 50% объема до 10 мм, 50% - до 20 мм.
III. Расход и стоимость стали
Класс и вид стали | Диаметр, мм | Вст, кг | Кст | Цст, руб. | |
1-й вариант |
А-I | 6 | 9,7 | 1,01 | 131 | 1,28 |
А-I | 8 | 162 | 1,01 | 126 | 20,62 |
А-II | 10 | 18 | 1,02 | 132 | 2,42 |
А-II | 25 | 1450 | 1,02 | 110 | 162,69 |
А-IV | 24 | 70,1 | 1,03 | 137 | 9,89 |
Итого | | 1709,8 | - | - | 196,9 |
2-й вариант |
А-I | 6 | 9,7 | 1,01 | 131 | 1,28 |
А-I | 8 | 162 | 1,01 | 126 | 20,62 |
А-II | 10 | 18 | 1,02 | 132 | 2,42 |
А-IV | 20 | 933,7 | 1,03 | 139 | 133,67 |
А-IV | 24 | 70,1 | 1,03 | 137 | 9,89 |
Итого | | 1193,5 | - | - | 167,88 |
IV. Себестоимость и трудовые затраты приготовления
бетонной смеси
Себестоимость, руб. | Трудоемкость, чел.-ч |
1-й вариант |
Сб1 = БиКбЦб = 4·0,98 (28·0,5 + 27·0,5) = 107,8 | Тб1 = БиКбЧб = 4·0,98 (1,25·0,5 + 1,2·0,5) = 4,82 |
2-й вариант |
Сб2 = БиКбЦб = 4·0,99 (28·0,5 + 27·0,5) = 108,9 | Тб2 = БиКбЧб = 4·0,99 (1,25·0,5 + 1,2·0,5) = 4,87 |
V. Изготовление арматуры и закладных деталей
Обозначение изделий в чертеже | Наименование арматурных изделий | Число на одну конструкцию | Масса, кг | Себестоимость, руб. | Трудоемкость, чел.-ч |
одного арматурного изделия | всех изделий, приходящихся на одну конструкцию |
1-й вариант |
| Цилиндрический каркас | 1 | 1709,8 | 1709,8 | 1709,8·0,0428 = 73,18 | 1709,8·0,0304 = 51,98 |
Анкерные детали | 80 | 0,88 | 70,1 | 70,1·0,255 = 17,88 | 70,1·0,13 = 9,11 |
Итого | | - | - | - | 91,06 | 61,09 |
2-й вариант |
| Цилиндрический каркас | 1 | 1193,5 | 1193,5 | 1193,5·0,0428 = 51,08 | 1193,5·0,0304 = 36,28 |
Анкерные детали | 80 | 0,88 | 70,1 | 70,1·0,255 = 17,88 | 70,1·0,13 = 9,4 |
Итого | | - | - | - | 68,96 | 45,39 |
VI. Заготовка элементов напрягаемой арматуры - учтена в
п. V "Изготовление цилиндрического каркаса".
VII. Укладка ненапрягаемой арматуры и закладных деталей в форму - учтена в
п. V "Изготовление цилиндрического каркаса".
VIII. Натяжение напрягаемой арматуры - учтено в
п. V "Изготовление цилиндрического каркаса".
IX. Формование
1-й вариант:
Сф1 = БиЦр = 4·13,8·1,25 = 69;
Тф1 = БиЧф = 4·7,6·1,25 = 38.
2-й вариант:
Сф2 = БиЦф = 4·13,8·1,15 = 63,48;
Тф2 = БиЧф = 4·7,6·1,15 = 34,96.
X. Затраты на содержание форм
1-й вариант: Со1 = БиЦо = 4·5,4 = 21,6;
2-й вариант: Со2 = БиЦо = 4·5,4·1,15 = 24,84.
XI. Себестоимость пара
1-й и 2-й варианты: Сп = БиЦп = 4·2 = 8.
XII. Расчетная себестоимость и трудоемкость
изготовления сравниваемых свай-оболочек
N п. п. | Наименование показателей | Ненапрягаемая свая-оболочка | Напрягаемая свая-оболочка |
себестоимость, руб. | трудоемкость, чел.-ч | себестоимость, руб. | трудоемкость, чел.-ч |
1 | Арматурная сталь | 196,9 | - | 167,88 | - |
2 | Бетонная смесь | 107,8 | 4,82 | 108,9 | 4,87 |
| Изготовление арматуры и закладных деталей | 91,06 | 61,09 | 68,96 | 45,39 |
4 | Заготовка напрягаемой арматуры | |
5 | Укладка ненапрягаемой арматуры и закладных деталей в форму | То же |
6 | Натяжение напрягаемой арматуры | |
7 | Формование | 69 | 38 | 63,48 | 34,96 |
8 | Содержание форм | 21,6 | - | 24,84 | - |
9 | Себестоимость пара | 8 | - | 8 | - |
Итого расчетная производственная себестоимость | 494,36 | - | 442,06 | - |
Итого трудоемкость | - | 103,9 | - | 85,22 |
В результате проведенного расчета установлено, что себестоимость напрягаемых свай-оболочек (новое решение) при их несколько лучших прочностных показателях оказалась на 12% меньше себестоимости ненапрягаемых свай при одновременном снижении трудоемкости изготовления на 18%.
УДК 691.328:(338.5+658.531) |