Главная // Актуальные документы // Актуальные документы (обновление 2024.12.02-2025.01.05) // Рекомендация / РекомендацииСПРАВКА
Источник публикации
М.: Стройиздат, 1974
Примечание к документу
Название документа
"Рекомендации по расчету железобетонных ростверков свайных фундаментов под колонны зданий и сооружений промышленных предприятий"
"Рекомендации по расчету железобетонных ростверков свайных фундаментов под колонны зданий и сооружений промышленных предприятий"
РЕКОМЕНДАЦИИ
ПО РАСЧЕТУ ЖЕЛЕЗОБЕТОННЫХ РОСТВЕРКОВ СВАЙНЫХ ФУНДАМЕНТОВ
ПОД КОЛОННЫ ЗДАНИЙ И СООРУЖЕНИЙ ПРОМЫШЛЕННЫХ ПРЕДПРИЯТИЙ
Рекомендации содержат основные положения по расчету железобетонных ростверков свайных фундаментов под колонны зданий и сооружений промышленных предприятий. Приведены требования по расчету стаканных ростверков под сборные железобетонные колонны, плитных ростверков под монолитные железобетонные и стальные колонны.
Рекомендации предназначены для инженерно-технических работников проектных и строительных организаций.
"Рекомендации по расчету железобетонных ростверков свайных фундаментов под колонны зданий и сооружений промышленных предприятий" разработаны в развитие главы СНиП II-В.1-62* "Бетонные и железобетонные конструкции. Нормы проектирования".
Рекомендации содержат указания по расчету ростверков под сборные железобетонные колонны со "стаканным" сопряжением колонн с ростверком под монолитные железобетонные и стальные колонны.
Рекомендации разработаны Центральным научно-исследовательским и проектно-экспериментальным институтом промышленных зданий и сооружений ЦНИИпромзданий (инженерами В.С. Балюковым, Б.Ф. Васильевым) и Научно-исследовательским институтом бетона и железобетона НИИЖБ (кандидатами техн. наук Н.Н. Коровиным, В.Н. Голосовым) при участии НИИ оснований и подземных сооружений НИИОПС (канд. техн. наук Б.В. Бахолдин).
Предназначены для инженерно-технических работников проектных организаций.
1.1. Настоящие рекомендации по расчету монолитных железобетонных ростверков отдельных свайных фундаментов под колонны зданий и сооружений промышленных предприятий являются дополнением к "Руководству по проектированию свайных фундаментов", М., Стройиздат, 1971 г.
Рекомендации разработаны в соответствии с главой СНиП II-В.1-62* "Бетонные и железобетонные конструкции. Нормы проектирования" с развитием пп. 7.62, 7.63 этих же норм, касающихся расчета на продавливание конструкций из тяжелого бетона. Рекомендации распространяются на ростверки квадратной и прямоугольной формы в плане с количеством свай в кусте от четырех и более.
1.2. Расчет ростверков производится по первому предельному состоянию (по несущей способности) на основное, дополнительное и особое сочетание расчетных нагрузок и в необходимых случаях - по третьему предельному состоянию (по раскрытию трещин) на основное и дополнительное сочетание нормативных нагрузок.
1.3. Расчет ростверков на сваях сплошного круглого сечения производится так же, как и на сваях квадратного сечения. При этом в расчете ростверка сечения круглых свай условно приводятся к сваям квадратного сечения, эквивалентного круглым сваям по площади, т.е. с размером стороны сечения, равным 0,89dсв, где dсв - диаметр свай.
2. РАСЧЕТ РОСТВЕРКОВ ПО ПРОЧНОСТИ
А. РАСЧЕТ РОСТВЕРКОВ ПО ПРОЧНОСТИ
ПОД СБОРНЫЕ ЖЕЛЕЗОБЕТОННЫЕ КОЛОННЫ
2.1. Расчет ростверков по прочности под сборные железобетонные колонны со стаканным сопряжением колонн с ростверком производится: на продавливание ростверка колонной; на продавливание угловой сваей нижней плиты ростверка; по поперечной силе в наклонных сечениях; на изгиб ростверка; на местное сжатие (смятие) под торцами колонн. Помимо этого, проверяется прочность стакана ростверка.
Расчет ростверков на продавливание колонной
2.2. Расчет на продавливание центрально нагруженных железобетонных ростверков свайных фундаментов колонной производится из условия
где P - расчетная продавливающая сила, равная сумме реакций всех свай, расположенных за пределами нижнего основания пирамиды продавливания. При этом реакции свай подсчитываются только от нормальной силы, действующей в сечении колонны у обреза ростверка;
Fбок - боковая поверхность пирамиды продавливания при высоте ее h1, где h1 - рабочая высота сечения ростверка на проверяемом участке, принимаемая от верха нижней рабочей арматуры сетки до дна стакана;
Rр - расчетное сопротивление бетона растяжению для железобетонных конструкций;
где ci - расстояние от плоскости грани колонны до плоскости ближайшей грани свай.
В преобразованном виде
формула (1) при расчете на продавливание центрально нагруженных ростверков колонной прямоугольного сечения будет иметь следующий вид:

(2)
где bк и dк - размеры сечений колонны у подошвы;
c1 - расстояние от плоскости грани колонны с размером bк до плоскости ближайшей грани свай, расположенных снаружи плоскости, проходящей по стороне колонны с размером bк;
c2 - расстояние от плоскости грани колонны с размером dк до плоскости ближайшей грани свай, расположенных снаружи плоскости, проходящей по стороне колонны с размером dк;

и

- безразмерные коэффициенты:
где

;

.
Значения коэффициентов

и

в зависимости от

принимаются по
табл. 1.
Таблица 1
Значения коэффициентов
и 
| | | | | | | |
0,3 | 5,24 | 0,48 | 3,44 | 0,66 | 2,72 | 0,84 | 2,34 |
0,31 | 5,07 | 0,49 | 3,4 | 0,67 | 2,69 | 0,85 | 2,32 |
0,32 | 4,94 | 0,5 | 3,34 | 0,68 | 2,66 | 0,86 | 2,3 |
0,33 | 4,8 | 0,51 | 3,28 | 0,69 | 2,64 | 0,87 | 2,29 |
0,34 | 4,65 | 0,52 | 3,23 | 0,7 | 2,62 | 0,88 | 2,28 |
0,35 | 4,53 | 0,53 | 3,18 | 0,71 | 2,6 | 0,89 | 2,27 |
0,36 | 4,42 | 0,54 | 3,14 | 0,72 | 2,57 | 0,9 | 2,26 |
0,37 | 4,32 | 0,55 | 3,1 | 0,73 | 2,54 | 0,91 | 2,24 |
0,38 | 4,2 | 0,56 | 3,06 | 0,74 | 2,52 | 0,92 | 2,23 |
0,39 | 4,1 | 0,57 | 3,01 | 0,75 | 2,5 | 0,93 | 2,22 |
0,4 | 4,02 | 0,58 | 2,98 | 0,76 | 2,48 | 0,94 | 2,21 |
0,41 | 3,93 | 0,59 | 2,94 | 0,77 | 2,46 | 0,95 | 2,2 |
0,42 | 3,85 | 0,6 | 2,9 | 0,78 | 2,45 | 0,96 | 2,19 |
0,43 | 3,77 | 0,61 | 2,86 | 0,79 | 2,43 | 0,97 | 2,18 |
0,44 | 3,7 | 0,62 | 2,83 | 0,8 | 2,4 | 0,98 | 2,16 |
0,45 | 3,64 | 0,63 | 2,8 | 0,81 | 2,38 | 0,99 | 2,15 |
0,46 | 3,57 | 0,64 | 2,77 | 0,82 | 2,37 | 1 | 2,13 |
0,47 | 3,5 | 0,65 | 2,74 | 0,83 | 2,36 | | |
При определении величины
P предполагается, что пирамида продавливания ограничивается боковыми сторонами, проходящими от наружных граней колонн до ближайших граней свай, при этом наклон граней принимается при
c1 >
h1 или
c2 >
h1 под углом
(рис. 1); при
c1 < 0,3
h1 или
c2 < 0,3
h1 под углом, соответствующим
c1 = 0,3
h1 или
c2 = 0,3
h1. В соответствии с этим коэффициенты
k1 и
k2 при

и

принимаются равными 1, а
c1 и
c2 - равными
h1; при

и

принимаются:
k1 = 0,3 и
k2 = 0,3, а
c1 и
c2 - равными 0,3
h1.
Рис. 1. Схема образования пирамиды продавливания
под сборной железобетонной колонной прямоугольного сечения
При квадратной колонне центрально нагруженных ростверков при
c1 =
c2 формула (2) будет иметь следующий вид:

(3)
2.3. Расчет на продавливание внецентренно нагруженных ростверков под колонны прямоугольного сечения производится по тем же формулам, что и расчет на продавливание центрально нагруженных ростверков, но при этом расчетная величина продавливающей силы принимается:

, где

- сумма реакций всех свай, расположенных с одной стороны от оси колонны в наиболее нагруженной части ростверка за вычетом реакций свай, расположенных в зоне пирамиды продавливания с этой же стороны от оси колонны.
При моментах, действующих в двух направлениях, величина

определяется в каждом направлении отдельно; в расчете принимается

из этих величин.
Примечание. При стаканном сопряжении сборной колонны с ростверком и эксцентриситете
e > 0,5
dк допускается величину

определять, принимая величину момента
M = 0,5
dкN; при этом высота ростверка определяется из расчета на продавливание по периметру колонны. При полном моменте
M =
eN и соответствующей ему сумме реакций

высота ростверка должна, кроме того, проверяться на продавливание по наружному периметру "стакана".
2.4. При сборных железобетонных двухветвевых колоннах, имеющих общий стакан, высота ростверка на продавливание колонной рассчитывается как при колонне сплошного прямоугольного сечения по общему периметру колонны
(рис. 2).
Рис. 2. Схема образования пирамиды продавливания
под сборной железобетонной двухветвевой колонной
2.5. При многорядном расположении свай
(рис. 3) помимо расчета ростверка на продавливание колонной по пирамиде продавливания, боковые стороны которой проходят от наружных граней колонны до ближайших граней свай, должна быть проведена проверка на продавливание ростверка колонной в предположении, что продавливание происходит по поверхности пирамиды, две или все четыре боковые стороны которой наклонены под углом 45°.
Рис. 3. Схема образования пирамид продавливания
под сборной железобетонной колонной при многорядном
расположении свай за наружными гранями колонны
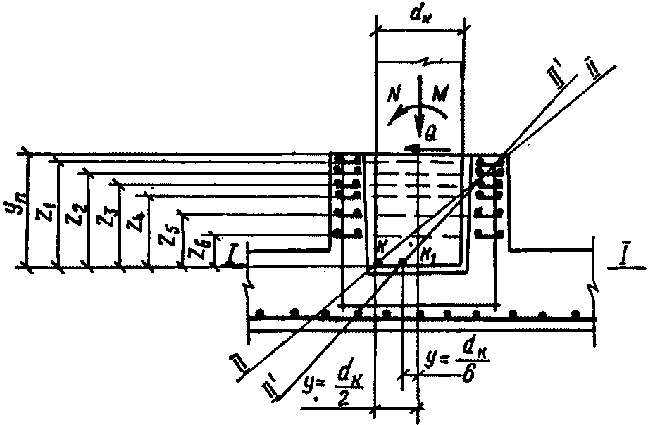
2.6. При стаканном сопряжении колонны с ростверком в тех случаях, когда стенки стакана имеют большие толщины, например, в плитных ростверках
(рис. 4), можно производить расчет ростверка на продавливание колонной, принимая
h1 от верха ростверка, при условии соблюдения требования

(4)
где

;

;
P - расчетная продавливающая сила, равная сумме реакций всех свай, подсчитанных от нормальной силы, действующей в сечении колонны у обреза ростверка;
Fб - наименьшая площадь вертикального сечения бетона ростверка по оси колонны за вычетом стакана и площади трапеции, расположенной под стаканом с наклоненными под углом 45° сторонами (на
рис. 4 площадь трапеции показана пунктирными линиями). При определении величины
Fб высота ростверка должна приниматься не более 2
hк (в расчет принимаются ступени, в которые заглублена колонна);
hк - глубина заделки колонны в стакан ростверка;
dк - размер сечения колонны в плоскости, соответствующей площади Fб;
Rр - расчетное сопротивление бетона растяжению для железобетонных конструкций.
Рис. 4. Схема свайного фундамента с плитным ростверком
Расчет ростверка на продавливание угловой сваей
2.7. Расчет ростверка на продавливание угловой сваей производится из условия

(5)
где Pф,i - расчетная нагрузка на угловую сваю, включая влияние местной нагрузки (например, от стенового заполнения), с учетом моментов в двух направлениях;
b01 и
b02 - расстояния внутренних граней угловой сваи до наружных граней плиты ростверка
(рис. 5);
c01 и c02 - расстояния от плоскости внутренних граней свай до ближайших граней подколонника (стакана) ростверка или до ближайших граней ступени при ступенчатом ростверке;
h01 - высота нижней ступени от верха свай;
Rр - расчетное сопротивление бетона растяжению для железобетонных конструкций;

и

- безразмерные коэффициенты, принимаемые по
табл. 2.
Таблица 2
Значения коэффициента 
| | | | | | | |
0,3 | 1,05 | 0,42 | 0,84 | 0,56 | 0,73 | 0,7 | 0,67 |
0,32 | 1 | 0,44 | 0,82 | 0,58 | 0,72 | 0,75 | 0,66 |
0,34 | 0,96 | 0,48 | 0,78 | 0,6 | 0,71 | 0,8 | 0,65 |
0,36 | 0,92 | 0,5 | 0,76 | 0,62 | 0,7 | 1 | 0,64 |
0,38 | 0,89 | 0,52 | 0,75 | 0,64 | 0,69 | | |
0,4 | 0,86 | 0,54 | 0,74 | 0,67 | 0,68 | | |
Примечания: 1. При
k01 и
k02, меньшем 0,3, коэффициенты

и

принимаются соответственно такими же, как и при
k0i = 0,3, т.е. равными 1,05; при этом
c01 и
c02 принимаются равными 0,3
h01.
При
k01 и
k02, большем 1, коэффициенты

и

принимаются равными 0,64, а величины
c01 и
c02 - равными
h01.
2. В тех случаях, когда угловая свая в ростверках с подколонником заходит в плане за обе грани подколонника на 50 мм и более, проверка на продавливание плиты ростверка угловой сваей может не производиться.
Рис. 5. Схема продавливания ростверка угловой сваей
Расчет прочности наклонных сечений
ростверка по поперечной силе
2.8. Расчет прочности наклонных сечений ростверка по поперечной силе производится по формуле
где

- сумма реакций всех свай, находящихся за пределами наклонного сечения;
b - ширина подошвы ростверка;
Rр - расчетное сопротивление бетона растяжению для железобетонных конструкций;
h0 - рабочая высота в рассматриваемом сечении ростверка;
m - безразмерный коэффициент, принимаемый по
табл. 3 в зависимости от отношения

, где
c - длина проекции наклонного сечения, принимаемая равной расстоянию от плоскости внутренних граней свай до ближайшей грани подколонника или ступени ростверка (
рис. 6,
а), а при плитных ростверках - до ближайшей грани колонн (
рис. 6,
б).
Примечание. В ступенчатых ростверках при проверке прочности наклонных сечений, пересекающих две ступени, за расчетную величину
b в
формуле (6) принимается приведенная величина
bп, определяемая по формуле
где b - ширина нижней ступени (ширина подошвы ростверка);
b2 - ширина второй ступени;
h01 - рабочая высота нижней ступени ростверка;
h2 - высота второй ступени ростверка.
Таблица 3
| m | | m | | m | | m |
0,3 | 2,45 | 0,42 | 1,81 | 0,54 | 1,47 | 0,78 | 1,15 |
0,31 | 2,38 | 0,43 | 1,77 | 0,56 | 1,43 | 0,8 | 1,13 |
0,32 | 2,31 | 0,44 | 1,73 | 0,58 | 1,39 | 0,82 | 1,11 |
0,33 | 2,24 | 0,45 | 1,7 | 0,6 | 1,36 | 0,84 | 1,09 |
0,34 | 2,18 | 0,46 | 1,67 | 0,62 | 1,33 | 0,86 | 1,08 |
0,35 | 2,12 | 0,47 | 1,64 | 0,64 | 1,3 | 0,88 | 1,07 |
0,36 | 2,07 | 0,48 | 1,61 | 0,66 | 1,27 | 0,9 | 1,06 |
0,37 | 2,02 | 0,49 | 1,59 | 0,68 | 1,25 | 0,92 | 1,04 |
0,38 | 1,97 | 0,5 | 1,56 | 0,7 | 1,23 | 0,94 | 1,03 |
0,39 | 1,93 | 0,51 | 1,54 | 0,72 | 1,2 | 0,96 | 1,02 |
0,4 | 1,88 | 0,52 | 1,52 | 0,74 | 1,18 | 0,98 | 1,01 |
0,41 | 1,85 | 0,53 | 1,49 | 0,76 | 1,16 | 1 | 1 |
Примечание. При
c < 0,3
h0 коэффициент
m принимается равным 2,45; при
c >
h0 коэффициент
m определяется из условия

и принимается не менее 0,6.
Рис. 6. Схемы, принимаемые при расчете прочности
наклонных сечений ростверка по поперечной силе
а - для ростверка с подколонником; б - для плитного
ростверка; в - для ростверка с многорядным
расположением свай за гранью подколонника
2.9. При многорядном расположении свай проверка прочности наклонных сечений ростверка производится по сечениям, проходящим через внутренние грани каждого ряда свай (
рис. 6,
в).
Расчет ростверка на изгиб
2.10. Расчет прочности ростверка на изгиб производится в сечениях по граням колонны, а также по наружным граням "стакана" ростверка или по граням ступеней ростверка.
2.11. Расчетный изгибающий момент для каждого сечения определяется как сумма моментов от реакции свай (от расчетных нагрузок на ростверк) и от местных расчетных нагрузок, приложенных к консольному свесу ростверка по одну сторону от рассматриваемого сечения:

(7)

(8)
где Mа,i и Mв,i - изгибающие моменты в рассматриваемых сечениях;
M0а и M0в - изгибающие моменты в рассматриваемых сечениях от местной нагрузки;
Pф.п - расчетная нагрузка на сваю, нормальная к площади подошвы ростверка;
xi и yi - расстояния соответственно от осей свай до рассматриваемого сечения.
Примечание. При работе свай на выдергивание необходимо производить проверку прочности ростверка на изгиб на действие отрицательных реакций свай.
2.12. Сечение арматуры, параллельной стороне
a, в сечении
1-
1 (рис. 7) на всю ширину ростверка определяется по формуле

(9)
Рис. 7. Расчетная схема для определения
арматуры подошвы ростверка
То же, по грани ступени в сечении 2-2

(10)
Сечение арматуры, параллельной стороне b, в сечении 3-3 на всю длину ростверка определяется по формуле

(11)
То же, то грани ступени в сечении 4-4

(12)
где Mа1 и Mа2 - изгибающие моменты на всю ширину ростверка соответственно в сечениях 1-1 и 2-2;
Mв1 и Mв2 - изгибающие моменты на всю длину ростверка соответственно в сечениях 3-3 и 4-4.
H0 - рабочая высота ростверка в сечении 1-1;
h0 - рабочая высота ростверка в сечении 2-2;

- рабочая высота ростверка в сечении
3-3;

- рабочая высота ростверка в сечении
4-4;
Rа - расчетное сопротивление арматуры.
2.13. При расчете ростверка на изгиб, помимо проверки прочности нормальных сечений, для крайних свай необходимо дополнительно производить проверку прочности наклонных сечений по изгибающему моменту, равному:

- с учетом возможного понижения расчетного сопротивления арматуры на длине зоны анкеровки из условия

(13)
где Fа - площадь арматуры на всю ширину ростверка;

- сумма реакций всех свай крайнего ряда со стороны рассматриваемого сечения плитной части ростверка;
M0 - изгибающий момент от местной нагрузки [собственный вес ростверка, засыпка земли на уступе плиты и т.п.
(рис. 8)];
c - расстояние от плоскости внутренних граней свай крайнего ряда до плоскости ближайшей грани подколонника или ступени ростверка, или до ближайшей грани колонны при плитных ростверках (см.
рис. 8);
dсв - размер сечения сваи;
Rа - расчетное сопротивление арматуры;
lан - длина анкеровки арматуры, принимаемая при армировании сварными сетками и бетоне марки 200 и более равной

для стержней из стали класса А-II и

для стержней из стали класса А-III;
lб = l0 + x, где l0 - расстояние от оси свай крайнего ряда до наружной грани ростверка;
где b - ширина ростверка;
h - полная высота плитной части ростверка;
Rр - расчетное сопротивление бетона растяжению для бетонных конструкций.
Рис. 8. Расчетная схема при проверке рабочей
арматуры в плите ростверка на прочность
при изгибе по наклонным сечениям
Если lб >= lан, то проверки прочности наклонных сечений не требуется.
Расчет стаканной части ростверка
2.14. В ростверках стаканного типа, когда отношение толщины стенок стакана к высоте его уступа или к глубине стакана равно или более 0,75, стенки стакана не армируются. При отношении стенок стакана к высоте его уступа или глубине стакана менее 0,75 стенки стакана ростверка рассчитываются как железобетонные элементы.
Расчет продольной арматуры стенок стакана производится на внецентренное сжатие как коробчатого сечения в плоскости заделанного торца колонны (
рис. 9, сечение
I-
I).
Рис. 9. Расчетная схема стаканной части ростверка
Минимальная площадь продольной арматуры в стенках стакана должна составлять не менее 0,05% расчетного сечения бетона стакана. При этом должны удовлетворяться требования по анкеровке продольной арматуры стенок стакана в плитной части ростверка.
Поперечная арматура в стенках стакана в сечениях
II-
II и
II'-
II' (см.
рис. 9) определяется по расчетному моменту от действия сил относительно оси, проходящей через точку
k или
k1 поворота колонны.
Величины моментов принимаются равными:
при

Mк1 =
M +
Qyn - 0,7
Ne0; (14)
при


(15)
при этом
Mк принимается не менее величины
Mк1, определяемой по
формуле (14),
где M - изгибающий момент на уровне верха стакана;
N - продольная сила;
Q - поперечная сила на уровне верха стакана.
Поперечная арматура определяется из уравнений:

и

,
где n - число горизонтальных сеток в стенках стакана;
Rа - расчетное сопротивление арматуры в стержнях сетки;
Fа,i - сечение арматуры в стержнях сетки каждого направления;
Zi - расстояние по высоте от каждой сетки до дна стакана.
При одинаковых диаметрах поперечной арматуры и одинаковой марке стали площадь сечения поперечной арматуры каждой сварной сетки будет равна:
при


(16)
при


(17)
В случае заглубления стакана в плитную часть ростверка
(рис. 10) сечение поперечной арматуры также определяется по
формулам (14) -
(17), при этом сетки поперечного армирования становятся в пределах подколонника.
Рис. 10. Расчетная схема стаканной части ростверка
при заглублении стакана в плитную часть ростверка
В случае действия нормальной силы в пределах ядра сечения

поперечное армирование стенок стакана назначается конструктивно.
Расчет ростверка на местное сжатие
2.15. При проектировании ростверков свайных фундаментов под сборные железобетонные колонны должна быть произведена проверка прочности на местное сжатие (смятие) ростверка под торцами колонн.
2.16. Расчет на местное сжатие (смятие) под торцами сборных железобетонных колонн квадратного и прямоугольного сечения и под торцами двухветвевых колонн с распоркой внизу производится по формуле
где N - расчетная нормальная сила в сечении колонны у обреза ростверка;
Rпр - призменная прочность бетона ростверка для бетонного элемента;
F - площадь сечения колонны (для двухветвевых колонн площадь сечения колонны принимается по полной площади колонны, включая и распорку).
Расчет на местное сжатие (смятие) под торцами ветвей сборных железобетонных двухветвевых колонн без распорки внизу (см.
рис. 2) производится по формуле
где N1 - максимальная расчетная нормальная сила в сечении наиболее нагруженной ветви колонны;
F1 - площадь сечения ветви колонны.
В
табл. 4 и
5 для ряда сечений колонн при марках бетона ростверка 150, 200 и 300 приведены предельные величины расчетных нормальных сил
N и
N1, соответствующие значениям, определенным по
формулам (18) и
(19).
Таблица 4
Предельные величины расчетных нормальных сил N в колоннах
прямоугольного сечения и в двухветвевых колоннах
с распоркой внизу, при которых не требуется
расчета на сжатие под торцами колонн
Сечение колонн в см | Марки бетона ростверка |
150 | 200 | 300 |
N в т |
40 x 40 | 145 | 170 | 275 |
40 x 60 | 215 | 250 | 410 |
50 x 50 | 225 | 260 | 430 |
50 x 60 | 270 | 310 | 520 |
40 x 80 | 290 | 340 | 550 |
50 x 80 | 360 | 420 | 690 |
40 x 100 | 360 | 420 | 690 |
50 x 100 | 450 | 520 | 860 |
50 x 130 | 580 | 680 | 1100 |
50 x 140 | 630 | 730 | 1200 |
60 x 140 | 750 | 880 | 1450 |
Таблица 5
Предельные величины расчетных нормальных сил N1
в ветвях двухветвевых колонн без распорок внизу, при которых
не требуется расчета на сжатие под торцами ветвей колонн
Сечение ветви колонн в см | Марка бетона ростверка |
150 | 200 | 300 |
N1 в т |
40 x 20 | 95 | 110 | 180 |
40 x 25, 50 x 20 | 120 | 140 | 230 |
50 x 25 | 150 | 175 | 290 |
50 x 30 | 180 | 210 | 350 |
60 x 30 | 210 | 250 | 410 |
60 x 35 | 250 | 290 | 480 |
При

усилиях необходимо под опорами колонн в верхней части стакана вводить дополнительное косвенное армирование в виде сварных сеток. Расчет косвенного армирования должен производиться согласно указаниям
п. 7.13 главы СНиП II-В.1-62* "Бетонные и железобетонные конструкции. Нормы проектирования".
Б. РАСЧЕТ РОСТВЕРКОВ ПО ПРОЧНОСТИ
ПОД МОНОЛИТНЫЕ ЖЕЛЕЗОБЕТОННЫЕ КОЛОННЫ
2.17. Расчет ростверков под монолитные железобетонные колонны по прочности производится на продавливание ростверка колонной, на продавливание угловой сваей нижней плиты ростверка, по поперечной силе в наклонных сечениях и на изгиб ростверка.
2.18. Расчет ростверков на продавливание колонной производится по
пп. 2.2,
2.3,
2.5, при этом в
формулах (2) и
(3) рабочая высота ростверка
h1 должна приниматься от верха ростверка до верха нижней рабочей арматуры сетки
(рис. 11).
Рис. 11. Схема образования пирамиды продавливания
при монолитной железобетонной колонне
Расчет ростверков на продавливание угловой сваей производится по
п. 2.7; расчет прочности наклонных сечений ростверка по поперечной силе производится по
пп. 2.8,
2.9, а расчет ростверка на изгиб - по
пп. 2.10,
2.11,
2.12 и
2.13.
В. РАСЧЕТ РОСТВЕРКОВ ПО ПРОЧНОСТИ ПОД СТАЛЬНЫЕ КОЛОННЫ
2.19. Расчет ростверков под стальные колонны по прочности производится: на продавливание ростверка колонной; на продавливание ростверка угловой сваей; по поперечной силе в наклонных сечениях; на изгиб ростверка и на местное сжатие (смятие) под стальными опорными плитами базы стальных колонн.
Расчет ростверка на продавливание колонной
2.20. При стальных колоннах сплошного сечения
(рис. 12) и при сквозных (решетчатых) колоннах, имеющих единую стальную жесткую базу
(рис. 13), расчет на продавливание ростверка колонной производится из условия

(20)
где
P - расчетная продавливающая сила. При центрально нагруженных ростверках величина
P принимается равной сумме реакций всех свай, расположенных за пределами нижнего основания пирамиды продавливания от нормальной силы, действующей в колонне у обреза ростверка. При внецентренно нагруженных ростверках расчетная величина продавливающей силы принимается равной

, где

- сумма реакций всех свай, расположенных с одной стороны от оси колонны в наиболее нагруженной части ростверка, за вычетом свай, расположенных в зоне пирамиды продавливания с этой же стороны от оси колонны;
bп и aп - размеры опорной стальной плиты базы колонны;
H1 - рабочая высота ростверка, принимаемая от верха нижней рабочей арматуры сетки до подошвы опорной стальной плиты базы колонны;
c1 - расстояние от плоскости грани опорной стальной плиты базы колонны до плоскости ближайшей грани свай, расположенных снаружи плоскости, проходящей по стороне bп;
c2 - расстояние от плоскости грани опорной стальной плиты базы колонны до ближайшей грани свай, расположенных снаружи плоскости, проходящей по стороне с размером aп.
Рис. 12. Схема образования пирамиды продавливания
при стальных колоннах сплошного сечения
Рис. 13. Схема образования пирамиды
продавливания при сквозных (решетчатых)
колоннах, имеющих единую стальную базу
При
c1 < 0,3
H1 и
c2 < 0,3
H1 величины
c1 и
c2 в
формуле (20) принимаются равными 0,3
H1, а
k1 и
k2 при определении коэффициентов

и

принимаются равными 0,3.
При
c1 >
H1 и
c2 >
H2 величины
c1 и
c2 принимаются равными
H1, а
k1 и
k2 - равными 1 (см.
п. 2.2).
2.21. При сквозных решетчатых стальных колоннах, имеющих раздельные базы под каждую ветвь колонны
(рис. 14), расчет ростверка производится на продавливание наиболее нагруженной ветвью колонны по периметру стальной плиты базы этой ветви. Расчет производится по
формуле (20), при этом за расчетную величину продавливающей силы принимается

, где

- сумма реакций всех свай, расположенных с наружной стороны от оси ветви, за вычетом реакций свай, расположенных в зоне пирамиды продавливания с этой же стороны от оси ветви колонны.
Рис. 14. Схема образования пирамиды продавливания
при стальных сквозных (решетчатых) колоннах, имеющих
раздельные стальные базы под каждой ветвью
Расчет ростверка на продавливание угловой сваей
2.22. Расчет ростверка на продавливание угловой сваей при стальных колоннах производится по
п. 2.7, при этом в
формуле (5) величины
c01 и
c02 в плитных ростверках принимаются равными расстояниям от плоскостей внутренних граней угловой сваи до соответствующих ближайших граней опорного стального листа базы колонны, а при ступенчатых ростверках - до соответствующих ближайших граней ступени ростверка.
Расчет прочности наклонных сечений
ростверка по поперечной силе
2.23. Расчет прочности наклонных сечений ростверка по поперечной силе производится по
пп. 2.8,
2.9, при этом в
формуле (6) величина
c (длина проекции наклонного сечения) принимается равной расстоянию от плоскостей внутренних граней свай до ближайшей грани опорной стальной плиты базы колонны, а при ступенчатых ростверках - до ближайшей грани ступени.
Расчет ростверка на изгиб
2.24. Расчет прочности ростверков на изгиб при стальных колоннах производится в сечениях по осям ветвей колонн, а в ступенчатых ростверках, кроме того, - в сечениях по граням ступеней ростверка.
2.25. Расчетный изгибающий момент для каждого сечения определяется как сумма моментов от реакций свай (от расчетных нагрузок на ростверк) и расчетных нагрузок, приложенных к консольному свесу ростверка по одну сторону от рассматриваемого сечения.
2.26. Проверки прочности наклонных сечений по изгибающему моменту производятся по
п. 2.13. При этом величина
c в
формуле (13) принимается равной расстоянию от плоскости внутренних граней свай крайнего ряда до ближайшей боковой грани стальной опорной плиты базы колонны при плитном ростверке или до грани ступени при ступенчатом ростверке.
Расчет ростверка на местное сжатие
2.27. Расчет на местное сжатие (смятие) под стальными опорными плитами базы стальных колонн производится по формуле

(21)
где N - расчетная нормальная сила на опорную плиту базы колонны;
F1 - площадь опорной плиты базы колонны;

, но не более 1,5;
F - расчетная площадь сечения, определяемая по указаниям п. 6.12 СНиП II-В.1-62* "Бетонные и железобетонные конструкции. Нормы проектирования".
При больших усилиях в опорных частях колонн для уменьшения размеров баз колонн допускается применять в верхних частях ростверка дополнительное местное косвенное армирование в виде сеток. Расчет на местное сжатие (смятие) с учетом косвенного армирования должен производиться согласно указаниям п. 7.13 СНиП II-В.1-62*.
3. РАСЧЕТ РОСТВЕРКОВ ПО РАСКРЫТИЮ ТРЕЩИН
3.1. При применении для армирования подошвы ростверка арматуры из стали класса А-III необходимо производить проверку ширины раскрытия нормальных трещин.
Расчет по раскрытию трещин должен производиться согласно указаниям п. 10.4 СНиП II-В.1-62*. Ширина раскрытия нормальных трещин aт должна быть не более 0,2 мм.
4. КОНСТРУКТИВНЫЕ УКАЗАНИЯ
4.1. Форму ростверков отдельных свайных фундаментов в плане при центральной нагрузке рекомендуется принимать квадратную, если этому не препятствуют фундаменты соседних зданий, подземные сооружения, фундаменты под оборудование и т.д.
При внецентренной нагрузке ростверки рекомендуется принимать прямоугольной формы в плане с соотношением сторон, определяемым на основе сравнений вариантов из условия размещения свай, их несущей способности, эксцентриситета нагрузок и т.п.
4.2. Размеры ростверков рекомендуется принимать:
в плане подошвы, ступеней, подколонника - кратными 300 мм;
по высоте плитной части, ступеней и подколонника - кратными 150 мм;
расстояние от края плиты ростверка до ближайших граней свай - не менее 100 мм.
Примечание. Расстояние от края плиты ростверка до ближайших граней свай с учетом допусков на производство работ должно быть не менее 50 мм.
4.3. Проектную марку бетона по прочности на сжатие для ростверков отдельных свайных фундаментов рекомендуется назначать не ниже 150.
4.4. Для армирования ростверков применяется стержневая горячекатаная арматура периодического профиля классов А-II, А-III и круглая (гладкая) класса А-I.
4.5. При стаканном сопряжении сборных железобетонных колонн с ростверком толщина дна стакана принимается по расчету ростверка на продавливание колонной, но не менее 250 мм.
При проектировании стаканной части ростверка следует пользоваться "Руководством по проектированию фундаментов на естественном основании под колонны зданий и сооружений промышленных предприятий".
4.6. Бетон для замоноличивания стаканов ростверков под сборные колонны должен быть не ниже марки бетона ростверка и не ниже марки бетона колонны, уменьшенной на одну ступень.
4.7. Армирование плит ростверков рекомендуется осуществлять в каждом направлении отдельными сварными сетками. Расстояние между осями рабочих стержней в сетках должно приниматься, как правило, равным 200 мм.
Диаметр рабочих стержней рекомендуется принимать: при длине стержней до 3 м - не менее 10 мм; при длине стержней более 3 м - не менее 12 мм.
Минимальный процент армирования плиты ростверка не регламентируется.
4.8. Для изготовления рабочей арматуры сварных сеток рекомендуется горячекатаная арматура периодического профиля из стали класса А-II. Может применяться также горячекатаная арматура периодического профиля из стали класса А-III при условии проверки ширины раскрытия нормальных трещин.
4.9. Арматурные сетки, как правило, должны быть сварены во всех точках пересечения стержней.
Допускается часть пересечений связывать проволокой при условии обязательной сварки всех точек пересечений в двух крайних рядах по периметру сеток.
Для обеспечения анкеровки рабочей арматуры по концам сеток на расстоянии 25
мм от конца продольных стержней должны быть предусмотрены поперечные стержни диаметром

, где
d - диаметр продольной арматуры
(рис. 15).
Рис. 15. Расположение сварных сеток
при армировании плиты ростверка
4.10. При заделке верхних концов свай в плиту ростверка на глубину 50 мм арматурные сетки плиты ростверка укладываются сверху на оголовки свай. При заделке свай в плиту ростверка на большую глубину стержни сеток, попадающие на сваи, вырезаются и сетки укладываются с защитным слоем 50 мм.
В случае необходимости по расчету взамен вырезанных стержней по контуру свай укладываются дополнительно местные сетки или отдельные стержни, привязанные к основным сеткам.
4.11. Армирование стенок стакана ростверка под сборные железобетонные колонны производится продольной и поперечной арматурой
(рис. 16).
Рис. 16. Армирование стаканной части ростверка
Поперечное армирование стенок стакана следует выполнять в виде сварных сеток с расположением стержней у наружных и внутренних поверхностей стенок.
Диаметр арматурных стержней сеток принимается по расчету, но не менее 0,25 диаметра продольной арматуры стенок стакана ростверка.
Расстояние между сетками следует принимать не более 0,25 глубины заделки колонн и не более 200 мм.
При определении сечения арматуры сеток по
формуле (14) в верхней части стакана рекомендуется устанавливать 2 - 3 сетки с шагом 100
мм.
Продольная арматура стенок стакана устанавливается по расчету и должна проходить внутри ячеек сеток поперечного армирования.
4.12. Сетки косвенного поперечного армирования, необходимые по расчету на местное сжатие (смятие) под торцами сборных железобетонных колонн, устанавливаются в количестве не менее 2 шт., а под опорными плитами базы стальных колонн - в количестве не менее 4 шт. с расстоянием по высоте 50 - 100 мм.
4.13. Соединение монолитных колонн с монолитными ростверками осуществляется так же, как и с монолитными фундаментами на естественном основании (см. "Руководство по проектированию фундаментов на естественном основании под колонны зданий и сооружений промышленных предприятий").
4.14. При проектировании ростверков под стальные колонны помимо настоящих рекомендаций следует пользоваться "Руководством по проектированию фундаментов на естественном основании под колонны зданий и сооружений промышленных предприятий".
5. ПРИМЕРЫ РАСЧЕТА РОСТВЕРКОВ
ПРИМЕР 1
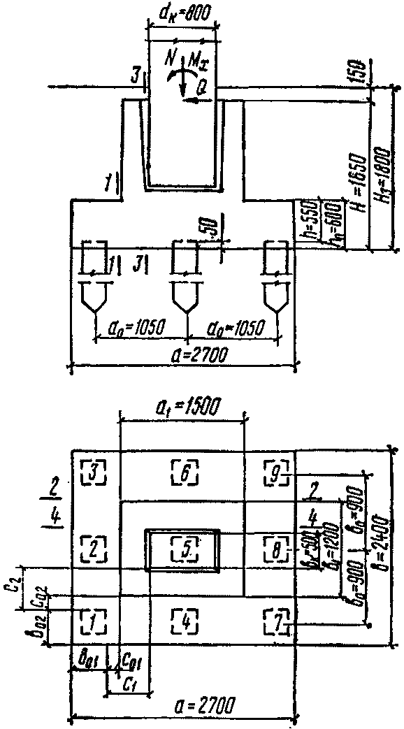
Дано: свайный фундамент под сборную железобетонную колонну; размеры сечения колонны: aк = 80 см; bк = 50 см. Бетон марки 300. Арматура из горячекатаной стали класса А-II.
Расчетные нагрузки на ростверк от колонны на уровне верха ростверка: N = 370 т; M = 80 т·м; Q = 10 т. Сваи забивные железобетонные квадратные с размерами сечений 30 x 30 см.
Несущая способность свай из условий сопротивления грунта основания свай Pф = 50 т; несущая способность крайних свай (с учетом перегрузки в размере 20% их несущей способности) Pф,1 = 60 т.
Ростверк принимаем прямоугольной формы в плане размером 270 x 240 см. Размеры подколонника (стакана) в плане 150 x 120 см. Колонна заделывается в ростверк на глубину hк = 90 см. Отметка верха ростверка 0,15 м (от уровня чистого пола).
Куст свай под ростверком принимается из девяти свай. Расположение свай в кусте и расстояние между сваями в осях приведены на
рис. 17.
Рис. 17. Внецентренно нагруженный свайный
фундамент под сборную железобетонную колонну
Верхние концы свай заделываются в плиту ростверка на 50 мм.
Расчет ростверка на продавливание колонной
Определение величин реакций свай от расчетных нагрузок колонны на ростверк на уровне верха ростверка:
а) в первом ряду свай от края ростверка со стороны наиболее нагруженной части ростверка
б) реакции свай во втором ряду от края ростверка
Pф,2 = 41,1 т.
Определение величины продавливающей силы (см.
п. 2.3)
Задаемся толщиной дна стакана ростверка hдн = 75 см.
Рабочая высота дна стакана
h1 = hдн - a1 = 75 - 7 = 68 см.
Определяем величины c1 и c2 (расстояния от плоскостей граней колонны до соответствующих ближайших граней свай):
Определение величин k1 и k2:
По
табл. 1 по значениям
k1 и
k2 находим:

и

Определяем предельную величину продавливающей силы, которую может воспринять ростверк с заданной толщиной дна стакана:
Pп = [2,52(0,5 + 0,5) + 2,52(0,8 + 0,5)]0,68·105 =
= 414 т > P = 405 т,
следовательно, прочность ростверка на продавливание колонной обеспечена.
Принимаем толщину дна стакана ростверка hдн = 75 см.
Полная высота ростверка Hр = hк + hдн = 90 + 75 = 165 см.
Расчет ростверка на продавливание угловой сваей
Определяем величину расчетной нагрузки на наиболее нагруженную угловую сваю с учетом нагрузок от собственного веса ростверка и веса грунта на уступах ростверка.
Усредненный вес грунта и собственный вес ростверка принимаем равным

, коэффициент перегрузки
nп = 1,1.
Расчетная нагрузка на сваи от собственного веса ростверка и веса грунта на уступах ростверка:
Nп = N + G = 370 + 27 = 397 т;
Mп = M + QHр = 80 + 10·1,65 = 96,5 т·м.
Расчетная нагрузка на угловую сваю
следовательно, несущая способность сваи обеспечена.
Задаемся высотой плиты ростверка h = 60 см.
Высота плиты ростверка от верха головки сваи
h01 = h - 5 см = 60 - 5 = 55 см.
Определяем величины b01; b02; c01; c02:
Определяем величины коэффициентов k01 и k02:

также меньше 0,3. Принимаем
k02 = 0,3;
c02 = 16,5 см.
При
k01 и
k02 < 0,3 коэффициенты

и

равны 1,05 (см.
табл. 2).
Определяем предельную нагрузку на угловую сваю, которую может воспринять плита ростверка из условия продавливания угловой сваей
следовательно, прочность плиты ростверка на продавливание угловой сваей обеспечена.
Расчет прочности наклонных сечений плиты
ростверка по поперечной силе
Q <= mbh0Rр.
Определяем расчетную величину поперечной силы со стороны наиболее нагруженной части ростверка как сумму реакций всех свай крайнего ряда от расчетных нагрузок на сваи
коэффициент
m определяется по
табл. 3 в зависимости от отношения

;
c = 15
см;

;
m = 2,45.
Определяем предельную величину поперечной силы, которую может воспринять плита ростверка по наклонному сечению
Qп = 2,45·2,4·0,53·105 = 328 т > Q = 178,5 т,
следовательно, прочность наклонных сечений плиты ростверка обеспечена.
Расчет ростверка на изгиб
Определение величин изгибающих моментов:
а) в сечениях
1-
1 и
2-
2 по граням подколонника (см.
рис. 17):
б) в сечениях
3-
3 и
4-
4 по граням колонн (см.
рис. 17):
Определение сечения арматуры в плите ростверка
(арматура принимается из стали класса А-II):
а) в сечении 1-1 на всю ширину плиты ростверка:
б) в сечении 3-3 на всю ширину плиты ростверка:
в) в сечении 2-2 на всю длину плиты ростверка:
г) в сечении 4-4 на всю длину плиты ростверка:
Расчетными оказались сечения 1-1 и 3-3 по граням подколонника.
Принимаем арматуру в плите ростверка:
в продольном направлении -

-
Fа1 = 45,62
см2;
в поперечном направлении -

-
Fа2 = 35,62
см2.
Армирование плиты ростверка производится сварными сетками
(рис. 18).
Рис. 18. Армирование ростверка
Проверка прочности наклонных сечений
плиты ростверка по изгибающему моменту
Проверка производится со стороны наиболее нагруженной части плиты ростверка по
формуле (13) (см.
п. 2.13).
При
lан = 20·2,2 = 44
см.
Определяем величину
lб [длина участка нижней ступени от края, на котором прочность наклонных сечений обеспечивается бетоном (см.
рис. 8)]:
lб = l0 + x; l0 = 30 см;
lб = 30 + 14,5 = 44,5 см > lан = 44 см,
следовательно, прочность наклонных сечений плиты ростверка по изгибающему моменту обеспечена (см.
п. 2.13).
Расчет поперечной арматуры в стенках стакана ростверка
N = 370 т, M = 80 т·м.
Определяем величину относительного эксцентриситета
Поперечную арматуру в стенках стакана определяем по
формуле (17), так как

:
Принимаем по высоте стакана шесть поперечных сеток.
Расположение сеток приведено на
рис. 18.
Mк1 = M + Qyn - 0,7Ne0 = 80 + 10·0,9 -
- 0,7·370·0,216 = 33 т·м;
Сечение каждого рабочего стержня сетки
.
Принимаем шесть сварных сеток со стержнями

(см.
рис. 18).
ПРИМЕР 2
Дано: свайный фундамент с кустом из 15 свай под сквозную (решетчатую) стальную колонну с раздельными базами под каждую ветвь колонны
(рис. 19).
Рис. 19. Свайный фундамент под стальную колонну
Размеры ростверка в плане 450 x 240 см. Высота ростверка из условия заделки анкерных болтов для крепления баз колонн принята равной 120 см. Верх ростверка принят на отметке 100 см от уровня чистого пола.
Размеры опорных листов баз колонн: aп = 71 см, bп = 90 см.
Сваи сечением 30 x 30 см заделываются в ростверк на глубину 5 см. Арматурные сетки плиты ростверка уложены на оголовки свай.
Марка бетона ростверка 200.
Расчетные нагрузки на ростверк:
N1 = 525 т - нормальная сила на уровне верха ростверка от наиболее нагруженной ветви колонны;
N2 = 300 т - нормальная сила на уровне верха ростверка от наименее нагруженной ветви колонны.
Требуется проверить прочность ростверка на продавливание колонной и угловой сваей.
Проверка ростверка на продавливание колонной
Проверка прочности ростверка производится на продавливание наиболее нагруженной ветви колонны по периметру стальной плиты базы этой ветви по
формуле (20)
Величина продавливающей силы равна:
где Pф1 - величина реакций свай в первом ряду свай от края ростверка со стороны наиболее нагруженной части ростверка от расчетных нагрузок на ростверк от колонны;
Pф2 - величина реакций свай во втором ряду от края ростверка со стороны наиболее нагруженной части ростверка;
N = N1 + N2 = 525 + 300 = 825 т;
Mx = (N1 - N2)l1 = (525 - 300)1 = 225 т·м;
P = 2(3·70 + 62,5) = 545 т;
H1 = 112
см;

Принимаем: k2 = 0,3; c2 = 0,3·H1 = 0,3·112 = 33,6 см.
По
табл. 1 при
k1 = 0,44 и
k2 = 0,3 находим

,

.
Предельная величина продавливающей силы, которую может воспринять ростверк:
Pп = [3,7(0,9 + 0,336) + 5,24(0,71 +
+ 0,495)]1,12·72 = 875 > P = 545 т.
Следовательно, прочность ростверка на продавливание колонной обеспечена.
Проверка ростверка на продавливание угловой сваей
Определяем величину расчетной нагрузки на наиболее нагруженную угловую сваю с учетом нагрузок от собственного веса ростверка и веса грунта на ростверк:
а) расчетная нагрузка на сваи от собственного веса ростверка
б) расчетная нагрузка от засыпки земли на ростверк
Определяем величину реакции угловой сваи
Предельная величина продавливающей силы угловой сваи определяется по
формуле (5)
где

;

;
c01 = 49,5; c02 = 30 см;
H01 = H - 5 см = 120 - 5 = 115 см;
Принимаем k2 = 0,3; c02 = 0,3H01 = 0,3·115 = 34,5 см.
По
табл. 2 при
k1 = 0,43 и
k2 = 0,3 находим
Следовательно, прочность ростверка на продавливание угловой сваей обеспечена.
ПРИМЕР 3
Дано: центрально нагруженный ростверк квадратной формы в плане на 16 сваях под сборную железобетонную колонну сечением 40 x 40 см.
Размеры ростверка в плане 330 x 330 см, высота ростверка 120 см. Колонна заделывается в ростверк на 60 см. Сваи сечением 30 x 30 см. Расстояние между осями свай 90 см.
Остальные размеры ростверка приведены на
рис. 20.
Рис. 20. Плитный ростверк свайного фундамента
под сборную железобетонную колонну
Бетон ростверка марки 300.
Расчетная нормальная сила от нагрузки на колонну на уровне верха ростверка N = 400 т.
Требуется проверить ростверк на продавливание колонной. Проверяем условие
P по
формуле (4) (см.
п. 2.6 Рекомендаций):
P = 2·0,617·33 300·10,5 = 432 000 кг = 432 т > N = 400 т.
Следовательно, в этом случае расчет ростверка на продавливание колонной можно производить по
формуле (2) как при монолитном сопряжении колонны с ростверком, принимая рабочую высоту ростверка
h1 (при расчете ростверка на продавливание) от верха ростверка до верха нижней рабочей арматуры сетки.
Поскольку в нашем случае
c1 =
c2 и колонна квадратного сечения (см.
рис. 20), расчет на продавливание ростверка колонной производится по
формуле (3)
где

;
h1 ~= h - 7
см = 120 - 7 = 113
см,
Принимаем k1 = k2 = 0,3; c1 = 0,3h1 = 0,3·113 = 34 см.
P = 2·5,24(0,4 + 0,34)1,13·105 = 915 т > 400 т.
Следовательно, прочность ростверка на продавливание колонной обеспечена.