Главная // Актуальные документы // ВСН (Ведомственные строительные нормы)СПРАВКА
Источник публикации
М., 1972
Примечание к документу
Документ утратил силу с 3 октября 1990 года в связи с введением в действие
ВСН 286-90, утв. Минмонтажспецстроем СССР 12.09.1990.
Документ
введен в действие с 1 марта 1972 года.
Название документа
"ВСН 286-72. Ведомственные строительные нормы. Указания по расчету железобетонных дымовых труб"
(утв. Минмонтажспецстроем СССР 27.01.1972)
"ВСН 286-72. Ведомственные строительные нормы. Указания по расчету железобетонных дымовых труб"
(утв. Минмонтажспецстроем СССР 27.01.1972)
Минмонтажспецстроем СССР
27 января 1972 года
ВЕДОМСТВЕННЫЕ СТРОИТЕЛЬНЫЕ НОРМЫ
УКАЗАНИЯ
ПО РАСЧЕТУ ЖЕЛЕЗОБЕТОННЫХ ДЫМОВЫХ ТРУБ
ВСН 286-72
Срок введения
1 марта 1972 года
Внесены ВНИПИ Теплопроект, НИИЖБ, ЦНИИСК, НИИОСП.
Утверждены Минмонтажспецстроем СССР 27 января 1972 г.
В настоящих Указаниях приведен расчет железобетонных дымовых труб на совместное действие нагрузок от собственного веса и ветра и воздействия температуры (нагрев ствола отходящими газами и солнечной радиации), а также приведены новые данные по определению крена и осадок фундаментов дымовых труб в зависимости от их высоты.
Указания разработаны институтами НИИЖБ, ЦНИИСК им. Кучеренко, НИИОСП Госстроя СССР и ВНИПИ Теплопроект Минмонтажспецстроя СССР.
Участие в разработке приняли: от НИИЖБ - докт. техн. наук А.Ф. Милованов, канд. техн. наук Б.А. Альтшулер; от ЦНИИСК им. Кучеренко - доктора техн. наук Б.Г. Коренев, А.Р. Ржаницын, А.В. Геммерлинг, кандидаты техн. наук М.П. Барштейн, В.Г. Власов, инж. П.К. Шкляревский; НИИОСП - докт. техн. наук К.Е. Егоров; от ВНИПИ Теплопроект канд. техн. наук И.А. Шишков, инженеры В.Г. Лебедев, В.В. Сидоров, В.С. Першко.
Редакторы инж. Д.А. Аппак, инж. И.М. Рейнов.
1.1. Настоящие Указания распространяются на расчет монолитных железобетонных дымовых труб высотой более 150 м с ненапрягаемой арматурой.
Примечания. 1. Железобетонные дымовые трубы высотой до 150 м должны рассчитываться по "Инструкции по проектированию железобетонных дымовых труб" (М., Госстройиздат, 1962), при этом ветровые нагрузки следует принимать по действующей главе СНиП "Нагрузки и воздействия. Нормы проектирования".
2. Монолитные железобетонные дымовые трубы высотой более 150 м с ненапрягаемой арматурой далее в тексте "Указаний" будут именоваться сокращенно "трубы".
1.2. Расчет труб, возводимых в сейсмических районах, должен вестись с учетом требований главы СНиП II-2.12-69 "Строительство в сейсмических районах. Нормы проектирования".
1.3. Расчет железобетонных плит для фундаментов дымовых труб должен выполняться согласно "Инструкции по расчету статически неопределимых железобетонных конструкций с учетом перераспределения усилий" 2-е издание (М., Госстройиздат, 1961).
1.4. При расчетах труб кроме настоящих Указаний надлежит соблюдать требования глав СНиП II-В.1-62* "Бетонные и железобетонные конструкции. Нормы проектирования" и II-В.7-67 "Бетонные и железобетонные конструкции, предназначенные для работы в условиях воздействия повышенных и высоких температур. Нормы проектирования".
2. СТАТИЧЕСКИЙ РАСЧЕТ ТРУБЫ
2.1. Расчет трубы следует производить по двум группам предельных состояний: по потере несущей способности и по непригодности к нормальной эксплуатации.
При расчете по первой группе предельных состояний необходимо учитывать одновременное действие нагрузки от собственного веса, расчетной ветровой нагрузки, а также влияние температуры отводимых газов; при расчете по второй группе предельных состояний - одновременное действие собственного веса, нормативной нагрузки от ветра, а также влияние температуры отводимых газов и солнечной радиации.
Примечание. Собственный вес трубы принимается без коэффициентов перегрузки.
Предельному состоянию по потере несущей способности вертикальных и горизонтальных сечений трубы отвечает образование пластического шарнира, в том числе:
- в горизонтальных сечениях трубы с наветренной стороны пластическому шарниру соответствует состояние, когда зона текучести растянутой арматуры, равномерно расположенной по периметру кольца, доходит до центра тяжести арматуры растянутой зоны
(рис. 1); с подветренной стороны этому соответствует полное использование прочности сжатой зоны бетона;
- в вертикальных сечениях предельному состоянию соответствует текучесть растянутой арматуры.
Рис. 1. Расчетная схема горизонтального
сечения трубы и эпюра напряжений
ПРИНЯТЫЕ ОБОЗНАЧЕНИЯ

- расстояние от центра трубы до центра тяжести растянутой зоны;

- расстояние от центра трубы до центра тяжести сжатой зоны;

- внутренний радиус сечения;

- радиус арматуры;

- наружный радиус сечения;
| | ИС МЕГАНОРМ: примечание. Текст дан в соответствии с официальным текстом документа. | |
r - расчетный радиус, равный

- половина угла сжатой зоны;

- напряжение в растянутой арматуре;

- сжимающие напряжения в бетоне;
h - толщина стенки трубы;

- полезная высота сечения стенки трубы.
Вторая группа предельных состояний вертикальных и горизонтальных сечений трубы характеризуется достижением трещинами предельной величины раскрытия, равной: для верхней трети высоты трубы - 0,1 мм; для остальной части трубы - 0,2 мм.
2.2. Определение напряжений от температурных воздействий следует производить при наибольшем значении температуры отводимых газов, расчетной температуре наружного воздуха (средней температуре наиболее холодной пятидневки) и наибольшем значении коэффициента теплоотдачи наружной поверхности трубы

.
2.3. Для армирования труб принимается, как основная, стержневая арматура периодического профиля классов А-II и А-III. Расчетные характеристики арматуры приводятся в
табл. 5 Приложения 1.
2.4. Бетон для труб принимается проектной марки по прочности на сжатие не ниже 300 на портландцементе. Марки бетона по морозостойкости и водонепроницаемости следует принимать в соответствии с требованиями нормативных документов. Расчетное сопротивление бетона сжатию принимается равным

с учетом условий работы бетона в трубах.
Определение расчетной ветровой нагрузки
2.5. Трубы рассчитываются на ветровую нагрузку с учетом 3-х форм свободных колебаний.
2.6. Расчетная ветровая нагрузка

(т), действующая на участок трубы k
(рис. 2), при колебаниях его по i-ой форме (i = 1, 2, 3) (труба условно разбивается по высоте на r участков с текущим номером j = 1, 2... k... r, при этом масса j-го участка и действующая на него ветровая нагрузка принимаются сосредоточенными в середине участка с абсциссой xj) определяется по формуле:

, (1)
где

- расчетная ветровая нагрузка (т) на k-й участок трубы, соответствующая статическому действию скоростного напора ветра;

- расчетное давление ветра (в т/м2) для середины k-го участка;
| | ИС МЕГАНОРМ: примечание. Взамен СНиП II-А.11-62 Постановлением Госстроя СССР от 08.02.1974 N 16 с 1 сентября 1974 года введены СНиП II-6-74. | |

- нормативный скоростной напор ветра в т/м2 для высоты над поверхностью земли до 10 м, принимаемый по табл. 9 п. 6.1 главы СНиП II-А.11-62 "Нагрузки и воздействия. Нормы проектирования";

- поправочный коэффициент на возрастание скоростного напора для середины данного участка, принимаемый по табл. 10 главы СНиП II-А.11-62;
c = 0,7 - аэродинамический коэффициент для звена k;
n - коэффициент перегрузки: для труб высотой от 150 до 300 м - 1,4; выше 300 м - 1,5;

- площадь проекции k-го звена (м2) на плоскость, перпендикулярную ветровому потоку;

- расчетная инерционная сила (т), действующая в середине k-го звена при колебаниях трубы по i-ой форме;

- масса k-го звена (т x с2/м);

- приведенное ускорение (м/с2) середины k-го эвена при колебаниях трубы по i-ой форме

. (2)
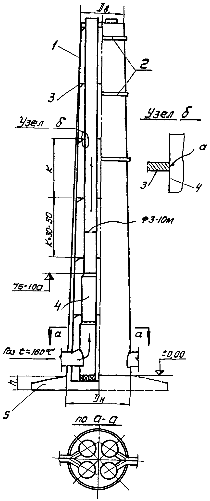
Рис. 2. Схема конструкции дымовой трубы с железобетонной
оболочкой и четырьмя внутренними металлическими
стволами-газоходами: 1 - железобетонная оболочка трубы;
2 - светофорная площадка; 3 - сплошная металлическая
площадка; 4 - металлический ствол-газоход (самонесущий);

; 5 - фундамент под трубу
Примечание. Металлический ствол 4 свободно опирается в точке a на металлическую площадку 3.
В
формуле (2) 
и

- относительные ординаты i-ой формы свободных колебаний трубы в рассматриваемой точке с абсциссой

и во всех точках с абсциссами

(j = 1, 2... k... r), где сосредоточены массы

;

- коэффициент пульсации скоростного напора для середины j-го участка, определяемый по табл. 12 главы СНиП II-А.11-62;

- коэффициент динамичности, зависящий от периода i-ой формы свободных колебаний и от логарифмического декремента колебаний трубы, определяемый по графикам на рис. 3.
Рис. 3
КОЭФФИЦИЕНТЫ ДИНАМИЧНОСТИ
а - для гибких стальных конструкций (логарифмический декремент колебаний

);
б - для металлических и деревянных сооружений

;
в - для железобетонных и каменных сооружений

Расчет горизонтальных сечений трубы
2.7. Усилия в горизонтальных сечениях трубы определяются методом последовательных приближений.
Окончательными являются усилия или прогибы n-го приближения, которые отличаются от n - 1 приближения не более чем на 5%.
При расчете горизонтальных сечений трубы по первой и второй группам предельных состояний изгибающий момент определяют от соответствующих нагрузок и воздействий, указанных в
п. 2.1. В необходимых случаях принимают наибольший изгибающий момент с учетом проверки трубы на резонанс.
2.8. При расчете трубы по первой группе предельных состояний прогибы и усилия определяют в следующем порядке:
1. Для всех сечений трубы задаются толщиной стенки и сечением вертикальной арматуры на 1 пог. м длины окружности трубы.
2. Определяют нормальные силы (от собственного веса ствола, футеровки, площадок и т.п.) и изгибающие моменты от статических расчетных ветровых нагрузок и динамических воздействий порывов ветра.
В первом приближении изгибающие моменты определяют без учета нормальных сил по формуле:

, (3)
где

- изгибающий момент в k-ом сечении трубы от расчетных статических ветровых нагрузок

;

- изгибающий момент от динамического воздействия порывов ветра:

. (4)
В формуле (4)

- динамический изгибающий момент в k-ом сечении трубы при колебаниях его по i-ой форме;

- расчетная инерционная сила, определяемая согласно
пункту 2.6 настоящих Указаний.
3. Определяют напряжение в арматуре

и бетоне

соответственно согласно
пп. 2.13 и
2.14.
4. Определяют кривизну оси трубы по формуле:

, (5)
при

кривизну оси трубы допускается определять по формуле

. (6)
5. Принимая эпюру кривизны первого приближения за фиктивную нагрузку, определяют прогибы трубы -

.
6. Вычисляют дополнительный момент

от нормальных сил, при этом, кроме перемещения

учитывают перемещения от крена фундамента -

.
7. Во втором приближении определяют перемещения трубы по суммарному изгибающему моменту

, вычисляют новый дополнительный изгибающий момент

и суммируют его с моментом

.
2.9. Для определения напряжений в сечениях трубы предварительно определяют центральный угол

, ограничивающий сжатую зону (см.
рис. 1).
Величину

определяют в зависимости от

и

по графикам, приведенным в Приложении 4 на
рис. 11.

. (7)
В формуле (7)

- определяется по табл. 3 главы СНиП II-В.7-67 или по опытным данным в зависимости от средней температуры сечения стенки

, (8)
где b - ширина полосы, равная 100 см.

. (9)
Для неослабленного сечения

, (10)
где

,

- соответственно наружный и внутренний радиусы стенки трубы.
2.10. При расчете по второй группе предельных состояний прогиб трубы определяют от суммарного действия нормативной ветровой нагрузки, крена фундамента, солнечной радиации и нормальных сил.
Прогиб f верха трубы от действия солнечной радиации принимают равным 0,005H, где H - высота трубы. Для упругой линии трубы при учете солнечной радиации принимается парабола вида:

. (11)
2.11. Суммарный изгибающий момент от нормативных нагрузок определяют путем деления расчетного момента на коэффициент перегрузки:

. (12)
2.12. В случае, когда равнодействующая нормальных сил при действии ветровой нагрузки и при одновременном воздействии на сечение температуры не выходит из ядра сечения, прогиб трубы рекомендуется определять как для консольной балки с переменной жесткостью по формуле:

. (13)
В формуле (13):

- определяют в зависимости от средней температуры стенки трубы в рассматриваемом сечении:

, (14)
где

- средняя относительная высота сжатой зоны сечения стенки, определяется по
формуле (31).
2.13. Напряжение в растянутой арматуре трубы определяют по формуле:

, (15)
где

;

. (16)
Напряжение в арматуре

должно удовлетворять условию:

. (17)
В формуле (17)

- принимается по табл. 8 главы СНиП II-В.7-67 в зависимости от температуры арматуры;

- по
табл. 5 Приложения 1 данных "Указаний".
2.14. Напряжение в бетоне сжатой зоны от действия собственного веса и ветровой нагрузки определяют по формуле:

. (18)
При наличии в расчетном сечении трубы ослабления проемом (см. рис. 4) напряжения в трубе следует определять по графику
рис. 12 Приложения 4.
Рис. 4. Расчетная схема сечения ствола
с проемом в сжатой зоне:

- половина угла
проема в трубе; x - высота сжатой зоны
2.15. При совместном действии внешних нагрузок и температуры суммарное напряжение в бетоне с подветренной стороны сечения определяют по формуле:

, (19)
где

- напряжение в бетоне от расчетных нагрузок;

- напряжение в бетоне, вызванное воздействием температурного перепада, определяемое по формуле:

. (20)
В формуле (20):

,

- принимаются по температуре наиболее нагретой поверхности сечения по таблицам соответственно 3 и 5 главы СНиП II-В.7-67;

- температурная кривизна, определяемая по формуле:

, (21)
где

и

- коэффициенты суммарной температурной деформации бетона, принимаемые по табл. 6 главы СНиП II-В.7-67 в зависимости от температуры соответственно наиболее и наименее нагретых граней сечения (

и

);

- коэффициент перегрева, принимаемый при расчете на прочность равным 1,1.
Примечание. Перепады температуры в железобетонной стенке трубы определяются расчетами температурного режима ограждающих конструкций.
Суммарное напряжение в бетоне должно удовлетворять условию:

. (22)
В формуле (22):

- определяют по табл. 3 главы СНиП II-В.7-67 или по опытным данным в зависимости от температуры наиболее нагретой поверхности сечения.
2.16. Ширину раскрытия горизонтальных трещин определяют в зависимости от изгибающего момента, вызванного комбинацией нагрузок и воздействий, отвечающих второй группе предельных состояний (см.
п. 2.1). По величине суммарного изгибающего момента по
формуле (9) определяют величину

.
Если

оказывается менее

, то горизонтальные трещины в трубе определяют только от температурного перепада в трубе.
Если

равно или более

, то по найденному суммарному изгибающему моменту вычисляют

и находят значения коэффициента P по формуле:

, (23)
где

. (24)
В формуле (24):

- коэффициент суммарной температурной деформации бетона, определяемый по табл. 6 главы СНиП II-В.7-67 в зависимости от температуры нагретой поверхности бетона;

. (25)

- коэффициент температурного расширения арматуры, определяемый по табл. 8 главы СНиП II-В.7-67 в зависимости от температуры арматуры;

- определяют по температуре бетона на уровне арматуры;
k - коэффициент, зависящий от процента армирования сечения продольной арматурой, определяемый по табл. 9 главы СНиП II-В.7-67;

- напряжение в арматуре от нормативных нагрузок, определяемое по
формуле (15).

. (26)
Значение

находят по табл. 3 главы СНиП II-В.7-67 или по опытным данным в зависимости от температуры бетона на уровне арматуры.
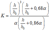
Коэффициент

должен приниматься не более 1 и не менее значения, определяемого по формуле:

, (27)
где K и C вычисляют по формулам соответственно:

; (28)

(29)

- коэффициент, принимаемый при определении

.
Рис. 5. Значения коэффициента

в зависимости от относительной высоты сжатой зоны

Рис. 6. Значения коэффициента K
в зависимости от

для разных значений

:
1 - 1,05; 2 - 1,10; 3 - 1,20; 4 - 1,30
2.17. Если P >= 1, тогда напряжение в арматуре, принимаемое в дальнейшем для расчета раскрытия трещин, равно

.
Если P < 1, напряжение в арматуре

, принимаемое в дальнейшем расчете, определяется по формуле:

, (30)
Относительную высоту сжатой зоны

определяют по формуле:

, (31)
где

;

.
Значение коэффициента

определяется в зависимости от температуры наиболее нагретой поверхности бетона.
Величина

должна удовлетворять условию

, где

- принимается по
табл. 5 Приложения 1.
Значение коэффициента

определяют по формуле:

. (32)
Предельные минимальные значения коэффициента

вычисляются по
формуле (27).
2.18. Ширину раскрытия горизонтальных трещин определяют по формуле:

, (33)
где

- среднее напряжение в растянутой арматуре, принимаемое при расчете ширины раскрытия трещин большим из двух значений:

(34)
или

, (35)
где

- определяется по формуле

, (36)
где

- определяется по табл. 3 главы СНиП II-В.7-67 или по опытным данным в зависимости от температуры бетона на уровне арматуры.
Расстояние между трещинами

, подставляемое в
формулу (33), определяют:

, (37)

, (38)
где

; (39)

. (40)
В формуле (40):

- определяют по температуре бетона на уровне арматуры;

, (41)
где S - периметр сечения арматуры по номинальному диаметру без учета выступов ребер;
для арматуры одного диаметра:

, (42)

- коэффициент, зависящий от вида растянутой арматуры, принимаемый согласно главе СНиП II-В.1-62*.
2.19. В формулах (
26,
32,
36,
37 и
39) значение

определяется в зависимости от количества лишь той арматуры, которая устанавливается у наружной поверхности трубы, т.е.

. (43)
В формуле (43):

- площадь арматуры, устанавливаемой у внутренней поверхности трубы.
2.20. При расчете трубы ее гибкость рекомендуется предварительно принимать с отношением

с последующей проверкой устойчивости трубы согласно
Приложению 3, где H - полная высота ствола трубы (или отдельных его участков),

- наружный диаметр основания ствола (или его отдельных участков).
2.21. В многоствольных трубах (см.
рис. 2) стальные стволы и металлоконструкции, расположенные внутри ж.б. ствола, учитываются только при определении масс отдельных их участков. Устойчивость самих стальных стволов проверяется по главе СНиП II-В.3-62 "Стальные конструкции. Нормы проектирования".
При прогибах трубы от горизонтальных воздействий необходимо определить в стальных стволах изгибающие моменты от заданных перемещений. По найденным моментам определяются продольные нормальные напряжения в сечениях стволов

и напряжения сжатия от веса стальных стволов и их футеровок. Согласно главе СНиП II-В.3-62 пп. 6.17 - 6.20 суммарные сжимающие напряжения от продольных сил и моментов не должны превышать расчетных осевых напряжений

.
Расчет вертикальных сечений
2.22. Расчет вертикальных сечений производят по формуле:

, (44)
где

- принимается по
табл. 5 Приложения 1.
Ширина раскрытия вертикальных трещин определяется по формулам (
33,
34 и
38).
2.23. Расчет внутренней кольцевой арматуры производится на перепад температуры не менее 25°, аналогично расчету наружной кольцевой арматуры.
Поверочный расчет на резонанс
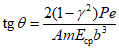
2.24. Для дымовых труб со слабой коничностью (не более 1,2%), кроме расчета на скоростной напор ветра с учетом его порывов, необходим также поверочный расчет на резонанс.
Критическая скорость ветра, вызывающая резонансные колебания трубы в направлении, перпендикулярном ветровому потоку, определяется по формуле:

. (45)
В формуле (45):
T - период основного тона свободных колебаний трубы (с);

- наружный диаметр верхнего сечения трубы (м).
Интенсивность аэродинамической силы

, действующей на трубу, определяется по формуле:

; (46)
где

- амплитуда аэродинамической силы, действующей на уровне с абсциссой "x";

- относительная ордината первой формы свободных колебаний;

- амплитуда аэродинамической силы, соответствующая свободному концу сооружения (кг/м);

- круговая частота.
2.25. Резонансная амплитуда колебаний

и изгибающий момент

в сечении трубы с абсциссой "x" определяется по формулам:

; (47)

, (48)
где

,

- прогиб и изгибающий момент от статически приложенной нагрузки;

- логарифмический декремент колебаний;
0,8 - коэффициент, учитывающий малую вероятность возникновения плоскопараллельного потока по высоте трубы.
Расчетный изгибающий момент

в рассматриваемом сечении трубы определяется по формуле:

, (49)
где

- определяется по
пункту 2.7 настоящих "Указаний", при этом величины

и

определяются по формулам
пункта 2.6 в зависимости от

. (50)
3. РАСЧЕТ ОСНОВАНИЙ ПОД ФУНДАМЕНТЫ ТРУБ
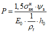
Определение нормативного давления на основание
3.1. Исходными данными для расчета оснований под фундаменты труб должны служить материалы инженерно-геологических изысканий.
В соответствии с требованиями главы
СНиП II-Б.1-62* "Основания зданий и сооружений. Нормы проектирования" расчет оснований, сложенных нескальными грунтами, производится по второй группе предельных состояний (по деформациям). В тех случаях, когда основание сложено скальными грунтами, расчет может быть произведен по первой группе предельных состояний (по несущей способности).
3.2. Нормативные давления на основания следует определять по формуле:

, (51)
где h - глубина заложения фундамента от планировочной отметки до подошвы фундамента (м); в случае кольцевого фундамента величина h принимается равной высоте подсыпки внутри стакана фундамента и должна быть не менее высоты кольцевой плиты;
b - диаметр круглого фундамента или ширина кольца при кольцевом фундаменте (м);

- средний объемный вес грунта (т/м3), залегающего в пределах глубины h и ниже - на одну четверть диаметра или ширины кольца фундамента h + 1/4b;

- нормативное удельное сцепление грунтов (т/м2), залегающих в пределах глубины h + 1/4b;
m - коэффициент условия работы, обычно принимаемый равным единице, за исключением случаев заложения фундаментов в водонасыщенных грунтах типа мелкозернистых и пылеватых песков, для которых берется соответственно m = 0,8 и m = 0,6;
А, В, Д - коэффициенты, зависящие от среднего значения нормативного угла внутреннего трения (

в градусах) грунтов, залегающих в пределах h + 1/4b, принимаемые по табл. 1.
Таблица 1
────────────────┬──────────────────────────────────────────────────────────
значения угла ├─────────────────────────────┬────────────────────────────
внутреннего │ для круглых фундаментов │ для ленточных фундаментов
трения (град) ├─────────┬─────────┬─────────┼─────────┬─────────┬────────
│ Ак │ Вк │ Дк │ Ал │ Вл │ Дл
────────────────┼─────────┼─────────┼─────────┼─────────┼─────────┼────────
0 │ 0 │ 1 │ 3,37 │ 0 │ 1 │ 3,14
2 │ 0,03 │ 1,12 │ 3,56 │ 0,03 │ 1,12 │ 3,32
4 │ 0,06 │ 1,26 │ 3,77 │ 0,06 │ 1,25 │ 3,51
6 │ 0,10 │ 1,42 │ 4,00 │ 0,10 │ 1,39 │ 3,71
8 │ 0,15 │ 1,60 │ 4,25 │ 0,14 │ 1,55 │ 3,93
10 │ 0,20 │ 1,80 │ 4,51 │ 0,18 │ 1,73 │ 4,17
│ │ │ │ │ │
12 │ 0,26 │ 2,02 │ 4,81 │ 0,23 │ 1,94 │ 4,42
14 │ 0,32 │ 2,28 │ 5,12 │ 0,29 │ 2,17 │ 4,69
16 │ 0,39 │ 2,56 │ 5,46 │ 0,36 │ 2,43 │ 5,00
18 │ 0,47 │ 2,90 │ 5,84 │ 0,43 │ 2,72 │ 5,31
20 │ 0,57 │ 3,38 │ 6,25 │ 0,51 │ 3,06 │ 5,66
│ │ │ │ │ │
22 │ 0,68 │ 3,71 │ 6,71 │ 0,61 │ 3,44 │ 6,04
24 │ 0,80 │ 4,21 │ 7,20 │ 0,72 │ 3,87 │ 6,45
26 │ 0,94 │ 4,78 │ 7,75 │ 0,84 │ 4,37 │ 6,90
28 │ 1,11 │ 5,45 │ 8,36 │ 0,98 │ 4,93 │ 7,40
30 │ 1,30 │ 6,20 │ 9,00 │ 1,15 │ 5,59 │ 7,95
│ │ │ │ │ │
32 │ 1,55 │ 7,19 │ 9,80 │ 1,34 │ 6,35 │ 8,55
34 │ 1,79 │ 8,18 │ 10,64 │ 1,55 │ 7,21 │ 9,21
36 │ 2,11 │ 9,43 │ 11,61 │ 1,81 │ 8,25 │ 9,98
38 │ 2,50 │ 10,98 │ 12,78 │ 2,11 │ 9,44 │ 10,80
40 │ 2,93 │ 12,70 │ 13,95 │ 2,46 │ 10,84 │ 11,73
│ │ │ │ │ │
42 │ 3,46 │ 14,86 │ 15,39 │ 2,87 │ 12,50 │ 12,77
44 │ 4,11 │ 17,70 │ 17,04 │ 3,37 │ 14,48 │ 13,96
45 │ 4,49 │ 18,96 │ 17,96 │ 3,66 │ 15,64 │ 14,64
В случае применения железобетонной плиты в виде кольца с соотношением радиусов

(внутреннего к внешнему) давления на грунт определяются с коэффициентами А, В, Д, вычисленными для ленточных фундаментов при ширине кольца

; при

давления на основании определяются как для круглого фундамента, считая условно

.
Расчетные характеристики сжимаемого основания
3.3. Основными расчетными характеристиками сжимаемого основания конечной толщины является величина сжимаемой толщи H и модуль деформации "E".
3.4. Толщину сжимаемого слоя основания круглого фундамента допускается принимать равной половине диаметра

для глинистых грунтов и одной трети диаметра

для песчаных грунтов. В случаях, когда ниже сжимаемого слоя имеются прослойки слабых грунтов, величину сжимаемой толщи основания следует определять в соответствии с главой
СНиП II-Б.1-62.
3.5. Модуль деформации грунтов "E" следует определять путем испытания грунтов штампами согласно ГОСТ 12374-66 "Грунты. Метод полевого испытания статическими нагрузками".
Расчет средней осадки и крена фундамента
3.6. Средняя осадка фундамента трубы, лежащего на многослойном основании конечной толщины H, определяется по формуле:

, (52)
где b - диаметр круглого или ширина кольцевого (ленточного) фундамента (см);
P - среднее давление на основание без вычета бытового давления на отметке подошвы фундамента; это давление должно быть меньше или равно

;

- модуль деформации i-го слоя грунта (кг/см2) (имеется в виду горизонтальное напластование грунтов);

- безразмерный коэффициент для i-го слоя грунта, который в зависимости от расстояния Z между подошвами фундамента и слоя, взятого в долях от диаметра фундамента (т.е. отношения

), вычислен с использованием модели однородного линейно деформируемого полупространства и приведен в
табл. 2, причем в случае кольцевого фундамента (при

) коэффициент

принимается как для ленточного фундамента с отношением

, где

;
Примечание. При

условно принимается

, как для круглого фундамента.
M - поправочный коэффициент, позволявший учитывать концентрацию напряжений в сжимаемом слое грунта конечной толщиной H по сравнению с упругим полупространством (влияние условий на границе сжимаемого слоя), значение которого приведено ниже:
M = 1,5 при

,
M = 1,4 "

,
M = 1,3 "

,
M = 1,2 "

,
M = 1,1 "

,
M = 1,0 "

;
m - коэффициент условий деформаций основания в зависимости от ширины или диаметра фундамента:
m = 1,2 при 5 < b <= 10 м,
m = 1,35 " 10 < b <= 15,
m = 1,5 " b > 15.
Таблица 2
─────────┬─────┬─────┬─────┬─────┬─────┬─────┬─────┬─────┬─────┬─────┬─────
2Z │ 0 │ 0,2 │ 0,4 │ 0,6 │ 0,8 │ 1,0 │ 1,2 │ 1,4 │ 1,6 │ 1,8 │ 2,0
-- │ │ │ │ │ │ │ │ │ │ │
b │ │ │ │ │ │ │ │ │ │ │
─────────┼─────┼─────┼─────┼─────┼─────┼─────┼─────┼─────┼─────┼─────┼─────
K (круг) │ 0 │0,045│0,09 │0,135│0,179│0,233│0,266│0,308│0,348│0,382│0,411
K (лента)│ 0 │0,052│0,104│0,156│0,208│0,260│0,311│0,362│0,412│0,462│0,50
─────────┼─────┼─────┼─────┼─────┼─────┼─────┼─────┼─────┼─────┼─────┼─────
2Z │ 2,2 │ 2,4 │ 2,6 │ 2,8 │ 3,0 │ 3,2 │ 3,4 │ 3,6 │ 3,8 │ 4,0 │ -
-- │ │ │ │ │ │ │ │ │ │ │
b │ │ │ │ │ │ │ │ │ │ │
─────────┼─────┼─────┼─────┼─────┼─────┼─────┼─────┼─────┼─────┼─────┼─────
K (круг) │0,437│0,461│0,482│0,501│0,517│0,532│0,546│0,558│0,569│0,579│
K (лента)│0,560│0,605│0,648│0,687│0,726│0,763│0,798│0,831│0,862│0,899│
─────────┴─────┴─────┴─────┴─────┴─────┴─────┴─────┴─────┴─────┴─────┴─────
Средняя осадка фундамента трубы, лежащего на сжимаемом основании толщиной H, может быть также определена по упрощенной формуле:

, (53)
где

- средний модуль деформации грунтов (кг/см2), находящихся в пределах сжимаемой толщи основания H, вычисляемый по формуле:

, (54)
k - коэффициент, определяемый по
табл. 3 в зависимости от отношения

;

- коэффициент Пуассона для грунта, принимаемый приближенно равным 0,3.

- (сжимаемая толща основания), где

- толщина i-го слоя грунта с модулем

.
───────────────────────┬─────────────────────────┬─────────────────────────
2H │ K (круг) │ K (лента)
-- │ │
b │ │
───────────────────────┼─────────────────────────┼─────────────────────────
0,25 │ 0,11 │ 0,12
0,5 │ 0,21 │ 0,23
1,0 │ 0,36 │ 0,43
1,5 │ 0,46 │ 0,59
2,0 │ 0,52 │ 0,73
3 │ 0,60 │ 0,95
5 │ 0,67 │ 1,26
7 │ 0,70 │ 1,46
10 │ 0,73 │ 1,69
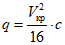
3.7. Крен круглого и кольцевого фундамента, нагруженного эксцентричной нагрузкой, определяется по формуле:

, (55)
где P - полная вертикальная нагрузка на основание;
b - диаметр круглого или кольцевого фундамента;

- средний модуль деформации грунтов (т/м2), определяемый по
формуле (54);
A - параметр, определяемый по табл. 4 в зависимости от отношения

;
e - расстояние от точки приложения нагрузки P до центра фундамента (м);

- коэффициент Пуассона.
Таблица 4
───────────┬────────────┬───────────┬────────────┬────────────┬────────────
2H │ 0,25 │ 0,5 │ 1,0 │ 2,0 │ 2
-- │ │ │ │ │
b │ │ │ │ │
───────────┼────────────┼───────────┼────────────┼────────────┼────────────
A │ 0,95 │ 0,57 │ 0,40 │ 0,34 │ 0,33
3.8. Предельные значения осадок и кренов для фундаментов труб должны быть не более:
для труб высотой 101 - 200 м

201 - 300 м

больше 300 м

РАСЧЕТНЫЕ СОПРОТИВЛЕНИЯ АРМАТУРЫ ДЛЯ ТРУБ
──────────────────────────────────────┬────────────────────────────────────
Вид арматуры │ Расчетное сопротивление арматуры
│ в кг/см2
├─────────────────────────┬──────────
│растянутой R при расчете│сжатой R
│ а │ ас
├────────────┬────────────┤
│ствола трубы│ фундамента │
──────────────────────────────────────┼────────────┼────────────┼──────────
Горячекатаная гладкого профиля из │ 1800 │ 2100 │ 2100
стали класса А-I │ │ │
──────────────────────────────────────┼────────────┼────────────┼──────────
Горячекатаная периодического профиля │ 2300 │ 2700 │ 2700
из стали класса А-II │ │ │
──────────────────────────────────────┼────────────┼────────────┼──────────
Горячекатаная периодического профиля │ 2900 │ 3400 │ 3400
из стали класса А-III │ │ │
Примечания. 1. Значения

для расчета трубы даны с коэффициентом условий работы, равным 0,85.
2. В условиях воздействия температуры расчетные сопротивления арматуры умножаются на коэффициенты табл. 8 главы СНиП II-В.7-67.
3. При нагреве арматуры до температуры, превышающей 100 °C, расчетные сопротивления арматуры, указанной в
табл. 5, умножаются на дополнительный коэффициент условия работы

.
4. Нагрев арматуры до температуры свыше 150 °C не допускается.
ПРИМЕР РАСЧЕТА СТВОЛА ТРУБЫ
1. Дано к расчету
1. Труба железобетонная высотой H = 320 м.
2. Внутренний диаметр устья трубы

.
3. Температура отводимых газов t = 200 °C.
4. Подводящий газоход - подземный.
5. К стволу непосредственно примыкает теплоизоляция толщиной 0,05 м с облицовкой кирпичной кладкой в 0,5 кирпича.
6. Футеровка трубы из кислотоупорного кирпича толщиной в 1 кирпич.
7. Между футеровкой и облицовкой имеется вентилируемый зазор переменной величины от 50 мм - вверху и до 400 мм внизу трубы.
8. Географический район строительства трубы - III.
2. Принято к расчету
1. Бетон для ствола марки - 300.
2. Уклон наружной грани оси трубы - i = 2,36%.
3. Труба разбивается на 8 расчетных звеньев с равным интервалом между сечениями - 40 м.
4. Арматура периодического профиля класса А-III устанавливается с наружной и внутренней сторон стенки

и

(вертикальная),

и

(горизонтальная).
3. Вертикальная нагрузка по сечениям
Таблица 6
──────────────────────────────┬─────────────────────┬──────────────────────
Отметка основания звена (м) │ N (т) │ n (кг/см2)
│ k │ б
──────────────────────────────┼─────────────────────┼──────────────────────
280 │ 1817 │ 66
240 │ 4279 │ 135
200 │ 7036 │ 196
160 │ 10299 │ 190
120 │ 14678 │ 168
80 │ 20521 │ 173
40 │ 27692 │ 170
+/- 0,00 │ 37092 │ 173
Таблица 7
Геометрические параметры ствола трубы
┌───────────────────────┬───────┬────────┬──────┬────┬──────┬──────┬──────┬────┐
│Эскиз ствола дым. трубы│N расч.│Отм. │ r │h │ r │h │h │h │
│ │звеньев│основ. │ н │ │ в │ тб из│ зазор│ фут│
│ │ ├────────┼──────┼────┼──────┼──────┼──────┼────┤
│ │ │ (м) │ (м) │(м) │ (м) │ (м) │ (м) │ (м)│
├───────────────────────┼───────┼────────┼──────┼────┼──────┼──────┼──────┼────┤
│ Рисунок │ │ 320 │5,42 │0,22│5,20 │0,140 │0,030 │0,23│
│ │ │ 310 │5,656 │0,22│5,436 │0,140 │0,030 │0,23│
│ ├───────┼────────┼──────┼────┼──────┼──────┼──────┼────┤
│ │ │ │ │ │ │0,170 │0,050 │ │
│ ├───────┼────────┼──────┼────┼──────┼──────┼──────┼────┤
│ │ 1 │ 280 │6,364 │ │6,144 │ │0,065 │0,23│
│ ├───────┼────────┼──────┼────┼──────┼──────┼──────┼────┤
│ │ │ │ │ │ │ │ │ │
│ ├───────┼────────┼──────┼────┼──────┼──────┼──────┼────┤
│ │ │ │ │ │ │ │ │ │
│ ├───────┼────────┼──────┼────┼──────┼──────┼──────┼────┤
│ │ │ │ │ │ │ │ │ │
│ ├───────┼────────┼──────┼────┼──────┼──────┼──────┼────┤
│ │ 2 │ 240 │7,308 │ │7,088 │ │0,110 │0,23│
│ ├───────┼────────┼──────┼────┼──────┼──────┼──────┼────┤
│ │ │ │ │ │ │ │ │ │
│ ├───────┼────────┼──────┼────┼──────┼──────┼──────┼────┤
│ │ │ │ │ │ │ │ │ │
│ ├───────┼────────┼──────┼────┼──────┼──────┼──────┼────┤
│ │ │ │ │ │ │ │ │ │
│ ├───────┼────────┼──────┼────┼──────┼──────┼──────┼────┤
│ │ 3 │ 200 │8,252 │0,22│8,032 │ │0,160 │ │
│ ├───────┼────────┼──────┼────┼──────┼──────┼──────┼────┤
│ │ │ │ │0,23│ │ │ │ │
│ ├───────┼────────┼──────┼────┼──────┼──────┼──────┼────┤
│ │ │ │ │0,25│ │ │ │ │
│ ├───────┼────────┼──────┼────┼──────┼──────┼──────┼────┤
│ │ │ │ │0,27│ │ │ │ │
│ ├───────┼────────┼──────┼────┼──────┼──────┼──────┼────┤
│ │ 4 │ 160 │9,196 │0,30│8,896 │ │0,215 │0,23│
│ ├───────┼────────┼──────┼────┼──────┼──────┼──────┼────┤
│ │ │ │ │0,33│ │ │ │ │
│ ├───────┼────────┼──────┼────┼──────┼──────┼──────┼────┤
│ │ │ │ │0,37│ │ │ │ │
│ ├───────┼────────┼──────┼────┼──────┼──────┼──────┼────┤
│ │ │ │ │0,40│ │ │ │ │
│ ├───────┼────────┼──────┼────┼──────┼──────┼──────┼────┤
│ │ 5 │ 120 │10,14 │0,44│9,70 │ │0,265 │ │
│ ├───────┼────────┼──────┼────┼──────┼──────┼──────┼────┤
│ │ │ │ │0,47│ │ │ │ │
│ ├───────┼────────┼──────┼────┼──────┼──────┼──────┼────┤
│ │ │ │ │0,50│ │ │ │ │
│ ├───────┼────────┼──────┼────┼──────┼──────┼──────┼────┤
│ │ │ │ │0,52│ │ │ │ │
│ ├───────┼────────┼──────┼────┼──────┼──────┼──────┼────┤
│ │ 6 │ 80 │11,084│0,55│10,534│ │0,315 │ │
│ ├───────┼────────┼──────┼────┼──────┼──────┼──────┼────┤
│ │ │ │ │0,58│ │ │ │ │
│ ├───────┼────────┼──────┼────┼──────┼──────┼──────┼────┤
│ │ │ │ │0,62│ │ │ │ │
│ ├───────┼────────┼──────┼────┼──────┼──────┼──────┼────┤
│ │ │ │ │0,65│ │ │ │ │
│ ├───────┼────────┼──────┼────┼──────┼──────┼──────┼────┤
│ │ 7 │ 40 │12,028│0,70│ │ │0,355 │ │
│ ├───────┼────────┼──────┼────┼──────┼──────┼──────┼────┤
│ │ │ │ │0,75│ │ │ │ │
│ ├───────┼────────┼──────┼────┼──────┼──────┼──────┼────┤
│ │ │ │ │0,80│ │ │ │ │
│ ├───────┼────────┼──────┼────┼──────┼──────┼──────┼────┤
│ │ 8 │+/- 0,00│13,00 │0,85│12,15 │0,170 │0,40 │0,23│
├───────────────────────┴───────┴────────┴──────┴────┴──────┴──────┴──────┴────┤
│ Ствол железобетонной дымовой трубы H = 320 м. │
└──────────────────────────────────────────────────────────────────────────────┘
4. Определение расчетных ветровых нагрузок по
формуле (1):

.
Значения статической нагрузки
Таблица 8
──────────┬───────────────────────────────────────────────────┬────────────
│ │ с
N звена │ Отметка точки приложения равнодействующей (м) │ P (т)
│ │ ik
──────────┼───────────────────────────────────────────────────┼────────────
1 │ 300 │ 62,5
2 │ 260 │ 72,7
3 │ 220 │ 82,8
4 │ 180 │ 86,2
5 │ 140 │ 88
6 │ 100 │ 88,5
7 │ 60 │ 87,5
8 │ 20 │ 85

,
где

и

- относительные ординаты;

- коэффициент пульсации скоростного напора.
Величины относительных ординат
Таблица 9
───────┬──────────────────────────────────┬──────────┬──────────┬──────────
N звена│ Отметка точки приложения │альфа (x )│альфа (x )│альфа (x )
│ равнодействующей (м) │ 1 j │ 2 j │ 3 j
───────┼──────────────────────────────────┼──────────┼──────────┼──────────
1 │ 300 │ 3,1 │ 14,5 │ 38,2
2 │ 260 │ 2,37 │ -6,10 │ -5,16
3 │ 220 │ 1,65 │ 2,5 │ -35,4
4 │ 180 │ 1,03 │ 7,45 │ -29,8
5 │ 140 │ 0,63 │ 8,3 │ 3,0
6 │ 100 │ 0,34 │ 6,40 │ 33,6
7 │ 60 │ 0,167 │ 3,52 │ 38,2
8 │ 20 │ 0,046 │ 1,07 │ 15,8
Таблица 10
Приведенное ускорение

середины k-го участка
при колебаниях сооружения по i-ой форме
─────┬────────┬─────────────────┬───────────────────┬───────────────────────
│ │ с │ 2 │
N │Отметка │альфа (x )P x m │ альфа (x )M │ эта
звена│точки │ i j j j│ i j j │ ik
│приложе-├─────────────────┼───────────────────┼───────────────────────
│ния рав-│ Формы колебаний │ Формы колебаний │ Формы колебаний
│нодейст-├─────┬─────┬─────┼────┬──────┬───────┼────────┬──────┬───────
│вующей │ I │ II │ III │ I │ II │ III │ I │ II │ III
│(м) │ │ │ │ │ │ │ │ │
─────┼────────┼─────┼─────┼─────┼────┼──────┼───────┼────────┼──────┼───────
1 │ 300 │27,1 │-127 │ 334 │1780│39000 │271000 │ 0,0071 │0,038 │0,0163
2 │ 260 │ 31 │ 80 │-67,5│1410│ 9350 │ 6680 │ 0,0041 │-0,017│-0,0022
3 │ 220 │24,7 │37,4 │-527 │766 │ 1755 │352138 │ 0,002 │0,006 │-0,0151
4 │ 180 │18,3 │ 135 │-538 │356 │18500 │296500 │ 0,0008 │0,020 │-0,0127
5 │ 140 │11,65│153,5│55,5 │178 │30800 │ 4020 │ 0,0003 │0,022 │0,0013
6 │ 100 │6,32 │ 119 │ 625 │ 69 │24400 │671732 │0,00008 │0,017 │0,0143
7 │ 60 │4,08 │86,2 │ 932 │ 22 │ 9060 │1070000│0,00002 │0,009 │0,0163
8 │ 20 │1,25 │ 29 │ 428 │ 2 │ 1100 │240000 │0,000001│0,003 │0,0067
- │ - │125,4│ 353 │1242 │4583│133905│2908300│ - │ - │ -
Таблица 11
Величины инерционных сил

─────┬─────────┬─────┬────────────────────────┬────────────────────────────
│ │ │ │ д
N │Отметка │ M │ кси │ P (т)
звена│точки │ k │ i │ ik
│приложе- │ (т) ├────────────────────────┼────────────────────────────
│ния рав- │ │ Формы колебаний │ Формы колебаний
│нодейст- │ ├───────┬───────┬────────┼────────┬──────────┬────────
│вующей │ │ I │ II │ III │ I │ II │ III
│(м) │ │ │ │ │ │ │
─────┼─────────┼─────┼───────┼───────┼────────┼────────┼──────────┼────────
1 │ 300 │185,5│ - │ - │ - │ 37,4 │ -11,3 │ 3,9
2 │ 260 │ 251 │ - │ - │ - │ 38,4 │ -6,8 │ -0,7
3 │ 220 │ 281 │ - │ - │ - │ 30,2 │ 2,7 │ -5,5
4 │ 180 │ 333 │ 2,4 │ 1,6 │ 1,3 │ 22,3 │ 10,7 │ -5,5
5 │ 140 │ 447 │ - │ - │ - │ 18,3 │ 15,7 │ 0,8
6 │ 100 │ 595 │ - │ - │ - │ 13,2 │ 16,2 │ 11,1
7 │ 60 │ 732 │ - │ - │ - │ 7,9 │ 10,5 │ 15,5
8 │ 20 │ 958 │ - │ - │ - │ 2,8 │ 4,6 │ 8,3
5. К определению расчетных изгибающих моментов
от статического воздействия расчетной ветровой
нагрузки и от инерционных сил с учетом форм колебаний
Таблица 12
Величины изгибающих моментов
─────┬───────────────────────┬───────────────────────────┬─────────────────────────
звена├───────────────────────┼───────────────────────────┼─────────────────────────
│ Формы колебаний │ Формы колебаний │ Формы колебаний
├──────┬────┬─────┬─────┼──────┬──────┬──────┬──────┼──────┬─────┬─────┬──────
│стати-│ I │ II │ III │стати-│ I │ II │ III │стати-│ I │ II │ III
│ческая│ │ │ │ческая│ │ │ │ческая│ │ │
│на- │ │ │ │на- │ │ │ │на- │ │ │
│грузка│ │ │ │грузка│ │ │ │грузка│ │ │
─────┼──────┼────┼─────┼─────┼──────┼──────┼──────┼──────┼──────┼─────┼─────┼──────
1 │62,5 │37,4│11,28│3,93 │31,25 │ 18,7 │ 5,64 │ 1,97 │1250 │ 750 │-226 │ 78,7
2 │72,7 │38,4│-6,83│-0,72│ 99 │ 56,6 │-14,7 │ 3,57 │5210 │3010 │-814 │221,7
3 │82,8 │30,2│ 2,7 │-5,52│176,6 │ 90,9 │-16,76│ 0,45 │12280 │6650 │-1486│239,6
4 │86,2 │22,3│10,66│-5,50│261,1 │117,2 │-10,08│-5,06 │22730 │11330│-1890│ 36,6
5 │88,0 │18,3│15,73│0,76 │348,2 │137,5 │ 3,12 │-7,43 │36680 │16830│-1765│-261,4
6 │88,5 │13,2│16,18│11,06│436,5 │153,2 │19,09 │-1,52 │54150 │22960│-1000│-322,0
7 │87,5 │7,9 │10,54│15,51│524,5 │163,75│32,45 │-11,77│75120 │29510│ 300 │151,0
8 │85,0 │2,8 │ 4,6 │8,37 │610,7 │169,1 │40,02 │23,71 │99540 │36280│1900 │1100,0
Расчетный изгибающий момент от статического
и динамического воздействий ветровой
нагрузки в 1-ом приближении:

;

.
Таблица 13
Величины суммарного изгибающего момента
───────────────────────────────────────────────────────────────────────────
звена основания (тм) ─────────────────────
звена (м) Форма колебаний
───────────────────────────────────────────────────
I II III тм тм
─────┬─────────┬───────┬──────┬──────┬───────┬──────────────────┬──────────
1 │ 280 │ 1250 │ 750 │ -226 │ 78,7 │ 787 │ 2040
2 │ 240 │ 5210 │ 3010 │ -814 │ 221,7 │ 3125 │ 8340
3 │ 200 │ 12280 │ 6650 │-1486 │ 239,6 │ 6820 │ 19100
4 │ 160 │ 22730 │11330 │-1890 │ 36,6 │ 11500 │ 34230
5 │ 120 │ 36680 │16830 │-1765 │-261,4 │ 16900 │ 53580
6 │ 80 │ 54140 │22960 │-1000 │-322,0 │ 23000 │ 77140
7 │ 40 │ 75120 │29510 │ 300 │ 151,0 │ 29510 │ 104630
8 │ 0 │ 99540 │36280 │ 1900 │1100,0 │ 36350 │ 135890
6. Задаваясь сечением вертикальной арматуры на 1 пог. м длины окружности трубы и толщиной стенки трубы, определяются по
формуле (15) напряжение в арматуре

и по
формуле (18) напряжение в бетоне

от нормальной силы и суммарного изгибающего момента

расчетных нагрузок. После этого определяется кривизна оси трубы (рис. 7). Расчетные величины даны в
табл. 14.
Рис. 7. Эпюра кривизны оси ствола трубы (3-е приближение)
─────────────────────────┬────────────────┬───────────────┬────────────────
Отметка сечения (м) │ F + F (см2) │ мю │ альфа
│ а ав │ 1 │ 1
─────────────────────────┼────────────────┼───────────────┼────────────────
280 │ 41,8 │ 0,019 │ 0,484
240 │ 41,8 │ 0,019 │ 0,484
200 │ 41,8 │ 0,019 │ 0,484
160 │ 65,5 │ 0,022 │ 0,565
120 │ 82 │ 0,0186 │ 0,480
80 │ 82 │ 0,015 │ 0,380
40 │ 107,5 │ 0,015 │ 0,380
+/- 0,00 │ 136 │ 0,016 │ 0,407
К полученным прогибам трубы следует прибавить прогибы от крена фундамента (0,0015H).
Расчет повторяется с учетом дополнительных моментов от нормальных сил, вызванных прогибом ствола, до совпадения прогибов в пределах до 5%.
Таблица 15
Величины отклонения ствола
───────────────────────────────┬─────────────────────┬─────────────────────
Отметка 1-е приближение │ 2-е приближение │ 3-е приближение
верха ───────────────────────┴─────────────────────┴─────────────────────
(м) (тм) (1/м) (м) (тм) (1/м) (м) (тм) (1/м) (м)
───────┬────────┬────────┬─────┬───────┬───────┬─────┬───────┬───────┬─────
320 │ 2040 │ 0,44 │4,0 │ 2970 │ 0,44 │4,88 │ 3004 │ 0,44 │4,93
280 │ 8340 │ 0,79 │3,05 │ 12055 │ 0,79 │3,82 │ 12235 │ 0,79 │3,86
240 │ 19100 │ 1,02 │2,2 │ 27230 │ 0,98 │2,86 │ 28110 │ 1,03 │2,86
200 │ 34230 │ 0,94 │1,48 │ 47830 │ 1,10 │1,96 │ 49355 │ 1,18 │1,98
160 │ 53580 │ 0,86 │0,91 │ 73200 │ 0,97 │1,25 │ 75375 │ 1,0 │1,26
120 │ 77140 │ 0,74 │0,49 │102770 │ 0,87 │0,72 │106085 │ 0,89 │0,72
80 │ 104630 │ 0,68 │0,21 │135550 │ 0,72 │0,35 │138760 │ 0,75 │0,35
40 │ 135890 │ 0,62 │0,05 │170370 │ 0,63 │0,11 │173570 │ 0,63 │0,113
7. Проверка сечений трубы на нагрузку от ветра,
собственного веса и воздействия температуры
Принимаем сечение с наибольшим перепадом температуры - на отм. +/- 0,00.
Расчет горизонтального сечения
Напряжение от ветра и собственного веса (вычисляется при определении эпюры кривизны)

;

.
Определяем напряжение в бетоне и арматуре от воздействия температуры. По
формуле (27) определим температурную кривизну стенки:

.
По
формуле (26) определим напряжение в бетоне от перепада температуры:

.

.

;

.

;

;

;
C = (1 - 0,33) x (1 - 0,5 x 0,33) = 0,555;

.
Примечание. Арматура учитывается с одной стороны стенки - наружная

.

,
где
| | ИС МЕГАНОРМ: примечание. Формула дана в соответствии с официальным текстом документа. | |

;

.

;

;

;

;
проверяем минимальное значение по формуле:
коэффициенты K и C определяются по графикам на
рис. 5,
6.
K = 8,3; C = 0,63.

.
Расчет вертикального сечения
Кольцевую наружную арматуру

принимаем из прутков 5Ф25 = 24,5 см2 на пог. м:

;

;

;

;
Минимальное значение
K = 18; C = 0,68;


.
Ширина раскрытия вертикальных трещин:

;

;

;

;

.
ПРОВЕРКА ОБЩЕЙ УСТОЙЧИВОСТИ ДЫМОВОЙ ТРУБЫ
1. Критическая нагрузка для стержня с постоянной сжимающей силой по длине определяется методом последовательных нагружений.
В случае переменного момента инерции дифференциальное уравнение сжатого стержня имеет вид

. (56)
Если

, где

заданная функция x, то формула (56) примет вид:

, (57)
где

.
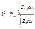
2. Для решения уравнения (57) рассмотрим ряд функций

,

,

, каждая из которых удовлетворяет граничным условиям. Пусть они связаны дифференциальной зависимостью

(n = 1, 2...). (58)
Задав

численным интегрированием (58) определяют

и т.д. Тогда критическое значение P определяется из выражения:

. (59)
Таким образом, в данном случае определяется первая форма выпучивания и первая критическая сила.
Если количество приближений ограничено, то для большей точности пользуются выражением

, (60)
где L - длина стержня.
Если нагрузка P изменяется вдоль длины стержня, то
уравнение (56) принимает более общий вид:

. (61)
Пример расчета

; (62)

. (63)
Момент инерции поперечного сечения при t < D = 2r

. (64)
| | ИС МЕГАНОРМ: примечание. Текст дан в соответствии с официальным текстом документа. | |
Задача решается численным интегрированием. Для этого труба разбивается по длине на равные достаточно малые участки длиной
В пределах каждого участка трубы толщина стенки принимается постоянной, равной полусумме толщин концов участка.
Определяются нагрузки от собственного веса, пропорциональные P - весу первого участка (полного кольца) (P,

,

...,

...,

). Эти силы прикладываются на верхних концах каждого участка.
Функция

задается численно, причем

, то есть функция

равна численным значениям моментов инерции в точках разбивки. Это означает, что кривая изменения моментов по высоте заменяется ломаной.
Рис. 8. Схема ствола дымовой трубы
Согласно
рис. 9 (c) определяют значение функции

в точках разбивки. Для этого предварительно задаются формой изогнутой оси трубы в виде параболической кривой с наибольшей ординатой вверху

;
и так далее.
Рис. 9. Схема разбивки и загружения ствола трубы
Если принять

, то функция

задана численно в точках разбивки.

(n = 1, 2,...). (65)
Рис. 10. Расчетная схема к определению


определена при первом задании формы изогнутой оси (см. выше). Эквивалентные сосредоточенные силы определяют по формуле:
| | ИС МЕГАНОРМ: примечание. Формула дана в соответствии с официальным текстом документа. | |

. (66)
В расчетной схеме заделка в точке r заменяется на свободный край, а свободный край в точке 0 - на заделку. Определяем моменты в такой консоли от нагрузок, принимая, что плечо каждой из них равно расстоянию до свободного конца расчетной консоли L - xi. Находим значение момента

, вызванного действием сил

и по
формуле (65) определяем

.
Далее, поскольку

- прогибы первого приближения известны, определяется

, затем определяются согласно
формуле (66) нагрузки и строится от них новая эпюра моментов, то есть

и т.д.
Повторяя этот процесс, исходя из кривых

,

и т.д., получим более точные формы кривых прогибов:

.
Используя
(60) параметр

, можно выразить

. (67)
В результате:

.
В нашем случае J = 1, а

- критический параметр нагрузки от собственного веса. Запас устойчивости определяется отношением критического параметра

к весу верхнего участка трубы P (см.
рис. 9).
Рис. 11. Значения угла

для кольцевых
внецентренно сжатых сечений труб
Рис. 12. Напряжения арматуры и бетона
в кольцевых внецентренно сжатых сечениях,
ослабленных одним проемом в сжатой зоне
