Главная // Актуальные документы // Журнал (форма)СПРАВКА
Источник публикации
М.: Издательство стандартов, 1989
Примечание к документу
Взамен ГОСТ 8.175-75.
Название документа
"МИ 1758-87. Рекомендации. Государственная система обеспечения единства измерений. Меры плоского угла призматические. Методика поверки"
"МИ 1758-87. Рекомендации. Государственная система обеспечения единства измерений. Меры плоского угла призматические. Методика поверки"
ГОСУДАРСТВЕННАЯ СИСТЕМА ОБЕСПЕЧЕНИЯ ЕДИНСТВА ИЗМЕРЕНИЙ
МЕРЫ ПЛОСКОГО УГЛА ПРИЗМАТИЧЕСКИЕ
МЕТОДИКА ПОВЕРКИ
МИ 1758-87
Группа Т88.1
РАЗРАБОТАН НПО "Всесоюзный научно-исследовательский институт метрологии им. Д.И. Менделеева"
ИСПОЛНИТЕЛИ:
В.Т. Мартынов, канд. геогр. наук (руководитель темы), Э.Г. Зинина
УТВЕРЖДЕНЫ НПО "ВНИИМ им. Д.И. Менделеева"
ВЗАМЕН ГОСТ 8.175-75
ССЫЛОЧНЫЕ НОРМАТИВНО-ТЕХНИЧЕСКИЕ ДОКУМЕНТЫ
Обозначение НТД, на который дана ссылка | Номер пункта |
| | ИС МЕГАНОРМ: примечание. Взамен ГОСТ 8.016-76 Постановлением Госстандарта СССР от 31.03.1981 N 167 с 01.07.1982 введен в действие ГОСТ 8.016-81. | |
|
ГОСТ 8.016-76 | |
| |
| |
ГОСТ 2875-88 | |
ГОСТ 2923-75 | |
| |
ГОСТ 10021-84 | |
| | ИС МЕГАНОРМ: примечание. Взамен ГОСТ 11680-76 Постановлением Госстандарта СССР от 07.02.1992 N 126 с 01.01.1993 введен в действие ГОСТ 29298-92. | |
|
ГОСТ 11680-76 | |
| |
МИ 1318-86 | |
ТУ 3-3.1495-84 | |
Настоящие методические указания (далее - МИ) распространяются на призматические меры плоского угла (далее - меры) по ГОСТ 2875-88, аналогичные импортные и изготовленные до введения ГОСТ 2875-88 и устанавливают методику их первичной и периодических поверок.
Определять метрологические характеристики мер при их метрологической аттестации в качестве образцовых и проводить периодическую поверку образцовых мер по методике настоящих МИ.
Порядок проведения метрологической аттестации - по МИ 1318-86.
1. ОПЕРАЦИИ И СРЕДСТВА ПОВЕРКИ
1.1. При проведении поверки должны быть выполнены операции и применены средства поверки, указанные в
табл. 1.
Наименование операции | Номер пункта | Наименование средства поверки и его метрологические характеристики | Обязательность проведения операции при |
первичной поверке | периодической поверке |
Внешний осмотр | | - | Да | Да |
Поверка притираемости измерительных поверхностей мер типов 1, 2 и 3 | | Плоская стеклянная пластина ПИ-80 или ПИ-100 1 и 2-го классов точности по ГОСТ 2923-75; мера плоского угла типа 2 1-го класса точности с рабочим углом 60° по ГОСТ 2875-88 | Да | Да |
Определение отклонения от плоскостности: | | | | |
измерительных поверхностей мер типов 1, 2, 3 и 4 из стали | | Плоская стеклянная пластина ПИ-80 или ПИ-100 1 и 2-го классов точности по ГОСТ 2923-75 | Да | Да |
измерительных поверхностей меры типа 4 из стекла | | Интерферометр типа ИТ-100 или ИТ-200 и ПК-452 с ценой деления отсчетной шкалы 0,01 мм | Да | Нет |
Определение отклонений от перпендикулярности измерительных поверхностей к базовой поверхности меры или оправы | | Гониометры типа Г-5 или Г-5М по ГОСТ 10021-84; автоколлиматор типа АК-IV или АКУ-I по ТУ 3-3.1495-84 шаблон (см. приложение 1) | Да | Да |
Определение отклонений от номинальных значений рабочих углов: | | | | |
образцовых мер 1-го разряда типа 4 | | Рабочие эталоны - автоколлимационные установки в соответствии с ГОСТ 8.016-81 | Да | Да |
образцовых мер 2-го разряда всех типов | | Гониометр Г2 и гониометр-спектрометр ГС2 по ГОСТ 10021-84 | Да | Да |
образцовых мер 3-го разряда и рабочих мер 0 и 1-го классов точности всех типов | | Гониометры Г5 и Г5М по ГОСТ 10021-84 | Да | Да |
образцовых мер 4-го разряда и рабочих мер 1 и 2-го классов точности типов 1, 2, 3 | | Контактный прибор КПУ-3 с пределом измерений +/- 100", ценой деления - 10"; образцовые меры плоского угла 2-го разряда по ГОСТ 2875-88 | Да | Да |
Примечание. Применяемые при поверке средства измерений должны иметь документ о поверке (метрологической аттестации).
1.2. Допускается применять другие вновь разработанные или находящиеся в применении средства поверки, прошедшие метрологическую аттестацию в органах государственной или, с их разрешения, ведомственной метрологической службы и удовлетворяющие по точности требованиям настоящей МИ.
1.3. Образцовые меры 1, 2, 3 и 4-го разрядов по точности изготовления должны удовлетворять нормам соответствующих классов точности по ГОСТ 2875-88, приведенным в
табл. 2.
Разряды мер | Доверительная погрешность аттестации | Типы мер | Классы точности мер по ГОСТ 2875-88 | Пределы допускаемых отклонений от номинальных значений рабочих углов | Допуски |
плоскостности измерительных поверхностей, мкм | перпендикулярности измерительных поверхностей к базовой поверхности мер или оправы |
1 | +/- 0,3" | 4 | 0 | +/- 5" | 0,05 | +/- 15" |
2 | +/- 1,0" | 4 | 1 | +/- 8" | 0,07 | +/- 20" |
1, 2, 3 | 1 | +/- 10" | 0,15 | +/- 60" |
3 | +/- 3" | 4 | 2 | +/- 15" | 0,10 | +/- 30" |
1, 2, 3 | 2 | +/- 30" | 0,30 | +/- 100" |
4 | +/- 6" | 1, 2, 3 | 2 | +/- 30" | 0,30 | +/- 100" |
2. ТРЕБОВАНИЯ БЕЗОПАСНОСТИ
2.1. При проведении поверки должны быть соблюдены требования безопасности: промывать стальные меры бензином следует в отдельном помещении в вытяжном шкафу с включенной вентиляцией. В помещении, где промывают меры бензином, запрещается пользоваться открытым огнем.
3. УСЛОВИЯ ПОВЕРКИ И ПОДГОТОВКА К НЕЙ
3.1. При проведении поверки должны быть соблюдены условия:
температура помещения - (20 +/- 3) °C;
относительная влажность в помещении - (60 +/- 20)%.
При поверке образцовых мер температура помещения не должна меняться более чем на 0,5 °C в течение часа и более чем на 2 °C в течение 8 ч.
| | ИС МЕГАНОРМ: примечание. Взамен ГОСТ 11680-76 Постановлением Госстандарта СССР от 07.02.1992 N 126 с 01.01.1993 введен в действие ГОСТ 29298-92. | |
3.2. После транспортирования меры выдерживают в помещении в упаковке не менее 8 ч. После распаковывания со стальных мер удаляют смазку, промывают авиационным бензином по
ГОСТ 1012-72 или нефрас - С 50/170 по
ГОСТ 8505-80 и протирают чистой сухой салфеткой из хлопчатобумажной ткани по ГОСТ 11680-76.
Рабочие поверхности плоских стеклянных пластин за 5 ч до притирания к ним поверяемых мер протирают гигроскопической ватой, слегка смоченной этиловым ректификованным спиртом по
ГОСТ 18300-87, и сухой салфеткой.
Основания и верхние поверхности меры типа 4 из стекла, оптического ситалла или кварца протирают этиловым ректификованным спиртом, а стальных мер и поверхность измерительного столика - авиационным бензином. После промывания меры выдерживают на рабочем месте не менее 4 ч.
4. ПРОВЕДЕНИЕ ПОВЕРКИ И ОБРАБОТКА РЕЗУЛЬТАТОВ ИЗМЕРЕНИЙ
4.1. При внешнем осмотре должно быть установлено соответствие мер требованиям ГОСТ 2875-88 к комплектности и маркировке.
4.2. Проверка притираемости измерительных поверхностей мер
4.2.1. Притираемость рабочих мер типов 1, 2 и 3 1-го класса точности и образцовых 2-го разряда проверяют плоской стеклянной пластиной класса точности 1, мер 2-го класса точности и образцовых 3 и 4-го разрядов - пластиной класса точности 2.
Меру притирают последовательно всеми измерительными поверхностями к плоской стеклянной пластине. Притираемость меры считается удовлетворительной, если она под действием собственной массы в горизонтальном положении не отрывается от пластины. При этом на измерительных поверхностях мер не должны наблюдаться интерференционные полосы. В рабочей зоне измерительных поверхностей образцовых мер 3-го разряда допускаются оттенки в виде белых пятен, рабочих мер 2-го класса точности и образцовых 4-го разряда - в виде желтых пятен.
Вместо плоской стеклянной пластины допускается применять меру типа 2 с рабочим углом 60° 1-го класса точности. Поверяемая мера по притираемости признается годной, если она притерта к стальной мере типа 2 и не отрывается под действием собственной массы в горизонтальном положении.
| | ИС МЕГАНОРМ: примечание. Нумерация пунктов дана в соответствии с официальным текстом документа. | |
4.2. Притираемость измерительных поверхностей меры типа 4 не проверяют.
4.3. Определение отклонения от плоскостности
4.3.1. Отклонение от плоскостности измерительных поверхностей мер типов 1, 2, 3 и 4 из стали определяют по искривлению интерференционных полос, возникающих при приложении плоской стеклянной пластины к измерительной поверхности меры. Для поверки мер 0 и 1-го классов точности и образцовых мер 1 и 2-го разрядов используют плоскую стеклянную пластину 1-го класса точности, для мер 2-го класса точности и образцовых 3 и 4-го; разрядов - пластину 2-го класса точности.
4.3.2. Отклонение от плоскостности измерительных поверхностей меры типа 4 из стекла всех классов точности определяют на интерферометре.
4.3.3. Отклонения от плоскостности измерительных поверхностей мер не должны превышать значений, указанных в ГОСТ 2875-88.
4.4. Определение отклонения от перпендикулярности
4.4.1. Отклонение от перпендикулярности измерительных поверхностей мер к ее основанию или базовой поверхности оправы определяют в единицах плоского угла по результатам измерений при помощи зрительной трубы гониометра с автоколлимационным окуляром или автоколлиматора.
4.4.2. Отклонение от перпендикулярности измерительных поверхностей к основанию мер типов 1, 2 и 3 определяют методом сравнения с шаблоном (см.
приложение 1) при помощи окулярного микрометра с окуляром Гаусса, установленного на зрительную трубу или коллиматор гониометра для измерения в вертикальной плоскости.
Шаблон устанавливают на столик гониометра основанием вверх, а на него ставят поверяемую меру основанием вниз так, чтобы их измерительные поверхности были параллельны между собой. Поворачивая и наклоняя столик гониометра, добиваются появления изображений марки от граней шаблона и поверяемой меры в поле зрения окуляра. При помощи микрометрического винта горизонтальный штрих сетки окуляра смещают снизу вверх, поочередно наводят на два изображения марки и отсчитывают деления барабана. Затем ту же операцию проводят, смещая штрих сетки окуляра в обратном направлении.
Отклонение от перпендикулярности измерительной поверхности поверяемой меры к ее основанию H в секундах плоского угла вычисляют по формуле
H = 2(aп - aш), (1)
где aп и aш - средние арифметические значения отсчетов в делениях барабана поверяемой меры и шаблона.
Знак отклонения от перпендикулярности поверяемой меры считают положительным, если внешний двугранный угол, образованный основанием и рабочей гранью, больше 270°, а изображение автоколлимационной марки от нее в поле зрения окуляра располагается выше изображения от шаблона и, наоборот, отрицательным, если двугранный угол меры меньше 270°, а изображение марки - ниже.
При несоответствии числовых отметок штрихов на барабане и стебле окулярного микрометра при отсчитывании необходимо принять: штрих на стебле с числовой отметкой "10", расположенный ближе к основанию, считать за "0"; числовую отметку "0" в середине стебля - за "10", а штрих с числовой отметкой "10" на удаленном конце стебля - за "20".
При поверке меры типа 4, у которой диаметр описанной окружности больше диагонали шаблона, на столик гониометра устанавливают поверяемую меру основанием вверх, а на нее - шаблон основанием вниз.
4.4.3. Отклонение от перпендикулярности измерительных поверхностей к основанию мер всех типов определяют при помощи автоколлиматора АКУ-I или АК-IV методом сравнения с шаблоном. Шаблон и поверяемую меру устанавливают на столике основаниями друг к другу. Автоколлиматор со шкалой в вертикальной плоскости наводят на измерительные поверхности поверяемой меры и шаблона. Смещая меру и шаблон в горизонтальной плоскости, добиваются получения двух изображений марки автоколлиматора в поле зрения его окуляра. Отклонение от перпендикулярности определяют методом, изложенным в
п. 4.4.2.
Отклонение от перпендикулярности измерительных поверхностей мер к их основанию (базовой поверхности оправы) не должно превышать допуска по ГОСТ 2875-88.
4.5. Определение отклонения от номинальных значений рабочих углов
4.5.1. Отклонения от номинальных значений рабочих углов образцовых мер 1-го разряда типа 4 определяют на рабочих эталонах - автоколлимационных установках. Измерения рабочих углов многогранных призм, обработку результатов и оформление свидетельства о поверке (аттестации) выполняют в соответствии с правилами хранения и применения рабочего эталона единицы плоского угла.
Доверительная погрешность поверки (аттестации) не должна превышать значения, приведенного в
табл. 2 настоящих МИ.
4.5.2. Отклонения от номинальных значений рабочих углов образцовых мер 2-го разряда типов 1, 2, 3 и 4 определяют на гониометре Г2 или ГС2. При этом выполняют:
подготовку гониометра к измерениям;
установку поверяемой меры;
измерения рабочих углов;
обработку результатов измерений;
оформление результатов.
4.5.2.1. Для подготовки гониометра к измерениям на его зрительную трубу устанавливают автоколлимационный окуляр-куб из комплекта прибора, включают источники освещения прибора, окуляры зрительной трубы и оптического микрометра устанавливают по глазу оператора, лимб устанавливают на отсчет 0°, столик гониометра ориентируют так, чтобы его регулировочный винт наклона был параллелен (перпендикулярен) оси зрительной трубы.
Для выполнения измерений с точностью, требуемой
ГОСТ 8.016-81 и
табл. 2 настоящих МИ, каждый оператор должен определить среднюю квадратическую погрешность наведения зрительной трубы и отсчитывания по лимбу, характеризующую квалификацию оператора, технические и метрологические характеристики гониометра, качество отражающей поверхности поверяемой (аттестуемой) меры и влияние внешних условий. Методика определения средней квадратической погрешности приведена в
приложении 2.
4.5.2.2. Поверяемую меру типа 4 устанавливают на столике гониометра маркированной поверхностью вверх, геометрическую ось призмы совмещают с осью вращения столика гониометра, грань с обозначением "1" или "0°" ориентируют перпендикулярно к визирной оси зрительной трубы. Перемещая столик по высоте, геометрический центр рабочей грани призмы совмещают с оптической осью зрительной трубы. Призму прикрепляют к столику через ее центральное отверстие.
Для приведения плоскости измерения призмы в положение, перпендикулярное к оси вращения столика гониометра, выполняют операции в следующей последовательности:
наблюдая в окуляр, горизонтальные штрихи изображения автоколлимационной марки и штрихи сетки окуляра совмещают наклоном столика или зрительной трубы;
столик с призмой поворачивают на 180° и расхождения тех же штрихов по высоте устраняют, смещая на половину изображение марки наклоном столика, а другую половину - наклоном зрительной трубы;
поворачивают призму со столиком на 90° и наклоном только столика совмещают штрихи сетки и изображение марки;
указанные операции повторяют многократно до тех пор, пока расхождения штриха сетки и изображения марки на трех базовых гранях призмы не будут превышать удвоенную толщину штриха сетки окуляра.
В свидетельстве о поверке (аттестации) должны быть указаны базовые грани меры. Базовые грани, определяющие положение плоскости измерения рабочих углов, должны располагаться под углом 90° друг к другу; за начальную принимают грань "1" или "0°", а следующие две грани должны располагаться в сторону возрастания номеров граней. Например, для 12-гранной призмы базовыми будут грани 1 - 4 - 7 или 0 - 90 - 180°. Для призм, которые не имеют угла 90° (6-и 10-гранные), принимают угол, близкий к 90°.
Поверяемую меру типа 3 устанавливают на столике гониометра и задают плоскость измерения в последовательности, изложенной выше. При этом за начальную принимают грань, около которой нанесен знак завода-изготовителя (короткая сторона). Расхождение горизонтальных штрихов по высоте на четвертой (не базовой) грани уменьшают наполовину наклоном столика гониометра.
Для установки мер типов 1 и 2 столик гониометра при помощи плоскопараллельной стеклянной пластины из комплекта прибора приводят в положение, перпендикулярное к оси вращения алидады. Установив поверяемую меру на столике гониометра, добиваются, чтобы расстояния от измеряемых поверхностей до объектива зрительной трубы были одинаковыми. Затем регулировочными винтами наклона столика и зрительной трубы совмещают горизонтальные штрихи изображения марки и сетки окуляра на обеих измерительных поверхностях меры.
При выполнении указанных операций и измерении одного рабочего угла фокусирующая линза зрительной трубы и диоптрийные кольца окуляров должны оставаться неподвижными.
4.5.2.3. Если средняя квадратическая погрешность наведения и отсчитывания по
п. 4.5.2.1 (см.
приложение 2) для гониометров Г2 и ГС2 не превышает 0,35
", для Г5 и Г5М - 0,5
", измеряют рабочие углы на гониометре четырьмя сериями, отличающимися между собой положением лимба относительно граней призмы и шкалы оптического микрометра относительно отсчетного индекса. Измерения в 1-й серии начинают с отсчета 0°00
' а грань "1" или "0°" во всех сериях принимают за начальную. В последующих сериях перед началом измерений лимб и отсчетную шкалу смещают относительно граней меры на 45°01
' (в случае 4 серий).
В случае, если средняя квадратическая погрешность наведения и отсчитывания превышает указанные значения, измерения следует проводить большим числом серий. При этом лимб и отсчетную шкалу смещают между сериями на значения, определяемые по формулам для лимба

и для шкалы

(
n - число серий измерений,
Д - диапазон отсчетной шкалы).
Каждая серия измерений состоит из двух приемов, отличающихся между собой направлением вращения лимба и столика с поверяемой (аттестуемой) мерой. В первом приеме (ход прямо) лимб и столик поворачивают в направлении хода часовой стрелки, а во втором - против хода часовой стрелки (ход обратно). Измерения в каждом приеме начинают и заканчивают на грани "1°" или "0°", чем обеспечивают контроль стабильности положения меры относительно лимба гониометра.
Разность средних арифметических значений отсчетов, полученных на грани "1" в начале и конце приема, не должна превышать утроенного значения средней квадратической погрешности наведения и отсчитывания по гониометру.
Рабочие углы мер типов 3 и 4 измеряют в следующей последовательности:
алидаду гониометра закрепляют стопорным винтом и в последующем при измерении ее смещают только при помощи микрометрического винта;
фокусирующую линзу и диоптрийные кольца окуляров устанавливают по глазу оператора и до окончания измерений одной серии их не трогают;
перед началом измерений в первом приеме (ход прямо) столик и лимб плавно поворачивают по ходу часовой стрелки на один-два полных оборота;
поворачивая столик, грань "1" (начальная) поверяемой (аттестуемой) меры устанавливают против зрительной трубы и при помощи микрометрического винта алидады наводят зрительную трубу, совмещая вертикальные штрихи сетки окуляра и изображения марки;
по оптическому микрометру дважды проводят отсчет с точностью до 0,1" (десятые доли интервала секундной шкалы оценивают визуально);
на каждой измеряемой грани операции наведения и отсчитывания выполняют дважды;
поворачивая столик по ходу часовой стрелки, проводят измерения последовательно на всех гранях (1, 2 ..., 1). Измерения в приеме начинают и заканчивают на грани "1" (начальная);
вычисляют разность средних арифметических отсчетов, полученных на грани "1" в начале и конце приема. Если разность отсчетов удовлетворяет требованию (утроенная средняя квадратическая погрешность наведения и отсчитывания), переходят ко второму приему (ход обратно).
Во втором приеме измерения начинают также с грани "1", провернув предварительно столик гониометра на один-два полных оборота против часовой стрелки, и продолжают на всех последующих гранях (1, ... 2, 1). Измерения также заканчивают на грани "1".
Вычисляют разность отсчетов, полученных в начале и конце приема.
Если разность отсчетов удовлетворяет требованию, проводят предварительную обработку результатов измерений данной серии.
Рабочие углы мер типов 1 и 2 измеряют по схеме И1 - И2 - И2 - И1 (обозначения см. ГОСТ 2875-88) четырьмя сериями, отличающимися между собой начальными отсчетами на 45°.
Действительные значения рабочих углов мер типов 1 и 2 определяют как дополнение до 180° разности средних арифметических отсчетов по гониометру

, (
aст и
aмл - старший и младший или больший и меньший отсчеты).
4.5.2.4. Обработку результатов измерений выполняют в два этапа: предварительную - после окончания измерений каждой серии и окончательную - после измерений всех серий.
средние арифметические значения отсчетов, полученных на всех гранях и на грани "1" по средним отсчетам начала и конца приема;
разности между старшим и младшим отсчетами по оптическому микрометру (без отсчетов лимба), представляющие собой отклонения от номинальных значений смежных рабочих углов

;
разность
d между результатами предыдущей операции, полученными при прямом и обратном ходах

;
средние арифметические значения отклонений от номинального значения смежных рабочих углов

из прямого и обратного ходов
контроль правильности арифметических действий в графах

и

осуществляют по формулам:
среднее квадратическое отклонение в данной серии по двойной разности

- по формуле

(2)
где d - разность отклонений от номинального значения рабочих углов между прямым и обратным ходами;
n - число разностей.
Примечание. Значения
d контролируют по соотношению

. При невыполнении этого соотношения измерения повторяют.
среднее арифметическое отклонение от номинального значения рабочих углов

из всех серий измерений
где n - число серий измерений.
Отклонения от среднего арифметического результатов измерений в каждой серии
контроль правильности арифметических вычислений

и

осуществляют по условию

;
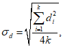
среднее квадратическое отклонение среднего арифметического

результатов измерений по формуле

(3)
где

- отклонение от среднего арифметического;
m - число измеряемых углов;
k - число серий измерений;
доверительные границы случайной погрешности

результатов измерений по формуле

(4)
где t - коэффициент Стьюдента при доверительной вероятности P = 0,95.
Доверительную вероятность результатов измерений принимают

, которую указывают в свидетельстве о поверке (аттестации) меры.
4.5.3. Отклонения от номинальных значений рабочих углов образцовых мер 3-го разряда и рабочих мер 0 класса точности типа 4 определяют на гониометре Г5 или Г5М.
4.5.3.1. Операции по подготовке гониометра к измерениям и установку поверяемой меры выполняют согласно
пп. 4.5.2.1 и
4.5.2.2 настоящих МИ.
4.5.3.2. Если средняя квадратическая погрешность наведения и отсчитывания на гониометре Г5 не превышает 0,5
", рабочие углы измеряют четырьмя сериями, отличающимися между собой положением лимба относительно граней призмы на 45°. Операции измерений выполняют в соответствии с
п. 4.5.2.3. При этом отсчитывания по оптическому микрометру проводят с точностью до 0,1
".
4.5.3.3. Обработку результатов измерений выполняют по методике, изложенной в
п. 4.5.2.4 настоящих МИ. При этом вычисляют:
средние арифметические значения отклонения от номинального значения смежных рабочих углов для каждой серии;
средние арифметические значения отклонений от номинального значения рабочих углов по всем сериям;
среднее квадратическое отклонение среднего арифметического (результатов измерений);
доверительную погрешность результатов измерений при доверительной вероятности P = 0,95.
4.5.4. Отклонения от номинального значения рабочих углов образцовых мер 4-го разряда и рабочих мер 1 и 2-го класса точности типов 1, 2 и 3 определяют при помощи гониометров Г5 или Г5М проводят одну серию измерений) или методом сравнения по образцовым мерам 3-го разряда при помощи контактного прибора КПУ-3.
Сравнения мер при помощи КПУ-3 проводят в следующей последовательности.
4.5.4.1. Поворотный упор по шкале прибора устанавливают на номинальное значение поверяемой меры и закрепляют стопором. Образцовую угловую меру устанавливают так, чтобы ее измерительные поверхности соприкасались с упорами и закрепляют. При помощи гайки микропередачи стрелку отсчетного устройства устанавливают вблизи "нуля" и снимают отсчет с циферблата. Затем вместо образцовой меры устанавливают поверяемую и вновь снимают отсчет.
4.5.4.2. Действительное значение угла поверяемой меры определяют по формуле

(5)
где

- цена деления отсчетного устройства, ...
";
a1 и a2 - отсчеты по циферблату в делениях;

- действительное значение угла образцовой меры, ...
".
В свидетельстве о поверке (аттестации) мер должны быть приведены действительные значения их рабочих углов с округлением до:
0,1" - для образцовых мер 1-го разряда;
0,5" - для образцовых мер 2-го разряда;
1" - для образцовых мер 3 и 4-го разрядов.
Класс набора мер, находящегося в эксплуатации, устанавливают по результатам его поверки по низшему классу точности отдельной меры, входящей в набор.
Набор мер признают годным, если число забракованных мер в нем не превышает 10%. Бракованные меры изымают из набора.
5. ОФОРМЛЕНИЕ РЕЗУЛЬТАТОВ ПОВЕРКИ
5.1. На меры плоского угла, признанные годными при поверке (аттестации) органами Госстандарта СССР, выдают свидетельство установленной формы.
5.2. Результаты поверки (аттестации), выполненной ведомственной метрологической службой, вносят в документ, установленный ведомством (предприятием).
5.3. В свидетельстве о поверке (аттестации) дополнительно на оборотной стороне указывают:
обозначения смежных углов и их действительные значения. Допускается в свидетельстве давать значения углов от 1-й (0°) грани;
номера базовых граней для меры типа 4;
доверительную погрешность результатов измерений.
Примечание. В свидетельстве о поверке рабочих мер их действительные значения приводят по требованию потребителя.
5.4. Меры плоского угла, не удовлетворяющие требованиям настоящих МИ, к выпуску в обращение и к применению не допускают, свидетельство о поверке (аттестации) аннулируют и выдают извещение о непригодности с указанием причин.
Справочное
Шаблон представляет собой меру плоского угла типа 3, у которой отклонения от 90° двугранных углов между основанием и измерительными поверхностями не превышает +/- 3".
Справочное
МЕТОДИКА ОПРЕДЕЛЕНИЯ СРЕДНЕЙ КВАДРАТИЧЕСКОЙ ПОГРЕШНОСТИ
Среднюю квадратическую погрешность наведения зрительной трубы и отсчитывания по оптическому микрометру определяют для составления оптимальной программы измерений при поверке (аттестации) мер при помощи гониометра.
При этом выполняют следующие операции:
устанавливают меру на столике гониометра и наводят зрительную трубу на одной из ее граней;
наклоном столика или зрительной трубы совмещают горизонтальные штрихи сетки окуляра и изображения марки;
столик и зрительную трубу закрепляют стопорными винтами;
последовательно, не менее 16 раз, наводят зрительную трубу на неподвижную грань меры и после каждого наведения дважды отсчитывают по оптическому микрометру. Отсчеты записывают в журнале измерений.
Среднюю квадратическую погрешность одного наведения (двух отсчитываний)

вычисляют по формуле
где

- отклонение
i-го отсчета (
ai) от среднего арифметического,
N - число наведений зрительной трубы.
ФОРМА И ПРИМЕР ЗАПИСИ В ЖУРНАЛЕ ИЗМЕРЕНИЙ
Дата ... Время ... Гониометр Г5 N ... Мера типа ... Оператор ... Помощник ...
Номера наведений | Отсчеты по оптическому микрометру | Отклонение от среднего арифметического  | | Примечания |
I | II | Среднее арифметическое |
1 | 01·04,2" | 03,6" | 01·03,90" | -0,58" | 0,3364 | |
2 | 04,7" | 05,1" | 04,90" | +0,42" | 0,1764 | |
3 | 04,6" | 04,1" | 04,35" | -0,13" | 0,0169 | |
. | . | . | . | . | . | |
. | . | . | . | . | . | |
. | . | . | . | . | . | |
15 | 04,1" | 04,7" | 04,40" | -0,08" | 0,0064 | |
16 | 05,0" | 04,4" | 04,70" | +0,22" | 0,0484 | |
| | Среднее 01,04,48" | | | |
Справочное
ФОРМА И ПРИМЕР ЗАПИСИ В ЖУРНАЛЕ ИЗМЕРЕНИЙ
Дата ... Время начала ... окончания ... Температура ...
Образцовое СИ - гониометр-спектрометр ГС2, N 8202005
Поверяемая (аттестуемая) мера - 12-гранная призма,
изготовитель - завод "Эталон", г. Воронеж,
потребитель - ЛЭМЗ, г. Ленинград
Оператор - Помощник -
СЕРИЯ - III Предварительная обработка
Номер грани | Отсчет лимба | Отсчет по оптическому микрометру | | Отсчет по оптическому микрометру | | Разность d  | Среднее арифметическое  | Примечание |
I | II | Среднее a | I | II | Среднее |
ХОД ПРЯМО | ХОД ОБРАТНО |
1 | 90° | 03·55,1" 54,8" | 54,6" 54,9" | 54,75" | - | 54,2" 54,3" | 54,4" 54,3" | 54,40" | - | - | - | |
2 | 60° | 56,6" 56,8" | 57,0" 56,8" | 56,80" | -2,05" | 55,9" 56,1" | 56,0" 55,8" | 55,95" | -1,55" | -0,50" | -1,80" | |
3 | 30° | 55,8" 56,1 | 56,2" 55,9" | 56,00" | +0,80" | 54,9" 55,1" | 54,8" 54,6" | 54,85" | +1,10" | -0,30" | +0,95" | |
. | . | . | . | . | . | . | . | . | . | . | . | |
. | . | . | . | . | . | . | . | . | . | . | . | |
12 | 120° | 54,4" 54,1" | 54,0" 54,3" | 54,20" | +1,10" | 53,0" 52,8" | 53,3" 53,5" | 53,15" | +1,00" | +0,10" | +1,05" | |
1 | 90° | 54,4" 54,6" | 54,9" 54,7 | 54,75" | -0,55" | 54,6" 54,8" | 54,4" 54,2" | 54,40" | -0,25" | -0,30" | -0,40" | |
| | | | | | | | | | | | |
ОКОНЧАТЕЛЬНАЯ ОБРАБОТКА РЕЗУЛЬТАТОВ ИЗМЕРЕНИЙ
Угол между гранями | Серия измерений | Среднее арифметическое из серий | Отклонение от средней арифметической | Контроль | Действительное значение углов | Примечание |
I | II | III | IV | I | II | III | IV |
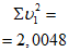
1 - 2 | -1,90" | -1,30" | -1,80" | -1,65" | -1,66" | -0,24" | +0,36" | -0,14" | +0,01" | +0,37 -0,38 | 29°59'58,5" | |
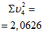
2 - 3 | +1,05" | +0,70" | +0,95" | +0,80" | +0,88" | +0,17" | -0,18" | +0,07" | -0,08" | +0,24 -0,26 | 30°00'01,0" | |
. | . | . | . | . | . | . | . | . | . | . | . | |
. | . | . | . | . | . | . | . | . | . | . | . | |
. | . | . | . | . | . | . | . | . | . | . | . | |
11 - 12 | +0,80" | +1,25" | +1,05" | +0,85" | +0,99" | -0,19" | +0,26" | +0,06" | -0,14" | +0,32 -0,33 | 30°00'01,0" | |
12 - 1 | -0,15" | -0,30" | -0,40" | -0,45" | -0,32" | 10,17" | +0,02" | -0,08" | -0,13" | +0,19 -0,21 | 29°59'59,5" | |
| | | | | | | | | | | | |
| | |
Доверительная погрешность при доверительной вероятности P = 0,95.
Вычислил _____________________ Проверил ______________________
подпись подпись