Главная // Актуальные документы // ВНТП (Ведомственные нормы технологического проектирования)СПРАВКА
Источник публикации
С-Пб.: АО Гипроруда, 1993
Примечание к документу
Название документа
"Приложение к ВНТП 13-2-93. Методические указания по технологическому проектированию горнодобывающих предприятий металлургии с подземным способом разработки"
(утв. Протоколом Роскомметаллургии от 27.01.1993 N 1)
"Приложение к ВНТП 13-2-93. Методические указания по технологическому проектированию горнодобывающих предприятий металлургии с подземным способом разработки"
(утв. Протоколом Роскомметаллургии от 27.01.1993 N 1)
Утверждены
Комитетом Российской Федерации
по металлургии
(Протокол от 27 января 1993 г. N 1)
по согласованию с Госгортехнадзором РФ
(Протокол от 13 декабря 1992 г. N 4)
МЕТОДИЧЕСКИЕ УКАЗАНИЯ
ПО ТЕХНОЛОГИЧЕСКОМУ ПРОЕКТИРОВАНИЮ ГОРНОДОБЫВАЮЩИХ
ПРЕДПРИЯТИЙ МЕТАЛЛУРГИИ С ПОДЗЕМНЫМ СПОСОБОМ РАЗРАБОТКИ
(ПРИЛОЖЕНИЕ К ВНТП 13-2-93)
В разработке методических указаний принимали участие:
От института Гипроруда: В.В. Берлович (директор института), Н.В. Черевко (главный инженер института), к.т.н. Ю.А. Коротков, Е.Н. Пруц (руководитель работы), А.А. Иванов, А.Г. Костромеев, В.В. Аникушин, Г.И. Владимиров, И.М. Грудникова, М.И. Драя, А.И. Жилкин, Н.Г. Окунев.
От института Кривбасспроект: В.А. Лашкул, И.Я. Сова, В.А. Борисов, В.А. Бакад, В.Г. Корниенко, В.Г. Киселев, Б.П. Каменецкий, А.М. Косик, А.Ф. Моисеев, Н.И. Илиенко, к.т.н. А.А. Ройзен, П.П. Дроздовский, А.Н. Гришков, З.И. Катыба, В.А. Крутов, Б.А. Коршунинников, Г.Ф. Титченко, И.С. Николаевский, В.И. Новожилов, А.А. Чернявский.
От института Гипроцветмет: М.М. Пятилов, О.А. Артемов, Н.Г. Гришутина, В.В. Максименко, Ф.С. Кадаль, С.В. Пармузин, к.т.н. А.И. Воробьев.
От института Унипромедь: Г.И. Бородин, Т.И. Курбатова, Ю.А. Чеснов.
От ИПКОН РАН: академик АЕН РФ, д.т.н. Д.Р. Каплунов, к.т.н. В.В. Болотов, к.т.н. Помельников, к.т.н. В.И. Левин.
От Криворожского филиала Гипроцветмета: А.Я. Торговицкий.
Настоящие методические указания являются приложением к
нормам технологического проектирования (НТП) и предназначены для разработки проектной документации на строительство, реконструкцию и техническое перевооружение горнодобывающих предприятий, эксплуатирующих подземным способом рудные месторождения черных и цветных металлов.
При разработке Указаний были учтены последние достижения науки и инженерной практики в области методологии горного проектирования, а также передовой опыт ведения работ на лучших отечественных и зарубежных рудниках.
Методические указания должны использоваться проектировщиками совместно с нормативными требованиями, приведенными в НТП.
1. ГЕОЛОГИЧЕСКОЕ ОБОСНОВАНИЕ ПРОЕКТНЫХ РЕШЕНИЙ
В проектных материалах раздел "Геологическое обоснование проектных решений" должен быть представлен тремя самостоятельными подразделами: "Геолого-промышленная характеристика месторождения", "Гидрогеологическое обоснование проекта осушения месторождения" и "Геологическое обоснование мероприятий по охране природной среды".
Подраздел "Геолого-промышленная характеристика месторождения" должен включать следующие главы:
1. Общие сведения о месторождении.
2. Степень разведанности и подготовленности запасов месторождения для промышленного освоения.
3. Геологическое строение месторождения и характеристика рудных залежей.
4. Гидрогеологические и инженерно-геологические условия разработки месторождения.
5. Вещественный состав и технологические свойства полезного ископаемого.
6. Запасы и качество полезного ископаемого.
7. Охрана и рациональное использование недр.
8. Геолого-разведочные работы.
Разработка подраздела проекта "Геолого-промышленная характеристика месторождения" состоит из следующих этапов:
сбор исходных данных для проектирования,
определение качественной характеристики полезного ископаемого,
подсчет запасов полезного ископаемого,
обоснование методики и объемов геолого-разведочных работ на стадиях строительства подземного рудника и разработки месторождения.
1.2. Сбор и проверка качества исходных данных
Если месторождение детально разведано и еще не эксплуатировалось, а по выполненным на нем геолого-разведочным работам имеется сводный геологический отчет с подсчетом запасов, утвержденных ГКЗ, сбор исходных геологических данных сводится к получению этого отчета, а также протокола ГКЗ со всеми приложениями. Если месторождение еще разведуется или разведывалось в несколько этапов, а сводный отчет не составлен, или месторождение эксплуатируется, в этих случаях сбор и взаимоувязка исходных материалов представляют большие трудности. Когда проектируется расширение или реконструкция рудника на эксплуатируемом месторождении, исходными данными для проектирования, помимо сводного геологического отчета по детальной разведке, служат: геологическая и маркшейдерская документация по эксплуатационной разведке, опробованию, учету движения запасов и т.д., маркшейдерские планы, отображающие состояние горных работ на дату начала проектирования, геологические планы и разрезы, колонки скважин, зарисовки, таблицы баланса запасов на соответствующую дату и т.п. Указанные материалы создаются обычно на протяжении большого периода времени разными исполнителями и неоднократно пополняются, перерабатываются. Поэтому взаимоувязка всех геологических материалов при проектировании расширения и реконструкции требует особого внимания.
В тех исключительных случаях, когда при проектировании возникает необходимость пересмотра горнотехнических параметров кондиций, по которым производились оконтуривание и подсчет запасов месторождения, в исходные материалы вносятся необходимые изменения на начальной стадии проектирования. Если эти изменения существенны, то они подлежат санкции ГКЗ.
Все недочеты в разведочных работах и исходных материалах выявляются, и, по возможности, до начала проектирования и составляются необходимые задания геолого-разведочным организациям или заказчикам на устранение выявленных недочетов.
В то же время выясняется возможность и допустимость начала проектирования на имеющихся неполноценных исходных данных.
1.3. Подготовка исходных данных для проектирования
Основные требования к исходным геологическим данным для проектирования изложены в разделе 2 книги 1 настоящих Норм.
Состав и объем исходных данных для проектирования горных работ согласовываются исполнителями (геологами и горняками) в каждом конкретном случае.
По согласованию между исполнителями и при участии главного инженера проекта выбирается масштаб (как правило, не мельче 1:5000) и определяется детализация графических материалов.
Исходные материалы для проектирования горных работ могут выдаваться в несколько приемов, а также претерпевать некоторые дополнения и уточнения, обычно вызываемые обстоятельствами, вытекающими из детализации проработки геологических материалов.
Примерный состав исходных данных для проектирования горных работ следующий:
1. Топографический план поверхности месторождения в горизонталях с геолого-разведочными выработками и линиями геологических разрезов.
2. В ряде случаев - гипсометрический план почвы покрывающих пород, а также почвы и кровли отдельных горизонтов пород, выделяющихся по крепости, устойчивости и другим признакам, гипсометрические планы почвы и кровли залежи полезного ископаемого, планы изомощностей (пустых пород, полезного ископаемого и т.д.), а также карты обводненности месторождения.
3. Геологические разрезы, совмещенные с подсчетными, по всем разведочным линиям, увязанные с планами (по
пп. 1 и 2).
На разрезах показываются выделенные качественные зоны, типы, сорта полезного ископаемого, границы подсчетных блоков, категории запасов, вмещающие породы, тектонические нарушения, разведочные выработки и прочее.
4. Данные о содержании важнейших полезных и вредных компонентов в выделенных зонах, типах и сортах полезного ископаемого, а также в прослоях пустых пород и боковых породах.
5. Объемная плотность и коэффициенты крепости по шкале проф. Протодьяконова полезного ископаемого, покрывающих и вмещающих пород, влажность полезного ископаемого.
6. Погоризонтные геологические планы с границами качественных зон типов, сортов, подсчетных блоков и категорий запасов полезного ископаемого.
7. Таблицы запасов полезного ископаемого по типам, сортам, подсчетным блокам, качественным зонам, категориям по эксплуатационным этажам, залежам, рудным жилам, участкам и в целом в границах отработки. Таблицы статистических соотношений и коэффициентов рудоносности при невозможности геометризировать типы и сорта руд или внутрирудные прослои пустых пород. Статистические данные о мощностях тел полезного ископаемого, сортов и типов его, а также прослоев пустых пород и т.п. Протокол ГКЗ об утверждении кондиций, положенных в основу подсчета запасов и качественной характеристики.
8. Гидрогеологические исходные данные: гидрогеологическая карта месторождения, гидрогеологические разрезы, результаты опытных фильтрационных работ, данные о притоках подземных вод и атмосферных осадков, химические анализы подземных вод, принципиальная схема осушения и водоотвода, оценка степени сложности гидрогеологических условий месторождения для обоснования выбора системы подземных разработок (с закладкой выработанного пространства или с обрушением).
Форма выдаваемых исходных данных зависит от конкретных особенностей проектируемого объекта и поэтому не может быть типизирована.
Перечисленные материалы после соответствующей доработки и оформления включаются также в состав подраздела "Геолого-промышленная характеристика месторождения".
Такие материалы, как планы горизонтов, запасы полезного ископаемого и количество пустых пород в контуре разработки по эксплуатационным этажам, могут быть созданы лишь после того, как выбран участок отработки и система вскрытия месторождения, определены отметки рабочих горизонтов, определены границы шахтных полей, то есть после проработки этих вопросов в проекте горных работ. Упомянутая проработка выполняется сначала на геологических материалах, выданных предварительно. Эти предварительные материалы (геологические разрезы, планы месторождения, данные о запасах, коэффициентах рудоносности и качестве полезного ископаемого и т.п.) заимствуются из геологического отчета и выдаются без соответствующей обработки.
Проработка вопроса использования забалансовых запасов является обязательной и выполняется на одном из первых этапов проектирования, так как в зависимости от результатов этой проработки находятся важнейшие проектные решения: годовая производительность рудника и рудоподготовительного комплекса, технологическая схема добычи и переработки, капитальные и эксплуатационные затраты, срок существования предприятия и т.п.
Ниже приводятся некоторые особенности методики составления перечисленных выше графических геологических материалов.
План поверхности месторождения является составной частью генерального плана предприятия и должен быть с ним увязан.
При составлении гипсометрических планов (кровли или почвы залежи) в качестве направления интерполяции неизменно принимаются кратчайшие расстояния между выработками, а в случае квадратной разведочной сети соблюдается правило, согласно которому выбранное направление интерполяции для одного плана (например, кровли) выдерживается при составлении других гипсометрических планов и планов изомощностей.
Несоблюдение указанного правила ведет к неоправданным искажениям изображения условий залегания полезного ископаемого или пустых пород на чертежах.
Геологические и гидрогеологические разрезы, прилагаемые к проекту, составляются на основе соответствующих графических приложений к геологическому отчету. Если к отчету приложены отдельно взаимно неувязанные геологические и подсчетные разрезы, то на геологических разрезах в проекте контуры рудных тел даются в соответствии с подсчетными разрезами. Прочие геологические границы на разрезах даются в соответствии с геологическими разрезами геологического отчета, а также непременно в увязке с другими геологическими чертежами (планами изогипс и изомощностей, планом поверхности и т.д.).
Погоризонтные геологические планы составляются следующим образом. Контуры подлежащих выделению пород (по крепости), а также самого полезного ископаемого (различного качества) на погоризонтных планах отстраиваются или по выписанным на планы данным опробования разведочных выработок, или путем вынесения (проектирования) с геологических разрезов, где они были ранее построены на основании данных опробования разведочных выработок. Увязка контура в плане выполняется с учетом геологической структуры, тектонических нарушений и эрозионных срезов, для чего на маркшейдерскую основу планов предварительно наносятся все тектонические элементы (проекции шарниров складок, линии сбросов, направления и углы падения, амплитуды, и направления и углы склонения и т.д.), а в случаях, когда построены планы изогипс почвы и кровли залежей полезного ископаемого, - также изогипсы кровли и почвы залежи.
При экстраполяции контуров рудных тел придерживаются, как правило, тех самых углов падения, расстояний и мощностей, какие приняты в подсчете запасов, утвержденных ГКЗ; в противном случае неизбежны значительные расхождения между запасами, подсчитанными в проекте и утвержденными ГКЗ. Отклонения от этого правила могут допускаться лишь в тех случаях, когда из опыта эксплуатации месторождения установлена иная закономерность выклинивания рудных тел.
Погоризонтные планы отстраиваются на полноценной маркшейдерской основе в масштабе, наиболее удобном для выделения всех необходимых элементов, осуществления подсчета запасов по типам и сортам и составления календарного плана горных работ.
Все остальные графические и другие материалы, необходимые для проектирования и отсутствующие в геологическом отчете, составляются заново с использованием первичной документации (колонок буровых скважин, зарисовок горных выработок, результатов химических анализов и др.).
1.4. Методика определения качественной
характеристики полезного ископаемого
Выбор метода определения качества полезного ископаемого в проектируемых к отработке этажах или на участках шахтных полей производится с учетом конкретных особенностей рассматриваемого месторождения и сложившейся практики проектирования.
Расчет химического состава, как и многих других показателей характеристики, ведется от частного к общему, т.е. от элементарных частей запасов к их совокупности. В наиболее общем виде это означает, что характеристика запасов в контуре отработки должна получиться из характеристики отдельных эксплуатационных участков или залежей; характеристика качества запасов участка или залежи - из характеристики запасов эксплуатационного этажа и т.п. (т.е. из запасов качественного участка, типа, сорта, разновидности).
В соответствии с этим подсчету предшествует выделение качественных участков, а в пределах этих участков выделение в соответствии с кондициями (или иными специальными техническими условиями) типов, сортов и разновидностей полезного ископаемого, имеющих какое-либо практическое (например, технологическое) значение. Подробнее о выделении типов сортов руд и т.п. сказано ниже.
Массовые доли основных и сопутствующих химических компонентов, имеющих промышленное значение, в полезном ископаемом определяются для каждого качественного участка и для каждого технологического сорта или типа его даже в тех случаях, когда последние не поддаются геометризации и по этой причине подсчитываются статистическим методом. Определение массовых долей основных компонентов осуществляется по рядовым пробам и лишь в тех случаях, когда весь метраж выработок охвачен групповыми пробами, допускается определение их по групповым пробам.
Массовые доли основных компонентов в качественных участках (типах, сортах, разновидностях) должны определяться как для месторождения в целом, так и для отдельных его частей и эксплуатационных этажей.
При наличии достоверных разведочных данных (например, в границах запасов категории A или на площадях, опробованных по сети, близкой по размеру проектируемой сети эксплуатационной разведки) предпочтение необходимо отдавать вычислению содержания в эксплуатационном этаже.
Для этого на слоевые (погоризонтные) геологические планы у разведочных выработок выносятся средние по качеству (типу, сорту, разновидности) содержания основного компонента в отрезках скважин, заключенных в границах данного эксплуатационного этажа, после чего в этаже выделяются качественные участки. Средние массовые доли основного компонента в качественных участках при однотипности полезного ископаемого определяются средним арифметическим способом, а среднее содержание основного компонента по слою в целом - взвешиванием на запасы полезного ископаемого в качественных участках.
Для запасов категорий A, B и

(для месторождений 3 - 4-ой групп сложности геологического строения - категорий

,

,

и

) качественная характеристика может быть принята также по блокам подсчета запасов.
Характеристика каждого блока в целом в этом случае распространяется на любую часть блока.
При невозможности получения характеристики полезного ископаемого по содержанию основных компонентов для каждого эксплуатационного этажа, что всегда бывает связано с малой плотностью разведочной сети или крутым падением рудных тел, выделение качественных участков должно производиться по группе этажей или шахтному полю в целом.
В тех случаях, когда полезное ископаемое представляется совершенно однородным и необходимости в выделении качественных участков (типов, сортов, разновидностей) не возникает, залежь полезного ископаемого следует разделить по простиранию и падению (для крутопадающих залежей) или по площади (для пологопадающих и горизонтальных) на несколько частей и по этим частям вычислять среднее содержание основного и других (при необходимости) компонентов. Только на основе такого подсчета допускается делать окончательное заключение об однородности состава полезного ископаемого.
Во всех случаях расчленения залежей необходимо придерживаться, чтобы в одной и той же выделенной части (качественном участке, типе, сорте, разновидности) не было резкой невыдержанной по плотности разведочной сети.
При наличии такой невыдержанности следует разделять выделенные части (качественные участки, типы, сорта, разновидности) по степени разведанности (по категориям запасов).
При вычислении среднего содержания химических компонентов (например, железа, серы, фосфора и др. в железорудных месторождениях) необходимо помнить, что не все разведочные выработки допустимо учитывать одинаково. Например, данные канав и шурфов следует исключить вовсе из расчетов по химической (и физико-механической) характеристике полезного ископаемого из первичной зоны, если залежи в месторождении погружаются на большую глубину и в них четко выражена вертикальная зональность (например, при наличии зоны выветривания или окисления), пересечения разведочной выработкой залежей по косым углам должны учитываться иначе, чем нормальные пересечения и т.д.
Качественная оценка интервалов, секущих залежь под углом менее 45°, учитывается с поправочным коэффициентом на длину интервала, равным синусу угла встречи разведочной выработки с контуром залежи.
Рассчитанное вышеуказанным способом содержание основных компонентов в полезном ископаемом, залегающем в недрах, принимается при составлении календарного плана горных работ для проекта.
Одной из главных задач при составлении календарного плана является обеспечение выдержанности во времени состава полезного ископаемого, направляемого в рудоподготовку, как по содержанию основных компонентов, так и по соотношению типов, сортов и разновидностей. Чаще всего эта выдержанность может достигаться на относительно непродолжительный период.
В таких случаях в проекте рудоподготовительных фабрик должно учитываться изменение состава добываемого полезного ископаемого во времени.
Если проектируется использование полезного ископаемого без обогащения, то таким же образом, как это делается в отношении основного компонента, подсчитываются содержание других лимитируемых компонентов (например, сера, фосфор, кремнезем, глинозем, окиси кальция и магния и другие полезные или вредные примеси, медь, цинк, свинец, мышьяк, никель и т.п.).
Если проектируется использование полезного ископаемого с обогащением, подсчет содержания в нем вредных флюсующих и прочих попутных компонентов, кроме извлекаемых при обогащении промышленно ценных, может производиться упрощенно статистическим или среднеарифметическим методом по качественным участкам, типам, сортам и разновидностям или по кривым корреляционной зависимости между содержанием этих компонентов и содержанием основного компонента.
Содержание же попутно извлекаемых промышленно ценных компонентов или вредных примесей должно подсчитываться точно так же, как основного компонента (например, фосфора в апатитмагнетитовых рудах) по качественным участкам, типам, сортам полезного ископаемого.
Объемная масса для подсчета запасов полезного ископаемого в проекте принимается по данным геологического отчета, апробированного ГКЗ, или по данным эксплуатации (для действующих предприятий), также апробированным в установленном порядке.
Для металлических полезных ископаемых объемная плотность определяется по кривым или уравнениям зависимости объемной плотности от содержания основного компонента, которые обычно прилагаются к геологическому отчету, или по кривым, которые могут быть построены при проектировании по первичным данным определения объемной плотности.
Для плотных полезных ископаемых, представленных скальными породами, практического значения не имеет вопрос о том, какая объемная плотность определяется при разведке, при естественной влажности, в водонасыщенном или сухом состоянии, так как влияние влажности в этом случае значительно меньше точности определения объемной плотности. Когда же полезное ископаемое представлено рыхлыми или полускальными породами, и влажность их может меняться в широких пределах, что, естественно, должно сказываться на величине объемной плотности, в проекте принимается объемная плотность полезного ископаемого при естественной влажности. Соответственно этому и запасы в проекте учитываются во влажной массе, причем в таблицах указывается влажность, при которой подсчитывались запасы полезного ископаемого. Для пустых пород, в случае отсутствия специальных исследований, объемная плотность определяется по справочникам.
В проектах расширения и реконструкции рудников на эксплуатируемых месторождениях влажность руд, направляемых на обогатительные фабрики, принимается, как правило, на основании данных, накопленных при эксплуатации.
Коэффициенты крепости руд и пород по шкале проф. Протодьяконова определяются в проекте по прямым данным геологического отчета или косвенно по данным о пределах прочности при сжатии, о категориях буримости и прочим показателям исследований физико-механических свойств. По эксплуатируемым месторождениям коэффициенты крепости пород и полезного ископаемого определяются с учетом данных эксплуатации.
При определении крепости на основе данных петрографического описания пород и полезного ископаемого и данных о пределах прочности при сжатии, приводимых в геологическом отчете, должна учитываться необходимость внесения поправочных (понижающих) коэффициентов в связи с ослабленностью массива, наличием отдельностей, трещиноватости и т.д. Особенно это необходимо для полезных ископаемых и пород с высокими значениями предела прочности при сжатии.
Если полезное ископаемое и породы, слагающие месторождение в целом или отдельные его участки, обладают какими-либо особыми свойствами (повышенная глинистость, плитчатость, рассланцованность, наличие ослабленных зон и т.п.), то следует уделить особое внимание характеристике таких свойств, чтобы они могли быть учтены в соответствующих разделах проекта.
Объем и характер определения качественной характеристики полезного ископаемого при проектировании зависят от полноты и качества исходных данных материалов. В идеальном случае блокировка запасов в последних должна отвечать условию, при котором блоки подсчета запасов (геологические блоки) не должны включать в себя:
запасы полезного ископаемого разных типов, сортов;
рудную массу, значительно различающуюся по коэффициенту рудоносности.
При таком состоянии исходных материалов и незначительных колебаниях качества в пределах сорта данные для качественной характеристики полезного ископаемого в проекте могут быть заимствованы, как уже было сказано выше, из исходных материалов подсчета запасов. В таких случаях качественная характеристика подсчетного блока может быть распространена на любую долю подсчетного блока (эксплуатационный блок, этаж и т.п.).
В случае же неполноценной блокировки подсчета запасов в исходных материалах и больших колебаний качества в пределах сорта при проектировании необходимо устранить выявленный недостаток путем изменения блокировки, выделения качественных зон, перехода на подсчет методом ближайшего района или другими путями, в зависимости от конкретных особенностей месторождения.
1.5. Методика подсчета запасов полезного ископаемого
Запасы полезного ископаемого в границах разработки, принимаемые для определения производительности предприятия и сроков его существования и подлежащие маркшейдерскому учету при эксплуатации, подсчитываются по общеизвестным формулам и методам для каждого эксплуатационного этажа.
Запасы в границах разработки подсчитываются с подразделением на балансовые и забалансовые раздельно по категориям A, B,

и

.
При подземном способе разработки месторождения подсчет запасов производится методом вертикальных параллельных сечений (по геологическим размерам) с разделением на эксплуатационные этажи или каким-либо другим методом, отвечающим геологическим особенностям месторождения.
Если подсчет запасов месторождения был произведен другим способом, например, методом геологических блоков или методом однородного геологического разреза, тогда подсчет запасов по этажам производится также методом вертикальных геологических разрезов, но отдельно по каждому выделенному блоку.
Во всех случаях запасы и массовые доли компонентов подсчитываются по выделяемым в проекте типам и сортам полезного ископаемого. Наряду с подсчетом запасов и содержаний в границах разработки подсчитываются (для контроля) запасы и содержание за границами разработки. В сумме те и другие должны быть равны запасам и содержаниям, утвержденным ГКЗ или по Государственному балансу запасов.
При расхождении данных проектных подсчетов с запасами, утвержденными ГКЗ, проектные подсчеты приводятся в соответствие с цифрами по протоколу ГКЗ, если расхождение находится в пределах точности подсчета (5 - 10%), в противном случае должны быть выявлены и подробно разработаны причины расхождения.
Если на месторождении учтены запасы попутных полезных ископаемых и компонентов, они должны быть подсчитаны в проекте.
Результаты подсчета сводятся в таблицы, в которых запасы по типам и сортам приводятся как в объемных единицах, так и в единицах массы. Запасы даются с подразделением на эксплуатационные этажи, балансовые и забалансовые и на категории A, B,

и

.
Статистические данные о мощности тел полезного ископаемого, его сортов и типов его, а также прослоев пустых пород получают выборкой по разведочным выработкам, расположенным по равномерной сети.
1.6. Обоснование методики и объемов
геолого-разведочных работ
В проекте должны быть обоснованы методика и объемы геолого-разведочных работ, подлежащих выполнению на стадиях строительства горного предприятия и промышленной эксплуатации месторождения.
Поскольку основными задачами эксплуатационной разведки являются уточнение условий залегания, количества и качества полезного ископаемого в эксплуатационном блоке или другой выемочной единице сеть разведочных выработок должна обеспечить получение надежной информации по каждой из этих единиц.
Методической основой для определения видов и объемов работ эксплуатационной разведки являются действующие и отрасли нормативные и инструктивные документы по геолого-разведочному обслуживанию горных предприятий.
Основу сети эксплуатационной разведки, как правило, должны составлять горные выработки.
Скважины в основном используются для сгущения разведочной сети и оконтуривания рудных тел на эксплуатационных горизонтах и подэтажах.
Для бурения разведочных скважин должны предусматриваться камеры, размеры которых определяются габаритами применяемого оборудования и правилами техники безопасности.
Объемы горных и буровых работ по эксплуатационной разведке определяются количеством добычных единиц, обеспечивающих годовую производительность предприятия по сырой руде, и создаваемой густой разведочной сетью в них.
Расчетное количество разведочных скважин и их общий метраж в эксплуатационных блоках следует увеличить на 20 - 30% на непредвиденные работы.
Количество и размеры камер для проходки разведочных скважин определяются условиями расположения их в этаже и техническими характеристиками применяемого оборудования.
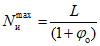
Потребное количество буровых установок (m) для выполнения проектного объема разведочных скважин эксплуатационной разведки определяется по формуле:

, (1.1)
где L - проектный объем бурения скважин на расчетный год, м;
k - поправочный коэффициент на сложность бурения;
n - норма времени на бурение 1 м скважины, станко-смен;
p - количество рабочих смен в году;
z - коэффициент использования буровых станков.
Для проходки скважин предусматриваются камеры размещения бурового оборудования.
Опробование полезного ископаемого и вмещающих (засоряющих) пород должно осуществляться путем отбора проб из керна разведочных скважин и стенок выработок или геофизическими методами.
Длины интервалов опробования должны быть равными и кратными минимальной промышленной мощности рудного тела (залежи) и максимальной мощности внутрирудных прослоев слабооруденелых или пустых пород. Стенки горных выработок опробуются штуфным или бороздовым способом. Сеть опробования, длина и сечение борозды выбираются в зависимости от целей опробования и физико-механических показателей полезного ископаемого. Необходимость бороздового и штуфного опробования на проектируемом руднике должна рассматриваться в каждом конкретном случае.
В период эксплуатации месторождения основным видом опробования должны стать геофизические методы.
Годовые объемы геофизического опробования зависят как от объемов разведочных работ, так и объемов взрывных скважин, подготовительных и нарезных выработок. Химическое опробование в этом случае должно выступать как контрольное.
Расчетное количество геофизического оборудования определяется на основе объемов геофизического опробования, технических характеристик принимаемой аппаратуры и режима работы работников геологической службы предприятия. Сметная стоимость приобретаемого оборудования устанавливается по соответствующим ценникам.
Штаты геологической, гидрогеологической, маркшейдерской и геофизической служб проектируемого предприятия определяются исходя из его мощности, группы сложности месторождения и запроектированного объема работ по эксплуатационной разведке и гидрогеологическому обслуживанию.
Численность буровых рабочих определяется по ЕНВ на буровые работы на основе объемов бурения и количества одновременно работающих станков и режима работы предприятия. Численность замерщиков геологической службы на подземных рудниках должна устанавливаться по фактической среднеотраслевой статистике.
Численность инженерно-технического персонала подземных рудников устанавливается по действующим нормативам или по фактической среднеотраслевой статистике.
В проектах подземных рудников должны определяться виды и объемы геолого-разведочных работ, необходимые для обеспечения строительства капитальных горных выработок (стволов, квершлагов, штреков, камер различного назначения и т.д.).
Объемы этих работ зависят от геологических особенностей месторождения, степени его изученности, местоположения вскрывающих горных выработок и перечня требуемой геологической, инженерно-геологической и гидрогеологической информации.
Затраты на эти работы определяются по существующим ценникам и включаются в главу 2 сводного сметно-финансового расчета на строительство горного предприятия.
Кроме того, в проекте должны быть предусмотрены средства на геологическое обслуживание строительства горнокапитальных выработок. Затраты на эти работы зависят от продолжительности строительства капитальных выработок и численности геологической службы, обслуживающей эти работы.
В стоимость геологического обслуживания включаются заработная плата работников (основная, дополнительная и премии), расходы на приобретение спецодежды, инструментов и других материалов, которые в общей сумме принимаются в размере 3% от основной заработной платы работников геологической службы.
Затраты на геологическое обслуживание строительства горнокапитальных выработок включаются в главу "Прочие затраты" сводного сметно-финансового расчета проекта.
2. ОСУШЕНИЕ МЕСТОРОЖДЕНИЙ
Проект осушения должен предусматривать:
предотвращение притоков подземных вод в горные выработки в количествах, нарушающих нормальные условия разработки месторождения;
предупреждение прорывов подземных вод из окружающих пород, из выработанного пространства и с поверхности, так как это нарушает устойчивость пород и крепления выработок, а, следовательно, представляет опасность для людей, работающих в шахте, и нарушает нормальную эксплуатацию месторождения;
возможность своевременной эвакуации людей при массовых прорывах подземных вод в шахту;
водоотлив и водоотвод рудничных и поверхностных вод к местам их сброса и очистки;
предотвращение угрожающего истощения ресурсов подземных вод, обеспечивающих водоснабжение окружающих рудных объектов, и их загрязнения;
предотвращение размыва берегов русел поверхностных водотоков, нарушения их режима и эрозии поверхностного слоя почвы;
предотвращение опасных последствий деформации горных пород в районе месторождения из-за понижения уровня подземных вод;
сооружение устройств и другие мероприятия, предусматривающие регулирование притока подземных вод в выработки с учетом возможного повышения их напора;
обеспечение проведения других мероприятий, предотвращающих нарушение экологии окружающей среды;
использование, по возможности, всех откачиваемых вод для целей водоснабжения (после необходимой очистки).
2.2. Выбор способа осушения
В проекте осушения при выборе способа осушения рекомендуется руководствоваться следующими положениями:
поверхностный способ осушения шахтных полей следует применять при наличии высоких фильтрационных параметров, большой мощности и высоких напоров водоносных горизонтов подземных вод. В безнапорных пластах этот способ следует применять при коэффициентах фильтрации 2 - 3 м/сут, а в напорных пластах - не менее 0,5 - 0,3 м3/сут;
подземный способ осушения осуществляется только подземными выработками при наличии устойчивых пород с высокими фильтрационными параметрами.
В "чистом" виде подземный способ осушения применяется довольно редко. Для интенсификации водоотдачи пород, достижения наибольшего эффекта осушения к дренажным горным выработкам дополнительно предусматриваются другие дренажные устройства из горных выработок, т.е. по существу этот способ осушения становится комбинированным;
комбинированный способ осушения осуществляется совместной работой водопонизительных скважин, сквозных фильтров или других дренажных устройств, закладываемых с поверхности, и подземными выработками, часто с закладываемыми из них скважинами.
Кроме того, следует рассматривать в проектах следующие варианты последовательности производства дренажных работ:
параллельное осушение месторождения, осуществляемое параллельно со строительством эксплуатационной шахты, в тех случаях, когда без этого возникают затруднения по строительству горнокапитальных и капитально-подготовительных выработок в отношении безопасности или снижения темпов их проходки;
опережающее осушение предусматривать лишь в том случае, когда по гидрогеологическим, организационным или технико-экономическим соображениям к осушению месторождения или его отдельных участков необходимо приступать до начала горнокапитальных работ.
Глубину водопонижения в различные периоды разработки месторождения принимать с учетом гидрогеологических условий месторождения, последовательности отработки горизонта рудника и проведения горнокапитальных и подготовительных выработок.
При этом надлежит принимать во внимание наличие старых подземных выработок и других особенностей месторождения.
Необходимо также учитывать и экономическую целесообразность принимаемых вариантов.
При наличии возможности осушения штольневыми выработками может оказаться целесообразным вместо двух или нескольких горизонтов иметь один более глубокий горизонт осушения.
Схему расположения дренажных скважин или дренажных фильтров проектировать с учетом имеющихся подземных выработок, проекта их последующего прохождения, а также расположения отработанных участков месторождения и их обводненности.
2.3. Подземные дренажные выработки
При проектировании осушения дренажными шахтами принимать один из следующих режимов эксплуатации:
незатопляемый, когда затопление выработок не может быть допущено даже на короткое время (например, из-за ослабления устойчивости пород);
кратковременный, когда затопление выработок может быть допущено на короткое время в период интенсивных паводков (весенних или ливневых);
затопляемый, когда допускается более или менее длительное затопление дренажных выработок паводковыми водами или водой из карстов (при этом окружающие породы не должны терять необходимой устойчивости).
При затоплении дренажных выработок все выработки, не подлежащие затоплению, должны быть ограждены герметичными перемычками, рассчитанными на максимально возможный напор подземных вод или пульпы.
При проектировании того или иного способа осушения, предусматривающего использование подземных дренажных выработок, следует рассматривать следующие варианты осушения:
совмещение дренажных и эксплуатационных выработок в одной шахте;
сооружение автономной дренажной шахты, не связанной с выработками эксплуатационной шахты.
В первом случае емкость водосборников центральной насосной водоотливной установки должна быть не менее 4-часового нормального притока воды, помноженного на коэффициент 1,2. Во втором случае она может быть принята равной 2-часовому притоку с тем же коэффициентом.
В обоих случаях в соответствии с
параграфом 3.30 СНиП 2.06.14-85 следует предусматривать при значительных притоках воды в шахту использование специальных водосборных штреков, параллельных основным штрекам, располагаемых на более низких отметках.
Уклоны основных и водосборных штреков в этом случае необходимо выбирать с таким расчетом, чтобы вода из заполненного водосборного штрека не поступала по сбойкам его с основным штреком и не преграждала бы путей отхода людей по основному штреку к околоствольному двору. Особенно важно это при возможных массовых прорывах воды. Сбойки должны беспрепятственно пропускать поток прорвавшейся воды на водосборный штрек. В местах сопряжения водосборного штрека с коллекторами заглубленной насосной станции следует предусматривать глухую герметичную перемычку с трубами, рассчитанными на максимально допустимую пропускную способность, которая также может регулироваться запорными устройствами.
На основной выработке должна предусматриваться герметичная перемычка с дверью, рассчитанная на ожидаемые напоры.
При выборе формы и размеров сечения выработок и оборудования шахтных стволов дренажных шахт следует учитывать удобство расположения водоотливных трубопроводов, их ремонта и осмотра, а также обеспечение возможности спуска и подъема крупногабаритного оборудования (электродвигатели, электровозы и др.).
При выборе сечения дренажных выработок необходимо:
учитывать пропускную способность и, соответственно, размеры водоотливных канавок, которые должны рассчитываться на пропуск максимальных притоков воды в паводковый период или в период ливней принятой обеспеченности;
при необходимости проходки для целей осушения парных штреков, из которых один нижний является водосборным, а другой основным (следует, как правило, опережающие дренажные скважины бурить из верхнего штрека, а также производить подсечку сквозных фильтров);
бурение дренажных скважин из дренажных выработок следует производить из специальных буровых камер, а подсечку сквозных фильтров производить из "камер подсечки".
При подсечке скважин следует применять тампоны, предотвращающие гидравлические удары, а при бурении в сильно обводненных породах применять превенторы.
Крепление водоотводных канавок следует принимать, как правило, сборными железобетонными лотками.
В целях недопущения разбрызгивания воды и размыва почвы в камерах водоперепускных скважин и камерах подсечки сквозных фильтров следует предусматривать:
трубы или рукава для плавного отвода воды в канавку;
легко очищаемые от шлама водобойные колодцы;
устойчивое крепление самих камер.
При наличии заглубленных водосборных выработок, откатку по ним и другим выработкам дренажной шахты производить аккумуляторными электровозами.
При проектировании проветривания подземных дренажных выработок при всасывающем проветривании следует учитывать подсос воздуха, а при нагнетательном проветривании - потери воздуха через водопонизительные скважины и сквозные фильтры.
Ориентировочное количество воздуха, подсасываемого или теряемого по скважинам, принимать по формуле (с последующим уточнением после депрессионной съемки):
Q = 0,001g, (2.1)
где Q - количество теряемого или поступающего воздуха;
g - расход воды по скважинам.
Для расчета производительности водоотливных установок шахтного водоотлива дренажных шахт принимать, что максимальный приток воды в шахту складывается из нормального притока и увеличения его в паводковый период.
В остальном руководствоваться требованиями Единых правил безопасности ведения горных работ, а также СНиП 2.06.14-85 (
§ 3.20 до
§ 3.47).
2.4. Дренажные устройства
В зависимости от гидрогеологических, горнотехнических условий шахтного поля и принятой схемы осушения проектируются следующие дренажные устройства:
водопонизительные скважины - следует применять в безнапорных пластах при их мощности не менее 10 м и коэффициенте фильтрации не ниже 1 - 3 м/сут, а в напорных пластах - при меньшей мощности и меньшем коэффициенте фильтрации (но не менее 0,5 м/сут). Водопонизительные скважины можно бурить с поверхности и из подземных выработок;
водопоглощающие скважины следует применять в случае, когда водопроводимость нижележащего водоносного горизонта больше водопроводимости верхнего, за счет чего последний может быть сдренирован;
сквозные фильтры следует использовать для осушения водоносных горизонтов, залегающих выше горных выработок в значительном расстоянии от их кровли, в связи с чем дренирование этого водоносного горизонта забивными фильтрами не представляется возможным.
Бурение сквозных фильтров следует производить с поверхности земли по линии горных выработок. Первоначально они могут быть использованы как водопонизительные скважины, а затем подрезаются по мере проходки горными выработками и после оборудования устьевой части продолжают работу в горных выработках.
Восстающие дренажные скважины (или наклонные) проектировать при невозможности технически осуществить бурение забивных фильтров.
Горизонтальные (слабо наклонные) скважины проектировать для дренажа различных зон горных пород повышенной водообильности. Горизонтальные (слабо наклонные) скважины в условиях повышенной обводненности необходимо бурить в забой выработки с их веерным расположением как опережающие и одновременно дренажные.
Для уточнения геологического строения, для уменьшения напора водоносного горизонта, залегающего в почве выработки, бурятся разгрузочные дренажные скважины или проходятся понизительные колодцы.
Разгрузочные скважины закладывать в почву выработок для уменьшения напора водоносного горизонта в почве выработки.
Понижающие колодцы применять в случае, когда самоизлив из скважин не обеспечивает снятия напора водоносного горизонта, залегающего в подошве горной выработки. Глубину колодцев принимать не более 8 м.
Эжекторные иглофильтровые установки применять для снижения уровня воды от 5 до 20 м в песчаных грунтах с коэффициентом фильтрации не менее 2 м/сут.
| | ИС МЕГАНОРМ: примечание. Текст дан в соответствии с официальным текстом документа. | |
Легкие иглофильтровые установки (ЛИУ) применять для осушения обводненных песков при проходке стволов. Снижение уровня воды при помощи ЛИУ достигается не более 4 - 5 м. Коэффициент фильтрации водосодержащих пород для работы ЛИУ должен быть 5 - 50 м/сут без обсыпки вокруг иглофильтров, 5 - 5 м/сут - с песчано-гравийной обсыпкой. ЛИУ может быть использована также для осушения песков в почве горизонтальных горных выработок.
Установки вакуумного водопонижения применять для осушения глинистых песков и супесей с коэффициентом фильтрации от 0,1 до 2 м/сут на глубину 5 - 7 м.
Контрольно-разведочные скважины закладывать на места бурения водопонизительных скважин для уточнения гидрогеологических и инженерно-геологических особенностей горных пород. При бурении контрольно-разведочных скважин предусматривать комплекс гидрогеологических, инженерно-геологических и геофизических исследований.
Наблюдательные скважины предусматривать для наблюдения за развитием депрессионной воронки, химическим составом подземных вод, температурой, изменением уровня воды на шахтном поле в процессе осушения.
Водопропускные скважины закладываются в пониженных местах дна карьера для сброса ливневых и подземных вод из карьера в подземную дренажную систему или с вышележащего горизонта горных выработок на расположенный ниже горизонт, оборудованный насосной станцией.
2.5. Способы сооружения дренажных устройств
и их конструкции
Выбор сооружения (бурения) дренажных устройств принимать с учетом конкретных геолого-гидрогеологических условий, назначения, глубины и диаметра скважины и производить по таблице 2.1.
Таблица 2.1
Способы сооружения дренажных устройств
Способ бурения | Рациональная область применения |
Вращательный, с промывкой глинистым раствором (роторный или колонковый) | Скважины в благоприятных гидрогеологических условиях; на водоносные горизонты, ранее хорошо изученные и надежно опробованные, с учетом возможного снижения дебита в результате кольматации пород глинистым раствором |
Вращательный с промывкой в устойчивых скальных породах водой или продувкой воздухом (роторный или колонковый) | В многолетне-мерзлых породах; необводненных трещиноватых и закарстованных породах |
Вращательный с обратной промывкой (роторный) | Скважины глубиной до 60 м диаметром до 1000 км и более, в рыхлых отложениях, без большого количества крупной гальки; при глубине залегания уровня подземных вод 3 м и более от поверхности земли |
Канатно-ударный | Скважины в рыхлых породах глубиной 150 м (в скальных породах допускается на глубину более 150 м), на безнапорные водоносные горизонты; в районах, где затруднительно организовать водоснабжение для промывки скважин в процессе бурения |
Комбинированный (канатно- ударный и роторный) | Скважины глубиной более 150 м в сложных гидрогеологических условиях бурить: ударным способом в рыхлых безнапорных водоносных породах; роторным - до водоносного горизонта, намечаемого к эксплуатации |
В конструкции водопонизительной скважины предусматривать следующие колонны труб: шахтовое направление, кондуктор, технические колонны, фильтровая коронка.
Нижнюю часть каждой колонны обсадных труб оборудовать утолщенной трубой длиной 0,4 - 0,5 м с коническим срезом (башмаком).
Диаметр бурового наконечника для бурения скважины под фильтровые колонны принимать более наружного диаметра фильтра не менее чем на 50 мм, а при обсыпки фильтра гравием - не менее 100 мм.
Зазор между колонной обсадных труб и стенкой скважины при диаметрах до 500 мм принимать от 25 до 100 мм, а при диаметрах более 500 мм - от 120 до 150 мм.
Диаметр эксплуатационной колонны труб в скважине принимать в зависимости от установленных насосов:
с электродвигателем над скважиной - на 50 мм больше номинального диаметра насоса;
с погружным электродвигателем - равным номинальному диаметру насоса.
Высоту подъема цементного раствора в затрубном пространстве принимать:
для кондуктора (шахтового направления) - до устья;
для промежуточных и эксплуатационных колонн - в зависимости от необходимости изоляции вышележащих водоносных горизонтов.
Для цементирования обсадных колонн в многолетне-мерзлых породах применять, как правило, расширяющийся глиноземистый цемент марки не ниже 400.
Для ускорения схватывания и твердения предусматривать добавление в раствор хлористого кальция или других ускорителей схватывания и твердения. Кроме того, необходимо предусмотреть прогрев затрубного пространства с помощью циркулирующей в колонне жидкости с температурой не ниже +20 °C.
Для регулирования свойств цементных растворов и процессов взаимодействия их с горными породами и трубами предусматривать применение активных и наполнительных добавок, руководствуясь указаниями СНиП.
При агрессивных подземных водах для цементирования обсадных колонн применять специальные химически стойкие цементы.
Для оборудования устья водопонизительных скважин предусматривать превышение на 500 мм над поверхностью земли верхней части обсадных труб, на которых монтируется оголовок.
Конструкцию сквозных фильтров принимать с учетом:
минимально допустимых при креплении обсадными трубами зазоров в затрубном пространстве 8 - 15 мм;
оборудования водоспускной части сквозного фильтра задвижкой и манометром.
Во избежание прорыва подземных вод в горные выработки бурение сквозных фильтров предусматривать на 5 м ниже подошвы водоприемного штрека; забой сквозного фильтра располагать в 3 - 5 м от оси дренажного штрека.
Затрубное пространство сквозного фильтра цементировать с оставлением цементного стакана в трубах, а также устанавливать резиновый тампон или предохранительную пробку.
В рыхлых отложениях сооружение иглофильтров предусматривать с помощью гидравлического погружения, а при наличии плотных глин и валунно-галечниковых отложений - путем бурения скважин с последующей гравийной обсыпкой.
Насосные установки для погружения иглофильтров принимать:
в мелкозернистых песках - производительностью 20 - 30 м3/ч;
в крупнозернистых песках - производительностью свыше 40 м3/ч.
При наличии гравелистых отложений, сильно поглощающих воду, предусматривать компрессор для подачи сжатого воздуха в скважину.
При установке иглофильтров в грунтах с коэффициентом фильтрации 2 - 5 м/сут применять гравийную обсыпку.
Диаметр восстающих, наклонных и горизонтальных дренажных скважин, пробуриваемых из подземных горных выработок, принимать в соответствии с ожидаемым дебитом.
Нижняя часть фильтровой колонны должна выходить из устья скважины не менее чем на 100 мм.
Для регулирования стока из скважины, а также для определения уровня подземных вод устье скважины оборудовать водовыпуском, задвижкой и манометром, а при наличии высоких напоров в осушаемых породах - также герметизирующими устройствами для отвода воды.
Кондуктор в скважине цементировать на всю его длину. Остальные обсадные колонны закреплять с устройством сальниковых или фланцевых опор на устье скважины.
Забивные фильтры в горизонтальных и наклонных выработках предусматривать длиной от 3 до 15 м. Рабочая часть забивного фильтра должна быть не менее 500 мм и расположена у подошвы водоносного пласта.
Бурение забивных фильтров при напорах до 15 м водного столба производить одним диаметром на всю длину, а при больших напорах - несколькими диаметрами с применением герметизирующих устройств и последующей обсадкой трубами.
Подземные водопонизительные скважины бурить из специальных камер, имеющих габариты, соответствующие используемому буровому оборудованию и требованиям техники безопасности.
Устья водопонизительных колодцев (шурфов) оборудовать лядами и съемными полками.
2.6. Водоприемные фильтры
При отборе воды из рыхлых и неустойчивых полускальных и скальных пород в скважинах следует устанавливать фильтры водопропускной способностью на 15 - 20% выше ожидаемого притока из водоносного пласта.
2.7. Мероприятия по интенсификации
работ дренажных устройств
Для повышения дебита водопонизительных и дренажных скважин следует предусматривать один из следующих способов:
торпедирование - в устойчивых породах;
свабирование - в песках для восстановления слабонапорных водоносных горизонтов;
гидравлический.
В качестве жидкости "разрыва" применять воду, водные растворы соляной кислоты, а также соляную кислоту повышенной вязкости. В качестве расклинивающего материала для заполнения трещин применять кварцевый песок.
Кислотная обработка пород производится соляной, серной, уксусной кислотами и глинокислотой.
3.1.1. Общие положения
Каждое горнорудное предприятие должно иметь земельный отвод в увязке с горным отводом. Оформление горного отвода предшествует оформлению земельного отвода.
Под горным отводом понимается часть земных недр, предоставляемая организации или предприятию для промышленной разработки содержащихся в ней полезных ископаемых. Размеры горного отвода определяются контурами разведанной части месторождения или месторождения в целом с учетом зон сдвижения.
Предоставление (утверждение) горных отводов или прирезок их для разработки месторождений всех видов полезных ископаемых, кроме общераспространенных и торфа, производится Управлениями округов Госгортехнадзора.
Проект горного отвода составляется на стадиях "проект" и "рабочий проект".
В предпроектных проработках проект горного отвода не составляется, однако, решаются все основные вопросы проекта горного отвода.
При проектировании поддержания мощности действующего предприятия производится проверка соответствующего новым условиям утвержденного (отведенного) горного отвода и в случае необходимости составляется новый проект с учетом развития горных работ.
При проектировании нового предприятия в пределах горного отвода, отведенного другому предприятию, необходимо согласование с организацией (предприятием), в ведении которой находится горный отвод, и утверждение в порядке, аналогичном для получения нового горного отвода.
Проект горного отвода, как правило, оформляется отдельной книгой и предварительно согласовывается с Управлением округа Госгортехнадзора.
Окончательное оформление горного отвода производится в органах Госгортехнадзора по представлении горным предприятием материалов согласно действующей "
Инструкции о порядке предоставления горных отводов для разработки месторождений полезных ископаемых".
3.1.2. Границы горного отвода
Горный отвод ограничивается:
дневной поверхностью, на которой обозначаются границы, определяющие площадь горного отвода, необходимую для разработки месторождения в границах утвержденных ГКЗ запасов с учетом проектных зон сдвижения горных пород;
вертикальными плоскостями по границам горного отвода на дневной поверхности;
глубиной залегания полезного ископаемого (глубиной подсчета запасов).
Границы горного отвода наносятся на плане поверхности, разрезах, вертикальных проекциях.
3.2. Зоны вредного влияния горных работ и меры охраны
от него зданий, сооружений и природных объектов
3.2.1. Зоны вредного влияния горных работ
При проектировании разработки месторождения необходимо учитывать вредные влияния горных работ на состояние массива горных пород и земной поверхности.
Вредное влияние горных работ может проявиться в следующем:
сдвижение пород и земной поверхности, вызванное очистными работами;
деформирование пород вокруг выработок вследствие образования зоны опорного давления.
| | ИС МЕГАНОРМ: примечание. Текст дан в соответствии с официальным текстом документа. | |
Границы зон сдвижения горных пород и земной поверхности от очистных работ строятся по угловым и линейным параметрам, установленным Правилами и Указаниями по охране сооружений для данного месторождения или "Временными правилами охраны сооружений и природных объектов от вредного влияния подземных разработок на рудных месторождениях с неизученным процессом сдвижения горных пород". К угловым параметрам относятся углы сдвижения и углы разрывов в направлениях по простиранию и вкрест простирания и углы воронкообразования в коренных породах, углы сдвижения и разрывов в насосах.
К линейным параметрам относятся мощность сдвигающейся пачки пород лежачего бока залежей, высота устойчивого свода, шаг сдвижения в коренных породах.
В зависимости от сочетания влияющих факторов процесс сдвижения горных пород может локализоваться в массиве или достигать земной поверхности и проявляться в форме воронок, провалов, террас, трещин, плавных сдвижений и их различных сочетаний.
В связи с большим разнообразием горно-геологических условий рудных месторождений зоны сдвижения горных пород и земной поверхности должны определяться по действующим Правилам и Указаниям по охране сооружений на основе всестороннего анализа горно-геологической обстановки, а в необходимых случаях - с помощью специализированных организаций (ВИОГЕМ, ВНИМИ и др.).
Построение границ зоны опасных сдвижений ведется на всех стадиях проектирования и в предпроектных проработках.
В пояснительной записке дается обоснование принятых значений угловых и линейных параметров процесса сдвижения, расчеты высоты области сдвижения пород при отработке слепых залежей, описывается способ построения зон.
При ведении очистных работ в массиве горных пород происходит перераспределение напряжений и, кроме зон сдвижений, возникают зоны опорного давления.
При выборе места заложения и вида крепи подготовительных и капитальных горных выработок следует учитывать наличие зоны опорного давления.
Размеры зоны опорного давления и величина деформаций пород в этой зоне устанавливаются по рекомендациям на основе исследований специализированных организаций (НИГРИ, ВостНИГРИ, ВИОГЕМ и др.), представляемых ими для разработки проектов или по аналогии - для технико-экономических обоснований.
Предрасчет величин сдвижений и деформаций горных пород и земной поверхности, вызванных дренированием обводненных месторождений и вмещающих пород, производится специализированными организациями (ВИОГЕМ, ВНИМИ и др.).
3.2.2. Меры охраны
При попадании зданий, сооружений и искусственных водоемов, природных и других объектов в зону вредного влияния подземных разработок они должны быть вынесены за пределы этой зоны, а при невозможности или нецелесообразности выноса подлежат охране.
Меры охраны или вынос сооружений за пределы вредного влияния подземных разработок определяются проектом на основании технико-экономических расчетов, а также по другим техническим соображениям.
Мерами охраны являются:
применение специальных систем разработки;
закладка выработанного пространства;
неполная по площади выемка руды;
конструктивные меры защиты, включающие разделение здания и сооружения на отдельные секции деформационными швами, усиление несущих конструкций с помощью стальных тяжей, растяжек из железобетонных поясов, установка различного рода компенсаторов и т.п.;
проведение ремонтно-восстановительных работ;
временное изменение характера эксплуатации подрабатываемого объекта;
оставление предохранительного целика;
проведение специальных наблюдений за развитием процесса сдвижения и состояния подрабатываемого объекта.
Оставление предохранительных целиков для охраны объектов допускается только в тех случаях, когда другие меры охраны не могут гарантировать сохранность объекта или являются экономически нецелесообразными.
В этом случае границы предохранительных целиков строятся в соответствии с рекомендациями Правил охраны и наносятся на разрезы, вертикальные проекции, планы горных работ и на поверхности (граница охраняемой площади).
Выбранные меры охраны согласовываются с владельцем объектов, оформляются и утверждаются в порядке, установленном действующей "Инструкцией о порядке утверждения мероприятий по охране зданий, сооружений и природных объектов от вредного влияния горных разработок".
Меры охраны определяются на всех стадиях проектирования и в предпроектных проработках.
Ответственность за правильность выбора мер охраны, производства расчетов и своевременное утверждение мер охраны при проектировании горных предприятий, а также при проектировании сооружений и населенных пунктов на площадях залегания полезных ископаемых возлагается на главного инженера проекта и главного инженера проектной организации.
Решение задач, связанных с определением вредного влияния подземных разработок и выбором мер охраны, производится в соответствии с имеющимися для месторождений Правилами охраны, а при отсутствии таковых - согласно "Временным правилам охраны сооружений и природных объектов от вредного влияния подземных разработок на рудных месторождениях с неизученным процессом сдвижения горных пород".
Для особых горно-геологических условий или особых охраняемых объектов, не учтенных в Правилах охраны, решение вопросов по определению зон вредного влияния подземных разработок и мер охраны подрабатываемых объектов производится с привлечением специализированных организаций (ВНИМИ, ВИОГЕМ и др.).
Отклонения от требований Правил охраны по мерам охраны объектов от вредного влияния подземных разработок допускаются при наличии заключения специализированной организации (ВИОГЕМ, ВНИМИ) и согласовываются с органами Госгортехнадзора в соответствии с Инструкцией.
Выбор места заложения полевых откаточных выработок и способа их крепления должен осуществляться с учетом вредного влияния очистных работ, зон разгрузки и опорного давления по конкретным рекомендациям специализированных организаций (НИГРИ, ВИОГЕМ и др.).
Стволы и сооружения промплощадок шахт должны располагаться вне зоны вредного влияния горных разработок, определенной от разработки месторождения до конечной глубины, а при неустановленной глубине разработки - до глубины разведанных запасов по категориям

+ прогнозные.
При расположении шахтных стволов в зоне вредного влияния дренажных работ должны быть запроектированы конструктивные мероприятия (узлы податливости, рихтовочные конструкции), обеспечивающие ликвидацию вредных последствий от деформаций толщи пород в результате дренажа.
3.3. Методические рекомендации
по определению мощности подземных рудников
3.3.1. Общий подход к оценке горных возможностей
В современной теории и практике горного проектирования мощность шахт и рудников рассматривается в двух аспектах: мощность по горным возможностям, за которую принимается максимальная годовая добыча полезного ископаемого, достигаемая при принятых технологии, технике и организации работ, и оптимальная, устанавливаемая в пределах горных возможностей с целью получения наилучших экономических показателей отработки месторождения.
Величину горных возможностей рудников следует определять путем расчета возможной интенсивности процессов извлечения и воспроизводства элементарных выемочных единиц (ЭВЕ) на рабочей площади месторождения, что позволяет раздельно учесть влияние естественных условий, интенсивных и экстенсивных факторов и, следовательно, технологических особенностей систем разработки и средств механизации, соответствующих проектируемому этапу освоения месторождения.
Под рабочей площадью месторождения понимается часть эксплуатационной площади, на которой осуществляются процессы извлечения и воспроизводства запасов руды, а под ЭВЕ - наименьший в структуре запасов блока или панели объем, для отработки которого осуществляется законченный цикл горных работ, характеризующийся суммарной продолжительностью всех последовательно выполняемых технологических процессов с учетом пауз между ними.
Определение параметров ЭВЕ, являющихся модулем применяемой технологии добычи руды, производится с учетом характерных особенностей проектируемой технологической схемы эксплуатации месторождения:
при системах разработки с массовым обрушением и торцевым выпуском руды ЭВЕ - объем запасов, заключенный в пределах этажа (подэтажа) и приходящийся на часть рабочей площади, обслуживаемой одной буродоставочной выработкой;
при системах разработки с массовым обрушением и донным выпуском руды ЭВЕ - объем запасов, ограниченный замкнутым объемным контуром и отбиваемый за один массовый взрыв. Параметры ЭВЕ должны соответствовать оптимальным значениям толщины отбиваемого слоя и величины массового взрыва для обеспечения необходимого фронта работ и заданного качества дробления обрушаемого массива, с учетом обеспечения максимальной интенсивности выпуска руды в условиях высокого горного давления;
при камерных вариантах систем разработки с оставлением целиков ЭВЕ - объем запасов руды в единичной камере;
при камерных системах разработки с выемкой целиков массовым обрушением ЭВЕ - суммарный минимальный объем запасов руды, заключенной в камерах и целиках, одновременно отрабатываемых на рабочей площади месторождения;
при камерных системах разработки с закладкой выработанного пространства ЭВЕ - суммарный объем запасов руды в камерах, число которых равно числу очередей их выемки. При одновременной или последовательной отработке камер через одну, две или три деления шахтного поля на камеры и целики является условным, так как их отработка ведется одним способом. В то же время продолжительность погашения запасов руды зависит не только от продолжительности цикла добычных работ в камере, но и от числа очередей их выемки;
при слоевых системах разработки с закладкой выработанного пространства ЭВЕ - запасы одной ленты.
Методический подход к оценке горных возможностей заключается в установлении размеров рабочей площади, соответствующей максимально возможному числу ЭВЕ, а также величине ее годового обновления в зависимости от продолжительности производственного цикла по выемке запасов ЭВЕ.
Проектная мощность рудника по горным возможностям определяется:
для наклонных и крутонаклонных залежей

, т/год;
для пологопадающих и горизонтальных залежей

, т/год, (3.1)
где

- среднегодовое понижение условного горизонта выемки, м/год;
S - эксплуатационная площадь месторождения - рудная площадь за вычетом площадей, не подлежащих отработке, м2;

- плотность руды, т/м3;
Kкол - коэффициент извлечения количества, учитывающий количественные и качественные (разубоживание) потери полезного ископаемого;

- среднегодовое подвигание условного фронта работ по почве рудной залежи, м/год;

- площадь условного фронта работ, м2;

- ширина шахтного поля, м;
m - средневзвешенная по площади мощность залежи, м.
Показатели интенсивности эксплуатации месторождений:

, м/год,

, м/год, (3.2)
где

- рабочая площадь месторождения, м2;

- коэффициент годового обновления рабочей площади, раз/год;

- календарная продолжительность работы рудника в течение года, сут/год;

- длительность производственного цикла по извлечению и воспроизводству запасов ЭВЕ, сут;

- высота обрушаемого (отбиваемого) слоя руды, м.
Величина рабочей площади месторождения:

, м2, (3.3)
где

и

- соответственно площади извлечения и воспроизводства запасов, м2.
Продолжительность производственного цикла по выемке запасов ЭВЕ:

, сут, (3.4)
где

и

- соответственно длительности процессов извлечения и воспроизводства запасов в их взаимонесовмещаемой части, сут.
Обозначив через

степень использования эксплуатационной площади месторождения в одновременной отработке

,
зависимости (3.2) можно представить в упрощенном виде:

;

, (3.5)
где

- длина шахтного поля, м.
Непрерывность и ритмичность добычных работ по руднику обеспечивается соблюдением пропорциональности соотношений продолжительности периодов воспроизводства и извлечения запасов ЭВЕ и частей рабочей площади, находящихся в тех же стадиях. Это соотношение определяет коэффициент структуры рабочей площади месторождения, показывающий число ЭВЕ в стадии воспроизводства, приходящееся на одну ЭВЕ в стадии извлечения запасов:

. (3.6)
В случае применения нескольких рациональных технологических вариантов выемки в пределах шахтного поля показатели интенсивности следует определять:

, м/год, (3.7)

, м/год, (3.8)
где i = 1, ..., n - индекс технологической зоны (ТЗ) - участка месторождения, ограниченного замкнутым объемным контуром и характеризующегося близкими значениями запасов ЭВЕ, едиными горно-геологическими условиями и технологическими вариантами выемки.
3.3.2. Оценка продолжительности
производственного цикла добычных работ
Продолжительность всех процессов и операций производственного цикла по выемке запасов ЭВЕ определяется на основании известных горнотехнических расчетов в соответствии с намечаемыми средствами механизации горных работ при техническом перевооружении, различными нормативами и прогнозными данными.
Применительно к вариантам систем разработки без закладки выработанного пространства величина продолжительности процессов воспроизводства запасов определяется:
| | ИС МЕГАНОРМ: примечание. Формула дана в соответствии с официальным текстом документа. | |

, сут, (3.9)
где

,

,

,

,

,

- соответственно длительности процессов подготовительно-нарезных работ, оборудования запасов, монтажа стационарного оборудования, крепления очистного пространства, заряжания-взрывания скважин (шпуров) в их взаимонесовмещаемой части и суммарная продолжительность межпроцессных пауз, сут.
Величины, входящие в формулу (3.9), можно рассчитывать следующим образом:

, сут, (3.10)
| | ИС МЕГАНОРМ: примечание. Формула дана в соответствии с официальным текстом документа. | |

, сут, (3.11)

, сут, (3.12)

, сут, (3.13)

, сут, (3.14)
где a, l, hо - геометрические размеры ЭВЕ - соответственно длина вкрест простирания, длина по простиранию залежи, высота обрушаемого (отбиваемого) слоя руды, м;

,

- удельный расход подготовительно-нарезных выработок, снижающийся с увеличением величины

, соответственно в м3/тыс. т и м/тыс. т;

- число рабочих дней в месяце, сут/мес;

- планируемый объем проходки выработок в течение месяца, м3/мес;

- число выработок, находящихся в стадии проходки в течение месяца;
Uj - скорость проведения j-ой выработки в зависимости от ее сечения (Sj), организации работ и производительности проходческих комплексов, м/мес;

- средняя скорость проведения подготовительно-нарезных выработок, м/мес;

- выход руды с 1 п.м скважины, т/м;

- среднесменная производительность бурового станка, м/см.;

- число одновременно работающих станков;

- число выработок, в которых одновременно ведутся работы по обуриванию запасов;

- длительность монтажа единицы оборудования, сут;
P - трудоемкость работ по доставке и монтажу единицы оборудования, чел.-см.;

- число рабочих, занятых на монтаже оборудования в течение смены, чел.;

- число единиц монтируемого оборудования (для виброустановок

, здесь

- расстояние между нишами вибропитателей, м;

- расстояние между смежными транспортными выработками в пределах ЭВЕ, м; для скреперных установок

, здесь

- расстояние между смежными выработками скреперования, м);

,

- соответственно длительности монтирования конвейера в панельной выработке и оборудования узла перегрузки, мес;

- длина одного шпура под штанговую крепь, м;

- площадь кровли, закрепляемой одной штангой, м2;

- норма времени на закрепление одной штанги, ч;

- продолжительность рабочей смены, ч;

- коэффициент перевыполнения нормативного показателя (Kпл >= 1);
q - удельный расход ВВ на 1 п.м скважины, кГ/м;

- коэффициент использования скважин (отношение заряженной длины скважины к ее полной длине);

- техническая производительность зарядной установки, кГ/ч;

- коэффициент использования зарядной установки в течение смены;

- объективно неустранимые потери рабочего времени в смену, ч;

- число одновременно работающих зарядных установок;

- время монтирования взрывной сети, сут;

- продолжительность проветривания выработок после производства массового взрыва, сут.
С учетом того, что определяющим и наиболее длительным процессом воспроизводства запасов является процесс подготовительно-нарезных работ, другие же процессы (исключая процесс заряжания-взрывания скважин) в той или иной мере совмещены с ним во времени,
формулу (3.9) можно представить в следующем виде:

, сут, (3.15)
где

- коэффициент, учитывающий увеличение суммарной длительности процессов воспроизводства в результате выполнения работ по разделке подсечки, установке бетонных фундаментов, вентиляционных сооружений, проходке дополнительных выработок хозяйственного назначения, дополнительному креплению выработок в зонах повышенного горного давления;

- коэффициент совмещения процессов во времени. Значения коэффициентов

и

устанавливаются в результате анализа календарных графиков.
Применительно к отработке пологопадающих и горизонтальных залежей, вскрываемых и подготавливаемых, как правило, одним транспортным горизонтом, длительность процессов воспроизводства определяется:

, сут, (3.16)
где

- длительность проведения магистральной транспортной выработки длиной, равной размеру ЭВЕ (l) по длине шахтного поля, со скоростью

- (м/мес), с учетом затрат времени на крепление, мес;

- время на проведение детальной разведки на участках с невыдержанными элементами залегания, сут.
Продолжительность периода извлечения запасов ЭВЕ определяется физическим объемом работ и производительностью погрузочно-доставочных средств:

, сут, (3.17)
или

, сут, (3.18)
где

- норма выработки, т/см.;

,

- среднесменная производительность (т/см.) и число единиц доставочного оборудования в одновременной работе.
Для систем разработки с массовым обрушением, в связи с подразделением руды в процессе выпуска на "чистую" (неразубоженную), "рядовую" и "ликвидационную" (с большим процентом негабаритных кусков и пустой породы) и различными нормами выработки для каждого из выделенных качественных типов, величина

, определенная в соответствии с
формулой (3.18), должна быть увеличена на 10%.
Зависимости (3.9),
(3.15) и
(3.18) применимы для систем с донным выпуском руды, когда процессы извлечения запасов ЭВЕ могут быть начаты лишь по завершении всего комплекса работ по их воспроизводству. При системах с торцевым выпуском руды после воспроизводства запасов первого слоя работы по воспроизводству всех последующих слоев перемежаются с работами по их извлечению. Тогда продолжительность производственного цикла и периодов воспроизводства и извлечения запасов ЭВЕ составит:

, сут, (3.19)

, (3.20)

, сут, (3.21)
где

- длина буродоставочной выработки, м;

- толщина обрушаемого слоя руды, м;

- продолжительность извлечения запасов обрушенного слоя руды, зависящая от числа забоев, обслуживаемых одной ПДМ, сут;

- расстояние между смежными в плане буродоставочными выработками, м;

- число единиц ПЖМ в одновременной работе по извлечению запасов по всем (Nи) ЭВЕ;

- длительность процесса заряжания-взрывания скважин одного слоя руды, сут;

- часть длины буродоставочной выработки, на которой запасы обурены до начала очистных работ

.
Расчеты по приведенным формулам облегчаются состоянием циклограммы производственных процессов по отработке запасов ЭВЕ с учетом совмещения во времени всех последовательно выполняемых технологических операций, которых в конкретном случае может быть и меньше, чем показано в
формулах (3.9) и
(3.15).
Такая оценка общей продолжительности производственного цикла, как показателя интенсивности эксплуатации месторождения, достаточно проста и пригодна при анализе горных возможностей подземных рудников, когда требуется строго определенное соотношение интенсивности процессов извлечения и воспроизводства запасов, т.е. построение всей разработки месторождения по типу поточного производства.
Определяющим в структуре продолжительности производственного цикла является период извлечения запасов, относительно которого устанавливается необходимый уровень интенсивности процессов воспроизводства.
3.3.3. Определение рабочей площади месторождения
Определение рабочей площади

месторождения заключается в расчете площади извлечения запасов

, соответствующей конкретным горно-геологическим условиям и рациональным схемам развития горных работ, а также коэффициента структуры рабочей площади

:

, м2. (3.22)
При известных рациональных параметрах ЭВЕ (a, l) соответствующих проектируемой технологии и технике, определение величины Sи сводится к установлению максимально возможного числа ЭВЕ

в одновременной очистной выемке:

, м2. (3.23)
Применительно к системам разработки с массовым обрушением расчет величины Nи зависит от этапа разработки месторождения. Первый этап связан с разработкой верхних горизонтов, второй - с разработкой глубоких горизонтов, на которых величина горного давления значительно усложнит условия эксплуатации месторождения.
Применяемая на верхних горизонтах рудников Криворожья и Горной Шории в основном последовательная схема развития горных работ с наступающей выемкой от центра залежи к флангам позволяла довести степень использования рудной площади месторождения в одновременной отработке до 0,3 - 0,4 при рудных площадях более 150 тыс. м2 и до 0,8 - 0,9 при рудных площадях 20 - 40 тыс. м2. Таким образом, на первом этапе разработки месторождений величина площади извлечения, в принципе, может достичь значений, равных рудной площади горизонта, что соответствует возможности обеспечения наибольшей производительности рудника. Однако на практике существуют объективные трудности, связанные с организацией добычных и транспортных работ и условиями проветривания при возрастающем фронте очистной выемки, временем длительной устойчивости горных выработок, лимитируемыми трудовыми и материальными ресурсами.
При отработке глубоких горизонтов системами с массовым обрушением максимальная величина площади извлечения обусловливается рациональными в условиях высокого горного давления схемами развития горных работ, которые характеризуются порядком развития очистной выемки от центра залежи к флангам сплошным фронтом.
Фронтальная одностадийная схема развития горных работ предусматривает расположение ЭВЕ в рабочей зоне на всю мощность рудного тела (например, рудники Горной Шории). Величина фронта очистной выемки, представленного двумя ЭВЕ на каждом из горизонтов и последовательно перемещаемого от центра залежи к флангам, определяется:

, (3.24)
где

- число ЭВЕ, составляющих фронт очистной выемки на горизонте;

- возможное число горизонтов в одновременной отработке.

, (3.25)
где L - длина залежи по простиранию, м;

- коэффициент, учитывающий отставание процессов извлечения на нижележащем горизонте по сравнению с вышележащим

, здесь

- спряжения фронтов на смежных горизонтах, м;
B - угол сдвижения массива горных пород, град;

- ширина бермы безопасности, учитывающей возможные снижения угла B, м.
Величина

, являясь целым числом, как правило, равняется 2);
Hв - глубина вскрытия месторождения, м;
H - глубина расположения верхнего рабочего горизонта, м.
Таким образом,

;

, м2, (3.26)
где M - горизонтальная мощность залежи, м, (M = a).
Фронт очистной выемки при последовательно-параллельной схеме развития горных работ представляет собой диагональную линию выемочных единиц; отработка залежей производится малыми панелями (Криворожский бассейн), секциями между лежачим и висячим боками.
При последовательно-параллельной схеме и системах с донным выпуском руды площадь извлечения определяется:

, м2 (3.27)
где

- число ЭВЕ, одновременно находящихся в стадии извлечения на одном горизонте.
В период полного развития работ на горизонте:

. (3.28)
Максимальное число ЭВЕ на всех действующих горизонтах и площадь извлечения, при

, определяемом также по
формуле (3.25):

; (3.29)

, (3.30)
здесь

, как правило, равно 4.
При последовательно-параллельной схеме и варианте системы с торцевым выпуском руды:

, м2. (3.31)
В период полного развития работ на горизонте:
при штрековой подготовке

, (3.32)
при ортовой подготовке

, (3.33)
где

- величина опережения между смежными обрушенными слоями руды в плане, м.
Максимально возможное число ЭВЕ на всех горизонтах (подэтажах):
при штрековой подготовке и

(в соответствии с § 214 "Единых правил безопасности...", М., Недра, 1977)

, (3.34)
где

- величина опережения между смежными обрушенными слоями руды в плане, м;
при ортовой подготовке и


. (3.35)
Максимально возможная площадь извлечения:
при штрековой подготовке

, м2; (3.36)
при ортовой подготовке

, м2. (3.37)
Величина рабочей площади месторождения при камерных системах разработки, предполагающих либо оставление целиков, либо погашение их во вторую стадию, оказывается зависимой прежде всего от условий безопасного ведения горных работ (§ 165 и 223 "Единых правил безопасности...", М., Недра, 1977).
При камерных системах с отставанием целиков максимально возможная площадь извлечения равна эксплуатационной площади одного этажа

, что соответствует фронтальной одностадийной схеме развития горных работ:

, м2, (3.38)
где

- коэффициент камерных запасов, учитывающий снижение величины извлечения в зависимости от допустимого обнажения потолочины, параметры отбойки в камерах и числа одновременно действующих горизонтов

- см. табл. 3.1.
Таблица 3.1
Значения коэффициента камерных запасов

при различных значениях отношения M/a
┌──────────────────┬──────────────────────────────────────────────────────┐
│ M/a │ Значения k при n , равном │
│ │ з г │
│ ├─────────────┬─────────────┬─────────────┬────────────┤
│ │ 1 │ 2 │ 3 │ 4 │
├──────────────────┼─────────────┼─────────────┼─────────────┼────────────┤
│ 1 │ 0,50 │ 1 │ 1 │ 1 │
├──────────────────┼─────────────┼─────────────┼─────────────┼────────────┤
│ 2, 4, 6, ... │ 0,25 │ 0,50 │ 0,75 │ 1 │
├──────────────────┼─────────────┼─────────────┼─────────────┼────────────┤
│ 3, 5, 7, ... │ 0,30 │ 0,60 │ 0,80 │ 1 │
└──────────────────┴─────────────┴─────────────┴─────────────┴────────────┘
Максимально возможную величину площади извлечения следует также определять с учетом установленных потребностей в минеральном сырье и выделяемых ресурсов (см.
п. 3.6).
Для вариантов камерных систем с выемкой целиков массовым обрушением (при существенном отставании выемки последних) также характерно влияние этапа разработки месторождения. В общем виде площадь извлечения запасов ЭВЕ определяется:

, м2, (3.39)
где

- площадь извлечения запасов камер (определяется по
формуле (3.38), м2;

- площадь извлечения запасов целиков, м2.
Обрушаемые целики находятся в той части эксплуатационной площади, где камеры уже отработаны. Тогда

, м2, (3.40)
где

- часть эксплуатационной площади верхнего этажа, на которой извлекаются или будут извлекаться запасы камер, м2;

- часть эксплуатационной площади рассматриваемого этажа, целики на которой не извлекаются по условиям безопасности, м2;

- коэффициент, учитывающий возможную степень использования оставшейся части эксплуатационной площади залежи, зависящую от порядка отработки целиков.
При отработке верхних горизонтов величина коэффициента

определяется в соответствии с
табл. 3.1 (коэффициент

, колонка 3). При отработке нижних горизонтов оценка величины коэффициента

производится в соответствии с формулами (
3.24 -
3.26) для фронтальной одностадийной схемы развития горных работ.
При последовательном обрушении целиков вслед за выемкой запасов камер расчет площади аналогичен изложенному для систем с обрушением при последовательно-параллельной схеме развития горных работ (
формулы 3.27 -
3.30).
При отработке горизонтальных и пологопадающих залежей протяженность фронта работ

, необходимого для своевременного ввода в эксплуатацию мощностей взамен выбывающих, определяется:

, при условии

, (3.41)
где

- число одновременно отрабатываемых выемочных участков (панелей) в одном ряду;

- продолжительность периода извлечения запасов панели, сут;

- длина панели (по ширине шахтного поля), м;

- продолжительность цикла по выемке запасов ЭВЕ, сут;

- ширина ЭВЕ (подвигание очистного забоя за цикл), м;

- продолжительность периода воспроизводства запасов панели (см.
формулу 3.16), сут;

- число рядов панелей, в которых одновременно ведутся очистные работы;

- длина шахтного поля, м;
l - ширина панели (длина ЭВЕ), м.
При оценке горных возможностей рудников, разрабатывающих пологопадающие месторождения, следует учитывать также добычу из подготовительно-нарезных забоев, которая в ряде случаев достигает значительных величин (до 20 - 25% от добычи руды из очистных забоев), путем введения коэффициента

в
формулу (3.1) в качестве одного из сомножителей

.
3.3.4. Особенности оценки горных возможностей рудников,
разрабатывающих месторождения системами с закладкой
выработанного пространства
При определении длительности производственного цикла

,
формула (3.4), по выемке запасов ЭВЕ камерными системами с закладкой следует учитывать, что величина

не изменяется, а величина

возрастает ввиду включения закладочных работ в производственный процесс добычи руды. Тогда в
формулу (3.9) в качестве слагаемого следует ввести величину

- продолжительность воздействия изолирующих перемычек, возведения закладочного массива и твердения закладочной смеси до необходимой, для начала очистных работ в смежных камерах, прочности, сут.
Производственный цикл по выемке запасов ЭВЕ слоевыми системами с закладкой имеет иную структуру. В процессы производства включаются лишь работы по возведению перемычек и закладочного массива, а также процесс твердения закладочной смеси. Процессы извлечения включают обуривание запасов, заряжание-взрывание скважин (шпуров), оборку кровли и погрузку-доставку отбитой рудной массы.
В общем виде максимальная величина площади извлечения при использовании камерных систем с закладкой определяется:

, м2, (3.42)
где

- возможное по условиям вскрытия число горизонтов (этажей) в одновременной отработке (определяется в соответствии с правой частью
формулы (3.25);

- число одновременно отрабатываемых горизонтов (этажей), при котором их суммарная площадь извлечения равна эксплуатационной площади

одного этажа.

, (3.43)
где

- число очередей отработки камер;
g - коэффициент, учитывающий соотношение периодов извлечения запасов камеры

и закладки и твердения смеси

- см. табл. 3.2;
Z - величина, характеризующая одновременность отработки камер первой очереди на этаже (при одновременной отработке на этаже всех камер первой очереди Z = 0; при последовательной - со смещением во времени, например, по фактору подготовки,

(здесь

- промежуток времени между началом отработки камер одной очереди в первой и последней по счету ЭВЕ на этаже, сут).
Таблица 3.2
Зависимость коэффициента g
от соотношения периодов извлечения и закладки камер
┌─────────┬─────────────────────────────────────────────────────────────────┐
│ Число │ Величина g при T /T , составляющем: │
│очередей │ ик эт │
│отработки├────────┬────────────┬────────────┬─────────┬───────────┬────────┤
│ камер │T │ T │ T │ │ T │T │
│ n │ ик │ ик │ ик │ │ ик │ ик │
│ о │--- >= 3│3 > --- >= 3│2 > --- >= 1│T = T │1 < --- < 2│--- >= 2│
│ │T │ T │ T │ ик эт│ T │T │
│ │ эт │ эт │ эт │ │ эт │ эт │
├─────────┼────────┼────────────┼────────────┼─────────┼───────────┼────────┤
│ 4 │ -3 │ -2 │ -1 │ 0 │ 1 │ 2 │
├─────────┼────────┼────────────┼────────────┼─────────┼───────────┼────────┤
│ 3 │ -2 │ -2 │ -1 │ 0 │ 1 │ 2 │
├─────────┼────────┼────────────┼────────────┼─────────┼───────────┼────────┤
│ 2 │ -1 │ -1 │ -1 │ 0 │ 1 │ 1 │
└─────────┴────────┴────────────┴────────────┴─────────┴───────────┴────────┘
Величина площади извлечения при использовании слоевых систем с закладкой определяется исключительно условиями вскрытия, то есть возможным числом этажей в одновременной отработке -

(см. первую часть
формулы (3.25)), а также возможностями своевременной подготовки выемочных блоков на этаже:

, м2. (3.44)
Объясняется это тем, что параметры ЭВЕ (ленты) даже при высоте, максимальной по фактору лучших технических параметров добычного оборудования, позволяют развить горные работы в пределах выемочного блока таким образом, что в определенный момент суммарная площадь отрабатываемых лент будет равна площади всего выемочного блока.
Величина

, определенная по формуле (3.44), - максимально возможная при вовлечении в отработку всех выемочных блоков на горизонте, что по условию своевременной их подготовки на больших площадях проблематично. В таком случае в качестве сомножителя в формуле необходимо ввести коэффициент, характеризующий отношение числа блоков, одновременно вовлекаемых в отработку по условию подготовки, к общему числу блоков на горизонте, а также производить оценку величины

с учетом ограничений на выделяемые ресурсы (см. п. 3.3.5).
3.3.5. Установление границ области рационального
использования горных возможностей рудника
Горные возможности рудника обуславливают технически достижимый в конкретных условиях предел наращивания объемов добычи руд. При этом динамика возможных объемов добычи (производительность по горным возможностям), затрат материальных и трудовых ресурсов отличается значительной изменчивостью по периодам отработки вследствие непостоянной величины фронта очистной выемки, что вызвано невыдержанными элементами залегания рудных тел.
С целью повышения эффективности подземной добычи и первичной переработки полезных ископаемых следует стремиться к обеспечению ритмичной работы рудников. В связи с этим возникает необходимость в сглаживании колеблемости технико-экономических показателей, стабилизации объемов добычи в течение длительного периода и, тем самым, в обосновании величины, до которой целесообразно увеличивать объемы добычи. Максимальная величина мощности рудника, при которой объемы добычи стабильны при принятых технологических и технических решениях и соответствующем ресурсном обеспечении (т.е. на этапе технического перевооружения), определяет верхний предел области рационального использования горных возможностей рудника.
С учетом
формулы (3.23), в
зависимостях (3.7) и
(3.8) все величины в пределах каждой i-ой технологической зоны (ТЗ) постоянны, за исключением числа ЭВЕ в стадии извлечения запасов

и коэффициента структуры рабочей площади (

, где

- число ЭВЕ в стадии воспроизводства). Непостоянная во времени величина

приводит к нестабильности показателей интенсивности эксплуатации месторождений и годовой производительности рудника, при этом запасы каждой ТЗ оказываются отработанными в различные периоды времени, что, в свою очередь, влечет за собой изменение численности рабочих забойной группы и числа комплексов оборудования определенных типов. Дифференцированное участие каждой ТЗ в общей добыче рудника позволит за счет постоянства величины

избежать скачкообразных изменений годовой добычи.
С целью стабилизации годовых объемов добычи рудника необходимо соблюдение соответствия удельного веса добычи из технологических зон объемам их извлекаемых запасов. Если

- суммарные извлекаемые запасы, то доля добычи из i-ой ТЗ составит

, причем

. Число ЭВЕ в стадии извлечения в i-ой ТЗ:

, (3.45)
где

= число ЭВЕ в стадии извлечения в основной ТЗ (первой, с максимальной величиной извлекаемых запасов

);

- доля добычи из основной ТЗ;

- производительность ЭВЕ i-ой ТЗ;

= объем ЭВЕ i-ой ТЗ.
В условиях лимитируемых трудовых и материальных ресурсов число ЭВЕ в стадии извлечения ограничивается, что может быть обобщенно выражено с помощью системы технологических и ресурсных ограничений. В связи с этим показатель

определяется исходя из следующих условий:
1) Развитие горных работ:
при эксплуатации мощных наклонных и крутопадающих залежей системами с массовым обрушением в условиях высокого горного давления фронт работ на этаже ограничивается горизонтальной мощностью залежи:

, м, (3.46)
где

- число разрезок на горизонте;
при эксплуатации горизонтальных и пологопадающих залежей возможный фронт работ оценивается в соответствии с
формулой (3.41).
2) Максимально возможная численность рабочих забойной группы (

, чел.):

, (3.47)
где

- коэффициент списочного состава;
| | ИС МЕГАНОРМ: примечание. Обозначения численности даны в соответствии с официальным текстом документа. | |

,

- численность рабочих, необходимых для обслуживания в течение смены комплексов оборудования соответственно по извлечению и воспроизводству запасов ЭВЕ i-ой ТЗ, чел.
3) Величина затрат на приобретение добычного оборудования (

, тыс. руб.):

, (3.48)
где

- коэффициент резерва оборудования;

,

- оптовые цены на оборудование соответственно по извлечению и воспроизводству запасов в пределах ЭВЕ i-ой ТЗ, тыс. руб.
Таким образом, исходя из формул (
3.45 - 3.48), в соответствии с технологией и ресурсным обеспечением определяется постоянное число ЭВЕ в одновременной отработке, позволяющее стабилизировать годовые объемы добычи руд на этапе технического перевооружения. Далее эта величина, определяющая производительность рудника, корректируется в соответствии с установленными потребностями в материальном сырье.
В случае использования однотипных комплексов добычного оборудования в пределах различных технологических зон допускается окончание отработки их запасов в различные периоды времени. Тогда возникает необходимость в последовательном приведении величины изменяющегося фронта очистной выемки к постоянной величине, соответствующей стабильным годовым объемам добычи по периодам реализации принимаемых технологических решений, что возможно только в результате имитационного моделирования развития работ на ЭВМ.
Установление верхнего предела области рационального использования горных возможностей рудника производится в этом случае в два этапа. На первом - по полученным планограммам годовых объемов добычи оценивается максимальное значение производительности (Amax), на втором - в пределах интервала возможных значений (O - Amax) с заданным шагом (Amax/m) выделяются несколько (m) уровней производительности рудника. Затем производится приведение (адаптация) планограмм годовых объемов добычи к каждому из выделенных уровней с оценкой продолжительности периода стабильной добычи (который не должен быть менее этапа технического перевооружения).
Адаптация производится с учетом следующих мероприятий: резервирование мощности (фронта работ) и их последующее использование на участках планограмм, не обеспечивающих требуемой производительности; перераспределение ресурсов между участками шахтного поля; корректировка границ технологических зон.
Таким образом устанавливается постоянный в течение этапа технического перевооружения подземных горных работ набор ЭВЕ (фронт работ), обуславливающий верхнюю границу области рационального использования горных возможностей рудника.
Нижняя граница области рационального использования горных возможностей определяется в соответствии с требованиями стабильности качества добываемого сырья.
Величина колебаний среднего содержания контролируемого компонента в шахтном рудопотоке

устанавливается следующим образом:

, (3.49)
где

- дисперсия качества руды в общешахтном рудопотоке;
n - число технологических зон, запасы которых находятся в одновременной очистной выемке;

- доля добычи из i-ой ТЗ;

- внутризабойная дисперсия качества руды, выдаваемой очистными забоями в i-ой ТЗ;

- коэффициент, учитывающий соотношение производительности очистных забоев в различных ТЗ (

, здесь

- производительность ЭВЕ основной ТЗ;

- производительность ЭВЕ i-ой ТЗ;

- число одновременно действующих очистных забоев в пределах ЭВЕ i-ой ТЗ;

- то же, в пределах ЭВЕ основной ТЗ);

- межзабойная дисперсия качества добываемой руды из i-ой ТЗ;

- число ЭВЕ в одновременной очистной выемке в пределах i-ой ТЗ.
Введение указанных величин в формулы по определению мощности рудника (типа

) позволяет установить ее, исходя из условий достижения необходимой (заданной,

) стабильности среднего качества добываемой руды в зависимости от горно-геологических и горнотехнических условий, как сумму горных возможностей всех забойных рудопотоков.
Таким образом, мощность рудника, обеспечивающая при выдаче на поверхность рудной массы единым потоком стандартный уровень содержания контролируемых компонентов в связи с последующей переработкой сырья, может быть определена из выражения:

, т/год, (3.50)
при условии

в течение всего периода

.
При выдаче на поверхность рудной массы несколькими (два и более) потоками определяется величина

по каждому из них с последующим суммированием.
Соответствующая установленному значению

величина

сравнивается с

. Если

, то рассматриваемый вариант производственной мощности рудника обеспечивает необходимый уровень стабильности качества добываемой руды. Мощность рудника, при котором

, является нижней границей в ряду целесообразных в рассматриваемом отношении производственных мощностей.
Следует особо отметить, что для каждого типа месторождений по степени природной изменчивости контролируемых компонентов, при определенной технологии и уровне технической вооруженности, существует определенная минимально целесообразная производственная мощность рудника по условию необходимой (заданной) стабильности качества выдаваемой руды.
При условии

, что наиболее часто встречается в практике эксплуатации месторождений, необходимо устанавливать такую мощность рудника, при которой удовлетворяются заданные стандарты отклонений качества выдаваемой руды, намечать и оценивать возможный комплекс мероприятий, обеспечивающих это условие. Для достижения заданных стандартов отклонений качества руды, выдаваемой из шахты единым потоком, необходимо достаточно большое число действующих и резервных очистных забоев. Поэтому, наряду с экономическим выигрышем у рудоподготавливающих и перерабатывающих предприятий, должны рассматриваться как сама технологическая целесообразность такого расширения фронта работ, так и его экономические последствия. Это же относится к случаю, когда нижняя граница области рационального использования горных возможностей, в связи с крайне неравномерной степенью природной изменчивости содержания полезных компонентов, оказывается выше ее верхней границы.
Таким образом, для введения в оптимизационные расчеты основных параметров рудника установлена необходимость и дана методика обоснования границ области рационального использования горных возможностей, обеспечивающая соблюдение требований стабильности объемных и качественных показателей добываемого сырья.
3.3.6. Определение оптимальной
производственной мощности рудника
Существует два подхода к оптимизации мощности горного предприятия: индивидуальный, предусматривающий определение оптимальной производительности отдельно взятого объекта, и региональный, предусматривающий выбор масштабов предприятия с учетом обеспечения рациональных условий освоения минерально-сырьевых ресурсов соответствующего региона. При этом следует учитывать, что наилучшая экономика для предприятия с более широких позиций может и не быть оптимальной.
Оптимальное значение производственной мощности отдельно взятого рудника определяется на основании сравнительной экономической оценки различных вариантов в пределах установленной области рационального использования горных возможностей.
Сопоставление технически возможных вариантов и выбор из них наивыгоднейшего базируется на показателях сравнительной экономической эффективности, после чего выбранный вариант оценивается на основе показателей общей (абсолютной) экономической эффективности. Наивыгоднейший вариант может быть принят к реализации, если он удовлетворяет требованиям, предъявляемым к показателям общей эффективности. В противном случае следует предпринять поиск дополнительных возможностей ее повышения. При невозможности полного удовлетворения требований показателя общей эффективности следует или вообще отказаться от создания объекта, или принять к осуществлению наилучший из рассмотренных вариантов с соответствующим обоснованием принимаемого решения.
Выбор критерия оценки экономической эффективности вариантов зависит от особенностей конкретного объекта проектирования, предопределяющих свойства соответствующей оптимизационной задачи. В зависимости от этого могут быть выбраны или сравнительно простые статические критерии, или более сложные - динамические.
Для решения задач со слабо выраженными динамическими свойствами может быть принят статический критерий приведенных затрат, рекомендуемый Типовой методикой определения экономической эффективности капитальных вложений. Этот критерий может применяться при рассмотрении вариантов, характеризующихся сравнительно непродолжительными сроками строительства и освоения мощности, а также относительной стабильностью объемов, качества и себестоимости продукции по годам эксплуатации.
При решении оптимизационной задачи в статической постановке в качестве критерия оценки принимается показатель сравнительной эффективности - минимум приведенных затрат (годовых или удельных в расчете на единицу производимой продукции):

, (3.51)
где С - текущие издержки производства (себестоимость добычи руды или производства конечной продукции), руб./т;
К - первоначальное капитальное вложение на создание производственной мощности (без повторных затрат на поддержание выбывающих мощностей), руб./год или руб./т;
Eн - нормативный коэффициент сравнительной эффективности капитальных вложений, руб./руб. в год или 1/год.
Коэффициент Eн, характеризующий величину нормативной прибыли, получаемой с 1 руб. капитальных вложений К, принимается равным 0,15. Он регламентирует народно-хозяйственные требования к величине эффекта только дополнительных капитальных вложений, связанных с реализацией более капиталоемких вариантов. Такие варианты могут считаться эффективными, если прирост капитальных вложений на величину

обеспечивает снижение себестоимости не менее чем на величину

. Капитальные вложения, связанные с простым воспроизводством, нормативным коэффициентом Eн не регламентируются.
Если варианты различаются продолжительностью строительства или распределением капитальных вложений по годам строительства, необходимо учесть влияние фактора времени на эффективность рассматриваемых вариантов и обеспечить соизмеримость разновременных затрат. С этой целью капитальные вложения разных лет приводятся к единому моменту оценки, который может быть приурочен или к началу строительства объекта, или к первому году его нормальной эксплуатации.
Если капитальные вложения будущих лет приводятся к предшествующему моменту времени, например, к началу строительства объекта, то коэффициент приведения имеет следующий вид:

,
где

- норматив для приведения разновременных затрат (норматив дисконтирования);
t - период времени приведения, годы.
Однако, в случае приведения капитальных вложений к началу строительства, в расчетах не получат отражения возможные различия вариантов в сроках освоения проектных показателей.
Следует отметить, что первое слагаемое приведенных затрат, участвующее в формуле в неприведенном виде, отражает текущие издержки производства в первом году нормальной эксплуатации объектов.
Поэтому наиболее целесообразно приводить разновременные капитальные затраты к началу нормальной эксплуатации предприятия, т.е. к первому году его работы с запроектированными показателями.
В этом случае капитальные вложения каждого предшествующего года пересчитываются с помощью коэффициента, приобретающего следующий вид:

.
Расчеты годовых (или удельных) капитальных затрат выполняются по формуле:

. (3.52)
Рекомендуемая Типовой методикой величина норматива приведения (дисконтирования) разновременных затрат

представляется явно завышенной, поскольку не соответствует темпам прироста производительности общественного труда на современном этапе.
В связи с этим в проектных расчетах следует ориентироваться на величину норматива дисконтирования 0,04, рекомендуемую Научным советом АН СССР по проблеме "Экономическая эффективность основных фондов капитальных вложений и новой техники".
В табл. 3.3 приводятся значения коэффициентов

и обратных им коэффициентов

при нормативах дисконтирования, равных 0,08 и 0,04.
Таблица 3.3
Численные значения коэффициентов приведения
при различных нормативах дисконтирования
┌────┬────────────────────────────────────────────────────────────────────┐
│Годы│ Коэффициенты приведения │
│ ├──────────────────────────────────┬─────────────────────────────────┤
│ │ t - 1 │ 1 1 │
│ │ бета = (1 + E ) │ ----- = --------------- │
│ │ t нп │ бета t - 1 │
│ │ │ t (1 + E ) │
│ │ │ нп │
│ ├──────────────────────────────────┼─────────────────────────────────┤
│ │ при нормативе дисконтирования │ при нормативе дисконтирования │
│ ├────────────────┬─────────────────┼────────────────┬────────────────┤
│ │ 0,08 │ 0,04 │ 0,08 │ 0,04 │
├────┼────────────────┼─────────────────┼────────────────┼────────────────┤
│ 1 │ 1,000 │ 1,000 │ 1,000 │ 1,000 │
├────┼────────────────┼─────────────────┼────────────────┼────────────────┤
│ 2 │ 1,0800 │ 1,0400 │ 0,9259 │ 0,9615 │
├────┼────────────────┼─────────────────┼────────────────┼────────────────┤
│ 3 │ 1,1664 │ 1,0816 │ 0,8573 │ 0,9246 │
├────┼────────────────┼─────────────────┼────────────────┼────────────────┤
│ 4 │ 1,2597 │ 1,1249 │ 0,7938 │ 0,8890 │
├────┼────────────────┼─────────────────┼────────────────┼────────────────┤
│ 5 │ 1,3605 │ 1,1699 │ 0,7350 │ 0,8548 │
├────┼────────────────┼─────────────────┼────────────────┼────────────────┤
│ 6 │ 1,4693 │ 1,2167 │ 0,6806 │ 0,8219 │
├────┼────────────────┼─────────────────┼────────────────┼────────────────┤
│ 7 │ 1,5869 │ 1,2653 │ 0,6302 │ 0,7903 │
├────┼────────────────┼─────────────────┼────────────────┼────────────────┤
│ 8 │ 1,7138 │ 1,3159 │ 0,5835 │ 0,7599 │
├────┼────────────────┼─────────────────┼────────────────┼────────────────┤
│ 9 │ 1,8509 │ 1,3686 │ 0,5403 │ 0,73067 │
├────┼────────────────┼─────────────────┼────────────────┼────────────────┤
│ 10 │ 1,9990 │ 1,4233 │ 0,5003 │ 0,7026 │
├────┼────────────────┼─────────────────┼────────────────┼────────────────┤
│ 11 │ 2,1589 │ 1,4802 │ 0,4632 │ 0,6756 │
├────┼────────────────┼─────────────────┼────────────────┼────────────────┤
│ 12 │ 2,3316 │ 1,5395 │ 0,4289 │ 0,6496 │
├────┼────────────────┼─────────────────┼────────────────┼────────────────┤
│ 13 │ 2,5182 │ 1,6010 │ 0,3971 │ 0,6246 │
├────┼────────────────┼─────────────────┼────────────────┼────────────────┤
│ 14 │ 2,7196 │ 1,6651 │ 0,3677 │ 0,6006 │
├────┼────────────────┼─────────────────┼────────────────┼────────────────┤
│ 15 │ 2,9372 │ 1,7317 │ 0,3405 │ 0,5775 │
├────┼────────────────┼─────────────────┼────────────────┼────────────────┤
│ 16 │ 3,1722 │ 1,8009 │ 0,3152 │ 0,5553 │
├────┼────────────────┼─────────────────┼────────────────┼────────────────┤
│ 17 │ 3,4259 │ 1,8730 │ 0,2919 │ 0,5339 │
├────┼────────────────┼─────────────────┼────────────────┼────────────────┤
│ 18 │ 3,7000 │ 1,9479 │ 0,2703 │ 0,5134 │
├────┼────────────────┼─────────────────┼────────────────┼────────────────┤
│ 19 │ 3,9960 │ 2,0258 │ 0,2502 │ 0,4936 │
├────┼────────────────┼─────────────────┼────────────────┼────────────────┤
│ 20 │ 4,3157 │ 2,1068 │ 0,2317 │ 0,4746 │
└────┴────────────────┴─────────────────┴────────────────┴────────────────┘
Обязательным условием сравнительной экономической оценки вариантов, различающихся объемами и сроками выпуска продукции, является их предварительное выравнивание по этим параметрам. Сопоставимость вариантов с различной проектной мощностью и объемами добычи по годам рассматриваемого периода достигается посредством учета компенсирующей добычи, выравнивающей объемы добываемой руды по вариантам до некоторого заданного и одинакового для всех вариантов уровня в продукции. При выполнении соответствующих расчетов к показателям варианта с меньшим объемом производства подключается дополнительный источник продукции, получаемой извне по отношению к непосредственно рассматриваемому объекту.
В большинстве случаев требуемый объем компенсации будет составлять часть производственной мощности компенсирующего объекта. В некоторых случаях процедура компенсации может быть осуществлена путем подключения продукции двух или нескольких компенсирующих источников.
Компенсирующие источники недостающей продукции подключаются к рассматриваемым вариантам с затратами, свойственными этим источникам. В случае невозможности выбора конкретного источника компенсации из числа действующих в регионе объектов затраты на получение недостающего объема продукции следует принимать на уровне возможных затрат по объектам, предусмотренным к созданию в данном регионе Генсхемой развития отрасли.
При неясности выбора конкретного источника недостающей продукции компенсирующие затраты могут приниматься на уровне замыкающих затрат, установленных для соответствующего региона.
В необходимых случаях в состав компенсирующих затрат должны включаться транспортные расходы на перевозку недостающих объемов продукции.
При оценке сравнительной эффективности вариантов критерий приведенных затрат по варианту с меньшим объемом продукции приобретает следующий вид:

, руб., (3.53)
где

- себестоимость единицы продукции по варианту, подлежащему компенсации, руб./т;

и

- соответственно годовая производительность по вариантам с меньшим и большим объемами производства (разность

характеризует годовой объем продукции, необходимый для компенсации варианта с меньшим объемом производства), т/год;

и

- соответственно себестоимость единицы продукции и удельные капитальные вложения на компенсирующем предприятии, руб./т;

и

- капитальные вложения по рассматриваемым вариантам с меньшим и большим объемами производства, руб.
При определении оптимальной производительности отдельно взятого рудника могут возникнуть трудности, связанные с выбором компенсирующих объектов, расчетом конкретного уровня компенсирующих затрат и их лага. При этом нет достаточных гарантий того, что выбранный вариант компенсации является целесообразным из всех возможных.
При статической постановке оптимизационной задачи процедура компенсации весьма несовершенна, поскольку не обеспечивает возможность конкретного учета, когда и на какой срок возникает потребность в компенсации по тому или иному варианту. В частности, при статическом подходе к решению задачи вообще невозможно учесть такие ситуации, когда один из вариантов дает вначале меньше, а в последующем больше продукции, чем второй. Такие ситуации, когда вначале требует компенсации один вариант, а затем второй, могут иметь место при сравнении варианта одновременного ввода рудника на полную мощность с вариантом ввода его несколькими очередями.
В целом изложенный статический метод оптимизации производственной мощности рудника является весьма упрощенным и может применяться только в частных случаях, характеризующихся сравнительно короткими сроками создания объекта и освоения проектных параметров, одновременностью капитальных вложений, стабильностью эксплуатационных затрат, а также показателей полноты и качества использования недр.
Обоснованность выбора рационального значения производственной мощности проектируемого объекта зависит, во-первых, от того, на основании каких требований оценивается его возможная эффективность, во-вторых, от того, насколько объективно принятый критерий оценки отражает эти требования, а также условия создания и функционирования объекта. Что касается критерия приведенных затрат, то он далеко не в полной мере отражает народно-хозяйственную эффективность инвестиционных мероприятий, поскольку характеризует лишь одну сторону их осуществления - ресурсоемкость.
Рекомендуемый Типовой методикой и соответствующими отраслевыми инструкциями подход к оценке эффективности проектных решений не отражает особенности создания и функционирования горного предприятия. При существующей трактовке метода оценки не учитывается полнота использования недр, качество и ценность получаемой продукции, необходимость периодического воспроизводства выбывающих мощностей, а также высокая динамичность технико-экономических показателей, свойственная объектам горного производства.
При сопоставлении проектных вариантов, характеризующихся высокой динамичностью технико-экономических показателей, должны применяться динамические методы оценки эффективности и соответствующие им интегральные критерии. Эти методы рекомендуется применять при значительных различиях в динамике капитальных и эксплуатационных затрат по вариантам, при сравнении вариантов с неодинаковой очередностью строительства, разной продолжительностью строительства и освоения проектных показателей, различной последовательностью ввода в эксплуатацию участков разнокачественных руд и т.д.
В отличие от статических критериев, расчет которых приурочен к определенному году, интегральные критерии предусматривают оценку эффективности вариантов применительно к достаточно длительному периоду их осуществления и рассчитываются нарастающим итогом по всем годам этого периода. Структура критерия позволяет учесть по каждому из сравниваемых вариантов все ожидаемые изменения технико-экономических показателей во времени, включая динамику объемов добычи руды, капитальных и эксплуатационных затрат, прибыли.
В каждом году рассматриваемого периода капитальные вложения отражаются в их действительном виде. Поэтому во избежание повторного счета себестоимость в интегральных критериях должна приниматься за вычетом амортизационных отчислений.
Интегральные критерии могут применяться в двух модификациях - в виде критерия эффекта и критерия затрат. Наиболее универсальным является интегральный критерий эффекта, который позволяет всесторонне оценивать варианты, в том числе и различающиеся ценностью и качеством продукции.
Интегральный критерий эффекта рассчитывается по формулам:

(3.54)
или

, (3.55)
| | ИС МЕГАНОРМ: примечание. Обозначение ценности продукции дано в соответствии с официальным текстом документа. | |
где

- ценность продукции, производимой в t-ом году периода оценки T (в оптовых ценах с учетом скидок и надбавок за качество), руб.;

- капитальные вложения в t-ом году, руб.;

- годовые затраты по себестоимости в t-ом году, руб.;

- амортизационные отчисления на реновацию в t-ом году, руб.;

- прибыль, получаемая в t-ом году, руб.;
Pt - коэффициент разновременных затрат и эффектов.
Как следует из
формулы (3.55), интегральный эффект представляет собой сумму прибыли и амортизационных отчислений на реновацию за вычетом капитальных вложений за период оценки T. К настоящему времени обоснованы динамические методы, предусматривающие учет экономических последствий, связанных с различиями в дальнейшем использовании и кругообороте в народном хозяйстве двух видов притока средств - прибыли и амортизации. Однако на данном этапе, учитывая сложность практической реализации этого метода в полном объеме, целесообразно ограничиться использованием его упрощенной интерпретации, изложенной выше.
В тех случаях, когда варианты несущественно различаются по качеству и ценности продукции, а также показателям полноты использования недр, их сравнительная экономическая оценка может осуществляться по интегральному критерию затрат, который рассчитывается по формуле:

. (3.56)
При динамическом подходе оценка эффективности вариантов непосредственно зависит от длительности принятого периода учета затрат и результатов. При выборе слишком короткого периода не удается объективно оценить тот эффект, ради получения которого создается предприятие. После достижения объектом проектного уровня технико-экономических показателей все большую роль в составе критерия оценки будет играть эффект, накапливаемый с каждым последующим годом нормальной эксплуатации. Поэтому, чем продолжительнее период оценки, тем более эффективным представляется рассматриваемый вариант. Однако это еще не означает, что период оценки должен охватывать весь срок накопления эффекта вплоть до полной отработки месторождения. При выборе чрезмерно продолжительного периода резко снижается достоверность исходных данных оценки и ее результатов.
В общем случае продолжительность периода оценки должна выбираться с тем расчетом, чтобы гарантировать выявление эффективности варианта при сохранении достаточной достоверности прогноза динамики затрат и эффектов. Период оценки должен включать нормативные сроки строительства объекта и освоения проектных показателей, а также отрезок времени нормальной эксплуатации (как правило, до момента осуществления первого цикла воспроизводства мощности). В зависимости от масштабов проектируемого объекта продолжительность периода оценки должна выбираться в пределах 12 - 15 лет, а для наиболее крупных объектов с длительными сроками создания - до 20 лет.
Длительность периода оценки должна приниматься для всех сравниваемых вариантов, поскольку в противном случае они становятся несопоставимыми по этому признаку.
При динамическом подходе к оценке эффективности наиболее целесообразно приводить разновременные затраты и эффекты к первому году капитальных вложений на создание объекта. В связи с этим соответствующие экономические показатели каждого последующего года должны быть приведены к началу строительства с помощью коэффициента

, значения которого принимаются по
табл. 3.4.
В соответствии с общими принципами сравнительной оценки эффективности рассматриваемые варианты должны быть также приведены к сопоставимому виду по объемам производства. При динамическом подходе выравнивание объемов продукции по сравниваемым вариантам осуществляется путем подключения недостающих объемов и затрат на их получение в каждом t-ом году периода оценки.
Капитальные вложения

, эксплуатационные расходы

, реновационные притоки

и прибыль

по вариантам рассчитывается с учетом соответствующих показателей по компенсирующим источникам.
При приведении вариантов в сопоставимый вид капитальные вложения рассчитываются:

, руб., (3.57)
где

- капитальные вложения по рассматриваемому варианту в t-ом году периода оценки, руб.;

- капитальные затраты на компенсирующем объекте в t-ом году (вводятся с учетом среднеотраслевого лага), руб.;

- коэффициент учета факторов времени для капитальных затрат.
Эксплуатационные расходы:

, руб., (3.58)
где

- эксплуатационные расходы по рассматриваемому варианту в t-ом году, руб.;

- себестоимость добычи на компенсирующем объекте в t-ом году, руб./т;

- объем компенсирующей продукции в t-ом году, т.
Амортизационные отчисления на реновацию:

, руб., (3.59)
где

- приток амортизационных отчислений на реновацию по рассматриваемому варианту в t-ом году, руб.;

- удельные амортизационные отчисления на реновацию на компенсирующем объекте в t-ом году, руб./т.
Стоимость годового выпуска продукции:

, руб., (3.60)
где Ц,

- соответственно оптовые цены продукции (с учетом скидок и надбавок за качество) рассматриваемого предприятия и компенсирующего объекта, руб./т;

- объем производства по рассматриваемому варианту в t-ом году, т.
Годовая прибыль:

, руб., (3.61)
или

, руб. (3.62)
При проектировании реконструкции или технического перевооружения горного предприятия выбор оптимальной производственной мощности имеет свои особенности в зависимости от тех целей, которые преследуют соответствующие мероприятия. Во многих случаях реконструкция горного предприятия преследует сразу несколько целей, одна из которых является основной, а остальные достигаются попутно.
Содержащаяся в Типовой методике рекомендация, согласно которой эффективность реконструкции должна определяться путем сопоставления показателей реконструируемого объекта с показателями объекта-новостройки, правомерна только в том случае, когда целью реконструкции является увеличение объемов производства.
Объективная оценка эффективности реконструкции становится возможной только при динамической постановке задачи, поскольку условия производства и технико-экономические показатели рудника в ходе проведения реконструкции и последующей эксплуатации изменяются.
При этом для сравниваемых вариантов реконструкции обычно характерны различия в динамике технико-экономических показателей, сроках осуществления и темпах освоения проектных показателей.
В тех случаях, когда основной целью является наращивание объемов производства, процедура выбора наиболее эффективного варианта реконструкции сводится к формированию и сравнительной экономической оценке нескольких технически возможных вариантов, отличающихся величиной производственной мощности после реконструкции. По каждому из вариантов рассчитываются потребные капитальные вложения, определяются сроки их осуществления, обосновывается динамика затрат и эффектов в пределах периода оценки. Наивыгоднейшее значение производственной мощности соответствует максимальной величине суммарного дисконтированного эффекта, достигаемого за период оценки.
Продолжительность периода сравнительной оценки вариантов должна включать сроки реконструкции и освоения проектных показателей, а также период времени после освоения, достаточный для того, чтобы на эффективности капитальных вложений смогло сказываться влияние уже освоенных показателей. Как правило, следует ориентироваться на общую продолжительность периода оценки порядка 10 - 15 лет.
Рассматриваемые варианты должны быть предварительно приведены к сопоставимому виду в соответствии с изложенными выше общими принципами компенсации.
В необходимых случаях в критериях оценки должен учитываться ущерб от снижения объемов производства в период проведения реконструкции. Такой учет необходим при существенных различиях сравниваемых вариантов по данному признаку.
В ряде случаев основной целью реконструкции является предотвращение прогрессирующего ухудшения экономических показателей действующего рудника, вызванного "старением" его технологической схемы и возникновением диспропорций между звеньями.
Следует считать ошибочным представление о том, что реконструкция обязательно должна обеспечить улучшение экономических показателей по сравнению с уровнем до ее проведения.
Эффективность реконструкции следует оценивать не простым сравнением экономических показателей до и после ее осуществления, а сопоставлением динамических рядов показателей (за достаточно длительный период) в случае проведения реконструкции и при отказе от нее.
Базовым вариантом при решении вопроса о целесообразности реконструкции и выборе ее наиболее эффективного варианта является продолжение эксплуатации предприятия в неизменном виде. Формирование базового варианта сводится к прогнозу динамики технико-экономических показателей предприятия в случае отказа от его реконструкции. Оптимальный вариант реконструкции выбирается на основе попарного сравнения с базовым вариантом каждого из возможных вариантов, различающихся величиной капитальных вложений, сроками их осуществления и характером распределения во времени, динамикой эксплуатационных затрат и амортизационных притоков, а также значениями производственной мощности.
Вопрос о выборе рациональной производственной мощности реконструируемого объекта, независимо от целей намечаемой реконструкции, остается неотъемлемой составной частью комплексной оптимизационной задачи, связанной с обоснованием наиболее эффективного варианта реконструкции.
Оценка сравнительной эффективности вариантов реконструкции, в том числе имеющей целью предотвращение ухудшения экономических показателей, осуществляется на основе приведенных выше интегральных критериев
(3.54) или
(3.56).
В соответствии с современными требованиями при проектировании горных предприятий должны учитываться возможные экологические последствия, связанные с реализацией проектных решений. Ущерб, наносимый окружающей среде и народному хозяйству при создании и последующем функционировании подземного рудника, связан в основном с отчуждением продуктивных земель для размещения производственных и других объектов, а также с нарушением земной поверхности в результате ведения горных работ.
При обосновании оптимальной производственной мощности рудника каждый из рассматриваемых вариантов должен быть проанализирован не только с экономической, но и с экологической точки зрения. Варианты, различающиеся масштабами возможного ущерба, не могут непосредственно сравниваться по экономическим критериям и должны быть предварительно приведены к сопоставимому виду по экологическим признакам. С этой целью в структуре критерия оценки наряду с прямыми затратами по реализации проектных решений должны быть учтены и дополнительные затраты, связанные с предупреждением, устранением или компенсацией возможного экологического ущерба.
В соответствии с требованиями действующего законодательства при создании промышленных объектов должен быть в полном объеме возмещен ущерб, связанный с отчуждением и нарушением сельскохозяйственных земель и других природных ресурсов. Этот ущерб измеряется капитальными и эксплуатационными затратами, потребными для освоения новых земель взамен выбывающих, и определяется в соответствии с нормативами стоимости 1 га земли, директивно установленными для различных районов страны.
В общем случае с увеличением производительности подземного рудника удельная величина компенсации за отчуждение территории (в расчете на единицу добычи) существенно снижается, что в известной степени стимулирует выбор большего значения производственной мощности.
Включение в расчеты по сравнительной оценке возможных экологических последствий реализации проектных решений в ряде случаев может изменить представление об их эффективности и предопределить выбор вариантов, хотя и более дорогих, но зато менее экологически опасных. В частности, при учете ущерба, связанного с нарушением земной поверхности, может оказаться целесообразным отдать предпочтение менее производительным и сравнительно дорогим вариантам разработки, предусматривающим закладку выработанного пространства.
Экономическая целесообразность природоохранных затрат или выбора ресурсоемких проектных решений определяется из условия, что дополнительные затраты не должны превышать величины предотвращаемого ущерба. При равных или близких значениях критериальной оценки предпочтение, как правило, должно быть отдано варианту, характеризующемуся меньшей величиной экологического ущерба.
В соответствии с современными представлениями, рассмотренная процедура индивидуальной оптимизации производственной мощности рудника не гарантирует выбор действительно наилучшего решения. Установленная таким способом величина производственной мощности рудника, как правило, не будет совпадать с тем значением, которое отвечает условиям наиболее рационального функционирования некоторой совокупности рудников. Объективно оценить степень оптимальности параметров проектируемого объекта можно лишь на основе их рассмотрения в рамках соответствующей совокупности объектов аналогичного назначения.
Оптимизация производственной мощности рудника должна осуществляться с учетом его места и роли в системе освоения минерально-сырьевых ресурсов определенной территории (горно-промышленного региона). Региональный подход обеспечивает возможность рассмотрения проектируемого предприятия и выбора его параметров в увязке с действующими объектами и теми, которые могут быть созданы в данном регионе в будущем. Это позволяет учитывать, с одной стороны, требования по рациональному освоению недр соответствующей территории, с другой стороны, - требования по наиболее целесообразному распределению и эффективному использованию в масштабе региона всех видов ресурсов, задействованных в процессе освоения. Основой для решений оптимизационных задач в такой постановке являются отраслевые и региональные схемы развития и размещения производства.
Вопрос о рациональном распределении объемов производства в пределах некоторой условно замкнутой совокупности объектов общего функционального назначения возникает в задачах различного иерархического уровня.
Наиболее широкая постановка соответствующей оптимизационной задачи имеет место при разработке перспективных схем развития и размещения предприятий отрасли и крупных производственных объединений. В этих случаях задача установления рациональных производственных мощностей предприятий решается в общем контексте оптимизационных проблем и сводится к обоснованию такого распределения объемов добычи между объектами, при котором заданная потребность в продукции удовлетворяется наилучшим способом, т.е. при наиболее эффективном использовании выделенных ресурсов. Такого рода оптимизационные задачи решаются с помощью ЭВМ по стандартным программам симплекс-метода линейного программирования.
При проектировании крупного предприятия, объединяющего несколько рудников, возникает задача определения оптимальной производственной мощности каждого из объектов. Процедура решения оптимизационной задачи предусматривает разработку по каждому из объектов нескольких альтернативных вариантов (шахтовариантов) его создания и развития в течение принятого периода оценки. Для каждого объекта количество и характер вариантов определяются предварительными инженерными соображениями технической осуществимости и целесообразности. По каждому из шахтовариантов рассчитываются основные технико-экономические показатели за период оценки, продолжительность которого не должна превышать 20 лет.
Сформированные по каждому руднику варианты, как правило, будут различаться не только масштабами добычи, но и объемами потребных капитальных вложений, сроками их осуществления и характером распределения во времени, уровнем и динамикой эксплуатационных затрат, амортизационных отчислений, а в конечном счете - суммарной величиной эффекта, который может быть получен за период оценки. К дальнейшему рассмотрению принимаются не только лучшие по каждому руднику варианты, а все отобранные варианты независимо от их предварительной индивидуальной оценки.
Оптимизационная экономико-математическая модель выражается следующей целевой функцией:

, (3.63)
где

- суммарный дисконтированный эффект, достигаемый в целом по предприятию за период оценки (T, лет), руб.;
m - число рудников, входящих в состав предприятия;
n - число вариантов создания рудников;
i - индекс рудника;
j - индекс варианта создания рудника;
t - индекс года;
Ц - оптовая цена продукции i-го рудника, руб./т;
Qijt - объем производства на i-ом руднике по j-ому варианту в t-ом году, т;
Кijt - капитальные вложения на создание i-го рудника по j-ому варианту в t-ом году, руб.;
Сijt - эксплуатационные затраты на i-ом руднике по j-ому варианту в t-ом году, руб.;
Аijt - приток амортизационных отчислений на реновацию на i-ом руднике по j-му варианту в t-ом году, руб.;
xij - альтернативный коэффициент, принимающий значения 1 или 0 (1 - если на i-ом руднике принимается j-ый вариант; 0 - если вариант не принимается).
Оптимизационная задача решается при соблюдении следующих требований:
объем производства в целом по предприятиям должен быть не меньше заданного уровня Qt:

, (3.64)
общий объем капитальных вложений на создание предприятия не должен превышать выделенного лимита Кt:

. (3.65)
Оптимизационная модель позволяет выбирать рациональные значения производственной мощности отдельных объектов не с точки зрения достижения наилучших индивидуальных показателей, а с позиций обеспечения оптимальных условий создания и развития всего предприятия.
При решении задачи в рассмотренной постановке отпадает необходимость в предварительном приведении вариантов к сопоставимому виду. Эти требования автоматически реализуются в процессе самого решения, причем в каждом случае варианты компенсируются наивыгоднейшем образом.
При проектировании рудника, создаваемого позже других рудников предприятия (объединения) или данного региона, вопрос о выборе оптимальной производственной мощности нового объекта также должен решаться с учетом той роли, которую он будет играть в общем процессе удовлетворения потребности народного хозяйства в полезном ископаемом. В связи с этим наивыгоднейшая величина производственной мощности создаваемого рудника должна отвечать условиям оптимального функционирования всей совокупности рудников.
Возможные варианты создания нового рудника должны быть проанализированы в рамках оптимизационной модели совместно с фактически достигнутыми и перспективными параметрами развития ранее созданных объектов объединения (региона).
Поскольку ввод в эксплуатацию нового производственного объекта неизбежно отражается на сложившейся ситуации и перспективах развития региона, может оказаться целесообразным рассмотреть связанные с этим возможные изменения в путях дальнейшей эксплуатации каждого из ранее созданных объектов или, по крайней мере, некоторых из них. В этом случае в оптимизационных расчетах, наряду с возможными вариантами создания нового рудника, должны участвовать и все альтернативные варианты развития уже действующих рудников.
Оптимизационные расчеты выполняются с помощью приведенной выше модели
(3.63). В результате такого расчета не только определяется оптимальная производственная мощность вновь создаваемого рудника, но и осуществляется выбор наиболее целесообразных путей дальнейшего развития каждого из объектов, а также всей их совокупности.
3.4. Вскрытие и подготовка месторождений
Проектирование вскрытия и подготовки рудных залежей следует осуществлять в соответствии с нормативными требованиями, приведенными в настоящих НТП (глава 4.8).
В условиях приоритета технического перевооружения и реконструкции предприятий перед новым строительством, одним из основных направлений совершенствования подземной разработки крутопадающих и наклонных залежей следует считать их поэтапное
<*> вскрытие и разработку. Поэтапное вскрытие должно предусматривать проходку и оборудование основных рудоподъемных и вспомогательных стволов и капитальных выработок со сроком службы, равным 2 - 3 этапам или всему сроку эксплуатации месторождения. С целью предотвращения периодических коренных реконструкций рудников и связанных с ними больших капитальных вложений пропускная способность основных вскрывающих выработок должна иметь резервы, позволяющие поэтапно наращивать производственную мощность рудника (шахты).
--------------------------------
<*> Под этапом вскрытия и разработки месторождения понимается период времени, в течение которого осуществляется разработка части запасов шахтного поля на глубину, соответствующую шагу вскрытия.
Установление продолжительности каждого из этапов вскрытия и разработки месторождения, а, значит, и величины каждого шага вскрытия, должно производиться с учетом прогнозных данных о сроках проведения следующего этапа технического перевооружения подземных горных работ (пока применяемые технические средства и технологии не станут сдерживающим фактором улучшения или предотвращения ухудшения технико-экономических показателей эксплуатации месторождения).
При проектировании поэтапного вскрытия и подготовки рудных месторождений с целью усовершенствования и упрощения схем вскрытия и подготовки, уменьшения объема и стоимости проведения горнокапитальных камерных и транспортных выработок, сокращения вскрытия и подготовки, существенного снижения эксплуатационных расходов и более эффективного использования подземного транспорта, шахтного подъема и др. следует ориентироваться на применение концентрационных горизонтов с увеличенным шагом вскрытия. Перспективно увеличение до 1000 - 1600 м глубины заложения первого откаточного горизонта при вскрытии глубоко залегающих рудных тел и до 200 - 300 м - шага последующих этапов вскрытия.
При выборе рациональных схем вскрытия рудных месторождений необходимо изыскивать наиболее совершенные способы и средства транспортирования оборудования, людей, материалов и других грузов в рудник и обратно, возможности создания условий для эффективного использования оборудования, мероприятия по снижению удельного объема горнопроходческих работ, наиболее целесообразные схемы перемещения руды из очистных забоев с учетом формирования ее качественных характеристик и поточности процесса, эффективные схемы проветривания при растущей протяженности горных выработок, повышенной температуры, запыленности и загазованности рудничного воздуха, возможность создания наиболее безопасных условий ведения горных работ.
В связи с тем, что вскрытие вертикальными стволами остается преобладающим способом вскрытия рудных месторождений, при освоении залежей, залегающих на глубине до 500 - 600 м, наиболее целесообразно применение вертикального рудоподъемного ствола в сочетании с наклонным или спиральным съездом, а при больших глубинах - в сочетании с грузовым вертикальным стволом, оборудованным кабель-краном для спуска самоходного и крупногабаритного стационарного оборудования без разборки.
В определенных условиях к конкретноспособным можно отнести схемы вскрытия вертикальными скиповыми стволами и с применением конвейерного транспорта по наклонному стволу до обогатительной фабрики. Эффективность последней схемы повышается при одновременном использовании конвейерного ствола в качестве вспомогательной выработки для передвижения самоходных машин.
С помощью наклонных конвейерных стволов наиболее целесообразно вскрывать несколько эксплуатационных горизонтов при перепуске руды в дробильную установку на нижнем горизонте и далее на конвейер. Использование в наклонных стволах считается целесообразным при глубине до 300 м и значительном расстоянии транспортирования на дневной поверхности.
Схема вскрытия и подготовки шахтного поля должны быть по возможности простыми. Они должны соответствовать типоразмерам принимаемых к эксплуатации средств, механизмов и оборудования на стадиях выпуска, доставки, погрузки, транспортирования, механического дробления и выдачи руды на поверхность. Параметры - сечение, угол наклона, глубина (протяженность) основных вскрывающих выработок должны приниматься из расчета обеспечения беспрепятственного движения по ним транспортных и рудовыдачных средств. На стыках отдельных процессов добычи необходимо иметь достаточные аккумулирующие емкости, обусловливающие непрерывность (ритмичность) работы рудника.
Сечения подготовительных выработок должны приниматься исходя из условия обеспечения более полной загрузки оборудования с учетом устойчивости руд и пород, возможностей крепления, мощности рудных залежей.
Проектируемая схема вскрытия должна предусматривать технологические решения, повышающие стабильность качества добываемой руды. При валовой выемке руд необходимо предусмотреть мероприятия по их внутрирудничному усреднению, при селективной выемке - по внутрисортовому усреднению.
Следует учитывать, что большой шаг вскрытия положительно сказывается на возможности управления качеством выдаваемой руды, так как позволяет увеличивать число одновременно разрабатываемых этажей при неравномерном распределении качественных характеристик по падению. Значительная изменчивость распределения качественных характеристик по простиранию требует строительства дополнительных стволов в связи с изменением выдачи руды и усложнением проветривания большого фронта горных работ.
Проектирование выдачи нескольких сортов руды предопределяет необходимость специального рассмотрения. Один скиповой подъем выдает, как правило, один-два сорта руды, поэтому при выдаче двух или нескольких сортов рудной массы требуются отдельные скиповые подъемы, что увеличивает затраты на вскрытие, или двух-трехрукавные бункера, что усложняет конструкцию околоствольного двора. Клетевые подъемы, используемые при выдаче многосортных руд, имеют ограниченную и более низкую, по сравнению со скиповыми подъемами, производительность и требуют строительства нескольких стволов даже на рудниках среднего масштаба, особенно при значительной глубине разработки, тем не менее, для выдачи многосортных руд целесообразно применять клетевые подъемы, используемые вместе с большегрузными вагонетками при полной механизации их обмена в клети.
Проектом должно быть обосновано рациональное число рудопотоков и определена четкая специализация шахтных стволов по назначению.
3.5. Горнокапитальные работы
3.5.1. Общие положения
Проектирование подземных горных выработок ведется в соответствии с требованиями главы
СНиП II-94-80 "Подземные горные выработки", "Единых правил безопасности при разработке рудных, нерудных и россыпных месторождений подземным способом", "Единых правил безопасности при взрывных работах", "
Правил безопасности при проходке стволов шахт специальными способами" и требованиями Госгортехнадзора к проходке горных выработок в зонах, опасных по горным ударам, выбросам породы, газов, воды и плывунов.
Выбор форм и размеров поперечных сечений подземных горных выработок, а также конструкций крепи необходимо осуществлять согласно типовым сечениям выработок, утвержденным в установленном порядке. В случае отсутствия типовых сечений горных выработок форму и размеры их, а также конструкцию крепи следует определять в зависимости от горно-геологических условий, используя типовые в качестве аналога.
Сечение подземных горных выработок определяется габаритами горнопроходческого и эксплуатационного оборудования, размещаемого в выработке, с учетом нормированных зазоров и проходов, а также с учетом пропуска необходимого количества воздуха при скорости его движения согласно требованиям ЕПБ.
В случае применения металлической податливой крепи принимаемое сечение выработок должно учитывать уменьшение его в результате сдвижения пород.
3.5.2. Стволы шахт
Размеры поперечного сечения стволов определяются исходя из типа, количества и внешних размеров подъемных сосудов, поперечных сечений лестничного отделения и отделения для трубопроводов и кабелей, а также допускаемых зазоров между сосудами и крепью или армировкой согласно требованиям ЕПБ с учетом допускаемых отклонений.
Наибольшее распространение имеет армировка стволов с рамной конструкцией расстрелов. Данный тип армировки применяется в скиповых, скипово-клетевых и клетевых стволах шахт.
Армировка с консольно-распорными расстрелами рекомендуется до завершения промышленных испытаний для опытно-промышленного применения в вентиляционных и вспомогательных стволах.
Наиболее широкое распространение получило боковое двухстороннее расположение проводников относительно подъемных сосудов.
На сопряжениях стволов шахт с околоствольными дворами предусматриваются станки сопряжения, которые увязываются с армировкой ствола.
В большинстве случаев ствол в насосах крепится монолитным бетоном с оставлением временной крепи (металлические кольца с затяжкой), т.е. временная крепь не снимается.
Самая верхняя часть ствола (на глубину котлована для надшахтного здания) должна крепиться с учетом неизбежности ее разборки при строительстве надшахтного здания. С учетом этого должен возводиться и воротник ствола.
Указанные особенности необходимо учитывать на стадиях разработки проекта и рабочей документации. На стадии ТЭО затраты принимаются по аналогам.
3.5.2.1. Армировка вертикальных стволов шахт
Проектирование конструкций жестких армировок шахтных стволов должно вестись с применением научно-обоснованных методик расчета. Основными причинами возникновения в системе горизонтальных динамических нагрузок большой интенсивности являются:
регулярное раскачивание движущегося подъемного сосуда в неравномерно упругих проводниках;
строительно-монтажные несовершенства конструкции армировки и сосудов.
Расчет армировки следует производить в соответствии с "Методикой расчета жестких армировок вертикальных стволов шахт", разработанной институтом горной механики им. М.М. Федорова (1985 г. г. Донецк, утверждена Министерством угольной промышленности СССР).
Указанная методика расчета предназначена для всех видов проводников (деревянных, рельсовых, коробчатых) - двухсторонних боковых и лобовых и односторонних - при любых типах подъемных сосудов с катучими и скользящими направляющими для шахт с подъемными установками средней и большой интенсивности.
Расчет элементов армировки по методике осуществляется по трем основным видам нагрузки:
горизонтальные динамические нагрузки взаимодействия с движущимся подъемным сосудом;
вертикальные нагрузки от собственного веса конструкции армировки;
вертикальные экстренные нагрузки, возникающие при улавливании подъемного сосуда парашютами за проводники армировки.
3.5.3. Околоствольные дворы
Конфигурация (тип) и параметры околоствольного двора современной шахты имеют большое влияние на развитие горных работ в границах шахтного поля и на технико-экономические показатели подземной добычи полезного ископаемого. Определяющим фактором, влияющим на выбор типа и конструкции околоствольного двора, в основном, является назначение и оборудование ствола.
При проектировании клетевого околоствольного двора длину грузовой ветви необходимо принимать:
а) при выдаче полезного ископаемого и пустых пород - равной 1,5 полной длины состава;
б) при выполнении вспомогательных работ - равной длине одного состава.
Для сообщения между грузовой и порожняковой ветвями у ствола должна предусматриваться обходная выработка.
Длина участка от места расцепки вагонеток до ствола определяется в соответствии с принятым способом механизации обмена вагонеток в клетях, а длина порожняковой ветви - конструктивно с учетом самокатной откатки.
В пределах сопряжения клетевого ствола с околоствольным двором следует предусматривать крепление почвы выработки сборными железобетонными плитами или бетоном.
Работы по выдаче из шахты пустых пород должны быть механизированы. С этой целью на грузовой ветви перед клетью устанавливаются два толкателя для подтягивания груженого состава и заталкивания груженых вагонеток в клеть.
Груженая вагонетка, заталкиваемая в клеть толкателем, выталкивает из нее порожнюю, которая под действием собственного веса, благодаря уклону пути, по порожняковой ветви движется самокатом. На горизонтальном участке породные вагонетки формируются в состав и электровозом откатываются к месту погрузки.
Для предупреждения попадания вагонеток в ствол перед клетью устанавливаются дозирующие стопоры.
Для расчета уклонов путь самокатной откатки разбивается на характерные по коэффициенту удельного сопротивления и назначению участки (см. схему рис. 3.1).
Рис. 3.1. Схема для расчета уклонов самокатной откатки
Принимаемая скорость движения вагонеток - в пределах 0,5 - 2,0 м/с, а скорость движения вагонеток при подходе к стопорам - в пределах 0,75 - 1,0 м/с.
Удельные сопротивления всех участков рекомендуются одинаковыми, примерно:
Wmax = 0,011 и Wmin = 0,005. (3.66)
Приняв максимальную скорость в конце участка для вагонетки с плохими ходовыми качествами равной нулю, уклон на участке 1-2 определяется по формуле:

, (3.67)
где

- избыточный коэффициент (минимальный);
g = 9,81 м2/с - ускорение силы тяжести;

- длина участка в метрах.
Скорость движения вагонетки в конце участка определяется по формуле:
а) минимальная

, (3.68)
б) максимальная

, (3.69)
где

- избыточный коэффициент (максимальный).
Время прохождения вагонетки по участку 1-2 определяется по формуле:
а) для вагонетки с плохими ходовыми качествами

; (3.70)
б) для вагонетки с хорошими ходовыми качествами

. (3.71)
Потеря высоты на участке 1-2 определяется по формуле:

. (3.72)
Скорость движения вагонетки в конце участка 2-3 определяется по формулам:
а) минимальная

. (3.73)
Вагонетка с плохими ходовыми качествами остановится на участке 2-3;
б) максимальная

. (3.74)
Время прохождения вагонеток с хорошими ходовыми качествами по участку 2-3 определяется по формуле:

. (3.75)
Для того, чтобы погасить скорость движения вагонетки с хорошими качествами, участок 3-4 принимается с обратным уклоном.
Скорость вагонетки при подходе к задерживающим опорам принимается:

. (3.76)
Уклон участка определяется по формуле:

. (3.77)
Время прохождения вагонетки с хорошими ходовыми качествами по участку 3-4 определяется по формуле:

. (3.78)
Потери высоты на участке 3-4 определяются по формуле:

. (3.79)
Размеры элементов скипового околоствольного двора следует принимать по указаниям, изложенным в главе 4.12 НТП.
Все операции в околоствольном дворе по передвижению груженых и порожних составов, разгрузки вагонеток, загрузки скипов, обмену вагонеток в клетях должны быть, как правило, полностью механизированы и автоматизированы.
Для разгрузки длинномеров необходимо предусматривать лебедки с порожняковой стороны двора.
В отдельных случаях при тупиковых околоствольных дворах для уменьшения объемов горнокапитальных работ допускается установка перестановочной платформы с порожняковой стороны.
При проектировании подземных горных выработок предприятий по добыче полезных ископаемых необходимо руководствоваться "Инструкцией по безопасному ведению горных работ на рудных и нерудных месторождениях, склонных к горным ударам" (ВНИМИ, 1989). Инструкция является межотраслевой. В связи с большим разнообразием и сложностью геологических и горнотехнических условий разработки рудных и нерудных месторождений страны, инструкция должна уточняться "Указаниями по безопасному ведению горных работ на рудниках, подверженных горным ударам", разрабатываемыми для каждого месторождения с учетом его особенностей.
3.5.4. Подземный бункерный комплекс
3.5.4.1. Общие положения
Подземный бункерный комплекс представляет собой комплекс взаимосвязанных между собой горнокапитальных выработок, служащих для размещения технологического и вспомогательного оборудования и кратковременной аккумуляции полезного ископаемого с целью обеспечения бесперебойной работы рудничного транспорта и подъема руды (породы).
На выбор конструкции подземного бункерного комплекса оказывают влияние следующие факторы:
тип шахты (вертикальная или наклонная с соответствующим углом наклона ствола);
производительность шахты по руде и количество выдаваемой породы;
количество потоков руды (по качеству), выдаваемых скипами или конвейерами;
крепость и кусковатость руды;
необходимость выдачи породы скипами;
высота этажа, в котором размещается подземный бункерный комплекс;
количество одновременно разрабатываемых вышележащих этажей, с которых руда или порода перепускается непосредственно в подземный бункерный комплекс по рудоперепускам;
тип применяемых вагонеток для руды и породы;
сечение и оборудование ствола шахты;
емкость скипа и количество скипов в стволе;
срок службы подземного бункерного комплекса;
режим работы шахты;
неравномерность поступления руды в бункерный комплекс и ее выдачи;
горно-геологические условия, для которых проектируется строительство бункерного комплекса.
В общем виде необходимыми конструктивными узлами подземного бункерного комплекса являются:
комплекс выработок разгрузочного устройства, примыкающий к выработкам околоствольного двора основного горизонта (к выработкам разгрузочного устройства примыкают, при наличии, перепускники с вышележащих горизонтов);
комплекс выработок для размещения дробильных установок;
емкостные отделения (два или более для руды и породы или одно - только для руды или породы);
комплекс выработок дозаторного устройства;
комплекс выработок рудоулавливания, примыкающих, как правило, к выработкам нижележащего горизонта или к горизонту рудоуправления;
монтажные и ходовые выработки, вспомогательные камеры;
комплекс выработок для перепуска руды (породы).
В особых случаях (незначительный объем работ, стесненность условий, доработка месторождения) емкостное отделение может отсутствовать или его объем может быть минимальным, который определяется конструктивно (лотковые бункера, бункера-дозаторы и пр.). Чаще всего такие бункера могут устраиваться для породы и в некоторых других случаях, определяющихся в процессе проектирования разработки месторождения.
Общие виды наиболее характерных подземных бункерных комплексов показаны на рис. 3.2, 3.3 и 3.4.
Рис. 3.2. Подземный бункерный комплекс
шахты "Заря" ПО Кривбассруда
Рис. 3.3. Подземный бункерный комплекс
шахты "Первомайская N 1" ПО Кривбассруда
Рис. 3.4. Подземный бункерный комплекс
шахты "Центральная" ПО Кривбассруда
Выбор типа бункерного комплекса зависит от конкретных условий шахты.
В подземных бункерных комплексах, где производится двухстадийное дробление руды в дробилках щековых, а затем конусных технологическая схема отстраивается таким образом, что после щековой дробилки руда направляется на грохот, а затем надгрохотная часть руды - в конусную дробилку и в емкостную часть бункерного комплекса.
В связи с большим разнообразием условий, влияющих на конструкцию бункерного комплекса, типизация бункеров в целом является весьма трудной и даже неразрешаемой задачей. Однако, отдельные узлы бункерных комплексов могут быть типизированы, как, например, камеры разгрузочных устройств (типовые проектные решения 403-3-081.90).
С учетом конкретных горнотехнических, геологических и других условий разрабатывается технологическая и конструктивная схема общего вида подземного бункерного комплекса. Затем разрабатываются отдельные технологические узлы с размещением оборудования, его увязкой и определением необходимых размеров камер.
На основании полученных данных уточняется технологическая и конструктивная схема бункерного комплекса.
На стадии ТЭО и проектов разрабатываются только общие виды комплексов с расположением технологического оборудования.
Ввиду того, что выработки подземного комплекса имеют большие поперечные размеры, а условия строительства являются весьма сложными, располагать его необходимо, по возможности, в крепких монолитных необводненных породах с оставлением целиков породы между выработками комплекса и стволом шахты, а также другими, близко расположенными выработками. Ширина целиков между собственными выработками комплекса в нормальных условиях должна быть равной 4,5 - 6 м, а в условиях удароопасности пород - четырехкратной максимальной ширине близко расположенных выработок.
В случае невозможности исключить пересечение некоторыми выработками комплекса слабых обводненных пород необходимо применять специальные виды проходки с закреплением таких выработок железобетоном и металлом.
Все протяженные горизонтальные и наклонные выработки и камеры бункерного комплекса при возможности принимаются с коробовым сводом. Сечение емкостных отделений может быть прямоугольным или круглым. Размеры выпускных отверстий емкостных отделений принимаются не менее 1000 x 800 мм, в остальных случаях - равными утроенным размерам максимальных кусков руды.
Плоскости, интенсивно истирающиеся абразивной рудой, в разгрузочной воронке, в разгрузочных щелях под питателями и дробилкой, а также сопряжения отделений с камерами загрузочных устройств, футеруются рельсами или марганцовистой сталью квадратного сечения 100 x 100 или 150 x 150 мм (блюмсами) или другими износостойкими материалами (каменное литье и др.) независимо от крепости пород.
Проектирование и строительство подземных бункерных комплексов осуществляется в соответствии со
СНиП II-94-80 и ЕПБ.
3.5.4.2. Комплекс выработок разгрузочного устройства
Комплекс выработок разгрузочного устройства подземного бункерного комплекса включает в себя следующие выработки:
камеру опрокидывателя вагонеток;
приемную воронку;
камеру грохота и бутобоя;
камеру обеспыливающей установки;
камеру электрооборудования опрокидывателя;
котлован для размещения фундамента и привода опрокидывателя;
вертикальный лестничный ходок из камеры грохота и бутобоя в разгрузочный двор.
При дроблении руды дробилкой вместо камеры грохота и бутобоя предусматривается камера дробилки.
В зависимости от производительности шахты и количества потоков, раздельно выдаваемых на поверхность, выбирается тип опрокидывателей и их количество.
При количестве разгрузочных устройств (опрокидывателей) более одного они, как правило, размещаются в параллельных ветвях разгрузочного двора по одному или по два в каждой ветви.
В своде камеры опрокидывателя устанавливаются двутавровые балки для крепления монорельса.
Над котлованом под опрокидыватель устраивается перекрытие, рассчитанное на вес состава груженых вагонеток и электровоза.
При наличии дробилки разгрузочная воронка примыкает к камере питателя дробильной установки, а при наличии машины для дробления негабаритов - к камере бутобоя и камере передвижного загрузочного устройства емкостей части или непосредственно к емкостной части.
Комплекс выработок разгрузочного устройства оборудуется опрокидывателем вагонетки с электроприводом, грохотом, машиной для дробления негабаритов, обеспыливающей установкой, грузоподъемными средствами с механизированным приводом для монтажа и ремонта разгрузочных устройств.
Грохот устанавливается только при дроблении руды (породы) с помощью машины для дробления негабаритов.
3.5.4.3. Комплекс выработок дробильных устройств
В комплекс выработок дробильной установки входят:
камера дробилки;
камера питателя;
камера обеспыливания;
камера энергохозяйства;
камера материальной кладовой;
монтаж ходок и ходки для сообщения камер со стволом шахты и основным горизонтом.
Камеры оборудуются дробильной установкой, питателем с электроприводом, подъемным устройством для монтажа дробилки, обеспыливающей установкой.
Размещение дробильных установок в подземных выработках требует проходки камер большого сечения и сопряжено с большими техническими трудностями по доставке и монтажу оборудования. Поэтому необходимость установки дробилок должна быть весьма тщательно обоснована.
В последнее время находят распространение виброгрохот-питатели. Применение их позволяет скомпоновать комплекс дробильной установки с грузоподъемным краном выше откаточного горизонта и уменьшить капитальные и эксплуатационные затраты.
Необходимое количество дробильных установок в бункерном комплексе определяется расчетом, исходя из ожидаемой кустоватости руды и ее выхода после грохочения, неравномерности поступлений руды в течение смены и производительности дробилок.
Перед дробилками устанавливаются колосниковые грохоты с целью отсева руды с кондиционной кустоватостью. Подгрохотная часть руды поступает в аккумулирующие емкости, а надгрохотная - в дробилку.
В фундаменте под выпускным отверстием дробилки устанавливается разгрузочная щель с углом наклона днища 60°.
Боковые стенки и днище щели армируются металлом квадратного сечения или рельсами в зависимости от производительности дробилки и абразивности руды.
Крепь камеры дробильной установки (независимо от крепости окружающих пород) принимается бетонная и железобетонная толщиной 250 - 300 мм с предварительной установкой в кровле анкерной крепи с металлической сеткой. Такая мощная крепь обуславливается большими размерами и сложной конфигурацией камеры.
В отдельных случаях, при благоприятных горнопроходческих условиях, камера дробильной установки может крепиться набрызг-бетоном в сочетании с железобетонными штангами и металлической сеткой.
3.5.4.4. Аккумулирующие отделения
Созданием резервной вместимости для руды в подземном бункерном комплексе достигается нейтрализация неравномерности работы транспорта и подъема.
Учитывая высокую стоимость строительства подземных бункерных комплексов, следует ограничивать аккумулирующие отделения оптимальной для каждого конкретного случая вместимостью.
Вместимость аккумулирующего отделения для породы следует принимать не менее одного состава вагонеток, для слеживающихся руд - не более одного состава, а для неслеживающихся - не менее 20-минутной производительности скипового подъема.
Высота аккумулирующего отделения ограничивается высотой этажа, в котором оно размещается. При значительной производительности шахты (5 - 10 млн. т в год) вместимость может наращиваться за счет увеличения количества аккумулирующих ветвей комплекса или увеличения их поперечных размеров. При этом всегда учитывается количество и объем раздельно выдаваемых потоков руды и породы.
При валовой добыче и выдаче на поверхность только руды количество аккумулирующих отделений следует принимать, как правило, не менее двух с учетом необходимости периодических ремонтов комплекса. Это особенно имеет значение при большом сроке службы комплекса, превышающем 5 лет.
Как правило, каждое аккумулирующее отделение представляет собой обособленную вертикальную или наклонную выработку круглого или прямоугольного сечения. Ширина целиков между емкостными отделениями должна быть не менее 4,5 - 6,0 м в зависимости от крепости пород.
Угол наклона емкостного отделения для неслеживающихся руд и пород должен быть не менее 60°, для слеживающихся - 70°.
В трещиноватых и неустойчивых породах аккумулирующие отделения должны крепиться бетоном и армироваться износостойкими материалами.
В крепких монолитных породах средние участки аккумулирующих отделений не крепятся.
Сопряжения аккумулирующих отделений с камерами загрузочных устройств крепятся бетоном и армируются металлом квадратного сечения (блюмсами).
Для вертикальных аккумулирующих отделений наиболее целесообразна круглая форма сечения.
Для производства ремонтов в нижней их части под рамой выпускаемых течек необходимо устанавливать секторные затворы.
При двух и более аккумулирующих отделениях в бункерном комплексе они оборудуются в верхней части передвижными загрузочными устройствами (передвижными воронками, питателями, челноковыми конвейерами).
Породные бункерные комплексы, как правило, проектируются на одно аккумулирующее отделение.
3.5.4.5. Комплекс выработок загрузочного устройства
Загрузочное устройство служит для дозированной (по объему или весу) загрузки скипов.
Конструкция камер загрузочного устройства зависит в основном от вида применяемого дозатора (объемного или весового) и количества аккумулирующих отделений бункерного комплекса.
Весовые дозаторы применяются при автоматизированной схеме загрузки и подъема скипов, а объемные - при обычной, неавтоматизированной схеме.
Предпочтение отдается весовым дозаторам, т.е. автоматизированной загрузке скипов.
Камера дозатора в верхней части отделяется от ствола шахты бетонной стенкой толщиной не менее 400 мм.
Нижняя часть камеры имеет открытый проем, через который в ствол выходят устья течек дозатора. В целях безопасности проем ограждается от ствола предохранительной металлической решеткой.
По высоте камера перекрывается несколькими (2 - 3) капитальными полками для обслуживания дозаторов.
При весовом дозаторе руда из аккумулирующих отделений доставляется с помощью питателей и транспортеров, для установки которых проходится специальная камера.
Камера дозатора крепится бетоном толщиной 250 - 300 мм или набрызг-бетоном толщиной не менее 100 мм в сочетании с анкерной крепью и металлической сеткой в зависимости от конкретных горно-геологических условий.
3.5.4.6. Комплекс выработок улавливания руды (породы)
Устройство рудоулавливания служит для улавливания руды (породы), просыпавшейся при загрузке скипов из дозаторов.
Улавливающее устройство (чаша рудоулавливателя) размещается в скиповом отделении ствола шахты:
при одноканатном подъеме - непосредственно под рамой установки скипов под загрузку из дозатора;
при многоканатном подъеме - ниже петли отвеса хвостовых канатов скипового подъема.
С помощью течек руда (порода) из чаши рудоулавливателя отводится:
через наклонный восстающий (с углом наклона не менее 60°) на нижележащий горизонт;
по металлической течке (без восстающего) непосредственно на нижележащий горизонт;
через зумпф в специальный заезд на уровне выработок для чистки зумпфа.
При одноканатном скиповом подъеме, когда чаша рудоулавливателя находится на значительной высоте над уровнем нижележащего горизонта, применяется первый тип отвода уловленной руды.
Отвод руды второго типа применяется в случае, когда дозаторная камера при одноканатном или отвес хвостовых канатов при многоканатном подъеме находится в непосредственной близости над нижележащим горизонтом.
Отвод руды третьего типа применяется при многоканатных скиповых подъемах, когда чашу рудоулавливателя приходится располагать ниже петли хвостовых канатов скипов, находящихся в зумпфе ствола шахты. В этом случае целесообразно горизонтальные выработки рудоулавливателя совмещать с выработками для чистки зумпфа.
Во всех случаях на уровне горизонта рудоулавливателя необходимо устраивать заезд к выпускному отверстию рудоулавливателя с настилкой рельсового пути.
Устье рудоулавливателя (наклонного восстающего или металлической течки) оборудуется люком с односекторным затвором. Под люком постоянно находится вагонетка. В случае, когда в рудоулавливатель постоянно поступает вода, секторный затвор должен закрываться только на время замены вагонетки, т.к. аккумулировать мокрую руду в рудоулавливателе запрещается.
Если не предусматривается углубка ствола, то просыпь целесообразно сбрасывать на почву ствола с выпуском на выработку и погрузкой погрузочными или погрузочно-доставочными машинами.
Выработки рудоулавливания на сопряжениях крепятся бетоном. В остальных случаях необходимость их крепления решается в зависимости от конкретных горно-геологических условий.
3.5.4.7. Монтажные и ходовые выработки
К монтажным и ходовым выработкам относятся:
горизонтальная доставочная выработка из ствола шахты в камеру дробилки;
вертикальный ходок или лифтовый восстающий из околоствольного (разгрузочного) двора в камеры дробильного и загрузочного устройств;
горизонтальный ходок из ствола в камеру загрузочного устройства;
вертикальный ходок из разгрузочного двора в камеру бутобоя.
Горизонтальные ходки от ствола шахты в камеры подземного бункерного комплекса примыкают к клетевому отделению ствола у лобовой стороны клети.
Поперечные сечения горизонтальных выработок от ствола в камеру дробилки и дозатора рассчитываются по условию транспорта наибольших по размерам деталей дробилки, загрузочного устройства и грузоподъемных средств.
На подошве выработок настилается рельсовый путь на уровне с бетонным полом выработок.
Тип крепи выработок принимается в зависимости от крепости и устойчивости пород (монолитный бетон, набрызг-бетон, анкерная крепь) по аналогии с крепью типовых откаточных выработок. Сопряжения выработок закрепляются бетоном с предварительной установкой анкеров.
Проем на сопряжении выработки со стволом закрывается металлической стволовой дверью.
Вертикальный ходок в камеру загрузочного устройства проходится с основного горизонта до уровня подошвы камер дозатора. К ходку примыкают горизонтальные сбойки с камерой дозатора, камерой дробилки, камерой передвижного загрузочного устройства емкостных отделений (при их наличии).
Обычно вертикальный ходок принимается прямоугольного сечения, а горизонтальные сбойки имеют сводчатую форму. Сечение вертикального ходка выбирается из расчета размещения в ходке лестничного и материального отделений.
Размеры поперечного сечения материального отделения принимаются в соответствии с размерами опускаемого оборудования и материалов для производства ремонтных работ.
Материальное отделение оборудуется бадьевым подъемом с тихоходной проходческой лебедкой грузоподъемностью 5 т и перекрывается лядами на основном горизонте.
Тип крепи вертикального ходка принимается в зависимости от устойчивости пересекаемых пород по аналогии с крепью типовых вертикальных восстающих. Горизонтальные сбойки крепятся набрызг-бетоном, а в неустойчивых породах - бетоном или анкерной крепью с набрызг-бетоном.
Вертикальный ходок из разгрузочного двора в камеру бутобоя сечением 1,2 x 1,5 м оборудуется только лестничным ходом.
Для сообщения с камерой передвижного загрузочного устройства аккумулирующих отделений и доставки оборудования в эту камеру используют вертикальный ходок в камеру дозатора. С этой целью от камеры к ходку предусматривают горизонтальную сбойку.
3.5.4.8. Проветривание и обеспыливание
Подземный бункерный комплекс является одним из крупнейших очагов пылеобразования.
Наиболее интенсивное пылеобразование происходит при разгрузке вагонеток, при выпуске руды из рудоперепускников, при дроблении, при подаче руды в дозаторы и при загрузке скипов.
В зависимости от конкретных условий очистки воздуха от пыли осуществляется:
при возможности выдачи воздуха от аспирационных установок в исходящую струю - с помощью мокрых пылеуловителей (пополнение воздуха осуществляется за счет общешахтной вентиляционной струи);
при невозможности выдачи воздуха от аспирационных установок в исходящую струю - посредством рециркуляции воздуха с одноступенчатой (рукавные фильтры) или двухступенчатой (рукавные фильтры-электрофильтры, мокрые пылеуловители-электрофильтры и другие) очисткой в зависимости от запыленности воздуха и эффективности пылеочистных устройств.
Обеспыливающие устройства устанавливают в камерах опрокидывателей, дробилок, загрузочных устройств.
При проектировании обеспыливающих установок необходимо руководствоваться рекомендациями технического отчета ВНИИБТГ "Исходные данные для составления типового проекта комплексного обеспыливания шахт, карьеров, дробильных и обогатительных фабрик".
3.5.4.9. Выработки перепускных устройств
К перепускным выработкам относятся перепускные восстающие с промежуточного вышележащего горизонта в бункерный комплекс основного горизонта и перепускные восстающие из комплекса вышележащего горизонта (бывшего основного) в бункерный комплекс проектируемого основного горизонта.
Количество перепускных восстающих (один или более) зависит от конструкции бункерного комплекса.
Размеры поперечного сечения перепускных восстающих должны быть не менее 3-кратного максимального размера кусков руды (породы).
Нижняя часть восстающего, примыкающая к камере разгрузочного устройства бункерного комплекса или перепускника, крепится бетоном и футеруется износостойким материалом. В остальной части восстающий крепится только в случае проходки его в слабых неустойчивых породах.
Угол наклона восстающих принимается не менее 65°.
Если восстающий верхней частью примыкает к аккумулирующему отделению бункерного комплекса вышележащего горизонта, то восстающий в этой части выполняется в виде воронки.
При небольшой производительности шахт перепускной восстающий может примыкать к камере загрузочного устройства бункерного комплекса.
По условиям простоты обслуживания предпочтение отдается примыканию перепускников к аккумулирующему отделению комплекса, однако при этом несколько увеличивается объем строительства.
Регулировка выпуска руды (породы) из перепускных восстающих проектируется с применением виброустановок, люковых затворов, пластинчатых питателей, а также применяются конструкции саморегулировки с учетом емкости параллельных ветвей.
Выпускная щель перепускника крепится бетоном и футеруется износостойкими материалами.
3.5.5. Подземные камеры
3.5.5.1. Камера главного водоотлива
Расположение камеры главного водоотлива необходимо предусматривать, как правило, возле околоствольного двора в блоке с камерой центральной подземной электроподстанции.
Камеры могут быть заглубленные и незаглубленные.
Размеры камеры водоотлива определяются исходя из количества насосных агрегатов и из условия расположения их вдоль продольной оси камеры в один ряд, принимая расстояние между ними не менее 1000 мм.
Расстояние от наиболее выступающих частей насосного агрегата до ближайшей стены камеры следует предусматривать:
по длине камеры со стороны водотрубного ходка - не менее ширины водотрубного ходка, а с противоположной стороны - не менее длины платформы для перевозки оборудования и зазора 400 мм, при отсутствии наклонного водотрубного ходка и поворотной платформы - зазора по 1000 мм с обеих сторон камеры;
по ширине камеры - не менее суммарного расстояния, определяемого габаритами оборудования или шириной платформы для перевозки оборудования и зазоров по 200 мм между этим оборудованием (платформой) до наиболее выступающих частей насосного агрегата и до стен камеры.
Высоту камеры водоотливных установок следует определять с учетом:
превышения отметок фундаментов насосных агрегатов над уровнем пола камеры не менее 100 мм;
подъема грузоподъемными средствами оборудования над рельсовой платформой, а в камерах без рельсовых путей - над полом на высоту не менее 150 мм;
зазора не менее 100 мм между грузоподъемными средствами и нагнетательным трубопроводом, располагаемым на высоте не менее 1800 мм;
установки электрооборудования в незаглубленных камерах таким образом, чтобы места, доступные для проникновения воды к токоведущим частям электрооборудования, были на высоте не менее 1000 мм от головок рельсов околоствольного двора (у ствола).
При определении размеров камер следует также учитывать размещение средств автоматизации и телемеханики.
Уровень пола незаглубленной камеры следует принимать, как правило, не менее чем на 500 мм выше, а заглубленной камеры - на 4000 - 5000 мм ниже уровня головок рельсов околоствольного двора (у ствола, по которому проложены водоотливные ставы).
При наличии в камере водоотливной установки рельсового пути уровень головок рельсов должен соответствовать уровню пола камеры.
Наклонный водотрубный ходок, соединяющий незаглубленную камеру главной водоотливной установки со стволом, следует располагать, как правило, под углом до 20° - 30° к горизонту.
В заглубленных камерах водоотливных установок углы наклона водотрубных ходков надлежит определять в зависимости от горно-геологических условий.
Ширину наклонных ходков необходимо определять с учетом габаритов доставляемого по ним оборудования и размещения трубопроводов.
В незаглубленных камерах водоотливных установок, при числе насосных агрегатов не более трех, надлежит предусматривать, как правило, один водозаборный колодец внутри камер.
Конструктивные размеры водозаборного колодца следует принимать из расчета обеспечения полного удаления воды из водосборника при режиме работы насосов, исключающем кавитацию и аэрацию. При этом глубина водозаборного колодца должна быть не менее 1800 мм (от подошвы водосборника).
Поперечные размеры водозаборных колодцев необходимо определять с учетом зазора не менее 200 мм между сливными задвижками и стенками колодца, а также размещения клапанов на расстоянии, равном утроенному диаметру всасывающих труб.
Устья колодцев должны перекрываться металлическими решетками или рифлеными металлическими листами.
Главные и участковые водоотливные установки должны иметь водосборники, состоящие из двух или более выработок.
Вместимость водосборников главного водоотлива должна быть рассчитана не менее чем на 4-часовой нормальный приток, а участковых - на 2-часовой приток.
Поперечное сечение водосборников следует принимать не менее 4,5 м2 в свету при высоте выработки не менее 1900 мм.
Ветви водосборников при наличии осветляющих резервуаров должны иметь уклон 0,001 в сторону насосной камеры, а при чистке водосборников через наклонные ходки - подъем 0,001 в ту же сторону.
Примыкание ветвей водосборника главной водоотливной установки необходимо предусматривать в точках околоствольного двора с минимальными абсолютными отметками подошвы выработок.
Водосборники насосных камер заглубленного типа должны иметь два выхода на откаточные выработки. Один из выходов необходимо устраивать непосредственно над водоприемными клапанами.
С целью контроля уровня шахтных вод в водосборниках насосных камер заглубленного типа следует предусматривать специальные выработки над водосборником для установки в них электроаппаратуры автоматизации водоотлива.
При наличии в шахтной воде абразивных частиц (породы, руды) следует предусматривать осветляющие резервуары с устройствами для их механизированной очистки.
Необходимое количество осветляющих резервуаров должно определяться расчетом с учетом того, что один из них находится в чистке или ремонте.
При проектировании в шахтном стволе зумпфового водоотлива, оборудованного горизонтальными насосами, необходимо предусматривать:
при зумпфе глубиной по вертикали более 5000 мм - тупиковую насосную камеру, примыкающую к зумпфу со стороны лестничного отделения;
при зумпфе глубиной по вертикали менее 5000 мм - нишу для насосов в сопряжении околоствольного двора со стволом.
При наличии на промплощадке двух стволов следует, как правило, предусматривать одну камеру зумпфового водоотлива в стволе с наибольшей глубиной с перепуском воды из другого ствола по специальной выработке или скважине.
В камерах зумпфовых водоотливных установок расстояние от наиболее выступающих частей насосных агрегатов следует принимать по длине до стены камеры 1500 мм, по ширине со стороны прохода - 800 мм и с противоположной стороны - 400 мм, а между насосными агрегатами - 1000 мм.
Высоту камеры зумпфовой установки при плоском перекрытии следует принимать не менее 2200 мм, а при сводчатом перекрытии - не менее 1600 мм от пола до пяты ствола.
Аппаратуру автоматизации зумпфового водоотлива следует выносить на уровень горизонта околоствольного двора или предусматривать специальное место для ее размещения в камерах.
3.5.5.2. Камеры электроподстанций
и распределительных пунктов
Камеры подземных электроподстанций и распределительных пунктов высокого напряжения следует располагать:
центральных подземных подстанций (ЦПП) - в околоствольных дворах вблизи шахтных стволов с непосредственным примыканием к камере незаглубленной главной водоотливной установки;
распределительных пунктов высокого напряжения (РПП) - в центре расположения высоковольтных потребителей электроэнергии (стационарных и передвижных участков подстанций);
стационарных участков подстанций (УПП) - вблизи основных потребителей электроэнергии;
преобразовательных подстанций (ППП) - в околоствольных дворах и на участках шахт.
При соответствующем обосновании допускается расположение указанных камер в других местах.
В камерах подземных электроподстанций необходимо предусматривать места для установки аппаратуры автоматизации и грузоподъемных средств.
Камеру центральной подъемной подстанции, примыкающую к незаглубленной камере главной водоотливной установки, следует отделять от последней противопожарной перемычкой не менее 200 мм. При этом в перемычке необходимо предусматривать противопожарную и решетчатую двери, открывающиеся в сторону насосной камеры. Полы камеры ЦПП и камеры главной водоотливной установки должны быть на одном уровне.
При примыкании камеры ЦПП и РПП непосредственно к откаточной выработке в разделяющей их стене надлежит предусматривать монтажные проемы.
Размеры камер определяются конструктивно с учетом требований ЕПБ.
3.5.5.3. Камеры депо электровозов
и текущего ремонта вагонеток
Депо контактных электровозов следует размещать, как правило, в районе околоствольного двора в отдельных камерах или на уширении откаточной выработки с ограждением от выработки сплошной несгораемой стеной.
Депо контактных электровозов следует предусматривать в составе камеры ремонтной мастерской и заезда в нее, используемого для стоянки запасных электровозов.
Для камер депо следует предусматривать один заезд при одном ремонтном месте в камере и два заезда при наличии двух и более ремонтных мест. Количество необходимых мест следует определять расчетом.
В заездах необходимо предусматривать противопожарные двери, открывающиеся наружу.
В камерах депо следует предусматривать бетонные полы.
При этом уровень пола должен соответствовать уровню головок рельсов.
Высоту камеры ремонтных мастерских для электровозов надлежит определять с учетом размещения монтажных балок на высоте не менее 3000 мм, а ширину - с учетом по 700 мм с обеих сторон.
В камерах ремонтных мастерских следует предусматривать смотровые ямы шириной не более 1000 мм, глубиной 1650 мм и длиной, равной длине принятого электровоза при одном ремонтном месте и суммарной длине двух электровозов при двух ремонтных местах. В одном из концов ямы по всей ее ширине необходимо предусматривать приямок глубиной 500 мм, в сторону которого пол ямы должен иметь уклон до 0,01.
Для спуска в яму людей следует предусматривать бетонную или стальную лестницу или скобы, заделанные в стену.
Камеры для текущего ремонта, чистки и смазки вагонеток следует предусматривать в тех случаях, когда размеры клетей не позволяют выдачу на поверхность вагонеток, используемых для откатки полезного ископаемого или породы. Во всех остальных случаях необходимо предусматривать только камеру для смазки вагонеток.
Длина камеры текущего ремонта вагонеток должна определяться с учетом минимальных зазоров между вагонетками и станочным оборудованием - 1500 мм, между вагонеток и дверью - 1200 мм, между двумя вагонетками - 700 мм. Длина отделения для станочного оборудования должна быть не менее 3000 мм.
Ширина камеры текущего ремонта вагонеток должна определяться с учетом количества предусмотренных в камере рельсовых путей, а также зазоров 500 мм с каждой стороны между вагонеткой и крепью.
Камеры должны закрепляться несгораемой крепью и иметь противопожарные двери.
3.5.5.4. Камеры диспетчера, аппаратуры связи и СЦБ
Камера диспетчера в подземных выработках должна располагаться с учетом удобства контроля и управления автоматизированными установками, а также простоты обслуживания и ремонта аппаратуры.
В зависимости от аппаратурного решения диспетчеризации рудника, камера может состоять из одного или нескольких помещений: диспетчерской, аппаратной и мастерской. Высоту камеры следует принимать не менее 2200 мм.
Специальные камеры и ниши для размещения аппаратуры высокочастотной связи следует предусматривать с размерами: для камер по ширине и длине не менее 1500 мм, по высоте 1800 мм, для ниш - по ширине и высоте не менее 1000 мм, по глубине - 800 мм.
3.5.5.5. Камеры ожидания
Камеру ожидания следует размещать вблизи шахтного ствола, по которому предусмотрен спуск-подъем людей. Камера может располагаться обособленно или между двумя параллельными выработками (ветвями околоствольного двора).
В камере ожидания необходимо предусматривать два выхода, поперечные размеры которых должны быть не менее: по ширине - 1500 мм и по высоте - 2200 мм.
Площадь пола камеры ожидания следует определять исходя из нормативной площади на одного человека, равной 0,5 м2. Пол должен быть бетонный.
В камере ожидания должны быть предусмотрены скамьи шириной 450 мм, расположенные в два или четыре ряда с проходами между ними не менее 800 мм.
3.5.5.6. Камера подземного медицинского пункта
На предприятиях по добыче полезных ископаемых подземным способом, на которых отраслевыми нормативными документами предусматривается подземный медицинский пункт, следует вблизи камеры ожидания размещать камеру медицинского пункта.
В составе камеры необходимо предусматривать два помещения (приемно-регистрационное и перевязочное), разделенные между собой перегородкой с проемом для двери. Размер камеры в плане должен быть не менее 4000 x 7000 мм.
Камера должна иметь два выхода (ходка) в околоствольный двор. Поперечные размеры ходков должны быть по ширине не менее 1500 мм и по высоте не менее 2200 мм. В ходках необходимо предусматривать открывающиеся наружу двери с вентиляционными окнами.
Пол камеры медицинского пункта и ходков следует предусматривать бетонный.
Камера может располагаться как между двумя выработками (ветвями) околоствольного двора, так и обособленно.
3.5.5.7. Камера подземной лаборатории определения
качества руды
Камеру подземной лаборатории определения качества руды следует располагать в районе околоствольного двора вблизи разгрузочного устройства подземного бункерного комплекса с учетом максимальных удобств по отбору проб и выполнения оперативного анализа качества руды.
В камере необходимо предусматривать два помещения, отгороженные друг от друга бетонной или кирпичной стеной с проемом для двери: отделение подготовки проб руды к анализу и отделение радиометрического анализа.
Размеры камеры следует определять с учетом монтажных зазоров не менее 500 мм и проходов между оборудованием не менее 800 мм.
3.5.5.8. Камеры инструментальной кладовой
В подземной инструментальной кладовой производится прием, хранение, выдача и учет мелкого оборудования, инструмента и инвентаря для производства подземных работ.
Размеры камеры следует определять с учетом размещения в ней стеллажей и шкафов для инструмента и инвентаря, а также величины свободного прохода и зазоров согласно требованиям ЕПБ.
Для хранения смазочных материалов следует предусматривать специальную нишу, которая оборудуется противопожарной дверью.
В камере инструментальной кладовой необходимо предусматривать бетонный пол с уклоном 0,003 в сторону водоотливной канавки.
Камеру инструментальной кладовой следует располагать вблизи района производства очистных работ.
3.5.5.9. Склад для хранения противопожарных материалов,
оборудования и инструментов
Склад противопожарных инструментов следует располагать в районе околоствольного двора на каждом действующем горизонте в отдельной выработке или в месте расширения откаточной выработки.
В складе противопожарных материалов необходимо предусматривать отсеки для хранения противопожарного оборудования, материалов и инструмента, места вдоль отсеков для стоянки поезда с противопожарным оборудованием, материалами и инструментом, а также решетчатые металлические двери.
Зазор между противопожарным поездом и отсеками должен быть не менее 700 мм. Ширину отсеков для хранения противопожарного оборудования, материалов и инструмента следует принимать не менее 900 мм.
Длину склада следует определять по суммарной длине сопряжения его с откаточной выработкой, длине состава противопожарного поезда и зазоров с обеих его концов не менее 1000 мм.
Расположение участковых камер для хранения противопожарных материалов следует предусматривать со стороны поступления струи свежего воздуха.
3.5.5.10. Камера подъемной машины
В камерах подъемных машин и лебедок следует предусматривать два ходка (выхода): один - для канатов, второй - для доставки в камеру оборудования и материалов.
Размеры сечения ходка для доставки оборудования необходимо определять из условий безопасной транспортировки наиболее крупного узла или детали подъемной машины или лебедки.
Размеры камер подъемных машин и лебедок надлежит принимать конструктивно с учетом установки грузоподъемных устройств для обслуживания и ремонта оборудования.
В камерах шкивов должны быть предусмотрены проходы между фундаментами шкивов и стенами камеры:
с одной стороны - достаточные для транспортировки оборудования в камеру подъемной машины при ремонте или ее замене, но не менее 800 мм;
с другой стороны - монтажный проход шириной не менее 500 мм.
3.5.5.11. Камера подземной уборной
Стационарная подземная уборная устраивается в обособленной камере, соединенной заездом с откаточной выработкой, и оборудуется ассенизационной вагонеткой. Над вагонеткой устраивается помост с кабиной. Вход в кабину предусматривается по металлической лестнице.
От заезда камера уборной должна отделяться двухстворчатой дверью с калиткой.
Размеры камеры следует определять конструктивно с учетом размещаемого в ней оборудования, а также зазоров и проходов в соответствии с требованиями ЕПБ.
Обособленная вентиляция камеры должна осуществляться за счет общешахтной депрессии через вентиляционный восстающий или скважины, у основания которых располагается камера.
3.5.5.12. Камеры для дизельного самоходного транспорта
При использовании на подземных работах самоходного дизельного транспорта при проектировании горизонта следует предусматривать камеры гаража, ремонтной мастерской и склада горюче-смазочных материалов.
Вместимость гаража должна обеспечивать стоянку всего списочного состава парка, за исключением машин, находящихся в ремонте.
Ремонтную мастерскую следует предусматривать в случае отсутствия возможности доставки машин на поверхность без разборки их на основные узлы.
Допускается расположение ремонтной мастерской в одной выработке с гаражом при условии разделения их несгораемой стенкой с противопожарными дверями и наличия независимых выходов.
Размеры камер гаража и ремонтной мастерской следует определять с учетом габаритов обслуживаемых машин, необходимых проходов для людей между машинами и возможности маневра при въезде и выезде машины, имеющей наибольший радиус поворота, а также с учетом устройства рабочих мест.
Высоту камер необходимо определять с учетом высоты размещаемых грузоподъемных средств.
В случае раздельного размещения камер гаража и ремонтной мастерской расстояние между ними должно быть не менее 30 м.
Подземные склады ГСМ следует размещать в обособленных камерах, имеющих не менее двух выходов в выработки, к которым они примыкают. При этом выходы должны располагаться в наиболее удаленных друг от друга частях камеры и оборудоваться противопожарными поясами с двумя металлическими дверями.
Уровень почвы камеры склада ГСМ должен быть ниже уровня почвы прилегающих выработок, или перед выходами из камеры должны быть устроены бетонные валы. Углубление или валы должны быть такими, чтобы исключалась возможность растекания горюче-смазочных материалов за пределы склада, если вся жидкость вытечет из сосудов, в которых она хранится. Толщина вала должна быть равна его высоте, но не менее 500 мм.
Склад ГСМ должен располагаться не ближе 100 м от других пунктов обслуживания.
В камерах гаража, ремонтной мастерской и склада ГСМ следует предусматривать бетонные полы.
3.5.6. Протяженные горизонтальные выработки
Горизонтальные капитальные выработки по назначению делятся на откаточные и вентиляционные.
Форму поперечного сечения выработок следует выбирать в зависимости от их назначения, устойчивости пород и срока службы. В устойчивых породах, как правило, следует принимать сводчатую форму с вертикальными стенами, при неустойчивых породах - подковообразную с прямым сводом, при неустойчивых породах с пучением почвы - подковообразную с обратным сводом, круглую или эллиптическую.
Размеры поперечного сечения горизонтальных выработок на прямых участках следует определять с учетом габаритов применяемого проходческого оборудования, подвижного состава, применяемого для транспортировки полезного ископаемого, материалов и для перевозки людей, размещения трубопроводов и электрических кабелей, необходимых зазоров и проходов в соответствии с требованиями ЕПБ, а также с учетом пропуска необходимого количества воздуха со скоростью, регламентируемой ЕПБ. При определении размеров поперечного сечения выработок на закруглении, кроме того, следует учитывать при локомотивной откатке величину уширения, принимаемую равной с наружной стороны кривой не менее 300 м, с внутренней - не менее 100 мм, а расстояние между осями рельсовых путей следует увеличивать не менее чем на 300 мм по сравнению с шириной междупутья на прямых участках.
При проектировании сопряжений горизонтальных выработок необходимо учитывать размеры сечений сопрягаемых выработок, их взаимное влияние, габариты подвижного состава, типы стрелочных переводов и углы ответвлений при соблюдении необходимых проходов, зазоров и уширений.
Выбор типа и расчет параметров крепи выработок следует производить в соответствии с требованиями главы
СНиП II-94-80 "Подземные горные выработки".
В горизонтальных выработках необходимо предусматривать водоотливные канавки открытого или закрытого типа. Геометрические параметры и пропускную способность канавок следует определять в соответствии с конкретными гидрогеологическими условиями. Канавки должны крепиться бетоном независимо от типа крепи выработок.
Главным требованием при решении вопросов выбора системы разработки является правильный и всесторонний учет влияния многочисленных горно-геологических факторов: размеры по простиранию, мощность, угол падения и глубина распространения рудной залежи, крепость, плотность, содержание полезных компонентов в руде и во вмещающих породах и т.п.
Для разработки месторождений руд черных и цветных металлов применяются, как правило, системы разработки, которые рекомендуются и обосновываются научно-исследовательскими институтами отрасли.
| | ИС МЕГАНОРМ: примечание. Текст дан в соответствии с официальным текстом документа. | |
Окончательный выбор технологии подземной разработки месторождений делается проектными организациями с учетом горно-геологических условий отработки рудных залежей, обеспечения комплексной механизации горных работ и наиболее полного экономически целесообразности извлечения руды из недр, практического опыта применения систем на проектируемом предприятии.
При этом должно быть достигнуто:
обеспечение необходимых требований безопасности труда на проходческих и очистных работах;
значительный рост производительности труда горнорабочих;
сокращение объемов подготовительно-нарезных работ;
снижение себестоимости добычи руды по системе;
возможность широкого использования научных методов организации труда и производства;
повышение интенсивности горных работ и достижение их высокой концентрации;
обеспечение устойчивой ритмичной работы шахты по выдаче руды;
повышение культуры и качественное изменение характера труда горнорабочих.
В случае, когда в конкретных горно-геологических условиях возможно применение нескольких систем разработки и экономичность того или иного варианта системы не является очевидной, необходимо выполнять технико-экономическое сравнение рассматриваемых вариантов.
Основными показателями при выборе экономически целесообразной системы служат:
сравнительная экономическая эффективность систем разработки;
потери руды и полезных компонентов при добыче;
сравнительная производительность труда;
степени комплексности освоения месторождения и ущерба окружающей природной среде при ведении горных работ.
Технико-экономическое сравнение выбираемых систем разработки целесообразно выполнять с помощью ЭВМ по пакетам прикладных программ "Интпол" и "Руда", разработанным ИГД АН КазССР.
По принятым системам разработки в пояснительной записке приводится описание технологии очистной выемки, проходки подготовительно-нарезных выработок и применяемого оборудования для ведения горных работ.
По каждой системе осуществляется подсчет объемов горных работ по средневзвешенному блоку с заполнением таблицы по форме 1. Сечение выработок при этом выбирается в зависимости от принимаемого оборудования и увязывается с типовыми сечениями.
Объемы горных работ по средневзвешенному блоку
┌────────────────────┬─────┬───────────────┬───────────────┬───────────────┬───────────────┐
│ Наименование │Сече-│ Длина, м │ Объем, м3 │ Вес, т │ % │
│ выработок и виды │ние, ├────┬─────┬────┼────┬─────┬────┼────┬─────┬────┼────┬─────┬────┤
│ работ │м2 │ По │По │Все-│ По │По │Все-│ По │По │Все-│ По │По │Все-│
│ │ │руде│поро-│го │руде│поро-│го │руде│поро-│го │руде│поро-│го │
│ │ │ │де │ │ │де │ │ │де │ │ │де │ │
├────────────────────┼─────┼────┼─────┼────┼────┼─────┼────┼────┼─────┼────┼────┼─────┼────┤
│ 1 │ 2 │ 3 │ 4 │ 5 │ 6 │ 7 │ 8 │ 9 │ 10 │ 11 │ 12 │ 13 │ 14 │
├────────────────────┼─────┼────┼─────┼────┼────┼─────┼────┼────┼─────┼────┼────┼─────┼────┤
│ Подготовительные:│ │ │ │ │ │ │ │ │ │ │ │ │ │
│ │ │ │ │ │ │ │ │ │ │ │ │ │ │
│1) горизонтальные │ │ │ │ │ │ │ │ │ │ │ │ │ │
│ выработки │ │ │ │ │ │ │ │ │ │ │ │ │ │
├────────────────────┼─────┼────┼─────┼────┼────┼─────┼────┼────┼─────┼────┼────┼─────┼────┤
│2) вертикальные │ │ │ │ │ │ │ │ │ │ │ │ │ │
│ выработки │ │ │ │ │ │ │ │ │ │ │ │ │ │
├────────────────────┼─────┼────┼─────┼────┼────┼─────┼────┼────┼─────┼────┼────┼─────┼────┤
│ Итого по │ │ │ │ │ │ │ │ │ │ │ │ │ │
│ подготовительным │ │ │ │ │ │ │ │ │ │ │ │ │ │
├────────────────────┼─────┼────┼─────┼────┼────┼─────┼────┼────┼─────┼────┼────┼─────┼────┤
│ Нарезные: │ │ │ │ │ │ │ │ │ │ │ │ │ │
│ │ │ │ │ │ │ │ │ │ │ │ │ │ │
│1) горизонтальные │ │ │ │ │ │ │ │ │ │ │ │ │ │
│ выработки │ │ │ │ │ │ │ │ │ │ │ │ │ │
├────────────────────┼─────┼────┼─────┼────┼────┼─────┼────┼────┼─────┼────┼────┼─────┼────┤
│2) вертикальные │ │ │ │ │ │ │ │ │ │ │ │ │ │
│ выработки │ │ │ │ │ │ │ │ │ │ │ │ │ │
├────────────────────┼─────┼────┼─────┼────┼────┼─────┼────┼────┼─────┼────┼────┼─────┼────┤
│ Итого по нарезным│ │ │ │ │ │ │ │ │ │ │ │ │ │
├────────────────────┼─────┼────┼─────┼────┼────┼─────┼────┼────┼─────┼────┼────┼─────┼────┤
│ Очистные: │ │ │ │ │ │ │ │ │ │ │ │ │ │
├────────────────────┼─────┼────┼─────┼────┼────┼─────┼────┼────┼─────┼────┼────┼─────┼────┤
│1) подсечка │ │ │ │ │ │ │ │ │ │ │ │ │ │
├────────────────────┼─────┼────┼─────┼────┼────┼─────┼────┼────┼─────┼────┼────┼─────┼────┤
│2) отрезка │ │ │ │ │ │ │ │ │ │ │ │ │ │
├────────────────────┼─────┼────┼─────┼────┼────┼─────┼────┼────┼─────┼────┼────┼─────┼────┤
│3) отбойка массива │ │ │ │ │ │ │ │ │ │ │ │ │ │
├────────────────────┼─────┼────┼─────┼────┼────┼─────┼────┼────┼─────┼────┼────┼─────┼────┤
│ Итого по очистным│ │ │ │ │ │ │ │ │ │ │ │ │ │
├────────────────────┼─────┼────┼─────┼────┼────┼─────┼────┼────┼─────┼────┼────┼─────┼────┤
│ Всего по блоку │ │ │ │ │ │ │ │ │ │ │ │ │ │
└────────────────────┴─────┴────┴─────┴────┴────┴─────┴────┴────┴─────┴────┴────┴─────┴────┘
Распределение запасов руды проектируемого этажа по системам разработки и видам работ, показатели извлечения руды, потерь и засорения, среднее содержание полезного компонента в добытой товарной руде рассчитываются и сводятся в табличную форму 2.
Распределение запасов этажа по видам работ
и системам разработки по руднику
┌────────────────────┬─────┬────────┬─────────┬────────┬─────────┬─────────┬─────┬────────────────┬─────┐
│Наименование систем │% │Запасы, │Промыш- │ Потери │Разубо- │Всего │Види-│ Содержание │Ка- │
│ разработки и видов │уча- │принятые│ленные │ │живание │добывае- │мое │ полезного │чест-│
│ работы │стия │при про-│запасы │ │ │мой руды │из- │ компонента, % │вен- │
│ │си- │ектиро- │ │ │ │ │вле- │ │ные │
│ │сте- │вании │ │ │ │ │че- │ │поте-│
│ │мы в │ │ │ │ │ │ние, │ │ри, │
│ │отра-│ │ │ │ │ │% │ │% │
│ │ботке├──────┬─┼───────┬─┼──────┬─┼──────┬──┼──────┬──┼─────┼────┬─────┬─────┤ │
│ │запа-│тыс. т│%│тыс. т │%│тыс. т│%│тыс. т│% │тыс. т│% │ % │в │в │в до-│ │
│ │сов │ │ │ │ │ │ │ │ │ │ │ │руд-│засо-│бытой│ │
│ │поля │ │ │ │ │ │ │ │ │ │ │ │ном │ряю- │руде │ │
│ │ру- │ │ │ │ │ │ │ │ │ │ │ │мас-│щих │ │ │
│ │дника│ │ │ │ │ │ │ │ │ │ │ │сиве│поро-│ │ │
│ │ │ │ │ │ │ │ │ │ │ │ │ │ │дах │ │ │
├────────────────────┼─────┼──────┼─┼───────┼─┼──────┼─┼──────┼──┼──────┼──┼─────┼────┼─────┼─────┼─────┤
│ 1 │ 2 │ 3 │4│ 5 │6│ 7 │8│ 9 │10│ 11 │12│ 13 │ 14 │ 15 │ 16 │ 17 │
├────────────────────┼─────┼──────┼─┼───────┼─┼──────┼─┼──────┼──┼──────┼──┼─────┼────┼─────┼─────┼─────┤
│1. Система │ │ │ │ │ │ │ │ │ │ │ │ │ │ │ │ │
│ разработки I │ │ │ │ │ │ │ │ │ │ │ │ │ │ │ │ │
│ подготовительные │ │ │ │ │ │ │ │ │ │ │ │ │ │ │ │ │
│ нарезные │ │ │ │ │ │ │ │ │ │ │ │ │ │ │ │ │
│ очистные │ │ │ │ │ │ │ │ │ │ │ │ │ │ │ │ │
├────────────────────┼─────┼──────┼─┼───────┼─┼──────┼─┼──────┼──┼──────┼──┼─────┼────┼─────┼─────┼─────┤
│ Итого │ │ │ │ │ │ │ │ │ │ │ │ │ │ │ │ │
│ по системе I │ │ │ │ │ │ │ │ │ │ │ │ │ │ │ │ │
├────────────────────┼─────┼──────┼─┼───────┼─┼──────┼─┼──────┼──┼──────┼──┼─────┼────┼─────┼─────┼─────┤
│2. Система │ │ │ │ │ │ │ │ │ │ │ │ │ │ │ │ │
│ разработки II │ │ │ │ │ │ │ │ │ │ │ │ │ │ │ │ │
│ подготовительные │ │ │ │ │ │ │ │ │ │ │ │ │ │ │ │ │
│ нарезные │ │ │ │ │ │ │ │ │ │ │ │ │ │ │ │ │
│ очистные │ │ │ │ │ │ │ │ │ │ │ │ │ │ │ │ │
├────────────────────┼─────┼──────┼─┼───────┼─┼──────┼─┼──────┼──┼──────┼──┼─────┼────┼─────┼─────┼─────┤
│ Итого │ │ │ │ │ │ │ │ │ │ │ │ │ │ │ │ │
│ по системе II │ │ │ │ │ │ │ │ │ │ │ │ │ │ │ │ │
├────────────────────┼─────┼──────┼─┼───────┼─┼──────┼─┼──────┼──┼──────┼──┼─────┼────┼─────┼─────┼─────┤
│ Итого │ │ │ │ │ │ │ │ │ │ │ │ │ │ │ │ │
│ по системе I - II│ │ │ │ │ │ │ │ │ │ │ │ │ │ │ │ │
│ подготовительные │ │ │ │ │ │ │ │ │ │ │ │ │ │ │ │ │
│ нарезные │ │ │ │ │ │ │ │ │ │ │ │ │ │ │ │ │
│ очистные │ │ │ │ │ │ │ │ │ │ │ │ │ │ │ │ │
├────────────────────┼─────┼──────┼─┼───────┼─┼──────┼─┼──────┼──┼──────┼──┼─────┼────┼─────┼─────┼─────┤
│ Всего │ │ │ │ │ │ │ │ │ │ │ │ │ │ │ │ │
│ по системам │ │ │ │ │ │ │ │ │ │ │ │ │ │ │ │ │
│ I - II │ │ │ │ │ │ │ │ │ │ │ │ │ │ │ │ │
└────────────────────┴─────┴──────┴─┴───────┴─┴──────┴─┴──────┴──┴──────┴──┴─────┴────┴─────┴─────┴─────┘
По обоснованному и принятому проценту участия каждого варианта системы разработки в общей добыче рудника (графа 2) определяются итоговые запасы по всем системам (графа 3).
По расчетным данным процентного участия видов работ заполняется графа 4 и определяются запасы по видам работ (графа 3).
Количественные потери (графа 7) рассчитываются от запасов, принятых при проектировании (геологических).
Промышленные запасы (графа 5) определяются как разность между запасами, принятыми при проектировании, и количественными потерями. Процент промышленных запасов (графа 6) принимается от запасов, принятых к проектированию соответственно по видам работ и итого по системе (системам).
Весовое количество примешиваемых пород (графа 9) определяется:

, т, (3.80)
где

- промышленные запасы, т;
R - разубоживание, %.
Всего добываемой руды (графа 11) определяется как сумма истинного извлечения и засорения по видам работ и итогам по системе (системам).
Распределение добываемой руды в процентах по видам работ (графа 12) рассчитывается от итого по системе (системам).
Содержание полезного компонента (П.К.) в добытой руде (графа 16):

, %, (3.81)
где

- содержание П.К. в массиве, %;

- содержание П.К. в разубоживающих породах, %.
Содержание П.К. в массиве принимается рассчитанное в геологической части проекта.
Содержание П.К. в разубоживающих породах рассчитывается, исходя из геологических данных и инструкций по определению, учету экономической оценке и нормированию потерь руды.
Распределение сменной добычи руды и выдачи пустой породы по системам и видам работ рассчитывается и сводится в таблицу по форме 3.
Распределение сменной добычи руды пустой породы
по системам разработки и видам работ
┌────────────────┬─────┬─────┬──────────────────────┬──────────────────────────────────────┬─────┬───────────────────────┬─────┐
│ Наименование │% │Смен-│Распределение сменной │ Распределение сменной выдачи │Смен-│ Распределение горной │% │
│ системы │уча- │ная │ добычи руды │ пустых пород │ная │ массы по видам работ │уча- │
│ разработки │стия │добы-│ по видам работ │ │добы-│ │стия │
│ │си- │ча ├───────┬───────┬──────┼────────────────┬─────────────────────┤ча ├───────┬───────┬───────┤си- │
│ │стем │руды,│подго- │нарез- │очист-│ Доля пустых │ Сменная выдача │гор- │подго- │нарез- │очист- │стем │
│ │раз- │т │тови- │ные │ные │пород от сменной│ пустых пород, тонн │ной │тови- │ные │ные │раз- │
│ │ра- │ │тель- │ │ │ добычи руды, % │ │мас- │тель- │ │ │раб. │
│ │ботки│ │ные │ │ │ │ │сы, │ные │ │ │в │
│ │в │ ├──┬────┼──┬────┼─┬────┼─────┬────┬─────┼─────┬────┬─────┬────┤т ├──┬────┼──┬────┼──┬────┤смен-│
│ │смен-│ │% │тонн│% │тонн│%│тонн│под- │на- │очи- │под- │на- │очи- │все-│ │% │тонн│% │тонн│% │тонн│ной │
│ │ной │ │ │ │ │ │ │ │гото-│рез-│стные│гото-│рез-│стные│го │ │ │ │ │ │ │ │добы-│
│ │добы-│ │ │ │ │ │ │ │ви- │ные │ │ви- │ные │ │ │ │ │ │ │ │ │ │че │
│ │че │ │ │ │ │ │ │ │тель-│ │ │тель-│ │ │ │ │ │ │ │ │ │ │гор- │
│ │руды │ │ │ │ │ │ │ │ные │ │ │ные │ │ │ │ │ │ │ │ │ │ │ной │
│ │ │ │ │ │ │ │ │ │ │ │ │ │ │ │ │ │ │ │ │ │ │ │массы│
├────────────────┼─────┼─────┼──┼────┼──┼────┼─┼────┼─────┼────┼─────┼─────┼────┼─────┼────┼─────┼──┼────┼──┼────┼──┼────┼─────┤
│ 1 │ 2 │ 3 │4 │ 5 │6 │ 7 │8│ 9 │ 10 │ 11 │ 12 │ 13 │ 14 │ 15 │ 16 │ 17 │18│ 19 │20│ 21 │22│ 23 │ 24 │
├────────────────┼─────┼─────┼──┼────┼──┼────┼─┼────┼─────┼────┼─────┼─────┼────┼─────┼────┼─────┼──┼────┼──┼────┼──┼────┼─────┤
│1. Система │ │ │ │ │ │ │ │ │ │ │ │ │ │ │ │ │ │ │ │ │ │ │ │
│ разработки I │ │ │ │ │ │ │ │ │ │ │ │ │ │ │ │ │ │ │ │ │ │ │ │
│ │ │ │ │ │ │ │ │ │ │ │ │ │ │ │ │ │ │ │ │ │ │ │ │
│ Горизон- │ │ │ │ │ │ │ │ │ │ │ │ │ │ │ │ │ │ │ │ │ │ │ │
│ тальные │ │ │ │ │ │ │ │ │ │ │ │ │ │ │ │ │ │ │ │ │ │ │ │
│ выработки │ │ │ │ │ │ │ │ │ │ │ │ │ │ │ │ │ │ │ │ │ │ │ │
├────────────────┼─────┼─────┼──┼────┼──┼────┼─┼────┼─────┼────┼─────┼─────┼────┼─────┼────┼─────┼──┼────┼──┼────┼──┼────┼─────┤
│ Вертикальные │ │ │ │ │ │ │ │ │ │ │ │ │ │ │ │ │ │ │ │ │ │ │ │
│ выработки │ │ │ │ │ │ │ │ │ │ │ │ │ │ │ │ │ │ │ │ │ │ │ │
├────────────────┼─────┼─────┼──┼────┼──┼────┼─┼────┼─────┼────┼─────┼─────┼────┼─────┼────┼─────┼──┼────┼──┼────┼──┼────┼─────┤
│ Подсечка │ │ │ │ │ │ │ │ │ │ │ │ │ │ │ │ │ │ │ │ │ │ │ │
├────────────────┼─────┼─────┼──┼────┼──┼────┼─┼────┼─────┼────┼─────┼─────┼────┼─────┼────┼─────┼──┼────┼──┼────┼──┼────┼─────┤
│ Отрезка │ │ │ │ │ │ │ │ │ │ │ │ │ │ │ │ │ │ │ │ │ │ │ │
├────────────────┼─────┼─────┼──┼────┼──┼────┼─┼────┼─────┼────┼─────┼─────┼────┼─────┼────┼─────┼──┼────┼──┼────┼──┼────┼─────┤
│ Отбойка │ │ │ │ │ │ │ │ │ │ │ │ │ │ │ │ │ │ │ │ │ │ │ │
│ массива │ │ │ │ │ │ │ │ │ │ │ │ │ │ │ │ │ │ │ │ │ │ │ │
├────────────────┼─────┼─────┼──┼────┼──┼────┼─┼────┼─────┼────┼─────┼─────┼────┼─────┼────┼─────┼──┼────┼──┼────┼──┼────┼─────┤
│ Всего │ │ │ │ │ │ │ │ │ │ │ │ │ │ │ │ │ │ │ │ │ │ │ │
│ по системе I │ │ │ │ │ │ │ │ │ │ │ │ │ │ │ │ │ │ │ │ │ │ │ │
├────────────────┼─────┼─────┼──┼────┼──┼────┼─┼────┼─────┼────┼─────┼─────┼────┼─────┼────┼─────┼──┼────┼──┼────┼──┼────┼─────┤
│2. Система │ │ │ │ │ │ │ │ │ │ │ │ │ │ │ │ │ │ │ │ │ │ │ │
│ разработки II│ │ │ │ │ │ │ │ │ │ │ │ │ │ │ │ │ │ │ │ │ │ │ │
│ │ │ │ │ │ │ │ │ │ │ │ │ │ │ │ │ │ │ │ │ │ │ │ │
│ Горизон- │ │ │ │ │ │ │ │ │ │ │ │ │ │ │ │ │ │ │ │ │ │ │ │
│ тальные │ │ │ │ │ │ │ │ │ │ │ │ │ │ │ │ │ │ │ │ │ │ │ │
│ выработки │ │ │ │ │ │ │ │ │ │ │ │ │ │ │ │ │ │ │ │ │ │ │ │
├────────────────┼─────┼─────┼──┼────┼──┼────┼─┼────┼─────┼────┼─────┼─────┼────┼─────┼────┼─────┼──┼────┼──┼────┼──┼────┼─────┤
│ Вертикальные │ │ │ │ │ │ │ │ │ │ │ │ │ │ │ │ │ │ │ │ │ │ │ │
│ выработки │ │ │ │ │ │ │ │ │ │ │ │ │ │ │ │ │ │ │ │ │ │ │ │
├────────────────┼─────┼─────┼──┼────┼──┼────┼─┼────┼─────┼────┼─────┼─────┼────┼─────┼────┼─────┼──┼────┼──┼────┼──┼────┼─────┤
│ Подсечка │ │ │ │ │ │ │ │ │ │ │ │ │ │ │ │ │ │ │ │ │ │ │ │
├────────────────┼─────┼─────┼──┼────┼──┼────┼─┼────┼─────┼────┼─────┼─────┼────┼─────┼────┼─────┼──┼────┼──┼────┼──┼────┼─────┤
│ Отрезка │ │ │ │ │ │ │ │ │ │ │ │ │ │ │ │ │ │ │ │ │ │ │ │
├────────────────┼─────┼─────┼──┼────┼──┼────┼─┼────┼─────┼────┼─────┼─────┼────┼─────┼────┼─────┼──┼────┼──┼────┼──┼────┼─────┤
│ Отбойка │ │ │ │ │ │ │ │ │ │ │ │ │ │ │ │ │ │ │ │ │ │ │ │
│ массива │ │ │ │ │ │ │ │ │ │ │ │ │ │ │ │ │ │ │ │ │ │ │ │
├────────────────┼─────┼─────┼──┼────┼──┼────┼─┼────┼─────┼────┼─────┼─────┼────┼─────┼────┼─────┼──┼────┼──┼────┼──┼────┼─────┤
│ Всего │ │ │ │ │ │ │ │ │ │ │ │ │ │ │ │ │ │ │ │ │ │ │ │
│ по системе II│ │ │ │ │ │ │ │ │ │ │ │ │ │ │ │ │ │ │ │ │ │ │ │
├────────────────┼─────┼─────┼──┼────┼──┼────┼─┼────┼─────┼────┼─────┼─────┼────┼─────┼────┼─────┼──┼────┼──┼────┼──┼────┼─────┤
│ Всего │ │ │ │ │ │ │ │ │ │ │ │ │ │ │ │ │ │ │ │ │ │ │ │
│ по системам │ │ │ │ │ │ │ │ │ │ │ │ │ │ │ │ │ │ │ │ │ │ │ │
│ I - II │ │ │ │ │ │ │ │ │ │ │ │ │ │ │ │ │ │ │ │ │ │ │ │
│ │ │ │ │ │ │ │ │ │ │ │ │ │ │ │ │ │ │ │ │ │ │ │ │
│ Горизон- │ │ │ │ │ │ │ │ │ │ │ │ │ │ │ │ │ │ │ │ │ │ │ │
│ тальные │ │ │ │ │ │ │ │ │ │ │ │ │ │ │ │ │ │ │ │ │ │ │ │
│ выработки │ │ │ │ │ │ │ │ │ │ │ │ │ │ │ │ │ │ │ │ │ │ │ │
├────────────────┼─────┼─────┼──┼────┼──┼────┼─┼────┼─────┼────┼─────┼─────┼────┼─────┼────┼─────┼──┼────┼──┼────┼──┼────┼─────┤
│ Вертикальные │ │ │ │ │ │ │ │ │ │ │ │ │ │ │ │ │ │ │ │ │ │ │ │
│ выработки │ │ │ │ │ │ │ │ │ │ │ │ │ │ │ │ │ │ │ │ │ │ │ │
├────────────────┼─────┼─────┼──┼────┼──┼────┼─┼────┼─────┼────┼─────┼─────┼────┼─────┼────┼─────┼──┼────┼──┼────┼──┼────┼─────┤
│ Подсечка │ │ │ │ │ │ │ │ │ │ │ │ │ │ │ │ │ │ │ │ │ │ │ │
├────────────────┼─────┼─────┼──┼────┼──┼────┼─┼────┼─────┼────┼─────┼─────┼────┼─────┼────┼─────┼──┼────┼──┼────┼──┼────┼─────┤
│ Отрезка │ │ │ │ │ │ │ │ │ │ │ │ │ │ │ │ │ │ │ │ │ │ │ │
├────────────────┼─────┼─────┼──┼────┼──┼────┼─┼────┼─────┼────┼─────┼─────┼────┼─────┼────┼─────┼──┼────┼──┼────┼──┼────┼─────┤
│ Отбойка │ │ │ │ │ │ │ │ │ │ │ │ │ │ │ │ │ │ │ │ │ │ │ │
│ массива │ │ │ │ │ │ │ │ │ │ │ │ │ │ │ │ │ │ │ │ │ │ │ │
├────────────────┼─────┼─────┼──┼────┼──┼────┼─┼────┼─────┼────┼─────┼─────┼────┼─────┼────┼─────┼──┼────┼──┼────┼──┼────┼─────┤
│ Всего │ │ │ │ │ │ │ │ │ │ │ │ │ │ │ │ │ │ │ │ │ │ │ │
│ по системам │ │ │ │ │ │ │ │ │ │ │ │ │ │ │ │ │ │ │ │ │ │ │ │
│ I - II │ │ │ │ │ │ │ │ │ │ │ │ │ │ │ │ │ │ │ │ │ │ │ │
└────────────────┴─────┴─────┴──┴────┴──┴────┴─┴────┴─────┴────┴─────┴─────┴────┴─────┴────┴─────┴──┴────┴──┴────┴──┴────┴─────┘
По принятому проценту участия каждого варианта системы разработки и годовой добычи определяется сменная добыча руды (графа 3).
По расчетным данным процентного участия видов работ
(форма 1) заполняются графы 4, 6, 10, 11, 12 и определяются объемы сменной добычи товарной руды и выдачи пустых пород (графы 5, 7, 9, 13, 14, 15, 16).
Ниже приводятся основные методические принципы проектирования конструктивных параметров систем разработки, наиболее распространенных при добыче руд черных и цветных металлов.
Камерно-столбовая система разработки
При падении рудного тела под углом не более 8° камеры располагать по простиранию и по восстанию, при падении рудного тела под углом 8° - по простиранию или диагонально, обеспечивая подъем почвы камеры под углом не более 8°.
При мощности рудного тела до 8 м производить однослойную выемку камер, при большей мощности - двух- и трехслойную с опережением работ на верхнем слое на 15 - 20 м по отношению к нижнему.
Технико-экономические показатели проектируемой камерно-столбовой системы разработки не должны существенно отличаться от приведенных в табл. 3.4.
Таблица 3.4
Технико-экономические показатели
камерно-столбовой системы разработки
Показатели | Мощность рудного тела, м |
До 4 | 4 - 6 | 6 - 8 | 8 - 18 |
Удельный объем подготовительно- нарезных работ, м3/чел.-смену | 45 - 35 | 35 - 25 | 25 - 15 | 15 и менее |
Производительность труда рабочего по системе, м3/чел.-смену | 10 - 15 | 15 - 20 | 15 - 20 | 20 - 30 |
Система разработки с доставкой руды силой взрыва
Для бурения скважин, выпуска руды, доставки ее к рудоспускам или сборным пунктам, для зачистки почвы камер от остатков отбитой руды, проходки подготовительно-нарезных выработок, а также для механизации вспомогательных работ применяется, как правило, самоходное оборудование.
Погрузочно-доставочное оборудование должно быть обеспечено отбитой рудой не менее чем на две смены работы.
Технико-экономические показатели проектируемой системы разработки с доставкой руды силой взрыва не должны существенно отличаться от приведенных ниже:
Удельный объем подготовительно-нарезных работ, м3/1000 т 30 - 70
Удельный расход ВВ на отбойку, кг/т 0,4 - 1,2
Производительность труда рабочего по системе, м3/чел.-смену 15 - 35
Системы разработки подэтажных штреков и этажно-камерная
Высоту подэтажей при подэтажной отбойке принимать не более 20 м. При мощности залежи до 20 м камеры, как правило, располагать по простиранию. При мощности залежи свыше 20 м камеры следует располагать вкрест простирания и их длина должна быть ограничена мощностью рудного тела. Размеры допустимых обнажений руды и вмещающих пород следует определять по результатам исследований или по аналогии.
Технико-экономические показатели проектируемых систем разработки подэтажных штреков и этажно-камерной не должны существенно отличаться от приведенных в табл. 3.5.
Таблица 3.5
Технико-экономические показатели систем разработки
подэтажных штреков и этажно-камерной
Показатели | Система разработки |
подэтажные штреки (орты) | этажно-камерная |
Удельный объем подготовительно- нарезных работ, м3/1000 т | 20 - 90 | 30 - 35 |
Производительность труда рабочего по системе, м3/чел.-смену | 10 - 30 | 20 - 35 |
Системы разработки с магазинированием руды
В зависимости от горно-геологических условий следует по возможности применять варианты систем, исключающие необходимость пребывания людей в пространстве, в том числе:
с магазинированием руды, отбиваемой глубокими скважинами из фланговых восстающих;
с магазинированием руды, отбиваемой короткими скважинами из сближенных восстающих (с использованием механизированных комплексов).
Параметры очистного блока не должны существенно отличаться от приведенных ниже:
высота блока (этажа) - 40 - 50 м;
длина блока - 50 - 60 м;
ширина блока (камеры) равна мощности рудного тела, но не менее 1 м;
расстояние между буровыми восстающими при варианте системы разработки с отбойкой руды глубокими скважинами 14 - 16 м (при условии выдержанной мощности рудного тела как по простиранию, так и по восстанию - до 20 м);
ширина междукамерных целиков (при мощности рудного тела более 3 м) - 6 - 10 м, при мощности рудных тел менее 3 м междукамерные целики можно не составлять, их роль выполняют закрепленные сплошной венцовой крепью блоковые восстающие.
Принимаемые в проекте технико-экономические показатели системы с магазинированием руды не должны существенно отличаться от приведенных ниже:
удельный объем подготовительно-нарезных работ, м3/1000 т 30 - 100;
удельный расход ВВ на отбойку, кг/м3 1,2 - 1,9;
производительность труда рабочего по системе
при отбойке, м3/чел.-смену:
мелкошпуровой 4 - 6,5;
глубокими скважинами 9 - 12;
средняя производительность блока, тыс. т/мес 6 - 7.
Система разработки с закладкой выработанного пространства.
Общие положения
Параметры выемочного участка определяются в проекте, исходя из технологических соображений, возможности наиболее эффективного использования самоходного оборудования и требований безопасности ведения горных работ.
Нормативную прочность закладки определять в зависимости от физико-механических свойств руд и вмещающих пород, параметров искусственных опор и конструктивных элементов очистных камер по рекомендациям научно-исследовательских институтов.
Для упрощения схем подготовки, улучшения условий вентиляции и решения других технологических задач рекомендуется создавать в твердеющей закладке (в момент ее нахождения в жидкой фазе) каналы и выработки с помощью переносных опалубок (ПО).
Система горизонтальных слоев с твердеющей закладкой
а) Вариант с восходящим порядком выемки слоев:
Ширину слоя принимать в зависимости от устойчивости руд, прочности закладки и типа применяемого оборудования.
Толщина отбиваемого слоя определяется типом буровых машин, допускаемая высота незаложенного пространства - устойчивостью рудной стенки очистной выработки, а также типом оборудования для бурения, безопасного осмотра, крепления и сборки кровли и стенок, но они не должны превышать величин, указанных в § 2.7 "Инструкции по безопасному применению самоходного оборудования в подземных рудниках".
Длину блока принимать в пределах удвоенной оптимальной длины доставки руды на слое. При скреперной доставке максимальную длину скреперования принимать равной 30 м.
При применении твердеющей закладки рудное тело следует разрабатывать без оставления междублоковых целиков.
Нормативную прочность твердеющей закладки в почве очистной выработки определять из условий работы на ней самоходного оборудования. Для ковшовых ПТМ прочность верхнего слоя закладочного массива на глубину 0,5 м при прочности остальной части закладочного массива 0,3 - 0,5 МПа принимать следующую:
грузоподъемность ПТМ, т 3 8 12
нормативную прочность почвы, МПа 0,7 1,0 1,5.
При высоте вертикальных обнажений до 7 и нормативную прочность закладки в обнажении принимать 0,7 МПа.
Для улучшения дренажа воды при гидравлической и твердеющей закладках почве слоя следует придавать уклон не менее 1 - 2°.
б) Вариант с нисходящим порядком выемки слоев:
Высоту слоя принимать с учетом параметров буровых и кровлеоборочных машин и устойчивости стенок очистной выработки.
При разработке участков со слабыми рудами и у тектонических нарушений с ярко выраженной зоной дробления и расположением очистных выработок параллельно или под углом менее 30° к линии простирания плоскости нарушения высоту слоя следует принимать не более 4 м. Ширину очистных выработок определять в верхнем слое нарушенностью пород кровли, в нижних слоях - нормативной прочностью и структурой твердеющей закладки.
Нормативную прочность закладочного массива в смежной заходке на момент ее обнажения принимать равной 1 МПа, в кровле выработки при ширине выработки не более 6 м - 4 МПа, при ширине выработки 6 - 8 м - 8 МПа.
Толщина монолитного слоя закладки в кровле выработки при ширине не более 6 м должна быть не менее 1 м, а при ширине 6 - 8 м - 1,2 м. При мощности рудного тела не более 8 м выемку слоя допускается осуществлять сплошным забоем по простиранию, при большей мощности - заходками высотой также не более 8 м. При этом заходки можно отрабатывать последовательно либо через одну.
Опережение очистных работ в двух смежных по высоте слоях принимать в пределах 8 м. Разность отметок почвы соседних заходок, подрабатываемых впоследствии одной заходкой нижележащего слоя, не должна превышать +/- 0,4 м.
Для полноты закладки выработанного пространства очистным выработкам необходимо придавать уклон не менее угла растекания закладочной смеси.
Камерные системы разработки с твердеющей закладкой
Выемку руды при камерно-целиковой системе разработки с закладкой следует проводить без захода людей в очистное пространство. При этом выемку камер и целиков в зависимости от угла падения залежи следует осуществлять одной из систем:
пологие залежи - системой подэтажных штреков;
наклонные залежи - системой с доставкой руды силой взрыва;
крутопадающие залежи - системой подэтажных штреков (ортов).
Система подэтажного обрушения
Систему подэтажного обрушения можно применять в вариантах с площадным и торцевым выпусками руды. В первом случае из доставочных выработок проходят погрузочные заезды и производят массовую отбойку руды в блоке, во втором - массовую или послойную отбойку руды.
Основные параметры системы разработки:
длина блока - до 100 м,
высота блока - до 100 м,
высота подэтажа - 10 - 20 м,
ширина блока по мощности рудного тела - не менее 35 м.
Систему подэтажного обрушения с торцевым послойным выпуском руды и использованием самоходного оборудования применять в двух вариантах: с оставлением или без оставления временного козырька над доставочными выработками.
При оставлении козырька основные запасы подэтажа, находящиеся над козырьком и отбиваемые в первую очередь, можно обуривать из буровой выработки, расположенной выше горизонта доставками, и из погрузочно-доставочной выработки. В последнем случае козырек образуется в результате недозаряжения скважин.
Доставочные выработки располагать в залежах мощностью более 35 м вкрест простирания, при меньшей мощности - по простиранию или диагонально к простиранию, если нет ограничений по устойчивости руд и пород.
Для повышения устойчивости днища блока торцевой выпуск можно производить через окна в потолочине доставочной выработки, которые создают последовательно по мере выпуска руды. В этом случае сторону квадрата окна следует принимать равной ширине выработки.
До начала очистных работ необходимо пройти:
наклонный съезд для самоходного оборудования, который может иметь прямолинейную зигзагообразную трассу;
подэтажные буровые и доставочные выработки, восстающие (рудоспуски);
камеры сопряжения рудоспусков с подэтажными выработками;
вентиляционные выработки (при необходимости).
Технико-экономические показатели проектируемой системы разработки подэтажного обрушения не должны существенно отличаться от приведенных ниже:
Удельный объем подготовительно-нарезных работ, м3/1000 т 30 - 90
Удельный расход ВВ на отбойку, кг/м3 1,2 - 1,3
Средняя производительность блока, тыс. т/мес 15 - 50
Производительность труда рабочего по системе, м3/чел.-см. 10 - 30
Система этажного обрушения
Систему применять при неслеживающейся и несамовозгорающейся руде.
При разработке неустойчивых и трещиноватых рудных тел следует принимать одностадийную выемку.
При двухстадийной выемке очередность и сроки разработки запасов в этаже должны исключать накапливание запасов руды в целиках и консервацию рудных площадей.
Обрушение целиков и потолочин в блоках на компенсационные камеры предусматривать в один прием.
Объем компенсационных камер должен обеспечивать коэффициент разрыхления руды после отбойки не менее 1,15. Размеры камер для вновь строящегося рудника принимать по аналогам или результатам исследований.
Размеры блоков в плане выбирать с учетом горнотехнических условий так, чтобы при эффективном использовании принятого оборудования было обеспечено планомерное обрушение налегающих пород.
Для разработки мощных, а также крутопадающих залежей любой мощности принимать максимально возможную в конкретных условиях высоту блока.
При подготовке блоков и панелей к очистной выемке необходимо проходить наклонный съезд (блоковый, участковый) для передвижения самоходного оборудования.
Высоту подэтажа (при обуривании из подэтажных выработок) принимать в пределах 12 - 40 м. Меньшие значения соответствуют применению скважин меньшего диаметра и меньшей мощности рудного тела, большие значения - применению скважин увеличенного диаметра и отработке мощных залежей.
Параметры буровзрывных работ предусматривать такими, чтобы обеспечивалась необходимая кусковатость руды с минимальным выходом негабарита.
Способ подготовки днища (доставочные выработки с воронками из дучек; траншейная подсечка с выработками выпуска и доставки; бесцеликовое днище с торцевым выпуском) выбирать с учетом устойчивости руд и принятого забойного оборудования.
В целях снижения потерь и разубоживания предусматривать:
максимально возможную высоту блока;
траншейное или бесцеликовое днище;
максимальный объем выпуска чистой руды из блока при двухстадийной выемке.
Технико-экономические показатели системы этажного обрушения, принимаемые в проекте, не должны существенно отличаться от приведенных в таблице 3.6.
Таблица 3.6
Технико-экономические показатели системы этажного обрушения
Показатели | Варианты системы разработки с отбойкой руды |
в зажиме | на компенсационные камеры |
Удельный объем подготовительно- нарезных работ, м3/1000 т | | |
Производительность труда рабочего по системе, м3/чел.-смену | 20 - 45 | 15 - 40 |
Производительность блока, тыс. т/мес | 15 - 20 |
<*> Меньшие значения соответствуют отработке мощных залежей при большой высоте этажа. |
3.7. Подготовительно-нарезные работы
3.7.1. Общие положения
При проектировании подготовительно-нарезных работ решаются следующие основные задачи:
определение объема работ по проходке;
обоснование принимаемых видов и объемов крепления горных выработок;
выбор технологической схемы проходки выработок;
обоснование принятых скоростей проведения выработок различного назначения;
определение потребного количества оборудования;
определение расхода материалов;
обоснование необходимых штатов трудящихся.
3.7.2. Объем работ по проходке
подготовительно-нарезных выработок
Учитывая, что себестоимость проходческих работ относительно высока и составляет значительную часть в затратах на добычу единицы полезного ископаемого, их объем должен определяться как можно более тщательно и обоснованно. В начале данного раздела необходимо привести характеристику всех проектируемых выработок с указанием их значения и обоснованием принимаемого сечения в свету. Как правило, последнее определяется применяемым оборудованием: проходческим, очистным или транспортным. На основании погоризонтных планов и чертежей систем разработки определяется общий объем подготовительных работ и объемы руды и пустой породы при проходке подготовительно-нарезных выработок. Результаты подсчетов фиксируются в таблице по
форме 3, которая помещена в разделе "Системы разработки".
Заканчивается раздел описанием проектной схемы доставки пустой породы и руды из подготовительно-нарезных работ по подземным выработкам.
3.7.3. Крепление горных выработок
Определение необходимости крепления горных выработок и выбор типа крепи, как правило, должны осуществляться на базе результатов научно-исследовательских работ в области изучения возможных форм и характера проявления горного давления. Научно-исследовательские работы должны своевременно заказываться соответствующим институтам и иметь своей целью выдачу рекомендаций по оптимальным видам и объемам крепления различных выработок применительно к конкретным горнотехническим условиям проектируемого предприятия.
В случае отсутствия рекомендаций научно-исследовательских институтов допускается в проекте принимать решения по объему крепления и типам крепи выработок на основе имеющегося опыта поддержания горных выработок на данном предприятии и, как исключение, на аналогичном по горнотехническим условиям предприятии отрасли.
Распределение видов крепи и обоснование их типов предлагается приводить в проекте в таблице по форме 4. В графической части проекта (на стадии проекта или рабочего проекта) приводятся сечения закрепляемых подготовительно-нарезных выработок, сопряжений (в случае необходимости) горизонтальных, наклонных и вертикальных выработок на горизонтах скреперования, грохочения и на подэтажах.
Таблица технических решений и показателей
по проходке подготовительно-нарезных выработок
┌────────────────────────┬──────────┬──────────────────┬──────────────────┐
│Наименование показателей│ Единицы │ Подготовительные │ Нарезные │
│ │измерения ├────────┬─────────┼────────┬─────────┤
│ │ │горизон-│восстаю- │горизон-│восстаю- │
│ │ │тальные │щие │тальные │щие │
├────────────────────────┼──────────┼────────┼─────────┼────────┼─────────┤
│ 1 │ 2 │ 3 │ 4 │ 5 │ 6 │
├────────────────────────┼──────────┼────────┼─────────┼────────┼─────────┤
│Сечение выработки │ м2 │ │ │ │ │
│в проходке │ │ │ │ │ │
│Крепость руды │ f │ │ │ │ │
│по М.М. Протодьяконову │ │ │ │ │ │
│То же, породы │ f │ │ │ │ │
│Крепление выработок: │ │ │ │ │ │
│железобетонными штангами│ % │ │ │ │ │
│монолитным бетоном │ % │ │ │ │ │
│сборным железобетоном │ % │ │ │ │ │
│спецпрофилем и т.д. │ % │ │ │ │ │
│ │ │ │ │ │ │
│Уходка забоя за цикл │ м │ │ │ │ │
│Коэффициент │ КИШ │ │ │ │ │
│использования шпура │ │ │ │ │ │
│Расчетная скорость │ м/сутки │ │ │ │ │
│проходки на забой │ ------- │ │ │ │ │
│ │ м/мес │ │ │ │ │
│ │ │ │ │ │ │
│на комплекс (бригаду) │ м/сутки │ │ │ │ │
│ │ ------- │ │ │ │ │
│ │ м/мес │ │ │ │ │
│ │ │ │ │ │ │
│Количество шпуров │ шт. │ │ │ │ │
│на забой │ │ │ │ │ │
│Длина доставки отбитой │ м │ │ │ │ │
│горной массы до │ │ │ │ │ │
│перегрузки (средняя) │ │ │ │ │ │
│Оборудование (входящее │ тип │ │ │ │ │
│в комплекс) │ ---- │ │ │ │ │
│ │ кол. │ │ │ │ │
│бурение шпуров │ │ │ │ │ │
│погрузка горной массы │ │ │ │ │ │
│доставка │ │ │ │ │ │
│заряжание шпуров │ │ │ │ │ │
│крепление │ │ │ │ │ │
│проветривание │ │ │ │ │ │
│производительность │ п.м/чел. │ │ │ │ │
│трудящегося на проходке │ -------- │ │ │ │ │
│(без ИТР) │ смен │ │ │ │ │
│ │ │ │ │ │ │
│ │ м3/чел. │ │ │ │ │
│ │ ------- │ │ │ │ │
│ │ смену │ │ │ │ │
│Расход материалов │ │ │ │ │ │
│и энергии на 1 п.м │ │ │ │ │ │
│ ВВ │ кг │ │ │ │ │
│ ОШ │ м │ │ │ │ │
│капсюль-детонаторы │ шт. │ │ │ │ │
│лес (шпалы) │ м3 │ │ │ │ │
│сборный железобетон │ м3 │ │ │ │ │
│бетон │ м3 │ │ │ │ │
│штанговая крепь │ шт. │ │ │ │ │
│спецпрофиль (металл) │ кг │ │ │ │ │
│буровые коронки │ шт. │ │ │ │ │
│буровая сталь │ кг │ │ │ │ │
│электроэнергия │ квтч │ │ │ │ │
│сжатый воздух │ м3 │ │ │ │ │
│щебень │ м3 │ │ │ │ │
│дизельное топливо │ кг │ │ │ │ │
│шины │ шт. │ │ │ │ │
│Явочный штат трудящихся │ чел. │ │ │ │ │
│на комплекс (без ИТР) │ │ │ │ │ │
│сменный │ │ │ │ │ │
│суточный │ │ │ │ │ │
└────────────────────────┴──────────┴────────┴─────────┴────────┴─────────┘
3.7.4. Выбор технологической схемы проходки выработок
Под термином "технологическая схема проходки выработок" подразумевают способ выемки породы, порядок и организацию выполнения проходческих работ в забое (забоях), тип и число применяемых машин и механизмов, способ и время возведения постоянной крепи, увязку между собой отдельных работ.
При технологической схеме проходки необходимо учитывать следующие основные факторы:
крепость пересекаемых пород;
размеры поперечного сечения выработки;
наличие или возможность своевременного получения того или иного оборудования, типа машин;
возможный фронт работ (один или несколько забоев);
необходимый уровень интенсификации проходческих работ;
максимально возможную степень унификации проходческого и очистного оборудования.
Учитывая современный высокий уровень цен на производительное проходческое оборудование, необходимо в проекте предусматривать такую организацию работ, которая позволяла бы максимально во времени использовать эту технику, тем самым сократив общий парк машин.
Технико-экономические расчеты показывают, что ощутимый эффект получается в случае концентрации проходческих работ и организации многозабойного обслуживания одним комплексом машин.
3.7.5. Определение производительности отдельных
проходческих машин или комплекса оборудования
Поскольку методикой рекомендуется для проходки подготовительно-нарезных выработок предусматривать в проектах новое высокопроизводительное самоходное оборудование, на которое в действующих нормативных документах отсутствуют, как правило, нормы выработок и времени на выполнение основных и вспомогательных процессов, производительность машин необходимо определить в проекте расчетным путем.
Техническая производительность

буровых кареток и погрузочно-доставочных машин определяется на основании методических указаний, изложенных в
разделе "Очистные работы. Выбор типа и определение количества оборудования".
Скорость проходки выработок или производительность новых (перспективных) комплексов оборудования определяется на базе детальных расчетов трудовых и временных затрат на каждую из операций проходческого цикла, а также построения циклограммы как при однозабойной, так и при многозабойной организации работ.
Нормы времени и выработки на процессы, выполняемые с использованием серийно изготовляемого оборудования, определяются по "Единым нормам выработки (ЕНВ)" или региональным нормам выработки, предназначенным для нормирования работ, выполняемых на горнодобывающих предприятиях бассейна (района) и учитывающих условия этих предприятий.
Объем работ на 1 м выработки определяется:
при уборке горной массы - согласно сечению проектируемой выработки;
при буровзрывных работах - согласно расходу ВВ на 1 м выработки, принимаемому по нормам технологического проектирования горнодобывающих предприятий с подземным способом разработки;
при креплении - в соответствии с принятым типом (способом) крепления выработок на основе рекомендаций соответствующих научно-исследовательских работ или имеющегося производственного опыта.
Количество циклов в сутки и уходка забоя за цикл определяются исходя из условий выполнения взрывных работ в междусменные перерывы с учетом технических возможностей оборудования и времени на выполнение основных и вспомогательных процессов, от которых зависит продолжительность цикла работ.
Производительность комплекса в сутки рассчитывать по формуле:

, м/сутки, (3.82)
где

- уходка забоя за цикл, м;

- количество забоев, обслуживаемых одним комплексом, машин;

- количество циклов, выполняемых в одном забое за сутки.
3.7.6. Определение потребного количества оборудования,
расхода материалов, энергии и штатов трудящихся
При определении потребного количества оборудования для проходки подготовительно-нарезных выработок необходимо учитывать следующие факторы:
наличие фронта работы на смену (для единичных забоев) или длительный период времени (при многозабойном обслуживании одним комплексом);
возможность использования оборудования на других работах при выполнении в забое остальных технологических процессов;
необходимость капитального ремонта машин (10% от рабочего парка);
необходимость профилактического ремонта (20% от общего парка);
возможная неравномерность работ в течение года (25% от общего парка);
возможность использования высокопроизводительного самоходного вспомогательного оборудования в нескольких забоях в течение смены (машины для крепления выработок, осмотра и сборки кровли, доставки материалов, заряжания и взрывания шпуров и т.д.).
Рабочий парк машин определяется на основе выполнения необходимого объема работ и проверяется расстановкой конкретных машин и комплексов по забоям (группам забоев с учетом вышеперечисленных факторов).
Определение расхода материалов осуществляется на основе данных, приведенных в НТП (главы 4.16 и 4.17), паспортов крепления горных выработок и технических характеристик соответствующего оборудования с учетом его задолженности на работах в забое (электроэнергия, дизельное топливо, шины, сжатый воздух).
Явочный штат трудящихся в сутки рассчитывается из условия обслуживания необходимого рабочего парка машин и выполнения прочих работ в забое (забоях), трудоемкость которых нормирована соответствующими общесоюзными, отраслевыми или бассейновыми документами. Штат на выполнение таких работ определяется по формуле:

, (3.83)
где Т - суммарная трудоемкость на проведение 1 м выработки, чел.-см.
Суммарные результаты технических решений сводятся в таблицу по
форме 4.
3.8.1. Порядок проектирования очистной выемки руды
Очистные работы включают в себя подсечку и отрезку рудного массива, его отбойку, выпуск и доставку полезного ископаемого до средств магистрального транспорта, а также поддержание выработанного пространства.
При проектировании очистных работ решается следующий круг вопросов:
разрабатывается порядок ведения очистной выемки;
выбирается оборудование и определяется его производительность;
рассчитываются параметры буровзрывных работ, расход материалов и энергии, штат трудящихся и производительность труда.
Как правило, в очистные работы входят следующие производственные процессы: буровзрывные работы, выпуск и транспортирование руды в пределах блока, а при некоторых системах разработки отдельным производственным процессом является поддержание выработанного пространства.
Если в проект закладывается несколько систем разработки (или одна система с разными параметрами выемочной единицы), то все расчеты очистной выемки следует вести отдельно для каждой системы (модификации), предельно определив ее долевое участие в общей добыче руды.
3.8.2. Расчет параметров буровзрывных работ
Параметры буровзрывных работ, отвечающие принятой технологии и механизации очистной выемки, необходимо устанавливать на основании опыта работы проектируемого предприятия или его аналогов со сходными горно-геологическими и горнотехническими условиями. При невозможности использовать в проекте данные практики параметры буровзрывных работ определяются по формулам, приведенным ниже, и по нормативным документам.
За исходный параметр буровзрывного комплекса следует считать величину линии наименьшего сопротивления (л.н.с.), так как при ее оптимизации с учетом физико-механических свойств горных пород, типа и удельного расхода ВВ, диаметра скважин достигается выход негабарита, при котором эксплуатационная производительность погрузочно-доставочного оборудования, принятого в проекте, являлась бы оптимальной.
На основании ряда инженерно-технических и технико-экономических расчетов научно-исследовательскими и проектными горнорудными институтами установлено, что при современном уровне буровзрывных работ экономически целесообразная величина выхода негабарита должна быть в пределах 1 - 3%, при размере кондиционного куска 600 - 1000 мм.
Расчетным путем линию наименьшего сопротивления (W) рекомендуется определять по следующим формулам:
а) при пучковом расположении скважин

, м, (3.84)
б) при одинарном расположении скважин

, м, (3.85)
где d - диаметр скважины, м;
G - теплота взрыва 1 кг ВВ, ккал;
n - число скважин в пучке, шт.;
b - коэффициент, учитывающий эффект совместного воздействия близко расположенных зарядов (величину принимать: при n = 2 b = 1,1; n = 3 b = 1,0; n = 4 b = 0,95 и при n = 5 и более b = 0,89);
L - коэффициент, учитывающий трещиноватость рудного массива; величину этого коэффициента рекомендуется принимать:
для монолитных и малотрещиноватых руд L = 1,0; для руд средней трещиноватости - L = 0,8 - 0,9; для сильно трещиноватых руд L = 0,6 - 0,7;

- процент выхода негабаритных кусков, %;

- плотность заряда ВВ в скважине, г/см3;
c - размер принятого кондиционного куска, мм;
f - коэффициент крепости пород по шкале проф. М.М. Протодьяконова;
m - коэффициент сближения скважин (рекомендуется принимать равным 1,1 - 1,2).
Формулы (3.84),
(3.85) пригодны для определения л.н.с. как при отбойке руды на открытое пространство, так и в закрытой среде.
Объем руды, отбиваемой комплектом скважин, рассчитывается по формуле:
| | ИС МЕГАНОРМ: примечание. Формулы даны в соответствии с официальным текстом документа. | |
Vр = Sсл x W, м3, (3.86)
где Sсл - площадь отбиваемого слоя, м2.
Расход ВВ на этот объем составит:

, кг, (3.87)
где

- удельный расход взрывчатки, кг/м3 (принимается по данным практики или по нормам технологического проектирования горнодобывающих предприятий металлургии с подземным способом разработки, глава 4.16).
Общая длина комплекта скважин определится:

, м, (3.88)
где

- плотность заряда ВВ в скважине, кг/м3;
Kскв - коэффициент использования скважин.
При необходимости, исходя из общей длины комплекта, графическим путем находится количество скважин и определяется их расположение в отбиваемом слое.
Выход руды с 1 пог. м скважины определяется из выражения:

, т/м, (3.89)
где

- плотность руды, т/м3;
Kиз - коэффициент извлечения руды;
r - разубоживание руды в долях единицы.
3.8.3. Выбор типа и определение количества оборудования
для ведения очистных работ
Оборудование для очистных работ необходимо выбирать с учетом горнотехнических условий: крепости руд, мощности рудных тел, принимаемой системы разработки, глубины и направления скважин, стремясь при этом максимально механизировать все производственные процессы и обеспечить высокую производительность и экономическую эффективность применяемых машин и механизмов.
Производительность оборудования, опыт эксплуатации которого на горных предприятиях страны отсутствует (или весьма невелик), следует определять на основании инженерных расчетов; для остальных машин можно пользоваться нормами технологического проектирования (главы 4.16 и 4.17) или опытом применения их на передовых отечественных рудниках.
Основой для расчета сменной эксплуатационной производительности очистного оборудования являются его производительность и время работы в течение смены.
Для самоходных буровых станков вращательно-ударного бурения и буровых кареток сменную производительность рекомендуется определять по формуле:

, м/смену, (3.90)
где T - продолжительность смены, мин;
Tпз - время подготовительно-заключительных операций, Tпз = 40 мин;
Tлн - время на личные надобности рабочих, Tлн = 10 мин;
Tвзр - время на заряжание в среднем за смену шпуров и скважин (при шпуровой отбойке Tвзр = 20 мин, при скважинной - 10 мин). Если буровая установка обуривает целиком всю панель без вывода ее из забоя на время взрывных работ, Tвзр = 0;
0,93 - коэффициент, учитывающий время на отдых бурильщиков;
Aтех - техническая производительность бурового станка или каретки, м/час

, м/час, (3.91)
где lбур - глубина бурения, м;
vбур - механическая скорость бурения, м/мин (принимается по техническим характеристикам бурового оборудования);
nбур - количество бурильных машин, шт.;
kо - коэффициент одновременности работы бурильных машин (принимается для буровых станков с двумя и тремя буровыми машинами соответственно 0,75 и 0,65; для буровых кареток - 0,8 и 0,7);
tвсп - время вспомогательных операций, отнесенное к одной скважине (шпуру).
Для буровых станков tвсп определяется из выражения:

, м/скв., (3.92)
где Пшт. - число наращиваемых штанг (например, бурение производится 10 штангами, следовательно наращивать надо 9 штанг);
tнар - tсн = 0,8 мин - время на наращивание и извлечение (снятие) одной штанги;
6 - время переезда станка с ряда на ряд или с веера на веер, мин;
Пскв - количество скважин, буримых с одной установки;
tзаб - время установки на скважину, забуривание и смену коронки, tзаб = 1,5 мин.
Для буровых кареток tвсп следует определять по формуле:

, мин/шпур, (3.93)
где tпер - время вспомогательных операций по перестановке буровой машины от шпура к шпуру, включая забуривание и обратный ход, tпер = 1,5 мин/шпур;
tкор - время замены коронки, tкор = 2 мин;
lкор - срок службы коронок до заточки, м (рассчитывается по данным, приведенным в нормах технологического проектирования в табл. 4.17).
Эксплуатационную производительность очистного оборудования для выпуска, погрузки и доставки руды в течение 7-часовой рабочей смены рекомендуется определять по следующим формулам:
а) Вибрационные питатели:

, т/см, (3.94)
где Qт - техническая производительность виброустановки, м3/мин;

- насыпная плотность руды, т/м3;
tлз - удельные затраты времени на ликвидацию зависаний руды в выпускных выработках, мин/м3 в целике; tл.з. = 0,08 мин/м3;

- выход негабарита конкретной фракции, % (принимается по результатам маркшейдерских замеров, ориентировочные значения для различных размеров кондиционных кусков приведены в НТП, в табл. 4.31);
tву - удельные затраты на дробление негабарита различного размера, мин/м3 в целике (tву определяется по графику на
рис. 3.5);
tоп - затраты времени на ожидание порожняка, отнесенные к 1 м3 руды в целике, мин/м3 (при использовании на откатке руды электровозов со сцепным весом 10 т - tоп = 0,38 мин/м3; 14 т - tоп = 0,35 мин/м3; 28 т - tоп = 0,3 мин/м3);
Пв - количество загружаемых емкостей в составе, шт.;
Vв - объем кузова загружаемой емкости, м3.
Рис. 3.5. Удельные затраты времени (tвд) на дробление
негабарита различного размера (C)
При наличии смотрового горизонта в днище блока не исключена возможность такой организации работ по выпуску и погрузке руды вибропитателями, когда дробление негабарита будет производиться в интервалах между прибытием транспортных средств к месту погрузки.
При работе вибрационной установки в комплексе с доставочным конвейером
формула (3.94) примет следующий вид:

, т/см, (3.95)
б) Погрузочно-доставочные комплексы "погрузочная машина - самоходный вагон (автосамосвал)":

, т/см, (3.96)
где Qт - теоретическая производительность погрузочной машины, м3/мин;
Kт - коэффициент, учитывающий степень использования теоретической производительности;
tл.з. - удельные затраты времени на ликвидацию зависаний, м3/мин (при фронтально-торцевом выпуске руды и погрузке из штабеля Kт = 0,7, tл.з. = 0,25; при выпуске руды из торца выработки шириной не более 5 м Kт = 0,6, tл.з. = 0,3);
L - средняя длина доставки, м;
v - средняя скорость движения самоходного вагона (автосамосвала), м/мин;
tраз - время разгрузки вагона (автосамосвала);
Vк - емкость кузова, м3.
в) Погрузочно-транспортные машины (ПТМ):

, т/см, (3.97)
где Vк - емкость ковша (кузова), пдм x м3;
tз - время заполнения ковша (кузова), мин;
tраз - время разгрузки, мин;
v - средняя скорость движения, м/мин.
Значения Vк, tз, tраз, v для различных марок ПТМ следует принимать по данным технических характеристик.
L - средняя длина доставки, м;
tлз - удельные затраты времени на ликвидацию зависаний, мин/м3 (при ПТМ типа ПТ-4 и ПТ-6 tл.з. ~= 0,27 мин/м3).
Техническая (часовая производительность погрузочно-транспортных машин рассчитывается по следующей формуле:
| | ИС МЕГАНОРМ: примечание. Нумерация формул дана в соответствии с официальным текстом документа. | |

, м3/час, (3.97)
где

- коэффициент заполнения кузова (ковша).
Сменная производительность зарядной установки рассчитывается следующим образом:

, т/см, (3.99)
где

- удельный расход взрывчатки, кг/м3;
Hв - норма выработки, кг ВВ на звено в смену (принимается по справочникам технического нормирования).
Число рабочих (состав звена), занятых непосредственно заряжанием, определяется глубиной скважин. При заряжании восходящих скважин глубиной до 20 и нисходящих скважин - состав звена 3 человека. При заряжании восходящих скважин глубиной более 20 м - 4 человека.
По эксплуатационной производительности и объемам работ, приходящихся на конкретную марку очистного оборудования, определяется его количество и число забоев, находящихся в стадии очистной выемки. При этом учитывается возможность перемещения машин и механизмов по фронту ведения работ: из забоя в забой, из блока в блок, с участка на участок, с горизонта на горизонт, а для стационарных установок и необходимость их монтажа и демонтажа. Например, при системе этажного обрушения с ортовой подготовкой и вибровыпуском руды годовую производительность 1 млн. т обеспечивают 4 одновременно работающих вибропитателя. Но учитывая, что вибрационные установки должны работать поочередно в течение смены (суток) по всей длине погрузочной выработки, рабочий парк питателей будет равен количеству установок, смонтированных в четырех ортах, и количеству установок, находящихся в монтаже в период выпуска из действующих забоев. Если имеется возможность одновременной работы двух питателей в погрузочной выработке, для расчета рабочего парка принимается количество установок, смонтированных в двух ортах.
Число вибрационных питателей, находящихся в монтаже, определяется исходя из количества блоков в стадии подготовительно-нарезных работ.
Инвентарный парк очистного оборудования рассчитывается через коэффициент резерва, учитывающий коэффициент неравномерности добычи, а также коэффициенты резерва на машины, находящиеся в текущем и капитальном (для оборудования, подлежащего кап. ремонту) ремонте.
3.8.4. Расчет явочного штата рабочих
и производительности труда
Явочный штат трудящихся на очистных работах определяется по числу одновременно работающих единиц оборудования и принятого режима работы рудника. Число рабочих, занятых на немеханизированных вспомогательных процессах, рассчитывается исходя из существующих норм выработки (отраслевых или действующих на проектируемом предприятии). Если в проект закладывается новое оборудование, применение которого не учитывается действующими нормами, то конкретные нормативы должны быть откорректированы. Основой для корректировки должна служить опытная эксплуатация нового оборудования на рудниках страны, а также технико-экономические показатели применения его аналога, если оно имеет место, на зарубежных горнорудных предприятиях.
Производительность труда рабочих на очистной выемке руды рассчитывается следующим образом:
а) производительность труда бурильщика

, т/чел.-см., (3.100)
где nбур - количество рабочих, обслуживающих буровую установку, чел.;
б) производительность труда рабочего на выпуске и доставке руды:

, т/чел.-см., (3.101)
где Aдост - эксплуатационная производительность погрузочно-доставочной установки или комплекса, т/см;
nдост - количество рабочих, занятых на обслуживании установки или комплекса в течение смены, чел.;
в) производительность труда очистного рабочего:

, т/чел.-см., (3.102)
где Aоч - среднесменное количество руды, добываемое на очистных работах, т;
nоч - явочный (сменный) штат очистных рабочих, чел.
3.8.5. Определение расходов энергии и материалов
Расход электроэнергии и сжатого воздуха рассчитываются по технической характеристике оборудования и времени работы его двигателей в течение смены.
Расход взрывчатых веществ определяется по формуле:

, кг/т, (3.103)
где

- удельный расход ВВ на вторичное дробление, кг/т (принимается по данным практики или нормативным значениям, приведенным в НТП, в табл. 4.23);

- плотность заряда ВВ в скважине, кг/м3.
Расход детонирующего шпура рассчитывается по формуле:

, кг/т. (3.104)
Расход электродетонаторов при электровзрывании принимается по количеству скважин в комплекте с учетом запаса (10%);
расход буровой стали и коронок, армированных твердым сплавом, принимается по данным практики или нормам технологического проектирования (табл. 4.17, 4.18 и 4.19);
расход шин для погрузочно-транспортных машин, автосамосвалов и самоходных вагонов определяется по среднесменному пробегу и предельному сроку службы шины (Tпред): для ПТМ Tпред = 1000 км, для автосамосвалов и вагонов - 7000 км.
Расход дизельного топлива погрузочно-транспортными машинами и самоходными вагонами с двигателями внутреннего сгорания рекомендуется определять из выражения:

, кг/т, (3.105)
где Nдв - установленная мощность двигателя, кВт;
Tдв - время работы двигателя в течение смены, час;
Kоб - коэффициент, учитывающий повышение расхода топлива на обкатку, регулировку, холостые разъезды, Kоб = 1,06;

,

- расход топлива на 1 кВт в час соответственно на холостом ходу двигателя и во время работы машины (

,

);
Kм - коэффициент использования двигателя по мощности, Kм = 0,6.
Смазочные материалы принимаются в процентах от расхода горючего по нормам технологического проектирования (глава 4.17).
3.8.6. Особенности проектирования очистной выемки
при системах разработки с креплением и закладкой
выработанного пространства
Для систем разработки, где поддержание выработанного пространства является самостоятельным производственным процессом (например, система с креплением или закладкой), при проектировании очистной выемки дополнительно определяют объемы связанных с ним работ, порядок их ведения, выбирается оборудование, рассчитывается штат трудящихся, расход материалов и энергии.
Проектирование закладочных работ следует осуществлять в соответствии с нормативными требованиями, приведенными в НТП (глава 4.18).
Расстояние между двумя смежными забоями (блоками, лентами, заходками) при системах с закладкой определяется по формуле:

, м, (3.106)
где Aсм - сменная производительность забоя, т;
Tсм - число рабочих смен в месяце;
Kрез - коэффициент резерва, Kрез = 1,2 - 1,25;
Sзаб - площадь сечения забоя (прирезки, заходки), м2;

- плотность руды, т/м3.
Коэффициент упрочнения междукамерного целика закладкой (У) при определении параметров камерно-целиковых систем с закладкой принимается при гидравлической закладке 1,5 + 1,6; при твердеющей закладке "У" рассчитывается по формуле:

, (3.107)
где hу, bу - соответственно высота и ширина междукамерного целика, м;
Eз, Eр - модуль упругости соответственно закладки и руды, кг/см2;

,

- коэффициент Пуассона закладки и руды;
K - коэффициент, учитывающий отношение допустимого сопротивления на сжатие руды

и закладки

(принимаются по таблице 3.7).
Таблица 3.7
┌─────────────┬───────────┬───────────┬───────────┬───────────┬───────────┐
│ р │ │ │ │ │ │
│ сигма │ 10 │ 20 │ 30 │ 40 │50 и более │
│ сж │ │ │ │ │ │
│ ------- │ │ │ │ │ │
│ з │ │ │ │ │ │
│ сигма │ │ │ │ │ │
│ сж │ │ │ │ │ │
├─────────────┼───────────┼───────────┼───────────┼───────────┼───────────┤
│ K │ 0,65 │ 0,68 │ 0,70 │ 0,72 │ 0,75 │
└─────────────┴───────────┴───────────┴───────────┴───────────┴───────────┘
3.10. Календарный график развития добычи руды
График развития добычи руды составляется с целью определения:
времени ввода проектируемых горизонтов;
времени ввода нижележащих горизонтов;
времени проектирования и строительства нижележащих горизонтов.
Переход очистных работ на нижележащий горизонт, как правило, должен осуществляться при наличии 50 - 60% запасов разрабатываемого (эксплуатационного) этапа и в исключительных случаях - не менее 30%. Составление графика развития добычи действующего предприятия производится с учетом отработки запасов, находящихся выше проектируемых этажей, и годовой производительности по утвержденному проекту.
Определение сроков отработки запасов проектируемого этажа производится согласно производительности, рекомендуемой составляемым проектом.
При отличающихся производительностях предыдущего проекта и настоящего определяется время (срок) изменения производительности.
Осложняющие обстоятельства (условия) - осушение, дренаж залежей, закладка, отставание проходки (углубки) стволов и др. - должны учитываться при составлении графиков.
График развития добычи является исходным материалом для составления ПОС (проекта организации строительства). ПОС и график должны быть взаимоувязаны между собой.
График развития добычи составляется исходя из эксплуатационных запасов, которые определяются по балансовым запасам с учетом коэффициента видимого извлечения.
График обычно составляется в виде таблицы, которая имеет следующий вид (форма 5).
График развития добычи руды
┌───────────┬───────────┬───────────┬─────────────────────────────────────┐
│ Этаж │ Запасы, │ Площадь, │ Годы │
│ -------- │ тыс. т │ тыс. м2 ├────────┬─────────┬────────┬─────────┤
│ горизонт │ │ │ │ │ │ │
├───────────┼───────────┼───────────┼────────┼─────────┼────────┼─────────┤
│Выше гор. │ │ │ │ │ │ │
│ │ │ │ │ │ │ │
│245 │ │ │ │ │ │ │
│ │ │ │ │ │ │ │
│245 - 325 │ │ │ │ │ │ │
│--------- │ │ │ │ │ │ │
│ 325 │ │ │ │ │ │ │
│ │ │ │ │ │ │ │
│325 - 405 │ │ │ │ │ │ │
│--------- │ │ │ │ │ │ │
│ 406 │ │ │ │ │ │ │
│ │ │ │ │ │ │ │
│ИТОГО: │ │ │ │ │ │ │
└───────────┴───────────┴───────────┴────────┴─────────┴────────┴─────────┘
В этаже (по горизонту) годовая добыча, обычно начиная с 5 - 10%, постепенно возрастает максимально до 70 - 80%, затем начинает снижаться. Годовая добыча, как правило, должна обеспечиваться не более как двумя этажами. Таким образом, оптимальным состоянием следует считать положение, при котором один этаж находится в доработке, второй в разработке и третий - в подготовке. Из такого состояния и следует исходить при решении сроков строительства проектируемых и нижележащих этажей.
В пояснительной записке к графику развития добычи излагаются основные принципы построения графика и выводы по срокам строительства проектируемых этажей, а также соображения по срокам проектирования и строительства нижележащих этажей.
3.11. Методические принципы формирования
комплексов горно-шахтного оборудования
3.11.1. Общие положения
Проектирование современных технологических схем подземных горных работ на рудниках должно предусматривать полную механизацию операций бурения, заряжания, погрузки и транспортирования горной массы от забоя до бункеров обогатительной фабрики, крепления горных выработок, закладки выработанного пространства и вспомогательных операций, включая доставку на участок оборудования и материалов, строительно-монтажные и ремонтные работы. Выбор и формирование комплексов горно-шахтного оборудования неразрывно связаны с проектированием систем разработки и технологической схемы выемки применительно к горнотехническим условиям конкретного месторождения и должны решаться совместно и параллельно в стадии составления горного и горномеханического разделов проекта.
Необходимо иметь в виду, что параметры оборудования тесно связаны с производительностью выемочных единиц и, следовательно, в значительной мере могут влиять на производительность рудника.
Выбору оборудования должно предшествовать изучение объекта проектирования в части обеспеченности трудовыми ресурсами, возможности и желательности увеличения объемов добычи или их поддержания на достигнутом уровне при ухудшении горнотехнических условий эксплуатации.
Выбор оборудования производится при установленной производственной мощности рудника и в процессе ее оптимизации.
Когда варианты механизации отличаются техническим уровнем производства, текущими издержками производства при сохранении объема добычи по руднику, оценку эффективности варианта механизации следует производить путем сопоставления сравнительных приведенных затрат по вариантам с учетом эффекта от высвобождения работников и экономического ущерба от потерь и разубоживания.
В случае изменения производительности рудника в зависимости от принятого варианта механизации работ оценка эффективности сравниваемых вариантов производится с учетом общего эффекта по руднику (предприятию) в целом.
При выборе варианта механизации необходимо рассматривать три группы показателей:
ожидаемые результаты;
предполагаемые затраты ресурсов;
время, необходимое для достижения результатов.
К ожидаемым результатам относятся:
приведенные затраты;
рентабельность капитальных вложений;
производительность выемочной единицы;
показатели извлечения руды.
Предполагаемые затраты ресурсов по вариантам характеризуются расходом трудовых, материальных, энергетических и финансовых ресурсов на полный и годовой объем производства и на единицу продукции.
Время, необходимое для достижения результатов, характеризуется продолжительностью выполнения технологических процессов в законченном цикле очистной выемки и временем задалживания ресурсов в процессе подготовки запасов к выемке.
Значение показателей, используемых при выборе вариантов механизации, зависит от большого числа факторов: естественных, технических, экономических и организационных, формирующих внешнюю среду.
К естественным факторам следует отнести:
крепость и устойчивость руды и вмещающих пород, мощность и угол падения рудных тел, запасы, глубину залегания месторождения, характер распределения полезного компонента в месторождении, ценность руды.
К техническим факторам следует отнести:
параметры оборудования, параметры системы разработки, запасы руды в выемочных единицах, установленную или оптимизируемую производительность рудника, нормативные скорости проведения выработок, расход трудовых, материальных и энергетических ресурсов на единицу работы.
К экономическим факторам относятся:
стоимость оборудования, материалов, энергии, рабочей силы, нормативные коэффициенты сравнительной эффективности и рентабельности капитальных вложений, величину сопутствующих капитальных вложений.
К организационным факторам относятся:
формы и методы организации труда, режим работы оборудования, порядок выполнения технологических процессов.
Выбор средств механизации производится методом перебора вариантов.
В объемах капитальных вложений, принимаемых для расчета эффективности варианта механизации, учитываются затраты по всем источникам финансирования. К таким затратам относятся:
затраты на приобретение и доставку, монтаж и демонтаж оборудования;
затраты на проведение и оборудование горнокапитальных выработок;
затраты на технические мероприятия, предотвращающие отрицательные последствия влияния применяемой техники на условия труда;
капитальные вложения в оборотные фонды, авансируемые на создание и поддержание фронта очистной выемки.
В текущих затратах учитываются:
затраты на погашение и амортизацию выработок;
затраты по процессам очистной выемки;
затраты по сопряженным с очистной выемкой процессам;
цеховые и общерудничные расходы.
При расчете капитальных вложений, эксплуатационных затрат, а также дополнительных показателей применяются цены, тарифы, ставки заработной платы и другие стоимостные нормативы, действующие в момент выполнения расчетов.
Расход материалов и энергии принимается по данным нормативных документов или на основе лучших показателей по оборудованию, работающему в аналогичных условиях.
3.11.2. Выбор оборудования
Месторождение делится на однотипные по горно-геологическим условиям выемочные участки, каждый из которых может быть отработан одной системой разработки.
Исходя из годовой производительности рудника и порядка отработки месторождения определяется объем добычи из выемочного участка на весь период эксплуатации.
Производительность выемочного участка при установленной производительности рудника определяется из условия

, (3.108)
где p - установленная годовая производительность рудника, т/год;
a - содержание полезного компонента в добытой рудной массе по руднику, %;
Qj - производительность j-ого выемочного участка, т/год;
aj - содержание полезного компонента в добытой руде из j-го участка, %.
Каждый выемочный участок делится на элементарные выемочные единицы, характеризующиеся своими конструктивными параметрами. Определяется максимально возможное число выемочных единиц в пределах выемочного участка в одновременной работе (исходя из технологических возможностей) и устанавливается минимально допустимая производительность выемочной единицы.
При выборе варианта механизации первоначально отбирают все типы и типоразмеры оборудования, технически приемлемого в рассматриваемых условиях. Затем из этого оборудования по логическим соображениям отбираются конкурентоспособные варианты, которые по сравнению с другими заведомо лучше по каким-то показателям. Конкурентоспособные варианты (обычно 2 - 3) характеризуются присущими им параметрами, сопоставляются между собой на основе экономического сравнения.
Факторы, влияющие на отбор оборудования, условно можно разделить на постоянные и переменные, которые выступают как ограничения в определенных условиях.
К постоянным факторам следует отнести:
крепость руды, конструктивные параметры и особенности системы разработки, размер кондиционного куска руды.
Крепость руды предопределяет выбор способа бурения.
Конструктивные параметры и особенности систем разработки регламентируют способ отбойки, глубину скважин, условия погрузки и доставки.
Размер кондиционного куска руды ограничивает применение погрузочных и доставочных средств.
Дальнейший отбор оборудования ведется с учетом переменных факторов, к которым следует отнести устойчивость руды и вмещающих пород, мощность рудного тела, производительность выемочной единицы.
Устойчивость руды и вмещающих пород предопределяет техническую приемлемость скважин увеличенного диаметра при отбойке, допустимые типоразмеры оборудования, исходя из максимально возможных размеров выработок по условию их крепления и поддержания.
Мощность рудного тела регламентирует типы и типоразмеры оборудования при его работе непосредственно в очистном пространстве без подрыва вмещающих пород, а также диаметр скважин при отбойке руды.
Техническая и возможная эксплуатационная производительность оборудования определяется для конкретных условий и каждого типа и типоразмера машин с использованием функциональных зависимостей производительности от параметров оборудования и горнотехнических условий по общепринятым методикам.
Формирование комплекса машин следует производить при установленной производственной мощности рудника.
Годовую эксплуатационную производительность основного технологического оборудования рассчитывать:

, ед./год, (3.109)
где

- коэффициент, учитывающий неравномерность объемов работ по забоям;

- коэффициент, учитывающий универсальность оборудования (для узкоспециализированных машин

);
П - число установленного в выемочной единице оборудования (для стационарных машин);
Kм - коэффициент, учитывающий затраты времени на монтаж, демонтаж и перемещение оборудования в течение года (Kм = 1,05 - 1,1);
Kрез - общий коэффициент резерва, учитывающий нахождение оборудования в ремонте и плановом резерве;
Pэкс.мак. - возможная максимальная сменная эксплуатационная производительность машины (установки), ед./смену;

- фонд рабочего времени, смен/год.
3.12. Внутришахтный транспорт
Большой опыт проектирования подземных рудников черной и цветной металлургии, а также результаты многочисленных научно-исследовательских и предпроектных проработок дают основания считать наиболее эффективным транспортом для большинства рудных шахт на видимую перспективу откатку полезного ископаемого железнодорожными составами.
В определенных условиях эффективными могут оказаться конвейерный транспорт руды (особенно для горизонтов с большой годовой производительностью) или откатка полезного ископаемого самоходными транспортными машинами. Не исключена также целесообразность использования в отдельных случаях комбинированных транспортных схем.
Эффективность применения того или иного вида транспорта зависит от многих факторов, основными из которых являются горно-геологические условия, схемы вскрытия и подготовки месторождений, системы разработки и их параметры, мощность предприятия и расстояние транспортирования. Поэтому вопросы выбора транспортных средств должны рассматриваться во взаимной связи с указанными факторами, равно как и выбор способа вскрытия и системы разработки должен производиться с учетом наиболее рациональных видов транспорта и простейших схем транспортной сети.
Окончательный выбор вида транспорта горной массы, а также штата трудящихся, материалов и оборудования по горным выработкам необходимо осуществлять на основании инженерно-технических и технико-экономических расчетов в соответствии с нормативно-методическими указаниями "Общесоюзных норм технологического проектирования подземного транспорта горнодобывающих предприятий"
ОНТП 1-86.
При проектировании любого вида транспорта определяется потребное количество его единиц, штат трудящихся для его эксплуатации, расход электроэнергии, топлива, материалов, а в отдельных случаях выполняется проверка возможности его работы при заданном профиле транспортных выработок.
3.13. Проветривание рудников
3.13.1. Общие положения
Проектирование вентиляции подземного рудника (шахты) необходимо осуществлять в следующем порядке:
определение схемы и способа проветривания рудника (шахты);
расчет расхода общешахтного количества воздуха;
распределение воздуха в общешахтной сети и проверка сечений выработок по допустимым скоростям движения последнего;
расчет депрессии рудника (шахты);
решение вопросов, связанных с проветриванием выработок при их проходке.
Следует иметь в виду, что проектирование вентиляции должно осуществляться в тесной увязке с проектированием основных технологических процессов.
При этом возможно уточнение ранее рассчитанных параметров, как вентиляционных, так и технологических.
3.13.2. Выбор схемы и способа вентиляции
При выборе схемы вентиляции в процессе проектирования необходимо соблюдать следующие общие требования:
схема вентиляции должна обеспечивать подачу к местам потребления необходимого количества воздуха;
сопротивление вентиляционной сети должно быть минимальным, что обеспечит минимальную депрессию шахты;
схема вентиляции должна предусматривать минимум утечек воздуха;
схема должна обеспечить такое естественное распределение воздуха, которое сводило бы к минимуму необходимость в искусственном регулировании;
вентиляционная схема должна обеспечить мягкость реверсирования струи, благоприятные условия труда, спасение людей при авариях и, кроме того, она должна быть экономичной.
При решении вопроса о способе проветривания следует исходить из соображений технической и экономической целесообразности его применения.
Основными достоинствами нагнетательного способа проветривания является:
возможность применения одной вентиляторной установки, располагаемой, как правило, в центре шахтного поля, при многочисленных разветвлениях вентиляционной сети;
большая устойчивость работ главного вентилятора;
легко регулировать распределением расхода воздуха в сети и управлять вентиляционными режимами при авариях;
через вентиляторную установку проходит чистый воздух, что обеспечивает большую безопасность и длительный срок ее службы.
Положительным фактором является и то, что при нагнетательном проветривании отсутствуют подсосы воздуха с поверхности через обрушенные породы. К недостаткам нагнетательного способа вентиляции следует отнести необходимость устройства герметичного надшахтного здания и воздухоподающего ствола, который обычно является клетевым; необходимость установки мощных главных вентиляторов с большим диапазоном регулирования расхода воздуха и депрессии. В газовых шахтах применение нагнетательного способа приводит к дополнительным трудностям, заключающимся в том, что при аварийной остановке вентилятора давление воздуха в выработках шахты падает, что может привести к их загазированию.
При всасывающем способе проветривания может быть применена как одна центральная вентиляторная установка, так и несколько вентиляторов, установленных на флангах шахтного поля. Важным достоинством этого способа является то, что в случае аварийной остановки вентилятора давление в выработках повышается и тем самым замедляется процесс их загазирования. Всасывающий способ несколькими вентиляторами дает возможность использовать менее мощные вентиляторы, что является положительным фактором при проветривании шахт, имеющих большую протяженность выработок. В то же время при нескольких вентиляторных установках становится сложнее процесс регулирования воздушных потоков, понижается устойчивость вентиляции. Общим недостатком всасывающего способа проветривания являются подсосы воздуха с поверхности через зоны обрушения, трещины и провалы, что приводит к его загрязнению в рабочих забоях и снижает интенсивность вентиляции.
Комбинированный (нагнетательно-всасывающий) способ вентиляции следует применять в тех случаях, когда необходимо ликвидировать или уменьшить утечки и подсосы воздуха через выработанные пространства и трещины. Этот способ проветривания позволяет распределить общешахтную депрессию на два последовательно работающих вентилятора, устанавливаемых в воздухоподающем и воздуховыдающем стволах.
Несмотря на то, что комбинированное проветривание дает возможность получать высокие перепады по пути движения воздуха, аэродинамическая связь выработок с земной поверхностью уменьшается, что является несомненным преимуществом по сравнению с нагнетательным и всасывающим способами вентиляции. Недостатками нагнетательно-всасывающего способа проветривания является наличие двух и более вентиляторных установок, трудность в управлении проветриванием при наличии нескольких всасывающих вентиляторов и разбросанности горных работ.
3.13.3. Расчет общерудничного количества воздуха
для проветривания горных работ
Единые правила безопасности при разработке рудных, нерудных и россыпных месторождений подземным способом требуют, чтобы количество воздуха для проветривания выработок рассчитывалось по наибольшему числу людей, занятых одновременно на подземных работах, по углекислоте, по ядовитым и взрывоопасным газам, пыли, по газам от взрывных работ, по вредным компонентам выхлопных газов от применяемого оборудования с двигателями внутреннего сгорания, а также по минимальной скорости движения воздуха и к учету принималось наибольшее количество воздуха, полученное по вышеуказанным факторам.
Однако большой опыт проектирования подземных рудников металлургии показал, что определяющим фактором при расчете воздуха для проветривания горных работ на этих шахтах является пылевой, а для забоев, где применяется оборудование с дизельным приводом, - загрязнение воздуха выхлопными газами, поэтому при определении общешахтного количества воздуха целесообразно учитывать лишь эти факторы.
Требуемый общерудничный расход воздуха по пылевому фактору определяется по следующей формуле:
где

,

,

,

,

,

- соответственно количество доставочных, буровых, закладочных, нарезных, подготовительных и капитальных (в стадии проходки) выработок с учетом резервных забоев;

- количество камерных выработок, проветриваемых обособленной струей стволов и уклонов, исключенных из схемы проветривания (нейтральных);

,

,

,

,

,

,

- расчетные усредненные скорости движения воздуха в вышеперечисленных выработках,

,

;

,

,

,

,

,

,

- площади их поперечных сечений для вентиляции, м2;

,

- соответственно коэффициенты, учитывающие утечки воздуха и возможное увеличение производительности шахты (принимаются по книге 1 Норм технологического проектирования, глава 4.21).
Расчет необходимого количества воздуха для проветривания очистных и проходческих забоев, в которых применяются самоходные машины с дизельным приводом, следует проводить в соответствии с "Инструкцией по безопасному применению самоходного (нерельсового) оборудования в подземных условиях", утвержденной Госгортехнадзором СССР 20 июня 1972 года. В выработки, где работает дизельное оборудование, следует подавать свежий воздух в объеме не менее 6,8 м3/мин на 1 кВт номинальной мощности двигателя (5 м3/мин на 1 л.с.). Но, учитывая, что в отдельной выработке или нескольких выработках, входящих в одну вентиляционную ветвь, могут работать одна, две и более машин, необходимо при расчете воздуха для проветривания вводить коэффициент неравномерности (при одной машине, равный 1,0, при двух машинах - 0,9, трех - 0,85). Также при определении количества воздуха допускается исключение из расчета потребности в воздухе для разбавления выхлопных газов буровых машин с ходовым дизельным приводом, а также машин вспомогательного назначения при работе их в выработках со сквозной струей воздуха не более 10 мин в течение двух часов.
Результаты расчетов по определению требуемых расходов воздуха сводятся в таблицу по форме 6.
Количество воздуха для проветривания горных работ
Наимено- вание | Общее количество забоев | Сечение выработки для проветривания, м2 | Скорость движения воздуха по выработке, м/сек | Количество воздуха на один забой, м3/сек | Количество воздуха на все забои, м3/сек | Всего возду- ха для очист- ных и под- гото- ви- тель- но- нарез- ных работ, м3/сек | Коли- чество воздуха для провет- ривания камерных выра- боток и нейт- ральных стволов (укло- нов), м3/сек | Коли- чество возду- ха для про- ветри- вания ГКР, м3/сек | Всего возду- ха с учетом потерь и воз- можно- го увели- чения произ- водст- венной мощ- ности рудни- ка, м3/сек |
на под- гото- ви- тель- ных рабо- тах | на на- рез- ных ра- бо- тах | на очистных работах | под- гото- ви- тель- ной | на- рез- ной | на очистных работах | под- гото- ви- тель- ной | на- рез- ной | на очистных работах | под- гото- ви- тель- ный | на- рез- ной | на очистных работах | под- гото- ви- тель- ные | на- рез- ные | на очистных работах |
бу- ро- вых | до- ста- воч- ных | за- кла- доч- ных | бу- ро- вой | до- ста- воч- ной | за- кла- доч- ной | бу- ро- вой | до- ста- воч- ной | за- кла- доч- ной | бу- ро- вой | до- ста- воч- ной | за- кла- доч- ной | бу- ро- вые | до- ста- воч- ные | за- кла- доч- ные |
1 | 2 | 3 | 4 | 5 | 6 | 7 | 8 | 9 | 10 | 11 | 12 | 13 | 14 | 15 | 16 | 17 | 18 | 19 | 20 | 21 | 22 | 23 | 24 | 25 | 26 | 27 | 28 | 29 | 30 |
Система разра- ботки I | | | | | | | | | | | | | | | | | | | | | | | | | | | | | |
Система разра- ботки II | | | | | | | | | | | | | | | | | | | | | | | | | | | | | |
Итого | | | | | | | | | | | | | | | | | | | | | | | | | | | | | |
3.13.4. Определение депрессии рудника
Расчет вентиляционной сети следует начинать с распределения общего для шахты количества воздуха по отдельным направлениям и забоям пропорционально фактору, при учете которого получено наибольшее значение общего дебета. Установленное таким образом распределение воздуха показывается на расчетной схеме, после чего выполняется проверка схемы с точки зрения ее соответствия требованиям правил безопасности в отношении скоростей движения воздуха по выработкам.
В целях уменьшения депрессии целесообразно разделять общее количество воздуха на возможно большее количество параллельных струй.
Если предполагается проветривать шахту одним вентилятором, то депрессию рассчитывают по одной струе, наиболее трудной для проветривания. В случае проветривания несколькими вентиляторами такого рода расчет должен быть сделан для каждого из вентиляторов, т.е. для каждого вентилятора нужно найти струю максимальной депрессии, которую и принять за расчетную для этого вентилятора.
Общая депрессия шахты рассчитывается по следующей формуле:

, даПа, (3.111)
где h - суммарная расчетная депрессия всех выработок, образующих струю от устья воздухоподающего ствола до устья вентиляционного ствола:

, даПа, (3.112)
где h - количество выработок, составляющих расчетный путь воздуха;

- коэффициент аэродинамического сопротивления выработки,

(принимается в соответствии с нормами технологического проектирования);

- длина выработки, м;
P - периметр выработки, м;
Q - количество воздуха, проходящее по выработке, м3/сек;
S - площадь поперечного сечения выработки для вентиляции, м2;

- коэффициент, учитывающий депрессию местных сопротивлений на пути движения воздуха,

;

- депрессия естественной тяги:

, даПа; (3.113)
H - глубина рудника, м;

,

- средняя температура воздуха соответственно в вентиляционном и воздухоподающем стволах, град
(

примерно равна температуре горных пород на заданной глубине H)

, град, (3.114)
где

- среднегодовая температура на земной поверхности, град;

- среднегодовой конвентивный градиент (для влажных стволов

и для сухих стволов

).
Результаты расчетов депрессии рудника сводятся в табличную форму 7.
Расчет вентиляционной сети
┌───────┬────┬────┬─────────┬──┬──┬──┬──────┬──────┬──┬─────────┬────┬────┬─────┐
│ │ │ │ │ │ 3│ │ │ │ 2│ │ │ │ │
│Наиме- │Уча-│Тип │ альфа, │S,│S │P,│альфа,│ Q, │Q │ B, │ h, │hо, │ U, │
│нование│сток│кре-│кг x сек2│м2│ │м │ м │м3/сек│ │кг x сек2│даПа│даПа│м/сек│
│выра- │сети│пи │---------│ │ │ │ │ │ │---------│ │ │ │
│ботки │ │ │ м4 │ │ │ │ │ │ │ м3 │ │ │ │
├───────┼────┼────┼─────────┼──┼──┼──┼──────┼──────┼──┼─────────┼────┼────┼─────┤
│ 1 │ 2 │ 3 │ 4 │5 │6 │7 │ 8 │ 9 │10│ 11 │ 12 │ 13 │ 14 │
├───────┼────┼────┼─────────┼──┼──┼──┼──────┼──────┼──┼─────────┼────┼────┼─────┤
│ │ │ │ │ │ │ │ │ │ │ │ │ │ │
│ │ │ │ │ │ │ │ │ │ │ │ │ │ │
│ │ │ │ │ │ │ │ │ │ │ │ │ │ │
│ │ │ │ │ │ │ │ │ │ │ │ │ │ │
│ │ │ │ │ │ │ │ │ │ │ │ │ │ │
├───────┴────┴────┴─────────┤ │ │ │ │ │ │ │ │ │ │
│ Итого (hш - с учетом │ │ │ │ │ │ │ │ │ │ │
│ Kм = 1,25 - 1,3) │ │ │ │ │ │ │ │ │ │ │
└───────────────────────────┴──┴──┴──┴──────┴──────┴──┴─────────┴────┴────┴─────┘
3.13.5. Вентиляция проходческих забоев
Основными вопросами, решаемыми проектными институтами по проветриванию выработок в стадии проходки, являются выбор типа вентиляционного оборудования и определение его количества. Марка вентиляторов местного проветривания (эжекторов) и их число принимаются исходя из количества одновременно действующих проходческих забоев, требуемого расхода воздуха на каждый забой и протяженности выработок.
Для обеспечения эффективного проветривания выработок при их проходке составляется в каждом конкретном случае проект вентиляции выработки. Составление проекта должно выполняться соответствующими подразделениями рудников или шахтопроходческих организаций.
3.14. Хозяйство взрывчатых материалов (ВМ)
Для хранения взрывчатых материалов в шахте необходимо предусматривать строительство расходных складов ВМ. Как правило, расходный склад ВМ устраивается на основных откаточных горизонтах. На промежуточных горизонтах устраиваются раздаточные кладовые.
Расходный склад ВМ следует располагать в наиболее благоприятных горно-геологических условиях.
Расположение подземных складов должно отвечать требованиям § 109 "Единых правил безопасности при взрывных работах".
Исходными данными для определения количества и емкости расходных складов являются объем сменной добычи горной массы и удельный расход ВВ на тонну горной массы.
Предельная емкость подземных расходных складов не должна превышать трехсуточного запаса ВВ и десятисуточного запаса средств взрывания (СВ) (§ 107 "Единых правил безопасности при взрывных работах").
При определении емкости склада ВМ нет необходимости учитывать количество ВВ для массовых взрывов, доставляемое обычно к месту взрыва, минуя расходный склад.
Емкость раздаточных кладовых и их расположение должны отвечать требованиям § 117 "Единых правил безопасности при взрывных работах".
Подземный склад должен состоять из выработок, представляющих собой собственно склад, в которых расположены камеры или ячейки для хранения ВМ, а также подводящих выработок и вспомогательных камер.
К вспомогательным относятся камеры:
для проверки электродетонаторов и изготовления зажигательных трубок;
для раздачи ВМ;
для маркировки СВ;
для хранения противопожарных средств;
для электрораспределительных устройств.
Расположение ячеек, расстояние между ними принимаются согласно требованиям "Единых правил безопасности при взрывных работах".
Емкость ячеек расходных складов ВМ принимается согласно § 108 "Единых правил безопасности при взрывных работах".
Проветривание склада должно производиться обособленной струей свежего воздуха. Количество воздуха, подаваемого в склад, должно обеспечить 4-кратный часовой обмен воздуха во всех выработках склада.
Исходящую из склада воздушную струю запрещается направлять в выработки со свежей струей воздуха.
Виды крепи расходных складов ВМ, в зависимости от горно-геологических условий, физико-механических свойств пород, характера проявления горного давления, принимаются согласно типовому проекту, разработанному институтом Кривбасспроект.
Электрооборудование, освещение и средства связи расходных складов должны отвечать требованиям §§ 114, 115 "Единых правил безопасности при взрывных работах".
Для разгрузки и доставки ВМ из вагонов в ячейки, а также возврат тары в вагон в складе предусматривается электропогрузчик типа ЭПВ.
В целях противопожарной безопасности в подводящих выработках склада предусматривается устройство противопожарных дверей.
Для применения при проектировании подземных складов ВМ имеются типовые проекты подземных складов с различной емкостью (1, 2, 4, 6, 8, 10, 12, 16, 20, 24 тонн), которые распространяются Киевским филиалом Центрального института типового проектирования - КФ ЦИТП.
4. ГОРНОМЕХАНИЧЕСКАЯ ЧАСТЬ
Все инженерно-технические и технико-экономические расчеты при проектировании шахтных подъемных установок следует выполнять по общеизвестным методикам и формулам, руководствуясь нормативными требованиями, приведенными в настоящих НТП (глава 5.1).
При этом (в целях повышения производительности и качества проектных работ) целесообразно использовать пакет прикладных программ "Подъем", разработанный институтом Кривбасспроект, в котором приведены все необходимые методические положения, расчетные формулы, порядок расчета, бланки исходных данных для выполнения расчетов на ЭВМ типа ЕС, инструкции для пользователей, контрольные примеры, распечатки программ.
4.2. Механооборудование клетевых околоствольных дворов
4.2.1. Общие положения
Клетевой околоствольный двор предназначен для спуска и подъема людей, материалов (в том числе длинномерных), выдачи пустой породы и разрабатывается в соответствии с действующими "Нормами технологического проектирования горнодобывающих предприятий металлургии с подземным способом разработки", "Едиными правилами безопасности при разработке рудных, нерудных и россыпных месторождений подземным способом", а также согласно соответствующим СНиПам.
4.2.2. Исходные данные для проектирования
Проектирование механооборудования клетевых околоствольных дворов горизонтов шахт должно вестись на основании исходных данных, определяемых горной частью проекта.
В зависимости от назначения клетевого подъема шахты исходными данными устанавливается:
характер и объем обменных операций;
тип и характеристика транспортных сосудов, подлежащих обмену при спуско-подъемах;
наличие спуска длинномерных материалов, крупногабаритного и самоходного оборудования на данный горизонт и необходимость организации механизации по их приему и перегрузке;
необходимость организации устройств, обеспечивающих возможность спуско-подъема людей на горизонт.
4.2.3. Выбор оборудования клетевых околоствольных дворов
Применительно к назначению клетевого подъема и с учетом характера и объема операций на конкретном горизонте шахты производится расчет и выбор механооборудования клетевого руддвора.
Устанавливаемое на горизонте технологическое и вспомогательное оборудование должно исключать применение ручного труда при производстве операций по обмену вагонеток и обеспечить удобство и безопасность людей при спуско-подъемах. Установленное на горизонте механооборудование должно соответствовать по своим характеристикам типу и грузоподъемности принятой вагонетки.
В зависимости от интенсивности объема вагонеток, должен применяться автоматический, полуавтоматический или ручной режим работы комплекса механооборудования клетевого руддвора.
Для погрузки и разгрузки длинномерных материалов, крупногабаритного и самоходного оборудования на горизонте должны быть предусмотрены соответствующие грузоподъемные средства.
При спуске-подъеме людей открывание стволовой двери должно осуществляться оператором, находящимся на горизонте, или лифтером, находящимся в клети. Стволовые двери должны иметь устройство, исключающее возможность их открывания при отсутствии клети на горизонте.
Блокировки механооборудования клетевых околоствольных дворов должны обеспечивать безопасную работу при обмене вагонеток в клети, при спуске и подъеме людей, а также при выполнении других вспомогательных операций.
Данная методика ложится в основу разработки технической документации на всех стадиях ее разработки.
Данные по установленной мощности, годовым расходам электроэнергии, сжатого воздуха и другим видам энергоресурсов в проектах и рабочих проектах сводятся в таблицу по форме 8, а в технико-экономических обоснованиях и ТЭР - по
форме 9.
Годовые расходы энергоресурсов
(для проекта и рабочих проектов)
Горизонт установки оборудования | Количество | Установленная мощность, кВт | Годовой расход электроэнергии, кВт x ч | Годовой расход сжатого воздуха, м3 |
| | | | |
Годовые расходы энергоресурсов
(для ТЭО и ТЭР)
Горизонт установки оборудования | Коли- чество | Стоимость единицы, тыс. руб. | Стоимость общая, тыс. руб. | Установ- ленная мощность, кВт | Годовой расход электро- энергии, кВт x ч | Годовой расход сжатого воздуха, м3 |
Строй- монтажные, тыс. руб. | Строй- монтажные, тыс. руб. |
| | | | | | |
4.3. Механооборудование подземных бункерных
комплексов (ПБК) и скиповых околоствольных дворов
4.3.1. Общие положения
Для создания ритмичной работы рудничного транспорта и шахтного подъема, а также усреднения качества выдаваемой на поверхность руды используются подземные бункерные комплексы (ПБК), которые представляют собой комплекс технологического оборудования, состоящий из средств разгрузки горной массы, средств дробления, распределения руды по емкостям и средств выпуска руды.
Работа подземного ПБК должна быть устойчивая, для чего необходимо сделать правильный выбор его конструкции, с учетом его геометрической формы, способа выпуска горной массы и способа снижения слеживания горной массы.
Состав пояснительной записки проекта, рабочего проекта ПБК, принимается в соответствии с "Инструкцией о составе, порядке разработки, согласования и утверждения проектно-сметной документации на строительство предприятий, зданий и сооружений"
СНиП 1.02.01-85.
В составе пояснительной записки должна проводиться техническая характеристика основного технологического оборудования по форме 10, расход энергоресурсов - по
форме 8, штатная потребность трудящихся по обслуживанию ПБК - по
форме 11.
Техническая характеристика основного
технологического оборудования
Наименование оборудования | Краткая техническая характеристика |
| |
Штатная потребность трудящихся для обслуживания ПБК
Наименование камер ПБК | Профессия | явочный состав, чел. | Всего |
смены |
I | II | III |
| | | | | |
4.3.2. Исходные данные для проектирования
Для выполнения проекта ПБК необходимо иметь следующие данные:
1. Годовая производительность по сырой руде и горной массе.
2. Режим работы.
3. Количество рудных и породных емкостей.
4. Характеристика горной массы:
плотность руды в разрыхленном состоянии, т/м3;
плотность породы в разрыхленном состоянии, т/м3;
кусковатость (ситовой анализ исходного материала);
максимальный размер куска, мм;
склонность горной массы к слеживанию, к сегрегации.
5. Скип для горной массы:
тип;
грузоподъемность по руде, т;
грузоподъемность по породе, т.
6. Вагонетка:
тип;
грузоподъемность, т;
колея, мм.
7. Опрокидыватель:
тип;
количество опрокидывателей;
количество вагонов в опрокидывателе.
8. Дробилка:
тип;
количество.
9. Схема скипового руддвора.
10. Сечение ствола шахты, к которому примыкает дозаторное устройство подземного ПБК.
11. Маршрут спуска и доставки крупногабаритного оборудования в подземный бункерный комплекс.
12. Цикличность скипового подъема.
13. Тип подъема (зависимый, независимый).
14. Тип дозатора.
При проектировании подземного ПБК необходимо учитывать ряд факторов, влияющих на общее решение проекта, а именно:
срок существования ПБК;
перспективы по дальнейшему расширению;
возможность замены оборудования;
работоспособность ПБК при переходе на добычу с нижележащих горизонтов или на вышележащие для их доработки.
4.3.3. Выбор технологического оборудования ПБК
В проекты необходимо закладывать оборудование, обеспечивающее высокую производительность труда.
Технологические процессы вагонеток и разгрузки скипов должны быть максимально механизированы и автоматизированы.
Производительность подземного бункерного комплекса должна быть определена расчетом на основании исходных данных, приведенных в
пункте 4.3.2.
Годовая производительность технологического оборудования ПБК должна определяться по формуле:

, (4.1)
где

- часовая производительность технологического оборудования;
A - количество рабочих смен в сутки;
B - количество рабочих часов в смену;
N - количество рабочих дней в году;
П - количество ремонтных дней в году;
K - коэффициент неравномерности работы оборудования.
Количество ремонтных дней в году принимать по "Нормативам периодичности, продолжительности и трудоемкости ремонтов механического оборудования горнорудных и рудообогатительных предприятий системы Министерства черной металлургии СССР".
Коэффициент неравномерности работы оборудования определяется по формуле:

, (4.2)
где T - время выполнения технологической операции оборудованием;
Tп - потери рабочего времени при выполнении соответствующего технологического процесса.
Время выполнения операции разгрузки вагонеток в круговом опрокидывателе определяется по формуле:

, (4.3)
где t - время на разгрузку вагонеток в круговом опрокидывателе (принимается по табл. 4.1);

- время на очистку вагонов (принимать в среднем 12 секунд);
n - количество вагонов в разгружаемом составе.
Таблица 4.1
Время разгрузки вагонеток
Вместимость вагонеток | Время разгрузки одной вагонетки в опрокидывателе, с | Время разгрузки двух вагонеток в опрокидывателе, с |
0,7 - 0,8 | 30 | 40 |
1,2 | 30 | 40 |
2,2 | 35 | 45 |
4,5 | 40 | 50 |
9,5 | 50 | - |
Примечания:
1. В указанные нормы включено время на перестановку вагонеток электровозом в опрокидывателе.
2. Время на очистку вагонеток в нормы не включено.
Потери рабочего времени Tп определяются как сумма потерь на отдельных операциях и приведены в табл. 4.2.
Таблица 4.2
Потери рабочего времени
Наименование операции | Время на выполнение операции, с |
1. Время отцепки или прицепки электровоза | 10,0 |
2. Время на перемену хода электровоза | 20,0 |
Подсчет продолжительности маневров производится исходя из скорости движения электровоза при выполнении маневровых операций.
Скорость движения электровозов на отдельных участках пути приведена в табл. 4.3.
Таблица 4.3
Скорость движения электровозов
Условия движения электровоза | Скорость, м/с |
Выполнение электровозом маневровых операций на расстоянии до 50 м: | |
с составом | 1,0 |
без состава | 1,5 |
Выполнение электровозом маневровых операций на расстоянии до 150 м: | |
с составом | 1,5 |
без состава | 2,5 |
Прохождение электровозом стрелок и вентиляционных дверей | 1,0 - 1,5 |
При расчете загрузочных устройств скипов выбор питателей и конвейеров производится по подъемным возможностям скипов с учетом их грузоподъемности и продолжительности одного рейса.
Расчет производительности конвейера, загружающего дозатор, определяется по формуле:

, т x ч, (4.4)
где Pс - грузоподъемность скипа, т;
Tк - время загрузки дозатора, с,

, с, (4.5)
где T - продолжительность одного скипового рейса, с;

- пауза в работе конвейера, с,

, (4.6)
где

- пауза скипового подъема (загрузка-разгрузка скипа).
Пауза

в работе конвейера принимается на 5 - 10 с больше паузы скипового

подъема.
Рассчитанную по
формуле (4.4) производительность конвейера корректируем и принимаем окончательно ближайшую большую производительность по выбранному питателю.
Затем окончательно определяем время (Tк) загрузки дозатора конвейером:

, с. (4.7)
При расчете загрузочных устройств скипов выбор питателей и конвейеров производится по подъемным возможностям скипов с учетом его грузоподъемности и продолжительности одного рейса.
При работе дозаторных устройств в автоматическом режиме в проекте закладываются весовые дозаторы, а в ручном режиме - емкостные.
При проектировании подземных ПБК устанавливаются датчики нижнего уровня руды, которые контролируют высоту рудной подушки, обеспечивающей снятие (гашение) динамических напряжений от ударов падающих кусков материала.
Минимальную толщу рудной подушки определяют по формуле:

, м, (4.8)
где dк - диаметр среднего куска, м;

- плотность руды (породы), кг/м3;
g - ускорение свободного падения, м/с2;
H - высота падения куска, м;
E - модуль упругости материала днища, кг/см2;

- коэффициент Пуассона;

;

- допустимое напряжение сжатия на днище, кг/см2.
Для предупреждения превышения допустимой высоты рудного столба устанавливаются датчики верхнего уровня руды.
4.4. Главные вентиляторные установки
В данном разделе рассматриваются вентиляторные установки главного проветривания. Вопрос выбора вентиляторных установок местного проветривания рассматривается в
разделе "Проветривание рудника" настоящей методики.
Для проветривания вентиляторных установок необходимы следующие исходные данные:
количество воздуха для проветривания рудника по периодам эксплуатации;
депрессия рудника по периодам эксплуатации;
при системах отработки с обрушением - выделение величин депрессий на нагнетание и всасывание;
схема проветривания рудника и другие данные для анализа режимов совместной работы вентиляторных установок;
генпланы промплощадок стволов.
Ряд шахтных вентиляторов, изготавливаемых отечественной промышленностью, обеспечивает подачу необходимого количества воздуха для проветривания рудника с учетом допустимых скоростей движения воздуха по горным выработкам. Поэтому параллельная работа двух вентиляторов в одной вентиляторной установке должна обеспечиваться проектом.
Расчетная производительность вентилятора должна быть больше количества воздуха, проходящего через горные выработки, на величину подсосов (или утечек при нагнетании), т.е.

, м3/с, (4.9)
где Q - производительность вентилятора, м3/с;

- количество воздуха, поступающего в шахту, м3/с;
Kп - коэффициент, учитывающий подсос воздуха через ляды и через надшахтное здание.
Величина подсосов воздуха зависит от депрессии, развиваемой вентилятором, от конструкции и размеров надшахтного здания и здания вентиляторной установки, а также от материала, из которого эти здания построены. Зазоры при уплотнении проемов, дверей, ворот и пр. могут колебаться в больших пределах.
Для средних значений депрессии и производительности коэффициент Kп может достигать значений, приведенных в табл. 4.4.
Таблица 4.4
Коэффициенты, учитывающие подсос воздуха
Kп | Место установки вентилятора |
1,25 | На скиповом стволе |
1,20 | На клетевом стволе |
1,10 | На стволах и шурфах |
1,30 | На шурфах, которые используются для спуска и подъема материала |
| | ИС МЕГАНОРМ: примечание. Руководство по проектированию вентиляции угольных шахт утратило силу в связи с изданием Руководства по проектированию вентиляции угольных шахт, утв. Минуглепромом СССР 15.08.1989. | |
Более точный учет утечек воздуха через надшахтные сооружения и каналы вентиляторов может быть определен в соответствии с "Руководством по проектированию вентиляции угольных шахт", Москва, "Недра", 1975 г., согласованным с Госгортехнадзором, путем суммирования подсосов воздуха через отдельные элементы сооружений, когда известны депрессия и параметры этих сооружений.
С целью уменьшения подсосов воздуха на вентиляционных стволах целесообразно предусматривать подъемные установки только для аварийного выхода людей и спуска противопожарных материалов, оставляя минимальные объемы надшахтного здания под депрессией.
Кроме того, объемы шахты копра, находящиеся под депрессией, целесообразно обшивать металлом, таким образом отделив их от надшахтного здания.
При сооружении надшахтного здания и выборе варианта подачи воздуха в рудник (по вспомогательному стволу или по специальному воздухоподающему стволу) при нагнетательном и комбинированном способах проветривания необходимо учитывать следующие факторы:
стоимость потерь воздуха;
потери воздуха возрастают в квадрате от депрессии;
большая стоимость потерь подогретого свежего воздуха может оправдать строительство дополнительных стволов, автосъездов и т.д.;
отрицательное влияние депрессии в надшахтном здании на здоровье входящих в него трудящихся.
При подсчете потерь напора в вентиляторной установке необходимо учитывать как потери в вентиляционных каналах, так и потери в глушителях шума вентиляторной установки.
При проектировании вентиляторных установок выбор вентиляторов производится по сводным графикам областей промышленного использования и по индивидуальным характеристикам вентиляторов. Этот вопрос подробно освещен в технической литературе по горной механике и рудничным стационарным установкам.
Вентилятор, выбираемый для рудника, должен обеспечивать необходимые производительность Q и депрессию H для всего срока эксплуатации рудника с наивысшим средним КПД. При необходимости вентилятор должен обеспечивать два режима проветривания.
Необходимо иметь в виду, что центробежные вентиляторы обеспечивают более высокую депрессию, имеют меньший уровень шума, более надежны в эксплуатации, но имеют более сложную регулировку параметров и вентиляторные установки с центробежными вентиляторами являются более капиталоемкими.
В том случае, если для обеспечения расчетного режима работы подходят два и более однотипных вентиляторов, то к установке принимается вентилятор, имеющий:
меньший диаметр рабочего колеса;
более высокое значение среднего за время эксплуатации установки КПД;
меньшую окружную скорость;
меньший угол установки лопаток при Q и Hмкс. (у осевых вентиляторов).
В том случае, если для обеспечения расчетного режима работы подходят два и более вентиляторов разных типов, то оборудование выбирают для каждого типа вентиляторов. Затем окончательно выбирают один из вариантов на основе сопоставления суммарных материальных затрат с учетом капитальных вложений. Приведенные годовые затраты определяют по формуле:

, руб., (4.10)
где Сэ - стоимость электроэнергии, расходуемой вентиляторной установкой в среднем за год;

- стоимость вентилятора с двигателем и аппаратурой;
Eн = 0,15 - нормативный коэффициент эффективности капитальных вложений;
Aв - годовые амортизационные отчисления по вентилятору, двигателю и аппаратуре;
Ср - годовые затраты на ремонт, ревизии и наладки;
Со - расходы на обслуживание;
См - годовые затраты на материалы.
Среднегодовая стоимость электроэнергии за первые 7 лет работы вентиляторной установки определяется по формуле:

, руб., (4.11)
где i - порядковый номер периода эксплуатации вентиляторной установки при неизменном режиме и установленной мощности привода;

и

- соответственно производительность (м3/с) и статическое давление (кгс/м2) вентиляторной установки;

- число часов работы установки в год, ч;

- тариф единицы потребляемой энергии, руб./кВт x ч;

- тариф установленной единицы мощности электродвигателя, руб./кВА;

- установленная мощность электродвигателей в i-ом периоде, кВА;

- число лет работы установки в n-м периоде;

- статический к.п.д. установки;

- к.п.д. приводных электродвигателей.
Затраты на обслуживание Со представляют собой для вентиляторных установок, работающих в автоматизированном режиме, долю заработной платы ремонтного персонала, обслуживающего стационарные установки, которая приходится на текущий ремонт и обслуживание вентиляторной установки. Для вентиляторных установок, обслуживаемых машинистами, в эти затраты надо включить также заработную плату машинистов, которая определяется следующим образом:
Со = к x a x См x Kд x Kс, руб., (4.12)
где к - число машинистов;
a - число 12 месяцев года;
См - месячная зарплата машиниста, руб.;
Kд - коэффициент доплат;
Kс - коэффициент, учитывающий отчисления по соцстраху.
При проектировании вентиляторных установок необходимо предусматривать возможность реверсирования воздушной струи: центробежных вентиляторов с помощью системы ляд, осевых - изменением направления вращения электродвигателя. При проверке возможности реверсирования воздушной струи изменением вращения рабочего колеса осевого вентилятора, напор после реверса должен быть равен:

, (4.13)
где

,

- производительность и напор вентилятора при нормальной работе, м3/с, Па; %;
Q, H - то же, при резерве, м3/с, Па.
С учетом § 139 ЕПБ формула (229) примет вид

. (4.14)
При проектировании вентиляторных установок необходимо, по возможности, применять типовые проекты вентиляторных установок полностью или с корректировкой и привязкой к данным условиям.
При выборе основных решений вентиляторных установок необходимо обращать особое внимание на следующие вопросы:
прижатие ляд давлением при нормальной работе;
исключение попадания холодного воздуха в резервный вентилятор;
наличие двух клапанов в вентиляционных каналах с самостоятельными приводами, одним из которых можно считать ляды рабочего и резервного вентилятора;
отвод воды из каналов всасывающих вентиляционных установок;
диффузор осевых вентиляторов устанавливается вне здания и предусматривается его утепление.
При проектировании вентиляторных установок, располагаемых вблизи жилых районов, необходимо приводить акустические расчеты и в необходимых случаях разрабатывать мероприятия по снижению шума согласно
СНиП II-12-77.
4.5. Калориферные установки
Подогрев воздуха, поступающего в рудник, рекомендуется производить калориферными установками, у которых в качестве теплоносителя применяется перегретая вода или пар.
Основными исходными данными, влияющими на выбор типа калориферной установки и размещение ее относительно воздухоподающего ствола, являются:
способ проветривания рудника;
количество подаваемого воздуха;
климат местности (отрицательная расчетная температура, количество дней с отрицательной температурой наружного воздуха);
чертежи генплана промплощадки, общих видов надшахтного здания, устья ствола и др.
Расчет калориферной установки сводится к определению количества подогреваемого воздуха, расходу тепла на нагревание, определению необходимой поверхности нагрева, выбору типа и количества калориферов и подсчету необходимого перепада давления для прохождения подогреваемого воздуха через калориферы.
Весовой расход воздуха, подогреваемого и подаваемого в шахту:

, кгс/с, (4.15)
где Qш - количество воздуха, поступающего в шахту, м3/с;

- удельная масса воздуха, подлежащего подогреву, кг/м3.

, кг/с, (4.16)
где Tсм - температура смеси подогретого и холодного воздуха в камере смешения или устье воздухоподающего ствола, К;
Tк - температура воздуха, прошедшего через калорифер, К;
Tн - минимальная для данного района температура воздуха, К.
Расход тепла на нагревание воздуха:
Q = 3600 Gпод Ср (Tк - Tн), ккал/ч, (4.17)
где Ср - теплоемкость воздуха при постоянном давлении, ккал/кг x К.
Общая поверхность нагрева калориферов:

, м2, (4.18)
где 1,15 - коэффициент запаса;
Tср - разность средних температур пара и воздуха в калориферах, К;
K - коэффициент теплопередачи калорифера, ккал/м2 x ч x К.
Общее живое сечение калориферов при принятом значении весовой скорости


, м2. (4.19)
Число калориферов в одном ряду, параллельно пропускающих воздух:

, (4.20)
где fк - живое сечение прохода воздуха одного калорифера, м2.
Общее число калориферов в установке:

, (4.21)
где Fк - поверхность нагрева одного калорифера, м2.
При нагнетательном и комбинированном способах проветривания рудника калориферная установка компонуется в одном здании с вентиляторной установкой. Калориферы целесообразно устанавливать до вентиляторов, что упрощает обогрев помещений вентиляторных установок и уменьшает потери воздуха.
При всасывающем способе проветривания рудника для различных условий рекомендуется следующее решение по компоновке калориферных установок:
1. Воздух подается только для проветривания ствола (ориентировочная скорость воздуха в стволе 0,15 м/с).
Калориферная установка комплектуется вентиляторами и размещается в надшахтном здании, используясь одновременно для его обогрева. Подачу воздуха в рудник, учитывая его малое количество, можно осуществлять через устье ствола (рис. 4.1 а).
Рис. 4.1. Основные схемы компоновки калориферных установок
2. Воздухоподающий ствол не имеет действующих подъемов и есть возможность использовать депрессию главной вентиляторной установки для проталкивания воздуха через калориферную установку.
В данном случае калориферную установку размещают в надшахтном здании и обеспечивают одинаковое сопротивление движению воздуха по всем калориферам. Для этого целесообразно предусматривать секционирование калориферов с возможностью регулировки сопротивления воздуха по секциям. В рудник воздух подается непосредственно через устье ствола (рис. 4.1 б).
3. Воздухоподающий ствол имеет клетевые подъемы с комплексом обмена вагонов в надшахтном здании.
В этом случае воздух в рудник подается по калориферному каналу. Тип, конструктивные решения и расположение калориферной установки должны обеспечивать минимальный подсос воздуха из надшахтного здания и не усложнять работу по подаче материалов и оборудования к обменному комплексу ствола. Рекомендуются следующие технические решения по устройству калориферных установок, эффективность применения каждого из которых рассматривается для конкретных условий:
калориферная установка с подогревом всего поступающего в рудник воздуха и вентилятором для подачи воздуха по калориферному каналу
(рис. 4.1 в);
калориферная установка с частичным подогревом поступающего в рудник воздуха и с вентилятором для подачи воздуха по калориферному каналу
(рис. 4.1 г);
калориферная установка с подогревом всего поступающего в рудник воздуха и с использованием общешахтной депрессии для его подачи
(рис. 4.1 д).
При расчете возможной депрессии в надшахтном здании необходимо учитывать следующие факторы:
необходимость создания максимально допустимой скорости воздуха в калориферном канале с целью снижения объема горнокапитальных работ на его проходку;
сопротивление калориферного канала и шахты;
сопротивление калориферов;
разность давления создаваемых теплым и холодным столбами воздуха.
При проектировании калориферных установок необходимо, по возможности, применять типовые проекты калориферных установок полностью или с привязкой к данным условиям.
4.6. Водоотливные установки
При проектировании водоотливных установок необходимо решить следующие задачи:
выбор схемы водоотлива;
определение типа и количества насосов;
расчет водоотливных трубопроводов на пропускную способность и прочность с учетом коррозийного износа и срока службы;
расчет режимов работы насосов водоотливной установки;
расчет экономических показателей водоотливной установки.
Для качественного решения указанных выше вопросов рекомендуется использовать следующие материалы:
1. Комплекс программ по расчету основных параметров шахтного водоотлива - "Шахтлив", разработанный для ЭВМ ЕС на языке PL/I под управлением ОС МТ версии 6.1; разработчик - институт "Гипроникель", г. Санкт-Петербург.
2. Методика расчета режимов параллельной работы насосов водоотлива шахт, имеющих большие притоки, РТМ-07.02.010-78, МУП СССР, ВНИИГМ им. М.М. Федорова, г. Донецк, 1979 г.
3. Указания по проектированию трубопроводов, прокладываемых в подземных выработках угольных и сланцевых шахт, МУП СССР, Москва, 1984 г.
4. Пособие по проектированию трубопроводов, прокладываемых в подземных выработках (к ВНТП 1-86), МУП СССР, Москва, 1986 г.
5. Методика определения числа насосов, диаметра и количества трубопроводов, выбора коммутационной схемы шахтных водоотливных установок, МУП СССР, ВНИИ им. М.М. Федорова, г. Донецк, 1987 г.
4.7. Компрессорные установки
Производительность компрессорной установки (количество компрессоров, принятых к установке) определять по расчетному общему расходу сжатого воздуха.
Расчет общего расхода сжатого воздуха для определения производительности компрессорной станции производить по формуле:

, м3/мин, (4.22)
где Kэ и Kг - коэффициенты использования механизмов по времени (в течение смены) соответственно для эксплуатационных и горнокапитальных работ, значения коэффициента использования K принять по
таблице 4.5;
q - расход воздуха одним механизмом по характеристике завода-изготовителя, м2/мин;
Пэ и Пг - количество однотипных механизмов соответственно для эксплуатационных и горнокапитальных работ, шт.;
Rи - коэффициент износа - поправочный коэффициент, учитывающий увеличение расхода воздуха механизмами вследствие изношенности по отношению к расходу воздуха по заводской характеристике механизма, принимать Rи = 1,1;
Qп - коэффициент, учитывающий потери воздуха в сети, принимается Qп = 1,05 - 1,15; на предприятиях малой производительности (менее 1 млн. т) принимается большее значение, при большей производительности (более 8 млн. т) - меньшее значение;
Qq - коэффициент дополнительного расхода воздуха, учитывающий расход сжатого воздуха неучтенными механизмами, принимать Qq = 1,1.
Таблица 4.5
Коэффициенты использования механизмов по времени
┌─────────────┬─────────────────────────────────────┬───────────┬─────────┐
│Наименование │ Перфораторы, буровые станки │Погрузочные│ Прочие │
│ механизмов │ при количестве, шт. │ машины, │ │
├─────────────┼──────┬──────┬───────┬───────┬───────┤ буровые │ │
│Наименование │ до 5 │6 - 15│16 - 25│25 - 50│50 - 75│ тележки │ │
│коэффициента │ │ │ │ │ │ │ │
├─────────────┼──────┼──────┼───────┼───────┼───────┼───────────┼─────────┤
│Коэффициент │1,0 - │0,85 -│0,77 - │0,73 - │0,62 - │ 0,6 - 0,4 │0,3 - 0,2│
│использования│ 0,85│ 0,75│ 0,73│ 0,62│ 0,60│ │ │
└─────────────┴──────┴──────┴───────┴───────┴───────┴───────────┴─────────┘
Приведенный выше расчет разработан применительно к горнодобывающим предприятиям. При расчете общего расхода сжатого воздуха других предприятий пользоваться аналогичными формулами, а коэффициенты брать применительно к конкретным условиям.
Расчет трубопроводов сети сжатого воздуха производить по пропускной способности необходимого количества сжатого воздуха и допустимого падения давления, при условии создания нормальных условий работы наиболее удаленных механизмов.
Толщину стенок труб рассчитывать исходя из условий прочности и коррозийного износа.
При расчете трубопроводов рекомендуется пользоваться следующими документами:
1. "Рекомендации по проектированию и расчетам технологических трубопроводов", ДЗ-1, Госстрой СССР, Сантехпроект, Москва, 1979 г.
2. "Указания по проектированию трубопроводов, прокладываемых в подземных выработках угольных и сланцевых шахт", МУП СССР, Москва, 1984 г.
3. "Пособие по проектированию трубопроводов, прокладываемых в подземных выработках" (к ВНТП 1-86), СУП СССР, Москва, 1986 г.
5. ЭЛЕКТРОСНАБЖЕНИЕ, ЭЛЕКТРООБОРУДОВАНИЕ
И ЭЛЕКТРИЧЕСКОЕ ОСВЕЩЕНИЕ
В настоящей части рассмотрены вопросы методики проектирования электроснабжения и электрооборудования, являющиеся специфическими для горнодобывающих предприятий с подземным способом разработки.
Перечень основных инструктивных и нормативных материалов, используемых при проектировании электрической части:
1.
СНиП 1.02.01-85. Инструкция о составе, порядке разработки, согласования и утверждения проектно-сметной документации на строительство предприятий, зданий и сооружений.
2.
Правила устройства электроустановок (6-е издание).
3.
СН 174-75. Инструкция по проектированию электроснабжения промышленных предприятий.
4.
СН 357-77. Инструкция по проектированию силового и осветительного оборудования промышленных предприятий.
7. Пособие к СНиП 3.05.06-85. Раздел "Кабельные линии". ВНИИпроектэлектромонтаж, 1989 г.
| | ИС МЕГАНОРМ: примечание. Взамен ОНТП 24-86 с 01.01.1996 введены в действие НПБ 105-95, утв. Приказом ГУ ГПС МВД России от 31.10.95 N 32. | |
9. ОНТП 24-86. Определение категорий помещений и зданий по взрывопожарной и пожарной безопасности.
| | ИС МЕГАНОРМ: примечание. Постановлением Госгортехнадзора России от 13.05.2003 N 30 утв. новые "Единые правила безопасности при разработке рудных, нерудных и россыпных месторождений полезных ископаемых подземным способом. ПБ 03-553-03". | |
10. Единые правила безопасности при разработке рудных, нерудных и россыпных месторождений подземным способом, 1987 г.
11. Правила безопасности в угольных и сланцевых шахтах, 1986 г.
| | ИС МЕГАНОРМ: примечание. Постановлением Госгортехнадзора от 02.11.2001 N 48 введены в действие с 1 марта 2002 года "Единые правила безопасности при взрывных работах" (ПБ 13-407-01), утв. Постановлением Госгортехнадзора России от 30.01.2001 N 3. | |
12. Единые правила безопасности при взрывных работах, 1988 г.
13. Единые правила безопасности при дроблении, сортировке, обогащении полезных ископаемых и окусковании руд и концентратов.
15. ОНТП 5-86. Общесоюзные нормы технологического проектирования шахтных подъемных установок.
16. Временное руководство по монтажу и эксплуатации контактных сетей подземного транспорта, Кемерово ВостНИИ, 1988 г.
17. Методические указания по расчету и эксплуатации заземляющих устройств шахт и карьеров горнорудный промышленности, Кривой Рог, ВНИИБТР, 1986 г.
18. Ю.Т. Разумный, Ф.П. Шкрабец. Повышение эффективности электроснабжения угольных шахт. Киев, Техника, 1986 г.
19. В.С. Дэюбан, Я.С. Риман, А.К. Маслий. Справочник энергетика угольной шахты. Москва, Недра, 1983 г.
5.2.1. Технико-экономическое обоснование
5.2.1.1. Исходные данные для проектирования
В объем электротехнической части ТЭО входит: разработка схемы системы электроснабжения (основная работа) и основных положений по выполнению наружных электросетей, электрооборудования и электроосвещения зданий и сооружений, организации обслуживания электрохозяйства в объеме, необходимом для определения стоимости электромеханической части предприятия.
Для выполнения работы по выбору системы электроснабжения необходимо иметь следующие исходные данные:
сведения о схеме (системе) внешнего электроснабжения предприятия, выполняемой, как правило, специализированной организацией и являющейся составной частью ТЭО;
схематический генплан предприятия;
здания технологических отделов, содержащие наименование проектов-аналогов всего комплекса предприятия. При отсутствии проекта-аналога в здании указывается наименование объектов (технологического процесса) и характеристика электроприемников: номинальная мощность, напряжение, требования к надежности электроснабжения (при необходимости), режим работы, коэффициенты использования во времени и производительности;
сведения о технологическом процессе и перспективе предприятия на 10 лет;
часы прохождения суточного зимнего и летнего максимума в энергосистеме;
сведения о существующем состоянии электроснабжения и электрооборудования (для расширяемых и реконструируемых предприятий).
5.2.1.2. Факторы, влияющие на выбор
основных технических решений
При проектировании следует учитывать факторы, влияющие на выбор основных технических решений:
величины электрических нагрузок, напряжения, род тока, категорийность потребителей (объектов), их состав и размещение на генплане, насыщенность территории сооружениями;
удаление предприятия и отдельных объектов от мощных источников электроснабжения, напряжение электросетей энергосистемы;
параметры выпускаемого и намечаемого к освоению электрооборудования, комплектных устройств, аппаратуры и кабельной продукции;
климатология района, гидрогеология, рельеф, ресурсы местных строительных материалов в районе намечаемого строительства предприятия;
загрязненность и агрессивность окружающей среды (воздуха и земли).
Величины электронагрузок определяют сечение, напряжения линий электропередачи, мощность трансформаторов, тип аппаратов.
Категория электроприемников по степени бесперебойности питания определяет количество питающих линий.
Удаление предприятия от мощных источников электроснабжения приводит к сооружению системы электроснабжения на более высоких напряжениях и требует значительных капзатрат.
Климатические, гидрогеологические условия, рельеф, условия загрязненности и агрессивности окружающей среды, возможности местной стройиндустрии в той или иной мере влияют на конструктивные решения по электроустановкам предприятия.
5.2.1.3. Выбор системы электроснабжения
Система электроснабжения предприятия делится на две подсистемы:
I. Систему внешнего электроснабжения, т.е. ту часть, которая непосредственно связана с передающими и генерирующими звеньями энергосистемы и обслуживается предприятиями энергетических управлений энергосистемы. К внешнему электроснабжению относятся подстанции районного значения и питающие (ВЛ) к ним. Электросетевые устройства электроснабжения показываются на принципиальной схеме и плане в разделе ТЭО "Схема внешнего электроснабжения предприятия", являющимся составной частью ТЭО.
В своем составе работа по схеме внешнего электроснабжения должна иметь:
I.1. Пояснительную записку, содержащую:
баланс электрических нагрузок мощностей источников электроснабжения района;
обоснование источника электроснабжения рассматриваемого предприятия;
обоснование параметров и количества линий (цепей) электропередачи;
обоснование количества и мощности понизительных подстанций;
особое условие (режим электропотребления, очередность строительства и т.д.);
основные положения по связи, механизации, организации, обслуживания устройств электроснабжения.
I.2. Графическую часть (план схемы), схемы электроснабжения и расчетные схемы.
I.3. Расчеты сметной стоимости объектов электроснабжения и обслуживания с выделением (при необходимости) долевого участия заинтересованных министерств. Вопросы внешнего электроснабжения, как правило, решаются институтом Энергосетьпроект по заданию технологических институтов, осуществляющих контроль за правильностью решений.
Задание на выполнение схемы внешнего электроснабжения содержит: данные по электронагрузкам с разбивкой по годам, категориям, по степени надежности электроснабжения, указаниями местоположения предприятия на прилагаемом схематическом плане.
Анализируя технические решения по схеме внешнего электроснабжения, следует обращать внимание на правильность технических решений, особенно на определение капитальных затрат. При определении капитальных затрат учитывается, что строительство линий электропередачи (независимо от напряжений), прокладываемых на территории предприятий для подключения электроподстанций предприятий, объектов связи и других потребителей к районным электроподстанциям и магистральным линиям электропередачи, а также строительство электроподстанций при отдельных предприятиях и комбинатах осуществляется за счет капитальных вложений соответствующих отраслей, к которым относятся потребители электроэнергии.
Долевое участие принимается пропорционально электронагрузкам и согласовывается с заинтересованными министерствами.
II. Систему электроснабжения предприятия, которая осуществляет распределение и преобразование электроэнергии для потребителей, является частью технологического процесса, органически связана и подчинена ему. Обслуживание этой части системы, как правило, осуществляется электротехническим персоналом предприятия. Границей раздела электросетей энергосистемы и предприятия являются, как правило, линейные разъединители, питающие подстанции.
Основные требования к системе электроснабжения:
обеспечение потребителей предприятия электроэнергией соответствующего качества и с требуемой степенью надежности;
исключение снижения качества электроэнергии в энергосистеме, сверх допустимого ГОСТ, от применения в проектах электроприводов с тиристорными преобразователями;
гибкость схемы, возможность строительства по очередям, учет перспективы развития (расширения) и удобство эксплуатации;
экономичность.
Основная особенность разработки системы электроснабжения на стадии ТЭО заключается в том, что решение сложного комплекса технических и экономических вопросов осуществляется на базе минимально необходимой информации от технологов об электроприемниках (исключение составляют шахтные горномеханические установки) и с учетом возможности и необходимости технической проработки лишь главных вопросов, определяющих с достаточно высокой степенью точности технико-экономические показатели будущего предприятия.
Работа выполняется в следующей последовательности:
Электрические нагрузки и необходимые сведения о напряжении и роде тока электроприемников принимаются, как правило, по проектам-аналогам. В случае отсутствия аналогов, например для шахтных горномеханических установок и т.п., определение электрических нагрузок выполняется методом коэффициента спроса удельных показателей.
Удельные показатели принимаются по проектам-аналогам, составляются и корректируются по отчетным данным аналогичных предприятий.
Годовой расход электроэнергии определяется по расчетным электрическим нагрузкам и числу часов использования отдельно по технологическим процессам и в целом по предприятию.
Число часов использования определяется исходя из заданного режима работы оборудования или по данным аналогов.
В процессе определения электрических нагрузок изучается технологический процесс с целью выявления отдельных подпроцессов или электроприемников, сопутствующих процессу, которые могут использоваться для электронагрузки в энергосистеме, а также предприятия.
При этом рассматривается совместно с технологами целесообразность:
полного отключения потребителей электроэнергии в часы максимума электронагрузки;
частичного отключения потребителей в часы максимума электронагрузки;
за счет изменения графика работы, использования имеющихся или вновь предусматриваемых для этой цели резервов (увеличения емкости складов, водосборников и т.п.).
Располагая сведениями по электрическим нагрузкам (отдельных электроприемников, групп электроприемников, объектов или в целом по площадкам), о категорийности потребителей и об источнике внешнего электроснабжения на основе генплана, планов горных работ намечаются возможные варианты систем электроснабжения.
Производится распределение и расчет электрических нагрузок по главным распределительным подстанциям (ГРП), выбирается количество и мощность трансформаторов на ГРП и выполняются необходимые расчеты для выбора проводов и кабелей линий электропередачи на напряжение 35 - 100 кВ. Определяется объем, протяженность и конструктивные решения по сетям до 10 кВ промплощадки.
Для каждого узла питания оценивается отношение мощности электроприводов с тиристорными вентильными преобразователями (скиповые и клетевые подъемы и т.п.) к мощности короткого замыкания на шинах питающего сетевого напряжения. Если это отношение более 0,03, то необходимо выполнение расчетов и разработка проекта специальных фильтро-компенсирующих устройств.
Исходя из объема обслуживания электросетей, определяемого схемой электроснабжения, по аналогу или действующим нормативам определяется штат обслуживающего персонала, намечается структура, организация труда, состав зданий и сооружений для обслуживания электросетей.
Осуществляется подбор проектов-аналогов, а при их отсутствии - укрупненных показателей стоимости.
На стадии ТЭО осуществляется также выполнение технико-экономического сравнения вариантов систем электроснабжения по критериям приведенных затрат, наилучших технических показателей, учета перспективы развития предприятия, учета технического прогресса в развитии электроснабжения - выбор наиболее целесообразного из рассмотренных вариантов.
Завершается работа сопоставлением основных технико-экономических показателей электрохозяйства, включающих данные суммарной установленной мощности электроприемников, получасового максимума нагрузки, коэффициента спроса, электровооруженности труда. Эти данные сопоставляются с данными аналогов, анализируются и помещаются в начале краткой пояснительной записки. В записке в табличной форме приводятся данные по электронагрузкам и годовому расходу электроэнергии по основным технологическим цехам, общие по общекомбинатским объектам и суммарные значения по предприятию. Указывается процентное соотношение в электронагрузке потребителей I и II категорий по бесперебойности питания и дается их обоснование. Для крупных и сложных предприятий выполняется схема электроснабжения, плановое положение трасс основных сетей наносится на генплан. В записке приводится краткое описание вопросов электроснабжения, обоснование напряжения распределительных сетей, параметров и количества линий к объектам предприятия, основного электрооборудования, решений по организации труда, проблем, по которым необходимо проведение НИ и ОК работ.
5.2.1.4. Подготовка и выдача исходных данных
для проектирования
После окончания проработки технических вопросов подготавливаются и выдаются смежным отделам задания со следующими данными:
явочный штат и структура электрохозяйства, максимальная электрическая нагрузка и годовой расход электроэнергии в целом по предприятию и отдельно по технологическим процессам;
габариты главных сооружений и отдельно стоящих подстанций, объектов зданий и сооружений для обслуживания электросетей, трассы основных линий электропередачи, перечень спецмашин и механизмов;
капитальные затраты или объемы работ для определения капитальных затрат (в зависимости от структуры отделов);
габариты камер электропомещений, проработку вопросов о целесообразности использования технологического процесса для выравнивания графика электронагрузки;
данные (по аналогу) для объема ремонтов оборудования электросетей и трансформаторно-масляного хозяйства.
5.2.2. Проект (рабочий проект)
5.2.2.1. Исходные данные для проектирования
Для выполнения электроснабжения предприятия необходимы следующие данные:
утвержденная схема внешнего электроснабжения предприятия;
технические условия энергосистемы;
часы прохождения суточного зимнего и летнего максимума в энергосистеме;
задания технологов по установленным формам, содержащие следующие основные сведения: характеристику электроприемников, режим их работы, загрузку, производительность и режим работы рудника, а также очередность ввода объектов;
генеральный план предприятия и генеральные планы отдельных площадок;
планы подземных выработок;
сведения по электрооборудованию зданий и сооружений (электрические нагрузки, количество и токи питающих линий). Факторы, влияющие на выбор системы электроснабжения.
5.2.2.2. Выбор системы электроснабжения
1. Электрические нагрузки определяются методами коэффициента использования или коэффициента спроса (при отсутствии значений коэффициентов использования). Полученные значения электронагрузок следует проверять, сопоставляя их с данными, полученными при определении другими методами: по удельным расходам электроэнергии, фактическим электронагрузкам аналогичных объектов.
Рассматриваются графики прохождения максимума в энергосистеме и режим работы потребителей электроэнергии предприятия и устанавливаются совместно с технологами, тех из них, которые могут не работать полностью или частично в часы максимума в энергосистеме.
2. Определяется расход электроэнергии отдельно по технологическим процессам и в целом по предприятию. Полученные значения сопоставляются с данными ТЭО и фактическими данными аналогичных объектов.
3. Уточняется местоположение главных понизительных подстанций, руководствуясь указаниями при рассмотрении ТЭО.
4. Уточняются категории электроприемников по бесперебойности электроснабжения.
5. Выбирается вариант системы электроснабжения (распределение электроэнергии) отдельных объектов (площадок). Располагая данными по электронагрузкам, напряжению и категорийности электроприемников, а также местоположением источников питания, на основе генплана намечаются схемы вариантов распределения электроэнергии. При этом, наряду с традиционными решениями распределения электроэнергии при напряжении 6 кВ, рекомендуется рассматривать одноступенчатые, магистральные и радиальные схемы с более экономичным напряжением 10 кВ. Рекомендуется рассматривать схемы на напряжение 6 - 10 кВ (преимущественно одноступенчатые, магистральные или радиальные (по обоснованию)). Так, например, совмещать потребительские РП 6 - 10 кВ с РУ 6 - 10 кВ главных подстанций. Распределение электроэнергии к электроприемникам до 1000 В рассматривать при напряжении 0,66 и 0,38 кВ.
Производится систематизация и подсчет электрических нагрузок по подстанциям, выбирается количество и мощность трансформаторов и компенсирующих устройств, выполняются необходимые расчеты по выбору сечения проводов и кабелей линий электропередач.
5.2.2.3. Распределение электроэнергии
в подземных выработках
Определяются электрические нагрузки, годовой расход электроэнергии, категории электроприемников.
Полученные значения анализируются, сопоставляются с данными ТЭО, выявляется возможность использования части электроприемников для выравнивания графика электронагрузки в часы максимума в энергосистеме. Выбирается местоположение центральной подземной подстанции исходя из центра электронагрузок, целесообразности ее блокировки с насосной главного водоотлива, очередности ввода горизонтов.
Рекомендуется рассматривать питание насосных главного водоотлива с единичной мощностью насосов 1000 - 3000 кВт, а также с электронагрузкой более 2000 кВт непосредственно от главной подстанции.
Выбирается вариант схемы распределения электроэнергии. Располагая данными по электронагрузкам, выяснив на заводах - изготовителях технологического оборудования возможность поставки его комплектно с электрооборудованием на более высокое напряжение, например 0,66 кВ, на основе планов подземных выработок намечаются схемы вариантов распределения электроэнергии. При этом рекомендуется рассматривать распределение электроэнергии при напряжении 10 кВ преимущественно по магистральным схемам.
Производится систематизация и подсчет электронагрузок по подстанциям, выбирается количество и мощность трансформаторов и выполняются также необходимые расчеты по выбору сечения кабеля.
Решается конструктивное выполнение электросетей. На основании решений по электроснабжению предприятий и распределению электроэнергии в подземных выработках и на промышленных площадках составляется принципиальная схема электроснабжения предприятия, на которой указывается объем телемеханизации подстанций.
5.3.1. Электроприводы конвейерных подъемников
в наклонных стволах, скиповых и клетевых подъемников
в вертикальных стволах, подземных дробильных установок
и монорельсовых дорог
Для проектирования этих приводов необходимы следующие исходные данные:
задание технологического отдела на проектирование электроприводов, агрегатов (ведомость электрооборудования и планы его расположения);
техническая документация электрооборудования и комплектных устройств управления завода - поставщика технологических агрегатов;
промежуточные технологические, строительные (горные) и сантехнические чертежи.
Для проектирования электроприводов клетевых подъемных установок, кроме выше указанных исходных данных, необходимо задание технологического отдела в виде чертежа разреза по отвалу и надшахтному зданию или башенному копру с указанием отметок приемных площадок и горизонтов, на которых будет останавливаться клеть. Основными факторами, влияющими на принятие технических решений, являются:
комплектность поставки электрооборудования заводами - изготовителями технологического оборудования;
условия окружающей среды;
номенклатура электрооборудования, аппаратуры управления и материалов, выпускаемых отечественной промышленностью;
степень индустриализации электромонтажных работ;
местоположение электропомещений;
правильность трассировки кабельных потоков и шинопроводов.
Проектирование электропривода начинается с выяснения технологических требований к нему со стороны механизма (необходимых мощностей на валу, номинальной скорости и пределов ее регулирования, пускового момента и др.). Определив тип привода, разрабатывают схемы управления главным и вспомогательным приводами.
В соответствии с этими схемами составляются задания заводу-изготовителю на комплекты устройства управления приводами (щиты станций управления, шкафы и пульты управления).
Разрабатываются чертежи компоновки электрооборудования и разводки кабелей, составляется пояснительная записка.
Для конвейеров с асинхронными двигателями с фазовым ротором мощностью 160 кВт и выше в качестве пускорегулирующего устройства рекомендуются к применению экономичные и эффективные комплектные тиристорные устройства серии УПТФ и ЭПТФ, изготавливаемые Таллинским электротехническим заводом. Эти устройства обеспечивают плавность и длительность пуска конвейера и пригодны для проведения ремонтных работ на монтажных скоростях, что позволяет исключить микропривод.
При рабочем проектировании скиповых и клетевых подъемных установок применительно к поставляемым комплектным устройствам управления составляется принципиальная схема главного и вспомогательных приводов подъемных машин. Разрабатываются чертежи компоновки электрооборудования и разводки кабелей, составляется пояснительная записка.
При рабочем проектировании скиповых и клетевых подъемных установок должно быть проведено предварительное согласование с машиностроительным заводом и заводами - изготовителями электрооборудования и комплектных устройств управления. Согласованию подлежат технические условия на электродвигатель главного привода и преобразователь к нему, а также техническое задание на разработку и изготовление комплектных устройств управления.
Дробилки подземных дробильных установок, щековые и конусные, поставляются заводами-изготовителями с набором электрооборудования и комплектных устройств в нормальном общепромышленном исполнении. В соответствии с требованиями "ЕПБ при разработке рудных, нерудных и рассыпных месторождений подземным способом" эти комплектные устройства должны поставляться в рудничном исполнении.
Для управления шахтными грузо-людскими подвесными монорельсовыми и моноканатными дорогами следует применять аппаратуру типа УМД Днепропетровского завода шахтной автоматики.
При рабочем проектировании приводов с комплектной поставкой электрооборудования и устройств управления применительно к поставляемым комплектным устройствам управления составляются принципиальные схемы, разрабатываются чертежи компоновки электрооборудования и разводки кабелей, составляется пояснительная записка.
5.3.2. Электропривод вентиляторных установок
главного проветривания рудника
Для проектирования электроприводов вентиляторных установок главного проветривания необходимы следующие исходные данные:
задание технологического отдела на проектирование электроприводов агрегатов (ведомость электрооборудования и планы его расположения);
техническая документация электрооборудования и комплектных устройств управления завода - поставщика вентиляторных агрегатов;
промежуточные технологические, строительные и сантехнические чертежи.
Основными факторами, влияющими на принятие технических решений, являются:
комплектность поставки электрооборудования заводами - изготовителями технологического оборудования;
условия окружающей среды;
степень автоматизации вентиляторной установки;
номенклатура электрооборудования, аппаратуры управления и материалов, выпускаемых отечественной промышленностью;
степень индустриализации электромонтажных работ;
местоположение электропомещений;
правильность трассировки кабельных потоков и шинопроводов.
При рабочем проектировании вентиляторных установок применительно к поставляемым комплектным устройствам управления составляется принципиальная схема главного и вспомогательных приводов вентиляторного агрегата. Разрабатываются чертежи компоновки электрооборудования и разводки кабелей, составляется пояснительная записка.
5.3.3. Электроприводы компрессорных станций
Для проектирования электроприводов компрессорных станций воздухоснабжения рудника необходимы следующие исходные данные:
задание технологического отдела на проектирование электроприводов компрессорных агрегатов (ведомость электрооборудования и планы его расположения);
техническая документация электрооборудования и комплектных устройств управления завода - поставщика компрессорных агрегатов;
промежуточные технологические, строительные и сантехнические чертежи.
Основными факторами, влияющими на принятие технических решений, являются:
комплектность поставки электрооборудования заводами - изготовителями технологического оборудования и ее полнота;
условия окружающей среды;
степень автоматизации компрессорных станций;
номенклатура электрооборудования, аппаратуры управления и материалов, выпускаемых отечественной промышленностью;
степень индустриализации электромонтажных работ;
местоположение электропомещений.
При рабочем проектировании компрессорной станции применительно к поставляемым комплектным устройствам управления составляется совместно с отделом автоматизации принципиальная схема главного и вспомогательного приводов компрессорного агрегата. Разрабатываются чертежи компоновки электрооборудования и разводки кабелей, составляется пояснительная записка.
5.3.4. Силовое электрооборудование в подземных выработках
Силовое электрооборудование вспомогательных камер в капитальных выработках принимается в большинстве случаев по типовым проектам или проектам повторного применения, при их отсутствии решается в соответствии с указаниями по проектированию общепромышленного силового оборудования. Специфическую особенность имеет проектирование силового электрооборудования горных работ, в качестве исходных данных для проектирования которого используются:
задания технологов с планами горных работ;
решения по электроснабжению;
консультации с технологами по изучению особенностей принятой системы горных работ.
Решения по электрооборудованию определяются мощностью потребителей, технологией ведения горных работ и видом транспорта, геометрическими размерами выработок. Проектирование выполняется в следующей последовательности:
производится систематизация и подсчет электронагрузок по намеченным распределительным пунктам до 1000 В, последние рекомендуется совмещать с распредустройством участковых трансформаторов подстанций, а отдельные пункты предусматривать для групп удаленных потребителей. Составляются схемы питающих и распределительных сетей. При этом отдается предпочтение магистральным схемам, совмещению питания силовых потребителей и электроосвещения. Исключение составляют отдельные ответственные потребители, например, участковые вентиляторы, насосные и др., отключение которых не допускается при подаче сигнала об аварии в шахте "Миганием света". Выполняются необходимые электротехнические расчеты по выбору сечения кабелей, установок защитных аппаратов. Решается конструктивное выполнение прокладки электросетей и размещение электрооборудования. На основании технико-экономического сравнения вариантов, при необходимости, выбирается наиболее эффективное решение.
5.3.5. Электрическое освещение подземных выработок
Для проектирования электрического освещения в качестве исходных данных используются планы горных выработок, горизонтов, а также планы и разрезы камер и стволов.
Система освещения подземных выработок определяется размерами выработок, видом мест работ и устанавливаемого технологического оборудования, а также номенклатурой электрооборудования, изготавливаемого в нормальном рудничном исполнении.
Выбор системы освещения производится в следующей последовательности:
принимается освещенность выработок, намечается источник света и его мощность для возможных вариантов освещения.
Для основных капитальных выработок и невысоких камер в качестве источника света рассматривать люминесцентные лампы и лампы накаливания. Для высоких камер, а также выработок на участках горных работ рекомендуются светильники, прожекторы с лампами накаливания;
выполняются светотехнические расчеты;
выполняются электротехнические расчеты, в результате которых определяются количество и мощность осветительных трансформаторов, сечение кабелей, питающих осветительные установки, принимается конструктивное выполнение устройств освещения;
производится технико-экономическое сравнение вариантов систем освещения, выбирается наиболее целесообразный из них;
производится уточнение электронагрузки освещения на подстанции;
составляются спецификации, ведомость.
5.3.6. Заземление электрооборудования
в подземных выработках
В качестве исходных данных для решений вопросов заземления служат решения проекта по схеме электроснабжения и электрооборудованию, а также гидрогеологические условия.
Сеть заземления определяется удельным сопротивлением растеканию тока шахтной воды и земли, а также конструктивным решением по электросетям. Решение вопросов заземления производится в следующей последовательности:
намечаются возможные схемы сети заземления на основе решений по электроснабжению и электрооборудованию;
выполняются расчеты сети заземления, по данным которых выбирается наиболее целесообразная схема.
В тех случаях, когда высокое удельное сопротивление растеканию тока, а также невозможность использовать кабели в качестве магистральных проводников сети заземления, последние предусматриваются металлоемкими. В проекте приводится описание, обоснование принятых устройств заземления.
5.3.7. Подземные подстанции
Для проектирования подстанций необходимы следующие исходные данные:
схема электроснабжения потребителей подземных горных выработок, включая электровозный транспорт, с данными о первичном и вторичном напряжениях, количестве и мощности трансформаторов, преобразовательных выпрямительных устройств, марки, сечения и протяженности отходящих линий, типы и мощность подключаемых высоковольтных двигателей, электрические нагрузки, общие с разбивкой по присоединениям на стороне до и выше 1000 В, требования технологов к конструктивному выполнению, вытекающие из особенностей ведения горных работ, гидрогеологических условий месторождения и т.п.
С учетом требований выбирается электрооборудование и аппаратура, производятся расчеты устройств релейной защиты, проверяется устойчивость электрооборудования и аппаратуры по Т.К.З.
Прорабатываются варианты компоновки электрооборудования и аппаратуры, и на основании технико-экономического сравнения выбирается наиболее эффективный. Выполняются чертежи принципиальных схем.
На основе чертежей горно-строительной части выполняются чертежи планов установки электрооборудования, разводки кабелей, кабельные журналы. Составляются спецификации, ведомость и сметы.
5.4. Электрифицированный подземный транспорт
5.4.1. Контактные сети
Исходные данные для проектирования содержатся в задании технологического отдела с указанием следующих основных сведений тягового расчета:
типа и количества электровозов и вагонеток;
удельного сопротивления движению груженой и порожней вагонетки;
длины поезда;
средней длины откатки;
времени рейса и его составляющих;
количества поездов, одновременно находящихся в движении, погрузке и разгрузке, с разбивкой по горизонтам;
средней скорости движения.
К заданию прикладываются планы горизонтов с указанием на них путей уклонов, пунктов погрузки и разгрузки поездов, посадочных площадок, направления движения поездов (груженых, порожних).
Основными факторами, влияющими на принятие технических решений, являются:
тип и количество электровозов;
конфигурация и протяженность путей;
номенклатура электрооборудования, аппаратуры и зданий в рудничном исполнении.
В соответствии с требованием нормативных и директивных документов о внедрении защиты от токов утечки в подземных контактных сетях и применением тяговых выпрямителей ВТПЕ (ПО "Электрообразователь", г. Оренбург), оборудованных данной защитой, к контактной сети предъявляются специфические требования:
общее сопротивление изоляции контактной сети не должно быть ниже величины, при которой срабатывает устройство защиты от токов утечки. Эта величина должна быть не ниже 3 КОм;
в параллельной работе могут находиться не более двух тяговых выпрямителей ВТПЕ.
Указанные требования вызывают необходимость разбивки контактной сети горизонта на изолированные участки, если общее сопротивление сети меньше 3 КОм.
При этом должна быть обеспечена работа электровозов на отдельных изолированных участках сети из условий питания каждого участка не более чем от двух тяговых выпрямителей.
Последовательность расчетов контактной сети:
производятся расчеты общего сопротивления изоляции сети горизонта, нагрузки и мощности тяговых выпрямителей;
сеть при необходимости разбивается на изолированные участки;
по каждому участку проверяются общее сопротивление изоляции сети, нагрузки и мощность тяговых выпрямителей.
Выполняются:
схема питания и секционирования сети в соответствии с требованиями ЕПБ;
спецификация оборудования и материалов;
сметы.
На стадии рабочих чертежей выполняются чертежи планов и секционирования контактной сети, разрабатываются конструктивные решения по узлам и деталям элементов контактной сети, отсутствующим в альбомах типовых проектов.
5.4.2. Особенности проектирования контактной сети
и тяговых подстанций троллейвозного транспорта
В случае применения в качестве транспорта автопоездов (троллейвозов) с дизель-генераторным и троллейным питанием тяговая подстанция предназначена для питания двухпроводной контактной сети троллейбусного типа и плавного регулирования напряжения постоянного выпрямительного тока Ив от 200 до 420 В.
Питание выпрямительных устройств осуществляется от трехфазных трансформаторов мощностью 400 кВа с вторичным напряжением 380 В - система с изолированной нейтралью.
Питание тяговых двигателей автопоезда осуществляется совместно от дизель-генератора и контактной сети.
Суммарный ток тяговых двигателей автопоезда:

(5.1)
где n - число тяговых двигателей;

- номинальный ток двигателя, двигатели каждой оси соединены последовательно.
Суммарный ток автопоезда:

(5.2)
где n - число генераторов;
Jr - ток генератора, принимается по нагрузочной характеристике генератора, при напряжении генератора
Иг = Ив = 420 В.
Величина тока, снимаемая с контактной сети:

(5.3)
Допустимое напряжение на токоприемнике в конце участка питания:

(5.4)
где

- максимально допустимое падение напряжения на контактной сети, по ТУПЭ

, Ив = 0,18 x 420 = 75 В.
Сопротивление петли контактной сети из расчета допустимого падения напряжения


. (5.5)
Радиус питания (длина консоли контактной сети):

(5.6)
где Rпр - сопротивление контактного провода.
Расстояние перегона между тяговыми подстанциями принимается 2L.
При необходимости радиус питания может быть увеличен за счет усиления контактного провода кабелем - Rn. Эквивалентное сопротивление контактной сети:

(5.7)
Радиус питания при усилении составит:

(5.8)
Скорость автопоезда определяется по электромеханической характеристике тягового двигателя.
Напряжение на двигателе в конце перегона

. (5.9)
При нормальном токе двигателя Jдв принимается частота вращения

, об/мин, скорость автопоезда

(5.10)
где

- радиус колеса, м;
iр - передаточное число редуктора.
Потеря мощности в контактной сети:

(5.11)
где

- сопротивление консоли контактной сети, Ом,

(5.12)
Мощность, потребляемая автопоездом от контактной сети:
Rкс = Ив x Jкс, кВт. (5.13)
Мощность питающего трансформатора:

(5.14)
где

- коэффициент мощности магнитного усилителя. Ток в трехфазной питающей линии:

(5.15)
В качестве регулятора напряжения выбирают магнитные усилители типа УСО-80 или более мощные, при освоении их производства. В связи с тем, что УСО-80 не удовлетворяют по допустимому току, т.е. Jн > Jну, принимают включение в каждую фазу несколько усилителей.
Ток двигателей в этом случае равен:

(5.16)
где n - количество магнитных усилителей, включенных в фазу.
Принимается запас по мощности магнитных усилителей, что позволяет снизить активные потери и обеспечить более динамичный разгон при трогании с места.
5.5. Подготовка и выдача исходных данных
для проектирования
После окончания проработки технических вопросов выдаются смежным отделам задания по следующим данным:
сведения о системе электроснабжения, максимальная электрическая нагрузка предприятия, годовой расход электроэнергии в целом по предприятию и отдельно по технологическим процессам, раздел организации труда в электрохозяйстве;
задание на камеры, ниши и площадки для электропомещений, места размещения электрооборудования, прокладки кабелей;
на объекты для ремонта и обслуживания электросетевых устройств, включая масляное хозяйство, нестандартизированное оборудование:
на подстанции, кабельные каналы, эстакады, галереи;
на тепловыделения, отвод масла (аварийный);
на габариты подстанций, трассы основных линий, размещение объектов по обслуживанию электросетей и перечень спецмашин и механизмов;
сметы, объем работ, спецификации оборудования и материалов для составления смет и проекта организации строительства, в зависимости от принятой структуры отделов;
на объем телемеханизации устройств электроснабжения;
спецификации на электрооборудование, изделия и материалы.
6. АВТОМАТИЗАЦИЯ, ДИСПЕТЧЕРИЗАЦИЯ, СВЯЗЬ И СИГНАЛИЗАЦИЯ
6.1. Технико-экономическое обоснование
Для выполнения настоящего раздела проекта необходимы следующие исходные данные:
1. Производительность и режим работы предприятия.
2. Планы подземных горных выработок с указанием на них:
вентиляционных дверей (для выполнения части проекта по автоматизации);
грузопотоков (для выполнения части проекта по СЦБ);
данных по подвижному составу (для выполнения частей проекта по СЦБ и связи).
Одновременно на этих планах должны быть выделены выработки и установки, относящиеся к пусковому комплексу. Для выполнения частей проекта по автоматизации, телемеханизации и связи дополнительно необходимы следующие исходные данные:
1. Задание от технологических отделов, содержащее перечень проектируемых комплексов и установок в подземных горных выработках и объектов на поверхности (титульный список) с указанием для каждого из них аналогов и степени использования этих аналогов (привязочных коэффициентов). При отсутствии аналога - краткое описание технологических процессов, требования к автоматизации и связи, особые условия работы оборудования (характеристику подземных выработок на опасность по газу и пыли, а также класс помещений и характеристики окружающей среды объектов на поверхности).
В этом перечне должны быть отмечены комплексы, установки и объекты, эксплуатацию которых намечается осуществлять без постоянного дежурного персонала с помощью устройств телемеханики и связи при участии диспетчера (телеуправление, телесигнализация, телеизмерение и т.п.), а также комплексы, установки и объекты, входящие в пусковой комплекс.
2. Структура управления предприятием, в том числе структура диспетчерской службы с рекомендуемым размещением этих служб по объектам.
Состав проектных материалов по автоматизации, телемеханизации и СЦБ представляется в сокращенном объеме и ограничивается определением капитальных затрат и обслуживающего персонала.
Учитывая сокращенный объем проектных материалов, а также необходимость проработки лишь главных вопросов, определяющих с достаточной степенью точности технико-экономические показатели, проектирование предприятия выполняется ограниченным кругом исполнителей с привлечением наиболее квалифицированных специалистов. На основе исходных данных подбираются аналоги объектов, агрегатов и установок и аналоги проектов, разработанные ранее.
По этим аналогам, с учетом изменения степени и объемов автоматизации, телемеханизации, СЦБ и связи, с учетом особенностей новых технологических процессов, оборудования, условий подземных работ, а также последних достижений науки и техники, определяются укрупненно капитальные затраты, штаты, в том числе по пусковому комплексу, и выдаются смежным отделам задания на необходимые помещения для диспетчерских (операторских) пунктов и камеры в подземных выработках для размещения оборудования.
При отсутствии необходимых аналогов указанные выше данные могут быть определены на основании эскизов разработки основных решений. В этом случае материалы эскизной разработки в состав выпускаемой документации не включаются.
6.2. Проект (рабочий проект)
Основными технологическими процессами и установками, оснащаемыми устройствами автоматизации и связи на предприятиях с подземным способом работ, являются:
транспорт горной массы с помощью электровозов, конвейерных линий или самоходными машинами на пневмомашинном ходу;
опрокидывающие комплексы;
подъемные установки (стволовая, сигнализация и связь);
вентиляторные установки (главные, блоковые и т.д.);
водоотливные установки (главные, зумпфовые);
калориферные установки;
подземные дробильные установки;
компрессорные установки;
вентиляторные двери;
комплексы обмена вагонеток в околоствольных дверях и на поверхности у ствола.
При разработке проектов автоматизации, телемеханизации, СЦБ и связи перечисленных процессов и установок необходимо, кроме общепромышленных норм и правил по объему и степени автоматизации, телемеханизации, СЦБ (используемых для объектов на поверхности), руководствоваться также "Едиными правилами безопасности при разработке рудных, нерудных и россыпных месторождений подземным способом" и книгой I "Норм технологического проектирования горнодобывающих предприятий металлургии с подземным способом разработки". Принимаемые в проекте решения должны соответствовать требованиям технологических процессов, условиям работы технологического оборудования в подземных выработках, наличию серийно выпускаемых промышленностью технических средств в специальном рудничном исполнении, требованиям эксплуатации, а также обеспечивать технико-экономическую эффективность принятых решений.
Выбор аппаратуры и средств автоматизации, телемеханизации, СЦБ и связи необходимо производить с учетом специфики технологических процессов при ведении работ в подземных выработках, обуславливающих тяжелые условия окружающей среды, при которых должны надежно работать выбранная аппаратура и средства. Что касается методики проектирования объектов общепромышленного назначения, расположенных на поверхности, то эта методика определена соответствующими нормами и правилами отдельных министерств и ведомств (Министерство связи, Минэнерго, Минприбор и т.д.).
На основании принятых решений по автоматизации, телемеханизации, СЦБ и связи составляются заявочные ведомости и локальные сметы по каждому объекту на поверхности и каждой установке на горизонте, а также выполняется пояснительная записка и раздел по организации труда в объеме, предусмотренном "Инструкцией (методические указания) по выполнению раздела "Организация труда" в проектах горнорудных предприятий", разработанной институтом Гипроруда. Одновременно разрабатываются пусковые комплексы и графические материалы по телемеханизации, СЦБ и связи.
Учитывая особенности организации работ по разработке проектов автоматизации, телемеханизации, СЦБ и связи в условиях комплексных проектных технологических институтов, перечень проектных материалов, по сравнению с перечнем специализированных проектных институтов, может быть частично сокращен за счет одновременного выполнения проектов по всем специальностям. Так, например, не следует в состав настоящего раздела проекта включать задания на помещения для установки щитов и пультов, на помещения АТС и диспетчерских пунктов, на кабельные каналы и тоннели, камеры, ниши и другие проектные материалы, которые учтены и выполнены в других смежных разделах комплексного проекта.
7. РЕМОНТНОЕ И СКЛАДСКОЕ ХОЗЯЙСТВО
Основным принципом рациональной организации ремонтного и складского хозяйства горнодобывающих предприятий должна быть максимальная специализация и централизация ремонтных служб и складских комплексов.
При проектировании подземных рудников черной и цветной металлургии необходимо предусматривать следующие объекты ремонтной службы, размещаемые в подземных выработках:
электровозно-вагонное депо для обслуживания и текущего ремонта рудничных электровозов и вагонов;
перфораторную мастерскую для обслуживания и ремонта бурового оборудования;
ремонтные пункты для технического обслуживания и текущего ремонта самоходного оборудования;
гаражи для хранения и ежедневного осмотра автосамосвалов и дизельных погрузочно-транспортных машин;
места стоянки самоходных машин.
Все самоходные машины должны быть обеспечены местом в гараже или местом стоянки, если проектом не предусмотрено их нахождение на поверхности.
При проектировании автотранспортных уклонов, выходящих на поверхность, и штолен основные ремонтные подразделения следует располагать на поверхности, а подземные объекты проектировать для ремонта малоподвижного и ежедневного осмотра мобильного оборудования.
Размещение ремонтных пунктов необходимо предусматривать на каждом горизонте или, при наличии транспортных съездов, объединенных для нескольких горизонтов. Камеры для них целесообразно располагать вблизи участков горных работ в устойчивых породах с примыканием заездов к выработкам, приспособленным для свободного передвижения оборудования и омываемым струей свежего воздуха от общешахтной системы вентиляции.
Проектирование подземных ремонтных пунктов следует выполнять в соответствии с "Инструкцией по безопасному применению самоходного (нерельсового) оборудования в подземных рудниках",
СНиП II-94 "Подземные горные выработки", с учетом технических решений типового проекта - типовой схемы "Подземные пункты на 1, 3 и 5 постов по обслуживанию и ремонту самоходных машин для горнорудных предприятий цветной металлургии. Часть технологическая", а также требований
СНиП II-93 "Предприятия по обслуживанию автомобилей. Нормы проектирования".
В ремонтном пункте необходимо предусматривать выполнение полного объема работ по техническому обслуживанию самоходного оборудования, а также выполнение текущего ремонта агрегатно-узловым методом.
Программу ремонтных работ определять в соответствии с их периодичностью, продолжительностью и трудоемкостью.
Число ремонтных постов (Nп) для технического обслуживания и текущего ремонта самоходного оборудования уточнять по формуле:

, (7.1)
где Tпр - суммарное время простоя машин в ремонте;
Ф - фонд рабочего времени одного поста;

- коэффициент неравномерности поступления машин на ремонтный пункт

;

- коэффициент использования рабочего времени поста

.
Независимо от расчетного числа ремонтных постов для производства сварочных работ предусматривать отдельный пост.
Выбор средств доставки горюче-смазочных материалов (ГСМ) в шахту (спецвагонетки на рельсовом ходу, самоходные машины для доставки заправки ГСМ, трубопроводный транспорт по скважине) и необходимость строительства подземного склада ГСМ обосновывать в проекте с учетом способа вскрытия месторождения, принятой организации обслуживания и эксплуатации самоходных машин и расхода ГСМ.
Проект подачи ГСМ с поверхности по трубопроводам, проложенным в скважинах, должен быть согласован с ВГСЧ и пожарным надзором.
Устье скважины для подачи ГСМ в шахту следует располагать на промплощадке с подветренной стороны при удалении на расстояние не менее 100 метров от надшахтных зданий, воздухоподающих стволов, вентиляторных и калориферных установок, а под землей - от околоствольных дворов, вентиляционных дверей, пунктов технического обслуживания оборудования и других камерных выработок. Устья скважин должны иметь укрытие.
При транспортировке ГСМ в скважины по трубопроводам необходимо прокладывать отдельный трубопровод для каждого подаваемого сорта ГСМ. Допускается последовательная перекачка смазочных масел по одному трубопроводу при соблюдении требований, предусмотренных "
Правилами технической эксплуатации нефтебаз".
Прокладку трубопроводов для перекачки ГСМ предусматривать в подземных выработках, расстояние от которых до стволов, околоствольных дворов, камерных выработок и вентиляционных дверей соответствует требованиям "Инструкции по безопасному применению самоходного (нерельсового) оборудования в подземных рудниках".
Проект перекачки ГСМ по трубопроводам, проложенным в подземных выработках, подлежит согласованию с ВГСЧ и должен предусматривать:
расположение трубопроводов, обеспечивающее невозможность их повреждения транспортными средствами при номинальных параметрах сечения выработки и соблюдение правил эксплуатации принятого транспортного оборудования;
опорожнение трубопроводов после прекращения перекачки ГСМ в резервуары, размещенные в подземных складах;
телефонную связь между складами ГСМ, а также каждого склада с диспетчером;
защиту трубопроводов ГСМ от статического электричества и коррозии.
Трубопроводы ГСМ, прокладываемые в скважине, должны быть закреплены на верхней опоре, установленной на поверхности, и поддерживаться нижней опорой, установленной в специальной камере, имеющей выход непосредственно в склад ГСМ или выработку, соединяющую эту камеру со складом. Перед выходом из этой камеры должен быть устроен бетонный вал высотой, исключающей возможность растекания горючей жидкости за пределы камеры, на случай, если вся жидкость вытечет из трубопроводов скважины.
Подземные склады ГСМ и пункты заправки самоходного оборудования следует проектировать в соответствии с "Инструкцией по безопасному применению самоходного (нерельсового) оборудования в подземных рудниках",
СНиП II-94 "Подземные горные выработки", с учетом технических решений типового проекта - типовой схемы "Подземные склады горюче-смазочных материалов вместимостью 3,6 и 10 м3 с заправочными пунктами для горнорудных предприятий цветной металлургии. Часть технологическая".
В подземных складах ГСМ необходимо предусматривать сбор отработанных нефтепродуктов.
Для механизации погрузочно-разгрузочных работ в отделении тарного хранения ГСМ предусматривать использование грузоподъемных средств и механизмов.
В случае подачи ГСМ в подземный склад по трубопроводам, проложенным в скважине, необходимо предусматривать, как резерв, устройство пункта перекачки в резервуары склада горюче-смазочных материалов, доставляемых с поверхности в специальных сосудах на рельсовом или пневмоколесном ходу.
Число запасных частей и узлов, хранимых в подземных складских помещениях, принимать в размере 8 - 10% от общего оборотного фонда.
Срок хранения в подземных условиях запасных частей, узлов, агрегатов и других материалов, идущих на ремонтные нужды, рекомендуется в пределах 5 - 7-суточной потребности в них.
8.1. Характеристика действующего предприятия
(для проекта реконструкции, расширения
или технического перевооружения)
При разработке проекта реконструкции или расширения действующего горнодобывающего предприятия как на стадии ТЭО, так и на стадии проекта (рабочего проекта) дается описание состава существующего предприятия, а также принципиальной схемы расширения его генерального плана, размещения его основных действующих объектов и сооружений, состояния его общерудничного и внутриплощадочного благоустройства и транспортных коммуникаций.
В случае необходимости указывается перечень и характеристика состояния разбиваемых и сносимых объектов и сооружений, а также их объем (автодорог, железнодорожных путей, искусственных сооружений, территорий с покрытием, водоотводных канав, ограждений и др. элементов благоустройства).
При необходимости сноса и разборки существующих зданий приводятся краткие данные инвентаризации сносимых объектов с их строительной характеристикой.
8.2. Генеральный план проектируемого предприятия
8.2.1. Руководящие материалы для проектирования
Генеральный план горнорудного предприятия с подземным способом разработки выполняется на основе нижеприведенных общегосударственных и ведомственных нормативных документов и специальных норм, являющихся обязательными для горнодобывающей отрасли промышленности. К ним относятся:
2.
СН 387-78. Инструкция по разработке схем генеральных планов, групп предприятий с общими объектами (промышленных узлов).
4.
СНиП 1.02.01-85. Инструкция о составе, порядке разработки, согласования и утверждения проектно-сметной документации на строительство предприятий, зданий и сооружений.
5.
СН 245-71. Санитарные нормы проектирования промышленных предприятий.
| | ИС МЕГАНОРМ: примечание. Взамен СНиП II-106-79 Постановлением Госстроя СССР от 26.04.1993 N 18-10 с 1 июля 1993 года введены в действие СНиП 2.11.03-93. | |
9. СНиП II-106-79. Склады нефти и нефтепродуктов.
10.
СНиП II-8-78. Здания и сооружения на подрабатываемых территориях.
13.
СН 441-72*. Указания по проектированию ограждений площадок и участков предприятий, зданий и сооружений.
| | ИС МЕГАНОРМ: примечание. Постановлением Госгортехнадзора от 02.11.2001 N 48 введены в действие с 1 марта 2002 года "Единые правила безопасности при взрывных работах" (ПБ 13-407-01), утв. Постановлением Госгортехнадзора России от 30.01.2001 N 3. | |
15. Единые правила безопасности при взрывных работах.
16. Инструкция о порядке финансирования работ по рекультивации земель (Минфин СССР, Госплан СССР, Госбанк СССР, 1978 г.).
17. Руководство по проектированию санитарно-защитных норм промышленных предприятий (ЦНИИПградстроительства, 1984 г.).
8.2.2. Состав проектируемого предприятия
Состав горнодобывающего предприятия с подземным способом разработки определяется заданием на проектирование, технико-экономическим обоснованием его строительства с учетом технологической схемы вскрытия месторождения и, как правило, определяется следующим перечнем объектов и сооружений на поверхности:
стволы главного и вспомогательного подъемов (вертикальные и наклонные);
стволы вентиляционные;
наклонные штольни-съезды в подземные выработки для выдачи руды и пустой породы на поверхность, а также для спуска в подземные выработки самоходного и прочего горного оборудования;
промышленные площадки, на которых располагаются надшахтные комплексы главного и вспомогательного стволов (надшахтные и машинные здания, башенные и укосные копры), вентиляторно-калориферные установки, компрессорные станции, электроподстанции, административно-бытовые здания, столовые, пожарные депо и др.;
здания ремонтно-складского и транспортного назначения;
крепезаделочные мастерские со складом шахтной крепи, металла и леса;
поверхностные сооружения закладочного комплекса (в случае ведения горных работ с закладкой выработанного пространства подземного рудника), включающие производственный корпус и склады компонентов закладочной смеси;
сооружения шахтного водоотлива на поверхность и очистные сооружения шахтных вод, выдаваемых на поверхность (отстойные пруды, хлораторные и насосные станции);
горноспасательные станции;
отвалы пустых пород, выдаваемых на поверхность вспомогательными стволами.
В случае осуществления на руднике процессов обогащения руды и окомкования концентрата в составе предприятия предусматриваются:
обогатительная фабрика;
хвостохранилище (склад мокрых отходов обогащения);
фабрика окомкования.
Кроме того, в состав горного предприятия входят также объекты, обязательные для любого промышленного предприятия (объекты водоснабжения, канализации, теплоснабжения, электроснабжения, газоснабжения, связи, внешнего транспорта, объекты жилищно-коммунального назначения и т.д.).
Указанный состав может корректироваться в зависимости от метода разработки месторождения, способа рудоподготовки и других технологических условий.
8.2.3. Выбор варианта решения генерального плана
Возможные варианты решения генерального плана горного предприятия намечаются на стадии ТЭО при выборе площадок для строительства, а также при определении способа выдачи на поверхность руды и пустой породы с помощью вертикальных скиповых подъемов или наклонных транспортных выездов из подземных рудников.
При наличии нескольких вариантов решения схемы генерального плана, выявленных при разработке ТЭО или основных положений проекта, выбор оптимального варианта определяется технико-экономическим сравнением этих вариантов с учетом природных условий, ценности занимаемых земель, научно-исследовательских работ по выбору рациональной технологии предприятия и на основании условий, выявленных при выборе площадок для строительства горного предприятия.
Приводятся выводы по выбранному варианту и краткое описание его преимущества.
Порядок выбора площадок изложен в
приложении 1 СНиП 1.02.01-85 "Инструкция о составе, порядке разработки, согласования и утверждения проектно-сметной документации на строительство предприятий, зданий и сооружений".
8.2.4. Планировочные решения
и размещение основных объектов предприятия
Генеральный план горного предприятия следует разрабатывать исходя из условий рационального и экономного расходования земельных ресурсов. Объекты горного предприятия следует размещать, как правило, вне пределов сельскохозяйственных угодий и лесов первой группы с лесами промыслового значения.
Компоновка генерального плана горнорудного предприятия с подземным способом разработки выполняется на основе установленного состава горного предприятия и определяется технологическими условиями размещения надшахтных комплексов и околоствольных площадок, определяющими планировочное решение генерального плана на поверхности.
Околоствольные площадки с надшахтными комплексами следует максимально приближать к шахтным полям с целью предельного сокращения протяженности подземных выработок (квершлагов), связывающих рабочие горизонты подземного рудника с главными и вспомогательными стволами. Однако располагаться они должны за пределами зоны обрушения от подземных разработок.
В целях рационального и экономного использования земель на околоствольных площадках рекомендуется также располагать рудоперерабатывающие комплексы, примыкая их непосредственно к главным стволам, выдающим руду на поверхность, а также все прочие вспомогательные объекты рудничного хозяйства ремонтно-складского назначения.
При компоновке промплощадки вокруг ствола необходимо предусматривать свободную зону, служащую для расположения временных зданий и сооружений на период его строительства и не препятствующую строительству постоянных объектов.
В отдельных случаях при размещении горных предприятий в сельскохозяйственных районах рудоперерабатывающие комплексы и прочие объекты подземного рудника на поверхности необходимо, как правило, выносить за пределы возделанных сельскохозяйственных угодий на территории, непригодные для сельскохозяйственного использования.
Расположение рудоперерабатывающих фабрик определяется после комплексной технико-экономической проработки с учетом расположения внешних подъемов, дальности расположения главных стволов, источников производственного водоснабжения, возможности близкого размещения хвостохранилищ к обогатительным фабрикам.
В отдельных случаях эти условия могут оказаться решающими при определении местоположения обогатительных фабрик.
Отвалы пустых пород, выдаваемых на поверхность, рационально располагать в будущих зонах обрушения поверхности от подземных работ (при разработке месторождения без закладки выработанного пространства) с обязательным соблюдением специальных мероприятий по безопасному ведению отвальных работ в указанной зоне.
При ведении горных работ с закладкой выработанного пространства пустая порода, выдаваемая на поверхность, подлежит складированию на землях, непригодных для сельскохозяйственного использования, а также не имеющих в недрах полезных ископаемых, незастроенных, безлесных.
Склады взрывчатых материалов на рудниках с подземным способом разработки размещаются:
базисные склады ВМ - на поверхности при соблюдении требований "Единых правил безопасности при взрывных работах";
расходные склады ВМ - в подземных выработках рудника в специально предусмотренных камерах.
8.3. Инженерная подготовка территории
В проекте решаются следующие вопросы по инженерной подготовке территорий, намеченных под промышленную застройку или для размещения на них породных отвалов, хвостохранилищ, автомобильных и железных дорог, конвейерных трактов и других сооружений, с определением объемов по нижеприведенным видам работ:
1. Устройство нагорных водоотводящих канав и водоограждающих дамб для осушения застраиваемых территорий и ограждения их от внешнего водопритока.
2. Устройство дренажей и искусственных водоотводных сооружений (труб, лотков, быстротоков и т.д.), выторфовывание с заменой торфа минеральным грунтом на заболоченных участках, подлежащих застройке.
3. Вырубка леса и кустарника с корчевкой пней в лесных районах и полная вывозка их за пределы застройки.
4. Снятие почвенно-растительного слоя с вывозкой его и складированием в специальные почвенные отвалы для последующего использования при рекультивационных работах на предприятии.
5. Решение в отдельных случаях проблем, вызванных наличием:
лавиноопасных зон;
сейсмичности;
наличием вечной мерзлоты;
закарстованности территорий, лессовидности и макропористости грунтов, солончаковых участков и др.
6. Организация рельефа на участках будущего строительства промышленных сооружений (особенно в горных условиях) применением террасных способов планировки.
При определении и осуществлении мероприятий по инженерной подготовке территории следует учитывать необходимость сохранения и улучшения почвенного покрова, зеленых насаждений, ландшафта и удовлетворения архитектурных требований.
8.4. Планировочные решения
по площадкам нового строительства
Планировка площадок промышленной застройки выполняется с учетом рациональной компоновки при соблюдении технологического зондирования застраиваемой территории. Размеры площадок следует принимать минимально необходимые с учетом требуемой
СНиП II-89-80 плотности застройки без завышенных разрывов между зданиями и с максимальной блокировкой и унификацией сооружений.
Резервные территории на площадке могут быть предусмотрены только в случае указания об этом в задании на проектирование предприятий.
8.4.1. Промплощадка при главных стволах
Основная промышленная площадка подземного рудника располагается, как правило, при стволах главного и вспомогательного подъемов, местоположение которых на поверхности определяется горнотехническими условиями и технологической схемой вскрытия данного месторождения.
Планировочное решение расположения сооружений при главных и вспомогательных стволах на поверхности (надшахтные комплексы главного и вспомогательного стволов) выполняется, как правило, по типовым планировочным схемам, разработанным технологическими институтами горного профиля для различной производительности рудников.
Состав сооружений на околоствольных площадках приведен выше, в
разделе "Состав проектируемого предприятия".
8.4.2. Базисный склад взрывчатых материалов
Обоснование расположения базисного склада ВМ согласно принятой его емкости и максимальной емкости одного хранилища производится согласно Единым правилам безопасности, расчету необходимых безопасных расстояний воздушной волны от склада до различных внешних объектов и сооружений.
Также расчетом определяются безопасные расстояния по детонации между хранилищами склада, определяющие планировку и размещение хранилищ на площадке склада.
8.4.3. Площадки вентиляционных стволов и другие
При наличии в проекте площадок (вентиляционные стволы, горноспасательные станции и т.д.) приводится краткое описание планировочного решения по этим площадкам.
8.5. Вертикальная планировка и благоустройство
на площадках нового строительства
Вертикальная планировка поверхности промышленных площадок выполняется для обеспечения отвода поверхностных талых и ливневых стоков с их территорий.
В зависимости от плотности застройки вертикальное решение поверхности выполняется в виде сплошной, выборочной или смешанной системы планировки, от характера окружающего рельефа - бестеррасной или террасной системе.
Во всех случаях на планируемых площадках предусматриваются уклоны поверхности, обеспечивающие сбор поверхностных стоков в систему придорожных кюветов, бетонных лотков или ливнеприемников дождевой канализации, по которым они отводятся за пределы площадки в пониженные места рельефа.
На промплощадках следует, как правило, предусматривать закрытую сеть дождевой канализации.
С участков повышенного загрязнения поверхностных стоков (открытые стоянки автотранспорта, автозаправочные станции, склады горючих и смазочных материалов, открытые и закрытые мойки автомобилей, автобазы и др.) загрязненные стоки подаются в специальные водоприемники и далее на очистные сооружения поверхностных стоков.
Уклоны планируемых поверхностей площадок рекомендуется принимать в пределах от 0,005 до 0,05 в зависимости от уклонов рельефа и характера грунтов.
Перепуск поверхностных стоков под автодорогами и железнодорожными путями следует осуществлять с помощью водоперепускных железобетонных труб и междушпальных лотков, сечение которых определяется расчетом.
Объемы земляных работ определяются на стадии проекта (рабочего проекта) с помощью картограммы земляных масс, на стадии ТЭО - укрупненно по поперечным профилям.
Также определяются объемы работ по благоустройству площадок (дорожные покрытия, тротуары, искусственные сооружения, озеленение территорий, ограждения и другие работы).
8.6. Территории, потребные для размещения
объектов предприятия
На стадии ТЭО и проекта определяется количество территорий, необходимых для размещения проектируемых объектов и сооружений подземного рудника, а также общая потребность в землях в контуре будущего земельного отвода горного предприятия по состоянию его развития на конец отработки месторождения с учетом разбивки их по видам земельных угодий.
Все упомянутые выше величины площадей сводятся в таблицу по форме 12.
Таблица общей потребности в земельных отводах
N п.п. | Наименование объектов | Размер участка, га | в том числе |
с.-х. земли | лесхоз | проч. |
1 | Шахтное поле (в контуре зоны обрушения) | | | | |
2 | Отвалы пустых пород и отвальные дороги | | | | |
3 | Основная промплощадка главных стволов | | | | |
4 | Рудоперерабатывающая фабрика | | | | |
5 | Площадки вентиляционных стволов | | | | |
6 | Горноспасательная станция | | | | |
7 | Прочие промышленные объекты | | | | |
8 | Межплощадочные автомобильные и железные дороги | | | | |
9 | Склады руды | | | | |
10 | Склады взрывчатых материалов на поверхности | | | | |
| Итого по застройке указанными объектами | | | | |
11 | Всего территории в границах намечаемого земельного ствола | | | | |
12 | Неиспользованные территории | | | | |
8.7. Технико-экономические показатели
по площадкам строительства
Планировочные решения по площадкам промышленной застройки горного предприятия (околоствольные площадки), рудоперерабатывающие фабрики, горноспасательные станции, закладочные станции, закладочные комплексы и др. выполняются в соответствии с положениями
СНиП II-89-80,
СНиП 1.02.01-85 и др. нормативных документов при соблюдении требуемой плотности застройки и зонирования застраиваемых территорий по технологическому назначению проектируемых объектов.
Технико-экономические показатели генплана по площадкам строительства рекомендуется приводить в виде таблицы по форме 13.
ТЭП по площадкам строительства
┌────────────────┬────────────────────────────────────────────────────────┐
│ Наименование │ Наименование показателей │
│ площадок ├───────┬───────┬──────┬────────┬────────┬───────┬───────┤
│ строительства │Площадь│Площадь│Плот- │Площадь │Площадь,│Площадь│Исполь-│
│ │пред- │за- │ность │покрытия│занятая │озеле- │зование│
│ │прия- │строй- │за- │площадок│ ж.-д. │нения, │терри- │
│ │тия, га│ки, га │строй-│и авто- │путями, │м2 │тории, │
│ │ │ │ки, % │дорог, │ м2 │ │% │
│ │ │ │ │м2 │ │ │ │
├────────────────┼───────┼───────┼──────┼────────┼────────┼───────┼───────┤
│1. Обогатитель- │ │ │ │ │ │ │ │
│ная фабрика │ │ │ │ │ │ │ │
├────────────────┼───────┼───────┼──────┼────────┼────────┼───────┼───────┤
│2. Фабрика │ │ │ │ │ │ │ │
│окомкования │ │ │ │ │ │ │ │
│концентрата │ │ │ │ │ │ │ │
├────────────────┼───────┼───────┼──────┼────────┼────────┼───────┼───────┤
│3. Околостволь-│ │ │ │ │ │ │ │
│ная промплощадка│ │ │ │ │ │ │ │
├────────────────┼───────┼───────┼──────┼────────┼────────┼───────┼───────┤
│4. Надшахтные │ │ │ │ │ │ │ │
│комплексы вент. │ │ │ │ │ │ │ │
│стволов │ │ │ │ │ │ │ │
├────────────────┼───────┼───────┼──────┼────────┼────────┼───────┼───────┤
│5. Горно- │ │ │ │ │ │ │ │
│спасательная │ │ │ │ │ │ │ │
│станция │ │ │ │ │ │ │ │
├────────────────┼───────┼───────┼──────┼────────┼────────┼───────┼───────┤
│6. Базисный │ │ │ │ │ │ │ │
│склад взрыв. │ │ │ │ │ │ │ │
│материалов и │ │ │ │ │ │ │ │
│другие объекты │ │ │ │ │ │ │ │
└────────────────┴───────┴───────┴──────┴────────┴────────┴───────┴───────┘
9. ТРАНСПОРТ НА ПОВЕРХНОСТИ РУДНИКОВ
Проектирование наземного транспорта шахт и рудников следует осуществлять в соответствии с нормативными требованиями "Общесоюзных норм технологического проектирования транспорта на поверхности горных предприятий" ОНТП 4-86 и положениями настоящих НТП
(раздел 12).
Выбор вида технологического транспорта необходимо выполнять путем технико-экономического сравнения вариантов, методология которого изложена в "Нормах технологического проектирования горнодобывающих предприятий металлургии с открытым способом разработки".
Кроме этого, в проекте следует предусматривать транспорт для внутрирудничных хозяйственных и пассажирских перевозок, а также парк спецмашин для дорожно-эксплуатационных работ.
Система теплоснабжения горнодобывающего предприятия представляет собой комплекс технически сложных объектов и сооружений, которые могут быть разделены на следующие основные группы:
источники тепла (ТЭЦ или промышленно-отопительные котельные);
теплопроводы, по которым осуществляется транспорт теплоносителей (магистральные и распределительные тепловые сети, а также специальные установки на тепловых сетях);
потребители тепла.
В данном разделе рассматривается методика проектирования объектов первых двух групп.
При разработке проектов систем теплоснабжения необходимо исходить из главных направлений развития теплоэнергетики, обеспечивающих повышение эффективности использования топливно-энергетических ресурсов при минимальных капиталовложениях и эксплуатационных расходов, а именно:
концентрация тепловых нагрузок и централизация производства и отпуска тепловой энергии;
развитие теплофикации с увеличением выработки электроэнергии на тепловом потреблении;
укрупнение источников тепла и единичной мощности устанавливаемых в них агрегатов;
переход на более высокие параметры высокотемпературной воды в магистральных тепловых сетях;
полное использование вторичных топливо-энергетических ресурсов.
10.2. Технико-экономическое обоснование
При разработке обосновывающих материалов к схеме развития горнорудного предприятия должна быть составлена, согласована и утверждена в установленном порядке "Схема теплоснабжения района".
Круг вопросов, которые подлежат рассмотрению и обоснованию в этой работе, определен Положением, утвержденным Постановлением Госплана СССР и Госстроя СССР от 22 мая 1974 г. N 71/107.
Если величина расчетной тепловой нагрузки определена в размере менее 100 Гкал/ч, "Схема теплоснабжения района" может не составляться, а технические решения по системе теплоснабжения приводятся в пояснительной записке обосновывающих материалов.
На этой стадии должны быть также разработаны вопросы сроков строительства и очередности ввода в эксплуатацию мощностей.
Особое внимание следует уделить полноте и точности определения расчетной тепловой нагрузки (с разбивкой по видам теплоносителей), режимов и уровней теплопотребления, так как от этого в конечном итоге зависит экономичность и стоимость теплогенерирующих установок и системы теплоснабжения в целом.
Единовременные затраты на строительство источников тепла и тепловых сетей следует определять или по утвержденным удельным капиталовложениям, разработанным специализированными проектными организациями, или по аналогам и типовым проектам, имеющим наиболее прогрессивные показатели.
В обосновывающих материалах должны быть представлены предложения о виде сжигаемого топлива и предполагаемый объем его потребления.
Обоснование объема потребления топлива выполняется на стадии проекта (рабочего проекта).
При выборе того или иного вида топлива следует ориентироваться, в первую очередь, на использование местного топлива, не требующего дальних перевозок, и на наличие свободных топливных резервов. Если в рассматриваемом районе местное топливо отсутствует в необходимых количествах или его добыча обходится дорого и связана с большими капиталовложениями, то вопрос о выборе вида топлива должен решаться путем технико-экономических расчетов.
10.3. Составление проекта
10.3.1. Исходные данные для проектирования
и основные вопросы, решаемые в разделе
Основанием для выполнения проекта строительства нового или расширения (реконструкции) существующего горнорудного предприятия по разделу теплоснабжения являются:
утвержденная "Схема теплоснабжения района" или схема развития предприятия;
утвержденное задание на проектирование, составленное заказчиком совместно с проектной организацией и согласованное с заинтересованными министерствами и ведомствами в установленном порядке.
В этом задании должна быть подтверждена технико-экономическая целесообразность строительства, определена расчетная тепловая нагрузка (с разбивкой по видам теплоносителей) и намечена кооперация по вспомогательным службам и хозяйствам, включая инженерные сети и коммуникации.
До начала разработки проекта должны быть получены и собраны все исходные данные, необходимые для проектирования. По тепломеханической части систем теплоснабжения к таковым относятся:
Для источников тепла:
тепловые нагрузки по потребителям тепла с указанием видов теплоносителей и их параметров, а также назначения использования (технологические нужды, отопление, вентиляция и горячее водоснабжение);
годовые расходы тепла производственными потребителями;
выбранная схема тепловых сетей (открытая или закрытая) и принятый температурный график;
пьезометрический график тепловых сетей;
схема тепловых выводов, их диаметры и количество;
количество возвращаемого конденсата от отдельных потребителей пара, его температура и возможное загрязнение;
источники водоснабжения для подпитки паровых котлов (восполнения потерь пара и конденсата) и тепловой сети (горячее водоснабжение и утечки);
полный химический анализ воды, поступающей на водоподготовку (для открытой схемы тепловых сетей воды должны удовлетворять требованиям, предъявляемым к воде питьевого качества);
давление в подводящих водоводах;
способ и режим доставки топлива на промплощадку, весовая норма железнодорожных маршрутов, характеристика кусковатости твердого топлива, необходимость сооружения складов длительного пользования, физико-химический состав топлива и его месторождения;
возможность использования шлака и золы в составе смеси материала для закладки выработанного пространства или на предприятиях стройматериалов;
организация ремонтных работ (объем работ, подлежащих выполнению непосредственно на проектируемом предприятии);
особые условия.
В случае расширения и реконструкции действующих источников тепла, помимо перечисленных данных, должны быть получены характеристики установленного оборудования, его эксплуатационные показатели и акты обследования технического состояния, балансовую или остаточную стоимость и исполнительные чертежи во всех частях.
Для тепловых сетей:
сведения о существующих и вновь проектируемых источниках тепла и характеристика их основного оборудования;
список существующих и вновь проектируемых потребителей тепла с указанием максимальных его расходов (на технологические нужды, отопление, вентиляцию и горячее водоснабжение), видов теплоносителей и их параметров, количества и температуры возвращаемого конденсата, высоты отапливаемых зданий, располагаемых напоров на вводах и местоположений последних;
ситуационный план района застройки и генеральный план проектируемого предприятия в масштабе 1:2000 или 1:5000 с нанесением подземных и надземных коммуникаций, автомобильных дорог и железнодорожных путей, линий электропередач, всех объектов и сооружений, включая источники тепла;
краткое описание топографических и гидрологических условий по намечаемой трассе теплопроводов;
места возможного сброса дренажей и спускаемых из трубопроводов вод в естественные овраги, водоемы и систему канализации.
При проектировании расширения и реконструкции действующих тепловых сетей в дополнение к указанным данным необходимо получить материалы по существующей системе теплоснабжения, в которых должны быть отражены общие сведения и конструктивные характеристики (виды и параметры теплоносителей, диаметры трубопроводов и типы установленной арматуры, наличие специальных устройств по трассе теплопроводов, способы компенсации тепловых удлинений и прокладки, основные теплоизоляционные и строительные конструкции, а также принятый тепловой режим, результаты гидравлических испытаний, исполнительный пьезометрический график и дефектная ведомость.
Проект по разделу теплоснабжения должен состоять из пояснительной записки, графических материалов, спецификаций и ведомостей на оборудование, изделия и основные материалы, необходимых согласований.
Пояснительная записка по тепломеханической части включает следующие главы:
По источникам тепла:
тепловые нагрузки,
топливо,
выбор основного оборудования,
балансы пара и воды,
тепловая схема,
вспомогательное оборудование,
топливное хозяйство и система шлакозолоудаления,
водоподготовка,
очистка дымовых газов и выбор дымовой трубы,
компоновка оборудования,
механизация ремонтных работ,
термоизоляция оборудования и трубопроводов,
соображения по организации эксплуатации и технико-экономические показатели.
По тепловым сетям:
тепловые нагрузки и их покрытие;
система тепловых сетей и трассы теплопроводов;
тепловой и гидравлический режим тепловых сетей;
основные конструкции к специальные устройства;
термоизоляция оборудования и трубопроводов;
соображения по организации эксплуатации и технико-экономические показатели.
При расширении и реконструкции действующих предприятий пояснительная записка дополняется главой "Описание существующей системы теплоснабжения".
Графический материал по тепломеханической части включает компоновочные чертежи и развернутые схемы по источникам тепла, планы трасс тепловых сетей и расчетные схемы трубопроводов с сечениями расположения труб, пьезометрические графики (для основных магистралей и ответвлений) и другие узловые чертежи, необходимость которых будет выявлена в процессе проектирования.
Спецификации и ведомости на оборудование следует составлять в соответствии с требованиями
СНиП 1.02.01-85.
Во время выполнения проекта должны быть составлены обоснования объема потребления топлива.
Кроме того, должны быть проведены необходимые согласования с органами Государственного надзора и заинтересованными организациями.
Все согласования должны быть закончены до завершения проектирования и передачи оформленных материалов на экспертизу.
При выполнении рабочего проекта исходные данные, необходимые для проектирования, должны приниматься такими же по объему и полноте, как и при разработке проекта.
Кроме того, заказчик обязан передать проектной организации документацию по заказываемому им оборудованию индивидуального изготовления, которое будет установлено на проектируемом объекте, а также указать планируемые сроки его поставки.
Для более правильного учета условий эксплуатации энергетической установки, взаимосвязи ее отдельных агрегатов и механизмов согласование и оформление на заводе-изготовителе технических условий на поставку оборудования должно проводиться с участием представителей проектной организации.
Планы трасс тепловых сетей на этой стадии проектирования составляются, как правило, в масштабе 1:1000 и 1:5000 (по магистральным и распределительным сетям соответственно), для чего необходимо получение в качестве исходных данных генерального плана проектируемого предприятия в таком же масштабе. Материалы инженерно-геодезических и гидрогеологических изысканий выдаются в установленном порядке.
При возможности обеспечения теплом новых объектов и сооружений от действующих в районе строительства источников тепла и тепловых сетей до начала проектирования должны быть получены разрешения и технические условия на присоединение от энергоснабжающей организации.
Графическая часть выполняется в виде рабочих чертежей, имеющих степень точности и детализации, достаточную для качественного производства строительно-монтажных работ в сроки, обеспечивающие своевременные ввод в эксплуатацию проектируемого объекта.
Объем выдаваемой заказчику технической документации, в том числе по спецификациям на оборудование, с приложениями и сметами, определяется номенклатурой узлов рабочих чертежей источников тепла и тепловых сетей или составом типового проекта в случае его привязки.
Примененные в проекте стандарты, нормы, чертежи типовых конструкций деталей, отдельных элементов и узлов, а также временных сооружений в объем выдаваемой заказчику технической документации не входят и могут быть отправлены на строительную площадку по дополнительному запросу.
Деталировочные чертежи металлических конструкций и нестандартизированного оборудования разрабатываются организациями, осуществляющими строительно-монтажные работы, либо проектной организацией по отдельному договору. Также по отдельному договору оформляется разработка компоновочных чертежей котельных агрегатов и котельно-вспомогательного оборудования (пылегазовоздухопроводов) к ним.
При выполнении монтажно-сборочных чертежей технологических трубопроводов источников тепла, как правило, необходимо исходить из условия их заводского изготовления и блочной поставки независимо от давления теплоносителей.
10.5. Перечень основных нормативных материалов
Перечень основных нормативных материалов, которыми надлежит пользоваться при разработке проектов промышленно-отопительных котельных и тепловых сетей, приведен в табл. 10.1.
Таблица 10.1
Перечень нормативных документов
┌────┬──────────────────────────────────────────┬─────────────────────────┐
│ N │ Наименование документа │ Сведения об утверждении │
│п.п.│ │ документа │
├────┼──────────────────────────────────────────┼─────────────────────────┤
│ 1 │ 2 │ 3 │
├────┼──────────────────────────────────────────┼─────────────────────────┤
│ │порядке разработки, согласования │с уточнениями и │
│ │и утверждения проектно-сметной │изменениями 1986, 1987 │
│ │документации на строительство предприятий,│и 1988 гг. │
│ │зданий и сооружений │ │
├────┼──────────────────────────────────────────┼─────────────────────────┤
│ 2 │
СНиП II-35-76. Котельные установки. Нормы │Госстрой СССР, 1976 г. │
│ │проектирования │с изменением 1977 г. │
├────┼──────────────────────────────────────────┼─────────────────────────┤
├────┼──────────────────────────────────────────┼─────────────────────────┤
├────┼──────────────────────────────────────────┼─────────────────────────┤
│ │оборудования и трубопроводов │ │
├────┼──────────────────────────────────────────┼─────────────────────────┤
│ 6 │
Правила устройства и безопасности │Госгортехнадзор СССР, │
│ │эксплуатации паровых и водогрейных │1988 г. │
│ │котлов │ │
├────┼──────────────────────────────────────────┼─────────────────────────┤
│ 7 │
Правила устройства и безопасной │Госгортехнадзор СССР, │
│ │эксплуатации сосудов, работающих │1987 г. │
│ │под давлением │ │
├────┼──────────────────────────────────────────┼─────────────────────────┤
ИС МЕГАНОРМ: примечание.
"Правила безопасности в газовом хозяйстве" утратили силу в связи
с изданием Постановления Госгортехнадзора России от 27.05.2003 N 40,
утвердившего "Правила безопасности для объектов, использующих сжиженные
углеводородные газы".
│ 8 │Правила безопасности в газовом хозяйстве │Госгортехнадзор СССР, │
│ │ │1979 г. │
├────┼──────────────────────────────────────────┼─────────────────────────┤
│ 9 │Правила устройства и безопасной │Госгортехнадзор СССР, │
│ │эксплуатации трубопроводов пара │1970 г. │
│ │и горячей воды │ │
├────┼──────────────────────────────────────────┼─────────────────────────┤
ИС МЕГАНОРМ: примечание.
Приказом Минэнерго России от 19.06.2003 N 229 30 июня 2003 года
введены в действие новые "Правила технической эксплуатации электрических
станций и сетей Российской Федерации".
│ 10 │Правила технической эксплуатации │Минэнерго СССР, 1976 г. │
│ │электрических станций и сетей. Издание │с изменением 1983 г. │
│ │тринадцатое, переработанное и дополненное │ │
├────┼──────────────────────────────────────────┼─────────────────────────┤
│ 11 │
Правила устройства и безопасной │Госгортехнадзор СССР, │
│ │эксплуатации грузоподъемных кранов │1969 г. │
├────┼──────────────────────────────────────────┼─────────────────────────┤
│ 12 │Нормы технологического проектирования │Минэнерго СССР, 1981 г. │
│ │тепловых электрических станций ВНТП 81 │ │
├────┼──────────────────────────────────────────┼─────────────────────────┤
│ 13 │Нормы расчета элементов паровых котлов │Госгортехнадзор РСФСР, │
│ │на прочность │1965 г. │
├────┼──────────────────────────────────────────┼─────────────────────────┤
│ 14 │Правила взрывоопасности топливоподач │Минэнерго СССР, 1973 г. │
│ │электростанций │ │
├────┼──────────────────────────────────────────┼─────────────────────────┤
│ 15 │Правила взрывобезопасности установок │Минэнерго СССР, 1974 г. │
│ │для приготовления и сжигания топлива │ │
│ │в пылевидном состоянии │ │
├────┼──────────────────────────────────────────┼─────────────────────────┤
│ 16 │Технические требования │Минэнерго СССР, 1974 г. │
│ │по взрывобезопасности котельных установок,│ │
│ │работающих на мазуте или природном газе │ │
├────┼──────────────────────────────────────────┼─────────────────────────┤
│ 17 │Правила техники безопасности │Минэнерго СССР, 1983 г. │
│ │при эксплуатации тепломеханического │ │
│ │оборудования электростанций и тепловых │ │
│ │сетей │ │
├────┼──────────────────────────────────────────┼─────────────────────────┤
│ 18 │Временные методические указания │Минэнерго СССР, 1978 г. │
│ │по выбору расчетной температуры сетевой │ │
│ │воды в системах централизованного │ │
│ │теплоснабжения │ │
├────┼──────────────────────────────────────────┼─────────────────────────┤
│ 19 │Методика определения валовых выбросов │Минэнерго СССР, 1983 г. │
│ │вредных веществ в атмосферу от котлов │ │
│ │тепловых электростанций МТ 34-70-010-83 │ │
├────┼──────────────────────────────────────────┼─────────────────────────┤
│ 20 │Методика расчетного определения выбросов │Минэнерго СССР, 1987 г. │
│ │бенз(а)пирена в атмосферу от котлов │ │
│ │тепловых электростанций РТМ ВТИ 02.003-88 │ │
├────┼──────────────────────────────────────────┼─────────────────────────┤
│ 21 │Расчет выбросов загрязняющих веществ │Издан Госкомгидрометом в │
│ │при сжигании топлива в котлах │составе "Сборника методик│
│ │производительностью до 30 т/ч │по расчету выбросов в │
│ │ │атмосферу загрязняющих │
│ │ │веществ различными │
│ │ │производствами", 1986 г. │
├────┼──────────────────────────────────────────┼─────────────────────────┤
│ 22 │Временная инструкция о составе │ГПИ Сантехпроект Госстроя│
│ │и оформлении технологических рабочих │СССР, 1981 г. │
│ │чертежей котельных установок ТМН 01-81 │с изменением 1984 г. │
└────┴──────────────────────────────────────────┴─────────────────────────┘
11. ПРОМЫШЛЕННАЯ САНИТАРИЯ
11.1. Водоснабжение и канализация
11.1.1. Технико-экономическое обоснование
На основании заданий технологических отделов и штатного расписания в соответствии со СНиП определяется потребность предприятия в воде на питьевые и производственные нужды, количество бытовых и производственных сточных вод по очередям строительства.
При расширении и реконструкции действующего предприятия учитывается фактическое водопотребление и водоотведение, существующие сооружения и сети.
В соответствии с политикой ресурсосбережения главным направлением в водном хозяйстве является экономное и рациональное использование водных ресурсов и охрана бассейнов рек, озер и других источников от загрязнения и истощения.
Рассматривается возможность максимального использования шахтных вод, вод осушения карьера и доочистных бытовых сточных вод на производственные нужды предприятия.
При этом в исходных материалах для проектирования должны быть представлены утвержденные запасы и качество шахтных вод.
Использование доочищенных бытовых сточных вод на производственные нужды разрешается при отсутствии контакта трудящихся с водой или при условии согласования с СЭС.
На основании данных о подземных и поверхностных водоисточниках района в соответствии с данными водопотребления производится выбор наиболее надежных и экономически целесообразных источников водоснабжения.
На основании гидрологических и гидрогеологических данных, картографических материалов и генерального плана решается схема внеплощадочного водоснабжения и канализации, определяются типы и количество сооружений.
На территории промплощадки предусматривается организованный отвод поверхностных сточных вод с водоотведением наиболее загрязненной части дождевых и талых вод на очистку.
Степень очистки сточных вод определяется расчетом на смешение с водой водоема в соответствии с "Санитарными правилами и нормами охраны поверхностных вод от загрязнения"
N 4630-88, а при использовании на производственные нужды - в соответствии с требованиями, предъявляемыми к качеству воды производством. Определяется численность цеха водоснабжения и канализации.
Краткая пояснительная записка должна содержать описание принципиальных решений по внеплощадочному водоснабжению и канализации, в проекте следует привести:
таблицы водопотребления и водоотведения;
водохозяйственный баланс;
ситуационный план с размещением сооружений водоснабжения и канализации.
При отсутствии у заказчика разрешения на специальное водоиспользование Минводхоза на стадии акта выбора площадок заказчик получает разрешение на стадии ТЭО, согласовав проект предварительно с СЭС и ЦУРЭН.
Материалы для согласования могут быть подготовлены проектной организацией по отдельному договору с заказчиком.
11.1.2. Проект (рабочий проект)
При разработке проекта на основании исходных данных по водоснабжению и канализации определяются расходы питьевой, производственной и оборотной воды, количество бытовых и производственных сточных вод, подлежащих очистке, отведению и повторному использованию. В подземные выработки следует подавать воду питьевого качества.
По согласованию с СЭС допускается использование обеззараженной шахтной воды.
Для снабжения горнорабочих газированной питьевой водой следует проектировать в составе АБК питьевые станции в составе помещения для приготовления газированной воды или чая, помещения хранения фляг, мойки фляг.
При очередности строительства выделяются расходы на пусковой комплекс и очереди строительства.
Определяются расходы воды на противопожарные нужды, количество пожаров, их продолжительность.
Покрытие потребностей в хозяйственно-питьевой и производственной воде должно осуществляться от следующих источников:
подземные воды;
поверхностные воды;
шахтные воды и воды осушения карьера;
доочищенные производственные и бытовые сточные воды при отсутствии контакта трудящихся с водой.
Для уменьшения воды из источника и защиты их от загрязнений сточными водами следует предусматривать следующие мероприятия:
повторное использование воды;
оборотное водоснабжение, бессточное водоснабжение.
Выбор источников водоснабжения производится на основании гидрологических, гидрогеологических, топографических и санитарных изысканий. Источник хозяйственно-питьевого водоснабжения должен удовлетворять требованиям ГОСТ 17.13.03-77. Разрабатываются зоны санитарной охраны. При расширении и реконструкции предприятия рассматривается возможность расширения существующих сооружений водоснабжения. Отказ должен быть обоснован.
Для хозяйственно-питьевого водоснабжения должны максимально использоваться подземные воды. Отказ от использования подземных вод должен быть обоснован. Использование подземных вод для производственных целей допускается с разрешения Минводхоза.
Эксплуатационные запасы подземных вод должны быть утверждены в ГКЗ или ТКЗ при сметной стоимости водозабора выше 500 тыс. руб. Качество воды на питьевые нужды должно удовлетворять требованиям
ГОСТ 2874-82.
Качество производственной воды определяется технологическими требованиями.
В соответствии с качеством исходной воды определяется метод обработки воды, состав очистных сооружений, расчетные дозы реагентов. При очередности строительства выделяются сооружения первой очереди, а также на пусковой комплекс.
Оборотные системы водоснабжения следует проектировать для загрязненных вод с очистными сооружениями, для нагретых условно-очистных вод - с охладителями.
С целью предотвращения солевых отложений и снижения скорости коррозии металла в системах оборотного водоснабжения следует использовать в качестве реагентов фосфорсодержащие компоненты ИОМС, ДПФ, ОЭДФ, а также новые стабилизаторы и диспергаторы.
В качестве охладителя рекомендуется принимать аппараты воздушного охлаждения без контакта воды с воздухом. По возможности следует утилизировать тепло нагретых вод.
Одновременно с водоснабжением предприятия решается и канализация.
Системы канализации, как правило, проектируются раздельные.
Дождевые и талые воды, наиболее загрязненные взвешенными веществами и нефтепродуктами, должны подвергаться локальной очистке. Приемником дождевых сточных вод следует по возможности принимать хвостохранилище или отстойник карьерных вод.
Производственные, дождевые и бытовые сточные воды после очистки должны использоваться для производственного водоснабжения и орошения сельскохозяйственных земель.
Доочищенные бытовые воды следует использовать в качестве подпитки оборотного водоснабжения там, где нет контакта трудящихся с водой.
Для удаления из подземных выработок вагонеток с бытовыми стоками следует на промплощадках проектировать здания сливных станций с хлораторной установкой.
При условии спуска сточных вод в водоем степень очистки определяется расчетом в соответствии с "
Санитарными правилами и нормами охраны поверхностных вод от загрязнений". Производится расчет на смешение сточных вод с водой водоема по ПДС.
Рациональные схемы водоснабжения и канализации определяются методом вариантов на основе технико-экономических расчетов, учитывающих расходы воды, потребные напоры, удаленность потребителей от источников водоснабжения, протяженность сети, рельеф местности, сроки ввода в эксплуатацию промышленных объектов, рост численности населения в поселке и т.д.
В соответствии с составом сооружений водоснабжения и канализации определяется численность цеха водоснабжения и канализации.
Если строительство водопроводных и канализационных сооружений осуществляется на кооперативных началах, долевое участие в капитальных затратах определяется по каждому объекту, находящемуся в ведении отдельных ведомств.
Водопроводные и канализационные сооружения (насосные станции, подкачки, канализационные насосные станции, очистные сооружения, резервуары для хранения воды, водонапорные башни) следует принимать по типовым проектам, разработанным специализированными организациями.
11.2. Отопление и вентиляция
11.2.1. Технико-экономическое обоснование
Исходные данные для проектирования:
вид строительства (новое, расширение, реконструкция);
климатические данные района строительства;
титульный список зданий и сооружений по площадкам с указанием аналогов;
источник теплоснабжения, вид и параметры теплоносителя;
генеральный план.
На основании исходных данных принимаются принципиальные решения по отоплению и вентиляции, определяются расходы тепла и электроэнергии, составляются штаты пылевентиляционной службы.
11.2.2. Проект (рабочий проект)
Исходные данные, принятые в ТЭО, подлежат уточнению и дополнению в технологических и архитектурно-строительных заданиях с приложением "Справки" о соответствии (несоответствии) объемно-планировочного решения утвержденному на предыдущей стадии.
Состав задания на проектирование должен соответствовать "Стандарту (СТП) организации - разработчика документации" по комплексной системе управления качеством проектирования (КСУКП).
Исходные данные являются основанием для выполнения расчетов систем отопления, вентиляции, дымоудаления (при необходимости), выбора отопительно-вентиляционного оборудования и определения штатов пылевентиляционной службы в полном соответствии с действующими нормативными документами и "Нормами технологического проектирования горнодобывающих предприятий с подземным способом разработки".
Для уменьшения количества вредностей, поступающих в помещения, в проектах должен предусматриваться комплекс следующих технологических мероприятий:
герметизация технологического оборудования;
применение оборудования со встречными местными отсосами;
использование автотранспорта с нейтрализаторами выхлопных газов;
замена в технологическом процессе более вредных веществ на менее вредные и др.
Объединение вытяжных и приточных систем по цехам и отделениям должно выполняться в зависимости от характера выделяющихся вредностей, категории производств по взрывопожароопасности и территориальному расположению.
Организация воздухообмена должна исключать перенос вредностей в зоны с меньшими загрязнениями, образования застойных зон и не создавать препятствий для изометрических струй над источником тепла.
Ниже рассмотрены специфические особенности, характерные для зданий и сооружений горнодобывающих предприятий с подземным способом разработки.
При проектировании отопления башенных копров и надшахтных зданий необходимо особое внимание обратить на инфильтрацию и обдувание здания ветром при расчете теплопотерь через наружные ограждающие конструкции.
Использовать как дополнительный источник тепла тепловыделения от работающего электрооборудования, не включая их в тепловой баланс помещений. При выборе пылеочистных устройств в подземном дробильном комплексе предпочтение следует отдавать фильтрам с высокой (до санитарных норм) степенью очистки воздуха от пыли и, как следствие, возможностью его рециркуляции, т.е. дальнейшего использования при проветривании горных выработок. Это позволит уменьшить подачу воздуха вентиляторно-калориферными установками главного проветривания и исключить дополнительную систему выработок для отвода аспирационного воздуха в исходящую струю.
В зданиях подъемных машин и башенных копров при необходимости обдува электроприводов устройство рециркуляционно-охладительных или рециркуляционных установок выполнять только по специальным технологическим и строительным заданиям, а также техническим условиям, полученным от завода - изготовителя электродвигателя.
Для борьбы с шумом от вентустановок и снижения его до уровня нормируемой величины следует предусматривать:
подбор вентиляторов при максимальных КПД и допустимых окружных скоростях;
установку вентагрегатов на виброизолирующих основаниях и, как правило, в изолированных помещениях со звукопоглощающей облицовкой, разработанной в архитектурно-строительной части проекта;
оборудование шумоглушителями приточно-вытяжных систем (при необходимости по результатам расчетов);
установка на присоединительных патрубках вентагрегатов эластичных патрубков.
Состав проекта (рабочий проект) должен отвечать требованиям
ГОСТ 21.602-79 (СТ СЭВ 3216-81). В пояснениях на заглавном листе, кроме краткого изложения принятых решений по системам отопления и вентиляции, необходимо изложить требования к монтажу и обслуживанию установок, привести перечень видов работ, для которых необходимо составление актов освидетельствования скрытых работ, а также перечень прогрессивных решений, предусмотренных проектом.
На стадии "Проект" пояснительная записка приводится для индивидуальных объектов, для типовых и повторноприменяемых - только ссылка на чертежи.
В табличной форме приводятся данные по расходам тепла и установочной мощности электродвигателей, характеристика отопительно-вентиляционного оборудования. Для зданий с особо сложными системами отопления и вентиляции выполняются чертежи.
В состав "Проекта" входят заказные спецификации и перечни оборудования.
Таблицы воздухообменов и местных отсосов входят в расчетную часть и хранятся в архиве разработчика проекта.
12. ОХРАНА ОКРУЖАЮЩЕЙ ПРИРОДНОЙ СРЕДЫ (ООПС)
Разработку мероприятий по охране окружающей природной среды в проектах следует осуществлять в соответствии с нормативными требованиями, изложенными в настоящих НТП
(раздел 17).
При подготовке задания на проектирование объекта руководствоваться перечнем исходных данных, приведенных в таблице 12.1, которые необходимо получить от заказчика либо от специализированных организаций для выполнения раздела ООПС.
Таблица 12.1
Исходные данные, необходимые для выполнения раздела ООПС
N п.п. | Наименование | Возможные источники информации | Примечания |
1 | 2 | 3 | 4 |
1 | Геологические, гидрогеологическая и инженерно-геологические карты района проектирования и разрезы к ним (М 1:10000, 1:25000) | Территориальные управления Мингео, ГУГК СССР | - |
2 | Характеристика гидрогеологических условий района | Организации Мингео и Минводхоза | - |
3 | Характеристика по существующим гидрогеологическим и гидрологическим режимным сетям | " | - |
4 | Сведения об источниках загрязнения | Организации Госкомприроды, Минздрава, Исполкома | - |
5 | Характеристика предприятия как источника загрязнения воздушного и водного бассейнов | Заказчик проекта, Исполкомы, отделы Госкомприроды | Только для действующих предприятий |
6 | Данные инвентаризации источников выбросов (согласованные с организациями Госкомгидромета) | Заказчик проекта, организации Госкомгидромета, Госкомприроды | - |
7 | План-график контроля за соблюдением ПДВ на предприятии | Заказчик проекта | Только для действующих предприятий |
8 | Вид топлива, его месторождение и физико-химический состав | " | - |
9 | Экологический паспорт | " | Только действующего предприятия |
10 | Техническая характеристика действующих КОС и ВОС | " | " |
11 | Места утилизации осадков и отходов производства | " | " |
12 | Баланс существующего водопотребления и водоотведения с характеристикой сточных вод (хозбытовые, производственные и ливневые) | " | " |
13 | Наличие контроля за водопотреблением, водоотведением и его характеристика | " | " |
14 | Гидравлическая характеристика водных объектов в районе строительства | Территориальное управление Мингео, организации Госкомприроды | - |
15 | Территориальная комплексная схема охраны природы | Организации Госкомприроды, Исполкомы | - |
16 | Данные инвентаризации земель, изымаемых предприятием, с указанием землепользователей. Агрохимический анализ слоев почвы и карта почвенных разностей. Сведения о наличии питомников посадочных материалов | Заказчик проекта, предприятия Госагропрома, Исполкомы | - |
17 | Заключение об отсутствии (наличии) на территории проектируемого предприятия памятников истории, культуры, архитектуры, природных заповедников и др. | Исполкомы | - |
12.2. Мероприятия по восстановлению территорий,
нарушенных при строительстве и эксплуатации предприятия,
и внеплощадочное озеленение и санитарно-защитная зона
12.2.1. Мероприятия по восстановлению территорий
В соответствии с составом проекта, установленным
СНиП 1.02.01-85 и "Основными положениями о рекультивации земель, нарушенных при разработке месторождений полезных ископаемых...", в проекте рассматриваются вопросы рекультивации нарушенных горными разработками земель.
Принимая во внимание, что при подземном способе ведения работ на поверхности происходят минимальные нарушения земель, в проектах следует предусматривать рекультивационные работы, главным образом, только на поверхности отвалов пустых пород, отсыпанных в конечное положение, подготавливая поверхность для будущего использования в сельскохозяйственных или лесохозяйственных целях, и на хвостохранилищах, заполненных до проектной отметки.
В проекте на первом этапе рекультивационных работ следует предусматривать объемы работ и затраты в сводной смете на снятие, транспорт и складирование почвенно-растительного слоя в специальный отвал для хранения его до момента использования при рекультивационных работах.
При ведении подземных горных работ с обрушением на поверхности в контуре зоны обрушения предусматривать снятие почвенно-растительного слоя с целью его сохранения. При этом обязательно учитывать календарный план ведения горных работ для учета продвижения фронта зоны обрушения на поверхности для избежания преждевременного консервирования земель, особенно при расположении месторождений под сельскохозяйственными угодьями.
Снятие и сохранение почвенно-растительного слоя следует также предусматривать на территориях промышленной застройки рудника.
Высоту временных почвенных отвалов и отвалов почвообразующих грунтов принимать не более 10 м. Их размещение предусматривать на сухих водораздельных участках. Для предохранения от ветровой и водной эрозии их поверхность засевать многолетними травами.
12.2.2. Санитарно-защитные зоны (ССЗ)
Промышленные площадки предприятий от селитебной территории отделять санитарно-защитными зонами, размеры которых принимать по
СН 245-71 "Санитарные нормы проектирования промышленных предприятий". Размеры СЗЗ могут уточняться государственными органами санитарного надзора или, в случае необходимости, проектной организацией, в силу особых природных условий (например, частые туманы, штили).
При благоустройстве санитарно-защитной зоны, как правило, использовать почвенно-растительный слой, получаемый при снятии его с территории промышленной застройки и с участков размещения породных отвалов, хвостохранилищ и с территорий зон обрушения от подземных работ.
13. КОМПЛЕКСНОЕ ОСВОЕНИЕ МЕСТОРОЖДЕНИЙ
13.1. Основные понятия и принципы концепции
комплексного освоения недр
Ресурсы земных недр подразделяются на следующие шесть групп:
I группа - месторождения полезных ископаемых, в том числе:
месторождения, представленные полезным ископаемым однородного минералого-химического состава, для переработки которого применима единая технология;
комплексные месторождения, представленные рудными телами с существенно различным минералого-химическим составом полезного ископаемого, переработку которого целесообразно или даже необходимо осуществлять раздельно;
II группа ресурсов недр включает размещаемые в отвалах породы, а также забалансовые полезные ископаемые, использование которых в перспективе может оказаться целесообразным;
III группа ресурсов - отходы обогатительного и металлургического производств, в том числе сточные воды этих производств, содержащие ценные компоненты;
IV группа ресурсов - глубинные источники пресных, минеральных и термальных вод;
V группа - глубинное тело земных недр, которое в перспективе может представить практически неисчерпаемый и наиболее дешевый источник тепловой энергии;
VI группа - природные и техногенные (созданные человеком) полости в земных недрах, пригодные для использования в народно-хозяйственных целях.
Понятие "комплексное освоение недр" и "комплексное освоение месторождений" формально не являются синонимами, поскольку запасы месторождения представляют собой только один из ресурсов земных недр. Вместе с тем процесс освоения месторождения не сводится только к извлечению из недр и последующей переработке полезного ископаемого. Этот процесс неизбежно затрагивает и другие виды ресурсов, изначально приуроченных к месторождению, а также создаваемых при добыче и переработке полезных ископаемых (добываемые попутно и складируемые в отвалы так называемые пустые породы и некондиционные полезные ископаемые, отходы переработки в хвостохранилищах, откачиваемые на поверхность рудничные воды, образуемые в земной коре пустоты и т.д.). Таким образом, в полной мере комплексное освоение месторождения может трактоваться и как комплексное освоение ресурсов земных недр.
Понятие "комплексное использование полезных ископаемых" является составной частью более широкого понятия "комплексное освоение месторождений". При этом понятие "комплексное использование полезных ископаемых" следует относить только к завершающей стадии освоения месторождения - первичной переработке добытого сырья, в частности, к процессам его обогащения.
Под комплексным освоением месторождения следует понимать процесс, в результате которого может быть получено максимальное количество продукции высокого качества при условии обеспечения оптимальной полноты использования недр, минимально возможного уровня всех видов затрат, связанных с освоением, а также при наименьшем ущербе для окружающей среды.
Процесс комплексного освоения месторождения включает следующие этапы:
разведка и оценка запасов месторождения;
создание горного предприятия (проектирование и строительство объекта);
разработка месторождения (извлечение запасов из недр);
первичная переработка добытого сырья;
получение конечной продукции (химико-металлургическое производство);
природоохранные мероприятия.
Важнейшим аспектом проблемы комплексного освоения недр является экологизация процесса освоения. Хотя определенная часть мероприятий по устранению ущерба, нанесенного народному хозяйству и природе, представляет собой завершающий этап освоения месторождения, природоохранная деятельность должна быть приурочена ко всем этапам освоения. Наряду с включением в проект специальных природоохранных мероприятий каждое проектное решение должно оцениваться с учетом экологических последствий его осуществления.
13.2. Критерии оценки эффективности проектных решений
Непременным условием и целью комплексного освоения ресурсов земных недр является достижение оптимального эффекта от промышленного освоения этих ресурсов. Критерием эффективности комплексного освоения недр является достижение оптимальных для развития народного хозяйства и интересов будущих поколений показателей полноты использования ресурсов недр и участвующих в процессе их освоения трудовых и материальных ресурсов.
В соответствии с современными представлениями совокупность проектных решений должна одновременно удовлетворять широкому кругу требований, обеспечивая:
рациональную интенсивность разработки месторождения;
оптимальную полноту извлечения запасов;
минимизацию всех видов затрат, связанных с созданием и функционированием рудника;
формирование качественных характеристик добываемого сырья, предопределяющих наиболее эффективное его использование;
максимально возможную сохранность окружающей среды.
Обобщающий критериальный показатель должен обеспечивать рациональное сочетание различных требований с точки зрения результирующей оценки эффективности сравниваемых вариантов освоения месторождения.
Рассматриваемые варианты могут различаться объемами производства, сроками осуществления, величинами потребных затрат и достигаемого эффекта, показателями полноты и качества использования недр, а также характером динамики технико-экономических показателей. Динамический характер оптимизационный задачи предопределяет необходимость использования интегрального критерия оценки, обеспечивающего учет всех проявлений фактора времени, - возможного изменения в рассматриваемом периоде технико-экономических показателей и снижения экономической значимости затрат и эффектов с каждым последующим годом.
В общем случае период оценки должен включать, помимо времени строительства объекта и освоения проектной мощности, также отрезок времени нормальной эксплуатации, достаточный для выявления эффективности инвестиционных решений. В зависимости от горно-геологических условий конкретного месторождения и масштабов создаваемого предприятия продолжительность периода оценки может колебаться от 12 - 15 лет до 20 - 25 лет. Практически это означает, что должен оцениваться первый этап развития объекта до момента проведения реконструкции или крупного воспроизводственного цикла, связанного со вскрытием нижележащих горизонтов. Оценка, выходящая за пределы 25-летнего периода, теряет практический смысл из-за резкого снижения достоверности и уменьшения экономической значимости отдаленных затрат и результатов.
Структура обобщающего критерия должна предусматривать учет экономического ущерба от потерь ценности в процессе освоения.
В структуре обобщающего критерия должен быть выделен экологический ущерб или дополнительные затраты, связанные с его предотвращением.
В качестве критерия обобщающей оценки эффективности проектных решений используется показатель, позволяющий соизмерять суммарную потребительную стоимость ресурсов земных недр, приуроченных к месторождению, а также создаваемых в процессе его освоения, с интегральными затратами (капитальными и эксплуатационными), включая все виды ущерба, связанного с созданием и последующим функционированием рудника.
Критериальный показатель выражается в виде следующей целевой функции:

, (13.1)
где

- потребительная стоимость, включающая извлекаемую ценность основного и попутных полезных ископаемых, а также возможный эффект от использования всего комплекса ресурсов земных недр, руб.;

- капитальные вложения в t-ом году, руб.;

- текущие эксплуатационные затраты без амортизационных отчислений на реновацию в t-ом году, руб.;

- экономический ущерб от потерь ценности в t-ом году, руб.;

- затраты (или удорожание проектных решений), связанные с учетом экологических требований в t-ом году, руб.;

- норматив для приведения разновременных затрат и эффектов.
Ценность конечной (товарной) продукции исчисляется в сложившихся ценах внутреннего рынка с учетом перспектив их изменения в рассматриваемом периоде, а также в ценах мирового рынка при наличии конкретных возможностей реализации всей или части продукции за рубежом. Использование в расчетах перспективных или мировых цен требует специального обоснования.
Разновременные затраты и эффекты следует приводить к первому году капитальных вложений на создание объекта. В связи с этим соответствующие экономические показатели каждого последующего года должны быть приведены к началу строительства с помощью коэффициента

.
При дисконтировании разновременных затрат и эффектов выбор величины норматива

непосредственно зависит от трактовки его экономического смысла. Долгое время преобладала точка зрения, согласно которой в условиях социалистической экономики норматив дисконтирования должен соответствовать темпам роста производительности общественного труда. Исходя из таких представлений, еще в начале 60-х годов было установлено сохранившееся до настоящего времени значение этого норматива. На тех же представлениях об экономической природе дисконтирования базировались и предложения о снижении соответствующего норматива (с 0,08 до 0,04) в связи с изменением динамики производительности общественного труда.
В условиях рыночной экономии процедура дисконтирования обретает свой изначальный смысл. В связи с этим норматив дисконтирования должен рассматриваться как аналог нормы дисконта, т.е. процента платы за долгосрочный кредит. Поскольку норма дисконта варьирует в зависимости от характера и условий кредитных расчетов, не должно устанавливаться и единое значение соответствующего норматива, участвующего в процедуре дисконтирования при решении горно-экономических задач.
Наиболее вероятный диапазон значений норматива дисконтирования - 0,06 - 0,10, причем условиям проектирования каждого конкретного объекта будет соответствовать свое значение норматива.
Однозначный выбор "оптимального" варианта лишь на том основании, что он обеспечивает наибольший суммарный эффект, представляется чисто формальным решением вопроса. Критериальный
показатель (13.1), обеспечивающий обобщенную оценку эффективности проектных решений на основе соизмерения нескольких требований, не учитывает различную значимость каждого из них.
Помимо обобщающей экономической оценки вариантов на основе определения суммарного эффекта, должны использоваться и другие оценочные показатели, отражающие отдельные стороны эффективности и являющиеся своего рода частными критериями.
При сравнительной оценке практически равноценных вариантов следует учитывать приоритетность частных критериев. Так, при оценке вариантов освоения месторождения дефицитного сырья при прочих равных (или почти равных) условиях предпочтение должно быть отдано запасосберегающему, хотя и более ресурсоемкому варианту. В условиях дефицита материальных или трудовых ресурсов следует предпочесть ресурсосберегающий вариант с относительно большими потерями. Наконец, в регионе с экологически сложной ситуацией целесообразно остановить выбор на природосберегающем варианте, даже если он несколько уступает альтернативным вариантам по другим параметрам.
13.3. Принципы системного подхода к проектированию рудников
при комплексном освоении месторождений
Комплексному освоению месторождения должен соответствовать комплексный метод проектирования, базирующийся на системном подходе к решению проектных задач и предусматривающий оценку всей совокупности проектных решений на основе определения условий рационального сочетания требований запасосберегающего, ресурсосберегающего и природосберегающего характера.
В настоящее время ни одна из разновидностей системного подхода не отвечает особенностям проектирования рудников при комплексном освоении недр, поскольку все существующие модификации системного проектирования предусматривают синтез наиболее экономичной технологической схемы предприятия, т.е. такого сочетания его технологических звеньев (подсистем), при котором обеспечивается минимум затрат на создание объекта.
При комплексном освоении месторождения оптимизация проектируемой технологической схемы рудника должна осуществляться на основе учета значительно более широкого круга требований и анализа еще более сложной системы взаимосвязей между звеньями и параметрами. В этих условиях комплексная оптимизация всей технологической схемы пока не осуществима. Реальная оценка имеющихся возможностей вынуждает искать пути упрощения постановки оптимизационной задачи при сохранении вытекающих из концепции комплексного освоения недр принципов оценки эффективности всей системы проектных решений.
В отличие от подхода, при котором под системой понимается сам проектируемый объект, при комплексном освоении в качестве системы следует рассматривать совокупность проектных задач. Оптимизация определенным образом сгруппированных проектных задач является наиболее простым, а может быть, и единственно возможным способом формирования технологической схемы рудника, отвечающей требованиям комплексного освоения недр. Такой подход дает возможность выделить в качестве первоочередной основы оптимизации технологической схемы несколько наиболее важных, ключевых задач.
Многопараметрический характер технологической схемы рудника, а также сложность учета и формализации разнообразных взаимосвязей предопределяет необходимость декомпозиции системы проектных задач на подсистемы. С этой целью в совокупности задач должны быть выделены такие задачи, которые, будучи более или менее тесно связанными между собой, обладают сравнительной независимостью по отношению ко всем прочим.
Определенной самостоятельностью обладает группа проектных задач, предусматривающих выбор схемы выемки, порядка отработки запасов, а также схемы вскрытия и подготовки. При комплексном подходе содержание этих задач существенно расширяется, в связи с чем становится очевидным их совместное участие в формировании количественных, качественных и экономических параметров процесса освоения месторождения.
За исключением заведомо очевидных случаев, решение вопроса о выборе схемы выемки (валовой или раздельной) приобретает принципиальное значение с точки зрения обоснования наиболее эффективной стратегии освоения месторождения. В сферу решения этой задачи неизбежно вовлекаются и другие задачи, связанные с определением наиболее целесообразной очередности извлечения разносортных запасов и обоснованием оптимального соотношения их объемов, а также с выбором схемы вскрытия, отвечающей этим требованиям.
Наличие тесной технико-экономической взаимосвязи проектных задач, предусматривающих обоснование схемы выемки, порядка отработки запасов и схемы вскрытия, а также сравнительная независимость от решения прочих задач горнорудного проектирования позволяет объединить эти три задачи в общую группу (подсистему).
Во вторую группу целесообразно объединить задачи, от решения которых непосредственно зависит интенсивность процесса освоения месторождения, определение производственной мощности рудника, выбор системы разработки и средств механизации горных работ.
В соответствии с современными представлениями процедура выбора масштабов подземного рудника должна предусматривать совместную оценку количественных, качественных, экономических, экологических и региональных факторов. Вместе с тем такие характеристики процесса освоения, как интенсивность, экономичность, полнота и качественность использования недр, а в ряде случаев и экологичность непосредственно зависят от выбора технологии разработки. Кроме того, интенсивность и экономичность предопределяются выбором средств механизации горных работ. Наличие непосредственной взаимосвязи проектных задач по определению масштабов предприятия, выбору техники и технологии разработки дает основание объединить их в общую подсистему и рассматривать в качестве составных частей комплексной задачи по обоснованию рациональной интенсивности процесса освоения месторождения.
Системный подход к проектированию рудников при комплексном освоении недр должен предусматривать выделение двух основных подсистем, каждая из которых объединяет по три проектных задачи. Принятая группировка задач основана на анализе их взаимосвязей и взаимодействия при формировании количественных, качественных и экономических показателей. Из всей совокупности проектных задач выделены шесть наиболее важных задач, формирующих принципиальную технологическую схему рудника и в решающей степени предопределяющих ее эффективность. Есть основания считать, что последующее подключение прочих задач не окажет сколько-нибудь существенного влияния на выбор принципиальных решений и оценку их эффективности.
Принципиальная блок-схема, отражающая процедуру системного подхода к проектированию технологической схемы рудника, предусматривает выделение следующих четырех блоков: базовый блок, блок подготовки производства, блок добычи, блок оценки.
Базовый блок включает все исходные материалы на проектирование, а также нормативно-методическую документацию, регламентирующую процедуру проектирования.
Блок подготовки производства включает системы автономных моделей, с помощью которых решаются следующие задачи: выбор схемы выемки, обоснование порядка отработки запасов, выбор схемы вскрытия и подготовки.
Блок добычи объединяет систему автономных моделей, предназначенных для решения следующих проектных задач: выбор системы разработки, выбор средств механизации горных работ, определение производственной мощности рудника.
В рамках каждого из двух основных блоков (подсистем) формируется и оценивается некоторая совокупность вариантов, принимаемых к рассмотрению на завершающей стадии проектирования, предусматривающей синтез возможных технологических схем, их сравнение и выбор наиболее эффективной на основе критерия оптимальности, обеспечивающего совместный учет всех требований комплексного освоения недр. Для этой цели предусматривается блок оценки, включающий выходные данные по вариантам технологической схемы и экономико-математическую модель, с помощью которой выполняются расчетные процедуры на стадии сравнительной оценки вариантов.
13.4. Методические положения проектной оценки запасов
месторождения как объекта комплексного освоения
В отечественной практике разграничение запасов на эффективные (балансовые) и неэффективные (забалансовые), осуществляемое по результатам детальной разведки, фактически носит окончательный характер. Сложившаяся упрощенная система оценки запасов не отвечает многообразию и особенностям геолого-горно-экономических задач, решаемых на различных этапах процесса освоения месторождения.
Доминирующая в последнее время запасосберегающая тенденция предопределила ужесточение требований по охране недр, согласно которым проектирование горных предприятий должно осуществляться в строгом соответствии с утвержденными запасами.
Представление о незыблемости однажды установленных кондиций фактически исключает возможность сколько-нибудь существенной корректировки технических решений, принятых на проектной стадии, а следовательно, заранее блокирует любые попытки оптимизации этих решений в процессе проектирования. Вместе с тем предпроектная оценка не может дать исчерпывающие и притом окончательные ответы на все вопросы, связанные с выбором путей и наиболее эффективного освоения месторождения.
Односторонняя направленность запасосберегающей концепции в определенной мере противоречит концепции комплексного освоения недр, одним из принципов которой является обеспечение не максимальной, а оптимальной полноты использования запасов.
Основная цель проектной оценки запасов - создать основу для выработки всего комплекса проектных решений. При общей оптимизационной направленности проектной оценки в ее задачи входит не сам выбор оптимальных решений, а создание предпосылок для их целенаправленности поиска. В отличие от других видов геолого-экономических оценок, предусматривающих обоснование однозначных решений, характерной особенностью проектной оценки является ее альтернативность, т.е. выявление некоторой совокупности перспективных вариантов, подлежащих дальнейшему исследованию.
Проектная оценка запасов, будучи составной частью процесса проектирования, базируется на общих методических принципах решения проектных задач и, в частности, предусматривает использование динамических методов и соответствующих им интегральных критериев, обеспечивающих соизмерение различных требований концепции комплексного освоения недр.
В отличие от предпроектной оценки месторождений проектная оценка распространяется не на весь срок отработки запасов, а только на период оптимизации проектных решений, продолжительность которого в соответствии с общими принципами динамической методологии решения горно-экономических задач не должна превышать 25 лет.
В отличие от критерия, регламентируемого временной типовой методикой оценки месторождения полезных ископаемых, структура обобщающего критерия проектной оценки запасов должна предусматривать учет экономического ущерба от потерь ценности в процессе освоения. При оценке, охватывающей не весь период отработки месторождения, а лишь его первый этап, такой учет необходим, поскольку сравниваемые варианты даже при одинаковых объемах производства могут различаться степенью полноты использования недр.
Альтернативный характер проектной оценки запасов, при которой не предусматривается окончательный выбор варианта, обеспечивает возможность дальнейшего оптимизационного поиска на достаточно широкой основе, в том числе и на основе частных критериев.
При проектной оценке запасов месторождения как объекта комплексного освоения должны быть проанализированы условия выделения типов и сортов полезного ископаемого, исходя из технологических свойств, определяющих различные способы переработки или различные области использования минерального сырья.
Методические основы решения задач проектной оценки, связанных с определением условий качественной дифференциации запасов месторождения, целесообразно рассмотреть особо.
В определенных условиях одной из основных задач проектной оценки запасов месторождения как объекта комплексного освоения становится исследование целесообразности вовлечения и эксплуатацию запасов, отнесенных по результатам предпроектной оценки к забалансовым. Корректировка границ разработки разведанных запасов на стадии проектирования является одним из этапов последовательной оптимизации процесса освоения месторождения.
Постановка на стадии проектирования вопроса о целесообразности вовлечения в эксплуатацию запасов, первоначально отнесенных к забалансовым, может быть обусловлена целым рядом обстоятельств, рассмотренных ниже.
Представления об экономической значимости той или иной части запасов относительны и соответствуют экономической ситуации и техническим возможностям производства только на момент оценки месторождения. Поскольку технические решения и экономические показатели, положенные в основу предпроектной оценки, к моменту проектирования объекта нередко устаревают, условия разграничения запасов подлежат проверке с учетом изменения состояния сырьевой базы, потребности в полезном ископаемом и уровне цен на продукцию, а также технического уровня производства в период между утверждением запасов и началом проектирования.
Вопрос о вовлечении в эксплуатацию забалансовых запасов, являющихся источником получения дефицитной продукции, должен решаться с учетом повышения спроса, а следовательно, и перспективе повышения цен на эту продукцию.
Некоторая часть разведанных запасов могла получить отрицательную оценку из-за ошибок, обусловленных недостаточно достоверной информацией, или в результате выбора неоптимальных решений в связи с несовершенством существующей методологии оконтуривания запасов.
Определенная часть запасов, отнесенных к забалансовым, может вскрываться попутно при проведении выработок, предназначенных для выемки балансовых запасов. При этом вовлечение в эксплуатацию соответствующих забалансовых запасов может оказаться экономически оправданным, поскольку требует сравнительно небольших дополнительных затрат.
Увеличение масштабов предприятия за счет вовлечения в эксплуатацию некоторой части забалансовых запасов предопределяет общее снижение удельных затрат, что может обеспечить рентабельную отработку этих запасов.
При проектировании расширения, реконструкции или технического перевооружения действующего рудника проверка возможности и экономической целесообразности вовлечения в эксплуатацию запасов, ранее считавшихся забалансовыми, становится обязательной. Эффективному использованию этих запасов благоприятствует то обстоятельство, что определенная их часть оказывается либо уже вскрытой, либо находится в непосредственной близости от пройденных вскрывающих выработок.
При проектной оценке следует учитывать возможность безвозвратной утраты забалансовых запасов в результате разработки балансовых. Поскольку забалансовые запасы со временем могут стать объектом освоения, необходимо сопоставить возможный эффект от их извлечения и затраты (или удорожание проектных решений) в связи с консервацией этих запасов.
В очевидных случаях, когда экономическая целесообразность освоения запасов, считавшихся забалансовыми, в принципиальном плане не вызывает сомнений, решение задачи сводится к обоснованию оптимального варианта, включая определение рациональной последовательности балансовых и забалансовых запасов, наивыгоднейшего соотношения их объемов и т.д.
Возможны следующие основные варианты освоения запасов, первоначально отнесенных к забалансовым:
отработка месторождения по валовой схеме, при которой балансовые и забалансовые запасы извлекаются совместно при соответствующем усреднении по качеству;
отработка месторождения по раздельно-одновременной схеме, при которой с самого начала эксплуатации обе разновидности запасов добываются перерабатываются отдельно;
отработка по раздельно-разновременной схеме, при которой первоначально извлекается только одна разновидность запасов, по завершении их отработки начинается извлечение второй разновидности (в первую очередь обычно извлекаются балансовые запасы, а во вторую - забалансовые, что позволяет поддерживать рентабельную отработку в течение всего срока эксплуатации, поскольку к началу отработки более бедных запасов значительная часть первоначальных затрат оказывается уже погашенной на богатые запасы);
отработка по смешанной (комбинированной) схеме, при которой последовательность извлечения балансовых и забалансовых запасов изменяется по мере развития горных работ, или же в том случае, когда в пределах месторождения одновременно применяются различные схемы выемки.
Вовлечение в эксплуатацию запасов, отнесенных на предпроектной стадии к забалансовым, может быть осуществлено в нескольких вариантах, различающихся сроками и последовательностью их освоения, объемами вовлекаемых балансовых и забалансовых запасов (и их соотношением), качественными характеристиками полезного ископаемого, показателями полноты использования недр, размерами дополнительных капитальных вложений и характером их распределения во времени, уровнем и динамикой эксплуатационных затрат и т.д.
Экономическая целесообразность вовлечения в эксплуатацию запасов, считавшихся забалансовыми, устанавливается на основе сопоставления эффективности каждого из возможных вариантов с балансовым вариантом, в качестве которого принимается освоение только балансовых запасов.
Сравнительная оценка эффективности вариантов освоения запасов, ранее отнесенных к забалансовым, осуществляется по следующей формуле:

, (13.2)
где

- эффект от вовлечения в эксплуатацию забалансовых запасов по i-ому варианту за период оценки T, руб.;

,

- извлекаемая ценность соответственно по i-ому и базовому вариантам в t-ом году, руб.;

,

- капитальные затраты соответственно при i-ом варианте освоения забалансовых запасов и базовом варианте в t-ом году, руб.;

,

- эксплуатационные затраты соответственно при i-ом варианте освоения забалансовых запасов и базовом варианте в t-ом году, руб.;

,

- ущерб от потерь соответственно при i-ом варианте освоения забалансовых запасов и базовом варианте в t-ом году, руб.;

- коэффициент приведения разновременных затрат и эффектов.
13.5. Условия совместной оптимизации проектных задач
по выбору схемы выемки, порядка отработки запасов
и схемы вскрытия
Одним из основных требований, предъявляемых к проектному обоснованию технологической схемы рудника при комплексном освоении месторождения, является обеспечение условий для формирования качественных характеристик добываемого сырья, обеспечивающих его наиболее эффективное использование.
Для большинства рудных месторождений характерна та или иная степень качественной неоднородности состава, что во многих случаях предопределяет необходимость и экономическую целесообразность раздельной выемки и переработки разнотипных или разносортных руд.
На начальном этапе проектирования рудника должны быть проанализированы условия выделения типов или сортов полезного ископаемого, исходя из технологических свойств, определяющих различные способы переработки или различные области использования минерального сырья.
Качественная дифференциация запасов целесообразна в тех случаях, когда раздельная переработка каждой их разновидности обеспечивает существенное повышение технико-экономических показателей перерабатывающего предприятия по сравнению с валовой схемой.
Эффективность раздельной схемы выемки зависит от решения ряда проектных задач, из которых первоочередное значение имеет технико-экономическое обоснование порядка отработки запасов, т.е. направления развития горных работ, включая установление объемов и очередности вовлечения в эксплуатацию разных типов или сортов руд.
В связи с реализацией раздельной схемы выемки обычно возникает необходимость внести определенные коррективы в схему вскрытия и, в частности, предусмотреть проходку специальных стволов или создание дополнительных бункеров. Связанное с этим усложнение схемы вскрытия отразится как на общем объеме потребных капитальных затрат, так и на уровне удельных капитальных вложений, что в конечном счете приведет и к повышению себестоимости добычи.
В соответствии с изложенными выше принципами системного подхода к проектному обоснованию технологической схемы рудника задачи, связанные с выбором схемы выемки, порядка отработки запасов и схемы вскрытия, между которыми существует тесная технико-экономическая взаимосвязь, должны решаться совместно.
Комплексная задача решается в следующей последовательности:
выделение участков разнокачественных руд;
определение порядка отработки запасов;
обоснование схемы вскрытия и подготовки, отвечающей условиям раздельной отработки участков месторождения.
Поскольку раздельная выемка запасов обычно сопряжена с усложнением и удорожанием технологической схемы рудника, экономическая целесообразность соответствующих решений должна оцениваться путем сопоставления эффекта, достигаемого у потребителя, с дополнительными затратами при разработке месторождения.
При этом возможная величина эффекта в системе "рудник - обогатительная фабрика" составит:

, (13.3)
где

- экономический эффект у потребителя при раздельной переработке разносортных руд;

- затраты, связанные с реализацией раздельной схемы.
Поиск оптимальных решений сводится к обоснованию условий, при которых разность

достигает наибольших значений.
При раздельной переработке руды экономический эффект целиком обеспечивается за счет повышения извлечения полезных компонентов и выражается приростом извлекаемой ценности по сравнению с валовой переработкой.
С учетом некоторого повышения себестоимости переработки, связанного с усложнением технологической схемы фабрики, экономический эффект у потребителя составит:

(13.4)
где

,

- извлекаемая ценность 1 т перерабатываемой руды соответственно при раздельной и валовой схемах переработки, руб./т;

,

- себестоимость переработки 1 т руды соответственно при раздельной и валовой схемах, руб./т.
Прирост удельных затрат при раздельной разработке по сравнению с валовой характеризуется следующим выражением:

(13.5)
где

,

- удельные эксплуатационные затраты (за вычетом амортизационных отчислений на реновацию) соответственно при раздельной и валовой схемах разработки, руб./т;

- дополнительные капитальные затраты, связанные с реализацией раздельной схемы выемки, руб.;
A - годовой объем добычи по руднику, т.
В большинстве случаев раздельная схема выемки может быть реализована в нескольких вариантах, различающихся числом выделяемых разновидностей запасов и, следовательно, соотношением их объемов и качественных характеристик, очередностью вовлечения соответствующих запасов в эксплуатацию; сроками создания объекта, объемами потребных затрат и достигаемых эффектов, а также характером их распределения во времени. Учитывая динамические свойства оптимизационной задачи, ее решение должно быть приурочено к периоду оценки, позволяющему учесть различия в условиях формирования разновременных затрат и эффектов по сравнительным вариантам.
Во всех случаях при сравнении возможных вариантов раздельной выемки в качестве базового должен рассматриваться вариант валовой отработки запасов.
Оптимальным следует считать вариант, при котором достигается максимум интегрального эффекта за принятый период оценки в системе "рудник - обогатительная фабрика". В соответствии с этим критерий сравнительной оценки эффективности вариантов выражается следующей целевой функцией:

, (13.6)
где

,

- извлекаемая ценность соответственно при раздельной и валовой схемах в t-ом году, руб.;

,

- капитальные затраты соответственно при раздельной и валовой схемах в t-ом году, руб.;

,

- эксплуатационные затраты на добычу соответственно при раздельной и валовой схемах в t-ом году, руб.;

,

- эксплуатационные затраты на переработку руды соответственно при раздельной и валовой схемах в t-ом году, руб.
Сравнительная оценка вариантов выемки позволяет выявить некоторую совокупность возможных вариантов, различающихся величиной интегрального эффекта. Из числа вариантов, характеризующихся близкими значениями эффекта, осуществляется выбор наиболее целесообразного варианта исходя из конкретных условий и приоритета частных критериев.
13.6. Оптимизация взаимосвязи процессов извлечения
и воспроизводства запасов
Характерной особенностью горного предприятия является необходимость периодического возобновления (воспроизводства) его производственной мощности в течение почти всего срока существования объекта. Первоначально необходимый задел вскрытых, подготовленных и готовых к выемке запасов создается в период строительства предприятия, а в дальнейшем поддерживается путем своевременного вскрытия, подготовки и нарезки новых участков месторождения.
Работы по вскрытию, подготовке и нарезке запасов в принципе служат одной цели - создать условия для массового извлечения полезного ископаемого из недр. Общее производственное назначение различных видов горнопроходческих работ позволяет рассматривать всю их совокупность как единый процесс - воспроизводство запасов.
Воспроизводство запасов - многостадийный процесс, объединяющий несколько видов горнопроходческих работ, взаимосвязь которых с масштабами извлечения запасов существенно различна. При проектировании горнокапитальных работ, а также близких к ним по назначению работ по подготовке этажей учитывается целый ряд факторов, не имеющих прямого отношения к масштабам извлечения запасов, что предопределяет самостоятельное решение соответствующих задач.
Непосредственное отношение к процессу извлечения запасов имеют подготовительно-нарезные работы, от интенсивности которых решающим образом зависит своевременное воспроизводство выемочных единиц, а следовательно, масштабы очистной выемки.
Сложившиеся принципы дифференциации горных работ и экономический механизм, регулирующий порядок формирования различных видов затрат и методы их погашения, содержит немало противоречий и условностей. С целью их устранения необходимо внести коррективы в сложившуюся систему классификации, построив ее на следующих принципах.
Разработка месторождения состоит из трех стадий, за которыми сохраняются их традиционные названия - вскрытие, подготовка, очистная выемка.
Первая стадия - "Вскрытие" - объединяет горнокапитальные работы по подготовке горизонтов. Этой стадии разработки соответствует комплекс горнопроходческих работ, называемых капитально-подготовительными.
Капитально-подготовительные работы финансируются за счет капитальных вложений, а стоимость пройденных выработок включается в состав основных фондов рудника по группе "Сооружения".
Погашение стоимости капитально-подготовительных выработок производится в виде амортизации, начисляемой по потонным ставкам с дифференциацией в зависимости от фактического срока службы (времени отработки обслуживаемых запасов).
Вторая стадия - "Подготовка" - заключается в непосредственной подготовке и нарезке выемочных единиц (блоков и т.д.), т.е. в проведении подготовительно-нарезных работ.
Финансирование этих работ осуществляется за счет собственных оборотных средств предприятия по статье "Расходы будущих периодов" с отнесением затрат на статью себестоимости добычи "Погашение подготовительно-нарезных работ".
Третья статья разработки - "Очистная выемка", включающая только собственно очистные работы, т.е. непосредственно извлечение полезного ископаемого из подготовленных и нарезанных выемочных единиц.
Запасы делятся на три категории (в порядке убывания их степени подготовленности) - готовые к выемке, подготовленные, вскрытые.
Готовыми к выемке следует считать запасы выемочных единиц после завершения в них всего комплекса подготовительно-нарезных работ.
Подготовленными считаются запасы, для которых завершены все капитально-подготовительные работы (подготовка этажа).
Вскрытые запасы - это запасы, для которых пройдены главные вскрывающие выработки (ствол с квершлагом, штольня).
Количество запасов каждой категории учитывается "в чистом виде", т.е. за вычетом запасов более высоких категорий готовности к выемке.
Постановка вопросов о проектном обосновании рационального соотношения стадий разработки базируется на наличии тесной технической и экономической взаимосвязи между процессами извлечения и воспроизводства запасов.
Техническая сторона этой взаимосвязи выражается в том, что масштабы добычи непосредственно зависят от масштаба подготовки запасов к выемке. Следовательно, производственная мощность рудника по горным возможностям - это, по сути дела, такая интенсивность извлечения запасов, которую в данных горно-геологических условиях можно стабильно поддерживать. Таким образом, горнотехнические возможности - это возможности не только извлекать, но и воспроизводить определенное количество запасов в единицу времени.
Экономическая взаимосвязь процессов извлечения и воспроизводства запасов проявляется в том, что при прочих равных условиях сочетания этих процессов определяет уровень себестоимости добычи руды. В принципе любое опережение в выполнении более ранней стадии по отношению к последующей, будучи сопряжено с преждевременными затратами, в конечном счете приводит к повышению себестоимости, в которой аккумулируются все виды удельных затрат, связанных с разработкой месторождения.
С экономической точки зрения было бы идеально приурочить завершение каждой стадии разработки к началу следующей. Однако создание и функционирование рудника в условиях неопределенности исходных данных и результирующих показателей исключает возможность абсолютной минимизации затрат, так как отказ от создания резерва запасов может привести к значительно более тяжелым последствиям, чем некоторое повышение себестоимости в результате создания такого резерва.
Принимаемые в практике горнорудного проектирования методы нормирования запасов различных категорий готовности к выемке предусматривают решение задач только на базе детермированных величин, тогда как почти все параметры, характеризующие процесс движения запасов (производительность выемочных единиц, скорость проведения горных выработок, количество запасов в выемочных единицах, находящихся в стадиях извлечения и воспроизводства, продолжительность различных видов горных работ) в реальных условиях представляют собой вероятностные величины.
Более сложным условиям разработки соответствуют большие колебания значений параметров, характеризующих интенсивность процессов извлечения и воспроизводства запасов, в связи с чем требуется и большая величина резерва. Таким образом, в основе определения рационального соотношения стадии разработки лежит исследование вероятностной природы параметров извлечения и воспроизводства запасов в условиях конкретного месторождения.
Готовые к выемке запасы вводятся в отработку выемочными единицами после завершения в них всего комплекса подготовительно-нарезных работ. Следовательно, запасы выемочной единицы являются той минимальной их величиной, которой целесообразно оперировать при рассмотрении взаимосвязи между процессами извлечения и воспроизводства. При этом определение рационального резерва запасов сводится к установлению такого дополнительного числа выемочных единиц, одновременно находящихся в стадии воспроизводства, которое гарантирует необходимую (заданную) степень надежности технологической схемы рудника при характерных для данных условий отклонения определяющих параметров в неблагоприятную сторону от расчетных значений.
Проектное обоснование рациональных условий развития и сохранения масштабов извлечения запасов сводится к сопоставлению возможной производительности и сроков осуществления подготовительно-нарезных и очистных работ. При этом решения должны базироваться на исходных данных, характеризующих возможную вариацию значений участвующих в расчетах горно-геологических и технологических параметров.
Процедура поиска наивыгоднейших проектных решений требует привлечения дополнительной информации о характере возможных случайных изменений тех или иных параметров. Региональный подход к решению проектных решений предусматривает использование информации, накопленной в процессе создания и развития в сходных условиях. Динамика показателей такого предприятия, а также закономерности вариации его параметров в процессе разработки могут служить своеобразной моделью для проектирования аналогичного предприятия.
Наиболее целесообразной является поэтапная процедура решения оптимизационной задачи, предусматривающая сочетание детерминированной и вероятностной форм моделирования проектируемых процессов.
На первом этапе на основе данных о производственной мощности рудника и системе разработки выбирается производительность и число выемочных единиц, одновременно находящихся в очистной выемке, их конструктивные параметры, состав и расположение подготовительно-нарезных выработок, а также последовательность и скорости их проведения. На данном этапе все указанные параметры принимаются в качестве детермированных величин на уровне средних значений, достигнутых в аналогичных условиях, а также в соответствии с рекомендациями, содержащимися в нормах технологического проектирования, СНиП и других документах.
В соответствии с известным положением для обеспечения установленной производительности рудника число выемочных единиц, находящихся одновременно в стадиях извлечения и воспроизводства, должно быть пропорционально продолжительности этих стадий:

. (13.7)
Эта зависимость отражает требование к непрерывности и согласованности горных работ, в соответствии с которым к моменту завершения извлечения запасов выемочной единицы должна быть полностью готова к вводу в очистную выемку новая единица.
С учетом обычного совмещения отдельных процессов во времени число выемочных единиц в стадиях извлечения и воспроизводства может быть определено по формулам:

;

, (13.8)
где

- производительность рудника по горным возможностям, т/мес;

- удельный вес добычи из очистных работ, доли ед.;

- средняя производительность выемочной единицы по извлечению запасов, т/мес;

,

- число выемочных единиц в стадиях извлечения и воспроизводства;

- средняя продолжительность извлечения запасов выемочной единицы, мес;

- средняя полная продолжительность подготовительно-нарезных работ в выемочной единице, мес;

- коэффициент совмещения подготовительно-нарезных работ, доли ед.
Установленное по
формуле (13.8) число выемочных единиц обеспечивает своевременное воспроизводство фронта очистных работ только при принятых значениях продолжительности стадий разработки, в реальных условиях в связи с возможностью отклонения этих значений от расчетных приходится предусматривать увеличение масштабов воспроизводства запасов за счет дополнительных выемочных единиц, находящихся в стадии подготовительно-нарезных работ.
В соответствии с этим общее число выемочных единиц в стадии воспроизводства составляет:

, (13.9)
где

- коэффициент резерва выемочных единиц.
Величина резерва должна устанавливаться с учетом степени вариации параметров, определяющих продолжительность процессов извлечения и воспроизводства запасов выемочной единицы.
Продолжительность извлечения запасов зависит, с одной стороны, от производительности очистных работ, с другой стороны, - от величины запасов, сосредоточенных в выемочной единице.
Продолжительность воспроизводства выемочной единицы зависит от такой вероятностной величины, как скорость проведения подготовительно-нарезных выработок.
В конечном счете величина резерва воспроизводимых выемочных единиц, обеспечивающего необходимую надежность технологической схемы рудника, определяется характером вариации таких параметров, как размер запасов выемочной единицы, ее производительность, а также скорость проведения горных выработок:

, (13.10)
где

- коэффициент, характеризующий возможную степень вариации периодов извлечения и воспроизводства запасов выемочной единицы.
| | ИС МЕГАНОРМ: примечание. Текст дан в соответствии с официальным текстом документа. | |
Если статистическое распределение переменной

и средним квадратическим отклонением

, то общее число выемочных единиц, находящихся в стадии воспроизводства, может быть выражено следующим образом:

, (13.11)
где t - показатель достоверности (коэффициент вероятности).
При решении задач проектирования и планирования горного производства значения коэффициента вероятности t обычно принимаются в пределах 1,44 - 2. Считается, что достаточная степень надежности проектных расчетов обеспечивается при t = 1,65.
Для определения требуемого числа выемочных единиц необходимо проанализировать статистические распределения значений соответствующих параметров. Статистическая совокупность по каждому из параметров обрабатывается методами математической статистики, и строится гистограмма, по которой подбирается функция распределения значений параметров. Во многих случаях полученную эмпирическую кривую удается идентифицировать с функцией нормального распределения, которая полностью характеризуется средней арифметической и средним квадратическим отклонением.
Если среднее значение параметра -

, объем выборки (число оцениваемых статистических единиц) - n, среднее квадратическое отклонение -

, то абсолютная ошибка по

:

. (13.12)
В общем случае вероятность того, что интервал (

;

),
где

будет заключать искомое значение, соответствует надежности P = Ф(t).
Относительная ошибка определяется из выражения:

. (13.13)
В качестве показателя, характеризующего вариабельность всей совокупности параметров, которые предопределяют продолжительность процессов извлечения и воспроизводства, используется интегральный максимум относительной ошибки:

. (13.14)
Коэффициент резерва выемочных единиц в стадии воспроизводства определяется из выражения:

. (13.15)
Установленный по формуле (13.15) резерв выемочных единиц полностью перекрывает (с учетом принятого уровня надежности) средние возможные отклонения в неблагоприятную сторону от детермированных значений параметров.
Горно-геологические условия предопределяют особенности развития горных работ, обуславливающие и различия в подходе к решению задач по оптимизации процесса движения запасов. Решение этих задач следует дифференцировать в зависимости от такого фактора, как "этажность разработки".
К первой группе относятся месторождения, которые разрабатываются серией последовательных этажей, т.е. все крутопадающие и наклонные месторождения любой мощности, а также горизонтальные и пологопадающие месторождения, мощность которых выходит за пределы обычной высоты этажа.
Во вторую группу входят горизонтальные и пологопадающие месторождения, разрабатываемые одним этажом на полную мощность рудного тела.
При этажной разработке общий коэффициент резерва находится через интегральный максимум относительной ошибки по параметру, определяющим продолжительность процессов извлечения и воспроизводства - размер запасов выемочной единицы D, ее производительность q, скорость проведения подготовительно-нарезных выработок Wпн.

, (13.16)
где

.
При определении относительной ошибки

по всем трем параметрам в знаменателе следует принимать знак "-", поскольку отклонение каждого из них в меньшую сторону от расчетных (средних) значений приводит к снижению надежности технологической схемы рудника, что предопределяет необходимость увеличения резерва.
В связи с тем, что снижение надежности технологической схемы сопряжено с отклонениями только в меньшую сторону от расчетных (средних) значений, определяющих параметры, резерв, принимаемый по каждому из них в отдельности, будет гарантировать попадание в интервал

с вероятностью

. (13.17)
Тогда при t = 1,65

.
Отклонение каждого из параметров z, q и

от средних значений равновероятны и независимы в совокупности. В таком случае вероятность совместного появления независимых событий равна произведению вероятностей этих событий, т.е.

.
При безэтажной разработке определение рационального соотношения выемочных единиц в стадиях извлечения и воспроизводства имеет свои особенности.
При наиболее распространенном прямом порядке отработки масштабы очистных работ определяются скоростью проведения магистральных откаточных отработок, поскольку от темпов их подвигания непосредственно зависят интервалы включения выемочных единиц в эксплуатацию.
В детерминированном виде условие согласованности процессов извлечения и воспроизводства при безэтажной разработке может быть выражено следующим равенством:

, (13.18)
где И - интенсивность очистной выемки (скорость подвигания очистного забоя), м/с;
Z - длина панели, м;

- число панелей, одновременно находящихся в очистной выемке;

- средняя скорость проведения откаточного штрека, м/мес;
h - ширина (наклонная высота) панели, м;
m,

- средняя мощность рудного тела соответственно на отрабатываемом и подготавливаемом участке рудной залежи, м;

- число штреков, одновременно проходимых в крыле;

- число выемочных единиц (панелей), приходящихся на каждый шаг проходки откаточного штрека.
Интенсивность очистной выемки определяется из выражения:

(13.19)
где

- площадь панели, находящейся в очистной выемке, м2;

- продолжительность извлечения запасов панели, мес;

- число очистных забоев в панели.
Исходя из условия согласованности горных работ
(13.18), среднее число панелей, единовременно находящихся в стадии извлечения, составит:

. (13.20)
Из уравнения (13.20) при

следует:

, (13.21)
где

- продолжительность проходки штрека на длину панели Z, мес.
В развернутом виде формула (13.21) может быть представлена следующим образом:

, (13.22)
где

;

(Z - количество рудной массы, извлекаемое из выемочной единицы).
Число выемочных единиц в стадии извлечения зависит от трех переменных - мощности рудного тела m, скорости проведения главных откаточных выработок

, а также производительности добычных работ q.
Число выемочных единиц в стадии подготовительно-нарезных работ определяется соотношением времени выполнения этих работ

и проходки откаточного штрека на длину панели

.

. (13.23)
Необходимость создания резерва, связанная с возможными отклонениями параметров

, m и q от расчетных значений в сторону уменьшения.
Для оценки характера возможной вариации скорости проведения откаточного штрека и производительности панели целесообразно пользоваться соответствующими статистическими данными по одному или нескольким рудникам, условия горнопроходческих и очистных работ на которых сходны с условиями проектируемого рудника. После обработки этих данных методами математической статистики строятся гистограммы. По их виду подбираются функции плотности распределения, которые обычно вблизи к функции нормального распределения. Для оценки характера изменения мощности рудного тела используются данные, полученные при разведке конкретного месторождения.
13.7. Особенности принятия проектных решений
с учетом требований стабилизации качества и резервирования
горных возможностей подземного рудника
Вопросы стабилизации качества общешахтного рудопотока, как правило, решаются непосредственно на этапе оперативного управления. Однако уровень возможной стабилизации в значительной степени предопределяется решениями, принимаемыми в процессе проектирования.
Возможность обеспечения стабильности качества добываемой руды обусловливает необходимость определения этого показателя для проектируемого предприятия в связи с возможностями последующей переработки сырья. Если рассматривать проблему управления качеством подземных ископаемых как единый процесс, включающий разведку месторождения, проектирование горного предприятия, добычу полезного ископаемого, рудоподготовку и переработку, то эффективность ее решения при проектировании зависит, с одной стороны, от полноты информации о степени разведанности месторождения и, с другой, - от информации о возможностях рудоподготовительного и перерабатывающего комплекса. Эта зависимость проявляется прежде всего при выборе уровня стабилизации качества и разработке мероприятий по усреднению руды. Последние определяются прогнозом качества сырья в недрах и результатами оценки влияния колебаний качества руды на эффективность ее обогащения.
При этом оцениваются содержание каждого компонента в массиве и его физико-химические свойства. В соответствии с современными представлениями качество рудной массы должно характеризоваться не только средним содержанием в ней полезного компонента, но и стабильностью этого показателя.
Несмотря на актуальность рассматриваемой проблемы, при сложившейся практике проектирования подземных рудников влияние качественных характеристик запасов полезных ископаемых на возможности развития добычи сырья с необходимой стабильностью качественного состава учитывается только косвенно. Существуют приближенные методы вычисления показателей стабильности качественного состава общешахтного рудопотока. В частности, один из методов основан на количественной оценке снижения колеблемости содержания полезного компонента в общешахтном рудопотоке по сравнению с колеблемостью содержания в отдельных очистных забоях в зависимости от их числа на руднике (см.
зависимость (3.49)).
1) равенство дисперсий содержаний усредняемого компонента во всех рудопотоках;
2) некоррелированность и случайность содержаний полезного компонента в рудопотоках.
Соотношение (3.49) применимо при том условии, что фронт очистных работ (число готовых к очистной выемке блоков) однозначно соответствует планируемой производительности рудника.
Одним из эффективных способов стабилизации качества добываемой руды является подготовка резервных очистных забоев, которые могут включаться в работу в зависимости от конкретной геологической ситуации.
Уровень резервирования определяется коэффициентом:

, (13.24)
где

- общее число готовых к работе очистных блоков;

- минимальное число блоков, необходимое для выполнения планового задания по объему добычи.
Методом, с помощью которого возможно наиболее полно учесть все многообразие влияющих факторов при расчете колеблемости содержания полезного компонента, а также получить результаты, приемлемые не только для специфических особенностей конкретного предприятия, но и в достаточно широком диапазоне горно-геологических условий и возможных технологических схем развития горных работ, является имитационное моделирование на ЭВМ.
Суть имитационного эксперимента при решении задачи прогнозирования показателей возможного уровня внутрирудничного усреднения сырья на стадии проектирования горного предприятия состоит в следующем: в соответствии с известной функцией распределения генерируются вероятные содержания полезного компонента в готовых к выемке блоках и определяется минимальное отклонение содержания полезного компонента от планового, которое может быть обеспечено в данной ситуации с учетом возможности перераспределения объемов добычи по резервным забоям. В результате многократного повторения эксперимента получаем вероятную характеристику колеблемости содержания полезного компонента в добываемой рудной массе для определенного уровня резервирования фронта очистных работ и колеблемости содержания полезного компонента в забойных рудопотоках. Проведение соответствующих расчетов основывается на следующих исходных положениях:
1. Природная изменчивость качества руды в балансовых запасах определяется применительно к дозам выпуска по объемам, соответствующим сменной производительности очистных забоев.
2. Многократное повторение имитационных экспериментов производится не в виде моделирования последовательности смен, а как серия независимых реализаций без учета исчерпания запасов руды в действующих забоях.
3. В качестве критерия для разделения готовых к выемке блоков на действующие и резервные принимается минимальное отклонение содержания полезного компонента в суммарном общешахтном рудопотоке от планового:

, (13.25)
где

- планируемое содержание полезного компонента рудной массы;

- среднее содержание полезного компонента в рудной массе общешахтного рудопотока по объему соответствующей сменной производительности рудника;

, (13.26)
где

, qi - содержание полезного компонента и сменная производительность i-го забоя;

- число действующих забоев.
4. Моделирование осуществляется при равных производительностях блоков:

. (13.27)
5. Выполнение плана по металлу обеспечивается введением в модель дополнительного ограничения:

. (13.28)
Как показал специально проведенный анализ практики работы ряда рудников металлургии, планируемое содержание полезного компонента

обычно превышает среднее содержание

в рудной массе, которую можно извлечь из готовых к выемке запасов:

; (13.29)

, (13.30)
где

- общее число блоков, готовых к выемке;

- число резервных блоков.
В соответствии с требованиями обогатительной фабрики размах колебаний содержания полезного компонента в поставляемой рудной массе должен укладываться в диапазон

. Цель управления резервом очистных блоков заключается в том, чтобы отклонение фактического уровня показателей качества

от базового (планового) уровня

с заданной вероятностью не превышало допустимый предел

в любой производный момент времени.
Математически это может быть выражено в следующем виде:

, (13.31)
где

- надежность управления по показателю качества.
В процессе расчетов из общего числа готовых к выемке блоков выбираются те блоки, которые обеспечивают требуемый диапазон колебаний содержания полезного компонента

, и оценивается частость попадания в соответствующие интервалы при различных значениях

= 5%, 10%, 15%, определяемых требованиями фабрики.
Значения частости попадания в различные интервалы допустимого диапазона колебаний качества рудопотока, в частности выполнения плана по металлу, позволяют получить вероятностную характеристику процесса усреднения

и оценить вероятность выполнения плановых (директивных) задач (P) в зависимости от числа действующих блоков, величины резерва и степени напряженности плана по качеству при определенном варианте системы разработки:

, (13.32)
где

- коэффициент вариации содержания полезного ископаемого компонента в общешахтном рудопотоке;

- коэффициент резервирования, равный

.

, (13.33)
где

- вероятность выполнения плановых заданий при заданном интервале колебаний качества

.
Зависимости показателей изменчивости от уровня резервирования явились основой разработки методики обоснования резерва очистных блоков для обеспечения с заданной вероятностью требуемой стабильности качества сырья в общешахтном рудопотоке. Данная методика, являющаяся инструментом для оценки эффективности стабилизации качества добываемой руды за счет создания и использования резерва очистных блоков, включает следующие этапы:
1) задание исходных директивных показателей качества: среднего планового содержания компонента

и вероятности выполнения плана по качеству P при заданном уровне стабилизации - величине допустимого интервала отклонения

;
2) определение количества очистных блоков в одновременной работе

исходя из производственной мощности рудника и производительности очистного блока при той или иной системе разработки;
3) определение необходимого и достаточного уровня резервирования блоков

по установленным зависимостям вида
(13.24); если требования к стабилизации не удовлетворяются, то возникает необходимость пересматривать исходные директивные параметры P и

;
4) оценка изменчивости качества в общешахтном рудопотоке: коэффициента вариации

с помощью зависимостей вида
(13.32) или стандарта отклонений

;
5) определение величины коэффициента извлечения при обогащении E, который соответствует установленному уровню изменчивости качества в общешахтном рудопотоке

; для этого используются зависимости вида

или

.
6) сравнение эффекта от стабилизации, связанного с увеличением извлечения при обогащении, с ущербом от резервирования, т.е. увеличением числа блоков на руднике, а значит, с деконцентрацией горных работ; в качестве базового варианта для проектируемых рудников используются величины резервов очистных блоков и извлечения при обогащении, принятые в проекте.