Главная // Актуальные документы // Ведомость (форма)СПРАВКА
Источник публикации
В данном виде документ опубликован не был.
Первоначальный текст документа опубликован в издании
М.: Стройиздат, 1975.
Информацию о публикации документов, создающих данную редакцию, см. в справке к этим документам.
Примечание к документу
Документ утратил силу в связи с введением в действие с 1 января 1986 года
СНиП 3.01.01-85, утв.
Постановлением Госстроя СССР от 02.09.1985 N 140.
Изменения и дополнения, утв. Постановлением Госстроя СССР от 12.04.1977 N 39, введены в действие с 1 июля 1977 года.
Взамен СН 47-67.
Название документа
"СН 47-74. Строительные нормы. Инструкция по разработке проектов организации строительства и проектов производства работ"
(утв. Постановлением Госстроя СССР от 31.12.1974 N 263)
(ред. от 12.04.1977)
"СН 47-74. Строительные нормы. Инструкция по разработке проектов организации строительства и проектов производства работ"
(утв. Постановлением Госстроя СССР от 31.12.1974 N 263)
(ред. от 12.04.1977)
Постановлением
Государственного комитета
Совета Министров СССР
по делам строительства
от 31 декабря 1974 г. N 263
СТРОИТЕЛЬНЫЕ НОРМЫ
ИНСТРУКЦИЯ
ПО РАЗРАБОТКЕ ПРОЕКТОВ ОРГАНИЗАЦИИ
СТРОИТЕЛЬСТВА И ПРОЕКТОВ ПРОИЗВОДСТВА РАБОТ
СН 47-74
| | Список изменяющих документов Постановлением Госстроя СССР от 12.04.1977 N 39) | |
Срок введения в действие
1 июля 1975 года
Внесена ЦНИИОМТП Госстроя СССР.
Утверждена Постановлением Государственного комитета Совета Министров СССР по делам строительства от 31 декабря 1974 г. N 263.
Взамен СН 47-67.
"Инструкция по разработке проектов организации строительства и проектов производства работ" (СН 47-74) составлена Центральным научно-исследовательским и проектно-экспериментальным институтом организации, механизации и технической помощи строительству Госстроя СССР (ЦНИИОМТП) с участием Промстройпроекта Госстроя СССР, ВНИИОМШС Министерства угольной промышленности СССР, Гипропромтрансстроя Министерства транспортного строительства, ВНИПИТРАНСГАЗа Министерства газовой промышленности СССР, Гидропроекта Министерства энергетики и электрификации СССР, Мосоргстроя Главмосстроя при Мосгорисполкоме, Гипрооргсельстроя Министерства сельского строительства СССР, Гипроводхоза Министерства мелиорации и водного хозяйства СССР, НИИЭС Госстроя СССР, Гипронефтеспецмонтажа и Проектхимзащиты Министерства монтажных и специальных строительных работ СССР и Гипромеза Министерства черной металлургии СССР.
С введением в действие настоящей Инструкции отменяется Инструкция СН 47-67.
Редакторы - инженеры А.А. Лысогорский, А.И. Ковылин (Госстрой СССР), канд. техн. наук Л.П. Аблязов (ЦНИИОМТП).
1.1. Настоящая инструкция устанавливает требования к составу, содержанию, порядку разработки и утверждения:
проектов организации строительства как неотъемлемой части технических (техно-рабочих) проектов на строительство объектов производственного и жилищно-гражданского назначения;
проектов производства работ, составляемых на основе проектов организации строительства по рабочим чертежам на строительство новых или реконструкцию и расширение существующих предприятий, зданий и сооружений, на выполнение отдельных видов строительно-монтажных работ, а также на работы подготовительного периода строительства.
1.2. Проекты организации строительства разрабатываются в целях обеспечения своевременного ввода в действие производственных мощностей и объектов жилищно-гражданского назначения с наименьшими затратами и при высоком качестве за счет повышения организационно-технического уровня строительства. Проекты организации строительства являются основой для распределения капитальных вложений и объемов строительно-монтажных работ по срокам строительства, а также обоснования сметной стоимости строительства.
1.3. Проекты производства работ разрабатываются в целях определения наиболее эффективных методов выполнения строительно-монтажных работ, способствующих снижению их себестоимости и трудоемкости, сокращению продолжительности строительства объектов, повышению степени использования строительных машин и оборудования, улучшению качества строительно-монтажных работ и обеспечения безопасности труда. Осуществление строительства без проектов производства работ запрещается.
1.4. Проекты организации строительства и проекты производства работ должны разрабатываться с учетом:
а) применения прогрессивных форм и методов организации, планирования и управления строительством с тем, чтобы сроки продолжительности строительства предприятий зданий и сооружений не превышали нормативных;
б) обеспечения своевременной подготовки объектов к освоению проектных мощностей;
в) использования современных технических средств диспетчерской связи и внедрения автоматизированных систем управления строительным производством;
г) применения технологических процессов, обеспечивающих требуемый уровень качества строительства;
д) комплектной поставки на строительство конструкций, изделий, полуфабрикатов и материалов из расчета на секцию, ярус, этаж и т.п.;
е) первоочередного выполнения работ подготовительного периода;
ж) максимального использования фронта работ, совмещения строительных процессов с обеспечением их непрерывности и поточности, равномерного использования ресурсов и производственных мощностей;
з) применения прогрессивных и экономичных конструкций, изделий, полуфабрикатов и материалов, поставляемых предприятиями строительной индустрии, а также местных материалов;
и) внедрения комплексной механизации работ с максимальным использованием наиболее производительных машин в две смены и более, а также применения средств малой механизации;
к) поставки технологического оборудования укрупненными блоками;
л) ограничения объема строительства временных зданий и сооружений за счет использования для нужд строительства постоянных зданий и сооружений, применения передвижных, контейнерных и сборно-разборных инвентарных зданий, сооружений и механизированных установок, типовых приспособлений и инвентаря, а также сокращения количества и площадей складов на строительной площадке за счет монтажа конструкций непосредственно с транспортных средств;
м) первоочередного строительства в составе промышленных объектов постоянных бытовых и лечебно-профилактических учреждений в целях временного использования их строителями;
н) соблюдения правил по производственной санитарии, технике безопасности, а также требований по взрывной, взрыво-пожарной и пожарной безопасности;
о) выполнения мероприятий по охране природы и рекультивации сельскохозяйственных земель и лесных угодий, нарушенных при производстве строительных работ.
При разработке проектов организации строительства и проектов производства работ должны учитываться природно-климатические особенности района строительства, требования контрактов для предприятий, создаваемых на базе комплектного импортного оборудования, и другие местные и особые условия.
1.5. При разработке проектов организации строительства и проектов производства работ для Северной строительно-климатической зоны следует учитывать:
физико-географические условия (большую продолжительность холодного периода с низкими температурами воздуха и в связи с этим необходимость применения машин и механизмов в "северном" исполнении, частые зимние сильные ветры и снежные заносы, вечномерзлое состояние грунтов, полярные день и ночь, малую естественную освещенность территории в холодный период года);
территориальную разобщенность строительства и необходимость комплектной поставки строительных материалов и конструкций при соответствующем технико-экономическом обосновании из развитых промышленных центров;
сезонность в доставке материально-технических ресурсов для создания необходимых запасов;
необходимость применения специальных видов транспорта в условиях слаборазвитой транспортной сети;
кратковременность навигационного периода на реках и по Северному морскому пути, наличие во вновь осваиваемых районах глубоководных причалов, портов и перевалочных баз;
необходимость увеличения затрат на хозяйственное и бытовое обустройство для обеспечения нормальных условий жизни и деятельности людей;
необходимость разработки специальных мероприятий по охране труда.
1.6. Проекты организации строительства и проекты производства работ для горных и высокогорных районов следует разрабатывать с учетом:
пониженного барометрического давления, требующего соблюдения особых (адаптационных) режимов работы строителей;
применения машин и механизмов, приспособленных к работе на крутых склонах;
лавинных, селевых и оползневых явлений на отдельных участках территорий, требующих поиска безопасных площадок для размещения временной строительной базы и жилого поселка строителей;
труднодоступности отдельных районов, требующей сооружения временных транспортных коммуникаций, если сооружение капитальной дороги не вызывается условиями эксплуатации возводимого объекта, а также применения авиационного (вертолетного) транспорта.
1.7. Проекты организации строительства и проекты производства работ для пустынных и полупустынных районов следует разрабатывать с учетом:
высоких дневных температур наружного воздуха, вызывающих необходимость в специальных режимах труда, питания и отдыха строителей;
применения машин и механизмов в специальном "тропическом" исполнении;
отсутствия на значительных территориях местных источников водоснабжения и необходимости выполнения в связи с этим специальных работ по очистке, опреснению, транспортировке, охлаждению и хранению воды.
1.8. Выбор вариантов решений при разработке проектов организации строительства и проектов производства работ должен производиться на основе технико-экономических обоснований.
Основными показателями, используемыми при экономической оценке вариантов проектных решений, является себестоимость строительно-монтажных работ, определяемая по производственным калькуляциям, стоимость основных производственных фондов и оборотных средств строительно-монтажных организаций, продолжительность строительства и трудоемкость строительно-монтажных работ, определяемые по календарному плану. Определение сравнительной экономической эффективности вариантов производится сопоставлением приведенных затрат. При этом учитывается экономический эффект от сокращения продолжительности строительства и ускорения ввода объектов в эксплуатацию.
Порядок оценки экономической эффективности проектных решений в проектах организации строительства и проектах производства работ приведен в Приложении 1.
1.9. При разработке проектов организации строительства и проектов производства работ должна быть использована типовая проектная документация по организации строительства и производству строительно-монтажных работ:
технологические карты и схемы на производство отдельных видов работ;
схемы комплексной механизации;
карты трудовых процессов;
чертежи механизированных установок, средств малой механизации и инвентарных приспособлений;
чертежи инвентарных зданий и сооружений для строительных площадок;
эталоны проектов организации строительства и проектов производства работ, методические пособия.
Разработка в составе проектов организации строительства и проектов производства работ индивидуальных технологических карт, карт трудовых процессов, чертежей механизированных установок, средств малой механизации и инвентарных приспособлений, временных инвентарных зданий и сооружений запрещается, если по ним имеется проектная документация, сведения о которой включены в официальные источники информации о действующей типовой проектной документации.
В целях сокращения объема проектной документации типовые графические и текстовые материалы не должны включаться в состав проектов организации строительства и проектов производства работ, на них должны даваться соответствующие ссылки.
1.10. По отдельным видам специального строительства или специальных строительных работ могут разрабатываться и утверждаться на основе настоящей Инструкции ведомственные (отраслевые) инструкции, отражающие специфические особенности такого строительства или работ.
1.11. Разработка и оформление материалов проектов организации строительства и проектов производства работ должны выполняться по формам проектных документов, приведенным в
Приложениях 2 и
3. Эти формы могут уточняться в соответствии со спецификой отдельных отраслей и видов строительства, а также требованиями к унифицированной системе проектной документации, используемой в автоматизированных системах управления.
2. ПРОЕКТ ОРГАНИЗАЦИИ СТРОИТЕЛЬСТВА
2.1. Проект организации строительства должен составляться генеральной проектной организацией, разрабатывающей технический (техно-рабочий) проект, или по ее заказу проектной организацией, выполняющей строительную часть проекта. Отдельные разделы проекта организации строительства крупных предприятий или сложных зданий и сооружений (монтаж уникального технологического оборудования и средств автоматики, особо ответственных несущих конструкций) должны разрабатываться соответствующими специализированными организациями.
2.2. При определении состава проекта организации строительства следует учитывать степень сложности объекта строительства в зависимости от числа зданий и сооружений, входящих в его состав, уровня унификации, типизации и стандартизации проектных решений, необходимости применения специальных вспомогательных сооружений, устройств и установок, разнообразия строительных процессов, числа подрядных и субподрядных организаций, участвующих в строительстве, применительно к признакам, приведенным в следующей таблице:
Характеристика проектных решений и условий строительства | Степень сложности объекта строительства |
особо сложный | средней сложности | несложный |
1 | 2 | 3 |
Состав объекта и объемно-планировочные решения | Состоящий из большого числа различных зданий и сооружений или одного здания (сооружения), включающего помещения (участки) с различными нетиповыми технологическими, объемно-планировочными и конструктивными решениями | Состоящий из нескольких нетиповых зданий и сооружений, отличающихся повторяемостью основных габаритных схем, размеров и объемов строительно-монтажных работ по отдельным помещениям (участкам, цехам) или одного здания (сооружения), включающего несколько помещений (участков, цехов) с применением унифицированных технологических, объемно-планировочных и конструктивных решений | Состоящий из нескольких типовых зданий и сооружений или одного здания (сооружения) небольшого строительного объема с простыми технологическими процессами, объемно-планировочными и конструктивными решениями |
Конструктивные решения | Имеющий здания и сооружения с особо сложными конструкциями и условиями производства работ, при которых необходимо применение специальных вспомогательных сооружений, приспособлений, устройств и установок | | |
Строительные процессы | Отличающийся разнообразием строительных процессов и стесненными условиями выполнения строительно-монтажных работ | Отличающийся возможностью организации пообъектного (попролетного, посекционного) выполнения повторяющихся строительных процессов методами непрерывных или цикличных потоков | - |
Организации, участвующие в строительстве | Требующий участия в проектировании, строительстве, монтаже оборудования и материально-техническом обеспечении большого числа взаимосвязанных специализированных организаций и предприятий | Связанный с привлечением к строительству нескольких специализированных организаций | Проектируемый, как правило, в одну стадию (техно-рабочий проект) и предусматривающий участие в строительстве кроме генеральной подрядной строительной организации не более одной-двух специализированных |
Наличие одной из совокупностей признаков, указанных в графах 1 и 2, является основанием для отнесения объекта к более высокой степени сложности. Степень сложности объектов устанавливается инстанцией, утверждающей задание на проектирование, совместно со строительным министерством (строительной организацией).
Примеры определения степени сложности объектов строительства приведены в
Приложении 4.
2.3. Исходными материалами для составления проекта организации строительства служат:
технико-экономические обоснования (ТЭО), подтверждающие экономическую целесообразность и хозяйственную необходимость проектирования и строительства предприятия и сооружения;
материалы топографических, геологических и гидрогеологических изысканий;
решения по применению строительных материалов и конструкций, способов организации строительства и средств механизации строительно-монтажных работ по основным сооружениям, согласованные со строительным министерством или по его поручению со строительной организацией, а также данные об использовании источников и порядке обеспечения строительства водой, электроэнергией, паром и местными строительными материалами;
сведения о возможности обеспечения строительства местными рабочими кадрами, жилыми и культурно-бытовыми помещениями;
данные о мощности общестроительных и специализированных строительно-монтажных организаций, наличии производственной базы стройиндустрии и возможностях ее использования и развития;
сведения о соответствующих контрактах в случаях строительства объектов на базе комплектного импортного оборудования.
2.4. Проект организации строительства должен разрабатываться одновременно с разработкой строительной и других частей технического (техно-рабочего) проекта в целях увязки объемно-планировочных, конструктивных и технологических решений с условиями организации строительства и производства работ. Отдельные разделы проекта организации строительства, составляемые специализированными проектными организациями, должны быть взаимно увязаны с общими решениями, принятыми в техническом (техно-рабочем) проекте.
2.5. В состав проекта организации строительства включаются:
а)
календарный план строительства, в котором на основе общей организационно-технологической схемы строительства приводятся очередность и сроки строительства основных и вспомогательных зданий и сооружений, пусковых комплексов и работ подготовительного периода, с распределением капитальных вложений и объемов строительно-монтажных работ по этапам строительства и по времени (Приложение 2, форма 1);
б) строительный генеральный план с расположением постоянных зданий и сооружений, участков для размещения временных инвентарных зданий и сооружений, постоянных и временных железных и автомобильных дорог, основных инженерных коммуникаций, складов, монтажных кранов и механизированных установок, объектов производственной базы (с выделением условными обозначениями объектов, сооружаемых в подготовительный период), а также существующих и подлежащих сносу строений;
в) организационно-технологические схемы возведения основных зданий и сооружений, схемы перемещения земляных масс и описание методов производства сложных строительно-монтажных работ;
г) указания по составу, точности, методам и порядку построения геодезической разбивочной основы;
д)
ведомость объемов строительных, монтажных и специальных работ (включая монтаж технологического оборудования) с выделением работ по отдельным объектам, пусковым комплексам и периодам строительства (Приложение 2, форма 2);
е)
график потребности в строительных конструкциях, изделиях, деталях, полуфабрикатах, материалах и оборудовании с распределением по объектам, пусковым комплексам и срокам строительства (Приложение 2, форма 3);
ж) график потребности в основных строительных машинах по строительству в целом;
з) график потребности в рабочих кадрах;
и) пояснительная записка, содержащая:
характеристику условий строительства;
обоснование методов производства сложных строительных, монтажных и специальных строительных работ, в том числе выполняемых в зимних условиях, решения по возведению крупных сложных зданий и сооружений;
обоснование потребности в основных строительных, дорожных машинах и механизмах;
обоснование потребности в транспортных средствах, погрузочно-разгрузочных машинах, механизмах и складском хозяйстве;
обоснование потребности в жилье и культурно-бытовом обслуживании, а также решения по источникам покрытия потребности;
обоснование потребности в электроэнергии, воде, паре, кислороде, сжатом воздухе, а также в инвентарных зданиях и временных сооружениях для производства строительно-монтажных работ и санитарно-бытового обслуживания работников;
рекомендации по структуре управления строительством и составу организаций-соисполнителей (общестроительные или специализированные тресты, управления и участки, передвижные механизированные колонны, линейные колонны, строительные поезда);
рекомендации по набору инвентарных зданий и сооружений с указанием принятых типовых проектов, сметной стоимости этих зданий и сооружений и других затрат на подсобно-вспомогательные и обслуживающие строительное производство здания и сооружения;
основные технико-экономические показатели согласно указаниям
п. 1.8 настоящей Инструкции.
2.6. Для особо сложных объектов в состав проекта организации строительства дополнительно к перечисленному в
п. 2.5 настоящей Инструкции включаются:
комплексный укрупненный сетевой график, в котором определяются продолжительность основных этапов проектирования и строительства объекта, очередность строительства отдельных зданий и сооружений в составе пускового комплекса, сроки поставки технологического оборудования;
мероприятия по подготовке к освоению проектной мощности предприятия, включая опробование оборудования и пусконаладочные работы, обеспечение сырьем, материалами, энергоресурсами, комплектующими изделиями и деталями и укомплектование предприятия кадрами;
ситуационный план строительства с расположением предприятий материально-технической базы жилых поселков, внешних путей и дорог, станций примыкания к путям МПС, линий связи и электропередач с нанесением границ территории объекта, вырубки леса и участков, временно отводимых для нужд строительства;
решения по производственно-диспетчерской и административно-хозяйственной связи и ее техническим средствам.
2.7. Проект организации строительства для несложных объектов может составляться в сокращенном объеме и состоять из: календарного плана строительства с выделением работ подготовительного периода; строительного генерального плана; ведомости объемов строительных, монтажных и специальных строительных работ, графиков потребности в материалах, строительных машинах и механизмах; краткой пояснительной записки.
2.8. В типовом техническом (техно-рабочем) проекте предприятия, здания, сооружения должны разрабатываться основные положения по организации строительства, содержащие требования к строительному генеральному плану, организации и методам выполнения основных видов работ с указанием их объемов.
2.9. Проект организации строительства предприятий (объектов), сооружаемых по иностранным лицензиям и на базе комплектного импортного оборудования, должен разрабатываться заказчиком с участием генеральной подрядной строительной организации, с учетом гарантий поставки оборудования иностранными фирмами-поставщиками.
2.10. Проектная организация при выборе площадки строительства обязана согласовать с генеральной подрядной строительной организацией решения по:
применению местных строительных материалов;
использованию средств механизации основных строительно-монтажных работ, с учетом их наличия в подрядной организации;
выбору транспортной схемы при обеспечении местными строительными материалами строек, для которых в установленном порядке разрешается индивидуальная привязка единичных расценок.
3. ПРОЕКТ ПРОИЗВОДСТВА РАБОТ
3.1. Проекты производства работ на строительство предприятия, здания или сооружения разрабатываются генеральными подрядными строительными организациями. На отдельные виды общестроительных, монтажных и специальных строительных работ проект производства работ разрабатывается организацией, выполняющей эти работы.
На строительство крупных объектов, а также объектов, возводимых в сложных геологических и тяжелых климатических условиях, проекты производства работ могут разрабатываться по заказу генподрядных и субподрядных строительных организаций оргтехстроями или проектными организациями.
Разработка проектов производства работ производится за счет накладных расходов в строительстве.
3.2. Для зданий и сооружений с особо сложными конструкциями и условиями производства работ, строительство которых осуществляется с применением специальных вспомогательных сооружений, приспособлений, устройств и установок (специальная опалубка сводов-оболочек; скользящая опалубка; оснастка для проходки шахтных стволов; устройства для монтажа уникального оборудования, подъема, надвижки, сборки, навесного бетонирования, перевозки на плаву мостовых и других крупногабаритных ответственных конструкций; установки для искусственного глубинного водопонижения, замораживания или химического закрепления грунтов, шпунтовые ограждения; кессонный способ производства работ; навесной или полунавесной монтаж конструкций, возведение опор глубокого заложения на сваях-оболочках, буровых сваях или опускных колодцах; буровзрывные работы вблизи существующих сооружений, реконструкция или строительство в стесненных городских условиях), проектные организации, осуществляющие проектирование объекта, должны разрабатывать рабочие чертежи или проекты соответствующих приспособлений, устройств и установок.
По решению организации, утверждающей проект, в состав рабочих чертежей должны включаться чертежи сложных нетиповых временных сооружений (водоснабжения, теплоснабжения и энергоснабжения, железных и автомобильных дорог и искусственных сооружений на них, переправ через реки, морских и речных причалов, бетоновозных эстакад). В остальных случаях разработка рабочих чертежей нетиповых временных зданий и сооружений в составе проектов производства работ производится строительно-монтажными организациями.
3.3. Проекты производства работ должны разрабатываться с учетом плана организационно-технических мероприятий строительно-монтажной организации, действующей системы оперативного планирования, управления и учета строительного производства.
3.4. Исходными данными для разработки проекта производства работ служат:
сводная смета;
проект организации строительства;
рабочие чертежи;
задание на разработку проекта производства работ, содержащее сведения об объеме и сроках разработки;
сведения о сроках и порядке поставки готовых конструкций, изделий, полуфабрикатов, материалов и оборудования, о количестве и типах намечаемых к использованию строительных машин и механизмов, а также о рабочих кадрах по основным профессиям;
другие сведения, касающиеся специфики производства строительных, монтажных и специальных строительных работ.
3.5. В состав проекта производства работ для предприятий, их отдельных очередей, пусковых комплексов, зданий и сооружений включаются:
а) комплексный сетевой график или
календарный план производства работ (Приложение 3, форма 1) в зависимости от степени сложности объекта, в которых на основе объемов строительно-монтажных работ и разработанной технологии устанавливаются последовательность и сроки выполнения работ, определяется потребность в трудовых ресурсах, а также сроки поставки всех видов оборудования;
б) строительный генеральный план с расположением приобъектных постоянных и временных транспортных путей, пешеходных дорог и переходов, сетей водоснабжения, канализации, электроснабжения, теплоснабжения, административно-хозяйственной и диспетчерской связи, монтажных кранов, механизированных установок, складов, временных инвентарных зданий, сооружений и устройств, используемых для нужд строительства;
в)
график поступления на объект (здание, сооружение) строительных конструкций, деталей, полуфабрикатов, материалов и оборудования (Приложение 3, форма 2) с приложением комплектовочных ведомостей, а при наличии в составе строительной организации службы (управления, отдела) производственно-технологической комплектации - унифицированная документация по производственно-технологической комплектации (Приложение 5,
формы 1,
2,
3,
4);
г)
график потребности в рабочих кадрах по объекту (зданию, сооружению) - Приложение 3, форма 3;
д)
график потребности в основных строительных машинах по объекту (зданию, сооружению) - Приложение 3, форма 4;
е) технологические карты на сложные работы и работы, выполняемые новыми методами, на остальные работы - типовые технологические карты, привязанные к объекту и местным условиям строительства, или технологические схемы с описанием последовательности и методов производства работ с определением сроков и стоимости работ, трудозатрат и потребности в материалах и машинах по этапам для бригад, работающих по методу хозяйственного расчета;
ж) схемы размещения знаков для выполнения геодезических построений и геодезического контроля положения конструкций, а также указания по точности геодезических измерений и перечень необходимых для этого технических средств;
з) решения по технике безопасности, требующие проектной разработки (крепление стенок земляных выемок, временное крепление конструкций, устройство временного заземления, ограждение рабочих зон при работе на высоте), по производственной санитарии (обеспечение предельно допустимого содержания токсичных веществ, пыли и допустимой интенсивности теплового излучения в рабочей зоне), а также решения по созданию безопасных условий при работе на высоте, в зонах воздушных электрических линий и подземных коммуникаций, при эксплуатации строительных машин и электрических установок;
и) документация для осуществления контроля и оценки качества строительно-монтажных и специальных работ (указания о допусках, схемы операционного контроля качества и др.);
к) мероприятия по организации работ методом бригадного хозяйственного расчета и обеспечению бригад необходимыми материалами, инструментом, оснасткой, приспособлениями и машинами;
л) пояснительная записка, содержащая:
обоснование решений по производству работ, в том числе выполняемых в зимнее время;
расчеты потребности в электроэнергии, воде, паре, кислороде, сжатом воздухе, решения по устройству временного освещения строительной площадки и рабочих мест с составлением, при необходимости, рабочих чертежей подводки сетей к объекту от источников питания;
перечень временных (инвентарных) зданий и сооружений с расчетом потребности и обоснованием условий привязки их к участкам строительства;
мероприятия по защите действующих коммуникаций от повреждений;
технико-экономические показатели решений, принятых в проекте производства работ.
3.6. Проект производства работ на подготовительный период строительства должен содержать:
а) календарный план производства работ в виде линейного или сетевого графика;
б) график поступления на строительство необходимых на этот период строительных конструкций, изделий, полуфабрикатов, основных материалов и оборудования;
в) строительный генеральный план всей площадки строительства с указанием на нем мест расположения инвентарных зданий и временных сооружений, внеплощадочных и внутриплощадочных коммуникаций и сетей с подводкой к местам потребления для объекта в целом с выделением работ, выполняемых в подготовительный период;
г) схемы размещения знаков для выполнения геодезических построений и геодезического контроля положения конструкций зданий, сооружений и коммуникаций, а также указания по точности геодезических измерений и перечень необходимых для этого технических средств;
д) рабочие чертежи или схемы монтажа технических средств диспетчеризации;
е) краткую пояснительную записку.
3.7. Для объектов особо сложных и средней сложности в составе проектов производства работ должны разрабатываться комплексные сетевые графики. Состав и порядок разработки, согласования и утверждения комплексных сетевых графиков, а также методика разработки и порядок их применения для управления строительным производством устанавливаются действующими указаниями по составлению сетевых графиков и применению их в управлении строительством.
3.8. Проект производства работ для несложных объектов должен состоять из календарного плана работ в виде линейного графика, строительного генерального плана, схемы производства основных видов работ и краткой пояснительной записки. В календарном плане, кроме общестроительных работ, должны быть показаны работы специализированных и монтажных организаций.
3.9. В составе рабочих чертежей типовых проектов промышленных предприятий, зданий и сооружений проектной организацией должны разрабатываться основные положения по производству строительных и монтажных работ с обоснованием принятых методов организации и технологии выполнения основных видов работ с указаниями по производству работ в зимних условиях, с требованиями по технике безопасности, перечнем рекомендуемой монтажной оснастки и инвентаря.
К указанным положениям должны прилагаться:
примерный линейный или сетевой график производства работ с указанием физических объемов работ и затрат труда на их выполнение;
схема строительного генерального плана на возведение надземной части зданий или сооружений;
типовые технологические карты и другие типовые решения по производству работ;
ведомости на все виды конструкций, изделий, материалов и оборудования.
3.10. Для осуществления контроля и оценки качества строительно-монтажных и специальных работ в проект производства работ должны включаться:
указания о допусках в соответствии с требованиями Строительных норм и правил и рабочих чертежей;
схемы операционного контроля качества выполняемых работ;
перечень требуемых актов освидетельствования скрытых работ;
указания о сроках проверки качества работ с лабораторными испытаниями материалов, конструктивных элементов, температурно-влажностных режимов, а также о порядке опробования отдельных агрегатов и систем инженерного оборудования.
3.11. Решения по пожаробезопасности и взрывобезопасности, включаемые в проект производства работ, должны предусматривать порядок выполнения открытых огневых работ, требования к размещению горючих и взрывоопасных материалов.
3.12. В проектах производства работ должны быть приведены следующие основные технико-экономические показатели: себестоимость строительно-монтажных работ, стоимость отвлекаемых на строительство данного объекта основных производственных фондов и оборотных средств, продолжительность строительства, трудоемкость строительно-монтажных работ, а также другие показатели, характеризующие решения, принятые в проекте (удельный вес затрат ручного труда, уровень механизации основных строительно-монтажных работ, затраты труда на 1 м3 или 1 м2 здания, выработка и др.).
3.13. Проект производства работ утверждается главным инженером генподрядной строительной организации треста, отдельного СМУ или приравненных к ним организаций, а разделы проекта по монтажным и специальным строительным работам - главными инженерами соответствующих субподрядных организаций по согласованию с генподрядной строительной организацией.
Утвержденный проект производства работ должен быть передан на стройплощадку за два месяца до начала работ.
Утверждению проекта производства работ должно предшествовать рассмотрение его техническим (технико-экономическим) советом строительной организации.
4. ДОПОЛНИТЕЛЬНЫЕ ТРЕБОВАНИЯ К РАЗРАБОТКЕ ПРОЕКТОВ
ОРГАНИЗАЦИИ СТРОИТЕЛЬСТВА И ПРОЕКТОВ ПРОИЗВОДСТВА РАБОТ
ПО ВИДАМ СТРОИТЕЛЬСТВА
Промышленное строительство
4.1. При реконструкции и расширении промышленных предприятий в проектах организации строительства дополнительно необходимо:
устанавливать очередность и порядок совмещенного выполнения строительно-монтажных работ с указанием участков и цехов, в которых на время производства строительно-монтажных работ останавливаются или изменяются технологические процессы основного производства;
указывать на строительном генеральном плане действующие, разбираемые и перекладываемые инженерные коммуникации, места подключения временных коммуникаций, проезды по территории и т.п.;
определять порядок защиты действующего оборудования при работах по замене стеновых ограждений, перекрытий и покрытий;
определять состав работ подготовительного периода с тем, чтобы время выполнения основных работ, связанных с полной или частичной остановкой производственного процесса, было бы наименьшим;
устанавливать перечень, объемы, а также способы выполнения работ в стесненных условиях, на которые распространяются удорожающие факторы.
4.2. Проект производства работ по реконструкции и расширению предприятия (корпуса, цеха) составляется в том же объеме, как и на новое строительство, но с учетом особенностей производства работ на действующем предприятии. На строительном генеральном плане должны быть нанесены существующие сети и коммуникации с выделением действующих, примыкания новых сетей и коммуникаций к имеющимся, проезды, используемые строителями и монтажниками.
На планах и разрезах корпуса (цеха) должны быть указаны участки, выделяемые для производства строительно-монтажных работ.
В календарном плане работ должны быть определены порядок совмещения строительных и производственных процессов или сроки временной остановки предприятия (корпуса, цеха) для производства строительно-монтажных работ.
В проекте производства работ по реконструкции действующих производств особое внимание должно быть уделено вопросам техники безопасности, а также мероприятиям по обеспечению пожаробезопасности и взрывобезопасности.
4.3. Для работ по монтажу особо сложных конструкций и технологического оборудования, санитарно-технических, электромонтажных, гидроизоляционных, теплоизоляционных, противокоррозионных и работ по возведению подземной части здания или сооружения в сложных гидрогеологических условиях следует составлять отдельные (самостоятельные) проекты производства работ. При этом в них должны быть приведены: объем, стоимость и график производства работ, графики работы основных механизмов и движения рабочей силы; схемы и методы производства работ, а при необходимости - технологические карты; строительные генеральные планы с поэтажными схемами, график поступления строительных конструкций, деталей, материалов, технологического оборудования и монтажных приспособлений, чертежи специальных приспособлений, краткая пояснительная записка с технико-экономическими показателями.
На строительном генеральном плане для работ по монтажу технологического оборудования должны быть даны необходимые привязки, основные размеры и экспликации строящихся зданий и сооружений, а также зданий и сооружений, примыкающих к зоне монтажа и влияющих на основные решения по организации площадки и производству монтажных работ, транспортные схемы и площадки укрупнительной сборки, а также перечень основного монтажного оборудования, которым определяются решения по организации монтажных работ.
4.4. В технологических картах или схемах на монтаж технологического оборудования должны быть указаны:
порядок перемещения оборудования, конструкций и заготовок трубопроводов в пределах монтажной зоны, их разгрузки и складирования;
монтажные проемы и меры по усилению несущих конструкций на период монтажа технологического оборудования;
организация и технология производства сварочных работ;
установка, испытание и демонтаж такелажных средств;
опробование и испытание оборудования и трубопроводов;
обеспечение безопасных условий производства работ.
4.5. Отдельные разделы проекта производства работ на монтаж технологического оборудования подлежат согласованию со следующими организациями:
график передачи оборудования в монтаж - с дирекцией строящегося (действующего) предприятия;
технологические карты и схемы монтажа, предусматривающие переоборудование грузоподъемных механизмов или приложение к последним нагрузок, отличающихся от паспортных, - с заводом-изготовителем;
технологические карты и схемы, предусматривающие использование в процессе монтажа оборудования или строительных конструкций зданий или сооружений, - с проектной и монтажной организациями;
технологические карты и схемы монтажа оборудования в случаях вынужденных отклонений от технических условий заводов-изготовителей на монтаж - с заводом-изготовителем и дирекцией строящегося (действующего) предприятия.
Проект производства работ на реконструкцию или расширение действующего предприятия должен быть согласован с дирекцией предприятия.
Строительство шахт и карьеров
4.6. Проекты организации строительства и производства работ для шахт и карьеров разрабатываются соответственно в составе технического (техно-рабочего) проекта или по рабочим чертежам для зданий и сооружений на поверхности (обогатительных фабрик, копров и подъемных машин, административно-бытовых комбинатов, сооружений транспорта, электроснабжения, водоснабжения и ремонтного хозяйства), подземных горных выработок (вертикальных, горизонтальных, наклонных) и открытых горных выработок (карьеров, разрезов).
Содержание, состав и порядок разработки проекта организации строительства и проекта производства работ для зданий и сооружений на поверхности принимаются в соответствии с указаниями
разделов 2 и
3 настоящей Инструкции.
4.7. Проект организации строительства подземных горных выработок дополнительно должен содержать:
технологические схемы проходки стволов, горизонтальных и наклонных выработок и камер, если они отличаются от типовых;
план расположения проходческого оборудования в увязке с расположением постоянных зданий и сооружений;
календарный график горнопроходческих работ с учетом взаимной увязки и максимального совмещения работ по проходке подземных горных выработок и строительно-монтажных работ на земной поверхности;
решения о последовательности и темпах проходки стволов, горизонтальных и наклонных горных выработок;
решения по методам производства работ и выбору горнопроходческого оборудования при проходке стволов приствольных камер, горизонтальных и наклонных выработок с обоснованием необходимого объема временных выработок, расчетом трудозатрат и ресурсов на горнопроходческие работы;
обоснования по выбору типа копров и подъемных установок в случае использования их как временных на период горнопроходческих работ;
схемы и режимы проветривания горных выработок по периодам их проходки, решения по обогреву и охлаждению подаваемого в выработки воздуха, а также меры борьбы с пылью, газами, внезапными выбросами пород, угля и газов, горными ударами, прорывами вод и плывунов;
схемы водоотлива при проходке стволов и выработок, решения по отводу и очистке шахтных вод;
данные о транспорте по горизонтальным и наклонным выработкам и по откатке породы.
4.8. Проект организации строительства открытых горных выработок дополнительно должен содержать:
календарный график горновскрышных работ;
технологические схемы на расстановку оборудования при выполнении горновскрышных и горнопроходческих работ и проходку разрезных и выездных траншей;
технологические схемы на осушение карьерного поля с обоснованием принятого способа осушения и отвода вод на поверхности, данные о способе вскрытия карьерного поля.
4.9. Проект производства работ по устройству подземных и открытых горных выработок дополнительно должен содержать:
сводную ведомость потребности в горнопроходческом оборудовании по периодам строительства;
технологические карты на работы по горным выработкам и монтажу наиболее сложного оборудования;
рабочие чертежи нетиповых подземных временных сооружений, приспособлений и устройств;
решения по геодезическо-маркшейдерскому обслуживанию;
решения по противосиликозным мероприятиям и защите окружающей среды, требующие проектной разработки.
Строительство линейных объектов транспорта и связи
4.10. К линейным объектам транспорта и связи относятся железные и автомобильные дороги, магистральные нефте- и газопроводы, линии связи, диспетчерской централизации и автоблокировки, линии электропередач и т.п.
4.11. При разработке проектов организации строительства и проектов производства работ по объектам линейного строительства, для которых характерна многократная повторяемость (вдоль трассы) конструкций, их элементов, видов и объемов работ, должна быть учтена эффективность организации строительных потоков с максимальным расчленением строительных процессов и специализацией исполнителей, средств механизации и транспорта.
4.12. При разработке проектов организации строительства для строек линейного характера, а по комплексным стройкам - для каждого вида линейного строительства, дополнительно к указаниям
п. 2.5 настоящей Инструкции в составе разделов проекта организации строительства (календарном плане строительства, строительном генеральном плане, пояснительной записке) необходимо:
приводить объемы основных строительно-монтажных работ по участкам трассы;
показывать места обхода или преодоления специальными средствами естественных препятствий и преград, переправ на реках;
определять размещение баз материально-технического снабжения, производственных предприятий и объектов энергетического обеспечения, обслуживающих строительство на отдельных участках трассы, а также жилых поселков для строителей;
отражать транспортную схему доставки материально-технических ресурсов с расположением станций и пристаней разгрузки, промежуточных складов и временных подъездных дорог;
предусматривать решения по максимальному использованию участков вновь строящихся железных и автомобильных дорог для нужд строительства;
разрабатывать (в случаях реконструкции) специальные мероприятия по обеспечению безопасности движения поездов или автомобильного транспорта с минимальными нарушениями действующих графиков движения;
устанавливать в зависимости от территориального размещения строительных организаций распределение строительных подразделений по участкам трассы в увязке с графиком и направлением работ линейных колонн;
составлять для крупных линейных строек большой протяженности раздел проекта по организации диспетчерской и административно-хозяйственной связи;
разрабатывать проектные решения по способам снятия и хранения плодородного слоя почвы, транспортирования его к месту укладки и нанесения плодородного слоя почвы на восстанавливаемые земли.
4.13. Проект производства работ для линейного строительства дополнительно к указаниям
п. 3.5 настоящей Инструкции должен содержать:
календарный график, на котором показываются последовательность и сроки снятия плодородного слоя почвы и выполнения земляных работ, поставки конструкций верхнего строения железнодорожного пути, труб магистрального трубопровода, опор ЛЭП, развозки плетей, сварки стыков, изоляционных работ и работ по испытанию конструкций и трубопроводов, восстановлению плодородного слоя почвы и т.п.;
схематический план трассы или ее участков с указанием мест переходов через препятствия, грунтовых условий, расположением постоянных и временных транспортных путей, объектов энерго- и теплоснабжения, сетей связи, складов и других сооружений и устройств, необходимых для нужд строительства;
транспортные схемы и графики поставки материально-технических ресурсов, использования и передислокации механизмов, приспособлений и транспортных средств;
технологические карты и схемы на выполнение сложных видов работ, привязанные к конкретным участкам трассы и местам переходов через естественные препятствия, предусматривающие выполнение работ в специализированных потоках передвижными подразделениями (поездами, колоннами, бригадами);
индивидуальные или типовые, привязанные к местным условиям, строительные генеральные планы переходов;
привязанные к конкретным участкам трассы генпланы временных строительных баз (звеносборочных, сварочных, битумоварочных, складских и др.) с решениями по выбору площадок, временному отводу и условиям рекультивации земель.
Гидротехническое и водохозяйственное строительство
4.14. В проекте организации строительства для объектов гидротехнического и водохозяйственного строительства дополнительно необходимо:
выделять в основных разделах проекта по оросительным (обводнительным) системам узел головных сооружений, магистральные, межхозяйственные, внутрихозяйственные каналы, трубопроводы и сооружения на них, временные оросители, дорожную сеть, сооружения электроснабжения и связи, эксплуатационные поселки; по осушительным системам - водоприемники, насосные станции, дамбы, водохранилища, осушительные каналы, регулирующие сети, культурно-технические работы, дорожную сеть, сооружения электроснабжения и связи, эксплуатационные поселки;
указывать в календарном плане сроки пропуска расходов воды в реке в отдельные этапы строительного периода, сроки перекрытия русла, наполнения водохранилища и т.п.; предусматривать минимальные перерывы в эксплуатации гидроузла или гидросооружения при их реконструкции;
указывать на строительных генеральных планах расположение сооружений для обеспечения пропуска расходов воды в реке в строительный период, разбивку на очереди работ по возведению узла или комплекса гидротехнических сооружений, очередность ввода в эксплуатацию орошаемых площадей. По оросительным и осушительным системам следует показывать границы орошаемой и осушаемой территории, площади орошения и осушения с указанием очередности их ввода, границы эксплуатационных и строительных участков, размещение карьеров, а по крупным сооружениям - границы отвода и затопления территорий, обводные каналы и временные мосты;
разрабатывать схемы пропуска расходов воды в реке, а также способы преграждения и отвода русла реки в строительный период;
определять при необходимости затраты для расширения производственной базы строительства с учетом данных о возможности использования предприятий, инженерных сетей, дорог и других зданий и сооружений, возводимых для нужд строительства в качестве объектов районных производственных баз стройиндустрии с решением вопросов о целесообразности привлечения к долевому участию других заинтересованных организаций и предприятий;
предусматривать при производстве строительно-монтажных работ по переустройству обводнительных систем и их отдельных сооружений мероприятия по обеспечению бесперебойного полива сельскохозяйственных угодий.
4.15. В проектах производства работ при строительстве гидротехнических и водохозяйственных объектов необходимо выделять в календарном плане монтаж гидроэлектромеханического оборудования и конструкций. Специальные работы (закрытие гребенки, замыкание перемычек, преграждение русла) следует включать в календарный план на основе решений по их выполнению, детально разработанных в технологических картах и схемах. К числу работ, на которые необходимо составлять технологические карты, следует также относить разработку грунта в карьерах, его транспортировку и обработку при возведении земляных плотин и плотин из каменной наброски и сооружении крупных каналов.
Жилищно-гражданское строительство
4.16. В проектах организации строительства и проектах производства работ по жилищно-гражданским объектам необходимо предусматривать обеспечение комплексной застройки жилых районов, микрорайонов и кварталов, своевременный ввод в эксплуатацию объектов как жилого, так и культурно-бытового назначения, а также своевременное выполнение работ по благоустройству и озеленению застраиваемых территорий с учетом природно-климатических условий района.
4.17. При разработке проекта организации строительства на застройку жилых районов, микрорайонов и кварталов в календарном плане следует выделять этапы работ. При этом, как правило, в первый этап включаются работы по инженерной подготовке территории, прокладке коммуникаций и возведению подземных частей, а во второй - по возведению надземных частей зданий и сооружений. Проекты производства работ на строительство жилых и общественных зданий и сооружений должны разрабатываться раздельно для подземной и надземной их частей.
4.18. В составе типового технического проекта здания и сооружения жилищно-гражданского назначения основные положения по организации строительства приводятся в пояснительной записке к типовому проекту. Объем и содержание основных положений устанавливаются заданием на разработку типового проекта.
4.19. В составе рабочих чертежей и техно-рабочего проекта типовых проектов зданий и сооружений жилищно-гражданского назначения проектная организация, разрабатывающая типовой проект, составляет основные положения по производству строительных и монтажных работ, которые должны содержать обоснование принятых методов организации и технологии выполнения основных видов работ с указаниями по производству работ в зимних условиях, требованиями по технике безопасности, перечнем рекомендуемой монтажной оснастки.
4.20. Проекты производства работ для объектов, возводимых по индивидуальным проектам в стесненных городских условиях и непосредственной близости к существующим строениям, при выполнении работ внутри эксплуатируемых зданий, при строительстве и реконструкции зданий и сооружений с применением новых материалов и конструкций, а также в случаях передвижки зданий и сооружений, - разрабатываются за счет средств на проектные работы.
4.21. Проекты производства работ для объектов экспериментального строительства, осуществляемого с целью проверки в производственных и эксплуатационных условиях пригодности в массовом строительстве новых типовых жилых и общественных зданий и сооружений, архитектурно-планировочных и конструктивных решений, инженерного оборудования, новых строительных материалов, методов организации строительства и производства работ должны разрабатываться за счет капитальных вложений, принимаемых заказчиком в основные фонды.
ПОРЯДОК ОЦЕНКИ ЭКОНОМИЧЕСКОЙ ЭФФЕКТИВНОСТИ ПРОЕКТНЫХ
РЕШЕНИЙ В ПРОЕКТАХ ОРГАНИЗАЦИИ СТРОИТЕЛЬСТВА
И ПРОЕКТАХ ПРОИЗВОДСТВА РАБОТ
Экономические обоснования решений проектов организаций строительства и проектов производства работ производятся в соответствии с действующей Инструкцией по определению экономической эффективности капитальных вложений в строительстве.
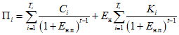
Определение сравнительной экономической эффективности вариантов проектных решений по организации строительства и производству работ осуществляется сопоставлением приведенных затрат, исчисляемых по формуле

, (1)
где

- себестоимость строительно-монтажных работ по i-му варианту;

- капитальные вложения в основные производственные фонды и вложения в оборотные средства строительства организации по i-му варианту;

- нормативный коэффициент эффективности капитальных вложений в строительстве.
Примечание. Сравниваемые варианты проектных решений должны быть приведены в сопоставимый вид.
Если продолжительность строительства составляет более года или предусматривается строительство в две очереди или более вместо строительства в одну очередь на полную мощность, то затраты, предусмотренные на более поздний период, должны быть приведены для сравнимости к базисному году строительства по формуле

, (2)
где

- затраты, приведенные к базисному году строительства;

- затраты в i-м году;
t - период времени приведения, годы;

- коэффициент приведения затрат будущих лет к началу базисного года строительства (табл. 1);

- норматив для приведения разновременных затрат, установленный типовой методикой определения экономической эффективности капитальных вложений в размере 0,08.
Таблица 1
Коэффициенты для приведения затрат будущих лет
к началу базисного года
t | 1:(1 + 0,08)t |
1 | 0,926 |
2 | 0,858 |
3 | 0,794 |
4 | 0,735 |
5 | 0,681 |
6 | 0,630 |
7 | 0,583 |
8 | 0,540 |
9 | 0,500 |
10 | 0,463 |
11 | 0,429 |
12 | 0,397 |
13 | 0,368 |
14 | 0,340 |
15 | 0,315 |
16 | 0,292 |
17 | 0,270 |
18 | 0,250 |
19 | 0,232 |
20 | 0,215 |
21 | 0,199 |
22 | 0,184 |
23 | 0,170 |
24 | 0,158 |
25 | 0,146 |
26 | 0,135 |
27 | 0,125 |
28 | 0,116 |
29 | 0,107 |
30 | 0,099 |
31 | 0,092 |
32 | 0,085 |
33 | 0,079 |
34 | 0,073 |
35 | 0,068 |
36 | 0,063 |
37 | 0,058 |
38 | 0,054 |
39 | 0,050 |
40 | 0,046 |
41 | 0,043 |
42 | 0,039 |
43 | 0,036 |
44 | 0,034 |
45 | 0,031 |
46 | 0,029 |
47 | 0,027 |
48 | 0,025 |
49 | 0,023 |
50 | 0,021 |
t - период приведения, равный разности между годом, в котором осуществляются затраты, и годом, к которому они приводятся;

- коэффициент для приведения затрат.
Примечание. Приведение разновременных затрат используется только в расчетах экономической эффективности и не может служить основанием для изменения сметной стоимости.
При оценке экономической эффективности вариантов организации строительства и производства работ с различной продолжительностью необходимо учитывать эффект, получаемый за счет:
снижения условно-постоянных накладных расходов строительной организации;
получения дополнительной прибыли в результате ускорения ввода в действие производственного объекта;
сокращения объема незавершенного строительства и высвобождения основных производственных фондов строительной организации.
Затраты, вычисляемые по
формуле (1) с учетом их приведения к первому году строительства, определяются по формуле

, (3)
где

- приведенные затраты по i-му варианту;

- продолжительность возведения объекта по i-му варианту;

- себестоимость строительно-монтажных работ в i-й год строительства;

- размер капитальных вложений в основные производственные фонды и среднегодовой размер оборотных материальных средств строительной организации, включая незавершенное строительство, осуществляемых в i-й год строительства;

- нормативный коэффициент эффективности капитальных вложений в строительстве.
Если сокращение продолжительности строительства связано с дополнительными капитальными вложениями в основные производственные фонды и вложениями в оборотные материальные средства строительных организаций

, то эффект от сокращения продолжительности строительства должен быть уменьшен на величину этих вложений с учетом нормативного коэффициента эффективности капитальных вложений в строительстве

.
При сравнении вариантов проектов организации строительства во вновь осваиваемых районах наряду с капитальными вложениями в основные производственные фонды следует также учитывать дополнительную потребность в непроизводственных основных фондах - жилых зданиях и сооружениях предприятий коммунального хозяйства и учреждений культурно-бытового назначения.
Снижение условно-постоянных накладных расходов, зависящих от продолжительности строительства, определяется по формуле

, (4)
где Э - эффект от сокращения условно-постоянных накладных расходов;
Н - условно-постоянные накладные расходы в составе себестоимости строительно-монтажных работ;

- продолжительность строительства объекта по нормативу;

- продолжительность строительства объекта по принятому варианту.
Экономический эффект в сфере эксплуатации от функционирования объекта за период досрочного ввода при условии, что дополнительная продукция, полученная в этот период, может быть использована в народном хозяйстве, определяется по формуле

, (5)
где

- единовременный эффект, получаемый от ускорения ввода объектов в действие;
П - планируемая среднегодовая прибыль за период досрочного ввода объекта в действие.
В случае отсутствия данных, необходимых для расчета прибыли, допускается определение эффекта от ускорения ввода в действие производственного объекта

по формуле

, (6)
где

- нормативный коэффициент эффективности капитальных вложений для отрасли, к которой относится объект, введенный в эксплуатацию;
Ф - стоимость производственных фондов, досрочно вводимых в действие.
Если сокращение продолжительности строительства приводит к высвобождению основных производственных фондов, занятых на сооружении объектов, а также к сокращению оборотных средств, включая затраты на незавершенное строительство, то дополнительный единовременный экономический эффект

определяется по формуле

, (7)
где

и

- средние размеры основных производственных фондов и оборотных средств за период строительства по сравниваемым вариантам, включая и незавершенное строительство, отражаемые на балансе строительных организаций.
Затраты на оборудование и средства механизации и автоматизации определяются по инвентарно-расчетной стоимости, которая устанавливается путем прибавления к оптовой цене по прейскуранту средней величины снабженческо-сбытовых расходов и затрат на транспортирование машин от завода-изготовителя до базы механизации.
Стоимость основных производственных фондов определяется с учетом времени их пребывания на строительной площадке. Если продолжительность их пребывания меньше года, то расчетная стоимость устанавливается исходя из пребывания их на объекте по отношению к числу календарных дней в году.
Если состав комплекта машин изменяется по этапам производства или отдельные машины в свободное время могут быть использованы на других работах, то инвентарно-расчетная стоимость каждой из них принимается с учетом времени ее занятости в составе комплекта в течение данного года.
Среднегодовой размер оборотных материальных средств определяется исходя из годового объема работ и норматива оборотных материальных средств, принимаемого на уровне, установленном для данной строительной организации.
При сравнении вариантов проектов организации строительства и проектов производства работ себестоимость строительно-монтажных работ может определяться методом "на разность", т.е. в расчет принимают разницу в затратах по тем статьям затрат, которые отличаются в сравниваемых вариантах.
В тех случаях, когда применение варианта проекта организации строительства и проекта производства работ дает возможность сократить объем работ, производимых в зимнее время, необходимо учитывать изменение доплат за эти работы.
Сокращение продолжительности строительства приводит к экономии условно-постоянных накладных расходов, к которым относятся административно-хозяйственные расходы, износ временных нетитульных сооружений и приспособлений, содержание пожарной и сторожевой охраны, благоустройство строительной площадки, услуги органам рабочего снабжения, культурные мероприятия, содержание лабораторий, испытание материалов и конструкций, содержание группы проектантов, рационализация и нормирование труда, расходы по сдаче работ, охране труда и технике безопасности.
При укрупненных расчетах принимается удельный вес условно-постоянных накладных расходов в размере:
50% суммы накладных расходов по общестроительным организациям;
30% суммы накладных расходов по специализированным строительным организациям.
Расчет экономии условно-постоянных накладных расходов производится по
формуле (4).
Сокращение затрат на основную заработную плату рабочих влечет за собой экономию накладных расходов в размере 15% суммы экономии по основной заработной плате рабочих.
Сокращение трудоемкости строительных и монтажных работ приводит к экономии накладных расходов, которая исчисляется на основе нормативов, устанавливаемых соответствующими министерствами и ведомствами, а также отчетных данных строительно-монтажных организаций. При отсутствии таких нормативов или отчетных данных можно пользоваться укрупненными нормативами - в размере 60 к. на 1 чел.-день.
ФОРМЫ ПРОЕКТНЫХ ДОКУМЕНТОВ
В СОСТАВЕ ПРОЕКТА ОРГАНИЗАЦИИ СТРОИТЕЛЬСТВА
Календарный план строительства
___________________________________________________________________________
(наименование проектируемого объекта)
Наименование объектов и работ | Полная сметная стоимость, тыс. руб. | В том числе объем строительно-монтажных работ, тыс. руб. | Распределение объемов работ по периодам (кварталам, годам) строительства, тыс. руб. <*> |
1 | 2 и т.д. |
1 | 2 | 3 | 4 |
| | | | |
--------------------------------
<*> Дается в виде дроби: в числителе - объемы капитальных вложений, в
знаменателе - объемы строительно-монтажных работ.
Примечания. 1. Номенклатура объектов и работ устанавливается в
зависимости от вида и особенностей строительства.
2. Календарный план работ, выполняемых в подготовительный период,
составляется применительно к
форме 1 с распределением объемов работ (графа
4) по месяцам.
Ведомость объемов строительных,
монтажных и специальных работ
Наименование работ | Единица измерения | Всего по строительству | Распределение объемов работ по периодам строительства |
1 | 2 и т.д. |
1 | 2 | 3 | 4 |
Земляные работы (выемка, насыпь) | | | |
Каменная кладка (из крупных блоков, кирпича и мелкоблочная, огнеупорная, кислотоупорная) | | | |
Устройство монолитных железобетонных, бетонных конструкций | | | |
Монтаж сборных конструкций (железобетонных, стальных, деревянных) | | | |
Заполнение проемов | | | |
Устройство перегородок | | | |
Устройство полов | | | |
Кровельные работы | | | |
Отделочные работы | | | |
Внутренние санитарно-технические работы | | | |
Укладка трубопроводов (водопровода, канализации, водостоков, теплофикации) | | | |
Электромонтажные работы | | | |
Монтаж технологического оборудования | | | |
Укладка железнодорожных путей | | | |
Устройство автодорог | | | |
Примечание. Перечень работ (графа 1) уточняется в зависимости от вида и особенностей строительства.
потребности в строительных конструкциях, изделиях,
деталях, полуфабрикатах, материалах и оборудовании
Наименование | Единица измерения | Всего по строительству | В том числе | Распределение по периодам строительства |
по основным объектам | по временным зданиям и сооружениям | 1 | 2 и т.д. |
N 1 | N 2 и т.д. |
1 | 2 | 3 | 4 | 5 | 6 |
Сборные железобетонные конструкции (с выделением основной номенклатуры) | | | | | | |
Стальные конструкции | | | | | | |
Деревянные конструкции | | | | | | |
Столярные изделия | | | | | | |
Товарный бетон | | | | | | |
Строительный раствор | | | | | | |
Асфальтобетон | | | | | | |
Кирпич | | | | | | |
Щебень и гравий | | | | | | |
Песок | | | | | | |
Цемент | | | | | | |
Битум | | | | | | |
Лес круглый | | | | | | |
Лес пиленый | | | | | | |
Сталь (сортовая, листовая, арматурная) | | | | | | |
Трубы для наружных коммуникаций (чугунные, стальные, железобетонные напорные и безнапорные, керамические, асбестоцементные) | | | | | | |
Электрокабель (по основным маркам) | | | | | | |
Установочные провода, шнур осветительный, провод голый | | | | | | |
Оборудование и КИП (технологическое, энергетическое, подъемно-транспортное, общезаводское, электротехническое, санитарно-техническое по основной номенклатуре) | | | | | | |
Примечания. 1. Номенклатура конструкций, изделий, деталей, полуфабрикатов, основных материалов и оборудования (графа 1) уточняется в зависимости от вида и особенностей строительства.
2. Потребность в основных материалах показывается дробью: в числителе - общая потребность, в знаменателе - потребность, за исключением материалов для изготовления конструкций и изделий на предприятиях строительной индустрии.
ФОРМЫ ПРОЕКТНЫХ ДОКУМЕНТОВ
В СОСТАВЕ ПРОЕКТА ПРОИЗВОДСТВА РАБОТ
Календарный план производства работ по объекту
(зданию, сооружению)
Наименование работ | Объем работ | Трудоемкость, чел.-дн. | Потребные машины | Продолжительность работы, дни | Количество смен | Число рабочих в смену | Состав бригады | График работ (дни, недели, месяцы) |
единица измерения | количество |
наименование | количество маш.-см. |
1 | 2 | 3 | 4 | 5 | 6 | 7 | 8 | 9 | 10 | 11 |
| | | | | | | | | | |
поступления на объект (здание, сооружение) строительных
конструкций, деталей, полуфабрикатов, материалов
и оборудования
Наименование строительных конструкций, деталей, полуфабрикатов, материалов и оборудования | Единица измерения | Количество | График поступления по дням, неделям, месяцам |
1 | 2 | 3 | 4 |
| | | |
потребности в рабочих кадрах по объекту
(зданию, сооружению)
Наименование профессий рабочих (отдельно для генподрядной и субподрядных организаций) | Единица измерения | Количество | Среднесуточное количество рабочих по месяцам, неделям, дням |
1 | 2 | 3 и т.д. |
1 | 2 | 3 | 4 |
| | | |
потребности в основных строительных машинах по объекту
(зданию, сооружению)
Наименование | Единица измерения | Количество | Среднесуточное количество машин по дням, неделям, месяцам |
1 | 2 | 3 и т.д. |
1 | 2 | 3 | 4 |
| | | |
ПРИМЕРЫ ОПРЕДЕЛЕНИЯ СТЕПЕНИ СЛОЖНОСТИ
ОБЪЕКТОВ СТРОИТЕЛЬСТВА
Таблица 1
Горно-обогатительный комбинат
мощностью 30 млн. т сырой руды (объект особо сложный)
Состав предприятия и объемно-планировочные решения | Конструктивные решения | Условия производства строительно-монтажных работ и характеристика строительных процессов | Организации и предприятия, участвующие в проектировании и строительстве |
Кроме объектов основного производственного назначения (обогатительной фабрики в составе главного корпуса, корпуса дробления, галереи, склада руды; карьера; хвостового хозяйства) в состав комбината входит более 20 объектов подсобно-производственного и обслуживающего назначения (инженерные коммуникации; пионерная база стройиндустрии; нефтебаза; кислородная станция; склады; гидротехнический узел; насосные станции; котельная и др.). Основные здания и сооружения фабрики характеризуются применением в едином строительном объеме одноэтажных и многоэтажных бескрановых и крановых (до 220 т) секций и пролетов со значительными габаритными размерами (пролетом 18 - 36 м), высотой до низа стропильных конструкций 18 - 35 м | Сборные конструкции каркаса главного корпуса являются нетиповыми и имеют значительные габаритные размеры и вес (до 15 - 20 т и более), требуют применения специальной монтажной оснастки, а также специальных устройств для монтажа уникального оборудования (шаровых мельниц и др.). Монолитные железобетонные конструкции корпуса дробления, галереи требуют применения специальной опалубки | Строительство объектов осуществляется в сложных гидрогеологических и других условиях (высокий уровень грунтовых вод, вечная мерзлота, низкие температуры воздуха в зимний период, снегозаносы и др.). Отсутствие повторяющихся габаритных размеров зданий и сооружений по их частям (секциям, пролетам), а также этажам, неравномерность распределения объемов работ вызывают разнообразие применяемых средств механизации, состава рабочих бригад, организации рабочих мест, маршрутов движения бригад, температурно-влажностных режимов строительных процессов и др. Большие объемы земляных работ выполняются буровзрывным методом | Проектирование комбината осуществляют более 10 специализированных проектных организаций. В строительстве принимают участие 12 основных специализированных организаций, в том числе управления: Стальконструкция; Проммонтаж; Спецстрой; Дорстрой; Гипроспецфундаментстрой; Стройтермоизоляция; Химзащита и др. |
Примечание. Указанными в таблице характеристиками обладают предприятия, здания и сооружения в производствах электротепловозостроения, крупного станкостроения и электромашиностроения, металлургического и химического оборудования, а также тяжелые кузнечно-прессовые и мартеновские цехи и прокатные станы; предприятия горнорудной и угольной промышленности; дробильно-сортировочные и обогатительные фабрики; производства полиграфической и сахарной промышленности; горно-обогатительные комбинаты; теплоэлектростанции. Для главных корпусов указанных предприятий и производств характерны одноэтажные здания, оборудованные мостовыми кранами грузоподъемностью до 220 т, пролетами 24 - 36 м, высотой до низа стропильных конструкций 18 - 30 м, с разнотипными конструкциями значительного веса; многоэтажные здания, оборудованные кранами шириной 18 м, высотой 20 - 35 м, сеткой колонн нижних этажей 6 x 6 м, пролетом верхнего этажа 18 м, с нормативной нагрузкой на перекрытия 2500 кгс/м2 и более и весом конструктивных элементов более 15 - 20 т; здания смешанного типа, когда в едином строительном объеме применяются одноэтажные и многоэтажные крановые и бескрановые секции и пролеты с разнотипными конструктивными элементами, значительными габаритными размерами и весом конструкций.
Таблица 2
Прядильно-ткацкая фабрика мощностью
120 тыс. прядильных веретен (объект средней сложности)
Состав предприятия и объемно-планировочные решения | Конструктивные решения | Условия производства строительно-монтажных работ и характеристика строительных процессов | Организации и предприятия, участвующие в проектировании и строительстве |
В состав фабрики входят: | | | |
главный производственный корпус - одноэтажное промышленное здание, запроектированное с применением унифицированных габаритных схем на основе единой укрупненной сетки колонн 18 x 12 м, с размерами в плане 408 x 216 м, высотой до низа стропильных ферм 6 м. Технологическое оборудование представлено, главным образом, прядильно-ткацкими станками, бытовая четырехэтажная встройка размером в плане 12 x 216 м, включенная в габариты главного корпуса, блок центральных ремонтных мастерских, гараж; цех КИП и автоматики, блок складов, пожарное депо на три автомашины | Фундаменты главного корпуса сборные железобетонные. Каркас здания решен в типовых сборных железобетонных конструкциях с плоской бесфонарной кровлей. Панели стен керамзитобетонные. Наибольший вес монтажного сборного элемента (фермы) 13,6 т. Бытовые помещения и другие подсобно-вспомогательные здания и сооружения запроектированы из типовых сборных железобетонных конструкций | Строительство возможно осуществлять комплексным потоком. Повторяемость основных габаритных схем, размеров, конструкций и объемов работ по отдельным помещениям, участкам и цехам; блокирование производственных и подсобно-вспомогательных цехов в главном корпусе позволяют организацию попролетного или посекционного выполнения повторяющихся строительных процессов методами строительного потока с использованием специализированных бригад и звеньев неизменяемого состава | Проектирование фабрики осуществляет проектный институт Министерства легкой промышленности СССР. В строительстве участвуют семь специализированных участков: Железобетонмонтаж, Проммонтаж, Электромонтаж, Сантехмонтаж, Промвентиляция, Стройтермоизоляция, Монтажавтоматика |
Примечание. Приведенные в таблице признаки характерны для предприятий, зданий и сооружений литейных и кузнечно-прессовых производств; заводов автомобильной, подшипниковой и тракторной промышленности, металлоконструкций, сельскохозяйственного, текстильного машиностроения, пищевой промышленности, строительных материалов, объектов строительной индустрии; производств химической, мясной и молочной, холодильной промышленности; предприятий легкого машиностроения, легкой, текстильной промышленности, приборостроения; радиотехнических, электротехнических и инструментальных заводов. Для главных корпусов указанных предприятий и производств характерны одноэтажные промышленные здания с напольным транспортом или подвесными кранами грузоподъемностью 5 - 50 т, пролетами 12 - 30 м, высотой до низа стропильных конструкций 3,6 - 18 м, с унифицированными габаритными схемами и типовыми сборными конструкциями весом 2 - 30 т; многоэтажные промышленные здания бескрановые и с кранами шириной 12 - 30 м, высотой 10,8 - 30 м, сеткой колонн 6 x 6 и 9 x 6 м, с нормативной нагрузкой на перекрытия 500 - 2000 кгс/м2 и весом конструкций 1 - 12 т.
Таблица 3
Корпус вспомогательных цехов завода ЭВМ (объект несложный)
Состав предприятия и объемно-планировочные решения | Конструктивные решения | Условия производства строительно-монтажных работ и характеристика строительных процессов | Организации и предприятия, участвующие в проектировании и строительстве |
Все производственные и подсобные помещения сблокированы в одноэтажном корпусе размерами в плане 288 x 96 м, с единой укрупненной сеткой колонн 24 x 12 м и высотой всех пролетов 6,3 м до низа фермы и 10 м до отметки кровли. Все коммуникации размещены в межферменном пространстве. Основное технологическое оборудование станочного типа размещается без специальных фундаментов на бетонном полу, выполненном по железобетонной подготовке толщиной 20 см | Каркас здания состоит из типовых унифицированных сборных элементов заводского изготовления. Фундаменты запроектированы из сборных железобетонных блоков стаканного типа | Простота, однородность и повторяемость проектных решений и равномерность размещения объемов строительно-монтажных работ позволяют выделить небольшое число строительных процессов (12 - 15) с самостоятельным (раздельным) выполнением каждого из них специализированными звеньями неизменяемого состава | Проектирование объекта выполнено проектной организацией в одну стадию (техно-рабочий проект). В строительстве принимает участие генеральная подрядная строительная организация и три специализированные организации |
Примечание. Указанными признаками обладают отдельные или группа зданий и сооружений механосборочных производств легкого машиностроения; предприятий легкой, текстильной промышленности, приборостроения; радиотехнических, электротехнических и инструментальных заводов; ряда производств химической и пищевой промышленности. Такие здания и сооружения могут быть одноэтажными с напольным транспортом или подвесными кранами грузоподъемностью до 5 т, пролетами 12 - 24 м, с высотой до низа стропильных конструкций 3,6 - 12,6 м, типовыми унифицированными конструкциями весом 2 - 17 т, а также многоэтажными бескрановыми зданиями шириной 12 - 30 м, высотой 10,8 - 30 м, сеткой колонн 6 x 6 и 9 x 6 м с нормативной нагрузкой на перекрытие 500 - 1000 кгс/м2 и весом типовых унифицированных конструкций 1 - 10 т.
ФОРМЫ УНИФИЦИРОВАННОЙ ДОКУМЕНТАЦИИ
ПО ПРОИЗВОДСТВЕННО-ТЕХНОЛОГИЧЕСКОЙ КОМПЛЕКТАЦИИ
утв. Постановлением Госстроя СССР от 12.04.1977 N 39)
Форма 1
Карточка реквизитов объекта
Главный инженер треста . . . . . . .
Главный инженер СМУ (СУ) . . . . . .
Главный инженер УПТК . . . . . . . .
| Коды | Реквизиты объекта |
Строительный трест | | |
Строительное управление |
Заказчик |
Пусковой комплекс |
Наименование и адрес объекта |
Станция назначения |
Получатель (плательщик) |
Расчетный счет |
Контрольный разряд |
Категория объекта | | (Обоснование категории объекта) |
Полезная площадь | |
Конструктивная характеристика | Вид фундаментов |
Вид каркаса и перекрытия |
Вид ограждающих конструкций |
Этажность |
Секционность |
Пролетность |
Номер унифицированной типовой секции |
Форма 2
Схема образования технологических комплектов
для ______________________________________________________
(наименование и код объекта)
Планы и разрезы здания (сооружения)
Номер, наименование этапа строительства | Код работы по графику | Номер технологического комплекта | Перечень номенклатурных групп, входящих в комплект | Границы технологического комплекта (оси, отметки) |
1 | 2 | 3 | 4 | 5 |
| | | | |
Форма 3
Комплектовочно-технологическая карта (КТК)
| Наименование | Код | на _________________ (наименование и код объекта) | | Исполнил | Проверил |
Главк | | | Фамилия | | |
Трест | | | Должность | | |
СМУ (СУ) | | | Подпись | | |
Номенклатурная группа | | | Телефон | | |
Номер КТК | | | | |
Код ресурса | Наименование конструкций, материалов и полуфабрикатов | Марка, ГОСТ, серия, чертеж | Единица измерения | Потребность на объект | Номера технологических комплектов |
| | | | |
Сроки поставки |
| | | | |
план | факт. | план | факт. | план | факт. | план | факт. | план | факт. |
1 | 2 | 3 | 4 | 5 | 6 | 7 | 8 | 9 | 10 | 11 | 12 | 13 | 14 | 15 |
| | | | | | | | | | | | | | |
Форма 4
Сводная комплектовочно-технологическая карта
| Наименование | Код | на _________________ (наименование и код объекта) | | Исполнил | Проверил |
Главк | | | Фамилия | | |
Трест | | | Должность | | |
СМУ (СУ) | | | Подпись | | |
| Телефон | | |
N п/п | Номенклатурная группа | Всего на объект | Этапы строительно-монтажных работ |
Наименование | Обозначение | |
Порядковые дни строительства |
| | | | | | | | | | |
Номера и объемы технологических комплектов |
1 | 2 | 3 | 4 | 5 | 6 | 7 | 8 | 9 | 10 | 11 | 12 | 13 | 14 | 15 |
| | | | | | | | | | | | | | |