Главная // Актуальные документы // Актуальные документы (обновление 01.03.2026 по 01.04.2026) // ГОСТ (Государственный стандарт)СПРАВКА
Источник публикации
М.: ФГБУ "Институт стандартизации", 2025
Примечание к документу
Документ
вводится в действие с 01.01.2027.
Название документа
"ГОСТ ISO 16128-2-2025. Межгосударственный стандарт. Продукция парфюмерно-косметическая натуральная и органическая. Руководство по идентификации и критерии. Часть 2. Критерии для ингредиентов и продукции"
(введен в действие Приказом Росстандарта от 01.08.2025 N 833-ст)
"ГОСТ ISO 16128-2-2025. Межгосударственный стандарт. Продукция парфюмерно-косметическая натуральная и органическая. Руководство по идентификации и критерии. Часть 2. Критерии для ингредиентов и продукции"
(введен в действие Приказом Росстандарта от 01.08.2025 N 833-ст)
агентства по техническому
регулированию и метрологии
от 1 августа 2025 г. N 833-ст
МЕЖГОСУДАРСТВЕННЫЙ СТАНДАРТ
ПРОДУКЦИЯ ПАРФЮМЕРНО-КОСМЕТИЧЕСКАЯ
НАТУРАЛЬНАЯ И ОРГАНИЧЕСКАЯ
РУКОВОДСТВО ПО ИДЕНТИФИКАЦИИ И КРИТЕРИИ
ЧАСТЬ 2
КРИТЕРИИ ДЛЯ ИНГРЕДИЕНТОВ И ПРОДУКЦИИ
Products organic cosmetic. Guidelines on technical
definitions and criteria. Part 2. Criteria
for ingredients and products
(ISO 16128-2:2017+Amd.1:2022, Cosmetics - Guidelines
on technical definitions and criteria for natural
and organic cosmetic ingredients - Part 2: Criteria
for ingredients and products, IDT)
ГОСТ ISO 16128-2-2025
Дата введения
1 января 2027 года
Цели, основные принципы и общие правила проведения работ по межгосударственной стандартизации установлены
ГОСТ 1.0 "Межгосударственная система стандартизации. Основные положения" и
ГОСТ 1.2 "Межгосударственная система стандартизации. Стандарты межгосударственные, правила и рекомендации по межгосударственной стандартизации. Правила разработки, принятия, обновления и отмены"
1 ПОДГОТОВЛЕН Федеральным государственным бюджетным учреждением "Российский институт стандартизации" (ФГБУ "Институт стандартизации") на основе собственного перевода на русский язык англоязычной версии стандарта, указанного в
пункте 5
2 ВНЕСЕН Федеральным агентством по техническому регулированию и метрологии
3 ПРИНЯТ Межгосударственным советом по стандартизации, метрологии и сертификации (протокол от 30 апреля 2025 г. N 184-П)
За принятие проголосовали:
Краткое наименование страны по МК (ИСО 3166) 004-97 | Код страны по МК (ИСО 3166) 004-97 | Сокращенное наименование национального органа по стандартизации |
Армения | AM | ЗАО "Национальный орган по стандартизации и метрологии" Республики Армения |
Беларусь | BY | Госстандарт Республики Беларусь |
Казахстан | KZ | Госстандарт Республики Казахстан |
Киргизия | KG | Кыргызстандарт |
Россия | RU | Росстандарт |
Узбекистан | UZ | Узбекское агентство по техническому регулированию |
4
Приказом Федерального агентства по техническому регулированию и метрологии от 1 августа 2025 г. N 833-ст межгосударственный стандарт ГОСТ ISO 16128-2-2025 введен в действие в качестве национального стандарта Российской Федерации с 1 января 2027 г.
5 Настоящий стандарт идентичен международному стандарту ISO 16128-2:2017 "Косметика. Руководство по техническим определениям и критериям для натуральных и органических косметических ингредиентов. Часть 2. Критерии для ингредиентов и продукции" ("Cosmetics - Guidelines on technical definitions and criteria for natural and organic cosmetic ingredients - Part 2: Criteria for ingredients and products", IDT), включая изменение Adm.1:2022.
Стандарт разработан Техническим комитетом TC 217 "Косметика" Международной организации по стандартизации (ISO).
Наименование настоящего стандарта изменено относительно наименования указанного стандарта для приведения в соответствие с ГОСТ 1.5
(подраздел 3.6).
При применении настоящего стандарта рекомендуется использовать вместо ссылочных международных стандартов соответствующие им межгосударственные стандарты, сведения о которых приведены в дополнительном
приложении ДА
6 ВВЕДЕН ВПЕРВЫЕ
Информация о введении в действие (прекращении действия) настоящего стандарта и изменений к нему на территории указанных выше государств публикуется в указателях национальных стандартов, издаваемых в этих государствах, а также в сети Интернет на сайтах соответствующих национальных органов по стандартизации.
В случае пересмотра, изменения или отмены настоящего стандарта соответствующая информация будет опубликована на официальном интернет-сайте Межгосударственного совета по стандартизации, метрологии и сертификации в каталоге "Межгосударственные стандарты"
В ISO 16128 приведено руководство по определениям и критериям для натуральных и органических ингредиентов и парфюмерно-косметической продукции. Рекомендации относятся к сектору косметики, т.к. большинство существующих принципов применимы для сельскохозяйственного и пищевого секторов и их нельзя в полном объеме относить к парфюмерно-косметической продукции. Рекомендации основаны на результатах научно-исследовательских работ и предлагают принципы последовательной логической основы для натуральных и органических ингредиентов и продукции, включая общие подходы, используемые в действующих документах. Цель руководства - способствовать расширению выбора натуральных и органических ингредиентов для рецептур разнообразной парфюмерно-косметической продукции.
Настоящий стандарт устанавливает критерии расчета индексов натурального, натурального происхождения, органического и органического происхождения, применимых к категориям ингредиентов по ISO 16128-1. В стандарте также изложены основы для определения содержания продуктов натурального, натурального происхождения, органического и органического происхождения на основе характеристик ингредиентов.
В настоящем стандарте, как и в ISO 16128-1, не приведена информация о продукции (например, свойства и маркировка), ее безопасности для человека, экологической безопасности и социально-экономические аспекты (например, соглашение о взаимной выгоде), не указаны характеристики упаковочных материалов, а также требования к парфюмерно-косметической продукции.
Стандарт основан на ISO 16128-1, дополняет его и предназначен для использования совместно с ISO 16128-1.
В настоящем стандарте использована нормативная ссылка на следующий стандарт [для датированной ссылки применяют только указанное издание ссылочного стандарта, для недатированной - последнее издание (включая все изменения)]:
ISO 16128-1:2016, Guidelines on technical definitions and criteria for natural and organic cosmetic ingredients and products - Part 1: Definitions for ingredients (Руководство по техническим определениям и критериям для натуральных и органических ингредиентов косметики и продукции. Часть 1. Определения для ингредиентов)
В настоящем стандарте термины и определения не установлены.
ISO и IEC поддерживают терминологическую базу данных, используемых в стандартизации по следующим адресам:
- платформа онлайн-просмотра ISO: доступна по адресу http://www.iso.org/obp;
- Электропедия IEC: доступна по адресу http://www.electropedia.org/.
4 Принцип определения индексов натурального, натурального происхождения, органического и органического происхождения ингредиентов парфюмерно-косметической продукции
Требования раздела применимы к ингредиентам, которые являются химическими веществами, к минеральным, растительным материалам и материалам животного происхождения, а также к микроорганизмам (полностью, частично или в виде экстракта).
Для смеси из двух или более ингредиентов, вклад каждого ингредиента следует учитывать отдельно.
Если растворитель испаряется частично, для определения индекса/индексов экстракта изготовитель экстракта может использовать современные отраслевые методы (например, измерение с помощью приборов, характеристики летучести растворителя, опубликованные значения скорости испарения). По запросу заинтересованным сторонам следует предоставлять информацию о принципах (подходах) и обоснованию метода определения.
Вычисляют индексы экстрактов по правилам, изложенным в
4.3 и
4.4.
При определении индексов экстрактов применяют следующие принципы:
- в индексах готовых экстрактов должны быть учтены исходные материалы - растворитель(и) и неэкстрагированная масса;
- экстракты можно получать из свежих (свежесобранных) или высушенных материалов;
- прекращают экстракцию при отделении экстракта от нерастворимого остатка (например, при фильтрации). Если выполняют последующие процедуры (например, разбавление, введение консерванта и т.д.), их вклад в индексы рассматривают как добавление новых ингредиентов;
- конечный экстракт (например, при концентрировании) не может содержать больше органических или натуральных веществ, чем исходные материалы;
- допускается восстанавливать высушенные растения водой до исходной свежей массы. Учитывают воду для восстановления в готовом экстракте при определении индекса натурального или органического происхождения;
- при вычислении индекса воду для восстановления считают органической, при этом избыток экстракционной воды является натуральным;
- экстракт, полученный из неорганического сырья, имеет индекс органического происхождения и органический индекс, равный 0;
- растворители ингредиентов приведены в ISO 16128-1:2016 (таблица A.1);
- допускается в качестве растворителя ингредиента использовать ненатуральный ингредиент (например, денатурированный спирт). Если смесь содержит ненатуральный растворитель ингредиента, вся смесь ненатуральная.
4.3 Определение индексов натурального ингредиента и ингредиента натурального происхождения
4.3.1 Индекс натурального ингредиента
Индекс натурального ингредиента - это значение, характеризующее степень натуральности ингредиента продукции согласно определению натуральных ингредиентов по ISO 16128-1:2016 (раздел 2). Каждому ингредиенту присваивают значение в соответствии со следующими рекомендациями:
- индекс натурального ингредиента равен 1: ингредиент соответствует определению натуральных ингредиентов. Индекс натурального ингредиента основной воды, экстракционной воды, воды для восстановления и для рецептуры равен 1 (для каждого перечисления);
- индекс натурального ингредиента равен 0: ингредиент не соответствует определению натуральных ингредиентов.
Индекс натурального ингредиента In экстракта вычисляют по формуле

, (1)
где mDOS - масса введенного растворителя органического происхождения;
mDNS - масса введенных растворителей натурального, но не органического происхождения;
mT - общая введенная масса (ингредиенты и растворители ингредиентов).
Например, экстракты из натуральных ингредиентов имеют индекс натурального ингредиента, равный 1, если используемые растворители являются натуральными, включая воду.
4.3.2 Индекс ингредиента натурального происхождения
Индекс ингредиента натурального происхождения - это значение, характеризующее степень соответствия ингредиента продукции определениям натуральных ингредиентов по ISO 16128-1:2016 (раздел 2), ингредиентов натурального происхождения по ISO 16128-1:2016 (раздел 3) или ингредиентов минерального происхождения по ISO 16128-1:2016 (раздел 4).
Оценивают каждый ингредиент в соответствии со следующими рекомендациями:
- индекс ингредиента натурального происхождения равен 1: ингредиент соответствует определению ингредиентов натурального происхождения, основная вода, вода для восстановления, вода для экстракции или вода для рецептуры. Экстракты из натуральных ингредиентов с использованием растворителей ингредиентов, которые являются натуральными или полностью натурального происхождения (согласно ISO 16128-1:2016, таблица A.1), имеют индекс, равный 1;
- индекс ингредиента натурального происхождения более 0,5, но менее или равен 1: ингредиент соответствует определению ингредиентов натурального происхождения или минерального происхождения. Значение вычисляют как отношение доли ингредиентов натурального происхождения, определяемой по молекулярной массе, содержанию возобновляемого углерода или любыми другими соответствующими методами, к общему молекулярному составу данного ингредиента;
- индекс ингредиента натурального происхождения равен 0: ни один из ингредиентов не соответствует определениям натуральных ингредиентов, ингредиентов натурального происхождения, ингредиентов минерального происхождения, в т.ч. с индексом менее или равным 0,5.
4.4 Определение индексов органического ингредиента и ингредиента органического происхождения
4.4.1 Индекс органического ингредиента
Индекс органического ингредиента - это значение, характеризующее степень соответствия ингредиента продукции определению органических ингредиентов по ISO 16128-1:2016 (пункт 2.3).
Оценивают каждый ингредиент в соответствии со следующими рекомендациями:
- индекс органического ингредиента равен 1: ингредиент, соответствующий определению органических ингредиентов, основная вода или вода для восстановления;
- индекс органического ингредиента равен 0: ингредиент не соответствует определению органических ингредиентов. Индекс органического ингредиента воды для экстракции и воды для рецептуры принимают равным 0.
Экстракты органических ингредиентов в растворителях органических ингредиентов имеют индекс органического ингредиента, равный 1. Мацераты высушенных или свежих органических ингредиентов, полученные с использованием органического масла, имеют индекс, равный 1. Эфирные масла и полностью высушенные экстракты органических ингредиентов имеют индекс, равный 1, если технологический растворитель соответствует ISO 16128-1:2016 (таблица A.2), поскольку экстракционный растворитель удаляют, его считают технологическим растворителем. В остальных случаях индекс органического ингредиента Io вычисляют по формуле

, (2)
где mNS - масса введенных натуральных, но не органических растворителей;
mDNS - масса введенных растворителей натурального, но не органического происхождения;
mDOS - масса введенного растворителя органического происхождения;
mT - общая введенная масса (ингредиенты и растворители ингредиентов).
Если для получения массы свежего растения из высушенных растений в качестве растворителя ингредиента используют воду, важно для определения mNS вычесть массу воды для восстановления.
Для экстрактов высушенных растений, в которых используют воду, вычисляют воду для экстракции H2OE по формуле

, (3)
где

- общая масса введенной воды;
H2OR - вода для восстановления, которую определяют следующим образом:
- если масса свежего растения из высушенного растения известна, H
2O
R - меньшее значение между (
mFP -
mDP) и

;
- если масса свежего растения из высушенного растения не известна, H
2O
R - меньшее значение между (
k·
mFP -
mDP) и

;
где mFP - масса свежего растения;
mDP - масса высушенного растения;
k - соотношение свежего к высушенному:
- для древесины, коры, семян, орехов и корней k = 2,5;
- для листьев, цветов и надземных частей растений k = 4,5;
- для сочных фруктов k = 8 или другое значение, указанное поставщиком сырья.
4.4.2 Индекс ингредиента органического происхождения
Индекс ингредиента органического происхождения - это значение, характеризующее степень соответствия ингредиента продукции определениям органических ингредиентов по ISO 16128-1:2016 (пункт 2.3) или ингредиентов органического происхождения по ISO 16128-1:2016 (пункт 3.2).
Оценивают каждый ингредиент в соответствии со следующими рекомендациями:
- индекс ингредиента органического происхождения равен 1: ингредиент соответствует определению ингредиентов органического происхождения, основная вода или вода для восстановления;
- индекс ингредиента органического происхождения более 0 и менее или равен 1: ингредиент соответствует определению ингредиентов органического происхождения. Значение вычисляют как соотношение доли ингредиента органического происхождения, определяемой молекулярной массой, содержанием возобновляемого углерода или любым другим соответствующим методом, к общему молекулярному составу этого ингредиента;
- индекс ингредиента органического происхождения равен 0: ингредиент не соответствует определению органических ингредиентов или ингредиентов органического происхождения. Индексы ингредиентов органического происхождения воды для экстракции и воды для рецептуры считают равными 0.
Экстракты органических ингредиентов в органических растворителях или ингредиентов органического происхождения имеют индекс органического происхождения равный 1. Мацераты из высушенных или свежих ингредиентов органического происхождения, полученные с использованием органического масла или масла органического происхождения, имеют индекс органического происхождения 1. Эфирные масла и полностью высушенные экстракты органических ингредиентов имеют индекс органического происхождения равный 1, если технологический растворитель соответствует ISO 16128-1:2016, таблица A.2 (поскольку экстракционный растворитель удаляют, его считают технологическим растворителем). В остальных случаях индекс ингредиента органического происхождения Ioo вычисляют по формуле

, (4)
где mNS - масса введенных натуральных, но не органических растворителей;
mDNS - масса введенных растворителей натурального, но не органического происхождения;
mT - общая введенная масса (ингредиентов и растворителей ингредиентов).
Если для получения массы свежего растения из высушенных растений используют воду, важно для определения mNS вычесть значение массы воды для восстановления из значения массы воды для экстракции.
Для экстрактов высушенных растений, в которых используют воду, воду для экстракции вычисляют по
формуле (3).
Растворители ингредиентов для экстрактов могут быть органическими, органического происхождения, натуральными (включая воду) или натурального происхождения из натурального сырья (как указано в ISO 16128-1:2016, таблица A.1).
Таблица 1
Индексы для разных категорий несмешанных ингредиентов
Категория ингредиента | Значение |
Индекс натурального ингредиента | Индекс ингредиента натурального происхождения | Индекс органического ингредиента | Индекс ингредиента органического происхождения |
Основная вода | 1 | 1 | | |
Вода для восстановления | 1 | 1 | | |
Вода для экстракции, кроме воды для восстановления | 1 | 1 | 0 | 0 |
Вода для рецептуры | 1 | 1 | 0 | 0 |
Натуральный | 1 | 1 | 0 | 0 |
Натуральный минерал | 1 | 1 | 0 | 0 |
Органический | 1 | 1 | | |
Натурального происхождения <a> | 0 | > 0,5 | 0 | 0 |
Органического происхождения <a> | 0 | 1 | 0 | |
Минерального происхождения <a> | 0 | 1 | 0 | 0 |
Ненатуральный | 0 | 0 | 0 | 0 |
<a> В приложении A приведены примерные значения индекса и вычисления для ингредиентов. <b> Только если исходный материал органический, в противном случае значение равно 0. |
В
приложении A приведены примеры вычислений для определения индексов ингредиентов, содержащих компоненты натурального или органического происхождения. В
приложении B приведены примеры вычислений для экстрактов.
5 Методы определения содержания натурального и/или органического ингредиента в готовой продукции
5.1 Содержание натурального ингредиента
5.1.1 Общие требования
Содержание натурального ингредиента в продукции - значение от 0% масс. до 100% масс. всех натуральных ингредиентов в продукте, определяемое суммированием относительных концентраций ингредиентов продукции, умноженных на соответствующие им индексы натурального ингредиента. При вычислении воду для рецептуры учитывают, как в
формуле (5), или исключают, как в
формуле (6).
5.1.2 Вычисление содержания натурального ингредиента с учетом воды для рецептуры
Вычисляют содержание натурального ингредиента в продукции с учетом воды в качестве ингредиента для рецептуры

по формуле

, (5)
где

- содержание каждого ингредиента

в продукции, включая воду для рецептуры в качестве ингредиента, % масс.;

- индекс натурального ингредиента, соответствующий каждому ингредиенту

в продукции.
5.1.3 Вычисление содержания натуральных ингредиентов без учета воды для рецептуры
Вычисляют содержание натуральных ингредиентов без учета воды для рецептуры

по формуле

, (6)
где

- содержание каждого ингредиента

в продукции, за исключением воды для рецептуры H
2O
F (т.е. процентное содержание воды в рецептуре не входит в числитель), % масс.;
H2OF - содержание воды в продукции, % масс.;

- индекс натурального ингредиента, соответствующий каждому ингредиенту

в продукции.
5.2 Содержание ингредиентов натурального происхождения
5.2.1 Общие требования
Содержание ингредиентов натурального происхождения - значение от 0% масс. до 100% масс. всех ингредиентов натурального происхождения и долей ингредиентов натурального происхождения в продукции.
Вычисляют как сумму относительных концентраций ингредиентов продукции, умноженных на соответствующие индексы натурального происхождения. При вычислении воду в рецептуре учитывают, как в
формуле (7), или исключают, как в
формуле (8).
5.2.2 Вычисляют содержания ингредиентов натурального происхождения с учетом воды

для рецептуры по формуле

, (7)
где

- содержание каждого ингредиента

в продукции, включая воду для рецептуры в качестве ингредиента, % масс.;

- индекс натурального происхождения, соответствующий каждому ингредиенту

в продукции.
5.2.3 Вычисляют содержания ингредиентов натурального происхождения без учета воды

для рецептуры по формуле

, (8)
где

- содержание каждого ингредиента

в продукции, за исключением воды для рецептуры H
2O
F (т.е. процентное содержание воды для рецептуры не входит в числитель), % масс.;
H2OF - содержание воды в продукции, % масс.;

- индекс натурального происхождения, соответствующий каждому ингредиенту

в продукции.
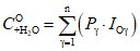
5.3 Содержание органического ингредиента
5.3.1 Общие требования
Содержание органического ингредиента - значение от 0% масс. до 100% масс. всех органических ингредиентов в продукции, определяемое суммированием относительных концентраций ингредиентов продукции, умноженных на их соответствующие индексы. При вычислении воду для рецептуры учитывают, как в
формуле (9), или исключают, как в
формуле (10).
5.3.2 Вычисляют содержания органического ингредиента с учетом воды

для рецептуры по формуле

, (9)
где

- содержание каждого ингредиента

в продукции, включая воду в рецептуре в качестве ингредиента, % масс.;

- индекс органического ингредиента, соответствующий каждому ингредиенту

в продукции.
5.3.3 Вычисляют содержание органического ингредиента без учета воды

для рецептуры по формуле

, (10)
где

- содержание каждого ингредиента

в продукции, за исключением воды для рецептуры (H
2O
F).

не вычисляют для H
2O
F в качестве ингредиента

, поскольку в этом случае H
2O
F исключают из вклада в содержание органических веществ, % масс.;
H2OF - содержание воды в продукции, % масс.;

- индекс органического ингредиента, соответствующий каждому ингредиенту

в продукции.
5.4 Содержание ингредиента органического происхождения
5.4.1 Общие требования
Содержание ингредиента органического происхождения - значение от 0% масс. до 100% масс. всех ингредиентов органического происхождения и долей ингредиентов органического происхождения в продукции, определяемое суммированием относительных концентраций ингредиентов продукции, умноженных на их соответствующие индексы органического происхождения. При вычислении воду для рецептуры учитывают, как в
формуле (11), или исключают, как в
формуле (12).
5.4.2 Вычисляют содержания ингредиента органического происхождения с учетом воды

для рецептуры по формуле

, (11)
где

- содержание каждого ингредиента

в продукции, включая воду для рецептуры в качестве ингредиента, % масс.;

- индекс органического происхождения, соответствующий каждому ингредиенту

в продукции.
5.4.3 Вычисляют содержания ингредиента органического происхождения без учета воды

для рецептуры по формуле

, (12)
где

- содержание каждого ингредиента

, за исключением воды для рецептуры (H
2O
F), в продукции. Не вычисляют

для H
2O
F в качестве ингредиента

, поскольку в этом случае H
2O
F исключают из вклада в содержание органических веществ, % масс.;
H2OF - содержание воды в продукции, % масс.;

- индекс органического происхождения, соответствующий каждому ингредиенту

в продукции.
В
приложении C приведены примеры вычислений содержания каждого ингредиента в готовой продукции.
(справочное)
ПРИМЕРЫ ВЫЧИСЛЕНИЙ ДЛЯ ОПРЕДЕЛЕНИЯ ИНДЕКСОВ
ИНГРЕДИЕНТОВ, СОДЕРЖАЩИХ КОМПОНЕНТ НАТУРАЛЬНОГО
ИЛИ ОРГАНИЧЕСКОГО ПРОИСХОЖДЕНИЯ
Таблица A.1
Примеры вычислений для определения индексов
ингредиентов, содержащих компонент натурального
или органического происхождения
Тип ингредиента | Пример (все указанные проценты приведены в процентах от массовой доли) | Индекс натурального ингредиента | Индекс ингредиента натурального происхождения | Индекс органического ингредиента | Индекс ингредиента органического происхождения |
На основе натурального | Алкиловый пчелиный воск (C18 - C38): получают при взаимодействии 45% масс. алкиловых спиртов из нафты C18 - C38 (ненатурального происхождения) с 55% масс. кислоты пчелиного воска C24 - C36 (органической) | 0 | 0,55 | 0 | 0 |
На основе органического | Стеариновый пчелиный воск: получают при взаимодействии 35% масс. стеарилового спирта из животного жира (органического) с 65% масс. кислоты пчелиного воска C24 - C36 (органической) | 0 | 1 | 0 | 1 |
На основе органического | Бутилавокадат: получают при взаимодействии 70% масс. бутилового спирта (натурального) с 30% масс. жирных кислот авокадо (органических) <a> | 0 | 1 | 0 | 0,3 |
Ненатуральный | ППГ-6 касторат: получают при взаимодействии 30% масс. касторового масла (натурального) с 70% масс. PPG-6 (ненатурального) <b> | 0 | 0 | 0 | 0 |
Ненатуральный | Силилат кремния: получают при взаимодействии 57% масс. диоксида кремния (натурального минерального) с 43% масс. метилсилана (67% масс. природного минерального и 33% масс. неприродных реагентов) <c> | 0 | 0 | 0 | 0 |
<a> Требования к минимальной концентрации для исходного органического материала, используемого для производства ингредиентов органического происхождения, не установлены. <b> Содержание продуктов ископаемого топлива, используемых для производства ингредиентов натурального происхождения, должно быть не более 50% масс. <c> Вещества, полученные из минеральных источников, должны иметь такой же химический состав, как природные минералы, чтобы считаться ингредиентами минерального происхождения. В этом случае, хотя основная часть ингредиентов (примерно 86% масс.) состоит из природных минеральных ингредиентов, силилат кремния считают неприродным, поскольку он не встречается в природе. |
(справочное)
ПРИМЕРЫ ВЫЧИСЛЕНИЯ ИНДЕКСОВ ОРГАНИЧЕСКОГО ИНГРЕДИЕНТА
И ИНГРЕДИЕНТА ОРГАНИЧЕСКОГО ПРОИСХОЖДЕНИЯ ДЛЯ ЭКСТРАКТОВ
Пример 1
Для получения 500 кг экстракта используют 34,4 кг высушенных органических цветов и 601 кг воды.
Вычисление индекса органического ингредиента
Io - по
4.4.
H2OE - вода для экстракции;
H2OR (вода для восстановления) - меньшее значение между (k·mDP - mDP) и H2O (исходная свежая масса из высушенного растения неизвестна), для высушенных цветов k = 4,5;

- общая масса введенной воды = 601 кг;
Io - индекс органического ингредиента = 1 - (mNS + mDNS + mDOS)/mT;
mNS - масса введенного натурального растворителя;
mDNS - масса введенного растворителя натурального происхождения = 0 кг;
mDOS - масса введенного растворителя органического происхождения = 0 кг;
mT - общая внесенная масса (органические растения + растворители) (34,4 + 601) кг;
H2OR = меньшее значение между (4,5·34,4 - 34,4) и 601 = 120;
mNS = H2OE = 601 - 120 = 481;
Io - индекс органического ингредиента = 1 - (mNS + mDNS + mDOS)/mT = 1 - 481/(34,4 + 601) = 0,24.
Пример 2
Для получения 100 кг гидролата обрабатывают 67,5 кг свежесобранных органических цветов 200 кг пара.
Вычисление индекса органического ингредиента
Io - по
4.4.
mNS - масса введенного натурального растворителя;
mW - общая масса введенной воды;

;
Io = индекс органического ингредиента = 1 - (mNS + mDNS + mDOS)/mT = 1 - 200/(67,5 + 200) = 0,25.
Пример 3
Для получения 100 кг экстракта используют 10,3 кг высушенных органических цветов и 110 кг неорганического растительного масла.
Вычисление индекса органического ингредиента
Io - по
4.4.
H2OR - вода для восстановления = 0;
mNS - масса введенного натурального растворителя = 110 кг;
mT - общая внесенная масса (органические растения + растворители) = (10,3 + 110) кг;
Io - индекс органического ингредиента = 1 - (mNS + mDNS + mDOS)/mT = 1 - 110/(10,3 + 110) = 0,08.
Пример 4
Для получения 100 кг экстракта используют 15 кг свежих органических фруктов, 55 кг органического этанола и 55 кг воды.
Вычисление индекса органического ингредиента
Io - по
4.4.
Io - индекс органического ингредиента = 1 - (mNS + mDNS + mDOS)/mT;
mT - общая внесенная масса (органические растения + растворители) = (mFP + mNS + mDNS + mDOS);
mFP - масса свежего необработанного растения = 15 кг (свежие органические фрукты);
mNS - масса введенного натурального растворителя = 55 кг (вода);
mDNS - масса введенного растворителя натурального происхождения = 0 кг;
mDOS - масса введенного растворителя органического происхождения = 55 кг;
mNS - H2OE = 55;
Io - индекс органического ингредиента = 1 - (mNS + mDNS + mDOS)/mT = 1 - 55/(15 + 55 + 55) = 0,56.
Пример 5
Для получения 339 кг экстракта используют 20,1 кг высушенных органических цветов, 191 кг воды и 191 кг глицерина органического происхождения.
Вычисление индекса органического ингредиента
Io и индекса ингредиента органического происхождения
Ioo - по
4.4.
mT - общая внесенная масса (органические растения + растворители) = (20,1 + 191 + 191) кг;
mDP - масса исходного высушенного растения = 20,1 кг (высушенные органические цветы);
mDOS - масса введенного растворителя органического происхождения = 191 кг (глицерин органического происхождения);

;
H2OR - вода для восстановления = min (k·mDP - mDP) и H2O: min (4,5·20,1 - 20,1);
191 = 70, k = 4,5 для сухоцветов;
mNS - масса введенного натурального растворителя = H2OE - H2OR (вода для экстракции минус вода для восстановления): 191 - 70 = 121;
mDOS = 191;
Io - индекс органического ингредиента = 1 - (mNS + mDNS + mDOS)/mT = 1 - (121 + 191)/(20,1 + 191 + 191) = 0,22;
Ioo - индекс ингредиента органического происхождения = 1 - (mNS + mDNS)/mT = 1 - {121/(20,1 + 191 + 191)} = 0,70.
(справочное)
РЕЗУЛЬТАТЫ ОПРЕДЕЛЕНИЯ ИНДЕКСА И ВЫЧИСЛЕНИЯ СОДЕРЖАНИЯ
Таблица C.1
Результаты определения индекса
и вычисления содержания ингредиентов
Ингредиент | Пример | Содержание, % масс. | Индекс натурального ингредиента | Содержание натурального ингредиента | Индекс ингредиента натурального происхождения | Содержание ингредиента натурального происхождения | Индекс органического ингредиента | Содержание органического ингредиента | Индекс ингредиента органического происхождения | Содержание ингредиента органического происхождения |
Вода для рецептуры | Деионизированная вода | 60 | 1 | 60 | 1 | 60 | 0 | 0 | 0 | 0 |
Натуральный | Растительное масло | 10 | 1 | 10 | 1 | 10 | 0 | 0 | 0 | 0 |
Экстракт | Экстракт, полученный из 10 кг свежего натурального растения со смесью 60 кг воды и 30 кг натурального глицерина полностью натурального происхождения | 2 | 0,7 | 1,4 | 1 | 2 | 0 | 0 | 0 | 0 |
Минерал | Соль | 3 | 1 | 3 | 1 | 3 | 0 | 0 | 0 | 0 |
Натурального происхождения | Сложный эфир из натуральных (70%) и ненатуральных ингредиентов (30%) | 5 | 0 | 0 | 0,7 | 3,5 | 0 | 0 | 0 | 0 |
Минерального происхождения | Диоксид титана | 5 | 0 | 0 | 1 | 5 | 0 | 0 | 0 | 0 |
Органический | Органическое растительное масло | 5 | 1 | 5 | 1 | 5 | 1 | 5 | 1 | 5 |
Органический экстракт | Экстракт, полученный из 10 кг высушенных органических листьев со смесью 35 кг воды и 70 кг органического этанола | 4 | 1 | 4 | 1 | 4 | 1 | 4 | 1 | 4 |
Органического происхождения | Сложный эфир из натуральных (20%) и органических ингредиентов (80%) | 4 | 0 | 0 | 1 | 4 | 0 | 0 | 0,8 | 3,2 |
Ненатуральный | Силиконовое масло | 2 | 0 | 0 | 0 | 0 | 0 | 0 | 0 | 0 |
Общее содержание, % | 100 | - | - | - | - | - | - | - | - |
Содержание по рецептуре (при вычислении с водой для рецептуры) | - | 83,4 | - | 96,5 | - | 9,0 | - | 12,2 |
Содержание по рецептуре (при вычислении без воды для рецептуры) | - | 58,5 | - | 91,3 | - | 22,5 | - | 30,5 |
(справочное)
СВЕДЕНИЯ О СООТВЕТСТВИИ ССЫЛОЧНЫХ МЕЖДУНАРОДНЫХ СТАНДАРТОВ
МЕЖГОСУДАРСТВЕННЫМ СТАНДАРТАМ
Таблица ДА.1
Обозначение ссылочного международного стандарта | Степень соответствия | Обозначение и наименование соответствующего межгосударственного стандарта |
ISO 16128-1:2016 | IDT | ГОСТ ISO 16128-1-2022 "Продукция парфюмерно-косметическая натуральная и органическая. Руководство по идентификации и критерии. Часть 1. Определения для ингредиентов" |
Примечание - В настоящей таблице использовано следующее условное обозначение степени соответствия стандарта: - IDT - идентичный стандарт. |
УДК 665.58:006.354 | | IDT |
Ключевые слова: продукция парфюмерно-косметическая натуральная и органическая, руководство по идентификации и критерии, критерии для ингредиентов и продукции |