Главная // Актуальные документы // Актуальные документы (обновление 2025.02.03-2025.03.01) // Временные условияСПРАВКА
Источник публикации
М., 1969
Примечание к документу
Название документа
"Рекомендации по применению зенитных фонарей со светопропускающими элементами из органического стекла"
"Рекомендации по применению зенитных фонарей со светопропускающими элементами из органического стекла"
ПО ПРИМЕНЕНИЮ ЗЕНИТНЫХ ФОНАРЕЙ СО СВЕТОПРОПУСКАЮЩИМИ
ЭЛЕМЕНТАМИ ИЗ ОРГАНИЧЕСКОГО СТЕКЛА
Приведены рекомендации по проектированию, изготовлению, монтажу и эксплуатации зенитных фонарей со светопропускающими элементами из органического стекла.
Рекомендации могут быть использованы инженерно-техническими работниками проектных и строительных организаций, эксплуатационниками и на заводах - изготовителях конструкций из полимерных светопропускающих материалов.
Органическое стекло (полиметилметакрилат) - один из наиболее эффективных светопропускающих материалов. Из этого материала можно индустриальными методами изготавливать экономичные и долговечные светопропускающие элементы зенитных фонарей.
Теоретические и экспериментальные исследования новых конструкций из органического стекла показывают, что они имеют значительные преимущества по сравнению с традиционными конструкциями из силикатного стекла.
Настоящие рекомендации разработаны на основе результатов научно-исследовательских и проектно-экспериментальных работ, проведенных ЦНИИПромзданий.
Рекомендации составили кандидаты техн. наук В.А. Дроздов, А.Г. Гиндоян, М.И. Краснов и инж. Ю.П. Александров.
1.1. При проектировании естественного освещения производственных и общественных зданий с зенитными фонарями со светопропускающими элементами из органического стекла следует применять унифицированные элементы, разработанные с учетом возможности механизированного изготовления их на специализированных предприятиях.
1.2. Зенитные фонари со светопропускающими элементами из органического стекла можно применять для естественного освещения зданий, возводимых в любых районах СССР.
1.3. Такие фонари не рекомендуется применять в тех производственных помещениях, где выделение пыли и копоти по количеству аэрозолей превышает 5 мг/м3, а также там, где технологические выделения явного тепла превышают 20 ккал/м3·ч.
1.4. Конструкции зенитных фонарей со светопропускающими элементами должны быть универсальными, взаимозаменяемыми с глухими частями покрытия и предусматривать возможность свободного их размещения в плоскости кровли.
1.5. Во избежание быстрого загрязнения внутренних поверхностей светопропускающих заполнений следует, как правило, ограничивать использование зенитных фонарей с таким заполнением для проветривания.
1.6. По требованию противопожарной или санитарной инспекции зенитные фонари с элементами из органического стекла могут быть выполнены открывающимися. В этом случае их монтируют на открывающейся опорной раме.
1.7. Светопропускающие элементы зенитных фонарей могут быть одно-, двух- и трехслойными. Число слоев определяют теплотехническими и технико-экономическими расчетами в зависимости от назначения здания, климатических условий района строительства, температурно-влажностного режима внутри помещения и гигиенических требований. Светопропускающие элементы зенитных фонарей с числом слоев более трех не рекомендуются.
1.8. Воздушные прослойки светопропускающих элементов из органического стекла должны быть, как правило, герметизированы. Это обеспечивает лучшие теплоизоляционные свойства зенитных фонарей и более экономичные условия их эксплуатации.
2. Светопропускающие материалы
2.1. Для изготовления светопропускающих элементов зенитных фонарей может быть использовано:
а) стекло органическое поделочное сорта ПА и ПБ (СТУ 1210 374-65);
| | ИС МЕГАНОРМ: примечание. Постановлением Госстандарта СССР от 12.04.1990 N 870 с 01.07.1991 введен в действие ГОСТ 10667-90. | |
б) стекло органическое листовое марки СО-95, СО-120, СО-140 (ГОСТ 10667-63);
| | ИС МЕГАНОРМ: примечание. Взамен ГОСТ 9784-61 Постановлением Госстандарта СССР от 14.11.1975 N 3148 с 01.01.1977 введен в действие ГОСТ 9784-75. | |
в) стекло органическое светотехническое (группа 1, ГОСТ 9784-61).
2.2. Светопропускающие элементы из светотехнического органического стекла рекомендуется применять при необходимости получения диффузного распределения светового потока. При этом степень рассеивания стекла должна быть не менее 0,02 и коэффициент светопропускания - не менее 0,7.
2.3. Физико-технические свойства органического стекла:
Удельный вес | в кг/м3 | - 1180 |
Предел прочности при растяжении | в кг/см2 | - 650 - 850 |
Удельная ударная вязкость | в кгсм/см2 | - 12 |
Относительное удлинение при разрыве | в % | - 2,5 - 3 |
Коэффициент светопропускания | | - 0,91 |
Суммарные потери света при отражении от обеих поверхностей | в % | - 7 |
Поглощение света листом толщиной 25 мм | в % | - 0,5 |
Пропускание ультрафиолетовых лучей | " | - 73 |
Коэффициент преломления | | - 1,49 |
Температура размягчения | в град | - 90 - 140 |
2.4. Основные расчетные сопротивления органического стекла при температуре окружающего воздуха 20 °C
Растяжение (Rр) | в кг/см2 | - 150 |
Изгиб (Rи) | " | - 250 |
Сжатие (Rс) | " | - 200 |
Срез (Rср) | " | - 140 |
Модуль упругости (E) | " | - 14000 |
2.5. Механические свойства органического стекла зависят от температурно-влажностных условий, а также длительности приложения нагрузки.
Расчетные сопротивления и модуль упругости органического стекла, находящегося в различных температурно-влажностных условиях, определяют согласно требованиям "Указаний по проектированию и расчету строительных конструкций с применением пластмасс"
<1>.
--------------------------------
<1> Стройиздат, М., 1963.
3. Конструкции зенитных фонарей
3.1. Зенитные фонари со светопропускающими элементами из органического стекла по конструктивным признакам подразделяются:
а) по типам - на ленточные, панельные и точечные с площадью светового проема соответственно более 18,0 м2, от 9,0 до 18,0 м2 и менее 9,0 м2;
б) по форме - на сводчатые и купольные;
в) по способу крепления - на глухие и открывающиеся.
3.2. Для освещения производственных и общественных зданий рекомендуются следующие разработанные в ЦНИИПромзданий конструкции зенитных фонарей со светопропускающими элементами из органического стекла, экспериментально проверенные при строительстве зданий в различных климатических районах Советского Союза:
а) панельная, с размерами светового проема 1400 x 6000 мм
(рис. 1);
б) точечная, с размерами светового проема 1200 x 1400 мм на базе типовой железобетонной плиты 1,5 x 6 м
(рис. 2);
в) точечная, с размерами светового проема 1200 x 1400 мм на базе типовой железобетонной плиты 3 x 6 м
(рис. 3).
Рис. 1. Конструкция зенитного фонаря панельного типа
со световым проемом размерами 1400 x 6000 мм
1 - рядовая двухслойная секция из органического стекла;
2 - торцовая двухслойная секция из органического стекла;
3 - накладка; 4 - металлический стакан; 5 - фартук;
6 - опорная рама; 7 - дополнительная гидроизоляция;
8 - основной гидроизоляционный ковер; 9 - выравнивающая
стяжка; 10 - утеплитель; 11 - железобетонная плита
Рис. 2. Конструкция зенитного фонаря точечного типа
со световым проемом размерами 1200 x 1400 мм на базе
железобетонной плиты размерами 1,5 x 6 м
1 - двухслойный купол из органического стекла;
2 - металлический стакан; 3 - опорная рама; 4 - фартук;
5 - утеплитель; 6 - гидроизоляционный ковер;
7 - крепежные элементы; 8 - железобетонная плита
Рис. 3. Конструкция зенитного фонаря точечного типа
со световым проемом размерами 1200 x 1400 мм на базе
железобетонной плиты размерами 3 x 6 м
1 - двухслойный купол из органического стекла;
2 - металлический стакан; 3 - опорная рама; 4 - фартук;
5 - утеплитель; 6 - гидроизоляционный ковер;
7 - крепежные элементы; 8 - железобетонная плита
3.3. В экспериментальном строительстве рекомендуется применять следующие конструкции зенитных фонарей со светопропускающими элементами из органического стекла:
а) панельная, составная с размерами светового проема 2700 x 6000 мм
(рис. 4) и 2700 x 12000 мм
(рис. 5);
б) точечная, с размерами светового проема 2700 x 2700 мм
(рис. 6).
Рис. 4. Конструкция зенитного фонаря панельного типа
со световым проемом размерами 2700 x 6000 мм
1 - рядовая двухслойная секция из органического стекла;
2 - торцовая двухслойная секция из органического стекла;
3 - накладка; 4 - металлический стакан; 5 - опорная рама;
6 - фартук; 7 - утеплитель; 8 - гидроизоляционный ковер;
9 - балка; 10 - железобетонная плита
Рис. 5. Конструкция зенитного фонаря ленточного типа
со световым проемом размерами 2700 x 12000 мм
1 - двухслойные светопропускающие элементы
из органического стекла; 2 - стакан; 3 - опорная рама
Рис. 6. Конструкция зенитного фонаря точечного типа
со световым проемом размерами 2700 x 2700 мм
1 - двухслойный купол из органического стекла; 2 - стакан;
3 - опорная рама; 4 - обрамляющий уголок
3.4. К основным элементам конструкций зенитных фонарей относятся: стакан, опорная рама, защитный фартук, светопропускающее заполнение.
3.5. Элементы зенитных фонарей должны отвечать условиям прочности, жесткости и устойчивости при монтаже и эксплуатации, а узлы соединения - обеспечивать надежное крепление элементов и передачу усилий на несущие конструкции.
3.6. Опорные конструкции зенитных фонарей необходимо защищать от коррозии и других разрушающих воздействий. Материалы, применяемые для антикоррозийных покрытий, должны отвечать требованиям главы
СНиП I-В.27-62 и "Указаний по проектированию антикоррозийной защиты строительных конструкций промышленных зданий в производствах с агрессивной средой" (СН 262-63).
3.7. Стаканы зенитных фонарей панельного и ленточного типа рекомендуется, при соответствующем обосновании статическим расчетом, опирать на прилегающие к световому проему железобетонные плиты покрытия.
3.8. Стаканы зенитных фонарей точечного типа, как правило, устанавливают непосредственно на железобетонные плиты покрытия (
рис. 7 и
8) с отверстиями для устройства зенитных фонарей.
Рис. 7. Железобетонные плиты покрытия размерами 1,5 x 6 м
со световыми проемами 1200 x 1800 мм двумя (а) и одним (б),
разработанные в ЦНИИПромзданий
Рис. 8. Железобетонные плиты покрытия размерами 3 x 6 м
со световыми проемами 1550 x 1800 мм двумя (а) и одним (б)
3.9. В случае необходимости (например, при реконструкции зданий) отверстия для установки зенитных фонарей точечного типа со светопропускающими элементами из органического стекла можно устраивать после укладки железобетонных плит в покрытие. При этом световые проемы для установки зенитных фонарей, как правило, следует вырезать в крайних полях плит, не повреждая продольных и поперечных ребер. В каждой плите можно вырезать не более двух проемов.
3.10. При устройстве отверстий в железобетонных плитах, уложенных в покрытие, категорически запрещается использование ударных приспособлений. Отверстия рекомендуется вырезать специальной дисковой пилой, предварительно рассверлив ограничительные отверстия по углам проемов. В каждом конкретном случае несущая способность железобетонных плит, ослабленных отверстиями, должна быть проверена расчетом.
3.11. При устройстве в существующих покрытиях световых проемов рекомендуется применять зенитные фонари со светопропускающими элементами из органического стекла с проемами следующих размеров:
а) 1100 x 1100 мм для применения в покрытиях с типовыми плитами 1,5 x 6 м
(рис. 9);
б) 830 x 1400 мм для применения в покрытиях с плитами 3 x 6 м
(рис. 10).
Рис. 9. Конструкция зенитного фонаря точечного типа
со световым проемом размерами 1100 x 1100 мм,
предназначенная для реконструируемых зданий
1 - двухслойный купол из органического стекла; 2 - стакан;
3 - опорная рама; 4 - гидроизоляционный ковер;
5 - утеплитель; 6 - железобетонная плита
Рис. 10. Конструкция зенитного фонаря точечного типа
со световым проемом размерами 830 x 1400 мм,
предназначенная для реконструируемых зданий
1 - двухслойный купол из органического стекла; 2 - стакан;
3 - опорная рама; 4 - гидроизоляционный ковер;
5 - утеплитель; 6 - железобетонная плита
3.12. Конструкции стаканов целесообразно выполнять сборными из металла, железобетона или асбестоцемента со слоем эффективного утеплителя.
3.13. Для увеличения световой активности зенитных фонарей боковые грани стаканов следует выполнять с наклоном к вертикали под углом в пределах 30°.
3.14. Внутренние боковые грани стаканов должны быть покрыты материалами с коэффициентом отражения не менее 0,7 (белая масляная покраска, полированный алюминий и др.). Для окраски внутренних поверхностей стаканов клеевые составы не рекомендуются.
3.15. В конструкции стакана должна быть предусмотрена возможность замены опорных рам при эксплуатации фонарей.
3.16. Толщину теплоизолирующего слоя стаканов определяют в соответствии с требованиями СНиП II-А.7-62 к ограждающим конструкциям покрытия. При условии выполнения стаканов из парогазонепроницаемых материалов (например, стали, стеклопластика и др.) допускается уменьшение сопротивления теплопередаче в опорных узлах.
3.17. В качестве теплоизолирующего слоя стаканов рекомендуется принимать плитные утеплители следующих видов:
а) минераловатные полужесткие плиты и маты на фенольной связке с объемным весом не более 250 кг/м3;
б) минераловатные жесткие и полужесткие плиты на битумной связке с объемным весом не более 300 кг/м3;
в) пеностекло в плитах с объемным весом не более 300 кг/м3;
г) пенопласт ПС-Б с объемным весом не более 100 кг/м3;
д) цементный фибролит с объемным весом не более 300 кг/м3.
3.18. Теплоизоляцию защищают от увлажнения гидроизоляционным ковром кровли. Материал утеплителя к моменту устройства кровли должен быть в воздушно-сухом состоянии.
3.19. В местах расположения откосов стаканов основание под кровлю рекомендуется выполнять в виде асфальтовой стяжки толщиной 20 - 25 мм.
3.20. Основной гидроизоляционный ковер кровли следует наклеивать на откосы стаканов до уровня основания опорной рамы. По верху основного ковра наклеивают два дополнительных слоя гидроизоляции и заводят их на плоскость кровли на 200 - 250 мм. В местах примыкания к стакану дополнительные слои гидроизоляции прижимаются опорной рамой. Гидроизоляционные материалы должны отвечать требованиям СНиП I-В.25-62.
3.21. Гидроизоляционный ковер должен быть приподнят по периметру откосов стаканов над уровнем кровли не менее, чем на 200 мм.
3.22. Опорные рамы выполняют из антисептированной древесины хвойных пород с влажностью не более 18%.
3.23. Светопропускающие элементы из органического стекла для зенитных фонарей, независимо от габаритных размеров световых проемов, рекомендуется выполнять криволинейными прямоугольного или квадратного очертания в плане.
3.24. Многослойные светопропускающие элементы из органического стекла выполняют из отдельных оболочек разной кривизны, склеенных между собой по периметру.
3.25. Толщину наружного слоя светопропускающих элементов рекомендуется принимать не менее 4 мм, внутреннего - не менее 2 мм.
3.26. Профиль мест опирания светопропускающих элементов должен обеспечивать свободный сброс атмосферных осадков с поверхности фонарей на кровлю.
3.27. Для зенитных фонарей рекомендуется применять светопропускающие элементы из органического стекла, приведенные в
табл. 1.
Таблица 1
Типы и размеры светопропускающих элементов
из органического стекла для зенитных фонарей
Наименование светопропускающего элемента | Форма в плане | Размеры в мм |
габаритные a x b | светового проема c x d | высота |
Купол: | | | | |
а) однослойный | | 1400 x 1600 | 1200 x 1400 | 350 |
1300 x 1300 | 1100 x 1100 | 330 |
1030 x 1600 | 830 x 1400 | 300 |
2900 x 2900 | 2700 x 2700 | 600 |
б) двухслойный | | 1400 x 1600 | 1200 x 1400 | 350 |
1300 x 1300 | 1100 x 1100 | 330 |
1030 x 1600 | 830 x 1400 | 300 |
2900 x 2900 | 2700 x 2700 | 600 |
в) трехслойный | | 1400 x 1500 | 1200 x 1400 | 350 |
1300 x 1300 | 1100 x 1100 | 330 |
1030 x 1600 | 830 x 1400 | 300 |
2900 x 2900 | 2700 x 2700 | 600 |
Двухслойная | | криволинейная секция: |
а) рядовая | | 1600 x 1200 | 1400 x 1200 | 410 |
2900 x 1200 | 2700 x 1200 | 600 |
2900 x 1500 | 2700 x 1500 | 600 |
б) торцовая | | 1600 x 680 | 1400 x 670 | 410 |
2900 x 1284 | 2700 x 1184 | 600 |
2900 x 820 | 2700 x 720 | 600 |
3.28. Светопропускающие элементы зенитных фонарей крепят на опоре через уплотняющие прокладки из полос губчатой резины с объемным весом не более 300 кг/м3.
3.29. Способ крепления светопропускающих элементов определяется характером конструктивного решения зенитных фонарей. Крепление может быть выполнено шурупами
(рис. 11) или кляммерами. Крепежные детали должны обеспечивать плотное прилегание светопропускающих элементов к опорной раме без зазоров по длине.
Рис. 11. Опорный узел зенитных фонарей
1 - двухслойный светопропускающий элемент из органического
стекла; 2 - опорная рама; 3 - стакан; 4 - пароизоляция;
5 - утеплитель; 6 - гидроизоляционный ковер (основной);
7 - дополнительные слои гидроизоляционного ковра;
8 - фартук; 9 - цементный раствор; 10 - коротыш;
11 - шайба закрытого типа с колпачком; 12 - уплотняющие
прокладки; 13 - железобетонная плита покрытия
3.30. Узлы опирания и места сопряжения светопропускающих элементов зенитных фонарей должны обеспечивать надежность эксплуатации и необходимую теплоизоляцию стыков, быть воздухо- и влагонепроницаемыми.
3.31. Светопропускающие элементы зенитных фонарей панельного типа соединяют между собой накладками из алюминия или органического стекла. Между элементами заполнения по криволинейным торцам прокладывают полосы из губчатой резины.
4. Рекомендации по проектированию освещения производственных зданий с применением зенитных фонарей с элементами из органического стекла
4.1. Зенитные фонари из органического стекла рекомендуется применять для естественного освещения одноэтажных многопролетных зданий, относящихся по противопожарной безопасности к категориям производств Д, Г и частично В.
4.2. В производственных зданиях шириной от 24 до 36 м наиболее рациональной следует считать комбинированную систему естественного освещения с помощью боковых ленточных проемов и зенитных фонарей, сосредоточенных в средней части.
4.3. Выбор типа фонарей следует производить на основе технико-экономического сравнения различных вариантов естественного освещения, учитывая особенности производственного процесса, объемно-планировочного решения здания, климатических и географических условий района строительства, а также эстетические требования. При этом необходимо руководствоваться: нормативным значением к.е.о.; светотехническими параметрами конструкций и теплотехническими качествами светопропускающих элементов.
4.4. Экономическую оценку производственных зданий с различными типами зенитных фонарей рекомендуется производить по показателям приведенных затрат. Приведенную стоимость 1 м2 здания (П) определяют по формуле:
где

- коэффициент экономической эффективности капитальных вложений;
Кстр - общестроительные капитальные затраты (покрытия и фонари) в руб./м2;
Кст - капитальные затраты на устройство санитарно-технического оборудования здания в руб./м2;
Кэ - капитальные затраты на устройство электроосвещения в руб./м2;
Эстр - расходы на эксплуатацию покрытия и фонарей в руб./м2·год;
Эст - эксплуатационные расходы на санитарно-техническое обслуживание здания в руб./м2·год;
Ээ - эксплуатационные расходы на электроосвещение в руб./м2·год.
4.5. Эффективность применения новых конструкций зенитных фонарей в зависимости от конкретных климатических условий местности, температурного режима производственного помещения рекомендуется проверять по разработанной в ЦНИИПромзданий методике энергетической оценки конструкций для естественного освещения. Сущность ее заключается в определении (предложенным методом) коэффициентов энергетической эффективности новых типов светопрозрачных конструкций для рассматриваемых условий и сравнении их с аналогичными коэффициентами традиционных конструкций.
4.6. Степень эффективности светопрозрачных ограждений оценивается коэффициентом энергетической эффективности конструкции (K), выражающим количество общей тепловой энергии, поступающей в помещение (для летних условий) или выходящей из помещения (для зимних условий) через светопрозрачную конструкцию, отнесенное к единице прошедшей через конструкцию световой энергии,
где

- интенсивность теплового потока, проходящего через светопрозрачное ограждение;
qв - интенсивность светового потока, приходящегося на видимую часть солнечного спектра;
qи - интенсивность теплового потока, приходящегося на инфракрасную часть солнечного спектра;

- интенсивность теплового потока, прошедшего через светопрозрачную конструкцию в помещение за счет лучистого тепла, поглощенного остеклением, и перепада температур между внутренним и наружным воздухом;
K1 - спектральная энергетическая характеристика светопрозрачной конструкции;
K2 - термическая энергетическая характеристика светопрозрачной конструкции.
Коэффициенты энергетической эффективности вычисляют отдельно для жаркого (Kж) и холодного (Kх) периодов.
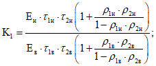
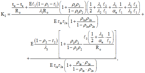
4.7. Энергетическая спектральная (K1) и термическая (K2) характеристика светопрозрачных конструкций определяется решением задачи о теплопередаче с учетом лучистого теплообмена. Рекомендуются следующие формулы для определения коэффициентов K1 и K2:
а) для однослойных конструкций
б) для двухслойных конструкций с воздушной прослойкой
где E - интенсивность солнечной радиации;

- коэффициент отражения поверхностей;

- коэффициент теплоотдачи;

- линейные размеры;
t - температура;
Ro - сопротивление теплопередаче конструкции;

- коэффициент пропускания.
Индексы и и в - соответственно инфракрасная и видимая часть спектра; 1, 2, 3 - первый, второй и третий слой; н, в - наружный и внутренний воздух.
4.8. Оценка эффективности естественного освещения с применением различных светопрозрачных конструкций производится с помощью приведенного коэффициента энергетической эффективности (Kп), численно равного отношению количества энергии, прошедшей через единицу площади светового проема конструкции, к количеству энергии видимого участка спектра, поступающему на единицу площади светового проема,
где

- общий коэффициент светопропускания заполнения световых проемов конструкций;

- световая активность светопрозрачной конструкции; для зенитных фонарей определяется по
табл. 2 (рис. 12);
Zж - продолжительность жаркого периода года в днях;
Zх - продолжительность холодного периода года в днях.
Таблица 2
Значения коэффициента

для световых проемов зенитных
фонарей при коэффициенте отражения стенок стакана 0,7
Световой проем (в плане) | Отношение B/H | Коэффициент  при угле наклона стенок стакана в вертикали в град |
0 | 15 | 30 | 45 |
квадратный со стороной B | 10,0 | 0,90 | 0,90 | 0,95 | 0,95 |
7,0 | 0,80 | 0,80 | 0,90 | 0,90 |
5,0 | 0,70 | 0,75 | 0,85 | 0,85 |
3,0 | 0,65 | 0,75 | 0,80 | 0,80 |
1,0 | 0,40 | 0,60 | 0,70 | 0,80 |
0,5 | 0,25 | 0,45 | 0,55 | 0,70 |
| | | | |
прямоугольный с соотношением сторон L/B = 2 | 10,0 | 0,90 | 0,90 | 0,95 | 0,95 |
7,0 | 0,85 | 0,90 | 0,95 | 0,95 |
5,0 | 0,80 | 0,85 | 0,90 | 0,95 |
3,0 | 0,75 | 0,85 | 0,90 | 0,90 |
1,0 | 0,50 | 0,65 | 0,75 | 0,85 |
0,5 | 0,25 | 0,45 | 0,55 | 0,65 |
| | | | |
прямоугольный с соотношением сторон L/B = 6 | 10,0 | 0,90 | 0,95 | 0,97 | 0,97 |
7,0 | 0,85 | 0,95 | 0,95 | 0,97 |
5,0 | 0,85 | 0,90 | 0,95 | 0,95 |
3,0 | 0,80 | 0,90 | 0,95 | 0,95 |
1,0 | 0,55 | 0,75 | 0,80 | 0,90 |
0,5 | 0,35 | 0,55 | 0,65 | 0,75 |
Рис. 12. Схема зенитного фонаря
4.9. Для переходных периодов (Z) продолжительностью 365 - (Zх + Zж) рекомендуется допускать, что теплопотери через светопрозрачные конструкции компенсируются поступлением лучистого тепла. Для этих периодов коэффициент энергетической эффективности конструкций не учитывают.
4.10. Длительность холодного периода Z
х можно принимать равной продолжительности отопительного периода, приведенной в
СНиП II-А.6-62, а продолжительность жаркого периода определяется временем дополнительной работы системы вентиляции.
Критерием летних климатических условий местности служит величина эквивалентной температуры tэкв, определяемой формулой
где tн - среднесуточная температура наружного воздуха в град;
J - среднесуточная интенсивность солнечной радиации в ккал/м2·ч;
P - коэффициент поглощения, принимаемый равным единице;

- коэффициент теплоотдачи, принимаемый для летнего периода равным 10 ккал/м
2·ч·град.
Минимальное значение эквивалентной температуры, при которой не требуется мероприятий по борьбе с перегревом помещений на стадии оценки проектных предложений, можно принять равным 40 °C (из условия, что среднесуточная температура наружного воздуха не превышает 20 °C и среднесуточная интенсивность солнечной радиации не более 200 ккал/м2·ч).
4.11. При наличии для данного пункта многолетних метеорологических данных среднесуточных температур и среднесуточных интенсивностей солнечной радиации продолжительность жаркого периода (Z
ж) определяется согласно
п. 4.10 и равна числу дней со среднесуточной эквивалентной температурой t
экв > 40 °C.
Для ориентировочных подсчетов, при отсутствии среднесуточных метеорологических данных, можно пользоваться данными среднемесячных температур и интенсивностей солнечной радиации. В
табл. 3 приведены климатологические данные для некоторых городов СССР.
Таблица 3
Климатологические данные некоторых городов СССР
Наименование пункта | Продолжительность отопительного периода в днях Zх | Средняя температура отопительного периода в град | Максимальная интенсивность солнечной радиации за сутки - S в  | Число дней S > 200 | Средняя температура самого жаркого месяца в град | Эквивалентная температура (tэкв) самого жаркого месяца в град |
Алма-Ата | 179 | -3 | 228 | 90 | 22,2 | 45 |
Ашхабад | 111 | 4,9 | 242 | 129 | 30,4 | 54,6 |
Бухара | 120 | 2,5 | 278 | 142 | 29,6 | 57,4 |
Душанбе | 109 | 3,9 | 280 | 135 | 28,2 | 56,2 |
Киев | 191 | -1,2 | 216 | 62 | 19,3 | 40,9 |
Ленинград | 223 | -2 | 181 | - | 15,7 | 33,8 |
Минск | 206 | -1,4 | 207 | 32 | 17,6 | 38,3 |
Москва | 212 | -3,7 | 217 | 55 | 17,8 | 39,5 |
Одесса | 160 | 1,1 | 246 | 105 | 22,1 | 46,7 |
Сочи | 88 | 6,2 | 230 | 47 | 22,6 | 45,6 |
Ташкент | 131 | 2 | 268 | 134 | 27,4 | 54,2 |
Тбилиси | 150 | 2,3 | 238 | 114 | 24,2 | 47,8 |
Шевченко | 158 | 0,5 | 232 | 58 | 25,8 | 49,4 |
4.12. Расчет зенитных фонарей со светопропускающими элементами из органического стекла на внешние силовые воздействия производят в соответствии с общими положениями строительной механики.
4.13. Расчет светопропускающих элементов на прочность рекомендуется производить по формулам
где

,

,

- соответственно абсолютная величина в кг/см
2 наибольших растягивающих, сжимающих и срезывающих напряжений, а R
р, R
с и R
ср - соответственно расчетные сопротивления материала элементов растяжению, сжатию и срезу.
4.14. Напряжения в светопропускающих элементах, находящихся под воздействием вертикальной равномерно распределенной нагрузки, можно определять согласно безмоментной линейной теории расчета оболочек.
Для определения напряжений в светопропускающих элементах зенитных фонарей точечного типа рекомендуются формулы
где

и

- напряжения в светопропускающем элементе соответственно по направлениям осей X и Y в кг/см
2;

- касательные напряжения в кг/см
2;
P - вертикальная равномерно распределенная нагрузка в кг/см2;
a и b - размеры элементов в плане в см;
f - стрела подъема в см;
d - толщина элемента в см;

,

,

- единичные мембранные усилия.
Направление осей координат и буквенные обозначения размеров светопропускающего элемента показаны на
рис. 13.
Рис. 13. Схема светопропускающего элемента
из органического стекла
Единичные мембранные усилия принимаются в соответствии с данными
табл. 4, составленной на основании выполненного с помощью ЭВЦМ расчета светопропускающего элемента зенитного фонаря точечного типа при условии шарнирно-подвижного опирания его по контуру.
Таблица 4
Единичные мембранные усилия
X/a | Обозначения | Значения усилий при y/b |
0 | 0,05 | 0,10 | 0,15 | 0,20 | 0,25 | 0,30 | 0,35 | 0,40 | 0,45 | 0,50 |
0 | | 0 | 0 | 0 | 0 | 0 | 0 | 0 | 0 | 0 | 0 | 0 |
| 0 | -0,61 | -1,72 | -2,30 | -1,96 | -1,90 | -2,68 | -1,67 | -1,31 | -1,52 | -2,07 |
| 0 | 0 | 0 | 0 | 0 | 0 | 0 | 0 | 0 | 0 | 0 |
| | | | | | | | | | | |
0,05 | | -0,61 | -0,26 | -0,14 | 0,05 | 0,07 | 0,55 | 0,54 | -0,31 | -0,75 | -0,01 | +0,58 |
| 0 | -0,26 | -0,60 | -0,57 | -0,63 | -0,80 | -1,33 | -1,36 | -0,90 | -0,89 | 1,03 |
| 0 | 0,86 | 0,84 | 0,58 | 0,65 | -0,25 | -0,86 | -1,23 | -0,18 | 0,62 | 0 |
| | | | | | | | | | | |
0,10 | | -1,72 | -0,60 | 0,77 | 0,02 | -0,44 | +1,18 | 1,85 | -0,42 | -2,01 | +0,17 | 1,51 |
| 0 | 0,14 | 0,77 | 0,19 | +1,63 | 1,92 | 0,81 | 0,10 | -0,42 | 0,16 | 0,61 |
| 0 | 0,84 | 0,28 | -0,29 | 0,46 | 1,11 | 0,25 | -0,82 | -0,45 | 0,27 | 0 |
| | | | | | | | | | | |
0,15 | | -2,30 | -0,57 | 0,19 | -0,05 | -1,75 | 0,48 | 2,36 | 0,50 | -2,18 | -0,48 | 1,51 |
| 0 | 0,05 | 0,02 | 0,05 | 0,82 | 1,70 | 2,13 | 1,35 | 0,36 | 0,52 | 0,88 |
| 0 | 0,58 | -0,29 | -1,32 | 0,60 | 1,10 | 1,63 | 0,65 | -0,35 | -0,47 | 0 |
| | | | | | | | | | | |
0,20 | | -1,96 | -0,63 | 1,63 | 0,82 | -2,33 | -1,11 | 1,89 | 1,52 | -1,10 | -0,60 | 0,66 |
| 0 | 0,07 | -0,44 | -1,75 | -2,33 | -1,64 | 0,40 | 1,25 | 0,80 | +0,28 | 0,15 |
| 0 | 0,65 | 0,46 | 0,60 | -1,39 | -0,66 | 0,97 | 1,37 | 0,26 | -0,56 | 0 |
| | | | | | | | | | | |
0,25 | | -1,90 | -0,80 | 1,92 | 1,70 | -1,64 | -1,88 | 0,64 | 1,31 | 0,06 | -0,32 | -0,04 |
| 0 | 0,55 | 1,18 | 0,48 | -1,11 | -1,88 | -1,13 | 0,08 | 0,53 | 0,21 | -0,05 |
| 0 | 0,25 | 1,11 | 1,10 | -0,66 | -1,88 | -0,78 | 0,78 | 0,66 | -0,11 | 0 |
| | | | | | | | | | | |
0,30 | | -2,68 | -1,33 | 0,81 | 2,13 | 0,40 | -1,13 | -0,70 | 0,29 | 0,47 | 0,04 | -0,21 |
| 0 | 0,54 | 1,85 | 2,36 | 1,89 | 0,64 | -0,70 | -0,63 | 0,04 | 0,29 | 0,23 |
| 0 | -0,85 | 0,25 | 1,63 | 0,97 | -0,78 | -1,05 | -0,08 | 0,35 | 0,11 | 0 |
| | | | | | | | | | | |
0,35 | | -1,97 | -1,36 | 0,10 | 1,35 | 1,25 | 0,08 | -0,63 | -0,21 | 0,32 | 0,13 | 0,16 |
| 0 | -0,31 | -0,42 | 0,50 | 1,52 | 1,31 | 0,29 | -0,21 | -0,04 | 0,14 | -0,14 |
| 0 | 1,23 | -0,82 | 0,65 | 1,37 | 0,78 | -0,08 | -0,33 | -0,11 | 0,04 | 0 |
| | | | | | | | | | | |
0,40 | | -1,31 | -0,90 | -0,42 | 0,36 | 0,80 | 0,53 | 0,04 | -0,04 | 0,08 | 0,05 | -0,03 |
| 0 | -0,75 | -2,01 | -2,18 | -1,10 | 0,06 | 0,47 | 0,32 | 0,08 | -0,05 | -0,10 |
| 0 | -0,18 | -0,45 | -0,35 | 0,26 | 0,66 | 0,35 | -0,11 | -0,12 | 0,06 | 0 |
| | | | | | | | | | | |
0,45 | | -1,52 | -0,89 | 0,16 | 0,53 | 0,28 | 0,21 | 0,29 | 0,14 | -0,05 | 0,02 | 0,14 |
| 0 | -0,01 | 0,17 | -0,48 | -0,80 | -0,32 | 0,04 | 0,13 | 0,05 | 0,02 | 0,04 |
| 0 | 0,62 | 0,27 | -0,47 | -0,56 | -0,11 | 0,11 | 0,04 | 0,06 | 0,12 | 0 |
| | | | | | | | | | | |
0,50 | | -2,07 | 1,03 | 0,61 | 0,88 | 0,15 | -0,05 | 0,23 | -0,14 | 0,10 | 0,04 | 0,25 |
| 0 | 0,58 | 1,51 | 1,51 | 0,66 | -0,04 | -0,21 | 0,16 | -0,03 | 0,14 | 0,25 |
| 0 | 0 | 0 | 0 | 0 | 0 | 0 | 0 | 0 | 0 | 0 |
Примечание. Знаком минус обозначены растягивающие усилия, плюс - сжимающие.
4.15. Светопропускающие элементы зенитных фонарей рассчитывают на снеговую нагрузку в соответствии с требованиями СНиП II-А.11-62. Снеговую нагрузку при расчетах принимают равномерно распределенной, независимо от расположения зенитных фонарей.
4.16. Расположение световых проемов в покрытии производственных помещений определяется характером технологического процесса. В одноэтажных многопролетных зданиях универсального типа со свободным расположением оборудования рекомендуются зенитные фонари в виде панелей и куполов, равномерно распределенных по поверхности покрытия. При поточном или конвейерном производстве целесообразно устройство ленточных зенитных фонарей, расположенных вдоль технологических линий. Рекомендуемые схемы размещения зенитных фонарей с элементами из органического стекла в покрытиях производственных зданий приведены на
рис. 14,
15,
16 и
17.
Рис. 14. Примерные схемы размещения зенитных фонарей
панельного типа в покрытии
Рис. 15. Примерные схемы размещения зенитных фонарей
точечного типа в покрытии на плитах размерами 1,5 x 6 м
Рис. 16. Примерные схемы размещения зенитных фонарей
точечного типа в покрытии на плитах размерами 3 x 6 м
Рис. 17. Примерные схемы размещения зенитных фонарей
точечного типа в покрытии на плитах размером 3 x 12 м
4.17. Зенитные фонари с элементами из органического стекла позволяют обеспечить к.е.о. до 10%.
4.18. Естественное освещение зданий при помощи зенитных фонарей необходимо рассчитывать в соответствии с указанием
СНиП II-А.8-62 и "Инструкцией по расчету и проектированию естественного освещения зданий"
<1>.
--------------------------------
4.19. Необходимое число зенитных фонарей в покрытии зданий, обеспечивающее требуемую величину к.е.о. помещений, определяют по формуле
где eср - среднее нормированное значение к.е.о.;
Sп - площадь пола помещений в м2;
Sо - площадь одного светопроема в м2;

- коэффициент использования светового потока (принимается по
табл. 5);
C - коэффициент, учитывающий затенение светопроема нижележащими конструкциями;

- световая активность зенитного фонаря, определяется по
табл. 2 в зависимости от соотношения геометрических размеров конструкций зенитных фонарей (см.
рис. 12);

- общий коэффициент светопропускания зенитного фонаря, определяемый согласно выражению:
для однослойных конструкций
для многослойных конструкций
здесь:

,

, ...,

- коэффициенты светопропускания первого, второго и т.д. слоев;
u - коэффициент, учитывающий загрязнение светопропускающего заполнения;
V - коэффициент, учитывающий затенение светового проема боковыми ребрами, горбылями и другими элементами светопропускающего заполнения.
Таблица 5
Значения коэффициента использования светового потока
Показатель помещения  | Коэффициент отражения потока |
0,7 | 0,5 | 0,3 |
при коэффициенте отражения стен |
0,5 | 0,3 | 0,1 | 0,5 | 0,3 | 0,5 | 0,3 | 0,1 |
коэффициент отражения пола 0,1 |
0,6 | 0,52 | 0,48 | 0,44 | 0,52 | 0,48 | 0,45 | 0,48 | 0,45 |
0,8 | 0,64 | 0,60 | 0,57 | 0,62 | 0,58 | 0,55 | 0,58 | 0,53 |
1,0 | 0,70 | 0,66 | 0,62 | 0,68 | 0,64 | 0,60 | 0,64 | 0,58 |
1,25 | 0,74 | 0,72 | 0,68 | 0,72 | 0,70 | 0,65 | 0,70 | 0,63 |
1,5 | 0,78 | 0,76 | 0,72 | 0,76 | 0,72 | 0,68 | 0,72 | 0,66 |
| | | | | | | | |
2,0 | 0,82 | 0,80 | 0,77 | 0,82 | 0,78 | 0,74 | 0,76 | 0,72 |
2,5 | 0,88 | 0,84 | 0,80 | 0,86 | 0,82 | 0,78 | 0,80 | 0,76 |
3,0 | 0,90 | 0,86 | 0,83 | 0,88 | 0,86 | 0,82 | 0,85 | 0,82 |
4,0 | 0,92 | 0,88 | 0,85 | 0,90 | 0,88 | 0,85 | 0,87 | 0,84 |
5,0 | 0,94 | 0,90 | 0,87 | 0,92 | 0,90 | 0,87 | 0,90 | 0,86 |
коэффициент отражения пола 0,3 |
0,6 | 0,53 | 0,49 | 0,45 | 0,53 | 0,49 | 0,46 | 0,49 | 0,44 |
0,8 | 0,67 | 0,62 | 0,58 | 0,64 | 0,59 | 0,56 | 0,59 | 0,54 |
1,0 | 0,74 | 0,69 | 0,63 | 0,73 | 0,66 | 0,61 | 0,66 | 0,59 |
1,25 | 0,79 | 0,75 | 0,70 | 0,76 | 0,73 | 0,67 | 0,73 | 0,65 |
1,5 | 0,84 | 0,80 | 0,75 | 0,80 | 0,76 | 0,71 | 0,76 | 0,68 |
| | | | | | | | |
2,0 | 0,89 | 0,85 | 0,81 | 0,87 | 0,82 | 0,77 | 0,80 | 0,75 |
2,5 | 0,97 | 0,91 | 0,86 | 0,93 | 0,87 | 0,82 | 0,85 | 0,80 |
3,0 | 1,0 | 0,95 | 0,91 | 0,96 | 0,92 | 0,87 | 0,91 | 0,85 |
4,0 | 1,03 | 0,98 | 0,94 | 0,99 | 0,95 | 0,91 | 0,94 | 0,89 |
5,0 | 1,06 | 1,0 | 0,97 | 1,02 | 0,98 | 0,94 | 0,98 | 0,92 |
 - длина помещения;  - ширина помещения; H - высота помещения (до покрытия). |
Для светопропускающих элементов, изготовленных из прозрачного органического стекла толщиной от 2 до 6 мм,

следует принимать равным 0,92, а для элементов из молочного стекла (светотехнического) - 0,7.
4.20. Коэффициент V, учитывающий затенение светового проема, находят по формуле
где Sпр - площадь светопропускающей части заполнения проема в м2;
Sобщ - общая площадь светопроема в м2;

- коэффициент светопропускания стыковых соединений, выполненных из светопропускающих материалов. Если стык выполнен из непрозрачных материалов,

и

4.21. Для элементов из органического стекла коэффициент, учитывающий снижение светопропускания, вызванное загрязнением, принимается равным 0,75.
4.22. Органическое стекло отличается высокой атмосферостойкостью и поэтому при определении значений общего коэффициента светопропускания

не следует вводить коэффициент, учитывающий снижение светопропускания во времени.
4.23. Для улучшения качества естественного освещения рекомендуется светлая окраска интерьеров и оборудования. Интерьеры целесообразно окрашивать в цвета, обеспечивающие среднее значение коэффициента отражения внутренних поверхностей не менее 0,5.
4.24. При выборе конструкций светопропускающих элементов из органического стекла для зенитных фонарей в помещениях с различными температурно-влажностными режимами и различными расчетными температурами наружного воздуха необходимо руководствоваться следующими значениями сопротивления теплопередаче (Rо):
однослойный купол | 0,22 | м2·ч·град/ккал |
двухслойный купол | 0,44 | " |
трехслойный купол | 0,51 | " |
двухслойные секции, стыкуемые по торцам | 0,42 | " |
4.25. Предельное значение расчетных наружных температур, при которых не требуется дополнительных мероприятий по борьбе с образованием конденсата на внутренней поверхности светопропускающих элементов зенитных фонарей, определяют по
табл. 6, составленной с учетом градиентов температуры и относительной влажности воздуха по высоте помещения.
Таблица 6
Условия, при которых исключается образование конденсата
на внутренних поверхностях светопропускающих элементов
зенитных фонарей
Относительная влажность воздуха в рабочей зоне, % | Минимальные значения средних температур наружного воздуха наиболее холодных суток, при которых не требуется мероприятий по борьбе с конденсатом |
Высота помещения в м |
6 | 9 | 12 |
Температура воздуха в рабочей зоне в град |
16 | 18 | 20 | 16 | 18 | 20 | 16 | 18 | 20 |
а) Однослойные элементы |
40 | -13 | -11 | -9 | -14 | -12 | -10 | -15 | -13 | -11 |
50 | -8 | -6 | -4 | -9 | -7 | -5 | -10 | -8 | -6 |
60 | -3 | -1 | 1 | -4 | -2 | 0 | -5 | -3 | -1 |
70 | 1 | 3 | 5 | 0 | 2 | 4 | -1 | 1 | 3 |
б) Двухслойные элементы |
40 | -38 | -37 | -35 | -41 | -40 | -38 | -44 | -43 | -41 |
50 | -28 | -27 | -25 | -31 | -30 | -28 | -34 | -33 | -31 |
60 | -18 | -17 | -15 | -21 | -20 | -18 | -24 | -23 | -19 |
70 | -10 | -9 | -7 | -13 | -12 | -10 | -16 | -15 | -13 |
в) Трехслойные элементы |
40 | -60 | -59 | -58 | -65 | -64 | -63 | -70 | -69 | -68 |
50 | -46 | -45 | -43 | -51 | -50 | -48 | -56 | -55 | -53 |
60 | -35 | -34 | -32 | -39 | -38 | -36 | -44 | -43 | -41 |
70 | -23 | -22 | -20 | -28 | -27 | -25 | -33 | -32 | -30 |
4.26. Для районов с расчетными значениями наружных температур ниже предельно допустимых при необходимости борьбы с образованием конденсата на внутренних поверхностях светопропускающих элементов зенитных фонарей следует при проектировании системы отопления и вентиляции зданий предусматривать мероприятия против образования конденсата.
Для этих целей рекомендуется применять:
а) обдув светопропускающего элемента воздухом со скоростью 1 - 1,5 м/сек;
б) специальный обогрев подфонарного пространства для образования устойчивой тепловой подушки.
4.27. Количество суммарной солнечной радиации, поступающей через световой проем, определяется согласно выражению
где E
пад - количество суммарной солнечной радиации (прямой, рассеянной) при безоблачном небе, падающей на горизонтальную поверхность. Определяется по данным СНиП II-А.6-62,
табл. 4 и
приложения к табл. 4. Если для рассматриваемого пункта отсутствуют данные в СНиП, следует использовать данные, приведенные в
табл. 7;

- общий коэффициент пропускания. Для однослойных светопропускающих элементов из органического стекла принимается равным 0,75, для двухслойных - 0,7;

- коэффициент обратно отраженной световой энергии, принимается равным 0,05;

- коэффициент использования светового потока зенитного фонаря, принимаемый по
табл. 5 в зависимости от соотношения геометрических размеров помещения.
Таблица 7
Солнечная радиация, падающая на горизонтальную поверхность
в июне при безоблачном небе
Географическая широта в град | Радиация | Географическая широта в град | Радиация |
максимальная интенсивность за час в ккал/м2 | суммарная за сутки в ккал/м2 | максимальная интенсивность за час в ккал/м2 | суммарная за сутки в ккал/м2 |
38 | 819 | 7120 | 50 | 753 | 7110 |
40 | 813 | 7130 | 52 | 744 | 7100 |
| | | | | |
42 | 804 | 7150 | 54 | 726 | 7100 |
44 | 783 | 7100 | 56 | 714 | 7100 |
| | | | | |
46 | 766 | 7100 | 58 | 700 | 7100 |
48 | 579 | 7100 | 60 | 675 | 7100 |
4.28. В герметизируемых помещениях с зенитными фонарями для снижения температуры воздуха под потолком должна быть предусмотрена возможность более интенсивного воздухообмена в летнее время.
4.29. Для увеличения воздухообмена и снижения температуры внутреннего воздуха в летнее время рекомендуется до 10% зенитных фонарей от общего числа, установленных в покрытии, делать открывающимися.
4.30. Открывание светопропускающего элемента зенитных фонарей, как правило, должно быть предусмотрено с помощью специальных механизмов с локальным или централизованным управлением.
5. Изготовление, приемка, хранение и транспортирование светопропускающих элементов из органического стекла для зенитных фонарей
5.1. Светопропускающие элементы из органического стекла следует изготовлять на специализированных предприятиях, снабженных соответствующим оборудованием.
5.2. Отдельные оболочки светопропускающих элементов купольного типа рекомендуется изготовлять из листового органического стекла методом свободного выдувания, позволяющим получать изделия с оптически неискаженной поверхностью, не применяя обтяжных форм. При этом необходимую конфигурацию опорных площадок получают штампованием с помощью специальной оснастки, устанавливаемой по контуру зажимных рам.
5.3. Оболочки светопропускающих элементов сложного профиля для зенитных фонарей панельного типа рекомендуется изготавливать следующим комбинированным способом
<1>. Заготовку из органического стекла закрепляют по двум противоположным сторонам и разогревают, доводя до пластического состояния; затем при помощи специального штампа отформовывают закраины и опорные части. После этого, при изготовлении наружных оболочек, путем свободного выдувания образуют бочкообразную поверхность.
--------------------------------
<1> Разработан в ЦНИИПромзданий, авторское свидетельство N 220462.
5.4. Процесс изготовления светопропускающих элементов состоит из следующих основных операций:
а) разметка и раскрой листов органического стекла на заготовки;
б) подготовка заготовки к нагреву;
в) формование;
г) контроль отформованной детали;
д) обрезка отформованных деталей;
е) склеивание наружного и внутреннего слоя изделия;
ж) сверление отверстий, продувка внутренней воздушной полости сухим воздухом, заделка отверстий;
з) зачистка кромок.
5.5. Раскрой листов органического стекла производят по специальным шаблонам с учетом технологического припуска по 30 мм с каждой стороны для зажима заготовки по контуру в машине при формовании. Помимо этого, необходим припуск на термическую усадку при нагревании из расчета 2,5% от линейных размеров заготовки.
5.6. Для защиты поверхности органического стекла бумажное покрытие его необходимо сохранять до окончания механической обработки заготовки и снимать перед установкой ее на формующую машину.
5.7. Листы органического стекла распиливают по размеченному контуру ленточными или дисковыми пилами.
Полотна ленточных пил должны быть шириной не более 20 мм, с мелкими зубьями высотой 0,5 - 1 мм и шагом 1 - 1,4 мм. Развод зубьев - 0,15 - 0,3 мм на сторону. Рекомендуемая скорость пилы 300 - 500 м/мин, скорость подачи материала - 0,5 - 1 м/мин. Дисковые пилы должны быть диаметром 200 - 300 мм, толщиной - 1,5 - 2,5 мм, с шагом и высотой зуба соответственно 2,4 - 3 и 1,5 мм.
5.8. Максимальная температура разогрева пилы при распиливании не должна превышать 60°. Для одновременного охлаждения полотна пилы и органического стекла рекомендуется обдувать места резанья сухим воздухом.
5.9. Столы для подготовки заготовок к формованию должны быть покрыты листовой резиной или байкой.
5.10. Перед установкой на машину для формования с поверхности заготовки снимают защитную бумажную оклейку, очищают плоскости стекла от остатков клея, тщательно промыв теплой водой, и насухо протирают с обеих сторон.
5.11. Разогрев заготовки перед формованием целесообразно производить при помощи электрокаминов с инфракрасными излучателями. Оптимальное расстояние от источников нагрева до заготовки определяется экспериментально, однако оно должно быть не менее 150 мм. Продолжительность нагрева заготовок до температуры формования зависит от вида и толщины органического стекла и устанавливается опытным путем.
5.12. Для более равномерного распределения температуры по плоскости листа рекомендуется перед установкой заготовок на машину нагревать зажимные рамы до температуры 50 - 70 °C.
5.13. При нагреве заготовок особое внимание следует уделять прогреву участков, расположенных в углах зажимных рам. Непрогрев их может привести к разрыву заготовки при формовании. Поступление тепла от нагревателей должно быть отрегулировано таким образом, чтобы перепад температур между наибольшим отклонением и средним значением по всей площади заготовки не превышал 5%.
5.14. Сжатый воздух для формования изделий целесообразно подавать через ресивер, оборудованный устройством для поддержания давления, не ниже 2 ати.
5.15. При применении листов органического стекла сорта ПА или ПБ оптимальная температура формования составляет 120 - 140 °C. Температура листа в конце формовки должна быть не ниже 110 °C, а температура воздуха в помещении, где производится формование, не ниже 20 °C.
5.16. Изделия из органического стекла необходимо охлаждать на машине до температуры 60 - 80 °C, после чего разрешается ослаблять прижимные приспособления. Снимать изделия с машины рекомендуется при температуре не выше 45°.
5.17. Отформованное изделие рекомендуется охлаждать при помощи вентиляторов, устанавливаемых над плоскостью зажимной рамы, а также сжатым воздухом, подаваемым через гибкие шланги.
5.18. Соответствие формы и размеров готовых изделий из органического стекла проектным проверяют по шаблонам и в случае несоответствия разрешается переформовка изделия до 2 - 3 раз.
5.19. Многослойные светопропускающие элементы из органического стекла склеивают из отдельных оболочек полимеризационным клеем. Клеевой шов должен быть непрерывным шириной, не менее предусмотренной рабочими чертежами.
Для склеивания оболочек рекомендуется применять клей АСТ-Т (акрилат самотвердеющий технический), представляющий собой термопластичный материал, твердеющий при комнатной температуре.
В состав клея входят (в вес. частях)
порошок: | |
полимер (полиметилметакрилат) | 194 |
катализатор (перекись бензоила) | 3 |
пигмент (окись цинка) | 3 |
жидкость: | |
мономер (метилметакрилат) | 97 |
отвердитель (диметиланилин) | 3 |
При изготовлении клея порошок и жидкость тщательно перемешивают в стеклянной или металлической посуде и оставляют для набухания на 10 - 12 мин. Полученную загустевшую однородную массу клея следует использовать немедленно, в противном случае клей, продолжая быстро густеть, теряет свойство адгезии. Полимеризация клея при температуре 10 - 20° продолжается 15 - 20 мин.
5.20. Склеиваемые многослойные светопропускающие элементы обрезают на специальном столе по контуру до проектных размеров.
5.21. Воздушную полость между слоями многослойного элемента следует осушать. Для этого в углах нижнего слоя просверливают два отверстия диаметрами 5 - 6 мм и продувают воздушную полость сухим воздухом, после чего между слоями засыпают прокаленный силикагель (5 г/м2) и заклеивают отверстия.
5.22. Шайбы наклеивают на опорные площадки светопропускающих элементов с помощью полимеризационного клея.
5.23. Отверстия для крепления в светопропускающих элементах из органического стекла сверлят на станках или ручными электродрелями, при этом рекомендуется использовать спиральные сверла с углом наклона винтовой канавки

и полированными каналами под стружку. Сверла должны иметь угол заточки

.
Сверление без охлаждения допускается только в отдельных случаях. Для охлаждения сверла и обрабатываемого изделия следует применять 5-процентный раствор эмульсола или нейтрального мыла. При сверлении на станке обязательно применение подкладки из дерева твердой породы с гладко обработанными поверхностями.
5.24. Светопропускающие элементы из органического стекла должны удовлетворять следующим требованиям:
а) соответствовать проектным размерам;
б) воздушная прослойка между наружным и внутренним слоем быть герметичной;
в) на поверхности недопустимы трещины, царапины, "серебро" и пузыри.
5.25. При приемке готовых многослойных светопропускающих элементов проверяют их внешний вид, соответствие формы и размеров проектным, прочность, жесткость и герметичность.
5.26. Прочность элементов из органического стекла контролируется сосредоточенной нагрузкой 120 кг, приложенной по вертикали на площади 100 см2. После снятия нагрузки в элементах не должно быть трещин и остаточных деформаций. Контролю подвергаются 5% от общего числа элементов.
5.27. Способы транспортирования светопропускающих элементов из органического стекла должны исключать появление на их поверхности царапин и потертостей.
5.28. Светопропускающие элементы из органического стекла рекомендуется перевозить в вертикальном положении. При упаковке между элементами должны быть проложены прокладки, а сами элементы установлены на упругие полосы из резины и жестко укреплены рейками и распорками. Запрещается при транспортировании укладывать элементы один на другой.
6. Монтаж зенитных фонарей со светопропускающими элементами из органического стекла
6.1. При устройстве зенитных фонарей со светопропускающими элементами из органического стекла необходимо соблюдать требования действующих технических условий на производство и приемку строительных и монтажных работ.
6.2. Изменение проектных решений отдельных узлов зенитных фонарей при монтаже конструкций возможно только при условии согласования с проектной организацией.
6.3. Монтаж зенитных фонарей должно выполнять специализированное звено рабочих.
6.4. Все рабочие, монтирующие светопропускающие элементы зенитных фонарей, должны усвоить правила обращения с органическим стеклом.
6.5. Монтаж конструкций зенитных фонарей выполняют в следующем порядке:
а) установка и крепление стаканов к несущим конструкциям покрытия;
б) пароизоляция стыков;
в) утепление стаканов;
г) устройство основания под рулонную кровлю;
д) наклейка гидроизоляционного ковра;
е) установка опорных рам, закрепление их на стакане и заделка зазоров между рамой и гидроизоляционным ковром;
ж) установка фартуков из оцинкованной стали;
и) монтаж светопропускающих элементов зенитных фонарей.
Все указанные работы, за исключением п. "и", выполняют одновременно с работами по устройству покрытия.
6.6. Стаканы устанавливают на цементно-песчаном растворе М-50 и крепят к несущим конструкциям с помощью сварки через закладные детали.
6.7. Внутренние грани стаканов следует окрашивать в белый цвет, а на наружные плоскости наносить антикоррозийное покрытие.
6.8. Стенки стаканов утепляют жесткими и полужесткими плитными теплоизоляционными материалами с объемным весом не более 300 кг/м3, отвечающими требованиям действующих стандартов и технических условий. Все зазоры тщательно заполняют утеплителем - крошкой на толщину теплоизолирующего слоя. Для выполнения заданного уклона наружных откосов опорных элементов разрешается применять сыпучий материал с объемным весом не более 800 кг/м3.
6.9. Основания под рулонную кровлю по периметру откосов стаканов выполняют в виде стяжки толщиной 25 мм из литого песчаного асфальтобетона прочностью на сжатие при температуре 30 °C не ниже 8 кг/см2.
6.10. Асфальтовую стяжку укладывают по специальным шаблонам в соответствии с геометрическими размерами наружных откосов.
6.11. Гидроизоляционный ковер в местах примыкания к стакану прижимают опорной рамой. Зазоры между гидроизоляционным ковром и рамой тщательно заделывают просмоленной паклей.
6.12. Фартук из оцинкованной стали монтируют после устройства рулонной гидроизоляции и закрепления опорной рамы.
6.13. Светопропускающие элементы монтируют после окончания всех других видов работ по устройству зенитных фонарей и кровли. Производство кровельных работ при установленных светопропускающих элементах не разрешается.
6.14. Светопропускающие элементы из органического стекла, поставляемые на строительство оклеенными бумагой, остаются в такой упаковке до момента установки их на опорную раму зенитного фонаря.
6.15. Монтаж светопропускающих элементов из органического стекла должен исключать повреждение их поверхностей.
6.16. Запрещается загрязнять поверхность светопропускающих элементов гидроизоляционной мастикой. При случайном попадании ее следует снять с поверхности элемента ватным тампоном, смоченным в бензине.
6.17. Случайные царапины и потертости на поверхности светопропускающих элементов из органического стекла следует устранять. Для этого сначала поверхность изделия промывают хлопчатобумажной тканью и протирают сухой мягкой байкой. Затем поврежденные места шлифуют наждачными шкурками с различной крупностью зерен до удаления следов крупных царапин и получения равномерной матовой поверхности. Подготовленную поверхность полируют специальной пастой до появления глянца.
6.18. При выполнении всех работ по устройству зенитных фонарей необходимо соблюдать соответствующие правила техники безопасности.
6.19. Работы по монтажу зенитных фонарей контролируются инженерно-техническим персоналом строительства, авторским надзором и технадзором заказчика.
6.20. Представители технадзора должны составлять акты на промежуточные скрытые работы, содержащие данные о их качестве и примененных материалах.
6.21. Сдача законченных работ по устройству зенитных фонарей должна оформляться актом приемной комиссии, в котором фиксируется соответствие выполненных работ проектным решениям.
7. Эксплуатация зенитных фонарей со светопропускающими элементами из органического стекла
7.1. Зенитные фонари со светопропускающими элементами из органического стекла в процессе эксплуатации требуют бережного обращения и тщательного ухода. Какие-либо ремонтные, транспортные и т.п. работы на кровле без ограждения зенитных фонарей запрещаются. Такие зенитные фонари следует эксплуатировать с учетом специфических особенностей и небольшой поверхностной твердости органического стекла.
7.2. Допуск на кровлю с установленными зенитными фонарями должен быть строго ограничен и контролироваться лицами, ответственными за эксплуатацию здания.
7.3. Не реже двух раз в год (весной и осенью) следует производить осмотр зенитных фонарей, особенно светопропускающих элементов. Выявленные при этом поврежденные элементы должны быть заменены новыми и с этой целью рекомендуется иметь аварийный запас светопропускающих элементов в количестве 3% от числа установленных.
7.4. Не реже двух раз в год светопропускающие элементы зенитных фонарей необходимо очищать от пыли и грязи путем промывки их поверхностей теплой водой с небольшим количеством синтетических стиральных порошков.
7.5. Светопропускающие элементы запрещается протирать органическими растворителями (ацетоном, дихлорэтаном и т.п.).
7.6. Во избежание повреждений зенитных фонарей скалывание наледей и уборка смерзшегося снега с поверхности светопропускающих элементов не допускаются. Рыхлый снег следует очищать только деревянными лопатами.
7.7. При незначительных механических повреждениях светопропускающие элементы можно ремонтировать, проклеивая трещины полимеризационным клеем АСТ-Т, а сквозные пробоины небольшой площади (до 25 см2) - заклеивая органическим стеклом.
Клеевой шов вокруг пробоин должен быть непрерывным шириной не менее 10 мм.
СТАТИЧЕСКИЙ РАСЧЕТ СВЕТОПРОПУСКАЮЩЕГО ЗАПОЛНЕНИЯ
Пример. Определить предельную величину снеговой нагрузки на светопропускающий элемент зенитного фонаря точечного типа с размерами в плане a = 120 см и b = 140 см, стрелой подъема f = 50 см и толщиной d = 0,4 см, если температура конструкции 0 °C.
В
табл. 4 находим максимальные по абсолютной величине значения единичных усилий:
а) для точки с координатами x = 0,15a, y = 0,30b

и для точки с координатами x = 0,30a, y = 0,15b

;
б) для точки с координатами x = 0,30a, y = 0

и для точки с координатами x = 0, y = 0,30b

;
в) для точки с координатами x = 0,25a, y = 0,25b

.
По табл. 11 и 12 "Указаний по проектированию и расчету строительных конструкций с применением пластмасс" находим, что при температуре 0 °C расчетные сопротивления органического стекла Rр = 180 кг/см2, Rс = 280 кг/см2 и Rср = 168 кг/см2.
Используя приведенные выше табличные данные и формулы, находим предельную величину снеговой нагрузки:
а) из условия наибольших растягивающих напряжений
б) из условия наибольших сжимающих напряжений
в) из условия наибольших касательных напряжений
Таким образом, предельная величина снеговой нагрузки на светопропускающий элемент определяется из условия наибольших растягивающих напряжений и составляет 685 кг/м2.
КЛЕИ, ПРИМЕНЯЕМЫЕ ПРИ ОКЛЕИВАНИИ БУМАГОЙ ГОТОВЫХ ЭЛЕМЕНТОВ
ИЗ ОРГАНИЧЕСКОГО СТЕКЛА
I. Казеино-глицериновый клей
1. Рецептура (в вес. ч.):
казеиновый клей (в порошке) | 100 |
глицерин дистиллированный (II сорта, текстильный) | 40 |
вода | 200 |
2. Соответствующее количество порошка и воды при комнатной температуре тщательно перемешивают в течение 30 - 40 мин до получения однородной массы, затем добавляют глицерин и опять тщательно перемешивают.
Примечания: а) при наличии механических примесей и нерастворимых комков приготовленный клей фильтруют через двойной слой марли;
б) клей пригоден для употребления только в течение 3 - 4 часов с момента его приготовления;
в) применяемые для клея кисти и склянки (стеклянные или фарфоровые стаканы), эмалированные и луженые металлические кружки следует содержать в чистоте, а находящийся в них клей предохранять от загрязнений.
II. Желатино-глицериновый клей
1. Рецептура (в вес. ч.):
желатин технический | 100 |
глицерин дистиллированный (II сорта, текстильный) | 50 |
бензойная или салициловая кислота | 0,5 |
вода | 150 |
2. В соответствующем количестве воды растворяют бензойную или салициловую кислоту и глицерин, затем засыпают желатин. Смесь, тщательно перемешав, оставляют на 2 - 3 часа для набухания. Затем, перемешивая, нагревают ее до 60 - 70° и при этой температуре выдерживают 40 - 60 мин, время от времени помешивая.
Примечания: а) сосуд с клеевым раствором нагревают на водяной бане с температурой воды 80 - 100°;
б) после охлаждения при наличии механических примесей клей фильтруют через двойной слой марли;
в) перед употреблением клей нагревают до 40°;
г) клей хранят в закрытой посуде, на которую наклеен ярлык с указанием даты изготовления. Клей пригоден к употреблению в течение одного месяца.
III. Глюкозно-крахмальный клей
1. Рецептура (в вес. ч.):
крахмал картофельный (или пшеничный | 50 45) |
глюкоза чистая или техническая | 62 |
глицерин (II сорта, текстильный) | 100 |
бензойная или салициловая кислота | 0,5 |
2. В соответствующем количестве воды, нагретой до 50 - 60°, растворяют при перемешивании глюкозу и бензойную кислоту. Затем отдельно приготовляют однородную смесь из крахмала с глицерином и, добавив в нее раствор глюкозы и бензойной кислоты, доводят при температуре 70 - 80°, непрерывно помешивая, до клееобразного состояния полупрозрачной почти бесцветной массы.
Примечания: а) при наличии посторонних включений и комков клей фильтруют через двойной слой марли;
б) клей хранят в закрытой посуде, на которую наклеивают ярлык с указанием даты изготовления;
в) клей пригоден для употребления в течение 1 месяца.
ВРЕМЕННЫЕ ТЕХНИЧЕСКИЕ УСЛОВИЯ
НА ПОСТАВКУ ДВУХСЛОЙНЫХ КУПОЛОВ ИЗ ОРГАНИЧЕСКОГО СТЕКЛА
(утверждены дирекцией завода-изготовителя
и руководством ЦНИИПромзданий)
1. Определение и назначение
1.1. Изделия из органического стекла, выполненные в виде двухслойных куполов, разработанных ЦНИИПромзданий (чертежи серии 1.464-1, выпуск 1), предназначаются для верхнего естественного освещения промышленных зданий.
2. Технические требования
2.1. Изделия изготовляют методом свободного выдувания заготовки на пневмоформовочной машине.
2.2. Физико-механические показатели органического стекла, применяемого для изготовления изделий, должны удовлетворять требованиям СТУ 1210-374-65 марок ПА и ПБ.
2.3. По внешнему виду, форме и обработке изделия должны соответствовать эталонам, согласованным заводом-изготовителем с заказчиком.
2.4. Конструкции и размеры изделий должны соответствовать принятым чертежам.
2.5. Допускаются следующие отклонения габаритных размеров изделий от проектных:
длина  |
ширина  |
высота +/- 10 мм |
2.6. Верхний и нижний слой двухслойного купола должны быть склеены полимеризационным клеем любой марки, обеспечивающим достаточную прочность соединения: клеевой шов в местах соединения элементов должен быть непрерывным. Шайбы следует наклеивать на опорные площадки двухслойных куполов полимеризационным клеем.
2.7. В воздушную полость между слоями купола должен быть засыпан прокаленный силикагель (5 - 7 г), затем полость следует герметизировать.
2.8. Допускаются:
на поверхности стекла
а) дефекты согласно СТУ 1210-374-65;
б) заполированные царапины;
на опорных площадках
а) "серебро";
б) неравномерность клеевого шва;
в) смещение шайб с допуском на расстояния между ними:
по длине - +/- 20 мм, ширине - +/- 5 мм;
г) воздушные пузыри в клеевом шве.
3. Правила приемки
3.1. Купола сдаются партиями.
3.2. Партией считаются изделия, поставляемые по одной накладной, но не более 20 шт.
3.3. Внешнему осмотру на заводе-изготовителе для определения состояния поверхности подлежат 100% изделий.
3.4. Проверке размеров подвергаются 10% изделий.
4. Методы контроля
4.1. Соответствие внешнего вида изделий требованиям настоящих ТУ проверяется путем наружного осмотра невооруженным глазом.
4.2. Размеры изделий проверяются любым инструментом, обеспечивающим точность измерения в пределах указанных допусков.
4.3. Герметичность воздушной прослойки проверяется путем погружения изделия в ванну с холодной водой.
5. Упаковка, транспортирование
5.1. Изделия, оклеенные бумагой, транспортируются в контейнерах или специальных ящиках. При оклейке допускаются складки и морщины бумаги.
5.2. Каждое изделие сопровождается паспортом ОТК завода-изготовителя, который крепится к опорной площадке. В паспорте указаны:
а) завод-изготовитель;
б) номер партии;
в) дата упаковки;
г) фамилия упаковщика;
д) штамп ОТК.
6. Хранение
6.1. Изделия должны храниться в закрытом складском помещении на расстоянии не менее 1 м от нагревательных приборов.
В настоящие "Рекомендации по применению зенитных фонарей со светопропускающими элементами из органического стекла" не вошли ограничения области применения зенитных фонарей по пожарной опасности, регламентированные ГУПО МВД СССР и изложенные в "Бюллетене строительной техники", 1970, N 2, стр. 18 - 19, а также в работе ЦНИИПромзданий "Зенитные фонари для естественного освещения промышленных зданий", серия 1.464-1, выпуск 0 (распространяется Центральным институтом типовых проектов).
В связи с этим при проектировании естественного освещения зданий с помощью зенитных фонарей необходимо руководствоваться требованиями ГУПО МВД СССР, а приведенные на
рис. 14,
15,
16 и
17 настоящих "Рекомендаций" примерные схемы расположения зенитных фонарей в покрытии следует корректировать с учетом установленных противопожарных ограничений.