Главная // Актуальные документы // Актуальные документы (обновление 2024.12.02-2025.01.05) // НормативыСПРАВКА
Источник публикации
М.: Стройиздат, 1981
Примечание к документу
Название документа
"Руководство по технико-экономической оценке шумозащитных мероприятий, осуществляемых строительно-акустическими методами"
"Руководство по технико-экономической оценке шумозащитных мероприятий, осуществляемых строительно-акустическими методами"
ПО ТЕХНИКО-ЭКОНОМИЧЕСКОЙ ОЦЕНКЕ ШУМОЗАЩИТНЫХ МЕРОПРИЯТИЙ,
ОСУЩЕСТВЛЯЕМЫХ СТРОИТЕЛЬНО-АКУСТИЧЕСКИМИ МЕТОДАМИ
Рекомендовано к изданию НТС НИИСФ и Объединенной комиссией АН СССР и ГКНТ СССР по экономической оценке природных ресурсов и мероприятий по охране окружающей природной среды.
Приведена методика технико-экономических расчетов, позволяющая определить область рационального применения различных шумозащитных мероприятий на основе сравнения приведенных затрат. Даны стоимостная и акустические характеристики ряда строительно-акустических решений в градостроительстве, а также примеры расчетов.
Для инженерно-технических работников, проектных и строительных организаций, занимающихся проектированием и застройкой городов.
Табл. 18, ил. 1
Постановление ЦК КПСС и Совета Министров СССР "О дополнительных мерах по усилению охраны природы и улучшению использования природных ресурсов" указывает на шумовое загрязнение как на один из важнейших видов загрязнения окружающей среды.
Высокий шумовой фон неблагоприятно сказывается на условиях проживания людей. В крупных современных городах 30 - 40% населения проживают в условиях акустического дискомфорта, который имеет стабильную тенденцию к возрастанию.
Воздействие шума на организм человека приводит к многообразным неблагоприятным последствиям. Уже при уровнях шума 35 - 40 дБA снижается скорость усвоения информации и умственная работоспособность. При действии шумов более высоких уровней их неблагоприятное влияние на состояние людей резко возрастает.
Особенно значительны эффекты действия ночных шумов, приводящих к нарушениям сна. В этой случае развивающееся за дневные часы утомление не исчезает, а постепенно переходит в хроническое переутомление, способствующее развитию таких заболеваний, как нарушения деятельности центральной нервной системы, гипертоническая и язвенная болезни.
Основные сложности технико-экономической оценки противошумовых мероприятий связаны с экономической (денежной) оценкой социального ущерба, вызываемого воздействием шума на население. Эта оценка в настоящее время не может быть произведена с высокой степенью точности из-за отсутствия необходимого объема научных данных. Поэтому решение методических вопросов оценки противошумовых мероприятий, приведенных в данном Руководстве, должно корректироваться, а сама методика - уточняться по мере накопления дополнительной научной информации.
Цель настоящего Руководства - дать возможность экономически оценить роль социально-экономических факторов и их влияние на эффективность мероприятий по защите от шума.
Затраты, направляемые на создание акустического комфорта, являются в известной степени составной частью издержек, необходимых для постоянного возобновления и совершенствования одного из основных элементов производительных сил - трудовых ресурсов. Кроме того, чистоту окружающей среды, в том числе акустической среды, следует рассматривать как одно из благ, которым население должно быть обеспечено наряду с другими потребляемыми благами (продуктами питания, одеждой, жильем и т.д.).
Руководство разработано к главе
СНиП II-12-77 "Защита от шума". В Руководстве изложены общие принципы социально-экономической оценки противошумовых мероприятий в градостроительстве, приведены основные нормативы для расчетов. Часть нормативов, касающаяся количественной зависимости ущерба, наносимого населению шумами, от уровня воздействующих шумов определена на основе отечественных и зарубежных научных публикаций, а также экспертных оценок.
При проектировании как источников шума, так и акустически уязвимых объектов (и прежде всего жилья) следует иметь в виду, что затраты на мероприятия по вынужденной вторичной шумозащите, которые приходится делать для уменьшения негативных последствий принятых ранее акустически необоснованных проектных решений, оказываются обычно в 7 - 10 и более раз значительнее тех затрат, которые потребовались бы для точно такого же снижения шума при условии своевременного учета шумового фактора, т.е. на стадии реализации первичного проекта. Поэтому игнорирование акустических характеристик разрабатываемых и внедряемых производственных и транспортных источников шума, а также мест пребывания людей и особенно жилых помещений приводит к долгосрочным негативным социальным последствиям, либо требует значительных затрат на вынужденную вторичную шумозащиту.
Руководство подготовлено Научно-исследовательским институтом строительной физики Госстроя СССР и Центральным экономико-математическим институтом АН СССР (проф. В.А. Варежкин, проф. К.Г. Гофман, инженеры Д.Д. Шемякин, Н.И. Кегелес, ст.н.с. Л.В. Дунаевский)
Под общей редакцией проф. В.А. Варежкина.
Замечания и предложения просьба направлять по адресу: Москва, 127238, Локомотивный пр., 21, НИИ строительной физики.
1.1. Проблема охраны окружающей среды от шума предусматривает решение вопросов защиты человека от шума на производстве, в учреждениях, на транспорте и на территории жилой застройки, а также в жилых помещениях.
1.2. Руководство предназначено для оценки строительно-акустических методов и мероприятий по защите от шума, включающих градостроительные, архитектурно-планировочные и строительные методы: противошумовое зонирование территории, рациональную планировку улично-дорожной сети, оптимальную организацию движения транспорта; использование рельефа местности, конфигурации профиля дорог, территориальных разрывов и озеленения; планировку помещений, проектирование окон, балконов, лоджий и других элементов зданий, проектирование внутриквартального пространства, выбор расположения зданий, типа застройки, этажности и типа здания с учетом шумового фактора, применение шумозащитных и звукопоглощающих экранов, звукоизолирующих конструкций, выемок, насыпей и туннелей и т.п.
1.3. Перечисленные методы и их комбинации различаются по эффективности защиты от шума, затратам и возможности применения в конкретных условиях строительства.
1.4. Целевыми (одноцелевыми) противошумовыми мероприятиями в дальнейшем именуются мероприятия, специально проводимые с целью защиты населения от шума и не влияющие или практически не влияющие на основные градостроительные или производственные показатели проектных решений - метраж жилья, плотность жилого фонда и этажность зданий, производственную мощность шумящих промышленных агрегатов или транспортных средств и т.д. К числу таких мероприятий относятся: устройство насыпей и экранов, использование шумозащитных конструкций окон и т.п.
К числу многоцелевых противошумовых мероприятий относятся мероприятия, которые влияют не только на акустическое состояние жилой застройки, но и на другие существенные характеристики рассматриваемых вариантов. К числу таких мероприятий относятся: возведение жилых зданий с односторонним расположением спальных комнат, переназначение жилых зданий на другие виды эксплуатации, замена шумных видов транспорта и производственного оборудования другими, менее шумными, и т.д.
2. ОСНОВНЫЕ ПОЛОЖЕНИЯ МЕТОДИКИ ТЕХНИКО-ЭКОНОМИЧЕСКОЙ ОЦЕНКИ ПРОТИВОШУМНЫХ МЕРОПРИЯТИЙ
2.1. Под сверхнормативным загрязнением акустической среды понимается наличие величины уровня звука на селитебной территории городов и других населенных пунктов, а также в помещениях, превышающих допустимую
СНиП II-12-77 "Защита от шума".
В ряде случаев отмечаются жалобы населения на шум при его уровнях ниже нормативного (в случае шума трансформаторов, вентиляторов и других источников). Поэтому мероприятия по снижению уровня шума ниже, чем до нормативного, при небольших затратах на проведение мероприятия могут оказаться целесообразными. В связи с этим в настоящем Руководстве принято, что загрязнение акустической среды жилых помещений имеет место при уровнях шума, превышающих 24 дБA, а на территории населенных мест - 34 дБA.
2.2. Под противошумовыми понимаются мероприятия, предотвращающие шумовое загрязнение или способствующие его уменьшению на территории населенных мест и в жилых помещениях.
2.3. Экономическая оценка эффекта противошумовых мероприятий определяется путем установления годового экономического эффекта от этих мероприятий.
2.4. Годовой экономический эффект целевого противошумового мероприятия Э определяется как разность достигаемого благодаря этому мероприятию годового экономического результата Р и годовых приведенных затрат, необходимых для его проведения З:
2.5. Годовой экономический результат целевых противошумовых мероприятий Р определяется величиной снижения экономической оценки ущерба от загрязнения акустической среды вследствие проведения данного мероприятия
где У0 - экономическая оценка годового ущерба от загрязнения акустической среды, которая имела бы место в случае отказа от рассматриваемого мероприятия, тыс. руб/год;
У - экономическая оценка годового ущерба после проведения мероприятия, тыс. руб/год.
Годовые приведенные затраты на проведение противошумового мероприятия (З) определяются по формуле
где С - годовые эксплуатационные расходы, тыс. руб/год;
К - капиталовложения, тыс. руб.;
Е
н -

- нормативный коэффициент эффективности капитальных вложений.
Превышение народнохозяйственного экономического результата над приведенными затратами (Р > З) свидетельствует об экономической эффективности рассматриваемого противошумового мероприятия, при этом Э > 0.
2.6. Проектирование и выбор целевых противошумовых мероприятий рекомендуется осуществлять на основе многовариантного анализа ожидаемых затрат и результатов с целью выбора оптимального с экономической точки зрения решения, обеспечивающего достижение максимального значения годового экономического эффекта:

, (4)
где Р - годовой экономический результат, тыс. руб/год;
З - годовые приведенные затраты, тыс. руб/год.
2.7. Определение срока окупаемости капиталовложений в целевые противошумовые мероприятия Т производится по формуле

, (5)
где К - (единовременные) капитальные вложения, необходимые для осуществления противошумовых мероприятий, тыс. руб.;
С - текущие издержки (эксплуатационные расходы), тыс. руб/год.
Противошумовое целевое мероприятие экономически оправдано, если величина Т, определенная по
формуле (5), оказывается меньше нормативного срока окупаемости капитальных вложений Т
н = 1/Е
н = 8,3 года.
Следует иметь в виду, что неравенство

равносильно неравенству Э = Р - З > 0 (если величины Т и Э определены так, как это было сделано выше). Однако величиной Т не следует пользоваться при проведении многовариантных оптимизационных расчетов для целевых противошумовых мероприятий.
2.8. Расчеты сравнительной эффективности затрат на противошумовые мероприятия производятся только для таких конкурирующих вариантов, которые обеспечивают на данной расчетной территории (или в расчетном жилье) одинаковое снижение загрязнения акустической среды в результате реализации каждого из рассматриваемых вариантов противошумового мероприятия, т.е. указанные расчеты производятся в случае, когда значения величин У
0 и У, а следовательно, и значение величины Р одинаковы для всех рассматриваемых вариантов. В указанном случае, как это и следует из
формулы (4), критерием для выбора оптимального варианта является минимум годовых приведенных затрат на проведение мероприятия:

. (6)
Поэтому вычислять значения величин Уо и У в этом случае не требуется.
2.9. Для многоцелевых шумозащитных мероприятий - строительства (или реконструкции) городских районов или производственных и транспортных источников шума, проводимых с учетом как основных производственных и градостроительных показателей, так и акустических характеристик каждого из рассматриваемых проектных вариантов, годовой экономический результат определяется по формуле
где У - экономическая оценка годового ущерба от загрязнения акустической среды, наносимого населению в случае реализации рассматриваемого проектного варианта;
Д - полная экономическая оценка производственного (или градостроительного) эффекта при реализации данного проектного варианта, приведенная к годовой размерности. При определении значения величины Д учитываются такие показатели, как стоимость (или замыкающая оценка) производимой продукции или услуг, площадь жилых помещений, возводимых в соответствии с оцениваемым проектным решением и т.п.
Величина приведенных затрат на многоцелевое противошумовое мероприятие (проектный вариант) определяется по
формуле (3), но в сумму капитальных и эксплуатационных затрат включаются все (производственные и иные) затраты, необходимые для реализации данного варианта.
Формулы (1) и
(2), определяющие годовой экономический эффект и срок окупаемости вложений для многоцелевых мероприятий (проектов) сохраняются и используются точно так же, как и для целевых противошумовых мероприятий, однако входящая в них величина Р определяется в соответствии с
формулой (7), поэтому для многоцелевых мероприятий эти формулы могут быть записаны в виде:
Э = Р - З = Д - У - (С + ЕнК); (8)

. (9)
2.10. В некоторых случаях при рассмотрении вариантов многоцелевых мероприятий (проектных решений) выделяется базовый вариант, и все величины вычисляются по сравнению с их значениями в базовом варианте.
Пусть У0, С0, К0 и Д0 - значения соответствующих величин для базового, а У, С, К и Д - для рассматриваемого варианта. Тогда рассматриваемый вариант экономически эффективнее, чем базовый, если

, (10)
При принятии многоцелевого шумозащитного решения, более эффективного в акустическом отношении, чем базовое, значение экономической оценки ущерба от загрязнения акустической среды в рассматриваемом варианте должно быть меньше, чем в базовом, т.е.

.
Однако критерием для выбора наилучшего варианта из множества всех рассматриваемых при наличии базового варианта является не минимум величины

, а максимум величины

:

. (11)
Следует иметь в виду, что если для всех оцениваемых мероприятий разность

отрицательна, то оптимален базовый вариант.
2.11. В случае проведения реконструкции производственных или иных источников шума, воздействующих на акустическое состояние жилых помещений, а также при реконструкции селитебных зон, базовым вариантом реконструкции может быть выбран отказ от проведения реконструкции. В этом случае для базового варианта К
0 = 0, значение С равно затратам на эксплуатацию действующего объекта, а значение У
0 равно экономической оценке годового ущерба от загрязнения акустической среды жилых помещений на расчетной территории в существующей ситуации (до реконструкции).
Если рассматривается несколько возможных целевых шумозащитных мероприятий, то и в этом случае любое из них может быть выбрано базовым, а все расчеты могут вестись с разностями значений величин в каждом из рассматриваемых и базовом вариантах. При этом все, что было сказано в
п. 2.10 о многоцелевых мероприятиях, целиком переносится на целевые мероприятия (за исключением того, что величина

не определяется).
2.12. Сказанное выше (см.
пп. 2.9 -
2.11) относится к случаям, в которых сравниваются противошумовые мероприятия, близкие по затратам или результатам. Однако в некоторых случаях (например, при определении приоритетности или последовательности реализации существенно различающихся по своим масштабам противошумовых мероприятий) среди совокупности рассматриваемых мероприятий могут встретиться мероприятия, значительно отличающиеся друг от друга как по величине затрат, необходимых для их реализации, так и по оценкам достигаемого шумозащитного эффекта.
В этом случае целесообразно для каждого из рассматриваемых противошумовых мероприятий вычислить значения экономической эффективности противошумового мероприятия, определяемой равенством

. (12)
Среди совокупности возможных противошумовых мероприятий, существенно отличающихся по своим масштабам, в первую очередь следует реализовать, как правило, те мероприятия, которым соответствует наибольшее значение величины Е.
2.13. В некоторых случаях проведение целевого противошумового мероприятия, которое экономически не эффективно (т.е. для которого Э < 0, или, что равносильно, Т > Тн, может быть осуществлено на основе закона или в соответствии с социальной необходимостью.
В этих случаях противошумовое мероприятие должно проводиться с целью снижения уровня шумов до требуемого значения, причем если имеется несколько вариантов, то реализоваться должен тот, которому соответствует минимум приведенных затрат.
2.14. При несовпадении моментов времени, в которые производятся (или начинают производиться) текущие затраты и достигаются результаты противошумовых мероприятий, а также в случае неединовременности капитальных вложений или при наличии лага времени между промежутком времени, в течение которого делаются капитальные вложения, и моментом времени, начиная с которого производятся текущие затраты или достигаются результаты противошумовых мероприятий, все величины, из которых складываются затраты, а также оценки результатов противошумовых мероприятий должны приводиться к одному моменту времени (к началу расчетного года) при помощи коэффициентов приведения

, (13)
где

- значение коэффициента приведения для
t-го года;
Е
нп - нормативный коэффициент приведения, значение которого принимается равным 0,1 в соответствии с
СН 509-78;
t - число лет, разделяющих начало расчетного года и года, в котором делаются вложения или достигаются результаты вложений.
Затраты и результаты, осуществляемые и получаемые до начала расчетного года, умножаются на коэффициент приведения, а после начала расчетного года делятся на этот коэффициент.
3. РАСЧЕТ ПРИВЕДЕННЫХ ЗАТРАТ НА ПРОТИВОШУМОВЫЕ МЕРОПРИЯТИЯ
3.1. Приведенные затраты З представляют собой сумму текущих издержек (эксплуатационных расходов) и капитальных затрат (вложений), приведенных к годовой размерности.
3.2. Капитальные затраты на целевые противошумовые мероприятия определяются по формуле
К = К
1 + К
2 + К
3 + К
4 + К
п, (14)
где К1 - сметная стоимость шумозащитных сооружений (экранов; насыпей, зеленых шумозащитных зон и др.), тыс. руб.;
К2 - стоимость освоения и инженерного оборудования новых городских территорий взамен изымаемых для создания шумозащитных зон (включая затраты на отчуждение сельскохозяйственных земель), тыс. руб.;
К3 - затраты на приобретение машин и механизмов для содержания шумозащитных сооружений, тыс. руб.;
К4 - дополнительные затраты на специальное размещение, архитектурно-планировочное и конструктивное решение общественных зданий, используемых в качестве противошумовых экранов, и на строительство противошумовых домов со специальной планировкой или шумопоглощающими конструкциями, по сравнению с обычными зданиями, тыс. руб. <1>;
Примечание. Имеются в виду такие строительные и архитектурно-планировочные мероприятия, которые не приводят к существенным изменениям основных градостроительных характеристик рассматриваемых проектных решений;
Кп - прочие капитальные затраты, требуемые для проведения противошумных мероприятий.
3.3. Текущие издержки на целевые противошумовые мероприятия определяются по формуле
С = С1 + С2 + С3 + Сп, (15)
где С1 - отчисления на амортизацию противошумных сооружений и устройств, а также дополнительную амортизацию жилых и общественных зданий, приспособленных для защиты от шума, тыс. руб/год;
С2 - расходы на текущий ремонт противошумовых сооружений, тыс. руб/год;
С3 - расходы по содержанию противошумовых сооружений, тыс. руб/год;
Сп - прочие эксплуатационные расходы, возникающие в связи с проведением противошумового мероприятия.
3.4. Если капитальные вложения производятся не единовременно, то они суммируются с весовыми множителями, определяемыми в соответствии с
п. 2.11.
3.5. Значения некоторых оценок и нормативов, которые можно использовать при расчетах затрат на противошумовые мероприятия, приводятся в
прил. 1 -
3.
4. ОПРЕДЕЛЕНИЕ ЭКОНОМИЧЕСКОЙ ОЦЕНКИ ГОДОВОГО УЩЕРБА, ПРИЧИНЯЕМОГО НАСЕЛЕНИЮ ШУМОВЫМ ЗАГРЯЗНЕНИЕМ ОКРУЖАЮЩЕЙ СРЕДЫ
4.1. Воздействие шумового загрязнения окружающей среды на население приводит к многообразным негативным социально-экономическим последствиям (росту заболеваемости, падению производительности труда), а также к появлению в составе городского жилого фонда квартир или комнат, малопригодных или непригодных для жилья и т.д. Во всех местах пребывания людей высокие уровни шума отрицательно действуют на них, однако наиболее акустически уязвимы жилые помещения. Уровень шума в 75 - 80 дБ, практически не вызывающий неприятных ощущений при пребывании человека внутри транспортных средств и ощущаемый как терпимый в производственных условиях, воспринимается как совершенно нестерпимый, когда он воздействует на людей, находящихся в жилых помещениях. Поэтому практически весь ущерб от воздействия шумового загрязнения окружающей среды на население возникает вследствие действия этого загрязнения на людей в условиях жилых помещений. В связи с этим экономическую оценку ущерба, причиняемого населению шумовым загрязнением окружающей среды, можно считать приблизительно равной экономической оценке ущерба, возникающего вследствие воздействия внешних шумов на население в условиях жилых помещений.
Эксплуатацию помещений со значением осредненного за годовое ночное расчетное время уровня ночных шумов LA.экв.н свыше 55 дБA или со значением осредненного за годовое дневное расчетное время уровня дневных шумов LA.экв.д свыше 70 дБA внутри помещений следует считать совершенно недопустимой по социальным соображениям. Жилье, зашумляемое свыше указанных уровней, следует считать аварийным и подлежащим переназначению, сносу или проведению для него радикальных противошумовых мероприятий.
4.2. Экономическая оценка годового ущерба (У) от действия шума на население в условиях жилых помещений на расчетной территории определяется по следующей формуле:
Величины Ун и Уд определяются по формулам:

; (17)

, (18)
где Nн(l) - число людей, проживающих на расчетной территории в комнатах, в которых эквивалентный уровень ночных шумов по шкале A(LA.экв.н) имеет в децибелах числовое значение, равное или лежащее между целыми числами l и l + 1,
l
LA.экв.н <
l + 1
Nд(l) - число людей, проживающих на расчетной территории в комнатах, где эквивалентный уровень дневных шумов по шкале B(LA.экв.д) имеет в децибелах числовое значение, равное или лежащее между целыми числами l и l + 1:
l
LA.экв.д <
l + 1.
Значение размерных множителей
A(
l),
B(
l) и

находится по табл. 1.
l, дБA | A(l), руб./чел. год | B(l), руб./чел. год |  , руб./чел. год | l, дБA | A(l), руб./чел. год | B(l), руб./чел. год | руб./чел. год |
25 | 1,5 | 0,6 | 0 | 51 | 231,9 | 35,4 | 19,1 |
26 | 3,4 | 1,2 | 0,008 | 52 | 259 | 38,3 | 22,2 |
27 | 5,4 | 1,8 | 0,024 | 53 | 289 | 41,5 | 25,7 |
28 | 7,6 | 2,4 | 0,048 | 54 | 322,3 | 45 | 29,7 |
29 | 10 | 3 | 0,08 | 55 | 359,3 | 48,6 | 34 |
30 | 12,8 | 3,6 | 0,12 | 56 | - | 52,5 | 38,9 |
31 | 15,9 | 4,3 | 0,17 | 57 | - | 56,7 | 44,2 |
32 | 19,2 | 5 | 0,23 | 58 | - | 61,2 | 50,2 |
33 | 23 | 5,9 | 0,31 | 59 | - | 66 | 56,8 |
34 | 27,2 | 6,7 | 0,4 | 60 | - | 71,2 | 64,1 |
35 | 31,8 | 7,6 | 0,51 | 61 | - | 76,7 | 69,5 |
36 | 36,9 | 8,6 | 0,63 | 62 | - | 82,7 | 75,5 |
37 | 42,6 | 9,7 | 0,77 | 63 | - | 89 | 81,9 |
38 | 48,9 | 10,8 | 0,94 | 64 | - | 95,9 | 88,9 |
39 | 55,9 | 12 | 1,12 | 65 | - | 103,2 | 96,3 |
40 | 63,7 | 13,3 | 1,33 | 66 | - | 111 | 104,3 |
41 | 72,3 | 14,6 | 2,04 | 67 | - | 119,4 | 113 |
42 | 81,9 | 16,2 | 2,9 | 68 | - | 128,4 | 122,4 |
43 | 92,5 | 17,8 | 3,9 | 69 | - | 138 | 132,5 |
44 | 104,3 | 19,5 | 5 | 70 | - | 148,4 | 143,4 |
45 | 117,3 | 21,3 | 6,4 | 71 | - | 159,5 | 155,2 |
46 | 131,8 | 23,3 | 7,9 | 72 | - | 171,3 | 167,9 |
47 | 147,9 | 25,4 | 9,7 | 73 | - | 184 | 181,5 |
48 | 165,8 | 27,6 | 11,6 | 74 | - | 197,7 | 196,4 |
49 | 185,9 | 30 | 13,8 | 75 | - | 212,3 | 212,3 |
50 | 207,5 | 32,6 | 16,3 | | | | |
Годовым ночным расчетным временем здесь именуется объединение всех промежутков времени от 23-00 до 7-00 ч (по местному времени) в течение года; все прочее время именуется годовым дневным расчетным временем.
4.3. Для расчета экономических оценок ущерба от действия ночных и дневных шумов можно воспользоваться расчетными формами 1 и
2.
Форма 1
Наблюдаемые (или прогнозируемые) значения LA.экв.н в жилых помещениях (в порядке возрастания), дБA | Значения l l LA.экв.н < ( l + 1) | A(l), руб/чел. год | Наблюдаемое (или прогнозируемое) значение Nн(l), чел. | A(l)Nн(l), руб/год |
1 | 2 | 3 | 4 | 5 |
Итого | | | | |
Наблюдаемые (или прогнозируемые значения LA.экв.д (в порядке, возрастания), дБA | Значения l, l LA.экв.д < ( l + 1) | B(l), | Наблюдаемое или прогнозируемое) значение Nд(l), чел. | B(l)Nд(l), руб/год |
1 | 2 | 3 | 4 | 5 |
Итого | | | | |
4.4. Полученная указанным путем величина задаст уровень шума в помещении, создаваемого внешними источниками в отсутствие других источников. Если в жилой квартире (и в здании) нет внутренних источников шума, уровень которых перекрывал бы уровень шума, создаваемого внешними источниками, то расчет оценок ущерба от действия внешних дневных шумов на население в жилых помещениях У
д.внешн. следует вести по уровню внешних шумов на высоте окон, вычитая из этого уровня 8 дБA (или другую величину, если используются оконные проемы, шумозащитные свойства которых отличаются от свойств оконных проемов обычных конструкций при открытой форточке).
Однако нередко уровень звука от внутренних источников (человеческой речи, радио, телевизоров, а также инженерно-сантехнического оборудования дома и т.д.) превышает на 3 - 5 дБA и более уровень шума, создаваемого внешними источниками.
При этом чем ниже уровень внешних шумов, тем с большей вероятностью имеет место в дневное время указанное превышение.
Поэтому достигаемое в результате какого-либо мероприятия снижение уровня внешних дневных шумов, например на величину

, вследствие одновременного действия внутренних источников даст снижение действующего на людей в помещениях уровня не на 10 дБA экв.д., а на некоторую величину

, меньшую, чем 10 дБA. При этом расхождение между

и

будет при прочих равных условиях тем значительнее, чем ниже был исходный уровень внешних шумов.
Примечание. При оценке уровней шума в децибелах необходимо учитывать: если источник ИШ1 создает в некоторой точке пространства звук, уровень которого равен L1 дБ (при действии только этого источника ИШ1), а источник ИШ2 создает в той же точке звук, уровень которого равен L2 дБ, то уровень звука, создаваемого в этой точке при одновременном действии обоих источников ИШ1 и ИШ2, не будет равен сумме уровней L1 и L2, всегда будет L < L1 + L2.
В связи со сказанным экономическую оценку годового ущерба, возникающего из-за наличия внешних источников шума в дневное время Уд.внешн., рекомендуется определять по формуле

, (19)
где значения коэффициентов

берутся из
табл. 1, при этом индекс
l по-прежнему соответствует реальному значению эквивалентного уровня дневных суммарных шумов
LA.экв.д в жилом помещении в соответствии с
п. 4.2.
Величины

учитывают вероятность перекрывания уровня внешних шумов шумами от внутренних источников при различных значениях уровня суммарного внутреннего шума.
Для ночных шумов указанный эффект имеет столь малое значение, что им можно пренебречь, за исключением очень низких уровней внешних шумов (ниже 26 - 27 дБA в помещениях, т.е. ниже 35 - 37 дБA на территории жилой застройки). В прочих случаях уровень шума, наблюдаемого в жилых помещениях в ночное время, обычно практически полностью создается внешними источниками. Поэтому для ночных шумов можно принять

, (20)
хотя фактически Ун.внешн < Ун.
Экономическая оценка ущерба от действия на людей в условиях жилья шумов, создаваемых лифтами, сантехникой и другими внутренними источниками (которые не могут быть отключены по желанию жильцами), может определяться по
формулам (14) -
(16). Однако, поскольку эти формулы оценивают ущерб от действия на людей суммарных уровней шума в жилых помещениях (от всех источников), при оценке эффекта от снижения шума подобных источников следует определить, насколько изменится значение величины
LA.экв.д при проведении соответствующих противошумовых мероприятий.
Подобно тому, как это имеет место при действии внешних шумов, снижение уровня шума от внутреннего источника на

приведет к снижению суммарного уровня
LA.экв.д. на величину, меньшую, чем

.
4.5. Если для расчета оценок ущерба нет необходимых данных об эквивалентных уровнях ночных и дневных шумов, то в тех случаях, когда доминирующий источник шума в жилых помещениях на расчетной территории - автотранспорт, допускается использование приближенных оценок LA.экв.н и LA.экв.д:

;

;
где

- значение
LA.экв при осреднении уровня шума в жилом помещении за один наиболее шумный час ночного времени (обычно с 6-00 до 7-00) в типичный (будний) день;
LA.экв.д - значение LA.экв при осреднении уровня шума в жилом помещении за один наиболее шумный час дневного времени (в час пик) в типичный (будний) день.
При отсутствии данных о ночном шуме принимается, что LA.экв.н = LA.экв.д - 10 ДБA.
4.6. При отсутствии данных о численности населения, проживающего при тех или иных акустических условиях, допускается проведение расчетов по данным о фактическом или прогнозируемом уровне зашумления жилых комнат в предположении, что на 1 чел. приходится в среднем 10 м2 площади жилых комнат.
5. ПОРЯДОК ВЫБОРА ОПТИМАЛЬНОГО ПРОТИВОШУМОВОГО МЕРОПРИЯТИЯ
5.1. Выбор оптимального варианта защиты некоторой группы населения от шума из некоторого множества вариантов целевых противошумовых мероприятий, относительно близких по затратам или по результатам, проводится следующим образом:
определяется значение У0 экономической оценки годового ущерба от действия шума на население на расчетной территории (в расчетном жилье), соответствующее отказу от проведения каких-либо специальных шумозащитных мер;
для каждого варианта последовательно определяются значения величин У, Р = У - У0, С, К, З = С + ЕнК, Э = Р - З; при этом в случае неединовременных капитальных затрат эти затраты приводятся к началу расчетного года путем суммирования капитальных затрат по каждому этапу (году), домноженных на соответствующие дисконтирующие множители;
из всех вариантов выбирается тот, которому соответствует наибольшее значение величины Э.
5.2. Выбор оптимального многоцелевого противошумового мероприятия из некоторого множества мероприятий, относительно близких по затратам или по экономическим результатам, проводится следующим образом:
для каждого мероприятия последовательно определяются значения величин: У, Д, Р = Д - У, С, К, З = С + Е
нК, Э = Р - З; при этом в случае необходимости значения всех величин приводятся к началу расчетного года (см.
п. 2.14);
из всех мероприятий выбирается мероприятие, которому соответствует наибольшее значение величины Э.
При наличии базового многоцелевого мероприятия (или базового проектного варианта) расчеты всех величин можно проводить по сравнению с их значениями в базовом варианте; в этом случае для каждого мероприятия последовательно определяются значения величин:

,

,

,

,

,

,

,
где символы с индексом "0" соответствуют базовому, а символы без индекса - рассматриваемому многоцелевому мероприятию (проекту), а затем выбирается мероприятие (проект), которому соответствует наибольшее значение величины

.
Площадь прямоугольного микрорайона - 27 га (600 м x 450 м).
Население - 14 тыс. чел.
Средняя этажность застройки - 12 этажей.
Жилой фонд - 190 тыс. м2 жилой площади.
Доминирующий источник шума во всех жилых помещениях микрорайона - проектируемая автомагистраль (см. рисунок).
Рис. 1. Поперечный разрез участка от фасада зданий,
обращенных к источнику шумового загрязнения,
до транспортной магистрали:
а - базовый вариант (без противошумовых мероприятий),
а также вариант с шумозащитными окнами; б - удаление жилой
застройки на 300 м от транспортной магистрали;
в - устройство насыпи и экрана между жилой застройкой
и транспортной магистралью; г - заглубление транспортной
магистрали в выемку с устройством насыпи;
ИШ - расчетный источник шума
Значение

(за наиболее шумный час дневного времени) на автомагистрали составит в будние дни 80 дБA, значение

(за наиболее шумный час ночного времени) - 67 дБA.
В соответствии с
п. 4.4 принимается, что на магистрали
| | ИС МЕГАНОРМ: примечание. Формула дана в соответствии с официальным текстом документа. | |

;

.
Рассматриваются следующие пять возможных противошумовых мероприятий.
1. Применение специальных конструкций окон на фасадах зданий, ориентированных непосредственно на автомагистраль.
2. Применение специальных конструкций окон в относительно сильно зашумляемых квартирах, в которых проживает 10 тыс. чел. (71,4% населения микрорайона).
3. Отнесение автомагистрали от микрорайона на 300 м с озеленением зоны разрыва.
4. Устройство насыпи высотой 4 м и железобетонного экрана высотой 2,5 м, озеленение насыпи и зоны разрыва шириной 60 м.
5. Заглубление автомагистрали на 4 м, устройство насыпи высотой 3,5 м, озеленение насыпи и зоны разрыва шириной 37 м.
Базовый вариант - расположение микрорайона по прилеганию к автомагистрали длинной стороной (600 м), причем во всех оконных проемах устанавливаются обычные спаренные окна.
Основные затраты не варьируются, затраты на каждое из указанных противошумовых мероприятия - дополнительные к основным затратам. Если учитывать только эти дополнительные затраты, то каждое из перечисленных противошумовых мероприятий можно считать целевыми и вести расчет его экономического эффекта по формулам, относящимся к целевым шумозащитным мероприятиям.
Базовый вариант
Данные, необходимые для расчета экономической оценки годового ущерба от действия шума на население микрорайона в базовом варианте, приведены в табл. 2 (Базовый вариант - ночь) и
табл. 3 (Базовый вариант - день).
Значения LA.экв.н в жилых помещениях, ДБA | Значения l, l LA.экв.н < ( l + 1) | A(l), руб./чел.-год | Nн(l), чел. | A(l)Nн(l), руб/год |
35 | 35 | 31,8 | 4000 | 127 200 |
40,3 | 40 | 63,7 | 6000 | 382 200 |
45 | 45 | 117,3 | 2000 | 234 600 |
52,5 | 52 | 259 | 2000 | 518 000 |
Итого | - | - | 14 000 | 493 600 |
Значения LA.экв.д в жилых помещениях, ДБA | Значения l, l LA.экв.д < ( l + 1) |  , руб./чел. год | Nд(l), чел. | B(l)Nд(l), руб/год |
48 | 48 | 11,6 | 4000 | 46 400 |
53,3 | 53 | 25,7 | 6000 | 154 200 |
58 | 58 | 50,2 | 2000 | 100 400 |
65,5 | 65 | 96,3 | 2000 | 192 600 |
Итого | - | - | 14 000 | 1 262 000 |
Во всех таблицах по расчету экономических оценок ущерба от действия внешних шумов У
внешн как в базовом варианте, так и в случае приведения каждого из оцениваемых мероприятий, в столбце
LA.экв.д указаны значения суммарного уровня шума от всех источников, наблюдающегося в жилых помещениях, поэтому при оценке ущерба от действия дневных внешних шумов используются коэффициенты

, а не
B(
l). В графе
l указаны только те числа, для которых
Nн(
l) и
Nд(
l) не равны нулю.
Итого экономическая оценка годового ущерба от действия внешних шумов на население микрорайона в базовом варианте равна:
Мероприятие 1. Применение окон с усиленной звукоизоляцией на фасадах зданий, ориентированных на магистральную улицу.
Значение экономической оценки годового ущерба, который будет наноситься жителям микрорайона в результате воздействия на них внешних шумов У
внешн., определяется в соответствии с данными, приведенными в
табл. 4 и
5. Поскольку шумозащитные окна устанавливаются только в наиболее зашумленных квартирах, в которых проживает 2000 чел., в
табл. 4 и
5 все строки, кроме последней, совпадают соответствующими строками
табл. 2 и
3.
Для упрощения сравнения результатов разных мероприятий в таблицах по расчету оценок годового ущерба после проведения всех пяти рассматриваемых мероприятий строки упорядочены по группам населения, соответствующим значениям параметра l в базовом варианте в порядке возрастания.
Хотя само окно выбранной шумозащитной конструкции снижает уровень (внешних) шумов на 36 дБA, из-за наличия внутренних источников фактическое снижение уровня шума будет меньше (см. последние строки
табл. 2,
3 для базового варианта и табл. 4,
5 для рассматриваемого).
LA.экв.н, ДБA | l | A(l), руб/чел. год | Nн(l), чел. | A(l)Nн(l), руб/год |
1 | 2 | 3 | 4 | 5 |
35 | 35 | 31,8 | 4000 | 127 200 |
40,3 | 40 | 63,7 | 6000 | 382 200 |
45 | 45 | 117,3 | 2000 | 234 600 |
26 | 26 | 3,4 | 2000 | 6 800 |
Итого | - | - | 14 000 | 750 800 |
LA.экв.д ДБA | l, l LA.экв |  , руб./чел. год | Nд(l), чел. |  , руб/год |
48 | 48 | 11,6 | 4000 | 46 400 |
53,3 | 53 | 25,7 | 6000 | 154 200 |
58 | 58 | 50,2 | 2000 | 100 400 |
36 | 36 | 0,63 | 2000 | 1260 |
Итого | - | - | 14 000 | 302 260 |
Итого получим, что экономическая оценка годового ущерба от действия внешних транспортных шумов на население микрорайона после реализации мероприятия 1 составит
Увнешн. = 750,8 + 302,26 = 1053 тыс. руб/год.
Годовой экономический результат противошумового мероприятия 1, таким образом, равен:
Р = 1755,6 - 1053 = 702,6 тыс. руб/год.
Определение затрат
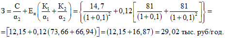
Общая площадь шумозащитных оконных проемов составит 5400 м2. Поскольку разница в капитальных затратах на 1 м2 окон выбранной шумозащитной конструкции и на 1 м2 обычных спаренных окон составляет 48,44 - 18,44 = 30 руб/м2, целевые затраты (капитальные) на шумозащиту составят 30 руб/м2. 5400 м2 = 162 тыс. руб.
Дополнительные эксплуатационные расходы в связи с проведением мероприятия за 1 м
2 составят, в соответствии с данными
прил. 2:
30 (0,09 + 0,0008) = 2,724 руб/год или всего 162 (0,09 + 0,0008) = 14,7 тыс. руб/год.
Приведем затраты к расчетному году. Допустим, что строительство зданий займет 2 года, и соответственно дополнительные капитальные затраты составят 81 тыс. руб. за первый и столько же - за второй год строительства.
Моментом приведения можно считать момент сдачи зданий в эксплуатацию. Будем считать, что капитальные затраты объемом 81 тыс. руб. (К1) отделены от этого момента промежутком времени в 1 год, и еще 81 тыс. руб. (К0) - промежутком в 0 лет.
Итого приведенные затраты равны:
Определяем значение годового экономического эффекта от проведения мероприятия 1
Э = Р - З = 702,6 - 35,11 = 667,49 тыс. руб/год.
Поскольку Э > 0, мероприятие экономически эффективно.
Если в качестве момента приведения выбрать момент начала строительства, и учесть, что год, в котором впервые будут иметь место эксплуатационные расходы, а также и результат проведения мероприятия, отделены от этого момента промежутком времени в 2 года, получим для Р оценку

, а для приведенных затрат оценку
При таком моменте времени приведения затрат и результатов получим
Э = (580,66 - 29,02) = 551,64 тыс. руб/год.
Мероприятие 2. Применение оконных проемов той же шумозащитной конструкции, что и при мероприятии 1, но в квартирах, где проживает 10 тыс. чел. Срок строительства 2 года.
Данные по расчету значения У
внешн. приведены в табл. 6 и
7.
Таблица 6
LA.экв.н | l l LA.экв.н < l + 1 | A(l), руб/чел. год | Nн(l), чел. | A(l)Nн(l), руб/год |
35 | 35 | 31,8 | 4000 | 127 200 |
22,5 | 22 | 0 | 6000 | 0 |
25 | 25 | 1,5 | 2000 | 3000 |
26 | 26 | 3,4 | 2000 | 6800 |
Итого | - | - | 14 000 | 137 000 |
LA.экв.д, ДБA | l l LA.экв.д < l + 1 |  , руб/чел. год | Nд(l), чел. |  , руб/год |
48 | 48 | 11,6 | 4000 | 46 400 |
30,5 | 30 | 0 | 6000 | 0 |
32 | 32 | 0,23 | 2000 | 460 |
36 | 36 | 0,63 | 2000 | 1260 |
Итого | - | - | 14 000 | 48 100 |
Таким образом,
Увнешн. = 137 + 48,1 = 185,1 тыс. руб/год.
Если момент приведения затрат и результатов совпадает с моментом начала строительства, то для Р получим следующее приведенное значение:

.
Определяя значение З подобно тому, как это было сделано в предыдущем случае, получим
Э = 1297900 - 145000 = 1152,9 тыс. руб/год,
что значительно больше нуля.
Мероприятие 3. Отнесение автомагистрали от микрорайона на 300 м с озеленением зоны разрыва. Срок строительства 3 года. Значения У
внешн. приведены в табл. 8 и
9.
Таблица 8
LA.экв.н | l, l LA.экв.н < l + 1 | A(l), руб/чел. год | Nн(l), чел. | A(l)Nн(l), руб/год |
35 | 35 | 31,8 | 4000 | 127200 |
39,5 | 39 | 55,9 | 6000 | 335400 |
42,3 | 42 | 81,9 | 2000 | 163800 |
30,2 | 30 | 12,8 | 2000 | 25600 |
Итого | - | - | 14000 | 65200 |
LA.экв.д | l, l LA.экв.д < l + 1 |  , руб/чел. год | Nд(l), чел. |  , руб/год |
48 | 48 | 11,6 | 4000 | 46400 |
51,4 | 51 | 19,1 | 6000 | 114600 |
57 | 57 | 44,2 | 2000 | 88400 |
40,2 | 40 | 1,33 | 2000 | 2600 |
Итого | - | - | 14000 | 252200 |
Таким образом,
Увнешн. = 652 + 252,2 = 904 тыс. руб.
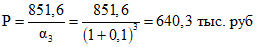
Годовой экономический результат
Р = 1755,6 - 904 = 851,6 тыс. руб.
Определение затрат
Площадь освоения составляет
600·300 = 18000 м2 = 18 га.
Затраты по освоению участка
250 тыс. руб.·18 га. = 4500 тыс. руб.
Стоимость озеленения
50 тыс. руб.·18 га. = 900 тыс. руб.
Итого затраты: 4500 тыс. руб. + 900 тыс. руб. = 5400 тыс. руб.
Определение эксплуатационных расходов
Амортизационные затраты по озеленению
900 тыс. руб.·0,042 = 37,8 тыс. руб.
Расходы по содержанию зеленых насаждений
0,3 руб/м2·180000 м2 = 54 000 руб.
Итого 37,8 + 54 = 91,8 тыс. руб.
Определение приведенных затрат в случае, когда моментом приведения считают момент окончания работ
Годовой экономический эффект
Э = 851,6 - 806,76 = 44,84 тыс. руб.
Если в качестве момента приведения выбрать момент начала строительства, то годовой экономический результат в этом случае будет

.
Приведенные затраты равны:
Годовой экономический эффект
Э = 640,3 - 606,3 = 34 тыс. руб.
Мероприятие 4. Удаление жилой застройки на 60 м, устройство насыпи высотой 4 м и железобетонного экрана высотой 2,5 м, озеленение насыпи и зоны разрыва шириной 60 м. Срок строительства 2,5 года.
Значения У
внешн. приведены в табл. 10 и
11
Таблица 10
LA.экв.н | l l LA.экв.н < l + 1 | A(l), руб/чел. год | Nн(l), чел. | A(l)Nн(l), руб/год |
35 | 35 | 31,8 | 4000 | 127200 |
39 | 39 | 55,9 | 6000 | 335400 |
40,7 | 40 | 63,7 | 2000 | 127400 |
29,5 | 29 | 10 | 2000 | 20000 |
Итого | - | - | 14000 | 610000 |
LA.экв.д | l l LA.экв.д < l + 1 |  , руб/чел. год | Nд(l), чел. |  , руб/год |
48 | 48 | 11,6 | 4000 | 46400 |
50 | 50 | 16,3 | 6000 | 97800 |
56,2 | 56 | 38,9 | 2000 | 77800 |
40,4 | 40 | 1,33 | 2000 | 2660 |
Итого | - | - | 14000 | 224660 |
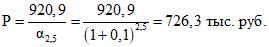
Таким образом,
Увнешн. = 610 + 224,66 = 834,66 = 834,7 тыс. руб.
Годовой экономический результат
Р = 1755,6 - 834,7 = 920,9 тыс. руб.
Определение затрат
Стоимость освоения дополнительной территории
250 тыс. руб.·3,6 га. = 900 тыс. руб.
Стоимость устройства насыпи
108 тыс. руб.·600 м : 1000 м = 64,8 тыс. руб. (см.
прил. 4).
Стоимость экрана
17,1 руб.·600 м = 10 300 руб.
(См. Сб. единичных расценок на строительные работы для строек Моск. обл., том VIII, поз. 30 - 120)
Стоимость озеленения
50 тыс. руб.·3,96 га = 198 тыс. руб.
(66 м·600 м = 39600 м2 = 3,96 га).
Итого затраты 900 + 64,8 + 10,3 + 198 = 1173,1 тыс. руб.
Определение эксплуатационных расходов:
по насыпи

;
по экрану

;
по озеленению

;
по содержанию зеленых насаждении
0,3 руб/м2·39600 м2 = 11,9 тыс. руб.
Итого 5,5 + 0,74 + 8,3 + 11,9 = 26,4 тыс. руб.
Определение приведенных затрат
Э = 920,9 - 184,63 = 736,27 тыс. руб.;

;
Э = 726,3 - 140,7 = 585,6 тыс. руб.
Мероприятие 5. Удаление жилой застройки на 97 м, заглубление автомагистрали на 4 м, устройство насыпи высотой 3,5 м, озеленение насыпи и зоны разрыва. Срок строительства 2,5 года.
Значения У
внешн. приведены в табл. 12 и
13.
Таблица 12
LA.экв.н | l l LA.экв.н < l + 1 | A(l), руб/чел. год | Nн(l), чел. | A(l)Nн(l), руб/год |
33,4 | 33 | 23 | 4000 | 92000 |
38,2 | 38 | 48,9 | 6000 | 293400 |
40,4 | 40 | 63,7 | 2000 | 127400 |
27,6 | 27 | 5,4 | 2000 | 10800 |
Итого | - | - | 14000 | 523600 |
LA.экв.д | l l LA.экв.д < l + 1 |  , руб/чел. год | Nд(l), чел. |  , руб/год |
45 | 45 | 6,4 | 4000 | 25600 |
49,3 | 49 | 13,8 | 6000 | 82800 |
54,7 | 54 | 29,7 | 2000 | 59400 |
38 | 38 | 0,94 | 2000 | 1880 |
Итого | - | - | 14000 | 169680 |
Таким образом,
Увнешн. = 523,6 + 169,68 = 693,28 = 693,3 тыс. руб.
Годовой экономический результат
Р = 1755,6 - 693,3 = 1062,3 тыс. руб.
Определение затрат
Стоимость освоения дополнительной территории:
250 тыс. руб.·2,22 га = 555 тыс. руб.;
37 м·600 м = 22200 м2, или 2,22 Га.
Стоимость устройства выемки
252 тыс. руб.·600 м : 1000 м = 151,2 тыс. руб. (см.
прил. 4).
Стоимость устройства насыпи
108 тыс. руб.·600 м : 1000 м = 64,8 тыс. руб. (см.
прил. 4).
Стоимость озеленения
50 тыс. руб.·2,82 га = 141 тыс. руб.
47 м·600 м = 28200 м2 = 2,82 Га.
Итого затрат 555 + 151,2 + 64,8 + 141 = 912 тыс. руб.
Определение эксплуатационных расходов
на выемку и насыпь

;
по содержанию зеленых насаждений
0,3 руб/м2·28200 м2 = 8,5 тыс. руб.;
по озеленению (амортизационные отчисления)

.
Итого расходов 18,4 + 5,9 + 8,5 = 32,8 тыс. руб.
Определение приведенных затрат:
З = 32,8 + 0,12 [(1 + 0,1)·364,8 + (1 + 0,1)2·364,8 + 182,4] = 155,81 тыс. руб.;
Э = 1062,3 - 155,81 = 906,49 тыс. руб.;

;

;
Э = 837,8 - 119,1 = 718,7 тыс. руб.
Сравнение пяти представленных мероприятий защиты от шума рассматриваемого микрорайона показывает, что оптимальным является мероприятие 2, дающее наибольший годовой экономический эффект, равный 1152,9 тыс. руб.
НОРМАТИВЫ АМОРТИЗАЦИОННЫХ ОТЧИСЛЕНИЙ, РАСХОДОВ
НА ТЕКУЩИЙ РЕМОНТ И СОДЕРЖАНИЕ СООРУЖЕНИЙ И КОНСТРУКЦИЙ
Сооружение или конструкция | Амортизация, % от сметной стоимости | Текущий ремонт, % от сметной стоимости | Расходы по содержанию, руб/м2 |
Зеленые насаждения | 4,2 | - | 0,3 |
Земляные выемки и насыпи | 8,4 | 0,1 | - |
Оконные проемы | 9 | 0,08 | - |
Экраны шумозащитные железобетонные | 7 | 0,14 | - |
ТЕХНИКО-ЭКОНОМИЧЕСКИЕ ПОКАЗАТЕЛИ ОКОН
С УСИЛЕННОЙ ЗВУКОИЗОЛЯЦИЕЙ ЖИЛЫХ И ГРАЖДАНСКИХ ЗДАНИЙ
(РУБ/М2 КОНСТРУКЦИИ)
Тип заполнения оконного проема | Конструкция окна | Единовременные затраты на создание ограждающей конструкции | Итого прямые затраты | Расходы на компенсацию теплопотерь за нормативный срок окупаемости | Удельные капитальные вложения на изготовление конструкций | Приведенные затраты |
толщина стекла, мм | толщина воздушного промежутка, мм | притворы без прокладок | притворы с уплотняющими прокладками |
стоимость материалов | стоимость монтажа | стоимость транспортирования |
снижение уровня звука, дБA |
1 | 2 | 3 | 4 | 5 | 6 | 7 | 8 | 9 | 10 | 11 | 12 |
Открытое окно | - | - | 5 | - | - | - | - | - | - | - | - |
Закрытое окно с открытой форточкой, фрамугой или узкой створкой | - | - | 10 | - | - | - | - | - | - | - | - |
Полностью закрытые окна | 3 | - | 20 | 22 | 9,91 | | | 12,29 | | | 44,8 |
Одинарный переплет | 4 - 5 | - | 21 | 23 | 10,51 | 1,75 | 0,63 | 12,89 | 30,5 | 16,8 | 45,4 |
6 - 8 | - | 24 | 27 | 10,64 | | | 13,02 | | | 45,53 |
Спаренное окно | 3 - 3 | 57 | 24 | 26 | 15,69 | 1,86 | 0,89 | 18,4 | 12,25 | 16,8 | 35,7 |
Спаренное окно с прокладками из пенополиуретана | 6 - 3 | 57 | - | 28 | 16,54 | 1,86 | 0,89 | 12,29 | 15,25 | 16,8 | 36,55 |
То же | 6 - 4 | 57 | - | 29 | 17,01 | 1,86 | 0,89 | 19,76 | 15,25 | 16,8 | 37,02 |
Спаренное окно с прокладками из пенополиуретана и с звукопоглощающей облицовкой | 6 - 4 | 57 | - | 31 | 21,09 | 1,86 | 0,89 | 23,84 | 15,25 | 16,8 | 41,1 |
Спаренное окно с тройным остеклением и прокладками из пенополиуретана | 6,4 - 4 | 57 и 2 | - | 33 | 29,97 | 2,06 | 1,52 | 33,55 | 10,17 | 16,8 | 45,73 |
Раздельное окно | 6 - 3 | 120 | - | 32 | 21,88 | 1,96 | 1,26 | 25,1 | 13,8 | 16,8 | 40,91 |
Раздельно-сближенное окно по альбому МНИИТЭП РС-8109 с прокладками из пенополиуретана | 3 - 3 | 90 | - | 26 | 15,63 | 1,96 | 1,26 | 18,85 | 13,8 | 16,8 | 34,66 |
То же | 6 - 4 | 90 | - | 30 | 17 | 1,96 | 1,26 | 20,22 | 13,8 | 16,8 | 36,03 |
Раздельно-сближенное окно с тройным остеклением, прокладками из пенополиуретана и звукопоглощающей установкой | 6,4 - 4 | 90 и 2 | - | 36 | 44,86 | 2,06 | 1,52 | 48,44 | 10,17 | 16,8 | 60,62 |
ТЕХНИКО-ЭКОНОМИЧЕСКИЕ ПОКАЗАТЕЛИ УСТРОЙСТВА НЕКОТОРЫХ
ШУМОЗАЩИТНЫХ СООРУЖЕНИЙ (НА 1 КМ СООРУЖЕНИЯ)
N п.п. | Наименование сооружения | Ширина полосы, м | Площадь полосы, м | Количество полос, шт. | Общая площадь под сооружением, га | Сметная стоимость; тыс. руб. |
1 | Кавальер | 8 - 40 | 8700 - 40000 | 2 | 1,7 - 8 | 104,518 |
2 | Выемка с пологими откосами 1:1,5 | 11 - 13 | 11000 - 13000 | 1 | 1,1 - 1,3 | 120 - 252 |
3 | Выемка с вертикальными стенками | 2 | 2000 | 1 | 0,2 | 91 - 628 |
4 | Насыпь | 5,5 - 46 | 5500 - 46000 | 1 | 0,6 - 4,6 | 108 - 1061 |