Главная // Актуальные документы // Актуальные документы (обновление 2025.01.06-2025.02.01) // Методические указанияСПРАВКА
Источник публикации
М., 1988
Примечание к документу
Название документа
"Методические указания по нормализации электромагнитной обстановки в местах размещения двухканальных метеорологических РЛС"
(утв. Минздравом СССР 05.03.1988 N 4562-88)
"Методические указания по нормализации электромагнитной обстановки в местах размещения двухканальных метеорологических РЛС"
(утв. Минздравом СССР 05.03.1988 N 4562-88)
Утверждаю
Заместитель Главного
государственного врача СССР
А.И.ЗАИЧЕНКО
5 марта 1988 г. N 4562-88
Согласовано
ВРИО начальника Управления
гидрометеорологической сети
и информации Госкомгидромета
И.Р.ГАМАЮНОВ
22 января 1988 года
МЕТОДИЧЕСКИЕ УКАЗАНИЯ
ПО НОРМАЛИЗАЦИИ ЭЛЕКТРОМАГНИТНОЙ ОБСТАНОВКИ В МЕСТАХ
РАЗМЕЩЕНИЯ ДВУХКАНАЛЬНЫХ МЕТЕОРОЛОГИЧЕСКИХ РЛС
Методические указания разработаны: Киевским научно-исследовательским институтом общей и коммунальной гигиены им. А.Н. Марзеева; соисполнители: Главная геофизическая обсерватория им. А.И. Воейкова; Главное санитарно-эпидемиологическое управление Минздрава СССР, Госкомгидромет СССР.
Методические указания составили: д.м.н., проф. Ю.Д. Думанский, к.м.н., Н.Г. Никитина, к.т.н. Д.С. Иванов, ст. инж. Биткин, Г.Г. Щукин, И.А. Фогель, В.К. Устинов, М.Т. Абшаев, Г.В. Брылев, А.С. Пероцкая.
Рецензент: к.б.н., И.П. Лось.
Председатель экспертной комиссии: академик АМН СССР, проф. М.Г. Шандала.
Методические указания предназначены для врачей санитарно-эпидемиологических станций (СЭС), осуществляющих предупредительный и текущий надзор за метеорологическими комплексами и аэрологическими станциями, а также служб: метеорологической, аэрологической, связи и электронавигации, техники безопасности.
Настоящие "Методические указания..." распространяются на метеорологические РЛС системы Госкомгидромета.
1.1. Среди широко распространенных радиолокационных средств, применяемых в метеорологии, важная роль отводится двухканальным метеорологическим радиолокаторам типа МРЛ-5. Отличительной особенностью этих радиолокаторов является то, что они производят излучение электромагнитной энергии с одновременным использованием двух несущих частот, т.е. каждый из двух каналов работает на своей частоте.
1.2. Степень воздействия электромагнитного поля (ЭМП) на организм зависит от частоты, уровня и режима облучения. В настоящих "Методических указаниях..." рассматривается регламентация двухканальных двухчастотных радиолокационных станций (РЛС) различной модификации и режима излучения. Модификация обусловливается используемыми частотами, а режимы - выполняемыми задачами и технологией использования радиолокационных средств.
Особенностью режимов является то, что диаграммы направленности антенн (ДНА) каналов РЛС могут быть одинаковыми и совпадающими в пространстве или неодинаковыми, несовпадающими в пространстве; другой характерной особенностью метеорологических РЛС является цикличность работы на излучение (в среднем 30 мин. излучение, 30 мин. пауза, время наработки в сутки, как правило, не более 12 часов из них на излучение не превышает 6 часов.
1.3. Облучение объекта происходит в тот момент, когда на него направлены лучи РЛС. Вращение антенны или ее сканирование в секторе обусловливает пространственную прерывистость облучения. Количественно пространственная прерывистость характеризуют коэффициентом пространственной прерывистости Кпр.

,
где

- ширина диаграммы направленности антенны по половинной мощности в горизонтальной плоскости, град.
Цикличность излучения принято характеризовать коэффициентом временной прерывистости Квр.

,
где: tp - время наработки РЛС в сутки, час;
tизл. - длительность работы РЛС на излучение в сутки, час.
1.4. Прерывистость уменьшает суммарное время облучения, чем ослабляет биологическое действие ЭМП, одновременно она является дополнительным фактором воздействия. В комбинированном двухчастотном ЭМП энергия облучения обоих каналов накладывается, что ведет к неравноценному по сравнению с одночастотным излучением биологическому эффекту. Это потребовало разработки новых подходов к регламентации таких полей и их источников. В настоящих Методических указаниях регламентация комбинированных двухчастотных полей рассматривается впервые.
1.5. Уровень интенсивности ЭМП двухканальных РЛС оценивается так же, как и одноканальных РЛС, поверхностной плотностью потока энергии (ППЭ). Единицей измерения ППЭ имеет размерность ватт деленный на квадратный метр - Вт/м2 (1 Вт/м2 = 0,1 мВт/см2 = 100 мкВт/см2).
2. Предельно допустимые уровни ЭМП, создаваемых
двухканальными метеорологическими РЛС для населения.
2.1. Значения предельно допустимых уровней ППЭ, создаваемые двухчастотными (двухканальными) РЛС для отличающихся режимов излучения, т.е. при совпадающих, равных и несовпадающих, неравных диаграммах направленности антенн каналов будут различными. Кроме того значения ПДУ будут изменяться с изменением отношения энергетических потенциалов qi/j для i/j-го оцениваемых каналов РЛС:
где: Pср - средняя мощность излучения по данному каналу;
G - коэффициент усиления антенны;

- потери в антенно-фидерном тракте на передачу;

- нормированная ДНА;

- угол облучения, образуемый направлением максимума излучения и направлением на расчетную точку.
2.2. Во всех случаях ППЭ, создаваемые каждым из каналов двухканальной РЛС одновременно не должны превышать ПДУ, установленных для этих каналов и режимов работы при их совместном излучении; значения ПДУ приведены в
таблице 2.1.
Предельно допустимые уровни ППЭ, создаваемых двухканальными
метеорологическими РЛС, для населения, мкВт/см2
Таблица 2.1
Характеристика режима | Используемые волны в каналах, см | На волне, см | Скорость вращения антенны не более об/мин. | Кпростр. |
0,8 | 3 | 10 |
Совпадающие ДНА (режим градозащиты РЛС типа МРЛ-5) | | - | 10 | 25 | 6 | 240 +/- 15% |
Несовпадающие ДНА. q10/0,8 = 0,4, в максимуме излучения | | 50 | | 25 | 6 | 2000 +/- 15% на  240 +/- 15% на  |
--------------------------------
<*> Индексы у
q указывают длину волны канала при вычислении энергетических потенциалов
2.3. В случаях, когда отношение энергетических потенциалов оцениваемых каналов, значительно отличается от приведенных в
таблице 2.1, ПДУ следует определять по графикам
(рис. 2.1) или расчетным путем по следующим зависимостям:
для используемых волн

ПДУ08/10 = 140 - 3,767 ПДУ10/08 + 0,0067(ПДУ10/08)2,

,
для используемых волн

ПДУ3/10 = 30 - 0,883 ПДУ10/3 + 0,0033 (ПДУ10/3)2,

,
Индексы у ПДУi/j указывают в числителе (слева) i - длину волны электромагнитного излучения, к которому относится значение норматива, в знаменателе (справа) j - длину волны сопутствующего излучения.
Взаимозависимость ПДУ двухканальных метеорологических РЛС
Рис. 2.1
2.4. При совпадающих ДНА, т.е. при неизменности в пространстве отношения энергетических потенциалов (
q =
const) состояние электромагнитной обстановки (ЭМО) определяется путем одновременной оценки неравенств: если
ППЭ3 <= ПДУ3/10 = 10
ППЭ10 <= ПДУ10/3 = 25, то ЭМО благополучная,
где ППЭi - плотность потока энергии на i волне; во всех иных случаях ЭМО не благополучная.
В случае несовпадающих ДНА, т.е. при несоблюдении постоянства отношения потенциалов (q /= const) в пространстве состояние ЭМО определяется по одновременной оценке неравенств: если
ППЭ08 <= ПДУ08/10 = 50
ППЭ10 <= ПДУ10/08 = 25, то ЭМО благополучная;
или по измеренному значению уровня ЭМП
08, создаваемого восьмимиллиметровым каналом ППЭ
08, приняв его за ПДУ
08/10 (ПДУ
08/10 = ППЭ
08), по графику
(рис. 2.1) находят ПДУ
10/08. Если при этом измеренное значение ППЭ
10 <= ПДУ
10/08, найденного по графику, то ЭМО благополучная; во всех иных случаях ЭМО не благополучная.
Оценка электромагнитной обстановки может быть проведена путем расчета коэффициента регламента

.
При этом, если Крегл. <= 1, то ЭМО благополучная, если Крегл > 1 - не благополучная. Санитарно-защитная зона устанавливается по значению Крегл. = 1, в пределах санитарно-защитной зоны Крегл. > 1, вне ее Крегл. < 1.
В отдельных случаях при текущем санитарном надзоре допускается оценку уровней ЭМП, создаваемого двухканальными РЛС, проводить по одному из значений ПДУ:
при совпадающих ДНА по ПДУ3/10 или ПДУ10/3,
при несовпадающих ДНА по ПДУ10/08.
3. Методика расчета ППЭ электромагнитного поля
создаваемой двухканальной метеорологической РЛС
3.1. Настоящая методика предназначена для расчета значения ППЭ ЭМП, создаваемого двухканальной метеорологической РЛС. Расчет ППЭ производится с целью прогнозирования и оценки уровней ЭМП при выборе мест размещения РЛС, а также при построении санитарно-защитной зоны и зоны ограничения застройки и в других случаях обеспечения санитарного надзора.
3.2. Расчет ППЭ с достаточной для гигиенической практики точностью производится с помощью соотношений, действительных в дальней зоне. Дальняя зона определяется удалением ее границы от источника излучения Rq:
а) для круглой апертуры антенны с равномерным возбуждением
б) для круглой апертуры антенны со спадающим к краям возбуждением

где Д - диаметр апертуры антенны, м;

- длина волны, м.
3.3. Плотность потока энергии канала рассчитывается по формуле

(3.1)

, (3.2.)

, (3.3)
где Pср - средняя мощность канала, вт;
Pи - импульсная мощность канала, вт;
Fп - частота повторения импульсов, Гц;

- длительность импульса, с;

- потери в антенно-фидерном тракте на передачу (в долях единицы);

- нормированная диаграмма направленности антенны (в вертикальной плоскости);
G - коэффициент усиления антенны;
R - дальность до точки облучения (до расчетной точки);

- угол, образуемый линией горизонта, проведенной через центр излучения антенны, и направлением на объект облучения или на расчетную точку (вниз со знаком "плюс" и вверх со знаком "минус");

- угол места максимума излучения;
Ф - множитель, учитывающий влияние земли.
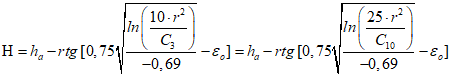
3.4. Значение угла

определяется из выражения (см.
рис. 3.1)
где hа - высота антенны (центра излучения антенны);
H - высота точки облучения;
r - горизонтальная дальность от основания антенны до основания расчетной точки.
К расчету угла

Рис. 3.1
3.5. Учет влияния земли при расчете ППЭ производится по приближенному значению Ф. Его значение принимается равным:
для восьмимиллиметрового канала Ф = 1,1;
для трехсантиметрового канала Ф = 1,7,
для десятисантиметрового канала Ф = 1,5.
3.6. При расчете ППЭ используются диаграммы направленности антенн каналов. В случае их отсутствия проводят аппроксимацию с использованием известного значения их ширины по половинной мощности. Для аппроксимации главного луча диаграммы направленности до уровня бокового лепестка обычно используют кривую Гаусса
| | ИС МЕГАНОРМ: примечание. Нумерация формул дана в соответствии с официальным текстом документа. | |

(3.5)
где

- половина ширины диаграммы направленности.
В качестве уровней боковых лепестков ДНА принимается:
для 8 мм канала a8 = -9,2 дБ (0,12),
для 3 см канала a3 = -23 дБ (5·10-3),
для 10 см канала a10 = -25 дБ (3,16·10-3).
Угловое отклонение от максимума ДНА, начиная с которого ее описание принимается по уровню бокового лепестка, определяется из соотношения

.
Отсюда получим:

,

(режим градозащиты МРЛ-5)

(режим штормового оповещения МРЛ-5)

.
Пример. Требуется рассчитать ППЭ, создаваемую каналами МРЛ-5 в зависимости от дальности (в режиме градозащиты).
Исходные параметры для расчета ППЭ
Таблица 3.1.
Параметры | Pи, вт | F, Гц |  , с | p | G | Ф |  град | hа, м |  , град |
3 см канал | 250·103 | 250 | 2·10-6 | 0,59 | 104 | 1,7 | 1,5 | 12 | -0,5 |
10 см канал | 800·103 | 250 | 2·10-6 | 0,645 | 7943 | 1,5 | 1,5 | 12 | -0,5 |
Расчет проводим для H = 2 м. Средняя мощность определяется по
формуле (3.3)
Для канала 3 см: Pср.3 = 250·103·250·2·10-6·0,59 = 73,75 вт,
для канала 10 см: Pср.10 = 800·103·250·2·106·0,645 = 258 вт.

.
При

было бы необходимо ППЭ рассчитывать по уровню боковых лепестков, так как

, а именно 2·29° > 2·08°. В этом случае подставив параметры на дальности
R = 250 м, получили бы
В условиях примера

, т.е. значение

а именно


,
для канала 10 см:

.
Результаты расчета ППЭ, создаваемой МРЛ-5
Таблица 3.2
r, м | 250 | 500 | 750 | 1000 | 1250 | 1500 |
 , град. | 2,29 | 1,146 | 0,764 | 0,573 | 0,458 | 0,382 |
 град | 1,79 | 0,646 | 0,264 | 0,073 | -0,042 | -0,618 |
| 0,0196 | 0,599 | 0,918 | 0,993 | 0,998 | 0,626 |
ППЭ3 мкВт/см2 | 3,1 | 24 | 16,4 | 9,96 | 6,3 | 2,8 |
ППЭ10 мкВт/см2 | 7,7 | 59 | 40,1 | 24,4 | 15,7 | 6,8 |
Из данных расчета
(табл. 3.2) следует, что на дальности
r = 1000 м уровень ППЭ практически равен ПДУ
3/10 соответственно, что позволяет для рассматриваемого режима градозащиты и этого варианта размещения принять удаление границы санитарно-защитной зоны равным
rсзз = 1000 м.
В ближней примыкающей к РЛС зоне расчетные значения определяются с ошибкой, которая увеличивается с уменьшением дальности.
4. Методика измерений ППЭ, создаваемой двухканальной РЛС.
4.1. Инструментальные измерения проводятся с целью уточнения расчетных распределений ППЭ на местности с учетом реальных условий расположения местных предметов и размещения РЛС, а также при оценке электромагнитной обстановки и в других случаях.
4.2. Из-за непредсказуемого характера влияния на распространение радиоволн различной длины, свойств подстилающей поверхности измерения проводят раздельно ППЭ, создаваемой каждым из каналов. При этом возможно нарушение постоянства отношения

по сравнению с расчетным.
4.3. Измерения производятся:
на этапе предупредительного санитарного надзора - при приемке радиотехнического объекта (РТО) в эксплуатацию;
на этапе текущего санитарного надзора - при изменении технических характеристик или режимов работы РЛС (мощности излучения, антенно-фидерного тракта, антенны, секторов излучения и т.п.);
при изменении ситуационных условий размещения РТО (перенос антенны на другое место, изменение ее высоты, угла места максимума излучения, застройки прилегающей территории и т.п.);
после проведения защитных мероприятий, направленных на снижение уровней ЭМП;
в порядке плановых контрольных измерений (не реже одного раза в год).
4.4. При подготовке к проведению измерений проводятся следующие работы.
4.4.1. Согласование с ответственным представителем РТО даты, времени и условий проведения измерений.
4.4.2. Рекогносцировка района проведения измерений. При этом производится выбор трасс (маршрутов) и площадок для проведения измерений. Число трасс определяется рельефом местности, прилегающей к объекту. При установлении санитарно-защитной зоны (СЗЗ) выбирается несколько трасс, при текущем контроле, когда характеристики станции и условия ее эксплуатации остаются неизменными, измерения могут проводится по одной характерной трассе или по границе СЗЗ. При выборе трасс учитывается характер прилегающей местности (рельеф, растительный покров, застройка и т.п.). В зависимости от этих особенностей район, прилегающий к РЛС, разбивается на сектора. В каждом секторе выбирается радиальная относительно РЛС трасса. К трассе предъявляются следующие требования:
трасса должна быть открытой, а все площадки, на которых намечается проведение измерений, должны иметь прямую видимость с антенной станции; вдоль трассы в пределах главного лепестка диаграммы направленности (до первого бокового лепестка) не должно быть переизлучателей (металлических конструкций и сооружений, мачт, заводских труб, линий электропередачи и т.п.) и других затеняющих местных предметов;
наклон трассы должен быть минимальным из возможных трасс в этом секторе;
трасса должна быть доступной для автотранспорта, если используется автомобиль, или для пешего передвижения с аппаратурой измерения;
протяженность трассы
l определяется, исходя из рассчитанного удаления границы СЗЗ
Lсзз и глубины зоны ограничения застройки
Lзоз,

.
Площадка для измерений должна быть открытой, в радиусе до 10 м должны отсутствовать местные предметы, при этом из любой ее точки должна обеспечиваться прямая видимость с антенной.
Измерения рекомендуется проводить с интервалом не более 25 м при удалении до

от РЛС, с интервалом

при удалении от

до 500 - 1000 м, при удалении свыше 1 км интервал может составлять 100 м и более. Вблизи границы СЗЗ интервал рекомендуется сократить до

.
4.4.3. Организация связи между членами группы измерений. Для обеспечения взаимодействия между оператором РЛС и группой измерения организуется связь. Для этого целесообразно использовать переносные радиостанции, при их отсутствии организуется сигнальная связь с помощью флажков.
4.4.4. Обеспечение измерения дальности. Для измерения дальности используется теодолит, бусоль, мерная лента, при больших расстояниях допускается измерение проводить с помощью спидометра автомобиля или другие доступные способы.
4.4.5. Определение необходимости использования средств индивидуальной защиты. Пребывание членов группы измерений в зоне облучения регламентируется
ГОСТ 12.1.006-84. При необходимости используются индивидуальные средства защиты (защитные костюмы, очки).
4.4.6. Подготовка измерительных приборов. Для измерений используются только исправные, прошедшие госповерку приборы. Перед началом работ проверяется готовность приборов к измерению.
4.5. На этапе проведения измерений рекомендуется следующий порядок работы.
4.5.1. Развертывание и подготовка прибора к работе. Развертывание и подготовка к измерениям проводится согласно порядку, указанному в техническом описании к прибору.
4.5.2. Перевод РЛС в режим измерения. Измерения производятся при остановленном вращении (сканировании) антенны на минимальном рабочем угле места максимума излучения.
4.5.3. Совмещение максимума излучения с направлением на измерительную антенну в горизонтальной плоскости. Наведение антенны РЛС в направлении на измерительную антенну рекомендуется осуществлять с помощью теодолита (бусоли), который устанавливается в центре площадки измерения и наводится вертикальной визирной линией на электрический центр антенны РЛС. Затем медленным вращением антенны РЛС добиваются совмещения визира теодолита с нормировочными отметками зеркала (облучателя) антенны.
4.5.4. Поиск положения отсчета. На место размещения оптической части теодолита помещается измерительная антенна, ориентированная в сторону РЛС. Затем измерительная антенна перемещается по вертикали (плоскость антенны и ее ориентация удерживаются неизменными) в пределах от 0,3 до 2 м до получения максимального показания. В этом положении путем медленного поворота измерительной антенны последовательно в горизонтальной и вертикальной плоскости (в пределах

), а также путем поворота антенны относительно ее продольной оси находят максимальное показание прибора. Найденное в результате максимальное значение принимается за отсчет значения прибора.
Примечание. При измерении с помощью изотропной антенны поиск максимума вращением антенны не производится.
4.5.5. Усреднение результатов измерений. В каждой точке производят не менее трех независимых измерений ППЭ. За результат измерения принимается среднее арифметическое отсчетов.
4.5.6. Измерения, как правило, в каждой точке проводятся на каждой из частот независимо. На этапе текущего надзора допускается измерения проводить на одной из частот, см.
п. 2.4.
5. МЕТОДИКА РАСЧЕТА И ПОСТРОЕНИЯ САНИТАРНО-ЗАЩИТНОЙ
ЗОНЫ И ЗОНЫ ОГРАНИЧЕНИЯ ЗАСТРОЙКИ ДЛЯ ДВУХКАНАЛЬНЫХ РЛС.
5.1. Санитарно-защитной зоной (СЗЗ) является площадь, примыкающая к технической территории РТО. Внешняя границ СЗЗ определяется на высоте до 2 м от поверхности земли по предельно допустимым уровням (ПДУ) ЭМП.
Зона ограничения застройки (ЗОЗ) - это территория, где на высоте более 2-х м от поверхности земли превышаются ПДУ. Внешняя граница зоны ограничения определяется по максимальной высоте зданий перспективной застройки, на уровне верхнего этажа которых уровни ЭМП не превышают установленных ПДУ.
5.2. Расчет границы (контура), на котором уровень ЭМП равен ПДУ одновременно для обоих каналов проводится по формуле

(5.1)
(обозначение параметров см в
п. 3)
где ПДУ - предельно допустимый уровень на волне i при сопутствующем излучении на волне j комбинированного воздействия двухчастотного поля. При совпадающих ДНА (q = const) в качестве ПДУ может использоваться любое из двух значений комбинации, при несовпадающих ДНА (q /= const) в расчет берется ПДУ, установленный для излучения, источник которого имеет более широкую ДНА, а значение его при изменяющихся q определяется в зависимости от значения уровня ЭМП, источник которого имеет узкую ДНА.
5.3. Применительно к радиолокационной станции МРЛ-5, работающей в режиме градозащиты,
формулу (5.1) можно записать в виде:

(5.2)
где: C3 = 107 для трехсантиметрового канала, C10 - 24·6·106 для десятисантиметрового канала.
5.4. В тех случаях, когда СЗЗ определяется по боковому лепестку совпадающих ДНА (при любой реально реализуемых высоте антенны и значении

), удаление ее границы не должно быть меньше наибольшего из значений:
| | ИС МЕГАНОРМ: примечание. Нумерация формул дана в соответствии с официальным текстом документа. | |

(5.2)
где: i, j - индексы (по номеру или по длине волны) каналов.
Так для МРЛ-5 в режиме грозозащиты получим

,

,
т.е минимальное удаление границы СЗЗ составит 71 м для РЛС с несовпадающими ДНА, в частности, для РЛС, использующих комбинацию

, ввиду существенного различия диаграмм и уровней боковых лепестков указать такое удаление не представляется возможным.
5.5. Расчет СЗЗ и ЗОЗ производится в следующем порядке:
определяют исходные параметры для расчета
hа,

;
по техническим характеристикам рассчитывают значение C по
(3.2) и
rmax по формуле (при расчете задают
r <
rmax)

,

;
по рассчитанной зависимости строится график
(рис. 5.1); на график накладывается профиль местности в заданном направлении;
отыскивают удаление, на котором разность между кривой профиля местности и рассчитанной кривой равна 2 м, а затем - высоте перспективной застройке Hзастр.
Так определяют удаление границ СЗЗ и ЗОЗ. Построение повторяют для выбранных направлений с характерным изменением рельефа местности. Соединяют найденные удаления, получая искомые зоны вкруговую.
Пример. Найти удаления СЗЗ и ЗОЗ для МРЛ-5 (режим градозащиты) при
hа = 12 м,

,

, H
застр. = 15 м.
Определим

.
Таблица 5.1
r, м | 950 | 900 | 800 | 600 | 400 | 200 |
H при  | 7,6 | 5,7 | 3,7 | 2,5 | 3,5 | 6,4 |
H при  | 15,9 | 13,6 | 10,7 | 7,8 | 7,0 | 3,1 |
1) при

СЗЗ отсутствует (застройка ограниченной этажности возможна вне пределов технической территории, но не ближе 70 м от РЛС;
2) при

зона ограничения застройки начинается от технической территории до удаления, равного
r = 930 м (на этой территории высота застройки не должна пересекать кривую с обозначением

, т.е. не более 7 м до
r ~= 650 м и менее 15 м в остальной зоне);
3) при

удаление границы СЗЗ составляет
rсзз = 750 м, зона ограничения застройки расположена на удалении от 750 м до 1000 м.
Построение санитарно-защитной зоны и зоны ограничения
застройки для МРЛ-5 (режим градозащиты)
Рис. 5.1
5.6. Для построения СЗЗ и ЗОЗ у МРЛ-5 в режиме градозащиты можно использовать номограмму
(рис. 5.2) Номограмма позволяет без расчета определить зависимость H =
f (
r), а также найти удаление границы СЗЗ и ЗОЗ для известных параметров (

,
hа), указанных на
номограмме.
Номограмма к определению удаления границы СЗЗ и ЗОЗ МРЛ-5
Рис. 5.2
На
номограмме по оси абсцисс вправо отложена дальность, влево - высота расчетной точки; ось ординат выполняет служебную функцию и наименования не имеет. В первом и четвертом квадранте кривые обозначены значениями угла места направления максимума излучения

. Во втором и третьем квадранте на прямых обозначена высота центра излучения
hа.
Использование
номограммы для получения зависимости H =
f (
r):
1) для заданного значения

выбирают значения дальности
r, с удобным для построения интервалом

;
2) из заданной точки дальности проводят вертикальную прямую до пересечения с кривой заданного значения

;
3) через эту точку проводят горизонтальную прямую до пересечения с прямой, обозначенной заданным значением hа;
4) из этого пересечения опускают перпендикуляр на ось H и считывают значения высоты H.
Пример: Определить значение H для условий:
r = 400 м,

,
hа = 12 м. Начало проводки из точки
r = 400 м.
Использование
номограммы для определения удаления СЗЗ и ЗОЗ:
1) граница СЗЗ определяется на высоте H = 2 м; из точки H = 2 м проводим вертикальную прямую до пересечения с прямой, обозначенной заданной hа;
2) через эту точку проводим горизонтальную прямую до пересечения с кривой, обозначенной заданным значением

;
3) затем опускаем перпендикуляр на ось r и считываем значение rсзз
Пример: Построение на
номограмме. Проводка из точки H = 2 м при
hа = 12 м и

не пересекает кривую, обозначенную

. Это означает, что для этих условий СЗЗ отсутствует.
Пример. Определить удаление СЗЗ для условий:
hа = 12 м,

, превышение рельефа над горизонтом основания антенны

.
Определим значение

.
Из точки H = 3 м начинаем проводку (см.
номограмму). Откуда следует, что для этих условий
rсзз = 750 м.
Удаление границы ЗОЗ определяется аналогично, при этом

(где H
застр. - высота перспективной застройки).
Использование
номограммы позволяет провести необходимые построения без проведения громоздких вычислений по
формуле (5.2).
5.7. Определение контура СЗЗ и ЗОЗ для РЛС с несовпадающими, неравными ДНА имеет особенность в том, что расчет зависимости H =
f (
r) проводится по данным канала с более широкой ДНА, а в качестве ПДУ
i/j принимают значения, определяемые по графику
(рис. 3.1) или по формуле
п. 2.3 для каждого значения задаваемой дальности.
Порядок расчета следующий:
определяется rmax.o в максимуме излучения при совместной работе каналов по формуле
и при автономном излучении канала с широкой ДНА

,
используя зависимости
п. 3 рассчитывают значения ППЭ, создаваемой каналом с узкой ДНА в интервале дальностей
r <=
rmax.o;
по зависимостям
п. 2.3 рассчитывают ППЭ, создаваемой каналом с широкой ДНА на тех же дальностях, которые принимают в качестве ПДУ;
определяют зависимость H =
f (
r) и далее как в
п. 5.5.
Пример: Определить зависимость H =
f (
r) для РЛС, имеющей каналы

при
hа = 12 м,

,

и

.
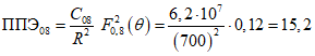
Рассчитывают C08 = 6,2·107, C10 = 3,1·107

.

.
Для выбранных значений дальности, например, для r = 700 м при H = 2 м определяем

,
и для

, имеем

.
Так как

, то

.
Тогда

.
Затем

Аналогично получим для других значений
r и

(см.
табл. 5.2.)
Данные расчета по примеру п. 5.7
Таблица 5.2
r, м | 250 | 300 | 400 | 500 | 600 | 700 | 800 | 880 | 1000 | 1114 |
ППЭ08 | 92,2 | 82,7 | 46,5 | 29,7 | 20,7 | 15,2 | 11,6 | 9,6 | 7,4 | 6,0 |
ППЭ10 | 13,0 | 15,6 | 26,0 | 31 | 33,7 | 35,4 | 36,4 | 37,1 | 37,7 | 38,2 |
H, м | | 6,1 | 6,3 | 6,6 | 7,0 | 8,0 | 9,7 | 12,3 | 15,7 | - | - |
| 4,3 | 3,7 | 3,0 | 2,7 | 2,8 | 3,6 | 5,6 | 8,1 | - | - |
| 2,2 | 1,0 | -0,4 | -1,7 | -2,4 | -2,5 | -1,7 | -0,4 | - | - |
На луче, проведенном под углом

, отмечаем точку на удалении
r = 1114 м. По рассчитанным значениям строим график, соединяя расчетные точки плавной кривой
(рис. 5.3).
Построение контура СЗЗ и ЗОЗ для двухканальной РЛС
Рис. 5.3
5.8. Для отыскания удалений границы СЗЗ и ЗОЗ могут использоваться кривые, представленные на
рис. 5.1 и
5.3, для чего их накладывают на точку заданного значения
hа и направляют под заданным углом

. Затем определяют искомые удаления (см.
п. 5.5).
6. САНИТАРНО-ГИГИЕНИЧЕСКИЕ РЕКОМЕНДАЦИИ К РАЗМЕЩЕНИЮ
ДВУХКАНАЛЬНЫХ МЕТЕОРОЛОГИЧЕСКИХ РЛС.
6.1. Площадка для размещения двухканальных обзорного типа метеорологических РЛС должна выбираться с учетом обеспечения безопасности населения от воздействия электромагнитных излучений. На ее территории не допускается размещение жилых и общественных зданий. Это площадка является технической территорией радиотехнического объекта.
6.2. Безопасность населения от воздействия электромагнитных излучений обеспечивается установлением вокруг РЛС санитарно защитной зоны и зоны ограничения застройки с учетом рельефа местности. Размеры этих зон устанавливаются по данным расчета и контролируются инструментальными измерениями. При установлении этих зон должна учитываться перспектива развития объекта (увеличение мощности РЛС, их числа и т.п.) и при необходимости предусматривается возможность увеличения их размеров.
6.3. Использование СЗЗ регламентируется "Санитарными нормами проектирования промышленных предприятий", которые запрещают в пределах этой зоны жилищное строительство, размещение зон отдыха и т.п. В целях пожарной безопасности в этой зоне недопустимо также размещение складов нефтепродуктов, хранение и производство операций с горючими материалами всех видов.
В пределах зоны ограничения застройки может размещаться застройка любого функционального назначения, при этом в помещениях уровень ЭМП не должен превышать ПДУ.
6.4. При выборе места для размещения РЛС, должны быть проведены расчеты ожидаемых СЗЗ и ЗОЗ, которые представляются санитарным органам при согласовании проекта размещения в виде ситуационного плана. На ситуационном плане также указывается ближайшая жилая и другая застройка.
6.5. При расчете СЗЗ и ЗОЗ двухканальных РЛС особенно существенно различающимися по размерам диаграммы направленности антенн должны учитываться уровни ЭМП, создаваемые по боковым (по первому, второму и последующим) лепесткам.
6.6. Благоустройство СЗЗ и ЗОЗ должно предусматриваться в разделе "Мероприятия по охране окружающей среды" проекта РТО.