Главная // Актуальные документы // Актуальные документы (обновление 2024.12.02-2025.01.05) // ГОСТ (Государственный стандарт)СПРАВКА
Источник публикации
М.: ФГБУ "Институт стандартизации", 2024
Примечание к документу
Документ
вводится в действие с 01.09.2025 с правом досрочного применения.
Взамен ГОСТ IEC 61000-4-9-2013.
Название документа
"ГОСТ IEC 61000-4-9-2022. Межгосударственный стандарт. Электромагнитная совместимость. Часть 4-9. Методы испытаний и измерений. Испытание на устойчивость к импульсному магнитному полю"
(введен в действие Приказом Росстандарта от 29.08.2024 N 1134-ст)
"ГОСТ IEC 61000-4-9-2022. Межгосударственный стандарт. Электромагнитная совместимость. Часть 4-9. Методы испытаний и измерений. Испытание на устойчивость к импульсному магнитному полю"
(введен в действие Приказом Росстандарта от 29.08.2024 N 1134-ст)
Приказом Федерального агентства
по техническому регулированию
и метрологии
от 29 августа 2024 г. N 1134-ст
МЕЖГОСУДАРСТВЕННЫЙ СТАНДАРТ
ЭЛЕКТРОМАГНИТНАЯ СОВМЕСТИМОСТЬ
ЧАСТЬ 4-9
МЕТОДЫ ИСПЫТАНИЙ И ИЗМЕРЕНИЙ
ИСПЫТАНИЕ НА УСТОЙЧИВОСТЬ К ИМПУЛЬСНОМУ МАГНИТНОМУ ПОЛЮ
Electromagnetic compatibility.
Part 4-9. Testing and measurement techniques.
Impulse magnetic field immunity test
(IEC 61000-4-9:2016, IDT)
ГОСТ IEC 61000-4-9-2022
Дата введения
1 сентября 2025 года
с правом досрочного применения
Цели, основные принципы и общие правила проведения работ по межгосударственной стандартизации установлены
ГОСТ 1.0 "Межгосударственная система стандартизации. Основные положения" и
ГОСТ 1.2 "Межгосударственная система стандартизации. Стандарты межгосударственные, правила и рекомендации по межгосударственной стандартизации. Правила разработки, принятия, обновления и отмены"
1 ПОДГОТОВЛЕН Открытым акционерным обществом "Испытания и сертификация бытовой и промышленной продукции "БЕЛЛИС" на основе собственного перевода на русский язык англоязычной версии стандарта, указанного в
пункте 5
2 ВНЕСЕН Государственным комитетом по стандартизации Республики Беларусь
3 ПРИНЯТ Межгосударственным советом по стандартизации, метрологии и сертификации (протокол от 31 октября 2022 г. N 155-П)
За принятие проголосовали:
Краткое наименование страны по МК (ИСО 3166) 004-97 | Код страны по МК (ИСО 3166) 004-97 | Сокращенное наименование национального органа по стандартизации |
Армения | AM | ЗАО "Национальный орган по стандартизации и метрологии" Республики Армения |
Беларусь | BY | Госстандарт Республики Беларусь |
Киргизия | KG | Кыргызстандарт |
Россия | RU | Росстандарт |
Узбекистан | UZ | Узбекское агентство по техническому регулированию |
4 Приказом Федерального агентства по техническому регулированию и метрологии от 29 августа 2024 г. N 1134-ст межгосударственный стандарт ГОСТ IEC 61000-4-9-2022 введен в действие в качестве национального стандарта Российской Федерации с 1 сентября 2025 г. с правом досрочного применения
5 Настоящий стандарт идентичен международному стандарту IEC 61000-4-9:2016 "Электромагнитная совместимость (ЭМС). Части 4-9. Методы испытаний и измерений. Испытание на устойчивость к импульсному магнитному полю" ("Electromagnetic compatibility (EMC) - Part 4-9: Testing and measurement techniques - Impulse magnetic field immunity test", IDT).
Международный стандарт разработан Подкомитетом 77B "Высокочастотные явления" Технического комитета по стандартизации TC 77 "Электромагнитная совместимость" Международной электротехнической комиссии (IEC).
При применении настоящего стандарта рекомендуется использовать вместо ссылочных международных стандартов соответствующие им межгосударственные стандарты, сведения о которых приведены в дополнительном
приложении ДА
6 ВЗАМЕН ГОСТ IEC 61000-4-9-2013
Информация о введении в действие (прекращении действия) настоящего стандарта и изменений к нему на территории указанных выше государств публикуется в указателях национальных стандартов, издаваемых в этих государствах, а также в сети Интернет на сайтах соответствующих национальных органов по стандартизации.
В случае пересмотра, изменения или отмены настоящего стандарта соответствующая информация будет опубликована на официальном интернет-сайте Межгосударственного совета по стандартизации, метрологии и сертификации в каталоге "Межгосударственные стандарты"
Стандарты серии IEC 61000 публикуются отдельными частями в соответствии со следующей структурой:
- часть 1: | Общие положения - Общее рассмотрение (введение, фундаментальные принципы) - Определения, терминология |
- часть 2: | Электромагнитная обстановка - Описание электромагнитной обстановки - Классификация электромагнитной обстановки - Уровни электромагнитной совместимости |
- часть 3: | Нормы - Нормы помехоэмиссии - Нормы помехоустойчивости (в тех случаях, когда они не являются предметом рассмотрения техническими комитетами, разрабатывающими стандарты на продукцию) |
- часть 4: | Методы испытаний и измерений - Методы измерений - Методы испытаний |
- часть 5: | Руководства по установке и помехоподавлению - Руководство по установке - Методы помехоподавления и устройства |
- часть 6: | Общие стандарты |
- часть 9: | Разное |
Каждая часть состоит из разделов, которые могут быть опубликованы как международные стандарты или как технические отчеты. Некоторые из них уже опубликованы. Другие будут опубликованы с номером части, за которым следуют дефис и второй номер, идентифицирующий раздел (например, 61000-6-1).
Настоящий стандарт устанавливает требования к устойчивости и методы испытаний применительно к импульсному магнитному полю.
1 Область применения и цель
Настоящий стандарт устанавливает требования к устойчивости, методы испытаний и диапазон рекомендуемых испытательных уровней для оборудования, подвергающегося воздействию импульсного магнитного поля, что в основном имеет место быть на:
- промышленных установках;
- электростанциях;
- железнодорожных установках;
- подстанциях среднего и высокого напряжения.
Настоящий стандарт распространяется на оборудование, устанавливаемое в различных местах, определяемых условиями эксплуатации, как указано в
разделе 4.
Настоящий стандарт не распространяется на помехи из-за емкостной или индуктивной связи в кабелях или других частях установки. Эти аспекты относятся к области применения других стандартов IEC, распространяющихся на кондуктивные помехи.
Целью настоящего стандарта является установление основы для оценки устойчивости электротехнического и электронного оборудования при воздействии импульсных магнитных полей. Метод испытаний, установленный в данной части IEC 61000, описывает согласованный метод оценки устойчивости оборудования или системы к определенному явлению.
Примечание - Как указано в IEC Guide 107, настоящий стандарт является базовым стандартом по электромагнитной совместимости (ЭМС) для использования техническими комитетами IEC, разрабатывающими стандарты на конкретную продукцию; которые несут ответственность за определение необходимости применения настоящего стандарта и в случае, если стандарт применяется, за выбор испытательных уровней и критериев качества функционирования оборудования. Технический комитет 77 и его подкомитеты совместно с техническими комитетами IEC, разрабатывающими стандарты на конкретную продукцию, осуществляют оценку частных испытательных уровней помехоустойчивости для соответствующей продукции.
Настоящий стандарт устанавливает:
- диапазон испытательных уровней;
- испытательное оборудование;
- испытательные установки;
- порядок проведения испытаний.
Задача рассматриваемого лабораторного испытания - это выявление реакции испытуемого оборудования (ИО) в определенных режимах функционирования на воздействие импульсных магнитных полей, вызванных переходными процессами в результате коммутации или разрядов молнии.
В настоящем стандарте использована нормативная ссылка на следующий стандарт [для датированной ссылки применяют только указанное издание ссылочного стандарта, для недатированной - последнее издание (включая все изменения)]:
IEC 60050, (all parts), <*> International Electrotechnical Vocabulary (IEV) ((все части), Международный электротехнический словарь (IEV))
--------------------------------
<*> Наличие гармонизированных стандартов следует проверять в национальных фондах стандартов стран, на территории которых применяется настоящий стандарт.
3 Термины, определения и сокращения
3.1 Термины и определения
В настоящем стандарте применены термины по IEC 60050, а также следующие термины с соответствующими определениями:
3.1.1 калибровка (calibration): Набор действий, который устанавливает, со ссылкой на стандарты, существующую при определенных условиях взаимосвязь между показаниями измерительного оборудования и результатами измерений.
Примечание 1 - Данный термин основан на принципе неопределенности.
Примечание 2 - Взаимосвязь между показаниями измерительного оборудования и результатами измерений может быть выражена калибровочной диаграммой.
(Источник: IEC 60050-311:2001, 311-01-09)
3.1.2 генератор комбинированной волны; ГКВ (combination wave generator; CWG): Генератор с формой волны напряжения 1,2/50 мкс в режиме холостого хода и формой волны тока 8/20 мкс в режиме короткого замыкания.
Примечание 1 - Данное определение является сокращенной версией аналогичного определения из IEC 61000-4-5.
Примечание 2 - Это примечание относится только к французской версии стандарта.
3.1.3
длительность импульса Td (импульс тока для 8/20 мкс) (duration
Td (surge current for

)): Виртуальный параметр, определяемый как интервал времени между моментом, в который импульсный ток возрастает до 0,5 своего пикового значения, и моментом, когда он затем падает до 0,5 своего пикового значения
Tw, умноженный на 1,18.
Td = 1,18·Tw.
3.1.4 длительность фронта импульса Tf (импульс тока) (front time Tf (surge current)): Виртуальный параметр, определяемый как умноженный на 1,25 интервал времени Tr между моментами, когда импульсный ток составляет 10% и 90% своего пикового значения.
3.1.5 устойчивость (immunity): Способность устройства, оборудования или системы функционировать без ухудшения рабочих характеристик при воздействии электромагнитных помех.
(Источник: IEC 60050-161:1990, 161-01-20)
3.1.6 индукционная катушка (induction coil): Проводящая обмотка установленной формы и размеров, по которой протекает ток, создающий магнитное поле определенной однородности в определенном объеме.
3.1.7 коэффициент индукционной катушки (induction coil factor): Отношение напряженности магнитного поля, создаваемого индукционной катушкой заданных размеров, к соответствующему значению тока.
Примечание 1 - Магнитное поле измеряется в центре плоскости катушки при отсутствии испытуемого оборудования.
3.1.8 метод приближения (proximity method): Метод воздействия магнитным полем на испытуемое оборудование, при котором небольшая индукционная катушка перемещается вдоль стороны испытуемого оборудования, чтобы выявить особые зоны восприимчивости.
3.1.9 опорная пластина заземления (reference ground plane): Плоская проводящая поверхность, используемая в качестве общего заземляющего проводника.
3.1.10 время нарастания Tr (rise time Tr): Интервал времени между моментами, в которых мгновенное значение импульса сначала достигает 10%, а затем 90% величины.
3.1.11 выброс (surge): Волна электрического тока, напряжения или мощности переходного процесса, распространяющаяся вдоль линии или цепи и характеризующаяся быстрым ростом с последующим более медленным снижением.
3.1.12 система (system): Набор взаимосвязанных элементов, собранных для достижения заданных целей путем выполнения определенных функций.
Примечание 1 - Система считается отделенной от окружающей обстановки и других внешних систем воображаемой поверхностью, которая прерывает связи между ними и рассматриваемой системой. Благодаря этим связям система подвергается воздействию окружающей обстановки, находится под воздействием внешних систем или сама воздействует на окружающую среду или внешние системы.
3.1.13 переходный процесс (transient): Явление или величина, которые изменяются между двумя последовательными установившимися состояниями за интервал времени, короткий по сравнению с рассматриваемой шкалой времени.
(Источник: IEC 60050-161:1990, 161-02-01)
3.1.14 проверка (verification): Набор действий, который используется для проверки системы испытательного оборудования, например испытательного генератора и его соединительных кабелей, для демонстрации нормального функционирования испытательной системы.
Примечание 1 - Методы, используемые для проверки, могут отличаться от методов, используемых при калибровке.
Примечание 2 - Для целей настоящего базового стандарта ЭМС это определение отличается от определения, указанного в IEC 60050-311:2001, 311-01-13.
ВО (AE) - вспомогательное оборудование.
УСР (CDN) - устройство связи и развязки.
ГКВ (CWG) - генератор комбинированной волны.
ЭБПП/П (EFT/B) - электрические быстрые переходные процессы/пачки.
ЭМС (EMC) - электромагнитная совместимость.
ЭСР (ESD) - электростатический разряд.
ИО (EUT) - испытуемое оборудование.
НИ (MU) - неопределенность измерения.
ОПЗ (RGP) - опорная пластина заземления.
Магнитные поля, воздействующие на оборудование, могут влиять на надежность функционирования оборудования и систем.
Испытания, устанавливаемые настоящим стандартом, предназначены для подтверждения устойчивости оборудования к импульсному магнитному полю в определенных условиях эксплуатации и при определенном условии размещения (например, при размещении оборудования вблизи источника помех).
Импульсные магнитные поля образуются под воздействием разрядов молний на здания и другие металлические конструкции, включая антенные мачты, заземляющие проводники и системы заземления, а также в результате начальных переходных процессов при коротком замыкании в электрических сетях и установках низкого, среднего и высокого напряжения.
На высоковольтных подстанциях импульсное магнитное поле может также создаваться при переключении высоковольтных шин и линий автоматическими выключателями.
Испытаниям на воздействие импульсного магнитного поля главным образом подвергается электронное оборудование, устанавливаемое на генераторных и распределительных электростанциях, а также в их центрах управления. Испытания оборудования распределительной сети, например трансформаторов, линий электропередач, не проводят.
Комитетами, разрабатывающими стандарты на продукцию, возможно рассмотрение испытаний к другим видам продукции.
Предпочтительные испытательные уровни указаны в
таблице 1.
Таблица 1
Испытательный уровень | Напряженность импульсного магнитного поля, пиковое значение, А/м |
1 | Не применяется |
2 | Не применяется |
3 | 100 |
4 | 300 |
5 | 1000 |
| Специальная |
Примечание - Напряженность магнитного поля выражена в амперах на метр (А/м); 1 А/м соответствует магнитной индукции в свободном пространстве, равной 1,26 мкТл. -------------------------------- <a> "X" - может быть любым уровнем, выше, ниже или между другими уровнями. Этот уровень, так же как и продолжительность испытаний, должен быть указан в документации к специальному оборудованию. |
Выбор испытательных уровней производится в соответствии с условиями установки. Классы установки приведены в
приложении C.
6 Испытательное оборудование
Испытательная система включает в себя генератор комбинированной волны и индукционную катушку для настольной испытательной установки, а также ОПЗ для напольной испытательной установки.
6.2 Генератор комбинированной волны
В данном случае в качестве источника тока используется генератор комбинированной волны.
Примечание - Генератор комбинированной волны, указанный в настоящем стандарте, имеет форму волны, идентичную приведенной в IEC 61000-4-5.
Следовательно, имеет значение только форма волны 8/20 мкс. Генератор комбинированной волны должен иметь возможность подавать требуемый импульсный ток на индукционные катушки, указанные в
6.3.
Форма сигнала представляется как ток короткого замыкания, поэтому она должна измеряться без подключенной индукционной катушки.
Настоящий генератор предназначен для генерации выброса, имеющего длительность:
- при токе короткого замыкания время нарастания импульса на выходе - 8 мкс;
- импульса тока короткого замыкания на выходе - 20 мкс.
Упрощенная принципиальная электрическая схема генератора представлена на
рисунке 1. Значения элементов
RS1,
RS2,
Rm,
Lr и
Cc выбирают таким образом, чтобы генератор формировал выброс импульса тока 8/20 мкс в режиме короткого замыкания.
U - источник высокого напряжения;
Rc - зарядный резистор;
Cc - накопительный конденсатор;
Rs - резисторы, формирующие длительность импульса;
Rm - резистор для согласования полного сопротивления;
Lr - индуктивность, формирующая время нарастания импульса;
C0 - внутренний или внешний конденсатор емкостью 18 мкФ.
Рисунок 1 - Упрощенная принципиальная электрическая схема
генератора комбинированной волны
6.2.2 Рабочие характеристики генератора
Полярность | положительная и отрицательная |
Сдвиг фаз | в диапазоне 0 - 360° относительно угла сдвига фаз напряжения переменного тока к ИО с отклонением +/- 10° |
Частота повторения | один раз в минуту или чаще |
Пиковое значение выходного тока короткого замыкания | 100 - 1000 А или значение требуемого испытательного уровня, деленное на коэффициент индукционной катушки |
Форма волны импульсного тока | |
Допустимое отклонение пикового значения выходного тока короткого замыкания | +/- 10% |
Длительность фронта импульса | Tf = 1,25·Tr = 8 мкс +/- 20% |
Продолжительность импульса | Td = 1,18·Tw = 20 мкс +/- 20% |
Примечание 1 - Значение 1,25 - величина, обратная разнице между граничными значениями 0,9 и 0,1.
Примечание 2 - Значение 1,18 - взято из данных, полученных опытным путем.
Рисунок 2 - Форма волны импульса тока короткого замыкания
(8/20 мкс) на выходе генератора с последовательно
подключенным конденсатором емкостью 18 мкФ
Таблица 2
Определения параметром формы волны 8/20 мкс
| Длительность фронта импульса Tf, мкс | Длительность импульса Td, мкс |
Ток короткого замыкания | Tf = 1,25·Tr = 8 +/- 20% | Td = 1,18·Tw = 20 +/- 20% |
Необходимо использовать генератор с плавающим выходом.
6.2.3 Калибровка генератора
Если для измерения тока короткого замыкания используется трансформатор тока (пробник), то он выбирается таким образом, чтобы не происходило насыщения магнитного сердечника. Нижняя (-3 дБ) сопрягающая частота пробника тока должна быть менее 100 Гц. Калибровка должна проводиться с токовым пробником и осциллографом или другим эквивалентным измерительным оборудованием с полосой пропускания не менее 1 МГц. Калибровка должна выполняться для всех испытательных уровней, которые применяются при испытаниях.
Характеристики генератора должны быть измерены с помощью внешнего конденсатора емкостью 18 мкФ, подключенного последовательно с выходом в условиях короткого замыкания. Если конденсатор 18 мкФ встроен в генератор, то внешний конденсатор 18 мкФ для калибровки не требуется.
На выходе генератора должны соблюдаться все рабочие характеристики, указанные в
6.2.2, за исключением сдвига фаз.
6.3.1 Распределение поля
Для двух одновитковых стандартных катушек размером 1 x 1 м и 1 x 2,6 м распределение поля известно и показано в
приложении B. Следовательно, нет необходимости в проверке или калибровке поля. Достаточно измерения тока, как показано на
рисунке 3.
Рисунок 3 - Пример измерения тока стандартной
индукционной катушки
Для ИО, которое не помещается ни в одну из двух стандартных катушек, могут быть использованы другие катушки различных размеров. В этих случаях распределение поля определяют путем измерения или расчета (см.
приложение A).
6.3.2 Характеристики стандартных индукционных катушек размером 1 x 1 м и 1 x 2,6 м
Стандартная индукционная катушка должна быть изготовлена из медного, алюминиевого или другого проводящего немагнитного материала; площадь ее поперечного сечения и конструктивное исполнение должны обеспечивать устойчивую установку при испытаниях.
Допустимое отклонение размеров стандартных катушек составляет +/- 1 см, измерение производится между осевыми линиями (центром поперечного сечения). Характеристики индукционных катушек относительно распространения магнитного поля указаны в
приложении B.
6.4 Калибровка испытательной системы
Основные характеристики испытательной системы должны быть калиброваны посредством измерения тока, как показано на
рисунке 3.
Выходной ток должен быть проверен при помощи генератора, подключенного к стандартной индукционной катушке, описанной в
6.2.1, для всех применяемых испытательных уровней. Для того чтобы соответствовать характеристикам, указанным в
таблицах 3 и
4, может потребоваться внешний конденсатор (например, 18 мкФ), подключенный последовательно. Также такой конденсатор может быть встроен в генератор. Соединение должно быть выполнено скрученным проводом или коаксиальным кабелем подходящего сечения длиной до 3 м.
Должны быть подтверждены следующие технические характеристики, указанные в
таблицах 3 и
4.
Таблица 3
Характеристики формы сигнала временных параметров
испытательной системы
| Длительность фронта импульса Tf, мкс | Длительность импульса Td, мкс |
Для системы, использующей стандартную индукционную катушку размером 1 x 1 м | | |
Для системы, использующей стандартную индукционную катушку размером 1 x 2,6 м | | |
Таблица 4
Характеристики формы сигнала пикового тока
испытательной системы
Испытательный уровень | Пиковый ток I +/- 10%, А |
| Для системы, использующей стандартную индукционную катушку размером 1 x 1 м | Для системы, использующей стандартную индукционную катушку размером 1 x 2,6 м |
1 | Не применяется | Не применяется |
2 | Не применяется | Не применяется |
3 | 111 | 152 |
4 | 333 | 453 |
5 | 1111 | 1515 |
| Специальный/0,9 | Специальный/0,66 |
Примечание - Значения 0,9 и 0,66 - это рассчитанные коэффициенты индукционной катушки стандартных индукционных катушек, как описано в A.2.3. -------------------------------- <a> "X" - может быть любой испытательный уровень, выше, ниже или между другими уровнями. Этот уровень должен быть указан в спецификации на специальное оборудование. |
Если для измерения тока короткого замыкания используется трансформатор тока (пробник), то он выбирается таким образом, чтобы не происходило насыщения магнитного сердечника. Нижняя (-3 дБ) сопрягающая частота пробника тока должна быть менее 100 Гц. Калибровка должна проводиться с токовым пробником и осциллографом или другим эквивалентным измерительным оборудованием с полосой пропускания не менее 1 МГц.
7 Испытательная установка
7.1 Испытательное оборудование
Следующее оборудование входит в состав испытательной установки:
- испытуемое оборудование (ИО);
- вспомогательное оборудование (ВО), когда требуется;
- кабели (определенного типа и длины);
- генератор комбинированной волны (ГКВ) с внутренним или внешним конденсатором (например, 18 мкФ);
- индукционная катушка;
- опорная пластина заземления (ОПЗ), в случае проведения испытания напольного испытуемого оборудования.
7.2 Проверка испытательного оборудования
Цель проверки - убедиться, что испытательная установка правильно функционирует. Испытательная установка включает в себя:
- генератор комбинированной волны;
- индукционную катушку;
- соединительные кабели испытательного оборудования.
Для подтверждения того, что система правильно функционирует должен быть проверен следующий сигнал:
- наличие выброса импульса на выводах стандартной индукционной катушки.
Используя подходящее измерительное оборудование (например, токовый пробник, осциллограф) достаточно убедиться, что выброс присутствует на любом уровне.
Примечание - Для данной процедуры проверки испытательные лаборатории могут установить свое внутреннее опорное значение.
7.3 Испытательная установка для воздействия импульсного магнитного поля на настольное испытуемое оборудование
Настольное испытуемое оборудование должно располагаться на непроводящем столе. Для ИО с габаритными размерами до 0,6 x 0,6 x 0,5 м (длина x ширина x высота) можно использовать стандартную индукционную катушку размером 1 x 1 м. Для ИО с габаритными размерами до 0,6 x 0,6 x 2 м (длина x ширина x высота) можно использовать стандартную индукционную катушку размером 1 x 2,6 м.
Индукционная катушка должна располагаться в трех ортогональных плоскостях.
Если ИО невозможно расположить внутри индукционной катушки размером 1 x 2,6 м, тогда должен применяться либо метод приближения (см.
7.4), либо индукционные катушки больших размеров, сконструированные в соответствии с размерами ИО для различных плоскостей магнитного поля.
Примечание - Если конструирование индукционных катушек для очень большого оборудования практически невозможно, то метод приближения становится единственным подходящим методом для испытания.
В процессе данного испытания нет необходимости в максимизации воздействия кабелей. Кабели, располагаемые возле индукционной катушки, могут воздействовать на результаты испытаний, поэтому кабели должны быть проложены так, чтобы минимизировать это влияние. При определении максимальных размеров ИО необходимо учитывать минимальные размеры кабелей.
Располагать ОПЗ под ИО не требуется (см.
рисунок 4). Индукционная катушка должна располагаться на расстоянии минимум 0,5 м от любых проводящих поверхностей, например стен или экранированной части поверхности пола.
Рисунок 4 - Пример испытательной установки для настольного
оборудования с расположением индукционной катушки
в вертикальной ортогональной плоскости
7.4 Испытательная установка для воздействия импульсного магнитного поля на напольное испытуемое оборудование
Индукционная катушка стандартных размеров для испытания напольного оборудования (например, стойки) имеет прямоугольную форму размером 1 x 2,6 м, где при испытании крупногабаритного оборудования в качестве короткой стороны может выступать ОПЗ. Для напольного оборудования с максимальными габаритными размерами 0,6 x 0,6 м можно использовать индукционную катушку размером 1 x 1 м.
ОПЗ должна быть толщиной не менее 0,65 мм и размерами не менее 1 x 1 м. ИО должно быть изолировано от ОПЗ.
Рисунок 5 - Пример испытательной установки для напольного
оборудования с расположением индукционной катушки
в горизонтальной ортогональной плоскости
Для напольного оборудования (например, шкафов), когда верх ИО находится на расстоянии более чем на 0,75 м над ОПЗ, тогда испытания должны проводиться более чем в одном положении. Расстояние между положениями катушки должно быть (0,5 +/- 0,05) м. На
рисунке 5 показаны три положения для испытания. В любом случае индукционная катушка, показанная на
рисунке 5, не должна размещаться на высоте ниже чем 0,5 м. На
рисунке 6 показан пример расположения индукционной катушки в вертикальной ортогональной плоскости.
Рисунок 6 - Пример испытательной установки для напольного
оборудования с расположением индукционной катушки
в вертикальной ортогональной плоскости
Рабочий объем прямоугольной катушки составляет 0,6 x 0,6 x 2 м (длина x ширина x высота).
Если ИО невозможно расположить внутри прямоугольной катушки размером 1 x 2,6 м, тогда должен применяться либо метод приближения (более подробную информацию см. на
рисунке 7 и в
7.5), либо индукционные катушки больших размеров, сконструированные в соответствии с размерами ИО для различных плоскостей магнитного поля (см.
приложение A).
Рисунок 7 - Пример испытательной установки
с использованием метода приближения
Если конструирование индукционных катушек для очень большого оборудования практически невозможно, то метод приближения становится единственным подходящим методом для испытания. Комитеты, разрабатывающие стандарты на продукцию, могут выбрать или применять метод приближения либо использовать подходящую катушку.
В процессе данного испытания нет необходимости в максимизации воздействия кабелей. Кабели, располагаемые возле индукционной катушки, могут воздействовать на результаты испытаний, поэтому кабели должны быть проложены так, чтобы минимизировать это влияние. При определении максимальных размеров ИО необходимо учитывать минимальные размеры кабелей.
7.5 Испытательная установка для воздействия импульсного магнитного поля на оборудование, испытываемое на месте эксплуатации
Испытание на месте эксплуатации, как правило, является единственным возможным методом, доступным для крупногабаритного машинного и аналогичного оборудования. Во время испытаний на месте эксплуатации ОПЗ, как правило, отсутствует. Поэтому, в отсутствие на месте ОПЗ, метод приближения является единственным возможным методом испытания. На
рисунке 7 показан пример испытательной установки для испытания на месте эксплуатации. При испытаниях ИО методом приближения должна использоваться стандартная индукционная катушка размером 1 x 1 м. Необходимо, чтобы стандартная индукционная катушка была изолирована от ИО. Расстояние между стандартной изоляционной катушкой и ИО должно быть (10 +/- 1) см.
Примечание - Расстояние было установлено, чтобы обеспечить напряженность поля такую же, как и в центре стандартной индукционной катушки.
Таким же образом можно проводить испытание настольного оборудования в соответствии с
7.3, но это не приоритетный метод испытания.
8 Порядок проведения испытаний
Процедура испытаний включает:
- проверку испытательного оборудования в соответствии с
7.2;
- установку стандартных условий испытаний в лаборатории;
- подтверждение правильности функционирования испытуемого оборудования;
- выполнение испытаний;
- оценку результатов испытаний (см.
раздел 9).
8.2 Стандартные условия испытаний в лаборатории
8.2.1 Климатические условия
Если иное не установлено в основополагающем стандарте или стандарте на продукцию, климатические условия в лаборатории должны быть в пределах, установленных изготовителями ИО и испытательного оборудования для нормального их функционирования.
Испытания не должны проводиться, если уровень относительной влажности в лаборатории настолько высок, что это приводит к образованию конденсата на ИО или испытательном оборудовании.
8.2.2 Электромагнитная обстановка
Электромагнитная обстановка в испытательной лаборатории должна обеспечивать нормальное функционирование ИО и не влиять на результаты испытаний.
Должна быть выполнена проверка. Предпочтительно проверку выполнять перед испытаниями (см.
7.2.).
Испытания должны выполняться в соответствии с программой испытаний, которая должна определять испытательную установку, включая:
- испытательный уровень;
- количество импульсов (для каждой ортогональной плоскости);
- количество импульсов, если иное не указано в соответствующем стандарте:
1) для ИО, питающегося постоянным током, пять положительных и пять отрицательных импульсов;
2) для однофазного ИО, питающегося переменным током, 20 положительных и 20 отрицательных импульсов без фазовой синхронизации;
3) для трехфазного ИО, питающегося переменным током, 20 положительных и 20 отрицательных импульсов без фазовой синхронизации;
- частоту повторения импульсов не менее чем один импульс в минуту (комитеты, разрабатывающие стандарты на продукцию, могут указывать частоту повторения);
- типовые условия эксплуатации ИО;
- три ортогональные плоскости магнитного поля в случае испытания настольного оборудования;
- три плоскости магнитного поля в случае испытания напольного оборудования;
- расположение индукционной катушки относительно ИО (испытательные точки).
У многих изделий может не соответствовать фазовая синхронизация, поэтому технические комитеты, разрабатывающие стандарты на продукцию, должны принять решение о необходимости фазовой синхронизации для своих изделий.
Примечание 1 - Для оборудования с инверторной технологией может быть более критичным проведение испытаний с разными углами сдвига фаз.
Примечание 2 - При использовании генератора на выходе УСР могут потребоваться особые меры безопасности.
9 Оценка результатов испытаний
Результаты испытаний классифицируют, исходя из прекращения функционирования ИО или ухудшения его рабочих характеристик, с учетом критериев качества функционирования, установленных изготовителем или заявителем на процедуру испытаний или согласованных между изготовителем и покупателем оборудования. Рекомендуемая классификация включает следующее:
a) нормальное функционирование в рамках предельных значений, установленных изготовителем, заявителем или потребителем;
b) временное прекращение функционирования или ухудшение рабочих характеристик, которые прекращаются после прекращения воздействия помехи и после которых нормальное функционирование ИО восстанавливается без вмешательства оператора;
c) временное прекращение функционирования или ухудшение рабочих характеристик, коррекция которых требует вмешательства оператора;
d) прекращение функционирования или ухудшение рабочих характеристик, восстановление которых невозможно из-за повреждения компонентов или программного обеспечения оборудования или потери данных.
В технической документации на ИО могут быть указаны нарушения функционирования ИО, которые рассматриваются как незначительные и допустимые.
Приведенная классификация может использоваться в качестве руководства при определении критериев качества функционирования оборудования при разработке основополагающих стандартов, стандартов на продукцию или группу продукции или как основание для согласования критериев качества функционирования между изготовителем и покупателем, например, при отсутствии соответствующего основополагающего стандарта или стандарта на продукцию или группу продукции.
В результате проведенных испытаний оборудование не должно стать небезопасным.
Протокол испытаний должен содержать всю информацию, необходимую для воспроизведения испытания. В частности, должно быть указано следующее:
- пункты программы испытаний, требуемые в соответствии с
разделом 8;
- обозначение ИО и любого связанного с ним оборудования (например, торговая марка, тип продукции, серийный номер);
- обозначение испытательного оборудования (например, торговая марка, тип продукции, серийный номер);
- любые особые условия окружающей среды при испытаниях, например в случае использования экранированной камеры;
- любые особые условия, необходимые для проведения испытания;
- критерии качества функционирования, установленные изготовителем, заявителем или потребителем;
- критерии качества функционирования, установленные в основополагающем стандарте, стандарте на продукцию или группу продукции;
- любые отклонения в функционировании ИО, наблюдаемые во время или после испытательного воздействия, а также продолжительность указанных отклонений;
- обоснование принятия решения о соответствии/несоответствии ИО (на основе критериев качества функционирования, указанных в основополагающем стандарте, стандарте на продукцию или группу продукции либо согласованных между изготовителем и потребителем);
- любые особые условия эксплуатации, например длина или тип кабеля, экранирование или заземление, или какие-либо условия эксплуатации ИО, которые требовались для обеспечения соответствия;
- индукционные катушки, выбранные для проведения испытания;
- расположение и ориентация индукционной катушки относительно ИО.
(справочное)
ХАРАКТЕРИСТИКИ НЕСТАНДАРТНЫХ ИНДУКЦИОННЫХ КАТУШЕК
A.1 Общие положения
Если ИО невозможно расположить внутри стандартной индукционной катушки, тогда должен применяться либо метод приближения, либо должны использоваться нестандартные индукционные катушки. Нестандартные катушки конструируются с учетом размеров ИО для различных ориентаций магнитного поля.
Примечательно, что большие индукционные катушки показывают воспроизводимые результаты, но может не быть возможностей для создания очень больших катушек. Максимальные размеры нестандартных индукционных катушек определяются возможностью достижения требований для формы волны катушки 1 x 2,6 м. Метод приближения может показывать полезные, но не всегда воспроизводимые результаты.
Примечание - Из-за возможных больших размеров ИО, катушки могут быть сделаны с формой поперечного сечения "C" или "T" для обеспечения достаточной механической упругости.
A.2 Определение коэффициента индукционной катушки
A.2.1 Общие положения
Коэффициент индукционной катушки определяют измерением или расчетом. Этот коэффициент используется при расчете тока в индукционной катушке для получения требуемой величины напряженности магнитного поля в центре катушки.
A.2.2 Измерение коэффициента индукционной катушки
Для сравнения результатов испытания различных катушек коэффициент индукционной катушки должен быть измерен в условиях пустого пространства без ИО.
Для измерения напряженности магнитного поля H, создаваемого индукционной катушкой, должен использоваться датчик магнитного поля с достаточной чувствительностью.
Датчик магнитного поля должен располагаться в центре индукционной катушки и с соответствующей ориентацией для определения максимального значения поля. В индукционной катушке ток I должен быть измерен и установлен на получение напряженности магнитного поля в пределах диапазона измерения датчика магнитного поля. Коэффициент индукционной катушки kCF = H/I.
A.2.2.2 Измерение коэффициента индукционной катушки для настольного оборудования
Должна проводиться следующая процедура:
Индукционная катушка должна располагаться на расстоянии не менее чем 1 м от проводящих или магнитных частей. В качестве подставки для индукционной катушки можно использовать изоляционный материал. Индукционную катушку подключают к источнику переменного тока. Измерение можно проводить на любой частоте (например, 50 или 60 Гц).
A.2.2.3 Измерение коэффициента индукционной катушки для напольного оборудования
Должна проводиться следующая процедура:
Индукционная катушка должна располагаться на ОПЗ, которая может представлять собой одну из сторон катушки. За исключением ОПЗ все другие проводящие и магнитные части должны располагаться на расстоянии не менее чем 1 м от катушки. В качестве подставки для индукционной катушки можно использовать изоляционный материал. Индукционная катушка должна быть подключена к источнику переменного тока. Измерение должно проводиться на промышленной частоте.
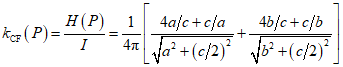
A.2.3 Расчет коэффициента индукционной катушки
Коэффициент индукционной катушки может быть рассчитан, исходя из геометрических размеров индукционной катушки. Для одновитковой прямоугольной индукционной катушки со сторонами a + b и c коэффициент индукционной катушки kCF определяется как

, (A.1)
где H(P) - магнитное поле в точке P, а I - ток индукционной катушки.
Уравнение A.1 действительно, если наибольший размер поперечного сечения проводника катушки является достаточно малым по сравнению с короткой стороной индукционной катушки. Если для квадратной индукционной катушки со стороной
c, точка
P находится в центре катушки, тогда
a =
b =
c/2. Если точка
P находится в центре прямоугольной катушки, тогда
a =
b. Если нижней стороной катушки является ОПЗ, тогда
уравнение A.1 все еще будет действительно, но необходимо будет брать в расчет фактическое (физическое) изображение катушки. В этом случае, если точка
P находится в центре физической катушки, то коэффициент
kCF катушки, образованной физической катушкой плюс ее изображение, определяется
уравнением A.1, где
b = 3 x a.
Рисунок A.1 - Прямоугольная индукционная катушка
со сторонами a + b и c
A.3 Измерение напряженности магнитного поля
Измерение напряженности магнитного поля, упомянутое в
A.2.2.1, также применяется и при использовании больших нестандартных индукционных катушек. Для измерения магнитного поля допускается применять измерительную систему, состоящую из калиброванных датчиков, например датчиков на основе "эффекта Холла", или многовитковых контурных датчиков с диаметром как минимум на порядок меньше, чем у индукционной катушки и прибора с узким диапазоном промышленных частот. Максимальный объем ограничен изолинией +3 дБ в плоскости
x -
y и изолинией +/- 3 дБ в плоскости
x -
z.
A.4 Проверка нестандартных индукционных катушек
Измерение можно проводить путем подачи тока на промышленной частоте на индукционную катушку и измерении магнитного поля с помощью датчиков, расположенных в геометрическом центре катушки, как показано на
рисунке A.2.
Рисунок A.2 - Пример установки для проверки
нестандартных индукционных катушек
Коэффициент индукционной катушки можно рассчитать, используя
уравнение A.1, если наибольший размер сечения катушки индуктивности не более чем на 0,02 больше самой короткой стороны катушки.
Если в качестве одной из сторон катушки применяется ОПЗ, то величина конечного размера ОПЗ становится дополнительным источником неопределенности. Данную оценку можно провести исходя из относительного отклонения между коэффициентами катушки, рассчитанными при допущении наличия ОПЗ бесконечного размера и при его отсутствии.
(справочное)
ИНФОРМАЦИЯ О РАСПРОСТРАНЕНИИ ПОЛЯ В СТАНДАРТНЫХ
ИНДУКЦИОННЫХ КАТУШКАХ
B.1 Общие положения
В приложении B приведена информация о максимальных размерах ИО и расположении ИО в индукционных катушках. Максимальный объем ограничен изолинией +3 дБ в плоскости x - y и изолинией +/- 3 дБ в плоскости x - z.
Индуктивность одновитковой стандартной катушки размером 1 x 1 м приблизительно равна 2,5 мкГн, а стандартной катушки размером 1 x 2,6 м приблизительно равна 6 мкГн.
При расчете поля конечным поперечным сечением проводников обмотки пренебрегают (его принимают приблизительно равным тонкой проволоке).
B.2 Индукционная катушка размером 1 x 1 м
На
рисунке B.1 для плоскости
x -
y и на
рисунке B.2 для плоскости
x -
z показаны изолинии +3 дБ и -3 дБ напряженности магнитного поля (предельные значения). Максимальный размер ИО - 0,6 x 0,6 x 0,5 м (ширина x длина x высота).
Примечание - Изолиния -3 дБ не показана, потому что она находится вне обмотки катушки.
Рисунок B.1 - Изолиния +3 дБ напряженности магнитного поля
(предельные значения) в плоскости x - y для индукционной
катушки размером 1 x 1 м
Рисунок B.2 - Изолинии +3 дБ и -3 дБ напряженности
магнитного поля (предельные значения) в плоскости
x - z для индукционной катушки размером 1 x 1 м
B.3 Индукционная катушка размером 1 x 2,6 м с опорной пластиной заземления
На
рисунке B.3 для плоскости
x -
z и на
рисунке B.4 для плоскости
x -
y показаны изолинии +3 дБ и -3 дБ напряженности магнитного поля (предельные значения). Максимальный размер ИО - 0,6 x 0,6 x 2 м (длина x ширина x высота).
Для расчета изолиний +/- 3 дБ размер опорной пластины заземления принимается равным бесконечному.
Примечание - Изолиния -3 дБ не показана, потому что она находится вне обмотки катушки.
Рисунок B.3 - Изолиния +3 дБ напряженности магнитного поля
(предельные значения) в плоскости x - z для индукционной
катушки размером 1 x 2,6 м с опорной пластиной заземления
Рисунок B.4 - Изолинии +3 дБ и -3 дБ напряженности
магнитного поля (предельные значения) в плоскости
x - y для индукционной катушки размером 1 x 2,6 м
с опорной пластиной заземления
B.4 Индукционная катушка размером 1 x 2,6 м без опорной пластины заземления
На
рисунке B.5 для плоскости
x -
y и на
рисунке B.6 для плоскости
x -
z показаны изолинии +3 дБ и -3 дБ напряженности магнитного поля (предельные значения). Максимальный размер ИО - 0,6 x 0,6 x 2 м (длина x ширина x высота).
Примечание - Изолиния -3 дБ не показана, потому что она находится вне обмотки катушки.
Рисунок B.5 - Изолиния +3 дБ напряженности магнитного поля
(предельные значения) в плоскости x - y для индукционной
катушки размером 1 x 2,6 м без опорной пластины заземления
Рисунок B.6 - Изолинии +3 дБ и -3 дБ напряженности
магнитного поля (предельные значения) в плоскости
x - z для индукционной катушки размером 1 x 2,6 м
без опорной пластины заземления
(справочное)
ВЫБОР ИСПЫТАТЕЛЬНЫХ УРОВНЕЙ
Испытательные уровни выбирают, исходя из электромагнитной обстановки, в которой предполагается использовать данное оборудование, с учетом наиболее вероятных условий эксплуатации.
Общая информация в отношении испытательных уровней приведена в
разделе 5.
При выборе испытательного уровня необходимо принимать во внимание:
- электромагнитную обстановку;
- потенциальную близость расположения источников помех импульсного магнитного поля к данному оборудованию;
- предполагаемые типовые условия установки для эксплуатации в рассматриваемой электромагнитной обстановке;
- размер пределов совместимости и их необходимость, т.е. разница между максимальным уровнем помехи и рассматриваемым уровнем устойчивости к помехе.
Выбор соответствующего испытательного уровня зависит от электромагнитной обстановки, в которой предполагается использовать данное оборудование. Руководство по выбору испытательных уровней при испытаниях оборудования на устойчивость к воздействию импульсного магнитного поля учитывает общие условия установки и эксплуатации, которые рассматриваются для данной электромагнитной обстановки. Испытательные уровни могут быть следующими:
Класс 1:
Электромагнитная обстановка с особыми мерами по помехоподавлению, которые допускают появление электромагнитных явлений только до определенной степени (например, явление не происходит вовсе, явление происходит, но только с относительно низкой амплитудой и т.д.).
Контролируемая электромагнитная обстановка: обстановка в которой планируется использование чувствительных устройств (например, электронные микроскопы, электронно-лучевые трубки и т.д.).
Для оборудования, предназначенного для использования в данном классе электромагнитной обстановки, испытания не проводятся.
Класс 2:
Электромагнитная обстановка жилых районов.
Для оборудования, предназначенного для использования в данном классе электромагнитной обстановки, испытания не проводятся, так как соответствующие местоположения не подвержены воздействию полей при переключениях на средне- и высоковольтных подстанциях.
Класс 3:
Электромагнитная обстановка офисных/коммерческих районов.
Местоположения в данном классе электромагнитной обстановки характеризуются потенциальной близостью к средне- и высоковольтным коммутационным устройствам или к проводникам, по которым протекают соответствующие переходные процессы. В качестве таких местоположений могут рассматриваться компьютерные залы вблизи подстанций.
Класс 4:
Электромагнитная обстановка промышленных районов.
Местоположения в данном классе электромагнитной обстановки характеризуются наличием средне- и высоковольтных подстанций и проводников, по которым протекают переходные токи короткого замыкания. В качестве таких местоположений могут рассматриваться посты управления подстанций и пространства с сильноточным оборудованием/установками.
Класс 5:
Суровая электромагнитная обстановка, которая может характеризоваться следующими признаками: проводники, шины или линии передачи среднего или высокого напряжения, по которым проходит ток в десятки кА.
В качестве местоположения с такой электромагнитной обстановкой могут рассматриваться места расположения распределительных устройств объектов тяжелой промышленности, подстанции среднего и высокого напряжения и электрические станции.
Класс X:
Специальная электромагнитная обстановка
В зависимости от большей или меньшей степени разделения источников помех и цепей оборудования, кабелей, линий и т.д., а также качества установок может потребоваться применение более высокого или более низкого испытательного уровня защищенности электромагнитной обстановки, чем указанные выше. Может потребоваться оценка для каждого отдельного случая.
Следует учитывать, что цепи оборудования (например, кабели, шины, высоковольтные линии передачи), эксплуатируемые на более высоком испытательном уровне электромагнитной обстановки, могут проходить сквозь среду с более низким испытательным уровнем электромагнитной обстановки. В таких случаях должна проводиться повторная оценка последней области расположения, принимая во внимание соответствующие испытательные уровни.
Вышеупомянутый выбор испытательных уровней с точки зрения электромагнитной обстановки используется только как руководство. Возможны случаи, когда местоположение может быть отнесено к одному из перечисленных выше типов электромагнитной обстановки, но из-за особенностей оборудования или других обстоятельств может стать более подходящим другой испытательный уровень, отличный от того, которому соответствует данная электромагнитная обстановка. Соответствующая оценка должна быть проведена заинтересованными сторонами (например, технические комитеты, разрабатывающие стандарты на продукцию).
(справочное)
РЕКОМЕНДАЦИИ ПО НЕОПРЕДЕЛЕННОСТИ ИЗМЕРЕНИЯ
Соответствие полученной величины помехи относительно величины помехи, указанной в настоящем стандарте, как правило, подтверждается посредством ряда измерений (например, измерение времени нарастания импульса тока, с помощью осциллографа с использованием токового пробника). Результат каждого измерения содержит свою некоторую часть неопределенности измерения (НИ) из-за несовершенства измерительных приборов, а также вследствие недостаточной воспроизводимости самой измеряемой величины. Оценка НИ выполняется в соответствии с принципами и методами, описанными в IEC TR 61000-1-6.
Для того чтобы произвести оценку неопределенности измерения необходимо:
a) определить источники неопределенности, относящиеся как к измерительным приборам, так и к измеряемой величине;
b) определить функциональную зависимость (измерительную модель) между влияющими (входными) величинами и измеряемой (выходной) величиной;
c) получить оценку и стандартную неопределенность входных величин;
d) получить оценку интервала, содержащего, с высоким уровнем достоверности, истинное значение измеряемой величины.
Эти оценки и неопределенности, полученные для конкретных величин помехи, не характеризуют степень соответствия между имитацией электромагнитного явления, установленной в основном стандарте, и реальным электромагнитным явлением, происходящим за пределами лаборатории.
Поскольку влияние на ИО параметров помехи заранее неизвестно и в большинстве случаев ИО демонстрирует нелинейное поведение, то для получения величины помехи невозможно определить единую оценку и количество неопределенностей. Поэтому каждый из этих параметров помехи будет сопровождаться соответствующими оценкой и неопределенностью. Это приводит к более чем одному бюджету неопределенности.
Ip - пиковое значение импульса тока, подаваемого на катушку;
Hp - пиковое значение импульса магнитного поля;
kCF - коэффициент индукционной катушки: Hp = kCF·Ip;
Tf - длительность фронта импульсов тока и магнитного поля Tf = 1,25Tr;
Tr - время нарастания импульсов тока и магнитного поля, определяемое как временной интервал между 10% и 90% пикового значения;
Tw - ширина импульсов тока и магнитного поля;
Td - продолжительность импульсов тока и магнитного поля: Td = 1,18Tw.
Примечание - Значения и взаимосвязь между символами u(xi), ci, ui(y), uc(y), U(y) и y разъяснены в IEC TR 61000-1-6.
D.3 Составляющие неопределенности выброса импульса тока и неопределенности измерения выброса импульса магнитного поля
В следующем списке показаны составляющие, используемые для оценки воздействия как измерительных приборов, так и испытательной установки:
- показания пикового значения;
- показания на 10% уровня;
- показания на 90% уровня;
- показания на 50% уровня;
- полоса пропускания измерительной системы;
- форма импульсной характеристики измерительной системы;
- погрешность измерения горизонтальной оси осциллографа;
- погрешность измерения вертикальной оси осциллографа;
- измерительная система, измеряемая величина и воспроизводимость испытательной установки (тип A);
- калибровка осциллографа и измерительной системы;
- коэффициент индукционной катушки.
D.4 Неопределенность при калибровке выброса импульса тока и выброса импульса магнитного поля
D.4.1 Общие положения
В случае испытания магнитного поля величинами помехи являются выброс импульса тока, создаваемый испытательным генератором и подаваемый на контактные зажимы катушки, и выброс импульса магнитного поля, воздействующий на ИО. Как говорилось в
разделе D.1, необходимо составлять бюджет неопределенности для каждого измеряемого параметра величины помехи. Параметрами этих величин помехи являются
Ip,
Tf и
Td для выброса импульса тока и
Hp для выброса импульса магнитного поля. Предполагается, что магнитное поле, создаваемое индукционной катушкой, пропорционально току, протекающему через контактные зажимы катушки, при этом коэффициентом пропорциональности является коэффициент индукционной катушки
kCF. Отсюда следует, что выброс импульса магнитного поля имеет такую же ширину и длительность фронта импульса, как и выброс импульса тока, а пиковое значение магнитного поля представляется как
Hp =
kCF·
Ip.
Подход, применяемый для оценки НИ импульса, описан в
D.4.6 и
D.4.7. В
таблицах D.1,
D.2 и
D.3 приведены примеры бюджета неопределенности для параметров выброса. В таблицы включены входные параметры, которые рассматриваются как наиболее значимые для данных примеров, подробная информация (числовые значения, тип плотности распределения вероятности и т.д.) о каждой составляющей неопределенности измерения и результаты расчетов, требуемые для определения бюджета неопределенности.
D.4.2 Длительность фронта выброса импульса тока
Измеряемой величиной является длительность фронта выброса импульса тока, рассчитанная с помощью следующей функциональной зависимости:

, (D.1)
где

(D.2)
и
T10% - время при 10% пикового значения амплитуды;
T90% - время при 90% пикового значения амплитуды;

- поправка на невоспроизводимость;
TMS - время нарастания реакции на входное ступенчатое воздействие измерительной системы;
B - полоса пропускания измерительной системы -3 дБ, кГц;

- коэффициент, равный (360 +/- 40) мкс·кГц (
B в кГц, а
TMS в мкс).
Таблица D.1
Пример бюджета неопределенности для длительности
фронта выброса импульса тока Tf
Условное обозначение | Оценка | Единица измерения | Предел погрешности | Единица измерения | | Коэффициент | u(xi) | ci | Единица измерения | ui(y) | Единица измерения |
T10% | 0,74 | мкс | 0,005 0 | мкс | Треугольная | 2,45 | 0,002 0 | -1,256 3 | 1 | 0,002 6 | мкс |
T90% | 7,94 | мкс | 0,005 0 | мкс | Треугольная | 2,45 | 0,002 0 | 1,256 3 | 1 | 0,002 6 | мкс |
| 0 | мкс | 0,025 | мкс | Нормальная (k = 1) | 1,00 | 0,025 0 | 1,256 3 | 1 | 0,031 4 | мкс |
A | 360 | мкс кГц | 40 | мкс кГц | Прямоугольная | 1,73 | 23,094 0 | -0,000 3 | 1/кГц | 0,005 8 | мкс |
B | 500 | кГц | 50 | кГц | Прямоугольная | 1,73 | 28,867 5 | 0,000 2 | мкс/кГц | 0,005 3 | мкс |
| | 0,03256 | мкс |
U(y) = 2u0(y) | 0,06 | мкс |
y | 8,95 | мкс |
<a> ПРВ - плотность распределения вероятности. |
T10%,
T90% - это значение времени на 10% или на 90% пикового значения амплитуды. Предел погрешности получается исходя из того, что частота дискретизации составляет 100 миллионов выборок в секунду со способностью интерполяции трассировки осциллографа (треугольная плотность распределения вероятности). В ином случае следует применять прямоугольную плотность распределения вероятности. Здесь рассматривается только такая составляющая НИ, как частота выборки, о дополнительных составляющих см. в
D.4.5. Предполагается, что значения составляют
T10% = 0,74 мкс и
T90% = 7,94 мкс.
TMS - это расчетное значение времени нарастания реакции на входное ступенчатое воздействие измерительной системы. Коэффициент

(см.
раздел D.2) зависит от формы импульсной характеристики измерительной системы. Диапазон (360 +/- 40) характерен для широкого класса систем, каждая из которых имеет различную форму импульсной характеристики (см.
D.4.6 и
таблицу D.4). Для полосы пропускания
B измерительной системы, которая может быть получена экспериментально (прямым измерением полосы пропускания) или рассчитана исходя из полосы пропускания
Bi для каждого элемента измерительной системы (по большей части это токовый пробник или токовый шунт, кабель и экран), используется следующее уравнение:

. (D.3)
Для B принята оценка 500 кГц и предел погрешности 50 кГц при прямоугольной плотности распределения вероятности.

- это невоспроизводимость времени нарастания от 10% до 90%. Представляет собой количественно выраженное отсутствие воспроизводимости при измерении
T90% -
T10% из-за измерительного оборудования, расположения испытательной установки и самого импульсного генератора. Он определяется экспериментально. Это оценка типа A, основанная на полученном опытным путем среднеквадратичном отклонении
s(
qk) выборки из
n повторяемых измерений
qj и выраженная в виде

, (D.4)
где

- это среднее арифметическое значений
qj. Оценка принята равной 0 нс с пределом погрешности
s(
qk) = 25 нс (1 среднеквадратичное отклонение нормальной плотности распределения вероятности).
D.4.3 Пиковое значение выброса импульса тока и магнитного поля
Измеряемой величиной является пиковое значение выброса импульса тока, подаваемого на катушку и рассчитанное с помощью следующей функциональной зависимости:

(D.5)
где VPR - пиковое значение напряжения импульса;
RT - переходное сопротивление токового пробника;

- поправка на невоспроизводимость;

- точность отображения постоянного тока на экране;
B - полоса пропускания измерительной системы -3 дБ;

- коэффициент, равный (14,8 +/- 1,6) кГц.
Таблица D.2
Пример бюджета неопределенности для пикового значения
выброса импульса тока Ip
Условное обозначение | Оценка | Единица измерений | Предел погрешности | Единица измерений | | Коэффициент | u(xi) | ci | Единица измерений | ui(y) | Единица измерений |
VPR | 1,15 | В | 0,002 2 | В | Треугольная | 2,45 | 0,000 92 | 1 001 | 1/Ом | 0,918 | А |
RT | 0,001 | Ом | 0,000 05 | Ом | Прямоугольная | 1,73 | 0,000 03 | -151 103 | А/Ом | 33,23 | А |
| 0 | 1 | 0,03 | 1 | Нормальная (k = 1) | 1,00 | 0,030 00 | 1 151 | А | 34,53 | А |
| 0 | 1 | 0,02 | 1 | Прямоугольная | 1,73 | 0,011 55 | 1 151 | А | 13,29 | А |
| 14,8 | кГц | 1,6 | кГц | Прямоугольная | 1,73 | 0,923 76 | 0,136 | А/кГц | 0,126 | А |
B | 500 | кГц | 50 | кГц | Прямоугольная | 1,73 | 28,86751 | -0,0040 | А/кГц | 0,117 | А |
| | 0,050 | кА |
U(y) = 2u0(y) | 9,98 | кА |
y | 1,15 | кА |
Выражение в % от 1,15 кА | 8,6 | % |
<a> ПРВ - плотность распределения вероятности. |
--------------------------------
<*> В IEC 61000-4-9:2016 допущена ошибка: вместо

используется "B".
VPR - это пиковое значение напряжения на выходе токового пробника. Предел погрешности получается исходя из того, что экран имеет 8-битное разрешение в вертикальной плоскости со способностью к интерполяции (треугольная плотность распределения вероятности).
RT - это переходное сопротивление токового шунта или пробника. Предполагаемое значение - 0,001 Ом и предел погрешности - 5% (прямоугольная плотность распределения вероятности).

- количественное выражение невоспроизводимости измерительной установки, оборудования и его расположения. Оценка типа A представляет собой полученное опытным путем количественно выраженное среднеквадратичное отклонение выборки из повторяемых измерений пикового тока. Она выражена в относительных единицах и оценка принята равной 0% с пределом погрешности 3% (1 среднеквадратичное отклонение).

- количественно выраженная погрешность измерения амплитуды на экране при постоянном токе. Предел погрешности прямоугольной плотности распределения вероятности 2% и оценка принята равной 0%.

- коэффициент, который зависит от формы импульсной характеристики измерительной системы и стандартной формы волны импульса в окрестности пика (см.
D.4.7). Интервал (14,8 +/- 1,6) кГц представляет широкий класс систем, каждая из которых имеет различные формы импульсной характеристики.
B - см.
D.4.2, то же определение и значения для оценки и предела погрешности.
Неопределенность измерения пикового значения выброса импульса магнитного поля получается из функциональной зависимости
Hp =
kCF·
Ip, где
kCF - коэффициент индукционной катушки, измеренный или рассчитанный как описано в настоящем стандарте. Отсюда следует, что если рассчитанное значение
kCF = 0,90 (например, в случае квадратной петли индуктивности со стороной 1 м) и его расширенная неопределенность равна 5%, то лучшая оценка для
Hp = 1,04 А/м и ее расширенная неопределенность равна 9,9% (см.
таблицу D.2).
D.4.4 Продолжительность импульса тока
Измеряемой величиной является продолжительность выброса импульса тока, подаваемого на катушку, рассчитанная с помощью следующей функциональной зависимости:

, (D.6)
где T50%,R - время при 50% пикового значения амплитуды подъема импульса;
T50%,F - время при 50% пикового значения амплитуды спада импульса;

- поправка на невоспроизводимость;

- точность отображения постоянного тока на экране;
B - полоса пропускания измерительной системы -3 дБ;

- коэффициент, равный (14,8 +/- 1,6) кГц.
Таблица D.3
Пример бюджета неопределенности для ширины импульса тока
Id
Условное обозначение | Оценка | Единица измерения | Предел погрешности | Единица измерения | | Коэффициент | u(xi) | ci | Единица измерения | ui(y) | Единица измерения |
T50%,R | 3,44 | мкс | 0,005 0 | мкс | Треугольная | 2,45 | 0,002 0 | -1,181 1 | мкс | 0,002 4 | мкс |
T50%,F | 22,34 | мкс | 0,005 0 | мкс | Треугольная | 2,45 | 0,002 0 | 1,181 1 | мкс | 0,002 4 | мкс |
| 0 | мкс | 0,15 | мкс | Нормальная (k = 1) | 1,00 | 0,150 0 | 1,181 1 | мкс | 0,177 1 | мкс |
| 14,8 | кГц | 1,6 | кГц | Прямоугольная | 1,73 | 0,923 8 | -0,002 6 | мкс/кГц | 0,002 5 | мкс |
B | 500 | кГц | 50 | кГц | Прямоугольная | 1,73 | 28,867 5 | 0,000 1 | мкс/кГц | 0,002 2 | мкс |
| | 0,177 2 | мкс |
U(y) = 2u0(y) | 0,4 | мкс |
y | 22,3 | мкс |
<a> ПРВ - плотность распределения вероятности. |
T50%, R, T50%, F - это значения времени на 50% пикового значения амплитуды подъема и спада выброса импульса тока. Предел погрешности получается исходя из того, что частота дискретизации составляет 100 миллионов выборок в секунду (так же, как и в
D.4.2) со способностью интерполяции трассировки осциллографа (треугольная плотность распределения вероятности). В ином случае следует применять прямоугольную плотность распределения вероятности. Здесь рассматривается только такая составляющая НИ как частота выборки. Информация о дополнительных составляющих - согласно
D.4.5. Предполагается, что значения составляют
T50%, R = 3,44 мкс и
T50%, F = 22,34 мкс.

- количественное выражение невоспроизводимости разности измерения времени
T50%, F -
T50%, R из-за измерительного оборудования, расположения измерительной установки и самого импульсного генератора. Определяется экспериментально. Оценка типа A представляет собой полученное опытным путем количественно выраженное среднеквадратичное отклонение выборки из повторяемых измерений. Оценка принята равной 0 нс с пределом погрешности
s(
qk) = 150 нс (1 среднеквадратичное отклонение нормальной плотности распределения вероятности).

- см.
D.4.3, то же определение и значения для оценки и предела погрешности.
B - см.
D.4.2, то же определение и значения для оценки и предела погрешности.
D.4.5 Дополнительные составляющие НИ для измерения времени
Ошибки и нестабильность синхронизации по времени - характеристики осциллографа, которые можно рассматривать как предел погрешности при прямоугольной плотности распределения вероятности. Обычно эти составляющие незначительны.
Разрешение в вертикальной плоскости - составляющая, зависящая от разрешения амплитуды колебаний в вертикальной плоскости

и наклона кривой графика
dA/
dt. Неопределенность связана с полушириной разрешения и составляет

. Если производится интерполяция кривой графика (см. руководство по эксплуатации осциллографа), то используется треугольная плотность распределения вероятности, в ином случае используется прямоугольная плотность распределения вероятности. Эта составляющая может быть значительной, если

, где
Ti - интервал выборки на экране.
Смещение постоянного тока - смещение постоянного тока на экране способствует созданию погрешности измерения пикового значения напряжения, если пиковое значение измеряется от номинальной нулевой линии постоянного тока на экране. Этой составляющей можно пренебречь, если программное обеспечение считывает с экрана измеряемое пиковое значение относительно линии основания импульса.
D.4.6 Искажение времени нарастания вследствие ограничения полосы пропускания измерительной системы
Оценка искажения времени нарастания производится по обычным правилам комбинирования времен нарастания, которые действуют, когда две невзаимодействующие системы, расположенные каскадом, и их реакция на входное ступенчатое воздействие монотонно возрастает, таким образом:

, (D.7)
где
Trd - это время нарастания реакции сигнала на выходе измерительной системы (искаженное время нарастания реакции),
Tr - это время нарастания реакции сигнала на входе измерительной системы и
TMS - это время нарастания реакции на входное ступенчатое воздействие измерительной системы. Важно отметить, что вывод
уравнения D.7 основан на следующем определении времени нарастания:

, (D.8)
где
h0(
t) - импульсная характеристика измерительной системы, имеющая стандартизованную площадь

и
Ts - время запаздывания, равное

. (D.9)
С
уравнением D.8 с математической точки зрения работать проще, чем с обычным, основанным на пороговых уровнях 10% и 90%. Тем не менее в техническом применении времена нарастания с 10% до 90% обычно связаны через
уравнение D.7. При наличии полосы пропускания системы -3 дБ, эти два определения приводят к сопоставимым временам нарастания. Если мы определим

, (D.10)
то мы обнаружим, что значения

, полученные из двух определений времен нарастаний, не будут очень сильно отличаться. Значения

, соответствующие различным формам импульсной характеристики
h(
t), приведены в
таблице D.4. Из
таблицы D.4 очевидно, что невозможно установить уникальное значение

, потому что

зависит как от используемого определения времени нарастания (например, на основе предельных величин или
уравнении D.7), так и от формы импульсной характеристики измерительной системы. Реальная оценка

может быть получена как среднее арифметическое между минимальным (321 x 10
-3) и максимальным (399 x 10
-3) значениями, указанными в
таблице D.4, то есть равняться 360 x 10
-3. Кроме того, предполагается, что если информация об измерительной системе недоступна, кроме ее полосы пропускания, то равновероятно любое значение

между 321 x 10
-3 и 399 x 10
-3. Другими словами, предполагается, что значение

будет случайной величиной, имеющей прямоугольную плотность распределения вероятности с нижней и верхней границами 321 x 10
-3 и 399 x 10
-3 соответственно. Стандартная неопределенность количественного выражения значения

: a) не зависит от математической модели, принятой для определения времени нарастания, и b) не зависит от формы импульсной характеристики системы.
Таблица D.4
однонаправленных импульсных характеристик, соответствующих
одной и той же полосе пропускания системы B
Значение  , умноженное на 10 3 | Гауссовское | Функция I порядка | Функция II порядка (критическое затухание) | Прямоугольное | Треугольное |
| 332 | 399 | 363 | 321 | 326 |
 , при пороговых уровнях от 10% до 90% | 339 | 350 | 344 | 354 | 353 |
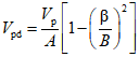
D.4.7 Искажение пикового значения импульса вследствие ограничения полосы пропускания измерительной системы
Искажение формы волны импульса Vвых(t) на выходе измерительной системы определяется интегралом свертывания:

, (D.11)
где Vвх(t) - форма волны входного импульса и h(t) - импульсная характеристика измерительной системы. При этом A·h(t) = h0(t), где A - это коэффициент затухания постоянного тока измерительной системы. Форма входной волны может быть аппроксимирована путем разложения в ряд Тейлора в точке tp, когда входной сигнал достигает пикового значения Vp:

. (D.12)
Обратите внимание, что в
уравнении D.12 отсутствует первый член ряда, так как
V'(
tp) = 0. Кроме того,

, потому что точки вогнутости направлены вниз (максимум), и

, потому что для интересующей нас сейчас стандартной формы волны время нарастания меньше, чем время спада. Подставляем
уравнение D.12 в
уравнение D.11 и после упрощений получаем, что полоса пропускания измерительной системы велика по сравнению с полосой пропускания входного сигнала (так, что члены степенного ряда, порядок которых больше двух, становятся незначительными):

, (D.13)
где Vpd - пиковое значение выходного импульса, A - это коэффициент затухания постоянного тока измерительной системы и

. (D.14)
Обратите внимание, что параметр

зависит от второй производной стандартной формы входной волны и от параметра

, полученного в
D.4.6. Поскольку математическое выражение для стандартной формы волны выброса импульса указано в
приложении E, то значение

может быть численно рассчитано и представлено в
таблице D.5.
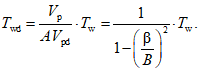
Оценка искажения ширины входного импульса Tw легко получается с учетом того, что площадь выходного импульса равна площади входного импульса, деленной на затухание постоянного тока A. Отсюда следует, что
VpTw = AVpdTwd, (D.15)
где Twd - ширина выходного импульса. Поэтому

(D.16)
Таблица D.5
волны выброса импульса тока
D.5 Применение неопределенностей для выполнения критерия импульсного генератора
Как правило, для того чтобы быть уверенным в том, что ток и выбросы импульса магнитного поля будут в рамках их технических характеристик, результаты калибровки должны быть в заданных пределах настоящего стандарта (допустимые отклонения не уменьшаются из-за неопределенности измерения).
Дополнительные указания приведены в IEC TR 61000-1-6:2016 (раздел 6).
(справочное)
МАТЕМАТИЧЕСКОЕ МОДЕЛИРОВАНИЕ ФОРМ ВОЛНЫ ИМПУЛЬСНОГО ТОКА
E.1 Общие положения
В настоящем приложении приведены эталонные математические формы волны для:
- проектирования импульсных генераторов;
- моделирования воздействия выброса импульса на цифровое устройство.
Формулы разработаны с учетом следующих требований:
1) Воспроизведение номинальных продолжительности фронта выброса импульса и длительности действия выброса импульса, как указано в стандарте для импульсных генераторов в условиях короткого замыкания на выходе генератора.
2) Способствование разработчиков цифровых устройств в построении схематической модели генераторов с использованием упрощенных схем, указанных в стандарте, с номинальными значениями элементов схемы, если необходимо.
3) Во избежание нестабильности при проведении моделирования в момент пуска производная равна нулю.
4) Та же базовая формула, которая используется в IEC для явлений переходных процессов, таких как ЭСР, ЭБПП/П и выброс.
Примечание - Для импульса тока (8/20 мкс) определенные математические формы волны хорошо сочетаются с теми, которые были определены в IEEE Std C62.45-2002.
Используются определения следующих параметров:
a) Tw - это ширина временного интервала, определяемая как время между точками на 50% подъема и спада формы волны.
b) Tr - это время нарастания выброса импульса тока, определяемое как время между 10% и 90% первичного отклика формы волны сигнала.
c) Td - это длительность временного интервала между минимальным значением первичного отклика и точкой на 50% времени спада импульса.
d) Tf - это длительность фронта импульса, определяемая как временной интервал между пересечением линии, имеющей наклон приблизительно в точке первичного отклика, с горизонтальными линиями, проходящими через минимальное и максимальное значения формы волны импульса, соответственно. Определены следующие значения, которые хорошо сочетаются с формами волны, представленными упрощенными схемами с помощью имитирующих моделей:
импульс тока (8/20 мкс): Tf = 1,25·Tr, Td = 1,18·Tw.
e) BW - это полоса пропускания формы волны выброса импульса, определяемая на частоте, на которой спектральная характеристика начинает спадать под наклоном -60 дБ/декаду.
E.2 Нормирование временного интервала импульса тока (8/20 мкс)
Нормирование временного интервала импульса тока 8/20 мкс представлено выражением:

. (E.1)

(E.2)
График импульса тока 8/20 мкс как функции времени показан на
рисунке E.1.
Рисунок E.1 - Нормирование импульса тока
(8/20 мкс): ширина временного интервала Tw
Расширение сигнала, подчеркивающее первичный отклик, представлено на
рисунке E.2.
Рисунок E.2 - Нормирование импульса тока
(8/20 мкс): время нарастания Tr
Рисунок E.3 - Импульс тока (8/20 мкс): спектральная
характеристика с частотой

Импульс тока во временном интервале хорошо моделируется для частот до 0,15 МГц, следовательно, полоса пропускания BW = 0,15 МГц.
(справочное)
ХАРАКТЕРИСТИКИ ПРИ ИСПОЛЬЗОВАНИИ ДВУХ СТАНДАРТНЫХ
ИНДУКЦИОННЫХ КАТУШЕК
F.1 Общие положения
В настоящем приложении приведен пример колец Гельмгольца в виде двух стандартных индукционных катушек размером 1 x 1 м, соединенных параллельно генератору комбинированной волны. Такая двойная индукционная катушка может использоваться для получения большей однородности поля и при испытаниях ИО больших размеров.
Рабочий объем двойных стандартных индукционных катушек размером 1 x 1 м, расстояние между которыми составляет 0,8 м, определен в
разделе F.3.
F.2 Дополнительные требования при калибровке
Характеристики данной испытательной системы могут быть калиброваны посредством измерения тока как показано на
рисунке F.1. Ток должен быть измерен и быть одинаковым на обеих катушках.
Выходной ток может быть проверен при помощи генератора, подключенного к двум стандартным индукционным катушкам. Для того чтобы соответствовать характеристикам, указанным в
таблице 3 для стандартной индукционной катушки размером 1 x 1 м, может потребоваться внешний конденсатор (например, 18 мкФ), подключенный последовательно. Также такой конденсатор может быть встроен в генератор. Соединение выполняется скрученным проводом подходящего сечения длиной до 3 м. Для питания обеих катушек и обеспечения правильного распределения тока должны использоваться кабели одинаковой длины. Ток в обеих катушках должен быть проверен на соответствие тому, что магнитные поля имеют одинаковую ориентацию.
Середина между двумя катушками
Рисунок F.1 - Пример испытательной системы, использующей
двойные стандартные индукционные катушки
Технические характеристики, указанные в
таблице F.1, могут быть подтверждены для всех проверяемых испытательных уровней.
Таблица F.1
Характеристики формы сигнала пикового тока
данной испытательной системы
Испытательный уровень | Пиковый ток I +/- 10% в каждой катушке, А |
1 | Не применяется |
2 | Не применяется |
3 | 106 |
4 | 319 |
| 1 064 |
| Специальный/0,94 |
Примечание 1 - Значение 0,94 - это измеренный и смоделированный коэффициент индукционной катушки посередине двух катушек. Примечание 2 - Для испытания на испытательных уровнях 5 или X может понадобиться генератор комбинированной волны со способностью подачи более высокого тока, чем требуется для испытательного уровня 4 из IEC 61000-4-5. -------------------------------- <a> X - может быть любой испытательный уровень, выше, ниже или между другими уровнями. Этот уровень должен быть указан в спецификации на специальное оборудование. |
Если для измерения тока короткого замыкания используется трансформатор тока (пробник), то он выбирается таким образом, чтобы не происходило насыщения магнитного сердечника. Нижняя (-3 дБ) сопрягающая частота пробника тока должна быть менее 100 Гц. Калибровка должна проводиться с токовым пробником и осциллографом или другим эквивалентным измерительным оборудованием с полосой пропускания не менее 1 МГц.
F.3 Распространение поля при расположении двойной индукционной катушки
В настоящем разделе приведена информация о максимальных размерах ИО и расположении ИО в системе, состоящей из двух катушек. В соответствии с основной частью стандарта ИО должно быть расположено внутри области, в которой предельные значения напряженности магнитного поля находятся в пределах +/- 3 дБ от напряженности поля в центре системы, состоящей из двух катушек.
При расчете поля конечным поперечным сечением проводников катушки пренебрегают (его принимают приблизительно равным тонкой проволоке). Расчет проводился для двух стандартных индукционных катушек размером 1 x 1 м, расстояние между которыми составляет 0,8 м.
На
рисунке F.2 для плоскости
x -
y и на
рисунке F.3 для плоскости
x -
z показаны изолинии +3 дБ и -3 дБ напряженности магнитного поля (предельные значения). Максимальный размер ИО - 0,6 x 0,6 x 1,4 м (ширина x длина x высота).
Рисунок F.2 - Изолиния +3 дБ напряженности магнитного поля
(предельные значения) в плоскости x - y для системы,
состоящей из двойной индукционной катушки,
расстояние между которыми составляет 0,8 м
Рисунок F.3 - Изолинии +3 дБ и -3 дБ напряженности
магнитного поля (предельные значения) в плоскости
x - z для системы, состоящей из двойной индукционной
катушки, расстояние между которыми составляет 0,8 м
(справочное)
3D-МОДЕЛИРОВАНИЕ
G.1 Общие положения
В настоящем приложении изложены некоторые дополнительные сведения о распределениях магнитного поля внутри и снаружи катушек для испытания с помощью 3D-моделирования во временной области (динамические результаты) и частотной области (двумерный график магнитного поля) как продолжение двумерных графиков из
приложения B (статические результаты).
G.2 Моделирования
- катушки возбуждаются от идеального источника тока (см. символ "порт"), имеющего математическую форму волны, как указано в
приложении E, и нормированного на значение 1 А;
- рассматриваются два крайних варианта формы проводников катушки: прямоугольный размером 10 x 1 см (указан в приложении G) и с круглой жилой радиусом 1 мм (для краткости результаты не указываются);
- по умолчанию, для графиков на
рисунках G.2 и
G.3 ячейки сетки используются для ускорения расчета; на других рисунках для повышения точности используются оптимизированные ячейки сетки;
- амплитуда магнитного поля, обозначаемая как Hxi, где x говорит о том, что рассматриваемый компонент магнитного поля находится параллельно оси x, а подстрочный индекс i указывает на соответствующее положение пробника для измерения напряженности магнитного поля от центра петли и до самого удаленного положения;
- двумерные графики магнитного поля рассчитаны для частоты 1 МГц, а 0 дБ относится к 1 А/м.
G.3 Комментарии
Были приняты во внимание следующие комментарии, относящиеся к рисункам:
- расчетная форма волны магнитного поля такая же, как и форма источника тока для катушки;
- сравнение расчетных форм волны магнитного поля, при использовании двух крайних вариантов формы проводников для катушки с одними и теми же размерами, говорит о том, что они будут иметь очень небольшие различия;
- коэффициенты индукционной катушки, в центре катушки, составляют 0,90 и 0,65 м-1 для квадратных и прямоугольных катушек соответственно и практически не зависят от формы проводника катушки;
- с помощью моделирований переходных процессов подтверждается, что отклонение магнитного поля составляет меньше чем +3 дБ для областей, показанных в
приложении B;
- показано и установлено количественно, что магнитное поле быстро увеличивается, когда пробник, используемый для расчета магнитного поля, подходит к проводникам катушки;
- значение магнитного поля с внешней стороны петли составляет на 20 - 40 дБ (1/10 - 1/100) меньше, чем значение поля в центре петли. Это должно приниматься во внимание при проведении испытаний методом приближения;
- при применении системы, состоящей из двойной индукционной катушки, расстояние между которыми составляет 0,6 м (установка Гельмгольца), коэффициент индукционной катушки в центре одной из катушек и между двумя катушками составляет соответственно: 1,18 и 1,20 м-1; при расстоянии 0,8 м между катушками он будет составлять соответственно: 1,07 и 0,94 м-1.
Примечание - Амплитуда магнитного поля Hx с внутренней стороны петли отрицательная из-за выбранных направлений пробника.
Рисунок G.1 - Значение тока и значение магнитного поля
в центре индукционной катушки размером 1 x 1 м
Рисунок G.2 - Значение магнитного поля
Hx, А/м,
вдоль стороны индукционной катушки размером 1 x 1 м
Рисунок G.3 - Значение магнитного поля
Hx в направлении
x,
перпендикулярном плоскости индукционной катушки
размером 1 x 1 м
Рисунок G.4 - Значение магнитного поля Hx, дБ, вдоль стороны
для индукционной катушки размером 1 x 1 м
Рисунок G.5 - Значение магнитного поля Hx, дБ, вдоль
диагонали для индукционной катушки размером 1 x 1 м
Магнитное поле (f = 1, 0 e + 0,06; x = 0)_1 (пиковое) |
Нормальная плоскость среза | : 1, 0, 0 |
Положение плоскости среза | : 0 |
Компонент | : X |
Максимальное значение в 2D (А/м) | : 13,78 дБ |
Частота | : 1000000 |
Тип масштабирования | : Амплитуда |
Рисунок G.6 - График магнитного поля Hx в плоскости y - z
для индукционной катушки размером 1 x 1 м
Участок максимума (пиковое значение) |
Нормальная плоскость среза | : 0, 0, 1 |
Положение плоскости среза | : 0,5 |
Компонент | : X |
Максимальное значение в 2D (А/м) | : 10,05 дБ |
Частота | : 1000000 |
Тип масштабирования | : Амплитуда |
Рисунок G.7 - График магнитного поля Hx в плоскости x - y
для индукционной катушки размером 1 x 1 м
Рисунок G.8 - Значение магнитного поля Hx, дБ, вдоль
средней вертикальной линии для индукционной
катушки размером 1 x 2,6 м
Участок максимума (пиковое значение) |
Нормальная плоскость среза | : 1, 0, 0 |
Положение плоскости среза | : 0 |
Компонент | : X |
Максимальное значение в 2D (А/м) | : 17,6 дБ |
Частота | : 1000000 |
Тип масштабирования | : Амплитуда |
Рисунок G.9 - Двумерный график магнитного поля Hx
в плоскости y - z для индукционной катушки
размером 1 x 2,6 м
Магнитное поле (f = 1, 0e + 0,06; x = 0,5)_1 (пиковое) |
Нормальная плоскость среза | : 0, 0, 1 |
Положение плоскости среза | : 0,5 |
Компонент | : X |
Максимальное значение в 2D (А/м) | : 9,403 дБ |
Частота | : 1000000 |
Тип масштабирования | : Амплитуда |
Рисунок G.10 - Двумерный график магнитного поля Hx
в плоскости x - y с z = 0,5 м для индукционной
катушки размером 1 x 2,6 м
Hx (в центре первой катушки) = -1,177 А/м
Hx (в центре второй катушки) = -1,202 А/м
Разница = 0,025 А/м
Магнитное поле (f = 1, 0e + 0,06; y = 12)_1 [1.0,0.0] + 2 [1.0,0.0] (пиковое) |
Нормальная плоскость среза | : 0, 1, 0 |
Положение плоскости среза | : 0,5 |
Компонент | : X |
Максимальное значение в 2D (А/м) | : 9,756 дБ |
Частота | : 1000000 |
Тип масштабирования | : Амплитуда |
Рисунок G.11 - Установка Гельмгольца: магнитное поле Hx
и двумерный график для двух индукционных катушек
размером 1 x 1 м, расстояние между которыми 0,6 м
Hx (в центре первой катушки) = -1,066 А/м
Hx (в центре второй катушки) = 0,941 А/м
Разница = 0,125 А/м
Магнитное поле (f = 1, 0e + 0,06; y = 12)_1 [1.0,0.0] + 2 [1.0,0.0] (пиковое) |
Нормальная плоскость среза | : 0, 1, 0 |
Положение плоскости среза | : 0,5 |
Компонент | : X |
Максимальное значение в 2D (А/м) | : 9,465 дБ |
Частота | : 1000000 |
Тип масштабирования | : Амплитуда |
Рисунок G.12 - Установка Гельмгольца: магнитное поле
Hx
и двумерный график для двух индукционных катушек
размером 1 x 1 м, расстояние между которыми 0,8 м
(справочное)
СВЕДЕНИЯ О СООТВЕТСТВИИ ССЫЛОЧНЫХ МЕЖДУНАРОДНЫХ СТАНДАРТОВ
МЕЖГОСУДАРСТВЕННЫМ СТАНДАРТАМ
Таблица ДА.1
Обозначение ссылочного международного стандарта | Степень соответствия | Обозначение и наименование соответствующего межгосударственного стандарта |
IEC 60050-161:1990 | MOD | ГОСТ 30372-2017 (IEC 60050-161:1990) "Совместимость технических средств электромагнитная. Термины и определения" |
IEC 60050-311:2001 | - | |
<*> Соответствующий межгосударственный стандарт отсутствует. До его принятия рекомендуется использовать перевод на русский язык данного международного стандарта. Примечание - В настоящей таблице использовано следующее условное обозначение степени соответствия стандарта: - MOD - модифицированный стандарт. |
[1] | IEC TR 61000-1-6:2012 Electromagnetic compatibility (EMC) - Part 1-6: General - Guide to the assessment of measurement uncertainty (Электромагнитная совместимость (ЭМС). Часть 1-6. Общие положения. Руководство по оценке неопределенности измерений) |
[2] | IEC 61000-4-5 Electromagnetic compatibility (EMC) - Part 4-5: Testing and measurement techniques - Surge immunity test (Электромагнитная совместимость (ЭМС). Часть 4-5. Методы испытаний и измерений. Испытание на устойчивость к выбросу напряжения) |
[3] | IEC Guide 107 Electromagnetic compatibility - Guide to the drafting of electromagnetic compatibility publications (Электромагнитная совместимость. Рекомендации по разработке проектов публикаций по электромагнитной совместимости) |
[4] | IEEE Std C62.45-2002 IEEE Recommended Practice on Surge Testing for Equipment Connected to Low-Voltage (1000 V and Less) AC Power Circuits (Практические рекомендации IEEE по измерению импульсных перенапряжений для оборудования, подключаемого к низковольтным (1000 В и менее) цепям переменного тока) |
УДК 621.391.827:621.317.42:006.354 | | IDT |
Ключевые слова: импульсное магнитное поле, устойчивость, оборудование, испытательный генератор, индукционная катушка, электромагнитная совместимость, методы испытаний, оценка результатов испытаний |