Главная // Актуальные документы // Журнал (форма)СПРАВКА
Источник публикации
М.: "Недра", 1977
Примечание к документу
Документ фактически утратил силу в связи с принятием Федерального
закона от 30.12.2015 N 431-ФЗ, которым с 01.01.2018 признаны утратившими силу нормативные акты органов государственной власти СССР, РСФСР и Российской Федерации, регулирующие отношения в сфере геодезии и картографии и принятые до дня вступления в силу указанного Федерального
закона.
Документ включен в
Перечень действующих нормативных актов и документов на производство топографо-геодезических и картографических работ (по состоянию на 1 января 2005 года), утв. Роскартографией.
Название документа
"Руководство по топографическим съемкам в масштабах 1:5000, 1:2000, 1:1000 и 1:500. Наземные съемки"
"Руководство по топографическим съемкам в масштабах 1:5000, 1:2000, 1:1000 и 1:500. Наземные съемки"
ГЛАВНОЕ УПРАВЛЕНИЕ ГЕОДЕЗИИ И КАРТОГРАФИИ
ПРИ СОВЕТЕ МИНИСТРОВ СССР
РУКОВОДСТВО
ПО ТОПОГРАФИЧЕСКИМ СЪЕМКАМ
В МАСШТАБАХ 1:5000, 1:2000, 1:1000 и 1:500.
НАЗЕМНЫЕ СЪЕМКИ
В работе освещен комплекс топографо-геодезических работ, начиная со сгущения планово-высотного обоснования и кончая получением составительского оригинала. Описаны современные наиболее распространенные приборы и приспособления, которые применяются при выполнении полевых и камеральных работ. Методы работ изложены с обоснованием необходимой точности для каждого масштаба.
Руководство рекомендуется в качестве практического пособия для широкого круга специалистов, занимающихся работами по созданию топографических карт. Оно также может использоваться изыскателями, преподавателями, студентами, учащимися и слушателями учебных заведений.
С освоением новых объектов, расширением существующих и проектированием новых населенных пунктов, разведкой районов по использованию минерального сырья и других природных богатств, а также их эксплуатацией возрос спрос на топографические карты.
Топографические карты в масштабах 1:5000, 1:2000, 1:1000 и 1:500 с каждым годом находят все более широкое применение в народном хозяйстве нашей страны, поэтому при создании их учитываются необходимая полнота, четкость в изображении рельефа и быстрота в изготовлении с минимальными затратами средств.
С целью установления единой технологии создания крупномасштабных топографических карт наземными методами с использованием современных технических средств Научно-исследовательский институт прикладной геодезии (НИИПГ) разработал "Руководство по топографическим съемкам в масштабах 1:5000, 1:2000, 1:1000 и 1:500 (Наземные съемки)", в котором подробно изложены сущность и виды наземных съемок, описаны наиболее распространенные современные геодезические приборы и разные инструменты для съемок, излагаются методы сгущения съемочной сети и производства съемки рельефа и ситуации, особенности съемок на застроенных территориях.
В
Приложениях приводятся образцы материалов и обработки полевых данных, составление топографических карт и их оформление.
В части "Наземные съемки" не даются методы создания топографических карт на участки с особыми условиями (оползни, несезонные ледниковые покровы и т.п.), которые относятся к специальным съемкам.
При разработке этой части учитывались пожелания организаций ГУГК (предприятие N 8, 13, УкрГИИГИС, АрмГИИГИС, Союзмаркштрест и др.), Госстроя СССР (КузбассТИСИЗ, ЗапСибТИСИЗ, УкрГИИНТИЗ, КазГИИЗ) и других ведомств. Руководство разработано коллективом авторов в составе: руководитель темы - М.Ф. Распопов (
предисловие,
глава 3), Т.В. Буркина
(глава 7), канд. техн. наук В.И. Гладкий
(глава 1), И.И. Ишутинов
(глава 6), канд. техн. наук Д.В. Лисицкий (
глава 1,
2,
5), С.П. Ляшенко (
глава 1,
2,
7), Ю.С. Обидин
(глава 5), С.С. Перлов
(глава 6), Э.В. Соболева
(глава 5), Т.П. Чистякова (
глава 3,
7).
ОБЩИЕ ПОЛОЖЕНИЯ И ИНСТРУМЕНТЫ
1.1. СУЩНОСТЬ И ВИДЫ НАЗЕМНЫХ СЪЕМОК
Под наземной топографической съемкой понимается совокупность полевых и камеральных работ по определению взаимного расположения выбранных характерных точек местности в плане и по высоте и построению графической (топографический план, топографическая карта) или аналитической (цифровая карта) модели местности. По своему содержанию производство наземных топографических работ в общем случае включает три укрупненных процесса:
- съемку ситуации и рельефа (комбинированная, тахеометрическая, мензульная, фототеодолитная), только ситуации (горизонтальная) или рельефа (вертикальная);
- координирование в плане основных точек местности (углы кварталов, отдельных капитальных зданий и сооружений и др.), выбираемых в соответствии с назначением съемки и особыми инженерными требованиями;
- определение отметок отдельных точек сооружений, необходимых для инженерных расчетов и выбираемых по особому требованию.
Геодезической основой перечисленных процессов в плановом отношении служат пункты государственной геодезической сети 1, 2, 3 и 4 классов, сетей сгущения (сети местного значения) 1 и 2 разрядов (триангуляция, полигонометрия) и пункты съемочного геодезического обоснования. В высотном отношении основой являются реперы и марки государственной нивелирной сети I, II, III, IV классов и технического нивелирования, пункты государственной сети, сетей местного значения и съемочного обоснования, высоты которых определены техническим или более точным нивелированием.
Вопросы построения опорных геодезических сетей регламентированы соответствующими нормативными документами ГУГК.
В данное Руководство включены вопросы производства контурно-комбинированной, тахеометрической, мензульной, полуавтоматического картирования и горизонтальной съемок, а также методы координирования в плане основных точек местности.
Комбинированной (контурно-комбинированной) съемкой называют сочетание аэрофотосъемки с наземной.
Комбинированной (контурно-комбинированной) съемкой называют сочетание аэрофотосъемки с наземной, применяется она в районах со слабовыраженным рельефом. Существенной особенностью этого метода съемки является то, что ситуация плана создается фотограмметрической обработкой аэроснимков, а рельеф - наземной съемкой на фотопланах, причем съемка рельефа несколько упрощается, так как на фотоплане видны отдельные его формы.
Одним из основных методов наземной топографической съемки является тахеометрическая съемка. Основной особенностью этого метода является быстрота производства полевых работ, которая достигается, с одной стороны, за счет комплексного производства всех необходимых измерений одним прибором - тахеометром, а с другой - за счет перенесения основного объема работ по составлению топоплана в камеральные условия.
Мензульная съемка имеет своим назначением получение топографического плана местности при помощи мензулы и кипрегеля. Отличительная особенность этого метода состоит в том, что топографический план составляется непосредственно в поле (на местности), что обеспечивает наглядность и высокое качество составительских работ. При составлении плана горизонтальные углы не измеряют, а получают их графическим путем. Мензульную съемку иногда называют углоначертательной (графической).
Метод полуавтоматического картирования сочетает в себе быстроту тахеометрической съемки с наглядностью мензульной съемки. Этот метод реализуется с помощью специальных картографических устройств (столиков), используемых в сочетании с тахеометрами, а также с некоторыми другими геодезическими инструментами.
Горизонтальная съемка предназначена для получения контурного плана, отображающего ситуацию местности, и применяется при съемке местности (в основном застроенные территории) с большим количеством контуров. Осуществляется этот метод с помощью теодолитов, эккеров и мерных приборов.
Выбор того или иного метода съемки или комбинации этих методов производится в зависимости от конкретных условий производства работ (цели съемки, характера местности, объема работ, наличия инструментов и кадров и т.д.).
1.2. СОДЕРЖАНИЕ СЪЕМОЧНЫХ РАБОТ
В соответствии с назначением топографической съемки в процессе полевых работ осуществляются измерения углов и линий относительно съемочной сети с целью определения взаимного положения отдельных точек местности. При этом определения плановых координат точек, принадлежащих границам сооружений и элементов местности (контуры), составляют съемку ситуации. Определение же координат и высот точек, характеризующих рельеф местности, составляет содержание съемки рельефа.
Основной задачей съемки ситуации является определение взаимного положения необходимого и достаточного числа характерных точек контуров, которое обеспечивало бы изображение этих контуров на плане в соответствии с требованиями точности и детальности съемки заданного масштаба. При этом полнота съемки должна соответствовать требованиям действующих условных знаков.
Предметами съемки в зависимости от поставленных задач, от назначения и масштаба создаваемого плана, от степени застроенности территории являются:
а) все без исключения населенные пункты, независимо от их размера, при этом в масштабах 1:2000 и крупнее должны быть засняты все строения в отдельности, независимо от условий их размещения с обязательным выделением их пристроек;
б) наземные сооружения всех видов и назначений - производственные, культурно-бытовые, благоустройства, все без исключения категории транспортного и пешеходного сообщений и имеющиеся на них сооружения всех видов, исторические памятники, парки, сады, посадки на улицах и площадях, места выхода на земную поверхность подземных инженерных коммуникаций;
в) отдельные постройки вне черты населенных пунктов независимо от их назначения и размеров;
г) орошаемые и осушаемые участки и имеющиеся на них эксплуатационные и другие сооружения;
д) все виды естественных и искусственных водных объектов и водных источников с разделением на постоянные и пересыхающие и все сооружения на них с указанием их конструктивных и эксплуатационных характеристик;
е) отдельно стоящие на открытых местах деревья, кусты, большие камни и кустарниковые поросли; лесные массивы с выделением хвойных и лиственных пород и смешанных лесов, вырубок, гарей, прогалин, заболоченных мест и определением породы деревьев, средней высоты и толщины на высоте 1,5 м от земли;
ж) земельные площади сельскохозяйственного использования с разделением их по видам: парники, фруктовые сады, виноградные питомники, огороды, пастбища, сенокосы, заливные луга, степи и т.п.;
з) контуры земельных участков, не имеющих сельскохозяйственного значения: каменистых мест, песков, проходимых и непроходимых болот и т.п.;
и) места разработок рудных и нерудных ископаемых;
к) существующие на местности границы и граничные столбы: городская черта, полосы отчуждений железных и автомобильных дорог, нефте- и газопроводов и т.п.
В зависимости от материала постройки, назначения инженерных сооружений и характера очертания контуров все элементы местности подразделяются на два типа:
- контуры твердые,
- контуры нетвердые.
К твердым контурам относятся постоянные инженерные сооружения, построенные из долговечных огнестойких материалов (кирпича, бетона и т.п.).
К нетвердым контурам относятся сооружения временного типа, постоянные сооружения, построенные из легких недолговременных неогнестойких материалов (камыш, дерево и т.п.), а также естественные контуры. Естественные контуры, кроме того, подразделяются на контуры четкие, т.е. имеющие четко выраженные и легко опознаваемые границы, и не четкие, т.е. контуры, не имеющие ясно выраженных границ.
Такое деление носит несколько условный характер и в ряде случаев не обеспечивает однозначного решения.
При съемке ситуации точность измерений и нанесения точек на план определяется как масштабом съемки, так и характером очертания контуров.
Так, в застроенной местности, с капитальными сооружениями требуется наиболее высокая точность измерений, и прежде всего линейных, средняя погрешность измерения линий не должна превышать 0,2 мм в масштабе съемки, что позволит обеспечить среднюю погрешность во взаимном положении на плане точек близлежащих контуров не более 0,4 мм, как это предусмотрено "Основными положениями 1970 г.".
При съемке контуров, имеющих четкие границы, погрешности съемки должны быть такими, чтобы средняя погрешность нанесения точек на план относительно пунктов съемочного обоснования не превышала 2,0 м для масштаба 1:5000; 0,80 м для масштаба 1:2000; 0,40 м для масштаба 1:1000; 0,25 м для масштаба 1:500.
Число реечных точек при съемке ситуации с четкими границами должно назначаться так, чтобы две смежные точки контура могли быть соединены прямой, а действительная кривая контура не отступала от этой прямой более 0,5 мм в плане.
Выступы и изгибы отдельных контуров, имеющие размеры не более 1,0 м при съемке в масштабе 1:5000; 0,50 м при съемке в масштабе 1:2000 и 0,3 м при съемке в масштабе 1:1000, могут спрямляться.
При съемке неясно выраженных контуров может быть допущена погрешность до 5 м независимо от масштаба съемки. Контуры с неопределенным очертанием (редкий лес, кустарник по лугу и т.п.) оконтуриваются и снимаются приближенно.
Небольшие контуры площадью менее 0,1 см2 в масштабе съемки, а также отдельные предметы местности, не выражающиеся по своим размерам в масштабе съемки, при проведении съемочных работ не оконтуриваются, снимаются одной точкой, которая выбирается в центре снимаемого контура или предмета местности. Для нанесения на план строений, имеющих неправильную конфигурацию, снимаются все углы. Съемка строений правильной геометрической формы выполняется путем сочетания съемки углов и обмеров рулеткой. На путях сообщения в зависимости от ширины снимаются все сооружения и строения, начало и конец закруглений, оси путей, насыпи, выемки, водоотводные канавы с указанием при этом ширины всей дороги, проезжей части, насыпи, обочин, ширины и глубины выемок и канав, направления дорог. Полевые и проселочные грунтовые дороги снимаются только по оси с указанием ширины.
Съемка водоемов (при ширине их более 3 мм в масштабе съемки) ведется в любом масштабе по обоим берегам, причем реечные точки выбираются на одной нормали к оси водотока, а при ширине водоема от 1 до 3 мм - по одному берегу; при этом ширина водоема определяется промерами с соответствующей записью в журнале. Одновременно со съемкой водоемов снимаются все сооружения на берегах.
На незастроенных территориях снимаются все воздушные линии, при этом в масштабе 1:2000 - 1:500 снимаются все опоры, а в масштабе 1:5000 - только поворотные опоры, если съемка всех опор не оговорена в задании.
В целях обеспечения необходимой точности топографических планов при съемке полярным методом с использованием нитяных дальномеров установлены пределы для расстояний от инструмента до реечных точек, приведенные в табл. 1.
Масштаб съемки | Допустимое расстояние (м) от инструмента до точек при съемке |
четких контуров, некапитальных сооружений | нечетких контуров |
1:500 | 60 | 80 |
1:1000 | 80 | 100 |
1:2000 | 100 | 150 |
1:5000 | 150 | 200 |
В случае применения дальномеров или мерных приборов, обеспечивающих более высокую точность измерения расстояний, допустимые расстояния от инструмента до снимаемых точек могут увеличиваться.
Для получения координат и высот точек, характеризующих рельеф местности, выполняется вертикальная съемка.
В незастроенной местности она выполняется одновременно со съемкой контуров, а в местности с густой застройкой вертикальная съемка может выполняться после проведения горизонтальной съемки.
При съемке рельефа исходят из того, что рельеф на топографических планах изображается горизонталями, основные сечения которых устанавливаются от 0,5 до 5,0 м. Для наилучшего выражения рельефа в характерных местах (вершины, котловины, седловины, перемена крутизны скатов и др.) проводятся полугоризонтали или четвертьгоризонтали. Для проведения на планах горизонталей во время съемки набирается определенное количество реечных точек с таким расчетом, чтобы при наименьшем количестве набранных точек наилучшим образом изобразился рельеф местности. При этом руководствуются следующими соображениями.
Реечные точки при съемке местности с ясно выраженным рельефом при однообразных скатах выбираются друг от друга на расстояниях, которые зависят от метода съемки и не превышают величин, приведенных в табл. 2.
Масштаб съемки | Сечение рельефа горизонталями | Максимальное расстояние между реечными точками, м | Максимальное расстояние от инструмента до снимаемой точки, м |
мензульная съемка | тахеометрическая съемка |
1:500 | 0,5 | 15 | 10 | 100 |
Расстояния от инструмента до снимаемых точек установлены исходя из точности измерения их нитяными дальномерами.
В местах с неопределенными формами рельефа и скатами переменной крутизны количество реечных точек должно быть увеличено. Но при этом необходимо иметь в виду, что излишнее количество реечных точек затрудняет проведение горизонталей. Поэтому перед съемкой необходимо осмотреть местность, наметить места установки рейки и указать эти места реечнику.
Высотные точки обязательно должны быть взяты на вершинах, водоразделах, на перегибах скатов, у подошвы возвышенностей, на перегибе седла, на тальвегах в местах их поворотов, у вершин и устьев лощин, в котлованах, ямах, воронках и по краям их, на берегах рек и ручьев, урезов воды и в других местах, необходимых для рисовки рельефа. Реечные точки выбирают с таким расчетом, чтобы они не только характеризовали местность по высоте, но и давали направление склонов, и чтобы скаты между этими точками можно было считать однообразными.
Кроме реечных точек, набираемых для рисовки рельефа, должны быть определены отметки оснований и вершин искусственных сооружений, плотин, мостов, вершин и подошв насыпей, пересечений и осей дорог, вершин курганов, головок рельсов, у колодцев, около строений и в наиболее характерных местах. Высотные точки, взятые у местных предметов или контуров, которые не следует использовать при разведении горизонталей, должны иметь соответствующую пометку в графе "примечание" полевого журнала. Изрытые или каменистые места, песчаные наносы при съемке оконтуриваются с определением отметок не реже, чем это приведено в
табл. 2.
Для производства наземных топографических съемок применяются саморедуцирующие и нередуцирующие тахеометры с картографическими столиками, кипрегели в комплекте с мензулой или столиком "Karti" и другие вспомогательные приспособления и приборы.
В настоящее время тахеометрическая съемка выполняется преимущественно саморедуцирующими тахеометрами двух видов: диаграммными тахеометрами и тахеометрами двойного изображения. Для производства тахеометрических съемок могут использоваться и нередуцирующие тахеометры. При достаточно ровной местности могут применяться и нивелиры с горизонтальным кругом, называемые нивелирами-тахеометрами (Ni030, NiB1, HT, HCK-4).
В табл. 3 приведены тахеометры, получившие широкое применение в практике тахеометрических съемок.
Тип инструмента | Относительная точность измерения линий | Пределы намерения линий в м | Наличие реек |
1 | 2 | 3 | 4 |
Редукционные тахеометры двойного изображения |
Redta 002 (ГДР) | 1:5000 | 2,5 - 170 | Горизонтальная |
| 1:300 | 2,5 - 300 | Вертикальная |
ТП (СССР) | 1:5000 | 2 - 180 | Горизонтальная |
| 1:300 | 2 - 300 | Вертикальная |
Внутрибазисные редукционные тахеометры |
ТВ (СССР) | 1:1000 | 2 - 60 | Без рейки |
| 1:500 | До 180 м | Горизонтальная |
| 1:1500 | | |
BRT 006 (ГДР) | 1:1700 | 2 - 60 | Без рейки |
| | До 180 м | Горизонтальная |
ДВ-20 (СССР) | 1:500 | 17,5 - 300 | Без рейки |
| 1:300 | 2 - 375 | Вертикальная |
ТДС (СССР) | 1:300 | 11 - 150 | Без рейки |
| 1:100 | 150 - 300 | То же |
Диаграммные тахеометры |
Dahlta 020 (ГДР) | 1:500 | 3 - 350 | Вертикальная |
| 1:1000 | | |
ТА-Д1 (Венгрия) | 1:500 | 3 и более | То же |
| 1:1000 | | |
ТА-2 (СССР) | 1:700 | 3,5 - 250 | " |
| 1:1000 | | |
Dahlta 010 (ГДР) | 1:1000 | 3 - 350 | " |
Нередуцирующие тахеометры |
ТТ 50 | 1:350 | 2 и более | Вертикальная |
ТТ 5 | 1:350 | То же | То же |
ТТ 4 | 1:350 | " | " |
ТН | 1:350 | " | " |
Т 30 | 1:300 | 1,0 и более | " |
Т 15 | 1:350 | 1,2 и более | " |
ОТШ | 1:350 | 2 и более | " |
При измерении линий по горизонтальным рейкам прибор автоматически дает горизонтальное проложение. Превышение определяется в обычном порядке по вертикальному углу либо по значению тангенса угла наклона, получаемого по шкале на вертикальном круге.
Тахеометр ТП
(рис. 1) предназначен для проложения ходов полигонометрии 2 разряда

и тахеометрических съемок повышенной точности. Тахеометр снабжен дальномером двойного изображения, дающим возможность измерять линии, редуцированные на плоскость длиной от 2 до 180 м, по 2-метровой горизонтальной рейке. Обеспечивает автоматическое определение превышений по той же рейке. Наличие компенсатора при вертикальном круге, компенсирующего наклон подставки прибора в пределах +/- 3', позволяет использовать тахеометр в качестве нивелира.
Тахеометр Redta 002 относится к полуавтоматам оптического типа с двумя горизонтально устанавливаемыми рейками, имеет повторительную систему вертикальных осей, шкаловой микроскоп для отсчетов по обоим кругам.
Техническая характеристика ТП
Увеличение зрительной трубы | |
Поле зрения | 1,5° |
Фокусное расстояние, мм: | |
объектива | 218,6 |
окуляра | 8,0 |
Пределы визирования, м | |
Ср. квадратическая погрешность измерения угла (из одного приема): | |
горизонтального | 7" |
вертикального | 10" |
Коэффициент дальномера | 100 |
Диапазон измеряемых расстояний, м | 2 - 180 |
Ср. квадратическая погрешность измерения расстояния, равного 100 м, см | Не более 2 |
Ср. квадратическая погрешность измерений превышения реечной точки, удаленной на 100 м, см | 4 - 5 |
Диапазон работы: | |
преобразователей, автоматически редуцирующих измеряемое расстояние | +/- 45° |
системы автоматического определения превышений | +/- 45° |
Диаметры кругов, мм: | |
горизонтального | 95 |
вертикального | 70 |
Цена деления: | |
кругов | 1° |
шкалы микроскопа | 1' |
Цена деления уровней на 2 мм: | |
при алидаде горизонтального круга | 30" |
на штанге рейкодержателя | 5' |
Масса, кг: | |
тахеометра | 6,7 |
футляра | 3,0 |
рейки с подставкой | 3,1 |
Подставка тахеометра съемная, что позволяет выполнять работу по трехштативной системе.
В комплект тахеометра входят: | |
тахеометр | 1 |
рейки горизонтальные | 2 |
подставки | 2 |
штативы | 3 |
укладочные ящики | 1 |
дополнительные принадлежности | 1 |
Тахеометр внутрибазный ТВ (рис. 2) используется для тахеометрических съемок застроенных территорий, а также на труднодоступных участках и открытых горных выработках.
Рис. 2. Тахеометр внутрибазный ТВ
Техническая характеристика ТВ
Увеличение зрительной трубы | |
Поле зрения | 2°30' |
Пределы визирования, м | 2 и более |
Коэффициент дальномера | 200 |
Диапазон измеряемых расстояний, м: | |
без рейки | 2 - 60 |
с рейкой | До 180 |
Диапазон работы редуцирующей системы | +/- 45° |
Цена деления уровня при алидаде горизонтального круга на 2 мм | 30" |
Рабочие диаметры кругов, мм: | |
горизонтального | 95 |
вертикального | 85 |
Цена деления кругов | 10' |
Точность отсчета по микроскопу | 1' |
Масса, кг: | |
тахеометра | 7,5 |
футляра | 4,6 |
Тахеометр ТВ относится к дальномерам двойного изображения с переменной базой внутри прибора. Точность измерения расстояний, редуцированных на плоскость, порядка 1:1000. Измерение расстояний до 60 м выполняется без применения рейки по контуру или вехе, до 180 м - по специальной горизонтальной рейке.
При измерении горизонтальных углов на цель наводится средний вертикальный штрих. При измерениях необходимо следить за тем, чтобы изображение в поле зрения было "полным", т.е. ни одна часть наблюдаемого предмета не должна отсутствовать или изображаться дважды. Полуизображения должны соприкасаться так, чтобы наклонные линии одного полуизображения без разрывов переходили в продолжение другого полуизображения.
Для предварительного наведения на цель тахеометр снабжен оптическим визиром. Съемная подставка тахеометра дает возможность работать по трехштативной системе.
В комплект тахеометра входят: | |
тахеометр | 1 |
укладочный футляр | 1 |
веха | 1 |
рейка дальномерная (0,6 м) | 1 |
чехол для вехи и рейки | 1 |
штатив | 1 |
отвес | 1 |
комплект дополнительных принадлежностей | 1 |
Тахеометр-автомат ТА-2 предназначен для измерения горизонтальных приложений и превышений по кривым.
Общий вид тахеометра ТА-2 показан на рис. 3, на
рис. 4 - поле зрения трубы при круге лево.
Рис. 3. Тахеометр-автомат ТА-2
Рис. 4. Вертикальный круг тахеометра ТА-2 с диаграммой
Техническая характеристика ТА-2
Длина зрительной трубы, мм | 200 |
Увеличение | |
Диаметр светового отверстия объектива, мм | 45 |
Наименьшее расстояние визирования, м | 3,0 |
Диаметр лимбов, гор./верт., мм | 72/92 |
Цена деления шкалы кругов, гор./верт. | 1'/1' |
Тип отсчетного устройства: | |
горизонтальный круг | шкал. микр. |
вертикальный круг | микр. с индекс. |
Ср. квадратическая погрешность измерения угла, с | 6 - 7 |
Длина дальномерных реек, м | 3 - 4 |
Пределы измерения длин линий, м | 3,5 - 250 |
Постоянное слагаемое дальномера, м | 0,02 |
Цена делений уровней: | |
при алидаде гор. и верт. круга, с на 2 мм | 45 |
установочного | 8' |
Высота инструмента | 265 |
Масса, кг: | |
инструмента | 4 |
футляра | 3 |
штатива | 5 |
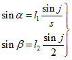
По горизонтальному кругу отсчеты производятся с оценкой на глаз десятых долей минуты. На вертикальном круге нанесены 10-минутные деления и диаграмма (см.
рис. 4) с кривыми горизонтальных проложений

и превышений

: 4 - основная кривая; 3 - кривая горизонтальных проложений; 2 - кривая превышений; 1 - деления вертикального круга.
Отсчет по вертикальному кругу 97°37', отсчеты: по кривой горизонтальных проложений

, по кривым превышений

,

.
Специальных реек к тахеометру завод не изготовляет. Для работы могут быть использованы нивелирные рейки, желательно с выдвижным концом, позволяющим установить нуль рейки на высоту инструмента.
Отсчет по рейке производят в следующем порядке. Наводят зрительную трубу тахеометра на рейку так, чтобы серебряная полоска совместилась с гранью рейки. Микрометренным винтом трубы совмещают основную кривую 1 (см.
рис. 4) с нулем рейки. Пузырек уровня при алидаде вертикального круга приводят на середину. Горизонтальное проложение s и превышение h вычисляют по формулам:

, (1)
где

- отсчет по рейке между основной кривой 1 и кривой горизонтальных проложений 2;
| | ИС МЕГАНОРМ: примечание. Обозначение переменной дано в соответствии с оригиналом. | |

- отсчет по рейке между основной кривой и кривыми превышений 3;
v - высота нулевого штриха;
i - высота инструмента.
В случае установки нулевого штриха (кривая 1) на высоте инструмента (i = v) превышение вычисляется по формуле

. (2)
Превышение можно определить горизонтальным лучом. В этом случае
h = i - b, (3)
где i - высота инструмента;
b - отсчет по основной дуге диаграммы при визировании на рейку.
Точность определения превышений тахеометром ТА-2 характеризуется средними квадратическими погрешностями, приведенными в табл. 4.
Таблица 4
| | s, м |  , см |
+/- 10 | 1 - 9° | 50 - 70 | +/- 2,1 |
| | 100 - 190 | 3,5 |
| | 340 | 6,0 |
+/- 20 | 9 - 20 | 50 - 70 | 4,2 |
| | 100 - 200 | 4,6 |
| | 250 | 5,5 |
+/- 100 | 18 - 30 | 50 - 60 | 11,0 |
| | 100 - 150 | |
Средняя квадратическая погрешность

определения горизонтального положения s в пределах 50 - 200 м при углах наклона от +/- 0°30' до +/- 25° находится по формуле

. (4)
Постоянное слагаемое дальномера тахеометра ТА-2 ввиду его малости не учитывается.
В комплект тахеометра входят: | |
ТА-2 | 1 |
футляр | 1 |
рейки | 2 |
штатив | 1 |
комплект дополнительных принадлежностей | 1 |
Тахеометр-автомат Dahlta 020 (рис. 5) оптического типа, имеет съемную подставку и повторительную систему вертикальных осей, шкаловый микроскоп, зрительную трубу прямого изображения.
Рис. 5. Тахеометр-автомат Dahlta 020
Горизонтальные проложения и превышения определяются с помощью кривых, построенных так же, как и в тахеометре ТА-2.
Отсчеты производятся в таком же порядке, как и у ТА-2. В комплект Dahlta 020 входят две специальные 4-метровые вертикальные рейки.
Кривые рассчитаны для следующих углов наклона:
кривая горизонтальных проложений

от -55° до +45°;
- кривые превышений:

от 0° до +/- 10°,

от +/- 6° до +/- 22°,

от +/- 11° до +/- 45°.
Техническая характеристика Dahlta 020
Длина зрительной трубы, мм | 210 |
Увеличение | |
Диаметр светового отверстия объектива, мм | 40 |
Наименьшее расстояние визирования, м | 3 |
Диаметры лимбов, гор./верт., мм | 97/74 |
Цена деления лимбов, гор./верт. | 1° |
Тип отсчетного устройства, гор./верт. | шкал. микр. |
Цена деления шкалового микроскопа, гор./верт. | 1' |
Ср. квадратическая погрешность измерения угла | +6" |
Пределы измерения длин линий, м | 3,5 - 350 |
Цена деления уровней: | |
при алидаде гор. и верт. круга и при трубе, с на 2 мм | 30 |
установочного | 8' |
Высота инструмента, мм | 255 |
Масса, кг: | |
инструмента | 4,4 |
футляра | 4,7 |
штатива | 5,6 |
Точность измерения горизонтальных проложений

и превышений

зависит от углов наклона и характеризуется следующими средними квадратическими погрешностями
[27] на 100 м расстояния:

от +/- 0,10 до +/- 0,25 м;

при K = +/- 10;

при

;

при

.
В комплект тахеометра входят: | |
Dahlta 020 | 1 |
футляр | 1 |
рейка | 1 |
штатив | 1 |
комплект дополнительных принадлежностей | 1 |
Кроме описанных инструментов имеются аналогичные по конструкции и назначению следующие зарубежные тахеометры: ТА-Д1, ТА-Д2, ТА-Д3, ТА-Д4 - завод MOM, ВНР; FTRA - "Феннель", ФРГ; RDS, RDH - "Вильд", Швейцария; BRT006 - "Карл Цейсе", Йена, ГДР и др.
Поверки тахеометров
1. Подъемные и микрометренные винты должны иметь плавный ход без люфта и заедания.
Ход подъемных винтов регулируется регулировочными винтами при них. Ход микрометренных винтов регулируется пружинами в гильзах и гайками при этих винтах.
2. Ось цилиндрического уровня должна быть перпендикулярна к оси вращения инструмента.
Подъемными винтами приводят уровень на середину. Затем поворачивают алидаду на 180°. Если пузырек уровня отклоняется, то исправительными винтами уровня перемещают его на половину смещения. Затем подъемными винтами снова выводят пузырек уровня на середину. Исправление повторяют до тех пор, пока пузырек не будет смещаться с середины при перестановке алидады на 180°.
3. Визирная ось должна быть перпендикулярна к оси вращения трубы.
Для определения коллимационной ошибки визируют на удаленный предмет при двух кругах. Разность отсчетов по кругам дает двойную величину коллимации. Для исправления погрешности устанавливают верный отсчет при "круге лево" или "круге право" и исправительными винтами сетки нитей совмещают перекрестие нитей с наблюдаемым предметом.
4. Место нуля вертикального круга должно быть неизменным и равным нулю или 90° в зависимости от градуировки круга.
Для определения места нуля при двух кругах наблюдают четко видимый удаленный предмет. Перед взятием отсчетов необходимо выводить пузырек уровня при вертикальном круге на середину.
Величина места нуля и угла наклона определяется по формулам

, (5)
где М0 - место нуля вертикального круга;

- угол наклона;
КП - отсчет по вертикальному кругу при "круге право";
КЛ - отсчет по вертикальному кругу при "круге лево".
Место нуля исправляется котировочными винтами уровня при алидаде вертикального круга.
Как правило, место нуля определяется для средней нити перед началом работ и по мере необходимости (в случае резких сотрясений инструмента).
Возможно место нуля определять для крайней нити при съемке рельефа. Тогда визирование производится нижней нитью на верх рейки так, как показано на рис. 6, а по верхней нити будет определяться отрезок рейки - расстояние.
Рис. 6. Определение места нуля для крайней нити
для съемки рельефа
Место нуля для крайней нити приводится к нулю так же, как и для средней нити. Формулы вычисления места нуля указаны выше.
Такой метод работы дает экономию во времени, так как при одном визировании на рейку определяется расстояние и угол наклона
[17].
Для диаграммных тахеометров определяются фактические значения коэффициентов для расстояний

и превышений

.
Тахеометры ТА-2 и Dahlta 020 поверяются по одинаковой программе. Кроме обычных поверок, как теодолита, определяются фактические значения коэффициентов для расстояний

и превышений

.
Коэффициент

определяется на нескольких базисах длиной 50 - 100 м, расположенных в местах с различными углами наклона. Базисы измеряют стальной лентой в обоих направлениях (с точностью не менее 1:2000), а угол наклона теодолитом и находят горизонтальное приложение

. По каждой линии вычисляют коэффициент


, (6)
где

- номинальный коэффициент дальномера;
s - горизонтальное проложение линии, измеренной тахеометром;

- горизонтальное проложение линии, измеренной лентой.
За окончательные значения

принимается среднее из 2 - 3 определений.
Для определения коэффициента K выбирают несколько линий длиной не более 100 м с превышениями:
а) 5 - 10 м для коэффициентов, номинальное значение которых равно +/- 10;
б) 15 - 20 м для коэффициентов номинального значения +/- 20.
Линии закрепляют кольями. Превышение

определяют из геометрического нивелирования.
Коэффициенты

вычисляют по формуле

, (7)
где

- номинальное значение коэффициента превышений;
h - превышение, измеренное тахеометром в прямом и обратном направлениях;

- превышение, измеренное геометрическим нивелированием.
За окончательное значение

принимается среднее из 2 - 3 определений.
В тахеометре Dahlta 020 при зенитном расстоянии

(при горизонтальном положении оси зрительной трубы) точка пересечения обеих кривых превышений (+10 и -10) должна лежать на вертикальной нити сетки. Если условие не выполняется, то устанавливают диаграммный круг в требуемое положение исправительными винтами, предварительно приведя пузырек уровня вертикального круга на середину и установив отсчет по кругу, равный

.
Для тахеометров двойного изображения, кроме поверок, аналогичных с нередуцирующими тахеометрами, необходимо поверить дальномерное и редуцирующее устройства. Для выявления погрешностей многократно измеряется линия с большим углом наклона, причем инструмент и рейка меняются местами. При несовпадении результатов измерений в прямом и обратном направлениях берется среднее значение измеренных величин. Исправление выполняется юстировочными винтами на левой подставке зрительной трубы.
Постоянное слагаемое при горизонтальном визировании должно быть равно нулю. Сравнивают результаты оптического измерения линии 5 - 10 м с результатами измерения этой же линии рулеткой. (Следует помнить, что при оптическом измерении отрезок шкалы рейки должен быть расположен симметрично относительно трубчатой стойки). Разность результатов оптического и механического измерений дает величину постоянного слагаемого.
Для исправления погрешности при отпущенных крепящих винтах устанавливают на барабане микрометра отсчет, равный длине, измеренной рулеткой.
Коэффициент дальномера должен быть равным 100. Фактическое значение коэффициента определяется сравнением результатов оптического и механического измерения расстояний в пределах 60 - 100 м. Расхождения не должны превышать 5 см на 100 м. Если величина более допустимой и наблюдается пропорциональность измеряемым расстояниям, то изменяют величину коэффициента дальномера. Для этого приводят пузырек уровня на середину и устанавливают истинную величину расстояния, поворачивают защитное стекло перед одной из половин объектива до тех пор, пока не совместятся соответствующие штрихи шкалы рейки.
1.3.2. Кипрегели и мензулы
Для мензульной съемки наиболее приемлемыми из советских кипрегелей являются авторедуцирующие кипрегели КБ, КБ-1, КА-2, технические характеристики которых приведены в табл. 5.
Таблица 5
Технические данные | Кипрегели |
КБ | КВ-1 | КА-2 |
Увеличение зрительной трубы | | | |
Угол поля зрения | 1° | 1,5° | 1,3° |
Коэффициенты: | | | |
дальномера | 100 | 200 | 100, 200 |
кривой горизонтального проложения | - | 100 | 100 |
кривых превышений | - | +/- 10, 20, 100 | +/- 10, 20, 100 |
Точность отсчета по вертикальному кругу | 1' | 1' | 1' |
Цена деления уровня (на 2 мм): | | | |
на линейке | 50 - 60" | 30" | 50 - 90" |
на алидаде вертикального круга | 30 - 50" | 30" | 30 - 50" |
Длина линейки, мм | 530 | 350 и 530 | 350 и 530 |
Масса кипрегеля, кг | 2,9 | 2,8 | 2,8 |
Точность измерения горизонтальных проложений кипрегелями-автоматами на 100 м расстояния составляет +/- 20 см, а превышений - +/- 10 см.
Кипрегель КБ-1 имеет диаграмму (рис. 7) горизонтальных проложений и превышений такую же, как и у ТА-2, и работает она только при КЛ. Отсчеты: по вертикальному кругу 97°22', по кривой расстояний 25,1 см, по кривой превышений (K = -20) 16,3 см.
Рис. 7. Диаграмма горизонтальных проложений кипрегеля КБ-1
При угле наклона более 44° и при КП кривые диаграммы выходят из поля зрения трубы. В этом случае расстояние определяют по нитяному дальномеру, коэффициент которого равен 200, а превышение по углу наклона, отсчитываемому по вертикальному кругу.
Кипрегель-автомат КА-2 (рис. 8) разработан на базе кипрегеля КБ-1, имеет новую конструкцию трубы и диаграмму горизонтальных проложений и превышений, аналогичную с тахеометром ТА-2 (см.
рис. 3). Кривые видны только при КЛ в пределах вертикальной части Г-образной полоски, а в верхней горизонтальной части полоски изображение делений вертикального круга (см.
рис. 4).
Рис. 8. Кипрегель-автомат КА-2
Техническая характеристика КА-2
Увеличение трубы | |
Поле зрения | 1°20' |
Разрешающая сила по центру поля зрения, не более | 4" |
Предел фокусировки, м | 5 и более |
Цена деления уровня на 2 мм: | |
трубы | 30" |
линзы | 30" |
Коэффициент дальномера: | |
для кривых горизонтальных приложений | 100 |
для обычных дальномерных штрихов | 100, 200 |
Коэффициент кривых превышений | +/- 10; +/- 20; +/- 100 |
Масса, кг: | |
прибора | 2,8 |
подставки | 2,2 |
планшета | 4,6 |
При работе кипрегелем КА-2 горизонтальные проложения и превышения определяются так же, как у тахеометра ТА-2
(глава 1.3.1). При необходимости кипрегелем можно работать и не используя диаграмму, т.е. определять угол наклона и измерять расстояние по дальномерным нитям. Кроме того, превышения можно определять и горизонтальным лучом визирования.
В комплект КА-2 входят: | |
кипрегель-автомат | 1 |
подставка | 1 |
штатив | 1 |
планшет | 1 |
чехол | 1 |
ящик укладочный | 1 |
буссоль | 1 |
комплект дополнительных принадлежностей | 1 |
Для мензульной съемки в настоящее время предусмотрено изготовление двух типов мензул
[18]: универсальной МУ (рис. 9) и облегченной МО.
Рис. 9. Мензула универсальная МУ
Различаются они в основном размерами планшета и весом.
Поверки кипрегелей и мензулы
Перед работой кипрегелем необходимо выполнить его поверки.
1. Скошенный край линейки должен быть прямолинейным, а нижняя поверхность ее - плоскостью.
Для проверки этого условия по всей длине скошенного края линейки прочерчивают линию; переставляют кипрегель на 180° и, приложив скошенный край линейки к концам линии, вновь прочерчивают линию. Условие выполнено, если обе линии совместятся. Нижнюю поверхность линейки поверяют совмещением с ребром другой выверенной линейки.
2. Дополнительная линейка, находясь на различных расстояниях от основной, должна оставаться параллельной себе.
При неподвижном положении кипрегеля устанавливают дополнительную линейку на разных расстояниях от основной и прочерчивают линии, затем с помощью циркуля и масштабной линейки измеряют между концами соседних линий расстояние. Эти расстояния не должны различаться более чем на 0,2 мм.
3. Ось цилиндрического уровня на линейке кипрегеля должна быть параллельна нижней плоскости линейки.
Подъемными винтами мензулы приводят пузырек уровня на линейке кипрегеля на середину. Переставляют кипрегель на 180°. Если пузырек уровня отклоняется, то исправительными винтами перемещают его на половину отклонения. Затем подъемными винтами снова приводят пузырек на середину. Исправление выполняется до тех пор, пока пузырек уровня при перестановке кипрегеля будет оставаться на середине.
4. Визирная ось зрительной трубы должна быть перпендикулярна к оси вращения трубы (коллимационная погрешность).
Для определения коллимации наводят перекрестие сетки нитей кипрегеля на удаленный предмет, прочерчивают линию по скошенному краю линейки. Затем переводят трубу через зенит и прикладывают скошенный край линейки к прочерченной линии. Если перекрестие сетки нитей сместится с наблюдаемого предмета, то коллимацию исправляют перемещением сетки нитей на половину смещения.
5. Ось вращения трубы должна быть параллельна нижней плоскости линейки.
Для определения параллельности визируют на близкую высоко расположенную точку (например, на стене здания). Затем опускают трубу и отмечают внизу точку, на которую проектируется перекрестие нитей. Переводят трубу через зенит и повторяют предыдущие действия. Несовмещение отмеченных точек характеризует двойную величину ошибки. У современных кипрегелей исправление выполняется на заводе. Для кипрегелей более раннего выпуска, у которых имеются винты, прикрепляющие колонку к линейке, ошибка устраняется вложением прокладки при незначительно вывинченных винтах.
6. При горизонтальном положении планшета грань серебряной Г-образной полоски в трубе кипрегеля КА-2 должна занимать вертикальное положение.
Для выполнения поверки вертикальную грань Г-образной полоски наводят на нить отвеса. При отклонении полоски от вертикального положения юстировку выполняют поворотом окулярного колена трубы при ослабленных закрепительных винтах.
7. Коллимационная плоскость трубы должна проходить через скошенный край линейки или быть параллельной ему.
Для проверки этого условия наводят перекрестие нитей на предмет местности и по концам скошенного края линейки вкалывают вертикально две тонкие иглы. При соблюдении условия предмет должен находиться в створе игл. В кипрегелях старой конструкции ошибка устраняется перемещением линейки. У современных кипрегелей ошибка устраняется на заводе.
8. Место нуля вертикального круга должно быть неизменным и близким к нулю или 90°. Допускаются отклонения +/- 0,5'.
Место нуля определяется из многократных наблюдений при двух кругах четко видимых удаленных предметов. Следует учесть, что визирной линией будет линия, соединяющая центр объектива с точкой пересечения начальной окружности и правой вертикальной грани посеребренной полоски. Перед каждым отсчетом по вертикальному кругу необходимо выводить пузырек уровня на середину.
Величина места нуля и угла наклона вычисляется по формулам

, (8)
где М0 - место нуля вертикального круга;

- угол наклона;
КП - отсчет по вертикальному кругу при "круге право";
КЛ - отсчет по вертикальному кругу при "круге лево".
Место нуля исправляют при помощи юстировочных винтов уровня при вертикальном круге.
Перед съемочными работами у кипрегелей-автоматов должны быть определены фактические значения коэффициентов горизонтальных проложений и превышений. Определяются они так же, как у тахеометра ТА-2
(глава 1.3.1).
К мензуле предъявляются следующие требования:
1. Мензула должна быть устойчивой. После временного воздействия на доску усилия в 2 - 3 кг она должна занять прежнее положение.
2. Верхняя поверхность мензульной доски должна быть плоскостью. Между ребром выверенной линейки и плоскостью доски не должно быть просветов более 0,5 мм.
3. Верхняя поверхность мензульной доски должна быть перпендикулярна к оси вращения подставки.
Доска приводится в горизонтальное положение с помощью цилиндрического уровня. При вращении мензульной доски вокруг оси пузырек не должен отклоняться от нульпункта более чем на 2 деления. При несоблюдении условия исправление делается в мастерской.
4. У центрировочной вилки острие и точка прикрепления отвеса должны лежать на одном отвесной прямой.
Проверяется условие при двух положениях вилки. Если острие отвеса проектируется не в одну точку, то исправление делается смещением точки крепления отвеса.
Для крупномасштабных топографических съемок вполне пригодны обычные нивелирные рейки с сантиметровыми делениями. При использовании таких реек в комплекте с тахеометром или кипрегелем необходимо тщательно определять коэффициент дальномера.
Некоторые тахеометры комплектуются специальными рейками заводского изготовления.
Помимо того для съемок различных масштабов могут быть изготовлены специальные рейки из цельного деревянного бруска длиной 3 - 4 м (рис. 10). Брусок должен быть обработан так, как это принято для реек нивелирования IV класса или технического нивелирования.
Рис. 10. Специальные рейки для съемок различных масштабов
Деления необходимо наносить с учетом коэффициента дальномера. Для этого на равной, горизонтальной местности измеряют лентой линию длиной 100 м с точностью не ниже 1:1000. На одном конце линии устанавливают инструмент, а на другом вертикально брусок
[14]. Трубу инструмента наводят так, чтобы одна крайняя нить проектировалась на верхний срез бруска, а проекцию другой нити отмечают на бруске. Далее крайнюю нить наводят на сделанную отметку, проекцию другой еще раз отмечают на бруске. Полученные два интервала измеряют, расхождение между ними не должно различаться более чем на 1:1000 длины интервала.
Интервалы делят на части в соответствии с принятой ценой деления. Раскраску полученных частей производят масляными или эмалевыми красками по образцам, показанным на
рис. 10, или по другим, удобным для исполнителя работ.
1.3.4. Дополнительные приспособления и приборы
Для наземных съемок, кроме основных инструментов, используются отдельные вспомогательные приспособления и приборы:
- картографические столики;
- эккеры;
- эклиметры;
- ленты, рулетки;
- зонты топографические.
Картографические столики по конструкции подразделяются на две группы: столики с устройством для перемотки рулонного материала и столики с планшетом для листового чертежного материала.
Первую группу составляют столик-тахеограф Оглоблина Д.Н. и мензульный столик Якунина В.С.
Ко второй группе картографических столиков относятся столик Karti ("Карл Цейсе", Йена, ГДР), столик Цветанова (НРБ), столик Юнга ("Брейтгаупт", ФРГ).
Картографический столик Karti (рис. 11) является дополнительным устройством к главному инструменту - редукционному тахеометру Dahlta 010, Dahlta 0520, Redta 002, BRT006 или тахеометрическому теодолиту Theo 020, Theo 030, Theo 120.
Рис. 11. Картографический столик Karti
Столик Karti состоит из следующих основных частей (см.
рис. 11):
а) трегер картографического столика 7;
б) вставная цапфа тахеометра 9;
в) вращающаяся часть картографического столика 8;
г) зажимное кольцо 5;
д) мост для крепления масштабной линейки и устройства для наколки пикетов 6;
е) приспособление для наколки пикетов 4;
ж) масштабная линейка 3;
з) откидывающаяся

лупа для отсчитывания по масштабу 2.
Столик Karti соединяется с главным инструментом механическим приспособлением. Вставная цапфа тахеометра вставляется в трегер картографического столика, закрепляется закрепительным винтом и алидада главного инструмента соединяется посредством не имеющего свободного хода сцепления с вращающейся частью картографического столика Karti.
Нанесение снятых точек и рисовка плана выполняется на чертежном листе диаметром 250 мм непосредственно на месте стоянки. Погрешность нанесения пикетов не превышает +/- 0,1 мм.
Картировочный столик Цветанова устроен подобно столику Karti.
Тахеометрический столик Юнга представляет собой облегченную мензулу с металлическим квадратным планшетом и кронштейном для установки тахеометра, повороты которого посредством шарнирного механизма передаются на чертежное устройство.
При съемке ситуации, а также при выполнении съемок на малых участках (эккерная съемка) применяются приборы, с помощью которых на местности разбивают прямые, пересекающиеся под углами 45°, 90° и 135°. Приборы, при помощи которых строят эти постоянные углы, называются эккерами. Они подразделяются на два вида: простые и оптические.
Простой, так называемый крестообразный эккер состоит из двух взаимно перпендикулярных планок длиной 20 - 30 см с диоптрами или иглами на концах. Крестообразные эккеры могут быть изготовлены на месте работ исполнителем.
К оптическим относятся двухзеркальные и призменные эккеры. Наиболее распространены двухзеркальные эккеры (рис. 12).
Рис. 12. Двухзеркальные эккеры
Двухзеркальный эккер состоит из двух пластинок с прорезями в верхних частях (или без них), образующих двухгранный угол. На внутренних поверхностях пластинок прикреплены два плоских зеркала; угол между ними должен быть равен 45°. Снизу к корпусу привинчена ручка с крючком для отвеса.
Длина эккера 45 мм, масса 200 г, точность построения прямого угла +/- 5'
[14].
Перед работой эккер с углом 90° проверяют и юстируют построением прямого угла проверяемым эккером либо на предварительно построенном при помощи теодолита прямом угле на местности.
Суть проверки и юстировки построением прямого угла эккером состоит в следующем. Сначала строят угол
(рис. 13) от линии CA и выставляют вехи

, затем строят угол

от линии CB и ставят веху

. Если два направления

и

из точки C совпадут, то угол

равен прямому, в противном случае ставят веху

по середине между вехами

и

и изменяют угол между зеркалами при помощи юстировочных винтов. Для случая, показанного на рис. 13, угол между зеркалом меньше 45°. Если на местности построен прямой угол теодолитом, то юстировка выполняется аналогично. Для проверки эккеров с углами 45 и 135° соответствующие углы строят теодолитом.
Рис. 13. Проверка и юстировка эккера построением
прямого угла
Эклиметр - прибор для измерения углов наклона с точностью до 15 - 20'. Если поставить условие, чтобы погрешность определения горизонтального проложения, обусловленная погрешностью измерения угла наклона, не превышала 1:2000, то эклиметром можно измерять углы наклона до 6°
[17].
Из всех существующих типов эклиметров наиболее удобен для измерения углов наклона эклиметр Брандиса (рис. 14).
Рис. 14. Эклиметр Брандиса
На боковой поверхности вертикального круга нанесены деления через один градус от нуля по обе стороны с обозначением знака угла наклона.
При правильной юстировке эклиметра линия, проходящая через центр круга и нулевой штрих, должна занимать горизонтальное положение. Выполнение этого условия достигается смещением грузика. Проверка производится измерением угла наклона с обоих концов линии. Если условие выполнено, то значения углов (отсчетов) по абсолютной величине будут равны.
Верное значение угла наклона можно получить и неотъюстированным эклиметром, если угол измерять с обоих концов линии и брать среднее арифметическое из отсчетов по кругу.
При измерении угла наклона нажатием на кнопку освобождается круг, визирная труба наводится на метку вехи, равной высоте глаза наблюдателя над землей. После успокоения круга производится отсчет по кругу через лупу, пользуясь при этом волоском как индексом.
Ленты и рулетки используются при съемке ситуации полярным способом, линейными засечками, при обмерах зданий и др.
При работе в ясную погоду применяют специальные зонты для защиты мензулы от прямых солнечных лучей и защиты глаз исполнителя от ослепляющего действия отраженных лучей от планшета.
КОМБИНИРОВАННАЯ СЪЕМКА НА ФОТОПЛАНАХ
Содержание этого варианта аэрофототопографической съемки состоит в том, что контурная часть топографического плана создается на основе фотоплана, а съемка рельефа выполняется наземными способами.
Общая технологическая схема комбинированного способа аэрофототопографической съемки на фотопланах (рис. 15) содержит ряд технологических процессов. Пять из них аналогичны технологическим процессам других способов съемки, и описание их дано в соответствующих разделах Руководства. В настоящей главе даются рекомендации по выполнению процессов, характерных только для данного вида съемки: съемки контуров на фотопланах и полевой съемки рельефа на фотопланах. Оба процесса могут выполняться как одновременно, так и в разное время.
Рис. 15. Общая технологическая схема комбинированного
способа аэрофототопографической съемки на фотопланах
Съемка контуров и рельефа производится на репродукции с мозаичного фотоплана или непосредственно на фотоплане, полученном методами оптического монтажа или ортофототрансформирования.
Фотоплан или репродукция с него изготавливаются на матовой или полуматовой фотобумаге, наклеенной на алюминии, и должны иметь хорошее фотографическое качество, т.е. нормальную резкость и плотность, ровный тон и наиболее полную проработку деталей. Насыщенность тона фотоизображения должна быть такой, чтобы вычерченные карандашом линии были легко различимы на всех частях фотоплана. С этой же целью рекомендуется тонирование фотоплана в синий или коричневый цвет.
При съемке территорий с малоэтажной застройкой в случае наличия материалов картографического значения целесообразно изготавливать репродукцию с фотоплана на матированном пластике.
Перед началом работ по съемке проверяется точность составления фотопланов путем накладки на них пунктов геодезического обоснования и сличения промеров, взятых с фотоплана, и промеров из зарисовок привязок пунктов.
2.2. СЪЕМКА КОНТУРОВ НА ФОТОПЛАНАХ
Технологический процесс крупномасштабной съемки контуров на фотопланах подразделяют на две части: камеральные и полевые работы (рис. 16).
Рис. 16. Технологическая схема съемки контуров на фотопланах
Камеральные работы при съемке контуров на фотопланах заключаются в выделении и распознавании по фотоизображению объектов, подлежащих отображению на топографическом плане заданного масштаба, установлении их качественных и количественных характеристик. Для этих же целей максимально используются и материалы картографического значения.
Полевые работы состоят из проверки и доработки результатов дешифрирования в отношении объектов, неуверенно распознающихся на фотоплане из-за малых размеров, слабого контраста, закрытия тенью и т.д., инструментальной досъемки местных предметов и контуров, не изобразившихся при аэрофотосъемке, и сбора ряда топографических сведений о местности, которые вообще не могут быть получены по аэроснимкам (географические названия, огнестойкость зданий и т.п.).
Соотношение затрат времени и средств между обеими частями зависит от многих факторов, главными из которых являются:
- сложность условий района работ;
- топографическая изученность местности;
- давность аэрофотоматериалов.
Вид, местонахождение и порядок использования материалов картографического значения определяются в техническом проекте и конкретизируются в редакционных указаниях по объекту.
Вышеприведенную технологическую схему необходимо применять на наиболее сложных объектах, какими являются застроенные территории городов и промплощадок. На простых объектах и в случае выполнения комплекса полевых и камеральных работ по съемке контуров на фотопланах одним исполнителем некоторые процессы могут исключаться, например, сбор сведений о местности, контроль камеральных работ и т.п.
Объекты, сведения о которых получены в ходе камеральных работ и вызывают сомнения, вычерчиваются в карандаше до уточнения в поле. Окончательные результаты камеральных и полевых работ должны быть вычерчены тушью на фотоплане с погрешностями не более +/- 0,2 мм и соответствии с условными знаками и надписями.
Контроль съемки контуров на фотопланах должен осуществляться выборочно.
2.2.1. Дешифрирование фотопланов
Субпроцесс дешифрирования фотопланов содержит три составные части: геометрическое, смысловое и измерительное дешифрирование (см.
рис. 16). Две первые части тесно взаимосвязаны.
Геометрическое дешифрирование заключается в выделении по разностям фототона местоположения и границ объектов, т.е. определения их контуров. При смысловом дешифрировании производится распознавание содержания выделенных контуров и определение качественных и количественных характеристик объектов. При измерительном дешифрировании определяются метрические характеристики объектов: расстояния между деревьями и ширина крон, высота леса и кустарника, ширина дорог и мостов и т.п.
Дешифрирование выполняется при стереоскопическом рассматривании фотоплана и аэроснимков. При небольших масштабных коэффициентах используются контактные отпечатки и зеркально-линзовые стереоскопы (ЛЗ, ЗЛС-1). При масштабных коэффициентах 1,5 - 3 используются увеличенные до масштаба фотоплана аэроснимки и те же стереоскопы либо контактные отпечатки и стереоскопы, позволяющие наблюдать разномасштабные изображения, например, стереоскоп Баштана, ЗЛС-2, или интерпретоскоп. При масштабных коэффициентах свыше 3 дешифрирование контуров фотопланов рекомендуется выполнять на интерпретоскопе с использованием диапозитивов, изготовленных на стеклянных пластинках.
Для измерительного дешифрирования следует использовать измерительные лупы, стереоскопы с параллаксометрами и интерпретоскоп.
В процессе геометрического дешифрирования границы контуров и оси объектов закрепляются на фотоплане мягким, тонко отточенным карандашом с погрешностью не более графической точности плана.
Местоположение прямолинейных четких контуров - зданий, кварталов, изгородей и т.п. - закрепляется на фотоплане наколами по углам поворотов прямых линий, после чего наколы соединяются по линейке карандашом.
Наиболее трудной задачей при геометрическом дешифрировании является правильное определение положения на фотоплане оснований высоких объектов (здания, сооружения и т.п.), поскольку, как правило, на аэроснимках изображается только верхняя часть (крыши) этих объектов.
Если на фотоплане видна хотя бы часть основания высокого объекта, имеющего в плане правильную прямоугольную форму или окружность, то задачу можно решать следующими способами.
Первый способ определения основания высоких зданий применяется, если на фотоплане изобразились три угла основания (рис. 17). Четвертый угол находится в пересечении прямых, проведенных через соответствующие углы основания параллельно изобразившимся сторонам.
Рис. 17. Определение основания здания по двум видимым
на фотоплане сторонам
При наличии теней величиной 2 мм и более следует применять второй способ определения планового положения основания зданий, суть которого поясняется рис. 18. Недостающие точки основания здания

и

находятся в пересечении перпендикуляров, восставленных в точках

и

, с линиями направления теней

и

, проведенных параллельно линии

через точки b и c. Этот способ применим, если величина карниза здания не превышает 0,5 мм в масштабе фотоплана.
Рис. 18. Определение основания здания с помощью теней
Суть третьего способа (рис. 19) заключается в нахождении точки пересечения направления, проведенного из центральной точки снимка на изображение верха данного контура, с направлением тени от этого контура. Если здание имеет карнизы величиной более 0,3 мм в масштабе фотоплана, то необходимо
(рис. 20) центральное направление проводить не через угол крыши (точка b), а через верх угла здания (точка b'). Эта точка находится путем откладывания ширины карниза (k) от соответствующих краев изображения крыши.
Рис. 19. Определение оснований зданий и сооружений с помощью
теней и центральных направлений
Рис. 20. Учет величины карниза крыши при третьем
графическом способе
Если на фотоплане изобразилась только одна сторона здания (рис. 21), то применяют четвертый способ. При этом сначала вычерчивают видимую на фотоплане сторону здания, затем из одного конца вычерченной стороны восставляют перпендикуляр и откладывают на нем ширину здания l или длину, в зависимости от того, какая сторона изобразилась на аэроснимке, измеряя ее фотограмметрически или, в крайнем случае, непосредственно в натуре. После этого через другой конец вычерченной стороны проводят линию, параллельную восставленному перпендикуляру, и также откладывают на ней ширину здания. Полученные таким образом наклоны и будут являться искомыми углами здания, соединяя которые, находят контур основания его.
Рис. 21. Определение основания здания по одной стороне
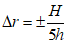
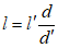
Для фотограмметрического определения ширины здания необходимо измерить ширину крыши l' и величину карниза k. С учетом поправок за разномасштабность крыши и основания ширина здания l определяется по формуле

, (9)
где H - средняя высота фотографирования;
h - высота здания.
В случае, когда основание здания или сооружения имеет форму многоугольника, то положение невидимых на фотоплане углов основания определяется путем введения соответствующих поправок в изображения углов крыши таких объектов или, в крайнем случае, путем полевых измерений и линейных засечек от ближайших надежно определенных контурных точек.
В изображение верха объекта вводятся следующие графические поправки:
- за перспективное смещение верха объекта;
- за разномасштабность изображения основания и верха объекта;
- за величину карнизов крыш.
Поправки за перспективное смещение верха объектов на фотоплане

вычисляются по формуле

, (10)
где r - удаление изображения точки верха объекта от центра снимка, измеренное на фотоплане.
Знак "минус" в
формуле (10) показывает, что для нахождения точки основания необходимо от изображения точки верха объекта отложить величину поправки в направлении к центру снимка.
Для вычисления поправки за перспективное смещение с точностью +/- 0,1 мм по
формуле (10) необходимо знать высоту здания h (рис. 22) с относительной погрешностью

не ниже, чем указано в
табл. 6.
Рис. 22. Определение высоты здания
r, мм | 100 | 200 | 300 |
| 1:1000 | 1:2000 | 1:3000 |
Требуемая точность может быть обеспечена при стереоскопическом измерении высоты зданий с использованием стереоскопа и параллаксометра до r = 100 мм и на интерпретоскопе до r = 300 мм.
Для различных точек объектов равной высоты перспективные смещения принимаются одинаковыми, если удаление их от центра снимка различается на величину

, меньшую, чем вычисленная по формуле

. (11)
Величина зон равных перспективных смещений (в мм) для зданий различной этажности приведена в табл. 7.
Этажность зданий | Высота фотографирования, км |
0,5 | 1,0 | 1,5 | 2,0 | 2,5 | 3,0 | 3,5 | 4,0 |
5 | 6,7 | 13,3 | 20,0 | 26,6 | 33,3 | 40,0 | 46,7 | 53,3 |
9 | 3,7 | 7,4 | 11,1 | 14,8 | 18,5 | 22,2 | 25,9 | 29,6 |
Если на фотоплане изобразился хотя бы один угол основания здания, то величину перспективного смещения рекомендуется снимать с помощью измерителя непосредственно с фотоплана и использовать ее для введения поправок в изображение верха зданий равной с ним высоты. Когда разность отстояний от центра снимка

для точек получения и введения поправки за перспективное смещение превышает величину, указанную в
табл. 7, следует учитывать разницу поправок, вычисляемую по формуле

. (12)
Разномасштабность изображения основания и крыши здания не учитывается, если параметры здания: высота h и ширина (или длина) l', измеренные на фотоплане, и высота фотографирования находятся в соотношении

. (13)
Поправка за разномасштабность может быть вычислена по формуле

. (14)
Иначе ширину (длину) основания здания можно вычислить по формуле

, (15)
если на фотоплане предварительно измерить величины d, d' и l' (рис. 23).
Рис 23. Определение поправки за разномасштабность
изображения основания и крыши
Размеры карнизов крыш бывают весьма различны: от 30 см до 1,5 - 2,0 м. Поправку за карнизы необходимо вводить, если размеры их превышают величины, приведенные в табл. 8.
Таблица 8
| | ИС МЕГАНОРМ: примечание. Масштабы даны в соответствии с оригиналом. | |
Масштаб фотоплана | 1:6000 | 1:2000 | 1:1000 | 1:500 |
Величина карнизов крыш, м | 1,0 | 0,4 | 0,2 | 0,1 |
Точность определения карнизов не должна превышать половины этих величин.
Если фотоизображение четкое, то величину карниза можно измерить по фотоплану или по тени (от угла крыши до угла постройки). При типовой застройке достаточно выполнить такие определения для двух-трех зданий.
В случае, когда по фотоизображению таких определений сделать нельзя, то выполняется непосредственный обмер в натуре сооружения по методу горизонтальной съемки.
Полнота смыслового дешифрирования зависит от уровня знания закономерностей отображения топографических объектов на аэрофотоснимках, полученных при конкретных условиях аэрофотографирования, и определяется рядом факторов, которые необходимо учитывать при выполнении данного вида работ. Прежде всего, это квалификация исполнителя, зависящая от профессиональной подготовки и опыта. Для повышения профессиональной подготовки рекомендуется чаще чередовать камеральное дешифрирование и полевую корректуру одним исполнителем.
Необходимо создание эталонов (ключей) дешифрирования. И, наконец, использование материалов картографического значения не только повышает полноту камерального дешифрирования, но и позволяет наносить объекты, не изобразившиеся на фотоплане, сокращая тем самым объем полевой досъемки. Отдельные характеристики объектов, которые нельзя получить по аэроснимкам непосредственно, могут быть определены на основе корреляционных зависимостей, существующих между изображениями и характеристиками объектов, от дешифрированных или полученных по картографическим источникам.
С этой целью необходимо использовать опыт отраслевого дешифрирования. Так, при дешифрировании лесов следует пользоваться таблицами зависимостей средней высоты деревьев от максимальной, измеряемой по аэроснимкам, а также толщины деревьев от густоты и высоты.
2.2.2. Использование материалов картографического значения
По точности материалы картографического значения подразделяются на измерительные, т.е. такие, которые могут быть использованы для измерений с целью переноса отдельных объектов на фотоплан, и справочные.
По справочным материалам картографического значения следует определять в камеральных условиях возможно больше топографических характеристик местности. Сюда относятся географические названия; наименования улиц; номера домов; характеристики зданий по огнестойкости, этажности и назначению; принадлежность выходов подземных коммуникаций к различным инженерным сетям и т.п.
Измерительные материалы картографического значения необходимо использовать для производства досъемки в камеральных условиях. Обычно это планы масштаба, равного масштабу фотоплана или крупнее, если они удовлетворяют требованиям в отношении их точности.
При небольшом объеме досъемки неизобразившиеся контуры наносятся на фотоплан с помощью линейных засечек. Засечки выполняются с помощью циркуля с учетом масштабного коэффициента. Число засечек не менее трех. Если стороны треугольника погрешности превышают 0,3 мм, то измерения следует выполнить от других, более надежных контуров. Для нанесения неизобразившихся контуров на фотоплан рекомендуется применять также способ перпендикуляров.
При больших объемах досъемки следует использовать оптический проектор или специальный проектор для микрофильмов. В последнем случае фотоплан должен быть изготовлен на матированном пластике. Фотоплан на прозрачной основе удобно применять и при выполнении пополнения с калек, планшетов на жесткой основе, электрографии, с планов, масштаб которых равен масштабу фотоплана.
Отдешифрированные фотопланы контролируются квалифицированным специалистом. Все выявленные поправимые пропуски и ошибки устраняются; устранение должно быть проверено. Замечания и неясности, которые в процессе дешифрирования и контроля не могут быть устранены, фиксируются в акте приемки или корректурном листе фотоплана.
В случае простых объектов на корректурном листе указывается местоположение неясных мест (в каком квадрате), которые в последующем должны быть выяснены путем полевой корректуры.
В результате камеральных работ сдаются следующие материалы:
- дешифрированный фотоплан;
- корректурные листы;
- акты приемки.
Оформленные фотопланы направляются в поле, где комплексно одновременно выполняются:
- полевая корректура отдешифрированных контуров;
- инструментальная досъемка неизобразившихся контуров;
- полевое обследование местности.
2.2.3. Полевые работы по съемке контуров на фотоплане
Перед производством полевых работ составляется проект их в виде схем, на которых выделяются участки со сплошной, маршрутной и выборочной корректурой. Проект составляется на основании корректурных листов, полученных в результате контроля камеральных работ по съемке контуров на фотоплане.
Полевая корректура производится путем обхода местности и заключается в сличении местности с отдешифрированным фотопланом. Густота проложения маршрутов зависит от сложности района работы. Неверно отдешифрированные или исчезнувшие контуры зачеркиваются синим мягким карандашом, пропущенные контуры доснимаются. Характеристику контуров на фотоплане можно подписывать карандашом прописью, например: "кусты", "фруктовый сад" и т.д.
Во избежание пропуска отдельных объектов рекомендуется сначала обойти определенный участок территории по естественным границам, легко опознаваемым на снимке, а затем эти замкнутые участки пересечь маршрутами. Например, на застроенной территории маршруты обхода следует намечать по фасадной линии квартала. Если улица неширокая, одновременно проверяют дешифрирование фасадов зданий противоположной стороны и ситуации проездов. После этого квартал пересекается поперечными маршрутами. Количество таких маршрутов будет зависеть от сложности ситуации и плотности внутриквартальной застройки.
Работу по корректуре дешифрирования следует вести отдельными участками, путем постепенного отрабатывания сплошного массива. Не рекомендуется переходить на обработку следующего участка, если предыдущий участок не полностью откорректирован. Это ведет, как правило, к излишней трате времени и сил на передвижение, а также к возможным пропускам.
В тех случаях, когда при полевой корректуре на местности, обнаруживаются объекты, изображение которых на фотоплане по тем или иным причинам отсутствует, необходимо нанести их на фотоплан путем инструментальной досъемки.
Наиболее часто досъемка недостающих контуров выполняется от исходных контуром фотоплана способом горизонтальной съемки.
В качестве съемочных точек следует выбирать четкие точки местности, надежно опознаваемые на фотоплане. Схема измерений должна иметь избыточные промеры для осуществления графического контроля. Сторона треугольника погрешности, образующегося при этом, считается допустимой, если она не превышает 0,4 мм.
Расстояния на местности рекомендуется измерять средствами, приведенными в табл. 9, в порядке возрастания их производительности. Там же указаны предельно допустимые длины линий в метрах.
Таблица 9
Средства измерения | Масштаб плана |
1:5000 | 1:2000 | 1:1000 | 1:500 |
1. Лента или компарированная металлическая рулетка | - | - | 300 | 150 |
2. Тесемочная рулетка | - | 400 | 200 | 100 |
3. 2-, 3-метровая рейка | 75 | 30 | 15 | 8 |
4. Телетоп | | | | |
при коэффициенте | 100 | - | - | - | |
| 250 | - | | | - |
| 500 | | - | - | - |
5. Дальномер-высотомер лесной (ДВЛ) | | | - | - |
6. Шаги | 30 | - | - | - |
В условиях интенсивного транспортного и пешеходного движения в городах измерение расстояний выполняется ручными внутрибазисными дальномерами Телетоп или ДВЛ.
В тех случаях, когда применение вышеуказанных способов для досъемки неизобразившихся контуров местности затруднительно, следует применять методику и допуски мензульной или тахеометрической съемок с точек съемочного обоснования или четких контурных точек фотоплана.
Полевое обследование имеет целью получение характеристик объектов местности, которые отображаются на топографическом плане соответствующего масштаба, но не могут быть получены по фотоплану или по материалам картографического значения. Сюда относится подразделение зданий по огнеупорности, на жилые и нежилые, назначение зданий и т.п.
Одновременно проверяется правильность данных, полученных при камеральном изучении материалов картографического значения.
Результаты досъемки и обследования наносятся на фотоплан в поле карандашом. Однако не позднее чем на следующий день отработанный участок фотоплана вычерчивается в туши.
Для обеспечения высокого качества полевой корректуры проверка и текущий контроль работ должны осуществляться систематически, в течение всего процесса на данном участке и у каждого исполнителя в отдельности. Проверка производится как в поле, так и камерально. Как полевой, так и камеральный контроль производится начальником партии лично или по его поручению инженером, имеющим достаточный опыт.
Обнаруженные в результате контроля недостатки отмечаются в контрольном листке или акте, устанавливается срок на исправление их. Если при контроле будут обнаружены значительные неправильности в корректуре, то эту часть корректируют заново. До исправления обнаруженных недостатков новую работу исполнителю, как правило, поручать не следует.
По окончании дешифрирования фотоплана сдаются следующие материалы:
- отдешифрированные, вычерченные в туши и оформленные фотопланы;
- сводки по рамкам;
- акты контроля;
- формуляры с заполнением соответствующих разделов.
2.3. ПОЛЕВАЯ СЪЕМКА РЕЛЬЕФА НА ФОТОПЛАНАХ
Съемку контуров на крупномасштабных фотопланах застроенных территорий целесообразно производить отдельно от съемки рельефа. На незастроенных территориях с наличием большого количества контуров, рассредоточенных по площади съемки, отождествление местоположения которых будет одновременно сопровождаться набором высотных пикетов для нанесения рельефа, дешифрирование фотопланов рекомендуется выполнять одновременно со съемкой рельефа.
В последнем случае в целях быстрого изготовления копии со съемочных планшетов рекомендуется при съемке на фотоплане рисовку рельефа и ситуации выполнять не непосредственно на фотоизображении, а на матированном прозрачном не деформирующемся пластике, прочно закрепленном на фотоплане. При этом особое внимание следует обращать на качество черчения и применения деколей при оформлении планов.
Для изучения общего характера рельефа в поле необходимо использовать контактные отпечатки. На участки со сложным рельефом должны быть изготовлены увеличенные до масштаба фотоплана снимки. Точки съемочных ходов, пикеты и характерные точки следует намечать при стереоскопическом рассматривании снимков и фотоплана.
Съемку рельефа на фотоплане целесообразно выполнять при большом числе контуров местности, например, пойменные участки с большим количеством стариц, проток, меандр, даже и случае сплошного покрытия участка лесом или кустарником. При съемке лесных и парковых массивов при наличии полян и редин на опушках леса выбираются места для съемочных точек, с которых выполняют съемку непросматриваемых участков местности методами мензульной или тахеометрической съемки.
Съемка рельефа на фотопланах выполняется методами и средствами, аналогичными съемке рельефа на чистой основе (мензульная, тахеометрическая съемки, нивелирование площадей) при густоте планового съемочного обоснования, уменьшенной на 15 - 20%. При работе на застроенных территориях применяется методика вертикальной съемки застроенных территорий, при которой определяются отметки точек контуров плана или плановое положение высотных пикетов относительно контурных точек.
Основным отличием является то, что плановое положение точек съемочного обоснования при совмещении их с графическими или тоновыми контурами может быть получено непосредственно с плана. Поэтому отпадает необходимость в проложении теодолитных ходов при развитии съемочного обоснования.
При съемке рельефа на фотоплане развивается высотное съемочное обоснование путем проложения ходов геометрического или тригонометрического нивелирования. Точки съемочных ходов предпочтительнее намечать на четких, хорошо опознаваемых контурах или в местах, где эти точки могут быть легко нанесены на фотоплан методом "створов" или промерами от ближайших контурных точек. Если съемочная точка не опознается на фотоплане, то ее положение определяется одним из следующих способов:
- обратной засечкой по пунктам геодезической основы или опознанным четким контурам методом приближений;
- методом продолжения по направлению и расстоянию, определенным с предыдущей точки, с проверкой обратными засечками по пунктам геодезической основы или опознанным контурам.
Ориентирование фотоплана следует выполнять с контролем по нескольким контурным точкам, видимым на местности и изображенным на фотоплане.
При определении отметки пикета, совпадающего с хорошо видимой контурной точкой, расстояние до него следует определять по фотоплану, а угол наклона измеряется непосредственно.
По завершении съемки рельефа на фотоплане оформляется следующий материал:
- журналы сгущения планового и высотного съемочного обоснования;
- журналы съемки;
- кальки высот;
- акты приемки полевых работ.
ТАХЕОМЕТРИЧЕСКАЯ СЪЕМКА
3.1. СУЩНОСТЬ МЕТОДА ТАХЕОМЕТРИЧЕСКОЙ СЪЕМКИ
Тахеометрическая съемка является наиболее распространенным методом наземной топографической съемки. Быстрота тахеометрической съемки достигается благодаря тому, что все измерения, необходимые для определения положения снимаемой точки местности как в плане, так и по высоте, выполняются комплексно, одним измерительным инструментом - тахеометром при одном наведении трубы. План местности при этом методе составляется камеральным путем.
Тахеометрическая съемка имеет существенное преимущество перед всеми другими видами наземных съемок в тех случаях, когда полевую часть работы требуется выполнить в кратчайший срок или когда нет благоприятной погоды для выполнения съемки другими методами. Она применяется для создания планов небольших участков как основной вид съемки или в сочетании с другими видами, а также при съемках вдоль трасс, проектируемых и существующих линейных сооружений, застроенной территории и там, где применение другого вида съемки экономически нецелесообразно и технически невозможно. Этот метод съемки может применяться для вертикальной съемки рельефа с одновременной подсъемкой ситуации на площадях, покрытых горизонтальной съемкой.
Недостатком тахеометрической съемки является то, что составление плана камеральным путем исключает возможность сличения его с местностью, вследствие чего возможны пропуски отдельных деталей и искажения в изображении рельефа.
Плановое положение снимаемых точек местности при тахеометрической съемке определяется путем измерения, полярных координат, т.е. измеряется горизонтальный угол между направлениями на точку съемочного обоснования и снимаемую точку до снимаемой точки местности.
Расстояния, как ранее отмечалось, при тахеометрической съемке определяются дальномером.
Если съемка ведется тахеометром с нитяным дальномером, то расстояние вычисляется по формуле
h = Kn + C, (16)
где K - коэффициент дальномера;
n - число делений на рейке между дальномерными нитями;
C - постоянная дальномера, равная полуторному значению длины трубы при фокусировке ее на удаленный предмет.
Фактическое значение коэффициента и постоянного слагаемого дальномера для каждого инструмента находится из специально поставленных измерений.
В большинстве случаев тахеометрическая съемка ведется наклонным лучом, вследствие чего формулы усложняются.
Горизонтальное проложение расстояний вычисляется по формуле

. (17)
При тахеометрической съемке с помощью инструментов-полуавтоматов и автоматов поправка за наклон линий вводится автоматически, что позволяет непосредственно по рейке измерять горизонтальное проложение.
Высотное положение снимаемых точек определяется в зависимости от типа применяемого инструмента и условий местности тригонометрическим нивелированием, нивелированием горизонтальным лучом тахеометров.
Превышение при тригонометрическом нивелировании определяется по формуле

, (18)
где d - горизонтальное проложение линий;
i - высота инструмента;
v - высота визирной цели;
f - поправка за кривизну Земли и рефракцию.
Поправка за кривизну Земли и рефракцию вводится в измеренные линии, когда длина их превышает 270 м (см.
3.2). Иногда в практике визируют на отсчет по рейке, равной высоте инструмента, в этом случае вычисление превышений значительно упрощается, и
формула (11) принимает вид

. (19)
При измерении расстояний нитяным дальномером превышения определяются по формуле

, (20)
где

- угол наклона;
L - длина наклонной линии.
Вычисления горизонтального проложения и превышения по
формулам (17) и
(20) выполняются при помощи специальных таблиц, из которых ископаемые величины выбираются по углу наклона и дальномерному расстоянию.
В состав работ тахеометрической съемки входит:
- создание съемочного обоснования для тахеометрической съемки;
- съемка ситуации и рельефа;
- составление плана тахеометрической съемки.
В следующих параграфах освещаются эти виды работ.
3.2. СГУЩЕНИЕ СЪЕМОЧНОЙ СЕТИ
Станциями при тахеометрической съемке служат пункты триангуляции, полигонометрии, съемочного обоснования, тахеометрических ходов, а также переходные (висячие) точки от основного хода съемочного обоснования.
До начала тахеометрической съемки геодезическая основа должна быть доведена до плотности, обеспечивающей возможность производства съемки ситуации и рельефа с необходимой точностью.
Съемочные точки должны равномерно покрыть площадь, подлежащую съемке.
Минимальное количество съемочных точек на 1 кв. км, необходимое для тахеометрической съемки в зависимости от масштаба съемки, приводится в табл. 10.
Масштаб | Минимальное количество съемочных точек |
Четкие контуры | Нечеткие контуры |
на 1 км2 | на 1 планшет | на 1 км2 | на 1 планшет |
1:5000 | 22 | 89 | 10 | 40 |
1:2000 | 50 | 50 | 22 | 22 |
1:1000 | 80 | 20 | 36 | 9 |
1:500 | 142 | 9 | 64 | 4 |
Примечание. Количество точек на один планшет дается для прямоугольной разграфки.
Если густота съемочных точек, полученных при проложении теодолитных ходов, не отвечает требованиям
табл. 10, то производится сгущение съемочных сетей.
При тахеометрической съемке сгущение съемочных сетей выполняется тахеометрическими ходами, за исключением застроенных территорий, где тахеометрическая съемка выполняется только на съемочном обосновании.
В отличие от теодолитных ходов линейные измерения в тахеометрических ходах выполняются при помощи дальномера и дополнительно измеряются вертикальные углы.
Работы по продолжению тахеометрических ходов выполняются тем же инструментом, что и сама съемка, это позволяет производить их одновременно со съемкой. Направление и форма ходов выбираются так, чтобы с точек этих ходов имелась максимальная возможность обеспечения съемки подробностей. Для выполнения указанных требований по прокладке тахеометрических ходов обязательно проводится рекогносцировка. Тахеометрические ходы прокладываются в виде одиночных ходов, опирающихся на пункты съемочной сети более высокого разряда. Так как измерения линий в тахеометрических ходах выполняют дальномером, длины ходов между твердыми пунктами не должны превышать величины, вычисленной по формуле

,
где L - длина хода в м;
N - знаменатель численного масштаба съемки;
T - знаменатель относительной точности тахеометрического хода.
Максимальные длины ходов с относительной погрешностью 1:400 приведены в табл. 11.
Таблица 11
Масштаб | Максимальная длина хода, м | Максимальная длина линий, м | Максимальное число линий в ходе |
1:5000 | 1500 | 300 | 8 |
1:2000 | 600 | 200 | 4 |
1:1000 | 300 | 150 | 3 |
1:500 | Не применяются | | |
При прокладке тахеометрических ходов такие виды работ, как рекогносцировка, закрепление и привязка, выполняются по тем же правилам, что и при прокладке теодолитных ходов.
На участках с большими разностями отметок при выполнении съемки с сечением рельефа горизонталями через 1,0 м и больше допускается, в виде исключения, выполнять тригонометрическое нивелирование в пределах одного планшета без привязки к исходным пунктам геометрического нивелирования.
До начала производства работ в поле выполняются все необходимые поверки инструмента и определяется коэффициент дальномера используемого инструмента.
При проложении тахеометрических ходов на каждой станции выполняются угловые и линейные измерения в следующей последовательности:
1) установка инструмента над станцией;
2) измерение высоты инструмента;
3) наведение трубы на рейку (веху), установленную на задней (передней) точке хода;
4) взятие отсчета по дальномерным нитям;
5) взятие отсчета по горизонтальному кругу;
6) взятие отсчета по вертикальному кругу.
Операции 3, 4, 5, 6 повторяются для рейки, установленной на передней (задней) точке хода.
Так выполняется один полуприем, после чего трубу переводят через зенит, и все действия повторяются.
Установка инструмента включает две операции: центрировку его над точкой и приведение основной оси инструмента в вертикальное положение (нивелировку). Чем короче стороны тахеометрических ходов, тем точнее надо делать центрирование. Высота инструмента измеряется с помощью ленты или по рейке. Для этого трубу инструмента устанавливают горизонтально, и измерение делается до середины окуляра. Отсчет берется с точностью до +/- 1 см.
Визирование на рейку делается так, чтобы вертикальная нить сетки делила рейку примерно пополам.
Для определения длины стороны хода нижнюю дальномерную нить лучше наводить на целое число делений. Разность отсчетов по нижней и верхней нити, умноженная на коэффициент дальномера, дает длину стороны хода. Длина одной и той же стороны определяется дважды: по красной и черной сторонам рейки или по одной стороне, но по разным делениям рейки.
Относительная погрешность измерения длины линии зависит от типа используемого инструмента, поэтому разность между двумя измерениями расстояний не должна быть больше установленной допустимой относительной погрешности, приведенной в
табл. 3.
При измерении горизонтального угла визирование делается на низ рейки, установленной ребром к инструменту. При измерении следует вращать инструменты по часовой стрелке. Если визирование производится на переднюю точку хода, то получают правые по ходу углы, а при визировании на заднюю точку - левые.
Угловые измерения выполняются при двух положениях круга, одним приемом. Колебания значений углов, полученных из полуприемов, должны быть не более двойной точности отсчитывания по горизонтальному кругу.
При измерении вертикальных углов можно визировать на отсчет, равный высоте инструмента, либо на верх рейки. Допускается измерять вертикальные углы при одном положении круга, но в этом случае делают два визирования на рейку, на разную высоту.
Перед каждым отсчетом по вертикальному кругу необходимо проверять положение пузырька уровня при вертикальном круге. В случае уклонения от середины более чем на одно деление он приводится на середину с помощью винта при алидаде вертикального круга. Контролем измерения вертикальных углов является постоянство места нуля вертикального круга в пределах полуторной точности отсчитывания по вертикальному кругу. Место нуля вычисляется по формуле

, (21)
а угол наклона

или

. (22)
Все измерения записываются в полевой журнал (см.
Прил. 1).
Обработка полевого журнала должна вестись параллельно с производством работ. Вычисление горизонтальных проложений сторон хода и превышения выполняется по тахеометрическим таблицам
[2] или с помощью логарифмической линейки.
Расхождение между результатами измерений стороны в прямом и обратном направлениях не должно превышать 1:400. Расхождение в превышениях, полученных в прямом и обратном направлениях, допускается не более 4 см на 100 м.
Вычисление координат и отметок тахеометрических ходов выполняется в поле. Уравнивание ходов делается так же, как и теодолитных ходов. Оценка их определяется по следующим формулам:

, (23)
где

- угловая невязка;
n - число станций в ходе;

, (24)
где

- линейная невязка, м;
s - длина хода, м;
n - число измеренных линий в ходе.
Дирекционные углы при обработке вычисляются с округлением до

, приращения до 0,01 м.
Обработка высотной части тахеометрического хода делается в отдельной ведомости. Допустимая высотная невязка вычисляется по формуле

, (25)
где s - средняя длина линии в сотнях м;
n - число линий в ходе.
Невязку тахеометрического хода определяют по формуле

, (26)
где

- алгебраическая сумма средних значений превышений;

,

- отметки соответственно начальной и конечной точек хода.
Полученные невязки распределяют пропорционально длине линии. Высоты вычисляют с точностью до 0,01 м.
В результате обработки для каждой точки тахеометрического хода вычисляются координаты и отметки, которые в дальнейшем используются для составления плана.
Для получения координат переходных точек измеряют:
- горизонтальные углы одним полным приемом;
- расстояние дальномером дважды в прямом и обратном направлениях;
- вертикальные углы при двух положениях круга в прямом и обратном направлениях.
Расхождения в превышениях, подсчитанных обязательно в поле, не должны превышать 4 см на 100 м. Общее количество переходных точек, полученных тахеометрическим методом, не должно быть больше половины числа точек тахеометрических ходов. При этом измерения до переходных точек с точек тахеометрического хода не допускаются. С определенных таким образом пунктов съемочного обоснования выполняется съемка ситуации и рельефа местности.
3.3. СЪЕМКА СИТУАЦИИ И РЕЛЬЕФА МЕСТНОСТИ
Производство тахеометрической съемки ситуации и рельефа местности заключается в определении координат и высот точек местности снимаемого участка, по которым создается топографический план. Поскольку топографический план создается в камеральных условиях, особо важное значение при съемке ситуации и рельефа местности имеет правильный выбор пикетов, а также соблюдение расстояний до снимаемых точек, которые приведены в
табл. 2.
Тахеометрическая съемка производится тахеометрами различных конструкций. Наиболее распространенными являются тахеометры с вертикальным кругом. Основные требования к ним заключаются в следующем:
- вертикальный круг должен иметь точность отсчитывания не ниже 30';
- уровень при вертикальном круге должен иметь цену деления не более 25" на 2 мм, а при горизонтальном круге не более 30" на 2 мм ампулы;
- труба должна иметь увеличение не менее

и дальномерный коэффициент, близкий к 100;
- желательно иметь компенсатор вертикального круга или уровень на трубе с ценой деления 20 - 25" на 2 мм.
Наиболее производительными и удобными в работе являются диаграммные тахеометры типа тахеометра-полуавтомата ТП, тахеометров Dahlta 020 и Dahlta 010 (ГДР). При работе с этими тахеометрами горизонтальное проложение и превышение считываются по рейке с помощью специальных диаграмм, выведенных в поле зрения трубы.
Рейки для тахеометрической съемки могут быть изготовлены по методике, описанной в первой главе данной части руководства, а также могут использоваться нивелирные рейки с сантиметровыми делениями и рейки с подвижной пяткой, позволяющие непосредственно по рейке считывать отметки снимаемых точек.
Работы по съемке ситуации и рельефа местности ведутся по аналогии с работами по проложению тахеометрических ходов, но более упрощенно с исключением контрольных измерений.
Порядок работы на станции следующий:
1) установка инструмента и измерение его высоты;
2) определение места нуля;
3) измерение высоты инструмента;
4) ориентирование;
5) визирование на рейку, установленную на снимаемой точке;
6) наведение средней нити сетки на высоту инструмента, или на отсчет с целым делением, или верх рейки;
7) взятие отсчета по дальномерным нитям;
8) приведение уровня при вертикальном круге на середину;
9) взятие отсчета по вертикальному кругу;
10) взятие отсчета по горизонтальному кругу;
11) контроль ориентирования.
Измерительные работы начинаются с определения места нуля, убедившись, что оно не требует исправления, приступают к выполнению следующих операций. Высота инструмента измеряется с помощью рейки или рулетки с точностью до 1,0 см.
Для ориентирования инструмента совмещаются нули лимба и алидады, горизонтального круга, закрепляется алидада, открепляется лимб и визирная ось трубы наводится на точку съемочной сети, выбранной в качестве ориентирной. После этого лимб закрепляется и ориентирование считается законченным.
Для производства съемки открепляется алидада и, выполнив визирование на рейку, установленную на снимаемой точке, производят операции с 6 по 10.
Все измерения ведутся при одном положении вертикального круга, поэтому для последующего вычисления вертикальных углов в полевом журнале фиксируется положение вертикального круга (круг право, круг лево). В процессе съемки отклонение пузырька уровня при вертикальном круге допускается до одного деления. Операции 5 - 10 повторяются для всех снимаемых точек местности.
При спокойном рельефе местности съемку рекомендуется выполнять горизонтальным лучом, пользуясь тахеометром как нивелиром. Горизонтальность луча трубы тахеометра обеспечивается установкой по вертикальному кругу отсчета, равного месту нуля. В этом случае операция взятия отсчета по вертикальному кругу заменяется операцией установки отсчета, равного месту нуля. В процессе съемки диаграммными тахеометрами вместо отсчета по вертикальному кругу выполняется снятие превышения по рейке. При использовании тахеометров с компенсаторами вертикального круга исключается операция приведения пузырька уровня вертикального круга на середину, что существенно сказывается на производительности.
Работы на станции заканчиваются контролем ориентирования, изменение которого допускается не более 2,0'.
Если съемка выполняется одновременно с проложением тахеометрического хода, то к съемке пикетов на станции приступают после окончания всех измерительных работ, связанных с прокладкой хода.
Все данные измерений на станции заносятся в полевой журнал тахеометрической съемки (см.
Прил. 1). Вычисления в нем должны производиться в полевых условиях с использованием для вычисления горизонтальных проложений и превышений тахеометрических таблиц или логарифмической линейки. Поскольку все вычисления в журнале выполняются без контроля, необходима его повторная проверка.
Параллельно с журналом тахеометрической съемки ведутся кроки. Составление кроки является самой ответственной частью тахеометрической съемки, так как оно кладется в основу составления топографического плана камеральным способом в полевых условиях.
Кроки представляют собой сделанный от руки схематический план участка местности (см.
Прил. 1) и должны отражать взаимное расположение контуров ситуации, форм рельефа и направления главных линий скатов. В них заносятся все снятые контуры ситуации, местные предметы, отмечаются все станции стоянки и пикетные точки с номерами, показываются направления тахеометрических ходов, ориентирования инструмента. Элементы ситуации сопровождаются пояснительной подписью или рисуются в условных знаках. В кроки стрелками отмечается направление интерполирования горизонталей при составлении плана. Иногда при ярко выраженных формах рельефа в кроки горизонтали рисуются глазомерно.
При съемке необходимо следить за тем, чтобы нумерация реечных точек в журнале соответствовала нумерации этих же точек на кроки.
При производстве тахеометрической съемки особое внимание уделяется тому, чтобы между отдельными станциями, а также в радиусе съемки с каждой станции не было пропусков и "окон". Это достигается путем детального осмотра местности, подлежащей съемке с данной станции, и сопоставлением данных осмотра с кроки соседних станций. Границы съемки с отдельных станций стараются совместить с границами контуров.
В местности, бедной контурами и не имеющей ясно выраженного рельефа, границу съемки с каждой станции обозначают на местности.
Для контроля съемку на каждой станции выполняют с определенным перекрытием, равным не менее чем расстояние между реечными точками для данного масштаба съемки.
Результатом любой топографической съемки является топографический план снимаемого участка местности, способ создания которого зависит от метода съемки. При тахеометрической съемке план создается камеральным путем на основании результатов полевых измерений полярных координат и отметок снимаемых точек, кроки и абрисов.
Содержание топографических планов должно полностью отвечать требованиям нормативных документов.
Составление топографических планов по результатам тахеометрической съемки выполняется, как правило, в полевых условиях после обработки журналов и включает в себя следующие виды работ:
- построение координатной сетки;
- нанесение съемочных пунктов и точек тахеометрических ходов по координатам;
- накладка реечных точек по данным тахеометрического журнала и кроки.
Все графические построения производятся на жесткой основе (планшетах) и в исключительных случаях на плотной чертежной бумаге.
Перед составлением плана определяется номенклатура планшета для планов в масштабах 1:5000 и 1:2000, при косоугольной разграфке определяются координаты углов трапеций и наносятся на чертежную основу.
Перед накладкой съемочных точек на планшетах подписывают координатную сетку, начиная с нижнего левого угла, слева направо и снизу вверх для следующих масштабов:
- 1:5000 от 0 через 500 м до 2000 м и т.д.;
- 1:2000 от 0 через 200 м до 1000 м и т.д.;
- 1:1000 от 0 через 100 м до 500 м и т.д.;
- 1:500 от 0 через 50 м до 250 м и т.д.
Нанесение точек опорной и съемочной сети тахеометрических ходов производят по координатам при помощи координатографа или циркуля-измерителя и масштабной линейки.
Накладка съемочных точек контролируется путем сравнения расстояния, полученного на плане, и горизонтального проложения, взятого из ведомости координат (каталога). Допускается расхождение этих величин +/- 0,2 мм. Построенное таким образом плановое обоснование служит опорой для накладки снятых реечных точек.
При нанесении съемочных точек лучше накладывать сначала точки, расположенные вблизи границ снимаемого участка. Они дадут представление о размере и форме снятого участка.
Следующей операцией при составлении плана является накладка реечных точек, которая производится полярным способом с помощью транспортира. Построение облегчается, если использовать круглый транспортир или тахеограф
[23].
Около нанесенных реечных точек подписываются их номера и отметки, в соответствии с кроки на плане рисуются контуры ситуации и сооружения. Виды угодий (лес, пашня и т.д.) при составлении плана в карандаше обозначаются подписями, а не условными знаками.
Рельеф местности изображается горизонталями, которые интерполируются "на глаз". При сложном рельефе могут применяться следующие способы интерполяции:
- способ построения вспомогательных профилей;
- способ определения следов горизонталей с помощью кальки (восковки).
Интерполирование и проведение горизонталей выполняется в полном соответствии с кроки, начиная с нанесения вершин, седловин, ям, хребтов, лощин, направлений скатов, обрывов, нижних частей скатов и линий перегибов. После этого проводятся горизонтали вблизи хребтов, дна лощин и перегибов скатов. На построенном таким образом каркасе проведение всех остальных горизонталей значительно облегчается. Горизонтали проводят плавными линиями, соединяя точки с одноименными отметками. Через изображения полотна дорог, строений, сооружений, карьеров, скал, обрывов и рек горизонтали не проводятся. В необходимых случаях, когда формы рельефа не могут быть достаточно четко выражены горизонталями, дополнительно проводятся полугоризонтали. Для лучшей "читаемости" рельефа проводят бергштрихи, которые указывают направление ската.
После составления плана делается сводка рамок смежных планшетов (листов). Изображения элементов плана на стыках рамок двух смежных планшетов (листов) приводят к среднему положению.
Выполненные в карандаше планы корректируются в поле, а на сомнительных местах, если это необходимо, проверяются инструментально.
Контрольные точки, взятые при полевой проверке, наносятся на план. Номера таких точек указываются с индексом "К".
Точность планов оценивается по расхождениям положения контуров и высот точек, рассчитанных по горизонталям, с данными контрольных измерений.
Кроме полевой корректуры плана делается проверка изображения элементов плана на сводках по рамках двух соседних планшетов (листов). Точность сводки должна удовлетворять вышеприведенным допускам.
Для каждого планшета составляется формуляр, который приклеивается к обратной его стороне. Формуляр составляется по образцу, данному в
Прил. 4. Затем переходят к зарамочному оформлению плана в карандаше, который выполняется в соответствии с действующими "Условными знаками для топографических планов масштабов: 1:5000, 1:2000, 1:1000, 1:500".
Если тахеометрическая съемка выполняется на листах чертежной бумаги (на мягкой основе), то строгого рамочного оформления не делают. Рамка выполняется в виде утолщенной линии. Над рамкой делается заглавная подпись плана и номер расположения листа плана в сетке, гриф. Под рамкой указывается масштаб плана, высота сечения рельефа, масштаб заложений, год съемки, фамилия и личная подпись исполнителя, схема с указанием расположения листов плана.
В результате производства тахеометрической съемки создается следующий материал:
- оригинал плана;
- журнал;
- ведомости координат (сгущения съемочной сети);
- формуляр;
- выкопировка сводок по рамкам;
- пояснительная записка.
МЕНЗУЛЬНАЯ СЪЕМКА
4.1. СУЩНОСТЬ МЕТОДА МЕНЗУЛЬНОЙ СЪЕМКИ
Мензульная съемка выполняется с помощью мензулы и кипрегеля и позволяет непосредственно на месте проведения полевых работ составлять топографический план в карандаше. Применяется она в тех случаях, когда становится нецелесообразным производство аэрофотосъемки или других видов наземных съемок.
Выполнение мензульной съемки основано на графическом определении на планшете взаимного положения отдельных точек местности как между собой, так и относительно пунктов геодезической основы. Положение точек местности определяется применением двух систем координат: полярной и биполярной (засечки).
Наиболее быстро положение точки определяется в полярной системе координат, в которой координатами точки являются расстояние s до снимаемой точки и полярный угол

.
Расстояние до точки измеряется при помощи дальномера кипрегеля и дальномерных реек, а угол

строится графическим путем. Точки, определяемые в этой системе координат, называются реечными, а работа, связанная с определением координат реечных точек, намечаемых на контурах ситуации и характерных местах рельефа, называется съемкой подробностей. Расстояния, измеряемые дальномером до точек местности, должны назначаться с учетом точности нитяного дальномера и масштаба съемки (см.
табл. 1).
В системе биполярных координат положение точки определяется с двух установок инструмента. Положение точки в этой системе определяется точнее, чем в системе полярных координат.
Точность определения положения точки в этой системе координат не зависит от ее удаленности от инструмента, а зависит от угла засечки при определяемой точке. Эти углы засечки не должны выходить из пределов 30 - 150° (рис. 24). Координатами определяемой точки будут являться углы

и

относительно двух заданных или расстояния

и

(радиус-векторы), измеряемые от точек A и B.
Рис. 24. Определение положения точки в биполярной
системе координат
Система биполярных координат применяется в виде прямых и обратных засечек в основном для сгущения съемочной сети. Система таких точек образует так называемую геометрическую сеть, которая вместе с пунктами исходной геодезической сети является основой для определения точек полярным способом (съемка подробностей).
В этой системе координат могут определяться положения отдельных точек ситуации.
Таким образом, при помощи мензулы горизонтальная съемка в принципе может быть выполнена без измерения углов и линий, т.е. ситуация местности может быть нанесена на план графическими построениями. Для ее производства достаточно иметь только одну линию с известной длиной. Этой линией может быть специально измеренный базис либо сторона геодезической основы. Такая линия, наложенная на план в заданном масштабе, дает возможность все другие линии определить графически в том же масштабе.
Достоинством мензульной съемки является наглядность, так как в процессе съемки местность и план в любой момент могут быть сравнены, что важно в трудных условиях местности. В процессе съемки представляется возможность укладки горизонталей в полевых условиях. Поэтому этот метод съемки, особенно при изображении рельефа, точнее тахеометрической. Однако мензульная съемка имеет недостатки: большая затрата времени в полевых условиях, невозможность производства работ зимой и в дождливую погоду, а также сравнительная громоздкость съемочного оборудования.
4.2. СГУЩЕНИЕ СЪЕМОЧНОЙ СЕТИ
Для производства мензульной съемки строится съемочное обоснование в соответствии с требованиями нормативных документов ГУГК.
В процессе съемки выполняется сгущение точек съемочного обосновании путем построения геометрической сети, проложения мензульных ходов, а также прямых и обратных графических засечек.
Густота точек съемочной сети (теодолитные точки, точки геометрической сети) вместе с исходными пунктами должны быть доведены до следующих норм (табл. 12).
Масштаб съемок | 1:5000 | 1:2000 | 1:1000 | 1:500 |
Необходимое число точек на 1 км2 | 12 - 22 | 22 - 50 | 48 - 80 | 80 - 140 |
Наименьшее число точек берется при несложной ситуации и рельефе, наибольшее - при съемке застроенных территорий или сложном рельефе.
Геометрическая сеть треугольников, получаемых при мензульной съемке графическим построением, может быть допущена для масштаба 1:5000 на малых участках при наличии сравнительной густой сети исходных пунктов, нанесенных на планшет по координатам.
Количество точек, определяемых этим методом, устанавливается в зависимости от масштаба съемки, но не более 30% от норм, предусмотренных в
табл. 12. Каждая точка должна засекаться не менее чем с трех пунктов. Для надежного определения углы засечек в точке не должны выходить из пределов 30 - 150°
[14], а все три прочерченных направления должны пересекаться в пределах графической точности, в одной точке или с треугольником погрешности со сторонами 0,4 мм. Наиболее точной считается засечка под прямым углом. Стороны сети треугольников могут достигать удвоенной длины предельного расстояния до реечных точек при масштабе съемки 1:5000.
Пункты геометрической сети намечаются на командных высотах и обозначаются вехами, установленными по отвесу. Измеряется высота вехи от вершины до поверхности земли и записывается в журнал и непосредственно на вехе. Места установки вех следует окапывать канавкой прямоугольной или другой формы с размером сторон 0,4 м или радиусом 0,2 м.
В случае развития геометрической сети от измеренного базиса последний размещают в середине участка на ровной местности и измеряют стальной лентой в прямом и обратном направлениях.
Предельная длина базиса устанавливается в соответствии с масштабом съемки и рассчитывается по формуле

, (27)
где S - длина базиса;

- точность построения на плане линий (базиса);
M - знаменатель масштаба съемки;
N - знаменатель относительной точности измерения базиса (1:500 - 1:1000).
Если обозначать через m точность построения на плане одной точки, то точность построения двух точек линии

по теории ошибок будет равна

. (28)
Принимая m = 0,1 мм или 0,0001 м, найдем после подстановки

.
Для масштаба съемки 1:5000 при точности измерения базиса 1:1000 длина базиса будет равна:

.
Базис должен быть привязан к пунктам исходной основы или ориентирован по магнитному меридиану. При крупномасштабной съемке в практике чаще применяют прямые засечки. Порядок выполнения прямых засечек таков. Мензула устанавливается над исходной первой точкой, ориентируется, затем засекаются намеченные точки, после чего делают контрольную проверку ориентации мензулы и переходят на следующую исходную точку. На второй точке выполняются те же действия, что и на первой.
Геометрическая сеть может создаваться и обратными засечками (задача Потенота).
Решение задачи Потенота графическим путем осуществляется различными способами, среди которых наиболее простым является способ Болотова. Его отличие от других состоит в том, что положение точки может определяться по любому количеству исходных пунктов, но не менее чем по трем.
Решение задачи по этому способу производится следующим образом (рис. 25).
Рис. 25. Решение задачи Потенота способом Болотова
На выбранном месте устанавливают планшет с закрепленным на нем листом восковки (кальки). На нем произвольно намечается точка d, из которой визируют на точки A, B и C местности и прочерчивают направления

и

. Далее открепляют и укладывают восковку так, чтобы прочерченные линии проходили через соответствующие точки a, b и c на планшете. Определяемая точка на планшете получится перекалыванием точки d с восковки. Затем планшет ориентируют по одному из направлений, например

, и проверяют ориентировку по другим направлениям

и

. Точку d с планшета проектируют с помощью вилки на земле.
Прямые и обратные графические засечки практически дают одинаковую точность определения положения точки.
Более точные результаты определения точки засечки получатся, если углы, положим, измерялись теодолитом и строились с помощью хордоугломерных таблиц.
Другие способы решения мало применяются в практике при съемке в масштабе 1:5000.
Для приведенных способов отметим погрешности искомых точек.
Если в треугольнике ABC со сторонами a, b и c
(рис. 26) определяется точка C по известной стороне c и двум измеренным углам (прямая засечка), то точность определения точки C будет найдена по формуле

. (29)
Рис. 26. Определение погрешности искомых точек
в случае прямой засечки
В
формуле (29) стороны a и b треугольника выражены в км (до десятых долей), а m - точность измерения C - в минутах дуги.
В случае обратной засечки
(рис. 27) по трем данным пунктам ABC точность определения положения пункта P, с принятыми обозначениями на
рис. 27, вычисляется по формуле

. (30)
Рис. 27. Определение погрешности искомых точек
в случае обратной засечки
В
формуле (30) линии S, a, b выражены в километрах, а m - точность измерения каждого из углов

и

- в минутах дуги.
Пример: Точка C определяется графически из прямой засечки.
С планшета графически при помощи масштабной линейки определяются длины линий a и b, а угол C измеряется транспортиром, принимая точность прочерченного направления на мензуле, равной

.
Имеем:

;

;

; a = 0,5 км; b = 0,7 км;

;

.
Определение отметок точек сгущения съемочной сети производится геометрическим или тригонометрическим нивелированием.
Метод нивелирования зависит от сечения рельефа. При высоте сечения рельефа до 2 м отметки определяют техническим нивелированием, а более 2 м - может применяться тригонометрическое нивелирование.
Для определения отметок точек геометрической сети тригонометрическое нивелирование выполняется по методике, которая приводится ниже. На станции по всем линиям с помощью кипрегеля измеряют вертикальные углы одним полным приемом в прямом и обратном направлениях (см.
Прил. 3).
Контролем правильности измерения вертикальных углов может служить постоянство места нуля (М0), которое для каждой станции не должно отличаться более чем на двойную точность отсчета по вертикальному кругу.
Превышение между точками при тригонометрическом нивелировании вычисляют по формуле

, (31)
где S - длина линии между точками, полученная графически с планшета;

- угол наклона;
i - высота инструмента над центром точки;
v - высота визирования;
f - поправка за кривизну Земли и рефракцию.
Высота инструмента (по горизонтальной оси вращения трубы) и высота визирования измеряются рулеткой с точностью до 1 см.
Произведения

могут быть вычислены по специальным таблицам, но для подавляющего большинства углов наклона это произведение гораздо быстрее вычисляется с помощью специальной геодезической, типа МТМ, или обычной логарифмической линейки.
Поправка за кривизну Земли и рефракцию находится по формуле

, (32)
где R - средний радиус сфероида, равный 6371 км или определяемый с помощью линейки МТМ и таблиц (см.
Прил. 2). Поправка вводится со знаком плюс. Необходимость ее введения возникает при расстояниях более 270 м. При меньших расстояниях ее значение менее 1 см.
Превышение вычисляют в прямом и обратном направлениях, расхождение их для одной и той же линии допускается не более 0,04·S м (S - длина линии в сотнях метров).
Сгущение точек съемочной сети может выполняться путем проложения мензульных ходов. Число таких дополнительных точек устанавливается в зависимости от сложности рельефа и ситуации.
Длины мензульных ходов не должны превышать

(N - знаменатель численного масштаба съемки, T - знаменатель относительной точности определения расстояния нитяным дальномером, принимаемой равной 1/400 при измерении прямо и обратно).
В табл. 13 приведены длины мензульных ходов, число и длины линий в ходах.
Масштаб съемки | Максимальная длина хода, м | Максимальная длина линии, м | Максимальное число линий в ходе | Примечание |
1:5000 | 1200 | 250 | 5 | Расстояние измеряется лентой |
1:2000 | 500 | 200 | 4 |
1:1000 | 250 | 100 | 3 |
1:500 | 200 | 100 | 2 |
Таким образом, мензульные ходы могут прокладываться между двумя пунктами съемочной сети (вставка хода) или опирающимися на один пункт (висячие ходы).
При предложении мензульных ходов работа на точке выполняется в следующей последовательности. После центрирования мензулы в начальной точке съемочного обоснования, приведения ее в горизонтальное положение и ориентировки измеряют высоту горизонтальной оси кипрегеля над центром. Наводят трубу кипрегеля на рейку, установленную на первой определяемой точке мензульного хода, и по линейке прочерчивают направление. Определяют дважды расстояние по дальномеру и измеряют вертикальный угол одним полным приемом и высоту точки визирования.
Вычисленное горизонтальное проложение откладывают в масштабе по прочерченной линии. Затем переходят с мензулой на определяемую точку и делают измерения в той же последовательности. Результаты измерений записываются в журнал (см.
Прил. 3).
Линии в мензульных ходах измеряют в обоих направлениях, расхождение между ними не должно превышать 1/200 длины линии. Если угол наклона более 2°, то линии приводятся к горизонту.
Горизонтальное проложение S при применении кипрегеля с нитяным дальномером вычисляют по формуле

, (33)
где k - коэффициент дальномера;
l - отрезок рейки между дальномерными нитями;
C - постоянное слагаемое дальномера;

- угол наклона.
Вторым слагаемым в большинстве случаев можно пренебречь. Его значение при C = 0,3 м для некоторых углов дается в табл. 14.
Таблица 14
Угол наклона  | |
10° | 0,01 м |
30 | 0,04 |
45 | 0,07 |
60 | 0,08 |
Во многих случаях удобнее в измеренные расстояния вводить поправки, вычисленные по формуле

. (34)
Эти поправки даются во многих тахеометрических таблицах.
Относительная невязка в мензульном ходе не должна превышать 1:300 длины хода, а линейная 0,8 мм на плане. Если линейная невязка более 0,8 мм, ход прокладывают заново в обратном направлении. Невязка распределяется по способу параллельных линий (рис. 28).
Рис. 28. Распределение невязки мензульного хода
по способу параллельных линий
Для вычисления отметок точек мензульного хода измеряются углы наклона кипрегелем при двух положениях вертикального круга. Контролем измерения углов наклона служит постоянство места нуля, колебания его не должны превосходить 1'. Превышение в мензульных ходах вычисляется по формуле

. (35)
При значениях угла наклона до 20° второе слагаемое не учитывается, значение его при C = 0,3 м дается в табл. 15.
Угол наклона  | |
10° | 0,01 м |
20 | 0,024 |
30 | 0,07 |
45 | 0,21 |
60 | 0,39 |
Допустимая высотная невязка мензульного хода не должна быть более

(S - число сотен метров в ходе, n - число сторон).
Невязка распределяется пропорционально длинам сторон.
При необходимости в качестве съемочной основы могут служить точки, определяемые из висячих мензульных ходов. В этом случае длины ходов принимаются в два раза меньше приведенных в
табл. 13.
4.3. СЪЕМКА СИТУАЦИИ И РЕЛЬЕФА МЕСТНОСТИ
4.3.1. Подготовка планшетов
При производстве мензульной съемки планы составляют на чертежной бумаге высшего качества (Гознак), способной выдержать в течение периода съемки механические воздействия и все перемены погоды. Бумага наклеивается на жесткую основу.
Жесткой основой служат листы алюминия или листы хорошо выдержанной фанеры без сучков хотя бы на одной плоскости, толщиной 3 мм, размером

и

. Эти листы оклеиваются с одной стороны чертежной бумагой, а с другой - простой плотной бумагой. Обратная сторона оклеивается для того, чтобы основа не деформировалась.
Перед наклейкой алюминиевые листы обрабатывают наждачной бумагой или мелким речным песком до получения шероховатой поверхности. Фанера требует обработки более мелкой наждачной бумагой так, чтобы она была чистой и края ее хорошо зачищены.
Для наклейки чертежной бумаги на жесткую основу рекомендуется применять клей следующего состава:
- вода - 1 л,
- картофельный крахмал - 70 г,
- фотографический или пищевой желатин - 40 г,
- квасцы калиевые - 1 г.
Крахмал растворяют в 100 - 150 г холодной воды. Полученный раствор постепенно заливают в кипящую воду и перемешивают до получения однородной прозрачной смеси. Затем снимают с огня и кладут желатин, размоченный (в течение 1 - 1,5 ч) в воде до набухания, и перемешивают до растворения. В таком же порядке вносятся квасцы. Готовый клей фильтруют через марлю. Перед употреблением клей подогревают в горячей воде (40 - 50°). Клей годен в течение 2 - 3 суток. Кроме этого клея используется казеиновый, который растворяется в теплой воде до необходимой густоты, чтобы масса его не имела комков.
В настоящее время химическая промышленность выпускает много разновидных клеев. Пользоваться ими можно только после пробного испытания.
Клей наносится на чертежную бумагу, предварительно размоченную в течение 5 - 7 мин в холодной воде, которую затем накладывают на основу и разглаживают от середины к краям до исчезновения неровностей (пузырьков). Края чертежной бумаги загибают и подклеивают на обратной стороне планшета и просушивают в течение 4 - 5 суток. Наклеенные планшеты в течение этого периода должны находиться под прессом или временной нагрузкой.
Рекомендуется раз в сутки перекладывать планшеты с поворотом их на 90° через один.
На подготовленные планшеты наносится координатная сетка в виде квадратов со сторонами 10 см. Квадраты строят при помощи специальной линейки Дробышева, а при ее отсутствии штангенциркулем и масштабной линейкой. Сетку квадратов удобно строить при помощи координатографа. Линии квадратов прочерчивают твердым карандашом 5 или 6T.
Правильность построения сетки этими методами проверяют циркулем или контрольной линейкой. Отклонение длин всех сторон и диагоналей квадратов не должно превышать 0,2 мм от их номинальных значений (10,00 и 14,14 см).
На планшетах съемки масштаба 1:5000 и 1:2000 с косоугольной разграфкой наносятся по координатам углы рамок трапеций, а над северной рамкой дается номенклатура. На каждый планшет составляется формуляр по установленной форме (см.
Прил. 4).
Затем по координатам наносят все опорные пункты и точки съемочной сети, помещающиеся не только на планшете, но и за рамками.
Правильность нанесения пунктов проверяют измерением расстояний между ними. У каждого пункта (точки) пишут название или его номер и отметки до 1 см. На пунктах триангуляции и полигонометрии отметки пишутся в виде дроби: числитель - отметка центра знака, знаменатель - отметка земли.
При накладке на планшет съемочных точек следует для более точной ориентировки мензулы при съемочных работах прочерчивать вспомогательные линии ориентирования. Они необходимы, если мензула будет ориентироваться по коротким линиям (менее 10 см на плане) или если смежные точки находятся на двух соседних планшетах.
Линии ориентирования проводят через точки, нанесенные по координатам. Это могут быть точки на продолжении линии или точки на пересечении линий рамок планшета.
В табл. 16 приведены погрешности ориентирования для некоторых линий.
Таблица 16
Линия на плане, см | Ошибка |
1 | 34,3 |
2 | 17,2 |
3 | 11,5 |
4 | 8,6 |
5 | 6,9 |
10 | 3,4 |
20 | 1,7 |
50 | 0,7 |
Подготовленный для съемки на жесткой основе планшет прикрепляют к мензульной доске через просверленные отверстия мелкими медными или латунными шурупами или деревянными шпильками и покрывают его для предохранения от загрязнения плотной или прозрачной бумагой (рубашкой), прикрепляемой к мензульной доске.
После подготовки планшета в журнал мензульной съемки на специально отведенные страницы выписываются координаты и высоты всех съемочных пунктов. Это необходимо для полевой проверки правильности нанесения на планшет пунктов съемочной сети.
4.3.2. Производство съемочных работ
Перед началом съемки производится рекогносцировка местности, разыскиваются все опорные пункты и устанавливается последовательность производства работ. После этого мензула устанавливается над точкой.
При установке мензулы следует придерживаться такого порядка. На точке предварительно ориентируют мензулу, приводят ее на глаз в горизонтальное положение, затем производят центрирование, окончательное нивелирование и ориентирование.
Погрешность центрирования мензулы зависит от масштаба съемки и она не должна превышать половины графической точности масштаба съемки, т.е. величин

(N - знаменатель численного масштаба съемки)
[14].
Допускаемые погрешности центрирования, способы центрирования приведены в табл. 17.
Таблица 17
Масштаб | Точность масштаба, м | Допускаемая погрешность центрирования, м | Способ центрирования |
1:5000 | 0,5 | 0,25 | На глаз или по падающему предмету |
1:2000 | 0,2 | 0,1 | То же |
1:1000 | 0,1 | 0,05 | " |
1:500 | 0,05 | 0,025 | При помощи вилки |
Ориентировать мензулу следует не менее чем по двум линиям и не короче 10 см на плане. В процессе работ на станции и по окончании ориентировки проверяются. Контроль ориентации осуществляется следующим образом.
На исходную вешку наводят кипрегель, проводят по линейке линию, затем определяют поперечный сдвиг между начальным направлением ориентирования и контрольным для предельного расстояния до реечных точек.
Сдвиг на границе съемки не должен превышать 0,4 мм на плане.
Съемка контуров и предметов местности производится в основном полярным способом. Расстояние до реечных точек измеряют нитяным дальномером (кипрегель КБ) или по кривым горизонтальных проложений (кипрегель КА-2).
В качестве дальномерных реек применяются обычные нивелирные или специально изготовленные рейки.
Каждая реечная точка после измерения и записи взятого на нее расстояния наносится на планшет путем откладывания циркулем расстояния вдоль скошенного края линейки кипрегеля. Превышение реечных точек определяют либо из тригонометрического нивелирования, либо непосредственным считыванием по кривым превышений. При малых углах наклона (до 2°) превышения можно определять горизонтальным лучом, устанавливая трубу кипрегеля в горизонтальное положение, с помощью уровня на трубе или нивелиром, установленным рядом с мензулой.
Вертикальные углы измеряют при одном положении вертикального круга.
Превышения при углах наклона до 20° вычисляют по формулам:

, (36)
где

- угол наклона;
S - расстояние, измеренное дальномером;

, (37)
где

- расстояние, приведенное к горизонту, при

.
Если углы наклона более 20°, в превышения вводятся поправки по
табл. 15.
Для упрощения вычислений рекомендуется среднюю нить трубы наводить на точку, высота которой равна высоте инструмента (i = l), или на высоту l, при которой

и выражается целым числом метров (

- отметка точки стояния мензулы).
В этом случае отметка пикета будет равна

.
Отметку

называют рабочей отметкой станции.
Для вычисления превышений можно применить логарифмическую линейку, линейку МГМ или таблицы превышений.
При использовании кипрегелей-автоматов превышения отсчитывают по кривым превышений при круге лево. В журнал записываются горизонтальные проложения и превышения.
Превышения и отметки пикетов вычисляют до 0,01 м. На планы при всех сечениях рельефа, указанных для этих масштабов съемок, отметки пикетов выписываются с сохранением десятых долей метра (до 0,1 м). По нанесенным на планшет реечным точкам выполняется интерполирование и проводятся горизонтали. Эта работа выполняется, не сходя с данной станции, а в процессе разведения горизонталей сличается зарисованный рельеф с натурой. Мелкие, незначительные изгибы, которые не могут быть получены путем интерполирования, наносятся путем зарисовки с натуры. В закрытых местах до интерполирования горизонталей следует предварительно изучить характер рельефа путем специального осмотра снимаемой местности. На участках с плоским рельефом

небольшая погрешность в высоте реечной точки вызывает большое смещение горизонтали в плане. Поэтому на таких участках горизонтали как метод изображения рельефа теряют свое значение, и для характеристики рельефа достаточно дать только отметки точек.
Сдвиг горизонтали в плане приближенно может быть вычислен по следующей эмпирической формуле:

, (38)
где H - сдвиг горизонталей;

- угол наклона.
Все зарисовки, сделанные на планшете в поле, по окончании съемки должны быть тщательно вытянуты в карандаше так, чтобы не оставалось сомнений в правильности определения того или иного контура, горизонтали и отдельных точек.
В таком же порядке выполняется съемка и на других точках. Если территория съемки располагается на нескольких смежных планшетах, то для сводки их между собой съемка выполняется и за рамками каждого планшета на расстоянии 1 см независимо от масштаба съемки.
Сводка планшетов производится следующим образом. На восковку переносится рамка планшета и копируются контуры и горизонтали в полосе шириной 2 см внутрь планшета и в полосе, снятой за рамкой. Полученная восковка накладывается на смежный планшет и совмещаются рамки. Обнаруженные после совмещения рамок расхождения в положении контуров не должны превышать 0,5 мм, в горных районах 0,7 мм, в районах с капитальной застройкой 0,4 мм. Расхождения в положениях горизонталей не должны превышать по высоте от 1/4 до 1/3 высоты сечения рельефа. Согласованное положение контуров, в качестве которого принимается среднее сводимых планшетов, показывается на восковке красной тушью, переносится затем на сводимые планшеты с соответствующим исправлением последних.
На сводке указывается номенклатура сведенных планшетов, название рамки, время составления и исполнитель.
С планшетов съемки, независимо от масштаба съемки, снимаются калька контуров и калька высот. В случае малой контурности и однообразного рельефа ведется одна совмещенная калька. На кальку контуров наносятся точки геодезической основы и съемочного обоснования, отдельные предметы и контуры местности. Вместо внесения условных знаков можно писать названия угодий.
На кальку высот наносят опорные и съемочные точки с надписями их названий или номеров и высот, реечные точки с отметками, особенности рельефа (орографические линии).
Кальки составляются в процессе съемки планшета с допускаемым разрывом по времени от съемки не более 3 дней.
Кальки вычерчиваются тушью, четко и аккуратно с указанием координат по углам рамки, номенклатуры планшета. Кальки подписываются лицом, производившим съемку.
В результате проведения мензульной съемки должны быть представлены следующие материалы:
- полевые журналы, соответствующим образом оформленные;
- подлинные планшеты съемки;
- кальки контуров и высот для каждого планшета;
- сводки по рамкам для каждого планшета;
- схемы расположения планшетов.
4.4. СЪЕМКА ЗАСТРОЕННОЙ ТЕРРИТОРИИ
Особенностью съемки застроенных территорий является необходимость аналитического определения большого числа точек местности.
В застроенной территории координируются углы кварталов, смотровые колодцы, углы капитальных зданий и т.п.
Поэтому мензульная съемка применяется, как правило, в сочетании с другими методами съемки.
Исходными для съемки ситуации и рельефа являются точки съемочного обоснования, количество которых определяется рекогносцировкой.
Если густота перечисленных точек недостаточна, то при съемках масштаба 1:5000 между точками съемочного обоснования прокладывают мензульные ходы, длины которых не должны превышать значений, указанных в
табл. 13. При производстве съемок масштабов 1:2000, 1:1000 и 1:500 мензульные ходы не прокладываются. Съемка выполняется только с точек теодолитных ходов.
Для всех масштабов могут назначаться в качестве съемочных створные точки, определяемые промерами от точек съемочного обоснования с относительной погрешностью не более 1:2000.
Съемка на застроенных территориях ведется полярным методом. Для съемки отдельных точек ситуации применяют и метод засечек с углом засечки в определяемой точке не менее 60°.
Расстояния от инструмента до точек контуров и некапитальных сооружений приводятся в
табл. 1, а до точек рельефа в
табл. 2.
Размеры зданий к сооружений сложной конфигурации, снятые мензулой, для контроля измеряют лентой или рулеткой.
Рельеф снимают одновременно со съемкой ситуации, используя для определения превышений методы, изложенные в
параграфе 4.2.
На равнинных участках с плотной застройкой при наличии плана горизонтальной съемки рельеф может быть снят с помощью нивелира.
Оформление результатов съемки, ведение полевой документации выполняется так же, как указано в
параграфе 4.3.
ПОЛУАВТОМАТИЧЕСКОЕ КАРТИРОВАНИЕ
Метод полуавтоматического картирования позволяет полуавтоматически наносить на чертежную основу снятые полярным методом точки местности и получать непосредственно в поле планы (полевые основы) отдельных участков местности, размеры которых в масштабе съемки не больше размеров чертежных столов картографических устройств.
Чертежные столы и конструкции картографических устройств позволяют, как правило, выполнять съемку и составлять полевые основы отдельно для каждой станции.
Таким образом, при производстве топографической съемки методом полуавтоматического картирования на объекте получают полевые основы, количество которых равно числу станций.
В камеральных условиях по полевым основам составляется сводный план, являющийся составительским оригиналом.
Метод полуавтоматического картирования, получивший довольно широкое распространение, реализуется с помощью картографических устройств, таких как тахеометрическая мензула Юнга, тахеограф (БНР).
Наиболее распространенным является картографический столик Karti-250 народного предприятия "Карл Цейсе", Йена, ГДР.
Настоящее руководство ориентировано на применение при топографической съемке методом полуавтоматического картирования картографических столиков Karti-250 в сочетании с редукционным тахеометром Dalhta 010A, Dalhta 020, Theo 020, а также с отечественными инструментами теодолитами-тахеометрами, кипрегелем КА-2, нивелиром.
Картографический столик Karti-250, описание которого дано в
главе 1, является дополнительным устройством к тахеометру. Диаметр картировочной поверхности столика равен 250 мм, что позволяет выполнять съемку в радиусе от 250 м для масштаба 1:2000 до 62 м для масштаба 1:500.
Такие расстояния на практике являются предельными при работе с тахеометрами всех конструкций.
Измерительный инструмент жестко скрепляется с картографическим столиком и вращением инструмента через систему передач вращают в противоположном направлении картировочную поверхность стола, в результате чего достигается постоянство ориентирования чертежной основы относительно местности и автоматическое перенесение на нее направлений.
Для нанесения снимаемых точек на чертежную основу откладываются только измеренные расстояния и надписываются превышения или отметки. Благодаря такому полуавтоматическому картографированию отпадает необходимость в ведении полевого журнала.
Как показали исследования
[7], применение картографического столика Karti-250 в сочетании с тахеометром Dalhta 010 позволяет снизить затраты времени на всех процессах от съемки до создания составительского оригинала по сравнению с цифровой тахеометрией на 20% (редукционные тахеометры), по сравнению с мензульной съемкой - на 15%.
Сокращение расходов по сравнению с обоими методами съемки составляет 15%.
Наибольший экономический эффект достигается при выполнении съемки с непосредственным определением отметок с помощью специальных реек.
Точность нанесения точек на чертежную основу составляет 0,10 мм, а общая погрешность картографирования, с учетом погрешностей составления сводного плана, составляет 0,13 мм.
Только цифровая тахеометрия с аналитическим получением плановых координат может быть сравнена по точности с полуавтоматическим картографированием на столике Karti-250.
5.2. СОЗДАНИЕ СЪЕМОЧНОГО ОБОСНОВАНИЯ
Топографическая съемка методом полуавтоматического картирования выполняется с пунктов съемочного обоснования, которое создается в соответствии с требованиями нормативных документов ГУГК и других ведомств
(СН-212-73).
Метод полуавтоматического картирования позволяет объединять процессы создания съемочного обоснования и топографической съемки. При применении в качестве измерительного инструмента редукционного тахеометра Dalhta 010 или равноценных ему по точности измерения расстояний создание съемочного обоснования выполняется в следующей последовательности.
На точке стояния инструмента измеряются горизонтальные углы, затем мерным прибором измеряется расстояние до следующего пункта съемочного обоснования. Контрольное измерение линии осуществляется дальномером тахеометра.
При наличии компенсатора вертикального круга тахеометром может выполняться геометрическое нивелирование.
В качестве съемочного обоснования, там где это разрешается действующими нормативными документами, могут быть проложены тахеометрические ходы.
Результаты измерений горизонтальных углов, длин линий, превышений регистрируются в журналах и передаются в камеральную обработку для вычисления и уравнивания координат и отметок пунктов съемочного обоснования.
Метод полуавтоматического картирования позволяет осуществлять графическое построение обоснования, которое выполняется одновременно с производством съемки ситуации и рельефа местности.
| | ИС МЕГАНОРМ: примечание. Текст абзаца дан в соответствии с оригиналом. | |
Измерительный инструмент вместе со столиком Karti-250 устанавливается над пунктом геодезической основы, с которого начинается и нивелирования инструмента на чертежной пленке проводится не менее двух направлений на пункты геодезической основы.
После этого визирную ось инструмента наводят на пункт съемочного обоснования, измеряют расстояние и накалывают точку на чертежную основу.
Расстояние между пунктами съемочного обоснования может быть, в зависимости от масштаба съемки, от 60 до 250 м.
Измерения расстояний нужно производить инструментами, обеспечивающими точность 5,0 см на 100 м, необходимую при создании обоснования.
После окончания работ на примычном пункте инструмент переносят на точку съемочного обоснования. Сменив чертежную основу, выполняют визирование на предыдущую точку и, измерив до нее расстояние в обратном направлении, накалывают точку на чертеж. Затем визируют на следующую точку съемочного обоснования, измеряют до нее расстояние, наносят на чертеж.
Для повышения точности графического построения обоснования на чертежной основе прочерчивают направления на твердые точки, закартографированные на соседних полевых основах.
В такой же последовательности выполняют работы на всех точках съемочного обоснования.
Проложение съемочных ходов заканчивают на пунктах геодезической основы.
Камеральная обработка результатов выполняется в следующей последовательности.
На лист чертежной бумаги с координатной сеткой наносят пункты, к которым была выполнена привязка ходов. Затем чертежные основы накладывают друг на друга так, чтобы смонтировать ходы. Монтаж ходов начинают с двух сторон от примычных пунктов. Образовавшаяся в месте соединения ветвей хода невязка вносится в положение всех точек обоснования пропорционально удаленности их от исходных пунктов. После распределения невязки находят истинное положение пунктов съемочного обоснования и накалывают их на чертежную бумагу. Значения координат пунктов получают путем измерения на чертежной бумаге.
Как показали исследования
[8], средние квадратические погрешности графического построения обоснования в масштабе 1:1000 с использованием столика Karti-250 и измерительных приборов Redta 002 и BRT 006 составили, при длинах ходов от 500 до 1000 м, для Redta 002 от 1,7 до 3,6 см, для BRT 006 от 5,0 до 10,1 см.
5.3. СЪЕМКА СИТУАЦИИ И РЕЛЬЕФА МЕСТНОСТИ
Для производства топографической съемки вставную цапфу измерительного инструмента вставляют во втулку трегера картографического столика, зажимают закрепительным винтом и скрепляют инструмент со столиком с помощью специальных устройств. Для скрепления столика с теодолитами-тахеометрами, выпускаемыми н/п "Карл Цейсе", Йена; это устройство имеется в комплекте столика.
Устройства для скрепления со столиком отечественных измерительных инструментов - теодолита Т5К, нивелира, кипрегеля КА-2 - очень несложны.
При скреплении измерительного инструмента со столиком необходимо следить за тем, чтобы не было люфта, так как его наличие резко снижает точность нанесения измерительных величин на чертежную основу.
Съемку на каждой станции необходимо выполнять на чистой чертежной основе. Для ее замены открывают защелку зажимного кольца столика, снимают кольцо и, заложив чертежную основу-бумагу или лавсановую пленку, вновь устанавливают кольцо. Перед съемкой на мосту столика, несущем салазки масштабов, отчетный индекс и приспособление для наколки пикетов, устанавливается с помощью двух винтов масштабная линейка в соответствии с масштабом съемки.
Инструмент со столиком устанавливают над пунктом съемочного обоснования. Центрируют и приводят в горизонтальное положение. Отчетный индекс совмещают с нулем масштабной линейки и приспособлением для накалывания пикетов, накалывают точку на чертежную основу. Наколотая точка является центром картографирования. Иглу для накалывания пикетов перемещают к краю чертежной плоскости до упора. Открепляют зажимной винт инструмента и наводят трубу не менее чем на три точки съемочного обоснования. При этом одновременно с поворотом инструмента чертежная плоскость поворачивается в противоположном направлении, обеспечивая автоматическое нанесение направлений. На направлениях на точки обоснования делаются наколы вблизи ободка столика, и эти наколы соединяются с центром картографирования.
Таким образом получают пучок направлений, используемый в дальнейшем при составлении сводного плана.
Съемка элементов местности выполняется так же, как и при тахеометрической съемке. В точках снимаемого элемента местности устанавливают рейку и наводят на нее визирную ось трубы тахеометра. Измеряют с помощью тахеометра расстояние и превышение реечной точки над точкой стояния инструмента. Направление визирования автоматически передается на чертежную основу. Измеренное расстояние устанавливается вручную по масштабной линейке, и нажатием кнопки приспособления для наколки пикетов точка в соответствующем масштабе накалывается на чертежную основу.
Наколотая точка обводится кружком и рядом с ней подписывается отметка.
Откидывающаяся лупа

увеличением, головка на держателе масштаба и две головки на мостике дают возможность удобного отсчитывания расстояния по масштабной линейке, облегчают точную установку расстояния.
По нанесенным точкам вычерчиваются контуры в соответствии с действующими условными знаками и в необходимых случаях разводятся горизонтали.
Закончив съемку на станции, оформляют полученный план. По окружности надписывают:
- название объекта;
- масштаб съемки;
- номер станции;
- высоту инструмента;
- дату съемки;
- фамилию исполнителя.
Образец полевого планшета приведен на рис. 29.
Рис. 29. Образец полевого планшета
После окончания топографической съемки объекта выполняется корректура и сводка полевых основ с соседними, а также составляется схема-план расположения пунктов съемочного обоснования и точек съемки на столике Karti-250.
На этой схеме вычерчиваются рамки планшетов и выписывается их номенклатура.
По данным план-схемы выполняется сведение отдельных полевых основ в составительский оригинал плана. Существует несколько способов переноса точек с полевых основ на составительский оригинал. Наиболее известным является способ перекалывания, заключающийся в следующем.
Предварительно на листах чертежной бумаги разбивают и вычерчивают координатную сетку. По координатам наносят пункты съемочного обоснования. Затем лист чертежной бумаги с нанесенными точками съемочного обоснования размещают на чертежном столе, сверху на него накладывают полевую основу так, чтобы центр картографирования совместился с идентичной точкой на чертежной бумаге. После чего полевую основу разворачивают так, чтобы пучок направлений основы совместился с соответствующим пучком направлений на чертежной бумаге, и все точки, нанесенные на полевой основе, перекалывают на чертежную бумагу и производят вычерчивание составительского оригинала. Этот способ по мере увеличения насыщенности становится все более трудоемким.
С внедрением в производство полевого картографирования в качестве чертежной основы лавсановой пленки появились другие, более прогрессивные способы создания составительского оригинала. Один из них - способ монтажа.
В этом способе полевые основы на чертежной пленке монтируют на белом картоне с разбитой координатной сеткой и нанесенными точками съемочного обоснования. Монтаж осуществляется по аналогии со способом перекалывания. Центры картографирования совмещаются с идентичными точками съемочного обоснования, а пучок направлений основы - с соответствующим пучком направлений на картоне.
В таком положении полевые основы крепятся на картоне путем приклеивания. После монтажа чертежные пленки разрезают в местах перекрытий и по рамкам планшетов, подклеивают и выполняют сводки в местах разрезов.
Таким образом получают составительский оригинал в карандаше, который передается для вычерчивания.
Основной недостаток этого способа состоит в том, что оставшиеся после обрезания по рамкам планшетов части полевых основ трудно использовать для составления соседних планшетов.
В процессе дальнейшего совершенствования получил развитие способ копирования с полевых основ. В этом способе на прозрачной пленке строится координатная сетка, наносятся и вычерчиваются в соответствии с условными знаками пункты съемочного обоснования и наносятся рамки планшетов. Под эту пленку подкладывают полевые основы, совмещают центры картографирования и пучки направлений полевой основы с соответствующими точками съемочного обоснования и пучками направлений на лавсановой пленке, крепят полевые основы к лавсановой пленке с помощью липкой ленты или грузов. При этом монтируются не все полевые основы, а только те, которые нужны в данный момент для вычерчивания. С полевых основ переносится на прозрачную пленку ситуация и рельеф местности.
ГОРИЗОНТАЛЬНАЯ СЪЕМКА
6.1. СУЩНОСТЬ МЕТОДА ГОРИЗОНТАЛЬНОЙ СЪЕМКИ
Топографическая съемка, выполняемая с целью определения взаимного расположения в плане ситуации контуров и предметов местности, называется горизонтальной.
Горизонтальная съемка чаще всего выполняется на застроенных территориях и подразделяется на съемку проездов и внутриквартальную съемку и может выполняться самостоятельно или в сочетании с вертикальной съемкой в зависимости от организации этих работ.
Горизонтальная съемка может быть выполнена различными методами: теодолитным или комбинированным.
Теодолитный метод - это метод горизонтальной съемки, при производстве которой угловые измерения выполняются теодолитами, линейные - стальными лентами и рулетками, дальномерами или дальномерными насадками.
Комбинированный метод - это метод горизонтальной съемки, когда основные элементы ситуации определяются на местности аналитически с последующим вычислением их координат и нанесением на план по координатам или без вычисления, с помощью хорд. Съемка подробностей ситуации производится на мензуле графически. Производство мензульной съемки подробно рассмотрено в
главе 4.
Горизонтальная съемка на застроенных территориях выполняется обычно в масштабах 1:2000, 1:1000 и 1:500, чаще методом теодолитной съемки.
Съемка ситуации теодолитным методом производится со съемочных точек. Она заключается в измерениях, определяющих положение контуров и отдельных предметов ситуации на плане.
При съемке местных предметов производят определение положения точек разными способами. Применение того или иного способа зависит от конкретных условий местности, облегчая и ускоряя полевую измерительную работу. Наиболее часто применяются следующие способы:
- обхода;
- перпендикуляров;
- полярный;
- прямых угловых засечек;
- линейных засечек;
- створов.
Ниже приводится описание каждого способа съемки.
1. Способ обхода (рис. 30) осуществляют приложением съемочного теодолитного хода, линии которого примерно совпадают со снимаемым контуром местности, привязывая этот ход к точкам планового обоснования.
Рис. 30. Съемка способом обхода
При съемке методом обхода углы

измеряются при одном положении круга, измерение длин линий

производится однократно мерной лентой и контролируется по дальномеру, расстояния записываются до 0,1 м. Запись производится в журналах теодолитных ходов принятой формы.
Способ обхода выполняется проложением замкнутых ходов при съемке площадных контуров (усадьбы, плантации культур и т.п.) и одиночных ходов при съемке вытянутых контуров дорог, границ и т.п.).
Наложив на план по координатам или графически точки теодолитного съемочного хода, получают при этом очертания снимаемого контура.
Достоинством этого способа является наличие избыточных измерений, что позволяет проверить правильность измерений как угловых, так и линейных.
2. Способ перпендикуляров (рис. 31). При съемке этим способом положение точки определяется двумя величинами: расстоянием от точки съемочного обоснования по стороне теодолитного хода - абсциссой x и длиной перпендикуляра, восставленного со стороны теодолитного хода и проходящего до определяемой точки - ординатой y. Абсциссы определяются в процессе измерения длины стороны теодолитного хода или раздельно.
Рис. 31. Съемка способом перпендикуляров
Перпендикуляры на местности могут быть определены следующими методами:
а) опусканием перпендикуляра Aa (рис. 32) из точки ситуации A на линию хода MN с помощью ленты или рулетки.
Рис. 32. Перпендикуляр со снимаемой точки
В этом случае нуль рулетки устанавливается в снимаемой точке A и производится засечка кратчайшим расстоянием Aa до ленты, уложенной в створе линии MN. Таким образом, перпендикуляр на линию опускается с точностью около 1°
[15];
б) восставлением перпендикуляра с ходовой линии на определяемую точку ситуации с помощью эккера.
Расстояние до основания перпендикуляра определяется по ленте, уложенной в створе ходовой линии, длина перпендикуляра - рулеткой. Перпендикуляр с помощью эккера восставляется с точностью 5';
в) восставлением перпендикуляра с ходовой линии на определяемую точку на глаз. Расстояния до основания перпендикуляра в этом случае определяются с помощью ленты и рулетки.
Во всех случаях длина перпендикуляра измеряется однократно. Допустимые расстояния от съемочных точек до точек ситуации при съемке различными способами могут быть вычислены, исходя из значений средних квадратических погрешностей m измерений, связанных со съемками. Значения m помещены в табл. 18.
Характер контуров | Погрешности измерений m, связанные со съемками |
на плане, мм | на местности в масштабе съемки, м |
1:2000 | 1:1000 | 1:500 |
Четкие (капитальные сооружения) | 0,18 | 0,36 | 0,18 | 0,09 |
Четкие (некапитальные сооружения) | 0,52 | 1,04 | 0,52 | 0,26 |
Для вычисления допустимых значений длин перпендикуляров можно использовать формулу оценки точности положений точки при съемке способом перпендикуляров
[28]:

, (39)
где m - средняя квадратическая погрешность измерений;
| | ИС МЕГАНОРМ: примечание. Обозначение индекса переменной дано в соответствии с оригиналом. | |

- средняя квадратическая погрешность определения основания перпендикуляра;

- средняя квадратическая погрешность длины и построения перпендикуляра.
Если из значения m в
табл. 18 исключить значения

, то получим значения

, приведенные в табл. 19.
Характер контуров |  , м, при масштабе съемки |
1:2000 | 1:1000 | 1:500 |
Четкие (капитальные сооружения) | 0,34 | 0,16 | 0,07 |
Четкие (некапитальные сооружения) | 1,02 | 0,62 | 0,25 |
На основании данных
табл. 19 определяется длина перпендикуляров по формуле

, (40)
где y - длина перпендикуляра;
| | ИС МЕГАНОРМ: примечание. Обозначение индекса переменной дано в соответствии с оригиналом. | |

- средняя квадратическая погрешность длины и построения перпендикуляра;

- точность построения прямого угла;

- относительная погрешность измерения длины перпендикуляра.
Принимая

;

;

,
получим допустимые значения перпендикуляров (табл. 20).
Таблица 20
Характер контуров | Длина перпендикуляра, м, при масштабе съемки |
1:2000 | 1:1000 | 1:500 |
Перпендикуляры со снимаемой точки |
Четкие (капитальные сооружения) | 20 | 10 | 4 |
Четкие (некапитальные сооружения) | 50 | 30 | 15 |
Перпендикуляры, восставленные эккером |
Четкие (капитальные сооружения) | 150 | 80 | 40 |
Четкие (некапитальные сооружения) | 350 | 250 | 120 |
Примечание. Длины перпендикуляров, восставленных на глаз, уменьшаются в два раза по сравнению с длиной перпендикуляров со снимаемой точки.
При съемке нужно помнить, что чрезмерно короткие перпендикуляры создают затруднения при накладке на план ситуации, поэтому минимальная длина их в масштабе плана не должна быть менее 4 мм.
При съемке криволинейных контуров перпендикуляры нужно брать настолько часто, чтобы между каждой парой снимаемых точек линия была близка к прямой или характеризовалась односторонней выпуклостью.
Расстояния между пикетами могут достигать 5 мм на плане в зависимости от характера ситуации. Длина перпендикуляров при съемке четких контуров капитальных сооружений определяется с точностью до 1 см, других контуров - с точностью до 0,1 м.
Способ перпендикуляров обычно принимается при съемке вытянутых в длину контуров - водотоков, дорог, улиц, ситуации на проездах и т.п.
3. Полярный способ (рис. 33) применяется преимущественно на открытой местности при съемке внутриквартальной застройки.
Рис. 33. Съемка полярным способом
Положение точки при съемке полярным способом определяется углом

, измеренным от твердой линии MN до снимаемой точки i, и расстоянием

, измеренным от твердой до снимаемой точки.
Углы измеряются теодолитом при одном положении круга с точностью до 1', а расстояние - мерной лентой, стальной рулеткой или дальномерами однократно.
Допустимые значения расстояний могут быть вычислены исходя из средних квадратических погрешностей измерений m (см.
табл. 19) по формуле
[28]

, (41)
где S - полярное расстояние;

- точность измерения полярного угла;

- относительная погрешность линейных измерений;
m - средняя квадратическая погрешность измерений.
Допустимые значения расстояний при съемке полярным способом, с учетом длины стороны теодолитного хода, приводятся в табл. 21.
Таблица 21
Характер контуров | Полярные расстояния, м, при масштабе съемки |
1:2000 | 1:1000 | 1:500 |
При измерении лентой |
Четкие (капитальные сооружения) | 300 | 180 | 90 |
Четкие (некапитальные сооружения) | 350 | 250 | 200 |
При измерении нитяным дальномером |
Четкие (капитальные сооружения) | 100 | 60 | 30 |
Четкие (некапитальные сооружения) | 300 | 150 | 80 |
Примечание. При измерении линий оптическими дальномерами расстояния увеличиваются соответственно увеличению точности дальномера.
Достоинством полярного способа съемки является определение местоположения каждой контурной точки независимо от других, благодаря чему не происходит накопления погрешностей.
4. Способ засечек применяется в зависимости от используемых инструментов в виде угловых или линейных засечек.
а. Способ прямых угловых засечек применяется на открытых участках, там, где невозможно производить непосредственное измерение расстояний (рис. 34).
Рис. 34. Способ прямых угловых засечек
Для определения положения снимаемой точки 1 способом угловой засечки измеряются два угла

и

, примыкающих к базису.
Базисом могут быть сторона или часть теодолитного хода или любые два пункта планового обоснования, между которыми существует видимость.
Примычные углы

измеряются одним полуприемом с точностью до 1'. Основное требование, предъявляемое к угловой засечке, состоит в том, что угол

при определяемой точке должен лежать в пределах 30 - 150°.
Расстояние от исходных до определяемой точки можно вычислить по формуле оценки точности при съемке способом угловой засечки
[28]:

, (42)
где S - расстояние до снимаемой точки;
m - средняя квадратическая погрешность измерений;

- угол при определяемой точке;

- точность измерении углов

.
Принимая

,

, получим значения допустимых расстояний при съемке способом угловых засечек (табл. 22).
Таблица 22
Характер контуров | Расстояние при угловой засечке, м, при масштабе съемки |
1:2000 | 1:1000 | 1:500 |
Четкие (капитальные сооружения) | 400 | 200 | 100 |
Четкие (некапитальные сооружения) | 1200 | 600 | 300 |
б. Способ линейных засечек применяется, если условия местности позволяют легко производить линейные измерения.
Положение точки при съемке способом линейных засечек определяется как вершина треугольника aAb, в котором известны три стороны aA, ab, AB (рис. 35).
Рис. 35. Способ линейной засечки
Линии засечек измеряются непосредственно рулеткой однократно.
Допустимые длины линейных засечек можно вычислить по формуле оценки точности при съемке ситуации этим способом, исходя из среднеквадратической погрешности измерений
[28]

, (43)
где

- погрешность снимаемой точки;
m - средняя квадратическая погрешность измерений;

- угол при снимаемой точке.
Принимая

и

, получим допустимые значения расстояний при съемке способом линейных засечек (табл. 23).
Таблица 23
Характер контуров | Расстояния при линейной засечке, м, при масштабе съемки |
1:2000 | 1:1000 | 1:500 |
Четкие (капитальные сооружения) | 120 | 60 | 25 |
Четкие (некапитальные сооружения) | 360 | 180 | 90 |
Примечание. При измерении линий дальномерами допустимые расстояния изменяются в зависимости от точности применяемого дальномера.
5. Способ створов (рис. 36). Суть способа заключается в том, что в створе двух известных точек M и N при помощи теодолита и мерного прибора определяется положение контуров.
Рис. 36. Способ створов
Обычно при производстве горизонтальной съемки применяют все указанные способы. Это делает теодолитный метод съемки достаточно гибким и является одним из его достоинств.
Измеренные линии во всех способах приводятся к горизонту по формуле
[17]

, (44)
где S - горизонтальное проложение линий;
D - измеренное значение длины линии;

- угол наклона линии.
Так как линейные измерения при горизонтальной съемке производятся с точностью, не превышающей 1/1000, то более малыми погрешностями можно пренебречь. Тогда значение наименьшего угла наклона

, с которого нужно вводить поправки за приведение к горизонту, можно вычислить следующим образом:

;

;

.
Следовательно, при производстве горизонтальной съемки на местности с углами наклона 2° и более для вычисления горизонтальных приложений следует измерять вертикальные углы.
Чтобы погрешность определения горизонтального проложения, обусловленная погрешностью измерения угла наклона, не превышала 1/1000, погрешность измерения угла наклона не должна превышать величины, указанной в табл. 24.
Угол наклона | Допустимая погрешность измерения угла наклона |
2° | 98' |
3 | 68 |
4 | 50 |
5 | 40 |
6 | 32 |
7 | 28 |
8 | 24 |
10 | 20 |
12 | 16 |
15 | 14 |
20 | 10 |
Из
табл. 24 видно, что углы наклона до 10° можно измерять с точностью, которую обеспечивает эклиметр, - 15 - 20'. Углы наклона более 10° необходимо измерять теодолитом, отсчеты следует брать с точностью до 1'.
Основными полевыми материалами, получаемыми в результате теодолитной съемки, являются и журналы измерений.
При съемке ситуации глазомерно, в каком-либо произвольном масштабе, составляется схематический план местности - абрис. На абрисе показывается расположение точек и сторон теодолитных ходов и снимаемых объектов местности со всеми результатами угловых и линейных измерений и пояснительными надписями. Абрис должен давать полное представление о ситуации снимаемой местности.
Журнал при горизонтальной съемке заполняется по мере необходимости, так как в основном все записи производятся на абрисе.
Так, например, журнал ведется при съемке способом обхода, полярным способом. В журнал записываются углы наклона местности, если они превышают 2°.
6.2. СГУЩЕНИЕ СЪЕМОЧНОЙ СЕТИ
В плановом отношении геодезической основой горизонтальной съемки, как и других видов съемки, служат пункты государственных геодезических сетей, геодезических сетей сгущения (местных сетей), точки съемочного обоснования, которые развиваются в зависимости от формы, размера и характера застройки участка.
Минимальное количество точек съемочного обоснования на 1 кв. км и на 1 планшет прямоугольной разграфки приведено в табл. 25.
Таблица 25
Масштаб съемки | Минимальное количество точек |
Четкие контуры | Нечеткие контуры |
на 1 км2 | на 1 планшет | на 1 км2 | на 1 планшет |
1:2000 | 8 | 8 | 6 | 6 |
1:1000 | 6 | 4 | 12 | 3 |
1:500 | 32 | 2 | 16 | 1 |
Съемочным обоснованием, как правило, служат теодолитные ходы, микротриангуляция и засечки.
В процессе производства съемочных работ может выявиться, что съемочных точек недостаточно для полного отражения ситуации местности на плане. Тогда проводится дополнительное сгущение сети съемочного обоснования. Способы сгущения могут быть различными в зависимости от конкретных условий местности.
Одним из способов дальнейшего сгущения может быть проложение диагональных ходов внутри сети (полигонов) съемочного обоснования.
Длина таких ходов должна быть не более половины длин, установленных для теодолитных ходов, и с погрешностью 1:2000.
Относительная точность диагональных ходов не должна быть ниже 1:1000.
Диагональный ход может прокладываться и для контрольных измерений.
Если на застроенной территории съемочное обоснование не позволяет снять отдельные элементы ситуации, рекомендуется прокладывать для этой цели висячие теодолитные ходы, опирающиеся одним концом на исходные точки.
Длина и максимальное число углов поворотов в висячих ходах приводятся в табл. 26.
Таблица 26
Масштаб съемки | Допустимая длина висячих ходов | Число углов поворота |
1:2000 | 200 | 2 |
1:1000 | 150 | 1 |
1:500 | 100 | 1 |
Для создания более густой сети съемочных точек на сторонах теодолитных ходов могут разбиваться створные точки (рис. 37). Створные точки (линии) разбиваются не далее 2-го порядка.
Рис. 37. Схема сгущения съемочной сети
Дополнительные съемочные точки могут быть получены также способом угловых засечек.
Определение дополнительных точек на местности вышеперечисленными методами (их закрепление, инструменты, методика угловых и линейных измерений, камеральная обработка результатов полевых измерений) производится так же, как определение точек съемочных сетей. Дополнительные точки используются в качестве съемочного обоснования.
Съемка проездов производится со съемочных точек способами перпендикуляров (абсцисс и ординат), полярным, засечек, створов и комбинированным (графоаналитическим). Общая техническая характеристика каждого способа приводится в
6.1.
Съемка контуров местных предметов состоит в определении их планового положения относительно исходных плановых точек, а также относительно друг друга. Съемка осуществляется путем измерения длин линий до указанных контуров и измерения горизонтальных углов между направлениями на опорную точку и контур или между направлениями на характерные точки контуров.
Определение планового положения контуров местных предметов производится вышеуказанными способами по следующей методике:
1. Способ перпендикуляров
Принимая одно из направлений за опорную линию (это будет линия между съемочными точками или между съемочной точкой и точкой четкого контура), укладываем по этой линии ленту таким образом, чтобы она располагалась в створе этой линии без перегибов и была натянутой. Допускаемая нестворность должна составлять не более 0,2 мм в масштабе плана. При этом начальный штрих ленты должен быть совмещен с началом опорной линии. По ленте отсчитывается отрезок линии до пересечения створа с перпендикуляром, опущенным со снимаемой точки. В месте пересечения угол в 90° строится либо визуально, либо с помощью эккера. Это будет зависеть от длины перпендикуляра. Длина перпендикуляра замеряется рулеткой. Все отсчеты по ленте и по рулетке заносятся в абрис (см.
Прил. 5).
2. Полярный способ
На съемочной точке устанавливается теодолит, центрируется. При совмещенных нулях лимба и алидады труба наводится на начальное направление или на любую другую точку, принятую за начальную. Далее открепляется алидада и труба наводится на снимаемую точку. При этом положении берется отсчет по лимбу и заносится в абрис или соответствующий журнал.
Измерение горизонтальных углов на снимаемые точки желательно производить по ходу часовой стрелки от начального направления (одним полуприемом).
После снятия отсчетов по направлениям на все снимаемые точки труба вновь наводится на начальное направление для контроля с последующей записью его в журнале. Расхождение не должно превышать 2', после чего между съемочной точкой и снимаемыми точками определяются расстояния простым измерением лентой или дальномером.
Измерение расстояния заносится в абрис (см.
Прил. 5).
3. Способ засечек
При угловой засечке инструмент устанавливается поочередно на двух съемочных точках. На каждой съемочной точке измеряется горизонтальный угол между начальным направлением и направлением на снимаемую точку одним полуприемом.
При линейной засечке измеряются расстояния от съемочных точек до снимаемой точки поочередно.
Линии до снимаемой точки могут быть измерены как лентой, так и дальномером. Это будет зависеть от точности масштаба съемки.
4. Способ створов
Этот способ имеет место при съемке второстепенных контуров местности. В данном способе строится створ между съемочной точкой и снимаемой точкой контура или между точками снимаемых четких контуров. Располагающиеся контуры от направления этого створа справа и слева снимаются обычным способом перпендикуляров.
Этот створ может быть продолжен за точку снятого контура на длину не более длины линии теодолитного хода. Справа и слева продолженного створа снимаются контуры местности обычными способами.
5. Комбинированный (графоаналитический)
При данном способе на съемочной точке устанавливается мензула. Съемка важных контуров производится вышеуказанными способами. Съемка же второстепенных контуров - мензульным способом.
В этом случае абрис не ведется и вся снятая ситуация наносится на планшет непосредственно в поле. Методика проведения мензульной съемки указана в
главе 4.
Съемка ситуации требует от исполнителя повышенного внимания и навыка. В данном случае каждая точка контура снимается независимо от других, и погрешность в определении положения одной точки не повлияет на положение других точек, а следовательно, грубая погрешность в съемке точки может не выявиться. Поэтому исполнитель должен все время изучать ситуацию, форму контуров, следить за работой реечника или мерщика с лентой. Особое внимание следует обратить в том случае, когда производится координирование углов зданий или характерных точек на проезде.
Каждый предмет местности снимается по контуру.
Контуром предметов является линия, образованная соприкосновением земной поверхности с покрытием или без покрытия с наружной поверхностью предметов.
Например, у зданий, расположенных вдоль проезда, контур проходит при соприкосновении цокольной части фундамента с тротуарной частью или отмосткой (рис. 38).
Рис. 38. Контур цоколя здания
Выбор способа съемки будет зависеть от точности инструментов, обеспечивающих средние квадратические погрешности съемки, указанные в
табл. 19.
Абрис ведется в карандаше. Журнал горизонтальной съемки заполняется в исключительных случаях (при густой застройке, необходимости измерения вертикальных углов и угловых засечек).
В качестве журнала горизонтальной съемки можно использовать журнал тахеометрической съемки.
Съемка проездов подразделяется на две части:
- съемку ситуации;
- обмер фасадов и контрольные промеры.
Съемка деталей ситуации проезда начинается со съемочной точки. Над точкой устанавливается инструмент, центрируется.
Если при этом установлен теодолит, то нуль лимба ориентируется по начальному направлению. Это начальное направление должно быть указано в абрисе
(Прил. 5). После ориентирования инструмента производится зарисовка местных предметов в абрис. В абрис зарисовываются только те предметы местности, которые подлежат съемке в зависимости от масштаба съемки.
После зарисовки предметов производятся угловые измерения на выбранные ситуационные точки при одном круге (горизонтальные и углы наклона).
Для этого алидада открепляется от начального направления и поочередно труба наводится на ситуационные точки со взятием отсчета по лимбу. Последнее наведение делается снова на начальное направление для контроля. Контрольные отсчеты записываются в абрис или журнал в скобках под первоначальным ориентированием.
После угловых измерений инструментом намечаются створные линии для съемки точек способом перпендикуляров и производятся измерения полярных расстояний. Пробивка створов может производиться с одновременным откладыванием расстояния мерной лентой или дальномером до мест опускания перпендикуляра со снимаемой точки (рис. 39).
Рис. 39. Створная линия
Обмеры фасадов могут производиться до начала инструментальной съемки или после.
Это будет зависеть от времени года и условий местности. Обмер фасадов и контрольные промеры выполняются стальной лентой или рулеткой с точностью, указанной в табл. 27.
Способы измерения |  , м, для масштабов |
1:2000 | 1:1000 | 1:500 |
Лента (рулетка) | 0,25 | 0,12 | 0,06 |
Используя принцип равного влияния погрешностей угловых и линейных измерений, будем иметь

. Тогда средняя квадратическая погрешность измерений, связанная со съемками, будет равна

, (45)
Преобразуя
формулу (45), получим среднюю квадратическую погрешность измерения линий, т.е.

. (46)
Точность линейных измерений для различных масштабов, вычисленная по
формуле (46), приводится в
табл. 27.
Лента укладывается вплотную к фасаду, и начало ее совмещается с первой снятой точкой фасада. По ленте берут отсчет для всех деталей, выражающихся в масштабе. В зависимости от масштаба съемки производится обмер приямников, иллюминаторов, ступенек, архитектурных выступов и т.п. При этом производится обобщение, т.е. выступы, ступеньки и т.п. опускаются при съемке, если они не превышают 0,5 мм плана.
При измерениях фасада дают общую меру от одного резкого излома фасада до другого. Не допускается измерение по частям, так как оно несет в себе погрешности от округлений при отсчетах отдельных отрезков. При наличии закругления фасада следует определить его радиус. При отсутствии концевых мер измерение расстояния до внутреннего угла здания производится по частям, т.е. расстояние по ленте фиксируется на каком-нибудь целом числе ленты, и остаток от угла до отмеченного расстояния измеряется отдельно желобковой рулеткой.
Контрольные измерения производятся выборочно между снятыми точками противоположных сторон фасадов. Такие измерения делают на углах кварталов (в местах пересечения улиц), в виде "конвертов", связывающих углы кварталов как поперек улиц, так и по диагоналям перекрестка. Кроме того, поперечные промеры берутся в местах изломов фасадных линий. Контрольными промерами подсекаются, где это возможно, выходы подземных коммуникаций, капитальные здания (рис. 40).
Рис. 40. Контрольные промеры
В результате произведенных работ по съемке проездов представляются:
а) абрисы съемки проездов или оформленные в карандаше планшеты в случае комбинированной съемки;
б) журнал горизонтальной съемки (в случае его заполнения);
в) пояснительная записка.
6.4. СЪЕМКА ВНУТРИ КВАРТАЛОВ
Съемку внутри кварталов желательно выполнять после окончания съемки проездов. Для облегчения работы перед внутриквартальной съемкой следует произвести накладку на планшеты снятой ситуации проездов и фасадов. При необходимости определяются дополнительные съемочные точки внутри кварталов. Методика сгущения изложена в
параграфе 6.2.
Съемку внутри кварталов следует выполнять таким образом, чтобы обеспечивался надлежащий контроль снятой ситуации. Одним из видов контроля является установление в натуре точек ситуации, которые должны быть сняты с двух смежных точек.
Детальная съемка внутри кварталов производится теми же способами, что и при съемке проездов. Все данные съемки внутри кварталов заносятся в абрис
(Прил. 5). Записи в абрисе ведутся в карандаше достаточно четко и ясно и располагаются таким образом, чтобы не возникло сомнений, к каким элементам эта запись относится.
Съемка внутри кварталов производится теми же способами, как и в случае съемки проездов. При обмерах строений, а в некоторых случаях и для построения точек ситуации, не снятых со съемочных линий, производится измерение диагональных связок между углами строений или какими-либо иными точками ситуации.
Контроль съемки внутри кварталов (рис. 41) производится аналогично контролю при съемке проездов (см.
6.3). В результате работ по съемке внутри кварталов представляются те же материалы, что и при съемке проездов.
Рис. 41. Контроль съемки внутри квартала
При составлении плана используется полевой материал, полученный в результате выполнения горизонтальной съемки:
- абрисы съемки;
- журналы горизонтальной съемки;
- пояснительная записка.
В работы по составлению плана входят:
- вычисления;
- построение координатной сетки;
- накладка съемочных точек по координатам;
- нанесение ситуации;
- корректура составленного плана;
- полевой контроль.
Составление плана горизонтальной съемки производится в том же порядке, в каком выполнялись полевые работы, т.е. сначала наносятся точки съемочных сетей, затем предметы ситуации местности.
Вычислительные работы выполняются с целью получения координат съемочных точек и тех точек ситуации, которые должны быть нанесены по координатам на план.
Вычисления начинаются с проверки журнала. На абрисе или в журнале вычисляются горизонтальные проложения тех линий, углы наклона которых превышают 2°. Одновременно отмечаются точки ситуации, которые должны быть нанесены на план по координатам или методом хорд.
По координатам на план наносятся те точки ситуации, расстояния до которых превышают величины, указанные в табл. 28
[11].
Масштаб съемки | Расстояние до точек ситуации, м |
1:2000 | 120 |
1:1000 | 60 |
1:500 | 30 |
По координатам также наносятся створные точки, если с них идут висячие ходы или створная линия переходит с одного планшета на другой.
Вычисление координат ведется в ведомостях по общеизвестной методике.
Для более удобного выполнения работ по составлению плана необходимо иметь схему съемочной сети.
Составление плана горизонтальной съемки выполняется на планшете или на мягкой основе (см.
главу 4).
Построение координатной сетки и накладка съемочных точек по координатам производится так же, как и при составлении плана тахеометрической съемки.
При составлении плана горизонтальной съемки заполняется формуляр планшета по образцу, приведенному в
главе 4.
Нанесение ситуации (контуров и предметов) выполняется в той же последовательности, в какой выполнялись съемочные работы на местности. Накладка ситуации производится методом геометрических построений. Построение точек соответствует методу, которым выполнена съемка. При этом расстояния откладывают при помощи измерителя и масштабной линейки, прямые углы - при помощи треугольника, углы строят с помощью транспортира или тахеографа. Могут быть использованы и другие вспомогательные приборы.
В процессе нанесения ситуации могут встречаться точки, расстояния до которых превышают указанные в
табл. 28 величины, тогда они наносятся по координатам.
Накладка с висячих ходов производится в первую очередь тех точек ситуации, где производился контроль (дополнительные промеры, обмеры и т.п.), а затем и всех остальных.
При составлении плана горизонтальной съемки застроенной территории желательно сначала производить накладку ситуации по проезду, затем внутри квартала. Последовательность накладки ситуации застроенной территории такова: прежде всего наносятся углы зданий и сооружений, а затем на основании обмеров накладывают входы, приямники, пристройки и т.п.
При накладке прямолинейных контуров смежные точки соединяют прямыми линиями, криволинейные контуры, не имеющие четкой геометрической формы, соединяют плавными кривыми линиями.
Одновременно с накладкой точек ситуации контролируют правильность съемки и накладки измерением на плане расстояний между этими точками, сравнивая эти расстояния с измеренными на местности. Расхождения между промерами, взятыми с плана и измеренными на местности, не должны превышать 0,7 мм в масштабе плана, в противном случае накладку этих точек повторяют. Если и при повторной накладке расхождение останется таким же, то необходима проверка этого расстояния на местности, о чем делается соответствующая пометка на плане и в абрисе.
При составлении плана для сводки ситуации местности между планшетами необходимо накладывать ситуацию за рамкой на расстоянии 1 см. Составитель плана производит сводку по южной и восточной рамкам планшета. Для этого делается выкопировка на кальку ситуации смежных планшетов полосой по 2 см. В случае расхождения контуров на стыке планшетов принимается их среднее положение.
По окончании работы по составлению плана все замечания, связанные с необходимыми промерами, объединяют и направляют для контрольных и дополнительных измерений на местности.
Камеральная корректура производится после окончания накладки ситуации в карандаше.
Выполняется проверка нанесения точек съемочного обоснования и закоординированных точек.
Количество контролируемых точек устанавливается проверяющим, в среднем оно может достигать 15%
[7].
Далее переходят к проверке накладки ситуации местности, проверяется:
- полнота накладки путем сличения плана с абрисом;
- правильность надписей, характеристик зданий, названий улиц и т.п.;
- точность накладки ситуации;
- сводка ситуации на отдельных участках рамок планшетов.
Предельные расхождения и их количество при проверке точности накладки допускается такое же, как и при полевом контроле.
Все замечания по состоянию планов записываются в корректурный лист. Указания о недочетах, подлежащих исправлению, должны излагаться в корректурном листе коротко, точно и ясно.
Затем план передается исполнителю (составителю) на исправление корректурных замечаний. Об исправленных замечаниях исполнитель в корректурном листе делает соответствующую запись.
Полевой контроль производится после исправления замечаний, выявленных во время камеральной корректуры. В процессе производства полевого контроля выполняется сличение плана с местностью. В случае обнаружения пропусков в съемке или неверных характеристик строений или угодий на абрисе делаются соответствующие указания, пропущенные же места доснимаются.
В процессе полевого контроля производятся контрольные замеры расстояний между точками ситуации. Расхождения между расстояниями, взятыми с плана и полученными при контрольных промерах, не должны быть более величин, указанных в табл. 29
[8].
Масштабы съемки | Допустимые расхождения, см |
для проездов | для внутриквартальной застройки |
1:2000 | 140 | 180 |
1:1000 | 70 | 90 |
1:500 | 35 | 45 |
Предельные расхождения не должны превышать удвоенных значений, помещенных в
табл. 29, и количество их не должно быть более 10% от общего числа контрольных измерений.
В результате составления плана горизонтальной съемки формируются следующие материалы:
- планшет,
- формуляр планшета,
- выкопировки сводок по рамкам,
- корректурные листы,
- акты полевой приемки,
- абрисы.
КОРРЕКТУРА СЪЕМКИ ПРОШЛЫХ ЛЕТ И ОФОРМЛЕНИЕ ПЛАНОВ
7.1. КОРРЕКТУРА СЪЕМКИ ПРОШЛЫХ ЛЕТ
Корректура (обновление) топографических планов съемок прошлых лет производится с целью приведения их содержания в соответствие с современным состоянием местности. В зависимости от характера изменений, происшедших на местности, и от важности района в хозяйственных целях осуществляется непрерывное или периодическое обновление топографических планов. При правильной постановке работ все изменения на местности должны своевременно отображаться на планах.
Точность и полнота содержания обновленных планов должны удовлетворять требованиям инструкции по топографической съемке в масштабах 1:5000, 1:2000, 1:1000, 1:500. Для обновления планов используются все имеющиеся материалы съемок более крупного масштаба, выполненных после составления обновляемого плана. Если в результате хозяйственной деятельности произошли значительные изменения на местности и в рельефе (45 - 50%) и дальнейшая корректура нецелесообразна, то топографическая съемка выполняется заново.
Работы по корректуре старых съемок начинают со сбора и изучения планового материала и геодезической основы на выбранный район. К таким материалам относятся:
- каталоги координат геодезических пунктов;
- списки координат пунктов сетей, проложенных позже и не помещенных в изданных каталогах;
- материалы съемок текущих изменений;
- исполнительные съемки вновь выстроенных зданий и сооружений;
- материалы аэрофотосъемки.
При изучении собранных материалов устанавливают:
1) время и организацию, которая выполняла работы;
2) нормативные документы (инструкции) по производству работ;
3) методы создания съемочного обоснования, систему координат и высот;
4) качество топографических материалов (точность взаимного положения контурных точек, правильность изображения рельефа);
5) сохранность пунктов исходного обоснования;
6) степень пригодности плана.
Качество топографических материалов и степень их пригодности, сохранность исходных пунктов устанавливаются только путем обследования в натуре. О целесообразности полевого обследования старых съемок судят по данным о времени производства работ, примененным нормативным документам, методике создания съемочного обоснования, его точности и общему состоянию имеющихся планов.
Большую помощь в решении вопроса о проведении полевого обследования и корректуры могут оказать материалы аэрофотосъемки. При их наличии целесообразность проведения корректуры решается камеральным путем, без выполнения полевого обследования.
При полевом обследовании качество топографических материалов в плановом отношении проверяется выборочными контрольными измерениями между точками ситуации, показанными на проверяемом плане (контуры ситуации, жилые и нежилые здания и сооружения). Правильность отображения рельефа оценивается в основном визуально, путем сличения плана с местностью. При наличии пунктов (точек) планово-высотного обоснования проверка может производиться от этих точек.
Данные обследования помогут принять решение с проведении корректуры плана или о выполнении новой съемки.
Для выполнения корректуры или новой съемки необходимо установить наличие и состояние пунктов исходной геодезической сети на район работ. Исходными материалами для их обследования являются упомянутые выше каталоги.
По этим материалам пункты сети наносятся на топографические планы, где также помещаются их технические данные (название пункта или номер, класс, тип и высота визирного знака, тип центра, расстояния и дирекционные углы на ориентирные пункты). Подготовленные таким образом планы используются исполнителями при производстве полевых работ по обследованию.
В комплекс работ по обследованию пунктов входит:
- отыскание пунктов на местности;
- осмотр, выяснение состояния центров, наружных знаков и внешнего оформления;
- составление отчетных материалов по обследованию.
Пункты отыскиваются с помощью плана по сохранившимся на местности внешним признакам. Пункты полигонометрии, находящиеся под асфальтным или бетонным покрытием, считаются утраченными.
При невозможности отыскать центр пункта визуальным осмотром и при отсутствии признаков его уничтожения, могут быть применены аналитические способы отыскания центров.
Из аналитических способов, в зависимости от видимости с земли на другие пункты, применяются прямые и обратные угловые засечки, задача Ганзена. Местоположение отыскиваемого центра можно с достаточной точностью определить при наличии одного сохранившегося ориентирного пункта.
Если местоположение пункта (центра) установлено, оценивают его состояние. При разрушении марки верхнего центра вскрывают нижний центр, пользуясь данными о типах заложенных центров. Если нет нижнего центра, то пункт считается утраченным. Определяется пригодность наружного знака для производства угловых измерений. В таком же порядке обследуются марки и реперы высотной сети.
Сведения о состоянии обследованных пунктов даются в отчете о выполненной работе.
По результатам изучения всех собранных материалов составляется программа работ по корректуре планов. Программа должна содержать сведения о районе и назначении выполняемых работ, сведения о качественной характеристике топографических материалов и существующего планово-высотного обоснования, способах развития планово-высотного обоснования, методике и технологии производства корректуры и применяемых инструментах. В заключительной части программы даются сведения по организационным вопросам, обеспеченности кадрами и прилагается смета стоимости работ.
Корректура топографических планов может осуществляться:
- путем камерального исправления содержания с последующим полевым обследованием или без него;
- путем исправления в поле приемами мензульной или тахеометрической съемок.
Тот или иной путь корректуры избирается исходя из количества изменений, их сложности, наличия исходных материалов и инструментов.
Камеральное исправление планов выполняется по материалам съемок текущих изменений, исполнительных съемок, полученным в различных организациях, с последующим полевым контролем или без него, в зависимости от полноты и качества используемых материалов, и состоит из показа на них новых контуров ситуации, удаления отсутствующих и исправления изображения рельефа.
При исправлении планов наземной съемкой в состав работ входят следующие виды:
1) подготовка планшетов;
2) рекогносцировка;
3) создание планово-высотного обоснования;
4) корректура ситуации и рельефа;
5) составление пояснительной записки.
Корректуру планов обычно начинают с подготовки планшетов. Если планшеты съемок прошлых лет находятся в неудовлетворительном состоянии, то составляют новые планшеты. Рекомендуется составлять их на жесткой основе с высокой точностью и с учетом деформации используемых старых планов. Величину деформаций можно определить по координатной сетке или по опорным пунктам. Деформации бывают равномерные и неравномерные. Равномерная деформация в продольном и поперечном направлениях считается допустимой, если она не превышает 1:1500 длины линии на плане в мм, а неравномерная 0,4 мм.
Общую допустимую деформацию m, отдельно в продольном и поперечном направлении плана, вычисляют по формуле:

, (47)
где L - длина линии на плане в мм.
Планы, деформация которых находится в допустимых пределах, используются для внесения корректуры. Если величины деформаций превышают указанный допуск, то дубликат плана составляют снова по имеющимся полевым материалам или фотомеханическим способом. В этом случае работы выполняются в следующей последовательности:
- изготовление на пленке с учетом деформации негативов;
- подготовка прозрачной основы на пленке для монтажа негативов.
На пленку наносят координатную сетку и пункты геодезической основы. При контроле размеры рамок негативов не должны отличаться от номинальных значений более чем на 0,2 мм. Наклейку негативов на основу делают прозрачным клеем и производят печатание.
При редкой ситуации и несложном рельефе рационально применение механических способов.
На стадии полевой работы по корректуре рекогносцировкой дополнительно уточняются происшедшие изменения в части рельефа и контуров и устанавливается фактический объем работ на данном участке. Намечаются способы съемки мелких изменений, а в случае больших изменений даются в деталях соображения о развитии съемочного обоснования.
При построении съемочной сети могут встретиться некоторые особенности, вытекающие из наличия и местоположения сохранившихся исходных пунктов. Некоторые из них рассматриваются ниже.
На участке есть два пункта A и B, видимость между которыми, а также на смежные пункты отсутствует. В этом случае между ними прокладывается теодолитный ход без измерения примычных углов. Методика и точность измерений принимаются такими же, как и при проложении обычных теодолитных ходов.
При вычислении для первой стороны, например от пункта A, принимают любое произвольное значение дирекционного угла. Далее по измеренным углам вычисляют дирекционные углы других линий и координаты точки B, принимая пункт A за исходный. Вычисленные координаты пункта B будут отличаться от известных, главным образом из-за неверно принятого дирекционного угла первой стороны, т.е. будет получен пункт B'. Затем по известным координатам пунктов A, B и B' вычисляют дирекционные углы

и

по формуле:

. (48)
Разность их

дает угол поворота всего хода. Исправляют этой разностью дирекционные углы всех сторон, вторично вычисляют координаты точки B, линейную относительную невязку и сравнивают ее с допустимой. Невязку распределяют пропорционально длинам линий и вычисляют координаты промежуточных точек так же, как в обычном теодолитном ходе.
Если два сохранившихся пункта A и B находятся на незначительном расстоянии друг от друга и между ними отсутствует видимость, то в этом случае задачи решаются путем определения положения вспомогательной точки. В стороне от линии, примерно на одинаковом расстоянии от конечных пунктов, намечают вспомогательную точку. Измеряют две линии и угол с точностью, принятой для теодолитных ходов. По измеренным элементам и известному расстоянию вычисляют углы

и

по формулам:

. (49)
Через измеренные углы

и

переходят в обычном порядке к прокладке теодолитных ходов. Как и следует, через вычисленные углы

и

осуществляется угловая привязка теодолитных ходов к исходным пунктам.
Для контроля вычислений следует найти сумму углов

и

, которая должна быть равна 180°.
Отклонение (невязка) не должно быть более

(n - число углов).
При наземной корректуре съемка вновь появившихся контуров и изменений в рельефе производится любыми приемлемыми методами (мензульной, тахеометрической комбинированной или горизонтальной) съемки. Описание методов съемки, технические требования, обработка материалов приводятся в
главах 2,
3,
4 и
5 Руководства. Нанесение на планы текущих изменений выполняется теми же методами, что и составление новых.
Если корректируемые планы составляются в местной (условной) системе координат, то их необходимо переоформить в другую (новую) систему координат.
По вычисленным координатам на корректируемый план наносят новую координатную сетку.
При необходимости перехода в новой системе отметок геометрическим нивелированием передают отметки на старые реперы. Разность этих отметок (среднее значение по нескольким реперам) будет являться поправкой для перехода к новой системе.
Вопрос об изменении счета горизонталей или о перерисовке рельефа должен решаться в зависимости от характера рельефа и удобства пользования планом.
Кроме наземной съемки для корректуры планов на участке 10 кв. км и более выгодно применять аэрофотосъемку. Наиболее целесообразно ее применение для корректуры планов масштабов 1:5000 и 1:2000. Повторные аэрофотосъемки позволяют легко выявить изменения в ситуации и рельефе, происшедшие за период между съемками.
Если по первым аэроснимкам были изготовлены фотопланы, то с помощью повторных трансформированных снимков переносятся изменения на фотопланы. Если изменения на местности произошли в отношении объектов, не распознающихся камерально или нечетко выразившихся, то необходимо дешифрирование повторных аэроснимков в полевых условиях.
В заключение выполняемых работ по корректировке планов составляется пояснительная записка, в которой описываются все виды работ на каждом этапе.
Существующие способы обновления карт имеют много недостатков, в значительной степени влияющих на качество обновляемой карты. Эти недостатки можно исключить, если использовать в качестве оригинала для исправления карт прозрачные малодеформирующиеся пластики. В этом случае на пластик наносится изображение плана и после совмещения его с трансформированным до масштаба исправляемой карты аэроснимком производится исправление элементов содержания. Проверка этого метода на производстве дала хорошие результаты, и можно надеяться, что в будущем более широкое его использование даст большой экономический эффект. Технология обновления планов на пластиках состоит в следующем.
С оригинала обновляемой карты изготавливают копию на пластике способом вымывного рельефа либо другим известным способом. Изображение может быть любого цвета (коричневого, красного, черного). При изготовлении копий матированную сторону пластика рекомендуется покрыть лаком специального состава.
Аэроснимки, предназначенные для работы, предварительно трансформируются и приводятся к масштабу исправляемой карты. Прозрачный пластик с полученным на нем штриховым изображением карты накладывается на трансформированный аэроснимок, совмещается с ним по идентичным контурам, после чего производится исправление карты на пластике. При этом устаревший объект выскабливается, а новый вычерчивается тушью или сначала наносится карандашом, а затем закрепляется тушью. Исправление карт на прозрачных основах производится, как правило, в камеральных условиях. Опыт показал, что основы вполне пригодны для полевой проверки обновленных в камеральных условиях оригиналов карт.
Описанный метод рекомендуется применять для обновления карт на равнинные районы, однако с помощью универсальных фотограмметрических приборов его можно применять для обновления карт на горные районы.
По имеющимся данным, при обновлении карт указанным способом производительность труда повышается на 10 - 15%.
7.2. ОФОРМЛЕНИЕ ПЛАНОВ НАЗЕМНЫХ СЪЕМОК
В настоящее время для ускорения и удешевления оформительских работ полевые (составительские) оригиналы вычерчиваются в камеральных условиях.
В задачу камеральной обработки входит оформление и закрепление тушью и красками полевого оригинала, вычерченного в карандаше.
Общий порядок камеральной обработки следующий:
- подготовительные работы;
- вычерчивание полевого оригинала;
- корректура;
- исправление корректуры;
- приемка.
Подготовительные работы заключаются в просмотре планшетов полевой съемки и сводок по рамкам.
Просмотр планшетов производится в такой последовательности:
- проверка номенклатуры и рабочего номера на планшете со схемой расположения планшетов и согласованности их с кальками;
- проверка размеров рамок планшетов в соответствии с формуляром и правильности разметки координатной сетки;
- просмотр нанесения контуров, проведения горизонталей, условных знаков и других элементов плана;
- согласованность калек контуров и высот с планом.
После выполнения всех подготовительных работ и нанесения исправлений по замечаниям приступают к чистовому вычерчиванию планов.
При вычерчивании в камеральных условиях рекомендуется использовать сухую тушь в виде палочек или концентрированную в тюбиках. Для более длительной сохранности и прочности в тушь добавляют 2 - 3 капли 10-процентного раствора двухромокислого калия (или аммония) на дневную порцию туши (или 5 куб. см на 100 куб. см туши).
Для того чтобы тушь хорошо стекала, в нее добавляют одну каплю ихтиола или глицерина на дневную порцию туши.
Для удаления с поверхности планов следов резинки и затеков от воды можно применять смесь парафина и стеарина, смешанных в равных долях. Подогретой смесью смазываются загрязненные места плана, излишек смеси удаляется острым предметом, а место пятна полируется через кальку твердым предметом.
Жирные пятна можно удалить кашицевидной смесью бензола и магнезии. Обработка производится обильно смоченным ватным тампоном до тех пор, пока пятно не исчезнет. Затвердевшую массу осторожно снимают ножом.
Для вычерчивания необходимо иметь краски следующих цветов: коричневые (жженая сиена), зеленые (соковую зелень), синие (берлинскую лазурь), красные (жженый кармин).
Для придания краске более нежного и приятного тона в нее добавляют несколько капель лимонного сока, для придания блеска - 2 - 3 капли жидкого гуммиарабика.
При вычерчивании используются чертежные перья, рейсфедер, кривоножка, кронциркуль и различные линейки, лекала. Вычерчивание производится короткими штрихами движениями пальцев руки "на себя". Набирать тушь на перо нужно верхней частью (спинкой). Перед проведением штрихов на плане нужно сделать пробу пера на листе бумаги.
Камеральное вычерчивание планшетов должно производиться в соответствии с "Условными знаками для топографических планов масштабов 1:5000, 1:2000, 1:1000 и 1:500".
Главное внимание должно быть уделено точности, отчетливости и полной ясности изображения предметов, контуров и рельефа. В таблицах условные знаки в необходимых случаях даны в двух вариантах: для передачи топографических объектов в масштабе плана и для их внемасштабного изображения. Условные знаки для внемасштабного изображений объектов вычерчиваются с учетом следующих правил:
- условные знаки на плане должны располагаться перпендикулярно южной рамке;
- для знаков правильной формы (круг, квадрат, треугольник) положению объекта на местности соответствует центр знака;
- для знаков в виде перспективного изображения объекта - середина основания знака;
- для знаков с прямым углом в основании - вершина угла;
- для знаков в виде сочетания нескольких фигур - центр нижней из них;
- условные знаки вычерчиваются по размерам, указанным в таблицах;
- условные знаки должны размещаться с просветом между ними не менее 0,3 мм;
- в контурах, ограничивающих площадь более 25 кв. см в масштабе плана, расстояния между условными знаками могут быть увеличены в 1,5, 2 или 3 раза против установленных правил.
Полевые оригиналы топографических наземных съемок вычерчиваются и отмываются в следующих цветах:
- черном: контуры, ситуация, рамочное и зарамочное оформление;
- коричневом: рельеф, надписи числовых характеристик естественных форм рельефа, грунты;
- зеленом: контуры гидрографии, солончаки, болота, пересечения координатной сетки;
- голубом: водные пространства;
- розовом: проезжие части улиц в населенных пунктах и мощеные или асфальтированные участки (площади, тротуары, пешеходные дорожки).
Для планов, имеющих небольшую графическую нагрузку и не предназначенных для многоцветного издания, допускается вычерчивание в одном цвете (черном)
[11].
Последовательность работ при графическом оформлении рекомендуется следующая:
- внутренняя рамка, выходы координатной сетки;
- пункты геодезической основы и съемочные сети, высоты характерных пикетов и другие ориентирные предметы;
- все надписи, за исключением тех, которые расположены внутри водных площадей;
- ситуация;
- дорожная сеть, линии связи, энергоснабжения;
- элементы гидрографии;
- контуры элементов растительного и почвенного покрова;
- заполнение всех контуров условными знаками;
- элементы рельефа;
- рамочное и зарамочное оформление;
- самокорректура.
При вычерчивании пунктов геодезической сети необходимо тщательно совмещать центры условных знаков с наколами на плане. Названия, номера и отметки подписываются слева от пунктов.
Если разность между отметкой поверхности земли и отметкой центра или репера составляет более 0,1 м, то в этом случае отметки пунктов и реперов подписываются в виде дроби: в числителе - отметка центра или головки репера, в знаменателе - отметка поверхности Земли.
Если пунктом является заводская труба, шпиль здания башенного типа, колокольня и т.п., то условный знак рисуется, но с отступлением от установленных размеров. Одновременно с вычерчиванием пунктов выписываются отметки пикетов.
Для удобства чтения рельефа на планах масштабов 1:5000 и 1:2000 подписывается не менее 5 отметок на 1 дм2 плана; а на планах масштабов 1:1000, 1:500 - отметки всех пикетов. Вычерчивание всех надписей производится в соответствии с образцами, приведенными в Условных знаках.
Надписи названий населенных пунктов располагаются вне селения, справа и против его середины. Как исключение, надпись помещают сверху или снизу населенного пункта. Если населенный пункт занимает значительную площадь плана, то соответствующие надписи делаются над северной рамкой с левой стороны.
Надписи выходов железных и шоссейных дорог выполняются за внутренней рамкой, в 2 мм от нее.
Надписи названий улиц и переулков располагают по оси их изображения, примерно в средней части длины основанием к югу, а для улиц, идущих строго с юга на север - основанием на восток.
Надписи названий рек, каналов, ручьев, оврагов и т.п. размещают вдоль изображения не реже, чем через каждые 20 см их протяжения на плане, и обязательно в верховьях (у истока), в местах впадения притоков и около рамок.
Названия площадей надписываются горизонтально, внутри контура площади.
Населенные пункты следует вычерчивать с главных проездов, улиц, переулков. Вычерчивание строений производится с выделением на огнестойкие, жилые и нежилые, с показом их этажности (2КЖ - двухэтажное, каменное, жилое).
Строения общественного и промышленного назначения показываются на планах условными знаками с пояснительными надписями.
Вычерчивание дорожной сети производится с соблюдением соответствующих условных знаков. В первую очередь наносятся искусственные сооружения (мосты, переезды, стрелки), затем придорожные сооружения, дороги и под конец - насыпи, выемки.
Дороги вычерчиваются в порядке их значимости, начиная с железных дорог.
Изображения дорог не доводят до начала изображения улиц и мостов на 0,5 мм.
Трубопроводы, линии электропередач и связи вычерчиваются после дорожной сети.
Вычерчивание гидрографии начинается с окраски водных пространств, затем наносятся сооружения и объекты, прерывающие береговую линию, потом берега озер, рек, каналов, изображаемые двумя линиями; реки, изображаемые одной линией; различные гидрографические условные знаки.
Элементы растительности и грунтов начинают вычерчиваться с контуров. Контуры заполняют условными знаками с соблюдением требуемых размеров.
Рельеф начинают вычерчивать с элементов, не выражающихся горизонталями, - скалы, осыпи, ямы, обрывы, овраги и т.п. При рисовке рельефа горизонтали не проводятся через дороги, реки, строения, места поверхностных разработок и через спланированные места с покрытиями (асфальт, каменное мощение и т.п.).
При сечении рельефа через 1; 2; 5 м утолщается каждая пятая горизонталь, при сечении 0,5 - каждая четвертая. Указатели направления скатов - бергштрихи наносятся на горизонталях, отображающих вершины, котловины и седловины, участки, затруднительные для чтения рельефа.
Для быстрого чтения рельефа вычерчиваются числовые характеристики горизонталей, но при этом не следует перегружать план излишними надписями.
Числовые характеристики горизонталей должны даваться примерно через 20 - 25 см в шахматном порядке. В первую очередь подписываются утолщенные горизонтали, сначала кратные десяти, четырем, затем горизонтали, характеризующие отдельные формы и детали рельефа. В обязательном порядке надписываются горизонтали в начале и в конце ската. Надписи горизонталей должны быть ориентированы основанием цифр по скату, причем по возможности к южной или восточной рамкам.
Зарамочное оформление должно производиться в соответствии с образцами, приведенными в Условных знаках.
Если полевые работы выполнялись ведомственными организациями, то над серединой северной рамки надписывается только номенклатура или номер планшета (листа).
В разрыве наружной рамки, посредине, подписываются номенклатура (номер) смежных планшетов (листов).
При косоугольной разграфке планов подписываются координаты углов и ближайшие координатные линии к углам, а при прямоугольной разграфке только координаты углов. Оформление зарамочных надписей допускается делать наклейками, которые печатаются по длине каждой рамки.
В настоящее время для оформления топопланов нашел применение способ переводных изображений (декалькомания). Деколи представляют собой пленочный прозрачный материал, на который фотохимическим путем нанесено изображение для перевода. Рабочая (внутренняя) сторона деколи покрывается лавсановой пленкой для защиты от высыхания краски при длительном хранении. Деколи после их использования можно восстанавливать и применять многократно. Союзмаркштрестом разработан и выпускается типовой комплект из 30 форматок для повсеместного применения. По мере внедрения в производство этот комплект будет изменяться и дополняться другими форматками.
Выполненная производственная работа показала безусловную целесообразность применения деколей при вычерчивании топографических планов крупных масштабов. Применение этого способа позволит:
- повысить производительность труда на чертежно-оформительских работах в среднем на 40%;
- улучшить качество вычерчивания надписей и сложных знаков;
- при соответствующей организации может дать значительно больший экономический эффект.
Технология перевода изображений очень проста и заключается в следующем. На форматке выбирается необходимый знак, снимается с него защитная пленка (не полностью, а лишь с того участка, где находится этот знак), деколь накладывается на участок плана, совмещается и ориентируется должным образом и передавливается притиранием гладким предметом. Затем, не снимая деколи и не нарушая ее ориентировки, проверяется полнота и качество перевода; в случае необходимости она накладывается снова и перевод изображения доводится до нормы. Полностью законченный в чистовом вычерчивании полевой оригинал должен быть подвергнут корректуре как по содержанию, так и по качеству вычерчивания.
Корректура вычерченных планов выполняется с целью установления полноты вычерчивания всех объектов и согласованности с полевыми документами, правильности применения условных знаков, качества выполненной работы.
Корректура выполняется квалифицированным специалистом. Обнаруженные при корректуре неточности отмечаются кружками с порядковой нумерацией на кальке или карандашом прямо на плане. Текстовая часть замечаний записывается в корректурный лист.
По замечаниям делаются исправления, и исправленные планы вторично передаются на просмотр руководителю работ, после чего планы направляются к руководителю подразделения, который ставит в формуляр оценку качества выполненных работ. Каждый план должен быть подписан исполнителем, руководителем полевых работ и руководителем стационарного подразделения (отдела, сектора, цеха, экспедиции).
| | ИС МЕГАНОРМ: примечание. Сноска дана в соответствии с оригиналом. | |
Стр. 1 <*>
Форма Т-С
Объект Ремонтные мастерские Упр. связи
ТАХЕОМЕТРИЧЕСКОЙ СЪЕМКИ
Масштаб 1:500
───────────────────────────────────────────────────────────────────────
1973 г.
Производитель работ ст. техн. Писаренко Е.А.
Журнал проверил инж. Пискунов Л.А.
Адрес организации: 630070, Новосибирск, 70, ул. Фрунзе, 52,
тел. 22-01-09
Нашедшего журнал просят отослать по адресу
Стр. 2 <*>
Теодолит N 35383 Фирмы ТТ-4 СССР
───── ────────────────────────────────────────────────
Точность 1-го деления верньера ________________________________________
а) горизонтального круга 10"
─────────────────
б) маргинального круга 10"
───────────────────
Рейка двухстор. складн. длина 3 метра
───────────────── ─────────────────────────────────────────
деления 1 см
─────────────────────── ───────────────────────────────────────
Лента 10-метровые стальные рулетки
─────────────────────────────────────────────────────────────────
Стр. 3 - 4
Оглавление
Наименование N станций | Количество пикетов | На какой странице | N планшета | Примечание |
Т 6 | 76 | 6 | | |
Т 7 | 65 | 12 | | |
| | | | |
Схема ходов и станций
Стоянка на Т6 "26" сентября 1973 г.
Ориентировка на Т7
N точки наблюдения | Расстояние по рейке (по ленте) | Высота наведения | Отсчеты по горизонт. кругу | Отсчеты по вертик. кругу | Угол наклона | Исправленные расстояния | Превышение h из таблицы | | |
° | ' | ° | ' | +/- | ° | ' | на "К" дальномера | на угол наклона |
| | | 189 | 40 | 3 | 14 | + | 3 | 14 | | | +2,28 | -1,04 | +1,24 |
2 | 29,8 | 2,20 | 193 | 35 | 3 | 28 | + | 3 | 28 | | 29,7 | +1,81 | -0,74 | +1,07 |
3 | 33,0 | 3,00 | 208 | 45 | 4 | 38 | + | 4 | 38 | | 32,8 | +2,66 | -1,54 | +1,12 |
4 | 37,0 | i | 183 | 40 | 1 | 35 | - | 1 | 35 | | | +1,02 | 0 | +1,02 |
5 | 28,0 | i | 184 | 50 | 1 | 46 | + | 1 | 46 | | | +0,87 | 0 | +0,87 |
6 | 28,0 | i | 194 | 15 | 2 | 03 | + | 2 | 03 | | | +1,00 | 0 | +1,00 |
| | | | | | | | | | | | | | |
| Высота инструмента i = 1,46 Круг КЛ _______ |
Коэф. дальномера K = 100 H = 74,28 |
Отметки | Кроки |
условные | абсолютные |
| 75,52 | |
| 75,35 |
| 75,40 |
| 75,30 |
| 75,15 |
| 75,28 |
| |
| |
| |
| |
| |
| |
ПОПРАВКИ ЗА КРИВИЗНУ ЗЕМЛИ И РЕФРАКЦИЮ
(s и f даны в м)
s | f | s | f | s | f | s | f | s | f |
275 | | 1262 | | 1763 | | 2151 | | 2479 | |
| 0,01 | | 0,11 | | 0,21 | | 0,31 | | 0,41 |
477 | | 1321 | | 1806 | | 2186 | | 2509 | |
| 06 | | 16 | | 26 | | 36 | | 46 |
993 | | 1582 | | 2005 | | 2353 | | 2656 | |
| 07 | | 17 | | 27 | | 37 | | 47 |
1067 | | 1629 | | 2042 | | 2385 | | 2664 | |
| 08 | | 18 | | 28 | | 38 | | 48 |
1136 | | 1675 | | 2079 | | 2417 | | 2712 | |
| 09 | | 19 | | 29 | | 39 | | 49 |
1200 | | 1719 | | 2115 | | 2448 | | 2740 | |
| 0,10 | | 0,20 | | 0,30 | | 0,40 | | 0,50 |
1262 | | 1763 | | 2151 | | 2479 | | 2768 | |
Форма С-2
Госстрой
___________________________________________________________________________
(министерство, ведомство)
ЗапСибТИСИЗ
___________________________________________________________________________
(организация)
Партия N 1
___________________________________________________________________________
(экспедиция, отряд)
Топографическая съемка 1973 г.
крупномасштабной мензульной съемки
Номенклатура планшета 12-А-15 масштаб 1:500
─────── ─────
Республика, край (область) Новосибирская область
────────────────────────────────────────────
___________________________________________________________________________
Район Коченевский
───────────────────────────────────────────────────────────────────────────
Наименование объекта съемки П-500
───────────────────────────────────────────
Кипрегель КБ-1 N K = 100,01 C
──────────
Мензула МУ N
───────────────────────────────────────────────────────────────
Лента стальная 20-метровая N
───────────────────────────────────────────────────────────────────────────
Производитель работ (исполнитель) Писаренко Е.А.
─────────────────────────────────────
Адрес организации: 630070, Новосибирск, 70, ул. Фрунзе, 52,
───────────────────────────────────────────────────────────────────────────
тел. N 22-01-09
───────────────────────────────────────────────────────────────────────────
Нашедшего журнал просят возвратить по адресу __________________________
Оглавление
N станции | N стр. | | N станции | N стр. |
12 | 7 | | | |
Стр. 3 - 4 <*>
--------------------------------
Каталог опорных точек
N или название пункта | H | Координаты | | На какую точку |
x | y |
12 | 204,81 | | | | | |
| | | | | | |
Обозначения и формулы
R - отсчет, сделанный при положении вертикального круга право,
L - отсчет, сделанный при положении вертикального круга лево,

,
М0 - место нуля на вертикальном круге,

,

- угол наклона,
d - горизонтальное расстояние между двумя точками,
d' - расстояние, определенное по рейке (без учета C) d' = nK,
n - отсчитанное расстояние в делениях рейки,
K - коэффициент дальномера,
C - постоянная дальномера,

,
h' - превышение, взятое из таблиц

,
h - превышение одной точки над другой, h = h' + i - l,
i - высота инструмента,
l - высота точки визирования над землей,
H - альтитуда точки, с которой передается высота,

- альтитуда точки, на которую передается высота

,

- поправка в превышение за уравнивание.
Результаты измерений в мензульных ходах записываются на тех же страницах, что и съемка.
Стр. 6
Определение М0
Число и месяц | R | L | М0 | Примечание |
3/IX-1973 г. | 0°12' | 359°50' | 0°01' | |
| | | | |
Стр. 7 - 35
Дата 3/IX-1973 г. Станция 12. H = 20481, i = 1,40.
H + i - l = 204,41
N пикетов | d | L, R | | h' | l | H | Примечание |
1 | 100,6 | | | +6,56 | 1,80 | 210,97 | |
2 | 96,0 | 0°21' | -0°20' | -0,56 | 1,80 | 203,85 | |
3 | 84,0 | | | -2,30 | 1,80 | 202,11 | |
| | | | | | | |
Стр. 36 - 41
N точки с исходной отметкой | H = | H = | H = | H = |
i = | i = | i = | i = |
i = | i = | i = | i = |
N определяемой точки | i = | i = | i = | i = |
i = | i = | i = | i = |
L | | | | |
R | | | | |
M0 | | | | |
| | | | |
d | | | | |
| | | | |
h' | | | | |
+ i - l | | | | |
h | | | | |
| | | | |
| | | | |
Стр. 42 - 43
Увязка высот мензульных ходов
Стр. 44 - 45
Зарисовка привязок к опорным точкам
Точка N ________
Стр. 46
Всего в данном журнале пронумеровано сорок восемь
───────────────────────────────────────────────────────────────────────────
страниц
Нач. партии Белов Г.В.
───────────────────────────────────────────────────────────────────────────
(должность, фамилия, подпись, дата)
Всего в данном журнале заполнено восемнадцать
───────────────────────────────────────────────────────────────────────────
страниц
Ст. техник Писаренко Е.А.
───────────────────────────────────────────────────────────────────────────
(должность, фамилия, подпись, дата)
Журнал проверил инженер Пискунов А.А.
───────────────────────────────────────────────────────────────────────────
(должность, фамилия, подпись, дата)
Журнал принят нач. партии Белов Г.В.
───────────────────────────────────────────────────────────────────────────
(должность, фамилия, подпись, дата)
___________________________________________________________________________
Стр. 47 - 48
Замечания при инспекции работ
Строго выдерживать расстояние от инструмента до реечных точек
───────────────────────────────────────────────────────────────────────────
Обязательно делать проверку ориентирования мензулы на станции в конце
───────────────────────────────────────────────────────────────────────────
работы
───────────────────────────────────────────────────────────────────────────
4/IX-1973 г. Нач. партии Белов Г.В.
───────────────────────────────────────────────────────────────────────────
───────────────────────────────────────────────────────────────────────────
N пп. | Виды работ | Организации, выполняющие работы (ведомство, организация) |
Госстрой РСФСР ЗапСибТИСИЗ отдел N 8 | | | |
1 | Вид съемки | Мензульный | | | |
| Съемка или корректура | Съемка | | | |
2 | Площадь съемки в км2 | 0,033 | | | |
3 | Исходная геодезическая основа | Полигонометрия | | | |
4 | Метод создания съемочного обоснования | Теодолитные ходы | | | |
5 | Общее число съемочных точек | 8 | | | |
| Из них: | закрепленных (грунт стен.) | 2 | | | |
| | незакрепленных (временных) | 6 | | | |
6 | Съемка выполнялась (начало и конец работы в датах) исполнителем (должность, фамилия, подпись) | С 3/IX по 14/IX 1973 г., ст. техник Писаренко Е.А. | | | |
7 | План составил (дата, должность, фамилия, подпись) | 25/X 1973 г., ст. техник Мишина Л.И. | | | |
8 | Сводка по рамкам (дата, должность, фамилия, подпись) | 26/X 1973 г., инженер Пискунов А.А. | | | |
9 | Работу принял (оценка, дата, должность, фамилия, подпись) | Хорошо, 29/X 1973 г., нач. партии (отряда) Белов Г.В. | | | |
10 | Вычерчивание плана (дата, должность, фамилия, подпись) | 30/X 1973 г., техник Бибко Г.А. | | | |
11 | Корректуру вычерчивания произвел и работу принял (оценка, дата, должность, фамилия, подпись) | Отлично, 5/XI 1973 г., рук. группы Чернова З.А. | | | |
12 | Заключение ОТК о качестве материала и плана (оценка, дата, должность, фамилия, подпись) | Пол. матер., хор., план хор., 12/XI 1973 г., инспектор Иванов И.И. | | | |
ОБРАЗЕЦ АБРИСА ГОРИЗОНТАЛЬНОЙ СЪЕМКИ
| | ИС МЕГАНОРМ: примечание. Сноска дана в соответствии с оригиналом. | |
Стр. 1 <*>
<...> СМ СССР
___________________________________________________________________________
(министерство, ведомство)
<...> N 7.
___________________________________________________________________________
(организация)
<...> 127 партия N 1
___________________________________________________________________________
(экспедиция, партия, отряд)
Абрис N 3
горизонтальной съемки
<...> планшета 4-Б-6 Масштаб 1:500
─────── ───────
<...>, край (область)
───────────────────────────────────────────────────────────────────────────
<...> область
───────────────────────────────────────────────────────────────────────────
<...> населенный пункт) г. Тара
───────────────────────────────────────────────────────────────────────────
<...> объекта съемки 0-300
──────────────────────────────────────────────────────
<...> (исполнитель) тех. Писаренко Е.А.
───────────────────────────────────────────────────────
<...> организации 630070, Новосибирск, 70,
───────────────────────────────────────────────────────────────────────────
<...>, 52, тел. 22-01-09
───────────────────────────────────────────────────────────────────────────
<...> абрис просят возвратить по адресу.
Стр. 2 <*>
Оглавление
N п/п | Наименование улиц | N пункта или съемочных линий | Страницы | Примечание |
1 | ул. Петровского | п. п. 13, 14, 16 | 3 - 5 | |
2 | ул. Ленинградская | т. т. 25 - 28, 31, 33 - 37 | 6 | |
| | | | |
Образец абриса для составления плана съемки проездов
в масштабе 1:1000 и 1:500
Дата 20 августа 1973 г. Стр. 3 - 23
──────────────────
Образец абриса для составления плана съемки внутри кварталов
в масштабе 1:1000 и 1:500
Дата 1 сентября 1973 г. Стр. 3 - 23
──────────────────
Образец абриса для составления плана в масштабе 1:2000
Дата 25 сентября 1973 г. Стр. 3 - 23
───────────────────
Схема расположения кварталов и ходов
Снимал 30 сентября 1973 г.
───────────────────────────────────────────────────────────────────────────
(подпись, дата)
Абрис принят нач. партии Чистякова Т.И. 1 октября 1973 г.
───────────────────────────────────────────────────────────────────────────
(должность, фамилия, подпись, дата)
Стр. 64
В журнале пронумеровано страниц шестьдесят четыре
───────────────────────────────────────────────────────────────────────────
───────────────────────────────────────────────────────────────────────────
Руководитель полевого подразделения нач. партии Чистякова 10/VI-1973 г.
───────────────────────────────────
(должность, фамилия, подпись, дата)
В журнале заполнено страниц пятьдесят
───────────────────────────────────────────
Производитель работ
───────────────────────────────────────────────────────────────────────────
(подпись)
1. Альтер С.П. Ландшафтный метод дешифрирования аэрофотоснимков. М.-Л., "Наука", 1966, 88 с.
2. Аэрофотосъемка городов в масштабах 1:2000 и 1:5000 (краткие указания). Составитель И.А. Соколова. М., гос. изд-во литературы по строительству и архитектуре, 1952, 168 с.
3. Аэрофотосъемка городов и городских поселков. Под редакцией М.Д. Бонч-Бруевича. М., изд-ние Мин. ком. хоз. РСФСР, 1953, 355 с.
4. Бида А.Б. О дешифрировании застроенных территорий. - "Геодезия и картография", 1964, N 3, с. 42 - 45
5. Бочаров М.К., Самойлович Г.Т. Математические основы дешифрирования аэроснимков леса. М., "Лесная промышленность", 1964, 222 с.
6. Вольпе Р.И. Использование материалов картографического значения при создании планов масштаба 1:5000. - Труды Центр. науч.-исслед. ин-та геодезии, аэросъемки и картографии, 1971, вып. 183, 94 с.
7. Ганьшин В.П., Коськов Б.П., Хренов Л.С. Справочное руководство по крупномасштабным съемкам. М., "Недра", 1969, 206 с.
8. Геодезия в городском строительстве. Справочное руководство (под ред. Степанова Н.Н.). Л.-М., изд-ние Мин. ком. хоз. РСФСР, 1950, 403 с.
9. Г. Дрефенштедт. Геодезическо-технологические преимущества комбинации тахеометра Dahlta 010 с картографическим столиком. - "Йенское обозрение", 1971, N 3, с. 177 - 180
10. Инженерная геодезия (под общ. ред. Закатова П.С.). М., "Недра", 1969, 400 с.
11. Инструкция по топографической съемке в масштабах 1:5000, 1:2000, 1:1000 и 1:500, М., "Недра", 1973, 140 с.
12. Коськов Б.И. Справочное руководство по съемке городов. М., "Недра", 1968, 240 с.
13. Крумелис В.А. Дешифрирование городской и промышленной застройки - "Геодезия и картография", 1966, N 9, с. 50 - 57
14. Купчиков И.И. Геодезия при крупном промышленном строительстве. М., Геодезиздат, 1957, 375 с.
15. Лебедев Н.Н. Курс инженерной геодезии. М., "Недра", 1970, 476 с.
16. Левчук Г.П. Фотограмметрические методы съемки. - Справочник геодезиста (под ред. В.Д. Большакова и Г.П. Левчука). М., "Недра", 1966, с. 786 - 800
17. Маслов А.В. и др. Геодезия. М., "Недра", 1972, 524 с.
18. Миронович М.И. Краткий каталог-справочник по маркшейдерско-геодезическим приборам. М., "Недра", 1972, 183 с.
19. Моисеев В.С. Определение по аэрофотоснимкам средних высот и средних диаметров древостоев - Сборник статей по геодезии, вып. 6. М., Геодезиздат, 1954, с. 53 - 57
20. Неумывакин Ю.К. Практическое руководство по геодезии для архитектурной службы города. М., "Недра", 1973, 172 с.
21. Основные
положения по созданию топографических планов масштабов 1:5000, 1:2000, 1:1000 и 1:500. М., "Недра", 1970, 130 с.
22. Практическое руководство по геодезии. Под редакцией Л.С. Хренова. М., "Высшая школа", 1968, 352 с.
23. Соколова Н.А. О крупномасштабной аэрофототопографической съемке застроенных территорий. - "Геодезия и картография", 1971, N 10, с. 41 - 47
24. Соколова Н.А. Технология крупномасштабных аэрофототопографических съемок. М., "Недра", 1973, 183 с.
25. Соколова Н.А. Фотограмметрические методы топографического картографирования. - Сборник "Геодезия и аэросъемка", т. 8. М., ВИНИТИ, 1973, 183 с.
26. Справочник геодезиста (под ред. Большакова В.Д. и Левчука Г.П.). М., "Недра", 1966, 982 с.
27. Условные знаки для топографических планов масштабов 1:5000, 1:2000, 1:500. М., "Недра", 1973, 144 с.
28. Федоров Б.Д. Геодезия. М., "Высшая школа", 1969, 312 с.
29. Федоров Б.Д. Маркшейдерско-геодезические приборы и инструменты. М., "Недра". 1971, 288 с.
30. Хейфец Б.С., Данилевич Б.Б. Практикум по инженерной геодезии. М., "Недра", 1973, 320 с.
31. Чеботарев А.С. Геодезия, ч. 1. М., Геодезиздат, 1955, 627 с.
32. Хренов Л.С. Геодезия. М., "Высшая школа", 1970, 382 с.
33. Хренов Л.С., Ганьшин В.И. Тахеометрические таблицы. М., "Недра", 1967, 420 с.
34. St. Cocon. Anwendung des Kartiertisches 500 mm zur graphischen Bpstimmungeines Polygonnetzes - Vermessungstechnik, 1973, N 10, с. 375 - 377.