Главная // Актуальные документы // ВСН (Ведомственные строительные нормы)СПРАВКА
Источник публикации
ЦБНТИ Минавтодора РСФСР, 1990
Примечание к документу
Утратил силу в связи с изданием Распоряжения Минтранса РФ от 03.10.2002 N ИС-840-р. Взамен данного документа приняты
ОДН 218.0.006-2002.
Введен в действие с 1 декабря 1991 года.
Название документа
"ВСН 6-90. Правила диагностики и оценки состояния автомобильных дорог"
(утв. Минавтодором РСФСР 05.09.1990)
"ВСН 6-90. Правила диагностики и оценки состояния автомобильных дорог"
(утв. Минавтодором РСФСР 05.09.1990)
Минавтодором РСФСР
5 сентября 1990 года
ВЕДОМСТВЕННЫЕ СТРОИТЕЛЬНЫЕ НОРМЫ
ПРАВИЛА ДИАГНОСТИКИ И ОЦЕНКИ
СОСТОЯНИЯ АВТОМОБИЛЬНЫХ ДОРОГ
ВСН 6-90
Срок введения
1 декабря 1991 года
Правила устанавливают порядок оценки технического уровня, эксплуатационного состояния, инженерного оборудования и обустройства автомобильных дорог и уровня их содержания по конечному результату деятельности дорожных организаций - потребительским свойствам дорог, а также порядок сбора информации о параметрах и характеристиках дорог, необходимых для этой оценки.
Основу правил диагностики составляет методика оценки качества и состояния автомобильных дорог, разработанная на кафедре строительства и эксплуатации дорог МАДИ проф. Васильевым А.П. Расчетные таблицы составлены совместно с докт. техн. наук Яковлевым Ю.М. и доц. Коганзоном М.С. В отработке принципиальных положений методики участвовали Попов В.А. и Шевелев А.С. (Главдорупр). В методике учтены предложения канд. техн. наук Мепуришвили Д.Г. (МАДИ), канд. техн. наук Белова В.Д., канд. техн. наук Мусатова С.А., инж. Нестеренко В.Г., канд. техн. наук Чванова В.В. и Эрастова А.Я. (НПО РосдорНИИ).
В производственной проверке методики участвовали специалисты МАДИ, НПО РосдорНИИ, Владимирского, Красноярского, Пермского и Саратовского НПЦ НПО РосдорНИИ, а также Волжской автомобильной дороги, Алтайавтодора и Челябинскавтодора.
В целом Правила диагностики и оценки состояния автомобильных дорог разработаны под руководством проф. Васильева А.П. коллективом авторов в составе: докт. техн. наук Яковлев Ю.М., канд. техн. наук Апестин В.К., канд. техн. наук Коганзон М.С., инж. Миненко Е.В., инж. Савченко И.В. (МАДИ), канд. техн. наук Дудаков А.И. (НПО РосдорНИИ), канд. техн. наук Жилин С.Н., канд. техн. наук Субботин С.П. и инж. Иванушкин В.А. (Саратовский НПЦ РосдорНИИ).
Внесены кафедрой строительства и эксплуатации дорог МАДИ.
Вводятся впервые.
1.1. Настоящие Правила диагностики и оценки состояния автомобильных дорог разработаны в развитие Технических правил ремонта и содержания автомобильных дорог
ВСН 24-88 Минавтодора РСФСР и распространяются на автомобильные дороги общего пользования. Правила предназначены для дорожных организаций, занятых ремонтом и содержанием дорог, а также для организаций, осуществляющих их обследование и оценку состояния.
1.2. Правила содержат методику комплексной оценки технического уровня, эксплуатационного состояния, инженерного оборудования и обустройства и уровня содержания, а также устанавливают порядок, последовательность и повторяемость сбора и обработки данных о состоянии дорог, необходимых для указанной оценки, методику обследования дорог, перечень приборов, лабораторий и измерительного оборудования.
1.3. Диагностика и оценка состояния дорог и дорожных сооружений является основным звеном в системе управления развитием и совершенствованием дорожной сети, повышением транспортно-эксплуатационных показателей, надежностью функционирования каждой дороги и сети автомобильных дорог. Она создает предпосылки для эффективного использования средств и материальных ресурсов, направляемых на развитие и совершенствование дорожной сети.
1.4. Диагностику и оценку состояния автомобильных дорог выполняют с целью определения их транспортно-эксплуатационного состояния и уровня содержания, степени соответствия их транспортно-эксплуатационных показателей требованиям к потребительским свойствам дорог и выявления причин этого несоответствия.
1.5. По результатам диагностики и оценки состояния выявляют участки дорог, не обеспечивающие нормативные требования к потребительским свойствам, и назначают виды ремонта и состав основных работ и мероприятий по содержанию, ремонту или реконструкции дорог с целью повышения их транспортно-эксплуатационных характеристик до требуемого уровня.
1.6. Материалы диагностики и оценки состояния дорог являются исходной базой для разработки проектно-сметной документации на ремонт и реконструкцию дорог и дорожных сооружений.
1.7. В Правилах приняты следующие понятия и определения:
- технический уровень дорог - степень соответствия нормативным требованиям постоянных (не меняющихся в процессе эксплуатации или меняющихся только при реконструкции и ремонте) геометрических параметров и характеристик дороги и ее инженерных сооружений;
- эксплуатационное состояние - степень соответствия нормативным требованиям переменных параметров и характеристик дороги, инженерного оборудования и обустройства, изменяющихся в процессе эксплуатации в результате воздействия транспортных средств, метеорологических условий и уровня содержания;
- транспортно-эксплуатационное состояние дороги (ТЭС АД) - комплекс фактических значений параметров и характеристик технического уровня и эксплуатационного состояния на момент обследования и оценки;
- технико-эксплуатационные качества или характеристики дороги (ТЭК АД) - характеристики надежности и работоспособности дороги как инженерного сооружения, к которым относят прочность дорожной одежды, ровность, шероховатость и сцепные качества покрытий, устойчивость земляного полотна и т.д.;
- потребительские свойства дороги - это их основные транспортно-эксплуатационные показатели (ТЭП АД), к важнейшим из которых относят обеспеченные дорогой скорость, удобство и безопасность движения, допустимую осевую нагрузку и общую массу автомобилей, непосредственно влияющие на производительность автомобилей, себестоимость перевозок, расход топлива, время доставки грузов и пассажиров и другие характеристики совместной работы автомобильного транспорта и автомобильных дорог;
- качество дороги - степень соответствия всего комплекса показателей технического уровня, эксплуатационного состояния, инженерного оборудования и обустройства, а также уровня содержания нормативным требованиям, обеспечивающим потребительские свойства дороги данной технической категории;
- эксплуатационный коэффициент обеспеченности расчетной скорости - отношение фактической максимальной скорости движения одиночного легкового автомобиля обеспеченной дорогой по условиям безопасности движения или взаимодействия автомобиля с дорогой на каждом участке

к расчетной скорости для данной категории дороги и рельефа местности

:

(1.1)
- коэффициент обеспеченности расчетной скорости - отношение

к базовой расчетной скорости


. (1.2)
За базовую расчетную скорость принята скорость

= 120 км/ч.
Тогда

(1.3)
В практических расчетах удобнее пользоваться коэффициентом обеспеченности расчетной скорости. Соотношения указанных коэффициентов определяют по формулам:

,
где

и

- соответственно расчетная скорость для данной категории дороги и эксплуатационный коэффициент обеспеченности этой расчетной скорости;
- диагностика автомобильных дорог и дорожных сооружений - обследование, сбор и анализ информации о параметрах, характеристиках и условиях работы, определяющих их транспортно-эксплуатационное состояние, необходимых для оценки, выявления причин и прогноза возможных нарушений нормального функционирования дорог;
- оценка транспортно-эксплуатационного состояния или оценка состояния дороги и дорожных сооружений - определение степени соответствия транспортно-эксплуатационных показателей дорог, т.е. их потребительских свойств установленным требованиям.
1.8. Состав и объем работ по диагностике транспортно-эксплуатационного состояния дорог зависят от вида и периодичности обследования дорог (табл. 1.1). При этом полной считают диагностику и оценку всех основных элементов, параметров и характеристик дорог, определяющих их транспортно-эксплуатационное состояние. В соответствии с ВСН 25-88 к этим параметрам и характеристикам относят:
- геометрические параметры, в которые входит ширина проезжей части и краевых укрепленных полос, которые вместе составляют ширину основной укрепленной поверхности, общая и укрепленная ширина обочин, продольные уклоны, радиусы кривых в плане и профиле, уклоны виражей и расстояние видимости;
- прочность и состояние проезжей части и обочин;
- ровность и сцепные качества покрытий;
- состояние земляного полотна;
- состояние и работоспособность водоотвода;
- габариты, грузоподъемность и состояние мостов, путепроводов и других искусственных сооружений;
- состояние элементов инженерного оборудования и обустройства дороги.
Таблица 1.1
Классификация видов диагностики автомобильных дорог и
дорожных сооружений
─────────────┬────────────────┬───────────────────────────────────
Признаки или │ Вид │ Краткая характеристика
критерии │ диагностики │
классифика- │ │
ции │ │
─────────────┴────────────────┴───────────────────────────────────
Полнота Полная или По всем основным параметрам и по
оцениваемых комплексная полной методике
параметров и Частичная или По неполной номенклатуре пара-
характери- неполная метров или по сокращенной методике
стик Экспресс-оценка По упрощенной методике и по сокра-
щенной номенклатуре показателей
──────────────────────────────────────────────────────────────────
Периодич- Первичная Выполняется в первый раз
ность Повторная или Проводится повторно или
повторяющаяся повторяется 1 раз в 3 - 5 лет
Периодическая Проводится 1 - 2 раза в год
или регулярная
Систематическая Проводится 3 - 4 раза в год и
или часто более
повторяющаяся
──────────────────────────────────────────────────────────────────
Объем Сплошная Проводится на всем протяжении
обследований дороги
Выборочная Проводится на отдельных участках
дороги
──────────────────────────────────────────────────────────────────
Способ Объективная или Обследование с помощью передвижных
получения инструментальная лабораторий, приборов и
информации измерительного инструмента
Смешанная или Часть параметров оценивают
комбинированная инструментально, часть - визуально
Визуальная Визуальный осмотр
──────────────────────────────────────────────────────────────────
1.9. Полную первичную объективную диагностику эксплуатируемых дорог проводят при первой оценке транспортно-эксплуатационного состояния, в процессе которой собирают подробную объективную информацию по полной номенклатуре параметров и характеристик, а также по условиям работы дороги. Составляют линейный график оценки качества и состояния дороги и передают всю информацию в банк дорожных данных.
1.10. Полную объективную диагностику и оценку состояния вновь построенных (реконструированных) автомобильных дорог (участков дорог) проводят перед вводом их в эксплуатацию и утверждением актов государственной приемочной комиссией.
1.11. Повторную частичную объективную диагностику и оценку качества и состояния выполняют в конце строительного сезона на ветках автомобильных дорог, где проводились ремонтные работы по тем элементам и параметрам, которые были изменены в процессе ремонта.
1.12. Периодическую частичную объективную или комбинированную диагностику проводят по переменным параметрам (ровность, коэффициент сцепления, состояние покрытия и др.) не реже 1 - 2 раз в год.
При обследованиях автомобильных дорог по ограниченному перечню изменяющихся по времени параметров оценка состояния дорог также производится по показателю качества. Информация по другим параметрам берется из банка данных по результатам предшествующих обследований. В случае отсутствия такой информации условно принимается, что недостающие параметры автомобильных дорог соответствуют требованиям технических нормативов. При этом указывают, что оценка дороги производилась только по переменным параметрам.
1.13. Экспресс-оценку или экспресс-диагностику проводят при необходимости ускоренного получения ориентировочной информации об отдельных параметрах дороги или группе параметров, позволяющей получить приближенную оценку состояния дороги по этим параметрам.
После экспресс-диагностики на участках с низкими транспортно-эксплуатационными качествами проводят детальные обследования, позволяющие установить причины снижения параметров эксплуатационного состояния и принять решение по ремонтным работам.
1.14. Визуальный осмотр проводят на первом этапе полной и частичной диагностики как составную часть смешанной или комбинированной диагностики и как самостоятельный вид диагностики при оценке состояния дороги и дорожных сооружений, ее инженерного оборудования и обустройства, а также при оценке качества текущего ремонта и содержания. Как правило, визуальный осмотр проводят с использованием простейших средств измерения и записи информации с помощью портативных диктофонов и других средств регистрации. На основании визуального осмотра выявляют характерные участки по состоянию дороги и намечают места детальных обследований.
1.15. Все документы диагностики должны быть составлены отдельно по каждой автомобильной дороге (участку), по установленным формам и в соответствии с требованиями данных Правил. В техническую документацию учета ежегодно вносят изменения по состоянию на 1 января.
1.16. Документы диагностики должны храниться в первичных дорожных организациях, а в вышестоящие органы управления представляются сведения и материалы по установленным формам отчетности.
2. МЕТОДИКА ОЦЕНКИ КАЧЕСТВА И СОСТОЯНИЯ АВТОМОБИЛЬНЫХ ДОРОГ
2.1.1. Методика предназначена для оценки технического уровня, эксплуатационного состояния, инженерного оборудования и обустройства, а также содержания автомобильных дорог по конечному результату деятельности дорожных организаций - потребительским свойствам дорог.
2.1.2. Потребительские свойства дороги или ее транспортно-эксплуатационные показатели обеспечиваются параметрами плана, продольного и поперечного профилей, прочностью дорожной одежды, ровностью и сцепными качествами покрытия, состоянием искусственных сооружений, инженерным оборудованием и обустройством, уровнем содержания дорог.
2.1.3. Оценку потребительских свойств дороги выполняют применительно к работе дороги и ее состоянию в расчетный по условиям движения автомобилей осенне-весенний период года, когда все достоинства и недостатки дороги проявляются наиболее полно. В сухое, теплое время года при благоприятных условиях погоды фактические транспортно-эксплуатационные показатели могут быть выше, чем в осенне-весенний период.
2.1.4. Цель оценки состоит в том, чтобы комплексно определить фактическое транспортно-эксплуатационное состояние дорог и дорожных сооружений, инженерного оборудования и обустройства, уровня эксплуатационного содержания и степень соответствия обеспеченных дорогой потребительских свойств требуемым, а также установить участки дорог с необеспеченными требованиями, выявить основные причины снижения транспортно-эксплуатационных показателей и наметить мероприятия по их повышению.
2.1.5. Конечным результатом оценки является обобщенный показатель качества дороги (Пд), включающий в себя комплексный показатель ее транспортно-эксплуатационного состояния (Пд), показатель инженерного оборудования и обустройства (Коб) и показатель содержания дорог (Кэ)

. (2.1)
2.1.6. Критериями оценки качества дороги служат: 1) величина обобщенного показателя в долях единицы, вычисленная как отношение фактически обеспеченных данной дорогой потребительских свойств к аналогичным свойствам эталонной дороги; 2) величина обобщенного показателя в долях единицы, вычисленная как отношение фактически обеспеченных данной дорогой потребительских свойств к нормативным потребительским свойствам дороги этой категории.
2.1.7. За условный эталон принят участок дороги II категории в равнинной местности, построенной и оборудованной в полном соответствии с требованиями СНиП (ширина проезжей части 7,5 м, ширина обочин 3,75 м, ширина краевых укрепленных полос 0,75 м, обочины укреплены, покрытие шероховатое и т.д.), содержащейся в полном соответствии с требованиями технических правил ремонта и содержания автомобильных дорог. Для эталонной дороги показатели качества равны единице.
2.1.8. Нормативные значения критериев оценки качества дороги принимают в соответствии с действующими нормативно-техническими документами.
2.1.8.1. Нормативные значения комплексного показателя транспортно-эксплуатационного состояния дорог (КПн) соответствуют требованиям
СНиП 2.05.02-85. Согласно п. 1.3.1 Технических правил ремонта и содержания автомобильных дорог
ВСН 24-88 в неблагоприятных условиях погоды осенне-весеннего периода года при Коб = 1 и Кэ = 1 допускается снижение значений КПн, но не более чем на 25%. Эти значения принимают за предельно допустимые - КПп (табл. 2.1).
Таблица 2.1
Нормативные КПн (числитель) и предельно допустимые КПп
(знаменатель) значения комплексного показателя
транспортно-эксплуатационного состояния дорог
───────────┬─────────────┬──────────────┬─────────────────────────
Категория │ Основная │ На основном │ На трудных участках
дороги │ расчетная │ протяжении │ местности
│ скорость, │ ├────────────┬────────────
│ км/ч │ │пересеченной│ горной
───────────┴─────────────┴──────────────┴────────────┴────────────
I-а 150 1,25/0,94 1,0/0,75 0,67/0,50
I-б, II 120 1,0/0,75 0,83/0,62 0,5/0,38
III 100 0,83/0,62 0,67/0,50 0,42/0,33
IV 80 0,67/0,50 0,50/0,38 0,33/0,25
V 60 0,5/0,38 0,33/0,25 0,25/0,17
──────────────────────────────────────────────────────────────────
2.1.8.2. За нормативную величину показателя инженерного оборудования и обустройства принимают Коб = 1, которое обеспечивается при наличии и соответствии техническим требованиям всех элементов инженерного оборудования и обустройства дорог, предусмотренных действующими нормативно-техническими документами. Фактические значения величины Коб могут колебаться от 0,85 до 1,0 (см.
раздел 2.5).
2.1.8.3. За нормативную величину показателя содержания дорог принимают Кэ = 1, которое соответствует высокому качеству работ по текущему ремонту и содержанию дорог (средний балл 4,5 и выше по ВН 10-87). Фактические значения величины Кэ могут колебаться от 0,5 до 1,10 (см.
раздел 2.6).
2.1.8.4. Нормативную величину обобщенного показателя качества дороги принимают Пн = КПн, а за предельно допустимое значение обобщенного показателя качества дороги принимают Пп = КПп.
Дорога полностью соответствует требованиям к качеству, когда Пд >= КПн или КПд >= КПн при Коб = 1 и Кэ = 1 или при Коб х Кэ = 1.
Если фактическое значение Коб x Кэ меньше 1, дорога находится в допустимом состоянии, когда

. (2.2)
При других значениях показателей качества дорога находится в недопустимом состоянии.
2.1.9. В зависимости от целей и задач оценки она может быть выполнена как по обобщенному показателю качества, так и раздельно по комплексному показателю транспортно-эксплуатационного состояния (КПд), показателю инженерного оборудования и обустройства (Коб) или по показателю содержания дороги (Кэ).
Значения всех показателей могут быть определены для участка дороги, для всего протяжения дороги, для сети дорог, обслуживаемых дорожной организацией, или для сети дорог региона.
2.1.10. Обобщенный показатель качества дороги определяют в такой последовательности:
- определяют комплексный показатель транспортно-эксплуатационного состояния на каждом характерном участке КПi, строят линейный график и определяют среднее значение комплексного показателя для данной дороги КПд;
- определяют показатель инженерного оборудования и обустройства дороги Коб и заносят его в линейный график;
- определяют показатель содержания дороги Кэ на каждом участке и заносят его в линейный график;
- определяют обобщенный показатель качества дороги Пд на каждом участке.
2.1.11. Для определения показателей оценки необходима следующая исходная информация по всему протяжению дороги:
- категория дороги, интенсивность и состав движения;
- тип покрытия и его состояние по дефектности, прочность дорожной одежды, ровность и сцепные качества покрытия;
- ширина проезжей части, краевых укрепленных полос, ширина и тип укрепления обочин, количество полос движения и ширина разделительной полосы;
- величина продольных уклонов, радиусов кривых в плане и наличие виража; дальность видимости поверхности дороги;
- наличие и состояние элементов инженерного оборудования и обустройства дороги;
- габариты, грузоподъемность и эксплуатационное состояние мостов и путепроводов;
- данные о дорожно-транспортных происшествиях на дороге с выделением ДТП по дорожным условиям.
Кроме того, определение показателя содержания дорог выполняется с использованием информации, предусмотренной "Инструкцией по оценке качества содержания (состояния) автомобильных дорог" ВН 10-87.
Указанные сведения устанавливают путем обследования дорог, а также на основе данных технических паспортов автомобильных дорог.
2.1.12. Показатели оценки качества и состояния дорог являются основой для планирования работ по повышению технического уровня и эксплуатационного состояния дорог, их инженерного оборудования и обустройства и уровня содержания.
Динамика изменения показателей (прирост или уменьшение) служит основой оценки эффективности деятельности дорожных организаций по реконструкции, ремонту, благоустройству и содержанию дорог.
2.2. Оценка транспортно-эксплуатационного состояния
автомобильной дороги
2.2.1. Главным этапом оценки качества дороги является оценка ее технического уровня и эксплуатационного состояния или транспортно-эксплуатационного состояния (ТЭС АД), которая включает в себя оценку геометрических параметров поперечного профиля, плана и продольного профиля дороги, состояния покрытия и прочности дорожной одежды, ровности и сцепных качеств покрытий, состояния обочин, габаритов и грузоподъемности мостов и путепроводов, интенсивности и состава транспортных потоков, а также безопасности движения.
В основу методики комплексной оценки транспортно-эксплуатационного состояния дороги положен принцип обязательного соблюдения всех нормативных требований к параметрам и характеристикам дороги, определяющим ее транспортно-эксплуатационные показатели.
2.2.2. Транспортно-эксплуатационное состояние каждого характерного отрезка дороги оценивают итоговым коэффициентом обеспеченности расчетной скорости

, который принимают за комплексный показатель транспортно-эксплуатационного состояния дороги на данном отрезке (см.
п. 4.4):

.
2.2.3. Оценку транспортно-эксплуатационного состояния автомобильной дороги выполняют по величине комплексного показателя:

, или

, (2.3)
где:

- итоговое значение коэффициента обеспеченности расчетной скорости на каждом участке;

- длина участка с итоговым значением

, км; n - число таких участков; L - общая длина дороги (участка дороги), км. Порядок определения

и l приведен в
разделе 2.4.
2.2.4. Прирост комплексного показателя ТЭС АД вычисляют по формуле:

, (2.4)
где:

,

- значения комплексного показателя на начало и конец оцениваемого периода (года, пятилетки или до и после ремонта), вычисленные по
формуле 2.3.
Отрицательное значение прироста свидетельствует об ухудшении состояния дороги за оцениваемый период по сравнению с первоначальным.
2.2.5. Показатель фактического состояния автомобильной дороги по отношению к нормативному в начале и в конце оцениваемого периода определяют по формуле:

(2.5)
Транспортно-эксплуатационное состояние дороги соответствует требованиям, когда

>= 1.
2.3. Оценка транспортно-эксплуатационного состояния сети
автомобильных дорог
2.3.1. Оценку транспортно-эксплуатационного состояния сети автомобильных дорог, обслуживаемых ДЭУ, ДРСУ или автодором производят по фактическому комплексному показателю состояния дорожной сети КПфс. Для его вычисления используют коэффициент приведения дорог разного технического уровня к эталонной дороге.
Коэффициент приведения показывает, какую долю составляют потребительские свойства данной дороги (обеспеченная скорость и осевая нагрузка) от потребительских свойств эталонной дороги. Коэффициенты приведения принимают численно равными нормативным значениям комплексного показателя состояния дорог КПн по
табл. 2.1.
2.3.2. Комплексный показатель транспортно-эксплуатационного состояния дорожной сети вычисляют в следующем порядке:
а) составляют перечень или ведомость дорог или характерных участков, входящих в оцениваемую сеть. В качестве характерных выделяют участки с различным числом полос движения (без учета переходно-скоростных полос), участки с дополнительной полосой движения на подъемах, а также участки дорог различных категорий, входящие в состав одной автомобильной дороги;
б) определяют протяженность оцениваемой сети дорог при нормативном состоянии в приведенных к эталонным км:

, (2.6)
где:

- протяженность каждой дороги или каждого характерного участка дороги, км;

- число полос движения без учета переходно-скоростных полос;

- значения нормативного комплексного показателя для каждой дороги или участка дороги, которые принимают по
табл. 3.1;
С - количество дорог или характерных участков;
в) определяют среднюю величину нормативного комплексного показателя транспортно-эксплуатационного состояния оцениваемой сети дорог:

; (2.7)
г) определяют протяженность сети дорог при фактическом состоянии в приведенных км:

, (2.8)
где:

- фактические значения комплексного показателя транспортно-эксплуатационного состояния каждой дороги или участка дороги, вычисленные по формуле
(2.3);
д) определяют величину фактического показателя состояния оцениваемой сети дорог

. (2.9)
2.3.3. Прирост комплексного показателя транспортно-эксплуатационного состояния дорожной сети за рассматриваемый период определяют по формуле:

. (2.10)
2.3.4. Показатель фактического состояния сети автомобильных дорог по отношению к нормативному определяют по формуле:

. (2.11)
Транспортно-эксплуатационное состояние сети дорог соответствует требованиям, когда Ксс >= 1.
2.4. Порядок и методика оценки влияния элементов,
параметров и характеристик дорог на комплексный
показатель их состояния
2.4.1. Для оценки влияния отдельных параметров и характеристик дорог на комплексный показатель их состояния определяют частные коэффициенты обеспеченности расчетной скорости для каждого параметра и характеристики на каждом характерном участке в соответствии с указаниями
п. 2.4.5 -
2.4.15 настоящих Правил.
2.4.2. При определении коэффициентов обеспеченности расчетной скорости аналитическим путем учитывают следующие особенности:
а) не принимают во внимание общие ограничения скорости Правилами дорожного движения и местные ограничения скорости (в населенных пунктах, на переездах железных дорог, на пересечениях с другими дорогами, на кривых малых радиусов, в зоне автобусных остановок, в зонах действия дорожных знаков и др.);
б) в случае резкого различия условий движения по дороге в разных направлениях (например, на затяжных уклонах горных дорог) величину коэффициента обеспеченности расчетной скорости принимают по наименьшему значению из двух направлений движения;
в) не учитывают участки постепенного перехода скорости от одного значения к другому, то есть строят ступенчатую эпюру показателей.
2.4.3. Необходимые для определения частных значений коэффициентов обеспеченности расчетной скорости на каждом характерном участке параметры и характеристики существующих дорог получают при первичной оценке путем непосредственных измерений и наблюдений в течение теплого периода года при положительной температуре воздуха (ширина чистой фактически используемой укрепленной поверхности и состояние покрытия, ширина и состояние обочин, интенсивность и состав движения, ровность покрытия и коэффициент сцепления и др.). Данные о параметрах дороги могут быть получены из паспорта дороги, проекта дороги, материалов предыдущих обследований или из другой технической документации.
Повторные обследования по сокращенной номенклатуре параметров и характеристик проводят не реже 1 раза в год по состоянию на конец сезона ремонтных работ до наступления устойчивой отрицательной температуры воздуха, фиксируя все изменения в состоянии дорог и внося коррективы в результаты оценки. Кроме того, повторные обследования проводят на участках ремонта дорог после завершения ремонта.
2.4.4. Значения частных коэффициентов обеспеченности расчетной скорости принимают по готовым таблицам. Особенности их определения приведены в
п. 2.4.5 -
2.4.15.
Значение итогового коэффициента обеспеченности расчетной скорости на каждом участке для осенне-весеннего расчетного по условиям движения периода года принимают равным наименьшему из всех частных коэффициентов на этом участке, т.е.

.
Для этого строят линейный график, на который наносят сокращенный продольный профиль и план дороги и основные параметры и характеристики, частные и итоговые значения коэффициента обеспеченности расчетной скорости, а также линии нормативного и предельно допустимого значений показателей качества и транспортно-эксплуатационного состояния дороги.
Форма и пример линейного графика оценки качества и состояния дороги приведены в
Приложении 1.
2.4.5. Для получения итогового значения коэффициента обеспеченности расчетной скорости определяют частные коэффициенты, учитывающие ширину основной укрепленной поверхности (укрепленной поверхности) и ширину габарита моста - Крс1; ширину и состояние обочин - Крс2; интенсивность и состав движения - Крс3; продольные уклоны и видимость поверхности дороги - Крс4; радиусы кривых в плане и уклон виража - Крс5; ровность покрытия - Крс6; коэффициент сцепления колеса с покрытием - Крс7; состояние и прочность дорожной одежды - Крс8; грузоподъемность мостов - Крс9; безопасность движения - Крс10.
2.4.6. Частный коэффициент Крс1 определяют по величине чистой, фактически используемой для движения ширины укрепленной поверхности

, в которую входят ширина проезжей части и краевых укрепленных полос (основная укрепленная поверхность дороги) за вычетом ширины полос загрязнения на кромках проезжей части или краевых полос:

, (2.12)
где: В - ширина проезжей части, м;

- ширина краевой укрепленной полосы, м;

- ширина полосы загрязнения, м.
При отсутствии краевых укрепленных полос:

. (2.13)
На мостах, путепроводах и эстакадах:

, (2.14)
где: Г - габарит моста, м.
2.4.6.1. Для существующих дорог ширину проезжей части, краевых укрепленных полос, габарит моста, ширину обочин, тип укрепления и состояние обочин определяют непосредственно при обследованиях дорог на каждом характерном участке.
2.4.6.2. За характерные по ширине укрепленной поверхности принимают участки с одинаковой шириной чистой проезжей части и укрепленных краевых полос, а при отсутствии краевых полос участки дороги с одинаковой шириной чистой проезжей части. При этом не учитывают колебания ширины в пределах до 0,25 м. При уменьшении или увеличении на смежном участке ширины чистой укрепленной поверхности более чем на 0,25 м такой участок выделяют в характерный. Если разница в ширине

на смежных участках превышает 0,5 м, то участок с меньшей шириной относят к местным сужениям, в длину которого включают зоны влияния по 75 м от начала и конца сужения.
2.4.6.3. Ширину полосы загрязнения с каждой стороны для осенне-весеннего периода принимают по табл. 2.2.
Таблица 2.2
─────────────┬────────────────────────────────────────────────────
Вид │ Ширина полосы загрязнения, м
укрепления ├───────────────────────┬────────────────────────────
обочины │ на прямых участках │ на кривых в плане радиусом
│ и на кривых в плане │ менее 200 м, на участках с
│ радиусом более 200 м │ ограждениями, направляющими
│ │ столбиками, тумбами,
│ │ парапетами
─────────────┴───────────────────────┴────────────────────────────
Слой щебня 0,2 0,2
или гравия --- ---
0,3 0,5
Засев травы 0,2 0,2
--- ---
0,5 0,7
Обочины не 0,3 0,3
укреплены --- ---
0,7 1,2
Бордюр 3h 3h
высотой h, м -- --
(в т.ч. на 6h 6h
мостах)
──────────────────────────────────────────────────────────────────
Примечания. 1. В числителе - для дорог I - II категорий; в знаменателе - для дорог III - IV категорий.
2. При устройстве на обочине покрытия шириной более 1,5 м из асфальтобетона, цементобетона или из материалов, обработанных вяжущими, ширину полос загрязнения принимают равной нулю.
2.4.6.4. Значения Крс1 в зависимости от ширины чистой, фактически используемой для движения укрепленной поверхности и интенсивности движения приведены в табл. 2.3,
2.4,
2.5.
Таблица 2.3
Значения частного коэффициента обеспеченности расчетной
скорости Крс1, учитывающего влияние ширины чистой
основной укрепленной поверхности дороги
─────────────┬────────────────────────────────────────────────────
Ширина чистой│ Для двухполосных дорог при интенсивности движения,
основной │ авт./сут. (физических ед.)
укрепленной ├───────────┬────────────┬─────────────┬─────────────
поверхности │ менее 600 │ 600 - 1200 │ 1200 - 3600 │ 3600 - 10000
В , м │ │ │ │
1ф │ │ │ │
─────────────┴───────────┴────────────┴─────────────┴─────────────
4,50 0,58 0,17 0,14 0,11
4,75 0,68 0,25 0,21 0,16
5,0 0,79 0,33 0,28 0,22
5,25 0,88 0,42 0,35 0,27
5,50 1,0 0,50 0,42 0,33
5,75 1,10 0,58 0,49 0,38
6,0 1,10 0,67 0,56 0,44
6,25 - 0,75 0,63 0,49
6,50 - 0,83 0,70 0,55
6,75 - 0,91 0,77 0,61
7,0 - 1,0 0,83 0,66
7,25 - 1,06 0,90 0,72
7,50 - 1,10 0,97 0,77
7,75 - - 1,04 0,82
8,0 - - 1,10 0,88
8,25 - - - 0,93
8,50 - - - 0,99
8,75 - - - 1,04
9,0 - - - 1,08
9,25 - - - 1,12
9,50 - - - 1,15
──────────────────────────────────────────────────────────────────
──────────────────┬───────────────────────────────────────────────
Ширина чистой │ Для трехполосных дорог, Крс1
укрепленной │
поверхности В , м├───────────────────────┬───────────────────────
1ф │ с полной разметкой │при отсутствии разметки
──────────────────┴───────────────────────┴───────────────────────
10,50 0,8 0,7
10,75 0,83 0,72
11,0 0,86 0,74
11,25 0,88 0,76
11,50 0,90 0,78
11,75 0,95 0,80
12,0 0,99 0,81
12,25 1,03 0,82
12,50 1,08 0,83
12,75 1,10 0,85
13,0 - 0,87
13,25 - 0,92
13,50 - 0,97
13,75 - 1,02
14,0 - 1,07
──────────────────────────────────────────────────────────────────
Примечание. Приведенные значения Крс1 действительны при интенсивности движения более 7 тыс. авт./сут. При меньшей интенсивности для дорог с шириной чистой укрепленной поверхности 10,5 м и более принимают Крс1 = 1,10 при отсутствии разметки и Крс1 = 1,15 при наличии разметки.
────────────────────────────────────┬─────────────────────────────
Ширина чистой укрепленной │ Крс1 при ширине
поверхности двухполосной проезжей │ разделительной полосы, м
части одного направления ├───────────────┬─────────────
четырехполосных дорог, м │ до 5 м │ более 5 м
────────────────────────────────────┴───────────────┴─────────────
6,0 0,39 0,48
6,25 0,44 0,54
6,50 0,49 0,60
6,75 0,54 0,66
7,0 0,59 0,71
7,25 0,64 0,78
7,50 0,69 0,85
7,75 0,74 0,90
8,0 0,80 0,96
8,25 0,85 1,02
8,50 0,90 1,08
8,75 0,95 1,14
9,0 1,0 1,20
9,25 1,05 1,25
9,50 1,10 1,25
──────────────────────────────────────────────────────────────────
Примечание. Приведенные значения Крс1 действительны при интенсивности движения более 3,0 тыс. авт./сут. на полосу движения. При меньшей интенсивности принимают Крс1 = 1,25.
2.4.7. Частный коэффициент Крс2 определяют по величине ширины обочины в соответствии с табл. 2.6. В общем случае в состав обочины входит краевая укрепленная полоса, укрепленная полоса для остановки автомобилей и прибровочная полоса.
Таблица 2.6
Значения частного коэффициента обеспеченности расчетной
скорости Крс2, учитывающего влияние ширины и состояния
обочин
─────────────┬────────────────────────────────────────────────────
Ширина │ Тип укрепления обочины
обочины │
(включая ├────────────┬───────────┬───────────┬───────────────
краевую │ а/б; ц/б; │слой щебня │ засев трав│ обочины не
укрепленную │ обработка │или гравия │ │ укреплены
полосу), м │ вяжущими │ │ │
─────────────┴────────────┴───────────┴───────────┴───────────────
0,3 0,3 0,20 0,19 0,19
0,4 0,34 0,24 0,22 0,20
0,5 0,64 0,44 0,40 0,35
0,75 0,71 0,60 0,52 0,40
1,0 0,85 0,70 0,56 0,42
1,25 0,88 0,76 0,60 0,44
1,5 0,92 0,82 0,63 0,47
1,75 0,97 0,86 0,66 0,50
2,0 1,02 0,90 0,69 0,53
2,25 1,05 0,95 0,73 0,56
2,50 1,08 1,0 0,75 0,60
2,75 1,11 1,05 0,82 0,63
3,0 1,15 1,10 0,84 0,66
3,25 1,20 1,15 0,90 0,68
3,50 1,25 1,20 0,95 0,69
3,75 1,25 1,25 1,0 0,70
4,0 1,25 1,25 1,05 0,70
──────────────────────────────────────────────────────────────────
Примечания. 1. При наличии на обочине колеи вдоль кромки проезжей части или краевой укрепленной полосы, а также при расположении поверхности обочины выше или ниже поверхности покрытия на проезжей части или краевой полосе более чем на 40 мм значения Крс2 принимают как для неукрепленной обочины, независимо от типа укрепления.
2. Значения Крс2 для обочин, укрепленных засевом трав, принимают, когда на всей ширине укрепленной полосы имеется сплошной травяной покров не более 5 см. При наличии на полосе, укрепленной засевом трав, разрушений травяного покрова значения Крс2 принимают как для неукрепленной обочины.
За характерные по ширине обочин принимают отрезки дороги с одинаковой шириной обочин. Если ширина правой и левой обочин разная, в расчет принимают меньшую. При выделении характерных участков не учитывают колебания ширины обочины в пределах до 0,10 м при общей ширине обочины до 1,5 м, в пределах до 0,25 м при ширине обочины более 1,5 м. В случае изменения ширины обочины на величину больше указанных (0,1 м и 0,25 м) участок выделяют в характерный.
2.4.7.2. В случае когда на всей ширине обочины устроен один тип укрепления, значения Крс2 принимают по
табл. 2.6 в зависимости от общей ширины обочины для данного типа укрепления. Аналогично принимают значения Крс2 при отсутствии укрепления на всей ширине обочины.
2.4.7.3. При наличии на обочине краевой укрепленной полосы и (или) укрепленных различными материалами, а также неукрепленных полос значения Крс2 определяют как средневзвешенную величину для данных типов укрепления по формуле

, (2.15)
где: bi - ширина полосы обочины с различным типом укрепления, м;
Крс2 - величина коэффициента обеспеченности расчетной скорости для данного типа укрепления полосы, принятая из положения, что этот тип укрепления распространяется на всю ширину обочины;

- общая ширина обочины, м.
Пример 1. Общая ширина обочины

= 3 м. Из них: ширина краевой полосы из асфальтобетона - 0,5 м; ширина укрепленной щебнем полосы - 2 м и ширина неукрепленной полосы - 0,5 м.
По
табл. 2.6 для общей ширины обочины 3 м принимаем значение Крс2 при укреплении: асфальтобетоном 1,15; щебнем - 1,10; для неукрепленной обочины - 0,66. Средневзвешенная величина Крс2 будет

.
Пример 2. Общая ширина обочины 1,5 м. Из них: ширина краевой полосы из слоя гравия - 1 м и ширина полосы, укрепленной засевом трав, - 0,5 м.
Для общей ширины обочины 1,5 м по
табл. 2.6 принимаем при укреплении слоем гравия Крс2 = 0,82; при укреплении засевом трав Крс2 = 0,63. Средневзвешенная величина будет:

.
2.4.8. Частный коэффициент Крс3 определяют в зависимости от интенсивности и состава движения по формуле:

, (2.16)
где:

- снижение коэффициента обеспеченности расчетной скорости под влиянием интенсивности и состава движения, значение которого приведено в табл. 2.7. За характерный по интенсивности и составу движения принимают отрезок дороги, на котором эти показатели одинаковы и отличаются более чем на 15 - 20% от показателей на смежных участках. Интенсивность и состав движения принимают по результатам наблюдений в теплый период года.
Таблица 2.7
Значения частного коэффициента обеспеченности расчетной
скорости

, учитывающего влияние
интенсивности и состава движения
─────────┬─────────────────────────────────────────────────────────────────────────────────
Интен- │ N
сивность │ Значения Дельта Крс
движе- ├────────────────────────┬─────────────────────────┬──────────────────────────────
ния, │ Для двухполосных дорог │ Для трехполосных дорог │Для двух полос автомагистрали
тыс. авт.│ при бета, равном │ при бета, равном │ с 4-х полосной проезжей
---------│ │ │ частью при бета, равном
сут. ├────┬────┬────┬────┬────┼────┬────┬────┬────┬─────┼────┬────┬────┬────┬────┬─────
│0,85│0,70│0,60│0,50│0,40│0,85│0,70│0,60│0,50│0,40 │0,85│0,70│0,60│0,50│0,40│0,30
─────────┴────┴────┴────┴────┴────┴────┴────┴────┴────┴─────┴────┴────┴────┴────┴────┴─────
1 0,05 0,03 0,03 0,02 0,01
2 0,10 0,07 0,05 0,04 0,03
3 0,16 0,11 0,08 0,06 0,05 0,08 0,07 0,05 0,04 0,02 0,12 0,09 0,06 0,05 0,04 0,03
4 0,21 0,14 0,11 0,08 0,07 0,09 0,08 0,06 0,04 0,03 0,15 0,11 0,09 0,07 0,05 0,04
5 0,26 0,20 0,13 0,11 0,09 0,11 0,10 0,07 0,05 0,03 0,18 0,14 0,11 0,08 0,06 0,05
6 0,31 0,25 0,17 0,15 0,10 0,13 0,11 0,08 0,05 0,04 0,21 0,16 0,13 0,10 0,07 0,06
7 0,36 0,30 0,20 0,17 0,12 0,15 0,13 0,10 0,06 0,05 0,23 0,18 0,14 0,11 0,07 0,06
8 0,42 0,32 0,23 0,18 0,15 0,17 0,14 0,11 0,07 0,06 0,25 0,20 0,16 0,12 0,08 0,07
9 0,49 0,39 0,29 0,21 0,17 0,19 0,16 0,11 0,08 0,07 0,27 0,22 0,18 0,13 0,09 0,08
10 0,53 0,43 0,32 0,25 0,19 0,20 0,17 0,12 0,09 0,07 0,29 0,23 0,19 0,14 0,10 0,09
11 - - - - - 0,22 0,18 0,12 0,09 0,08 0,31 0,25 0,20 0,14 0,11 0,10
12 - - - - - 0,23 0,18 0,13 0,10 0,08 0,32 0,26 0,21 0,15 0,12 0,11
13 - - - - - - - - - - 0,33 0,26 0,21 0,15 0,12 0,11
14 - - - - - - - - - - 0,34 0,27 0,21 0,15 0,12 0,12
────────────────────────────────────────────────────────────────────────────────────────────

- коэффициент, учитывающий состав транспортного потока. Численно равен доле грузовых автомобилей и автобусов в потоке.
2.4.9. Частный коэффициент Крс4 определяют по величине продольного уклона для расчетного состояния поверхности дороги в весенне-осенний период года и фактического расстояния видимости поверхности дороги при движении на спуск. При этом между точками перелома продольного профиля допускается принимать величину уклона постоянной без учета его смягчения на вертикальных кривых.
Значения Крс4 приведены в табл. 2.8 и
2.9. Из двух значений Крс4 выбирают наименьшее и заносят в линейный график.
Таблица 2.8
Значения частного коэффициента обеспеченности расчетной
скорости Крс4, учитывающего влияние продольных уклонов
при движении на подъем
──────────┬─────┬──────┬──────┬──────┬──────┬──────┬──────┬───────
Продольный│0 - │21 - │31 - │41 - │51 - │61 - │71 - │ более
уклон, % │ 20│ 30│ 40│ 50│ 60│ 70│ 80│ 80
──────────┴─────┴──────┴──────┴──────┴──────┴──────┴──────┴───────
Значения
Крс4:
при мокром 1,25 1,10 0,95 0,85 0,80 0,75 0,70 0,6
чистом
покрытии
при мокром 1,10 1,00 0,90 0,82 0,75 0,70 0,65 0,5
загрязнен-
ном
покрытии
───────────────────────────────────────────────────────────────────
Примечание. Значения Крс4 принимают для мокрого чистого покрытия на участках, где ширина укрепленной обочины из асфальтобетона, цементобетона или из материалов, обработанных вяжущими, вместе с краевой укрепленной полосой составляет 1,5 м и более. На других участках значения Крс4 принимают для мокрого загрязненного покрытия.
Таблица 2.9
Значения частного коэффициента обеспеченности расчетной
скорости Крс4, учитывающего влияние продольных уклонов и
видимость поверхности дороги при движении на спуск
────────┬──────┬─────┬──────┬─────┬──────┬──────┬─────┬─────┬─────
Продоль-│Види- │0 - │21 - │31 - │41 - │51 - │61 - │71 - │более
ный │мость,│ 20│ 30│ 40│ 50│ 60│ 70│ 80│ 80
уклон, │м │ │ │ │ │ │ │ │
% │ │ │ │ │ │ │ │ │
────────┴──────┴─────┴──────┴─────┴──────┴──────┴─────┴─────┴─────
Значения 45 0,40 0,39 0,38 0,37 0,36 0,33 0,30 0,25
Крс4 55 0,45 0,44 0,44 0,44 0,43 0,41 0,40 0,30
при мок- 75 0,54 0,52 0,51 0,51 0,50 0,47 0,45 0,40
ром 85 0,58 0,56 0,55 0,55 0,54 0,52 0,50 0,45
чистом 100 0,65 0,62 0,61 0,61 0,60 0,58 0,55 0,50
покрытии 150 0,75 0,72 0,71 0,71 0,70 0,67 0,65 0,60
200 0,85 0,83 0,81 0,81 0,80 0,77 0,75 0,70
250 0,92 0,90 0,88 0,87 0,86 0,82 0,80 0,75
300 1,0 0,97 0,96 0,94 0,92 0,88 0,85 0,80
более 1,25 1,10 1,05 1,00 0,95 0,90 0,87 0,82
300
──────────────────────────────────────────────────────────────────
Значения 55 0,40 0,39 0,38 0,38 0,38 0,35 0,30 0,20
Крс4 при 75 0,48 0,46 0,45 0,45 0,44 0,40 0,35 0,25
мокром 85 0,52 0,50 0,48 0,47 0,47 0,44 0,40 0,30
загряз- 100 0,58 0,55 0,54 0,53 0,52 0,50 0,45 0,35
ненном 150 0,68 0,65 0,63 0,62 0,61 0,55 0,50 0,40
покрытии 200 0,78 0,75 0,73 0,72 0,71 0,65 0,60 0,50
250 0,85 0,82 0,79 0,76 0,72 0,70 0,65 0,55
300 0,93 0,89 0,85 0,84 0,83 0,80 0,70 0,60
более 1,10 1,05 1,00 0,95 0,90 0,85 0,80 0,70
300
──────────────────────────────────────────────────────────────────
Примечание. Состояние покрытия принимают в соответствии с
примечанием к таблице 2.8.
2.4.10. Частный коэффициент Крс5 определяют по величине радиуса кривой в плане по табл. 2.10 для расчетного состояния поверхности дороги в весенне-осенний период года, которое выбирают в соответствии с
примечанием к табл. 2.8.
Таблица 2.10
Значения частного коэффициента обеспеченности расчетной
скорости Крс5, учитывающего влияние радиуса кривых в
плане и наличие виража
─────────┬────────────────────────────────────────────────────────
Состояние│ Коэффициент обеспеченности расчетной скорости
покрытия │ Крс5, при радиусе кривой в плане, м, равном
├────┬────┬────┬────┬────┬────┬────┬────┬────┬─────┬─────
│ 30 │ 60 │100 │150 │200 │300 │400 │600 │800 │1000 │1500
─────────┴────┴────┴────┴────┴────┴────┴────┴────┴────┴─────┴─────
Кривая с виражом
мокрое, 0,31 0,42 0,52 0,61 0,68 0,79 0,86 1,0 1,06 1,08 1,25
чистое
мокрое, 0,28 0,38 0,48 0,57 0,64 0,75 0,82 0,96 1,02 1,04 1,15
загряз-
ненное
──────────────────────────────────────────────────────────────────
Кривая без виража
мокрое, 0,26 0,34 0,42 0,47 0,52 0,58 0,65 0,78 0,86 0,95 1,15
чистое
мокрое, 0,24 0,28 0,32 0,37 0,43 0,52 0,60 0,72 0,82 0,90 1,00
загряз-
ненное
──────────────────────────────────────────────────────────────────
В длину участка кривой в плане включают длину круговой и переходных кривых. Кроме того, при радиусах закругления 400 м и менее в длину участка включают зоны влияния по 50 м от начала и конца кривой. В промежутках между смежными участками кривых в плане принимают Крс5 = КПн.
2.4.11. Частный коэффициент Крс6 определяют по величине суммы неровностей покрытия проезжей части (табл. 2.11). В расчет принимают худший из показателей ровности для различных полос на данном участке.
Таблица 2.11
Значения частного коэффициента обеспеченности расчетной
скорости Крс6, учитывающего влияние ровности покрытия
─────────────┬───────────────────┬──────────────┬─────────────────
Ровность по │Коэффициент обеспе-│ Ровность по │Коэффициент обес-
толчкомеру │ченности расчетной │ ПКРС-2, см/км│печенности рас-
ТХК-2, см/км│скорости │ │четной скорости
─────────────┴───────────────────┴──────────────┴─────────────────
<= 40 1,25 <= 250 1,25
50 1,00 300 1,00
60 0,89 350 0,88
80 0,72 400 0,78
100 0,61 500 0,64
120 0,53 600 0,55
140 0,47 700 0,48
160 0,42 800 0,42
180 0,38 900 0,38
200 0,34 1000 0,34
220 0,32 1100 0,32
>= 250 0,25 >= 1200 0,25
──────────────────────────────────────────────────────────────────
2.4.12. Частный коэффициент Крс7 определяют по измеренной величине коэффициента сцепления по данным табл. 2.12, при расстоянии видимости поверхности дороги, равном нормативному для данной категории дороги. В расчет принимают наиболее низкий из коэффициентов сцепления по полосам движения на данном участке.
Таблица 2.12
Значения частного коэффициента обеспеченности расчетной
скорости Крс7, учитывающего влияние коэффициента
сцепления колеса с покрытием
───────┬──────────────────────────────────────────────────────────
Катего-│ Значения Крс7 при коэффициенте сцепления
рия │ дорожного покрытия (фи 60)
дороги ├───────┬───────┬────────┬────────┬────────┬───────┬───────
│ 0,10 │ 0,15 │ 0,20 │ 0,25 │ 0,30 │ 0,35 │ 0,40
───────┴───────┴───────┴────────┴────────┴────────┴───────┴───────
IА 0,56 0,64 0,72 0,79 0,86 0,92 0,99
IБ, II 0,53 0,60 0,66 0,74 0,80 0,86 0,92
III 0,50 0,57 0,64 0,70 0,75 0,80 0,86
IV 0,45 0,51 0,56 0,61 0,66 0,70 0,74
V 0,37 0,41 0,46 0,49 0,52 0,55 0,58
──────────────────────────────────────────────────────────────────
Примечания. 1. Коэффициенты сцепления даны для скорости 60 км/ч, гладкой шины и мокрого покрытия из цементобетона, асфальтобетона, а также из щебня и гравия, обработанных вяжущими.
2. При величинах коэффициента сцепления более 0,40 для дорог I - II категорий принимают Крс7 = КПн.
2.4.13. Частный коэффициент Крс8 определяют в зависимости от состояния покрытия и прочности дорожной одежды только на тех участках, где визуально установлено наличие трещин, колейности, просадок или проломов, а коэффициент обеспеченности расчетной скорости по ровности меньше нормативного для данной категории дороги (Крс6 >= КПн). Величину Крс8 определяют по формуле:

, (2.17)
где:

- показатель, учитывающий состояние покрытия и прочность дорожной одежды. Значения показателя

принимают по табл. 2.13.
Таблица 2.13
Значения показателя

, учитывающего состояние покрытия и
прочность дорожной одежды
──┬────────────────┬─────────┬────────────────────────────────────
NN│Состояние покры-│Оценка в │ Типы дорожных одежд
пп│тия и характер │ баллах ├─────────────┬───────────┬──────────
│повреждения │ │Усовершенст- │Усовершен- │Переходные
│ │ │вованные │ствованные │
│ │ │капитальн. │облегченные│
│ │ │(асф., бетон)│ │
│ │ ├─────────────┴───────────┴──────────
│ │ │ Значения показателя ро
──┼────────────────┼─────────┼─────────────┬───────────┬──────────
1 │ 2 │ 3 │ 4 │ 5 │ 6
──┴────────────────┴─────────┴─────────────┴───────────┴──────────
1. Без дефектов и 5 1 0,95 0,6
отдельные
трещины на
расстоянии
более 40 м
Отдельные трещи- 4,8 - 5 0,95 0,9 -
ны на расстоянии
20 - 40 м между
трещинами
То же на рассто- 4,5 - 4,8 0,9 0,85 -
янии 10 - 20 м
2. Редкие трещины 4 - 4,5 0,85 0,8 -
на расстоянии
между соседними
трещинами 8 -
10 м
То же 6 - 8 м 3,8 - 4 0,8 0,75 -
То же 4 - 6 м 3,5 - 3,8 0,78 0,73 -
3. Частые трещины 3 - 3,5 0,75 0,7 -
на расстоянии
между соседними
трещинами
3 - 4 м
То же 2 - 3 м 2,8 - 3 0,7 0,65 -
То же 1 - 2 м 2,5 - 2,8 0,65 0,6 -
4. Сетка трещин при 2 - 2,5 0,6 0,55 -
относительной
площади, занима-
емой сеткой,
менее 30%
То же 30 - 60% 1,8 - 2 0,55 0,5 -
То же 60 - 90% 1,5 - 1,8 0,5 0,45 -
5. Колейность при 1,8 - 2 0,55 0,5 -
средней глубине
колеи <= 5 мм
То же 5 - 10 мм 1,5 - 1,8 0,5 0,45 -
То же > 10 мм 1 - 1,5 0,45 0,4 0,35
6. Просадки при 1 - 1,5 0,45 0,4 0,3
относительной
площади просадок
<= 20%
То же 20 - 50% 0,8 - 1 0,4 0,35 0,25
То же > 50% 0,5 - 0,8 0,3 0,25 0,2
7. Проломы дорожной 1 - 1,5 0,45 0,4 0,3
одежды при
относительной
пощади, занимае-
мой проломами,
<= 10%
То же 10 - 30% 0,8 - 1 0,4 0,35 0,25
То же >= 30% 0,5 - 0,8 0,3 0,25 0,2
─────────────────────────────────────────────────────────────────────
На этих участках измеряют прочность дорожной одежды, необходимую для обоснованного назначения мероприятий по ее усилению. На участках, где отсутствуют дефекты или имеются одиночные трещины разного направления на расстоянии более 10 м друг от друга, а Крс6 КПн принимают Крс8 = КПн и прочность дорожной одежды не измеряют.
2.4.14. Частный коэффициент Крс9 определяют в зависимости от фактической расчетной грузоподъемности моста, которую может пропустить мост по данным испытаний или по данным ИПС-мост в соответствии с табл. 2.14.
Таблица 2.14
Значения частного коэффициента обеспеченности расчетной
скорости Крс9, учитывающего грузоподъемность мостов
─────────────┬────────────────────────────────────────────────────
Категория │ Коэффициент обеспеченности расчетной скорости Крс9
дороги │ при расчетной нагрузке, которую может пропустить
│ мост
├─────────────┬─────────────┬─────────────┬──────────
│ АК-11, Н-18,│ Н-13, НГ-60 │ Н-10, НГ-60 │Н-8 и ниже
│ Н-30, НК-80 │ │ │
│ │ │ │
─────────────┴─────────────┴─────────────┴─────────────┴──────────
Дороги I и II 1,0 0,3 0,2 -
категорий
Дороги III 1,0 0,35 0,25 0,20
категории
Дороги IV и V 1,0 0,5 0,25 0,25
категорий
──────────────────────────────────────────────────────────────────
В исключительных случаях, когда нормативную (расчетную) нагрузку установить по материалам технической документации или архивным документам невозможно, ее определяют для капитальных мостов косвенным путем в зависимости от года постройки моста (табл. 2.15).
Таблица 2.15
Ориентировочные нормативные нагрузки для мостов различных
лет постройки
───────────────┬──────────────────────────────────────────────────
Год постройки │ Нормативная нагрузка мостов для категорий дорог
моста ├──────────────────────────┬───────────────────────
│ II и III │ IV и V
───────────────┴──────────────────────────┴───────────────────────
До 1947 Меньше, чем Н-8, НГ-30 Меньше, чем Н-8, НГ-30
1948 - 1957 Н-18, НГ-30 Н-8, НГ-30
1958 - 1966 Н-13, НГ-60 Н-10, НГ-60
После 1966 Н-18, НК-80 Н-13, НГ-60
──────────────────────────────────────────────────────────────────
Примечания. 1. Категорию дороги принимают на год постройки моста.
2. Для деревянных мостов независимо от года постройки и категории дороги нормативную нагрузку принимают Н-8, НГ-30.
2.4.15. Частный коэффициент Крс10 определяют на основе сведений о дорожно-транспортных происшествиях (ДТП) по величине коэффициента относительной аварийности. В качестве характерных по безопасности движения выделяют отрезки дороги длиной по 1 км, на которых за последние 3 года произошли ДТП. Для каждого такого километра вычисляют относительный коэффициент аварийности по формуле

, (2.18)
где ДТП - число ДТП за последние n лет (n = 3 года);
N - среднегодовая суточная интенсивность движения, авт/сут.
В порядке исключения при отсутствии сведений за предыдущий период допускается определять величину И по данным о ДТП за последний год.
2.4.15.1. На участках, где за последние 3 года не отмечено ни одного ДТП, принимают Крс10 = КПн. Значения Крс10 для участков, где отмечены ДТП, принимают по табл. 2.16. При наличии хотя бы одного ДТП по причине неудовлетворительных дорожных условий величину Крс10 для данного километра принимают в два раза меньше указанной в табл. 2.16. Это снижение аннулируется после выполнения работ по устранению недостатков дороги, послуживших причиной ДТП, и не учитывается, если к моменту оценки указанные работы были выполнены.
Таблица 2.16
Значения частного коэффициента обеспеченности расчетной
скорости Крс10, учитывающего безопасность движения
─────────────┬────┬──────┬───────┬──────┬──────┬──────┬──────┬──────┬──────
Значения │0 - │0,21 -│0,31 - │0,51 -│0,71 -│0,91 -│1,01 -│1,26 -│больше
коэффициента │ 0,2│ 0,3│ 0,5│ 0,7│ 0,9│ 1,0│ 1,25│ 1,5│ 1,5
относительной│ │ │ │ │ │ │ │ │
аварийности │ │ │ │ │ │ │ │ │
ДТП/1 │ │ │ │ │ │ │ │ │
млн. авт. км │ │ │ │ │ │ │ │ │
─────────────┼────┼──────┼───────┼──────┼──────┼──────┼──────┼──────┼──────
Значения │1,25│ 1,0 │ 0,85 │ 0,7 │ 0,6 │ 0,5 │ 0,4 │ 0,3 │ 0,2
частного │ │ │ │ │ │ │ │ │
коэффициента │ │ │ │ │ │ │ │ │
Крс10 │ │ │ │ │ │ │ │ │
─────────────┴────┴──────┴───────┴──────┴──────┴──────┴──────┴──────┴──────
2.5. Определение показателя инженерного оборудования
и обустройства
2.5.1. Показатель инженерного оборудования и обустройства дороги (Коб) определяют по величине коэффициента дефектности соответствия инженерного оборудования и обустройства дороги (Ди.о).
Под дефектностью соответствия понимают отсутствие, недостаточное количество или несоответствие нормативным требованиям к параметрам, конструкции и размещению элементов инженерного оборудования и обустройства дорог.
2.5.2. Коэффициент дефектности соответствия инженерного оборудования и обустройства определяют по результатам обследования дорог по формулам:

, (2.19)

, (2.20)

, (2.21)
где

...

- частные коэффициенты дефектности соответствия элементов обустройства, функциональное влияние которых распространяется на значительное протяжение дороги (площадки отдыха, автозаправочные станции, мотели и кемпинги);

...

- частные коэффициенты дефектности соответствия элементов инженерного оборудования, функциональное влияние которых распространяется на отрезок дороги (пересечения, въезды и переезды, автобусные остановки, ограждения, тротуары и пешеходные дорожки в населенных пунктах).
На автомобильных дорогах областного и местного значения с интенсивностью движения до 1000 авт./сут. допускается не учитывать автозаправочные станции, мотели и кемпинги. В этом случае в
формуле 2.19 учитывается только 5 слагаемых. Соответственно, в знаменателе дроби перед скобкой ставится цифра 5 вместо 7.
2.5.3. Коэффициент дефектности соответствия элементов обустройства, влияющих на значительное протяжение дороги

, вычисляют для всей дороги или для каждого участка дороги данной категории, если дорога состоит из участков разных категорий.
2.5.3.1. Частный коэффициент

определяют по наличию и соответствию требованиям
п. 10.11 СНиП 2.05.02-85 площадок отдыха по формуле:

, (2.22)
где: lнп - нормативное расстояние между площадками отдыха по СНиП, км;
Nn - фактическое количество площадок отдыха на данной дороге, соответствующих требованиям СНиП;
L - длина дороги или участка дороги, км.
В том случае, когда фактическое количество площадок отдыха превышает нормативное, т.е. произведение

, принимают значение

= 0.
2.5.3.2. Частный коэффициент

определяют по наличию и соответствию требованиям п. 10.12 СНиП параметров автозаправочных станций, а частный коэффициент

определяют по наличию и соответствию требованиям
п. 10.15 СНиП параметров мотелей и кемпингов на дороге.
Расчет коэффициентов

и

производят так же, как и коэффициента

(см.
п. 2.5.3.1).
2.5.4. Коэффициент дефектности соответствия элементов инженерного оборудования, относящихся к локальному отрезку

, вычисляют для каждого километрового участка дороги.
2.5.4.1. Частный коэффициент

определяют по соответствию требованиям
п. 5.1 -
5.18 СНиП 2.05.02-85 параметров пересечений и примыканий автомобильных дорог в одном и разном уровнях, а также пересечений автомобильных дорог с железными дорогами по формуле:

, (2.23)
где: N - количество пересечений и примыканий, въездов и переездов на данном километре дороги;
Nн - то же, соответствующих требованиям СНиП.
При отсутствии пересечений и примыканий на данном километре дороги значение принимают

= 0.
В число укатываемых при оценке не входят неорганизованные съезды и переезды, а также пересечения с улицами и въездами во дворы в населенных пунктах.
2.5.4.2. Частный коэффициент

определяют по соответствию требованиям
п. 10.8 и
10.9 СНиП 2.05.02-85 параметров автобусных остановок на данном километре дороги. Вычисления проводят аналогично

по формуле 2.23.
2.5.4.3. Частный коэффициент

определяют по наличию и соответствию требованиям
п. 9.3,
9.4 и
9.9 СНиП 2.05.02-85 и
п. 5.1 и
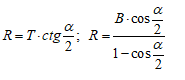
5.2 ГОСТ 23457-86 дорожных ограждений на каждом километре дороги:

, (2.23)
где: lн - требуемая по СНиП протяженность ограждений в одну линию на данном километре дороги, м;
lф - фактическое протяжение, м.
В том случае, когда фактическое протяжение ограждений больше требуемого, а также на участках, где по нормам не требуется установка ограждений, принимают величину

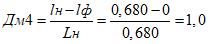
= 0.
2.5.4.4. Частный коэффициент

определяют по наличию и соответствию требованиям
п. 10.2.3;
10.2.4 ВСН 25-86 тротуаров и пешеходных дорожек вдоль дороги и населенных пунктов. Расчет коэффициента

производят так же, как и коэффициента

(см.
п. 2.5.4.3).
| | ИС МЕГАНОРМ: примечание. В официальном тексте документа, вероятно, допущена опечатка: формулы 3.20, 3.21, 3.19 отсутствуют. Видимо, речь идет о формулах 2.20, 2.21, 2.19. | |
2.5.5. Итоговый коэффициент дефектности соответствия инженерного оборудования и обустройства

определяют для каждого километра дороги. Вначале определяют значение коэффициента дефектности элементов обустройства, относящихся к значительному протяжению дороги

, по формуле 3.20 и принимают
его для всей дороги или участка дороги. К этому значению на каждом километре добавляют значения дефектности по локальным элементам инженерного оборудования

, вычисленные по формуле 3.21, и затем по формуле 3.19 получают итоговое значение коэффициента дефектности инженерного оборудования и обустройства

на каждом километре.
Значения показателя инженерного оборудования и обустройства дороги

на каждом километре принимают в зависимости от величины

в соответствии с табл. 2.17 и заносят в линейный график оценки качества автомобильной дороги.
Таблица 2.17
────────────────┬─────────────────────────────────────────────────
Коэффициент │ Значение показателя инженерного оборудования и
дефектности │ обустройства К , для категорий дорог
соответствия │ об
├───────────────────┬───────────────┬─────────────
│ IА, IБ, II │ III │ IV - V
────────────────┴───────────────────┴───────────────┴─────────────
0 1 1 1
0,1 0,98 0,99 1
0,2 0,97 0,98 0,99
0,3 0,96 0,97 0,98
0,4 0,94 0,96 0,98
0,5 0,92 0,95 0,98
0,6 0,91 0,94 0,97
0,7 0,89 0,93 0,96
0,8 0,88 0,92 0,96
0,9 0,86 0,91 0,96
1,0 0,85 0,90 0,95
──────────────────────────────────────────────────────────────────
2.6. Определение показателя содержания автомобильной дороги
2.6.1. Показатель содержания автомобильной дороги (Кэ) определяют в зависимости от оценки качества ее содержания, выполненной в соответствии с "Инструкцией по оценке качества содержания (состояния) автомобильных дорог" ВН 10-87, как среднегодовое значение за год, предшествующий периоду обследования дороги:
─────────────┬─────────────────┬────────────────┬─────────────────
Оценка │Значение показа- │Оценка качества │Значение показа-
качества │теля эксплуатаци-│ содержания по │теля эксплуатаци-
содержания по│онного содержания│ВН 10-87, баллов│онного содержания
ВН 10-87, │дороги Кэ │ │дороги Кэ
баллов │ │ │
─────────────┴─────────────────┴────────────────┴─────────────────
4,91 - 5,0 1,1 3,81 - 3,9 0,90
4,81 - 4,9 1,09 3,71 - 3,8 0,85
4,71 - 4,81 1,08 3,61 - 3,7 0,80
4,61 - 4,7 1,07 3,51 - 3,6 0,75
4,51 - 4,6 1,06 3,41 - 3,5 0,70
4,41 - 4,5 1,04 3,31 - 3,4 0,65
4,31 - 4,4 1,03 3,21 - 3,3 0,60
4,21 - 4,3 1,02 3,11 - 3,2 0,55
4,11 - 4,2 1,01 3,01 - 3,1 0,52
4,01 - 4,1 1,0 менее 3 0,50
3,91 - 4,0 0,95
──────────────────────────────────────────────────────────────────
2.7. Общая оценка качества и состояния автомобильных дорог
2.7.1. Величину обобщенного показателя качества и состояния каждой дороги (участка дороги) определяют по
формуле 2.1.
Степень соответствия фактически обеспеченных всей дорогой транспортно-эксплуатационных показателей или потребительских свойств (Пд) нормативным требованиям оценивают по относительному показателю качества дороги:

. (2.25)
Дорога полностью соответствует нормативным требованиям, когда Кд >= 1.
2.7.2. Прирост обобщенного показателя качества дороги вычисляют по формуле

, (2.26)
где:

,

- обобщенные показатели качества дороги на начало и конец рассматриваемого периода.
Результаты расчетов заносят в карточку оценки качества автомобильной дороги (участка дороги), форма которой приведена в табл. 2.18.
Таблица 2.18
Карточка оценки качества автомобильной дороги
(участка дороги)
_____________________________________________________________________________
(наименование автомобильной дороги, участка)
протяженность __________ км, _______________________________________ значения
(общего, респ., обл., мест.)
категория дороги ____________________; тип покрытия _________________________
Нормативное и предельно допустимое значение комплексного показателя КП =
н
_______________________; КП = __________________
п
─────┬─────────┬────────┬──────────────┬───────────────┬──────────
Дата │Обобщен- │Прирост │ Протяженность│Протяженность │Подпись
оцен-│ный │показа- │ участков с │участков с по- │ответст-
ки │показа- │теля │ показателем │казателем ка- │венного
│тель │качества│ качества │чества меньше │за оценку
│качества │Дельта │ меньше │предельно │качества
│дороги П │П │ нормативного │допустимого │или прове-
│ д│ д ├─────┬────────┼─────┬─────────┤ряющего
│ │ │ км │ доля % │ км │ доля от │
│ │ │ │ │ │ общей │
│ │ │ │ │ │ длины, %│
─────┼─────────┼────────┼─────┼────────┼─────┼─────────┼──────────
1 │ 2 │ 3 │ 4 │ 5 │ 6 │ 7 │ 8
─────┴─────────┴────────┴─────┴────────┴─────┴─────────┴──────────
2.7.3. Обобщенный показатель качества и состояния дорожной сети определяют по формуле:

, (2.27)
где:

- значение фактического комплексного показателя состояния сети автомобильных дорог, вычисленное в соответствии с
п. 2.3.2.

и

- средневзвешенные значения показателей инженерного оборудования и обустройства и показателя эксплуатационного содержания дорог.
2.7.3.1. Средневзвешенное значение показателя инженерного оборудования и обустройства сети дорог определяют по формуле:

, (2.28)
где:

- значение показателя инженерного оборудования и обустройства для каждой i-ой дороги;

- длина каждой дороги;

- общая протяженность сети дорог, км; n - число дорог.
Аналогично определяют значение

.
2.7.4. Показатель качества дорожной сети по отношению к нормативным требованиям определяют по формуле

, (2.29)
где

- средняя величина нормативного комплексного показателя транспортно-эксплуатационного состояния сети дорог (см.
п. 2.3.2).
Сеть дорог полностью соответствует требованиям к качеству, когда

>= 1.
2.7.5. Прирост обобщенного показателя качества дорожной сети вычисляют по формуле:

. (2.30)
Результаты расчетов заносят в карточку оценки качества сети автомобильных дорог, обслуживаемых автодором, упрдором, ДРСУ и т.д. (табл. 2.19).
Таблица 2.19
Карточка оценки качества сети автомобильных дорог
_____________________________________________________________________________
(название автодора, ДРСУ и т.д.)
Протяженностью ____________ км
Нормативное и предельно допустимое значение комплексного показателя КП =
нс
____________ КП = 0,75 КП = ________________
нс нс
─────┬────────┬─────────┬──────────────┬──────────────┬───────────
Дата │Обобщен-│Прирост │Протяженность │Протяженность │Подпись
оцен-│ный │показа- │ участков с │участков с │ответствен-
ки │показа- │теля │ показателем │показателем │ного за
│тель │качества │ качества │качества мень-│оценку
│качества│Дельта П │ меньше │ше предельно │качества
│сети │ с│ нормативного │допустимого │или прове-
│дорог П │ ├─────┬────────┼─────┬────────┤ряющего
│ с│ │ км │ доля, %│ км │ доля, %│
─────┴────────┴─────────┴─────┴────────┴─────┴────────┴───────────
2.7.6. На основании анализа оценки качества автомобильных дорог и дорожной сети намечают основные пути повышения транспортно-эксплуатационных свойств дорог, последовательность и очередность выполнения работ по реконструкции, ремонту и содержанию.
Динамика изменения показателей качества дорог во времени характеризует эффективность деятельности дорожных организаций по содержанию и ремонту дорог.
3. ОРГАНИЗАЦИЯ СЛУЖБЫ ДИАГНОСТИКИ И ОЦЕНКИ
ТРАНСПОРТНО-ЭКСПЛУАТАЦИОННОГО СОСТОЯНИЯ АВТОМОБИЛЬНЫХ ДОРОГ
3.1. В соответствии с Техническими правилами ремонта и содержания автомобильных дорог (п. 3.1.1) обязанности по техническому учету и паспортизации автомобильных дорог и дорожных сооружений, учету движения, созданию и развитию автоматизированного банка данных о состоянии дорог и мостов возлагаются на подразделения дорожно-эксплуатационной службы. Временной классификацией работ по ремонту и содержанию автомобильных дорог общего пользования (Приказ Минавтодора РСФСР от 16.06.88 N 72-ОР) работы по обследованию и определению транспортно-эксплуатационных характеристик автомобильных дорог и искусственных сооружений, их испытанию и диагностике в полном объеме включены в ремонт дорог, а отдельно учет движения и другие наблюдения, необходимые для правильной организации службы по содержанию дорог, технический учет, инвентаризация и паспортизация дорог и дорожных сооружений включены в состав работ по содержанию.
3.2. Все работы по диагностике и оценке транспортно-эксплуатационного состояния дорог и дорожных сооружений дорожная служба выполняет собственными силами или с привлечением проектных, проектно-технологических, научных организаций, высших учебных заведений, кооперативов и других организаций.
3.3. Одной из наиболее эффективных форм организации работ по диагностике и оценке состояния дорог является создание хозрасчетной службы диагностики состояния автомобильных дорог с целью обеспечения дорожных организаций объективной информацией о технических параметрах, характеристиках и транспортно-эксплуатационном состоянии автомобильных дорог, а также оценки этого состояния, необходимой для разработки мероприятий и планов по ремонту и содержанию дорог.
3.4. Служба диагностики транспортно-эксплуатационного состояния автомобильных дорог обеспечивает решение следующих задач:
- сбор объективной информации о техническом уровне, инженерном оборудовании и обустройстве, эксплуатационном состоянии автомобильных дорог и дорожных сооружений;
- сбор информации о планово-предупредительных и ремонтно-восстановительных работах и мероприятиях на обслуживаемой сети дорог;
- оценка качества автомобильных дорог и уровня их содержания, выявление участков, не соответствующих нормативным требованиям, места их расположения, протяженности, степени и основных причин несоответствия;
- разработка прогноза изменения состояния дорог и предложений по повышению транспортно-эксплуатационного состояния, определение видов основных ремонтных работ, их состава и очередности выполнения;
- создание и развитие автоматизированного банка дорожных данных, обработка, хранение и выдача информации о транспортно-эксплуатационном состоянии дорог, связь с другими информационно-поисковыми системами.
3.5. Основной структурной единицей службы диагностики транспортно-эксплуатационного состояния автомобильных дорог является дорожная испытательная (диагностическая) станция (ДИС), оснащенная передвижными лабораториями, приборами и другой аппаратурой для измерения параметров дорог и определения их состояния (табл. 3.1). Одна диагностическая станция обслуживает около 10 тыс. км дорог.
Таблица 3.1
Перечень технических средств диагностической станции
───┬───────────────────────────────────────────────────┬──────────
NN │ Наименование │ Кол-во
пп │ │
───┼───────────────────────────────────────────────────┼──────────
1 │ 2 │ 3
───┴───────────────────────────────────────────────────┴──────────
1. Лаборатория КП-511 для измерения ровности и 2
скользкости дорог
2. Лаборатория КП-502 МП для измерения прочности 1
нежестких одежд
3. Лаборатория КП-208 для измерения основных 1
геометрических параметров
4. Прибор ППК-2 для измерения коэффициента сцепления 2
на сложных участках дорог
5. Прогибомер КП-204 для измерения прочности дорожной 1
одежды методом статического нагружения
6. Прибор Васильева для измерения влажности предела 2
текучести грунта
7. Набор бюксов 100
8. Сушильный шкаф 2
9. Стационарные посты для определения температуры 8 - 10
грунта земляного полотна
10. Весы 1 кл. электронные ВЛК-500 2
11. Персональная ЭВМ типа IBM PC/AT 1
12. Дискеты для накопления информации 100
13. Микрофот (прибор для просмотра кино-, фотоматериала) 1
14. Комплект вспомогательного оборудования для 1
обслуживания передвижных лабораторий
──────────────────────────────────────────────────────────────────
3.6. Состав диагностических станций включает группу дорожно-полевых обследований (8 - 12 чел.), группу обработки и оформления выходных материалов (6 - 9 чел.), бригаду по ремонту и профилактическому обслуживанию передвижных лабораторий (4 - 6 чел.).
3.7. Результаты измерения параметров дорог диагностическими станциями преобразовываются к виду, пригодному для ввода в банк данных, записываются на промежуточный магнитный носитель (гибкий магнитный диск), передаются заказчику и в автоматизированный банк данных, где они хранятся и накапливаются.
3.8. Автоматизированные банки дорожных данных (АБДД) организуют в органе управления сетью дорог области или автомобильной дорогой. Технической базой АБДД является персональная ЭВМ. Банк оснащается комплексом программ по обработке результатов измерения параметров дорог в ЭВМ, решению информационно-поисковых задач (поиск и выдача по запросу значений параметров дороги, распечатка формуляров технического паспорта дороги, выделение участков со значениями параметров ниже нормативных и др.), расчету единого показателя качества дороги (дорог) и его составляющих, выявлению причин снижения транспортно-эксплуатационных качеств, назначению дорожно-ремонтных работ и определению их объемов, а также формированию интегрированной информации для передачи на высший уровень управления и статотчетности. Автоматизированный банк дорожных данных обслуживает один человек.
3.9. Автоматизированный банк дорожных данных работает в режиме пользователя, режиме оператора и режиме администратора, которые различаются возможностями внесения изменений (корректив) в содержимое базы данных.
3.9.1. Режим пользователя рассчитан на инженерно-технический персонал дорожных организаций, род деятельности которых связан с оценкой состояния дорог, планированием ремонтных работ, решением вопросов повышения технического уровня дорог и развития дорожной сети. Эксплуатация банка данных в режиме пользователя не требует специальных знаний в области вычислительной техники, но при помощи системы вспомогательных инструкций (подсказок) позволяет решить на ЭВМ любую задачу, связанную с оценкой состояния дороги, расчетом комплексного показателя качества дороги, назначением видов ремонтных работ, получением информации о параметрах дорог и т.д. Работа в режиме пользователя не позволяет добавлять или изменять информацию о параметрах обследованных дорог и вносить изменения в эксплуатируемые программы.
3.9.2. Режим оператора ориентирован на инженера-дорожника, изучившего структуру базы данных, инструкции по эксплуатации программного обеспечения, требования по подготовке исходных данных для ввода информации в банк, инструкции по анализу и исправлению ошибок в данных, выявляемых в процессе загрузки информации. Режим оператора позволяет вносить изменения в содержимое базы данных о параметрах транспортно-эксплуатационного состояния дорог, но не позволяет изменить структуру базы данных, внести коррективы в программное управление (обеспечение).
3.9.3. Режим администратора банка данных имеет наиболее полные функциональные возможности. Помимо функций, указанных в п. 3.9.2 и 3.9.3, можно изменять базу данных, а также вносить изменения в программное обеспечение. Режим рассчитан на специалиста в области программирования на ПЭВМ, знающего структуру базы данных и освоившего базовую систему управления (СУБД Клиппер или ей подобные). Администратор банка данных - это специалист, работающий в центральной диагностической станции, который решает вопросы поддержания и развития банка.
4. ТЕХНОЛОГИЯ ДИАГНОСТИКИ АВТОМОБИЛЬНЫХ ДОРОГ
4.1.1. Технология диагностики представляет собой последовательность методических приемов и способов обследования дорог и дорожных сооружений, анализа результатов обследования и расчета показателей оценки качества дорог и уровня их содержания.
4.1.2. Технологический процесс диагностирования автомобильных дорог может быть разбит на этапы:
- подготовительный;
- полевых обследований;
- обработки материалов полевых обследований и комплексной оценки транспортно-эксплуатационных показателей дорог.
4.2. Подготовительный период
4.2.1. Определяют планируемый объем полевых обследований дорог. В него включают вновь построенные автомобильные дороги, реконструирование и отремонтированные участки, а также участки очередного измерения переменных транспортно-эксплуатационных характеристик на эксплуатируемых дорогах, согласно установленной периодичности обновления информации. Уточняют категории дорог и участков дорог.
4.2.2. Собирают и анализируют проектную, исполнительскую документацию, технические паспорта на обследуемые дороги, а также материалы предыдущих обследований и информацию, содержащуюся в автоматизированном банке данных.
Всю протяженность обследуемых дорог предварительно разбивают на участки с разными сроками строительства, шириной проезжей части и числом полос движения, конструкциями дорожной одежды и земляного полотна, условиями водно-теплового режима, эксплуатации, интенсивностью и составом движения транспортных средств.
Выбирают сведения о наличии характерных участков дороги (мосты, путепроводы, элементы инженерного оборудования, съезды, транспортные развязки и др. ) Выписывают данные о пикетажном местоположении точек начала участков дорог, запланированных для обследований.
4.2.3. На основе анализа исполнительской документации на реконструированные или отремонтированные участки дорог устанавливают их протяжение. При этом границы для проведения полевых обследований принимают с перекрытием и совмещают с постоянными, легко опознаваемыми точками на дороге. Устанавливают пикетажное местоположение этих точек по существующему километражу. Из общесоюзного классификатора выписывают коды автомобильных дорог.
4.2.4. При первичном обследовании заготавливают форму линейного графика оценки качества дорог и заносят в него предварительную исходную информацию, полученную из проектной, исполнительной документации, технических паспортов, из автоматизированного банка дорожных данных. Заготавливают формы полевых журналов, таблиц, схем и других материалов для полевых обследований.
4.2.5. Запрашивают в вычислительном центре и получают из информационно-поисковой системы ИПС МОСТ данные о характеристиках и состоянии мостов и путепроводов на обследуемых дорогах. Для оценки состояния дороги необходима следующая информация по каждому мосту:
- местоположение, габарит, длина моста;
- год постройки;
- данные о материале пролетного строения и опор;
- расчетная нормативная нагрузка;
- фактическая грузоподъемность;
- характеристика состояния моста по данным последнего обследования.
Сопоставляют полученные данные с данными технической проектной и исполнительной документации по мостам, имеющимся в дорожных организациях.
4.2.6. По данным учета движения, имеющимся в дорожно-эксплуатационной организации или в автоматизированном банке данных за последние 3 - 5 лет, устанавливают интенсивность и состав транспортных потоков на каждом характерном участке дороги. Намечают места контрольного учета движения.
4.2.7. По данным учета дорожно-транспортных происшествий, имеющегося в дорожно-эксплуатационной организации, устанавливают количество, виды, места и основные причины ДТП на данной дороге за последние 3 года с выделением происшествий по вине дорожных условий. Данные о дорожно-транспортных происшествиях могут быть получены также в Главном Управлении ГАИ МВД СССР, в республиканском, областном управлении ГАИ или в районном отделении ГАИ, обслуживающем данный участок дороги.
4.2.8. По данным дорожно-эксплуатационных организаций, обслуживающих дорогу, устанавливают среднегодовую оценку качества содержания дорог (участков дорог) в баллах за год, предшествующий обследованию дороги.
4.2.9. Все полученные данные заносят в формы и таблицы, удобные для пользования и дальнейшего ввода в ЭВМ.
4.2.10. По климатическим справочникам и данным гидрометеостанций устанавливают среднюю многолетнюю дату перехода среднесуточной температуры воздуха через ноль (для весеннего расчетного периода), которую уточняют по погодно-климатическим особенностям прошедшего зимнего и наступившего весеннего периодов.
4.2.11. Составляют схему обследуемых автомобильных дорог. Оценивают объемы дорожно-полевых работ. Исходя из имеющегося технического обеспечения, объемов работ и ограничений по срокам определяют количество и состав бригад для выполнения обследований.
4.2.12. Определяют базовые места дислокации лабораторий и бригад на время производства полевых работ. Устанавливают последовательность и сроки проведения обследований как по видам работ, так и по участкам. Составляют линейный календарный график дорожно-полевых обследований с учетом особенностей их выполнения.
4.2.13. При установлении порядка и сроков проведения дорожно-полевых работ исходят из того, что наиболее трудоемки и малопроизводительны испытания прочности дорожных одежд. Кроме того, выполнение их жестко ограничено во времени: от начала интенсивного снеготаяния (переход среднесуточной температуры через ноль) до момента стабилизации водно-теплового режима земполотна. Величина этого периода составляет примерно 1 месяц. Измерению прочности дорог должна предшествовать визуальная оценка состояния покрытия, по результатам которой уточняют границы характерных участков, назначают точки для контрольных испытаний, определяют частоту измерений по длине дороги. Дорожно-полевые работы начинают с южных и западных участков дорог, где раньше начинается период интенсивного снеготаяния. Затем (или одновременно) измеряют ровность, скользкость покрытия, геометрические параметры, оценивают состояние инженерного оборудования дороги и другие работы согласно методике.
4.2.14. Измерение коэффициента сцепления может проводиться только при положительных температурах воздуха. Ровность измеряется в любое время года, кроме зимнего периода. Кинофотосъемку деформаций и разрушений покрытия дорог целесообразно проводить в весенне-летний период и осенью при наибольшей освещенности. Измерение геометрических параметров дорог практически возможно в любое время года при условии, что дорога не занесена снегом.
4.2.15. В период подготовки к обследованиям проверяют техническое состояние передвижных лабораторий, работоспособность измерительной и регистрирующей аппаратуры. Осуществляют профилактическое обслуживание и ремонт, тарировку и метрологическую проверку. Лаборатории укомплектовывают необходимым количеством диаграммных и перфораторных лент, чернил, комплектами ЗИП и др. Производят инструктаж по технике безопасности. При необходимости организуют обучение бригад.
4.2.16. Организуют базы для проведения дорожно-полевых работ. Обеспечивают бригады жильем, устанавливают места хранения оборудования и материалов. С руководством дорожно-эксплуатационных подразделений, обслуживающих дорогу, согласовывают выделение рабочих для доукомплектования бригад, выделение автомобилей для создания расчетной нагрузки на дорожную одежду при испытаниях ее прочности методом статического нагружения, выделение поливомоечной машины для дозаправки водой баков передвижной лаборатории КП-514 (КП-511), при измерениях коэффициента сцепления с поливом покрытия дороги.
4.3. Полевые обследования
4.3.1. Полевые обследования состоят в осмотре и визуальной оценке состояния дорог и дорожных сооружений, а также в инструментальных измерениях параметров и транспортно-эксплуатационных характеристик в объемах, необходимых для комплексной оценки качества дорог и уровня их содержания, указанных в соответствующих разделах настоящих Правил.
4.3.2. Полевые обследования проводят в теплый период года, как правило, комбинированным способом: визуальный осмотр с простейшими измерениями и детальное обследование с применением передвижных лабораторий.
4.3.3. В начале полевых обследований осуществляют рекогносцировочный осмотр дороги, в процессе которого уточняют:
- местоположение начала и конца характерных участков дороги, основных населенных пунктов, мостов и путепроводов, пересечений с крупными водными преградами и железными дорогами и т.п.;
- местоположение участков дороги, для которых отсутствует исходная информация в технической документации;
- места проведения детального инструментального обследования транспортно-эксплуатационных параметров.
4.3.4. Полевые обследования проводят в соответствии с указаниями и методиками измерения основных параметров дорог, приведенных в Приложениях к настоящим Правилам.
В процессе полевых обследований определяют и уточняют:
- длину дороги и ее характерных участков, длины прямых и кривых в плане, радиусы кривых в плане, наличие виража и его поперечный уклон;
- продольные уклоны и видимость поверхности дороги;
- высоту насыпей, тип местности по увлажнению;
- ширину проезжей части, краевых укрепленных полос, ширину обочин, в том числе ширину укрепленной и неукрепленной части обочин;
- тип и состояние дорожной одежды и покрытия на проезжей части, на краевых полосах и обочинах;
- ровность и коэффициент сцепления колеса автомобиля с дорогой;
- дефектность покрытия на всем протяжении и прочность дорожной одежды на участках, где визуально установлено наличие трещины, колейности, просадок или проломов, а коэффициент обеспеченности расчетной скорости по ровности меньше нормативного для данной категории дороги;
- интенсивность и состав движения;
- фактические габариты и грузоподъемность мостов, их длину;
- местоположение и степень соответствия требованиям СНиП и других нормативных документов площадок отдыха, автозаправочных станций, мотелей и кемпингов, а также пересечений с автомобильными и железными дорогами, автобусных остановок, ограждений, тротуаров и пешеходных дорожек.
4.3.5. При отсутствии достоверных данных об оценке качества содержания указанную оценку выполняют в процессе полевых обследований в соответствии с Инструкцией по оценке качества содержания (состояния) автомобильных дорог ВН 10-87, Минавтодор РСФСР, М.: ЦБНТИ Минавтодора РСФСР, 1990. - 22 с.
В этом случае всю необходимую информацию для оценки также собирают в процессе полевых обследований.
4.3.6. Полные первичные обследования проводят, как правило, в следующей последовательности:
визуальный осмотр и обследования;
определение параметров геометрических элементов дороги;
оценка ровности дорожного покрытия;
оценка сцепных качеств дорожного покрытия;
оценка прочности дорожной одежды;
обследование состояния инженерного оборудования и обустройства;
уточнение интенсивности и состава движения;
уточнение оценки уровня эксплуатационного содержания.
При этом отдельные виды работ могут выполняться одновременно.
4.3.7. Инструментальную съемку геометрических параметров дороги проводят по сквозному километражу от начала до конца обследуемой дороги (участка) с оформлением пикетажной книжки, в которой ведется учет всех параметров элементов дорожного полотна и дорожных сооружений.
На первой странице пикетажной книжки указывают должности, фамилии, инициалы руководителя бригады и исполнителей, а также адрес и телефон организации, выполняющей работы.
4.3.8. Все полевые записи выполняют отчетливо, карандашом в заранее заготовленные формы, таблицы и журналы. При исправлении неправильно записанное зачеркивают и сверху или рядом делают новую запись. Стирать неправильно записанное запрещается. На каждом документе полевых записей указывают время (число, месяц, год) внесения записи и отчетливую подпись лица, сделавшего их.
4.3.9. Обследования инженерного оборудования и обустройства дорог осуществляют во время общего визуального осмотра дороги или организуют отдельный проезд автомобиля с наблюдателями. Движение осуществляют с остановками у каждого элемента инженерного оборудования и обустройства. При этом определяют все параметры и характеристики, необходимые для оценки дефектности каждого указанного элемента, которые заносят в специальные журналы.
Главная задача этого обследования состоит в определении дефектности инженерного оборудования и обустройства.
При соблюдении всех нормативных требований делают отметку о том, что данный элемент инженерного оборудования соответствует требованиям СНиП. При наличии каких-либо отклонений указывают, что нормативные требования не соблюдены, отмечают, какие именно отклонения имеются и какие мероприятия следует выполнять, чтобы устранить дефекты.
Для оценки качества содержания дороги одновременно заполняют ведомость дефектов в соответствии с указаниями Инструкции по оценке качества содержания (состояния) автомобильных дорог ВН 10-87.
Для определения показателя инженерного оборудования и обустройства дорог кроме информации, соответствующей требованиям ВН 10-87 по каждому элементу инженерного оборудования и обустройства, собирают данные, изложенные в п. 4.3.9.1 -
4.3.9.7.
4.3.9.1. По пересечениям и примыканиям автомобильных дорог в одном и разных уровнях, а также пересечениям с железными дорогами устанавливают:
- местоположение (км, плюс);
- степень соответствия требованиям
п. 5.1 -
5.18 СНиП 2.05.02-85 к параметрам, расположению и оборудованию.
Отдельно выделяют неорганизованные ("дикие") съезды и переезды, а также пересечения с улицами и въездами во дворы в населенных пунктах, по которым указывают местоположение (км, плюс, справа, слева) и краткую характеристику (неорганизованный съезд, въезд во двор и т.д.).
4.3.9.2. По дорожным ограждениям устанавливают:
- их наличие и протяженность с каждой стороны дороги, начало и конец (км, плюс) на каждом участке, lф, м;
- необходимую протяженность в соответствии с требованиями
п. 9.3,
9.4 и
9.9 СНиП 2.05.02-85, а также п. 5.1 и 5.2 ГОСТ 2357-86; lн, м.
4.3.9.3. По автобусным остановкам устанавливают местоположение и степень соответствия требованиям
п. 10.8 и
10.9 СНиП 2.05.02-85 параметров автобусных остановок на каждом участке дороги. Из общего количества N остановок выделяют количество остановок, полностью соответствующих требованиям СНиП, - Nн.
4.3.9.4. По площадкам отдыха определяют нормативное расстояние между площадками отдыха для данной категории дороги в соответствии с
п. 10.11 СНиП 2.05.02-85, lн, и количество площадок отдыха, соответствующих требованиям СНиП, на данной дороге, или участке дороги,

.
4.3.9.5. По тротуарам и пешеходным дорожкам вдоль дороги в населенных пунктах определяют:
- требуемую в соответствии с
п. 10.2.3 и
10.2.4 ВСН 25-86 протяженность тротуаров и пешеходных дорожек, lн м;
- фактическую протяженность, lф, м.
4.3.9.6. По автозаправочным станциям устанавливают:
- нормативное расстояние между АЗС в соответствии с
п. 10.12 СНиП 2.05.02-85, lн, км;
- фактическое количество АЗС на дороге или участке дороги, r.
4.3.9.7. По мотелям и кемпингам устанавливают:
- нормативное расстояние между мотелями и кемпингами в соответствии с
п. 10.15 СНиП;
- фактическое количество мотелей и кемпингов на дороге.
4.3.10. Работы по обследованию автомобильных дорог относятся к категории опасных. Все лица, участвующие в этой работе, должны строго и неуклонительно соблюдать действующие правила техники безопасности при строительстве, ремонте и содержании дорог, а также другие ведомственные правила и инструкции. При выполнении работ по обследованию непосредственно на дороге должны соблюдаться требования инструкции по организации движения и ограждению мест производства работ. В случае использования новых приемов труда и передвижных лабораторий, для которых требования техники безопасности не предусмотрены, следует соблюдать требования специально разработанных для таких случаев инструкций и указаний, утвержденных администрацией организаций по согласованию с технической инспекцией местного профсоюза.
4.4. Обработка материалов полевых обследований
4.4.1. Обработка материалов полевых обследований делится на два этапа: предварительную, которую выполняют в полевых условиях, и окончательную, которую выполняют в камеральных условиях.
4.4.2. Предварительную обработку материалов полевых обследований производят ежедневно после выполнения непосредственных измерений и наблюдений. При этом проверяют правильность записей в журналах и ведомостях, сверяют фактическое местоположение характерных участков и фактические данные о параметрах дороги с данными, полученными на подготовительном этапе из технической документации, и материалами ранее выполненных обследований, производят статистическую обработку измерений, заносят результаты обработанных измерений в формы, журналы и линейные графики и т.д.
4.4.3. К камеральным работам относят построение линейного графика показателя качества автомобильной дороги, включающего в себя комплексный показатель транспортно-эксплуатационного состояния, показатель инженерного оборудования и обустройства и показатель содержания дороги по установленной форме (
Приложение 1).
Завершают камеральную обработку составлением карточек оценки качества автомобильной дороги и сети автомобильных дорог.
4.4.4. Все документы технического учета и диагностики ТЭС АД должны быть составлены отдельно по каждой дороге по установленным формам и в соответствии с установленными условными обозначениями, с учетом изменений, происшедших после окончания полевых работ, по состоянию на 1 января следующего года.
4.4.5. Конкретные указания о порядке обработки материалов полевых обследований по каждому виду обследований приведены в
Приложениях 2 -
6.
4.4.6. При автоматизированной обработке полученная в результате измерений информация о технических параметрах и эксплуатационном состоянии дорог из ведомостей вводится в персональную ЭВМ и записывается в виде соответствующих файлов на гибкий магнитный диск и загружается в автоматизированный банк для оперативного доступа и дальнейшего использования.
5. АНАЛИЗ РЕЗУЛЬТАТОВ ОЦЕНКИ ТРАНСПОРТНО-ЭКСПЛУАТАЦИОННОГО
СОСТОЯНИЯ АВТОМОБИЛЬНЫХ ДОРОГ И ОПРЕДЕЛЕНИЕ
ВИДОВ ДОРОЖНО-РЕМОНТНЫХ РАБОТ
5.1. Результаты диагностики дорог используют при назначении вида и очередности дорожно-ремонтных работ. В качестве исходной информации используют данные о частных коэффициентах обеспеченности расчетной скорости на характерных участках обследованной автомобильной дороги. Сопоставляя значения частных коэффициентов с нормативными значениями, определяют участки, подлежащие ремонту. В этих целях составляют ведомость показателей оценки качества (табл. 5.1) с выделением участков, на которых величина показателя качества больше нормативного (Пд > КПн), находится в пределах от предельно допустимого до нормативного (КПп < Пд < КПн), и участки, где показатель оценки качества дороги меньше предельно допустимого (Пд < КПп).
Таблица 5.1
Показатели транспортно-эксплуатационного состояния
автомобильной дороги (участка дороги)
__________________________________ значения; категория ______________________
Нормативные значения комплексного показателя КПн =
Предельно допустимое значение комплексного показателя КПп =
────────────────────────┬──────────────────────┬─────────────────────┬────────────┬──────────
Характерные по состоянию│ Значение показателя │Значение комплексного│Показатель │Основные
участки дороги │ качества Пд │ показателя, КПд │инженерного │рекоменда-
───────┬───────┬────────┼──────┬────────┬──────┼──────┬────────┬─────│оборудования│ции по со-
от км +│до км +│ длина, │больше│в преде-│меньше│больше│в преде-│мень-┤и обустрой- │держанию и
│ │ км │ КПн │лах от │ КПп │ КПн │лах от │ше │ства Коб │ремонту
│ │ │ │КПп до │ │ │КПп до │КПп │ │дороги
│ │ │ │КПн │ │ │КПн │ │ │
───────┴───────┴────────┴──────┴────────┴──────┴──────┴────────┴─────┴────────────┴──────────
5.2. Анализируя данные оценки качества, приведенные в табл. 5.1, выявляют главные причины снижения качества и назначают основные группы работ по повышению транспортно-эксплуатационных характеристик дороги в соответствии с табл. 5.2.
Таблица 5.2
────────────────────────────────────┬─────────────────────────────
Значения фактических показателей │ Рекомендуемые группы работ
оценки состояния и уровня содержания│
──────────┬─────────┬───────┬───────┤
Итоговый │Комплекс-│Показа-│Показа-│
показатель│ный по- │тель │тель │
качества │казатель │инже- │эксплу-│
дороги, Пд│состоя- │нерного│атаци- │
│ния доро-│обору- │онного │
│ги, КПд │дования│содер- │
│ │и обус-│жания, │
│ │тройст-│Кэ │
│ │ва, Коб│ │
│ │ │ │
──────────┼─────────┼───────┼───────┼─────────────────────────────
1 │ 2 │ 3 │ 4 │ 5
──────────┴─────────┴───────┴───────┴─────────────────────────────
Выше или >= КПн 1 <>1 Работы по уходу за дорогой
равен
норматив-
ному
Ниже нор- >= КПн 1 < 1 Повышение качества содержания
мативного, >= КПн < 1 >= 1 Повышение уровня инженерного
но выше оборудования и обустройства
предельно
допусти-
мого
" >= КПн < 1 < 1 Повышение уровня инженерного
оборудования и обустройства,
а также качества содержания
" < КПн 1 >= 1 Ремонт дороги с улучшением
отдельных параметров
" < КПн < 1 >= 1 Ремонт дороги и инженерного
оборудования, с улучшением
отдельных параметров
" < КПн < 1 < 1 Ремонт дороги и инженерного
оборудования, а также
повышение качества содержания
Ниже >= КПп 1 < 1 Немедленное повышение
предельно качества содержания с
допусти- последующим ремонтом дороги
мого
" >= КПп < 1 >= 1 Первоочередное улучшение
инженерного оборудования и
обустройства или ремонт
дороги
" >= КПп < 1 < 1 Немедленное повышение качест-
ва содержания и улучшение
инженерного оборудования и
обустройства с последующим
ремонтом всей дороги
" < КПп <= 1 >< 1 Немедленный ремонт или
реконструкция дороги
──────────────────────────────────────────────────────────────────
Критерии назначения основных групп работ по результатам
оценки состояния и уровня содержания дорог
5.3. На участках, где фактическая величина Пф меньше нормативного значения КПн, переходят к анализу составляющих комплексного показателя качества.
5.4. Анализируют фактическое значение показателя содержания дорог Кэ на данном участке дороги, где значение Пд меньше КПн. Если значение Кэ меньше 1,0, необходимо принимать меры по повышению качества содержания дороги с тем, чтобы показатель оценки качества содержания дороги составлял не менее 4,0 баллов.
5.5. Проводят анализ фактического значения величины показателя инженерного оборудования и обустройства. Если фактическое значение Коб меньше 1, значит один (или несколько) из частных коэффициентов состояния инженерного оборудования и обустройства не соответствуют нормативному значению и требуется анализ частных коэффициентов.
5.6. По линейному графику оценки качества дороги проводят анализ частных коэффициентов состояния инженерного оборудования, выявляют конкретные причины снижения их величины (устанавливают причины дефектности) и назначают мероприятия по устранению дефектов инженерного оборудования и обустройства с целью доведения его до нормативных требований.
5.7. На участках, где величина комплексного показателя транспортно-эксплуатационного состояния КПд меньше нормативного КПп и меньше предельно допустимого КПн, анализируют значения всех частных коэффициентов, характеризующих ТЭС АД, выявляют элементы и параметры дороги, по которым частные коэффициенты меньше нормативного или предельно допустимого, выявляют причины этого снижения и назначают конкретные мероприятия на каждом участке так, чтобы достичь нормативного значения частного показателя по каждому элементу или параметру на каждом участке дороги.
5.8. Значения параметров и характеристик дорог, необходимые для приведения дороги в соответствие с нормативными требованиями, могут быть назначены по таблицам оценки влияния этих параметров на частные коэффициенты обеспеченности расчетной скорости, приведенным в
разделе 2 настоящих Правил.
5.9. При назначении видов работ на каждом участке дороги необходимо учитывать тот факт, что во многих случаях один вид работ позволяет одновременно улучшить несколько показателей. Так, например, укладка выравнивающего слоя и дополнительного слоя асфальтобетона для улучшения ровности (повышения величины Крс6) позволяет одновременно повысить сцепные качества покрытия (значение Крс7), и нет необходимости назначать другие виды работ на этом участке для повышения коэффициента сцепления.
Укрупненный перечень основных взаимовлияющих видов работ приведен в табл. 5.3.
────────────┬────────────────────────────┬────────────────────────
Частный │ Виды работ по ремонту │ Одновременно повышаются
коэффициент│ участка дороги при │ следующие показатели
Крсj, по │ Крсj < КПн │
которому │ │
назначают │ │
вид работы │ │
────────────┼────────────────────────────┼────────────────────────
Крс2 │ Укрепление обочин │Крс10
Крс3 │ Уширение проезжей части, │Крс2, Крс4 - Крс8, Крс10
│ устройство укрепленных │
│ полос │
Крс4 │ Смягчение продольного │Крс2, Крс5 - Крс8, Крс10
│ уклона │
Крс5 │ Увеличение радиусов │Крс2, Крс4, Крс6 - Крс8,
│ кривых в плане или │Крс10
│ спрямление участков │
│ дороги │
Крс6 │ Устройство выравнивающего │Крс7, Крс8, Крс10
│ слоя с поверхностной │
│ обработкой или с │
│ укладкой нового слоя │
│ покрытия │
Крс7 │ Устройство поверхностной │Крс8, Крс10
│ обработки │
Крс8 │ Усиление дорожной одежды │Крс6, Крс7, Крс10
Крс9 │ Усиление и уширение мостов│Крс10
────────────┴────────────────────────────┴────────────────────────
Примечание. Влияние Крс1 учитывается при решении вопроса по Крс3.
5.10. Для окончательного решения о конкретном составе ремонтных работ, их видах и объемах составляют проектно-сметную документацию, основанную на материалах оценки качества дорог и уровня ее содержания.
При наличии ограничений по финансовым или материально-техническим ресурсам может быть принято решение не о полном, а только о частичном ремонте дороги или о доведении показателя качества не до нормативного, а только до предельно допустимого уровня.
5.11. При полной обеспеченности денежными и материальными средствами очередность выполнения работ на отдельных участках назначают с использованием в качестве критерия величины затрат на перевозку грузов и пассажиров. Для практических целей используют условный показатель себестоимости Sу = Крсj x li, где Крсj - частный коэффициент обеспеченности расчетной скорости, а li - длина в км i-го участка дороги, подлежащего ремонту. В этом случае в первую очередь подлежат ремонту участки, для которых:

, (5.1)
где n - количество участков с частным коэффициентом обеспеченности расчетной скорости Крсj.
5.12. При ограниченных ресурсах возникает задача рационального распределения имеющихся денежных средств по ремонтируемым участкам дороги. В этом случае исправляют только те параметры дороги, которые способствуют наибольшему снижению транспортных издержек, не допуская значительных дополнительных затрат из-за недоремонта дороги. Т.е. критерием очередности выполнения ремонтных работ является:

, (5.2)
где Э - общий экономический эффект от проведения работ по ремонту дороги, руб.;

- экономия издержек на автомобильные перевозки (разница в затратах на перевозки до и после ремонта), руб.;

- дополнительные затраты на ремонт дорог из-за несвоевременности проведения работ или выполнения работ не в полном объеме.
5.12.1. Экономию издержек на автомобильные перевозки определяют как сумму этих издержек для различных типов автомобилей:

, (5.3)
где

- количество типов автомобилей в транспортном потоке;

- экономия издержек для данного типа автомобиля.
Величину экономии издержек для любого типа автомобиля на участке дороги длиной определяют по формуле:

, (5.4)
где Кгрj и Кпрj - коэффициенты использования грузоподъемности и пробега j-го типа автомобиля соответственно;
Nф - фактическая интенсивность движения транспортного потока, авт/сут;
Рj - доля j-го автомобиля;
Sперj, Sпостj - расчетные значения переменных и постоянных затрат в себестоимости пробега j-го автомобиля, коп./маш. км;
dj - часовая заработная плата водителя j-го автомобиля, коп/маш. ч;
Кi - коэффициент влияния дорожных условий;

- фактическая средняя скорость движения j-го автомобиля, км/ч.
Показатели Sперj, Sпостj, dj, Ki, Кпр и Кгр определяют в соответствии с
ВСН 21-83 Минавтодора РСФСР.
5.12.2. Дополнительные затраты на ремонт складываются из затрат на установку дополнительных дорожных знаков, предупреждающих и ограничивающих скорость движения автомобилей на участках, где не удается своевременно провести ремонтные работы, и затрат на усиление дорожной одежды и выравнивание покрытия в связи со снижением фактического модуля упругости дорожной конструкции:

, (5.5)
где в - количество полос проезжей части;
Вп - ширина полосы проезжей части, м;
Кт - территориальный коэффициент стоимости;
Zк - коэффициент, учитывающий затраты по другим видам работ, осуществляемых одновременно с работами по усилению одежд;
Еф - фактический модуль упругости дорожной конструкции, выявленный в результате диагностики автомобильных дорог, МПа;
Ефt - то же, с учетом снижения модуля упругости во времени из-за задержек с ремонтом дорожной одежды, МПа;
Енп = 0,08 - норматив для приведения разновременных затрат;
li - протяженность недостаточно прочного участка дороги, км.
С учетом того, что выделение денежных средств на ремонт сети автомобильных дорог осуществляется ежегодно, значения определяют по формуле:

. (5.6)
Входящее в формулу (5.6) значение Еi определяют по формуле:

, (5.7)
где Кпр, Крег,

, Кп, Хi, А, В,

,

- параметры, назначаемые в соответствии с
ВСН 52-89 Минавтодора РСФСР и учитывающие работу дорожных одежд в разных дорожно-климатических зонах и на дорогах разной категории;

- интенсивность движения на полосу в первый год после проведения диагностики, приведенная к расчетным автомобилям группы А, авт./сут.;
q - фактический показатель роста движения во времени (q > 1);
Тф - фактический срок службы дорожной одежды с модулем упругости Еф, годы.
Фактический срок службы определяют в соответствии с ВСН 52-89 (
формулы 4.1 и
4.2) при подстановке Етр = Еф, Кб = 1 и ti = Тф.
Формула
(5.7) справедлива при условии 5 <= Х <= 10000, где Х - выражение под логарифмом. В случае, если Х < 5, участок требует немедленного ремонта.
5.13. Оценку текущих затрат для рассматриваемой дороги осуществляют по каждому частному коэффициенту обеспеченности расчетной скорости. В результате выбирают для первоочередного ремонта участки, на которых достигается при рассматриваемом Крс2 наибольший эффект в соответствии с условием
(5.2). Если стоимость выполняемых работ по ремонту (Д) меньше выделяемых средств по ежегодной норме (Н), то анализу подлежат участки с другими частными Kpcj. При этом учитывается взаимное влияние выполняемых работ на величину рассматриваемых частных Крсj (
табл. 5.3).
Выбор участков для ремонта прекращается, когда:

, (5.8)
где

- количество рассмотренных частных коэффициентов обеспеченности расчетной скорости движения.
Если для улучшения состояния участков с рассматриваемым Крс имеется меньше денежных средств, чем требуется, то предпочтение отдается тем участкам, для которых Kpcgi x li = max. Для выполнения расчетов, изложенных в
пунктах 5.11 -
5.13, разработаны программы для ЭВМ.
5.14. При необходимости реконструкции участков дороги в рамках ремонта затраты на выполнение работ рассчитываются с использованием укрупненных показателей согласно действующим нормативам удельных капитальных вложений в строительство автомобильных дорог общего пользования.
Доведение качества дороги до нормативного уровня остается задачей последующего ремонта или реконструкции.
ТЭС УЧАСТКА АВТОМОБИЛЬНОЙ ДОРОГИ
II КАТЕГОРИИ И ПОРЯДОК ЕГО СОСТАВЛЕНИЯ (ПРИМЕР)
Для рассмотрения примера применения методики "Оценка качества и состояния автомобильных дорог" выбран участок автомобильной дороги II технической категории протяженностью 9 км (с 264 км по 273 км).
Оценка показателя качества автомобильных дорог включает три этапа:
1) сбор объективной информации о транспортно-эксплуатационных параметрах автомобильной дороги, элементах инженерного оборудования и обустройства, а также качестве содержания;
2) построение линейного графика транспортно-эксплуатационного состояния участка автомобильной дороги;
3) расчет показателя качества для участка автомобильной дороги.
В настоящем примере сбор информации о транспортно-эксплуатационном состоянии участка автомобильной дороги выполнен инструментальными и визуальными методами.
По результатам оценки транспортно-эксплуатационного состояния участка автомобильной дороги построен линейный график (рис. 1).
1. Сбор и оформление полученной информации
Работа по сбору объективной информации начинается с установления основных транспортно-эксплуатационных параметров участка автомобильной дороги и характеристик транспортного потока, которые вносятся в соответствующие ведомости (табл. 1.1 -
1.2).
Таблица 1.1
Ведомость категории дорог и числа полос движения
────────────────────┬────────────────┬─────────────┬──────────────
Адрес участка │ Техническая │ Число │ Рельеф
км + ... │ категория │ полос │ местности
─────────┬──────────┤ │ │
начало │ конец │ │ │
─────────┼──────────┼────────────────┼─────────────┼──────────────
264.000 │ 273.000 │ 2 │ 2 │равнинный
─────────┴──────────┴────────────────┴─────────────┴──────────────
Таблица 1.2
Ведомость интенсивности и состава движения
──────────┬──────────────────┬────────────────────┬───────────────
Адрес │ Интенсивность │ Состав грузового │ Прирост
начала │движения, авт/сут.│ движения, % │ интенсивности,
участка │ │ │ %
км + ... │ │ │
──────────┼──────────────────┼────────────────────┼───────────────
264.000 │ 3766 │ 63 │ 1,03
──────────┴──────────────────┴────────────────────┴───────────────
Форма ниже представленных ведомостей предназначена для ввода в ЭВМ полученной информации о ТЭС автомобильной дороги.
В графе "Адрес участка" указывают местоположение (км + ...) начала и конца данного элемента или параметра. При изменении какого-либо параметра или элемента указывают новое значение километража начала этого участка дороги. В графе "Адрес участка" по окончании ввода информации обязательно указывают местоположение конца участка дороги.
После камеральной обработки результаты оценки транспортно-эксплуатационных параметров заносят в соответствующие графы линейного графика
рис. 1.
Работу по оформлению линейного графика начинаем с заполнения графы "Схема продольного профиля". В связи с тем, что рабочие чертежи продольного профиля на данный участок автомобильной дороги в дорожной организации отсутствовали, оценку параметров продольных уклонов и радиусов кривых в плане выполняли с помощью передвижной дорожной лаборатории КП-208. Результаты оценки элементов дороги представлены в виде ведомостей (табл. 1.3 -
1.4) и внесены в графы 2 и 3 линейного графика.
Таблица 1.3
Ведомость продольных уклонов
─────────────────────────────────┬────────────────────────────────
Начало участка, км + ... │ Продольный уклон, %о
─────────────────────────────────┼────────────────────────────────
1 │ 2
─────────────────────────────────┴────────────────────────────────
264,000 -20
264,380 -10
264,490 -30
264,780 30
265,240 20
265,450 10
265,590 0
265,715 -10
265,850 -30
265,910 -50
266,100 -60
266,215 -80
266,490 -60
266,610 -40
266,700 0
266,760 20
267,000 40
267,080 10
267,170 0
267,400 40
267,515 50
267,660 40
267,800 30
267,915 10
268,220 -30
268,410 -20
268,510 -10
268,610 -20
268,750 -10
268,840 20
268,950 10
269,200 30
269,300 20
269,400 10
269,610 20
269,710 30
269,850 20
269,950 30
270,140 40
270,550 20
270,840 10
271,100 30
271,160 10
271,400 0
271,560 -10
271,800 -20
271,900 -30
272,740 -20
272,810 10
──────────────────────────────────────────────────────────────────
Таблица 1.4
Ведомость радиусов кривых в плане и виражей
─────────────────────────┬───────────────────────┬────────────────
Адрес участка │ Радиус кривой │ Вираж
км + ... │ │
───────────┬─────────────┤ │
начало │ конец │ │
───────────┴─────────────┴───────────────────────┴────────────────
264.000 264.380 1730 0
265.470 265.950 1650 0
266.780 267.220 1350 0
270.500 270.840 2770 0
──────────────────────────────────────────────────────────────────
По результатам оценки продольных уклонов был построен схематический профиль участка автомобильной дороги (графа 1) линейного графика.
Результаты оценки расстояния видимости проезжей части получены непосредственно наблюдением на дороге и представлены в ведомости (табл. 1.5) и в графе 4 линейного графика.
Таблица 1.5
Ведомость расстояний видимости
───────────────────────────────────────┬──────────────────────────
Адрес участка км + ... │ Расстояние видимости, м
──────────────────┬────────────────────┤
начало │ конец │
──────────────────┴────────────────────┴──────────────────────────
265.850 266.100 200
267.000 267.400 100
267.915 268.220 250
270.550 270.670 150
─────────────────────────────────────────────────────────────────
Наибольшую сложность в оформлении линейного графика представляет информация по графе 5 "Ситуация". В настоящем примере приведена информация о ситуации в полосе отвода на участке дороги, полученная в результате обработки данных паспортизации.
Данные для заполнения граф 6 - 12 линейного графика получены в результате непосредственного измерения ширины проезжей части, укрепительных полос и обочин на участках дороги. Ширина чистой укрепленной поверхности дороги включает в себя ширину проезжей части и ширину укрепительных полос (табл. 1.6).
Таблица 1.6
Ведомость ширины чистой основной укрепленной
поверхности дороги и укрепительных полос
─────────┬───────────┬───────────┬───────────────┬────────────────
Адрес │ Ширина │ Тип │ Ширина │ Ширина чистой
начала │ проезжей │ покрытия │ укрепительных │ укрепленной
участка │ части, м │ │ полос, м │ поверхности
км + ... │ │ ├───────┬───────┤
│ │ │ слева │ справа│
─────────┴───────────┴───────────┴───────┴───────┴────────────────
264.000 7,5 а/б 0,75 0,75 8,6
265.000 7,5 а/б 0,75 0,75 8,4
266.000 7,5 а/б - - 6,9
268.000 7,0 а/б - - 6,4
268.680 12 а/б - - 9,6
269.300 7,0 а/б - - 6,4
269.600 7,5 а/б - - 6,9
──────────────────────────────────────────────────────────────────
Техническое состояние обочин, а именно их ширину и тип укрепления, определяли для левой и правой стороны дорожного полотна. В расчет для оценки соответствующего коэффициента обеспеченности расчетной скорости согласно методике приняли наименьшую ширину обочин (табл. 1.7). В ширину обочин входит ширина укрепительной полосы.
Таблица 1.7
Ведомость состояния обочин
─────────┬────────────────────────────────────────────────────────
Адрес │ Тип укрепления и ширина обочин, м
начала ├────────────────┬───────────┬───────────┬───────────────
участка │А/б, ц/б, ук- │Щебень или │ Засев трав│ Неукрепленные
км + ... │реплен. вяжущим │ гравий │ │
─────────┴────────────────┴───────────┴───────────┴───────────────
264.000 0,75 3,0 - -
265.000 0,75 - - 3,75
266.000 - - - 3,00
268.000 - - - 2,00
270.550 - - - 3,75
──────────────────────────────────────────────────────────────────
В процессе полевых обследований были определены основные транспортно-эксплуатационные показатели для участка дороги такие, как состояние и ровность покрытия и коэффициент сцепления, которые представлены в виде ведомостей (табл. 1.8 -
1.10) и внесены в соответствующие графы (13 - 15) линейного графика.
Таблица 1.8
Ведомость состояния покрытия
────────────────────────────────┬─────────────────────────────────
Адрес начала участка км + ... │ Состояние покрытия, балл
────────────────────────────────┴─────────────────────────────────
264.000 5,0
265.000 3,5
267.000 4,0
268.000 2,5
269.000 4,5
270.000 5,0
──────────────────────────────────────────────────────────────────
Таблица 1.9
Ведомость оценки ровности покрытия
────────────────────────────────┬─────────────────────────────────
Адрес начала участка км + ... │ Ровность покрытия, см/км
────────────────────────────────┴─────────────────────────────────
264.000 310
264.380 400
264.540 310
265.150 375
265.850 440
266.530 520
266.900 440
267.340 550
268.080 410
268.350 530
269.300 440
270.000 625
270.200 500
271.100 530
272.100 625
──────────────────────────────────────────────────────────────────
Таблица 1.10
Ведомость коэффициентов сцепления
────────────────────────────────┬─────────────────────────────────
Адрес начала участка км + ... │ Коэффициент сцепления
────────────────────────────────┴─────────────────────────────────
264.000 0,34
265.000 0,33
266.000 0,31
267.000 0,28
268.000 0,22
269.000 0,21
270.000 0,23
271.000 0,20
272.000 0,21
──────────────────────────────────────────────────────────────────
Состояние дорожного покрытия определяли визуально на каждом километре регистрацией в полевом журнале имеющихся на проезжей части дефектов. Затем при камеральной обработке согласно методике устанавливали соответствующий оценочный балл (
табл. 1.8) (рис. 1 графа 13). Методика оценки состояния покрытия не исключает использование инструментальных способов измерения прочности дорожной одежды.
Ровность дорожного покрытия оценивали с помощью ПКРС-2У проездом по каждой полосе движения. В ведомости оценки ровности дорожного покрытия (табл. 1.9) приведены максимальные значения показателя ровности, встречающиеся на конкретном километре.
Коэффициент сцепления колеса автомобиля с дорожным покрытием определяли с помощью ПКРС-2У на каждой полосе движения. При камеральной обработке была составлена ведомость оценки коэффициента сцепления дорожного покрытия (
табл. 1.10), в которой приведены минимальные значения коэффициента сцепления, встречающиеся на километровом участке.
Высоту бровки земляного полотна определяли непосредственным измерением на соответствующих характерных участках дороги, результаты приведены в табл. 1.11 и в графе 16 линейного графика. Определение высоты бровки земляного полотна необходимо для последующей оценки правильности установки элементов инженерного оборудования.
Таблица 1.11
Ведомость высоты бровки земляного полотна
───────────────────────────────┬─────────────────────────────────
Адрес начала участка км + ... │Высота бровки земляного полотна, м
│
───────────────────────────────┴─────────────────────────────────
264.000 0
265.000 3
266.000 1
267.000 0
268.000 1
268.800 3
269.400 1
270.000 0
271.000 1
──────────────────────────────────────────────────────────────────
В результате паспортизации участка автомобильной дороги установлено местоположение и техническое состояние мостов, путепроводов, водопропускных труб и элементов инженерного оборудования и обустройства. Полученная информация приведена в таблицах 1.12 -
1.15 и в графах 17 - 19 линейного графика.
Таблица 1.12
Ведомость технического состояния ограждений
──────────────────────┬───────────────────────┬───────────────────
Местоположение │ Длина, м │ Тип
────────┬─────────────┼──────────┬────────────┤ ограждения
слева │ справа │ слева │ справа │
км + ...│ км + ... │ │ │
────────┴─────────────┴──────────┴────────────┴───────────────────
265.100 - 1000 - барьерный
- 265.100 - 30 "
- 265.300 - 800 "
268.950 268.950 30 30 "
269.000 269.000 30 30 "
270.970 270.970 30 30 "
271.020 271.020 30 30 "
──────────────────────────────────────────────────────────────────
Таблица 1.13
Ведомость технического состояния сигнальных столбиков
───────────────────┬─────────────────────────┬────────────────────
Местоположение │ Сигнальные столбики, шт.│ Длина участка, м
────────┬──────────┼────────────┬────────────┼─────────┬──────────
слева │ справа │ слева │ справа │ слева │ справа
км + ...│ км + ... │ │ │ │
────────┴──────────┴────────────┴────────────┴─────────┴──────────
264.670 - 3 3 30 30
264.709 - 3 3 30 30
266.800 266.800 3 3 30 30
271.963 271.963 3 3 30 30
272.000 272.000 3 3 30 30
──────────────────────────────────────────────────────────────────
Таблица 1.14
Ведомость технического состояния мостов и путепроводов
─────────┬───────────┬─────────────┬────────────────┬─────────────
Адрес │ Длина │ Тип │ Конструкция │ Год
начала │ моста, м │ нагрузки │ │ постройки
моста │ │ │ │
км + ... │ │ │ │
─────────┼───────────┼─────────────┼────────────────┼─────────────
268.982 │ 18 │ Н-30 │ метал. │ 1967
─────────┴───────────┴─────────────┴────────────────┴─────────────
Таблица 1.15
Ведомость технического состояния труб
─────────┬───────────┬─────────────┬────────────────┬─────────────
Адрес │ Длина, м │ Диаметр, м │ Конструкция │ Год
трубы │ │ │ │ постройки
км + ... │ │ │ │
─────────┼───────────┼─────────────┼────────────────┼─────────────
266.815 │ 19 │ 1,0 │ ж/б │ 1967
─────────┴───────────┴─────────────┴────────────────┴─────────────
Сведения о наличии ДТП на участке дороги были получены по данным ГАИ. Результаты сбора данных о ДТП приведены в таблице 1.16 и отмечены в графе 21 линейного графика.
Таблица 1.16
────────────────┬────────────────┬─────────────────────┬──────────
Местоположение │Количество, шт. │ Тип ДТП │ Дата
км + ... │ │ │
────────────────┴────────────────┴─────────────────────┴──────────
264.500 1 Наезд (Н) 1969
271.500 1 Столкновение (С) 1990
──────────────────────────────────────────────────────────────────
2. Определение комплексного показателя ТЭС дороги
Работу по оценке качества данного участка дороги начинаем с определения величины нормативного и предельно допустимого комплексного показателя ТЭС.
По
табл. 1.1 методики устанавливаем, что для участка II технической категории в равнинной местности КПн = 1,0 и КПп = 0,75.
Частный коэффициент обеспеченности расчетной скорости Крс1, учитывающий влияние ширины чистой укрепленной поверхности автомобильной дороги, определяем в соответствии с п. 4.6 настоящей методики. В данном примере по
таблице 1.6 устанавливаем величину чистой укрепленной поверхности, которая согласно формуле (4.2) методики включает в себя ширину проезжей части и ширину укрепительных полос. Затем вводим поправку на ширину полос загрязнения с использованием табл. 4.1 методики, с учетом типа и ширины укрепления обочин (см.
табл. 1.7 примера).
По
табл. 1.2 примера устанавливаем фактическую интенсивность движения на данном участке дороги и методом интерполяции по табл. 4.2 методики определяем величину Крс1.
Для участка дороги с 264 по 265 км порядок определения коэффициента Крс1 следующий:
1) устанавливаем по
табл. 1.6 примера ширину проезжей части, равную 7,5 м, и ширину укрепительных полос, равную 0,75 м, для каждой стороны дорожного полотна. В том случае, если укрепленные полосы имели бы разную ширину, то при расчете необходимо принимать наименьшую;
2) наименьшая ширина укрепленной вяжущим части обочин для данного участка дороги равна 0,75 м, что меньше 1,5 м, поэтому необходимо учесть наличие полос загрязнения на проезжей части. Основная часть обочин укреплена щебнем на ширину 3 м (
табл. 1.7 примера), поэтому ширина полосы загрязнения для левой и правой сторон дорожного полотна равна 0,2 м (табл. 4.1 методики). В том случае, если обочины имеют различные типы укрепления с разной шириной, то в расчет при определении ширины загрязненной полосы проезжей части принимают преобладающий тип укрепления по ширине;
3) ширина чистой укрепленной поверхности в соответствии с формулой 4.2 методики равна:

;
4) по
табл. 1.2 устанавливаем фактическую интенсивность движения, которая в данном примере равна 3766 авт./сут.;
5) по табл. 4.2 методики интерполяцией определяем величину Крс1, которая равна 1,01.
Результаты оценки частного коэффициента обеспеченности расчетной скорости Крс1 для других характерных участков дороги приведены в табл. 2.1 и внесены в графу 22 линейного графика оценки качества участка автомобильной дороги (
рис. 1).
Таблица 2.1
Ведомость результатов оценки Крс1
─────────────────────────────┬────────────────────────────────────
Адрес начала участка км + ...│ Значение Крс1
─────────────────────────────┴────────────────────────────────────
264.000 1,01
265.000 0,97
266.000 0,64
268.000 0,53
268.680 1,1
269.300 0,53
269.600 0,64
──────────────────────────────────────────────────────────────────
Частный коэффициент обеспеченности расчетной скорости Крс2, учитывающий влияние ширины и типа укрепления обочин дорожного полотна, определяем в соответствии с п. 4.7 настоящей методики. В данном примере на участке дороги с 264 по 265 км имеем комбинированную по типу укрепления конструкцию обочины, поэтому Крс2 определяем как средневзвешенную величину по формуле 4.2 методики.
Общая ширина обочины 3,75 м (
табл. 1.7 примера), в том числе ширина краевой укрепленной полосы из асфальтобетона 0,75 м и ширина укрепленной щебнем обочины 3 м.
По табл. 4.5 методики для общей ширины обочины 3,75 м принимаем значение Крс2 при укреплении: асфальтобетоном - 1,25 и щебнем - 1,25. Таким образом, средневзвешенная величина Крс2 будет

.
На участке дороги с 265 по 266 км общая ширина обочины 4,5 м. Из них: ширина краевой укрепленной асфальтобетонной полосы - 0,75 м и ширина неукрепленной обочины - 3,75 м.
По табл. 4.5 методики для общей ширины обочины 4,5 м принимаем значение Крс2 при укреплении: асфальтобетоном - 1,25 и щебнем - 0,70. Таким образом, средневзвешенная величина Крс2 будет:

.
Если ширина левой и правой обочин разная, то в расчет принимают меньшую. Такой случай в настоящем примере встречается на участке с 268 по 270.550 км. Ширина левой обочины - 2,0 м, а правой - 2,5 м.
По табл. 4.5 методики при общей ширине обочины 2,0 м принимаем значение Крс2 для неукрепленной обочины равным 0,53.
Результаты оценки частного коэффициента обеспеченности расчетной скорости Крс2 для всех характерных участков дороги приведены в табл. 2.2 и внесены в графу 23 линейного графика оценки качества участка автомобильной дороги (
рис. 1).
Таблица 2.2
Ведомость результатов оценки Крс2
────────────────────────────────┬─────────────────────────────────
Адрес начала участка км + ... │ Значение Крс2
────────────────────────────────┴─────────────────────────────────
264.000 1,25
265.000 0,79
266.000 0,66
268.000 0,53
270.550 0,70
──────────────────────────────────────────────────────────────────
Частный коэффициент обеспеченности расчетной скорости Крс3, учитывающий влияние интенсивности и состава движения, определяем в соответствии с п. 4.8 настоящей методики. В данном примере на участке дороги с 264 по 273 км фактическая интенсивность и состав грузового движения не изменяются (см.
табл. 1.2 примера) и соответственно равны 2766 авт./сут. или 63%.
Величину снижения коэффициента обеспеченности расчетной скорости

под влиянием интенсивности и состава движения определяем по табл. 4.6 методики с учетом количества полос движения на характерном участке. В данном примере путем интерполяции по табл. 4.6 для двухполосной проезжей части определена величина

, которая равна 0,11.
Результирующую величину Крс3 для каждого характерного участка дороги по частному коэффициенту Крс1 определяем с учетом формулы 4.3 методики.
Для участка с 264 по 265 км будем иметь:

.
В табл. 2.3 приведены значения

и Крс3, в гр. 24 линейного графика (
рис. 1) внесены значения только Крс3.
Таблица 2.3
Ведомость результатов оценки Крс3
─────────────────────┬─────────────────────┬──────────────────────
Адрес начала │ N│ Значение Крс3
участка км + ... │ Значение Дельта Крс │
│ │
─────────────────────┴─────────────────────┴──────────────────────
264.000 0,11 0,90
265.000 0,11 0,86
266.000 0,11 0,53
268.000 0,11 0,42
268.680 0,11 0,99
269.300 0,11 0,42
269.600 0,11 0,53
──────────────────────────────────────────────────────────────────
Частный коэффициент обеспеченности расчетной скорости Крс4, учитывающий влияние продольных уклонов поверхности дороги, определяем в соответствии с п. 4.9 и табл. 4.7 и 4.8 настоящей методики.
Расчет Крс4 на каждом характерном участке выполняют для условий при движении на подъем и на спуск с учетом видимости поверхности дороги и загрязненности покрытия. Степень загрязнения покрытия определяют по фактической ширине укрепленной вяжущим части обочины.
В данном примере на участке дороги с 264 по 264.380 км абсолютная величина продольного уклона равна 20%, а видимость не ограничена, т.е. больше 10000 м. Ширина укрепленной асфальтобетоном части обочины равна 0,75 м (
табл. 1.7 примера), что меньше 1,5 м (см. примечание к табл. 4.7 методики), поэтому при расчете Крс4 рассматриваем покрытие как мокрое и загрязненное.
По табл. 4.7 методики определяем Крс4 при условии движения на подъем, который равен 1,10; а по табл. 4.8 значение Крс4 при мокром загрязненном покрытии и при условии движения на спуск и видимости более 300 м равно 1,10.
В качестве окончательного значения Крс4 принимаем минимальное из двух вычисленных. В данном случае для дальнейших расчетов принимаем Крс4 = 1,1.
Для характерного участка с 264.380 по 264.490 км абсолютная величина продольного уклона равна 10%, видимость более 10000 м, ширина укрепленной части обочины 0,75 м. Для мокрого загрязненного покрытия при движении на подъем Крс4 = 1,1, при движении на спуск Крс4 = 1,1. Окончательное значение Крс4 равно 1,1.
Для характерного участка с 264.490 по 264.780 км абсолютная величина продольного уклона равна 30%, видимость более 101000 м, ширина укрепленной части обочины 0,75 м. Для мокрого загрязненного покрытия при движении на подъем Крс4 = 1,0, при движении на спуск Крс4 = 1,05. Окончательное значение Крс4 принимаем равным 1,0.
Результаты оценки частного коэффициента обеспеченности расчетной скорости Крс4 для всех характерных участков дороги приведены в табл. 2.4 и внесены в графу 25 линейного графика оценки качества участка автомобильной дороги (
рис. 1).
Таблица 2.4
Ведомость результатов оценки Крс4
─────────────────┬───────────────┬───────────────┬────────────────
Адрес начала │ Продольный │ Видимость, м │ Значение Крс4
участка км + ...│ уклон, %о │ │
─────────────────┴───────────────┴───────────────┴────────────────
264.000 -20 - 1,1
264.380 -10 - 1,1
264,490 -30 - 1,0
264.780 30 - 1,0
265.240 20 - 1,1
265.450 10 - 1,1
265.590 0 - 1,1
265.715 -10 - 1,1
265.850 -30 200 0,75
265.910 -50 200 0,72
266.100 -60 - 0,75
266.215 -80 - 0,65
266.490 -60 - 0,75
266.610 -40 - 0,9
266.700 0 - 1,1
266.760 20 - 1,1
267.000 40 100 0,54
267.080 10 100 0,58
267.170 0 100 0,58
267.400 40 - 0,90
267.515 50 - 0,82
267.600 40 - 0,9
267.800 30 - 1,0
267.915 10 250 0,85
268.510 -30 - 1,0
268.610 -20 - 1,1
268.750 -10 - 1,1
268.840 20 - 1,1
268.950 10 - 1,1
269.200 30 - 1,0
269.300 20 - 1,1
269.400 10 - 1,1
269.610 20 - 1,1
269.710 30 - 1,0
269.850 20 - 1,1
269.950 30 - 1,0
270.140 40 - 0,9
270.550 20 150 0,68
270.840 10 - 1,1
271.100 30 - 1,0
271.160 10 - 1,1
271.400 0 - 1,1
271.500 -10 - 1,1
271.800 -20 - 1,1
271.900 -30 - 1,0
272.740 -20 - 1,1
272.810 10 - 1,1
──────────────────────────────────────────────────────────────────
Частный коэффициент обеспеченности расчетной скорости Крс5, учитывающий влияние радиусов кривых в плане и наличие на них виража при условии загрязненности покрытия, определяем в соответствии с п. 4.10 и табл. 4.9 настоящей методики. Расчет Крс5 выполняют раздельно на каждом характерном участке.
Исходные данные для определения Крс5 приведены в
табл. 1.4 примера.
Для участка дороги с 264.000 по 264.380 км радиус кривой в плане равен 1730 м, а вираж отсутствует. По табл. 4.9 методики определяем значение Крс5, которое для кривой без виража и мокрого загрязненного покрытия равно 1,0.
На участке дороги с 264.380 по 265.470 км кривая в плане отсутствует, поэтому по табл. 4.9 методики определяем значение Крс5, как для кривой без виража и мокрого загрязненного покрытия при радиусе более 1500 м, которое равное 1,0.
Результаты оценки частного коэффициента обеспеченности расчетной скорости Крс5 для всех характерных участков дороги приведены в табл. 2.5 и внесены в графу 26 линейного графика оценки качества участка автомобильной дороги (
рис. 1).
Таблица 2.5
Ведомость результатов оценки Крс5
───────────────────────┬───────────┬────────────┬─────────────────
Адрес участка км + ... │ Радиус │ Вираж %о │ Значение Крс5
──────────┬────────────┤ кривой, м │ │
начало │ конец │ │ │
──────────┴────────────┴───────────┴────────────┴─────────────────
264.000 264.380 1730 0 1,0
265.470 265.950 1650 0 1,0
266.780 267.220 1350 0 0,97
270.500 270.840 2770 0 1,0
──────────────────────────────────────────────────────────────────
Частный коэффициент обеспеченности расчетной скорости Крс6, учитывающий влияние ровности дорожного покрытия и тип контрольно-измерительного прибора, определяем в соответствии с п. 4.11 и табл. 4.10 настоящей методики.
В данном примере на участке дороги с 264 по 264.380 км показатель ровности, измеренный ПКРС-2У, равен 310 см/км (см.
табл. 1.9 примера).
По табл. 4.10 методики интерполяцией определяем значение Крс6, равное 0,98.
Результаты оценки частного коэффициента обеспеченности расчетной скорости Крс6 для всех характерных участков дороги приведены в табл. 2.6 и внесены в графу 27 линейного графика оценки качества участка автомобильной дороги (
рис. 1).
Таблица 2.6
Ведомость результатов оценки Крс6
───────────────────────┬───────────────────────┬──────────────────
Адрес начала участка │ Ровность покрытия, │ Значение Крс6
км + ... │ см/км │
───────────────────────┴───────────────────────┴──────────────────
264.000 310 0,98
264.380 400 0,78
264.540 310 0,98
265.150 375 0,83
265.850 440 0,72
266.530 520 0,62
266.900 440 0,72
267.340 550 0,59
268.080 410 0,77
268.350 530 0,61
269.300 440 0,72
270.000 625 0,53
270.200 500 0,64
271.100 530 0,61
272.100 625 0,53
──────────────────────────────────────────────────────────────────
По табл. 4.11 методики интерполяцией получаем значение Крс7, равное 0,85.
Результаты оценки частного коэффициента обеспеченности расчетной скорости Крс7 для всех характерных участков дороги приведены в табл. 2.7 и внесены в графу 28 линейного графика оценки качества участка автомобильной дороги (
рис. 1).
Таблица 2.7
Ведомость результатов оценки Крс7
──────────────────────┬──────────────────────────┬────────────────
Адрес начала участка │ Коэффициент сцепления │ Значение Крс7
км + ... │ │
──────────────────────┴──────────────────────────┴────────────────
264.000 0,34 0,85
265.000 0,33 0,84
266.000 0,31 0,81
267.000 0,28 0,78
268.000 0,22 0,69
269.000 0,21 0,68
270.000 0,23 0,71
271.000 0,20 0,66
272.000 0,21 0,68
──────────────────────────────────────────────────────────────────
Частный коэффициент обеспеченности расчетной скорости Крс8, учитывающий состояние покрытия и прочности дорожной одежды, определяем в соответствии с п. 4.13 и табл. 1.1 и 4.12 настоящей методики.
В данном примере на участке дороги с 264 по 265 км показатель состояния покрытия равен 5,0 баллам (см.
табл. 1.8 примера).
Значение показателя

, учитывающего балльную оценку состояния покрытия, определено для усовершенствованного капитального типа дорожной одежды по табл. 4.12 и равно 1,0.
Величину коэффициента Крс8 определяем по формуле 4.4 методики. Ранее определенное значение нормативного показателя для всего участка автомобильной дороги равно 1,0.
Таким образом, на участке с 264 по 265 км

.
Для участка дороги с 265 по 267 км получаем значение Крс8, равное
Крс8 = 1,0 x 0,78 = 0,78.
Результаты оценки частного коэффициента обеспеченности расчетной скорости Крс8 для всех характерных участков дороги приведены в табл. 2.8 и внесены в графу 29 линейного графика оценки качества участка автомобильной дороги (
рис. 1).
Таблица 2.8
Ведомость результатов оценки Крс8
──────────────────────┬──────────────┬─────────────┬──────────────
Адрес начала участка │ Состояние │ Значение ро │Значение Крс8
км + ... │покрытия, балл│ │
──────────────────────┴──────────────┴─────────────┴──────────────
264.000 5,0 1,00 1,00
265.000 3,5 0,78 0,80
267.000 4,0 0,85 0,85
268.000 2,5 0,65 0,68
269.000 4,5 0,85 0,92
270.000 5,0 1,00 1,00
──────────────────────────────────────────────────────────────────
Частный коэффициент обеспеченности расчетной скорости Крс9, учитывающий фактическую грузоподъемность моста, определяем с фактической категорией дороги в соответствии с п. 4.14 и табл. 4.13 настоящей методики.
В настоящем примере имеется один мост на 268.982 км с расчетной нагрузкой Н-30.
По табл. 4.13 для II-й технической категории при заданной нагрузке Н-30 определено значение Крс9, равное 1,0.
Результат оценки частного коэффициента обеспеченности расчетной скорости Крс9 для всего участка дороги приведен в табл. 2.9 и внесен в графу 30 линейного графика оценки качества участка автомобильной дороги (
рис. 1).
Таблица 2.9
Ведомость результатов оценки Крс9
────────────┬───────┬─────────┬────────────┬──────────┬───────────
Адрес начала│ Длина │ Тип │Конструкция │ Год │ Значение
моста │ моста,│ нагрузки│ │ постройки│ Крс9
км + ... │ м │ │ │ │
────────────┴───────┴─────────┴────────────┴──────────┴───────────
268.982 18 Н-30 метал. 1967 1,0
──────────────────────────────────────────────────────────────────
Частный коэффициент обеспеченности расчетной скорости Крс10, учитывающий коэффициент относительной аварийности на характерном участке дороги, определяем в соответствии с п. 4.15 и табл. 4.15 настоящей методики.
Коэффициент относительной аварийности определяли для каждого километра, на котором имело место ДТП согласно фактическим данным (см.
табл. 1.16 примера).
В настоящем примере на участках дороги с 264 по 265 км и с 271 по 272 км зарегистрировано одно ДТП. Таким образом, для этих участков значение коэффициента относительной аварийности за последние 3 года равно:

.
По табл. 4.15 методики для И = 0,24 значение Крс9 равно 1,0.
Результаты оценки частного коэффициента обеспеченности расчетной скорости Крс10 для всех характерных участков дороги приведены в табл. 2.10 и внесены в графу 31 линейного графика оценки качества участка автомобильной дороги (
рис. 1).
Таблица 2.10
Ведомость результатов оценки Крс10
──────────────────┬───────────────┬────────┬─────────┬────────────
Местоположение │Количество, шт.│Тип ДТП │ Дата │ Значение
км + ... │ │ │ │ Крс10
────────┬─────────┤ │ │ │
начало │ конец │ │ │ │
────────┴─────────┴───────────────┴────────┴─────────┴────────────
264.000 265.000 1 Н 1989 1,0
271.000 272.000 1 С 1990 1,0
──────────────────────────────────────────────────────────────────
Значение итогового коэффициента обеспеченности расчетной скорости

, равное комплексному показателю ТЭС (КП)i, определяем для каждого характерного участка дороги как минимальный из десяти частных коэффициентов, определенных выше. В настоящем примере значения комплексного показателя представлены в табл. 2.11 и в графе 32 линейного графика (
рис. 1).
Таблица 2.11
Ведомость оценки комплексного показателя на характерных
участках дороги
────────┬────┬────┬────┬────┬────┬────┬────┬────┬────┬─────┬───┬────
Адрес │Крс1│Крс2│Крс3│Крс4│Крс5│Крс6│Крс7│Крс8│Крс9│Крс10│Тип│ КП
начала │ │ │ │ │ │ │ │ │ │ │Крс│
участка│ │ │ │ │ │ │ │ │ │ │ │
км + ...│ │ │ │ │ │ │ │ │ │ │ │
────────┼────┼────┼────┼────┼────┼────┼────┼────┼────┼─────┼───┼────
1 │ 2 │ 3 │ 4 │ 5 │ 6 │ 7 │ 8 │ 9 │ 10 │ 11 │ 12│ 13
────────┴────┴────┴────┴────┴────┴────┴────┴────┴────┴─────┴───┴────
264.000 1,01 1,25 0,90 1,10 1,00 0,98 0,85 1,00 1,00 1,00 7 0,85
264.380 1,01 1,25 0,90 1,10 1,00 0,78 0,85 1,00 1,00 1,00 6 0,75
264.490 1,01 1,25 0,90 1,00 1,00 0,78 0,85 1,00 1,00 1,00 6 0,78
264.540 1,01 1,25 0,90 1,00 1,00 0,98 0,85 1,00 1,00 1,00 7 0,85
264.780 1,01 1,25 0,90 1,00 1,00 0,98 0,85 1,00 1,00 1,00 7 0,85
265.000 0,97 0,79 0,86 1,00 1,00 0,98 0,84 0,80 1,00 1,25 2 0,79
265.150 0,97 0,79 0,86 1,00 1,00 0,83 0,84 0,80 1,00 1,25 2 0,79
265.240 0,97 0,79 0,86 1,10 1,00 0,83 0,84 0,80 1,00 1,25 2 0,79
265.450 0,97 0,79 0,86 1,10 1,00 0,83 0,84 0,80 1,00 1,25 2 0,79
265.470 0,97 0,79 0,86 1,10 1,00 0,83 0,84 0,80 1,00 1,25 2 0,79
265.590 0,97 0,79 0,86 1,10 1,00 0,83 0,84 0,80 1,00 1,25 2 0,79
265.715 0,97 0,79 0,86 1,10 1,00 0,83 0,84 0,80 1,00 1,25 2 0,79
265.850 0,97 0,79 0,86 0,75 1,00 0,72 0,84 0,80 1,00 1,25 6 0,72
265.910 0,97 0,79 0,86 0,72 1,00 0,72 0,84 0,80 1,00 1,25 4 0,72
265.950 0,97 0,79 0,86 0,72 1,00 0,72 0,84 0,80 1,00 1,25 4 0,72
266.000 0,64 0,66 0,53 0,72 1,00 0,72 0,81 0,80 1,00 1,25 3 0,53
266.100 0,64 0,66 0,53 0,75 1,00 0,72 0,81 0,80 1,00 1,25 3 0,53
266.215 0,64 0,66 0,53 0,65 1,00 0,72 0,81 0,80 1,00 1,25 3 0,53
266.490 0,64 0,66 0,53 0,75 1,00 0,72 0,81 0,80 1,00 1,25 3 0,53
266.530 0,64 0,66 0,53 0,75 1,00 0,62 0,81 0,80 1,00 1,25 3 0,53
266.610 0,64 0,66 0,53 0,90 1,00 0,62 0,81 0,80 1,00 1,25 3 0,53
266.700 0,64 0,66 0,53 1,10 1,00 0,62 0,81 0,80 1,00 1,25 3 0,53
266.760 0,64 0,66 0,53 1,10 1,00 0,62 0,81 0,80 1,00 1,25 3 0,53
266.780 0,64 0,66 0,53 1,10 0,97 0,62 0,81 0,80 1,00 1,25 3 0,53
266.900 0,64 0,66 0,53 1,10 0,97 0,72 0,81 0,80 1,00 1,25 3 0,53
267.000 0,64 0,66 0,53 0,54 0,97 0,72 0,78 0,85 1,00 1,25 3 0,53
267.080 0,64 0,66 0,53 0,58 0,97 0,72 0,78 0,85 1,00 1,25 3 0,53
267.170 0,64 0,66 0,53 0,58 0,97 0,72 0,78 0,85 1,00 1,25 3 0,53
267.220 0,64 0,66 0,53 0,58 1,00 0,72 0,78 0,85 1,00 1,25 3 0,53
267.340 0,64 0,66 0,53 0,58 1,00 0,59 0,78 0,85 1,00 1,25 3 0,53
267.400 0,64 0,66 0,53 0,90 1,00 0,59 0,78 0,85 1,00 1,25 3 0,53
267.515 0,64 0,66 0,53 0,82 1,00 0,59 0,78 0,85 1,00 1,25 3 0,53
267.660 0,64 0,66 0,53 0,90 1,00 0,59 0,78 0,85 1,00 1,25 3 0,53
297.800 0,64 0,66 0,53 1,00 1,00 0,59 0,78 0,85 1,00 1,25 3 0,53
267.915 0,64 0,66 0,53 0,85 1,00 0,59 0,78 0,85 1,00 1,25 3 0,53
268.000 0,53 0,53 0,42 0,85 1,00 0,59 0,69 0,68 1,00 1,25 3 0,42
268.080 0,53 0,53 0,42 0,85 1,00 0,77 0,69 0,68 1,00 1,25 3 0,42
268.220 0,53 0,53 0,42 1,00 1,00 0,77 0,69 0,68 1,00 1,25 3 0,42
268.350 0,53 0,53 0,42 1,00 1,00 0,61 0,69 0,68 1,00 1,25 3 0,42
268.410 0,53 0,53 0,42 1,10 1,00 0,61 0,69 0,68 1,00 1,25 3 0,42
268.510 0,53 0,53 0,42 1,10 1,00 0,61 0,69 0,68 1,00 1,25 3 0,42
268.610 0,53 0,53 0,42 1,10 1,00 0,61 0,69 0,68 1,00 1,25 3 0,42
268.680 1,10 0,53 0,99 1,10 1,00 0,61 0,69 0,68 1,00 1,25 2 0,53
268.750 1,10 0,53 0,99 1,10 1,00 0,61 0,69 0,68 1,00 1,25 2 0,53
268.820 1,10 0,53 0,99 1,10 1,00 0,61 0,69 0,68 1,00 1,25 2 0,53
268.830 1,10 0,53 0,99 1,10 1,00 0,61 0,69 0,68 1,00 1,25 2 0,53
268.840 1,10 0,53 0,99 1,10 1,00 0,61 0,69 0,68 1,00 1,25 2 0,53
268.950 1,10 0,53 0,99 1,10 1,00 0,61 0,69 0,68 1,00 1,25 2 0,53
269.000 1,10 0,53 0,99 1,10 1,00 0,61 0,68 0,92 1,00 1,25 2 0,53
269.200 1,10 0,53 0,99 1,00 1,00 0,61 0,68 0,92 1,00 1,25 2 0,53
269.300 0,53 0,53 0,42 1,10 1,00 0,72 0,68 0,92 1,00 1,25 3 0,42
269.400 0,53 0,53 0,42 1,10 1,00 0,72 0,68 0,92 1,00 1,25 3 0,42
269.600 0,64 0,53 0,53 1,10 1,00 0,72 0,68 0,92 1,00 1,25 2 0,53
269.610 0,64 0,53 0,53 1,10 1,00 0,72 0,68 0,92 1,00 1,25 2 0,53
269.710 0,64 0,53 0,53 1,00 1,00 0,72 0,68 0,92 1,00 1,25 2 0,53
269.850 0,64 0,53 0,53 1,10 1,00 0,72 0,68 0,92 1,00 1,25 2 0,53
269.950 0,64 0,53 0,53 1,00 1,00 0,72 0,68 0,92 1,00 1,25 2 0,53
270.000 0,64 0,53 0,53 1,00 1,00 0,53 0,71 1,00 1,00 1,25 2 0,53
270.140 0,64 0,53 0,53 0,90 1,00 0,53 0,71 1,00 1,00 1,25 2 0,53
270.200 0,64 0,53 0,53 0,90 1,00 0,64 0,71 1,00 1,00 1,25 2 0,53
270.500 0,64 0,53 0,53 0,90 1,00 0,64 0,71 1,00 1,00 1,25 2 0,53
270.550 0,64 0,70 0,53 0,68 1,00 0,64 0,71 1,00 1,00 1,25 3 0,53
270.670 0,64 0,70 0,53 1,10 1,00 0,64 0,71 1,00 1,00 1,25 3 0,53
270.840 0,64 0,70 0,53 1,10 1,00 0,64 0,71 1,00 1,00 1,25 3 0,53
271.000 0,64 0,70 0,53 1,10 1,00 0,64 0,66 1,00 1,00 1,00 3 0,53
271.100 0,64 0,70 0,53 1,00 1,00 0,61 0,66 1,00 1,00 1,00 3 0,53
271.160 0,64 0,70 0,53 1,10 1,00 0,61 0,66 1,00 1,00 1,00 3 0,53
271.400 0,64 0,70 0,53 1,10 1,00 0,61 0,66 1,00 1,00 1,00 3 0,53
271.560 0,64 0,70 0,53 1,10 1,00 0,61 0,66 1,00 1,00 1,00 3 0,53
271.800 0,64 0,70 0,53 1,10 1,00 0,61 0,66 1,00 1,00 1,00 3 0,53
271.900 0,64 0,70 0,53 1,00 1,00 0,61 0,66 1,00 1,00 1,00 3 0,53
272.000 0,64 0,70 0,53 1,00 1,00 0,61 0,68 1,00 1,00 1,25 3 0,53
272.100 0,64 0,70 0,53 1,00 1,00 0,53 0,68 1,00 1,00 1,25 3 0,53
272.740 0,64 0,70 0,53 1,10 1,00 0,53 0,68 1,00 1,00 1,25 3 0,53
272.810 0,64 0,70 0,53 1,10 1,00 0,53 0,68 1,00 1,00 1,25 3 0,53
273.000 0,00 0,00 0,11 1,10 1,00 0,00 0,00 1,00 1,00 1,25 3 0,11
───────────────────────────────────────────────────────────────────
Анализ полученных результатов оценки комплексного показателя ТЭС для участка дороги позволяет установить первоочередные мероприятия по повышению КП по минимальному значению Крс1 для каждого характерного участка дороги (см. графу 36
рис. 1).
3. Определение показателя инженерного оборудования и обустройства
Показатель инженерного оборудования и обустройства для настоящего примера определяем по величине коэффициента дефектности.
Коэффициент дефектности определяем в соответствии с п. 5.2 методики.
По результатам паспортизации установлено, что автомобильная дорога, имеющая протяженность 45 км и фрагмент которой рассмотрен в настоящем примере, обеспечена полностью кемпингами, АЗС.
В данном примере площадка отдыха находится на 269.900 км, АЗС и кемпинг расположены в поселке Лужны на 264.750 км.
Согласно
п. 10.11 СНиП 2.05.02-85 нормативное расстояние между площадками отдыха для II категории дороги равно 15 - 20 км.
Нормативное расстояние между АЗС определено по табл. 53 СНиП и для дороги с интенсивностью движения более 3000 авт./сут. равно 40 - 50 км.
В соответствии с
п. 10.15 СНиП нормативное расстояние между мотелями и кемпингами должно быть не более 500 км.
Частный коэффициент дефектности Д1 - Д3, учитывающий наличие и состояние площадок отдыха, определяем по формуле 5.4 методики:

;

;
Частный коэффициент дефектности Дм1, учитывающий состояние пересечений и примыканий, определяем в соответствии с п. 5.4.1 методики для данного километра. Нормативное расстояние между пересечениями согласно
п. 5.4 СНиП для II категории - 5 км. Местоположение и соответствие требованиям СНиП пересечений и примыканий определено в процессе паспортизации и представлено в табл. 3.1.
Ведомость наличия и состояния пересечений и примыканий
──────────────────┬─────────────────┬────────┬─────────┬─────────
Местоположение │ Привязка к км │Расстоя-│Соответ- │Коэфф.
────────┬─────────┼────────┬────────┤ние (км)│ствие │дефект-
слева │ справа │ начало │ конец │до бли- │СНиП │ности Дм1
км + ...│км + ... │км + ...│км + ...│жайшего │(да, нет)│
│ │ │ │пересе- │ │
│ │ │ │чения │ │
────────┴─────────┴────────┴────────┴────────┴─────────┴─────────
264.750 - 264.000 265.000 0,450 да 0
- 265.200 265.000 265.000 0,450 да 0
272.000 272.000 - - 6,800 да 0
──────────────────────────────────────────────────────────────────
Соответствие технического состояния нормам СНиП заключается в оценке элементов оборудования, находящихся на пересечении, требуемым техническим нормам.
В настоящем примере при паспортизации установлено, что все имеющиеся пересечения и примыкания соответствуют СНиП.
Первое встречающееся по длине дороги примыкание находится на 264.750 км. Учитывая, что оценку коэффициента дефектности производят покилометрово, определяем для участка с 264.000 по 265.000 км Дм1 по формуле 5.5 методики

.
Результаты оценки дефектности пересечений и примыканий приведены в
табл. 3.1 и внесены в графу 4 рис. 2.
Определение показателя инженерного оборудования
Частный коэффициент дефектности Дм2, учитывающий наличие и состояние автобусных остановок, определяем в соответствии с
п.п. 10.8 и
10.9 СНиП. Нормативное расстояние между автобусными остановками для II категории дороги равно 3 км. Местоположение автобусных остановок приведено в табл. 3.2.
Таблица 3.2
Ведомость наличия и состояния автобусных остановок
─────────────────┬─────────────────┬───────────┬─────────┬────────
Местоположение │ Привязка к км │Расстояние │Соответ- │Коэфф.
────────┬────────┼────────┬────────┤ (км) до │ствие │дефект-
слева │ справа │ начало │ конец │ближайшего │СНиП │ности
км + ...│км + ...│км + ...│км + ...│пересечения│(да,нет) │Дм2
────────┴────────┴────────┴────────┴───────────┴─────────┴────────
264.600 264.680 264.000 265.000 7,500 да 0
272.100 272.180 272.000 272.000 7,500 да 0
──────────────────────────────────────────────────────────────────
Проверка соответствия технического состояния автобусных остановок нормам СНиП заключается в оценке элементов оборудования и обустройства, находящихся на автобусной остановке, и требуемым техническим нормам.
В настоящем примере при паспортизации установлено, что все имеющиеся автобусные остановки соответствуют СНиП.
Первая встречающаяся по длине дороги автобусная остановка находится на 264.600 км. Учитывая, что оценку коэффициента дефектности производят по километрам, определяем для участка с 264.000 по 265.000 км Дм2 по формуле 5.5 методики

.
Результаты оценки коэффициентов дефектности для автобусных остановок приведены в
табл. 3.2 и внесены в графу 5
рис. 2.
Частный коэффициент дефектности Дм3 учитывает соответствие установки дорожных ограждений нормам СНиП. В процессе паспортизации установлено фактическое местоположение, тип и длина ограждений (
табл. 1.12).
Анализ правильности установки ограждений начинаем с определения местоположения ограждений в соответствии с требованиями СНиП, т.е. устанавливаем по графе 16 линейного графика длину участков, где высота бровки земляного полотна превышает нормативную. Затем по графе 24
рис. 1 определяем протяженность участков дороги, где радиусы кривых в плане менее допустимых по СНиП, а также по графе 19 устанавливаем протяженность участков на подходах к мостам.
Коэффициент дефектности ограждений определяем по формуле 5.6 методики.
Результаты определения дефектности ограждений приведены на характерных участках дороги в табл. 3.3 и в графе 6
рис. 2.
Таблица 3.3
Ведомость наличия и состояния ограждений
─────────────────┬─────────────────┬──────────────────┬───────────
Местоположение │ Длина, м │ Длина по СНиП, м │Коэффициент
────────┬────────┼────────┬────────┼─────────┬────────┤дефект-
слева │ справа │ слева │ справа │ слева │ справа │ности
км + ...│км + ...│ │ │ │ │
────────┴────────┴────────┴────────┴─────────┴────────┴───────────
265.100 - 1000 - 1000 - -
- 265.100 - 30 - 30 0
- 265.300 - 800 - 800 0
268.950 268.950 30 30 100 100 0,70
269.000 269.000 30 30 100 100 0,70
270.970 270.970 30 30 30 30 0
271.020 271.020 30 30 30 30 0
──────────────────────────────────────────────────────────────────
Частный коэффициент дефектности Дм4, учитывающий наличие и состояние тротуаров и пешеходных дорожек, определяем аналогично коэффициенту Дм3.
По данным паспортизации тротуары в населенном пункте Лужны отсутствуют, в то же время на участке с 264.000 по 264.680 км согласно требованиям СНиП должен быть тротуар вдоль поселка к автобусной остановке. Поэтому коэффициент дефектности равен

.
| | ИС МЕГАНОРМ: примечание. В официальном тексте документа, видимо, допущена опечатка: рис. 3 отсутствует. Вероятно, речь идет о рис. 2. | |
Результаты определения дефектности тротуаров на характерных участках дороги приведены в графе 7 рис. 3.
Итоговый коэффициент дефектности для каждого характерного участка дороги Ди.о определяем по формуле 5.1 методики.
Для характерного участка с 264.000 по 264.680 км имеем:
Значение показателя инженерного оборудования Коб для характерных участков дороги принимаем по табл. 5.1 методики.
Для участка дороги II категории с 264.680 по 266.950 км Коб равен 0,98.
Результаты оценки показателя инженерного оборудования приведены в табл. 3.4, линейном графике ТЭС дороги (графа 33
рис. 1).
Таблица 3.4
Ведомость оценки показателя инженерного оборудования
и обустройства
───────────────────────┬────────────────┬─────────────────────────
Адрес участка км + ...│ Коэффициент │ Показатель инженерного
──────────┬────────────┤ дефектности │ оборудования
начало │ конец │ │
──────────┴────────────┴────────────────┴─────────────────────────
264.000 264.680 0,24 0,966
264.680 268.950 0,10 0,98
268.950 268.980 0,20 0,97
268.980 269.000 0,10 0,98
269.000 269.300 0,20 0,97
269.030 273.000 0,10 0,98
──────────────────────────────────────────────────────────────────
4. Определение показателя эксплуатационного содержания
По результатам оценки качества текущего ремонта и содержания, выполненной в дорожной организации по ВН 10-87, среднее значение оценки качества за предшествующий год равно 3,6 балла. По табл. 6.1 методики определяем значение показателя эксплуатационного содержания Кэ, которое равно 0,75.
5. Определение показателя качества на характерных
участках дороги
Показатель качества вычисляем для каждого характерного участка автомобильной дороги и определяем по формуле 1.1 методики.
Для участка с 264.000 по 264.380 км имеем:
Пi = Кпi x Кобi x Кэ = 0,85 x 0,966 x 0,75 = 0,616.
Результаты оценки показателя качества на характерных участках дороги приведены в графе 35 линейного графика оценки качества (
рис. 1) и в ведомости (таблица 5.1). На
рис. 1 в графе 38 приведен график изменения показателя качества П на данном участке дороги.
Таблица 5.1
Ведомость оценки показателя качества
─────────────┬─────────────┬────────────┬────────────┬────────────
Адрес начала │ Комплексный │ Показатель │ Показатель │ Показатель
участка │ показатель │ Кобi │ Кэ │ качества
км + ... │ КПi │ │ │ Пi
─────────────┴─────────────┴────────────┴────────────┴────────────
264.000 0,85 0,966 0,75 0,616
264.380 0,78 0,966 0,75 0,565
264.540 0,85 0,966 0,75 0,616
264.680 0,85 0,98 0,75 0,625
265.000 0,53 0,98 0,75 0,39
268.000 0,42 0,98 0,75 0,309
268.950 0,42 0,97 0,75 0,306
268.980 0,42 0,98 0,75 0,309
269.000 0,53 0,97 0,75 0,386
269.030 0,53 0,98 0,75 0,39
269.600 0,53 0,98 0,75 0,39
──────────────────────────────────────────────────────────────────
Среднее 0,55 0,98 0,75 0,405
взв. знач.
──────────────────────────────────────────────────────────────────
6. Определение качества участка дороги
Для участка дороги определен показатель качества, как средневзвешенная величина по всем характерным участкам, по формуле

.
Степень соответствия фактически обеспеченных потребительских свойств нормативным требованиям определяем по относительному показателю качества

.
Показатель Кд указывает на то, что данный участок дороги на 40% соответствует нормативным требованиям.
ИНСТРУМЕНТАЛЬНОГО КОНТРОЛЯ ГЕОМЕТРИЧЕСКИХ ЭЛЕМЕНТОВ
АВТОМОБИЛЬНЫХ ДОРОГ
1. Общие положения
1.1. Необходимость в измерении параметров геометрических элементов автомобильных дорог возникает при первичных обследованиях, уточнении паспортных данных до и после производства ремонтных работ, а также при оценке транспортно-эксплуатационных качеств дороги и других работах.
1.2. В процессе полевых измерений восстанавливается ось дороги, определяются параметры ширины проезжей части и обочин, величин продольных и поперечных уклонов, радиусы кривых в плане и продольном профиле, высота насыпей и глубина выемок, заложение откосов и другие параметры.
1.3. В случаях, когда требуется более обширная и полная информация об элементах дороги и дорожных сооружениях, выполняют съемку ситуации с оформлением соответствующей документации по "
Типовой инструкции по техническому учету и паспортизации автомобильных дорог общего пользования".
1.4. При проведении полевых измерений применяются стандартные геодезические приборы и инструменты, позволяющие определять параметры геометрических элементов с высокой эталонной точностью.
1.5. Бригада по проведению полевых измерений должна быть оснащена в полном объеме геодезическими приборами и инструментами (теодолиты, нивелиры, рейки, ленты, рулетки, металлические держатели для вешек, штыри, железные костыли или трубки с заостренными концами для забивки в дорожное покрытие при закреплении трассы, ломы, лопаты, клинья, кувалды).
1.6. Для ограждения рабочих мест в соответствии с требованиями техники безопасности изыскательская партия должна быть дополнительно оснащена переносными ограждениями, красными фонарями и стандартными переносными дорожными знаками.
1.7. Перед началом работ на проезжей части дороги с обеих сторон от места их производства устанавливают на расстоянии 50 м предупреждающие знаки "Дорожные работы" и переносные ограждения, перекрывающие полосу, на которой будут выполняться работы.
1.8. За движением автомобильного транспорта организуется непрерывное наблюдение в целях своевременного оповещения сотрудников об опасности. Для этой цели выделяют дежурного, который должен находиться в таком месте, чтобы видеть дорогу с обеих сторон от места работ.
1.9. Все необходимые приборы и оборудование по возможности должны располагаться за пределами дорожного полотна. Автомобили, перевозящие людей и оборудование к месту производства работ, ставят на обочине, а при наличии съездов - на обрезе за канавой.
2. Проведение полевых измерений
2.1. Восстановление трассы
2.1.1. При полном восстановлении трассы трассирование начинают с определения положения оси покрытия на прямых участках дороги и установления положения вершин углов. Положение оси определяют несколькими промерами ширины земляного полотна с проезжей части с фиксацией осевых точек дороги вехами. Вехи, выставленные таким образом, выравниваются по теодолиту в прямую линию. Если при этом трасса на отдельных значительных по протяжению участках смещается настолько, что возникает необходимость уширения дорожной одежды с одной стороны при наличии изменений ширины с другой стороны, то вводятся дополнительные трассировочные углы.
2.1.2. Промер линии производится в соответствии с правилами по технике безопасности по бровке земляного полотна. В случае значительного разрушения бровки, а также при большой извилистости существующей дороги и частом чередовании закруглений малых радиусов - по оси проезжей части.
2.1.3. Пикетные точки и сторожки забиваются на правой бровке дороги, считая по направлению хода пикетажа. На сторожках и в пикетажном журнале с точностью до 0,1 м указывается расстояние от точки, установленной на бровке, до оси для того, чтобы все последующие виды изыскательских работ могли быть привязаны к пикетажу трассы по оси.
Положение трассы фиксируется:
а) на дорогах с усовершенствованными покрытиями - краской;
б) на дорогах с переходными типами покрытий - штырями или заостренными трубками, забиваемыми вровень с поверхностью покрытия;
в) на дорогах с низкими типами покрытий - деревянными точками;
г) на горных дорогах - краской на скальных обнажениях и отдельно расположенных крупных камнях.
2.1.4. Начало и конец трассы, как и весь промер линии, увязывается с существующими знаками километража. Рекомендуется совмещать направление промера линии с направлением существующего километража. Все пикеты, кратные десяти, должны быть совмещены с положением существующих километровых знаков на дороге. Нумерация их должна совпадать с номером километра, увеличенным в десять раз. Если расстояние между двумя соседними километровыми знаками отличается более чем на 1 м, вводится рубленый пикет.
2.1.5. Промер линии и ведение пикетажного журнала производится в соответствии с "Наставлением пикетажисту при изысканиях автомобильных дорог".
2.2. Определение ширины проезжей части, краевых укрепленных полос и обочин
2.2.1. Ширину проезжей части, ширину левой и правой краевых укрепленных полос, укрепленных и неукрепленных обочин (а на дорогах первой категории и ширину разделительной полосы) измеряют на каждом характерном участке дороги, но не реже чем одно измерение на 1 км.
К характерным относят: прямые участки в плане с одинаковой шириной проезжей части и укрепленных краевых полос, а при отсутствии краевых полос - участки дороги с одинаковой шириной проезжей части;
- участки кривых в плане с радиусами кривых 200 м и более;
- участки кривых в плане с радиусами кривых менее 200 м;
- участки сужений проезжей части над трубами, в местах установки ограждений, парапетов, направляющих столбиков с шагом установки менее 10 м.
2.2.2. На месте измерения разбивают поперечник, местоположение которого заносят в журнал. Измерения с точностью до 0,1 м производят стальной лентой, рулеткой или курвиметром типа КП-203, который представляет собой колесо окружностью 1,0 м, установленное на вилке с ручкой и соединенное зубчатой передачей со счетчиком СО-59. До начала измерений с поверхности проезжей части, краевых укрепленных полос и укрепленных обочин очищают пыль и грязь, чтобы были четко видны границы укрепления.
2.2.3. В тех случаях, когда из-за одинакового покрытия визуально невозможно выделить границу проезжей части и краевой укрепленной полосы или укрепленной обочины, их размеры уточняют по данным проектной и исполнительной документации.
2.2.4. Ширину основной укрепленной поверхности, необходимой для определения показателя ее влияния на обеспеченность расчетной скорости, определяют как сумму ширины проезжей части и краевых укрепленных полос.
2.2.5. Одновременно с измерением ширины проезжей части, краевых укрепленных полос и обочин в журнал измерений заносят данные о числе полос движения, типе и состоянии покрытия и поверхности обочины, а также о наличии разметки.
2.3. Определение радиусов кривых в плане
2.3.1. Радиусы существующих кривых в плане определяются по таблицам для разбивки кривых. Для кривых малого радиуса - по измеренным углам поворота трассы, биссектрисам или тангенсам, а для кривых больших радиусов или при недоступности вершины угла поворота - по нескольким измеренным хордам и стрелкам.
2.3.2. При определении радиуса кривой по методу тангенсов находятся и маркируются точки начала и конца кривой. На пересечении тангенсов находится вершина угла поворота. С помощью геодезических инструментов и рулетки измеряют тангенсы, биссектрису и угол поворота трассы.
При отсутствии угломерного инструмента величину угла поворота можно определить следующим образом. На продолжении тангенсов откладываются равные расстояния, например 10 м, и измеряется расстояние между полученными точками на тангенсах. Зная все стороны равностороннего треугольника, можно определить угол при вершине (рис. 2.1).
Рис. 2.1.
При недоступности вершины угла поворота измерения производятся с использованием промежуточного тангенса (рис. 2.2).
Рис. 2.2.
2.3.3. При определении радиуса кривой по методу хорд измерение производится в несколько приемов с помощью длинной мерной ленты или рулетки. Между точками внешней стороны кривой откладывается хорда, например 50 м. Из середины хорды до пересечения с кривой восстанавливается перпендикуляр. Точка пересечения перпендикуляра с кривой служит началом следующей хорды. В несколько приемов измеряется вся кривая. Для круговых кривых все измеренные стрелки равны между собой.
2.3.4. Радиусы кривых в плане вычисляют по измеренным тангенсам, биссектрисе и углам поворота трассы (метод тангенсов):

.
При измерениях, выполненных по методу хорд, радиусы кривых в плане вычисляются по известным хордам и стрелкам:

.
2.3.5. При наличии переходных кривых необходимо учитывать величину сдвижки основной кривой. Конец переходной кривой можно найти, измеряя стрелки и хорды по оси дороги. В пределах круговой кривой постоянной длине хорды будут соответствовать равные стрелки. На участках переходных кривых стрелки будут уменьшаться по мере приближения к прямому участку дороги. Начало переходной кривой определяется по отклонению оси дороги от прямой.
2.3.6. В журнале измерения радиусов кривых в плане указывают наличие виража и величину поперечного уклона, который может быть определен нивелированием или угломерной линейкой (например, типа КП-213).
Рис. 2.3.
2.4. Определение продольных уклонов
2.4.1. Продольное нивелирование при измерениях на существующих дорогах, так же как и при изысканиях вновь строящихся дорог, производится в соответствии с требованиями "Инструкции по производству топографо-геодезических работ".
2.4.2. При нивелировании инструмент ставят на обочине. За основу для нивелирования принимают следующие точки, забиваемые пикетажистом на бровке земляного полотна. На сторожках и в пикетажном журнале с точностью до 0,1 м указывают расстояние до оси дороги. Ввиду возможного нарушения движением транспорта закрепительных знаков (штырей, деревянных точек и т.п.), установленных при разбивке пикетажа по трассе в пределах существующей дорожной одежды, эти знаки, как правило, служить основой для нивелирования не могут. Поэтому связующие точки на бровке земляного полотна используются для составления продольного профиля дороги и берутся нивелировщиком как промежуточные. Проверка отметок этих точек осуществляется по данным нивелировки поперечников, когда превышение осевой точки над точкой, вынесенной на бровку, определяется вторично.
2.4.3. Должны быть найдены отметки всех переломных точек продольного профиля. На переломах продольного профиля, смягченных вертикальными кривыми, для определения радиуса этих кривых нивелируют отметки оси дороги через 20 - 50 м и в зависимости от длины кривой и плавности продольного профиля существующей дороги.
2.4.4. По результатам продольного нивелирования при камеральной обработке строится продольный профиль измеренного участка или дороги, пользуясь которым вычисляют по превышениям величину продольных уклонов, а на переломах продольного профиля расчетным путем или с помощью шаблонов определяют величину радиусов вертикальных кривых.
2.5. Определение видимости
2.5.1. Проверка обеспечения видимости поверхности дороги в плане и продольном профиле выполняется с учетом траектории движения водителя (1,5 - 1,7 м от кромки проезжей части, высота инструмента над покрытием 1,2 м).
2.5.2. Для проверки видимости используются различные геодезические приборы (теодолиты, дальномеры и дальномерные насадки различных типов). Особенно удобны для этой цели безреечные дальномеры двойного изображения. Устанавливая инструмент в точках перелома плана и продольного профиля, наблюдатель определяет фактическое расстояние видимости. Инструмент наводят на высокую визирку с ярко окрашенной планкой, расположенной на уровне, принимаемом при расчетах видимости встречного автомобиля. Рейку устанавливает по сигналам наблюдателя несущий ее рабочий.
2.5.3. Расстояние видимости в плане на кривых в плане при наличии помех на внутренней части кривых измеряют по внутренней траектории движения глаза водителя (рис. 2.4).
Рис. 2.4. Схема определения видимости
на кривой в плане:
1 - траектория движения глаза водителя, по которой измеряют
расстояние видимости; 2 - хорда - линия взгляда
водителя-наблюдателя; 3 - помеха на внутренней части кривой;
4 - глаз наблюдателя и точка отсчета расстояния видимости
Измерения выполняют два человека.
В начале кривой на траектории движения глаза водителя делается отметка на покрытии. В этой точке останавливается первый наблюдатель. Второй наблюдатель перемещается по траектории движения глаза водителя до тех пор, пока первый наблюдатель не укажет ему место остановки над последней точкой на покрытии, которую он видит со своего места наблюдения. Второй наблюдатель делает отметку на покрытии и возвращается назад. Затем они вместе измеряют рулеткой отрезками по 5 - 10 м расстояние

и заносят его в журнал, указав в нем и причину ограничения видимости.
2.5.4. Видимость поверхности дороги может быть измерена также с помощью дальномера дорожного типа КП-213, установленного в автомобиле.
3. Измерение геометрических элементов с помощью прибора КП-208
3.1. Назначение и устройство
3.1.1. Прибор КП-208, устанавливаемый в передвижной лаборатории КП-514, предназначен для измерения в движении и автоматической записи на диаграммную ленту углов поворота, продольных и поперечных уклонов автомобильных дорог. Обработка записей позволяет определять радиусы кривых в плане, а также выпуклых и вогнутых вертикальных кривых в продольном профиле и параметры переходных кривых.
3.1.2. Прибор состоит из блока гироскопических датчиков (рис. 3.1), пульта управления с тремя каротажными регистраторами, датчика пути и блока аккумуляторных батарей. КП-208 устанавливают в транспортное средство.
Рис. 3.1. Передвижная лаборатория с прибором КП-208:
1 - датчик пути (мерное колесо); 2 - блок гироскопических
датчиков; 3 - пульт управления; 4 - гибкий вал (привод
лентопротяжных механизмов в каротажных регистраторах); 5 -
каротажные регистраторы
3.1.3. Блок гироскопических датчиков представляет собой несущую платформу с установленными на ней гироскопическими датчиками курса, тангажа и крена, электромеханическим преобразователем и платами настроечных сопротивлений. Платформа прикреплена к полу кузова автомобиля с помощью шаровой опоры с закрепляющим винтом. Регулировку угла наклона платформы осуществляют тремя юстировочными винтами.
3.1.4. Датчиком пути является прицепное мерное колесо с редуктором и гибким валом для передачи вращательного момента лентопротяжным механизмам каротажных регистраторов. Протяжка диаграммных лент регистраторов осуществляется синхронно вращению прицепного мерного колеса. При этом продольный масштаб остается постоянным и не зависит от скорости движения.
3.2. Проведение измерений
3.2.1. Измерения производят челночным способом в прямом и, для контроля, обратном направлениях участками, не превышающими по протяжению 20 км. В процессе измерений нажатием на кнопку "Отметка" регистрируют начало и конец каждого участка, а также все характерные точки на дороге (километровые столбы, мосты, трубы, съезды, переезды и др.).
3.2.2. Смежные участки должны перекрываться, т.е. измерения необходимо начинать за 50 - 20 м до начальной точки участка дороги, заканчивать после его проезда на такое же расстояние. Движение по обследуемой дороге должно быть равномерным, без резких ускорений и торможений. Необходимо строго следовать направлению полосы движения, ориентируясь по кромке проезжей части или разметке. Измерения производятся с включенным сигнальным мигающим устройством.
3.2.3. Рекомендуемые скорости движения при измерении геометрических элементов прибором КП-208 приведены в табл. 3.1,
3.2.
Таблица 3.1
────────────────────────────────────┬─────────────────────────────
Цель обследований │ Рекомендуемая скорость
│ движения, км/ч
────────────────────────────────────┴─────────────────────────────
1. Оценка продольных и поперечных 5 - 10
неровностей в диапазонах волн длиной
3 - 100 м
2. Оценка крупных геометрических 20 - 30
элементов трассы дороги (подъемы,
спуски, радиусы кривых в плане и
продольном профиле, поперечные
уклоны)
──────────────────────────────────────────────────────────────────
───────────────┬───────────────┬────────────────┬─────────────────
Радиусы кривых │Рекомендуемая │ Радиусы кривых │ Рекомендуемая
в плане, м │скорость движе-│ в плане, м │ скорость
│ния, км/ч │ │ движения, км/ч
───────────────┴───────────────┴────────────────┴─────────────────
до 50 5 - 10 300 - 600 20 - 30
50 - 300 10 - 20 более 600 30 - 40
──────────────────────────────────────────────────────────────────
3.2.4. Избежать зашкаливания записи углов поворота при проезде нескольких кривых в плане, направленных в одну сторону, можно смещая местоположение нуля гироскопического датчика курса нажатием на левую или правую кнопку "Установка нуля". Одновременно производят отметку характерной точки и поясняющую запись, указывающую на смещение нуля.
3.2.5. Все это следует выполнять на прямолинейном участке дороги до въезда на кривую. Необходимость смещения нуля отсчета по углу поворота возникает также при обследованиях серпантин и петлевых съездов транспортных развязок, на которых величина угла поворота достигает 270°. Смещение нуля на криволинейных в плане участках дороги производится только в момент кратковременной остановки автомобиля.
3.2.6. При измерениях продольных уклонов движение с остановками не допускается.
3.2.7. При выездах на встречную полосу движения или обочину, вызванных каким-либо препятствием на дороге, участок объезда выделяют характерными точками и записью на диаграммной ленте.
3.2.8. В процессе измерений продольных и поперечных уклонов обследуемой дороги загрузка автомобиля-лаборатории должна быть такой же, как и при выполнении поверок блока гироскопических датчиков на этапе подготовки аппаратуры к работе.
3.3. Обработка результатов измерения
3.3.1. Обработку бумажных лент производят с помощью специальных шаблонов, позволяющих снимать показания с графиков. На лентах с записями углов поворота, продольных и поперечных уклонов разбивают пикетаж. Для этого используют линейки, отградуированные в соответствующем масштабе. Выделяют элементы плана трассы и продольного профиля. Этот процесс не вызывает затруднений, поскольку на прямолинейных в плане участках, а также подъемах (спусках) с постоянным уклоном графики углов поворота и продольных уклонов представляют собой линии, параллельные продольной сетке бумажной ленты. На кривых графики идут под углом к сетке, при этом величина угла наклона и значение радиуса связаны обратно пропорциональной зависимостью.
3.3.2. Определяют пикетажное положение точек "Начало кривой" и "Конец кривой". Угол трассы дороги в плане вычисляют по алгебраической разности ординат графика углов поворота перед кривой и после ее проезда. Радиус в плане определяют с помощью таблиц для разбивки закруглений или по формуле:

,
где l - длина кривой, м;

- угол поворота, град.
3.3.3. Характер изменения графика углов поворота указывает на переходную кривую в составе закругления. Для круговых кривых он линейный, а для переходных - с нарастающей кривизной. Параметр переходной кривой может быть вычислен по формуле:

,
где S - длина переходной кривой, м;

- угол поворота, соответствующий переходной кривой, град.
Радиусы вертикальных кривых определяют по графику продольных уклонов с помощью таблиц Антонова или формулы

,
где l - длина вертикальной кривой, м;

,

- значения продольных уклонов (с учетом правила знаков) в долях единицы, соответствующие точкам "Начало" и "Конец" кривой.
3.3.4. Для облегчения обработки неровности дороги, зафиксированные на графике продольных уклонов в пределах элементов продольного профиля, сглаживают прямыми линиями.
Пример 3.1. По графику изменения угла поворота определить элементы круговой кривой.
1. На диаграммной ленте с учетом масштаба записи разбивают пикетаж. Определяют местоположение точек "Начало кривой" (НК) и "Конец кривой" (КК).
НК = ПК 1 + 15, КК = ПК 2 + 88.
2. Величину угла поворота определяют по алгебраической разности ординат графика до кривой и после ее проезда

.
3. Определяют длину кривой
l = ПК 2 + 88 - ПК 1 + 15 = 173 м.
4. Вычисляют радиус кривой
| | ИС МЕГАНОРМ: примечание. В официальном тексте документа, видимо, допущена опечатка: Пример 4.2 отсутствует. Вероятно, речь идет о Примере 3.2. | |
Пример 4.2. Выделить элементы продольного профиля.
1. После разбивки пикетажа производят осреднение графика продольных уклонов прямыми линиями и выделение элементов профиля.
2. Определяют значения уклонов в точках сопряжения элементов и их протяжение.
3. Заполняется таблица 3.3.
Таблица 3.3
──┬───────────────────────────────┬───────────┬───────────────────
NN│ Местонахождение │ Длина │ Радиус кривой
пп├───────────────┬───────────────┤ элемента ├─────────┬─────────
│ Начало кривой │ Конец кривой │ │величина │ вид
├───────┬───────┼───────┬───────┤ │ в │ кривой
│ ПК + │Уклон %│ ПК + │Уклон %│ │ │
│ │ │ │ │ │ │
──┴───────┴───────┴───────┴───────┴───────────┴─────────┴─────────
1. 34 + 88 -12 36 + 36 0 148 12500 вогнутая
2. 36 + 36 0 37 + 90 +35 154 5000 выпуклая
3. 37 + 90 +35 38 + 65 +10 75 3000 вогнутая
4. 38 + 65 +10 40 + 00 +10 135 - прямая
──────────────────────────────────────────────────────────────────
4. Система автоматизированного измерения геометрических
элементов автомобильных дорог "Трасса"
4.1. В системе "Трасса" полевые обследования производятся с помощью передвижной лаборатории, при обработке данных измерений используется ЭВМ, а информационное обслуживание дорожных хозяйств осуществляется на основе автоматизированного банка дорожных данных.
4.2. При обследованиях автомобильных дорог передвижной лабораторией измеряют пройденный путь, углы поворота трассы дороги, продольный и поперечный уклоны проезжей части, фиксируется местоположение характерных точек (трубы, мосты, километровые знаки, ЛЭП и др.). Регистрация измеряемых параметров осуществляется в цифровом коде на перфоленту с шагом дискретизации по длине дороги, кратным 1,0 м, а также дублируется в виде графиков на диаграммных лентах самописцев.
4.3. Обработка перфолент производится на ЭВМ. Программное обеспечение разработано применительно к ЕС-ЭВМ и содержит процедуры ввода и предварительной обработки информации, определения местоположения и протяжения элементов плана трассы дороги и продольного профиля, расчета радиусов вертикальных и горизонтальных кривых, вычисления высотных отметок, определения геометрической видимости в продольном профиле, распределения поперечных уклонов. Результаты обработки печатаются в виде таблиц, а затем загружаются в автоматизированный банк дорожных данных.
4.4. Конструктивно в лаборатории выделены салон водителя, основной аппаратурный отсек и отсек энергообеспечения (см. рис. 4.1,
4.2). Отсеки разделены перегородками. Задняя шумоизолирующая перегородка имеет дверь. Перегородка с салоном водителя оборудована окном обзора с раздвижными стеклами.
Рис. 4.1. Передвижная лаборатория.
Вид на левую стенку с приборами
Рис. 4.2. Передвижная лаборатория. План
4.5. В аппаратурном отсеке блоки приборов расположены на специальной панели вдоль левого борта автомобиля. Рабочее место оператора снабжено вращающимся креслом и столом оператора для выполнения записей, графических работ и др.
4.6. На панели размещен основной пульт, блок каротажных регистраторов, электронный блок к датчику пройденного пути, детектор транспортного потока, секция для документации, секция ЗИП, осветительная панель и лоток электрических кабелей. Приборы закреплены с помощью амортизаторов с резиновыми втулками.
4.7. Под панелью приборов на выдвижной платформе установлен перфоратор ПЛ-150 М с лентоприемным устройством. Гироскопический датчик крена с юстировочным устройством установлен вдоль продольной оси симметрии лаборатории под креслом оператора. Гироскопический датчик курса закреплен под крышкой стола оператора.
4.8. Аппаратурный отсек оборудован откидным креслом лаборанта и укомплектован набором геодезических инструментов. Экспликация оборудования приведена в таблице 4.1.
Таблица 4.1
Перечень оборудования передвижной лаборатории
─────────────┬────────────────────────────────────────────────────
NN элементов │ Наименование элементов оборудования
оборудования │
─────────────┴────────────────────────────────────────────────────
1. Стол оператора
2. Шкаф для одежды и секция ЗИП
3. Основной пульт
4. Блок формирования служебной информации
5. Блок измерения интенсивности движения
6. Универсальный измеритель пройденного пути
7. Гироскопический датчик курса ГУ-2
8. Гироскопический датчик крена ЦГВ-4 с юстировочным
устройством
9. Блок перфорации
10. Стойка блоков питания
11. Бензоэлектрический агрегат
12. Мерное колесо (датчик пути)
13. Предупреждающий знак с подсветкой и сигнальными
маячками
14. Слесарный верстак и механизм поднятия колеса
15. Блок каротажных регистраторов
16. Отопительная установка
17. Кресло оператора
18. Откидное кресло
──────────────────────────────────────────────────────────────────
4.9. В отсеке энергообеспечения с правой стороны расположен бензоэлектрический агрегат типа АБ-1-0,1/230, вырабатывающий переменный ток напряжением 220 В и частотой 50 Гц, а также стойка блоков питания с преобразователями тока. С левой стороны отсека размещены слесарный верстак с ящиками для инструментов и направляющая штанга с подпружиненным штоком мерного колеса. Для работы за верстаком предусмотрено откидное кресло. Мерное колесо (датчик пройденного пути) расположено под днищем автомобиля. С правой стороны под днищем автомобиля в специальных коробах-нишах установлены аккумуляторные батареи (резервное питание).
Передвижная лаборатория имеет яркую окраску и оборудована сигнально-опознавательными знаками.
4.10. Основной пульт обеспечивает управление процессом регистрации результатов измерений на перфоленту и формирование служебной информации. Пульт состоит из блока аналого-цифрового преобразования, блока преобразования кодов, ячейки программирования, блока набора, служебной информации, блоков индикации и управления работой перфоратора. Формирование в цифровом коде служебной информации упрощает ее дешифрацию при обработке на ЭВМ. Блок набора служебной информации (БНСИ) изготовлен в отдельном корпусе и размещается на столе оператора. Наборное поле блока содержит 10 клавиш, при нажатии которых осуществляется запись на перфоленту десятичных цифр в соответствующем цифровом коде. К верхней крышке блока прикреплены шильды с обозначениями кодов характерных точек.
4.11. Блок каротажных регистраторов состоит из трех самописцев типа Н-381, механического привода лентопротяжных механизмов с муфтой аварийного отключения и ручками раздельного их включения. Привод передает вращение от внешнего гибкого вала мерного колеса к лентопротяжным механизмам. С правой стороны блока на лицевой стороне размещены тумблеры включения гироскопических датчиков, переключатели диапазонов измерения, кнопки "Отметка", "Арретир", "Установка нуля", индикаторы напряжения в сети питания.
4.12. Датчик пройденного пути конструктивно состоит из колеса окружностью 1,0 м с резиновым ободом и редуктором, наклонной подпруженной штанги, вертикальной направляющей штанги с пружиной, штоком и фиксатором положения, а также грязезащитных шторок с механизмом управления. В транспортном положении колесо должно быть поднято вверх и закрыто снизу грязезащитными шторками. В режиме измерений колесо через редуктор вращает внешний гибкий вал (привод самописцев). При каждом обороте колеса формируется электрический импульс, который подается на электронный измеритель пройденного пути.
4.13. Электронный измеритель пройденного пути обеспечивает:
- счет оборотов мерного колеса, индикацию на информационном табло скорости движения передвижной лаборатории и пройденного пути как в прямом, так и в реверсивном режимах;
- задание местоположения начальной точки (начального отсчета);
- формирование управляющих сигналов для фиксирования на диаграммных лентах регистраторов меток через задаваемый шаг измерений;
- коррекцию измерения пройденного пути в зависимости от длины окружности мерного колеса;
- задание конечного отсчета по пройденному пути и выдачу звукового сигнала при подходе к последней точке обследуемого участка дороги;
- формирование и передачу на основной пульт командного электрического сигнала для считывания информации с аналого-цифровых преобразователей.
4.14. В период подготовки к обследованиям проверяется техническое состояние базового автомобиля передвижной лаборатории, а также работоспособность измерительной и регистрирующей аппаратуры. Лаборатория укомплектовывается необходимым количеством диаграммных и перфораторных лент, чернил, комплектами ЗИП и др.
4.15. Составляется маршрут движения и пункты остановок. Оператор и водитель проходят инструктаж. Обследуемая дорога предварительно разбивается на участке протяжением не более 10 км. Определяется местонахождение и пикетаж начальной точки обследуемой дороги.
Непосредственно на дороге проверяется готовность и осуществляется запуск аппаратуры. Работы выполняются согласно инструкциям по эксплуатации лаборатории и отдельных блоков аппаратуры.
4.16. Производится юстировка гироскопического датчика крена. При этом включается тумблер "Измерения" на основном пульте. Снимаются показания с цифрового табло по продольному и поперечному наклонам, автомобиль разворачивается на 180°, снова снимаются показания. Затем вычисляются правильные отсчеты как алгебраическая полуразность показаний по прямому и обратному направлениям. Вращением юстировочных винтов изменяется положение гироскопического датчика. Вращение производится до тех пор, пока не будут установлены правильные отсчеты.
4.17. Перед измерениями передвижная лаборатория должна находиться за 25 - 50 м до начала обследуемого участка дороги. Оператор с помощью теодолита по буссоли определяет магнитный азимут направления трассы дороги в начальной точке (ошибка измерений не должна превышать 1°). Опускается на покрытие дороги мерное колесо.
| | ИС МЕГАНОРМ: примечание. В официальном тексте документа, видимо, допущена опечатка: Рис. 4.3 отсутствует. Вероятно, речь идет о рис. 4.3.1. и рис. 4.3.2. | |
На диаграммных лентах самописцев карандашом наносятся служебные записи. Указываются наименования дороги, местоположение начала обследуемого участка, измеряемый параметр, дата и масштаб измерений. Заполняется сопроводительный ярлык к перфоленте (см. рис. 4.3).
┌─────┬──────┬───────┬──────────────┬────────────────────────────────────────────┬───────
│Но- │Код │Интер- │ Поперечный │ Масштабные коэффициенты │Приме-
│мер │харак-│вал │ коэффициент │ │чание
│по- │тер- │пути │ на путь ├───────────┬───────────┬───────────┬────────┼───────
│ло │ности │ │ │ Угол │Продольный │Поперечный │Магнит- │
│сы │точек │ │ │ поворота │ уклон │ уклон │ный ├───────
│дви- │ │ │ │ │ │ │азимут │
│же- │ │ │ │ │ │ │ ├───────
│ния │ │ │ │ │ │ │ │
│ │ │ │ │ │ │ │ ├───────
│ │ │ │ │ │ │ │ │
├─────┼──┬───┼───┬───┼──┬──┬──┬──┬──┼──┬──┬──┬──┼──┬──┬──┬──┼──┬──┬──┬──┼──┬──┬──┼──┬────
│ 26 │27│28 │29 │30 │31│32│33│34│35│36│37│38│39│40│41│42│43│44│45│46│47│48│49│50│51│
├─────┼──┼───┼───┼───┼──┼──┼──┼──┼──┼──┼──┼──┼──┼──┼──┼──┼──┼──┼──┼──┼──┼──┼──┼──┼──┼────
├─────┼──┼───┼───┼───┼──┼──┼──┼──┼──┼──┼──┼──┼──┼──┼──┼──┼──┼──┼──┼──┼──┼──┼──┼──┼──┼────
├─────┼──┼───┼───┼───┼──┼──┼──┼──┼──┼──┼──┼──┼──┼──┼──┼──┼──┼──┼──┼──┼──┼──┼──┼──┼──┼────
├─────┼──┼───┼───┼───┼──┼──┼──┼──┼──┼──┼──┼──┼──┼──┼──┼──┼──┼──┼──┼──┼──┼──┼──┼──┼──┼────
├─────┼──┼───┼───┼───┼──┼──┼──┼──┼──┼──┼──┼──┼──┼──┼──┼──┼──┼──┼──┼──┼──┼──┼──┼──┼──┼────
├─────┼──┼───┼───┼───┼──┼──┼──┼──┼──┼──┼──┼──┼──┼──┼──┼──┼──┼──┼──┼──┼──┼──┼──┼──┼──┤
├─────┼──┼───┼───┼───┼──┼──┼──┼──┼──┼──┼──┼──┼──┼──┼──┼──┼──┼──┼──┼──┼──┼──┼──┼──┼──┼────
├─────┼──┼───┼───┼───┼──┼──┼──┼──┼──┼──┼──┼──┼──┼──┼──┼──┼──┼──┼──┼──┼──┼──┼──┼──┼──┤
└─────┴──┴───┴───┴───┴──┴──┴──┴──┴──┴──┴──┴──┴──┴──┴──┴──┴──┴──┴──┴──┴──┴──┴──┴──┴──┴────
Рис. 4.3.1. Сопроводительный ярлык к перфоленте.
Лицевая сторона
┌────────────────┬─────┬─────┬───────────────┬────────────────────┬─────────────────┬───────┐
│Рег. N _________│Код │Код │ Код дороги │ Местоположение │ Дата │Код │
│ │типа │прог-│ │ начала дороги ├─────┬─────┬─────┤направ-│
│Тип │обра-│раммы│ │ (участка) │Год │Месяц│Число│ления │
│информации _____│ботки│обра-│ │ │ │ │ │движе- │
│________________│ │ботки│ │ │ │ │ │ния │
│ │ │ │ │ │ │ │ │ │
│Наименование │ │ │ │ │ │ │ │ │
│дороги _________│ │ │ │ │ │ │ │ │
│________________│ │ │ │ │ │ │ │ │
│ │ │ │ │ │ │ │ │ │
│Участки │ │ │ │ │ │ │ │ │
│дороги _________│ │ │ │ │ │ │ │ │
│1. _____________│ │ │ │ │ │ │ │ │
│2. _____________│ │ │ │ │ │ │ │ │
│3. _____________├─┬───┼──┬──┼─┬─┬─┬─┬─┬──┬──┼──┬──┬──┬──┬──┬──┬──┼──┬──┼──┬──┼──┬──┼───────┤
│4. _____________│1│ 2 │3 │4 │5│6│7│8│9│10│11│12│13│14│15│16│17│18│19│20│21│22│23│24│ 25 │
├──────┬──┬──────┼─┼───┼──┼──┼─┼─┼─┼─┼─┼──┼──┼──┼──┼──┼──┼──┼──┼──┼──┼──┼──┼──┼──┼──┼───────┤
│NN │ 1│ │ │ │ │ │ │ │ │ │ │ │ │ │ │ │ │ │ │ │ │ │ │ │ │ │ │
│участ-│ ├──────┼─┼───┼──┼──┼─┼─┼─┼─┼─┼──┼──┼──┼──┼──┼──┼──┼──┼──┼──┼──┼──┼──┼──┼──┼───────┤
│ков │ │ │ │ │ │ │ │ │ │ │ │ │ │ │ │ │ │ │ │ │ │ │ │ │ │ │ │
│дороги├──┼──────┼─┼───┼──┼──┼─┼─┼─┼─┼─┼──┼──┼──┼──┼──┼──┼──┼──┼──┼──┼──┼──┼──┼──┼──┼───────┤
│и опи-│ 2│ │ │ │ │ │ │ │ │ │ │ │ │ │ │ │ │ │ │ │ │ │ │ │ │ │ │
│сание │ ├──────┼─┼───┼──┼──┼─┼─┼─┼─┼─┼──┼──┼──┼──┼──┼──┼──┼──┼──┼──┼──┼──┼──┼──┼──┼───────┤
│на- │ │ │ │ │ │ │ │ │ │ │ │ │ │ │ │ │ │ │ │ │ │ │ │ │ │ │ │
│чаль- ├──┼──────┼─┼───┼──┼──┼─┼─┼─┼─┼─┼──┼──┼──┼──┼──┼──┼──┼──┼──┼──┼──┼──┼──┼──┼──┼───────┤
│ных │ 3│ │ │ │ │ │ │ │ │ │ │ │ │ │ │ │ │ │ │ │ │ │ │ │ │ │ │
│точек │ ├──────┼─┼───┼──┼──┼─┼─┼─┼─┼─┼──┼──┼──┼──┼──┼──┼──┼──┼──┼──┼──┼──┼──┼──┼──┼───────┤
│ │ │ │ │ │ │ │ │ │ │ │ │ │ │ │ │ │ │ │ │ │ │ │ │ │ │ │ │
│ ├──┼──────┼─┼───┼──┼──┼─┼─┼─┼─┼─┼──┼──┼──┼──┼──┼──┼──┼──┼──┼──┼──┼──┼──┼──┼──┼───────┤
│ │ 4│ │ │ │ │ │ │ │ │ │ │ │ │ │ │ │ │ │ │ │ │ │ │ │ │ │ │
│ │ ├──────┼─┼───┼──┼──┼─┼─┼─┼─┼─┼──┼──┼──┼──┼──┼──┼──┼──┼──┼──┼──┼──┼──┼──┼──┼───────┤
│ │ │ │ │ │ │ │ │ │ │ │ │ │ │ │ │ │ │ │ │ │ │ │ │ │ │ │ │
└──────┴──┴──────┴─┴───┴──┴──┴─┴─┴─┴─┴─┴──┴──┴──┴──┴──┴──┴──┴──┴──┴──┴──┴──┴──┴──┴──┴───────┘
Рис. 4.3.2. Сопроводительный ярлык к перфоленте.
Обратная сторона
4.18. Нажатием на кнопку "Код зоны" записываются на перфоленту 14 специальных кодовых строк с пробивками по всем 8-ми дорожкам. Затем основной пульт переводится в режим работы "Служб" и осуществляется занесение в промежуточный 51-разрядный регистр памяти служебной информации. При этом оператор нажимает клавиши наборного поля блока БНСИ строго в соответствии с порядком записи цифр в графах 1 - 51 сопроводительного ярлыка. Набор служебной информации контролируется по 8-разрядному индикационному табло, а также включению светодиодов на блоке набора служебной информации. После завершения набора нажимается кнопка "Запись служб.", и содержимое регистра записывается на перфоленту в коде 8-4-2-1.
4.19. Нажатием кнопок и переключением тумблеров на электронном измерителе пройденного пути задается местоположение начала обследуемого участка дороги, длина окружности мерного колеса, шаг формирования меток пути, местоположение точки, при подходе к которой должен быть выдан звуковой сигнал. Если местоположение конечной точки участка не известно и должно быть установлено в процессе измерений, тогда на блоке УИПП задается такой отсчет, чтобы звуковой сигнал получить заранее, иметь возможность выбора конечной точки и не допускать превышения максимальной длины участка дороги, то есть 10 км.
4.20. После набора служебной информации режим работы основного пульта переводится в состояние "Измерение" и начинается движение по обследуемому участку дороги.
4.21. При проезде начальной точки участка дороги на блоке БНСИ набирается код 15, что является признаком начала участка, нажимается кнопка "Счет" на электронном измерителе пройденного пути, а также кнопка "Отметка" на блоке каротажных регистраторов.
4.22. В процессе обследований оператор контролирует работу аппаратуры, следит за ситуацией на дороге, регистрирует характерные точки (границы участка, трубы, мосты, километровые знаки и т.д.) в соответствии с кодификатором (см. табл. 4.2). При проезде характерной точки оператор правой рукой набирает код характеристики на клавишном наборном поле, а левой нажимает на кнопку "Отметка" на блоке регистратора.
Таблица 4.2
Кодификатор характерных точек
──────────┬────────────────────────┬───────────┬──────────────────
Цифровой │ Тип характерной точки │ Цифровой │ Тип характерной
код │ │ код │ точки
──────────┼────────────────────────┼───────────┼──────────────────
01 │Труба │ 09 │Конец съезда
02 │Мост │ 10 │Остановка
03 │Съезд │ 11 │Начало сброса
04 │Переезд │ 12 │Конец сброса
05 │ЛЭП │ 13 │Начало кривой
06 │Километровый знак │ 14 │Конец кривой
07 │Путепровод │ 15 │Начало участка
08 │Начало объезда │ 16 │Конец участка
──────────┴────────────────────────┴───────────┴──────────────────
4.23. Характерная точка "Начало кривой" фиксируется за 10 - 20 м до начала закругления в плане, а точки "Конец кривой" - через 10 - 20 м после проезда закругления.
4.24. Если при движении обнаруживается сбой в работе аппаратуры, отмечается тип характерности "Остановка", передвижная лаборатория останавливается, выясняется и ликвидируется причина сбоя. После начала движения вновь пробивается код характерности "Остановка". Таким образом, тип характерности "Остановка" является признаком сбоя в работе аппаратуры. В дальнейшем при обработке носителей информации участок записи между двумя однотипными характерными точками с признаком характерности "Остановка" считается недействительным и осредняется по показаниям на смежных участках.
Остановка может быть вызвана также неисправностью автомобиля или другими причинами. В любом случае при обработке перфолент на ЭВМ производится исправление показаний на участке с признаками характерности "Остановка".
4.25. При выездах на смежную полосу движения или обочину, вызванных каким-либо препятствием на дороге, участок объезда выделяется характерными точками "Начало объезда", "Конец объезда".
4.26. Избежать зашкаливания показаний по углу поворота при проезде нескольких кривых в плане, направленных в одну сторону, можно смещая местоположение нуля гироскопического датчика курса. Для сброса показаний нажимается правая или левая кнопка "Установка нуля" на панели блока регистраторов. Непосредственно перед сбросом фиксируется характерная точка "Начало сброса", а после его окончания - точка "Конец сброса".
4.27. При проезде последней точки участка набирается код 16, являющийся признаком конца, производится выключение счета на электронном измерителе пройденного пути, нажимается кнопка "Отметка" для нанесения признака конца участка на диаграммных лентах. Передвижная лаборатория проезжает еще 20 - 50 м, разворачивается и останавливается. Измеряется магнитный азимут по буссоли в точке "Конец участка" в обратном направлении.
Заполняется следующая строка в сопроводительном ярлыке для измерений, которые будут произведены при движении по участку дороги в обратном направлении.
Нажимается кнопка "Код зоны", производится холостой прогон перфоленты на 15 - 25 см. Основной пульт переводится в режим "Служб.". Нажимается кнопка "Код зоны". Осуществляется запись на перфоленту служебной информации, указанной в 1 - 51 графах соответствующей строки сопроводительного языка. Основной пульт переводится в режим "Измерение". Нажимается кнопка "Реверс" на электронном блоке измерения пройденного пути. Производится движение лаборатории в обратном направлении.
4.28. Измерения при движении в обратном направлении по участку дороги выполняются так же, как и в прямом. По окончании измерений лаборатория переезжает к началу следующего участка дороги, и цикл измерений повторяется.
4.29. Ограничение, накладываемое на длину обследуемого участка дороги за один цикл, связано с требованием проведения измерений в прямом и обратном направлениях при одной и той же юстировке гироскопического датчика крена. При длительных измерениях от ударов подвески автомобиля и вибрации юстировка может быть нарушена. Кроме того, на участках большого протяжения возникают искажения в измеренных углах поворота трассы дороги, обусловленные влиянием вращения земли на показания гироскопического датчика.
4.30. При поступлении перфолент с данными измерений в Вычислительный центр проверяется комплектность материалов, наличие сопроводительных ярлыков, физическое состояние носителей информации, наличие необходимых реквизитов. Поступившие материалы регистрируются в Журнале входных документов и передаются на обработку. Выходные таблицы, получаемые в результате обработки, имеют вид:
Таблица 4.3
───────────────────┬─────────────────┬──────────────────┬─────────
Местоположение, м │ Угол поворота, │ Параметр │ Азимут,
────────┬──────────┤ град. ├────────┬─────────┤ град.
Начало │ Конец │ │ Тип │ Величина│
────────┴──────────┴─────────────────┴────────┴─────────┴─────────
Таблица 4.4
Элементы продольного профиля
──────────────────┬────────────────────────┬──────────────────────
Местоположение │ Продольный уклон, %о │ Параметр кривой
────────┬─────────┤ ├─────────┬────────────
Начало │ Конец │ │ Тип │ Величина
────────┴─────────┴────────────────────────┴─────────┴────────────
Таблица 4.5
Видимость
────────────────────────────────┬─────────────────────────────────
Местоположение, м │ Расстояние видимости, м
────────────────────────────────┴─────────────────────────────────
Таблица 4.6
───────────────────────────────────┬──────────────────────────────
Местоположение, м │Средний поперечный уклон, %о
─────────────────┬─────────────────┤
Начало участка │ Конец участка │
─────────────────┴─────────────────┴──────────────────────────────
4.31. Печать выходных таблиц сопровождается указанием полного наименования дороги, местоположения обследованного участка, даты проведения измерений, полосы и направления движения. В
таблицах 4.3 -
4.6 в графе "Тип" указывается характер элемента дороги (прямой участок, круговая или переходная кривые). В графе "Величина" печатается значение радиуса круговой кривой в м или параметр переходной кривой (клотоиды). Видимость рассчитывается для прямого и обратного направлений движения в точках через 20 м. При этом на печать выводятся только те точки дороги, в которых расстояние видимости меньше 700 м.
4.32. Оценка поперечных уклонов покрытия производится по полосам движения. В выходной таблице данные представляются по участкам, на которых величина поперечного уклона изменяется не более, чем на величину строительного допуска, т.е. +/- 10%о.
МЕТОДЫ И ПРИБОРЫ ИЗМЕРЕНИЯ РОВНОСТИ И
СЦЕПНЫХ СВОЙСТВ ДОРОЖНОГО ПОКРЫТИЯ
1. Общие положения
1.1. При оценке ровности и сцепных свойств дорожных покрытий применяют сплошной или выборочный контроль. Сплошной контроль предназначен для обследования участков дорог протяжением более 1 км, выборочный - менее 1 км.
Выборочный контроль ровности и сцепных свойств покрытия осуществляют также при обследовании опасных участков дорог, выяснении причин дорожно-транспортных происшествий и т.д.
1.2. При сплошном контроле ровности оценивают с помощью передвижной установки ПКРС-2У (лаборатория КП-511 или КП-514), а также толчкомера ТХК-2 или ТЭД-2, устанавливаемого в автомобиле-лаборатории.
1.3. Ровность покрытия лабораторией КП-511 или толчкомерами определяют проездом установки по каждой полосе движения со скоростью 50 км/ч с допустимым отклонением +/- 2 км/ч. При этом показатель ровности регистрируется в см/км.
1.4. При измерении ровности толчкомером любого типа эксплуатационное состояние автомобиля должно соответствовать требованиям его технического паспорта: давление в шинах, состояние рессор и амортизаторов, допуск люфтов в пальцах и серьгах рессор. Показание спидометра автомобиля должно соответствовать фактической скорости движения.
1.5. Выборочный контроль ровности осуществляют на захватках (участках) длиной 300 м на обследуемом километре дороги путем измерения просветов под 3-х метровой рейкой. Захватки выбирают на самых неблагоприятных по ровности участках, установленных визуальным осмотром.
В процессе измерения рейку укладывают в продольном направлении через каждые 30 м и в поперечнике производят измерения: на оси и по крайним полосам наката.
Согласно инструкции по эксплуатации рейки просветы под рейкой измеряют в 5 точках, расположенных на расстоянии 0,5 м.
1.6. Сплошной контроль сцепных свойств дорожных покрытий осуществляют с помощью передвижной установки ПКРС-2У (лаборатория КП-511 или КП-514) или других приборов, показания которых должны быть приведены к показаниям ПКРС-2У. Коэффициент сцепления измеряют при скорости автомобиля-лаборатории 60 км/ч путем полного затормаживания измерительного колеса на мокром покрытии с шиной без протектора. В момент измерения толщина водной пленки на покрытии должна быть не менее 1 мм.
Измерения производят по левой полосе наката каждой полосы движения. Количество измерений на километр зависит от однородности поверхности покрытия и колеблется от 2 до 6.
1.7. Выборочный контроль сцепных свойств покрытия осуществляют переносным прибором ППК-2 на мокром покрытии.
1.8. Сплошной контроль ровности и сцепных свойств покрытий производят при первичных и повторных ежегодных обследованиях и оценке состояния дорог.
Выборочный контроль производят на участках ремонта. Его выполняют дважды: до ремонта и после ремонта.
2. Лаборатория контроля ровности и коэффициента
сцепления дорожных покрытия КП-511
2.1. Назначение и устройство лаборатории КП-511
2.1.1. Лаборатория КП-511 предназначена для измерения ровности и коэффициента сцепления поверхности покрытий автомобильных дорог как вновь построенных, так и находящихся в эксплуатации и может быть использована дорожными проектными, строительными и эксплуатационными организациями при решении задач по определению технико-эксплуатационного состояния автомобильных дорог.
2.1.2. Лаборатория КП-511 является модернизированным вариантом передвижной лаборатории ПКРС-2.
2.1.3. Лаборатория КП-511 оборудуется на базе (шасси) автомобилей типа ЕрАЗ, УАЗ или РАФ и укомплектовывается одноколесным динамометрическим прицепом.
Базовый автомобиль разбит на три отсека: отсек водителя, отсек операторов, рабочий отсек (рис. 2.1). В отсеке оператора установлены пульт управления измерениями и каротажный регистратор Н381 для записи на диаграммную ленту сигналов о показателях ровности и сцепления дорожных покрытий; система управления интенсивностью увлажнения покрытия и система управления и блокирования колеса динамометрического прицепа. В рабочем отсеке расположены бак для воды объемом не менее 300 л, предназначенный для увлажнения покрытия при определении коэффициента сцепления; шкафчики для хранения инструмента и тарировочных приспособлений; аккумуляторная батарея (источник питания измерительных приборов и оборудования лаборатории).
Передвижная дорожная лаборатория КП-511
Рис. 2.1
I - отсек водителя; II - операторский отсек; III - рабочий
отсек; IV - динамометрический прицеп.
1. Рабочий стол оператора.
2. Пульт управления.
3. Сидения операторов.
4. Бак для воды
5. Шкафы для инструментов.
В динамометрическом одноколесном прицепе с параллелограммной подвеской колеса установлены тормозные и амортизационные устройства, индуктивный преобразователь измерения тормозного усилия.
2.2. Технические характеристики лаборатории КП-511
2.2.1. Пределы измерения ровности: 0 - 2000 см/км.
2.2.2. Пределы измерения коэффициента сцепления: 0 - 1.
2.2.3. Относительная погрешность измерения ровности по записи на диаграммной ленте не более +/- 2,5% от конечного значения диапазона измерений при нормальных условиях применения измерительной аппаратуры.
2.2.4. Предельная относительная погрешность измерения ровности по записи на диаграммной ленте не более 5% от конечного значения диапазона измерений при рабочих условиях применения измерительной аппаратуры.
2.2.5. Абсолютное значение допустимой погрешности измерения коэффициента сцепления по записи на диаграммной ленте не более +/- 0,03 значения измеряемой величины установленного предела измерения при нормальных условиях и +/- 0,04 значения измеряемой величины при рабочих условиях.
Примечание. Нормальные условия характеризуются нормальной областью значения влияющих величин, характеризующих климатические воздействия и электропитание средств измерений: температура окружающего воздуха (20 +/- 5 °C), относительная влажность (65 +/- +/- 15%), атмосферное давление (100 +/- 4 кПа), напряжение питающей сети (12 +/- 1 В). Рабочие условия характеризуются рабочей областью значений, величин, характеризующих климатические, механические и электрические воздействия на измеряющие устройства.
2.3. Подготовка лаборатории КП-511 к работе
2.3.1. Подготовка лаборатории КП-511 к работе заключается в проверке ряда узлов, приборов и оборудования, тарировке измерительного канала ровности и тарировке измерительного канала коэффициента сцепления.
2.3.2. При проверке узлов и деталей проверяется уровень напряжения источника питания (аккумуляторной батареи), надежность штепсельных разъемов, осматриваются бронешланги сети питания динамометрического прицепа, проверяются работа гидравлической системы торможения прицепа и система увлажнения покрытия.
Напряжение источника питания (аккумуляторной батареи) должно быть равным 12 +/- 0,5 В под нагрузкой номинального значения. При включении измерительного канала сцепления отклонение стрелки индикатора ИП должно быть равным 3 делениям.
2.3.3. Перед тарировкой измерительных каналов ровности и сцепления аппаратура лаборатории КП-511 должна находиться во включенном состоянии не менее 15 мин.
2.3.4. Тарировка измерительных каналов ровности и сцепления должна выполняться согласно инструкции по эксплуатации лаборатории КП-511.
2.4. Проведение измерений
2.4.1. Ровность покрытий оценивается путем проезда автомобиля-лаборатории КП-511 по каждой полосе движения автомобильной дороги со скоростью 50 км/ч и регистрации толчков с помощью тахометра на диаграммную ленту самописца.
2.4.2. Единицей измерения ровности является суммарное перемещение измерительного колеса в вертикальной плоскости относительно корпуса прицепа на единицу длины по протяжению дороги (см/км).
2.4.3. Экипаж лаборатории состоит из 2-х операторов и водителя.
2.4.4. Порядок выполнения операций при оценке ровности:
- за 15 минут до начала измерений включить питающий усилитель аппаратуры;
- на диаграммной ленте самописца произвести запись нулевой линии, название обследуемой дороги (участка), направление измерения, начальный километр, вид и режим измерения;
- за 500 м до начала участка измерений включить проблесковые маячки, фары дальнего света автомобиля, табло "измерение", лентопротяжный механизм с требуемым масштабом записи и тумблер "ровность", водитель набирает необходимую при измерении скорость;
- заданная скорость измерения поддерживается постоянной;
- при проезде километровых знаков или характерных точек делают привязочные отметки на ленте с помощью специальной кнопки "отметка глубины". Карандашом записываются номера километровых знаков и названия характерных точек;
- по окончании участка измерений лаборатория должна проследовать не менее 500 м, развернуться и приступить к измерению другой полосы движения в той же последовательности;
- измерения проводят по левой стороне наката каждой полосы движения.
2.4.5. Измерение сцепления покрытий проводят в режиме скольжения полностью заблокированного колеса прицепного устройства по увлажненной поверхности покрытия. Колесо блокируется нажатием на тормозную педаль в отдельных точках дороги.
2.4.6. Непосредственно перед каждым измерением коэффициента сцепления дорожное покрытие должно быть искусственно увлажнено путем открытия заслонки системы принудительного нормированного полива, при этом расход воды должен быть таким, чтобы обеспечить на покрытии расчетную пленку воды толщиной 1 мм. (Под "расчетной пленкой" следует понимать условную величину, являющуюся отношением расхода воды к площади увлажнения.)
При проведении измерений коэффициента сцепления необходимо фиксировать температуру воздуха и получаемые величины приводить к расчетной температуре +20 °C путем введения поправки, данной в табл. 2.1.
Таблица 2.1
──────────────────────────────────────────────────────────────────
Температура, °C 0 +5 +10 +15 +20 +25 +35 +40
──────────────────────────────────────────────────────────────────
Поправка -0,06 -0,04 -0,03 -0,02 0 +0,01 +0,02 +0,02
──────────────────────────────────────────────────────────────────
2.4.7. При измерении величины коэффициента сцепления на большом протяжении проводят не менее 3-х измерений на 1 км полосы движения.
2.4.8. Порядок выполнения операций при измерении величин коэффициентов сцепления аналогичен последовательности измерений ровности, изложенной в
п. 2.4.4 при включенном тумблере "сцепление". Различия состоят в том, что лентопротяжный механизм с требуемым масштабом включается за 50 м до нажатия педали блокировки колеса прицепа и в момент блокировки колеса проводится увлажнение покрытия.
2.4.9. Время торможения (блокировки колеса прицепного устройства) - 2 - 3 с.
2.5. Обработка результатов измерения
2.5.1. При обработке и оценке результатов измерения ровности расшифровывают диаграммы, полученные на ленте самописца (диаграммная лента), с помощью тарировочной линейки горизонтального масштаба; уточняют местоположение километровых знаков, а там, где их нет, отмечают на ленте их положение (рис. 2.2).
Диаграмма самописца при измерении
а) ровности покрытия
б) коэффициента сцепления
Рис. 2.2
1 - нулевая линия; 2 - граница оценочного балла "отлично";
3 - граница оценочного балла "хорошо"; 4 - граница оценочного
балла "удовлетворительно"; 5 - граница оценочного балла
"неудовлетворительно"
| | ИС МЕГАНОРМ: примечание. П. 2.5.2 Приложения 3 дан в соответствии с официальным текстом документа. | |
2.5.2. По линии записи ровности в пределах каждого километра с помощью тарировочной линейки определяют среднюю величину ровности ср. Если в пределах километра можно выделить участки более 200 м со значительным отклонением ровности от средней величины, то их выделяют в самостоятельные участки. В пределах этих участков определяют также максимальную и минимальную величину ровности и
2.5.3. Величину неравномерности в пределах одного километра (или самостоятельного участка) оценивают отношением максимального значения ровности к минимальному. Если это отношение более 2 - "неудовлетворительно".
2.5.4. Расшифровку диаграмм ровности, полученных на ленте самописца, можно производить с помощью полярного планиметра ПП-М. Для этого в соответствии с паспортом и инструкцией по эксплуатации планиметра определяется покилометровая площадь диаграмм. Разделив полученную площадь на диаграммную длину километра, получаем покилометровую среднюю ровность. При таком способе определения покилометровой средней ровности увеличивается точность и скорость измерений. Точность планиметра - +/- 0,2%.
2.5.5. Величину коэффициента сцепления определяют по тарировочной линейке по расстоянию от нулевой линии до линии замеров в виде полки. Первый всплеск в замерах не учитывается, т.к. он получается в начальный момент торможения колеса, когда оно полностью не заторможено.
3. Толчкомер ТХК-2
3.1. Толчкомер ТХК-2 состоит из трех основных узлов: счетного механизма, подставки и системы соединения счетного механизма с задним мостом автомобиля. Измерение прибором производят на основе "Инструкции по оценке ровности дорожных покрытий толчкомером" ВСН 21-84 Минавтодора КазССР.
3.2. При движении автомобиля сжатие рессор передается через гибкий трос, который поворачивает барабан, а он через храповую муфту производит отсчет величины сжатия рессор на счетных барабанах. В нужный момент нажатием кнопки приводится в действие магнитная катушка, которая с помощью ударника фиксирует отсчет на бумажной ленте. При этом перемещение бумажной и пишущей лент производится автоматически при каждом ударе ударника.
3.3. В основе определения ровности дорожных покрытий толчкомером лежит метод измерения амплитуды колебаний автомобиля под воздействием неровностей покрытия. Толчкомер характеризует ровность покрытий суммой сжатия рессор автомобиля в сантиметрах на контролируемом участке дороги (см/км).
3.4. При измерении ровности покрытий давление в шинах, состояние рессор и т.д. должны соответствовать паспортным данным используемого автомобиля.
3.5. В период измерения ровности нагрузка в кузове автомобиля не должна превышать:
- при использовании легковых автомобилей типа УАЗ, РАФ-2 - 5 кН;
- при использовании грузовых автомобилей и автобусов типа ГАЗ-51, ЗИЛ-130, ПАЗ-651, КаВЗ-685 - 3,5 кН;
- при использовании базового автомобиля УАЗ-452 допускается проводить измерения с нагрузкой в кузове до 8 кН.
3.6. Измерение ровности производится при постоянной скорости движения автомобиля 50 км/ч. Скорость движения определяется по спидометру и контролируется двумя секундомерами, которые включаются последовательно против каждого километрового столба.
3.7. При измерении ровности проезд автомобиля должен осуществляться по полосам наката. Количество проездов на каждой полосе движения (в прямом и обратном направлении) принимается в зависимости от технической категории дороги:
I и II кат. - 3 проезда;
III и IV кат. - 2 проезда;
V кат. - 1 проезд.
3.8. Измерение ровности покрытий в зимний период, а также в период выпадения дождя и сразу после его прекращения не допускается.
4. Передвижная многоопорная рейка ПКР-4М для контроля ровности
дорожных покрытий
4.1. Рама передвижной многоопорной рейки изготовлена из листовой стали, разборная, состоит из трех частей. Длина между центрами крайних колес 3000 мм. Общий габарит рейки 3300 x 365 x 200 мм, общий вес - 27 кг. На раме смонтированы 12 опорных колес диаметром 150 мм со сплошными резиновыми шинами; расстояние между осями колес - 250 мм.
4.2. Для записи показаний бумажная лента наматывается на основной барабан, откуда подается на записывающий барабан и далее через ведущий резиновый ролик, к которому она прижимается прижимным роликом, сматывается на приемный барабан. Во вращательное движение приемный барабан приводится ведущим роликом.
4.3. Измерительное колесо диаметром 150 мм со сплошной резиновой вулканизированной шиной установлено из двух шариковых подшипников на горизонтальном валу вместе с червяком, храповиком и храповыми собачками, смонтированными в корпусе редуктора. Для обеспечения вертикального перемещения редуктора по отношению к корпусу прибора в наружной трубке помещена пружина для возврата редуктора в нижнее положение.
4.4. Ровность поверхности без записи показаний оценивается с помощью шкалы со стрелкой. Перемещения измерительного колеса передаются на стержень, а затем через систему блоков - на стрелку и подвижную иглу. Деления на шкале нанесены в увеличенном масштабе 3:1.
4.5. Для проверки правильности установки опорных колес рейка выставляется на тарировочную площадку. Каждое опорное колесо должно прокручиваться с одинаковой силой.
4.6. Тарировочная площадка представляет собой либо кусок проката (швеллер, тавр, двутавр) длиной 3,5 м, шириной 20 - 25 см либо другую ровную поверхность, где неровности не превышают 0,5 мм на длине 3,5 м. При установке рейки на тарировочной площадке стрелка должна совпадать с нулевым делением. Если под измерительное колесо подкладывать тарировочные бруски высотой 3, 5, 7, 10 и 15 мм, то стрелка должна отклоняться вверх в соответствии с таким же числом делений по шкале. При подкладывании таких же брусков под переднее или заднее опорное колесо стрелка должна отклониться вверх, причем число делений на шкале должно соответствовать половине высоты бруска.
4.7. Для выявления единичных неровностей на поверхности оснований и покрытий рейку перемещают за рукоятку со скоростью 3 - 4 км/ч. В этом случае делают 2 - 3 проезда и с помощью индикатора (шкалы со стрелкой) фиксируют места с максимальными значениями показаний.
5. Ровномер ШИЛ-Р-5
5.1. Ровномер является разновидностью измерительной рейки и предназначен для контроля ровности дорожных и аэродромных покрытий при их строительстве, приемочных работах и в период эксплуатации.
5.2. Прибор состоит из следующих узлов:
разборной рамы с соединительным устройством; опорных колес рукоятки с пультом управления; блока питания; каретки с установленными на ней: измерительным колесом; механизмом перемещения каретки с электроприводом; записывающего устройства для графического воспроизведения неровностей на диаграммной ленте устройством световой индикации неровностей.
Питание прибора осуществляется от блока питания (аккумулятора) напряжением 12 В.
Масса устройства - 15 кг.
Габариты - 3300 x 240 x 300 мм.
5.3. В процессе контроля ровности покрытий устройство перемещается со скоростью 3 - 4 км/ч и визуально, с помощью устройства световой индикации, оценивается ровность покрытия. В этом случае каретка устанавливается посередине рамы устройства. Вертикальные перемещения измерительного колеса по неровностям преобразуются в перемещения пера самописца и в световые сигналы верхних и нижних индикаторов зеленого, желтого и красного цвета, что соответствует выступам или впадинам величиной 5, 10, 15 и более мм. Для более детальной оценки ровности покрытий устройство устанавливается на покрытие, освобождается тормозное устройство каретки и с помощью механизма перемещения каретка перемещается вдоль рамы прибора, фиксируя неровности по его длине. В этом случае при необходимости документирования результатов контроля включается записывающее устройство.
6. Прибор ППК-2
6.1. Назначение и устройство прибора
6.1.1. Прибор предназначен для оценки коэффициента сцепления колеса автомобиля в определенном месте дорожного покрытия.
6.1.2. Принцип действия прибора основан на оценке потерь кинетической энергии при трении имитаторов колеса автомобиля о покрытие при стандартизованной величине начальной потенциальной энергии.
6.1.3. Прибор состоит из следующих конструктивных элементов (
рис. 6.1):
- несущего элемента - штанги, состоящей из трех труб, внутри которой располагается центральная пружина, которая является измерительным силовым звеном прибора;
- муфты скольжения, которая скользит вдоль штанги и служит для восприятия удара падающего груза и для передачи механического импульса резиновым имитатором;
- привода имитаторов, который состоит из трубы и шарниров, при помощи которых труба соединена с муфтой скольжения имитаторами;
- груза (общей массой 9 кг), который при работе прибора перемещается по наружной поверхности трубы на подшипниках скольжения. Груз удерживается в исходном положении и в нужный момент сбрасывается при помощи механизма сброса груза, который монтируется в верхней трубе штанги;
- подставки прибора, которая служит для его установки на дорожном покрытии в вертикальном положении и состоит из трех лап, которые крепятся с помощью кронштейна к нижнему концу штанги.
Принципиальная схема прибора ППК-2
1 - имитаторы; 2 - шарниры; 3 - толкающие штанги; 4 -
подвижная муфта; 5 - опорная штанга; 6 - сбрасывающее устройство;
7 - подвижный груз; 8 - пружинная шайба; 9 - стягивающие пружины;
10 - регулировочные винты; 11 - шкала; 12 - центральная пружина
6.2. Подготовка прибора к работе
6.2.1. Прибор собирают, устанавливают на дорожное покрытие и с помощью регулировочных винтов производят окончательную его установку таким образом, чтобы нижняя плоскость резиновых имитаторов находилась на расстоянии 10 +/- 2 мм от дорожной поверхности. После перемещения измерительного кольца в верхнее положение прибор готов к работе.
6.2.2. Перед первичным измерением данным прибором, а также в случае длительной эксплуатации прибора необходимо проверить его работоспособность и правильность показаний. Для этого вместо резиновых имитаторов на концы толкающих штанг устанавливают шариковые подшипники, под которые подкладываются стальные шлифованные пластины. После сбрасывания груза регистрирующая шайба прибора должна отсчитывать на штанге отсчет, равный 0. В противном случае в зависимости от полученного значения отсчета с помощью специального винта следует изменить натяжение центральной пружины.
6.3. Проведение измерений
6.3.1. Для измерения коэффициента сцепления дорожное покрытие необходимо увлажнить непосредственно под имитаторами и в направлении их скольжения. Размер полосы увлажнения при этом не должен быть менее 15 x 30 см. Для этого достаточно израсходовать 100 - 150 см3 воды.
Не позднее чем через 3 с после увлажнения покрытия необходимо нажать на кнопку сброса груза и произвести измерение коэффициента сцепления.
6.3.2. Величина конечного перемещения имитаторов, характеризующая коэффициент сцепления, фиксируется на измерительной шкале передвижной регистрирующей шайбой, сдвигаемой муфтой по опорной штанге.
6.3.3. Получаемое на одном и том же месте значение коэффициента сцепления не остается постоянным, а несколько меняется при повторении измерений. Это явление объясняется не погрешностью прибора, а изменением вязкости водной пленки, находящейся на покрытии. В том случае, когда измерения проводятся на чистом, предварительно промытом дорожном покрытии, эти изменения незначительны.
6.3.4. Для получения устойчивых значений коэффициента сцепления на любых типах покрытий достаточно произвести от трех до пяти измерений.
ВИЗУАЛЬНОЙ ОЦЕНКИ СОСТОЯНИЯ ДОРОЖНОЙ ОДЕЖДЫ
1.1. Визуальная оценка состояния дорожной одежды является способом получения предварительной информации, позволяющей выявить места, подлежащие детальной инструментальной оценке прочности.
1.2. Визуальную оценку производят один раз в год ранней весной до начала периода ослабления дорожной одежды.
1.3. Оценку выполняет группа в составе: инженер (руководитель группы), техник и водитель автомобиля.
1.4. Группа должна иметь следующие оборудование и инвентарь:
1) легковой автомобиль или микроавтобус;
2) дорожные знаки: "Дорожные работы" и "Объезд препятствия слева";
3) деревянные рейки длиной 1 и 2 м и линейку с миллиметровыми делениями для измерения глубины колей;
4) журнал визуальной оценки;
5) желтые жилеты безопасности.
1.5. До начала визуальной оценки необходимо подготовить журнал с ведомостями дефектов, убедиться в исправности автомобиля и указанного в
п. 1.4 оборудования, установить на автомобиле дорожные знаки "Дорожные работы" и "Объезд препятствия слева", провести инструктаж всех членов группы, обратив особое внимание на важность соблюдения всех требований безопасности работ. До проведения обследования проводят обучение пользованием данной методикой с целью приобретения необходимых навыков.
1.6. Визуальную оценку производят в процессе проезда автомобиля со скоростью, позволяющей фиксировать имеющиеся на покрытии дефекты (10 - 20 км/час). Для удобства осмотра специалист, производящий этот осмотр (инженер), садится рядом с водителем, а ведущий записи (техник) располагается сзади.
1.7. При необходимости более подробного осмотра отдельных участков (уточнение характера дефекта) или проведения измерений (измерение глубины колеи) автомобиль проезжает вперед от места дефекта на 5 - 10 м, инженер и техник выходят из автомобиля и двигаются по обочине в направлении, обратном движению. В случае выхода на проезжую часть работу следует производить под защитой автомобиля, располагающегося так, чтобы знаки "Дорожные работы" и "Объезд препятствия слева" были обращены навстречу движения.
1.8. Результаты осмотра заносят в журнал, форма которого приведена в табл. 1.1. Состояние дорожной одежды оценивают в баллах:
Без дефектов и отдельные трещины ....................... 5 - 4,5
Редкие трещины ....................................... 4,5 - 3,5
Частые трещины ....................................... 3,5 - 2,5
Сетка трещин, небольшая колейность ................... 2,5 - 1,5
Просадки, значительная колейность, проломы ........... 1,5 - 0,5
Таблица 1.1
Журнал визуальной оценки состояния дорожной одежды
Наименование дороги _______________________________________
─────────┬───────────────┬──────────┬──────────┬─────────┬────────
Километры│Балл участка на│ Средний │Средний │ Тип │Приме-
+ метры в│полосе движения│ балл │балл одно-│покрытия │чание
начале ├───────┬───────┤ частного │типного │ │
частного │правая │ левая │ участка │участка │ │
участка │ │ │ │ │ │
─────────┼───────┼───────┼──────────┼──────────┼─────────┼────────
1 │ 2 │ 3 │ 4 │ 5 │ 6 │ 7
─────────┴───────┴───────┴──────────┴──────────┴─────────┴────────
48 + 050 2 2,8 (2,0 + 2,24 Асфальто-
+ 2,8):2 бетон
= 2,4
48 + 100 1,5 1,8 (1,5 + То же
+ 1,8):2
= 1,65
48 + 180 2,8 2,8 (2,8 + То же
+ 2,8):2
= 2,8
──────────────────────────────────────────────────────────────────
Оценка состояния дорожной одежды дана в соответствии с Инструкцией по проектированию дорожных одежд нежесткого типа
ВСН 46-83, но с некоторым укрупнением показателей.
Показатели дефектов дорожной одежды могут быть охарактеризованы следующим образом.
Отдельные трещины - трещины разного направления, обычно расположенные друг от друга на значительном расстоянии (не менее 10 м).
Редкие трещины - поперечные и косые, не связанные между собой трещины (среднее расстояние между соседними трещинами 4 - 10 м).
Частые трещины - поперечные и косые трещины с ответвлениями, иногда связанные между собой, но, как правило, не образующие замкнутых фигур (среднее расстояние между соседними трещинами 1 - 4 м).
Сетка трещин - трещины произвольного очертания, образующие замкнутые фигуры, расположенные в разных местах проезжей части.
Колейность - плавное искажение поперечного профиля покрытия, локализованное на полосах наката.
Просадки - резкие искажения профиля покрытия, имеющие вид впадин с округлыми краями, на асфальтобетонном покрытии часто сопровождаются сеткой трещин.
Проломы - полное разрушение дорожной одежды с резким искажением профиля покрытия, на асфальтобетонном покрытии сопровождаются сеткой трещин в прилегающих зонах покрытия.
Для более полного учета состояния того или иного дефекта дорожной одежды следует применять дробные значения баллов в соответствии с табл. 1.2.
Таблица 1.2
Дробные значения баллов для оценки состояния
дорожной одежды
───┬─────────────────────────────────────────────────┬────────────
NN │ Состояние покрытия и характер повреждения │ Оценка в
пп │ │ баллах
───┼─────────────────────────────────────────────────┼────────────
1 │ 2 │ 3
───┴─────────────────────────────────────────────────┴────────────
1. Без дефектов и отдельные трещины на расстоянии 5
более 40 м
Отдельные трещины на расстоянии 20 - 40 м между 4,8 - 5
трещинами
То же на расстоянии 10 - 20 м 4,5 - 4,8
2. Редкие трещины на расстоянии между соседними 4 - 4,5
трещинами 8 - 10 м
То же 6 - 8 м 3,8 - 4
То же 4 - 6 м 3,5 - 3,8
3. Частые трещины на расстоянии между соседними 3 - 3,5
трещинами 3 - 4 м
То же 2 - 3 м 2,8 - 3
То же 1 - 2 м 2,5 - 2,8
4. Сетка трещин при относительной площади, 2 - 2,5
занимаемой сеткой, менее 30%
То же 30 - 60% 1,8 - 2
То же 60 - 90% 1,5 - 1,8
5. Колейность при средней глубине колей 5 мм 1,8 - 2
То же 5 - 10 мм 1,5 - 1,8
То же > 10 мм 1 - 1,5
6. Просадки при относительной площади просадок 20% 1 - 1,5
То же 20 - 50% 0,8 - 1
То же > 50% 0,5 - 0,8
7. Проломы дорожной одежды при относительной 1 - 1,5
площади, занимаемой проломами, 10%
То же 10 - 30% 0,8 - 1
То же >= 30% 0,5 - 0,8
──────────────────────────────────────────────────────────────────
1.9. В процессе визуальной оценки состояния дорожной одежды ее делят на однотипные участки длиной от 100 до 1000 м, границы которых назначают по близким состояниям одежды. Расстояния устанавливают по спидометру автомобиля. Внутри каждого участка в соответствии с
табл. 1.2 назначают частные участки с практически одинаковым состоянием одежды в баллах. В случае наличия нескольких дефектов балл назначают по дефекту, дающему наиболее низкое его значение.
1.10. На каждом однотипном участке в камеральных условиях вычисляют средний балл по формуле:

, (1.1)
где Бj и Lj - соответственно балл и протяженность частных участков j с практически одинаковым состоянием одежды в баллах;
n - число частных участков.
Средний балл частного участка (графа 4 в
табл. 1.1) вычисляют как среднее арифметическое (полусумма баллов по правой и левой полосам движения).
1.11. В
табл. 1.1 заносят также тип покрытия (графа 6) по внешнему виду с уточнением в камеральных условиях по паспорту дороги. В графу 7 вносят дополнительные соображения, например наличие загрязнения на отдельных участках, затрудняющих установление балла, наличие пучин и т.п. В случае загрязнения балл уточняют после очистки участка.
1.12. По величине среднего балла устанавливают целесообразность детального обследования с использованием специального оборудования на участке:
- для дорог I категории -

3,5;
- то же II категории -

3,0;
- III - IV категории -

2,5.
МЕТОДИКА
ДИАГНОСТИКИ ДОРОЖНЫХ ОДЕЖД НЕЖЕСТКОГО ТИПА ПО ПРОЧНОСТИ
В ПРОЦЕССЕ ДЕТАЛЬНОЙ ИНСТРУМЕНТАЛЬНОЙ ОЦЕНКИ
1. Основные положения
1.1. Прочность дорожной одежды представляет собой один из важнейших показателей транспортно-эксплуатационных качеств автомобильных дорог. Снижение прочности связано с появлением остаточных деформаций дорожной одежды, вызывающих ухудшение ровности проезжей части, уменьшение средней скорости движения автомобилей; снижение безопасности движения, ухудшение условий движения.
1.2. Прочность дорожной одежды, ее сопротивляемость многократному динамическому воздействию нагрузок от движущихся автомобилей зависит от следующих факторов:
- общей жесткости дорожной одежды, характеризуемой ее модулем упругости или упругим прогибом под нагрузкой;
- прочности по сдвигу грунта земляного полотна и слабосвязных материалов конструктивных слоев;
- прочности на растяжение при изгибе слоев из монолитных материалов;
- прочности по сдвигу слоев из асфальтобетона.
Последний фактор непосредственно связан с качеством верхнего слоя дорожной одежды и на общую ее прочность влияет мало.
Общая прочность одежды, обеспечение которой требует наибольших затрат, связана с первыми тремя факторами.
| | ИС МЕГАНОРМ: примечание. В официальном тексте документа, видимо, допущена опечатка: п. 1.1.2 отсутствует. Вероятно, речь идет о п. 1.2. | |
1.3. Из трех факторов, определяющих общую прочность одежды, указанных в п. 1.1.2, первый фактор (упругий прогиб или вычисляемый по его величине модуль упругости) имеет обобщающий характер, относительно просто поддается измерению, и его обычно применяют в качестве показателя прочности дорожной одежды при ее оценке в полевых условиях.
1.4. Дорожная одежда в процессе эксплуатации на перегонах подвержена, главным образом, воздействию динамических нагрузок от движущихся автомобилей; на остановках, пересечениях в одном уровне с автомобильными и железными дорогами характерно статическое, ограниченное несколькими минутами, действие нагрузок и действие автомобилей, движущихся с малой скоростью; на стоянках характерно статическое действие нагрузок, как правило, более 10 мин., а нередко в течение ряда часов.
1.5. Поскольку дорожная одежда под воздействием автомобильной нагрузки, не превышающей расчетную, работает главным образом в упруговязкой стадии, ее вертикальные перемещения (прогибы) с увеличением длительности нагружения возрастают. Соотношения между величинами прогибов при различной длительности нагружения зависят от вязких свойств грунта и слоев дорожной одежды, особенно содержащих органическое вяжущее.
1.6. В процессе испытаний дорожной одежды для оценки ее прочности измеряют упругий прогиб от расчетной нагрузки, вычисляют общий фактический модуль упругости

, применяя зависимость:

Па (МПа), (1.1)
где P - среднее удельное давление, передаваемое испытательной нагрузкой, Па (МПа);
D - диаметр круга, равновеликого отпечатку площадки, передающий расчетную нагрузку, м;
l - прогиб дорожной одежды, м;

- коэффициент Пуассона

.
1.7. Цель оценки прочности дорожных одежд состоит в получении объективных данных о ее фактической прочности, соответствии этой прочности условиям движения и получении объективных данных для научно обоснованного планирования ремонтных мероприятий.
1.8. Оценка прочности дорожной одежды осуществляется следующим образом:
- предварительное визуальное обследование дорожной одежды на всем ее протяжении для выявления участков, требующих детального инструментального испытания прочности (см.
Приложение 4);
- на выявленных участках, требующих детальных испытаний, проанализировать результаты инструментальных измерений ровности (см.
Приложение 3);
- участки, на которых визуальная оценка прочности дает неудовлетворительный результат и измеренный показатель ровности выходит за допустимые пределы, необходимо в обязательном порядке произвести инструментальные измерения прочности.
Результатом инструментальной оценки прочности должны быть следующие показатели - средние расчетные модули упругости по каждому участку, коэффициенты вариации модулей упругости, характеризующие однородность дорожной одежды по прочности. При необходимости разрабатывают рекомендации по усилению дорожной одежды.
2. Требуемые расчетные модули упругости для
инструментальной оценки прочности дорожной одежды
| | ИС МЕГАНОРМ: примечание. В официальном тексте документа, по-видимому, допущена опечатка: п. 1.1.4 отсутствует. | |
2.1. Для оценки прочности дорожной одежды ее фактические модули упругости (

), вычисленные по
формуле 1.1 в процессе испытаний (см.
подраздел 1.5), обрабатывают статистически, после чего сопоставляют с требуемым расчетным модулем

, зависящим от требуемого модуля упругости

. В зависимости от условий действия расчетной нагрузки (см. п. 1.1.4) следует применять требуемые динамические модули упругости

, требуемые модули упругости при малой скорости нагружения

и требуемые статистические модули упругости

. В табл. 1.1 приведены значения требуемых модулей упругости

при коэффициенте прочности, равном единице (

= 1) для различной перспективной интенсивности движения на полосу, приведенной к нагрузке группы А (статистическое усилие 100 КН на ось), на которую следует рассчитывать дорожную одежду при ее усилении.
Таблица 1.1
Значения требуемых модулей упругости
────────────────┬─────────────────────────────────────────────────
Перспективная │ Требуемые модули упругости, МПа
интенсивность ├──────────────┬───────────────────┬──────────────
движения, приве-│ динамические │ при малой скорости│ статические
денная к нагруз-│ Е │ нагружения Е │ Е
ке 100 кН на │ тр.д │ тр.ос │ тр.с
ось, на полосу, │ │ │
авт./сут. │ │ │
────────────────┼──────────────┼───────────────────┼──────────────
1 │ 2 │ 3 │ 4
────────────────┴──────────────┴───────────────────┴──────────────
10 145 127 120
20 168 148 137
30 184 163 146
50 199 177 156
100 222 195 173
200 245 216 183
300 260 230 199
500 276 243 210
1000 299 263 227
2000 322 283 243
3000 336 296 254
5000 354 311 265
10000 376 330 280
──────────────────────────────────────────────────────────────────
2.2. По величине требуемого модуля упругости

вычисляют требуемый модуль упругости с учетом условий ровности

по формуле:

. (1.2)
Величину коэффициента прочности

определяют по табл. 1.2 в зависимости от типа дорожной одежды, покрытия и категории дороги. Величина коэффициента прочности в табл. 1.2 установлена с учетом рационального уровня надежности дорожной одежды.
Таблица 1.2
Величины коэффициента прочности (

) в зависимости от типа
дорожной одежды, покрытия и категории дороги
──────────────────────────────┬─────────────────────┬─────────────
Тип одежды и покрытия │ Категория дороги │ К
│ │ пр
──────────────────────────────┴─────────────────────┴─────────────
Дорожные одежды капитального I,II, IIIп, Iс 1,0
типа
с усовершенствованным III, IVп, IIс 0,94
покрытием
Одежды облегченного типа с III, IV, IVп, IIс 0,90
усовершенствованным покрытием
Переходные дорожные одежды IV, V, IIс, IIIс 0,63
──────────────────────────────────────────────────────────────────
Примечание. Табл. 1.2 с небольшими сокращениями заимствована из Инструкции
ВСН 46-83.

- коэффициент, учитывающий необходимость обеспечения требуемой ровности дорожной одежды, его величину определяют по табл. 1.3 в зависимости от перспективной интенсивности движения, приведенной к расчетному автомобилю

и требуемой ровности дорожной одежды

.
Таблица 1.3
Коэффициент, учитывающий необходимость обеспечения
требуемой ровности

─────────────────┬────────────────────────────────────────────────
Перспективная │ Требуемая ровность дорожных одежд
интенсивность │ S , см/км
движения, приве- │ тр
денная к нагрузке│
100 кН на ось, на├────┬──────┬──────┬──────┬──────┬──────┬────────
одну полосу, │ 90 │ 110 │ 130 │ 150 │ 165 │ 180 │ >= 200
авт/сут │ │ │ │ │ │ │
─────────────────┼────┼──────┼──────┼──────┼──────┼──────┼────────
1 │ 2 │ 3 │ 4 │ 5 │ 6 │ 7 │ 8
─────────────────┴────┴──────┴──────┴──────┴──────┴──────┴────────
10 - - - - - - 0,62
20 - - - - - 0,71 0,67
30 - - - - 0,75 0,74 0,71
50 - - - - 0,76 0,75 0,72
100 1,10 1,03 0,91 0,86 0,82 0,80 0,76
200 1,15 1,09 1,01 0,94 0,91 0,88 -
300 1,18 1,15 1,03 1,01 0,97 0,94 -
500 1,23 1,20 1,17 1,15 1,08 1,04 -
>= 1000 1,38 1,34 1,30 1,26 1,18 1,11 -
──────────────────────────────────────────────────────────────────
2.3. Величину требуемого расчетного модуля упругости определяют с применением зависимости:

, (1.3)
где

- поправка, введение которой обеспечивает требования прочности грунта земляного полотна по сдвигу (табл. 1.4);

- коэффициент, учитывающий условия прочности песчаного слоя по сдвигу (
табл. 1.5);

- коэффициент, который учитывает условия прочности верхних слоев из асфальтобетона на растяжение при изгибе (
табл. 1.6).
Таблица 1.4
Численные значения поправки

───────────┬───────────────────────────────────┬──────────────────
Тип │Общая толщина дорожной одежды, м, │ Дельта, МПа, при
покрытия │для климатических и грунтово- │ требуемых модулях
│гидрологических условий │ упругости
├───────────┬───────────┬───────────┼─────┬──────┬─────
│ тяжелых │ сложных │ средней │Е │Е │Е
│ │ │ сложности │ тр.д│ тр.ос│ тр.с
───────────┼───────────┼───────────┼───────────┼─────┼──────┼─────
1 │ 2 │ 3 │ 4 │ 5 │ 6 │ 7
───────────┴───────────┴───────────┴───────────┴─────┴──────┴─────
Усовершен- более 0,95 более 0,75 более 0,45 0 0 0
ствованный 0,90 - 0,95 0,70 - 0,75 0,40 - 0,45 15 14 12
для 0,85 - 0,89 0,65 - 0,69 0,35 - 0,39 30 28 25
капитальных 0,80 - 0,84 0,60 - 0,64 0,30 - 0,34 45 42 37
одежд менее 0,80 менее 0,60 менее 0,30 58 52 48
──────────────────────────────────────────────────────────────────
Усовершен-
ствованный
для облег-
ченных
одежд:
на вязком более 0,80 более 0,70 более 0,40 0 0 0
битуме 0,75 - 0,80 0,60 - 0,70 0,30 - 0,40 17 16 14
менее 0,75 менее 0,60 менее 0,30 29 25 20
на более 0,75 более 0,65 более 0,40 0 0 0
жидком 0,70 - 0,75 0,55 - 0,65 0,30 - 0,40 16 14 11
битуме менее 0,70 менее 0,55 менее 0,30 29 25 20
──────────────────────────────────────────────────────────────────
Таблица 1.5
Величины коэффициента

───────────┬─────────┬────────────────────────────────────────────
Тип покры- │Интенсив-│ Толщина песчаного слоя, м
тия │ность ├───────────────────┬──────────────┬─────────
│движения,│ более 0,50 │ 0,45 │ 0,35
│приведе- ├───────────────────┴──────────────┴─────────
│ние к на-│ Общая толщина одежды над песчаным слоем, м
│грузке ├────┬────┬────┬────┬────┬────┬────┬────┬────
│100 кН │0,35│0,30│0,25│0,20│0,30│0,25│0,20│0,25│0,20
│на ось ├────┴────┴────┴────┴────┴────┴────┴────┴────
│авт./сут.│ значение коэффициента К
│ │ к
───────────┼─────────┼────┬────┬────┬────┬────┬────┬────┬────┬────
1 │ 2 │ 3 │ 4 │ 5 │ 6 │ 7 │ 8 │ 9 │10 │ 11
───────────┴─────────┴────┴────┴────┴────┴────┴────┴────┴────┴────
Усовершен- 50 1 1,09 1,45 1,63 1 1,22 1,40 1 1
ствованные 100 1 1 1,40 1,48 1 1,12 1,27 1 1
капиталь- 300 1 1 1,23 1,30 1 1 1,12 1 1
ные 500 1 1 1,18 1,22 1 1 1,06 1 1
1000 1 1 1,10 1,14 1 1 1 1 1
3000 1 1 1 1 1 1 1 1 1
5000 1 1 1 1 1 1 1 1 1
──────────────────────────────────────────────────────────────────
Усовершен- 30 1 1,20 1,68 2,10 1 1,48 1,72 1 1,18
ствованные 50 1 1,10 1,55 1,80 1 1,28 1,45 1 1,03
облегченные 100 1 1 1,45 1,60 1 1,18 1,32 1 1
на вязком 300 1 1 1,27 1,38 1 1 1,14 1 1
битуме 500 1 1 1,07 1,22 1 1 1,02 1 1
──────────────────────────────────────────────────────────────────
То же, на 30 1 1,27 1,90 2,15 1 1,47 1,60 1 1,27
жидком 50 1 1,17 1,78 1,95 1 1,35 1,67 1 1,17
битуме 100 1 1,09 1,64 1,75 1 1,23 1,36 1 1,09
300 1 1 1,37 1,50 1 1,03 1,14 1 1
──────────────────────────────────────────────────────────────────
Примечания. 1. При толщине песчаного слоя 0,30 м и менее

= 1 во всех случаях.
2. При расчетной интенсивности движения более указанной в таблице следует принимать те же значения

, что указаны в
таблице 1.5 для наибольшей интенсивности.
Таблица 1.6
Величина коэффициента

для двухслойного асфальтобетонного
покрытия с нижним слоем из крупнозернистой смеси
──────────────┬───────────────────────────────────────────────────
Интенсивность│ Относительная толщина двухслойного покрытия
движения, ├───────────────┬────────────────┬──────────────────
приведенная │ 0,2 │ 0,3 │ 0,4
к нагрузке ├───────────────┴────────────────┴──────────────────
100 кН на ось,│ Марка асфальтобетона
авт./сут. ├───────┬───────┬────────┬───────┬────────┬─────────
│ I, II │ III │ I, II │ III │ I, II │ III
──────────────┼───────┼───────┼────────┼───────┼────────┼─────────
1 │ 2 │ 3 │ 4 │ 5 │ 6 │ 7
──────────────┴───────┴───────┴────────┴───────┴────────┴─────────
100 1 1 1 1 1 1
200 1,04 1 1 1 1 1
300 1,06 1,06 1 1 1 1
500 1,11 1,12 1 1 1 1
700 1,16 (х) 1,07 (х) 1 (х)
1000 1,2 (х) 1,15 (х) 1 (х)
2000 (х) (х) 1,23 (х) 1 (х)
3000 (х) (х) 1,29 (х) 1,06 (х)
5000 (х) (х) (х) (х) 1,15 (х)
──────────────────────────────────────────────────────────────────
Примечание. Знак (х) обозначает, что при данной интенсивности движения соответствующая толщина слоя асфальтобетона не обеспечивает его необходимой прочности. При определении

по формуле
(1.3) в расчет вводят одну из поправок:

или

, при которой величина

приобретает большее значение.
Климатические и грунтово-гидрологические условия в
табл. 1.6 следует принимать:
Тяжелые - II дорожно-климатическая зона, 3-й тип местности по характеру и степени увлажнения, земляное полотно сложено из пылеватых супесчаных и суглинистых грунтов.
В
табл. 1.4 общая толщина дорожной одежды должна включать толщину всех слоев стабильных материалов и в том числе дренирующий слой.
Сложные - II дорожно-климатическая зона, 3-й тип местности, земляное полотно из непылеватых суглинистых грунтов и глин или II зона, 2-ой тип местности, земляное полотно из пылеватых супесчаных и суглинистых грунтов.
Средней сложности - II зона, 2-ой тип местности, земляное полотно из непылеватых суглинистых грунтов и глин или II зона, 1 тип местности, либо III зона, 2 - 3 тип местности, земляное полотно из пылеватых супесчаных и суглинистых грунтов.
Дорожно-климатическую зону устанавливают в соответствии со
СНиП 2.05.02-85. Тип местности по характеру и степени увлажнения, а также вид грунта земляного полотна устанавливают в процессе подготовки к проведению детальных инструментальных испытаний (см.
подраздел 1.4).
3. Оборудование для оценки прочности дорожных одежд
| | ИС МЕГАНОРМ: примечание. В официальном тексте документа, по-видимому, допущена опечатка: п. 1.1.4 отсутствует. | |
3.1. Оборудование для оценки прочности дорожных одежд должно обеспечивать возможность возникновения и измерения упругого прогиба, соответствующего прогибу от колеса автомобиля. Это оборудование в соответствии с условиями действия расчетной нагрузки (см. п. 1.1.4) делится на две группы:
- оборудование для динамического нагружения;
- оборудование для статического нагружения.
Существующие дороги общего пользования рассчитаны на нагрузку группы А (100 кН на ось) или группы Б (60 кН на ось). Поскольку большинство дорог пропускают или в перспективе будут пропускать нагрузку, соответствующую группе А, на эту нагрузку следует ориентировать оборудование для оценки прочности дорожных одежд.
Основные характеристики нагрузки группы А, принимаемые при расчете, следующие:
Нормированная нагрузка Q, передаваемая дорожной одежде колесом автомобиля, кН:
- динамическая 65;
- статическая 50.
Среднее расчетное удельное давление колеса на покрытие 0,6 МПа.
Расчетный диаметр D следа колеса автомобиля, м:
- при динамической нагрузке 0,37;
- при статической нагрузке 0,33.
Нагрузка, развиваемая испытательным оборудованием в целях повышения его компактности, снижения металлоемкости, энергоемкости и затрат на испытания, может быть понижена по сравнению с расчетной до 30%. Но при этом необходимо знать с точностью до 2 - 3% фактическую величину усилия, развиваемого оборудованием, что позволяет с необходимой точностью вычислять фактический модуль упругости

по
формуле (1.1).
3.2. Динамическое нагружение можно производить падающим грузом (установки динамического нагружения), генератором колебаний (различные вибраторы) и колесом движущегося автомобиля. Наибольшее распространение в СССР имеют установки динамического нагружения с жестким штампом и с гибким штампом (рис. 1.1).
Принципиальная схема установок динамического нагружения
а - установка с жестким штампом; б - установка с гибким штампом
Установки динамического нагружения с жестким штампом снабжены подвижным грузом 1, при сбрасывании которого на амортизатор 2 в виде стальной пружины или прокладки из упругого материала (например, специальная резина) возникает динамическое усилие, которое через круглый штамп 3, равновеликий отпечатку колеса расчетного автомобиля, воздействует на дорожную одежду (см.
рис. 1.1, а).
| | ИС МЕГАНОРМ: примечание. Формула (1.4) Приложения 5 дана в соответствии с официальным текстом документа. | |
Величину среднего удельного давления Р под жестким штампом диаметром D для данного динамического усилия вычисляют при расчете фактического модуля упругости

по формуле:

, МПа. (1.4)
При расчете по формуле (1.4) принимают размерности Q - в кН, D - в м.
В установках динамического нагружения с гибким штампом (
рис. 1.1, б) подвижной груз 1 при своем падении на амортизатор 2 передает динамическое усилие дорожной одежде через траверсу 3 и пневматическое колесо 4, которое одновременно играет роль и основного амортизатора, и гибкого штампа.
Величину диаметра круга D, равновеликого отпечатку колеса при удельном давлении воздуха в шинах Pш и динамической нагрузке

, для расчета фактического модуля упругости по результатам испытаний установкой динамического нагружения с гибким штампом вычисляют используя зависимость:

, м. (1.5)
В процессе расчета по формуле (1.5) следует принимать размерности Q - в кН,

- в МПа.
Для измерения вертикальных перемещений (прогибов) дорожной одежды при испытаниях установками динамического нагружения применяют различные датчики инерционного типа с фиксацией величины прогиба на магнитной или бумажной ленте, фотопленке и др. Возможно применение цифропечатающего устройства, позволяющего непосредственно в процессе испытаний выдавать на бумаге отпечатанные величины упругих прогибов либо вычисленных по их величине модулей упругости. Применение магнитной ленты позволяет передавать результаты испытаний непосредственно на ЭВМ для их дальнейшей обработки.
Современные установки динамического нагружения работают в автоматическом или полуавтоматическом режиме, что обеспечивает им высокую производительность. Динамическая (кратковременная) нагрузка в наибольшей степени соответствует воздействию на дорожную одежду колеса движущегося на перегоне автомобиля. Особенно это относится к установкам динамического нагружения с гибким штампом (например, УДН-НК).
Модуль упругости дорожной одежды, определенный в результате испытаний установками динамического нагружения, является динамическим

, и при оценке прочности дорожной одежды его следует сопоставлять с общим расчетным модулем

, вычисленным, исходя из требуемого динамического модуля упругости

.
Генераторы колебаний сообщают дорожной одежде многократно повторяющуюся колебательную нагрузку. При этом прочность дорожной одежды характеризуют по величине амплитуды колебаний одежды или по скорости распространения колебаний.
При испытаниях дорожной одежды колесом движущегося автомобиля осложнено измерение прогиба одежды. Поэтому большинство из таких установок для получения необходимых результатов должны двигаться со скоростью 2 - 5 км/час, что не соответствует распространенным скоростям движения автомобилей на перегоне. Установленные в этом случае модули упругости дорожной одежды можно характеризовать как модули при малой скорости нагружения

и их следует сопоставлять с общим расчетным модулем

, вычисленным на основе требуемого модуля при малой скорости нагружения

.
3.3. Для измерения прогибов дорожной одежды при статическом нагружении применяют рычажные прогибомеры (наиболее распространен длиннобазовый прогибомер КП-204). В результате испытаний статической нагрузкой получают статические модули упругости (Ес), которые при оценке прочности следует сравнивать с общими расчетными модулями

, вычисленными исходя из требуемого статического модуля

.
4. Подготовка к проведению детальных инструментальных испытаний
4.1. Подготовка к проведению испытаний на участках, намеченных в процессе визуальной оценки состояния дорожной одежды (см.
подраздел 1.2), включает:
- анализ документации по обследуемым участкам дороги;
- внешний осмотр участков;
- назначение однообразных участков и контрольных точек;
- установление величины общего расчетного модуля упругости (см.
подраздел 1.2);
- предварительное назначение числа испытаний на каждом однообразном участке.
| | ИС МЕГАНОРМ: примечание. П. 4.2 Приложения 5 дан в соответствии с официальным текстом документа. | |
4.2. Анализ документации предусматривает изучение:
- проектной и исполнительной документации по плану и продольному профилю обследуемой дороги;
- паспорта дороги с журналом производства ремонтных дорог;
- сводных ведомостей по учету движения за период после строительства или предыдущего капитального ремонта;
- отчетов или справок по результатам ранее проведенных обследований дороги, особенно испытаний для оценки прочности.
4.3. Визуальный осмотр дороги необходимо проводить при свободном от снега и льда покрытии, когда хорошо видны все имеющиеся дефекты.
4.4. В результате анализа документации и визуальной оценки обследуемой дороги заполняют журнал подготовки к проведению испытаний, форма которого и пример заполнения даны в табл. 1.7. При этом тип местности по характеру и степени увлажнения устанавливают в соответствии с Инструкцией ВСН 46-53. Тип грунта и конструкцию дорожной одежды определяют по паспорту дороги, а при отсутствии таких данных - путем бурения или подкапывания со стороны обочины.
Таблица 1.7
Журнал подготовки к проведению испытаний
Наименование дороги ____________ Категория дороги ____________
────────┬─────────────┬──────────┬─────────┬───────────┬────────┬─────────┬────────────
Километ-│ Конструкция │ Грунт │Тип мест-│Перспектив-│Границы │Состоя- │Средневзве-
ры + │ дорожной │земляного │ности по │ная интен- │однооб- │ние по- │шенный балл
метры в │ одежды │ полотна │характе- │сивность │разных │крытия, │на однооб-
начале │ │ │ру и сте-│движения на│участков│завися- │разном
частного│ │ │пени ув- │полосу, │и распо-│щее от │участке и
участка │ │ │лажнения │приведенная│ложение │проч- │предвари-
│ │ │ │к расчетной│конт- │ности │тельное
│ │ │ │нагрузке │рольных │одежды │число
│ │ │ │100 кН на │точек │в баллах │испытаний
│ │ │ │ось, и тре-│ │Б │
│ │ │ │буемый рас-│ │ │
│ │ │ │четный │ │ │
│ │ │ │модуль уп- │ │ │
│ │ │ │ругости │ │ │
│ │ │ │Е , │ │ │
│ │ │ │ тр.р │ │ │
│ │ │ │МПа │ │ │
────────┼─────────────┼──────────┼─────────┼───────────┼────────┼─────────┼────────────
1 │ 2 │ 3 │ 4 │ 5 │ 6 │ 7 │ 8
────────┴─────────────┴──────────┴─────────┴───────────┴────────┴─────────┴────────────
48 + 050 Асфальтобетон Суглинок 2 начало 2,40
мелкозернис- тяжелый 48 + 000
48 + 100 тый 0,4 м пылеватый " 1,65
48 + 180 Асфальтобетон " 2,80
48 + 250 крупнозернис- " 3,25
тый 0,08 м
48 + 340 Щебеночный " 3,40
48 + 520 материал, " N = 1250 конт- 3,25 Б = 2,82
48 + 620 укрепленный " рольная 4,00 ср
цементом точка
0,20 м " " 48 +
+ 750
48 + 750 Песчаный слой " Е = 350 1,2 м от 1,65 nи = 25 исп.
0,30 м тр.р правой
обочины
48 + 830 2 2,80
48 + 920 " 2,40
49 + 020 " конец 3,25
49 + 080 " 49 + 100 3,00
───────────────────────────────────────────────────────────────────────────────────────
Состояние покрытия, зависящее от прочности дорожной одежды, заносят в графу 7 (см.
табл. 1.7) в баллах. Оценку в баллах производят в соответствии с Методикой визуальной оценки (см.
Приложение 4).
При разделении дороги на однообразные участки исходят из того, что каждый такой участок должен иметь одинаковые:
- грунт земляного полотна;
- конструкцию дорожной одежды;
- тип местности по условиям увлажнения;
- интенсивность движения, приведенную к расчетному автомобилю.
Протяженность однообразного участка не должна превышать 3000 м.
4.5. На каждом однообразном участке по данным графы 7 (см.
табл. 1.7) вычисляют средневзвешенный балл

в соответствии с
Приложением 4, который заносят в графу 6.
4.6. В случае целесообразности проведения испытаний на каждом однообразном участке на внешней полосе наката (1 - 1,5 м от кромки проезжей части) назначают одну контрольную точку, которую следует располагать в месте с состоянием покрытия, наиболее характерным для данного однообразного участка. Контрольную точку закрепляют на покрытии водостойкой краской в виде круга диаметром 0,1 - 0,15 м. В журнале (см.
табл. 1.7, графу 6) указывают расположение точки относительно километрового столба и кромки покрытия.
Интенсивность движения (см. графу 5 в
табл. 1.7), приведенную к расчетной нагрузке, вычисляют в соответствии с Инструкцией
ВСН 46-83.
4.7. Требуемый расчетный модуль упругости устанавливают в соответствии с подразделом 1.2 и заносят в графу 5
табл. 1.7.
4.8. Предварительно число испытаний (см. графу 8,
табл. 1.7) на каждом однообразном участке назначают в случае применения оборудования, выработка которого в километрах зависит от числа испытаний (УДН-НК, "Дина-3", статическое нагружение колесом автомобиля). Для этого используют
табл. 1.9.
Величину модуля упругости слоя усиления

, необходимую для определения числа испытаний, устанавливают в соответствии с Инструкцией
ВСН 46-83. Для определения ожидаемого среднего расчетного модуля упругости

соответствующей дорожной одежды на участке следует пользоваться зависимостью:

, (1.6)
где:

- требуемый расчетный модуль, на который запроектирована существующая дорожная одежда, МПа;

- ожидаемый коэффициент прочности, определяемый в зависимости от состояния покрытия в баллах (см.
табл. 1.11).
Число испытаний

, установленное по
табл. 1.9, обеспечивает необходимый уровень надежности результатов дорог II категории. Для дорог I, III, IV категорий величину

нужно умножать соответственно на 1,4; 0,75; 0,6.
Таблица 1.8
Ожидаемый коэффициент прочности при разном состоянии
дорожной одежды
──────────────────────────────────────────────────────────────────
Состояние дорожной одежды в баллах 5 7 3 2 1
──────────────────────────────────────────────────────────────────
x
Ожидаемый коэффициент прочности K 1 0,90 0,80 0,70 0,6
пр
──────────────────────────────────────────────────────────────────
Таблица 1.9
Необходимое число испытаний
───────┬─────────┬────────────────────────────────────────────────
│ x │
Е │ Е , │ Состояние дорожной одежды в баллах (Б )
тр.р │ ср.р │ ср
----- │ МПа ├──────────┬────────┬────────┬────────┬──────────
Е │ │ 5 │ 4 │ 3 │ 2 │ 1
ус │ ├──────────┴────────┴────────┴────────┴──────────
│ │ Число испытаний
───────┼─────────┼──────────┬────────┬────────┬────────┬──────────
1 │ 2 │ 3 │ 4 │ 5 │ 6 │ 7
───────┴─────────┴──────────┴────────┴────────┴────────┴──────────
0,10 100 10 11 12 12 12
150 12 14 15 16 16
200 14 15 17 17 17
250 15 16 18 18 18
300 16 17 19 19 19
350 17 18 20 20 21
──────────────────────────────────────────────────────────────────
1,15 100 14 15 16 16 17
150 16 17 18 18 19
200 17 19 20 20 21
250 18 21 22 22 23
300 19 22 24 24 25
350 20 23 25 26 27
400 21 24 26 27 28
450 21 25 27 28 29
──────────────────────────────────────────────────────────────────
0,20 100 25 28 30 31 32
150 27 32 33 34 35
200 29 35 36 37 38
250 31 37 39 40 40
300 33 39 42 42 42
350 35 41 43 44 44
400 37 43 44 45 46
450 38 44 45 46 47
──────────────────────────────────────────────────────────────────
Примечания. 1. Для промежуточных значений

производят интерполяцию.
2. Для промежуточных значений

,

принимают число испытаний, соответствующее ближайшему

и

.
3. При

<= 100 МПа принимают число испытаний для

= 100 МПа.
4. При

>= 0,20 принимают число испытаний

= 0,20.
5. Проведение испытаний
5.1. Испытания дорожной одежды на участках, требующих детальной диагностики, начинают с контрольных точек. В районах зимнего промерзания одежды эти испытания производят с наступлением устойчивой положительной температуры, что обычно совпадает с интенсивным таянием снега. В южных районах с расчетным периодом зимой испытания на контрольных точках начинают с наступлением устойчивой влажной погоды.
В районах, где наибольшее снижение прочности дорожной одежды происходит в период орошения, к испытаниям на контрольных точках приступают с началом массовых поливов. В таких местах возможны два расчетных периода - зимой или весной (в случае промерзания грунта) и во время поливов.
Испытания на каждой контрольной точке необходимо производить ежедневно по графику, в котором должно быть предусмотрено чередование времени испытаний в каждой точке: один день испытания проводят в первой половине дня, на следующий день - во второй половине со смещением не менее 4-х часов.
Испытания на контрольных точках для проведения результатов испытаний к расчетному модулю упругости следует производить при значительном протяжении каждого из участков (более 10 км). На более коротких участках приведение к расчетному модулю упругости можно осуществлять с помощью
таблиц 1.11 -
1.14.
5.2. На контрольных точках испытания проводят в течение всего периода ослабления дорожной одежды, заканчивая их после устойчивого увеличения прочности, характеризуемого существенным снижением прогиба одежды в течение 5 - 7 дней. Если к этому времени испытания для оценки прочности дорожной одежды в пределах данного однообразного участка (линейные испытания) еще не закончены, то испытания на контрольных точках продолжают до окончания линейных испытаний. В каждой контрольной точке производят по 2 испытания.
Результаты испытаний на контрольных точках заносят в журнал (табл. 1.10).
Таблица 1.10
Журнал испытаний на контрольных точках дороги
────────┬──────────────────────────────────────────────┬──────────
Дата и │ -3 │ Модуль
час ис- │ Контрольная точка Прогибы, 10 м │упругости
пытаний ├───┬────────┬────────┬───────┬───────┬────────┤ E, МПа
│ N │ место │расстоя-│первое │второе │среднее │
│ │ распол.│ние от │нагру- │нагру- │значение│
│ │ вдоль │кромки │жение │жение │ │
│ │ дороги │проезж. │ │ │ │
│ │ │части │ │ │ │
────────┴───┴────────┴────────┴───────┴───────┴────────┴──────────
9.04
────
9.00 1 48 + 750 1,40 0,79 0,83 0,81 220
9.15 2 50 + 200 1,25 0,75 0,79 0,77 230
9.25 3 52 + 100 1,35 0,70 0,74 0,72 248
──────────────────────────────────────────────────────────────────
5.3. Линейные испытания (испытания на всем протяжении дороги) проводят с момента появления устойчивой тенденции к снижению прочности дорожной одежды (устойчивое возрастание прогибов) по данным испытаний на контрольных точках.
В районах зимнего промерзания дорожной одежды это явление связано с началом оттаивания грунта земляного полотна, что обычно совпадает с окончанием таяния снега на открытых местах.
Линейные испытания начинают с южного или западного конца обследуемой дороги. Испытания участка, выделенного на данный день, следует вести в первой половине дня на одной половине проезжей части, включая обязательно правую по ходу полосу наката (1 - 1,5 м от кромки проезжей части), а по второй половине дня в обратном направлении на противоположной половине проезжей части. На дорогах с разделительной полосой испытания проводят аналогично по внешним полосам наката.
5.4. В случае применения для линейных испытаний установок типа УДН-НК (включая передвижную лабораторию КП502МП, на которой смонтирована УДН-НК), установки "ДИНА" Саратовского центра НПО РосдорНИИ, нагружения колесом стоящего автомобиля и другого оборудования, производящего испытания с остановкой, число испытаний на каждом однообразном участке должно соответствовать предварительно определенному их количеству в соответствии с
п. 4.8. В каждой точке производят одно нагружение.
При испытаниях установками, работающими непрерывно (испытание колесом движущегося автомобиля), число испытаний этим оборудованием обеспечивает необходимую точность результатов и предварительное определение их количества не требуется.
6. Обработка результатов испытаний
и расчет усиления дорожной одежды
6.1. По данным испытаний на контрольных точках (см.
табл. 1.10) строят графики изменения модуля упругости по дням (см.
рис. 1.2). Модули упругости вычисляют по
формуле (1.1). С помощью этих графиков для каждого i-го дня, в который проводили линейные испытания данного однообразного участка, вычисляют коэффициенты приведения

к расчетному модулю упругости.

, (1.7)
где:

- минимальный модуль упругости, соответствующий наиболее ослабленному состоянию дорожной одежды на контрольной точке, МПа;

- значение модуля упругости в i-ый день испытаний на контрольной точке, МПа.
Величины коэффициентов приведения

заносят в графу 4
табл. 1.15. В ту же таблицу (графа 3) должны быть занесены фактические модули упругости

, полученные в результате линейных испытаний.
График изменения модуля упругости по дням
На кривых указаны номера контрольных точек.
6.2. Расчетные модули упругости

определяют по формуле:

. (1.8)
Величины

заносят в графу 5 табл. 1.16.
| | ИС МЕГАНОРМ: примечание. Вероятно, в официальном тексте документа допущена опечатка: п. 1.6.1 отсутствует. | |
Численные значения

в соответствии с п. 1.6.1 вычисляют по результатам испытаний на контрольных точках с использованием формулы
(1.8) или по таблицам 1.11 -
1.14. В последнем случае в процессе испытаний на контрольных точках необходимо отбирать пробы грунта для определения его типа и влажности и вычисления относительной влажности к пределу текучести.
Таблица 1.11
Коэффициент приведения к расчетному модулю упругости

,
грунт земляного полотна - супесь легкая
───────┬────────────┬─────────────────────────────────────────────
Темпе- │Толщина │ Относительная влажность грунта
ратура │слоя асфаль-│
асфаль-│тобетона, м ├────────┬─────────┬─────────┬────────┬───────
тобето-│ │ 0,5 │ 0,6 │ 0,7 │ 0,8 │ 0,9
на, °C │ │ │ │ │ │
───────┼────────────┼────────┼─────────┼─────────┼────────┼───────
1 │ 2 │ 3 │ 4 │ 5 │ 6 │ 7
───────┴────────────┴────────┴─────────┴─────────┴────────┴───────
0 0,08 0,84 0,88 0,91 0,94 0,94
0,12 0,81 0,85 0,88 0,90 0,91
0,16 0,80 0,83 0,86 0,88 0,89
0,20 0,79 0,82 0,84 0,87 0,88
──────────────────────────────────────────────────────────────────
10 от 0,08 0,93 0,97 1,0 1,03 1,04
до 0,20
──────────────────────────────────────────────────────────────────
20 0,08 1,04 1,10 1,13 1,17 1,18
0,12 1,09 1,15 1,18 1,22 1,23
0,16 1,13 1,19 1,22 1,26 1,27
0,20 1,17 1,22 1,25 1,29 1,30
──────────────────────────────────────────────────────────────────
30 0,08 1,13 1,19 1,23 1,28 1,29
0,12 1,24 1,31 1,35 1,39 1,41
0,16 1,33 1,39 1,43 1,48 1,49
0,20 1,41 1,47 1,51 1,55 1,56
──────────────────────────────────────────────────────────────────
40 0,08 1,18 1,27 1,30 1,34 1,36
0,12 1,32 1,43 1,46 1,51 1,52
0,16 1,48 1,56 1,59 1,63 1,65
0,20 1,60 1,68 1,70 1,75 1,76
──────────────────────────────────────────────────────────────────
50 0,08 1,20 1,28 1,33 1,37 1,39
0,12 1,38 1,45 1,51 1,55 1,57
0,16 1,53 1,60 1,65 1,70 1,72
0,20 1,66 1,73 1,78 1,82 1,84
──────────────────────────────────────────────────────────────────
Таблица 1.12
Коэффициент приведения к расчетному модулю упругости

,
грунт земляного полотна - песок пылеватый
───────┬────────────┬─────────────────────────────────────────────
Темпе- │Толщина │ Относительная влажность грунта
ратура │слоя асфаль-│
асфаль-│тобетона, м ├────────┬─────────┬─────────┬────────┬───────
тобето-│ │ 0,5 │ 0,6 │ 0,7 │ 0,8 │ 0,9
на, °C │ │ │ │ │ │
───────┼────────────┼────────┼─────────┼─────────┼────────┼───────
1 │ 2 │ 3 │ 4 │ 5 │ 6 │ 7
───────┴────────────┴────────┴─────────┴─────────┴────────┴───────
0 0,08 0,84 0,87 0,90 0,94 0,99
0,12 0,82 0,84 0,87 0,90 0,95
0,16 0,80 0,83 0,85 0,88 0,92
0,20 0,79 0,81 0,84 0,87 0,90
──────────────────────────────────────────────────────────────────
10 от 0,08 0,93 0,96 0,99 1,03 1,08
до 0,20
──────────────────────────────────────────────────────────────────
20 0,08 1,03 1,06 1,11 1,15 1,22
0,12 1,08 1,11 1,15 1,20 1,26
0,16 1,12 1,15 1,18 1,23 1,29
0,20 1,15 1,17 1,21 1,25 1,30
──────────────────────────────────────────────────────────────────
30 0,08 1,15 1,19 1,23 1,29 1,37
0,12 1,26 1,30 1,35 1,40 1,48
0,16 1,35 1,39 1,43 1,49 1,56
0,20 1,42 1,46 1,50 1,55 1,62
──────────────────────────────────────────────────────────────────
40 0,08 1,22 1,27 1,32 1,39 1,47
0,12 1,40 1,45 1,50 1,56 1,65
0,16 1,55 1,60 1,65 1,71 1,79
0,20 1,68 1,72 1,77 1,84 1,91
──────────────────────────────────────────────────────────────────
50 0,08 1,28 1,32 1,38 1,44 1,53
0,12 1,50 1,55 1,61 1,68 1,77
0,16 1,69 1,77 1,80 1,87 1,96
0,20 1,86 1,91 1,96 2,04 2,12
──────────────────────────────────────────────────────────────────
Таблица 1.13
Коэффициент приведения к расчетному модулю упругости

,
грунт земляного полотна - суглинок легкий,
тяжелый и глина
───────┬────────────┬─────────────────────────────────────────────
Темпе- │Толщина │ Относительная влажность грунта
ратура │слоя асфаль-│
асфаль-│тобетона, м ├────────┬─────────┬─────────┬────────┬───────
тобето-│ │ 0,5 │ 0,6 │ 0,7 │ 0,8 │ 0,9
на, °C │ │ │ │ │ │
───────┼────────────┼────────┼─────────┼─────────┼────────┼───────
1 │ 2 │ 3 │ 4 │ 5 │ 6 │ 7
───────┴────────────┴────────┴─────────┴─────────┴────────┴───────
0 0,08 0,69 0,75 0,86 0,94 0,98
0,12 0,68 0,74 0,84 0,91 0,95
0,16 0,68 0,73 0,83 0,89 0,92
0,20 0,68 0,73 0,82 0,82 0,91
──────────────────────────────────────────────────────────────────
10 от 0,08 0,77 0,84 0,95 1,03 1,07
до 0,20
──────────────────────────────────────────────────────────────────
20 0,08 0,84 0,93 1,07 1,17 1,22
0,12 0,90 0,98 1,11 1,20 1,25
0,16 0,94 1,02 1,14 1,23 1,28
0,20 0,97 1,05 1,17 1,25 1,30
──────────────────────────────────────────────────────────────────
30 0,08 0,94 1,04 1,20 1,31 1,38
0,12 1,04 1,15 1,30 1,41 1,48
0,16 1,13 1,23 1,38 1,49 1,55
0,20 1,21 1,30 1,45 1,55 1,61
──────────────────────────────────────────────────────────────────
40 0,08 1,00 1,11 1,29 1,41 1,49
0,12 1,16 1,28 1,46 1,59 1,66
0,16 1,30 1,42 1,59 1,72 1,79
0,20 1,43 1,54 1,71 1,83 1,90
──────────────────────────────────────────────────────────────────
50 0,08 1,04 1,16 1,35 1,47 1,55
0,12 1,24 1,37 1,56 1,69 1,77
0,16 1,42 1,55 1,74 1,87 1,96
0,20 1,58 1,70 1,90 2,03 2,11
──────────────────────────────────────────────────────────────────
Таблица 1.14
Коэффициент приведения к расчетному модулю упругости

.
Грунт земляного полотна - супесь пылеватая и тяжелая
пылеватая, суглинок пылеватый
───────┬────────────┬─────────────────────────────────────────────
Темпе- │Толщина слоя│ Относительная влажность грунта
ратура │асфальтобе- │
асфаль-│тона, м ├────────┬─────────┬─────────┬────────┬───────
тобето-│ │ 0,5 │ 0,6 │ 0,7 │ 0,8 │ 0,9
на, °C │ │ │ │ │ │
───────┼────────────┼────────┼─────────┼─────────┼────────┼───────
1 │ 2 │ 3 │ 4 │ 5 │ 6 │ 7
───────┴────────────┴────────┴─────────┴─────────┴────────┴───────
0 0,08 0,67 0,74 0,82 0,90 0,94
0,12 0,67 0,73 0,80 0,87 0,91
0,16 0,66 0,72 0,79 0,85 0,89
0,20 0,66 0,72 0,78 0,84 0,88
──────────────────────────────────────────────────────────────────
10 от 0,08 0,76 0,83 0,91 0,98 1,03
до 0,20
──────────────────────────────────────────────────────────────────
20 0,08 0,82 0,91 1,02 1,11 1,18
0,12 0,88 0,96 1,06 1,15 1,21
0,16 0,92 1,00 1,09 1,18 1,23
0,20 0,95 1,03 1,12 1,20 1,25
──────────────────────────────────────────────────────────────────
30 0,08 0,91 1,01 1,13 1,25 1,31
0,12 1,02 1,13 1,25 1,35 1,42
0,16 1,11 1,21 1,32 1,42 1,50
0,20 1,19 1,28 1,39 1,49 1,56
──────────────────────────────────────────────────────────────────
40 0,08 0,98 1,08 1,22 1,34 1,42
0,12 1,14 1,25 1,39 1,52 1,59
0,16 1,27 1,39 1,53 1,65 1,72
0,20 1,40 1,51 1,64 1,76 1,83
──────────────────────────────────────────────────────────────────
50 0,08 1,02 1,13 1,27 1,41 1,49
0,12 1,22 1,34 1,49 1,63 1,70
0,16 1,40 1,52 1,67 1,67 1,88
0,20 1,55 1,67 1,82 1,95 2,04
──────────────────────────────────────────────────────────────────
При определении величин

по
табл. 1.11 -
1.14 для промежуточных значений относительной влажности, толщины асфальтобетонных слоев и температуры следует применять линейную интерполяцию.
Таблица 1.15
Журнал линейных испытаний дороги
───────┬─────────────┬─────────────┬──────────┬─────────┬─────────
Дата и │Место распо- │Модуль упру- │Коэффици- │Расчетные│Примеча-
час ис-│ложения точек│гости дорож- │ент приве-│ модули │ние
пытаний│испытания │ной одежды │дения к │упругости│
│км + м │по результа- │расчетному│Е (МПа) │
│ │там испытаний│модулю уп-│ р │
│ │МПа, Е │ругости, │ │
│ │ фi │K │ │
│ │ │ рi │ │
───────┼─────────────┼─────────────┼──────────┼─────────┼─────────
1 │ 2 │ 3 │ 4 │ 5 │ 6
───────┴─────────────┴─────────────┴──────────┴─────────┴─────────
9.04
────
10.00 48 + 000 436 0,78 340
10.01 48 + 100 327 " 255
10.01 48 + 200 269 " 210
10.02 48 + 300 231 " 180
10.02 48 + 400 282 " 220
10.02 48 + 500 283 " 220
10.03 48 + 600 288 " 225
10.03 48 + 700 282 " 220
10.03 48 + 800 186 " 145
10.04 48 + 900 288 " 225
10.04 49 + 000 283 " 220
10.05 49 + 100 340 " 265
9.04
────
16.05 49 + 100 334 " 260
16.05 49 + 000 283 " 220
16.06 48 + 900 359 " 280
16.06 48 + 800 179 " 140
16.06 48 + 700 279 " 215
16.07 48 + 600 263 " 205
16.07 48 + 500 224 " 175
16.08 48 + 400 263 " 205
16.08 48 + 300 231 " 180
16.08 48 + 200 295 " 230
16.09 48 + 100 295 " 230
16.10 48 + 000 359 " 280
──────────────────────────────────────────────────────────────────
6.3. На каждом однообразном участке вычисляют средние расчетные модули упругости

, (1.9)
где

- скорректированные значения расчетных модулей упругости, МПа;
m - число очищенных результатов испытаний.
Очищенные значения

должны соответствовать условиям

. (1.10)
В точках, где

<= 0,4

, вопрос об усилении дорожной одежды рассматривают отдельно. Обычно в таких местах дорожную одежду перестраивают заново, рассчитывая ее по Инструкции по проектированию дорожных одежд нежесткого типа
ВСН 46-83.
6.4. По величине среднего расчетного модуля упругости вычисляют оптимизированный расчетный модуль

:

, (1.11)
где:

- коэффициент гарантийной вероятности, оптимизирующий величину среднего расчетного модуля (см.
табл. 1.10);

- коэффициент вариации скорректированного в соответствии с формулой (1.10) массива модулей упругости

. (1.12)
При пользовании табл. 1.16 для промежуточных значений

,

и общей интенсивности движения следует пользоваться линейной интерполяцией. Для дорог I категории по табл. 1.16 следует принимать те же значения

, что и для II категории, но общую интенсивность движения считать в одном направлении по той проезжей части, где рассчитывают усиление.
Таблица 1.16
Рекомендуемые значения

─────┬──────────┬──────┬───────────────────────────────────────────────────────────────────────────────────────────────────────────────────────
Кате-│ Тип │Общая │ Коэффициент вариации по модулям упругости существующей дорожной одежды C
гор. │ покрытия │интен-│ е
до- │ │сив- ├───────────────────────────────────────┬───────────────────────────────────────┬───────────────────────────────────────
роги │ │ность │ 0,2 │ 0,3 │ 0,4
│ │движе-├───────────────────────────────────────┴───────────────────────────────────────┴───────────────────────────────────────
│ │ния, │ Отношение Е /Е
│ │авт./с│ ср.р тр.р
│ │ ├─────────┬─────────┬─────────┬─────────┬─────────┬─────────┬─────────┬─────────┬─────────┬─────────┬─────────┬─────────
│ │ │ 0,5 │ 0,6 │ 0,7 │ 0,8 │ 0,5 │ 0,6 │ 0,7 │ 0,8 │ 0,5 │ 0,6 │ 0,7 │ 0,8
─────┴──────────┴──────┴─────────┴─────────┴─────────┴─────────┴─────────┴─────────┴─────────┴─────────┴─────────┴─────────┴─────────┴─────────
II усовершен. 3000 0,80 - 0,85 - 0,90 - 0,90 - 1,00 - 1,05 - 1,10 - 1,25 - - 1,10 - 1,05 - 1,05 -
капитальн. 0,95 1,05 1,10 1,10 1,10 1,15 1,20 1,35 1,15 1,15 1,15
8000 1,00 - 1,00 - 1,05 - 1,05 - 1,10 - 1,20 - 1,30 - 1,20 - - 1,10 - 1,00 - 1,10 - -
1,15 1,15 1,20 1,20 1,20 1,30 1,40 1,35 1,25 1,15 1,20
───────────────────────────────────────────────────────────────────────────────────────────────────────────────────────────────────────────────
III усовершен. 1000 0,50 - 0,55 - 0,60 - 0,60 - 0,70 - 0,75 - 0,80 - 0,80 - 0,75 - 0,80 - 0,80 - 0,85 -
капитальн. 0,80 0,85 0,90 0,90 0,95 0,95 1,00 1,00 0,90 0,95 1,00 1,00
4000 0,80 - 0,90 - 0,90 - 0,95 - 1,00 - 1,05 - 1,10 - 1,30 - - 1,05 - 1,05 - 1,05 -
1,05 1,10 1,10 1,15 1,15 1,15 1,20 1,35 1,20 1,15 1,15
─────────────────────────────────────────────────────────────────────────────────────────────────────────────────────────────────────────
усовершен. 1000 0,65 - 0,70 - 0,75 - 0,75 - 0,80 - 0,90 - 0,95 - 1,35 - 0,85 - 1,05 - 1,05 - 1,00 -
облегчен. 0,90 0,95 1,00 1,00 1,00 1,10 1,10 1,10 1,00 1,25 1,15 1,15
4000 0,90 - 0,95 - 1,00 - 1,10 - 1,10 - 1,25 - 1,25 - 1,25 - - 1,05 - 1,00 - 1,05 -
1,05 1,15 1,20 1,25 1,15 1,30 1,40 1,35 1,15 1,10 1,10
───────────────────────────────────────────────────────────────────────────────────────────────────────────────────────────────────────────────
IV усовершен. 200 0,10 - 0,10 - 0,15 - 0,10 - 0,25 - 0,30 - 0,30 - 0,30 - 0,20 - 0,30 - 0,30 - 0,35 -
капитальн. 0,60 0,65 0,65 0,60 0,70 0,75 0,75 0,75 0,65 0,70 0,75 0,75
1000 0,70 - 0,75 - 0,80 - 0,80 - 0,90 - 0,95 - 0,95 - 1,00 - 0,90 - 0,95 - 0,95 - 1,05 -
1,00 1,05 1,05 1,05 1,10 1,10 1,10 1,15 1,05 1,05 1,10 1,10
─────────────────────────────────────────────────────────────────────────────────────────────────────────────────────────────────────────
усовершен. 200 0,30 - 0,40 - 0,45 - 0,50 - 0,55 - 0,60 - 0,65 - 0,70 - - 0,65 - 0,30 - 0,70 -
облегчен. 0,75 0,80 0,85 0,90 0,85 0,90 0,95 0,95 0,90 0,90 0,95
───────────────────────────────────────────────────────────────────────────────────────────────────────────────────────────────────────────────
Примечание. Первая цифра соответствует 5% легковых, вторая - 50% легковых в общем потоке автомобилей.
ДВИЖЕНИЯ ТРАНСПОРТНЫХ СРЕДСТВ НА АВТОМОБИЛЬНЫХ ДОРОГАХ
1. Общие положения
1.1. Учет движения на дорогах должен проводиться не реже:
- на дорогах общегосударственного значения - 2 раза в 5 лет (в 3-ий и 5-ый годы пятилетки);
- на дорогах республиканского, областного и местного значения - 1 раз в 5 лет (в 5-ый год пятилетки);
- на подходах к городам 3 раза в 5 лет (в 1-ый, 3-ий и 5-ый годы пятилетки).
На вновь построенных и реконструированных дорогах учет движения следует начинать во второй год функционирования дороги, а затем - в соответствии с вышеизложенным.
1.2. При проведении учета допускается как периодический (выборочный), так и непрерывный сбор информации об интенсивности и составе транспортного потока.
1.3. Периодический сбор информации проводится с помощью автоматических счетчиков, включаемых на время учета или визуально, если счетчики вышли из строя или учетные пункты не оборудованы счетчиками.
1.4. Периодический сбор информации должен проводиться 4 раза в квартал:
- в первый месяц квартала - два раза: в один рабочий и один выходной дни;
- во второй и третий месяцы квартала - по одному разу в рабочий день.
1.5. На опорных учетных пунктах периодический сбор информации о движении с помощью автоматических счетчиков должен проводиться во все учетные дни в течение 24 часов.
1.6. Визуальный периодический сбор информации проводится при отсутствии или выходе из строя автоматических счетчиков в те же учетные дни.
1.7. По данным непосредственного учета должны быть составлены зафиксированные в журналах сведения о размерах и составе движения. В журнале должны быть также зафиксированы начало и конец участка автомобильной дороги, относящегося к учетному пункту, номер и вид учетного пункта, а также дата учета.
1.8. Не позднее 15 числа следующего за кварталом месяца данные по учету движения должны быть направлены в организацию, осуществляющую централизованную обработку информации.
1.9. При кратковременном визуальном учете движения на автомобильных дорогах в дни, указанные в
п. 1.4, необходимо фиксировать время начала и окончания наблюдений и все проходящие через выбранный створ автомобили с указанием их марок. Для получения суточной интенсивности, данные краткосрочного учета должны быть разделены на коэффициент приведения, указанный в табл. 1.1
Таблица 1.1
Коэффициенты приведения краткосрочных замеров в суточные
(% от суточной интенсивности)
──────────┬───────────────────────────────────────────────────────
Номер часа│ Длительность замера (час.)
начала за-├────────┬────────┬─────────┬─────────┬────────┬────────
мера │ 1 │ 2 │ 3 │ 4 │ 5 │ 6
──────────┴────────┴────────┴─────────┴─────────┴────────┴────────
8 6,09 12,63 19,00 25,59 31,6 37,53
9 6,53 12,91 19,50 25,50 31,44 37,88
10 6,37 12,96 18,97 24,91 31,35 37,43
11 6,59 12,6 18,53 24,98 31,06 37,41
12 6,0 11,94 18,38 24,46 30,81 37,13
13 5,94 12,38 18,46 24,81 31,12 37,67
14 6,44 12,52 18,87 25,18 31,73 37,07
15 6,08 12,43 18,74 25,29 30,62 -
16 6,35 12,66 19,21 24,54 - -
17 6,31 12,86 18,2 - - -
18 6,55 11,88 - - - -
19 5,34 - - - - -
──────────────────────────────────────────────────────────────────
2. Требования к техническим средствам учета движения
2.1. На учетных пунктах могут использоваться как стационарные, так и переносные автоматические счетчики движения.
2.2. Стационарные счетчики устанавливаются в помещениях, расположенных в зоне учетных пунктов, и могут служить как для непрерывного, так и для периодического сбора информации.
2.3. Переносные счетчики устанавливаются (временно или постоянно) на любом транспортном средстве, выделенном для проведения учета движения. Эти счетчики могут использоваться только для периодического сбора информации путем объезда учетных пунктов по утвержденному графику (см. п. 3.8).
2.4. Автоматические счетчики должны содержать:
- детекторы транспорта (например, индуктивные рамки, уложенные в покрытие);
- вторичные приборы;
- источники питания;
- кабели с разъемами для подключения вторичного прибора к детекторам.
2.5. Переносные счетчики подключаются к детекторам транспорта, постоянно уложенным на учетных пунктах или временно укрепляемым на дорожном покрытии.
2.6. Временно устанавливаемые детекторы транспорта не должны создавать помех движению и оказывать влияние на режим движения.
2.7. Установка, настройка, профилактические осмотры, а также ремонт технических средств учета движения возлагаются на подразделения, определяемые Минавтодорами (минавтошосдорами) союзных республик.
2.8. При проведении работ по ремонту и реконструкции автомобильных дорог должна быть проверена и при необходимости восстановлена работоспособность детектора транспорта.
2.9. При установке и эксплуатации автоматических счетчиков движения необходимо руководствоваться техническими условиями, прилагаемыми заводом-изготовителем к каждому счетчику.
3. Определение интенсивности движения и состава
транспортного потока с помощью анализатора АСТП-7М
Назначение и основные технические данные анализатора
3.1. Анализатор АСТП-7М предназначен для учета объемов движения транспортных потоков с разделением по составу движения на шесть групп с отдельным каналом общего счета и является составной частью комплекса приборов, применяемых для паспортизации автомобильных дорог и определения их транспортно-эксплуатационных характеристик.
3.2. Анализатор может эксплуатироваться в следующих условиях:
- температура окружающего воздуха от -5 °C до +40 °C;
- относительная влажность окружающего воздуха до 98% (при температуре +35 °C).
3.3. АСТП-7М выполняется в двух модификациях:
- АСТП-7М - комплектуется счетными механизмами;
- АСТП-7М - комплектуется блоком цифровой индикации.
3.4. Анализатор содержит датчик, выполненный в виде индуктивного чувствительного элемента, закладываемого в дорожное покрытие или укрепляемого на его поверхности, и вторичный блок, размещаемых в помещении или в передвижной измерительной лаборатории.
3.5. Максимальное расстояние от датчика до вторичного блока - 300 м.
3.6. Количество счетных групп - 7 (
табл. 3.1):
- первая группа "Автобусы";
- вторая группа "Легковые автомобили";
- третья группа "Грузовые автомобили свыше 3 тс";
- четвертая группа "Грузовые автомобили свыше 3 тс с прицепом и полуприцепом";
- пятая группа "Грузовые автомобили до 3 тс";
- шестая группа "Грузовые автомобили до 3 тс с прицепами и полуприцепами";
- седьмая группа "Общий счет".
3.7. Погрешность определения общего потока транспортных средств составляет не более 0,5%, погрешность определения состава транспортного потока составляет 5 - 10%. Диапазон скоростей автотранспорта, при котором происходит надежное разделение транспортных средств по группам, от 10 до 100 км/ч.
3.8. Напряжение питающей сети 220 В с частотой 50 Гц, потребляемая мощность - не более 5 Вт, напряжение питания от автономного источника постоянного тока 12 В.
3.9. Габаритные размеры вторичного блока:
- длина - 400 мм;
- ширина - 275 мм;
- высота - 205 мм.
Масса анализатора без упаковки не более 12 кг.
Таблица 3.1
групп транспортных средств, регистрируемых
прибором АСТП-7А, В
1 группа: автобусы - ПАЗ-693, 695, 699, ПАЗ, Лиаз, Кубань,
КАВЗ, Икарус и др.
2 группа: легковые - 2140, 412, ГАЗ-20, 21, 24, 31, ВАЗ,
ЗАЗ, РАФ, ЕрАЗ, Ниса, УАЗ-фургон,
УАЗ-469
3 группа: грузовые - УАЗ-бортовой, мотоколяски, ГАЗ-66
< 3 тс (бортовой), ГАЗ-51, 52, 53
(бортовой), одиночные трактора
4 группа: грузовые - вся группа грузовых автомобилей < 3
с прицепом < 3 тс тс, с прицепами
5 группа: грузовые - Урал-377, ЗИЛ-130, 131, 133, 555,
> 3 тс МАЗ, КамАЗ, КрАЗ, Татра,
ГАЗ-66 (фургон), ГАЗ-53 (фургон),
"Колхида" и т.д.
6 группа: грузовые - вся группа грузовых автомобилей > 3
с прицепом > 3 тс тс, с прицепами и полуприцепами,
трактора с прицепами
7 группа: "ТС" - общая группа суммарного счета
транспортных средств