Главная // Актуальные документы // Ведомость (форма)СПРАВКА
Источник публикации
Ленинград: Гидрометеоиздат, 1983
Примечание к документу
Название документа
"Руководство по гидрологическим расчетам при проектировании водохранилищ"
"Руководство по гидрологическим расчетам при проектировании водохранилищ"
ПО ГИДРОЛОГИЧЕСКИМ РАСЧЕТАМ ПРИ ПРОЕКТИРОВАНИИ ВОДОХРАНИЛИЩ
Одобрено Ученым Советом ГГИ 19 декабря 1980 г., Техническим Советом Гидропроекта 12 февраля 1981 г. и Секцией водохранилищ Научного Совета "Комплексное использование и охрана водных ресурсов СССР" ГКНТ 3 апреля 1981 г.
В Руководстве изложены основные приемы и методы гидрологических расчетов при проектировании водохранилищ различного объема и назначения на реках и временных водотоках. В подготовке Руководства принимали участие специалисты Государственного ордена Трудового Красного Знамени гидрологического института (ГГИ), Всесоюзного ордена Ленина проектно-изыскательского и научно-исследовательского института имени С.Я. Жука (Гидропроект), Института водных проблем Академии наук СССР (ИВП АН СССР), Грузинского научно-исследовательского института энергетики и гидротехнических сооружений (ГрузНИИЭГС). Общее руководство работами осуществлялось Государственным гидрологическим институтом. Руководство предназначено для использования проектными и производственными организациями, осуществляющими проектирование водохранилищ.
Современный этап водохозяйственного строительства в нашей стране характеризуется высокими темпами создания водохранилищ. В комплексе работ по обеспечению строительства и эксплуатации водохранилищ важная роль принадлежит стадии проектирования. Именно на этой стадии определяются основные параметры водохранилища, режим его эксплуатации, степень воздействия водохранилища на окружающую природную среду.
За последние десятилетия проектными организациями многих министерств и ведомств накоплен значительный опыт проектирования водохранилищ различного объема и назначения на территории нашей страны и за рубежом. Вместе с тем при составлении проектов водохранилищ все еще возникают существенные трудности, связанные с отсутствием нормативных документов, обобщающих накопленный опыт проектирования. В целях выработки единой технической политики в области проектирования водохранилищ и разработки методических руководств по различным аспектам проектирования в координационный план работ ГКНТ на 1976 - 1980 гг. была включена тема 0.85.01.05.12.01.Д1 "Разработать методическое руководство по проектированию водохранилищ с учетом требований охраны окружающей природной среды".
Настоящее Руководство по гидрологическим расчетам при проектировании водохранилищ подготовлено в Государственном гидрологическом институте в рамках вышеуказанной темы. В нем рассмотрены основные виды гидрологических расчетов при проектировании водохранилищ СССР. При разработке Руководства обобщен опыт составления гидрологических разделов проектов водохранилищ, накопленный ведущими проектными организациями Минэнерго СССР и Минводхоза СССР (Гидропроект, Ленгидропроект, Союзгипроводхоз и др.), а также результаты теоретических исследований в области гидрологии рек и водохранилищ, выполненных в последнее время ведущими научно-исследовательскими учреждениями в рассматриваемой области (ГГИ, ИВП АН СССР и др.).
Помимо систематизации и обобщения известных приемов и методов расчета гидрологических характеристик применительно к задаче проектирования водохранилищ, в Руководстве представлены новые расчетные методики, разработанные в последнее время, в том числе в процессе выполнения данной темы, позволяющие полнее охватить весь комплекс гидрологических расчетов. В основных разделах Руководства рассмотрены методы расчета речного стока и его изменений при создании водохранилищ, стока наносов и заиления водохранилищ, характеристик ледово-термического режима, а также приемы определения сгонно-нагонных и ветровых денивеляций водной поверхности проектируемого водохранилища. Даны рекомендации по организации гидрометеорологической сети в районе создаваемого водохранилища. В связи с тем, что Ленгидропроектом в рамках вышеуказанной темы подготовлены самостоятельные Методические указания по прогнозированию неустановившегося подпора подземных вод на разных стадиях проектирования водохранилищ, эти вопросы в настоящем Руководстве не рассматриваются. В Руководстве не рассматриваются также методы прогноза переформирования берегов водохранилищ в связи с тем, что во ВНИИГ подготовлены самостоятельные методические рекомендации по данному вопросу.
На различных стадиях составления Руководства в подготовке материалов для отдельных его разделов участвовали канд. техн. наук А.В. Савельева, инженеры М.М. Бабкин, В.К. Старовойтова, Е.Н. Черская (ГГИ).
Основные разделы Руководства подготовлены: канд. техн. наук В.С. Вуглинским (ГГИ) -
гл. 1 -
3,
5,
9,
разд. 4.1 -
4.3,
пп. 4.5.1 -
4.5.42,
4.5.58 -
4.5.65,
4.5.82 -
4.5.86; канд. техн. наук Б.С. Цейтлиным и инж. О.В. Польским (Гидропроект) -
пп. 4.5.43 -
4.5.57,
4.5.66 -
4.5.81,
4.5.87 -
4.5.98; канд. техн. наук А.Е. Асариным и инж. О.В. Польским (Гидропроект) -
разд. 4.4; канд. геогр. наук И.В. Боголюбовой (ГГИ) -
разд. 6.1 -
6.4,
8.1,
8.2; канд. техн. наук В.И. Кутавой (ГрузНИИЭГС) -
разд. 6.5; канд. техн. наук К.И. Россинским, канд. техн. наук В.К. Дебольским, инженерами М.П. Вадковской, З.В. Волковой (ИВП АН СССР), Г.Н. Нисар-Мухамедовой, А.А. Друговой (Гидропроект) -
разд. 7.1 -
7.3; канд. техн. наук Р.В. Донченко (ГГИ) -
разд. 7.4; канд. техн. наук М.И. Кривошей (ГГИ) -
разд. 8.3.
Общее руководство работами, компоновка и редактирование текста выполнено канд. техн. наук В.С. Вуглинским.
Научный руководитель работ д-р геогр. наук проф. А.А. Соколов.
1.1. В Руководстве изложены основные приемы и методы гидрологических расчетов при проектировании водохранилищ различного объема и назначения на реках и временных водотоках. Рассмотрены методы расчета речного стока и его изменений при создании водохранилищ, стока наносов и заиления водохранилищ, ледового и термического режимов, а также приемы определения сгонно-нагонных и волновых денивеляций водной поверхности будущего водохранилища. Даны рекомендации по организации гидрометеорологической сети в районе создаваемого водохранилища. Вопросы прогноза переформирования берегов и подпора грунтовых вод в настоящем Руководстве не рассматриваются.
1.2. Руководство может применяться при выполнении гидрологических расчетов на всех стадиях проектирования водохранилищ.
1.3. В Руководстве принято деление водохранилищ на следующие типы в зависимости от морфологических особенностей их чаши:
- водохранилища речного типа, ложем которых служат участки речных долин. Они характеризуются удлиненной вытянутой формой. Основной отличительной особенностью данного типа водохранилищ является уклон днища и соответствующее увеличение глубин от верховьев к замыкающему створу водохранилища:
- водохранилища озерного типа, ложем которых служат озерные котловины или замкнутые углубления земной поверхности озеровидного типа. Они характеризуются округлой или слабовытянутой формой. Основной отличительной особенностью данного типа водохранилищ является отсутствие одностороннего уклона дна и сосредоточение наибольших глубин в центральной части котловины;
- озерно-речные водохранилища смешанного типа, ложем которых служат часть речной долины и озерная котловина. Они характеризуются узким вытянутым приплотинным участком и озеровидным расширением в центральной части водохранилища. Основной отличительной особенностью этого типа водохранилищ является хорошо выраженный порог в месте бывшего истока реки из озера.
В зависимости от размеров площади водной поверхности (при НПУ) водохранилища, согласно
ГОСТу [43], делятся на очень большие (площадь свыше 1000 км
2), большие (площадь от 101 до 1000 км
2), средние (площадь от 10 до 100 км
2) и малые (площадь до 10 км
2).
В случаях когда при изложении расчетных методов тип водохранилищ не оговаривается, соответствующие рекомендации применимы к любому из вышеуказанных типов водохранилищ.
1.4. В качестве основной исходной информации при выполнении гидрологических расчетов должны использоваться материалы наблюдений опорной гидрологической сети Государственного комитета СССР по гидрометеорологии и контролю природной среды (Госкомгидромет) с привлечением в необходимых случаях данных специальных наблюдений других министерств и ведомств.
1.5. Для повышения надежности гидрологических расчетов в случае недостаточной гидрологической изученности района проектирования рекомендуется заблаговременное проведение инженерно-гидрологических изысканий в районе проектируемого водохранилища по специальным программам, утвержденным организацией, осуществляющей проектирование. Результаты выполненных специальных гидрологических исследований должны быть увязаны с материалами многолетних стационарных наблюдений на данной реке или реке-аналоге, а при их отсутствии - с фоновыми гидрологическими характеристиками рассматриваемой территории.
2. СОСТАВ ГИДРОЛОГИЧЕСКОГО РАЗДЕЛА ПРОЕКТА ВОДОХРАНИЛИЩА
2.1. Гидрологические разделы проектов водохранилищ в соответствии со сложившейся практикой проектирования содержат сведения об основных гидрологических характеристиках водотока, на котором создается водохранилище, и климатических особенностях рассматриваемой территории.
2.2. Материалы гидрологического раздела проекта водохранилища должны отражать состояние гидрологической изученности водотока в районе проектируемого водохранилища, содержать результаты подсчетов стока в опорных гидростворах, данные о годовом стоке и его внутригодовом распределении, максимальном и минимальном стоке, стоке наносов и зимнем режиме рек. Примерный состав гидрологического раздела проекта большого водохранилища с перечнем графических и табличных приложений приведен в
прил. 1.
2.3. Для средних и малых водохранилищ, особенно предназначенных для орошения, состав гидрологических характеристик, включаемых в раздел, может быть сокращен за счет исключения данных о твердом стоке, зимнем режиме и т.д. В каждом конкретном случае состав гидрологического раздела определяется заданием на проектирование.
2.4. В состав гидрологического раздела проекта, как правило, не включаются результаты специальных гидрологических расчетов для проектируемого водохранилища, к числу которых относятся расчеты заиления, термического, ледового и волнового режима, а также расчеты изменений речного стока при создании водохранилища. Эти данные помещаются в разделе "Водное хозяйство" проекта водохранилища.
3. ОПРЕДЕЛЕНИЕ ПЛОЩАДИ ВОДНОГО ЗЕРКАЛА И ОБЪЕМА ВОДЫ
В ВОДОХРАНИЛИЩЕ
3.1. Площади водного зеркала и объемы воды в водохранилище определяются по кривым площадей и кривым объемов для определенных положений его уровенной поверхности (рис. 3.1).
3.2. При проектировании принимаются следующие положения уровенной поверхности водохранилища:
Рис. 3.1. Кривые объемов и площадей Капчагайского
водохранилища
H | f | W | H | f | W |
450 | 76 | 0,16 | 470 | 885 | 8,48 |
455 | 194 | 0,82 | 475 | 1155 | 13,52 |
460 | 390 | 2,22 | 480 | 1440 | 19,97 |
465 | 595 | 4,65 | 485 | 1847 | 28,14 |
- нормальный подпорный уровень (НПУ) - наивысший проектный уровень верхнего бьефа, превышение которого в нормальных условиях эксплуатации не допускается;
- уровень мертвого объема (УМО) - минимальный уровень водохранилища при сработке его полезного объема, допустимый в условиях нормальной эксплуатации водохранилища;
- форсированный подпорный уровень (ФПУ) - максимально допустимый уровень верхнего бьефа при пропуске через подпорное сооружение половодий и паводков редкой повторяемости.
3.3. При построении кривых площадей и кривых объемов на вертикальной оси откладываются отметки уровенной поверхности водохранилища, а на горизонтальной - соответствующие им площади водного зеркала и объемы водной массы, находящиеся в водохранилище ниже уровенной поверхности. Кривая объемов, построенная в предположении, что поверхность водохранилища горизонтальная, носит название статической кривой.
3.4. Площади водного зеркала, соответствующие конкретным положениям уровенной поверхности, определяются путем планиметрирования по крупномасштабным картам площадей, заключенных между отдельными горизонталями, соответствующими определенной высоте сечения рельефа на топографической карте. Повышения точности кривой площадей можно достигнуть за счет сокращения высотных интервалов при ее построении и надежного определения площадей в местах резкого перегиба кривой.
3.5. Кривая объемов строится на основании данных, полученных при построении кривой площадей. Сначала определяются частные объемы, заключенные между горизонталями, а затем производится их последовательное суммирование до горизонтали, соответствующей наивысшему уровню воды в водохранилище.
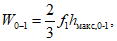
Для водохранилищ озерного типа объем первого придонного слоя воды W0-1 определяется по формуле усеченного параболоида:

(3.1)
где f1 - площадь водного зеркала, соответствующая первому от дна расчетному уровню воды; hмакс,0-1 - максимальная глубина объема воды, заключенного ниже первого расчетного уровня.
Объемы воды, заключенные между последующими расчетными уровнями при незначительной разности соответствующих им площадей, рекомендуется определять по формуле
Wi...i+1 = 0,5(
fi +
fi+1)
hi...i+1, (3.2)
где h - сечение горизонталей, а при соотношении площадей fi+1/fi > 1,5 по формуле усеченного конуса:

(3.3)
Для водохранилищ речного типа расчеты рекомендуется выполнять для отдельных характерных участков по
формуле (3.2) с последующим суммированием данных об объеме каждого слоя по всем участкам и расчетом кривой объемов последовательным суммированием этих слоев от днища долины до наивысшего уровенного горизонта.
При расчете в целом для водохранилища объемы отдельных слоев рекомендуется определять по сокращенной формуле Симпсона
[66]:

(3.4)
где Wi...i+2 - объем двух смежных слоев воды, заключенных между горизонталями, при которых площади водоема равны fi и fi+2.
При использовании данной формулы расчеты удобнее вести сначала для слоев, заключенных между четными горизонталями, а затем между нечетными, чтобы получить все координаты кривой объемов.
Объем малых речных водохранилищ при отсутствии необходимых картографических материалов может быть приближенно оценен по формуле

(3.5)
где l, b и hмакс - соответственно длина, ширина и максимальная глубина водохранилища у плотины; B - средняя ширина речной поймы, затапливаемой водохранилищем.
3.6. Для сложных в морфометрическом отношении водохранилищ, состоящих из ряда обособленных частей, строятся частные кривые площадей и объемов для каждой части водохранилища. Общая площадь или объем водохранилища определяются путем суммирования площадей и объемов его отдельных частей, соответствующих определенным высотным отметкам.
3.7. Точность кривых площадей и объемов зависит от масштаба топографической карты, использованной при их построении, и высоты сечения рельефа. Ориентировочные значения ошибок при определении площадей и объемов средних и больших водохранилищ по соответствующим кривым, согласно работе
[42], следующие:
Полный объем водохранилища, км3 0,5 1,0 5,0 10
Ошибка, % . . . . . . . . . . . . 1 - 2 2 - 3 3 - 4 4 - 5
В связи с изменением во времени морфометрических характеристик котловины водохранилища вследствие осаждения наносов и переработки берегов кривые площадей и объемов водохранилища, составленные на стадии проектирования, должны по мере эксплуатации водохранилища уточняться.
4. ОЦЕНКА ПОВЕРХНОСТНОГО ПРИТОКА ВОДЫ К ВОДОХРАНИЛИЩУ
4.1.1. Оценка поверхностного притока воды к водохранилищу заключается в определении расходов воды в характерных гидрометрических створах, построении кривых расходов и их экстраполяции, подсчете стока за характерные периоды в расчетных створах и определении параметров речного стока: среднего годового стока и его внутригодового распределения, максимального и минимального стока, расчетных гидрографов половодий и паводков.
4.1.2. Оценка поверхностного притока к водохранилищу производится в опорных гидрометрических створах, створах проектируемых гидротехнических сооружений, в створах, расположенных в нижнем бьефе, а также в приуроченных к зонам распространения подпора. Конкретный перечень расчетных створов определяется заданием на проектирование.
4.1.3. Расчеты параметров речного стока включают в себя оценку различных характеристик стока по основным водотокам, протекающим в районе проектируемого водохранилища, и боковой приточности. Расчеты стока должны основываться на всей имеющейся гидрометеорологической информации к моменту проектирования, начиная с года начала наблюдений и кончая годом, предшествующим году начала проектирования.
4.2. Подсчет стока в гидрометрических створах
4.2.1. Методы вычисления стока по данным гидрометрических измерений детально рассмотрены в пособии
[37]. Ниже даны общие рекомендации по анализу исходных данных, критерии выбора того или иного метода определения стока и порядок оценки надежности полученных результатов.
4.2.2. Гидрометрический учет речного стока производится, как правило, с использованием связи между измеренными расходами и соответствующими им уровнями воды. Расходы воды определяются обычно методом "скорость-площадь", когда расход вычисляется на основании косвенных измерений отдельных элементов потока: средней скорости воды на вертикалях - v, глубины на вертикалях и в промерных точках - h, ширины потока между промерными и скоростными вертикалями - B. Единичный расход воды Q по данным измерений элементов потока определяется по формуле

(4.1)
где

- площадь отсеков между скоростными вертикалями, равная 0,5
B(
hi +
hi+1);
m - количество скоростных вертикалей.
4.2.3. Значения измеренных расходов воды могут содержать случайные и систематические погрешности, которые возникают в процессе измерений. Случайные погрешности связаны с недостаточно точным определением отдельных элементов потока (глубин, площадей отсеков между вертикалями) и отдельными ошибками, возникающими при проведении самих измерений (отклонение промерного судна от линии створа, изменение профиля сечения потока за время измерений и др.). Случайные погрешности взаимно компенсируются при достаточно большом количестве измерений.
Систематические погрешности обусловлены постоянным (или в течение длительного времени) нарушением правил измерения. Они могут быть сведены к минимуму при строгом выполнении правил производства измерений.
4.2.4. Оценка случайных погрешностей измерений расходов воды производится для характерных фаз режима реки с использованием статистического метода либо метода частных погрешностей.
Статистический метод основан на сопоставлении ряда парных измерений расходов воды, выполненных в одном и том же створе одновременно (или последовательно, если водность за время измерений не меняется). Эти измерения могут производиться также в близкорасположенных створах на бесприточном участке реки. Если полученные расхождения между измеренными расходами воды имеют разные знаки и подчиняются нормальному закону распределения, погрешности измерения расходов носят случайный характер.
Относительное значение случайной погрешности по статистическому методу оценивается по выражению

(4.2)
где

- расхождение между расходами, измеренными параллельно в основном (
Q1) и дополнительном (
Q2) гидростворах, или между последовательно измеренными расходами воды;
n - число измерений.
При невозможности использования статистического метода применяется метод частных погрешностей, согласно которому относительное значение случайной погрешности измерения расходов воды вычисляется исходя из значений частных погрешностей определения средней скорости

и площади водного сечения

потока по формуле
[34]

(4.3)
где
m - количество скоростных вертикалей;

- показатель неравномерности распределения частных расходов воды
Qi в отсеках между скоростными вертикалями,

(4.4)
Значения

и

для различных типов русел рек в зависимости от фазы гидрологического режима (паводок, межень) приведены в
табл. 4.1.
Таблица 4.1
Погрешности определения элементов расхода воды, %
Характеристика объекта | | | |
паводок | межень | паводок | межень | паводок | межень |
Русло без поймы | 3 | 2 | 8 | 6 | 2,5 | 2 |
Русло с поймой | 8 | - | 10 | - | 3,5 | - |
Заросшее русло | 3 | 3 | 8 | 10 | 2,5 | 3,5 |
Ледостав | - | 3 | - | 6 | - | 2,5 |
Ледостав, русло, зашугованное более чем на 20% | - | 10 | - | 15 | - | 8 |
Горные реки с относительно чистым руслом и спокойным течением | 5 | 6 | 10 | 7 | 3 | 3 |
Горные реки с валунным руслом и бурным течением | 8 | 10 | 12 | 7 | 5 | 5 |
Реки с интенсивно деформирующимся руслом | 13 | 9 | 12 | 9 | 6 | 5 |
При приближенных расчетах

может быть принята непосредственно по
табл. 4.1.
4.2.5. Целью подсчета стока является получение ежедневных (средних суточных) расходов воды, на основании которых вычисляется сток за более длительные интервалы времени (декады, месяцы, год). Подсчет стока в гидрометрических створах по данным измерений расходов воды основан на использовании кривых расходов и различных поправок к ним. Кривые расходов в графическом виде отражают связь между измеренными расходами (
Q) и уровнями (
H) воды в момент измерения расходов. Имеющее место рассеяние точек при построении графика зависимости

обусловлено погрешностями измерения расходов воды (оцениваются величиной

) и непостоянством условий протекания потока за счет деформаций русла, переменного подпора, зарастания и т.д. (оцениваются величиной

).
Важнейшей характеристикой кривых расходов являются отклонения измеренных расходов воды (
Qи) от снятых с графика (
Qг) при том же положении уровня:

. По этим отклонениям оценивается теснота связи

и устанавливается ее однозначность.
Относительное среднее квадратическое значение этих отклонений вычисляется по формуле

(4.5)
где n - число измеренных расходов.
Критерием выбора рационального способа подсчета стока является соотношение между величинами

и

, определяемой по зависимости

(4.6)
Если

, то связь

однозначна и подсчет стока производится по осредненной кривой расходов путем снятия с графика значений расходов воды, соответствующих средним значениям уровней за рассматриваемый период. Если

, то связь

неоднозначна; в этом случае подсчет стока осуществляется по временным кривым расходов (ВКР) либо с использованием интерполяционных методов.
4.2.6.

кривые расходов воды строятся по хронологически связанным группам точек, отражающим связь

за определенные периоды или фазы гидрологического режима (половодье, межень, период подпора, период деформации русла и т.д.).
4.2.7. При использовании интерполяционных методов подсчета стока строится осредненная кривая зависимости

, а изменения пропускной способности русла учитываются путем введения в значения расходов, снятых с кривой расходов, поправочных коэффициентов: подпора (
Kподп), зарастания (
Kзар), зимних коэффициентов (
Kзим), а также поправок к расходам

и уровням воды

. Коэффициенты
Kподп,
Kзар,
Kзим представляют собой относительную характеристику пропускной способности русла:
K(подп,зар,зим) = Qи(подп,зар,зим)/Qо, (4.7)
где Qи(подп,зар,зим) - расход воды, измеренный соответственно при подпоре, стеснении русла водной растительностью или льдом; Qо - расход воды, определенный по кривой расходов для открытого русла при отсутствии подпора или других явлений, изменяющих условия протекания потока.
Расход снимается с кривой по уровню, наблюденному во время его измерения.
В этом случае ежедневные расходы воды
Qj = Kj(подп,зар,зим)Qо,j. (4.8)
Значения коэффициентов Kподп, Kзар, Kзим на каждую дату определяются интерполяцией между их значениями на даты измерений.
Поправки к расходам

и уровням

воды вычисляются также на даты измерений расходов воды:

(4.9)

(4.10)
где Hи - уровень, наблюденный при измерении расхода воды; Hг - уровень, определяемый по осредненной кривой расходов и соответствующий измеренному расходу Qи.
Ежедневные значения поправок

и

вычисляются интерполяцией между их значениями на даты измерений. Интерполяция может быть линейной и графической. В последнем случае ежедневные значения поправок

и

снимаются с графиков

и

, построенных путем проведения плавной линии между опорными точками, соответствующими значениям поправок, полученных по измеренным расходам воды (рис. 4.1).
Рис. 4.1. Графическая интерполяция поправок

Точки на графике - значения поправок

, полученные
по измеренным расходам воды
При использовании метода поправок к уровням ежедневные расходы воды снимаются с осредненной кривой по ежедневным уровням воды
Hj, исправленным на величину

:

(4.11)
где Hср,j - средний суточный уровень воды на расчетную дату.
В случае применения поправок к расходам воды ежедневные расходы вычисляются путем введения этих поправок за расчетные даты к расходам Qг,j, снятым с осредненной кривой расходов по средним суточным уровням:

(4.12)
При полном отсутствии связи расходов с уровнями воды сток подсчитывается непосредственно по интерполяционной кривой, представляющей собой гидрограф стока, построенный по измеренным значениям расходов воды. Этот прием применяется только в случае плавного изменения водности между измерениями расходов.
4.2.8. Наиболее часто неоднозначная связь между расходами и уровнями воды при подсчетах стока возникает в следующих случаях:
- выраженный неустановившийся режим стока при прохождении волн паводка. В этом случае сток подсчитывается по временной кривой расходов, имеющей вид петли, в которой ветвь подъема располагается всегда правее ветви спада. При низких уровнях обе ветви сливаются в одну кривую, представляющую собой нижнюю часть кривой расходов, построенной для установившегося режима. Такие кривые расходов характерны для длинных бесприточных участков рек с малыми уклонами русла;
- регулирующее влияние на сток гидротехнических сооружений. В этом случае сток подсчитывается по семейству

кривых, каждая из которых характеризует определенный диапазон изменений уклонов водной поверхности;
- ледовые явления, нарушающие связь между расходами и уровнями в результате стеснения живого сечения потока ледяными образованиями. В этом случае сток подсчитывается путем умножения значений расходов, снятых с кривой расходов для свободного русла, на коэффициент Kзим. При устойчивом ледоставе, малом изменении водности в течение зимнего периода и наличии достаточного количества измерений (не менее пяти измерений в месяц) вычисление ежедневных расходов может производиться путем линейной или графической интерполяции между измеренными расходами воды. Этот способ применяется также при подсчете стока в случае движения потока поверх льда вследствие промерзания русла. Вычисление ежедневных расходов воды больших рек в период сплошного ледостава может производиться также по временным кривым расходов;
- зарастание русла водной растительностью. В этом случае сток подсчитывается путем умножения значений расходов, снятых с кривой расходов для свободного русла, на коэффициент Kзар;
- деформации русла, связанные с прохождением половодий и паводков на равнинных реках и с неустойчивостью русел горных рек. В этом случае сток в период деформации русла подсчитывается для равнинных рек по

кривым расходов, а для горных рек путем введения поправок к расходам или уровням воды;
- переменный подпор в зоне влияния гидротехнических сооружений. В этом случае применяются различные приемы подсчета стока в зависимости от характера подпорных явлений и наличия данных наблюдений за уклонами водной поверхности и уровнями воды. При быстро изменяющемся подпоре и достаточно большом количестве измерений ежедневные расходы воды вычисляются по интерполяции между измеренными расходами. При медленно изменяющемся подпоре и быстро меняющейся водности определение расходов производится по временным кривым расходов воды. В случае достаточно частых измерений расходов и наличии данных об уклонах водной поверхности строится семейство

кривых для различных диапазонов изменений уклона водной поверхности, по которым и определяются ежедневные расходы воды.
4.2.9. Случайная относительная ошибка вычисления ежедневных расходов воды (в процентах) при однозначной связи

оценивается общим рассеянием точек измеренных расходов

.
Ошибка учета стока, осредненного за период T (декада, месяц, год), определяется по формуле

(4.13)
где

- среднее квадратическое отклонение измеренных расходов от кривой расхода, %.
Величины

для декады, месяца и года соответственно равны:

,

,

.
При неоднозначной связи

относительная ошибка вычисления ежедневных или осредненных за период
T расходов воды определяется по зависимости

(4.14)
где Tи - средний интервал времени между измерениями расходов, Tи = T/n; n - общее количество измерений расходов воды за период.
4.2.10. Кривые расходов, построенные по данным непосредственных наблюдений, как правило, не охватывают всей амплитуды колебаний уровня воды, в связи с чем производится их экстраполяция до наивысших отметок уровней. Детально методы экстраполяции кривых расходов рассмотрены в ряде пособий [
5,
46]. Ниже изложены общие принципы таких построений, основанные на представлении расхода воды как функции ряда гидравлических факторов. В этом случае основными исходными данными являются измеренные расходы и уровни воды, поперечный профиль створа наблюдений до наивысшего уровня, а также продольный профиль водной поверхности на участке наблюдений.
Сущность метода экстраполяции кривых расходов воды заключается в экстраполяции определяющих расход воды гидравлических факторов по соответствующим графическим зависимостям до их наибольших значений.
По полученным значениям гидравлических элементов определяются расходы в экстраполируемой зоне и по ним продлевается кривая расходов до наивысших значений уровня.
При экстраполяционных построениях в зависимости от выбранного способа экстраполяции расход воды представляется в виде произведения ряда сомножителей. Наибольшее применение в практике проектирования имеют способы экстраполяции по формулам Шези, Шези-Маннинга и способу Шези-Павловского.
Экстраполяция по формуле Шези осуществляется для беспойменных створов при наличии данных об уклонах поверхности воды. При этом расход воды в соответствии с формулой Шези представляется как произведение:

(4.15)
где

- площадь живого сечения;
C - коэффициент Шези;
hср - средняя глубина потока;
I - уклон водной поверхности.
Уклон водной поверхности
I и коэффициент
C в пределах амплитуды уровней, не освещенных расходами воды, определяются путем экстраполяции соответствующих кривых
(рис. 4.2). При этом кривая

строится по непосредственным данным измерений, а для построения кривой

значения
C для освещенной части кривой расходов определяются по выражению

.
Рис. 4.2. Кривые уклона
I и коэффициента
C
и их экстраполяция, р. Марха - с. Малыкай
1 - 1939 г., 2 - 1940 г., 3 - 1942 г., 4 - 1958 г.,
ВОУ - высший освещенный измерениями уровень, УВВ - высший
уровень, определенный по меткам высоких вод
Расчетные значения расходов воды в экстраполируемой зоне кривой расхода вычисляются для определенных положений уровня по
формуле (4.15). Входящие в нее сомножители определяются следующим образом: значения

и
hср - по поперечному профилю потока в створе наблюдений, значения
I и
C - по вышеуказанным экстраполированным кривым этих параметров. По полученным расчетным значениям расходов воды кривая расходов продлевается, до наивысшей расчетной отметки уровня. Аналогичные построения можно выполнить, используя вместо
зависимости (4.15) формулу Шези-Маннинга:

(4.16)
где
n0 - коэффициент шероховатости, который при наличии данных об уклонах водной поверхности определяется в диапазоне измеренных расходов обратным путем из
формулы (4.16), а при их отсутствии принимается для естественных русел по таблице Срибного
(табл. 4.2). Далее производится экстраполяция коэффициента шероховатости
n0 или отношения

до наивысших отметок уровня и определение расходов воды по
формуле (4.16) в экстраполируемой зоне.
Экстраполяция кривых расходов для беспойменных створов при отсутствии данных об уклонах водной поверхности может производиться методом Стивенса. Этот метод дает хорошие результаты для сравнительно крупных рек со средней глубиной в паводок не менее 3,5 м и с движением воды, близким к равномерному. В основе метода лежит допущение, что

, которое является достаточно справедливым для указанного типа речных русел. В этом случае строится график зависимости

, который экстраполируется вверх, и по нему снимаются расчетные значения расходов, используемые для экстраполяции кривой расходов.
Таблица 4.2
Коэффициенты шероховатости
n0 главных русел рек
(по М.Ф. Срибному)
Категория | Характеристика русла | n0 |
1 | Естественные русла в весьма благоприятных условиях (чистое, прямое, незасоренное, земляное со свободным течением русло) | 0,025 |
2 | Русла постоянных водотоков равнинного типа (преимущественно больших и средних рек) в благоприятных условиях состояния ложа и течения воды | 0,033 |
3 | Сравнительно чистые русла постоянных равнинных водотоков в обычных условиях, извилистые с некоторыми неправильностями в рельефе дна (отмели, промоины, местами камни) | 0,040 |
4 | Русла (больших и средних рек) значительно засоренные, извилистые и частично заросшие, каменистые, с неспокойным течением | 0,050 |
5 | Русло периодических водотоков, сильно засоренное и извилистое; галечно-валунные русла горного типа с неправильной поверхностью водного зеркала; порожистые участки равнинных рек | 0,067 |
Для условий сложных, сравнительно широких пойм производится расчленение поперечного профиля русла на отсеки с приблизительно одинаковыми для каждого из них глубинами (основное русло, пойма, протоки) и раздельная экстраполяция кривой расхода по отсекам. В случае наличия данных об уклонах водной поверхности экстраполяция гидравлических элементов в выделенных отсеках пойменного русла при частичном освещении надпойменной зоны измеренными расходами и уровнями производится с использованием формул Шези или Шези-Маннинга. В случае отсутствия данных об уклонах воды в надпойменной зоне для экстраполяции кривых в выделенных отсеках используется
зависимость (4.15) в виде

(4.17)
В этом случае по измеренным значениям расхода
Q и соответствующим значениям

и
hср для определенных значений уровня обратным путем вычисляются значения коэффициента
K. По полученным значениям строятся графики связи

, которые экстраполируются в области максимальных расчетных значений уровня. По снятым с этих графиков значениям
K по
формуле (4.17) определяются расходы для экстраполируемой зоны отдельных отсеков. Суммированием расходов воды, полученных по отдельным отсекам для каждой отметки уровня, определяются искомые значения расходов воды, используемые далее для экстраполяции обобщенной кривой расходов.
При отсутствии необходимых данных для проведения экстраполяции кривых расходов с использованием гидравлических зависимостей в исключительных случаях допускается графическая (на глаз) экстраполяция. В связи с тем что при этом возможны значительные ошибки, следует принимать все возможные меры для получения необходимых для гидравлической экстраполяции данных путем проведения натурных исследований.
4.2.11. В практике проектирования для повышения надежности расчетов стока на участках реки, где ведутся наблюдения лишь за уровнями воды, применяется перенос кривой расходов воды с гидрометрического створа на створ, где производятся наблюдения за уровнем воды. При этом в зависимости от особенностей участка реки и наличия исходных данных могут быть применены следующие приемы переноса кривой расходов воды со створа на створ
[41]:
- по связи соответственных уровней;
- по продольным профилям водной поверхности;
- на основе расчетов неустановившегося движения воды;
- по рассчитанным максимальным паводочным расходам воды.
Чаще используются первые два приема.
Перенос кривой расходов со створа на створ по связи соответственных уровней заключается в следующем. По данным измерений уровней в двух створах строится график соответственных уровней. По кривой расходов, построенной для гидрометрического створа, для заданного уровня
H определяется расход воды
Q. Далее по графику соответственных уровней определяется уровень на уровенном посту
H', соответствующий заданному уровню по гидроствору
H. Затем строится график связи

, который и представляет собой искомую кривую расходов в створе поста.
При применении изложенного приема рекомендуется строить график соответственных уровней в пределах всей амплитуды колебаний по ежедневным уровням воды с учетом времени добегания, где это необходимо (см.
п. 4.5.92).
Перенос кривой расходов воды со створа на створ по продольным профилям водной поверхности заключается в следующем. На основании серии продольных профилей реки, построенных для различных расходов воды (см.
разд. 4.3) определяются отметки уровня в створе уровенного поста. Затем для данного створа строится график связи между уровнями и расходами воды, который и является искомой кривой расходов. Данный прием дает наилучшие результаты на коротких участках рек при наличии плотной сети пунктов наблюдений за уровнями воды.
4.3. Построение продольного профиля водной поверхности
4.3.1. При экстраполяции кривых расходов воды, их переносе из опорного в расчетный створ и в ряде других случаев возникает необходимость в построении продольного профиля водной поверхности для определения уклонов в районе расчетного створа и падения реки на участке между опорными створами.
Продольный профиль реки представляет собой вертикальный разрез русла реки, ограниченный сверху линией уровенной поверхности и снизу линией наибольших глубин. Основой построения продольных профилей реки для различных уровней (максимальных, минимальных уровней различных обеспеченностей и т.д.) служит продольный профиль реки, построенный для срезочного уровня. Под срезочным уровнем понимается уровень реки, отнесенный к одному моменту времени.
4.3.2. Для составления продольного профиля выполняются следующие виды работ
[7]:
- создается плановая и высотная основы рассматриваемого участка реки;
- устанавливаются временные уровенные посты;
- производится нивелирование уровней воды;
- измеряются глубины реки по профилям;
- производится построение продольного профиля реки.
Отметки срезочного (приведенного к одному моменту времени) уровня определяются по результатам нивелирования водной поверхности реки с введением поправок (срезок) за счет неодновременного измерения уровней на различных участках реки. Нивелирование уровня воды производится в период устойчивого стояния уровней, на реках средней полосы - обычно в летнюю межень.
За срезочный уровень принимается самый низкий уровень, наблюдавшийся за время проведения работ.
Мгновенное положение уровня должно быть зафиксировано во всех характерных местах продольного профиля водной поверхности: на перекатах, порогах, плесах, резких поворотах, в сужениях и расширениях русла и т.д. Выбранные для нивелирования места называются точками мгновенной связки (ТМС). Измерения глубины реки производятся по поперечникам от точек мгновенной связки.
На продольном профиле кроме линий дна и уровня воды могут быть показаны линии правого и левого берега по отметкам, расположенным на равных расстояниях от урезов воды, а также населенные пункты, расположенные по берегам реки. Реперы, уровенные посты, искусственные сооружения показывают на профиле условными знаками. Пример продольного профиля реки приведен на
рис. 4.3.
4.3.3. При построении продольного профиля водной поверхности для различных фаз водного режима реки или для максимальных уровней расчетной обеспеченности используются следующие исходные материалы:
а) продольный профиль реки с нанесенными на нем уровенными постами, отметками дна и срезочным уровнем воды;
б) увязанные по длине реки кривые зависимости расходов воды от уровней в гидростворах и створах уровенных постов, экстраполированные до расчетных расходов воды;
в) кривые обеспеченности максимальных уровней воды на уровенных постах с длительными рядами наблюдений;
г) кривые обеспеченности максимальных расходов воды в опорных гидрометрических створах;
д) взаимосвязанные графики связи соответственных уровней воды за период одновременных наблюдений по всем постам рассматриваемого участка реки;
е) распределение расчетных максимальных расходов по длине реки.
Рис. 4.3. Продольный профиль участка реки
Уровни расчетных обеспеченностей в створах постов, необходимые для построения продольного профиля, в зависимости от наличия исходных материалов определяются следующими способами:
- на опорных пунктах с многолетними наблюдениями за стоком - по кривой расходов воды и расчетным максимальным расходам заданной обеспеченности, полученным по кривой обеспеченности максимальных расходов;
- на пунктах с многолетними данными наблюдений за уровнями воды, но при отсутствии или недостаточности данных наблюдений за стоком - по кривой расходов воды, построенной по непосредственным измерениям, или перенесенной из опорного створа с использованием графика распределения расчетных максимальных расходов по длине реки и по максимальным расходам воды заданной обеспеченности, определенным косвенными приемами. Полученные таким путем расчетные уровни должны быть сопоставлены с уровнями, определенными по кривой обеспеченности максимальных уровней, построенной по материалам многолетних наблюдений в данном пункте;
- на пунктах с кратковременными наблюдениями за уровнями при отсутствии или недостаточности наблюдений за стоком расчетные уровни заданной обеспеченности определяются так же, как изложено в предыдущем абзаце, но проверка полученных расчетных уровней производится путем сопоставления с уровнями той же обеспеченности, переданными в данный пункт из опорного гидроствора по взаимоувязанным графикам связи соответственных уровней воды за период одновременных наблюдений.
В случаях, когда по условиям проектирования не предусматривается вычисление расчетных максимальных расходов, расчетные уровни воды определяются:
- на постах с длительными рядами наблюдений - по кривым обеспеченности максимальных уровней;
- на постах с кратковременным периодом действия, если максимальные уровни наблюдаются при открытом русле - по взаимоувязанным графикам связи соответственных уровней.
4.3.4. Построение продольного профиля водной поверхности для расчетных уровней воды производится следующим образом. На графике продольного профиля участка реки для срезочного уровня в местах расположения опорных постов наносятся точки, соответствующие расчетным уровням воды. Расчетные уровни в точках перелома продольного профиля в промежутках между постами определяются по формулам:

(4.18)

(4.19)
где
Hпр - расчетный уровень в промежуточной точке;
Hв - расчетный уровень на верхнем посту;

- падение срезочного уровня между верхним постом и промежуточной точкой;

- падение расчетного уровня между верхним и нижним постами;

- падение срезочного уровня между верхним и нижним постами;
l - расстояние между постами;
l* - расстояние между верхним постом и промежуточной точкой
(рис. 4.4).
Рис. 4.4. Схема к определению расчетных уровней в точках
перелома продольного профиля
Продольный профиль водной поверхности для расчетных уровней воды строится путем соединения прямыми линиями полученных значений отметок уровней воды для водпостов и точек перелома продольного профиля.
4.4. Построение кривых подпора
4.4.1. Кривые подпора, являющиеся частным случаем кривых свободной поверхности, характеризуют продольный профиль водной поверхности будущего водохранилища. Для построения этих кривых зона подпора разбивается на ряд участков, ограниченных расчетными створами. Под расчетными створами в данном случае понимаются гидрометрические створы, створы уровенных постов, и также промежуточные створы между постами. Последние назначаются в зависимости от заданных условий проектирования, морфометрических особенностей русла и долины реки, а также в устьях более или менее значительных притоков (до и после их впадения в основную реку). Падение уровня на выбранных участках реки должно составлять, как правило, 0,4 - 1 м. Предельный перепад уровней на участке не должен превышать 1,5 м.
Необходимой основой для получения кривых подпора является совмещенный график кривых расходов воды ("елочка" кривых расходов).
4.4.2. "Елочка" кривых расходов представляет собой систему кривых зависимости расходов от уровней воды, построенных в единой системе высот на одном графике для расчетных створов, расположенных на основной реке и ее притоках в зоне распространения подпора от будущего гидротехнического сооружения
(рис. 4.5). Для построения "елочки" кривых расходов необходимы следующие материалы:
- осредненные за многолетний период наблюдений (в отдельных случаях индивидуальные) кривые зависимости расходов, средних скоростей и площадей водного сечения, построенные до максимальных и минимальных наблюденных уровней воды в опорных гидрометрических створах;
- графики связи соответственных уровней воды в опорных гидрометрических створах и створах, расположенных между уровенными постами, построенные по данным параллельных наблюдений. Эти зависимости рекомендуется представлять в виде сопряженных графиков связи уровней для последовательно расположенных створов;
- продольный профиль реки (на участке распространения подпора) с нанесенными на нем необходимыми данными (см.
разд. 4.3), а также с указанием отметок наблюденных минимальных и максимальных уровней воды;
- поперечные профили водного сечения реки до незатопляемых отметок или до отметок НПУ гидроузла во всех расчетных створах, для которых имеются собственные или перенесенные из других створов кривые зависимости расходов от уровней воды. Эти профили, как правило, должны быть построены по данным полевых изысканий (в некоторых случаях возможна достройка их по данным крупномасштабных карт).
Рис. 4.5. Кривые зависимости расходов воды от уровней р. N
в зоне подпора от гидроузла P
1 - зона измеренных расходов, 2 - зона экстраполяции
Координаты кривых Q = f(x)
N поперечника | 1 | 2 | Устье р. N | 450 м ниже р. N | 3 | 4 | 5 | 6 | 7 | 8 | Створ гидроузла P |
Расстояние от гидроузла P, км | 120 | 115,2 | 108,2 | 106,6 | 96,4 | 80,2 | 63,6 | 43,0 | 23,6 | 17,4 | 0 |
Площадь водосбора, км2 | 3500 | 3530 | 4438 | 7394 | 7500 | 8843 | 9130 | 9346 | 9810 | 11 134 | 11 290 |
Q·10-3, м3/с | Уровень воды, м БС |
0,005 | 199,70 | 198,60 | 196,67 | 196,09 | 195,03 | | | | | | |
0,01 | 199,85 | 198,82 | 196,87 | 196,24 | 195,18 | 192,43 | 188,37 | 180,70 | 174,16 | 170,65 | 164,32 |
0,1 | 201,40 | 200,36 | 198,65 | 197,85 | 196,76 | 194,01 | 189,91 | 182,25 | 175,57 | 171,95 | 165,60 |
0,5 | 204,51 | 203,75 | 201,55 | 200,84 | 199,88 | 197,00 | 192,87 | 185,06 | 178,15 | 174,05 | 168,06 |
1 | 206,52 | 205,90 | 203,53 | 202,44 | 201,65 | 199,25 | 194,86 | 186,85 | 180,15 | 175,45 | 170,00 |
2 | 1150 - 207,0 | 1350 - 207,0 | 206,35 | 204,96 | 204,05 | 201,70 | 197,30 | 189,40 | 183,04 | 177,48 | 172,50 |
3 | | | 2300 - 207,0 | 2920 - 207,0 | 206,07 | 203,28 | 198,95 | 191,20 | 185,00 | 179,03 | 174,20 |
4 | | | | | 3500 - 207,0 | 204,65 | 200,36 | 192,70 | 186,35 | 180,25 | 175,60 |
5 | | | | | | 205,73 | 201,55 | 194,00 | 187,64 | 181,35 | 176,80 |
6 | | | | | | 206,72 | 202,60 | 195,10 | 188,75 | 182,35 | 177,95 |
7 | | | | | | 6270 - 207,0 | 203,56 | 196,10 | 189,80 | 183,25 | 179,00 |
8 | | | | | | | 204,50 | 197,00 | 190,75 | 184,12 | 180,00 |
9 | | | | | | | 205,30 | 197,77 | 191,60 | 184,90 | 180,85 |
10 | | | | | | | 206,08 | 198,55 | 192,44 | 185,63 | 181,65 |
15 | | | | | | | 11 220 - 207,0 | 201,80 | 196,14 | 188,85 | 185,15 |
20 | | | | | | | | 204,60 | 199,25 | 191,60 | 188,00 |
25 | | | | | | | | 20 700 - 205,0 | 201,98 | 194,10 | 190,60 |
30 | | | | | | | | | 204,60 | 196,20 | 192,90 |
35 | | | | | | | | | 30 800 - 205,0 | 198,13 | 195,00 |
40 | | | | | | | | | | 200,00 | 196,90 |
45 | | | | | | | | | | 201,74 | 198,70 |
50 | | | | | | | | | | 203,53 | 200,40 |
55 | | | | | | | | | | 54 150 - 205,0 | 202,10 |
60 | | | | | | | | | | | 203,70 |
65 | | | | | | | | | | | 205,30 |
На первом этапе работ осуществляется перенос кривых расходов в пределах наблюденной амплитуды колебаний уровней из опорных гидрометрических створов в створы уровенных постов и в промежуточные створы. Перенос кривых расходов в створы уровенных постов производится в соответствии с рекомендациями, изложенными в
п. 4.2.11. В промежуточные створы кривые расходов переносятся по продольному профилю равных расходов, построенному по графику связи соответственных уровней воды и кривым расходов в опорных пунктах. Допускается также перенос кривых расходов по значению постоянного падения, устанавливаемому по продольному профилю водной поверхности или по отметкам урезов воды на крупномасштабных картах. Во всех случаях следует вводить поправку в расходы воды на различие в размере водосборных площадей (до 25 - 30%) в опорном и промежуточном створах.
При переносе кривых расходов воды необходимо обращать внимание на возможные резкие различия поперечников в опорном и промежуточном створах (например, обычное русло и русло с поймой). В таких случаях допустим перенос только нижней зоны опорной кривой расходов.
Полученные кривые расходов в пределах рассматриваемого участка подпора экстраполируются вверх до отметок, превышающих предполагаемый подпорный уровень.
Нижние части кривых расходов во всех створах экстраполируются до отметки дна в русле или до отметки нижерасположенного лимитирующего переката, которые соответствуют нулевому расходу воды в реке.
При экстраполяции кривых расходов в рассматриваемых целях используются методы и зависимости, приведенные в
п. 4.2.10, за исключением метода Стивенса.
Экстраполированные части кривых расходов должны быть увязаны по длине всего участка таким образом, чтобы они не пересекались друг с другом. Пересечение кривых расходов связано в большинстве случаев с выбором поперечника, неправильно характеризующего пропускную способность русла и поймы на рассматриваемом участке. В случаях когда определяющим пропускную способность участка является нижерасположенный более узкий створ, часть площади поперечника верхнего створа может не учитываться.
Рис. 4.6. Кривые подпора от гидроузла P
Координаты кривых подпора
Створ | Расстояние от гидроузла P | Отметки уровней воды (м) обеспеченностью, % | Створ | Расстояние от гидроузла P | Отметки уровней воды (м) обеспеченностью, % |
0,1 | 1 | 5 | 10 | 0,1 | 1 | 5 | 10 |
Гидроузел "P" | 0 | 198,0 | 198,0 | 198,0 | 198,0 | 8 | 80,2 | 201,4 | 200,9 | 200,4 | 200,2 |
15 | 6,2 | 198,0 | 198,0 | 198,0 | 198,0 | 7 | 83,8 | 201,6 | 201,1 | 200,6 | 200,4 |
14 | 17,4 | 198,0 | 198,0 | 198,0 | 198,0 | 5 | 96,4 | 202,7 | 202,3 | 201,8 | 201,6 |
13 | 28,5 | 198,0 | 198,0 | 198,0 | 198,0 | 4 | 103,7 | 203,1 | 202,6 | 202,2 | 202,0 |
11 | 43,0 | 198,2 | 198,1 | 198,1 | 198,1 | 3 | 111,8 | 204,0 | 203,6 | 203,3 | 203,2 |
10 | 63,6 | 199,0 | 198,8 | 198,6 | 198,5 | 2 | 115,2 | 204,2 | 203,8 | 203,5 | 203,4 |
9 | 66,5 | 199,4 | 199,1 | 198,8 | 198,7 | 1 | 120,0 | 204,8 | 204,5 | 204,3 | 204,2 |
4.4.3. Построение кривых подпора
(рис. 4.6) осуществляется с использованием характеристик пропускной способности русла, получаемых по гидрометрическим данным. В основе построений лежит "елочка" кривых зависимости расходов и уровней воды

или модулей пропускной способности русла

, где

,
I - гидравлический уклон на участке, равный частному от деления падения уровня на участке

на его длину
l. Построение кривых подпора рекомендуется производить с использованием метода Н.В. Мастицкого, опорных кривых Н.М. Бернадского и кривых

.
4.4.3.1. Расчет методом Мастицкого ведется от створа i к створу i + 1 с использованием формул:

(4.20)

(4.21)
где
Hi и
Hi+1 - уровень воды в исходном и последующем створах;

- перепад на участке;
Qi - расход воды, соответствующий уровню
Hi; индекс "о" означает бытовые условия, т.е. перепад

и расход воды
Qо,1 при отсутствии подпора.
Расчет производится ходом снизу вверх, от створа подпорного сооружения до створа выклинивания кривой подпора, т.е. до створа, в котором при рассматриваемом расходе воды уровень воды в естественных условиях и при подпоре один и тот же.
4.4.3.2. В основе метода опорных кривых Н.М. Бернадского лежит постулат инвариантности (независимости от уклона) отношения

. Исходная зависимость для расчета описываемым методом

(4.22)
где
Mр - модуль пропускной способности русла;
l - длина расчетного участка;

- падение уровня воды на участке при расходе
Q.
Метод опорных кривых позволяет вести расчет кривых подпора, зная лишь подпорную отметку в начале исследуемого участка (например, у плотины) и расходы воды на каждом расчетном отрезке. Система опорных кривых, с помощью которой ведется расчет, строится в координатах H (ось ординат) и Q2 (ось абсцисс). Каждая опорная кривая представляет собой зависимость падения уровня на участке от квадрата расхода воды в середине этого участка.
Расчет опорных кривых удобно вести в табличной форме:
Расчетный участок |
Уровень воды, м | Расход воды по кривой  м 3/с | Q2 | |
При графическом изображении опорных кривых большое значение имеет масштаб, который для различных участков опорной кривой может быть различным.
Расчет координат кривой подпора ведется от створа к створу по участкам. При этом в низовом расчетном створе задается начальный (естественный или подпорный) уровень воды
H1. К абсциссе

, соответствующей начальному уровню
H1 на опорной кривой первого участка, прибавляется квадрат расчетного расхода воды

на рассматриваемом участке и по новой абсциссе

определяется уровень
H2 в конце первого участка. Аналогично вычисляются уровни в вышерасположенных створах, при этом уровень воды в конце участка принимается за исходный в начале следующего.
4.4.3.3. Метод кривых

основан на использовании уже приводившейся зависимости расхода воды в реке
Q от модуля пропускной способности русла
Mр и гидравлического уклона
I в степени 1/2. Исходными выражениями являются

(4.23)
или

(4.24)
Поскольку величина
Mр зависит только от глубины, или уровня воды в реке
H, т.е.

, а
l - постоянная, то не представляет принципиальных трудностей построение зависимости

, где
Mр,ср - средний модуль пропускной способности участка,
Hср - уровень в середине этого участка длиной
l.
Величина
Mр,ср может быть определена как среднее арифметическое модулей пропускной способности русла

и

в начале и конце рассматриваемого участка, т.е.
Mр,ср = (
Mр,1 +
Mр,2)/2.
Модуль
Mр в каждом створе можно вычислить либо на основании кривой расходов

, получив из зависимости

кривую

, либо гидравлическим способом. В последнем случае используются морфометрические характеристики русла и поймы и модуль пропускной способности вычисляется по формуле Шези-Маннинга

, где

- площадь сечения,
C - коэффициент Шези,
R - гидравлический радиус. В речной гидравлике вместо
R обычно используется средняя глубина потока

, где
B - ширина реки поверху. Точность вычисления
Mр в значительной степени зависит от достоверности оценки коэффициента шероховатости русла и поймы.
Расчет кривых подпора с использованием вспомогательных графиков

удобно выполнять в табличной форме, задаваясь уровнем воды в начале участка и определяя (подбором) уровень в конце участка при заданном расходе воды
Q (среднем на участке):
Створ | Qрасч, м3/с | Qср.расч, м3/с | H1, м | Hср, м | | |
Точность расчетов кривых подпора изложенными методами зависит в основном от достоверности экстраполяции кривых

до подпорных отметок.
4.4.3.4. При наличии на реке или водохранилище ледяного покрова пропускная способность русла уменьшается. Простейшим приемом учета этого явления при расчете кривых подпора служит увеличение расчетного расхода воды обратно пропорционально коэффициенту зимнего стеснения живого сечения реки. За расчетный расход воды принимается Qр = Q/Kз, где Q - фактический расход воды, Kз - коэффициент стеснения русла льдом.
4.5. Расчеты речного стока
4.5.1. Расчеты речного стока должны основываться на всей имеющейся к началу проектирования гидрометеорологической информации.
4.5.2. В зависимости от наличия исходных гидрометрических материалов применяются различные методы определения характеристик речного стока. В случае наличия для рассматриваемых створов данных гидрометрических наблюдений достаточной длительности расчеты стока производятся непосредственно по этим данным. В случаях когда имеющихся гидрометрических данных недостаточно для надежного определения параметров речного стока, осуществляется приведение этих данных к многолетнему периоду по рекам-аналогам с длительным рядом наблюдений. При полном отсутствии гидрометрических данных характеристики стока определяются косвенными методами, основанными, как правило, на общих закономерностях формирования стока в рассматриваемом регионе.
Непосредственным расчетам стока в первых двух случаях должен предшествовать анализ исходных данных наблюдений с точки зрения их качества, однородности и продолжительности периода наблюдений, а также обоснованности принятых методов и способов подсчета стока. Ненадежные данные при невозможности их уточнения в расчет не принимаются.
4.5.3. Оценка однородности рядов гидрометрических наблюдений осуществляется на основе генетического анализа условий формирования речного стока путем выявления причин, обусловливающих неоднородность исходных данных наблюдений. При необходимости количественной оценки однородности данных наблюдений применяются статистические критерии однородности средних значений и дисперсий с учетом внутрирядных и межрядных корреляционных связей.
4.5.4. Продолжительность периода наблюдений считается достаточной, если рассматриваемый период репрезентативен (представителен), а относительная средняя квадратическая ошибка расчетного значения характеристики речного стока не превышает 10%.
Оценка репрезентативности ряда наблюдений за
n лет производится по рекам-аналогам с числом лет наблюдений
N (
N >
n при
N > 50 лет). Репрезентативность ряда наблюдений определяется по разностным интегральным кривым речного стока или путем сопоставления кривых распределения речного стока, полученных для реки-аналога за периоды
n и
N лет. Если относительные средние квадратические ошибки превышают указанные пределы и период наблюдений нерепрезентативен, необходимо осуществить приведение рассматриваемой характеристики речного стока к многолетнему периоду в соответствии с указаниями
пп. 4.5.16 -
4.5.21.
4.5.5. При выборе рек-аналогов должны быть соблюдены следующие условия:
- возможная географическая близость расположения водосборов;
- сходство климатических условий;
- однородность условий формирования стока (достаточная однотипность почвогрунтов, гидрогеологических условий, по возможности близкая степень озерности, залесенности, заболоченности и распаханности);
- соответствие размеров водосборов, которые не должны различаться по площади более чем в 10 раз, а по средней высоте (для горных условий) не более, чем на 300 м;
- отсутствие факторов, существенно искажающих естественный речной сток.
4.5.6. Расчеты речного стока производятся:
- при естественном режиме формирования стока - по непосредственным данным наблюдений за стоком;
- при формировании стока в условиях влияния хозяйственной деятельности - по восстановленным (приведенным к естественным условиям) рядам.
Восстановление естественного речного стока производится в тех случаях, если суммарное значение его изменений выходит за пределы случайной средней квадратической ошибки исходных данных наблюдений.
Для восстановления естественного речного стока применяются:
- регрессионные методы с использованием парной и множественной корреляции;
- воднобалансовые методы с учетом изменения всех элементов водного баланса.
Выбор методов восстановления естественного речного стока определяется наличием и качеством имеющейся информации о водохозяйственных мероприятиях в бассейне реки. При комплексном учете влияния различных видов хозяйственной деятельности применяются, как правило, регрессионные методы, а при дифференцированном - воднобалансовые. Оценка надежности восстановления речного стока производится статистическими методами.
4.5.7. Целью расчетов годового стока при проектировании водохранилищ является установление вероятных значений средних годовых расходов воды заданной обеспеченности, оценка наибольших и наименьших средних годовых расходов за период наблюдений и их обеспеченностей в принятом многолетнем распределении, а также получение многолетних рядов средних месячных и годовых расходов, необходимых для выполнения водохозяйственных расчетов.
4.5.8. Расчеты годового стока осуществляются для створов проектируемых гидротехнических сооружений и расчетных створов, назначенных заданием на проектирование.
4.5.9. В практике проектирования водохранилищ расчетные значения годового стока определяются, как правило, для следующих обеспеченностей: 1, 5, 10, 50, 75, 80, 90, 95, 97 и 99%. Кроме того, для каждого расчетного створа определяются обеспеченности крайних (наибольшего и наименьшего) значений средних годовых расходов за период наблюдений в принятом многолетнем распределении.
Расчеты годового стока при наличии данных наблюдений
4.5.10. В том случае, когда ряд наблюдений достаточно длинный, расчеты годового стока осуществляются с использованием кривых обеспеченности. Кривые обеспеченности строятся на клетчатках вероятностей с нанесением эмпирических точек.
4.5.11. Обеспеченность (
P%) эмпирических точек годовых значений стока определяется по формуле
Pm = [
m/(
n + 1)]·100, (4.25)
где m - порядковый номер члена ряда значений стока, расположенных в убывающем порядке; n - общее число членов ряда.
Для облегчения расчетов эмпирические обеспеченности, рассчитанные по
формуле (4.25) для различных сочетаний
m и
n, приведены в
прил. 2.
Тип кривой обеспеченности выбирается в соответствии с принятой аналитической функцией распределения вероятностей и полученного отношения коэффициента асимметрии Cs к коэффициенту вариации Cv.
4.5.12. Для сглаживания и экстраполяции эмпирических кривых обеспеченности годового стока применяется, как правило, трехпараметрическое гамма-распределение С.Н. Крицкого и М.Ф. Менкеля при любом отношении
Cs/
Cv. При надлежащем обосновании допускается применять биномиальную кривую распределения (при
Cs > 2
Cv) или другие функции распределения вероятностей. При неоднородности рядов гидрометрических наблюдений (различные условия формирования стока) допускается применять усеченные и составные кривые обеспеченности
[20].
4.5.13. Параметры аналитических кривых обеспеченности годового стока - среднее многолетнее значение

, коэффициенты вариации (
Cv) и асимметрии (
Cs) - устанавливаются по имеющемуся ряду его значений методом наибольшего правдоподобия или методом моментов. Расчетное значение отношения коэффициента асимметрии к коэффициенту вариации устанавливается путем осреднения этих отношений, полученных по рядам наиболее продолжительных наблюдений за годовым стоком в районе проектирования
[20].
4.5.14. Если методами наибольшего правдоподобия и моментов произвести оценку параметров невозможно, допускается использование графоаналитического и графического методов оценки параметров
[20].
4.5.15. После расчета кривых обеспеченности необходимо оценить случайные ошибки всех оценок параметров и ординат кривых распределения
[20].
Расчеты годового стока при недостаточности данных наблюдений
4.5.16. В случаях когда имеющийся ряд данных наблюдений за стоком недостаточно продолжителен (см.
п. 4.5.4), построение кривой обеспеченности для получения необходимых расчетных характеристик годового стока производится по статистическим параметрам, приведенным к более длительному периоду с использованием данных по рекам-аналогам.
4.5.17. Для приведения гидрологических рядов наблюдений и их параметров к длительному периоду рекомендуются аналитические методы приведения, базирующиеся на уравнениях парной и множественной регрессии при соблюдении следующих условий:
- число лет совместных наблюдений n' >= 10;
- коэффициент корреляции между годовым стоком исследуемой реки и реки-аналога R >= 0,7;
- отношение коэффициента регрессии (
k) к средней квадратической ошибке коэффициента регрессии

.
Для приближенной оценки параметров распределения допускается использование графических и графоаналитических методов приведения, а также связей с метеорологическими факторами, период наблюдений за которыми превышает период наблюдений за годовым стоком.
4.5.18. Приведение параметров годового стока к более длительному периоду осуществляется в двух вариантах:
1) путем расчета среднего значения годового стока в расчетном створе за весь N-летний период, включая наблюденные и восстановленные значения стока по формуле
| | ИС МЕГАНОРМ: примечание. Формула дана в соответствии с официальным текстом документа. | |

(4.26)
где

и

- соответственно для исследуемой реки и реки-аналога средние арифметические значения годового стока, вычисленные за период совместных наблюдений
n' лет;

,

- соответственно для исследуемой реки и реки-аналога средние многолетние значения годового стока за
N лет;

,

- соответственно для исследуемой реки и реки-аналога средние квадратические отклонения значений годового стока за совместный период
n' лет.
Коэффициент вариации в этом случае определяется по формуле

(4.27)
где

- среднее квадратическое отклонение значений годового стока реки-аналога за
N-летний период наблюдений;
2) путем восстановления погодичных значений стока в расчетном пункте по данным пункта-аналога с последующей оценкой параметров кривых распределения по полученному длительному ряду восстановленных и наблюденных значений годового стока за весь N-летний период в расчетном створе. В этом случае необходима корректировка погодично восстановленных значений стока (Q'i) по формуле

(4.28)
где
Qi - погодичные значения речного стока, рассчитанные по уравнению регрессии;

- среднее значение годового стока за совместный период наблюдений.
4.5.19. Если условиям, указанным в
п. 4.5.17, удовлетворяют несколько аналогов, у которых периоды наблюдений различны, приведение гидрологических характеристик и параметров расчетного ряда годового стока к длительному периоду рекомендуется осуществлять поэтапно. В этом случае аналоги располагаются в порядке убывания коэффициентов корреляции. На первом этапе расчеты по приведению ряда годового стока и его параметров к длительному периоду осуществляются с аналогом, имеющим наибольший коэффициент корреляции с приводимым пунктом. На втором этапе используется аналог с меньшим коэффициентом корреляции, но с более длительным рядом наблюдений за годовым стоком. В этом случае приведение осуществляется только для тех членов расчетного ряда, которые не были приведены на первом этапе. Подобная процедура поэтапного восстановления приводимого ряда производится до получения наиболее длительного ряда восстановленных значений годового стока. После восстановления расчетного ряда годового стока вышеуказанным способом производится оценка параметров распределения по всему многолетнему расчетному ряду с учетом восстановленных лет в соответствии с указаниями, изложенными в
пп. 4.5.13 и
4.5.18.
4.5.20. При приведении данных наблюдений к длительному периоду необходим тщательный анализ всех материалов расчета, включая анализ графиков связи гидрологических характеристик приводимого ряда с рядами-аналогами, анализ эмпирических и аналитических кривых обеспеченностей, построенных за короткий и длительный периоды наблюдений. При этом особое внимание должно уделяться анализу причин появления на графиках отскакивающих точек.
4.5.21. Криволинейные связи годового стока принимаются лишь в том случае, если они объясняются не случайным расположением точек, а характером колебаний стока в рассматриваемых пунктах. При использовании в этих условиях графического метода ежегодные значения годового стока в расчетном створе восстанавливаются по графику связи со стоком в пункте-аналоге. По приведенным к длительному периоду рядам годового стока определяются оценки параметров распределения. При использовании аналитических методов расчета в случае наличия нелинейных связей рядов годового стока к исходным рядам рекомендуется применять функции преобразования, которые линеаризуют криволинейные зависимости.
Расчет годового стока при отсутствии данных гидрометрических наблюдений
4.5.22. В случае отсутствия данных гидрометрических наблюдений в расчетном створе определение параметров кривой обеспеченности производится на основании данных наблюдений на реках-аналогах. При этом должна быть использована вся информация о стоке рек-аналогов, имеющаяся к моменту проектирования в рассматриваемом однородном физико-географическом и климатическом районе. Расчетное значение оценки параметра распределения годового стока может быть получено как среднее арифметическое значение по данным выбранных рек-аналогов в случае, если указанные аналоги удовлетворяют условиям, изложенным в
п. 4.5.5.
4.5.23. В случае если условия однородности выбранных рек-аналогов с расчетной рекой, изложенные в
п. 4.5.5 не соблюдаются, рекомендуется определять параметры годового стока по соответствующим современным картам, опубликованным в официальных изданиях Госкомгидромета.
4.5.24. Значения расчетных параметров, снятые с карт, должны быть откорректированы в случаях, если расчетный створ замыкает малый по площади водосбор. С этой целью в значения расчетных параметров, снятых с карт, должны быть введены поправки, учитывающие особенности формирования стока малых рек
[54].
4.5.25. Коэффициент вариации годового стока для неизученных равнинных рек допускается определять по формуле

(4.29)
где
A - параметр, определяемый по данным рек-аналогов, л/с;

- средний многолетний годовой модуль стока, л/(с·км
2);
F - площадь водосбора, км
2.
4.5.26. Значения параметров годового стока горных рек при отсутствии данных гидрометрических наблюдений определяются по районным связям этих параметров со средними высотами водосборов (hср), установленным по данным изученных рек рассматриваемого горного района.
Коэффициент изменчивости годового стока горных рек также может быть определен по формуле

(4.30)
где параметры A и m определяются на основании эмпирической зависимости Cv от hср, полученной по данным изученных рек рассматриваемого горного района.
4.5.27. За расчетное значение отношения
Cs/
Cv принимается среднее из значений этих отношений, установленных для группы рек с наиболее продолжительными рядами наблюдений за годовым стоком в гидрологически однородном районе.
Внутригодовое распределение речного стока
4.5.28. Расчеты внутригодового распределения речного стока при проектировании водохранилищ производятся в целях установления распределения годового стока по сезонам и месяцам (декадам), которое в последующем используется для расчетов регулирования стока и установления водохозяйственных характеристик работы проектируемого сооружения. В качестве основного критерия при составлении расчетного внутригодового распределения стока принимается обеспеченность гарантированной отдачи воды на гидротехническом сооружении, замыкающем водохранилище. Расчетная обеспеченность гарантированной отдачи воды устанавливается заданием на проектирование в зависимости от вида и назначения регулирующего сооружения.
4.5.29. Расчет внутригодового распределения стока ведется по водохозяйственным годам (т.е. начинающимся с многоводного сезона). Сроки сезонов назначаются едиными для всех лет ряда с округлением их до целого месяца. В зависимости от типа внутригодового распределения стока год подразделяется на три сезона, примерные сроки которых для различных физико-географических районов СССР приведены в
табл. 4.3.
4.5.30. Продолжительность каждого сезона назначается таким образом, чтобы в принятых границах сезона полностью укладывалась характерная фаза гидрологического режима (например, половодье, межень) за все годы наблюдений, включая годы как с наиболее ранним сроком ее наступления, так и с наиболее поздним сроком ее окончания. В зависимости от преобладающего вида использования стока два смежных сезона (относительно многоводных или маловодных) объединяются в один лимитирующий период. В этот период обязательно входит наиболее неблагоприятный с точки зрения водохозяйственного использования стока сезон (лимитирующий сезон). Схемы выделения лимитирующих периодов и сезонов для разных типов внутригодового распределения стока приведены на
рис. 4.7. Распределение стока по месяцам (внутрисезонное) принимается осредненным для каждой группы лет определенной водности рассматриваемого сезона.
Рис. 4.7. Схемы выделения гидрологических сезонов
и назначения лимитирующих периода и сезона
а - равнинные реки Европейской территории СССР с весенним
половодьем (р. Унжа - г. Макарьев, 1947 - 48 г.);
б - равнинные реки Западной Сибири с растянутым весенним
половодьем (р. Омь - г. Калачинск, 1947 - 48 г.); в - реки
Восточной Сибири с весенним половодьем и систематическими
летними паводками (р. Алдан - г. Томмот, 1944 - 45 г.);
г - реки Дальнего Востока с весенне-летним половодьем
(р. Зея - ур. Зейские ворота, 1950 - 51 г.).
I - лимитирующий период, II - лимитирующий сезон
Таблица 4.3
Примерные сроки (числитель) и продолжительность
(знаменатель) основных гидрологических сезонов
в разных районах СССР
Район | Сезон |
зимне-весенний | весенний | весенне-летний | летний | летне-осенний | осенний | осенне-зимний | зимний |
Европейская территория | | | | | | | | |
Крайний Север (севернее 64° с.ш.) | | | | | | | | |
Лесная зона (севернее 56° с.ш. и восточнее 30° в.д.) | | | | | | | | |
Южная часть лесной зоны и лесостепная зона (севернее 49° с.ш.) | | | | | | | | |
Степная зона (южнее 49° с.ш.) и юго-западная часть Прибалтики (южнее 57° с.ш. и западнее 24° в.д.) | | | | | | | | |
Прикарпатье и Закарпатье | | | | | | | | |
Горные районы Крыма | | | | | | | | |
Азиатская территория | | | | | | | | |
Северная часть Сибири до р. Лены (севернее 64° с.ш. на западе и 56° с.ш. у оз. Байкал) | | | | | | | | |
Западная Сибирь (южнее 64 - 60° с.ш.) | | | | | | | | |
Центральный и Северный Казахстан | | | | | | | | |
Горный Алтай | | | | | | | | |
Забайкалье | | | | | | | | |
Прибайкалье | | | | | | | | |
Северо-восточная Сибирь (восточнее р. Лены) | | | | | | | | |
Дальний Восток (бассейн р. Амура) | | | | | | | | |
Горные районы Кавказа и Средней Азии | | | | | | | | |
Высокогорные районы Кавказа и Средней Азии | | | | | | | | |
4.5.31. Для получения гарантированной отдачи воды заданной обеспеченности при любом характере регулирования стока за расчетное внутригодовое распределение стока должно приниматься такое, при котором обеспеченность стока за год, лимитирующие период и сезон равна определенной заданием на проектирование обеспеченности водоотдачи.
4.5.32. Расчет внутригодового распределения стока ведется для створов проектируемых гидротехнических сооружений и расчетных створов, определенных проектом водохранилища. Исходными данными для расчета являются материалы гидрометрических наблюдений за речным стоком. Перед осуществлением расчетов производится анализ имеющихся данных наблюдений и оценка их качества, полноты и однородности. Ненадежные данные при невозможности их уточнения восстанавливаются косвенными методами. В случае существенного влияния на сток хозяйственной деятельности производится приведение стока к естественным условиям, после чего выполняются излагаемые ниже расчеты.
Расчет внутригодового распределения стока при наличии данных наблюдений
4.5.33. В зависимости от назначенной заданием на проектирование расчетной обеспеченности расчеты внутригодового распределения стока при наличии данных наблюдений производятся для отдельных групп лет: многоводных (включающих годы с обеспеченностью стока
P < 33%), средних по водности (33 <
P < 66%) и маловодных (
P > 66%).
4.5.34. При наличии ряда наблюдений за стоком не менее 15 лет установление внутригодового распределения стока производится путем выбора расчетного года из числа фактических лет либо методом компоновки.
4.5.35. Основным критерием при выборе конкретного расчетного года является соответствие обеспеченностей стока для года, лимитирующих периода и сезона. В свою очередь обеспеченность этих величин должна отвечать задачам проектирования. Расчеты по этому методу выполняются в следующей последовательности:
1) для всех лет той группы водности, которая подходит по условиям проектирования, устанавливаются суммы месячных расходов за год и лимитирующие период и сезон и минимальный (при рассмотрении маловодных лет) или максимальный (при рассмотрении многоводной группы лет) месячный расход;
2) полученные значения для каждой из этих характеристик располагаются в порядке убывания и около них выписываются водохозяйственные годы, к которым они относятся, и их эмпирические обеспеченности, определяемые по
формуле (4.25) из всего имеющегося ряда наблюдений;
3) из числа лет рассматриваемой группы водности выбирается год, в котором обеспеченности стока для года, лимитирующих периода и сезона, а также минимального (или максимального) месячного расхода наиболее близки между собой и к назначенной заданием на проектирование обеспеченности;
4) для выбранного года устанавливается относительное распределение стока по месяцам и сезонам (в процентах годового стока). Затем на основании этих данных производится определение месячных и сезонных расходов воды по годовому расходу заданной обеспеченности. Для этого значения относительного распределения стока (в процентах), полученные по фактическому году умножаются для месяцев на 12QP/100, для сезонов на 12QP/100n, где QP - годовой расход определенной заданием на проектирование обеспеченности, n - число месяцев в данном сезоне.
4.5.36. В случае необходимости по условиям проектирования более подробной характеристики внутригодового режима стока рассматриваемой реки используется таблица ежедневных расходов воды или гидрограф стока для года, выбранного в качестве расчетного, с приведением этих данных к годовому расходу воды заданной обеспеченности путем умножения ежедневных расходов воды на отношение
QP к фактическому годовому расходу выбранного года. Пример установления внутригодового распределения стока путем выбора расчетного года из числа фактических приведен в
прил. 11.
4.5.37. Расчет методом компоновки заключается в построении аналитических кривых обеспеченности для всех выделенных сезонов и периодов года по методике, изложенной в
пп. 4.5.10 -
4.5.15. При этом принципы выделения лимитирующих периода и сезона соответствуют изложенным в
п. 4.5.30. Сток за отдельные сезоны и периоды года выражается либо в виде суммы средних месячных расходов воды, либо в виде слоя стока. Кривые обеспеченности строятся в модульных коэффициентах стока.
По кривым обеспеченности определяется сток за лимитирующие периоды и сезон, соответствующий расчетной обеспеченности, принятой заданием на проектирование для годового стока. Сток двух других, нелимитирующих, сезонов определяется следующим образом: одного, входящего в лимитирующий период, - по разности между стоком за лимитирующий период и лимитирующий сезон; второго - по разности между стоком за год и лимитирующий период.
Полученный сток за отдельные сезоны и периоды выражается в процентах годового стока заданной обеспеченности, и таким образом устанавливается расчетное относительное распределение стока по сезонам года заданной обеспеченности.
4.5.38. Характер распределения стока по месяцам устанавливается в тех случаях, когда это предусмотрено заданием на проектирование и имеется ряд наблюдений продолжительностью не менее 15 лет. В этом случае значения стока каждого сезона, расположенные в порядке убывания, подразделяются на три группы водности согласно градациям, указанным в
п. 4.5.33. Для всех лет, входящих в группу водности, соответствующую обеспеченности стока рассматриваемого сезона, месячные значения стока располагаются в убывающем порядке с указанием календарных месяцев, к которым они относятся. Для всех лет данной группы водности производится суммирование полученных ранжированных рядов средних месячных расходов и сумм средних месячных расходов воды за сезон. По итоговым данным устанавливается распределение стока по месяцам внутри сезона в процентах суммарного стока за этот сезон. Полученные значения процентной доли для каждого порядкового номера месяца относятся к тому календарному месяцу, который встречается наиболее часто в ранжированном ряду средних месячных расходов воды.
Для составного сезона (лето-осень) средние месячные расходы воды располагаются в порядке убывания отдельно для каждого из составляющих сезонов (лета и осени).
4.5.39. При необходимости дать более детальную характеристику внутригодового распределения стока указанные выше расчеты производятся не по месяцам, а по декадам. Пример расчета внутригодового распределения стока методом компоновки представлен в
прил. 11.
4.5.40. Для районов, которые отличаются неизменностью распределения стока по сезонам и месяцам независимо от водности года, расчет внутригодового распределения стока сводится к установлению среднего по всем годам распределения стока по месяцам в процентах годового стока.
Расчет внутригодового распределения стока при отсутствии или недостаточности данных наблюдений
4.5.41. При отсутствии или недостаточности (менее 15 лет) данных наблюдений за стоком расчетное внутригодовое распределение стока устанавливается по аналогии с изученной рекой на основании местных зависимостей параметров кривых обеспеченности от ведущих физико-географических факторов и по районным схемам внутригодового распределения стока.
Применение метода аналогии допускается для равнинных территорий при сравнительно однообразных физико-географических условиях. При выборе реки-аналога следует руководствоваться требованиями, изложенными в
п. 4.5.5. По данным реки-аналога принимаются сроки сезонов и лимитирующего периода, среднее распределение стока по сезонам в долях годового, соотношения между статистическими параметрами сезонного и годового стока, распределение сезонного стока по месяцам для определенной группы водности сезона
[54]. В случае, когда площади водосбора рассматриваемой реки и реки-аналога различаются незначительно и распределение стока на них по месяцам и сезонам за годы совместных наблюдений примерно одинаково, допускается непосредственное перенесение относительного внутригодового распределения стока (в процентах годового) на рассматриваемую реку.
4.5.42. Расчет внутригодового распределения стока при отсутствии надежных рек-аналогов производится по региональным зависимостям параметров сезонного стока от определяющих факторов в различных физико-географических условиях. Для равнинных водосборов в качестве определяющих факторов выступают площадь водосбора, степень озерности, характер почвогрунтов. Для горных рек определяющим фактором является высотное положение водосбора. Региональные зависимости параметров внутригодового распределения стока от основных определяющих факторов, а также районные осредненные схемы внутригодового распределения для всей территории СССР приведены в справочниках
[49].
4.5.43. Целью расчетов максимального стока при проектировании водохранилищ является установление вероятных максимальных расходов воды заданной обеспеченности и построение расчетных гидрографов максимального стока.
4.5.44. При определении расчетных максимальных расходов воды вычисляются расходы талых вод или дождевых паводков и из полученных значений выбирается наибольшее или то значение расхода, которое определяет наиболее неблагоприятные условия работы сооружений. При невозможности разделения максимальных годовых расходов воды по генезису их формирования на максимумы весеннего половодья и дождевых паводков допускается построение кривых распределения вероятностей превышения максимальных расходов воды по всему ряду, независимо от генезиса их формирования.
4.5.45. Расчетный максимальный расход воды, подлежащий пропуску через сооружения гидроузла, определяется с учетом трансформации стока проектируемым водохранилищем и действующими водохранилищами, расположенными выше по течению реки. В случаях когда максимальные расходы воды реки уменьшаются в результате частичной аккумуляции стока в водохранилище, в качестве расчетных следует принимать максимальные зарегулированные расходы воды.
4.5.46. Расчеты производятся для максимальных мгновенных расходов воды. Для рек с продолжительностью стояния максимумов в течение суток и более расчеты производятся по средним суточным значениям. В случаях когда максимальный расход воды проходит между сроками наблюдений, должны быть исследованы соотношения между средним суточным и мгновенным максимальными расходами и в расчеты введены соответствующие поправки.
4.5.47. Расчетные максимальные расходы воды устанавливаются путем всестороннего анализа и обобщения данных о высоких половодьях и паводках, наблюдавшихся в рассматриваемом районе.
4.5.48. Расчетная обеспеченность максимальных расходов воды устанавливается исходя из норм проектирования речных гидротехнических сооружений, защитных сооружений на водохранилищах и в нижнем бьефе гидроузлов (с учетом класса сооружений), утвержденных или согласованных с Госстроем СССР.
Таблица 4.4
Cs/Cv | EP% при Cv, равных |
0,1 | 0,2 | 0,3 | 0,4 | 0,5 | 0,6 | 0,7 | 0,8 | 0,9 | 1,0 | 1,1 | 1,2 | 1,3 | 1,4 | 1,5 |
Для трехпараметрического гамма-распределения |
Методом наибольшего правдоподобия |
2 | 0,25 | 0,45 | 0,60 | 0,75 | 0,88 | 0,96 | 1,05 | 1,14 | 1,22 | 1,30 | 1,38 | 1,46 | 1,54 | 1,60 | 1,67 |
3 | 0,30 | 0,50 | 0,75 | 1,00 | 1,18 | 1,30 | 1,43 | 1,55 | 1,68 | 1,78 | 1,90 | 2,00 | 2,10 | 2,24 | 2,33 |
4 | 0,40 | 0,70 | 1,00 | 1,30 | 1,48 | 1,60 | 1,74 | 1,88 | 2,00 | 2,15 | 2,27 | 2,40 | 2,58 | 2,65 | 2,77 |
Методом моментов |
3 | 0,30 | 0,57 | 0,84 | 1,10 | 1,34 | 1,55 | 1,74 | 1,93 | 2,11 | 2,28 | 2,42 | 2,56 | 2,68 | 2,80 | 2,92 |
4 | 0,40 | 0,77 | 1,11 | 1,43 | 1,73 | 2,00 | 2,22 | 2,42 | 2,60 | 2,77 | 2,94 | 3,10 | 3,26 | 3,41 | 3,57 |
Для биномиального распределения |
Методом моментов |
2 | 0,25 | 0,45 | 0,62 | 0,78 | 0,92 | 1,05 | 1,16 | 1,27 | 1,39 | 1,49 | 1,60 | 1,70 | 1,80 | 1,91 | 2,01 |
3 | 0,28 | 0,52 | 0,75 | 0,97 | 1,19 | 1,35 | 1,59 | 1,63 | 1,96 | 2,14 | 2,31 | 2,49 | 2,66 | 2,84 | 3,01 |
4 | 0,30 | 0,61 | 0,91 | 1,20 | 1,49 | 1,66 | 2,04 | 2,30 | 2,56 | 2,82 | 3,09 | 3,35 | 3,62 | 3,89 | 4,15 |
Примечание. При Cs/Cv = 2 значения EP%, определяемые методом моментов для трехпараметрического гамма-распределения, принимаются как для биномиального распределения. |
4.5.49. К расчетным максимальным расходам воды обеспеченностью 0,01% прибавляется гарантийная поправка

, определяемая по формуле

(4.31)
где
a - коэффициент, характеризующий гидрологическую изученность рек; принимается для гидрологически изученных рек равным единице, а для слабоизученных рек равным 1,5;
EP% - величина, характеризующая изменчивость максимального стока, определяется по
табл. 4.4.
Гарантийная поправка

не должна превышать 20% расчетного максимального расхода воды

. Принимаемый расчетный расход с учетом гарантийной поправки не должен быть меньше наибольшего наблюденного расхода.
4.5.50. Гидротехнические сооружения, разрушение которых приводит к катастрофическим последствиям со значительными ущербами, необходимо проверять на пропуск максимального расхода обеспеченностью 0,01% с учетом гарантийной поправки (см.
п. 4.5.49).
4.5.51. При пропуске весенних половодий (дождевых паводков) через гидроузлы, образующие каскад, расчетные сбросные расходы воды нижележащих гидроузлов следует определять с учетом влияния вышележащего гидроузла, а также боковой приточности с частных водосборов между гидроузлами соответствующей расчетной обеспеченности для рассматриваемого нижележащего гидроузла. Расчет максимальных расходов воды боковой приточности производится согласно требованиям, изложенным в
пп. 4.5.94 -
4.5.98 настоящего Руководства.
Расчет максимальных расходов воды при наличии данных наблюдений
4.5.52. Данные гидрометрических наблюдений считаются достаточными для определения расчетных значений максимальных расходов воды, если: а) верхняя часть кривой расходов воды обоснована измерениями или надежно экстраполирована до наивысшего уровня воды; б) нет пропусков в наблюдениях за годы с выдающимися максимальными расходами; в) частота наблюдений обеспечивает регистрацию высшего уровня (расхода) за период половодья (паводка); г) используемые в расчетах исходные данные соответствуют требованиям качества, полноты и надежности материалов наблюдений (см.
п. 4.5.4).
4.5.53. Расчеты максимальных расходов воды при наличии данных наблюдений осуществляются так же, как и для годового стока, с использованием аналитических функций распределения вероятностей - кривых обеспеченности в соответствии с положениями, изложенными в
пп. 4.5.10 -
4.5.15.
Кривые обеспеченности строятся отдельно для максимальных расходов талых вод, дождевых паводков и соответствующих им объемов (слоев) стока "основной" волны и всего половодья (паводка). В случаях когда такое разделение провести не представляется возможным (например, для некоторых горных районов), кривые обеспеченности строятся для одного наибольшего годового максимума стока.
Для суждения о размахе колебаний обеспеченности наибольшего наблюденного максимума в зависимости от числа лет наблюдений следует указывать доверительный интервал эмпирической обеспеченности, определяемый по
табл. 4.5.
Таблица 4.5
Доверительные интервалы для эмпирической обеспеченности
наибольшего наблюденного максимума
Обеспеченность доверительного интервала, % | Число лет наблюдений n |
10 | 20 | 30 | 40 | 50 | 60 |
5 | 0,5 | 0,27 | 0,20 | 0,15 | 0,10 | 0,09 |
95 | 25,9 | 13,4 | 9,8 | 7,7 | 6,0 | 5,0 |
Обеспеченность доверительного интервала, % | Число лет наблюдений n |
70 | 80 | 90 | 100 | 110 | 130 |
5 | 0,08 | 0,07 | 0,06 | 0,05 | 0,04 | 0,03 |
95 | 4,3 | 3,7 | 3,3 | 3,0 | 2,0 | 1,6 |
4.5.54. Для рек, на которых максимальные расходы воды наблюдаются в разные сезоны и образуются за счет максимального стока различного происхождения, кривые обеспеченности максимальных расходов воды рекомендуется строить следующим образом: по данным наблюдений строятся кривые обеспеченности ежегодных максимумов каждого типа, к которому могут принадлежать наибольшие в году расходы воды (например, максимальные расходы весеннего половодья - тип 1, дождевых паводков - тип 2). Обобщенная кривая обеспеченности рассчитывается на основе генетически однородных кривых одним из двух способов:
1) Когда в году имеются наблюдения за обоими генетически однородными максимальными расходами воды половодий и паводков, обеспеченность максимальных расходов воды при любом фиксированном значении расхода рассчитывается по формуле
P = (
P1 +
P2 -
P1P2)·100, (4.32)
где
P - обеспеченность заданного значения максимального расхода независимо от генезиса его формирования;
P1 и
P2 - обеспеченности максимальных расходов весеннего половодья и дождевых паводков. В
формуле (4.32) обеспеченности выражены в долях единицы.
2) Когда в каждом году имеется лишь одно максимальное значение либо половодного, либо паводочного стока, обеспеченность максимальных расходов воды при любом фиксированном значении расхода рассчитывается в процентах по формуле
P = (
n1P1 +
n2P2)/(
n1 +
n2), (4.33)
где
n1 и
n2 - число членов рядов максимальных расходов весеннего половодья и дождевых паводков. Обеспеченности в
формуле (4.33) выражены в процентах.
Использование максимумов, определенных по
формулам (4.32) и
(4.33), правомерно лишь в тех случаях, когда гидроузел не создает регулирующей емкости и водосбросные отверстия гидроузла рассчитываются на естественный максимум расчетной обеспеченности, соответствующей данному классу сооружения.
В случаях когда создаваемое плотиной водохранилище обладает достаточной регулирующей емкостью, позволяющей срезать естественный максимум, расчетные максимальные расходы определяются с учетом ежегодных максимумов каждого сезона в отдельности.
4.5.55. При генетической неоднородности наблюденного ряда максимального стока, которая возникает из-за разнородности факторов, определяющих формирование высоких и низких максимумов, в расчетах (при длительности ряда в 40 лет и более) может быть использовано усеченное гамма-распределение
[61].
Расчет максимальных расходов воды при недостаточности данных наблюдений
4.5.56. В случаях когда имеющийся ряд данных наблюдений за максимальным стоком недостаточно продолжителен, осуществляется его приведение к более длительному периоду с использованием данных по рекам-аналогам. Приемы подобного приведения не отличаются от изложенных в
п. 4.5.17 -
4.5.21 применительно к расчетам годового стока.
4.5.57. При наличии сведений о выдающихся (выдающемся) исторических максимумах приведение параметров кривых обеспеченности (среднего значения

и коэффициента вариации
Cv) производится с учетом этих максимумов (максимума) по соответствующим расчетным зависимостям применительно к методу наибольшего правдоподобия или методу моментов
[20].
Расчет максимальных расходов талых вод при отсутствии данных наблюдений
4.5.58. Максимальные расходы стока талых вод для рек с площадями водосборов, превышающими на Европейской территории СССР 20 000 км
2 и на Азиатской территории СССР 50 000 км
2, определяются по рекам-аналогам с учетом результатов дополнительных полевых исследований.
4.5.59. Максимальные расходы талых вод равнинных и горных рек с весенним и весенне-летним половодьем для водосборов от элементарно малых (менее 1 км2) до 20 000 км2 на Европейской территории СССР и до 50 000 км2 на Азиатской, за исключением транзитных участков рек, где происходит снижение максимумов стока вследствие распластывания волны половодья, определяются по редукционной формуле

(4.34)
где
QP% - расчетный максимальный расход воды вероятностью превышения
P%, м
3/с;
hP% - расчетный слой суммарного весеннего стока (без срезки грунтового питания) ежегодной вероятностью превышения
P% (определяется в зависимости от коэффициента вариации
Cv и отношения
Cs/
Cv этой величины, а также среднего многолетнего слоя стока
h0, устанавливаемого по рекам-аналогам или интерполяцией), мм;

- коэффициент, учитывающий неравенство статистических параметров слоя стока и максимальных расходов воды;
k0 - параметр, характеризующий дружность весеннего половодья;

- коэффициент, учитывающий влияние водохранилищ, прудов и проточных озер;

- коэффициент, учитывающий снижение максимального расхода воды в залесенных бассейнах;

- коэффициент, учитывающий снижение максимального расхода воды в заболоченных бассейнах;
F - площадь водосбора, км
2;
b - дополнительная площадь водосбора, учитывающая снижение редукции, км
2;
n - показатель степени редукции.
4.5.60. Расчет максимальных расходов воды высокогорных районов Средней Азии и Кавказа со средней высотой водосборов более 2000 м следует производить методом гидрологической аналогии по формуле

(4.35)
где
MP%,а - модуль максимального расхода реки-аналога вероятностью превышения
P%, м
3/(с·км
2);
hP%,г и
hP%,г,а - соответственно для исследуемой реки и реки-аналога расчетный слой годового стока вероятностью превышения
P%, мм;
F и
Fа - соответственно для исследуемой реки и реки-аналога площади водосборов, км
2;

и

- соответственно для исследуемой реки и реки-аналога коэффициенты, учитывающие снижение максимального расхода воды проточными озерами и водохранилищами. Порядок определения этих коэффициентов изложен в работе
[54].
Расчет максимальных расходов дождевых паводков
4.5.61. Максимальные расходы воды дождевых паводков
QP% в зависимости от площади водосбора реки определяются по эмпирическим редукционным формулам или по формуле предельной интенсивности стока. Границы применимости указанных формул в различных физико-географических зонах приведены в
табл. 4.6.
Таблица 4.6
Границы применимости формул в зависимости
от площади водосбора, км2
Природная зона (район) | | |
Равнинная территория |
Тундры и лесная | < 50 | 50 - 50 000 |
Лесостепная | < 100 | 100 - 20 000 |
Степная | < 100 | 100 - 50 000 |
Засушливых степей | < 100 | 100 - 1 000 |
Полупустынь | < 100 | - |
Горные районы (500 < Hср < 2000 м) |
Кавказ | < 100 | 100 - 5 000 |
Карпаты | < 100 | 100 - 10 000 |
Крым | < 200 | 200 - 1 000 |
Прочие районы | < 100 | 100 - 10 000 |
Примечание. При проектировании водохранилищ на реках с площадями водосборов, превышающих пределы, указанные в таблице, результаты расчетов должны проверяться путем проведения инженерно-гидрометеорологических изысканий.
4.5.62. При наличии рек-аналогов максимальные расходы воды дождевых паводков следует определять по редукционной формуле вида

(4.36)
где
MP%,а - модуль максимального мгновенного расхода воды реки-аналога расчетной вероятностью превышения
P%;

,

- соответственно для исследуемой реки и реки-аналога коэффициенты, учитывающие снижение максимальных расходов воды проточными озерами;

,

- соответственно для исследуемой реки и реки-аналога коэффициенты, учитывающие снижение максимального расхода за счет заболоченности водосбора;
n - коэффициент редукции.
где kф, kф,а - соответственно для исследуемой реки и реки-аналога коэффициенты формы водосбора, определяемые в зависимости от длины реки от наиболее удаленной точки водосбора L (в километрах) и площади водосбора F (в квадратных километрах) по формуле
kф = L/F0,56. (4.38)
4.5.63. При несоблюдении
условия (4.37) расчет производится по редукционной формуле вида

(4.39)
где n1 - коэффициент редукции модуля максимального мгновенного расхода воды с увеличением времени руслового добегания; Ф, Фа - соответственно для исследуемой реки и реки-аналога морфометрические характеристики русел.
4.5.64. Максимальные мгновенные расходы воды дождевых паводков при отсутствии рек-аналогов следует определять по редукционной формуле вида

(4.40)
где
M200 - модуль максимального мгновенного расхода воды вероятностью превышения 1%, приведенный к площади водосбора
F = 200 км
2 при

;

- коэффициент перехода от максимального расхода вероятностью превышения 1% к расходу другой вероятности;

- коэффициент, учитывающий изменение параметра
M200 с уменьшением средней высоты водосбора в горных районах. Остальные обозначения аналогичны приведенным в
формуле (4.36).
4.5.65. Формула предельной интенсивности стока имеет вид

(4.41)
где
A1% - максимальный модуль стока ежегодной вероятностью превышения 1%, выраженный в долях произведения

при

;
H'
1% - максимальный суточный слой осадков вероятностью превышения 1%;

- коэффициент паводочного стока.
Расчетные гидрографы половодий и паводков
4.5.66. Расчетные гидрографы строятся по равнообеспеченным значениям максимальных расходов основной волны и объемов половодья (дождевых паводков).
4.5.67. В случаях когда проектируемое водохранилище регулирует сток реки, максимальные расходы воды, пропускаемые через подпорное сооружение, рассчитываются по гидрографам половодий и паводков, трансформируемых водохранилищем.
4.5.68. Расчетные гидрографы строятся для входных в водохранилище створов основной реки и притоков, размещающихся в областях выклинивания подпора. В качестве исходных материалов для построения расчетных гидрографов принимаются данные гидрометрических наблюдений, имеющиеся в районе входных створов водохранилища. Если непосредственно во входном створе наблюдения не производились, то для построения гидрографов используются материалы других, находящихся поблизости гидрометрических створов. В этом случае перенос расходов от гидрометрического створа к входному створу водохранилища производится с учетом закономерностей в изменении расходов по длине реки. Полученные гидрографы суммируются с учетом стока с не освещенной наблюдениями части водосбора.
4.5.69. Если из-за отсутствия гидрометрических наблюдений построение гидрографов во входных створах основной реки и притоков невозможно, то используется гидрограф стока в створе плотины, который ретрансформируется в гидрограф притока путем исключения объема воды в русле от створа плотины до входных створов по основной реке и притокам.
4.5.70. При работе каскада водохранилищ за входной створ нижнего водохранилища обычно принимается сечение реки у верхней плотины. При этом учитывается, что в нижнее водохранилище поступают сбросы воды из верхних водохранилищ, размер которых определяют с учетом трансформации половодий и паводков этими водохранилищами, и незарегулированный приток с части водосбора, расположенной между плотинами нижнего и верхнего водохранилищ (боковая приточность). Определение ординат гидрографа боковой приточности производится методами, изложенными в
пп. 4.5.96 и
4.5.97.
4.5.71. Расчетные гидрографы максимального стока строятся:
а) для весеннего половодья - по средним суточным расходам воды; гидрографы внутрисуточного хода стока воды рассчитываются, если максимальный мгновенный расход воды в 1,5 раза больше соответствующего ему среднего суточного расхода воды;
б) для дождевых паводков - по мгновенным расходам воды.
4.5.72. При построении расчетных гидрографов должны быть тщательно проанализированы условия формирования и режим половодий и паводков на исследуемой реке, распределение паводков по сезонам года, совпадение максимального стока различного происхождения, вероятность повторного прохождения паводков.
4.5.73. Форма расчетного гидрографа принимается по модели одного или нескольких из наблюденных высоких половодий или паводков с наиболее неблагоприятной их формой и с некоторой схематизацией модели.
В необходимых случаях подобные построения выполняются для нескольких гидрографов-моделей и расчет регулирования высокого стока производится в нескольких вариантах с выбором наиболее невыгодного из них. Степень достоверности расчетного гидрографа будет тем больше, чем ближе наблюдавшиеся максимальный расход и объем стока модели к максимальному расходу и объему стока проектируемого гидрографа заданной обеспеченности.
4.5.74. При построении расчетного гидрографа по модели наблюденных половодий и паводков для расчетов принимают гидрограф, по своей форме являющийся наиболее неблагоприятным в отношении срезки водохранилищем максимальных расходов воды.
При многовершинном характере гидрографов в качестве модели выбирается гидрограф из числа многоводных, в котором наибольшая волна после короткого промежутка времени следует за несколько меньшей волной.
При многовершинном характере гидрографов рекомендуется построение гидрографа наибольшей волны, который трансформируется для условий, когда водохранилище наполнено до НПУ и "срезка" наибольшей волны происходит за счет призмы форсировки.
4.5.75. Общая продолжительность половодья и паводков принимается, как правило, в постоянных границах и одинаковой для всех лет и створов как на основной реке, так и на ее притоках, с таким расчетом, чтобы в ее пределах уложились половодья и паводки всех лет. Продолжительность основной волны половодья и паводков, включающей максимальную ординату, принимается постоянной в подвижных границах для всех лет и створов как на основной реке, так и на ее притоках, исходя из условия наибольшего объема стока (притока) за принятый период.
4.5.76. Переход от гидрографа-модели к расчетному гидрографу выполняется следующими методами:
а) путем умножения ординат гидрографа-модели на коэффициенты, определяемые по формулам:

(4.43)

(4.44)
где Q - максимальная ордината гидрографа, м3/с; W - объем основной волны, м3; W' - полный объем весеннего половодья или паводка, м3; "м" - индекс, означающий, что данная характеристика относится к гидрографу-модели; P - индекс, означающий, что данная характеристика относится к расчетному гидрографу заданной вероятности превышения.
б) с применением коэффициента
K1, определяемого по
формуле (4.42), и коэффициента
Kt, определяемого по формуле

(4.45)
где q - модуль максимального среднего суточного расхода воды, м3/(с·км2); h - слой стока весеннего половодья (дождевого паводка), мм.
Координаты расчетного гидрографа определяются в зависимости от коэффициентов K1 и Kt по формулам:
Qi = Qi,мK1; (4.46)
ti = ti,мKt, (4.47)
где Qi - расходы воды в i-ю единицу расчетного времени; ti - ордината времени. За начало расчетного времени ti,м принимается начало подъема весеннего половодья (дождевого паводка).
Данный метод может быть использован при соблюдении следующих условий:

,
Ks,P% =
Ks,м, где

- коэффициент полноты стока,
Ks - коэффициент несимметричности.
Коэффициент полноты стока определяется по формуле

(4.48)
Коэффициент несимметричности определяется по формуле
В
формулах (4.48) и
(4.49) T - продолжительность весеннего половодья (дождевого паводка), сут;
hп - слой стока за период подъема весеннего половодья (дождевого паводка), мм. Остальные обозначения аналогичны указанным к
формуле (4.45).
4.5.77. Определение гидрографов внутрисуточного хода стока следует производить методом, указанным в
п. 4.5.76 (б). При этом обозначения в
формулах (4.45),
(4.48) и
(4.49) будут следующие:
q - модуль максимального мгновенного расхода воды, м
3/(с·км
2);
h - максимальный суточный слой стока весеннего половодья, мм;
hп - слой стока за период подъема максимальной суточной волны весеннего половодья, мм;
T - продолжительность максимальной суточной волны весеннего половодья, сутки и менее.
4.5.78. При недостаточности данных гидрометрических наблюдений следует выполнить приведение параметров основных элементов расчетного гидрографа к многолетнему периоду согласно указаниям, изложенным в
пп. 4.5.16 -
4.5.21.
4.5.79. При отсутствии данных гидрометрических наблюдений параметры основных элементов расчетного гидрографа определяются в соответствии с рекомендациями, изложенными в
пп. 4.5.58 -
4.5.65. Коэффициент перехода

от максимального мгновенного расхода воды весеннего половодья
Q'
P% к среднему суточному
QP% устанавливается по рекам-аналогам. При их отсутствии допускается определение коэффициента

для равнинных рек по
табл. 4.7, а для горных рек - по графикам его связи со средней высотой бассейна.
Таблица 4.7
Значения переходных коэффициентов

Природная зона | Площадь водосбора, км2 |
0,1 | 0,5 | 1 | 5 | 10 | 50 |
Тундры и северная часть лесной зоны (тайга) | 1,9 | 1,7 | 1,6 | 1,4 | 1,3 | 1,2 |
Южная часть лесной зоны (смешанные и лиственные леса) | 3,7 | 3,0 | 2,7 | 2,3 | 2,1 | 1,7 |
Лесостепная | 4,4 | 3,6 | 3,3 | 2,7 | 2,5 | 2,0 |
Степная | 5,5 | 4,4 | 4,0 | 3,0 | 2,8 | 2,1 |
Засушливых степей и полупустынь | 9,5 | 7,0 | 6,0 | 4,3 | 3,7 | 2,6 |
Природная зона | Площадь водосбора, км2 |
100 | 500 | 1000 | 2000 | 5000 |
Тундры и северная часть лесной зоны (тайга) | 1,15 | 1,05 | 1 | 1 | 1 |
Южная часть лесной зоны (смешанные и лиственные леса) | 1,5 | 1,3 | 1,2 | 1,1 | 1,0 |
Лесостепная | 1,9 | 1,4 | 1,3 | 1,15 | 1,0 |
Степная | 1,9 | 1,4 | 1,3 | 1,15 | 1,0 |
Засушливых степей и полупустынь | 2,0 | 1,5 | 1,4 | 1,3 | 1,2 |
Одновершинный гидрограф стока воды весеннего половодья (дождевого паводка) рассчитывается согласно
табл. 4.8 по значениям коэффициента несимметричности
Ks, определяемого по
формуле (4.49) по данным рек-аналогов, или по значению коэффициента формы гидрографа

, определяемого по формуле

(4.50)
где
tп - время подъема половодья (паводка). Остальные обозначения аналогичны данным к
формуле (4.45).
Ординаты расчетного гидрографа определяются по формуле
Qi = yQP%, (4.51)
а абсциссы по формуле
ti = xTп, (4.52)
где Tп - продолжительность подъема весеннего половодья (дождевого паводка) определяется по формуле

(4.53)
где
QP% - расчетный максимальный средний суточный расход воды весеннего половодья или максимальный мгновенный расход дождевого паводка, м
3/с;
qP% - расчетный модуль максимального среднего суточного расхода воды весеннего половодья или максимального мгновенного расхода воды дождевого паводка, м
3/(с·км
2);
x,
y - относительные ординаты расчетного гидрографа стока воды, определяемые по
табл. 4.8.
4.5.80. Внутрисуточный гидрограф стока определяется по уравнению

, где

- ординаты гидрографа, приведенные в
табл. 4.9;
x =
ti/
Tп - абсциссы расчетного гидрографа, выраженные в долях условной продолжительности подъема половодья
Tп;
a - параметр, зависящий от коэффициента формы гидрографа

. Последний определяется по
табл. 4.8 в зависимости от коэффициента
Ks, который рассчитывается по
формуле (4.49) по рекам-аналогам.
4.5.81. Для рек с площадями водосборов менее 200 км
2 с продолжительностью подъема дождевого паводка сутки или менее расчетная продолжительность подъема определяется по формуле

(4.54)
где

- коэффициент, принимаемый при расчете продолжительности подъема дождевого паводка в часах равным 0,28, в минутах равным 16,7.
При определении расчетных гидрографов дождевых паводков, согласно требованию
п. 4.5.79, коэффициент несимметричности
Ks следует принимать по рекам-аналогам. При отсутствии аналогов допускается принимать этот коэффициент равным 0,30, а для рек степной и полупустынной зон с площадями водосборов
F < 1 км
2 равным 0,20.
4.5.82. Расчетные минимальные расходы воды рек определяются для зимнего и летне-осеннего периодов. За зимний период принимается время от начала появления ледяных образований на реках рассматриваемой территории до начала весеннего половодья, за летне-осенний - время от конца весеннего половодья до начала появления ледяных образований на реках. При отсутствии ледовых явлений за начало зимнего периода принимается средняя для района дата устойчивого перехода температуры воздуха через нуль.
Таблица 4.8
Значения паводочных расходов воды в долях максимального
расхода (
y =
Qi/
Qp), вычисленные по уравнению

при разных коэффициентах формы паводков

| |
0,3 | 0,4 | 0,5 | 0,6 | 0,7 | 0,8 | 0,9 | 1,0 | 1,1 | 1,2 | 1,3 | 1,4 | 1,5 | 1,6 | 1,7 | 1,8 | 1,9 | 2,0 | 2,2 | 2,4 | 2,6 |
0,1 | 0,023 | 0,002 | 0 | 0 | 0 | | | | | | | | | | | | | | | | |
0,2 | 0,21 | 0,091 | 0,034 | 0,011 | 0,003 | 0 | 0 | 0 | 0 | | | | | | | | | | | | |
0,3 | 0,45 | 0,29 | 0,18 | 0,099 | 0,050 | 0,022 | 0,009 | 0,003 | 0,001 | 0 | 0 | 0 | 0 | | | | | | | | |
0,4 | 0,66 | 0,51 | 0,39 | 0,28 | 0,19 | 0,12 | 0,076 | 0,043 | 0,024 | 0,013 | 0,006 | 0,003 | 0,001 | 0 | 0 | 0 | 0 | 0 | | | |
0,5 | 0,78 | 0,69 | 0,59 | 0,49 | 0,40 | 0,31 | 0,24 | 0,18 | 0,13 | 0,088 | 0,059 | 0,039 | 0,025 | 0,015 | 0,009 | 0,005 | 0,003 | 0,002 | 0 | 0 | 0 |
0,6 | 0,88 | 0,82 | 0,75 | 0,69 | 0,61 | 0,54 | 0,47 | 0,39 | 0,33 | 0,27 | 0,22 | 0,18 | 0,14 | 0,12 | 0,088 | 0,066 | 0,049 | 0,036 | 0,017 | 0,009 | 0,004 |
0,7 | 0,94 | 0,91 | 0,87 | 0,83 | 0,79 | 0,74 | 0,69 | 0,64 | 0,59 | 0,54 | 0,48 | 0,43 | 0,39 | 0,34 | 0,30 | 0,26 | 0,22 | 0,19 | 0,14 | 0,094 | 0,062 |
0,8 | 0,97 | 0,96 | 0,95 | 0,93 | 0,91 | 0,89 | 0,87 | 0,84 | 0,81 | 0,78 | 0,75 | 0,72 | 0,69 | 0,66 | 0,62 | 0,59 | 0,55 | 0,52 | 0,46 | 0,40 | 0,34 |
0,9 | 0,99 | 0,99 | 0,99 | 0,98 | 0,98 | 0,97 | 0,97 | 0,96 | 0,96 | 0,95 | 0,94 | 0,93 | 0,92 | 0,91 | 0,90 | 0,89 | 0,88 | 0,87 | 0,84 | 0,82 | 0,79 |
1,0 | 1,00 | 1,00 | 1,00 | 1,00 | 1,00 | 1,00 | 1,00 | 1,00 | 1,00 | 1,00 | 1,00 | 1,00 | 1,00 | 1,00 | 1,00 | 1,00 | 1,00 | 1,00 | 1,00 | 1,00 | 1,00 |
1,1 | 0,99 | 0,99 | 0,99 | 0,99 | 0,98 | 0,98 | 0,97 | 0,97 | 0,96 | 0,96 | 0,95 | 0,94 | 0,93 | 0,93 | 0,92 | 0,91 | 0,90 | 0,89 | 0,87 | 0,85 | 0,82 |
1,2 | 0,98 | 0,97 | 0,96 | 0,95 | 0,94 | 0,92 | 0,91 | 0,89 | 0,87 | 0,85 | 0,83 | 0,80 | 0,78 | 0,76 | 0,73 | 0,70 | 0,68 | 0,65 | 0,60 | 0,54 | 0,49 |
1,3 | 0,97 | 0,95 | 0,93 | 0,91 | 0,88 | 0,85 | 0,82 | 0,78 | 0,75 | 0,71 | 0,68 | 0,64 | 0,60 | 0,56 | 0,52 | 0,48 | 0,44 | 0,41 | 0,34 | 0,28 | 0,22 |
1,4 | 0,95 | 0,92 | 0,89 | 0,85 | 0,81 | 0,77 | 0,72 | 0,67 | 0,62 | 0,57 | 0,52 | 0,48 | 0,43 | 0,38 | 0,34 | 0,30 | 0,26 | 0,23 | 0,17 | 0,12 | 0,084 |
1,5 | 0,92 | 0,88 | 0,84 | 0,79 | 0,74 | 0,68 | 0,62 | 0,56 | 0,50 | 0,44 | 0,39 | 0,34 | 0,29 | 0,25 | 0,21 | 0,17 | 0,14 | 0,12 | 0,075 | 0,046 | 0,027 |
1,6 | 0,90 | 0,85 | 0,79 | 0,73 | 0,66 | 0,59 | 0,52 | 0,46 | 0,39 | 0,34 | 0,28 | 0,23 | 0,19 | 0,15 | 0,12 | 0,092 | 0,071 | 0,054 | 0,030 | 0,016 | 0,008 |
1,7 | 0,87 | 0,81 | 0,74 | 0,66 | 0,59 | 0,51 | 0,44 | 0,37 | 0,30 | 0,25 | 0,20 | 0,15 | 0,12 | 0,089 | 0,066 | 0,047 | 0,034 | 0,024 | 0,011 | 0,005 | 0,002 |
1,8 | 0,84 | 0,77 | 0,69 | 0,60 | 0,52 | 0,44 | 0,36 | 0,29 | 0,23 | 0,18 | 0,13 | 0,10 | 0,072 | 0,050 | 0,035 | 0,023 | 0,015 | 0,010 | 0,004 | 0,001 | 0 |
1,9 | 0,81 | 0,73 | 0,64 | 0,55 | 0,46 | 0,37 | 0,29 | 0,23 | 0,17 | 0,13 | 0,089 | 0,063 | 0,043 | 0,028 | 0,018 | 0,011 | 0,007 | 0,004 | 0,001 | 0 | |
2,0 | 0,78 | 0,69 | 0,59 | 0,49 | 0,40 | 0,31 | 0,24 | 0,18 | 0,13 | 0,088 | 0,059 | 0,039 | 0,025 | 0,015 | 0,009 | 0,005 | 0,003 | 0,002 | | | |
2,2 | 0,73 | 0,61 | 0,50 | 0,40 | 0,30 | 0,22 | 0,15 | 0,10 | 0,066 | 0,042 | 0,025 | 0,014 | 0,008 | | | | | | | | |
2,4 | 0,67 | 0,54 | 0,42 | 0,32 | 0,22 | 0,15 | 0,096 | 0,058 | 0,034 | 0,019 | 0,010 | 0,005 | 0,002 | | | | | | | | |
2,6 | 0,62 | 0,48 | 0,35 | 0,25 | 0,16 | 0,10 | 0,060 | 0,032 | 0,017 | 0,008 | 0,004 | 0,002 | 0,001 | | | | | | | | |
2,8 | 0,57 | 0,42 | 0,29 | 0,19 | 0,12 | 0,068 | 0,036 | 0,018 | 0,008 | 0,004 | 0,001 | 0,001 | 0 | | | | | | | | |
3,0 | 0,53 | 0,37 | 0,24 | 0,15 | 0,086 | 0,045 | 0,022 | 0,010 | 0,004 | 0,002 | 0 | 0 | | | | | | | | | |
3,5 | 0,43 | 0,26 | 0,15 | 0,079 | 0,037 | 0,016 | 0,006 | 0,002 | 0 | 0 | | | | | | | | | | | |
4,0 | 0,34 | 0,19 | 0,092 | 0,041 | 0,016 | 0,005 | 0,002 | 0 | | | | | | | | | | | | | |
5,0 | 0,21 | 0,091 | 0,034 | 0,011 | 0,003 | 0 | 0 | | | | | | | | | | | | | | |
6,0 | 0,13 | 0,044 | 0,012 | 0,003 | 0 | | | | | | | | | | | | | | | | |
8,0 | 0,052 | 0,010 | 0,002 | 0 | | | | | | | | | | | | | | | | | |
| 0,19 | 0,23 | 0,26 | 0,29 | 0,31 | 0,33 | 0,34 | 0,36 | 0,37 | 0,38 | 0,39 | 0,39 | 0,40 | 0,40 | 0,41 | 0,41 | 0,42 | 0,42 | 0,43 | 0,43 | 0,44 |
Таблица 4.9
Средние часовые расходы воды (в долях максимального срочного
расхода) при различных коэффициентах

Часы | Расходы воды (в долях максимального) при разных  |
1 | 1,2 | 1,5 | 2,0 | 2,5 | 3,0 | 3,5 | 4,0 | 4,5 | 5,0 | 5,5 | 6,0 |
8 | 1,0 | 0,82 | 0,40 | 0,23 | 0,13 | 0,09 | 0,06 | 0,02 | 0,02 | 0,01 | 0,01 | 0,0 |
9 | 1,0 | 0,78 | 0,38 | 0,22 | 0,13 | 0,11 | 0,08 | 0,03 | 0,03 | 0,03 | 0,02 | 0,01 |
10 | 1,0 | 0,74 | 0,40 | 0,22 | 0,14 | 0,15 | 0,10 | 0,05 | 0,08 | 0,04 | 0,12 | 0,08 |
11 | 1,0 | 0,72 | 0,42 | 0,24 | 0,18 | 0,25 | 0,16 | 0,11 | 0,24 | 0,18 | 0,31 | 0,27 |
12 | 1,0 | 0,72 | 0,43 | 0,29 | 0,23 | 0,44 | 0,36 | 0,30 | 0,44 | 0,39 | 0,53 | 0,45 |
13 | 1,0 | 0,71 | 0,45 | 0,36 | 0,35 | 0,65 | 0,60 | 0,54 | 0,73 | 0,64 | 1,00 | 1,00 |
14 | 1,0 | 0,71 | 0,50 | 0,48 | 0,55 | 0,92 | 0,86 | 0,81 | 1,00 | 1,00 | 0,75 | 0,75 |
15 | 1,0 | 0,70 | 0,58 | 0,62 | 0,71 | 1,00 | 1,00 | 1,00 | 0,84 | 0,80 | 0,56 | 0,56 |
16 | 1,0 | 0,72 | 0,63 | 0,78 | 0,94 | 0,93 | 0,88 | 0,83 | 0,63 | 0,60 | 0,41 | 0,40 |
17 | 1,0 | 0,76 | 0,70 | 0,95 | 1,00 | 0,78 | 0,71 | 0,68 | 0,45 | 0,43 | 0,26 | 0,25 |
18 | 1,0 | 0,81 | 0,79 | 1,00 | 0,95 | 0,62 | 0,56 | 0,50 | 0,32 | 0,29 | 0,14 | 0,12 |
19 | 1,0 | 0,84 | 0,88 | 0,96 | 0,82 | 0,45 | 0,39 | 0,35 | 0,20 | 0,15 | 0,06 | 0,04 |
20 | 1,0 | 0,88 | 0,98 | 0,87 | 0,69 | 0,33 | 0,25 | 0,21 | 0,11 | 0,08 | 0,03 | 0,01 |
21 | 1,0 | 0,90 | 1,00 | 0,77 | 0,54 | 0,25 | 0,18 | 0,14 | 0,07 | 0,05 | 0,02 | 0,0 |
22 | 1,0 | 0,94 | 0,98 | 0,66 | 0,44 | 0,18 | 0,14 | 0,10 | 0,04 | 0,03 | 0,01 | 0,0 |
23 | 1,0 | 0,99 | 0,93 | 0,57 | 0,35 | 0,15 | 0,10 | 0,06 | 0,04 | 0,03 | 0,01 | 0,0 |
24 | 1,0 | 1,00 | 0,87 | 0,50 | 0,30 | 0,13 | 0,08 | 0,05 | 0,04 | 0,03 | 0,0 | 0,0 |
1 | 1,0 | 0,99 | 0,81 | 0,43 | 0,26 | 0,12 | 0,07 | 0,05 | 0,03 | 0,03 | 0,0 | 0,0 |
2 | 1,0 | 0,97 | 0,76 | 0,39 | 0,23 | 0,11 | 0,07 | 0,05 | 0,03 | 0,03 | 0,0 | 0,0 |
3 | 1,0 | 0,94 | 0,71 | 0,36 | 0,21 | 0,11 | 0,07 | 0,05 | 0,03 | 0,03 | 0,0 | 0,0 |
4 | 1,0 | 0,91 | 0,66 | 0,33 | 0,19 | 0,10 | 0,06 | 0,04 | 0,03 | 0,03 | 0,0 | 0,0 |
5 | 1,0 | 0,88 | 0,58 | 0,29 | 0,18 | 0,10 | 0,06 | 0,04 | 0,02 | 0,02 | 0,0 | 0,0 |
6 | 1,0 | 0,86 | 0,50 | 0,27 | 0,16 | 0,10 | 0,06 | 0,04 | 0,02 | 0,02 | 0,0 | 0,0 |
7 | 1,0 | 0,84 | 0,42 | 0,24 | 0,14 | 0,09 | 0,06 | 0,04 | 0,02 | 0,01 | 0,0 | 0,0 |
4.5.83. Расчетными характеристиками минимального стока являются минимальный средний суточный расход, минимальный средний месячный расход за календарный месяц или за 30 сут с наименьшим стоком в рассматриваемом периоде (зимнем или летне-осеннем).
4.5.84. При наличии данных гидрометрических наблюдений минимальные расходы воды определяются по аналитическим кривым обеспеченности с использованием приемов их построения, описанных в
пп. 4.5.10 -
4.5.15. Для пересыхающих рек расчетные минимальные расходы воды определяются по эмпирическим кривым обеспеченности.
4.5.85. При недостаточности данных гидрометрических наблюдений производится приведение гидрометрических рядов и их параметров к многолетнему периоду по рекам-аналогам в соответствии с указаниями, изложенными в
пп. 4.5.16 -
4.5.21.
4.5.86. При отсутствии данных гидрометрических наблюдений минимальные средние месячные (30-суточные) расходы воды рекомендуется определять:
а) для средних рек - по картам изолиний минимального стока 80%-ной обеспеченности, представленным в Руководстве
[54] или Справочниках
[49]. Допускается также определять минимальные расходы воды для расчетного створа по интерполяции между значениями, полученными для рядом расположенных пунктов, имеющих длительные ряды наблюдений за минимальным стоком. В горных районах интерполяция производится с учетом вертикальной изменчивости стока.
б) для малых рек - по эмпирическим формулам, устанавливающим региональные зависимости минимальных средних месячных (30-суточных) расходов от площади водосбора.
Переход от минимального среднего месячного (30-суточного) стока 80%-ной обеспеченности к стоку другой расчетной обеспеченности, а также к средним суточным расходам осуществляется путем введения переходных коэффициентов
[54].
Оценка параметров боковой приточности
4.5.87. Под боковым притоком на участке реки понимается суммарный сток воды всех постоянных и временных водотоков, непосредственно впадающих в русло с частного водосбора. При проектировании отдельных водохранилищ расчетный участок реки ограничивается створом плотины и входным створом водохранилища на основной реке. При проектировании каскада водохранилищ расчетные участки ограничиваются створами гидроузлов. В отличие от притока по основным рекам, боковой приток является рассредоточенным.
4.5.88. Приток воды к участку речного русла, ограниченному створами водохранилища, нетождествен притоку воды в создаваемое водохранилище
[42]. В целом приток воды в водохранилище меньше суммарного притока на участке реки на объем бокового притока с частного бассейна, который затапливается при создании водохранилища. В практике проектирования водохранилищ боковой приток к создаваемому водохранилищу (
Wб) определяют по боковому притоку на расчетном участке реки (
W'б) за вычетом потерь на дополнительное испарение с площади затопленной суши

:

(4.55)
где

определяется как разность объемов испарения с водной поверхности (
Wz,в) и с поверхности суши (
Wz,с) на площади затопления, т.е.

. Методы определения

изложены в
разд. 5.3.
Расчеты по
формуле (4.55) в большинстве случаев справедливы для годового интервала времени. Для более коротких периодов (квартал, месяц) это уравнение может быть применено лишь при условии, что в пределах затапливаемой водохранилищем части суши изменением запасов влаги в почвогрунтах и водообменом с подземными водами в течение рассматриваемого промежутка времени можно пренебречь.
При относительно небольших дополнительных потерях на испарение и невысокой точности исходных данных при расчете по
формуле (4.55) допустимо принимать в расчет для каждого конкретного месяца или квартала среднее многолетнее испарение с поверхности суши -

. При этом испарение за год (
Wz,с) может быть определено по разности осадков и стока с площади затопления, а изменение испарения по месяцам может быть установлено по типовому распределению (см.
п. 5.3.1.4).
4.5.89. Основными гидрологическими характеристиками боковой приточности на участке реки являются:
а) объемы (средние расходы) боковой приточности за различные интервалы времени;
б) максимальные расходы боковой приточности;
в) гидрографы боковой приточности.
Методы определения боковой приточности
4.5.90. В зависимости от наличия исходных гидрометрических данных определение боковой приточности осуществляется:
- по сумме расходов притоков, впадающих в пределах участка;
- по методу водного баланса.
4.5.91. Определение боковой приточности по суммарному стоку притоков, впадающих в пределах участка, целесообразно в том случае, когда освещенность частного водосбора наблюдениями на притоках составляет не менее 50%. Этот прием применяется в случае отсутствия непосредственных гидрометрических наблюдений по основному руслу реки или при невозможности построения надежных кривых русловой емкости. С той части частного водосбора, которая освещена гидрометрическими наблюдениями, приток в русло основной реки определяется путем суммирования расходов во всех гидрометрических створах, расположенных на реках частного водосбора, с учетом времени добегания до замыкающего участок створа.
При оценке приточности за длительные интервалы времени (месяц, сезон) временем добегания в несколько суток, особенно для периода устойчивой межени, можно пренебречь. Приток с части водосбора, не освещенной гидрометрическими наблюдениями, определяется методом аналогии. В качестве аналогов могут быть использованы реки, расположенные не только в пределах частного водосбора, но и в пределах соседнего бассейна. При подборе рек-аналогов должны соблюдаться условия, указанные в
п. 4.5.5.
Расчет стока боковой приточности (
Qб) на участке по сумме расходов впадающих рек осуществляется несколькими способами
[42].
В случае когда рек-аналогов достаточно много (шесть-восемь и более), их водосборы примерно одинакового размера и основная доля бокового притока формируется реками того же размера, что и реки-аналоги, расчет осуществляется через средневзвешенный модуль расхода

с учетом площадей водосборов рек-аналогов:

(4.56)
где
Qi - расход в отдельном гидрометрическом створе;
n - количество гидрометрических створов;
K - коэффициент, равный отношению площади всего частного бассейна
F к сумме площадей рек-аналогов

.
Если гидрометрическими створами на впадающих реках контролируется значительная доля площади бассейна водохранилища (более половины) и в пределах частного водосбора нет крупных рек, расчет стока боковой приточности может производиться через средний арифметический модуль стока рек-аналогов по формуле

(4.57)
где Ki = (1/n)(F/Fi). При этом модулю среднего суточного расхода реки-аналога независимо от ее размера придается одинаковый удельный вес.
В случаях когда имеется возможность выполнить анализ условий формирования стока в различных частях бассейна и выделить площади, одинаковые по характеру формирования стока, боковой приток рекомендуется рассчитывать путем отнесения модуля стока реки-аналога к тяготеющей площади:

(4.58)
Здесь

,

, ... - площади, тяготеющие к створам 1, 2 и т.д. Данный способ рекомендуется в основном для подсчета бокового притока за сравнительно большие интервалы времени (декада, месяц), когда затушевываются индивидуальные особенности водного режима рек, связанные с различиями в физико-географических условиях их бассейнов.
При наличии достаточного количества рек-аналогов применяется детальный метод расчета, обеспечивающий заметное повышение точности подсчета бокового притока (реки с площадями водосборов Ti > 10 000 км2 рассматриваются обычно в индивидуальном порядке). В этом случае предварительно определяется общая площадь водосборов всех водотоков, непосредственно впадающих на расчетном участке, сначала отдельно по диапазонам 0 - 500, 500 - 2000, 2000 - 5000 и 5000 - 10 000 км2, а затем в сумме:

(4.59)
Для каждого диапазона площадей подбирается не менее двух-трех рек-аналогов соответствующих размеров и тогда

(4.60)
где

- средний арифметический модуль стока по рекам-аналогам с площадью водосбора 0 <
Fi < 500 км
2,

- то же, по рекам-аналогам с площадью водосбора 500 <
Fi < 2000 км
2 и т.д.
Применение этого приема целесообразно, когда, хотя бы для отдельных лет или периодов года, обнаруживается пусть приближенная редукция (зависимость) модуля стока Mi от площади водосбора Fi.
В горных условиях для установления стока с не освещенной данными наблюдений части частного водосбора используются зависимости модуля стока от средней высоты водосбора.
При полном отсутствии данных наблюдений на притоках между створами средневзвешенный модуль стока за годовой период может быть приближенно определен по региональным картам среднего годового стока. Распределение годового стока по сезонам и месяцам производится по аналогии с изученной рекой или по типовому распределению стока.
4.5.92. Метод водного баланса основан на решении уравнения водного баланса (неразрывности) участка реки за интервал времени

, которое может быть представлено в виде

(4.61)
где
Wy,в - поступление воды на участок через верхний створ;
Wy,б.п - поступление воды за счет боковых притоков;
Wy,п - поступление воды из напорных водоносных горизонтов и из горизонтов подземных вод со свободным зеркалом, разгружающихся в русло реки;
Wq - водообмен со свободным водоносным горизонтом, гидравлически связанным с рекой в периоды подъема и спада уровней в реке;
Wz,в - потери (или пополнение) воды на участке за счет испарения (или конденсации) с водной поверхности;
Wx - поступление воды в виде осадков, выпадающих на водную поверхность участка;
Wл - пополнение (потери) воды за счет таяния (ледообразования) в течение зимнего периода;

- изменение объема воды на участке за интервал времени

;
Wy,н - сток через нижнее сечение участка.
| | ИС МЕГАНОРМ: примечание. В официальном тексте документа, видимо, допущена опечатка: имеется в виду формула (4.62), а не формула (4.61). | |
Боковая приточность
Wy,б, которую можно представить в виде суммы двух составляющих
Wy,б.п и
Wy,п, определяется из
уравнения (4.61):

(4.62)
Объемы воды, проходящие через верхний (
Wy,в) и нижний (
Wy,н) створы участка, определяются по материалам подсчета стока в этих створах в соответствии с рекомендациями, изложенными в
разд. 4.2.
Определение испарения с водной поверхности
Wz,в производится с использованием методов, изложенных в
п. 5.3.1.1 настоящего Руководства. Если имеет место конденсация влаги на поверхности воды, ее, как правило, не учитывают вследствие пренебрежимо малого значения данной величины.
Осадки на водную поверхность расчетного участка реки
Wx оцениваются по данным наблюдений осадкомерной сети с обязательным введением в измеренные значения осадков поправок на ветровой недоучет, смачивание осадкомерного ведра и испарение из него в соответствии с рекомендациями работы
[36].
Для водотоков, расположенных в зонах достаточного и избыточного увлажнения, в большинстве случаев можно принимать, что осадки
Wx и испарение
Wz,в компенсируют друг друга, и в этом случае решение
уравнения (4.62) упрощается. Для водотоков засушливых районов и водотоков, находящихся в подпоре, указанное положение нарушается и возникает необходимость в определении обеих составляющих
Wx и
Wz,в.
Значения Wл определяются, как правило, весьма приближенно, и обычно ими можно пренебречь из-за их малости по сравнению с основными составляющими уравнения водного баланса. Необходимость в определении значений Wл возникает для тех участков рек, для которых характерно образование наледей.
Значения водообмена с водоносными горизонтами (
Wq) могут быть оценены лишь путем проведения специальных гидрогеологических работ
[44]. При расчетах по
уравнению (4.62) в целом для периода половодья или паводка с известным приближением принимается, что

, и в этом случае данный элемент из уравнения исключается.
Наполнение (сработка) русловой емкости

определяется по кривым русловой и пойменной емкости по разности объемов на начало и конец рассматриваемого интервала времени

.
Различают два основных вида вышеуказанных кривых
[41]. Один вид кривой представляет собой связь между объемом воды на участке реки и соответствующим уровнем при условии, что водная поверхность на всем участке горизонтальна или почти горизонтальна. Другой вид кривой отражает зависимость объема воды от среднего на участке расхода воды при установившемся движении и естественном уклоне водной поверхности.
В качестве основного при построении кривых русловой и пойменной емкости рекомендуется метод, основанный на совместном использовании морфометрических характеристик рек и гидрометрических наблюдений в створах. Построение кривой в этом случае сводится к трем основным операциям:
1) построению системы продольных профилей водной поверхности при разных расходах воды;
2) перенесению отметок с каждого продольного профиля на карту местности и определению площади водного зеркала по отдельным подучасткам (или площади поперечного сечения по отдельным створам);
3) подсчету объема воды по каждому сравнительно однородному в морфометрическом отношении участку и их последующему суммированию.
Первая операция, т.е. построение системы продольных профилей водной поверхности, осуществляется через так называемую "елочку" кривых расходов (см.
п. 4.4.2). При построении продольных профилей рекомендуется принимать округленные значения расходов воды, что облегчает интерполяцию. В связи с тем что кривые расходов имеются только в гидрометрических створах, их перенесение на уровенные посты осуществляется с помощью приемов, изложенных в
п. 4.2.11. Обязательным условием правильности построения продольного профиля является необходимость соблюдения единой высотной основы при определении отметок уровней воды.
Вторая операция по построению кривых русловой и пойменной емкости в зависимости от наличия исходных материалов может применяться в двух вариантах. В случаях когда имеются крупномасштабные топографические карты и лоцманские карты, кривые русловой и пойменной емкости строятся с использованием данных о площадях водного зеркала на участке. Последние определяются путем планиметрирования горизонталей на топографических картах выше уреза воды и изобат на лоцманских картах ниже уреза воды. Участки сравнительно большой длины разбиваются на подучастки, в пределах которых водная поверхность принимается горизонтальной, а ее отметка - равной полусумме отметок на границах участка. Границы подучастков обычно приурочиваются к местам характерных изменений площадей живого сечения (устья впадающих рек, сужения, расширения и др.).
По данным о площадях водного зеркала на участке
f и соответствующих им средних уровнях
H строятся кривые зависимости

для каждого подучастка. Подсчет приращений русловой и пойменной емкостей

при различных уровнях
H производится на основании кривых зависимости

путем последовательного суммирования площадей, ограниченных кривой связи
f(
H) и осью ординат
H, начиная от уровня
H0, соответствующего пересыханию русла (
f = 0), до заданного уровня
H.
В результате последовательного суммирования приращений строятся кривые зависимости динамической русловой и пойменной емкости
W от уровня
H для каждого подучастка. С продольных профилей снимаются уровни на середину каждого подучастка, соответствующие заданным расходам в нижнем створе, и по кривым

определяются русловые и пойменные емкости.
В случае отсутствия топографических и гидрографических материалов, позволяющих определить русловые емкости изложенным выше способом, оценка последних может быть произведена по площадям водных сечений на участке. В этом случае необходимыми исходными данными являются длина участка
l и площади водных сечений по длине участка -

. Для более надежного подсчета русловой емкости этим способом на участке реки рекомендуется иметь достаточное количество поперечных профилей водного сечения, отображающих изменения (сужения, расширения) реки в плане. Площади водного сечения подсчитываются аналитически для разных значений уровня воды. Затем строятся кривые зависимости

для каждого поперечного профиля водного сечения. С продольных профилей снимаются уровни в створах поперечных сечений, соответствующие заданным расходам в нижнем створе, и по кривым

определяются площади водных сечений. Подсчет русловой емкости ведется по подучасткам между поперечными сечениями. При наличии, например, трех поперечных сечений объем воды на подучастке при заданном расходе воды
Q определяется по зависимости

(4.63)
где

,

,

- площади поперечных сечений в створах I, II и III при расходе
Q;
lI-II и
lII-III - расстояния между створами.
Третья операция состоит в суммировании русловых и пойменных емкостей по подучасткам и построении кривой зависимости русловой емкости всего участка от расходов воды в нижнем створе

. По данной кривой определяется сработка или наполнение русловой емкости

для заданных расходов воды в нижнем створе участка за расчетный интервал времени

.
Помимо изложенного детального способа построения кривых русловой и пойменной емкости по данным непосредственных измерений морфометрических характеристик рек и материалам гидрометрических наблюдений для данной цели могут быть применены и косвенные методы. В качестве таковых можно отметить методы построения кривых русловой и пойменной емкости по морфометрическим зависимостям, по уравнению водного баланса, путем подбора и др. Способы использования косвенных методов изложены в работе
[41].
Для коротких участков при небольшом времени добегания расчет изменения русловой и пойменной емкости

за интервал времени

может производиться по формуле

(4.64)
где

- в м
3;
B - ширина расчетного участка реки, м;
l - длина участка реки, м;

- изменение среднего уровня воды на участке за интервал времени

, см.
Значения средних уровней на расчетные интервалы времени определяются по данным всех уровенных постов на участке как средневзвешенные с учетом площадей водной поверхности между постами.
Приближенно значения

могут быть определены по изменению среднего расхода воды на участке

за интервал времени

с учетом времени добегания

:

(4.65)
Средний расход воды на приточном участке реки рекомендуется определять как средневзвешенный с учетом типа боковой приточности, т.е.

(4.66)
где
Qв и
Qн - соответственно расходы воды в верхнем и нижнем створах участка, м
3/с;
K - коэффициент, выражающий удельное влияние расходов в указанных створах, причем 0 <
K < 1. Приемы определения коэффициента
K изложены в пособии
[41]. При отсутствии притоков на участке между верхним и нижним гидростворами, а также при ориентировочных расчетах коэффициент
K принимается равным 1/2.
Приемы оценки времени добегания

приведены в конце данного раздела.
Выше были изложены приемы определения отдельных составляющих
уравнения (4.62). В большинстве случаев вследствие небольшого удельного веса таких составляющих
уравнения (4.62), как
Wq,
Wл, а также разности (
wz,в -
Wx), данное уравнение может использоваться в виде

(4.67)
В случае когда длительность расчетного интервала

превышает время добегания на расчетном участке

в 1,5 - 2 раза и более, расчет боковой приточности может производиться по разности объемов в замыкающих участок створах с учетом времени добегания по выражению
[35]

(4.68)
Время добегания в зависимости от наличия исходных материалов может быть определено различными способами.
Наиболее распространенным способом является определение времени добегания по соответственным уровням воды. В этом случае по ежедневным уровням воды в верхнем и нижнем створах участка (или по совмещенным графикам колебаний уровня) за ряд лет выбираются соответственные уровни и даты их наступления в створах. Разница между сроками наступления соответственных уровней в створах принимается за время добегания воды на участке. По результатам такой выборки строится зависимость времени добегания от уровня воды в нижнем створе

. Последняя с помощью кривой расходов для нижнего створа может быть перестроена в зависимость

.
Этот способ определения времени добегания рекомендуется применять в случае незначительного бокового притока на участке. При наличии значительной боковой приточности построение указанных зависимостей может оказаться затруднительным вследствие несинхронности поступления расходов воды в отдельные фазы режима реки по главному руслу и боковым притокам.
Изложенный выше способ может быть применен и в несколько ином варианте
[23]. По заданным уровням воды в верхнем створе участка и наиболее вероятным для этих уровней значениям времени добегания по графикам соответственных уровней определяются уровни воды в нижнем створе для принятых сроков добегания за ряд лет. Подсчитываются средние многолетние уровни в нижнем створе для принятых сроков добегания, ежегодные отклонения от этих уровней и средние отклонения. По минимальному среднему отклонению определяются искомое время добегания и соответственный уровень в нижнем створе. Последний находится как средний из уровней нижнего створа, сдвинутых по отношению к заданному уровню верхнего створа на вычисленное время добегания. После выполнения вышеуказанных расчетов для ряда уровней верхнего створа, освещающих амплитуду колебаний уровня на данном участке, строится зависимость
Hв =
f(
Hн), а затем и зависимость

. Пример расчета времени добегания данным способом приведен в
прил. 11.
В случаях когда для рассматриваемого участка реки имеется кривая русловой емкости

, время добегания определяется из
выражения (4.65). Приближенно время добегания можно оценить по формуле

(4.69)
где l - длина участка, vдоб - скорость добегания воды на участке, м/с.
Для беспойменных участков рек допустимо считать, что скорость течения воды на расчетном участке и скорость добегания воды на участке приблизительно одинаковы.
На участках рек, где имеется пойма и граничные створы нерепрезентативны, для определения
vдоб, согласно работе
[42], применяется формула

(4.70)
В случае отсутствия необходимых данных для построения кривой русловой емкости и при слабой освещенности частного водосбора гидрометрическими наблюдениями на притоках, боковая приточность за год или за более короткий интервал времени с замкнутым циклом режима реки может быть определена как разность расходов в замыкающих участок створах, т.е.
В этом случае в целях исключения влияния русловой емкости разрезка года и сезонов производится таким образом, чтобы изменение объема руслового регулирования на участке от конца одного года (сезона) к началу последующего было минимальным.
Распределение сезонного стока по месяцам производится по аналогии с внутригодовым распределением стока на притоках участка, освещенных гидрометрическими наблюдениями, с использованием средневзвешенных модульных коэффициентов, определяемых по выражению

(4.72)
где Ki - модульный коэффициент, представляющий собой отношение среднего месячного расхода воды к среднему сезонному расходу на отдельной реке; Fi - площадь водосбора отдельной реки до гидрометрического створа, км2.
Полученные по
уравнениям (4.62),
(4.67),
(4.68) и
(4.71) значения боковой приточности сопоставляются со значениями приточности, определенными путем суммирования имеющихся данных по расходам воды притоков, непосредственно впадающих в пределах участка и освещающих, как правило, лишь часть приточности рассматриваемого участка реки. Водный баланс участка считается удовлетворительно увязанным, если гидрограф боковой приточности, полученный по уравнению водного баланса, оказывается синхронным с суммарным гидрографом, полученным по данным наблюдений на притоках, а модули стока за отдельные интервалы времени совпадают или достаточно близки между собой. В случае когда непосредственными гидрометрическими наблюдениями на притоках освещается значительная доля стока частного водосбора (более 50%), эта приточность вводится в уравнение водного баланса как самостоятельный элемент. При этом приточность с не освещенной наблюдениями площади оценивается способами, изложенными в
п. 4.5.91.
Невязка (несходимость) баланса, являющаяся главным образом результатом погрешности измерений и неточности подсчета в гидрометрических створах, а отчасти погрешностей определения отдельных элементов баланса или их неучета, распределяется между отдельными составляющими уравнения следующим образом. Если члены уравнения баланса имеют одинаковую степень надежности, невязка разбрасывается пропорционально значениям слагаемых уравнения. В противном случае менее надежные элементы баланса должны получать

поправку.
В случае получения значительных невязок, которые при их распределении по элементам баланса не укладываются в пределы погрешностей гидрометрических наблюдений за отдельными элементами баланса, необходимо выполнить дополнительный анализ произведенных расчетов в целях их уточнения.
Метод водного баланса дает надежные результаты при расчете боковой приточности, во-первых, когда имеются достаточно детальные топографические и морфометрические материалы и продольные профили водной поверхности на протяжении рассматриваемого участка, построенные по показаниям сравнительно многочисленных гидрологических постов, и, во-вторых, когда не учитываемые в уравнении элементы баланса пренебрежимо малы, укладываются в границы погрешностей гидрометрических измерений и не могут существенно исказить результаты расчета боковой приточности.
Случайная ошибка вычисления расхода боковой приточности по
уравнению (4.67) складывается из ошибки определения разности расходов за период времени
T в ограничивающих участок створах

и ошибки определения изменений русловой емкости

:

(4.73)
Точность определения боковой приточности по
выражению (4.68) обусловливается, с одной стороны, точностью учета стока в замыкающих участок створах, а с другой - точностью установления времени добегания на участке

.
Ошибки, обусловленные неточностью учета стока в замыкающих створах, представляют собой совокупность случайных и систематических погрешностей измерений расходов воды в указанных створах.
Случайные ошибки связаны в основном с рассеянием точек измеренных расходов около кривой расходов

.
Абсолютная средняя квадратическая ошибка определения среднего расхода воды за интервал времени T при T >= 5 сут и 0 <= R <= 0,5 равна

(4.74)
где

- относительное среднее квадратическое отклонение измеренных расходов от кривой

;
RQ - коэффициент корреляции между ошибками расходов воды за смежные сутки.
При неизменных гидравлических условиях протекания речного потока разброс точек около кривой

почти всецело обусловливается погрешностью самого измерения расхода воды, и коэффициент корреляции

. При изменении условий протекания (вследствие деформации русла, наличия подпора и т.п.) коэффициент корреляции
R >> 0. Поскольку определение коэффициента корреляции
R в большинстве случаев затруднено из-за отсутствия частых измерений расходов воды, можно приближенно принимать, что ошибка декадного расхода

равна 0,7, а месячного расхода

- 0,5 ошибки среднего суточного расхода воды.
Абсолютная случайная ошибка вычисления средних за период разностей расходов в двух смежных створах

при условии, что погрешности измерений расходов воды в этих створах независимы друг от друга и гидравлические условия протекания речного потока неизменны (т.е. при разбросе точек около кривой

, почти полностью обусловленном погрешностью измерения расхода воды), определяется по формуле

(4.75)
Относительная ошибка разности расходов в этих условиях

(4.76)
Для относительно устойчивых кривых расходов воды на равнинных реках величина

для всей амплитуды колебаний расхода может быть принята равной 5%.

(4.77)
Из данного выражения следует, что относительная случайная ошибка разности расходов в двух смежных створах

уменьшается с увеличением

и интервала
T и, наоборот, возрастает с уменьшением

и
T. Поэтому при определении боковой приточности по разности расходов в ограничивающих участок створах следует стремиться как к увеличению интервала времени, за который определяется боковой приток, так и к большему удельному весу этой приточности по отношению к расходам в замыкающих створах.
Практически целесообразно определять боковую приточность по разности расходов в створах, ограничивающих участок, в том случае, когда приращение стока на рассматриваемом участке составляет не менее 50% расхода воды в верхнем створе

. При меньших значениях отношения

возможны значительные погрешности.
4.5.93. В отдельных случаях для оценки боковой приточности могут применяться графики связи между суммарным поверхностным притоком со всего водосбора и притоком с части водосбора. Этот прием дает удовлетворительные результаты в том случае, если в течение достаточно длительного ряда лет происходило постоянное расширение сети наблюдений за стоком с частного водосбора и в последние годы эта сеть позволяет почти полностью оценить сток боковых притоков.
Расчеты стока боковой приточности
4.5.94. Расчеты годового и сезонного стока боковой приточности, а также расчеты максимального стока и гидрографов половодий и паводков в зависимости от наличия данных наблюдений производятся с помощью приемов, изложенных в
пп. 4.5.1 -
4.5.82. Расчеты выполняются по средним суточным расходам. При необходимости получить максимальные расходы воды боковой приточности по срочным наблюдениям используются графики связи между срочными и средними суточными расходами или осредненные для разных интервалов расходов и площадей водосбора переходные коэффициенты, которые устанавливаются по материалам многолетних наблюдений на притоках исследуемого участка реки.
4.5.95. Определение максимального стока боковой приточности рекомендуется производить путем непосредственного суммирования расходов отдельных притоков, приходящих одновременно к замыкающему (нижнему) створу участка (см.
п. 4.5.91).
В процессе суммирования учитывается время добегания от гидрометрического створа на притоке до его устья и от устья до замыкающего участок створа по главной реке.
Вследствие разновременности добегания по притокам к замыкающему створу и несинхронности процессов формирования половодий и паводков на разных притоках ежегодные максимальные расходы всей боковой приточности могут быть определены лишь в результате суммирования соответственных средних суточных расходов за ряд суток периода наибольшей волны половодья или паводка.
При использовании
формулы (4.67) для определения максимальных расходов и построения гидрографов могут быть значительные ошибки за счет случайных и систематических ошибок подсчета стока в створах, с одной стороны, и за счет ошибок определения русловой емкости для суточных интервалов времени - с другой. В результате гидрограф, рассчитанный этим методом, приобретает резко пилообразную форму, вследствие чего его необходимо сглаживать.
Определение максимальных расходов воды по
формуле (4.68) - по разности соответственных расходов воды в верхнем и нижнем створах участка с учетом времени добегания - при незначительной боковой приточности может привести к большим ошибкам как за счет случайных и систематических ошибок, так и за счет неточного определения времени добегания между створами. Ошибка в установлении времени добегания особенно сказывается в случае многопиковых гидрографов, когда небольшая сдвижка во времени добегания существенно сказывается на разности так называемых соответственных расходов.
Поэтому при использовании данного способа необходимо предварительно либо трансформировать гидрограф в верхнем створе, либо ретрансформировать гидрограф в нижнем створе в целях исключения руслового регулирования на участке между створами.
4.5.96. Необходимость в построении расчетных гидрографов боковой приточности возникает в тех случаях, когда проектируемое водохранилище в дополнение к задачам регулирования стока предназначено для "срезки" половодий и паводков в целях уменьшения размеров водосбросных сооружений и борьбы с наводнениями. При незначительной регулирующей емкости водохранилища, способной аккумулировать часть стока на подъеме волны половодья, не "срезая" его пика, надобность в построении расчетного гидрографа отпадает.
Для рек, в режиме которых ежегодно отчетливо выделяются основные волны высокого стока и период наблюдений на которых достаточен для построения кривых обеспеченности, построение расчетных гидрографов осуществляется по методике, обеспечивающей равенство вероятностей превышения максимального расхода, объема стока волны принятой длительности и общего объема половодья.
4.5.97. Расчет гидрографа боковой приточности и не освещенной наблюдениями части водосбора (
Fн.о) производится косвенными методами.
В зависимости от конкретных условий (характер и размеры рек, степень соответствия физико-географических, морфометрических, почвенно-геологических условий их водосборов и т.д.) гидрограф с этой части водосбора может быть получен несколькими способами.
1. Если не освещенная наблюдениями площадь представлена сравнительно небольшими водотоками, близкими по размерам и физико-географическим условиям, то суммарный гидрограф максимального стока с этой площади может быть получен умножением ординат гидрографа реки-аналога на коэффициент, равный отношению водосборных площадей K = Fн.о/Fа.
2. В случае когда не освещенная наблюдениями площадь представлена притоками с различными водосборными площадями и различными физико-географическими условиями, построение суммарного гидрографа производится по нескольким аналогам.
Гидрограф со всего частного водосбора в обоих случаях получают путем суммирования гидрографов стока с освещенной и не освещенной гидрометрическими наблюдениями частей водосбора.
3. Если по особенностям водного режима и физико-географическим условиям (по характеру водоносности, по размерам водосборных площадей и их морфометрии, по времени добегания от гидрометрических створов до замыкающего створа) водосборы рек, расположенные на не освещенной наблюдениями территории, не отличаются от водосборов, расположенных на территории, освещенной наблюдениями, то ординаты искомого гидрографа могут быть получены путем отнесения к не освещенной наблюдениями площади ежедневных ординат гидрографа, полученного суммированием гидрографов отдельных рек с площади, освещенной наблюдениями:

(4.78)
Практически гидрограф стока со всего частного водосбора получают по выражению
Q/F = KQосв/Fосв, (4.79)
где K = Fосв/F.
4. В случае когда частный водосбор, хотя бы за короткий период, освещен наблюдениями полностью, для получения боковой приточности за годы с недостатком наблюдений используются графики связи между притоком со всего частного водосбора и притоком с части водосбора.
5. В качестве приближенного способа определения максимальных расходов со всего частного водосбора, физико-географические условия которого более или менее однородны и имеется довольно много пунктов наблюдений за стоком рек, может быть рекомендовано использование формул, учитывающих редукцию модулей максимального стока с увеличением площади водосбора. Расчетные значения максимальных расходов боковой приточности в этом случае определяются по осредненному значению показателя степени редукции
n модуля максимального расхода
Mмакс (например,
n среднее из

и

, и ежегодным средним арифметическим значениям параметра
Ai

(4.80)
где
Ai - среднее арифметическое значение из модулей максимальных расходов по
m рекам данного водосбора за
i-й год, приведенных к площади 1 км
2,

- площадь частного водосбора.
Для контроля ординаты суммарного гидрографа бокового притока и объем стока его за отдельные интервалы времени сопоставляются и увязываются с разностью соответственных расходов в ограничивающих участок створах и с объемами стока, полученными по уравнению водного баланса. При этом должен соблюдаться баланс объемов воды между створами участка на основной реке.
4.5.98. При расчете регулирования (трансформации) половодий и паводков каскадом водохранилищ расчетные гидрографы притока к верхнему гидроузлу и боковой приточности между гидроузлами должны быть календарно увязаны между собой для всех участков каскада. Построение гидрографов в этом случае производится по моделям многоводных половодий и паводков реальных лет, общих для всех ступеней каскада. При этом в качестве модели для распределения стока в расчетных гидрографах принимается тот год, в котором сочетание стока по участкам каскада наиболее неблагоприятно с точки зрения трансформации. Гидрографы этих реальных лет приводят к заданной обеспеченности в соответствии с характеристиками стока в створе того из сооружений каскада, достаточность водопропускных отверстий которого проверяется. При этом должен быть сохранен баланс объемов стока расчетных гидрографов по длине реки за календарные отрезки времени (обеспеченности частных гидрографов по длине реки получаются отличными от обеспеченности расчетных гидрографов в створе проектируемого сооружения).
Длительность периода, в течение которого сохраняется баланс объемов стока по длине реки, принимается в зависимости от размеров регулирующей емкости водохранилищ в рассматриваемом каскаде. В тех случаях, когда в каскаде участвуют водохранилища значительной емкости, баланс объемов может приниматься для всего периода половодья или паводка длительностью 2 - 4 месяца и более. Пример построения расчетных гидрографов в каскаде при сочетании объемов частных гидрографов, принятых по модели реальных многоводных лет, приведен в
прил. 11.
В случае необходимости по условиям пропуска половодий и паводков через сооружения каскада принимают заданную обеспеченность не только в рассматриваемом замыкающем створе каскада, но и в другом или нескольких створах сооружений каскада. По условиям сохранения баланса объемов остальные участки каскада, на которых расположены водохранилища с большими регулирующими емкостями, приобретают в этом случае более высокие значения обеспеченности.
Максимальные расходы половодий и паводков при расчетах регулирования стока каскадом водохранилищ принимаются той же обеспеченности, что и объемы рассматриваемых гидрографов.
Для получения различных теоретически возможных сочетаний обеспеченностей объемов притока к водохранилищам каскада на основе характеристик корреляционной связи между рассматриваемыми объемами может служить метод статистических испытаний (метод Монте-Карло)
[9].
5. ОЦЕНКА ИЗМЕНЕНИЙ ВОДНЫХ РЕСУРСОВ
ПРИ СОЗДАНИИ ВОДОХРАНИЛИЩ
5.1.1. Изменения водных ресурсов происходят в основном при сооружении речных водохранилищ, когда дополнительному затоплению подвергаются большие массивы прилегающих земель. Для озерных водохранилищ, создаваемых вследствие подпора озер, изменения водных ресурсов незначительны, и ими, как правило, пренебрегают.
5.1.2. При создании речных водохранилищ изменения водных ресурсов затопленной и прилегающих территорий связаны с нарушением соотношений между отдельными элементами водного баланса создаваемого водохранилища по сравнению с естественной территорией до ее затопления. Различают временные и постоянные изменения водных ресурсов, связанные с созданием и эксплуатацией водохранилищ.
5.1.3. К временным изменениям относятся такие, которые имеют место лишь в отдельные периоды строительства и эксплуатации водохранилищ. Основными видами временных изменений водных ресурсов являются потери стока на заполнение мертвых объемов водохранилищ в период их наполнения и на пополнение запасов подземных вод. Кроме того, для водохранилищ многолетнего и сезонного регулирования, расположенных в зоне умеренного климата, в период их зимней сработки имеют место временные потери воды за счет оседания льда и покрывающего его снега на берегах водохранилища. Весной этот вид потерь компенсируется за счет поступления в водохранилище с берегов льда и покрывающего его снега при весеннем подъеме уровня воды.
5.1.4. К постоянным относятся изменения водных ресурсов, связанные с дополнительным испарением с водной поверхности зон затопления, с подтоплением прилегающих к водохранилищу земель и с изменением режима заливаемости в нижних бьефах подпорных гидротехнических сооружений.
5.1.5. Расчеты изменений водных ресурсов при проектировании водохранилищ производятся для средних многолетних условий с использованием в качестве исходной информации средних многолетних значений отдельных гидрометеорологических элементов. В зависимости от объекта проектирования расчеты выполняются либо для нормального подпорного уровня (НПУ), либо для уровней, меняющихся в течение года в соответствии с принятым по проекту характером регулирования стока.
5.1.6. Расчетный интервал времени при оценке изменений водных ресурсов устанавливается заданием на проектирование. Как правило, за расчетный интервал времени принимается месяц. В отдельных случаях допускается производить оценку изменений водных ресурсов в целом за год.
5.2. Оценка временных изменений водных ресурсов
5.2.1. Количество воды, расходуемой на заполнение мертвого объема проектируемого водохранилища, определяется по кривой объемов для отметки УМО, устанавливаемой заданием на проектирование. При наполнении водохранилища в течение нескольких лет ежегодные объемы воды, идущие на заполнение мертвого объема, определяются в соответствии с устанавливаемым режимом наполнения.
5.2.2. Потери, связанные с расходованием речного стока на пополнение запасов подземных вод при создании водохранилища, имеют место в период с момента заполнения водохранилища до наступления установившегося режима подземных вод. Для крупных равнинных водохранилищ продолжительность этого периода может составлять 7 - 15 лет
[64]. Наибольшие потери данного вида имеют место при сооружении водохранилищ в зоне недостаточного увлажнения, где уровни грунтовых вод в естественных условиях располагаются на значительной глубине.
При наличии детальных гидрогеологических данных объемы воды, идущие на пополнение запасов грунтовых вод при создании водохранилища, оцениваются в соответствии с рекомендациями, изложенными в работе
[44].
Для крупных равнинных водохранилищ годовые потери стока на пополнение запасов подземных вод в районах, прилегающих к водохранилищу, (
Wп) могут быть ориентировочно оценены по зависимости
[65]

(5.1)
где hгр - средняя глубина залегания грунтовых вод в районе водохранилища до его создания, м; Kв - коэффициент водоотдачи грунтов; W'а - объем воды, израсходованный на заполнение водохранилища в данном году, км3.
Общий объем потерь складывается из частных объемов потерь, рассчитанных по
выражению (5.1) за период наполнения водохранилища до отметки НПУ.
5.2.3. Оценка временных потерь воды, за счет оседания льда и покрывающего его снега на берегах водохранилища, производится для водохранилищ многолетнего и сезонного регулирования, расположенных в зоне умеренного климата, для которых проектом предусматривается зимняя сработка запасов воды. Месячные объемы воды, заключенной в осевшем на берегу льду (Wл, км3), определяются по зависимости
Wл = 103(fн + fк)(hн + hк)/2, (5.2)
где fн и fк - площади зеркала водохранилища в начале и конце расчетного периода, определяемые для заданных проектом положений уровенной поверхности по кривой площадей, км2; hн и hк - толщина ледяного покрова на начало и конец расчетного интервала времени, м.
Весной для таких водохранилищ производится оценка дополнительного притока воды за счет поступления в водохранилище всплывшего льда и покрывающего его снега, которые в предшествующий период зимней сработки уровня осели на прибрежных участках водохранилища. Если весенний подъем уровня воды в первый расчетный месяц охватывает максимальные отметки стояния уровня в период ледостава, то весь объем воды, заключенный в осевшем за зиму льду, считается поступившим в водоем в первый расчетный месяц. Если уровень воды в первый весенний месяц не достигает максимальных отметок, имевших место в период ледостава, расчет объема воды, поступившего в водохранилище за счет всплывшего льда и снега, осуществляется для ряда весенних месяцев по графику связи

, где
H - уровень воды в водохранилище.
5.3. Оценка постоянных изменений водных ресурсов
5.3.1. Объем потерь воды за счет изменения испарения с зоны затопления (Wz, км3) для годового периода определяется по зависимостям:

(5.3)

(5.4)
где
zв - испарение с водной поверхности, мм;
xв - осадки на зеркало водохранилища, мм;
yз - сток, формирующийся в пределах суши, затапливаемой водохранилищем, мм;
zс - испарение с суши, затапливаемой водохранилищем, мм;
f - площадь зеркала водохранилища, км
2;

- коэффициент затопления, равный

, где
fр.с - площадь русла в естественном состоянии.
Расчет месячных изменений речного стока при заданном проектом режиме регулирования производится по формулам:

(5.5)

(5.6)
где q - изменение запасов воды в русловой сети за расчетный месяц, мм; Wа - изменение объема водной массы водохранилища за счет регулирования, км3.
Отдельные составляющие, входящие в
формулы (5.3) -
(5.6), рассчитываются следующим образом.
5.3.1.1. Расчет испарения с водной поверхности
zв производится для периода открытой воды. В месяцы с ледоставом принимается, что
zв =
zс.
В зависимости от размера проектируемого водохранилища и имеющихся исходных гидрометеорологических материалов расчет испарения с водной поверхности рекомендуется производить одним из следующих способов:
- по данным водноиспарительных установок;
- по эмпирическим формулам.
Данные плавучих испарительных бассейнов площадью 20 и 3 м2 и плавучего испарителя ГГИ-3000 могут быть непосредственно использованы для оценки испарения с водохранилищ площадью до 5 км2, проектируемых в районе размещения испарительных установок.
При наличии данных по плавучему испарительному бассейну площадью 20 м2 его показания принимаются за реальное испарение с водохранилищ указанной площади. Переход от показаний плавучего испарительного бассейна площадью 3 м2 (z'3) к испарению с водохранилища (zв) осуществляется путем введения поправочного коэффициента, равного 0,86, т.е. zв = 0,86z'3. При наличии данных по плавучему испарителю ГГИ-3000 (z'0,3) переход от его показаний к испарению с водохранилища производится путем введения поправочного коэффициента, равного 0,8, т.е. zв = 0,8z'0,3.
Оценка испарения с водохранилищ, имеющих площади более 5 км2, производится по данным об испарении с водохранилищ площадью до 5 км2 с учетом гидрометеорологического коэффициента Kгм. Последний находится по зависимости

(5.7)
где
u2 - осредненное значение скорости ветра над водоемом на высоте 2 м;

- скорость ветра над испарительной установкой на высоте 2 м;
e0 и

- максимальная упругость водяного пара, определяемая в зависимости от средней месячной температуры поверхности воды проектируемого водохранилища и температуры воды в испарителе;
e2 и

- средние за расчетный интервал времени значения абсолютной влажности воздуха на высоте 2 м над водохранилищем и испарителем.
Методика оценки
u2,
e0 и
e2, а также средней месячной температуры поверхности водохранилища изложена в
разд. 5.4.
Переход от показаний наземного испарителя ГГИ-3000 к испарению с водохранилища площадью до 5 км
2 осуществляется следующим образом
[10]. Сначала производится пересчет данных, полученных по наземному испарителю ГГИ-3000, на плавучий испаритель аналогичной конструкции. Для этого определяется значение коэффициента

по формуле

(5.8)
где
e0 - максимальная упругость водяного пара, определяемая по температуре поверхностного слоя воды в водохранилище;

- абсолютная влажность воздуха, измеренная на высоте 2 м над наземным испарителем;

- максимальная упругость водяного пара, определяемая по температуре поверхностного слоя воды в наземном испарителе.
По полученным значениям

и измеренному испарению с поверхности наземного испарителя ГГИ-3000 по номограмме, приведенной на
рис. 5.1, определяется месячная сумма испарения с плавучего испарителя ГГИ-3000. Переход от показаний плавучего испарителя ГГИ-3000 к испарению с водохранилища изложен выше.
При использовании эмпирических формул испарение с водохранилища (
zв, мм), расположенного на равнинной территории, определяется в соответствии с Указаниями
[59] по формуле
zв = 0,14
n(
e0 -
e2)(1 + 0,72
u2), (5.9)
где n - число суток в расчетном интервале времени, за который принимается месяц, а в начале и конце периода открытой воды соответствующее число суток от даты вскрытия до конца расчетного месяца и от начала последнего расчетного месяца до даты замерзания водоема.
Рис. 5.1. Номограмма для определения месячных сумм испарения
с водной поверхности zв в зависимости от суммы испарения
с континентального испарителя ГГИ-3000 z0,3 и значений
коэффициента

Максимальная упругость (
e0, мбар), абсолютная влажность воздуха (
e2, мбар) и скорость ветра (
u2, м/с) над водоемом, средние за месяц (или неполный месяц), рассчитываются по методикам, изложенным в
разд. 5.4.
Расчет испарения с проектируемых водохранилищ в районах с безледоставной зимой в том случае, когда температура поверхностного слоя воды на 5 °C и более выше температуры воздуха, производится по формуле
zв = 0,104n(e0 - e2)(K0 + u2), (5.10)
где
K0 - коэффициент, зависящий от разности температуры поверхности воды (
t0) и воздуха (
t') и определяемый по графику, приведенному на
рис. 5.2. Для незамерзающих водохранилищ или их участков шириной не более 500 м значения
t',
e2 и
u2 рекомендуется принимать по наблюдениям на ближайших метеорологических станциях, расположенных на суше, без приведения их к условиям водоема.
Рис. 5.2. Зависимость
K0 =
f(
t0 -
t')
5.3.1.2. Слой осадков на зеркало будущего водохранилища
xв определяется в соответствии с указаниями, изложенными ниже в
п. 5.4.2.
5.3.1.3. Слой стока с территории, которая отводится под затопление водохранилищем,
yз определяется по данным гидрометрических наблюдений в пределах рассматриваемой территории. При отсутствии таких данных при расчетах потерь стока для годового периода рекомендуется использовать метод аналогии. За реки-аналоги в этом случае принимаются водотоки, расположенные по периферии будущего водохранилища и имеющие средние для рассматриваемой территории площади водосбора
[65]. Определенные для этих рек модули стока осредняются, и таким путем оценивается средний сток с затапливаемой территории. Приближенно средние многолетние годовые значения стока с площади затопления рекомендуется определять по региональным картам стока, опубликованным в монографиях
[49]. При отсутствии надежных данных о значениях
y3 расчет изменений стока может быть произведен по
уравнениям (5.4) или
(5.6), в которые не входит эта составляющая.
5.3.1.4. Слой испарения с поверхности суши, отведенной под затопление,
zс для годового периода оценивается методами, изложенными в пособии
[48]. При расчете средних месячных изменений стока по
формулам (5.4) и
(5.6) величину
zс рекомендуется определять комплексным методом
[48]. Использование этого метода при наличии данных о средних многолетних значениях годового стока

, средней месячной температуре воздуха и осадках позволяет определить одновременно месячные нормы суммарного испарения с суши
zс и изменение влагозапасов в почве
b.
Приближенно месячные значения
zс могут быть определены по типовому распределению годовой суммы испарения по месяцам для разных природных зон
(прил. 3).
5.3.1.5. Расчет изменения запасов воды в русловой сети за расчетный интервал времени (
q) производится способами, изложенными в
п. 4.5.91.
5.3.1.6. Изменение объемов воды в водохранилище за счет регулирования стока (
Wа) оценивается по разности объемов воды на конец и начало расчетного периода. При этом значения объемов снимаются с кривой объемов водохранилища (см.
гл. 3 настоящего Руководства).
5.3.1.7. Площади поверхности водохранилища (
f) снимаются с кривой площадей (см.
гл. 3) для заданных отметок стояния уровня. Значения площадей русла в естественных условиях
fр.с для характерных отметок уровня воды в реке в створе водохранилища рекомендуется определять на основании проектных материалов по морфометрии русла. При расчетах потерь воды по
формулам (5.5) и
(5.6) значения
fр.с определяются в зависимости от средних многолетних значений расходов воды во входном створе водохранилища

по зависимостям

.
5.3.1.8. Значения коэффициента затопления

определяются по данным о площади поверхности водохранилища
f и площади русла реки в естественных условиях
fр.с. Приближенно коэффициент может быть определен в зависимости от отношения длины проектируемого водохранилища
l к его ширине
b. Это отношение оценивается коэффициентом
K =
l/
b. При
K = 1 ... 25

; при
K = 25 ... 50

; при
K = 51 ... 75

; при
K > 76

.
5.3.2. Изменения водных ресурсов в результате подтопления прилегающих к водохранилищу земель определяются разностью испарения с площади подтопленной суши до и после создания водохранилища. Площади подтопленных территорий Fпдт, постоянные для каждого водохранилища, определяются по проектным данным или по материалам специальных обследований как участки суши, прилегающие к контуру водохранилища, с глубиной залегания грунтовых вод не более 2,5 м. Для равнинных водохранилищ размеры зоны подтопления, как правило, не превышают 5 - 7% площади поверхности водохранилища. Дополнительные потери на испарение с зоны подтопления Wпдт (в кубических километрах) определяются по выражению
Wпдт = 106(zп - zс)Fпдт, (5.11)
где zп - испарение с зоны подтопления, мм; zс - испарение с площади суши до подтопления, мм.
Значение
zп определяется по данным специальных наблюдений или принимается для районов недостаточного увлажнения ориентировочно равным 2/3 испарения с водной поверхности, а для районов достаточного и избыточного увлажнения - равным испарению с водной поверхности. Приемы оценки
zс изложены в
п. 5.3.1.4.
5.3.3. Изменения водных ресурсов на участке реки ниже водохранилища связаны с уменьшением испарения вследствие сокращения площадей затопления поймы или дельты в условиях регулирования речного стока. Эти изменения Wзтп (в кубических километрах) определяются по выражению
Wзтп = 10
6(
zс -
zв)(
fн.б -
fр). (5.12)
В
выражении (5.12) fн.б - площадь водной поверхности реки ниже данного водохранилища до следующего водохранилища каскада или до первого крупного притока, км
2;
fр - площадь водной поверхности реки в естественных условиях на том же участке при том же расходе воды во входном створе водохранилища, км
2. Приемы определения
zс,
zв, а также площадей поверхности реки изложены в
п. 5.3.1.1,
5.3.1.4 и
5.3.1.7.
Оценка Wзтп целесообразна при сооружении крупных водохранилищ многолетнего и сезонного регулирования в зоне недостаточного увлажнения на реках с высокими половодными или паводочными расходами.
5.4. Определение гидрометеорологических элементов
для водной поверхности
5.4.1. При оценке изменений водных ресурсов производится расчет отдельных элементов гидрометеорологического режима для водной поверхности проектируемого водохранилища. В качестве основных гидрометеорологических элементов используются: осадки на поверхность водохранилища, скорость ветра и абсолютная влажность воздуха, определенные для высоты 2 м над водной поверхностью, и температура воды. Они определяются, как правило, для теплого периода года.
5.4.2. Среднее значение осадков на поверхность будущего водохранилища определяется по данным метеостанций, расположенных в районе проектируемого водохранилища. При этом в значения осадков, измеренных осадкомером, должны быть введены поправки на недоучет осадков за счет выдувания, испарения из осадкомерного сосуда и его смачивания в соответствии с методикой, изложенной в пособии
[36].
5.4.3. Определение средней скорости ветра над водохранилищем на высоте 2 м
u2 за расчетный интервал времени производится по данным наблюдений за скоростью ветра на высоте флюгера ближайшей метеостанции. Расчет осуществляется по выражению
[59]
где uфл - скорость ветра по флюгеру, м/с; K1, K2 и K3 - коэффициенты, зависящие от места расположения метеостанции, характера ее защищенности и длины разгона воздушного потока над водохранилищем.
Рис. 5.3. Номограмма для определения коэффициента
K
Значения коэффициентов
K1,
K2 и
K3 даны в табличной форме в пособии
[59].
В том случае, когда на ближайшей метеостанции имеются материалы наблюдений за скоростью ветра на высоте флюгера и на высоте 2 м над поверхностью земли, скорость ветра над водохранилищем u2 может быть определена по выражению
u2 = u'2K, (5.14)
где
u'2 - скорость ветра на высоте 2 м над поверхностью земли;
K - коэффициент, определяемый по номограмме, приведенной на
рис. 5.3, в зависимости от логарифма шероховатости подстилающей поверхности в районе расположения метеостанции (ln
zо.с). Определение ln
zо.с производится по формуле
ln zо.с = (uфлln 2 - u'2ln hфл)/(uфл - u'2), (5.15)
где hфл - высота флюгера, м.
Определение значений коэффициента
K по номограмме производится: для водохранилищ, проектируемых в пределах Европейской территории СССР, - по верхней кривой на
рис. 5.3, для водохранилищ, проектируемых в пределах Азиатской территории СССР, - по нижней кривой. Для значений ln
zо.с < -5 коэффициент
K равен 1,3.
При отсутствии сведений о скорости ветра на высоте 200 см над поверхностью земли данную величину для месяцев теплого периода года можно получить расчетным путем, используя информацию о скорости ветра по флюгеру:

(5.16)
где
z0 - параметр шероховатости, принимаемый в соответствии с работой
[27] равным для ровной луговой площадки 0,05 м.
При наличии в районе проектируемого водохранилища нескольких метеостанций полученные указанным выше образом значения скорости ветра над водоемом по данным отдельных метеостанций осредняются и осредненное значение используется в дальнейших расчетах.
5.4.4. Среднее значение абсолютной влажности воздуха над проектируемым водохранилищем на высоте 2 м e2 (в миллибарах) определяется по данным континентальной метеостанции по формуле
e2 = e'2 + (0,8e0 - e'2)Kтр, (5.17)
где
e'
2 - абсолютная влажность воздуха, определяемая на континентальной метеостанции, мбар;
e0 - максимальная упругость водяного пара, определяемая по данным о температуре поверхностного слоя воды в водохранилище
(прил. 4), мбар;
Kтр - коэффициент трансформации, определяемый в зависимости от длины разгона воздушного потока и соотношения температуры воды и воздуха по
табл. 5.1.
Таблица 5.1
Значения коэффициента трансформации
Kтр
Соотношение температуры воды и воздуха | Средняя длина разгона воздушного потока над водоемом, км |
0,1 | 0,2 | 0,5 | 1 | 2 | 5 | 10 | 20 | 50 | 100 |
| 0,02 | 0,03 | 0,08 | 0,12 | 0,16 | 0,23 | 0,28 | 0,34 | 0,44 | 0,51 |
t < t' на 4 °C и более | 0,03 | 0,06 | 0,13 | 0,18 | 0,24 | 0,33 | 0,38 | 0,45 | 0,53 | 0,60 |
t > t' на 10 °C и более | 0,01 | 0,02 | 0,03 | 0,05 | 0,07 | 0,10 | 0,15 | 0,19 | 0,28 | 0,37 |
При расчетах для месячных интервалов времени теплого периода года и для водохранилищ, имеющих площади водной поверхности, превышающие 10 км2, среднее значение коэффициента трансформации может быть принято равным 0,25.
5.4.5. Температура поверхности воды водохранилища при наличии водоема-аналога принимается по данным наблюдений на этом водоеме. Водоем-аналог должен иметь близкие к рассматриваемому водохранилищу условия питания, незначительные различия в площадях водной поверхности и глубинах и одинаковую степень проточности. При отсутствии водоема-аналога определение температуры поверхностного слоя воды в водохранилище производится расчетным путем с использованием данных наблюдений метеостанций, расположенных в районе проектируемого водохранилища. Рекомендуются две расчетные методики, одна из которых основана на решении уравнения теплового баланса, а вторая - на использовании материалов наблюдений водноиспарительных установок.
Порядок расчетов, основанных на решении уравнения теплового баланса водоема, детально изложен в пособии
[59]. Ниже даются рекомендации по применению более упрощенной схемы расчета температуры поверхности воды по уравнению теплового баланса с использованием данных о температуре воздуха, измеренной на метеостанции.
Первый месяц, с которого начинаются расчеты температуры воды, определяется следующим образом. При расположении проектируемого водохранилища в районах с отрицательными средними месячными значениями температуры воздуха в зимний период в качестве первого расчетного месяца принимается первый месяц со средней температурой воздуха выше нуля. Начальная температура воды tн для этого месяца принимается равной 2,5 °C.
При проектировании водохранилищ в районах с положительными средними месячными значениями температуры воздуха в течение всего года в качестве первого расчетного месяца принимается месяц с самой низкой по сравнению с другими средней температурой воздуха. В этом случае начальная температура воды для этого месяца принимается равной 4 °C.
Порядок расчета следующий:
1. Вычисляется значение параметра

для первого расчетного месяца по выражению

(5.18)
где
I0 - поглощенная водой суммарная солнечная радиация, Вт/м
2;
Iа - поглощенное водой встречное излучение атмосферы, Вт/м
2;
Sдн - теплообмен водной массы с дном водоема, Вт/м
2;
e'
2 - средняя месячная влажность воздуха по данным метеорологической станции, мбар;
u2 - скорость ветра над водоемом, м/с;
hср - средняя глубина водоема, см;

- коэффициент, представляющий собой отношение средней на вертикали температуры воды к температуре поверхностного слоя воды.
Величины
I0,
Iа,
Sдн определяются в соответствии с Указаниями
[59]. Ниже приведены значения произведения

в зависимости от средней глубины водоема.

, см ...................... 500 1000 1500 2000 2500 3000

, см ..................... 490 930 1240 1400 1540 1580
2. Рассчитывается средняя температура поверхностного слоя воды в водохранилище
t0 для первого расчетного месяца по выражению

(5.19)
Определение
t0 из
выражения (5.19) производится методом подбора. Для облегчения расчетов в
прил. 5 приведены значения
t0, определенные по
выражению (5.19) в зависимости от разных сочетаний

и
u2 и разных глубин водохранилищ.
3. Определяется температура воды на конец первого расчетного месяца по выражению
tк = 2t0 - tн. (5.20)
Полученное значение tк принимается в качестве tн для следующего расчетного месяца.
4. Расчет средней температуры воды
t0 для второго и последующих месяцев осуществляется по схеме, изложенной выше в
пунктах 1 и
2. Однако для этих месяцев температура воды
tк находится по выражению
tк = Kt'к, (5.21)
где t'к - температура воздуха на конец месяца, измеренная на метеостанции; K - коэффициент, вычисляемый по формуле
K = tн/(2t'н) + t0/(2t'), (5.22)
где t'н и t' - начальная и средняя месячная температура воздуха, измеренные на метеостанции.
При проектировании водохранилищ, имеющих средние глубины не более 12 м, средние многолетние месячные значения температуры поверхностного слоя воды могут быть определены по данным ближайшего наземного испарителя ГГИ-3000 либо по данным испарительного бассейна площадью 20 м2. При наличии материалов наблюдений по испарителю ГГИ-3000 сначала осуществляется приведение его показаний к показаниям испарительного бассейна площадью 20 м2 по формулам:
для водноиспарительных площадок, покрытых луговой растительностью,
t20 = 0,994t0,3 + 1; (5.23)
для оголенных водноиспарительных площадок
t20 = 0,967t0,3 + 0,7, (5.24)
где t20 и t0,3 - средняя многолетняя месячная температура поверхностного слоя воды в испарительном бассейне площадью 20 м2 и в испарителе ГГИ-3000 соответственно, °C.
В целях упрощения расчетов в работе
[12] даны карты средних многолетних значений
t20 для теплого периода года для всей территории СССР.
В том случае, когда в районе проектируемого водохранилища ведутся непосредственные наблюдения по наземному испарительному бассейну площадью 20 м2, первый этап расчетов отпадает и t20 определяется по данным непосредственных наблюдений в испарительном бассейне.
Определение средних по акватории месячных значений температуры поверхностного слоя воды производится путем введения в значения t20 поправок в зависимости от глубины водохранилища и степени его проточности. Последняя характеризуется коэффициентом проточности Kпр, равным отношению годового объема речного стока в замыкающем створе водохранилища Wy к полезному объему водохранилища Wпол, т.е. Kпр = Wy/Wпол.
Для водохранилищ, имеющих
hср <= 6 м и
hмакс < 20 м, независимо от степени проточности поправки к
t20 определяются по
табл. 5.2.
Таблица 5.2
Поправки к температуре воды испарительного
бассейна площадью 20 м2 для водохранилищ,
имеющих hср <= 6 м и hмакс < 20 м, °C
 с.ш. | IV | V | VI | VII | VIII | IX | X |
38 | -3,4 | -2,8 | -2,4 | -1,2 | -0,2 | 0,1 | -0,2 |
40 | -3,3 | -2,6 | -2,1 | -1,0 | -0,1 | 0,1 | -0,3 |
42 | -3,0 | -2,3 | -2,0 | -0,9 | -0,1 | 0,1 | -0,4 |
44 | -2,9 | -2,1 | -1,8 | -0,8 | 0 | 0 | -0,4 |
46 | -2,7 | -1,8 | -1,6 | -0,6 | 0 | 0 | -0,5 |
48 | -2,4 | -1,5 | -1,3 | -0,4 | 0 | -0,1 | -0,6 |
50 | -2,2 | -1,2 | -1,1 | -0,2 | 0 | -0,1 | -0,7 |
52 | -1,8 | -1,0 | -0,8 | -0,2 | 0 | -0,1 | -0,8 |
54 | -1,5 | -0,6 | -0,4 | -0,1 | 0,1 | -0,2 | -1,0 |
56 | -1,3 | -0,3 | -0,1 | 0 | 0 | -0,2 | -1,2 |
58 | -0,8 | 0,3 | 0,2 | 0,3 | 0 | -0,4 | -1,3 |
60 | -0,4 | 0,8 | 0,8 | 0,6 | 0,1 | -0,6 | -1,5 |
62 | -0,1 | 1,6 | 1,8 | 0,7 | 0 | -0,8 | -1,9 |
64 | 0,7 | 3,0 | 2,9 | 0,4 | -0,1 | -1,0 | -2,3 |
66 | 1,0 | 4,6 | 3,6 | 0,7 | -0,9 | -1,2 | -2,7 |
68 | 2,3 | 6,1 | 4,3 | 2,2 | -1,2 | -1,6 | -3,4 |
Таблица 5.3
Поправки к температуре воды испарительного бассейна площадью
20 м2 для водохранилищ, имеющих hср <= 6 м и hмакс > 20 м
или 6 < hср <= 12 м и hмакс > 20 м при коэффициенте
проточности Kпр <= 2
 , с.ш. | IV | V | VI | VII | VIII | IX | X |
38 | -5,1 | -4,6 | -4,0 | -2,5 | -1,3 | -0,6 | -0,1 |
40 | -5,0 | -4,4 | -3,8 | -2,2 | -1,2 | -0,4 | -0,1 |
42 | -4,8 | -4,2 | -3,5 | -2,0 | -0,9 | -0,2 | 0 |
44 | -4,6 | -3,9 | -3,3 | -1,8 | -0,8 | -0,1 | 0,2 |
46 | -4,4 | -3,7 | -3,0 | -1,6 | -0,5 | 0,1 | 0,3 |
48 | -4,2 | -3,5 | -2,8 | -1,3 | -0,4 | 0,2 | 0,4 |
50 | -4,0 | -3,2 | -2,5 | -1,0 | -0,1 | 0,3 | 0,5 |
52 | -3,8 | -3,0 | -2,2 | -0,8 | 0 | 0,5 | 0,6 |
54 | -3,6 | -2,7 | -1,9 | -0,5 | 0,2 | 0,7 | 0,7 |
56 | -3,4 | -2,4 | -1,5 | -0,2 | 0,5 | 0,8 | 0,8 |
58 | -3,2 | -2,1 | -1,2 | 0,2 | 0,8 | 1,0 | 0,8 |
60 | -2,9 | -1,8 | -0,7 | 0,6 | 1,1 | 1,2 | 0,9 |
62 | -2,7 | -1,4 | -0,2 | 0,9 | 1,3 | 1,3 | 1,0 |
64 | -2,4 | -0,9 | 0,8 | 1,5 | 1,7 | 1,5 | 1,0 |
66 | -2,1 | -0,4 | 1,8 | 2,1 | 1,9 | 1,6 | 1,1 |
68 | -1,8 | 0,9 | 2,1 | 2,9 | 2,4 | 1,8 | 1,1 |
Для водохранилищ, имеющих
hср <= 6 м и
hмакс > 20 м, или 6 <
hср <= 12 м и
hмакс > 20 м и коэффициент проточности
Kпр <= 2, поправки к
t20 определяются по
табл. 5.3.
6. РАСЧЕТ СТОКА НАНОСОВ И ЗАИЛЕНИЯ ВОДОХРАНИЛИЩ
6.1.1. Рекомендуемые ниже методы расчета стока наносов и заиления водохранилищ применимы при проектировании водохранилищ различного объема и назначения на реках и временных водотоках. Рекомендации даны для расчета заиления, обусловленного осаждением в чаше водохранилища наносов, поступающих вместе со стоком воды рек и ручьев. Заиление водохранилищ, вызванное обрушением берегов, ветровым переносом наносов с суши, выносом селевых потоков и другими условиями, в настоящем разделе не рассматривается.
6.1.2. Расчет заиления водохранилищ производится на основе уравнения баланса наносов для всего водоема в целом или для отдельных его участков, ограниченных заданными створами. При использовании метода баланса учитываются изменения гидравлических характеристик водохранилища или его участков, вызванные отложением наносов.
6.1.3. Непосредственные расчеты заиления водохранилищ производятся после того, как определены исходные расчетные данные о стоке наносов (см.
разд. 6.2) и на их основании выполнены расчеты транспортирующей способности потока (см.
разд. 6.3).
6.1.4. В качестве основных характеристик водохранилищ при расчетах заиления принимается показатель условной продолжительности водообмена Tу и показатель условной заиляемости tу.
Показатель условной продолжительности водообмена выражается в годах и вычисляется по формуле
Tу = W/Vп, (6.1)
где W - объем водохранилища при НПУ, м3; Vп - средний за многолетний период годовой приток воды в водохранилище, м3/год.
Показатель условной заиляемости tу представляет собой продолжительность (в годах) полного заиления водохранилища (до первоначального объема русла wр, пропускающего сток наносов транзитом) при условии полного осаждения поступающих в водоем наносов и вычисляется по формуле
где VS - средний многолетний годовой приток наносов в водохранилище, м3/год; wр - объем русла в пределах заиленного водохранилища, равный произведению длины водохранилища (от плотины до выклинивания кривой подпора) на среднюю площадь поперечного сечения русла, сформировавшегося в аккумулятивных отложениях в конце периода заиления, м3.
При

значение
tу вычисляется по формуле
6.1.5. При проектировании водохранилищ решаются следующие вопросы, связанные с заилением:
а) оценка общего срока заиления водохранилищ;
б) оценка потери полезного объема водохранилища вследствие заиления его верхней части;
в) установление границ зоны затопления в результате изменения кривой свободной поверхности при заилении;
г) оценка изменения судоходных глубин в ходе заиления водохранилища;
д) установление границ зоны активизации поперечных перемещений русла;
е) оценка поступления наносов к плотине;
ж) оценка эффективности промывок водохранилища при сработках уровня.
Состав вопросов и методы их решения в каждом конкретном случае определяются в соответствии с назначением водохранилища, его основными характеристиками (Tу и tу) и природными условиями, определяющими процесс заиления (режимом стока воды и наносов, рельефом и геологическим строением водосборного бассейна, составом наносов). Выбор метода расчета зависит также от стадии проектирования и от наличия исходных данных.
6.1.6. Оценка сроков службы проектируемых водохранилищ начинается с установления условной заиляемости. Если она оказывается более 200 лет (tу > 200 лет), то расчет срока общего заиления этим ограничивается. В остальных случаях расчет необходимо производить с учетом выноса наносов за пределы водохранилища (в нижний бьеф, через водозаборы).
Для оценки потери полезного объема водохранилища, изменения судоходных глубин, получения исходных данных для проектирования отстойников и т.п. необходимо выполнять детальные расчеты транспорта и осаждения наносов по участкам водохранилища с обязательным разделением наносов на фракции.
При определении границ затопления и проектировании промывок водохранилища расчеты заиления выполняются также детальным способом, при этом обязательно учитывается изменение уровня свободной поверхности во времени по мере заиления и предельное положение кривой подпора, отвечающее полному заилению и свободному транспорту поступающих сверху наносов.
Оценка потери полезного объема водохранилища вследствие заиления его верхней части выполняется для относительно небольших водохранилищ, проектируемых преимущественно на горных реках.
Для этого необходимо рассчитать распределение отложений по длине водохранилища и во времени, оценивая заиление участков, примыкающих к зоне выклинивания подпора и находящихся непосредственно в этой зоне. Вычисления следует вести с разделением водохранилища на участки и выделением русла и поймы.
В этом случае расчет заиления необходимо выполнять с разделением транспортируемых наносов на фракции и обязательно с оценкой отложения влекомых наносов.
Для правильной оценки частичной промывки верховий водохранилища и переотложения наносов ниже по течению при сработках уровня расчеты необходимо выполнять методами, пригодными к расчетам не только заиления, но и размывов. Рекомендуются детальные методы расчета, изложенные в
пп. 6.4.4 -
6.4.9.
Расчет положения кривой свободной поверхности, изменяющегося вследствие заиления водохранилища (особенно его верхней части), необходимо выполнять в тех случаях, когда в зону возможного затопления и подтопления (с учетом повышения кривой подпора) попадают объекты, требующие инженерной защиты, переноса, отчуждения и т.д.
Расчетом устанавливается предельное положение кривой свободной поверхности, при котором уже осуществляется транзит поступающих сверху наносов или определяются изменения кривой подпора во времени. Вторая задача подлежит решению в том случае, если состояние предельного заиления дна и отвечающее ему положение кривой подпора наступает за пределами реальных сроков эксплуатации водохранилища. Срок, на который ведется расчет кривых подпора, должен быть согласован с проектом инженерных мероприятий по водохранилищу.
Расчет продольного профиля предельно заиленного дна следует вести на режим половодья среднего (по стоку наносов) года, а предельную кривую подпора при полученном профиле дна вычислять при расходе расчетной обеспеченности (для водохранилища).
Расчет заиления водохранилищ для оценки изменения положения кривых подпора во времени следует выполнять по участкам водохранилища детальными балансовыми методами, позволяющими вести расчеты с разделением осаждающихся наносов по фракциям. Поскольку наибольшее изменение кривой подпора наблюдается в верховьях водохранилища, необходимо возможно полнее учитывать особенности гидравлических условий именно в верховьях водохранилищ, где режим потока приближается к бытовому. Расчет для этой части водохранилища выполняется с разбивкой на более короткие участки и притом с выделением русла и поймы. Рекомендуются детальные методы расчета заиления, изложенные в
пп. 6.4.4 -
6.4.9.
Построение кривых свободной поверхности выполняется известными в гидравлике методами, изложенными в
разд. 4.4.
В случае быстрого заиления водохранилища (tу < 50 лет) для получения исходных данных к расчетам отстойников, общих деформаций в нижнем бьефе, оценки возможности истирания наносами гидротурбин необходимо оценить поступление наносов к плотине и вынос их в нижний бьеф. В случае если отбор воды производится значительно выше створа основных сооружений, величину tу следует исчислять по объему той части водохранилища, которая расположена выше створа водоотбора.
Расчет ведется детальным способом по участкам с обязательным разделением наносов на фракции. Рекомендуются детальные методы расчета (см.
пп. 6.4.4 -
6.4.9).
В случае проектирования промывок водохранилища расчет ведется детальными методами. Расчет деформаций дна в верхнем бьефе следует вести с учетом изменения гидравлических условий при промывках, что именно и позволяет рассчитывать не только отложения, но и их размывы, сопровождающие промывку. Параллельно следует вести расчет транспорта наносов в нижнем бьефе, так как отложения вымытых из водохранилища наносов могут лимитировать интенсивность промывки.
6.1.7. При выполнении расчета заиления водохранилищ на реках, транспортирующих очень большое количество весьма мелких фракций наносов, необходимо выяснить возможность возникновения так называемых суспензионных или мутьевых потоков, которые, в значительной мере сохраняя концентрацию взвеси, способствуют выносу наносов в нижний бьеф и изменяют распределение отложений в водохранилище.
Учет мутьевых потоков заключается в выделении из общего расхода наносов илистых и глинистых фракций (d < 0,01 мм) и исключении их из общего расчета. Оценку возможной доли выноса этих фракций в нижний бьеф при наличии суспензионных потоков и распределения осаждения указанных фракций по площади водохранилища допускается производить на основе условных схем, поскольку методика подобных расчетов в данное время не разработана.
6.1.8. В целях получения исходных данных для расчета заиления водохранилищ на стадии предпроектных работ и во время технического проектирования проводятся полевые исследования.
Объем и степень детальности полевых исследований устанавливаются в соответствии с заданием на проектирование, имеющимися картографическими материалами, а также материалами стационарных гидрометрических наблюдений и специальных изысканий. Полевые исследования могут включать следующие виды работ:
- планово-высотную съемку ложа проектируемого водохранилища;
- измерение расходов и уровня воды на главной реке и наиболее существенных притоках, впадающих на участке проектируемого водохранилища;
- измерение расходов наносов на главной реке и основных притоках;
- определение гранулометрического состава транспортируемых наносов в створах измерения расходов наносов и донных наносов, отложившихся на участке проектируемого водохранилища (одновременно с измерением расходов наносов).
Перечисленные виды работ должны выполняться и после заполнения водохранилища в целях корректировки исходных данных и результатов расчета заиления.
Масштаб планово-высотной съемки ложа проектируемого водохранилища следует назначать в зависимости от размеров водохранилища, но не мельче 1:10 000. При назначении границ съемки учитывается возможное повышение уровней воды после заиления и обусловленное им распространение подпора вверх по течению. При наличии крупномасштабных карт вместо сплошной съемки допускается съемка рельефа по поперечникам, дополняющим имеющуюся карту. Частота расположения поперечников должна устанавливаться каждый раз в зависимости от требований проектирования и с учетом качества уже имеющихся материалов. Одновременно с промерами русла рекомендуется проводить литологическую съемку дна с отражением гранулометрического состава донных наносов.
Измерения расхода и уровня воды организуются по длине реки от створа будущего сооружения до зоны выклинивания подпора. Они имеют целью построение кривых зависимости расхода воды от уровня
Q =
f(
H) по длине реки и продольных профилей водной поверхности, отвечающих различным расходам воды (см.
разд. 4.3). В случае значительной приточности аналогичные измерения организуются на главных притоках. Во всех случаях в створе сооружения надлежит организовать гидроствор с измерениями всех характеристик потока.
Измерения расходов взвешенных и влекомых наносов и изучение гранулометрического состава транспортируемых и донных наносов следует организовывать в створе проектируемой плотины (или вблизи от нее), а также в зоне выклинивания подпора на главной реке и основных притоках. Измерения и обработка данных должны выполняться наиболее детальными способами с соблюдением стандартных методов, предусмотренных действующими Наставлениями Госкомгидромета [
38,
40].
Если в составе взвешенных наносов значительную долю составляют тонкие глинистые частицы, подверженные слипанию в более крупные агрегаты, рекомендуется выполнять анализы крупности наносов на естественной воде без предварительного выпаривания пробы. Необходимость этого устанавливается путем проведения пробных анализов разными способами.
Материалы полевых исследований должны быть увязаны с материалами длительных стационарных исследований Госкомгидромета на данной реке или реке-аналоге, а при отсутствии последних - с фоновыми характеристиками рассматриваемого района.
6.2. Исходные расчетные данные о стоке наносов
6.2.1. При расчетах заиления водохранилищ в качестве основных расчетных данных используются значения расходов воды и наносов (взвешенных и влекомых) за многолетний период в расчетных створах водохранилища, данные о гранулометрическом составе донных наносов и мутности воды. Состав используемых расчетных данных устанавливается в каждом конкретном случае в зависимости от принятого способа расчета заиления. Последний выбирается, исходя из капитальности сооружения, наличия необходимых для расчета исходных натурных материалов и требований, определенных заданием на проектирование.
В случае если расчетный створ не совпадает ни с одним из близлежащих створов, в которых ведутся наблюдения за стоком наносов, определение параметров стока наносов в расчетном створе производится по интерполяции между значениями величин, полученными в пунктах измерений. Интерполяция производится пропорционально площадям бассейнов.
6.2.2. При расчетах заиления особое внимание должно быть уделено установлению расчетного значения стока наносов, вопросам надежности его определения, необходимости учета изменчивости стока наносов, правильному выбору характеристик гранулометрического состава. Для этой цели используются материалы наблюдений Госкомгидромета, а также результаты специальных исследований, проведенных организациями других ведомств.
Материалы наблюдений должны быть подвергнуты тщательному анализу. При этом выясняется степень полноты учета стока наносов в половодье и паводки (частота измерений должна обеспечить учет основных изменений мутности воды, измерения должны охватывать весь поток, включая пойму и протоки), а также методика измерений и применявшиеся приборы. Особенно внимательной проверке подлежат данные, полученные путем интеграционного отбора проб, так как при этом значения мутности могут оказаться заниженными в результате преуменьшения содержания крупных песчаных частиц, переносимых в придонных слоях, и преувеличения доли мелких частиц, находящихся в поверхностных слоях. В случае необходимости полученные данные корректируются с использованием результатов сопоставления расходов наносов, измеренных упрощенными и детальным способами, графиков связи расходов воды и наносов в рассматриваемом створе, графиков связи расходов наносов в разных створах данной реки, графиков связи расходов наносов данной реки в реки-аналога и др. Кроме того, устанавливается репрезентативность данных по гранулометрическому составу транспортируемых и донных наносов [
22,
38,
57].
6.2.3. При оценке расчетного значения стока наносов вопрос о необходимости раздельного учета стока взвешенных и влекомых наносов следует решать исходя из гранулометрического состава донных и взвешенных наносов. В тех случаях, когда взвешенные наносы не являются руслоформирующими (преобладающий размер частиц d < 0,05 мм), следует раздельно учитывать сток взвешенных и влекомых наносов. Если же значительная часть взвешенных наносов представлена руслоформирующими фракциями, то расчет следует вести только на взвешенные наносы.
6.2.4. Боковой приток стока наносов в водохранилище при расчете общего заиления учитывается путем отнесения стока наносов, определенного для створа плотины (т.е. включающего все боковые притоки), к входному створу водохранилища. При расчете заиления детальным методом боковой приток наносов (если он более 10% стока наносов в створе плотины) прибавляется к стоку наносов в начальных створах тех расчетных участков, на которых впадают основные притоки. Если же боковой приток менее 10% стока наносов в створе плотины, то его целиком относят к входному створу водохранилища, не учитывая характер распределения по отдельным участкам.
Расчет стока взвешенных наносов.
6.2.5. При наличии материалов наблюдений за репрезентативный, достаточно длительный срок (не менее 20 лет) в створах, близких к месту создания водохранилища, параметры годового стока взвешенных наносов (средний многолетний расход наносов
PS,0, коэффициент изменчивости
Cv,в.н и коэффициент асимметрии
Cs,в.н) определяются графоаналитическим способом, при этом используются таблицы, разработанные применительно к кривой распределения Пирсона III типа.
В случае когда имеется достаточно тесная связь средних годовых расходов наносов
PS,г со средними годовыми расходами воды
Qг и ряд
Qг значительно длиннее ряда
PS,г, следует использовать кривую обеспеченности средних годовых расходов воды (см.
пп. 4.5.10 -
4.5.15). С этой кривой снимают значения
Qг5%,
Qг50% и
Qг95%, затем по графику
PS,г =
f(
Qг) определяют соответствующие значения
PS,г.
При отсутствии зависимости PS,г = f(Qг) параметры годового стока взвешенных наносов определяются графоаналитическим способом непосредственно по сглаженной эмпирической кривой обеспеченности годового стока наносов.
6.2.6. При нерепрезентативном периоде наблюдений, когда многолетняя амплитуда колебаний расходов воды недостаточно освещена данными о стоке наносов, но средний годовой расход воды за этот период Qср незначительно (в пределах +/- 20%) отличается от среднего многолетнего значения расхода Q0, средний многолетний расход наносов PS,0 допускается определять по приближенной формуле
PS,0 = PS,срQ0/Qср, (6.4)
где Qср и PS,ср - средние значения расхода воды и наносов за период совместных наблюдений.
Значения параметра
Cv,в.н в этом случае следует определять по региональным соотношениям, приведенным в
табл. 6.1, или методом аналогии. Коэффициент асимметрии
Cs,в.н допускается принимать равным 2
Cv,в.н.
В тех случаях, когда средний расход воды за период наблюдений отличается от среднего многолетнего значения
Q0 более чем на +/- 20%, а также при наличии коротких рядов наблюдений все расчетные параметры стока наносов надлежит определять методами, изложенными в
п. 6.2.8.
6.2.7. Суммарный сток взвешенных наносов
ПS,n' за периоды заданной продолжительности (
n'-летия) (см.
п. 6.4.10) следует вычислять по формуле
ПS,n' = ПS,0n', (6.5)
где ПS,0 - норма годового притока наносов в водохранилище, кг/год.
Для каждой группировки n' лет помимо суммарного стока наносов необходимо определить значения коэффициентов изменчивости и асимметрии.
Коэффициенты изменчивости стока взвешенных наносов за n' лет надлежит определять по формуле

(6.6)
Таблица 6.1
Формулы и соотношения для расчета среднего многолетнего
модуля MS,0 и коэффициента изменчивости Cv,в.н годового
стока взвешенных наносов рек по эрозионным районам
Европейской территории СССР, Сибири и Средней Азии
| Формула для расчета MS,0, т/(км2·год) | Относительная средняя квадратическая ошибка  | Пределы изменения аргументов, при которых обеспечивается точность расчета, указанная в графе 3 | |
модуль стока воды MQ, л/(с·км2) | продольный уклон  или средняя высота водосбора H, м | площадь водосбора |
общая F, км2 | занятая озерами и болотами  , % | занятая лесами Fл, % |
1 | 2 | | 4 | 5 | 6 | 7 | 8 | 9 |
Европейская территория СССР |
| MS,0 = 0,70MQ - 7,0 | 35 | 10 - 20 | 0,7 - 15 | 100 - 50 000 | < 50 | 50 - 90 | 1,0 |
2 | | 44 | 2,0 - 15 | 0,1 - 12 | 100 - 50 000 | < 40 | 35 - 90 | 1,3 |
3 | MS,0 = 2,9MQ + 0,60 | 52 | 0,5 - 5,0 | 0,08 - 2,0 | 500 - 35 000 | < 20 | < 30 | 1,5 |
4 | MS,0 = 14MQ + 27I - 30 | 34 | 2,0 - 5,0 | 0,14 - 0,44 | 1500 - 35000 | - | < 30 | 1,5 |
4 | MS,0 = 94MQ + 77I - 390 | 36 | 3,0 - 6,0 | 1,2 - 4,1 | 1500 | - | < 30 | 1,5 |
5 | MS,0 = 32MQ + 44I - 80 | 20 | 2,5 - 5,0 | 0,3 - 2,1 | 500 - 2 500 | - | < 30 | 1,8 |
6 | MS,0 = 5,2MQ + 39I - 6,0 | 24 | 1,0 - 3,0 | 0,2 - 0,6 | 1500 - 35 000 | - | < 10 | 1,8 |
7 | MS,0 = 8,3MQ - 0,20 | 59 | 0,5 - 2,5 | 0,2 - 1,5 | 500 - 25 000 | - | - | 1,8 |
8 | MS,0 = 2,0MQ + 125 | 22 | 9,0 - 35 | 2,4 - 23 | 100 - 10 000 | - | 50 - 95 | 2,2 |
| MS,0 = 0,56MQ - 1,67I + 21d - 2,0 | 46 | 1,3 - 20 | 0,4 - 7,0 | 500 - 20 000 | < 10 | 50 - 95 | 1,3 |
Западная Сибирь |
| | 68 | 1,0 - 9,0 | 80 - 250 | 100 - 70 000 | 10 - 50 | 35 - 95 | 1,3 |
| - | - | 0,5 - 5,0 | 100 - 300 | 50 - 50 000 | < 50 | < 30 | 1,5 |
Алтае-Саянское нагорье |
12 | MS,0 = 8,0MQ - 23,0 lgF + 95 | 46 | 2,0 - 22 | 250 - 800 | 100 - 50 000 | < 15 | 35 - 90 | 2,0 |
13 | MS,0 = -2,0MQ - 0,065H + 150 | 21 | 4,0 - 24 | 600 - 1500 | 100 - 60 000 | < 1 | 35 - 90 | 2,0 |
14 | MS,0 = 0,60MQ + 12,0 lgF - 27 | 51 | 6,0 - 27 | 1500 - 2000 | 100 - 15 000 | < 1 | 35 - 50 | 2,0 |
15 | MS,0 = 0,22MQ - 0,016H - 0,22Fл + 50 | 51 | 2,0 - 27 | 600 - 1600 | 10 - 60 000 | < 5 | 40 - 95 | 2,4 |
16 | MS,0 = 5,0MQ + 0,050H - 1,4Fл + 23 | 70 | 1,0 - 8,0 | 300 - 900 | 100 - 3 000 | < 5 | < 30 | 2,0 |
Средняя Сибирь |
17 | MS,0 = -0,85MQ - 0,70Fл + 91 | 25 | 3,0 - 35 | 200 - 600 | 50 - 100 000 | < 15 | 5 - 85 | 2,0 |
18 | MS,0 = 0,34MQ + 0,030H - 10 | 67 | 1,5 - 14 | 350 - 1500 | 500 - 70 000 | < 5 | 65 - 90 | 2,5 |
19 | MS,0 = 2,0MQ + 0,060H - 60 | 50 | 1,5 - 18 | 1000 - 2000 | 500 - 200 000 | < 5 | 20 - 90 | 2,0 - 5,0* |
| | ИС МЕГАНОРМ: примечание. Формула дана в соответствии с официальным текстом документа. | |
|
20 | MS,0 = -MQ(0,20MQ + 0,03Fл + 1,26 lgF10) | 68 | 3,0 - 23 | 900 - 1500 | 100 - 100 000 | < 5 | 50 - 90 | 2,0 - 5,0* |
21 | MS,0 = -MQ(0,38MQ + 0,047Fл - 9) | 68 | 1,5 - 23 | 250 - 1500 | 100 - 50 000 | < 5 | 30 - 90 | 2,5 |
Восточная Сибирь |
22 | MS,0 = -MQ(0,38MQ + 0,0016H - 0,88 lgF - 4) | 51 | 3,0 - 16 | 500 - 1400 | 500 - 100 000 | < 5 | 30 - 90 | 2,5 |
22а | MS,0 = -MQ(0,08MQ + 0,0008H - 0,36 lgF - 2) | 59 | 0,7 - 18 | 300 - 1000 | 10 - 500 | < 5 | 30 - 90 | 2,5 |
Средняя Азия |
23 | MS,0 = 9,6MQ - 0,2H + 0,04F + 500 | 40 | 6,0 - 42 | 2000 - 4000 | 100 - 5 000 | - | - | 4,0 |
24 | MS,0 = 38,1MQ + 0,03F - 120 | 25 | 2,0 - 17 | 1000 - 2000 | 2500 - 20 000 | - | - | 2,2 |
25 | MS,0 = 75,4MQ + 1150 | 6,0 | 1,4 - 22,7 | 1000 - 5000 | 100 - 30 000 | - | - | 2,0 |
| - | - | 3,1 - 25,5 | 4000 - 5000 | 2000 - 25 000 | - | - | 5,0 |
27 | MS,0 = 21,4MQ - 0,13H + 100 | 32 | 5,8 - 22,8 | 1500 - 3500 | 1000 - 35 000 | - | - | 3,5 |
28 | MS,0 = 9,5MQ - 0,06H + 140 | 54 | 4,8 - 25 | 2000 - 4000 | 500 - 10 000 | - | - | 4,5 |
| - | - | 0,2 - 1,4 | 500 - 1500 | 5000 - 70 000 | - | - | 2,0 |
3. В эрозионных районах 11, 26 и 29 формулы расчета MS,0 не приведены ввиду пониженной их точности (относительная средняя квадратическая ошибка MS,0 превышает 70%). 4. Знаком звездочки * отмечено значение Cv,в.н/Cv,Q для селевых рек. |
Коэффициенты асимметрии стока взвешенных наносов за n' лет Cs,в.н,n' следует принимать равными 2Cv,в.н,n'.
6.2.8. При отсутствии материалов наблюдений за стоком наносов норму стока наносов зональных рек Европейской территории СССР, Сибири и Средней Азии следует вычислять по уравнениям регрессии, полученным для 29 эрозионных районов
(рис. 6.1). Уравнения для расчета среднего модуля стока наносов (
MS,0 т/(км
2·год)), диапазон площадей водосборов зональных рек и количественные характеристики основных природных условий в пределах выделенных районов приведены в
табл. 6.1.
Для тех районов, по которым не выполнено эрозионное районирование (Кавказ, Казахстан, Приморье), норму стока наносов зональных рек следует определять по картам мутности, приведенным в материалах водного кадастра
[49], а также методом аналогии.
Рис. 6.1. Карта эрозионных районов Европейской
территории СССР, Сибири и Средней Азии
1 - граница эрозионных районов, 2 - граница
распространения многолетнемерзлых пород
6.2.9. При использовании карт мутности норму стока наносов определяют путем умножения нормы стока реки в рассматриваемом створе на среднюю мутность, полученную по карте.
Расчет средней многолетней мутности воды малых рек следует выполнять по формуле
S0,м = kпS0, (6.7)
где S0 - средняя многолетняя мутность воды зональных рек, определяемая по карте; kп - переходный коэффициент.
Значения
kп для водотоков Центрально-Черноземных областей, степных районов Украины, Северного Кавказа и Казахстана даны в
табл. 6.2. Для равнинных заболоченных водосборов малых рек коэффициент
kп рекомендуется принимать равным единице.
Таблица 6.2
Переходные коэффициенты от средней многолетней мутности
воды зональных рек к мутности малых рек
Площадь водосбора, км2 . . < 2 5 10 50 100 500

. . . . . . . . . . . . 40 20 13 5 3 1
Для территорий, где имеются пруды, значения kп рекомендуется уточнять, пользуясь данными о стоке наносов, полученными путем обмеров отложений в прудах.
Значения переходных коэффициентов, помещенные в
табл. 6.2, допускается распространять на другие территории, характеризующиеся аналогичными физико-географическими условиями.
6.2.10. При использовании метода аналогии норму стока наносов определяют путем умножения нормы стока воды рассматриваемой реки на среднюю мутность реки-аналога.
Реки-аналоги должны отвечать требованиям однородности с рассматриваемой рекой условий формирования стока наносов. При этом необходимо, чтобы сравниваемые реки характеризовались одинаковыми условиями формирования стока воды, одинаковым составом почвогрунтов; степень покрытости их водосборов лесами, заболоченность, озерность и распаханность не должны различаться более чем на 10 - 20%. Уклоны продольного профиля рассматриваемой реки и реки-аналога не должны различаться более чем в 1,5 раза, площади водосборов - более чем в 2 - 3 раза, а средние высоты водосборов (для горных рек) - более чем на 300 м. Влияние факторов хозяйственной деятельности на водосборах должно быть равнозначным.
6.2.11. Коэффициент вариации годового стока наносов рек Европейской территории СССР, Сибири и Средней Азии при отсутствии фактических данных наблюдений за стоком наносов следует рассчитывать по региональным отношениям
Cv,в.н и
Cv,Q (см.
табл. 6.1) или принимать по данным реки-аналога, используя материалы водного кадастра
[49]. Коэффициент асимметрии
Cs,в.н допускается принимать равным 2
Cv,в.н.
Расчет стока влекомых наносов.
6.2.12. При наличии данных измерений сток влекомых наносов следует определять по графической связи измеренных расходов влекомых наносов Pвл с расходами воды Pвл = f(Q). Расчет по этой зависимости рекомендуется вести по средним суточным расходам воды. Допускается расчет по более крупным интервалам (месяц, сезон) при условии, что значения годового стока влекомых наносов, подсчитанные при контрольных расчетах обоими способами, различаются между собой не более чем на +/- 30%.
При недостаточном количестве измерений или их отсутствии сток влекомых наносов рекомендуется подсчитывать по формулам, приведенным ниже, в
пп. 6.3.11 -
6.3.14.
Расходы влекомых наносов, рассчитанные по графику связи Pвл = f(Q) или по формулам за сутки, месяц или сезон, следует осреднять по годам, а затем за многолетие. Расчеты ведутся за тот же ряд лет, для которого выполняется вычисление стока взвешенных наносов.
Расчет параметров годового стока влекомых наносов следует выполнять в соответствии с рекомендациями, изложенными в
пп. 6.2.5 -
6.2.11.
6.3. Расчет транспортирующей способности потока
6.3.1. Под транспортирующей способностью подразумевается способность потока при заданных гидравлических условиях переносить определенное количество наносов данного гранулометрического состава. Расчет транспортирующей способности потока при проектировании водохранилищ заключается в установлении количества взвешенных и влекомых наносов, переносимых потоком в измененных гидравлических условиях, связанных с образованием подпорных явлений.
6.3.2. Для повышения точности расчетов транспортирующей способности потока рекомендуется в формулы для расчета транспорта взвешенных и влекомых наносов (см.
пп. 6.3.6 -
6.3.14) вводить поправочный коэффициент
a. Данный коэффициент устанавливается по зависимости
a = P/P', (6.8)
где
P - фактический расход наносов (взвешенных или влекомых), определенный по данным натурных наблюдений в гидрометрическом створе для бытовых условий реки (см.
разд. 6.2);
P' - расход наносов (взвешенных или влекомых), вычисленный для того же створа по формулам транспортирующей способности потока (см.
п. 6.3.6 -
6.3.14) при
a = 1 с использованием тех же гидравлических параметров потока, при которых определялся фактический расход
P.
При крупных донных наносах (гравийно-галечных, валунных, скальном грунте дна) поток в бытовых условиях может быть недогружен взвешенными наносами, представленными мелкими фракциями (песок, пыль, ил). В таких случаях коэффициент a вводится в формулы транспортирующей способности потока только тогда, когда он оказывается больше единицы.
При отсутствии фактических данных о стоке наносов коэффициент a принимается равным единице.
Расчет гранулометрического (зернового) состава наносов.
6.3.3. Данные о гранулометрическом составе наносов, выраженном в массовых долях отдельных фракций в процентах, необходимы для расчета транспорта наносов и их осаждения в водохранилищах. Размеры фракций задаются геометрической величиной (средний диаметр частиц фракции
d, мм) или гидравлической крупностью фракции (
U, м/с). Для установления связи между диаметром частиц и их гидравлической крупностью рекомендуется шкала гидравлической крупности
(табл. 6.3).
6.3.4. Гранулометрический (зерновой) состав взвешенных, влекомых и донных наносов определяется по данным, опубликованным в гидрологических ежегодниках и справочниках
[50]. Пересчет диаметров частиц наносов на гидравлическую крупность производится по
табл. 6.3.
Таблица 6.3
Гидравлическая крупность частиц
U в зависимости
от коэффициента их формы

и диаметра
d при
t = 15 °C
Режим осаждения | d, мм | |
1,0 | 0,9 | 0,8 | 0,75 | 0,7 | 0,6 |
1 | 2 | 3 | 4 | 5 | 6 | 7 | 8 |
Турбулентный | 100 | 2,16 | 1,86 | 1,55 | 1,40 | 1,24 | 0,94 |
80 | 1,94 | 1,66 | 1,39 | 1,25 | 1,12 | 0,84 |
50 | 1,53 | 1,32 | 1,10 | 0,99 | 0,88 | 0,67 |
30 | 1,18 | 1,02 | 0,85 | 0,76 | 0,68 | 0,52 |
20 | 0,96 | 0,83 | 0,69 | 0,62 | 0,56 | 0,42 |
15 | 0,84 | 0,72 | 0,60 | 0,54 | 0,48 | 0,37 |
10 | 0,68 | 0,59 | 0,49 | 0,44 | 0,39 | 0,30 |
7 | 0,57 | 0,49 | 0,41 | 0,37 | 0,33 | 0,25 |
5 | 0,48 | 0,42 | 0,35 | 0,32 | 0,28 | 0,21 |
4 | 0,43 | 0,37 | 0,31 | 0,28 | 0,25 | 0,19 |
3 | 0,38 | 0,32 | 0,27 | 0,24 | 0,22 | 0,16 |
2,5 | 0,34 | 0,29 | 0,25 | 0,22 | 0,20 | 0,15 |
2,0 | 0,31 | 0,26 | 0,21 | 0,19 | 0,17 | 0,13 |
Переходный | 1,8 | 0,27 | 0,23 | 0,20 | 0,18 | 0,16 | 0,13 |
1,5 | 0,24 | 0,20 | 0,17 | 0,15 | 0,14 | 0,11 |
1,2 | 0,19 | 0,17 | 0,14 | 0,13 | 0,12 | 0,10 |
1,0 | 0,16 | 0,14 | 0,12 | 0,11 | 0,10 | 0,086 |
0,8 | 0,13 | 0,11 | 0,097 | 0,090 | 0,082 | 0,072 |
0,5 | 0,077 | 0,068 | 0,059 | 0,056 | 0,052 | 0,046 |
0,3 | 0,041 | 0,035 | 0,031 | 0,030 | 0,028 | 0,026 |
0,2 | 0,023 | 0,020 | 0,018 | 0,017 | 0,017 | 0,015 |
0,1 | 0,0076 | 0,0070 | 0,0063 | 0,006 1 | 0,0059 | 0,0055 |
Ламинарный | 0,050 | | | | 0,002 0 | | |
0,040 | | | | 0,001 2 | | |
0,030 | | | | 0,000 70 | | |
0,020 | | | | 0,000 31 | | |
0,010 | | | | 0,000 078 | | |
0,005 | | | | 0,000 020 | | |
0,004 | | | | 0,000 012 | | |
0,002 | | | | 0,000 0031 | | |
0,001 | | | | 0,000 000 78 | | |
Примечание. Коэффициент формы частиц наносов вычисляется по формуле  , где d - диаметр равновеликого шара  ; a, b - линейные размеры частицы во взаимно перпендикулярных направлениях (длина и ширина); W - объем частицы. |
Для перехода к гидравлической крупности при любой другой температуре воды необходимо применять поправочные коэффициенты, помещенные в
табл. 6.4.
Таблица 6.4
Температурные поправочные коэффициенты к гидравлической
крупности, измеренной при t = 15 °C
d, мм | t, °C |
0 - 2 | 3 - 7 | 8 - 12 | 13 - 17 | 18 - 22 | 23 - 27 | 28 - 32 |
2,0 | 1,00 | 1,00 | 1,00 | 1,00 | 1,00 | 1,00 | 1,00 |
1,5 | 0,92 | 0,94 | 0,97 | 1,00 | 1,04 | 1,07 | 1,11 |
1,0 | 0,83 | 0,87 | 0,93 | 1,00 | 1,07 | 1,14 | 1,22 |
0,5 | 0,74 | 0,81 | 0,90 | 1,00 | 1,11 | 1,20 | 1,32 |
0,2 | 0,69 | 0,77 | 0,88 | 1,00 | 1,13 | 1,25 | 1,38 |
0,1 | 0,67 | 0,76 | 0,87 | 1,00 | 1,14 | 1,26 | 1,40 |
0,05 | 0,66 | 0,75 | 0,87 | 1,00 | 1,14 | 1,27 | 1,41 |
При отсутствии или недостаточности данных о гранулометрическом составе наносов необходимо организовать отбор проб и выполнить анализ гранулометрического состава по данным наблюдений.
Рис. 6.2. Схема районирования Европейской территории СССР
по крупности донных наносов рек
I - VI - номера районов
При использовании готовых данных о гранулометрическом составе наносов, выраженном геометрическими размерами фракций, для определения их гидравлической крупности следует пользоваться теми же шкалами, которые были использованы при производстве лабораторного анализа гидравлическим способом (пипетка, фракциометр). (В частности, если данные о гранулометрическом составе наносов берутся из гидрологических ежегодников или других материалов Госкомгидромета, то следует пользоваться
табл. 6.3).
Таблица 6.5
Уравнения регрессии и коэффициенты корреляции
между параметром гранулометрического состава донных
наносов d50 и средним многолетним модулем стока воды MQ
для отдельных природных районов Европейской территории СССР
Природный район (определяется по рис. 6.2) | Среднее значение параметра | Пределы изменения параметра | Коэффициент корреляции | Уравнение регрессии | Относительная средняя квадратическая ошибка  |
d50, мм | MQ, л/(с·км2) | d50, мм | MQ, л/(с·км2) | |
I | 0,46 | 8,7 | 0,03 - 0,85 | 6,3 - 10,9 | 0,91 | d50 = 0,15MQ - 0,88 | 20 |
II | 0,43 | 6,2 | 0,01 - 1,60 | 3,9 - 11,0 | 0,95 | d50 = 0,20MQ - 0,78 | 20 |
III | 0,32 | 3,7 | 0,12 - 0,55 | 2,6 - 5,5 | 0,68 | d50 = 0,10MQ - 0,04 | 25 |
IV | 0,30 | 2,2 | 0,04 - 0,70 | 1,5 - 3,4 | 0,68 | d50 = 0,30MQ - 0,37 | 40 |
V | 0,18 | 1,2 | 0,03 - 0,50 | 0,8 - 1,6 | 0,64 | d50 = 0,38MQ - 0,29 | 60 |
VI | 2,90 | 7,9 | 0,30 - 6,0 | 1,2 - 14,9 | 0,80 | d50 = 0,42MQ - 37 | 40 |
Примечание. Параметр d50 представляет собой диаметр частицы (в миллиметрах), соответствующий вероятности превышения 50% на интегральной кривой распределения гранулометрического состава донных наносов. |
6.3.5. Приближенную оценку гранулометрического состава взвешенных наносов можно выполнить по схематической карте
[57].
Параметр гранулометрического состава донных наносов рек Европейской территории СССР
d50 рекомендуется определять по региональным уравнениям регрессии или средним значениям параметра
d50, приведенным в
табл. 6.5 с использованием схемы, представленной на
рис. 6.2.
Для тех территорий, по которым не имеется обобщений по крупности наносов, а также в случаях, когда невозможно выбрать реку-аналог, необходимо организовать изучение состава наносов исследуемой реки. На заключительных стадиях проектирования крупных гидротехнических сооружений необходимо пользоваться данными непосредственных измерений состава взвешенных и донных наносов.
Расчет транспорта взвешенных наносов.
6.3.6. Средний расход взвешенных наносов определяется путем умножения средней мутности потока, отвечающей его транспортирующей способности, на средний расход воды в расчетном створе.
6.3.7. Для расчета средней мутности потока необходимы следующие исходные данные:
а) гранулометрический состав взвешенных или донных наносов в начальном расчетном створе, заданный в виде массовых долей фракций в процентах;
б) гидравлические элементы потока на расчетных участках: средняя скорость v, м/с, средняя глубина hср, м и уклон водной поверхности I.
Средняя мутность потока, отвечающая его транспортирующей способности, (
Sтр, г/м
3) вычисляется по формуле А.В. Караушева
[24]:
где Г - гидромеханический параметр наносов; Sвзм - мутность взмыва, г/м3.
Мутность взмыва вычисляется по формуле

(6.10)
где
E - сводный параметр, зависящий от коэффициента Шези
C, определяется по графику на
рис. 6.3;
vср - средняя скорость потока, м/с;
hср - средняя глубина потока, м;
a - поправочный коэффициент (см.
п. 6.3.2).
Коэффициент Шези вычисляется по формуле

(6.11)
При отсутствии данных об уклоне и скорости коэффициент C определяется по формуле
C = 33(hср/dср)1/6, (6.12)
где dср - средняя крупность донных наносов, мм; hср - средняя глубина, м.
6.3.8. Вид формулы для определения параметра
Г следует выбирать в зависимости от того, каким образом задан состав наносов.
Рис. 6.3. График зависимости
E =
f(
C)
Если используется только средняя гидравлическая крупность транспортируемых наносов, то параметр
Г находится по
прил. 6 в зависимости от коэффициента Шези
C и параметра
G, определяемого по формуле
G = U/vср, (6.13)
где
U - средняя гидравлическая крупность транспортируемых наносов, м/с (см.
пп. 6.3.3 -
6.3.5);
vср - средняя скорость потока, м/с.
При расчете транспорта наносов по фракциям гидромеханический параметр наносов Г следует вычислять по формулам, которые включают его частные значения - Гi, определяемые для отдельных фракций.
Частные значения гидромеханического параметра
Гi находятся по
прил. 6 в зависимости от коэффициента Шези
C и частного значения параметра
Gi, вычисляемого для каждой фракции наносов по формуле
Gi = ui/vср, (6.14)
где ui - гидравлическая крупность i-й фракции наносов, м/с.
Если задан гранулометрический состав транспортируемых наносов, то общее значение гидромеханического параметра вычисляется по формуле

(6.15)
где

- осредненное по сечению потока процентное содержание
i-й фракции в составе взвешенных наносов;
m - число фракций взвешенных наносов согласно принятому в расчете делению на фракции.
Если задан гранулометрический состав донных наносов, то предварительно из них следует выделить взвешиваемые (транспортируемые) при данных гидравлических условиях фракции, определить общий процент этих фракций (
r) и пересчитать процентное содержание каждой взвешиваемой фракции

донных наносов по отношению к полученному значению
r.
Верхнюю границу крупности взвешиваемых фракций определяют по отношению

(6.16)
где Uпред - предельная гидравлическая крупность частицы, определяющая верхнюю границу крупности взвешиваемых фракций, м/с; vср - средняя скорость течения, м/с; N - безразмерное характеристическое число, определяемое по формуле
N = MC/g, (6.17)
в которой C - коэффициент Шези; g - ускорение свободного падения, равное 9,81 м/с2. При C <= 60M = 0,7C + 6, при C > 60M = 48 = const.
Получив по
формуле (6.16) границу взвешиваемых фракций, следует найти по интегральной кривой гранулометрического состава донных наносов общее процентное содержание взвешиваемых фракций и вычислить процентное содержание каждой взвешиваемой фракции в составе взвешиваемой части донных наносов по формуле

(6.18)
где

- процентное содержание
i-й взвешиваемой фракции в составе взвешиваемой части донных наносов (наносов, подвергающихся взмыву);

- процентное содержание
i-й фракции в донных наносах;
r - общий процент взвешиваемых фракций в составе донных наносов.
Для проверки правильности определения величины

следует использовать равенство

(6.19)
где m - число всех взвешиваемых фракций.
Если задан состав донных наносов, гидромеханический параметр наносов следует вычислять по формуле

(6.20)
При детальном расчете заиления водохранилищ необходимо определять значения частной транспортирующей способности потока sтр,i т.е. транспортирующей способности по отдельным переносимым потоком фракциям наносов.
При заданном составе транспортируемых наносов

(6.21)
Если известен состав донных наносов, то

(6.22)
6.3.9. При определении средней мутности потока Sтр для рек Средней Азии, наряду с приведенными выше соотношениями рекомендуется следующая формула А.Н. Гостунского:

(6.23)
Здесь
U - средняя гидравлическая крупность взвешенных наносов, м/с;
vср - средняя скорость, м/с;
hср - средняя глубина, м;
C - коэффициент Шези;
a - корректирующий множитель (см.
п. 6.3.2).
6.3.10. При наличии достаточных натурных данных по мутности и гранулометрическому составу взвешенных наносов для оценки транспортирующей способности рекомендуется метод К.П. Россинского и И.А. Кузьмина
[51], предусматривающий установление графической связи насыщения потока руслоформирующими фракциями с гидравлическими элементами потока. По данным о гранулометрическом составе донных и транспортируемых наносов, а также о мутности потока следует вычислить содержание в потоке руслоформирующих фракций взвешенных наносов и построить графическую зависимость полученных значений от параметра

.
При этом за наименьший диаметр руслоформирующих фракций рекомендуется принимать диаметр частиц, мельче которых в составе донных наносов содержится не более 5 - 8% (массовая доля).
На чертеже проводят две линии мутности. Верхняя огибающая отвечает предельному насыщению потока наносами в зонах отложения, нижняя - характеризует транспортирующую способность потока в зонах размывов; промежуток между предельными кривыми отвечает транзиту наносов без изменения мутности. Верхняя огибающая, описываемая в общем случае уравнением

(6.24)
рекомендуется для оценки предельного насыщения потока наносами в зоне отложения твердого материала.
В
уравнении (6.24) Sпред - предельная транспортирующая способность (мутность, г/м
3);
vср - средняя скорость потока, м/с;
hср - средняя глубина, м;
U - средняя гидравлическая крупность руслоформирующих наносов, м/с.
При больших насыщениях потока мелкими фракциями выполняется построение таких же графических связей и для мелких (неруслоформирующих) фракций.
Расчет транспорта влекомых наносов.
6.3.11. Выбор формулы для расчета расхода влекомых наносов следует производить с учетом гранулометрического состава донных наносов. При этом необходимо следить за тем, чтобы вычисленные значения в наибольшей мере соответствовали имеющимся натурным данным.
В целях сближения вычисленных и натурных значений расходов влекомых наносов в расчетные формулы рекомендуется вводить корректирующий множитель
a (см.
п. 6.3.2). При этом фактическое значение расхода влекомых наносов принимается по данным единичных измерений на рассматриваемой реке, а при отсутствии таковых - по данным измерений на реке-аналоге.
6.3.12. Расход песчаных наносов (0,1 мм <=
d <= 2 мм) рекомендуется вычислять по формуле Г.И. Шамова
[63]:

(6.25)
где Pвл - расход влекомых наносов, кг/с; vср - средняя скорость потока, м/с; vотл - средняя скорость, при которой прекращается движение наносов данной крупности, м/с; dср - средний диаметр частиц донных наносов, м; hср - средняя глубина потока, м; B - ширина потока, м.
Скорость vотл вычисляется по формуле

(6.26)
значение dср вычисляется по формуле

(6.27)
где

и

- соответственно процентное содержание и диаметр
i-й фракции в составе донных наносов;
m - общее число фракций, на которые разделены наносы.
Формула (6.25) может быть применена и в тех случаях, когда задан лишь средний диаметр донных наносов, а процентное распределение их фракций неизвестно.
6.3.13. Расход песчано-гравелистых наносов (0,1 мм <=
d <= 10 мм) рекомендуется рассчитывать по формуле В.Н. Гончарова
[24]:

(6.28)
где
Pвл - расход влекомых наносов, кг/с;
vср - средняя скорость течения, м/с;
vнпд - предельная непередвигающая скорость, м/с;
dср - средний диаметр частиц донных отложений, определяемый по
формуле (6.27), м;
B - ширина потока, м; значения параметра

приведены в
табл. 6.6.
d, мм . . . 0,06 0,1 0,2 0,4 0,6 0,8 1,0 1,2 1,5 > 1,5

. . . . . 15,8 7,3 3,25 2,09 1,67 1,42 1,25 1,15 1,0 1,0
Значения vнпд вычисляются по формуле

(6.29)
где
d95 - диаметр крупных частиц донных наносов, доля которых в общем количестве составляет 5%, м;
dср - средний диаметр частиц донных наносов, м;
hср - средняя глубина потока, м;

- плотность частиц наносов (для обычных речных наносов

);

- плотность воды (1000 кг/м
3);
g = 9,81 м/с
2.
Формула (6.28) может быть использована только в тех случаях, когда задано процентное распределение фракций донных наносов.
6.3.14. Для расчета расхода влекомых наносов при гравийно-галечном составе донных наносов рекомендуются формулы К.И. Россинского
[52]:

(6.30)

(6.31)
Формулу (6.30) следует применять при однородном составе донных наносов,
формулу (6.31) при резкой неоднородности наносов. Допускается использовать
формулу (6.30) также для расчета расхода влекомых наносов при песчаном составе донных наносов.
k = 1,25/lg(6,15hср/0,7dср), (6.32)
ki = lg(11,7di/dср + 0,5)/lg(6,15hср/0,7dср); (6.33)

(6.34)

(6.35)
где коэффициент
b определяется по графику на
рис. 6.4. Коэффициенты

и

следует определять по графику на
рис. 6.5, при этом

определяется по аргументу
x1, а значение

- по аргументу
x2.
Рис. 6.4. График для определения параметра
b
Рис. 6.5. График для определения функций

и

Частные значения

и

определяются по тому же графику с использованием частных значений
ki,
vод,i, v
дв,i.
Аргументы вычисляются соответственно по формулам:

(6.36)

(6.37)
Значения vдв и vдв,i вычисляются по формулам:

(6.38)
Рис. 6.6. График для определения параметра

Значения

определяются по графику на
рис. 6.6. Значения
v следует выражать в метрах в секунду;
h и
B - в метрах.
6.4. Расчет заиления водохранилищ
Расчет общего объема заиления и оценка срока службы крупных и средних водохранилищ упрощенными методами.
6.4.1. Расчет объема заиления через заданное число лет и определение срока службы водохранилищ, характеризующихся показателем условной продолжительности водообмена Tу > 0,02, следует выполнять в следующем порядке.
По приближенной
формуле (6.3) определяется показатель условной заиляемости
tу.
Если вычисленное значение tу оказывается свыше 200 лет, то полученное значение принимается за продолжительность срока службы водохранилища как емкости, регулирующей сток.
В этом случае объем заиления через заданное число лет вычисляется как произведение среднего годового притока наносов на число лет.
Средний годовой приток наносов включает в себя сток как взвешенных, так и влекомых наносов. В случаях когда сток влекомых наносов составляет менее 10% общего стока наносов, за средний многолетний приток наносов в водохранилище допускается принимать норму стока взвешенных наносов.
Перевод массы отложений, полученной по норме годового притока наносов, в объем отложений следует производить по формуле

(6.39)
где
Wа - объем отложений (аккумуляция наносов) в водоеме в состоянии естественного уплотнения и влажности, м
3;

- плотность отложений (скелета грунта), определяемая отношением массы сухого грунта к его объему в состоянии естественной влажности и уплотнения, кг/м
3;
Па - масса наносов (сухих), отложившихся в водохранилище, кг.
Таблица 6.7
Типы грунтов (отложений) и их плотность
в зависимости от гранулометрического состава
Тип грунтов (донных наносов) | Диаметр частиц (мм) и пределы их массовой доли в грунтах, % |
галька | гравий | песок | пыль | ил | глина | |
100 - 50 | 50 - 20 | 20 - 10 | 10 - 5 | 5 - 2 | 2 - 1 | 1 - 0,5 | 0,5 - 0,2 | 0,2 - 0,1 | 0,1 - 0,05 | 0,05 - 0,01 | 0,01 - 0,005 | 0,005 - 0,001 | < 0,001 |
Илы тонкие | | | | | | | | | | | 10 - 20 | 40 - 70 | 10 - 20 | 0,7 - 0,8 |
Илы | | | | | | | | | | 20 - 40 | 40 - 70 | | 0,8 - 0,9 |
Илы с примесью песка | | | | | | | | | 10 - 20 | 40 - 70 | 10 - 20 | | 0,9 - 1,1 |
Мелкие пески, заиленные | | | | | | | | | 20 - 40 | 40 - 70 | 10 - 20 | | | 1,1 - 1,2 |
Мелкие и средние пески, заиленные | | | | | | | | 20 - 40 | 40 - 70 | 10 - 20 | | 1,2 - 1,3 |
Средние пески, заиленные | | | | | | | | 40 - 70 | 20 - 40 | 10 - 20 | | 1,3 - 1,5 |
Мелкие пески | | | | | | | | 10 - 20 | 40 - 70 | 20 - 40 | | | 1,5 - 1,6 |
Средние пески | | | | | | | | 40 - 70 | 20 - 40 | 10 - 20 | | | 1,6 - 1,7 |
Средние и крупные пески | | | | | | 10 - 20 | 40 - 70 | 20 - 40 | | 1,6 - 1,8 |
Пески с гравием | | | | 20 - 40 | 40 - 70 | | | 1,7 - 1,9 |
Гравий | | | 10 - 20 | 40 - 70 | 10 - 20 | | | 1,8 - 2,1 |
Галька с гравием | 40 - 70 | 20 - 40 | 10 - 20 | | | | | | | | 2,0 - 2,2 |
Плотность отложений в проектируемых водохранилищах рекомендуется определять в зависимости от их гранулометрического состава по
табл. 6.7. При этом ожидаемый гранулометрический состав отложений принимается идентичным составу наносов, поступающих в водохранилище.
Если показатель условной заиляемости оказывается менее 200 лет, то расчет заиления необходимо производить с учетом возможного сброса наносов в нижний бьеф. В этом случае рекомендуются два приближенных способа расчета заиления, для использования которых необходимы следующие исходные данные: расчетные (средние многолетние) значения расхода воды Q0,р, мутности реки, питающей водохранилище, S0,р, расхода влекомых наносов P0,вл, гидрограф среднего по водности года, план русла реки на месте проектируемого водохранилища в горизонталях и план чаши водохранилища. Детальность плана должна быть достаточной для определения средней глубины, площади сечения речного потока и водохранилища, а также объема водохранилища в целом и по участкам с погрешностью не более +/- 10%.
6.4.2. Первый способ предназначен для расчета срока службы крупных, сравнительно медленно заиляемых водохранилищ. Этот способ предусматривает предварительное разделение всего периода заиления на две стадии: начальную, на протяжении которой все поступающие в водохранилище наносы практически полностью в нем аккумулируются, и вторую, характеризующуюся затуханием процесса заиления во времени по мере уменьшения объема водохранилища. Этот способ позволяет приближенно учесть осаждение как взвешенных, так и влекомых наносов.
Расчет заиления первым способом выполняется в следующей последовательности: 1) определяется продолжительность первой стадии заиления, в течение которой все поступающие наносы практически полностью осаждаются в водохранилище; 2) вычисляется общий объем заиления за первую стадию и свободный от наносов объем водохранилища к началу второй стадии заиления; 3) вычисляется ход аккумуляции наносов в водохранилище на второй стадии заиления по формулам, учитывающим затухание процесса заиления вследствие постепенного уменьшения регулирующей емкости и выноса части наносов в нижний бьеф.
6.4.2.1. Продолжительность первой стадии заиления ориентировочно определяется по формуле
tуI = (
W0 - 8,33
wр)/
VS, (6.40)
где
tуI - продолжительность первой стадии заиления в годах;
VS - годовой приток наносов, м
3;
W0 - первоначальный объем водохранилища, м
3;
wр - объем русла, сформированного рекой в полностью заиленном водохранилище, м
3. Последняя величина принимается равной произведению длины водохранилища
l, измеренной с учетом возможных искривлений потока, на бытовую площадь сечения речного русла

при руслоформирующем расходе
Qрф:

. (6.41)
В качестве Qрф рекомендуется принимать средний суточный расход, вероятность превышения которого в средний по водности год составляет 10 - 15%.
6.4.2.2. Общий объем заиления за первую стадию WаI вычисляется как произведение среднего годового притока наносов VS на продолжительность первой стадии заиления tуI:
Границу между второй и первой стадиями заиления, определенную по
формуле (6.40), рекомендуется уточнять путем контрольных расчетов мутности потока в выходном створе водохранилища в конце первой стадии заиления
SкI. Если значение мутности
SкI, вычисленное с учетом уменьшения площади живого сечения в приплотинном створе к концу первой стадии заиления, не превышает 10% средней многолетней мутности воды, поступающей из реки в водохранилище, т.е.
SкI <= 0,1
Sр, то продолжительность первой стадии заиления
tуI и объем аккумулированных наносов
WаI, определенные соответственно по
формулам (6.40) и
(6.42), не подлежат корректировке. В противном случае продолжительность и объем заиления первой стадии следует рассчитать обратным путем, исходя из условия
SкI <= 0,1
Sр или из условия, что вынос наносов в конце первой стадии заиления составляет не более 10% притока наносов, т.е.
VSкI <= 0,1
VS.
Корректировка объема заиления в конце первой стадии заиления WаI и продолжительности первой стадии заиления tуI осуществляется следующим образом:
а) вычисляется ряд значений
Sj в выходном (приплотинном) створе водохранилища по
формуле (6.9) при глубинах
hj <
h0 и соответствующих значениях
vj =
Q/(
hj/
Bj) и
C = (
hj/
h0)
1/6C0 (здесь и далее индекс "0" относится к значениям переменных до заиления);
б) определяются соответствующие значения площади живого сечения в приплотинном створе

: при наличии данных измерений - по поперечному профилю при разных значения
hj, при отсутствии натурного профиля - по схематизированному профилю. При схематизации по трапеции

, где
b - ширина по дну,
m - заложение откосов берегов;
в) строится график зависимости

, где

- площадь живого сечения водохранилища у плотины до начала заиления при НПУ. Задаваясь величиной
SкI = 0,1
Sр, по графику определяют соответствующее значение отношения

на конец первой стадии заиления. Принимая, что объем водохранилища изменяется пропорционально изменению площади живого сечения, т.е.

, находят объем водохранилища на конец первой стадии заиления по выражению

(6.43)
г) определяется объем заиления в конце первой стадии заиления по зависимости
WакI = W0 - WкI, (6.44)
д) рассчитывается продолжительность первой стадии заиления по выражению
tуI = WакI/VS, (6.45)
при условии SкI <= 0,1Sр.
6.4.2.3. Расчет хронологического хода заиления водохранилища на второй стадии процесса заиления рекомендуется выполнять по формулам Г.И. Шамова
[63] и В.С. Лапшенкова
[31]. Вид формулы следует выбирать в соответствии с имеющимися исходными данными. Расчет выполняется по осредненным за многолетний период значениям расходов воды и наносов во входном створе водохранилища при среднем положении кривой подпора, отвечающем НПУ. За расчетный интервал времени принимается год. При расчетах, если это необходимо, учитывается влияние многолетней изменчивости стока наносов на заиление водохранилищ в соответствии с рекомендациями
пп. 6.4.10 -
6.4.11.
Формула Г.И. Шамова имеет вид
Wаt =
Wа пред[1 - (1 -
WаI/
Wа пред)
t], (6.46)
где Wаt - объем наносов, отложившихся за t лет, м3; Wа пред - предельный объем отложений наносов в водохранилище, по достижении которого заиление прекращается, м3; WаI - объем отложений за последний год первой стадии заиления или за первый год эксплуатации водохранилища (если с самого начала заиление происходит по схеме второй стадии), м3.
Время t исчисляется с начала второй стадии заиления. Предельный объем заиления Wа пред определяется также для второй стадии заиления по разности
Wа пред =
W0II -
wр, (6.47)
где
W0II - начальный объем водохранилища во второй стадии заиления при НПУ (равный свободному от заиления объему водохранилища в конце первой стадии заиления), м
3;
wр - объем русла, сформировавшегося в отложениях к концу второй стадии заиления, определяемый по
формуле (6.41).
Объем заиления за первый год
WаI рекомендуется вычислять детальным способом, изложенным ниже (см.
раздел 6.4.2). Для приближенной оценки заиления допускается определять
WаI по формуле

(6.48)
где

- площадь поперечного сечения реки в бытовых условиях при расходе воды, равном
3/
4 расчетного максимального расхода, м
3;

- наибольшая площадь поперечного сечения верхнего бьефа на ближайшем к плотине участке, м
2;
n - показатель степени, принимаемый в зависимости от уклона реки
I (при
I < 0,0001
n = 1,0 ... 0,8; при
I = 0,0001 ... 0,001
n = 0,8 ... 0,5; при
I = 0,001 ... 0,01
n = 0,50 ... 0,33).
Формула В.С. Лапшенкова имеет вид
Wаt =
Wа пред(1 -
e-t/E), (6.49)
где e - основание натуральных логарифмов, E - характеристика заиляемости водохранилища, остальные обозначения прежние.
Характеристика заиляемости

(6.50)
где

- доля осаждающихся наносов в начальный период заиления.
При наличии данных наблюдений

(6.51)
где
Sнач1 - расчетная бытовая мутность в начальном створе,
Sкон1 - мутность в конечном створе водохранилища в первый год второй стадии заиления или за первый год эксплуатации (если заиление с самого начала происходит по схеме второй стадии). Величину
Sкон1 рекомендуется вычислять по
формуле (6.67) или по графику

(см.
пп. 6.3.10 и
6.4.7).
Пример расчета данным способом изложен в
прил. 11.
6.4.3. Второй способ расчета, предложенный А.В. Караушевым, позволяет определить время заиления водохранилища, а также объем водохранилища через заданный промежуток времени без предварительного выделения стадий заиления. Снижение интенсивности процесса заиления водохранилища по мере заполнения его наносами учитывается автоматически посредством функции обратной связи, отражающей зависимость транспортирующей способности транзитного потока данного водохранилища от его осредненных морфометрических характеристик. Данный способ позволяет учитывать аккумуляцию только тех наносов, которые переносятся потоком во взвешенном состоянии. Его предпочтительнее применять при расчетах заиления средних водохранилищ (tу < 50 лет). Расчет может выполняться как для всего водохранилища в целом, так и последовательно от участка к участку. Рекомендуются два варианта способа: аналитический и графический. Последний более прост, но менее точен.
6.4.3.1. Аналитический вариант расчета заиления водохранилища заключается в следующем. Незаиленный объем водохранилища на
j-м участке в
i-й расчетный момент времени (
Wj,i) определяется по формуле

(6.52)
где
Wj,i-1 - незаиленный объем водохранилища в пределах
j-го участка в момент времени
ti-1, предшествующий расчетному;

- объем наносов, аккумулированных на рассматриваемом
j-м участке за расчетный интервал времени

.
Расчетные интервалы времени выбираются в зависимости от получаемой интенсивности заиления. В начале расчета их назначают длительностью в один год или несколько лет, а затем уменьшают и при приближении значений
wj к объему речного русла
wjр следят за тем, чтобы в конце расчета выйти на величину
Wj =
wjр, не получая отрицательных значений приращений

.
Объем наносов

вычисляется по формуле

(6.53)
Здесь
Qр - расчетное значение расхода воды, м
3/с;
Sjначi - средняя за интервал времени

мутность воды в начальном створе
j-го участка, г/м
3;

- плотность отложений на участке (в естественном залегании), кг/м
3;

- значение функции обратной связи на рассматриваемом
j-м участке для момента времени
ti-1, предшествующего расчетному.
Функция обратной связи

вычисляется для момента времени, предшествующего расчетному, по формуле

(6.54)
где Wрj - объем воды в русле речного потока на рассматриваемом j-м участке проектируемого водохранилища при заданном значении расхода воды Qр; Wвj,i-1 - объем водохранилища на том же j-м участке при заданном расходе Qр в момент времени ti-1, предшествующий расчетному; kрj и kвj,i-1 - коэффициенты пропорциональности (индекс "р" указывает на принадлежность к речному потоку, индекс "в" - к водохранилищу).
Значения коэффициентов пропорциональности kрj и kвj вычисляются по формуле

(6.55)
где
h и

- средние для расчетного участка реки (или водохранилища) значения глубины и площади поперечного сечения при заданном расходе
Qр.
Значения
kрj не меняются во времени, они вычисляются непосредственно по
формуле (6.55) по осредненным для каждого
j-го участка реки значениям
hрj и

; переменные во времени значения
kвj,i определяют путем прямолинейной интерполяции между крайними значениями
kвj, вычисленными по
формуле (6.55) для начального момента времени
ti =
t0 (до начала заиления при
hвj,0 и

, отвечающих первоначальному объему водохранилища на участке
Wвj,0) и для конечного момента времени
ti =
tкон, когда заиление практически прекращается и
Wвj ~=
Wрj. Для удобства расчета рекомендуется строить вспомогательный график
kвj,i =
f(
Wвj,i).
Средняя мутность в начальном створе расчетного участка за i-й расчетный интервал времени принимается равной мутности в конечном створе расположенного выше участка за тот же расчетный интервал. Вычисления ведутся последовательно от верхнего участка к нижнему по формуле

(6.56)
где

- функция обратной связи, полученная для предыдущего участка за расчетный интервал времени

.
При расчете по
формуле (6.56) мутность в начальном створе верхнего участка принимается равной расчетному значению мутности реки, питающей водохранилище,
Sр. В случае если продолжительность расчетных интервалов времени для последующего участка больше, чем для предыдущего участка

, то мутность в начальном створе последующего
j-го участка вычисляется как среднее арифметическое из значений мутности, полученных для конечного створа вышележащего (
j - 1)-го участка за принятые промежутки времени

:

(6.57)
При расчете заиления по участкам рекомендуется делить водохранилище на равные по длине участки. Расчет ведется последовательно от верхнего участка к плотине. Все вычисления производятся в табличной форме. В этой же таблице помещают вычисленные значения мутности в конечном створе участка.
По результатам вычисления строят хронологические графики изменения объема водохранилища по участкам, а затем один общий график изменения объема по времени. Пример расчета аналитическим способом приведен в
прил. 11.
6.4.3.2. Графический вариант расчета основан на использовании номограммы на
рис. 6.7, которая позволяет приближенно определить объем водохранилища (и, соответственно, объем заиления) через заданное число лет. Для расчета заиления этим способом необходимы следующие исходные данные: первоначальный объем водохранилища
W0 и его конечный объем
Wк, принимаемый равным первоначальному объему русла на участке проектируемого водохранилища
wр, а также расчетные значения расхода воды
Qр и мутности
Sр реки, питающей водохранилище. Ключ к пользованию номограммой показан на
рис. 6.7 стрелками.
Для того чтобы определить по номограмме объем водохранилища через t лет заиления, следует выполнить следующие операции:
- вычислить значения

, отвечающие заданному значению
t, по выражению

(6.58)
- отложить найденное значение на оси

(точка
a) и из полученной точки восстановить перпендикуляр до пересечения с линией

, соответствующей заданному значению мутности во входном створе
Sр, имея в виду отношение

(6.59)
- из точки пересечения
b провести прямую, параллельную оси абсцисс, до пересечения с кривой функции

, которая отвечает заданному значению относительного объема водохранилища в конце периода заиления -

(точка
c), где

(6.60)
Рис. 6.7. Номограмма для расчета заиления водохранилищ
- из точки
c опустить перпендикуляр на ось

и вычислить по найденному значению

(точка
d) объем водохранилища через
t лет заиления по зависимости

(6.61)
Необходимую для расчета линию

, отвечающую заданному значению мутности
Sр, можно нанести на номограмму, исходя из соотношения

.
Если расчет заиления водохранилища выполняется по участкам, то мутность во входном створе первого (верхнего) участка принимается равной мутности реки, т.е. S1 = Sр; мутность во входных створах последующих участков вычисляется по формуле

(6.62)
где Wаj - объем заиления j-го участка.
Расчет ведется последовательно от верхнего участка к плотине. Пример расчета графическим способом приведен в
прил. 11.
Детальный расчет заиления водохранилищ.
6.4.4. Детальный метод расчета заиления водохранилища позволяет не только более точно определить срок службы водохранилища и объем отложений, но и получить распределение отложений по длине водохранилища (включая зону выклинивания подпора), трансформацию кривой подпора, обусловленную заилением, и т.д.
В зависимости от поставленной задачи и размера водохранилища расчет заиления выполняется для водоема в целом или по отдельным участкам. Длина участка

принимается равной пятидесятикратной ширине водохранилища. Начальный створ верхнего расчетного участка должен находиться вне зоны подпора водохранилища, а конечный (последнего участка) - непосредственно у плотины.
Каждый промежуточный створ является одновременно начальным для расположенного ниже расчетного участка и конечным для расположенного выше.
Расчет заиления детальным методом производится за расчетные интервалы времени, которые выделяются с учетом режима стока воды в начальном створе водохранилища и хода изменения уровней воды в водохранилище. Схематизация типовых хронологических графиков стока воды и стока наносов выполняется в соответствии с указаниями
п. 6.4.11. Гидрограф типового года рекомендуется делить на три-четыре расчетных интервала времени

(номер интервала обозначается через
j). Значения

корректируются в ходе расчетов путем прикидок; они должны быть такими, чтобы вычисленные деформации не превышали 20% глубины.
6.4.5. Расчет заиления для одного года состоит из следующих этапов: 1) подготовка исходных материалов: данные о стоке воды и наносов, их внутригодовое распределение и изменчивость (типовые хронологические графики), гранулометрия транспортируемых наносов и донных отложений, топографические данные, характеризующие чашу водохранилища; 2) назначение расчетных интервалов времени; 3) выделение расчетных участков; 4) гидравлические расчеты для водохранилища в целом или для участков при разных уровнях и расходах воды, отвечающих средним значениям для назначенных расчетных интервалов времени (эти расчеты включают в себя построение кривой свободной поверхности и вычисление средних скоростей течения); 5) расчет транспортирующей способности потока; 6) определение стока за расчетные интервалы времени на границах расчетных участков; 7) балансовый расчет объемов заиления по участкам и для всего водохранилища за расчетные интервалы времени; 8) получение значений годового заиления по участкам и для всего водохранилища по всем фракциям отложившихся наносов, включая и влекомые наносы.
Расчет заиления водохранилища включает в себя две последовательные операции:
1) расчет кривой свободной поверхности для заданного расхода воды в расчетном интервале времени;
2) расчет деформаций дна в течение этого интервала.
Кривая свободной поверхности воды рассчитывается любым из известных в гидравлике методов по заданному уровню у плотины и характеристикам поперечных сечений водохранилища. Расчет кривой подпора ведется от плотины вверх по течению реки и продолжается до участка, на котором вычисленный уровень воды совпадает с бытовым при данном расходе воды. Соответствие расчетных уровней бытовым в зоне выклинивания подпора достигается подбором расчетного коэффициента шероховатости
n. Для начального периода существования водохранилища значение
n определяют обратным путем по
формуле (4.16) по данным гидрометрических измерений на реке в бытовых условиях, а затем интерполируют или экстраполируют до нужного уровня. Коэффициент шероховатости для заиленного водохранилища рекомендуется определять по формуле Штриклера:
где d - средний диаметр частиц донных отложений, мм; k - коэффициент, числовое значение которого устанавливают по значениям n, определенным по данным гидрометрических измерений (при соответствующем гранулометрическом составе донных наносов), или принимают равным 0,03.
Расчет деформаций дна производится сверху вниз по течению реки - от места выклинивания подпора к плотине. При наличии поймы расчет следует производить, как правило, с разделением потока на русловой и пойменный. Распределение расходов воды между отсеками принимается пропорционально их пропускной способности k' = Bh5/3/n. В этом случае коэффициент шероховатости устанавливается раздельно для поймы и русла.
6.4.6. Расчет заиления производится по отдельным фракциям транспортируемых наносов с выделением в особую группу фракций влекомых наносов. Взвешенные наносы рекомендуется разделять на три-четыре фракции и определять частный сток каждой фракции
ПS,i,j за каждый расчетный интервал времени

для каждого расчетного участка.
Для начального створа первого расчетного участка частный сток каждой i-й фракции взвешенных наносов ПS,i,j за каждый j-й интервал времени и частная мутность si определяются по формулам:

(6.64)

(6.65)
где

- средний для расчетного интервала процент
i-й фракции взвешенных наносов, осредненный по сечению;
ПS,j - сток всех фракций взвешенных наносов, поступающих в водохранилище за интервал времени

, кг/с;
Sj - средняя за интервал
j мутность воды, поступающей в водохранилище, г/м
3.
Отложение i-й фракции взвешенных наносов на участке водохранилища определяется по следующему уравнению баланса:
ПS,iаj =
ПS,iначj -
ПS,iконj, (6.66)
где
ПS,iаj - масса наносов
i-й фракции в килограммах, аккумулирующихся на участке водохранилища за время

;
ПS,iначj,
ПS,iконj - сток наносов
i-й фракции соответственно через начальный и конечный створы участка за
j-й расчетный интервал времени, кг.
Сток
i-й фракции взвешенных наносов через конечный створ за интервал

определяется по формуле

(6.67)
где
Qср.конj - средний за время

расход воды через конечный створ участка, м
3/с;
siконj - средняя для
j-го интервала времени частная мутность
i-й фракции в конечном створе участка, г/м
3.
6.4.7. Значение
siконj рекомендуется вычислять по формуле Караушева
[24]:

(6.68)
где
siначj - средняя за интервал

частная мутность в начальном створе;
siтрj - мутность, отвечающая частной транспортирующей способности потока, которая вычисляется по
формуле (6.21) или
(6.22) с использованием средних для интервала времени гидравлических элементов на расчетном участке;

- относительная длина расчетного участка, определяемая как отношение его длины к средней глубине водоема на участке, т.е.

(6.69)

- безразмерный параметр, вычисляется по формуле
| | ИС МЕГАНОРМ: примечание. Формула дана в соответствии с официальным текстом документа. | |
G* = (ui + ki,j)/vсрj, (6.70)
где ui - гидравлическая крупность наносов i-й фракции, м/с; vсрj - средняя скорость течения на участке в j-й интервал времени, м/с; ki,j - параметр, имеющий размерность скорости и определяемый по формуле
ki,j = uiГi,j/(1 - Гi,j), (6.71)
где
Гi,j - гидромеханический параметр, определяемый в соответствии с указаниями, данными в
п. 6.3.8.
При расчете заиления за первый год эксплуатации для вычисления siтрj допускается использовать состав речного аллювия в русле, при расчете за последующие годы надо учитывать состав отложений, получаемый расчетным путем.
6.4.8. При наличии материалов натурных наблюдений (за мутностью, гранулометрическим составом взвешенных наносов и донных отложений, скоростью течения и глубиной), достаточных для построения графических зависимостей содержания наносов в потоке от гидравлических элементов реки, может быть рекомендован упрощенный балансовый метод расчета заиления водохранилищ, разработанный Гидропроектом [
21,
51]. Расчет выполняется последовательно для каждого расчетного участка вниз по течению за интервалы времени

(см.
пп. 6.4.4 и
6.4.5). Особенности метода состоят в следующем. Принимается, что заиление происходит в основном в результате осаждения руслоформирующих наносов (песчаных и сопутствующих им песчано-пылеватых фракций). Соответственно этому выделяют две фракции взвешенных наносов (I фракция -
d > 0,05 мм, II фракция - 0,01 мм <
d < 0,05 мм), определяют частные значения мутности
si и строят графики связи мутности (раздельно для I и II фракций) с гидравлическими элементами потока, откладывая по оси абсцисс значения аргумента
v/
h0,33, а по оси ординат - значения
si.
Полученное поле точек ограничивают двумя линиями. Верхняя огибающая соответствует предельному насыщению потока при отложении наносов, нижняя огибающая относится к случаям размыва дна.
Мутность потока, поступающего через верхний створ начального участка принимается в соответствии с расчетными гидрографами притока воды и наносов к водохранилищу. Для последующих расчетных участков мутность определяется по графикам связи si = f(v/h0,33) с учетом знака ожидаемой деформации дна. (При этом мутность во входном створе нижерасположенного участка приравнивается мутности на выходе с вышерасположенного участка.)
Если мутность потока, поступающего на участок оказывается выше значения мутности по верхней огибающей при аргументе для выходного створа, то на участке должно произойти частичное отложение наносов. В этом случае значение мутности на выходе с участка снимается с верхней огибающей по аргументу v/h0,33 для выходного створа. Если мутность во входном створе меньше значения мутности по нижней огибающей при аргументе v/h0,33 для выходного створа, что может иметь место при размыве, то значение мутности на выходе с участка снимается с нижней огибающей. Если же значение мутности во входном створе ложится на график (при аргументе v/h0,33 для выходного створа) между верхней и нижней огибающими, то считается что наносы проходят транзитом, т.е. нет ни размывов, ни отложений. В этом случае мутность в выходном створе принимается равной мутности во входном створе.
Определив значения мутности в сечениях, разделяющих расчетные участки, приступают к расчету деформаций дна на участках балансовым методом с использованием
формул (6.66) и
(6.67).
6.4.9. Аккумуляция влекомых наносов на участке за расчетный интервал времени вычисляется по разности расходов влекомых наносов в начальном и конечном створах:

(6.72)
где
Пвл,аj - масса отложений влекомых наносов за интервал

, кг;
Pвл нач,j и
Pвл кон,j - расходы влекомых наносов в начальном и конечном створах участка, определяемые по
формулам (6.25),
(6.28),
(6.30) или по
формуле (6.31) для средних за расчетный интервал значений гидравлических элементов, кг/с;

- интервал времени, с.
Общая масса отложений на участке водохранилища за расчетный интервал времени

вычисляется как сумма отложений всех фракций взвешенных наносов и отложений влекомых наносов:

(6.73)
Общий объем отложений на участке
Wаj за время

вычисляется с учетом плотности отложений по
формуле (6.39), значения плотности отложений в зависимости от их гранулометрического состава приведены в
табл. 6.7.
Годовой объем заиления на участке определяется как сумма объемов заиления за все расчетные интервалы

:

(6.74)
где
n - число расчетных интервалов

.
| | ИС МЕГАНОРМ: примечание. Обозначения даны в соответствии с официальным текстом документа. | |
Для получения общего объема заиления всего водохранилища и хода его заиления по годам суммируют объемы заиления на всех расчетных участках за каждый год и строят хронологический график нарастания тела заиления или же график потери объема водохранилища в виде W(t), где W - свободный от заиления объем водохранилища, z - число лет.
Учет многолетней и внутригодовой изменчивости стока наносов при расчетах заиления крупных и средних водохранилищ.
6.4.10. Многолетнюю изменчивость годового стока наносов следует учитывать, когда показатель условной заиляемости
tу < 50 лет. При
tу > 50 лет расчет выполняется по норме стока наносов.
Влияние многолетней изменчивости годового стока наносов на интенсивность заиления водохранилища оценивается путем дополнительных контрольных расчетов, выполняемых после основных расчетов, произведенных по норме стока наносов. Рекомендуются два способа контрольных расчетов:
1) по ряду наблюденных или вычисленных значений стока наносов, расположенных в хронологическом порядке;
2) по стоку наносов малой вероятности превышения для группировок лет различной продолжительности.
При использовании первого способа ряд наблюденных или вычисленных значений годового стока наносов располагается в хронологическом порядке. Выбирается период с повышенным стоком наносов и начиная с этого периода ведется расчет заиления по годам способами, изложенными в
пп. 6.4.4 -
6.4.9.
Разница между вычисленным таким образом годовым заилением и полученным для того же календарного года (или для соответствующей группы лет) по норме стока наносов покажет приближенно возможную повышенную интенсивность заиления за счет увеличенного стока наносов по сравнению с нормой.
При использовании второго способа контрольные расчеты выполняются для наиболее неблагоприятных условий, отвечающих группировкам лет со стоком наносов малой вероятности превышения (5, 10 и 25%). Продолжительность группировок лет (n') принимается равной 2, 3, 5 или 10 годам. Причем с возрастанием числа лет вероятность сохранения в течение n' лет подряд повышенного стока наносов уменьшается.
Для каждой группировки
n' лет определяется суммарный
n' сток взвешенных наносов различной вероятности превышения по аналитическим кривым обеспеченности (см.
п. 6.2.5). Дальнейшие контрольные расчеты заиления выполняются с использованием методов, изложенных в
пп. 6.4.4 -
6.4.9, причем за годовой сток наносов принимается частное от деления на
n' лет суммарного стока наносов за
n'-летие, снятого с кривой обеспеченности. Следует иметь в виду, что гидравлические параметры при расчетах заиления должны отвечать средним расходам воды за
n' лет той же обеспеченности, что и расходы наносов. Предварительная контрольная оценка изменений объема водохранилища за
n'-летние периоды может быть выполнена при допущении, что весь сток наносов за этот период задерживается в водохранилище. Выполненные таким образом контрольные расчеты дают не только объемы заиления за период заданной продолжительности, но и их обеспеченность.
Второй способ контрольных расчетов более предпочтителен, так как он позволяет оценить вероятность ускоренного заиления водохранилища при прохождении в первые годы его эксплуатации групп лет с повышенным стоком наносов.
6.4.11. При расчетах заиления крупных водохранилищ во всех случаях, когда
tу < 200 лет, следует учитывать внутригодовую изменчивость стока наносов. Учет внутригодовой изменчивости рекомендуется выполнять по типовым схематизированным гидрографам стока наносов. Типовой гидрограф выбирается из числа имеющихся для входного створа водохранилища за период наблюдений. Выбор варианта схематизации производится в соответствии с решаемой задачей и принятым методом расчета и сопровождается контрольными подсчетами. Годовой сток наносов гидрографа, принятого в качестве модели, должен соответствовать расчетному годовому стоку наносов. Приведение годового стока наносов типового гидрографа к принятому расчетному выполняется посредством введения повышающих или понижающих коэффициентов. Оптимальное число расчетных интервалов, на которые делится типовой год, равно трем-четырем.
При назначении длительности расчетных интервалов времени необходимо соблюдать условие, чтобы слой заиления за один интервал не превышал 20% глубины.
Для каждого расчетного интервала определяются средние расходы воды и наносов, служащие исходными при расчете заиления водохранилища. Расчет заиления следует выполнять детальным методом (см.
пп. 6.4.4 -
6.4.9).
Годовое заиление на участке определяется как сумма объемов заиления за расчетные интервалы времени.
Расчет заиления малых водохранилищ и прудов.
6.4.12. Расчет заиления малых водохранилищ и прудов рекомендуется выполнять по формуле

(6.75)
где

- относительная наносоудерживающая способность водоема, определяемая для каждого расчетного года;

- относительный объем водоема, численно равный условной продолжительности водообмена и определяемый для каждого расчетного года делением свободного от заиления объема водоема (
W) на средний годовой сток воды, поступающей в водоем (
V0), т.е.

;
e - основание натуральных логарифмов;

- параметр, определяемый по зависимости

(6.76)
в которой U - гидравлическая крупность наносов, м/с; Tс - продолжительность периода сброса паводочных вод из пруда в нижний бьеф, с; hср - средняя глубина водоема для каждого расчетного года, м.
Продолжительность периода сброса паводочных вод из пруда в нижний бьеф
Tс = Vс/Qср,п, (6.77)
где Vс - объем сброса, определяемый как разность суммарного объема притока воды за паводок и свободного объема пруда к началу паводка, м3; Qср.п - средний расход воды за паводок, м3/с.
По найденному значению Па за каждый расчетный год определяется годовая аккумуляция наносов по формуле

(6.78)
где ПS - средний годовой приток наносов в пруд, кг/год; Па,г - масса отложений наносов в пруду за расчетный год, кг/год.
6.4.13. При отсутствии необходимых исходных данных для расчета по
формуле (6.75) допускается определять ежегодную аккумуляцию наносов в малых водоемах, используя эмпирические зависимости наносоудерживающей способности водоема

от его относительного объема

.
Для территории Северного и Западного Казахстана, Курской области, степной части Северного Кавказа и Южного Урала рекомендуются соотношения

и

, приведенные в
табл. 6.8.
Таблица 6.8
Относительная наносоудерживающая способность водоемов
в зависимости от относительного объема и площади
водосбора (числитель - при площади водосбора
5 - 8 км2, знаменатель - при 30 - 40 км2)

. . . . . 0,025 0,05 0,10 0,30 0,50 0,70 0,80 0,95 1,00
0,03 0,06 0,11 0,32 0,58 0,78 0,87 0,96 1,00

. . . . . ---- ---- ---- ---- ---- ---- ---- ----- ----
0,04 0,06 0,12 0,40 0,65 0,85 0,95 1,00 1,00
Для других территорий связь

и

устанавливается по данным о заилении прудов-аналогов.
Для расчета заиления малых водохранилищ и прудов этим способом необходимы сведения о среднем годовом притоке воды и наносов, поступающих в водоем, и размерах водоема. Размеры водоема указываются в задании на проектирование. Годовой приток воды в пруд
V0 определяется по данным натурных измерений либо расчетным путем в соответствии с рекомендациями, изложенными в
пп. 4.5.7 -
4.5.9.
Мутность притекающей в пруд воды при отсутствии данных измерений определяется по картам мутности (см.
рис. 6.2 -
6.5) с учетом поправочных коэффициентов, приведенных в
табл. 6.2, или по данным измерений на реке-аналоге. Сток наносов
ПS подсчитывается как произведение мутности на объем стока воды за год.
6.5. Расчет заиления горных водохранилищ
6.5.1. Рекомендации настоящего раздела следует использовать при расчетах заиления горных водохранилищ, расположенных до отметки 2000 м над уровнем моря, а также водохранилищ предгорной зоны, имеющих специфические черты горных водохранилищ.
6.5.2. Для горных и предгорных водохранилищ характерны большая неравномерность и слабая корреляция твердого и жидкого стока, значительная изменчивость гранулометрического состава наносов, большие колебания уровня воды, достигающие десятков метров. Их заиление происходит путем заполнения чаши водохранилища отложениями, поступающими со стоком воды, за счет активизации оползней и обвалов, селевых потоков, переработки берегов водохранилища волнами.
Основные исходные данные.
6.5.3. При расчетах заиления горных водохранилищ следует пользоваться положениями, изложенными в
разд. 6.1 и
6.2. При этом следует иметь в виду, что данные гидрологических ежегодников о стоке взвешенных наносов горных рек часто бывают занижены вследствие несоблюдения методики измерений. Поэтому при выполнении расчетов заиления следует проанализировать данные о стоке наносов (наличие пропусков в измерениях, освещение измерениями пиков мутности, учет влекомых наносов крупных фракций и др.) и в случае надобности ввести в данные о стоке наносов поправочный коэффициент
k. Для корректировки следует использовать материалы непосредственных измерений стока наносов в других створах данной реки или на реке-аналоге, а также сведения о темпах роста дельты реки и объемах заиления имеющихся водохранилищ. Особое внимание следует обратить на минералогический состав нерусловых, глинистых наносов, в состав которых могут входить монтмориллониты, бентониты, каолиниты, иллиты. Монтмориллониты и бентониты при наличии в речной воде фосфатов осаждаются в водохранилище в виде хлопьев, имеющих гидравлическую крупность мелкого песка. Иллиты и каолиниты не коагулируются и осаждаются со скоростью, соответствующей размерам их частиц.
Определение объема заиления.
6.5.4. При расчете заиления горных водохранилищ следует пользоваться положениями
разд. 6.1 -
6.4, за исключением определения величины
VS - годового стока наносов. Поскольку в горных условиях существенную роль могут играть другие источники наносов, годовой приток наносов определяется следующим образом:
VS =
Vвзв +
V,
V = Vвл + Vсел + Vбер + Vоп,обв - Vс.т. (6.79)
Здесь
Vвл - объем влекомых наносов, определяемый в соответствии с указаниями
пп. 6.3.11 -
6.3.14;
Vсел - объем селевых выносов, определяемый по карте селеопасности или по Инструкции
[18];
Vбер - объем переработки берегов для горных условий, определяемый по работе
[32];
Vоп,обв - объем наносов, поступающих за счет оползней и обвалов, устанавливается на основании инженерно-геологических изысканий; V
с.т - объем наносов, уносимый суспензионными течениями, если они возникают в водохранилище (см.
п. 6.5.6).
6.5.5. Для второго периода заиления, когда часть наносов начинает уноситься из водохранилища, объем заиления горных водохранилищ следует определять по формуле
| | ИС МЕГАНОРМ: примечание. Формула дана в соответствии с официальным текстом документа. | |

(6.80)
6.5.6. Расчет выноса твердой фракции суспензионными течениями (V
с.т) производится только в том случае, если есть условия возникновения и существования до створа плотины стратифицированного потока. Стратификация сохраняется, если число Ричардсона потока удовлетворяет условию

(6.81)
где

,
h и
v - плотность воды, глубина и скорость течения в реке в месте ее впадения в водохранилище;

- градиент плотности речной воды и воды водохранилища, определяемый по формуле

(6.82)
Здесь

- разность плотностей, обусловленная повышенной мутностью речного потока, определяемая по зависимости

(6.83)
где

и

- плотность воды и наносов;

- разность массовой концентрации взвешенных наносов в речной воде и в воде водохранилища (если вода в водохранилище практически чистая, то

- массовой концентрации частиц с
d < 0,01 мм в речной воде);

- разность плотностей, обусловленная температурным градиентом - разницей значений температуры холодной речной воды и более теплой воды водохранилища.
Определение кривой объемов заиленного водохранилища.
6.5.7. При вычисленном объеме заиления водохранилища за T лет рекомендуется следующий способ построения кривой объемов заиленного водохранилища.
На логарифмической клетчатке в безразмерном виде строят кривую объемов водохранилища до заиления:
W/W* = a(h/h*)m, (6.84)
где W и h - текущие значения объема и глубины незаиленного водохранилища; W* и h* - соответствующие значения при НПУ; m - показатель степени, определяемый по наклону прямой в логарифмической системе координат lg(W/W*) = lg a + m lg(h/h*).
По найденному значению m определяется тип водохранилища по следующей классификации:
m = 4,5 ... 3,5 - I тип, озерные водохранилища;
m = 3,5 ... 2,5 - II тип, равнинные и предгорные водохранилища;
m = 2,5 ... 1,5 - III тип, горные водохранилища;
m = 1,5 ... 1,0 - IV тип, водохранилища в каньонах и ущельях.
Дальнейшие вычисления параметров заиленного водохранилища для построения кривой объемов ведутся в следующем порядке. По данным кривых объемов и площадей незаиленного водохранилища определяются глубины, уровни воды, площади и объемы для ряда высотных уровней. Рассчитываются значения относительных глубин водохранилища путем деления глубины водохранилища на разных уровнях на максимальную глубину водохранилища
h* в створе плотины:

.
Для каждого значения
h по
рис. 6.8 для соответствующего типа водохранилища определяются значения относительной площади заиления -
A.
I - IV - типы водохранилищ
Рис. 6.8. Зависимости относительной площади заиления
горных водохранилищ от их относительной глубины
Методом последовательных приближений определяется нулевой уровень у плотины, ниже которого объем водохранилища полностью занесен наносами. На этом уровне (и ниже его) площадь, занятая наносами, равна площади водохранилища на тех же уровнях, а объем аккумулированных наносов равен объему водохранилища.
Площади заиления выше принятого нулевого уровня вычисляются по соотношению

(6.85)
где

- площадь заиления на глубине
hi;
Ai - относительная площадь заиления на относительной глубине

, определяемая по графику на
рис. 6.8;

- площадь заиления на принятом нулевом уровне при глубине
h0;
A0 - относительная площадь заиления на принятом нулевом уровне при относительной глубине

, определяемая по графику на
рис. 6.8.
Дальнейшие вычисления полного объема заиления Wаt ведутся послойно по формуле

(6.86)
где
V0 - объем заиления на принятом нулевом уровне, равный объему водохранилища на этом уровне;

- разность глубин;

- средняя для слоя

площадь, занятая наносами;
h0 - глубина водохранилища при принятом нулевом уровне у плотины;
h - полная глубина водохранилища.
Суммарный объем наносов для всей расчетной глубины должен быть равен заданному заранее объему
Wаt. Если полученный суммарный объем наносов оказывается больше заданного объема
Wаt, то принятое значение
h0 нужно уменьшить и снова выполнить расчет по
формуле (6.86). Обычно третья или четвертая попытка дает хорошую сходимость. Новая кривая объемов водохранилища может быть построена на основании данных об объеме водохранилищ после заиления, полученных как разность объема водохранилища до заиления и суммарного объема наносов, поступивших в водохранилище за расчетный срок. Пример построения кривой объемов заиленного водохранилища приведен в
прил. 11.
6.5.8. При необходимости расчета заиления водохранилища на реках с большим количеством наносов, ежегодное количество которых превышает 5 - 6% объема водохранилища (что редко встречается в практике из-за нецелесообразности создания столь быстро заиляющихся водохранилищ), можно воспользоваться вышеприведенным методом с поправкой. В этом случае при выборе типа водохранилища следует руководствоваться следующими соображениями: если по кривой объемов водохранилище относится к III типу, то значения
A с графика на
рис. 6.8 следует брать для II типа, если водохранилище относится к II типу, то принимаются значения
A для I типа. Для равнинных водохранилищ I типа с повышенным твердым стоком из-за отсутствия подобных случаев методика не проверялась.
Упрощенный метод расчета горных и предгорных водохранилищ.
6.5.9. Для расчета заиления горных водохранилищ упрощенным методом необходимы следующие данные: план водохранилища и поперечники в расчетных створах (масштаб плана не мельче 1:10 000), внутригодовое распределение жидкого и твердого стока реки, кривые гранулометрического состава взвешенных наносов, режим эксплуатации водохранилища, отметки НПУ (нормального подпорного уровня) по расчетным периодам.
Если кривые гранулометрического состава наносов по периодам отсутствуют и имеется только одна гранулометрическая кривая среднего многолетнего стока взвешенных наносов, то с достаточной для практики точностью для расчета могут быть приняты средние годовые значения расхода воды, стока взвешенных наносов, их гранулометрии и уровня воды в водохранилище. Если расчет ведется по периодам, то для каждого периода устанавливается среднее расчетное значение расхода, мутности, характерная для периода гранулометрическая кривая взвешенных наносов и уровень воды в водохранилище.
Расчетные створы назначаются в характерных местах изменения плана водохранилища на расстоянии друг от друга не менее 1 км для того, чтобы считать, что характеристики взвесенесущего потока - распределение концентрации и вертикальная составляющая скорости - приняли значения, соответствующие характеристикам расчетного сечения.
6.5.10. Строятся кривые зависимости ширины, глубины, площади поперечного сечения в расчетных створах от уровня воды в водохранилище.
Для каждого периода или для каждого года заиления, если расчет ведется по средним многолетним значениям, составляется таблица, макет которой приведен ниже
(табл. 6.9).
Макет таблицы для расчета заиления
водохранилищ упрощенным способом
N створа | l, м | H, м | h, м | R, м | b, м |  , м 2 | f, м2 | v, м/с | C, м0,5/с | v*, см/с | p, % | M, т | W, м3 |  , м 3 | m, м |
| 2 | | 4 | 5 | 6 | 7 | 8 | 9 | | 11 | 12 | 13 | 14 | 15 | 16 |
Обозначения в
табл. 6.9 следующие:
l - расстояние между створами;
H - уровень воды в водохранилище;
h - глубина в створе;
R - гидравлический радиус;
b - ширина по поверхности в расчетном створе;

- площадь живого сечения в створе;
f - площадь зеркала между створами;
v - средняя скорость течения в створе;
C - коэффициент Шези;
v* - динамическая скорость, равная

;
p - процентное содержание в полном составе наносов фракций, гидравлическая крупность которых больше динамической скорости в расчетном створе;
M - масса наносов вышеуказанных фракций;
W - объем наносов, определяемый по
формуле (6.39);

- разность объемов отложений наносов, оседающих между смежными сечениями;
m - толщина слоя отложений наносов между сечениями, наносится на продольный профиль водохранилища в середине между расчетными сечениями. Соединяя точки полученных значений
m, строят продольный профиль тела заиления для первого года заиления или для первого периода.
6.5.11. Расчет по
табл. 6.9 ведется в следующей последовательности: для каждого створа на основании исходных данных заполняются
графы 1 -
10; затем по кривой гранулометрического состава взвешенных наносов (построенной в единицах гидравлической крупности) определяется процентное содержание фракций, гидравлическая крупность которых превышает динамическую скорость
v* в расчетном створе; определяется часть полного стока взвешенных наносов в массовом и объемном измерении, соответствующая найденному процентному содержанию, и допуская, что между створами наносы распределяются равномерно, определяют толщину слоя отложений путем деления объема отложений на площадь зеркала.
| | ИС МЕГАНОРМ: примечание. В официальном тексте документа, видимо, допущена опечатка: графа 17 в таблице 6.9 отсутствует. | |
6.5.12. Расчет повторяется для следующего периода или года, при этом
графы 3 - 17 заполняются заново с учетом объема отложений предыдущего года, т.е. глубина в створе будет меньше на толщину слоя заиления. В пределе в каждом створе остается незаиленной площадь бытового сечения русла при руслоформирующем расходе (см.
п. 6.4.2.1). Если река несет много наносов и слой заиления первого года составляет 20 - 30% первоначальной глубины, то при вычислении площади поперечного сечения нужно задаться произвольной величиной
m и параметры сечения вычислить для глубины
h, соответствующей
1/
2m. Расчет повторяется до сходимости заданного и полученного расчетом значений
m.
7. РАСЧЕТЫ ЛЕДОВО-ТЕРМИЧЕСКОГО РЕЖИМА ВОДОХРАНИЛИЩ
7.1.1. Расчеты ледово-термического режима при проектировании водохранилищ включают в себя предвычисление:
- температуры воды и даты установления весенней гомотермии;
- изменений во времени температуры поверхностного слоя, средней по глубине или средней для активного слоя (в случае глубоких водохранилищ) придонной температуры воды (в случае мелких водохранилищ);
- максимальной температуры поверхностного слоя воды и ее даты и средней по глубине;
- распределения температуры по глубине или по толщине активной зоны;
- даты установления осенней гомотермии и продолжительности периода осенней гомотермии (для водохранилищ низких широт период осенней гомотермии охватывает все осенне-зимне-весеннее полугодие);
- толщины активной зоны и динамики перемещения ее нижней границы, т.е. верхней границы слоя температурного скачка (для случая глубоких водохранилищ);
- продолжительности периода осенне-зимнего выхолаживания и даты установления ледяного покрова;
- изменения толщины ледяного покрова в течение всего периода ледостава;
- изменения средней температуры воды под ледяным покровом или температуры воды активной зоны глубоких проточных водохранилищ, покрытых льдом;
- перемещения кромки льда в нижних бьефах гидроузлов в течение зимнего периода;
- даты вскрытия и продолжительности периода ранневесеннего нагрева.
В зависимости от физико-географических условий района и требований задания на проектирование могут выполняться расчеты всех или отдельных из перечисленных характеристик.
7.1.2. Расчеты ледово-термического режима могут выполняться либо для всего водохранилища в целом, либо по отдельным участкам водохранилища.
7.1.3. Расчеты ледово-термического режима осуществляются, как правило, на основании средних многолетних климатических характеристик и характеристик гидрологического и метеорологического режимов в районе проектирования с использованием в качестве исходной информации данных наблюдений ближайших к проектируемому водохранилищу гидрометеостанций, а также данных наблюдений на водохранилищах-аналогах. Для проточных водохранилищ при отсутствии водоемов-аналогов исходными материалами могут служить данные наблюдений на реке, на которой проектируется водохранилище. В случае необходимости организуются специальные полевые исследования.
Исходная информация для расчетов должна включать в себя возможно более полные сведения:
- о морфологических особенностях проектируемой чаши водохранилища;
- о стоке реки в бытовых условиях и его распределении во времени;
- о ходе температуры воды во времени и ледовых явлениях в бытовых условиях;
- о климатических особенностях района проектируемого водохранилища;
- о ходе во времени основных метеорологических характеристик: температуры и влажности воздуха, облачности (желательно с характеристиками по ярусам), скорости и направления ветра, осадков;
- об актинометрических характеристиках (прямой и рассеянной солнечной радиации, радиационном балансе суши, температуре поверхности земли и ее альбедо) района проектируемого водохранилища.
При отсутствии тех или иных сведений используются соответствующие таблицы среднеширотных или среднезональных значений указанных характеристик, что заведомо снижает точность предвычислений.
7.1.4. Основой расчетов ледово-термического режима проектируемого водохранилища является оценка теплообмена водной массы с атмосферой и дном водоема в различные периоды года.
7.2. Расчеты теплообмена водохранилищ
Теплообмен водохранилищ с атмосферой.
7.2.1. Поток тепла, проходящий через открытую водную поверхность водохранилища,
Sо определяется по зависимости
Sо =
Iо +/-
Iэф +/-
Sи +/-
Sк -
Sос, (7.1)
где Iо - поглощенная водой суммарная (прямая плюс рассеянная атмосферой и облаками) солнечная радиация; Iэф - эффективное излучение водной поверхности, являющееся разностью собственного теплового излучения воды и встречного ему собственного излучения атмосферы; Sи - тепло, теряемое водоемом при испарении с его поверхности или приобретаемое при конденсации водяных паров атмосферы на водной поверхности; Sк - непосредственный обмен теплом водоема с атмосферой по поверхности их соприкосновения; Sос - расход тепла на таяние твердых осадков.
Отдельные составляющие
уравнения (7.1) -
Iэф,
Sи и
Sк - могут иметь как положительный, так и отрицательный знак; направление потоков внутрь водоема считается положительным. Все составляющие уравнения измеряются в ваттах на квадратный метр.
Суммарный радиационный поток (Iо и Iэф) представляет собой радиационный баланс водоемов Iо +/- Iэф = B.
7.2.2. Для расчета радиационного баланса малых и неглубоких водоемов при наличии данных актинометрических наблюдений рекомендуется формула
[26]

(7.2)
где
B,
B' - радиационный баланс соответственно водоема и суши, Вт/м
2;
Q* - приток суммарной солнечной радиации, Вт/м
2;
A,
A' - альбедо (коэффициент отражения) поверхности воды и суши;
T,
T' - абсолютные значения температуры поверхности водоема и суши, К;

- постоянная Стефана-Больцмана, равная 5,67·10
-8 Вт/(м
2·К
4).
Необходимые для расчета характеристики альбедо водной поверхности
A принимаются, согласно работе
[60], по
прил. 7 с введением поправки на волнение по
табл. 7.1.
Температура поверхности водоема принимается равной начальной заданной или рассчитанной на конец предыдущего интервала времени.
Формула (7.2) применима для расчетов при осреднении за любой интервал времени.
Таблица 7.1
Поправка на волнение в зависимости от высоты Солнца

. . . . . . . 10 20 30 40 50 60

5 2,5 0,0 -0,5 -0,5 -0,5
7.2.3. Для определения радиационного баланса глубоких и больших водоемов поглощенная водоемом солнечная радиация Iо и эффективное излучение Iэф рассчитываются отдельно.
Поглощенная водой суммарная солнечная радиация Iо составляет основную долю общего теплообмена и зависит от высоты стояния Солнца, т.е. от широты места и времени года, от прозрачности атмосферы, наличия и характера облачного покрова и от состояния водной поверхности.
При наличии данных актинометрических наблюдений в районе проектируемого водохранилища значения Iо вычисляются по формуле

(7.3)
где

- суммарная солнечная радиация, падающая на горизонтальную поверхность земли, Вт/м
2;
A - альбедо водной поверхности.
При отсутствии данных актинометрических наблюдений и наличии данных метеорологических наблюдений количество поглощенной водой солнечной радиации рассчитывается по формуле
[53]:

(7.4)
где

- суммарная солнечная радиация на уровне моря (при альбедо, равном нулю, и при значении влажности воздуха, среднем для данной широты), определяется по
табл. 7.2;
Ke - коэффициент, учитывающий отклонения значений влажности воздуха от ее среднеширотного значения, определяется по
прил. 8;
Kz - поправочный множитель, учитывающий разности высот отметок уровня моря и водоема, определяется по
табл. 7.3;
A - альбедо водной поверхности, которое в зависимости от требуемой степени точности расчета можно либо принимать равным среднедневному значению (0,074) или по
прил. 7, либо рассчитывать по следующей формуле
[2], дающей хорошее совпадение с данными наблюдений для средних широт при средних условиях волнения:

(7.5)
где

- высота стояния Солнца;

- коэффициент, характеризующий долю повторно рассеянной и отраженной облаками в направлении к поверхности воды радиации, определяемый в зависимости от условий облачности по формуле

(7.6)
где
Nо - общая облачность в долях единицы, определяемая по данным ближайших к району проектируемого водохранилища метеостанций;
Nн - облачность нижнего яруса также в долях единицы, определяемая по тем же данным;
Cн,
Cс+в - коэффициенты, учитывающие непропускание суммарной солнечной радиации облаками нижнего яруса и совместно верхнего и среднего ярусов, определяются по
табл. 7.4 и
7.5 в зависимости от широты месторасположения водоема и времени года;
n - относительная плотность облачного покрова, определяется в зависимости от местоположения водоема по картосхеме, приведенной на
рис. 7.1.
Таблица 7.2
Суммарная солнечная радиация при безоблачном небе,
падающая на горизонтальную поверхность

, при альбедо
подстилающей поверхности, равном нулю, и среднем значении
влажности воздуха для данной широты, Вт/м2
 , с.ш. | I | II | III | IV | V | VI | VII | VIII | IX | X | XI | XII |
30 | 161 | 202 | 252 | 294 | 316 | 322 | 312 | 298 | 264 | 218 | 173 | 150 |
32 | 151 | 194 | 245 | 292 | 317 | 325 | 313 | 296 | 258 | 210 | 163 | 140 |
34 | 142 | 185 | 238 | 290 | 318 | 327 | 314 | 297 | 253 | 202 | 154 | 130 |
36 | 131 | 176 | 231 | 287 | 318 | 329 | 314 | 295 | 248 | 193 | 145 | 120 |
38 | 122 | 167 | 225 | 283 | 317 | 331 | 314 | 293 | 242 | 185 | 136 | 110 |
40 | 112 | 159 | 218 | 279 | 316 | 332 | 314 | 290 | 237 | 178 | 126 | 100 |
42 | 103 | 149 | 211 | 274 | 315 | 332 | 314 | 287 | 231 | 169 | 117 | 91 |
44 | 93 | 139 | 204 | 270 | 314 | 333 | 314 | 284 | 225 | 160 | 107 | 81 |
46 | 83 | 129 | 196 | 266 | 312 | 334 | 314 | 281 | 219 | 156 | 97 | 73 |
48 | 74 | 120 | 188 | 261 | 311 | 334 | 314 | 277 | 212 | 144 | 88 | 64 |
50 | 64 | 110 | 180 | 256 | 309 | 335 | 314 | 274 | 206 | 135 | 78 | 54 |
52 | 55 | 101 | 171 | 250 | 307 | 335 | 314 | 269 | 199 | 126 | 69 | 46 |
54 | 48 | 91 | 162 | 243 | 305 | 335 | 314 | 265 | 192 | 116 | 60 | 38 |
56 | 39 | 81 | 152 | 237 | 303 | 335 | 314 | 259 | 183 | 107 | 51 | 30 |
58 | 31 | 72 | 143 | 231 | 300 | 335 | 314 | 255 | 175 | 98 | 42 | 23 |
60 | 24 | 62 | 134 | 224 | 296 | 336 | 314 | 250 | 166 | 89 | 34 | 16 |
62 | 17 | 52 | 124 | 216 | 293 | 336 | 314 | 244 | 158 | 79 | 27 | 10 |
64 | 13 | 43 | 114 | 208 | 290 | 338 | 314 | 239 | 149 | 70 | 20 | 5 |
66 | 9 | 33 | 104 | 201 | 288 | 338 | 314 | 234 | 140 | 61 | 14 | 2 |
68 | 6 | 26 | 94 | 192 | 286 | 340 | 315 | 229 | 130 | 51 | 10 | |
70 | 3 | 19 | 83 | 185 | 285 | 342 | 316 | 225 | 121 | 43 | 5 | |
72 | 1 | 14 | 74 | 176 | 285 | 344 | 319 | 221 | 112 | 34 | 2 | |
74 | | 11 | 64 | 169 | 286 | 346 | 321 | 219 | 102 | 27 | 0 | |
76 | | 7 | 53 | 162 | 287 | 348 | 324 | 217 | 92 | 20 | | |
78 | | 5 | 44 | 161 | 288 | 351 | 328 | 215 | 83 | 14 | | |
80 | | 2 | 35 | 151 | 289 | 353 | 331 | 214 | 74 | 9 | | |
82 | | 1 | 27 | 147 | 291 | 356 | 334 | 215 | 66 | 5 | | |
84 | | | 20 | 146 | 292 | 359 | 336 | 216 | 61 | 2 | | |
86 | | | 14 | 146 | 294 | 363 | 340 | 217 | 56 | | | |
88 | | | 10 | 146 | 296 | 368 | 342 | 219 | 53 | | | |
90 | | | 6 | 149 | 298 | 374 | 344 | 221 | 51 | | | |
Таблица 7.3
Зависимость коэффициента
Kz от широты местности
и высоты ее над уровнем моря (H)
 , с.ш. | H, м |
0 | 200 | 500 | 1000 | 1500 | 2000 | 2500 | 3000 |
Январь |
30 | 1,0 | 1,002 | 1,005 | 1,010 | 1,014 | 1,017 | 1,099 | 1,021 |
50 | 1,0 | 1,005 | 1,008 | 1,024 | 1,036 | 1,047 | 1,047 | 1,065 |
60 | 1,0 | 1,006 | 1,016 | 1,032 | 1,047 | 1,062 | 1,075 | 1,088 |
Февраль |
30 | 1,0 | 1,003 | 1,007 | 1,010 | 1,014 | 1,017 | 1,020 | 1,022 |
50 | 1,0 | 1,004 | 1,009 | 1,013 | 1,019 | 1,025 | 1,030 | 1,034 |
60 | 1,0 | 1,005 | 1,010 | 1,015 | 1,022 | 1,028 | 1,034 | 1,039 |
Март |
30 | 1,0 | 1,003 | 1,005 | 1,008 | 1,012 | 1,016 | 1,019 | 1,022 |
50 | 1,0 | 1,003 | 1,006 | 1,009 | 1,014 | 1,019 | 1,022 | 1,025 |
70 | 1,0 | 1,008 | 1,017 | 1,026 | 1,037 | 1,048 | 1,056 | 1,064 |
80 | 1,0 | 1,014 | 1,028 | 1,041 | 1,058 | 1,075 | 1,088 | 1,100 |
Апрель |
30 | 1,0 | 1,003 | 1,006 | 1,009 | 1,012 | 1,016 | 1,018 | 1,021 |
70 | 1,0 | 1,004 | 1,008 | 1,012 | 1,017 | 1,022 | 1,026 | 1,029 |
80 | 1,0 | 1,005 | 1,010 | 1,015 | 1,021 | 1,027 | 1,032 | 1,037 |
Май |
30 | 1,0 | 1,003 | 1,007 | 1,010 | 1,014 | 1,018 | 1,021 | 1,024 |
80 | 1,0 | 1,003 | 1,007 | 1,010 | 1,014 | 1,018 | 1,021 | 1,024 |
Июнь |
30 | 1,0 | 1,003 | 1,005 | 1,008 | 1,012 | 1,015 | 1,018 | 1,021 |
80 | 1,0 | 1,003 | 1,005 | 1,008 | 1,012 | 1,015 | 1,018 | 1,021 |
Июль |
30 | 1,0 | 1,003 | 1,006 | 1,009 | 1,012 | 1,016 | 1,019 | 1,022 |
80 | 1,0 | 1,003 | 1,006 | 1,009 | 1,012 | 1,016 | 1,019 | 1,022 |
Август |
30 | 1,0 | 1,003 | 1,007 | 1,010 | 1,013 | 1,017 | 1,020 | 1,023 |
60 | 1,0 | 1,003 | 1,007 | 1,010 | 1,013 | 1,017 | 1,020 | 1,023 |
80 | 1,0 | 1,005 | 1,009 | 1,014 | 1,020 | 1,025 | 1,030 | 1,035 |
Сентябрь |
30 | 1,0 | 1,003 | 1,005 | 1,008 | 1,012 | 1,016 | 1,019 | 1,022 |
50 | 1,0 | 1,003 | 1,006 | 1,009 | 1,013 | 1,017 | 1,021 | 1,025 |
70 | 1,0 | 1,005 | 1,010 | 1,015 | 1,022 | 1,028 | 1,034 | 1,041 |
80 | 1,0 | 1,007 | 1,014 | 1,020 | 1,029 | 1,038 | 1,077 | 1,055 |
Октябрь |
30 | 1,0 | 1,003 | 1,006 | 1,009 | 1,012 | 1,016 | 1,019 | 1,022 |
60 | 1,0 | 1,003 | 1,007 | 1,010 | 1,015 | 1,020 | 1,024 | 1,028 |
70 | 1,0 | 1,008 | 1,016 | 1,023 | 1,034 | 1,044 | 1,052 | 1,061 |
80 | 1,0 | 1,012 | 1,024 | 1,036 | 1,052 | 1,067 | 1,081 | 1,095 |
Ноябрь |
30 | 1,0 | 1,003 | 1,006 | 1,009 | 1,013 | 1,017 | 1,020 | 1,023 |
40 | 1,0 | 1,005 | 1,010 | 1,015 | 1,021 | 1,027 | 1,032 | 1,037 |
50 | 1,0 | 1,007 | 1,014 | 1,021 | 1,026 | 1,037 | 1,044 | 1,051 |
60 | 1,0 | 1,009 | 1,017 | 1,026 | 1,036 | 1,047 | 1,055 | 1,064 |
Декабрь |
30 | 1,0 | 1,003 | 1,007 | 1,010 | 1,013 | 1,016 | 1,018 | 1,021 |
40 | 1,0 | 1,006 | 1,013 | 1,019 | 1,027 | 1,035 | 1,041 | 1,048 |
50 | 1,0 | 1,009 | 1,018 | 1,028 | 1,041 | 1,054 | 1,064 | 1,075 |
60 | 1,0 | 1,013 | 1,026 | 1,039 | 1,056 | 1,073 | 1,088 | 1,103 |
Таблица 7.4
Зависимость среднего суточного значения
Cн
от широты местности и времени года
 , с.ш. | I | II | III | IV | V | VI | VII | VIII | IX | X | XI | XII |
30 | 0,78 | 0,76 | 0,76 | 0,75 | 0,75 | 0,75 | 0,71 | 0,75 | 0,75 | 0,76 | 0,77 | 0,78 |
32 | 0,78 | 0,76 | 0,76 | 0,75 | 0,75 | 0,75 | 0,75 | 0,75 | 0,75 | 0,76 | 0,77 | 0,78 |
34 | 0,78 | 0,77 | 0,76 | 0,75 | 0,75 | 0,75 | 0,75 | 0,75 | 0,75 | 0,77 | 0,78 | 0,78 |
36 | 0,78 | 0,77 | 0,76 | 0,75 | 0,75 | 0,75 | 0,75 | 0,75 | 0,76 | 0,77 | 0,78 | 0,79 |
38 | 0,79 | 0,77 | 0,76 | 0,75 | 0,75 | 0,75 | 0,75 | 0,75 | 0,76 | 0,77 | 0,78 | 0,79 |
40 | 0,79 | 0,78 | 0,76 | 0,75 | 0,75 | 0,75 | 0,75 | 0,75 | 0,76 | 0,77 | 0,79 | 0,80 |
42 | 0,80 | 0,78 | 0,77 | 0,76 | 0,75 | 0,75 | 0,75 | 0,75 | 0,76 | 0,78 | 0,79 | 0,80 |
44 | 0,80 | 0,79 | 0,77 | 0,75 | 0,75 | 0,75 | 0,75 | 0,76 | 0,76 | 0,78 | 0,80 | 0,81 |
46 | 0,81 | 0,79 | 0,77 | 0,76 | 0,76 | 0,75 | 0,75 | 0,76 | 0,76 | 0,78 | 0,80 | 0,82 |
48 | 0,82 | 0,80 | 0,77 | 0,76 | 0,76 | 0,75 | 0,75 | 0,76 | 0,77 | 0,79 | 0,81 | 0,82 |
50 | 0,83 | 0,80 | 0,78 | 0,76 | 0,76 | 0,76 | 0,76 | 0,76 | 0,77 | 0,79 | 0,82 | 0,83 |
52 | 0,84 | 0,81 | 0,78 | 0,76 | 0,76 | 0,76 | 0,76 | 0,76 | 0,77 | 0,79 | 0,82 | 0,84 |
54 | 0,85 | 0,82 | 0,78 | 0,77 | 0,76 | 0,76 | 0,76 | 0,77 | 0,78 | 0,80 | 0,83 | 0,85 |
56 | 0,86 | 0,82 | 0,79 | 0,77 | 0,76 | 0,76 | 0,76 | 0,77 | 0,78 | 0,80 | 0,84 | 0,86 |
58 | 0,87 | 0,83 | 0,79 | 0,77 | 0,77 | 0,76 | 0,76 | 0,77 | 0,78 | 0,81 | 0,85 | 0,86 |
60 | 0,88 | 0,84 | 0,80 | 0,77 | 0,77 | 0,76 | 0,76 | 0,77 | 0,79 | 0,82 | 0,86 | 0,89 |
62 | 0,89 | 0,85 | 0,80 | 0,78 | 0,77 | 0,77 | 0,77 | 0,78 | 0,79 | 0,83 | 0,87 | 0,91 |
64 | 0,91 | 0,86 | 0,81 | 0,78 | 0,77 | 0,77 | 0,77 | 0,78 | 0,80 | 0,83 | 0,89 | 0,93 |
66 | 0,92 | 0,87 | 0,82 | 0,78 | 0,78 | 0,77 | 0,77 | 0,78 | 0,80 | 0,84 | 0,90 | 0,95 |
68 | 0,94 | 0,88 | 0,82 | 0,79 | 0,78 | 0,77 | 0,77 | 0,78 | 0,81 | 0,85 | 0,92 | 0,98 |
70 | 0,96 | 0,89 | 0,83 | 0,79 | 0,78 | 0,77 | 0,77 | 0,79 | 0,82 | 0,86 | 0,93 | |

Рис. 7.1. Карта-схема районирования коэффициента
n
При ограниченности метеорологических данных, например, при отсутствии детальных сведений об облачности, для расчета
Iо следует использовать формулу
[60]

(7.7)
где
K - коэффициент, определяемый по
табл. 7.6.
Таблица 7.5
Зависимость среднего суточного значения
Cв+с
от широты местности и времени года
 , с.ш. | I | II | III | IV | V | VI | VII | VIII | IX | X | XI | XII |
30 | 0,49 | 0,45 | 0,40 | 0,37 | 0,34 | 0,33 | 0,33 | 0,35 | 0,38 | 0,43 | 0,47 | 0,49 |
32 | 0,50 | 0,46 | 0,41 | 0,37 | 0,35 | 0,33 | 0,34 | 0,36 | 0,39 | 0,44 | 0,48 | 0,50 |
34 | 0,50 | 0,47 | 0,42 | 0,38 | 0,35 | 0,34 | 0,34 | 0,36 | 0,40 | 0,45 | 0,49 | 0,51 |
36 | 0,51 | 0,48 | 0,43 | 0,38 | 0,36 | 0,35 | 0,35 | 0,37 | 0,41 | 0,46 | 0,50 | 0,52 |
38 | 0,52 | 0,49 | 0,44 | 0,39 | 0,36 | 0,35 | 0,36 | 0,38 | 0,42 | 0,46 | 0,51 | 0,53 |
40 | 0,53 | 0,50 | 0,45 | 0,40 | 0,37 | 0,36 | 0,37 | 0,39 | 0,43 | 0,47 | 0,52 | 0,54 |
42 | 0,54 | 0,51 | 0,45 | 0,41 | 0,38 | 0,36 | 0,37 | 0,39 | 0,44 | 0,48 | 0,53 | 0,55 |
44 | 0,55 | 0,52 | 0,46 | 0,42 | 0,38 | 0,37 | 0,38 | 0,40 | 0,44 | 0,49 | 0,54 | 0,56 |
46 | 0,56 | 0,52 | 0,47 | 0,42 | 0,39 | 0,38 | 0,39 | 0,41 | 0,45 | 0,50 | 0,55 | 0,57 |
48 | 0,57 | 0,53 | 0,48 | 0,43 | 0,40 | 0,39 | 0,40 | 0,42 | 0,46 | 0,51 | 0,56 | 0,58 |
50 | 0,58 | 0,54 | 0,49 | 0,44 | 0,41 | 0,39 | 0,40 | 0,43 | 0,47 | 0,52 | 0,57 | 0,59 |
52 | 0,59 | 0,55 | 0,50 | 0,45 | 0,41 | 0,40 | 0,41 | 0,43 | 0,48 | 0,53 | 0,58 | 0,60 |
54 | 0,60 | 0,56 | 0,51 | 0,46 | 0,42 | 0,41 | 0,42 | 0,44 | 0,49 | 0,54 | 0,59 | 0,61 |
56 | 0,60 | 0,57 | 0,52 | 0,47 | 0,43 | 0,42 | 0,43 | 0,45 | 0,50 | 0,54 | 0,60 | 0,62 |
58 | 0,60 | 0,58 | 0,52 | 0,47 | 0,44 | 0,43 | 0,43 | 0,46 | 0,51 | 0,55 | 0,60 | 0,63 |
60 | 0,62 | 0,58 | 0,53 | 0,48 | 0,45 | 0,44 | 0,44 | 0,47 | 0,51 | 0,56 | 0,61 | 0,64 |
62 | 0,63 | 0,59 | 0,54 | 0,49 | 0,46 | 0,45 | 0,45 | 0,48 | 0,52 | 0,57 | 0,62 | 0,64 |
64 | 0,64 | 0,60 | 0,55 | 0,50 | 0,47 | 0,46 | 0,46 | 0,48 | 0,53 | 0,58 | 0,63 | 0,65 |
66 | 0,65 | 0,61 | 0,56 | 0,51 | 0,48 | 0,46 | 0,47 | 0,49 | 0,54 | 0,59 | 0,64 | 0,66 |
68 | 0,65 | 0,62 | 0,57 | 0,52 | 0,48 | 0,47 | 0,47 | 0,50 | 0,55 | 0,60 | 0,64 | 0,67 |
70 | 0,66 | 0,63 | 0,58 | 0,53 | 0,49 | 0,48 | 0,48 | 0,51 | 0,56 | 0,60 | 0,65 | |
72 | 0,67 | 0,64 | 0,59 | 0,54 | 0,50 | 0,49 | 0,49 | 0,52 | 0,57 | 0,61 | 0,66 | |
74 | | 0,64 | 0,60 | 0,55 | 0,51 | 0,49 | 0,49 | 0,52 | 0,58 | 0,62 | 0,66 | |
76 | | 0,65 | 0,60 | 0,56 | 0,51 | 0,50 | 0,50 | 0,53 | 0,59 | 0,63 | | |
78 | | 0,88 | 0,61 | 0,56 | 0,52 | 0,51 | 0,51 | 0,54 | 0,59 | 0,64 | | |
80 | | 0,66 | 0,62 | 0,57 | 0,53 | 0,51 | 0,51 | 0,55 | 0,60 | 0,65 | | |
82 | | 0,67 | 0,63 | 0,58 | 0,53 | 0,52 | 0,52 | 0,55 | 0,61 | 0,66 | | |
84 | | | 0,63 | 0,59 | 0,54 | 0,52 | 0,52 | 0,56 | 0,62 | 0,66 | | |
86 | | | 0,64 | 0,60 | 0,54 | 0,53 | 0,53 | 0,57 | 0,63 | | | |
88 | | | 0,65 | 0,60 | 0,55 | 0,53 | 0,54 | 0,57 | 0,64 | | | |
90 | | | 0,66 | 0,61 | 0,55 | 0,53 | 0,54 | 0,58 | 0,65 | | | |
Таблица 7.6
Среднеширотные значения коэффициента
K

, с.ш. . . . . . 30 40 50 60 70
K . . . . . . . . 0,32 0,33 0,36 0,40 0,50
Поток эффективного излучения
Iэф при наличии детальных данных наблюдений за облачностью рассчитывается по формуле
[60]

(7.8)
где

- постоянная Стефана-Больцмана;
T и
Tв - абсолютные значения (
T = 273 +
t °C) температуры поверхностного слоя воды и воздуха на высоте 2 м над водной поверхностью, определяются по данным ближайшей к проектируемому водохранилищу метеостанции;
b1 и
b2 - коэффициенты, характеризующие влияние облачного покрова нижнего и верхнего ярусов на встречное излучение атмосферы, определяются по
табл. 7.7 и
7.8;
b3 - коэффициент, характеризующий встречное излучение атмосферы при безоблачном небе. Определение последнего коэффициента производится следующим образом. По картосхеме
(рис. 7.2) определяется номер района, в зону которого входит водоем, и затем по графикам на
рис. 7.3 определяется величина

для первого или второго полугодия. Далее по
табл. 7.9 определяется значение коэффициента
b3 в зависимости от влажности воздуха над поверхностью суши и величины

.
Таблица 7.7
Абсолютная влажность воздуха, мбар | Общая облачность Nо, баллы |
0 | 2 | 4 | 6 | 8 | 10 |
0,2 | 0,57 | 0,46 | 0,34 | 0,23 | 0,11 | 0 |
0,4 | 0,62 | 0,49 | 0,37 | 0,25 | 0,12 | 0 |
0,6 | 0,64 | 0,51 | 0,38 | 0,26 | 0,13 | 0 |
0,8 | 0,65 | 0,52 | 0,39 | 0,26 | 0,13 | 0 |
1,0 | 0,67 | 0,53 | 0,40 | 0,27 | 0,13 | 0 |
1,5 | 0,69 | 0,55 | 0,42 | 0,28 | 0,14 | 0 |
2,0 | 0,71 | 0,57 | 0,43 | 0,28 | 0,14 | 0 |
4,0 | 0,75 | 0,60 | 0,45 | 0,30 | 0,15 | 0 |
6,0 | 0,77 | 0,62 | 0,46 | 0,31 | 0,15 | 0 |
8,0 | 0,78 | 0,63 | 0,47 | 0,31 | 0,16 | 0 |
10 | 0,70 | 0,64 | 0,48 | 0,32 | 0,16 | 0 |
20 | 0,83 | 0,66 | 0,50 | 0,33 | 0,17 | 0 |
30 | 0,84 | 0,68 | 0,51 | 0,34 | 0,17 | 0 |
Таблица 7.8
Общая облачность, баллы | Нижняя облачность Nн, баллы |
0 | 2 | 4 | 6 | 8 | 10 |
0 | 0 | - | | | | |
2 | 0,17 | 0,19 | - | - | - | - |
4 | 0,34 | 0,36 | 0,39 | - | - | - |
6 | 0,51 | 0,53 | 0,56 | 0,58 | - | - |
8 | 0,68 | 0,70 | 0,73 | 0,75 | 0,78 | - |
10 | 0,85 | 0,87 | 0,90 | 0,92 | 0,95 | 0,97 |
При ограниченности исходной информации об облачности эффективное излучение рассчитывается по формуле
[60]

(7.9)
где
Iэф,0 - эффективное излучение при безоблачном небе, определяется по
табл. 7.10.
Таблица 7.9
Зависимость коэффициента
b3 от влажности воздуха
на высоте 2 м над поверхностью земли
e'2 и параметра

,
характеризующего вертикальное распределение температуры
и влажности воздуха в тропосфере
e'2, мбар | Параметр  |
-14,0 | -12,0 | -10,0 | -8,0 | -6,0 | -4,0 | -2,0 | 0,0 | 2,0 | 4,0 | 6,0 | 8,0 |
0,1 | 0,51 | 0,50 | 0,49 | 0,48 | 0,48 | 0,47 | 0,46 | 0,46 | 0,44 | 0,42 | 0,39 | 0,37 |
0,5 | 0,67 | 0,66 | 0,66 | 0,65 | 0,64 | 0,63 | 0,62 | 0,61 | 0,60 | 0,58 | 0,56 | 0,55 |
1,0 | 0,72 | 0,72 | 0,71 | 0,70 | 0,70 | 0,69 | 0,68 | 0,68 | 0,66 | 0,64 | 0,62 | 0,61 |
1,5 | 0,75 | 0,74 | 0,74 | 0,73 | 0,73 | 0,72 | 0,71 | 0,70 | 0,69 | 0,67 | 0,65 | 0,64 |
2,0 | 0,77 | 0,76 | 0,76 | 0,75 | 0,74 | 0,74 | 0,73 | 0,73 | 0,71 | 0,69 | 0,67 | 0,66 |
3,0 | 0,80 | 0,79 | 0,78 | 0,77 | 0,77 | 0,76 | 0,76 | 0,75 | 0,73 | 0,72 | 0,70 | 0,68 |
3,5 | 0,80 | 0,80 | 0,79 | 0,78 | 0,78 | 0,77 | 0,77 | 0,76 | 0,74 | 0,73 | 0,71 | 0,69 |
4,0 | 0,81 | 0,80 | 0,80 | 0,79 | 0,79 | 0,78 | 0,77 | 0,77 | 0,75 | 0,74 | 0,72 | 0,70 |
5,0 | 0,82 | 0,82 | 0,81 | 0,80 | 0,80 | 0,79 | 0,79 | 0,78 | 0,76 | 0,75 | 0,73 | 0,71 |
6,0 | 0,84 | 0,83 | 0,82 | 0,82 | 0,81 | 0,80 | 0,80 | 0,79 | 0,78 | 0,76 | 0,74 | 0,72 |
7,0 | 0,84 | 0,84 | 0,83 | 0,82 | 0,82 | 0,81 | 0,81 | 0,80 | 0,78 | 0,77 | 0,75 | 0,73 |
8,0 | 0,85 | 0,84 | 0,84 | 0,83 | 0,83 | 0,82 | 0,82 | 0,81 | 0,79 | 0,77 | 0,76 | 0,74 |
9,0 | 0,86 | 0,85 | 0,84 | 0,84 | 0,83 | 0,83 | 0,82 | 0,82 | 0,80 | 0,78 | 0,76 | 0,75 |
10 | 0,86 | 0,86 | 0,85 | 0,85 | 0,84 | 0,84 | 0,83 | 0,82 | 0,80 | 0,79 | 0,77 | 0,75 |
12 | 0,88 | 0,87 | 0,86 | 0,86 | 0,85 | 0,85 | 0,84 | 0,84 | 0,82 | 0,80 | 0,78 | 0,76 |
14 | 0,88 | 0,88 | 0,87 | 0,87 | 0,86 | 0,86 | 0,85 | 0,84 | 0,82 | 0,81 | 0,79 | 0,77 |
16 | 0,89 | 0,89 | 0,88 | 0,88 | 0,87 | 0,86 | 0,86 | 0,85 | 0,83 | 0,81 | 0,80 | 0,78 |
18 | 0,90 | 0,89 | 0,89 | 0,88 | 0,88 | 0,87 | 0,86 | 0,86 | 0,84 | 0,82 | 0,80 | 0,79 |
20 | 0,90 | 0,90 | 0,89 | 0,89 | 0,88 | 0,88 | 0,87 | 0,87 | 0,85 | 0,83 | 0,81 | 0,79 |
22 | 0,91 | 0,90 | 0,90 | 0,89 | 0,89 | 0,88 | 0,88 | 0,87 | 0,85 | 0,83 | 0,81 | 0,80 |
24 | 0,92 | 0,91 | 0,90 | 0,90 | 0,89 | 0,89 | 0,88 | 0,88 | 0,86 | 0,84 | 0,82 | 0,80 |
26 | 0,92 | 0,91 | 0,91 | 0,90 | 0,90 | 0,89 | 0,88 | 0,88 | 0,86 | 0,84 | 0,82 | 0,80 |
28 | 0,92 | 0,92 | 0,91 | 0,91 | 0,90 | 0,90 | 0,89 | 0,89 | 0,87 | 0,85 | 0,83 | 0,81 |
30 | 0,93 | 0,92 | 0,92 | 0,91 | 0,91 | 0,90 | 0,90 | 0,89 | 0,87 | 0,85 | 0,83 | 0,81 |

Рис. 7.2. Карта-схема районирования коэффициента

Рис. 7.3. Графики зависимости

а - I район, б - II район, в - III район;
1 - первое полугодие (I - VI),
2 - второе полугодие (VII - XII)
Таблица 7.10
Эффективное излучение при безоблачном небе
Iэф,0, Вт/м
2
Температура, °C | Абсолютная влажность воздуха, мбар |
1 | 2 | 4 | 6 | 8 | 10 | 15 |
-20 | 77 | - | - | - | - | - | - |
-10 | 92 | 85 | - | - | - | - | - |
0 | 106 | 101 | 85 | - | - | - | - |
10 | 120 | 113 | 101 | 92 | 77 | - | - |
20 | - | - | 113 | 106 | 92 | 85 | - |
30 | - | - | 134 | 120 | 106 | 100 | 77 |
Необходимые для расчета по
формуле (7.9) сведения о температуре водной поверхности принимаются по результатам расчетов за предыдущий интервал времени (см. ниже), а температура и влажность воздуха - по данным наблюдений на метеостанции. Коэффициент
C определяется по
табл. 7.11.
Таблица 7.11
Среднеширотные значения коэффициента
C

с.ш. ................. 30 40 50 60 70
C ........................ 0,63 0,68 0,72 0,76 0,80
7.2.4. Для определения радиационного баланса при расчетах ледовых характеристик проектируемых водохранилищ рекомендуется формула
[30]

(7.10)
где

- относительная поглощающая способность длинноволновой радиации (для воды

). Остальные обозначения в
формуле (7.10) рассмотрены выше.
При наличии ледяных образований на водной поверхности расчет альбедо поверхности водохранилища производится по формуле, учитывающей степень покрытия водной поверхности льдом

:

(7.11)
Первое слагаемое правой части
формулы (7.10) характеризует количество поглощенной водой суммарной солнечной радиации
Iо. Второе слагаемое правой части
формулы (7.10) представляет собой эффективное излучение
Iэф, которое для зимнего периода определяется разностью значений собственного теплового излучения поверхностью снега и льда
Iс,л и встречного ему излучения атмосферы
Iа. При отсутствии непосредственных данных для определения радиационного баланса по
формуле (7.10) значения
Iс,л,
Iс и
Iа могут быть определены по
табл. 7.12,
7.13 и
7.14.
Таблица 7.12
Излучение поверхностью снега и льда
Iс,л, Вт/м
2
Температура снега (льда), °C | 0 | 1 | 2 | 3 | 4 | 5 | 6 | 7 | 8 | 9 |
-50 | 140 | | | | | | | | | |
-40 | 167 | 164 | 161 | 158 | 156 | 153 | 150 | 147 | 145 | 143 |
-30 | 197 | 194 | 190 | 187 | 184 | 181 | 178 | 175 | 172 | 169 |
-20 | 230 | 227 | 224 | 221 | 217 | 213 | 210 | 206 | 203 | 200 |
-10 | 270 | 266 | 259 | 258 | 254 | 250 | 246 | 242 | 239 | 235 |
-0 | 314 | 309 | 304 | 300 | 296 | 291 | 287 | 283 | 279 | 275 |
Таблица 7.13
Поглощенная водой суммарная солнечная радиация
Iо
в зависимости от широты местности, общей и нижней
облачности, Вт/м2
 с.ш. | Nо/Nн, баллы |
0/0 | 5/0 | 5/5 | 10/0 | 10/5 | 10/10 |
Январь |
40 | 137 | 129 | 90 | 124 | 87 | 48 |
45 | 73 | 75 | 58 | 76 | 54 | 31 |
50 | 44 | 43 | 30 | 44 | 30 | 17 |
55 | 30 | 30 | 19 | 31 | 19 | 12 |
60 | 18 | 18 | 12 | 19 | 13 | 7 |
65 | 12 | 10 | 8 | 10 | 8 | 5 |
Февраль |
40 | 183 | 177 | 121 | 159 | 111 | 61 |
45 | 140 | 120 | 85 | 118 | 85 | 44 |
50 | 94 | 88 | 62 | 83 | 58 | 32 |
55 | 68 | 65 | 49 | 68 | 44 | 24 |
60 | 51 | 49 | 34 | 50 | 25 | 19 |
65 | 34 | 29 | 22 | 35 | 20 | 13 |
70 | 19 | 17 | 12 | 23 | 16 | 9 |
Март |
40 | 250 | 232 | 164 | 213 | 170 | 81 |
45 | 209 | 194 | 141 | 177 | 121 | 68 |
50 | 174 | 162 | 115 | 149 | 104 | 57 |
55 | 146 | 135 | 96 | 124 | 90 | 51 |
60 | 123 | 115 | 81 | 109 | 76 | 42 |
65 | 100 | 93 | 65 | 90 | 65 | 35 |
70 | 77 | 74 | 52 | 76 | 54 | 29 |
Октябрь |
40 | 200 | 170 | 130 | 170 | 120 | 65 |
45 | 165 | 143 | 107 | 126 | 95 | 52 |
50 | 124 | 116 | 82 | 109 | 76 | 42 |
55 | 100 | 98 | 66 | 87 | 60 | 35 |
60 | 75 | 71 | 50 | 69 | 48 | 27 |
65 | 53 | 51 | 35 | 51 | 35 | 20 |
70 | 35 | 35 | 22 | 35 | 25 | 14 |
75 | 12 | 12 | 11 | 12 | 12 | 10 |
Ноябрь |
40 | 150 | 140 | 60 | 133 | 94 | 51 |
45 | 90 | 90 | 63 | 90 | 65 | 35 |
50 | 65 | 64 | 40 | 60 | 46 | 23 |
55 | 44 | 44 | 31 | 41 | 31 | 17 |
60 | 28 | 28 | 19 | 31 | 21 | 12 |
65 | 18 | 18 | 10 | 17 | 12 | 10 |
Декабрь |
40 | 122 | 115 | 81 | 106 | 78 | 42 |
45 | 65 | 63 | 49 | 68 | 49 | 27 |
50 | 39 | 38 | 26 | 38 | 26 | 15 |
55 | 24 | 23 | 15 | 24 | 18 | 10 |
60 | 13 | 12 | 8 | 16 | 9 | 5 |
Таблица 7.14
Встречное излучение атмосферы
Iа с учетом температуры
и влажности воздуха и облачности, Вт/м2
Температура воздуха, °C | Абсолютная влажность воздуха, мбар | Nо/Nн |
0/0 | 5/0 | 5/5 или 10/0 | 10/5 | 10/10 |
-40 | 0,1 - 0,2 | 103 | 110 | 115 | 122 | 128 |
-35 | 0,1 | 113 | 120 | 126 | 132 | 139 |
0,3 | 119 | 126 | 132 | 142 | 148 |
-30 | 0,1 | 124 | 130 | 138 | 145 | 152 |
0,5 | 134 | 142 | 150 | 158 | 166 |
-25 | 0,1 | 132 | 140 | 148 | 156 | 164 |
0,5 | 145 | 153 | 162 | 171 | 179 |
0,7 | 149 | 157 | 166 | 176 | 184 |
-20 | 0,5 | 144 | 152 | 161 | 169 | 178 |
1,0 | 157 | 167 | 176 | 185 | 194 |
1,2 | 168 | 171 | 180 | 190 | 200 |
-15 | 0,5 | 155 | 165 | 174 | 183 | 193 |
1,0 | 170 | 180 | 190 | 200 | 210 |
2,0 | 174 | 185 | 195 | 206 | 216 |
-10 | 1,0 | 183 | 190 | 202 | 207 | 224 |
3,0 | 190 | 200 | 212 | 224 | 235 |
-5 | 1,0 | 190 | 200 | 204 | 213 | 240 |
3,0 | 204 | 216 | 228 | 240 | 254 |
5,0 | 208 | 220 | 232 | 244 | 256 |
0 | 1,0 | 195 | 207 | 218 | 230 | 242 |
2,0 | 207 | 219 | 231 | 244 | 258 |
4,0 | 213 | 226 | 238 | 252 | 264 |
6,0 | 219 | 232 | 245 | 258 | 271 |
5 | 2,0 | 209 | 222 | 234 | 247 | 259 |
4,0 | 222 | 234 | 248 | 262 | 275 |
6,0 | 226 | 242 | 257 | 270 | 283 |
8,0 | 234 | 250 | 263 | 277 | 291 |
10 | 1,0 | 225 | 238 | 252 | 265 | 273 |
3,0 | 233 | 252 | 267 | 281 | 295 |
5,0 | 245 | 260 | 275 | 290 | 305 |
7,0 | 252 | 267 | 282 | 300 | 315 |
7.2.5. Потоки тепла за счет испарения с водной поверхности (или конденсации паров на ней) (Sи) и за счет непосредственного обмена теплом на контакте двух сред (теплом, подведенным к границе раздела конвективными потоками обеих сред и поэтому называемым конвективным) (Sк) характеризуются значительной изменчивостью во времени и в пространстве в зависимости от конкретных метеорологических ситуаций (особенно в зависимости от скорости ветра) и размеров водоема, определяющих степень трансформации воздушных масс при их переходе с суши на водоем.
Затраты тепла на испарение (
Sи, Вт/м
2) определяются на основании
формулы (5.9) по зависимости
Sи = 4,0(
e0 -
e2)(1 + 0,72
u2). (7.12)
Конвективный теплообмен водоема с атмосферой (
Sк, Вт/м
2) для летнего периода определяется по формуле
[53]

(7.13)
где
e0 - максимальная упругость водяных паров, определяемая по
прил. 4 в зависимости от температуры поверхностного слоя воды, мбар;
e2 - упругость водяного пара воздуха на высоте 2 м над водоемом, мбар;
t2 - температура воздуха на высоте 2 м над водой, °C;
t0 - температура поверхностного слоя воды, °C.
Приемы определения параметров
e2,
u2,
t2 и
t0 по данным континентальных метеостанций изложены в Указаниях
[59] и в
разд. 5.4 настоящего Руководства.
Для случаев когда разность между температурой воды и воздуха превышает 5 °C, расчет следует производить по формулам, учитывающим температурную стратификацию в приводном слое воздуха
[53]:
Sи = 2,95(
K +
u2)(
e0 -
e2); (7.14)
Sк = 1,89(
K +
u2)(
t0 -
t2). (7.15)
Таблица 7.15
Поправочные коэффициенты, учитывающие влияние
температурной стратификации воздуха над водоемом

......... 0 1 3 5 10 15 20 25 30 40
K ............. 1,28 1,54 2,10 2,56 3,08 3,58 3,84 4,10 4,35 4,60
7.2.6. Расход тепла на таяние твердых осадков Sос необходимо учитывать при расчетах ледового режима водохранилищ. Расчет рекомендуется осуществлять по формуле
Sос = 0,485(8 + 0,05
tсут)
x, (7.16)
где tсут - средняя суточная температура воздуха на высоте 2 м над водоемом, °C; x - слой выпавших осадков, мм.
7.2.7. Относительные значения всех составляющих уравнений теплообмена водохранилищ с атмосферой изменяются как от сезона к сезону, так и в пределах одних суток. Поэтому при расчетах с суточным интервалом времени и при использовании в расчетах информации береговых гидрометеостанций в числовое значение
Sо, определенное по
формуле (7.1), рекомендуется вводить поправочный множитель из
табл. 7.16.
Таблица 7.16
Значения поправочного коэффициента к результирующему
значению теплообмена водоемов с атмосферой, учитывающего
суточную изменчивость теплообмена и использование
"береговой" метеорологической информации
Период |  с.ш. |
41 - 50 | 51 - 60 | 61 - 70 |
Весенний нагрев IV - V | 1,20 | 1,15 | 1,10 |
Летний нагрев VI - VIII | 1,15 | 1,10 | 1,05 |
Летне-осеннее охлаждение VIII - IX | 1,12 | 1,0 | 0,95 |
Зимой при наличии ледяного покрова теплообмен между водой и атмосферой осуществляется потоком радиации, проходящим через толщу льда и покрывающего его снега. В условиях средней полосы Европейской территории СССР, где толщина льда составляет 50 - 60 см, количество лучистой энергии, проникающей сквозь чистый лед к воде, составляет 35 - 40% полной суммы солнечной радиации, приходящей на верхнюю поверхность льда. Наличие снежного покрова значительно снижает долю проникающей в воду радиации, так как поверхность снега отражает до 70% падающей на горизонтальную поверхность радиации, остальная часть почти полностью поглощается внутри снежного покрова. При толщине снега 10 - 20 см радиация практически не проникает до ледяного покрова, и тем более до водной массы, и теплообменом воды с атмосферой в течение большей части зимнего периода можно пренебречь.
Теплообмен водной массы с грунтом дна
7.2.8. Теплообмен с грунтом дна необходимо учитывать при расчете зимнего режима неглубоких водохранилищ. В таких водоемах наиболее низкая за год температура наблюдается в момент установления ледяного покрова, после чего процесс отдачи воде тепла, запасенного грунтом в летнее время, определяет температуру воды водоема. Интенсивность и продолжительность этого процесса определяется степенью проточности водохранилища и глубиной. В малопроточных водохранилищах этот процесс наблюдается в течение всей зимы, с постепенным затуханием к концу зимы. В проточных или очень мелких водохранилищах нагрев воды за счет теплоотдачи дна продолжается только до некоторого момента, после чего снова происходит ее охлаждение. Продолжительность этого вторичного выхолаживания определяется началом весеннего подледного нагрева.
В общем случае чем больше удельный расход и чем меньше глубина водоема, тем короче время нагрева и тем более низким оказывается зимний максимум температуры.
7.2.9. При наличии данных наблюдений за придонной температурой воды на водоеме-аналоге их можно использовать для расчета теплоотдачи дна проектируемого водохранилища по формуле
[53]

(7.17)
где

- плотность грунта проектируемого водохранилища, кг/м
3;

- коэффициент теплопроводности грунта, Вт/(м·К);

- удельная теплоемкость грунта, Дж/(кг·К);
ti,
tk,
tm - температура поверхности грунта в течение "минус второго", "минус первого", "минус
k-го и расчетного (
m-го) интервала времени; значения

,

и

определяются по
табл. 7.17;

- продолжительность
k-го интервала времени;

- время, прошедшее с конца
k-го до начала расчетного
m-го интервала времени.
Таблица 7.17
Физические свойства грунтов
Грунт | Плотность  , кг/м 3 | Удельная теплоемкость  , Дж/(кг·К) | Коэффициент теплопроводности  , Вт/(м·К) |
Песок, насыщенный водой | 2000 | 1425 | 2,18 |
Суглинок, глина, насыщенные водой | 2000 | 1802 | 2,05 |
Мел | 2400 | - | 0,93 |
Мрамор | 2700 | - | 2,09 - 3,49 |
Известняк | 2500 | 880 | 0,70 - 0,93 |
Песчаник | - | 922 | 1,28 - 1,74 |
Гнейс | - | - | 3,96 |
Гранит | 2700 | 838 | 3,13 - 4,06 |
Базальт | - | 838 | 1,28 - 2,78 |
Ил | - | - | 0,63 |
При использовании этой формулы кривая хода придонной температуры трансформируется в ступенчатый график, каждая ступень которого соответствует определенному интервалу времени

. Длительность интервалов уменьшается по мере приближения к расчетному периоду: первая ступень - постоянная средняя годовая температура за "минус второй год", длительность интервала - год; второй ступени соответствует средняя температура за зимний период предшествовавшего расчетному "минус первого" года, третья ступень - средняя температура придонных слоев воды летнего периода того же года; продолжительность дальнейших ступеней внутри расчетного года

принимается равной месяцу для теплого периода до наступления гомотермии и декаде или пятидневке после ее наступления.
Таблица 7.18
Приближенные значения теплоотдачи грунта дна
Sдн, Вт/м
2
с.ш. | Средняя глубина водоема, м | с.ш. | Средняя глубина водоема, м |
0 - 5 | 10 | 15 | 20 | 0 - 5 | 10 | 15 | 20 |
Январь | Июль |
30 | 13 | 12 | 9 | 8 | 30 | -11 | -9 | -8 | -7 |
40 | 11 | 9 | 8 | 8 | 40 | -11 | -9 | -8 | -7 |
50 | 7 | 6 | 6 | 5 | 50 | -12 | -11 | -9 | -8 |
60 | 5 | 5 | 3 | 3 | 60 | -12 | -11 | -9 | -8 |
70 | 3 | 3 | 2 | 2 | 70 | -12 | -12 | -11 | -8 |
Февраль | Август |
30 | 8 | 8 | 6 | 5 | 30 | -5 | -5 | -3 | -3 |
40 | 6 | 6 | 5 | 3 | 40 | -5 | -5 | -3 | -3 |
50 | 5 | 3 | 3 | 2 | 50 | -5 | -3 | -3 | -2 |
60 | 3 | 2 | 2 | 2 | 60 | -3 | -3 | -2 | -2 |
70 | 2 | 2 | 2 | 1 | 70 | -3 | -3 | -2 | -2 |
Март | Сентябрь |
30 | -3 | -3 | -2 | -2 | 30 | 2 | 2 | 2 | 1 |
40 | 1 | 1 | 1 | 0 | 40 | 3 | 2 | 2 | 2 |
50 | 3 | 3 | 2 | 2 | 50 | 5 | 3 | 3 | 2 |
60 | 2 | 2 | 2 | 2 | 60 | 5 | 5 | 5 | 3 |
| | | | | 70 | 6 | 6 | 5 | 5 |
Апрель | Октябрь |
30 | -19 | -17 | -15 | -13 | 30 | 14 | 13 | 12 | 9 |
40 | -14 | -13 | -12 | -9 | 40 | 14 | 12 | 11 | 8 |
50 | -8 | -6 | -6 | -5 | 50 | 12 | 11 | 9 | 8 |
60 | 0 | 0 | 0 | 0 | 60 | 12 | 9 | 8 | 7 |
| | | | | 70 | 11 | 9 | 8 | 7 |
Май | Ноябрь |
30 | -16 | -14 | -13 | -11 | 30 | 16 | 14 | 13 | 11 |
40 | -16 | -14 | -13 | -11 | 40 | 15 | 13 | 13 | 11 |
50 | -15 | -14 | -12 | -11 | 50 | 13 | 12 | 11 | 8 |
60 | -14 | -13 | -12 | -9 | 60 | 12 | 11 | 9 | 8 |
70 | -9 | -9 | -8 | -6 | 70 | 9 | 9 | 8 | 6 |
Июнь | Декабрь |
30 | -15 | -14 | -12 | -11 | 30 | 17 | 15 | 14 | 12 |
40 | -16 | -14 | -13 | -11 | 40 | 14 | 12 | 11 | 9 |
50 | -16 | -14 | -13 | -12 | 50 | 11 | 9 | 8 | 7 |
60 | -16 | -14 | -13 | -12 | 60 | 7 | 6 | 6 | 5 |
70 | -17 | -15 | -13 | -12 | 70 | 5 | 3 | 3 | 2 |
Примечание. При средней глубине водоема более 50 м теплоотдача грунтом дна равна нулю. |
Назначение температуры придонного слоя воды, являющейся исходной для расчета теплообмена с грунтом дна, проводится на основании натурных измерений за предыдущие годы на водоеме-аналоге. Подбор водоемов-аналогов следует производить с учетом особенностей их гидравлического режима, размеров и средней температуры летнего сезона. При отсутствии натурных наблюдений на водоеме-аналоге температуру воды назначают приближенно. При этом расчет по указанной формуле ведется методом последовательных приближений, пока не будет достигнуто незначительное расхождение (в пределах 5%) принятых и рассчитанных значений температуры. При назначении температуры следует учитывать, что в летнее время температура придонного слоя воды в неглубоких водоемах мало отличается от температуры воздуха и в первом приближении может быть принята равной ей.
Зависимость интенсивности теплоотдачи дна зимой от состава грунтов, слагающих ложе, незначительна, так как обычно компоненты произведения

в пределах достаточно широкого диапазона литологического состава рыхлых, насыщенных водой пород сохраняются более или менее постоянными. Коэффициент пористости нескальных пород в естественных условиях колеблется в среднем незначительно. Поэтому для приближенных расчетов параметр

можно принять равным 2680.
7.2.10. При отсутствии данных наблюдений приближенно теплообмен с грунтом дна для водохранилищ различной глубины можно определить по
табл. 7.18 в зависимости от их широтного положения.
7.3. Расчет термического режима водохранилищ
7.3.1. Расчеты термического режима в зависимости от задач проектирования выполняются либо для всего годового цикла путем последовательных расчетов от одного характерного периода к другому, либо для отдельных периодов. Внутри периодов принимается различный шаг осреднения во времени. Так, для водохранилищ умеренной зоны и высоких широт для зимнего периода с установившимся ледяным покровом выбирается 5 - 10-суточный шаг, а для водохранилищ низких широт - 10-суточный - месячный шаг. Для определения дат вскрытия или замерзания, даты установления и продолжительности гомотермии вычисления производятся по суткам.
Полученное в результате расчета значение температуры воды на конец интервала является исходной величиной для расчетов за следующий интервал.
7.3.2. Термический режим водохранилищ зависит от их морфологических характеристик и степени проточности. При анализе изменений температуры воды водохранилища условно подразделяются на неглубокие и глубокие, проточные и малопроточные [
53,
60].
Под неглубокими водохранилищами подразумеваются такие, в которых температура придонных слоев воды следует за температурой воздуха и ее изменения в течение года близки к изменениям температуры воздуха за теплую половину года. К таким водохранилищам относятся хорошо перемешиваемые, открытые водоемы с глубинами 15 - 20 м.
К глубоким водохранилищам относятся такие водоемы, глубина которых превышает мощность деятельного слоя. Они характеризуются наличием слоя температурного скачка в летне-осенний период и очень малой - порядка 2 - 3 °C - годовой амплитудой колебания температуры придонных слоев.
Термический режим относительно небольших водохранилищ-прудов со средними глубинами 10 - 15 м и площадью водного зеркала до 1 км2 может развиваться по типу глубоких водохранилищ, если их водная поверхность хорошо защищена высокими берегами и лесной растительностью.
7.3.3. При расчетах термического режима проточность водохранилищ характеризуется удельным расходом их стокового течения, т.е. расходом постоянно направленного течения, охватывающего всю ширину водохранилища, отнесенного к ширине расчетного створа. За расход стокового течения в приплотинной части принимается расход воды за рассматриваемый интервал времени, определяемый по диспетчерскому графику регулирования стока. Для отдельных участков водохранилища расход стокового течения определяется по интерполяции между расходом стокового течения у плотины и расходом воды в реке во входном створе водохранилища.
По степени проточности водохранилища подразделяются на проточные и малопроточные [
53,
60]. К малопроточным водохранилищам относятся водохранилища с удельным расходом воды
q порядка 2 - 5 тыс. м
2/сут, к проточным - водохранилища с удельными расходами в интервале от этого значения до 80 тыс. м
2/сут, что характерно для равнинных незарегулированных рек.
Поскольку удельный расход меняется от сезона к сезону в зависимости от объема воды, проходящего через водохранилище, а также в связи с тем, что ширина и глубина водохранилища непостоянны по его длине, одно и то же водохранилище может характеризоваться различной проточностью на разных участках и реже на одном и том же участке в разное время.
При проектировании водохранилищ проточность различных его участков рассчитывается исходя из средних расходов воды на участке, отнесенных к средней ширине данного участка, или устанавливается по аналогии с уже существующим исследованным водохранилищем.
Расчет температуры воды при открытой водной поверхности для неглубоких водохранилищ
7.3.4. Характерной особенностью термического режима неглубоких речных водохранилищ является его тесная зависимость от теплообмена как с атмосферой, так и с дном водоема. Небольшая глубина способствует более равномерному прогреву воды летом по всей глубине водоема и быстрому приближению к стационарному термическому режиму при данной метеорологической обстановке.
7.3.5. Температура поверхностного слоя воды проектируемого водохранилища может быть получена:
- по данным наблюдений на водоеме-аналоге. Выбор водоема-аналога производится исходя из возможно большего соответствия климатических характеристик водоема-аналога и проектируемого водохранилища. Некоторое представление о средних месячных значениях температуры поверхностного слоя воды водохранилищ различных широт можно получить из
прил. 9;
- по данным наблюдений за метеоэлементами на континентальной метеостанции, расположенной в районе проектируемого водохранилища.
Методика расчета температуры воды по данным континентальных метеостанций изложена в Указаниях
[59] и
разд. 5.4 настоящего Руководства.
7.3.6. При отсутствии непосредственных данных наблюдений за температурой поверхностного слоя воды водоема-аналога изменения последней в летний период могут быть оценены путем решения уравнения теплового баланса
[59]. Этот прием является приближенным при оценке изменений температуры воды в течение всего времени, когда водохранилище свободно ото льда, включая периоды гомотермии и предледоставного охлаждения.
7.3.7. Температура воды
ti в период весенней или осенней гомотермии в конце расчетного интервала времени

определяется по выражению

(7.18)
где для весенней гомотермии после первого члена правой части уравнения принимается знак "плюс", а для осенней гомотермии - знак "минус";
Sо,i - суммарный поток тепла через открытую водную поверхность, рассчитываемый за
i-й интервал времени на основании рекомендаций, изложенных в
разд. 7.2;
Sдн,i - поток тепла через границу раздела вода-дно за тот же интервал времени, определяемый на основании рекомендаций, изложенных в
пп. 7.2.8 -
7.2.10;
t0,i-1 - начальная средняя по глубине температура воды для расчетного интервала времени

, равная конечной температуре воды предыдущего интервала и равная в период гомотермии температуре поверхностного слоя воды;

- продолжительность расчетного
i-го интервала времени;
h - глубина водохранилища, принимаемая равной средней на участке при расчетах по участкам или средней по водохранилищу при расчетах по всему водохранилищу.
При определении ti для стадии гомотермии начальная расчетная температура воды t0,i-1 принимается равной средней по глубине температуре воды водоема-аналога на начало периода весеннего нагрева или осеннего охлаждения.
7.3.8. При расчете температуры воды под ледяным покровом в период весеннего нагрева по
формуле (7.18) теплообмен через поверхность раздела вода-лед
Sо,i принимается равным в течение первого интервала времени 25% теплообмена через открытую водную поверхность при
tпов = 0 °C, в течение второго интервала 50% и в течение последнего интервала 75%.
Если расчет ведется от момента вскрытия, начальная температура поверхностного слоя воды для первого расчетного интервала принимается равной нулю. Если расчет ведется от конца периода гомотермии, то для средних широт начальная температура поверхностного слоя воды может быть принята равной 4 °C, т.е. температуре наибольшей плотности воды. Некоторое представление о температуре воды периода гомотермии можно получить на основании данных натурных наблюдений на различных водоемах
(табл. 7.19) [6].
Таблица 7.19
Температура гомотермии некоторых пресноводных водоемов
Широта | Водоем | Температура, °C |
66 - 67° с.ш. (Сев. пол. круг) | Большое Медвежье оз. | 3,55 |
56°30' с.ш. | оз. Байкал | 3,5 |
56°30' с.ш. | вдхр Братское | 3,7 |
41° с.ш. | оз. Мергеццо (Испания) | 4,3 - 4,5 |
| вдхр Мингечаурское | 7,4 |
37° с.ш. | вдхр Тагокура (Япония) в горах | 3,5 |
23° с.ш. (Сев. тропик) | вдхр Ассуанское | 16,0 |
21° с.ш. | вдхр Хоабинь (Вьетнам) | 20 - 22 |
44° ю.ш. | озера Новой Зеландии | 11 |
Назначение продолжительности расчетного интервала времени

следует осуществлять таким образом, чтобы в периоды значительных изменений температуры (например, в период перехода от вскрытия к гомотермии, последний период перед вскрытием) или когда расчетом необходимо установить наступление какого-то определенного момента (максимума или нулевых значений температуры воды на поверхности, гомотермии, вскрытия или замерзания)

не превышало 1 сут, тогда как продолжительность интервалов для периодов малой интенсивности теплообмена (т.е. для основной части периода зимнего теплообмена при наличии ледяного покрова или без него - для водоемов низких широт) может быть принята равной 10 сут и более.
7.3.9. Распределение температуры по глубине неглубокого водохранилища для периода нагрева определяется по формуле
[53]

(7.19)
где
Y - ордината расчетного горизонта, отсчитываемая от поверхности воды, м;

- средняя по вертикали температура в начальный момент времени, принимается равной температуре максимальной плотности воды, т.е. в пределах - 3,5 - 4 °C;

- средняя по вертикали температура, определяемая из уравнения

(7.20)
где
Sдн - средний годовой теплообмен с дном, определяемый по
формуле (7.17);

- среднее значение коэффициента температуропроводности по глубине, м
2/с; определяется по формуле

(7.21)
где
Kт - коэффициент турбулентной температуропроводности, равный 0,00032
q (
q - удельный расход воды, м
2/с);

- коэффициент конвективной температуропроводности (
c = 6·10
-8);
Kв = 3,5·10
-5uh - коэффициент температуропроводности за счет действия ветра (
u - скорость ветра, м/с);
Kф - коэффициент физической температуропроводности, которым в расчетах можно пренебречь в связи с его малостью.
При приближенных расчетах по
уравнению (7.19) можно ограничиться вычислением только первого слагаемого правой части уравнения.
7.3.10. При осеннем охлаждении распределение температуры по глубине водоема определяется по формуле
[53]

(7.22)
При этом расчетный интервал времени в начале периода рекомендуется назначать равным 5 - 10 сут, снижая его далее до 3 - 5 и 1 сут. Обозначения в
формуле (7.22) следующие:
tн - начальная температура воды, равная температуре последнего дня осенней гомотермии;

- теплообмен через единицу поверхности проектируемого водохранилища за время охлаждения

, определяемый по
формуле (7.1);

- теплообмен через единицу поверхности проектируемого водохранилища за
i-й интервал времени, определяемый по
формуле (7.1);

- коэффициент температуропроводности за
i-й интервал времени, определяемый по
формуле (7.21);

- время от начала охлаждения водоема до конца расчетного интервала.
7.3.11. Если требуется определить среднюю по глубине температуру воды при осеннем охлаждении в i-й интервал времени, следует вычислить температуру поверхностного слоя воды по формуле

(7.23)
Далее по полученному значению

определяется новое значение

по
формуле (7.1), по которому вычисляется средняя по глубине температура воды в
i-й интервал времени:

(7.24)
Расчет температуры воды при открытой водной поверхности для глубоких водохранилищ
7.3.12. При расчете термического режима глубоких водохранилищ в период, свободный ото льда, рекомендуется разбить этот период на восемь

отрезков
[53]:
1) до установления весенней гомотермии, т.е. до достижения температурой поверхностного слоя воды устойчивых значений 3,5 °C;
2) весенняя гомотермия (температура 3,5 - 4,0 °C);
3) начало летнего нагрева (температура поверхностного слоя воды изменяется от 4 до 8 °C);
4) летний нагрев (формирование термоклина) - до достижения температурой поверхностного слоя воды максимальных значений;
5) начало охлаждения (образование температурного скачка с перепадом значений температуры (до 4 °C);
6) осеннее охлаждение (перепад значений температуры в слое температурного скачка меньше 4 °C);
7) осенняя гомотермия;
8) от нарушения осенней гомотермии (переход к обратной стратификации) до образования ледяного покрова.
7.3.13. Распределение температуры по глубине глубоких малопроточных водохранилищ в период, предшествующий установлению весенней гомотермии, рассчитывается по
формуле (7.19).
При расчете коэффициента температуропроводности по
зависимости (7.21) значение коэффициента
Kкi определяется по формуле

(7.25)
Здесь

- коэффициент объемного расширения, равный 0,18·10
-3 1/°C;
m = 210;

- средняя интенсивность теплообмена через открытую водную поверхность, определяется в соответствии с рекомендациями пп.
7.2.1 -
7.2.7.
7.3.14. В периоды осенней и весенней гомотермии средняя по глубине температура воды определяется за промежутки времени, равные суткам, по
соотношению (7.23).
7.3.15. В период летнего нагрева изменение температуры воды по глубине для малопроточных водохранилищ определяется по формуле

(7.26)
где
hа - толщина активной зоны (от 1 м в начале периода до 25 м в конце его для средних широт) рассчитывается, как указано в
п. 7.3.21;

- температура воды через время

после начала летнего нагрева;
tн - начальная температура воды, равная температуре последнего дня весенней гомотермии, определяется расчетным путем или принимается по водоему-аналогу;

- время, прошедшее от начала нагрева до конца расчетного интервала;
Kк - среднее значение коэффициента конвективной температуропроводности за время

, определяется по формуле

(7.27)

- средняя интенсивность теплообмена за все время нагрева;
n - натуральное число;
Y - ордината точки, отсчитываемая от поверхности воды, назначается в соответствии с
hа.
В большинстве случаев расчет по
формуле (7.26) можно вести без учета последнего слагаемого правой части.
7.3.16. Температура поверхностного слоя воды вычисляется по формуле

(7.28)
В большинстве случаев расчет можно вести без учета последнего слагаемого правой части уравнения.
7.3.17. В период летне-осеннего охлаждения образуется температурный скачок. Температура воды в зоне скачка определяется из соотношения

(7.29)
где tг - температура воды в зоне охлаждения, которую можно принять равной температуре поверхностного слоя воды водоема-аналога; tс - температура воды в слое температурного скачка, которую можно принять равной температуре воды у дна водоема-аналога; hс - толщина слоя температурного скачка, определяемая из выражения

(7.30)
где
hг - толщина слоя охлаждения;

;

- градиент температуры на верхней границе слоя температурного скачка, определяется как разность значений температуры на верхней и нижней границе слоя скачка, деленная на толщину слоя скачка.
7.3.18. Скорость смещения верхней границы слоя скачка вычисляется по формуле

(7.31)
где Sо - теплоотдача с открытой водной поверхности; Sh - теплоотдача в глубь водоема,

(7.32)
7.3.19. Расчет температуры воды при осенней гомотермии ведется по
формуле (7.23) с изменением знака перед вторым членом формулы на противоположный.
7.3.20. Расчет температуры от наступления осенней гомотермии ведется до образования ледяного покрова по
формулам (7.26) -
(7.28) также с изменением знака теплового потока на противоположный.
7.3.21. Глубина активной зоны
hа вычисляется по формуле

(7.33)
где

- коэффициент кинематической вязкости воды, определяется в зависимости от температуры воды по
табл. 7.20.
Таблица 7.20
Значения коэффициента кинематической вязкости воды
t, °C |  , м 2/с | t, °C |  , м 2/с | t, °C |  , м 2/с |
0 | 1,78 | 12 | 1,24 | 30 | 0,81 |
5 | 1,52 | 15 | 1,14 | 40 | 0,66 |
10 | 1,31 | 20 | 1,01 | 50 | 0,55 |
7.3.22. Для проточных водохранилищ температура воды в условиях летнего нагрева рассчитывается по
формулам (7.26) -
(7.28), причем вместо глубины водоема
h принимается глубина активной зоны
hа, определенная по
формуле (7.33).
Расчет температуры воды глубоких водохранилищ под ледяным покровом
7.3.23. При образовании на водохранилище ледяного покрова теплообмен с атмосферой резко уменьшается, а при наличии снега на льду становится практически равным нулю. Термический режим водохранилища в этом случае регулируется постоянной, равной нулю температурой на границе вода-лед. В переносе тепла участвуют только стоковые и плотностные течения, причем в застойных или слабопроточных водохранилищах преобладает теплоперенос плотностными течениями.
7.3.24. Распределение температуры воды по глубине водоема под ледяным покровом на конец выбранного интервала времени при неизменном по глубине и во времени коэффициенте температуропроводности определяется по формуле
[53]:

(7.34)
где

- коэффициент температуропроводности воды под ледяным покровом;

- время от начала ледостава.
В первом приближении можно ограничиться первым членом равенства. Здесь индексы 1, 2, 3, ... при
Sо,

,
K0 означают порядок интервалов времени, на которые разбивается предшествующий ледоставу период охлаждения воды от конца осенней гомотермии;
m,
n - натуральные числа, означающие номер данного интервала (
n) и "минус первый" интервал (
m). В пределах каждого интервала времени термические характеристики осредняются.
Коэффициент температуропроводности (
K0,3) для неглубоких и проточных глубоких водохранилищ определяется по
формуле (7.21).
Для глубоких малопроточных водохранилищ при наличии ледяного покрова K0,3 можно определить по формуле

(7.35)
где
Kк - коэффициент конвективной температуропроводности;

- коэффициент, учитывающий форму водохранилища,

(7.36)
где
f - площадь водного зеркала водохранилища;

- разница между площадью водного зеркала водохранилища при глубине, равной
h, и площадью на
j-м горизонте;
Nj - толщина слоя между двумя горизонтами;
j - порядковый номер горизонта;

- коэффициент теплопередачи,

(7.37)
где
vср - средняя скорость течения воды в водохранилище, определяемая как частное от деления расхода стокового течения (см.
п. 7.3.3) на площадь поперечного сечения в средней части водохранилища.
7.3.25. Для условий зимнего режима при наличии ледяного покрова глубина верхней границы слоя температурного скачка определяется из соотношения

(7.38)
где

- перепад температуры на верхней границе слоя температурного скачка

.
7.3.26. Температуру охлаждающегося слоя, подо льдом tохл можно получить из уравнения

(7.39)
где
Sh - тепловой поток, пересекающий границу раздела слоев (см.
п. 7.3.18);
tн - температура воды в начале охлаждения, равная средней температуре воды при образовании ледяного покрова по водоему-аналогу;

.
7.3.27. Средняя температура воды слоя охлаждения вычисляется по формуле

(7.40)
7.3.28. Скорость смещения границы слоя температурного скачка в глубину для глубокого проточного водохранилища определяется по формуле

(7.41)
где

- перепад температуры в слое скачка, равный
tг -
tс (см.
п. 7.3.17);

- градиент температуры у границы температурного скачка, устанавливающийся при замерзании и отвечающий критическому состоянию на границе между верхним, охлаждающимся слоем и слоем температурного скачка (см.
п. 7.3.17).
7.3.29. Критическим условием на границе между охлаждающимся слоем и слоем температурного скачка, соответствующим устойчивому положению слоя температурного скачка, отвечает критическая скорость течения

(7.42)
В случае
vср >
vкр режим течения в верхней зоне становится турбулентным. В течение вовлекаются нижние слои воды и глубина скачка меняется в соответствии с
формулой (7.38).
Расчет термического режима неглубоких водохранилищ под ледяным покровом
7.3.30. Зимний термический режим неглубоких водохранилищ, изолированных от атмосферы ледяным покровом, формируется теплопотоком от дна водоема за счет тепла, аккумулированного в летний период подстилающими грунтами. Благодаря малой теплопроводности грунтов отдача тепла происходит медленно и продолжается в течение всего зимнего периода.
Основной задачей расчетов зимнего термического режима является установление хода температуры воды у створа сооружения.
Для проточных водохранилищ с переменными по длине топографическими и гидравлическими характеристиками расчет сводится к определению нагрева воды по длине бьефа, а для непроточных или малопроточных - зимняя температура воды рассчитывается только в створе сооружения.
7.3.31. Изменение температуры в течение зимнего периода определяется рядом последовательных расчетов, относящихся к различным периодам (поскольку запасы донного тепла в водоеме, режим расходов и другие показатели изменяются во времени). Количество расчетных циклов задается в зависимости от степени подробности, с которой имеется в виду осветить ход температуры в расчетном створе.
Расчетная температура каждого цикла относится к какому-либо заданному календарному сроку, отвечающему моменту прохождения воды через расчетный створ. Поступление воды к расчетному створу определяется с учетом времени добегания.
7.3.32. Температура, устанавливающаяся в течение зимы при передаче водой тепла от дна к подледной поверхности, зависит в основном от интенсивности теплоотдачи дна, глубины водоема, от температуры, при которой происходит образование сплошного ледяного покрова на водохранилищах, и коэффициента теплопроводности водной среды, который зависит от степени проточности водохранилища.
7.3.33. Расчет средней температуры воды производится по уравнению
[53]

(7.43)
| | ИС МЕГАНОРМ: примечание. Обозначения даны в соответствии с официальным текстом документа. | |
где

- искомая средняя по живому сечению температура воды в расчетном створе;

- средняя по живому сечению температура воды, отвечающая стационарному тепловому потоку, рассчитываемая по
формуле (7.20);

- начальная температура воды в расчетном створе, равная конечной расчетной температуре за предыдущий период или принимаемая по водоему-аналогу;
K - коэффициент теплопроводности воды, осредненный по всему сечению, Вт/(м·°C), рассчитывается по формуле

(7.44)
где q - удельный расход воды, м2/сут; h - средняя глубина расчетного сечения, м.
Расчет ведется путем построения по
уравнению (7.43) кривой нарастания температуры воды в створе сооружения во времени. При достижении равенства

определение средней температуры в створе продолжается по выражению
t = hSдн/(2K). (7.45)
7.3.34. Температура воды в точке y на вертикали может быть получена из уравнения

(7.46)
где

- коэффициент теплопередачи, Вт/(м
2·К) (см.
п. 7.3.24).
Расчет температуры воды в период наполнения водохранилища
7.3.35. Согласно работе
[14], возможны три кинематические схемы наполнения водохранилища: 1) перемешивание, 2) вытеснение вод, 3) налив.
Наполнение водохранилища по схеме перемешивания характеризуется весьма малым по сравнению с длительностью расчетного периода временем смешения вод водохранилища с поступающей в него водой. Эти условия выполняются при больших скоростях течения и подъеме уровня, а также при неустойчивой температурной стратификации водохранилища. В этом случае средняя по всему объему водохранилища температура воды определяется по формуле
[14]

(7.47)
где

- средняя по всему объему водохранилища температура воды на конец расчетного интервала времени;

- средняя по всему объему водохранилища температура воды на начало расчетного интервала времени;

(7.48)
где tпр - средняя температура притекающей воды; Qпр - расход притекающей воды;

(7.49)
где
KQ = Qсб/Qпр (7.50)
(Qсб - расход воды, сбрасываемой из водохранилища);

(7.51)
(

- длительность расчетного интервала времени,
W0 - начальный объем водохранилища).
Наполнение водохранилища по схеме вытеснения характерно для глубоких и малопроточных водохранилищ. Термический расчет наполнения таких водохранилищ ведется в соответствии с их характеристиками согласно
пп. 7.3.12 -
7.3.29. При этом должен быть учтен подъем уровня воды

за расчетный период:

(7.52)
где
i - номер

интервала

;
fi - площадь водного зеркала в начале интервала.
В случае проточных водохранилищ следует учитывать также изменение отметок дна

. Тогда измененная глубина водохранилища будет определяться из соотношения

(7.53)
где hн - начальная глубина водохранилища.
Наполнение водохранилища по схеме налива возможно только в случае устойчивой температурной стратификации когда поступающая в водохранилище вода распространяется по его поверхности. Этот случай рассчитывается по формулам
пп. 7.3.12 -
7.3.29 с введением дополнительного члена - теплового потока, передающегося нижележащим слоям воды водохранилища от прибывающей воды, определяемого по данным наблюдений за температурой воды в реке во входном створе водохранилища.
7.4. Расчет ледового режима водохранилищ
7.4.1. Состав расчетных характеристик ледового режима водохранилищ определяется заданием на проектирование в зависимости от размеров водоема, степени его проточности и условий регулирования стока.
7.4.2. Для малых водохранилищ, как правило, производится расчет сроков замерзания и вскрытия, а также расчет максимальной толщины ледяного покрова. В качестве расчетных используются локальные зависимости указанных характеристик от температуры воздуха, установленные по данным наблюдений на водоемах-аналогах. Для повышения надежности расчетов рекомендуется проведение натурных наблюдений за ледовыми явлениями в районе создаваемого водохранилища.
7.4.3. Для средних и крупных водохранилищ кроме характеристик, указанных в
п. 7.4.2, рассчитываются интенсивности шугообразования, нарастания и таяния льда, а также характеристики зажорно-заторных явлений. Ниже излагаются методы расчета указанных характеристик при проектировании средних и крупных водохранилищ.
7.4.4. За начало ледообразования принимается дата перехода температуры воды через нуль. Этой дате соответствует такое термическое состояние водной массы водохранилища, при котором запас тепла в слое активного перемешивания (для мелководных водохранилищ во всей водной толще) равен теплопотерям с водной поверхности в атмосферу или меньше их, т.е. выполняется условие

(7.54)
где
hа - глубина слоя активного перемешивания воды, м;
Sо - теплообмен через водную поверхность, Вт/м
2;

- период охлаждения, принимаемый равным суткам;

- удельная теплоемкость воды, Дж/(кг·К);

- плотность воды, кг/м
3;
t - средняя температура слоя активного перемешивания воды, °C.
В
выражении (7.54) левая часть характеризует запас тепла в водной массе, а правая часть - теплопотери с водной поверхности в атмосферу. Определение сроков замерзания проектируемого водохранилища производится путем последовательного расчета и сравнения соотношений правой и левой частей вышеуказанной зависимости, и за дату появления ледяных образований принимаются те сроки, для которых выполняется
условие (7.54).
Расчет интенсивности шугообразования
7.4.5. Интенсивность шугообразования
Pz рассчитывается по следующей формуле, учитывающей теплообмен водной поверхности с атмосферой и характеристики волнения
[15]:

(7.55)
где
Pz - интенсивность шугообразования на глубине
z, Вт/м
3;
Sо - теплообмен через водную поверхность, Вт/м
2;
h - глубина водохранилища, м;
hв и

- соответственно высота (м) и период (с) волны;
m - период появления первичных кристаллов льда, с;

- безразмерный коэффициент, равный 2,8·10
-2.
Период появления первичных кристаллов льда определяется по формуле

(7.56)
где
L - удельная теплота ледообразования, равная 335 кДж/кг;

- плотность льда, равная 920 кг/м
3.
При определении параметра
m для глубоководных водохранилищ учитывается не вся глубина, а только глубина активной зоны ледообразования, примерно равная 9
hв. Значения
hв и

в
формуле (7.55) определяются в соответствии с указаниями
разд. 7.3.
7.4.6. Общее количество шуги, образующееся в период замерзания водохранилища за любой интервал времени, определяется в зависимости от теплопотерь и размеров участка ледообразования по формуле

(7.57)
где
N - общее количество льда на участке, м
3;
f - площадь расчетного участка, м
2;

- период времени, сут;
K0 - коэффициент уменьшения теплообмена замерзающей акватории по сравнению с теплообменом открытой водной поверхности.
Коэффициент K0 рассчитывается по формуле

(7.58)
где

- коэффициент, характеризующий степень покрытия водной поверхности льдом в долях единицы, определяется по выражению

(7.59)
B - безразмерный коэффициент, определяемый по
табл. 7.21 в зависимости от толщины льда (шуги)
hл. (Методика оценки изложена в
пп. 7.4.16 -
7.4.18).
Таблица 7.21

, м .......... 0,05 0,1 0,2 0,3 0,4 0,5
B .............. 2,4 2,2 2,0 1,5 1,3 1,1
a - коэффициент, характеризующий количество льда, приходящегося на единицу водной поверхности, кг/м2, находится по формуле

(7.60)
7.4.7. За дату образования ледяного покрова на малопроточном водохранилище для случая полного отсутствия или слабого ветра (скорость ветра на высоте 2 м
u2 < 5 м/с), принимаются те сутки, для которых соблюдается
условие (7.54).
7.4.8. При выполнении расчетов для случая значительного волнения при скоростях ветра
u2 > 5 м/с дата ледостава определяется путем добавления к сроку начала ледообразования (см.
п. 7.4.4) продолжительности периода замерзания

в сутках. Продолжительность периода замерзания определяется, согласно работе
[1], по формуле

(7.61)
Для расчетов по
формуле (7.61) устанавливаются средние сроки периода замерзания реки в створе будущего водохранилища в естественных условиях. Значения параметров правой части
формулы (7.61) принимаются осредненными за этот период. Скорость ветра на высоте 2 м
u2 принимается по данным ближайшей метеостанции, а
Sо рассчитывается по
формуле (7.1) с определением входящих в эту формулу составляющих по материалам ближайших метеостанций (см.
пп. 7.2.1 -
7.2.7). Коэффициент

принимается по
табл. 7.22 в зависимости от длины разгона ветра (
x) над свободной поверхностью водохранилища, определенной для преобладающего направления ветрового потока (об определении длины разгона см. работу
[59]).
Таблица 7.22
Значения коэффициента

x, км ................. 5 10 20

.................... 0,57 0,85 1,21
Расчет сроков вскрытия водохранилища
7.4.9. Разрушение льда на водохранилищах происходит вследствие уменьшения толщины и прочности ледяного покрова в процессе таяния [
3,
4].
За дату вскрытия водохранилища (начало ветрового дрейфа льда) принимаются те сутки, для которых соблюдается условие

(7.62)
где
u2 - наибольшая скорость ветра над водоемом на высоте 2 м в период вскрытия (определяется по данным срочных наблюдений за скоростью ветра на ближайшей метеостанции, период вскрытия устанавливается по данным наблюдений на водоеме-аналоге или реке, расположенной в районе проектируемого водохранилища);
K - безразмерный коэффициент, который для большинства водохранилищ может быть принят равным 0,018;

- относительное разрушающее напряжение тающего льда, определяется по выражению [
3,
4]

(7.63)
где S* - предельное содержание жидкой фазы во льду, при котором лед полностью теряет прочность, Дж/см3, в практических расчетах величина S* может быть принята равной 184 Дж/см3; S - удельное содержание жидкой фазы во льду, выраженное количеством поглощенной солнечной радиации, Дж/см3, среднее значение S рассчитывается по формуле

(7.64)
Отдельные составляющие теплового баланса, входящие в
формулу (7.64), рассчитываются следующим образом. Радиационный баланс
B вычисляется по
формуле (7.10). Величины
Sи и
Sк рассчитываются, согласно работе
[30], по следующим зависимостям:
Sи = (5,96 + 3,26u10)(e2 - e0); (7.65)
Sк = (3,40 + 1,86u10)(t2 - t0), (7.66)
где
u10 - скорость ветра на высоте 10 м над водохранилищем, м/с;
e0 - максимальная упругость водяного пара, определяемая в зависимости от температуры поверхности снега по
прил. 4;
t0 - температура поверхности снега, принимаемая равной нулю при положительных значениях температуры воздуха и 0,8
t2 при отрицательных (величины
u10,
e2 и
t2 определяются по данным ближайшей метеостанции);
Sв - приток тепла от воды к нижней поверхности ледяного покрова, может быть принято равным ~= 3,9 Вт/м
2;
hл,макс - максимальная толщина льда, определяется в соответствии с рекомендациями
пп. 7.4.16 -
7.4.18;

и

- толщина слоя стаивания с верхней и нижней поверхности ледяного покрова, для определения этих величин используются зависимости:

(7.67)

(7.68)
где
Iо и
Iэф определяются либо расчетным путем с использованием
зависимости (7.10), либо принимаются по данным
табл. 7.12 -
7.14 (см.
п. 7.2.4); коэффициент
K* определяется по
табл. 7.23 в зависимости от скорости течения
v и средней глубины участка

.
Толщина ледяного покрова
hл для первого расчетного интервала времени принимается равной максимальной толщине льда. Коэффициент
C = 0,165 для кристаллического льда и 0,25 для снежного. В
табл. 7.24 приведены значения выражения

, соответствующие определенным значениям
hл.
Таблица 7.23
v, м/с |  , м |
5 | 5 - 10 | 11 - 15 | 16 - 20 | 21 - 25 | 26 - 30 | 31 - 35 | 35 |
0 | 0,18 | 0,15 | 0,07 | 0 | 0 | 0 | 0 | 0 |
0,002 | 0,27 | 0,23 | 0,16 | 0,09 | 0,02 | 0 | 0 | 0 |
0,005 | 0,38 | 0,34 | 0,27 | 0,20 | 0,13 | 0,06 | 0 | 0 |
0,010 | 0,46 | 0,43 | 0,35 | 0,29 | 0,21 | 0,15 | 0,10 | 0,05 |
0,020 | 0,55 | 0,52 | 0,44 | 0,37 | 0,30 | 0,23 | 0,18 | 0,15 |
0,050 | 0,66 | 0,63 | 0,56 | 0,49 | 0,41 | 0,35 | 0,30 | 0,25 |
0,10 | 0,76 | 0,71 | 0,64 | 0,57 | 0,51 | 0,43 | 0,38 | 0,33 |
0,20 | 0,85 | 0,80 | 0,73 | 0,66 | 0,59 | 0,52 | 0,47 | 0,42 |
0,30 | 0,90 | 0,86 | 0,79 | 0,72 | 0,64 | 0,58 | 0,62 | 0,47 |
0,40 | 0,93 | 0,90 | 0,82 | 0,75 | 0,67 | 0,61 | 0,55 | 0,52 |
0,50 | 0,96 | 0,92 | 0,85 | 0,77 | 0,70 | 0,63 | 0,58 | 0,53 |
Таблица 7.24
Значения выражения

для различных значений
hл
hл, см | | hл, см | | hл, см | | hл, см | |
1 | 2 | 1 | 2 | 1 | 2 | 1 | 2 |
1 | 0,848 | 26 | 0,311 | 51 | 0,174 | 76 | 0,110 |
2 | 0,778 | 27 | 0,303 | 52 | 0,170 | 77 | 0,108 |
3 | 0,727 | 28 | 0,295 | 53 | 0,167 | 78 | 0,106 |
4 | 0,685 | 29 | 0,288 | 54 | 0,164 | 79 | 0,104 |
5 | 0,648 | 30 | 0,281 | 55 | 0,161 | 80 | 0,102 |
6 | 0,617 | 31 | 0,274 | 56 | 0,158 | 81 | 0,100 |
7 | 0,589 | 32 | 0,267 | 57 | 0,155 | 82 | 0,098 |
8 | 0,563 | 33 | 0,261 | 58 | 0,152 | 83 | 0,096 |
9 | 0,541 | 34 | 0,255 | 59 | 0,149 | 84 | 0,094 |
10 | 0,519 | 35 | 0,249 | 60 | 0,146 | 85 | 0,092 |
11 | 0,499 | 36 | 0,243 | 61 | 0,143 | 86 | 0,090 |
12 | 0,480 | 37 | 0,237 | 62 | 0,140 | 87 | 0,088 |
13 | 0,463 | 38 | 0,231 | 63 | 0,137 | 88 | 0,086 |
14 | 0,447 | 39 | 0,226 | 64 | 0,134 | 89 | 0,085 |
15 | 0,432 | 40 | 0,221 | 65 | 0,132 | 90 | 0,084 |
16 | 0,419 | 41 | 0,216 | 66 | 0,130 | 91 | 0,083 |
17 | 0,406 | 42 | 0,211 | 67 | 0,128 | 92 | 0,082 |
18 | 0,394 | 43 | 0,207 | 68 | 0,126 | 93 | 0,081 |
19 | 0,382 | 44 | 0,203 | 69 | 0,124 | 94 | 0,080 |
20 | 0,370 | 45 | 0,199 | 70 | 0,122 | 95 | 0,079 |
21 | 0,360 | 46 | 0,194 | 71 | 0,120 | 96 | 0,078 |
22 | 0,350 | 47 | 0,190 | 72 | 0,118 | 97 | 0,077 |
23 | 0,340 | 48 | 0,186 | 73 | 0,116 | 98 | 0,076 |
24 | 0,330 | 49 | 0,182 | 74 | 0,114 | 99 | 0,075 |
25 | 0,320 | 50 | 0,176 | 75 | 0,112 | 100 | 0,074 |
Показатели объемной теплоты таяния для верхнего и нижнего слоя стаивания
L* и
L** определяются по
табл. 7.25 в зависимости от среднего содержания поглощенной солнечной радиации во всей толще льда

.
Таблица 7.25
Показатели объемной теплоты таяния для нижнего
и верхнего слоя стаивания, Дж/см3
| L* | L** | | L* | L** |
0,42 | 307 | 308 | 20,0 | 276 | 297 |
2,10 | 305 | 307 | 25,2 | 270 | 295 |
3,35 | 303 | 306 | 29,3 | 264 | 293 |
4,19 | 301 | 305 | 33,5 | 258 | 291 |
8,37 | 295 | 304 | 37,7 | 251 | 289 |
12,6 | 289 | 301 | 41,9 | 245 | 287 |
16,7 | 283 | 299 | | | |
7.4.10. Дата очищения водохранилища от льда определяется путем прибавления к дате вскрытия продолжительности периода таяния ледяных образований

в сутках. Величина

определяется по формуле

(7.69)
где
hл и

- толщина (см) и плотность (кг/м
3) льда на дату вскрытия (значения
hл и

принимаются по данным наблюдений на водоемах-аналогах или на реке в период вскрытия);
Sл - приток тепла к дрейфующим льдинам, определяется физико-географическим положением и климатическими условиями района водохранилища
[45], Вт/м
2. Приближенно величина
Sл может быть принята равной 194 Вт/м
2.
Расчет интенсивности нарастания толщины ледяного покрова
7.4.11. Нарастание толщины льда на водохранилищах происходит путем кристаллизации воды на нижней поверхности ледяного покрова, смерзания шуги под ледяным покровом, а также за счет смерзания снега, пропитанного водой, находящейся на ледяном покрове. Расчеты нарастания толщины льда начинаются с даты образования ледяного покрова (см.
пп. 7.4.7 и
7.4.8).
7.4.12. При расчете интенсивности нарастания толщины ледяного покрова за счет кристаллизации воды рекомендуется использовать формулу

(7.70)
где

- в см/сут;
hл - толщина льда, см;
hс - высота снежного покрова на льду, см;

и

- теплопроводность снега и льда, Вт/(м·К);
tс.-л - температура поверхности снежно-ледяного покрова, °C;

- расчетный интервал времени, сут.
В последующем расчетные интервалы могут быть увеличены с учетом характера изменчивости толщины слоя снега и его плотности в районе проектируемого водохранилища. Отдельные составляющие
уравнения (7.70) определяются следующим образом.
Начальная толщина льда первого расчетного интервала времени в зависимости от условий замерзания принимается приблизительно равной 2 - 3 см при средней суточной скорости ветра
U2 < 5 м/с и 5 - 8 см при средней суточной скорости ветра
U ~= 10 м/с. Для последующих расчетных интервалов начальная толщина льда принимается равной конечной толщине льда за предыдущий интервал, рассчитанной по
формуле (7.70). Высота снежного покрова на льду
hс принимается по данным наблюдений ближайшей метеостанции.
Теплопроводность снега определяется по формуле

(7.71)
где

- плотность снега, определяемая по
табл. 7.26.
Таблица 7.26
Плотность свежевыпавшего снега

, кг/м
3
Автор | u2, м/с |
3 | 5 | 10 | 15 | 20 |
Г.Д. Рихтер | 60 | 100 | 200 | 260 | 330 |
В.М. Котляков | | | 310 | 380 | 410 |
Данные измерений на Рыбинском водохранилище | | 100 | 250 | 340 | |
Теплопроводность льда

принимается равной 2,218 Вт/(м·К). Температура поверхности снежно-ледяного покрова
tс.-л рассчитывается по формуле
[45]

(7.72)
где
Iэф - эффективное излучение. Коэффициенты
C1,
C2 и
C3 в
формуле (7.72) принимаются в зависимости от
tс.-л по
табл. 7.27.
Расчет
tс.-л по
формуле (7.72) производится в два этапа. На первом этапе определение значений
Iэф и коэффициентов
C1,
C2 и
C3 производится по температуре воздуха. Окончательное расчетное значение
tс.-л вычисляется на втором этапе, когда вышеуказанные параметры определяются по новому значению
tс.-л, полученному в результате первого этапа расчетов.
Таблица 7.27
Значения коэффициентов
C1,
C2 и
C3
Диапазоны измерения температуры поверхности льда (снега), °C | C1 | C2 | C3 |
0 ... -4,5 | 8,22 | 2,95 | 9,80 |
-4,6 ... -10,6 | 7,90 | 2,65 | 8,46 |
-10,6 ... -17,0 | 7,55 | 2,26 | 7,74 |
-17,1 ... -29,0 | 7,06 | 1,31 | 6,90 |
-29,1 ... -40,0 | 6,50 | 0,63 | 6,06 |
7.4.13. Для случаев когда замерзание водохранилища рассчитывается при скорости ветра u2 > 5 м/с, расчет интенсивности нарастания толщины ледяного покрова производится в два приема. Сначала рассчитывается интенсивность нарастания шугового льда по формуле

(7.73)
где

- приращение толщины шугового льда, см/сут;

- плотность шуги, принимаемая равной 550 кг/м
3;

- коэффициент теплопроводности шугового льда, принимаемый равным 2,08 Вт/(м·К);
tш - температура поверхности шугового покрова, определяемая по
формуле (7.72);

- коэффициент теплопроводности подледной шуги, принимаемый равным 1,26 Вт/(м·К);
hш.л - толщина шугового льда, см (для первого расчетного интервала принимается равной 10 см).
После определения

по
формуле (7.73) выполняется расчет нарастания льда за счет кристаллизации воды в соответствии с рекомендациями
п. 7.4.12. Общая интенсивность нарастания толщины ледяного покрова находится путем суммирования значений

и

за расчетный интервал времени.
Таблица 7.28
Средние многолетние значения интенсивности
нарастания толщины льда, см/сут
Водохранилище | XI | XII | I | II | III |
Рыбинское | 0,9 | 0,7 | 0,4 | 0,2 | 0,1 |
Горьковское | 0,8 | 0,7 | 0,4 | 0,2 | 0,1 |
Волгоградское | 1,2 | 0,7 | 0,5 | 0,2 | 0 |
Цимлянское | 0,8 | 0,6 | 0,5 | 0,3 | 0,1 |
Дубоссарское | | 1,5 | 0,3 | 0,2 | |
Кременчугское | | 1,0 | 0,7 | 0,1 | |
Днепродзержинское | | 0,5 | 0,5 | 0,2 | |
Камское | 1,2 | 0,8 | 0,4 | 0,3 | 0,2 |
Воткинское | 0,8 | 0,7 | 0,3 | 0,3 | 0,1 |
Павловское | 0,7 | 0,6 | 0,3 | 0,2 | 0,1 |
Бухтарминское | 0,8 | 1,2 | 0,5 | 0,3 | |
Новосибирское | 1,4 | 0,7 | 0,6 | 0,3 | 0,1 |
Иркутское | 0,3 | 0,7 | 0,7 | 0,5 | 0 |
Мамаканское | 1,9 | 0,5 | 0,3 | 0,2 | 0,1 |
7.4.14. Интенсивность нарастания толщины ледяного покрова для условий промерзания слоя шуги рассчитывается по формуле

(7.74)
где значение

определяется по
формуле (7.71), а толщина слоя снега на льду
hс принимается по данным ближайшей метеостанции.
7.4.15. Для ориентировочной оценки интенсивности нарастания толщины ледяного покрова на водохранилищах различных климатических зон могут быть использованы обобщенные данные измерений, приведенные в
табл. 7.28.
Расчет толщины ледяного покрова
7.4.16. Средняя толщина льда
hл за любой расчетный интервал времени (декада, месяц, сезон) вычисляется путем суммирования суточных значений интенсивности нарастания толщины льда

со дня установления ледостава:

(7.75)
где
hл,нач - начальная толщина льда (см.
п. 7.4.12).
Для условий наличия шуги в период формирования ледяного покрова расчет средней толщины льда hш.л выполняется по зависимости

(7.76)
7.4.17. Приближенная оценка толщины льда на водохранилище может быть выполнена по эмпирическим формулам вида

(7.77)
где

- сумма средних суточных значений температуры воздуха от начала ледостава;

и
n - параметры, числовые значения которых устанавливаются по данным многолетних наблюдений за толщиной льда и температурой воздуха на водоемах-аналогах или на реках района проектирования. В большинстве случаев параметр
n может быть принят равным 0,5. Представление о диапазоне изменений параметра

для ряда водохранилищ дает
табл. 7.29.
Таблица 7.29
Изменение параметра

Водохранилище | Диапазон изменений параметра |
Кременчугское | 1,6 +/- 0,2 |
Цимлянское | 1,8 +/- 0,3 |
Бухтарминское | 1,6 +/- 0,4 |
Новосибирское | 2,0 +/- 0,2 |
7.4.18. Максимальная толщина ледяного покрова
hл,макс за период ледостава определяется из условия перехода теплового баланса ледяного покрова через нуль в положительную область, в результате чего дальнейшее его нарастание прекращается. Расчеты
hл,макс выполняются по декадным интервалам времени. За первую расчетную декаду принимается та, в течение которой по многолетним данным наблюдалась максимальная толщина ледяного покрова на водоеме-аналоге или на реке, протекающей в районе проектируемого водохранилища. Расчеты осуществляются по следующим формулам:
для кристаллического льда

(7.78)
для шугового льда

(7.79)
Таблица 7.30
Максимальная толщина льда на водохранилищах, см
Водохранилище | Пункт | Период наблюдений | Толщина льда (год) |
Рыбинское | с. Брейтово | 1945 - 70 | 95 (1956) |
Угличское | г. Углич | 1948 - 70 | 76 (1969) |
г. Калязин | 1945 - 70 | 86 (1969) |
Горьковское | д. Желтухино | 1956 - 70 | 106 (1963) |
Цимлянское | х. Красноярский | 1952 - 75 | 105 (1956) |
Кременчугское | с. Топиловка | 1960 - 70 | 60 (1963) |
| пгт Градижск | 1960 - 70 | 60 (1963) |
Каховское им. В.И. Ленина | Грушевская Дамба | 1956 - 70 | 64 (1964) |
с. Никольское | 1952 - 70 | 60 (1964) |
с. Петрово-Свистуново | 1954 - 70 | 60 (1964) |
Камское | г. Добрянка | 1954 - 70 | 112 (1956) |
Новосибирское | г. Новосибирск, верхний бьеф | 1958 - 75 | 112 (1969) |
с. Боровое | 1958 - 75 | 132 (1960) |
Иркутское | с. Патроны | 1958 - 75 | 120 (1969) |
Братское | пос. Заярск | 1967 - 75 | 132 (1972) |
пос. Быково | | 130 (1973) |
Бухтарминское | с. Заводино | 1960 - 70 | 87 (1967) |
В
уравнениях (7.78) и
(7.79) tс.-л - температура снежно-ледяной поверхности, принимаемая равной 0,8
t2, где
t2 - средняя температура воздуха за рассматриваемый интервал времени. Для ориентировочных оценок максимальной толщины ледяного покрова можно воспользоваться
табл. 7.30, в которой приведены средние многолетние значения
hл,макс для водохранилищ различных климатических зон.
Расчет интенсивности таяния ледяного покрова
7.4.19. Интенсивное таяние ледяного покрова на водохранилище начинается с момента схода снега
[4]. За дату схода снега со льда принимается день, в который менее 50% площади водохранилища остается покрытой снегом. При наличии данных многолетних наблюдений за динамикой снежного покрова на водоеме-аналоге или на ближайшей реке дата схода снега принимается непосредственно по этим данным. При их отсутствии эта дата устанавливается путем решения уравнения теплового баланса снега за каждые сутки. За дату схода снежного покрова принимаются те сутки, для которых соблюдается условие

(7.80)
где

- плотность снежного покрова, равная в период таяния 250 кг/м
3;
hс - толщина слоя снега на льду, принимаемая по метеорологическим данным, м. Отдельные составляющие теплового баланса определяются в соответствии с рекомендациями
п. 7.4.9. При расчете величины
B по
формуле (7.10) альбедо тающего снега принимается равным 0,50, а коэффициент

равным 0,98.
7.4.20. Интенсивность таяния ледяного покрова

рассчитывается за каждые сутки, начиная с даты схода снежного покрова, по формуле

(7.81)
где
S - удельное содержание жидкой фазы во льду, определяемое по
формуле (7.64). Расчет отдельных составляющих теплового баланса осуществляется в соответствии с указаниями
п. 7.4.9. При расчете радиационного баланса
B альбедо тающего льда за весь период таяния принимается равным 0,35. Величина
Sв принимается равной 3,9 Вт/м
2.
7.4.21. За дату полного стаивания ледяного покрова принимаются сутки, для которых соблюдается условие

(7.82)
Вначале определяется правая часть
выражения (7.82). При этом за величину
hл принимается максимальная толщина льда, рассчитанная по данным метеорологических наблюдений за характерную зиму по методике, изложенной в
п. 7.4.18. За величину
hс принимается максимальная средняя суточная высота снежного покрова по данным наблюдений ближайшей метеостанции. После того как определена правая часть
выражения (7.82), т.е. количество тепла, необходимое для стаивания ледяного покрова, остается определить, за сколько суток с момента вскрытия водохранилища данное количество тепла поступит ко льду. Этот расчет осуществляется путем последовательного суммирования суточных значений теплообмена льда с атмосферой - левая часть
выражения (7.82). Суточные значения
q рассчитываются по уравнению теплового баланса. Прибавив к дате вскрытия водохранилища найденный период стаивания льда, получим дату полного стаивания ледяного покрова.
Расчет характеристик зажорных и заторных явлений
7.4.22. Зажорные и заторные явления наблюдаются в нижних бьефах водохранилищ и зонах выклинивания подпора и приурочены, как правило, к участкам резких переломов продольного профиля русла реки. Для оценки характеристик зажорных и заторных явлений выбираются зажорный (заторный) участок и расчетный створ, замыкающий выбранный участок. Кроме того, выше зажорного (заторного) участка определяется местоположение ближайшего гидрометрического створа, данные наблюдений по которому используются в дальнейших расчетах. Участок, ограниченный данным гидрометрическим створом и расчетным створом, замыкающим зажорный (заторный) участок носит название участка ледообразования.
7.4.23. Расчеты зажорно-заторных явлений при проектировании водохранилищ включают в себя оценку количества льда на зажорном (заторном) участке и расчет зажорных уровней.
Определение количества льда на зажорном участке
7.4.24. В зависимости от наличия материалов гидрометрических наблюдений и наблюдений за ледовыми явлениями в пределах зажорного (заторного) участка для оценки количества льда в зажоре (заторе) используется либо метод теплового баланса, либо метод опорных кривых.
7.4.25. Определение количества льда на зажорном участке при наличии информации о месте и сроках формирования зажоров на реке в районе проектируемого водохранилища и данных гидрометрических наблюдений производится методом теплового баланса. Расчеты выполняются по суточным интервалам времени, начиная с момента устойчивого перехода температуры воздуха через нуль.
В случае когда имеются данные наблюдений за шугоходом и ледоходом, количество льда на зажорном участке за период формирования зажора Nзж рассчитывается по формуле

(7.83)
где
Nзж - в кг;

- коэффициент шугохода (ледохода) за
i-й интервал времени, характеризующий степень покрытия реки льдом на зажорном участке, в долях единицы;
ai - количество шуги (льда), приходящееся на единицу поверхности реки, кг/м
2;
vi - средняя скорость шугохода (ледохода), м/с;
T - период формирования зажора, сут;
m - число измеренных расходов льда (шуги) за период формирования зажора;
b - средняя ширина реки на зажорном участке, м.
Если данные наблюдений за шугоходом (ледоходом) отсутствуют, но имеются материалы гидрометрических наблюдений, расчет количества льда на зажорном участке производится по формуле

(7.84)
где
Nзж,i - суточный расход льда, равный 86 400
qл;
qл - расход шуги (льда), кг/с. Значения
qл вычисляются по зависимости [
33,
62]

(7.85)
где

- время добегания ледяных образований от створа нулевой изотермы до расчетного створа; определяется как частное от деления расстояния от створа нулевой изотермы до расчетного створа на среднюю скорость течения воды на данном участке.
Положение створа нулевой изотермы устанавливается путем расчета изменений температуры воды вниз по реке от верхней границы участка ледообразования.
В случаях когда на зажорном участке скорости течения резко меняются либо имеет место неравномерное изменение ширины по длине реки, расчет количества льда на зажорном участке рекомендуется производить по формуле [
33,
62]

(7.86)
В
формуле (7.86) n1 =
b1/
b2, где
b1 и
b2 - средняя ширина реки на узком и широком участках;
n2 =
v1/
v2, где
v1 и
v2 - средние скорости течения воды на участке с медленным течением и на быстротоке;

и

- относительное время добегания ледяных образований (в долях единицы) на двух характерных участках реки (при условии, что время добегания на зажорном участке принимается за единицу).
При расчетах по
формулам (7.85) и
(7.86) коэффициент
a, характеризующий количество льда, приходящегося на единицу поверхности ледяных скоплений, определяется по зависимости

(7.87)
или

(7.88)
где
Q - расход воды, м
3/с;
C - коэффициент Шези,

(см.
п. 6.3.7);
M - параметр шероховатости;
hр - глубина реки, м;
I - уклон,

;

- скалывающее напряжение, значения которого зависят от длины участка ледообразования
lл (см.
пп. 7.4.22 и
7.4.23):
lл <
l1 
;
lл <
l2 
;
lл <
l3 
, где
l1,
l2,
l3 - соответственно расстояния, которые проходят ледяные образования за 1, 2 и 3 сут. Скорость движения ледяных образований принимается равной скорости течения воды.
Для облегчения расчетов по
формуле (7.87) в
табл. 7.31 даны значения произведения
MC в зависимости от коэффициента шероховатости
n0 (см.
п. 4.2.10) и глубины русла реки
hр.
Таблица 7.31
hр, м | n0 |
0,025 | 0,033 | 0,040 | 0,056 | 0,067 | 0,080 | 0,100 | 0,133 | 0,200 |
1 | 1360 | 975 | 600 | 400 | 250 | 185 | 130 | 95 | 48 |
2 | 1660 | 1185 | 720 | 485 | 300 | 220 | 155 | 110 | 54 |
3 | 1910 | 1368 | 820 | 550 | 336 | 250 | 175 | 123 | 59 |
4 | 1990 | 1425 | 870 | 570 | 360 | 260 | 185 | 128 | 61 |
5 | 2240 | 1595 | 960 | 640 | 410 | 290 | 200 | 142 | 66 |
6 | 2360 | 1690 | 1015 | 670 | 417 | 305 | 205 | 149 | 70 |
7 | 2450 | 1715 | 1050 | 695 | 428 | 315 | 215 | 153 | 73 |
8 | 2590 | 1850 | 1110 | 735 | 458 | 330 | 225 | 160 | 75 |
9 | 2690 | 1920 | 1145 | 460 | 480 | 340 | 233 | 166 | 78 |
10 | 2795 | 1995 | 1190 | 790 | 500 | 350 | 240 | 170 | 80 |
7.4.26. При отсутствии данных о местоположении и сроках формирования зажоров в районе проектируемого водохранилища количество льда на зажорных участках определяется гидравлическим методом с использованием опорных кривых. Опорные кривые выражают зависимость водопропускной способности русла от уровня воды для закрытых льдом речных потоков. Согласно работам [
15,
47], уравнение, характеризующее водопропускную способность русла при наличии льда, может быть представлено в виде

(7.89)
где
Q - расход воды, м
3/с;

- падение уровня воды на участке, см;
R - гидравлический радиус, м;

- площадь водного сечения, м
2;
b - средняя ширина реки, м;
hзж - толщина слоя льда или шуги, м;
l - длина расчетного участка, м;
nпр - приведенный коэффициент шероховатости, учитывающий как шероховатость русла, так и шероховатость нижней поверхности льда.
Коэффициент nпр для ледоставного периода рассчитывается по формуле Н.И. Павловского:

(7.90)
где n0 - коэффициент шероховатости русла; nл - коэффициент шероховатости нижней поверхности льда, вычисляется по формуле

(7.91)
где g - ускорение свободного падения; K* - коэффициент гидравлического трения, определяется из формулы

(7.92)
В
выражении (7.92) 
- высота выступов нижней поверхности льда, которая находится по зависимости

(7.93)
Заменив правую часть
уравнения (7.93) функцией отметки уровня и толщины шуги (льда), можно записать

(7.94)
Интегральный график функции

и является опорной кривой. Построение опорных кривых заключается в следующем. Сначала для различных значений толщины шуги (льда), которые принимаются равными 0,1; 0,4; 1,0; 2,0 и 3,0 м, используя правую часть
уравнения (7.89), определяем водопропускную способность русла для ряда выбранных створов на участке ледообразования. Далее, задаваясь различными значениями
Q и
hзж, строим семейство опорных кривых
Q =
f(
hзж). На продольный профиль участка реки, построенного для определенного расхода воды, в верхнем створе наносим значения
hзж, полученные с вышеуказанных кривых для выбранных расчетных створов. Соединив нанесенные отметки
hзж, получаем нижнюю поверхность ледяного покрова при данном расходе воды. Определение количества льда на рассматриваемом участке производится графическим способом. При использовании метода опорных кривых строятся вспомогательные графики

,

,

,

. Пример использования опорных кривых дан в
прил. 11.
7.4.27. Для ориентировочной оценки количества льда в зажоре кроме указанных выше двух расчетных схем рекомендуется использовать зависимость скорости перемещения кромки льда от количества льда, затрачиваемого при формировании ледяного покрова на исследуемом участке
[13]. Выявление такой зависимости производится на основании обобщенных расчетных данных по стоку льда за многолетний период, сопоставленных с данными скорости перемещения кромки льда. При этом может быть использована информация стандартных, специальных и авианаблюдений. В отдельных случаях, при отсутствии информации о развитии ледовых явлений на зажорном участке, для расчета возможного количества льда рекомендуется использовать эмпирическую зависимость толщины льда на зажорном участке от скорости ледохода
v (принимаемой равной скорости течения при открытом русле) и температуры воздуха в момент ледостава
tз, т.е.

.
Определение количества льда на заторном участке
7.4.28. Количество льда на заторном участке может быть определено гидравлическими методами, либо с использованием опорных кривых, либо путем решения упрощенного уравнения Сен-Венана. Первый способ расчета изложен в
п. 7.4.26.
7.4.29. При расчете количества льда в заторе с использованием упрощенного уравнения неустановившегося движения воды Сен-Венана последнее записывается в виде
[8]

(7.95)
где

- уклон водной поверхности;
K - модуль расхода, который рассчитывается в зависимости от морфометрических характеристик русла по следующим формулам:
для открытого русла

(7.96)
для потока под ледяным покровом

(7.97)
где
h - средняя глубина потока в сечении, м;
bл - ширина реки по нижней поверхности ледяного покрова;
n0 - коэффициент шероховатости русла;
nпр - приведенный коэффициент шероховатости (см.
п. 7.4.26).
Для расчета толщины льда в заторе строятся вспомогательные графики:
- график изолиний модуля расхода по длине реки для различных отметок уровня H, строится для открытого потока и для потока под ледяным покровом толщиной 0,5; 1, 2 и 3 м;
- график хода постоянной отметки поверхности воды

, построенный за период, предшествующий периоду заторообразования;
- продольный профиль горизонта воды

за расчетный период;
- график ширины реки по ее длине

за расчетный период;
- графики зависимости толщины льда в заторе от модуля расхода

, построенные на основании решения
уравнений (7.96) и
(7.97).
Значение уклона

определяется по продольному профилю горизонта воды на участке.
Толщина льда на участке находится следующим образом. Сначала определяется правая часть
уравнения (7.95) при значениях модулей расходов, соответствующих толщинам ледяного покрова
hзт = 0,5; 1, 2 и 3 м, и для каждого расчетного створа строится зависимость
hзт =
f(-
Q2/
K2). Вычисляется левая часть
уравнения (7.95) с использованием вышеуказанных графиков. Затем на графиках
hзт =
f(-
Q2/
K2) по полученным значениям уклона

при данном расходе воды определяется искомая (расчетная) толщина льда
hл в створах заторного участка. По рассчитанным значениям
hл строится график толщины льда по длине затора, по которому определяется площадь льда в продольном сечении -

. Количество (масса) льда в заторе
Nзт рассчитывается по формуле

(7.98)
где

- плотность льда, равная 920 кг/м
3.
Расчет зажорных уровней
7.4.30. Для ориентировочного определения высших зажорных уровней в нижнем бьефе водохранилища рекомендуется способ, основанный на использовании соотношения между зимними и летними расходами воды, проходящими при одних и тех же уровнях:
Kзим =
Qзим/
Qлет. В этом случае строится график
Kзим =
f(
T), где
T - число суток от даты установления ледяного покрова, и кривая расходов

до отметок высших зажорных уровней. Использование значений
Kзим, снятых с нижней огибающей графика
Kзим =
f(
T), позволяет учесть наиболее сложные ледовые условия, которые могут иметь место в нижнем бьефе водохранилища.
Для условий неразветвленного русла коэффициент
Kзим можно определять по следующей эмпирической зависимости
[13]:

(7.99)
где Qз - зимний расход воды; Iл - летний уклон, соответствующий зимнему расходу воды; hл - толщина льда и шуги; hр - средняя глубина реки; b - ширина реки.
Данная формула может быть применена в тех случаях, когда суммарная толщина льда и шуги составляет (0,01 ... 0,9)h.
7.4.31. Расчет зажорных уровней с учетом гидравлических характеристик и толщины льда производится по формуле
[13]:

(7.100)
где

- подъем уровня;
h - средняя глубина;
n0 и
nпр - коэффициент шероховатости русла при отсутствии и наличии льда;
nл - коэффициент шероховатости льда;
I и
Iл - уклон водной поверхности при отсутствии и наличии льда;
b и
bл - ширина реки при отсутствии и наличии льда;
hл - толщина льда.
7.4.32. Расчеты возможных зажорных уровней можно производить на основании построения опорных кривых для заданных расходов воды. В этом случае количество льда в зажоре предварительно рассчитывается по методике, изложенной в
п. 7.4.25.
8. РАСЧЕТ ВЕТРОВЫХ ДЕНИВЕЛЯЦИЙ УРОВНЯ
8.1.1. Расчеты ветровых денивеляций уровня при проектировании водохранилищ производятся в целях определения отметки подпорных сооружений и волновых нагрузок на них.
8.1.2. Расчеты ветровых денивеляций производятся, как правило, для крупных и средних водохранилищ и включают в себя определение размеров сгонно-нагонных явлений и расчет элементов волн в глубоководной зоне проектируемого водохранилища.
8.1.3. Расчеты ветровых денивеляций выполняются для нескольких волноопасных направлений ветра. Волноопасными считаются направления ветра вдоль продольной оси водохранилища и по двум-трем лучам в пределах +/- 45° от направления продольной оси водохранилища. Наиболее волноопасным считается направление ветра, соответствующее наибольшей высоте волны 1%-ной обеспеченности.
8.1.4. Расчетам ветровых денивеляций должны предшествовать тщательный анализ и обобщение исходной информации о скоростях и направлениях ветра, а также о повторяемости ветров различных румбов в районе проектируемого водохранилища.
8.2. Расчет ветровых сгонов и нагонов
8.2.1. Сгонно-нагонные изменения уровней рассчитываются для проектируемых водохранилищ, если длина последних превышает 10 км. Расчет рекомендуется выполнять для наиболее волноопасных направлений ветра при двух значениях расходов реки, питающей водохранилище: максимальном расходе 5%-ной обеспеченности и минимальном расходе 95%-ной обеспеченности. Начальный уровень у плотины устанавливается заданием на проектирование. Расчет ведется для условий установившейся сгонно-нагонной денивеляции, т.е. в предположении, что отметки водной поверхности на всем водохранилище оказываются практически неизменными (хотя бы в течение короткого промежутка времени), расход воды также не изменяется вдоль водоема и оказывается равным расходу стокового течения.
8.2.2. Расчет рекомендуется производить по следующим расчетным зависимостям:
а) для течений, направленных по всей глубине в сторону плотины (дрейфовых или градиентных
[25]):

(8.1)
б) для смешанных течений, характеризующихся различием направлений течений в поверхностном и придонном слоях водоема
[25]:

(8.2)
В этих формулах

- падение уровня на расчетном участке длиной
l (при понижении уровня к плотине (в направлении оси
x), т.е. при сгоне,

приобретает положительное значение, а при нагоне у плотины - отрицательное);
F1 - модуль сопротивления;
F2,
F3,
E - функции, зависящие от морфометрических характеристик водохранилища и коэффициента Шези
C;
T - параметр касательного напряжения;
Q - расчетное значение расхода воды во входном створе водохранилища.
Модуль сопротивления F1 и специальные функции F2 и F3 вычисляются по формулам:

(8.3)

(8.4)

(8.5)
где
l - длина расчетного участка,

- средняя площадь поперечного сечения водохранилища на участке, определяется как полусумма площадей поперечного сечения в ограничивающих участок створах, т.е.

;

- средняя глубина расчетного участка;
C - коэффициент Шези;

- коэффициент, определяемый по
табл. 8.1 в зависимости от значения коэффициента Шези
C.
Таблица 8.1
Значения коэффициента

и

C | | | C | | |
20 | 1,17 | 0,700 | 80 | 1,10 | 0,786 |
30 | 1,15 | 0,719 | 90 | 1,09 | 0,803 |
40 | 1,14 | 0,728 | 100 | 1,08 | 0,818 |
50 | 1,14 | 0,734 | 120 | 1,07 | 0,842 |
60 | 1,13 | 0,739 | 140 | 1,06 | 0,860 |
70 | 1,11 | 0,765 | 160 | 1,05 | 0,875 |
Коэффициент Шези C определяется по формуле Маннинга

(8.6)
в которой коэффициент шероховатости
n0 вычисляется либо по
формуле (4.16) по данным гидрометрических измерений на реке в бытовых условиях до создания подпора, либо по
формуле (6.63) по данным о крупности донных наносов, либо ориентировочно по
табл. 4.2.
При выполнении расчетов денивеляций уровня с учетом различия глубин по ширине водохранилища (с выделением русловой и пойменной частей) значения n0 устанавливаются раздельно для русла и для поймы.
Параметр касательного напряжения T вычисляется по формуле

(8.7)
где
u2 - скорость ветра на высоте 2 м над водной поверхностью, определяется в соответствии с указаниями
разд. 5.4;

- коэффициент;

- угол между принятым направлением ветра и обратным (от плотины к входному створу) направлением оси
x (такой способ задания угла обеспечивает получение соответствующего алгебраического знака параметра
T: положительного - при

и

и отрицательного - при

).
Коэффициент

определяется по выражению

(8.8)
где
hв - средняя на участке высота ветровой волны 1%-ной обеспеченности, м. Приемы определения
hв описаны в
разд. 8.3. Кроме того, для этой цели могут быть использованы расчетные схемы, изложенные в работе
[29].
Значения функции
E определяются по графику на
рис. 8.1 в зависимости от коэффициента Шези
C и параметра

. Последний определяется в соответствии с указаниями
п. 8.2.3.
8.2.3. Характер течения в водохранилище, в зависимости от которого для расчета следует использовать либо
формулу (8.1), либо
формулу (8.2), определяется с использованием безразмерных параметров

и

. Параметр

определяется по выражению

(8.9)
Параметр

зависит от коэффициента Шези
C и определяется по
табл. 8.1.
Если соблюдается условие

, то имеют место смешанные течения и расчет сгонно-нагонных денивеляций следует производить по
формуле (8.2). Во всех остальных случаях для расчета используется
формула (8.1).
Выбор расчетной формулы осуществляется в следующей последовательности. Сначала по
формуле (8.1) вычисляется денивеляция уровня у плотины, затем по
формуле (8.9) по полученному значению

определяется критерий

. Если найденное значение

не выходит за пределы условия

, то расчет считается окончательным; в противном случае расчет следует повторить по
формуле (8.2) с последующей проверкой результатов расчета по вышеуказанному условию. Для приближенных расчетов допускается использовать только
формулу (8.1).
Для водохранилищ, практически непроточных, допускается ограничиться вычислением приращения уровня, обусловленного только действием ветра, по формуле

(8.10)
Рис. 8.1. График функции

1 - зона дрейфовых течений

; 2 - зона смешанных
течений; 3 - зона градиентных течений; 4 - граница
между зонами дрейфовых и смешанных течений; 5 - линия
стационарных течений; 6 - граница между зонами
смешанных и градиентных течений
8.2.4. Расчеты сгонно-нагонных денивеляций уровня могут производиться либо детальным, либо упрощенным способом в зависимости от вида и класса сооружений, стадии проектирования, гидрометеорологического режима водохранилища и наличия исходных данных для расчета.
8.2.5. При выполнении детальных расчетов сгонно-нагонных денивеляций водохранилище делится на участки, начиная от плотины до зоны выклинивания подпора включительно. При проектировании очень больших и больших водохранилищ (протяженностью свыше 50 км) назначается 5 - 10 участков, средних (протяженностью 20 - 50 км) - от 2 до 4 участков, малых (длиной 10 - 20 км) - не более двух участков. Каждый участок должен быть морфологически однородным. Нумерация участков ведется от плотины к зоне выклинивания подпора.
Для всех расчетных участков строятся графики зависимости средней глубины, ширины, площади водной поверхности и функций
F1,
F2 и
F3 от среднего уровня на участке

для всего диапазона колебаний уровня, предусмотренного заданием на проектирование. Значения функций
F1,
F2 и
F3 вычисляются по
формулам (8.3) -
(8.5) по данным батиметрической карты и сведениям о шероховатости русла. Средний уровень на участке определяется как среднее из уровней в начальном и конечном створах участка:

(8.11)
8.2.6. Для всех принятых расчетных значений притока в водохранилище и уровня воды у плотины строят кривые свободной поверхности при нулевом ветре. Если расчет ведется для периодов наполнения или опорожнения водохранилища, когда расход воды по длине водохранилища либо убывает, либо возрастает, то значения расходов для каждого участка (расчетный расход) находят прямолинейной интерполяцией между расходами в начальном и конечном створах водохранилища.
Расчет и построение кривых свободной поверхности при заданных значениях расходов и уровня воды у плотины выполняют последовательно от участка к участку вверх по течению реки, т.е. от плотины к зоне выклинивания подпора. Вычисления ведут методом подбора. Имея заданное значение уровня воды у плотины (т.е. в конце первого расчетного участка)
Hкон, назначают произвольно средний уровень

на этом участке и по графику

находят соответствующее значение модуля сопротивления
F1. Затем вычисляют падение

по формуле

(8.12)
и находят соответствующее этому падению значение среднего уровня

на участке по равенству

(8.13)
Если вычисленное значение

не совпадает с первоначально принятым его значением, то расчет повторяют, используя для нахождения
F1 вычисленное по
формуле (8.13) значение

. Расчет следует повторять до тех пор, пока начальное и вычисленное значения

окажутся практически одинаковыми (обычно после второй или третьей попытки получают окончательное решение). Одновременно определяется и падение

. После этого вычисляется отметка в начальном створе расчетного участка по формуле

(8.14)
Найденная отметка уровня в начальном створе первого расчетного участка является одновременно и отметкой уровня в конечном створе расположенного выше второго расчетного участка. В таком же порядке продолжают расчет для второго и всех остальных расположенных выше по течению участков. Полученные значения уровней на концах расчетных участков сводят в таблицу, по данным которой строят кривую свободной поверхности при отсутствии ветра.
8.2.7. Расчеты сгонно-нагонных денивеляций детальным способом осуществляются для одного и того же момента времени для всей акватории водохранилища. Расчет денивеляций выполняется методом подбора по предварительно выделенным расчетным участкам аналогично тому, как это делается при построении кривой свободной поверхности при отсутствии ветра. Для расчета используются
формулы (8.1) или
(8.2) и заранее построенные графики функций
F1,
F2 и
F3. В качестве критерия правильности расчета используют уравнение неразрывности, по которому проверяют, удовлетворяет ли полученная кривая свободной поверхности условию неизменности объема воды в водоеме:

(8.15)
Здесь
N - число расчетных участков,

- приращение объема воды на расчетном участке во время денивеляции.
Приращение объема воды на участке водохранилища вычисляется по формуле

(8.16)
где

- изменение уровня в середине участка, полученное расчетом при денивеляции относительно первоначального уровня кривой свободной поверхности при отсутствии ветра (положительное - при подъеме уровня и отрицательное - при его понижении);

- площадь водной поверхности на участке.
8.2.8. Расчет сгонно-нагонных денивеляций выполняется в следующей последовательности. Сначала строятся кривые свободной поверхности водохранилища при отсутствии ветра (см.
п. 8.2.6). Затем вычисляется падение

вдоль расчетных участков при денивеляции по
формулам (8.1) и
(8.2) методом подбора. Для этого, задаваясь условным уровнем воды при денивеляции на конце первого расчетного участка (у плотины)
Hкон, принимают среднее значение уровня

на участке (при нагоне

, при сгоне

) и определяют для него значения функций
F1,
F2 и
F3 по заранее построенным графикам (см.
п. 8.2.5). Вычислив затем

по
формуле (8.1) или
(8.2), проверяют, соответствует ли принятое значение

значению

, вычисленному по
формуле (8.13). При расхождении первоначально принятого и вычисленного значений

расчет повторяется в том же порядке (2 - 3 раза) до тех пор, пока эти значения практически не совпадут. Затем проверяется правильность выбора формулы для расчета

по критерию

(см.
п. 8.2.3). В случае несоответствия выбранной формулы виду течения на участке расчет повторяется в том же порядке по другой формуле.
Вычислив окончательно значение

на участке, по
формуле (8.14) находят уровень в начале участка:
являющийся одновременно уровнем в конечном створе следующего, расположенного выше участка, и продолжают расчет изложенным выше способом последовательно для всех расчетных участков, расположенных выше по течению. По полученным значениям уровней на концах расчетных участков строится кривая свободной поверхности при сгонно-нагонных денивеляциях. Получив таким образом кривую свободной поверхности для заданной скорости ветра, следует проверить по
уравнению (8.15), удовлетворяет ли она условию постоянства объема воды в водохранилище. Если окажется, что

, то кривую свободной поверхности, полученную по расчету, следует поднять (если

) или опустить (при

). Для этого корректируется принятый условно для расчета уровень воды у плотины и заново рассчитывается кривая свободной поверхности, исходя из исправленного значения уровня у плотины.
Значение поправки

, которую нужно отнять или прибавить к принятому ранее условно уровню воды у плотины, вычисляется по формуле

(8.17)
где fобщ - площадь водной поверхности водохранилища при заданном проектом уровне у плотины в условиях отсутствия ветра.
Расчет кривой свободной поверхности изложенным способом повторяется до тех пор, пока поправка

окажется пренебрежимо малой (5 - 10% найденного значения приращений уровня в начале или в конце водоема под действием ветровой денивеляции).
8.2.9. Применительно к крупным озеровидным водохранилищам детальный метод расчета сгонно-нагонных денивеляций упрощается.
а. Если водохранилище слабопроточное, т.е. коэффициент проточности
Kпр < 2 (см.
п. 5.4.5), а кривая свободной поверхности имеет малый уклон, то общее падение

на каждом расчетном участке вычисляется по формуле

(8.18)
где

- падение на расчетном участке, обусловленное стоковым течением, снимается с кривой свободной поверхности, построенной для заданного расхода и уровня у плотины при отсутствии ветра;

- падение, обусловленное действием ветра, вычисляется для каждого расчетного участка по
формуле (8.10).
Задав условный уровень денивеляций у плотины и вычислив значения

по участкам, по
формуле (8.14) находят отметки уровня на всех расчетных участках и строят кривую свободной поверхности, отражающую действие ветра, а затем проверяют, удовлетворяет ли она
условию неразрывности (8.15).
Выравнивание объемов воды, отвечающих положению кривых свободной поверхности, вычисленных при отсутствии ветра и при установившейся сгонно-нагонной денивеляции, выполняется также упрощенным способом. В этом случае поправка

, полученная по
формуле (8.17) после первого этапа вычислений, является окончательной; добавление ее к уровням всех участков (или вычитание) дает окончательные значения отметок при установившейся ветровой денивеляции, вызванной ветром заданной силы и направления.
б. Для крупных водохранилищ, где изменения уровня при денивеляции не приводят к существенным относительным изменениям гидравлических элементов расчетных участков, значения падений

следует вычислять непосредственно по
формуле (8.1) или
(8.2) при неизменных для каждого участка значениях функций
F1,
F2 и
F3, не прибегая к методу подбора. В этом случае окончательное положение кривой свободной поверхности при денивеляции получают после проверки по
условию (8.15) путем вертикального смещения условной кривой, построенной на основании такого расчета, на величину

, вычисленную по
формуле (8.17).
Упрощенные способы расчета
8.2.10. Упрощенный способ расчета рекомендуется для расчета сгонно-нагонных денивеляций непроточных (или слабопроточных) водохранилищ правильной формы. Применение способа предусматривает постоянство уровня на узловом поперечнике - линии, делящей площадь водохранилища на две равные части и расположенной перпендикулярно к направлению действующего ветра. Падения

на расчетных участках вычисляются по
формуле (8.1) или
(8.2) при постоянных значениях функций
F1,
F2 и
F3, отвечающих заданному уровню на узловом поперечнике при отсутствии ветра. Расчет ведется вверх и вниз по течению от узлового поперечника. При движении от узловой линии к плотине значения падений

вычитаются, а при движении от узловой линии вверх по течению - прибавляются (с учетом алгебраического знака

). Получаемая при этом кривая свободной поверхности является окончательной, так как уравнивания объемов не требуется.
8.2.11. Для приближенного определения разности уровней на концах малопроточного водоема длиной l рекомендуется формула

(8.19)
Здесь

- абсолютная разность уровней в двух точках;
l - расстояние между этими точками,

- средняя глубина водоема между этими точками,
hв - высота ветровой волны (все линейные величины выражены в метрах),
uфл - скорость ветра на береговой станции на высоте флюгера, м/с;

- угол между направлением ветра и осью
l.
8.3. Расчет элементов ветровых волн
8.3.1. Элементы ветровых волн определяются в зависимости от скорости ветра, размеров, конфигурации и глубины проектируемого водохранилища над расчетным уровнем воды, устанавливаемым заданием на проектирование с учетом высоты ветрового нагона [
55,
58].
Рис. 8.2. Зависимость средних безразмерных высоты
и периода волн от безразмерного разгона при фиксированной
безразмерной глубине для водохранилищ озерного типа
8.3.2. Расчет средней высоты волны

производится по графикам зависимости безразмерной высоты волны

(
u - расчетная скорость ветра на высоте 10 м над расчетным уровнем воды, приведенная к показаниям анемометра, м/с) от безразмерного разгона
gX/
u2 (
X - разгон волны, м) при фиксированной безразмерной глубине
gH'/
u2 (
H' - глубина водохранилища, м;
g - ускорение свободного падения, равное 9,81 м/с
2). Графики приведены на
рис. 8.2 для водохранилищ озерного типа и на
рис. 8.3 для водохранилищ речного типа.
Рис. 8.3. Зависимость средней безразмерной высоты волны (а)
и высоты волны 1%-ной обеспеченности (б) от безразмерного
разгона при фиксированной безразмерной глубине
для водохранилищ речного типа
Сплошная линия - скорость ветра u < 7 м/с,
пунктирная - скорость ветра u > 7 м/с
8.3.3. Расчетная скорость ветра
u для заданных направлений определяется по эмпирической кривой обеспеченности (см.
п. 4.5.11) максимальных ежегодных значений скорости ветра на высоте 10 м над водной поверхностью за безледоставный период без учета продолжительности его действия. В качестве исходных данных используются материалы срочных наблюдений за скоростью ветра на высоте флюгера по ближайшей к району расположения проектируемого водохранилища метеостанции. Обеспеченность расчетной скорости ветра принимается равной 2% - для сооружений I и II классов и 4% - для сооружений III и IV классов. Переход от скорости ветра, измеренной на метеостанции на высоте флюгера, к скорости ветра на высоте 10 м над водной поверхностью осуществляется в несколько приемов:
- скорость ветра, измеренная на высоте флюгера, приводится к скорости ветра на высоте 2 м над поверхностью суши по
зависимости (5.13), приведенной в
п. 5.4.3;
- полученное значение скорости ветра на высоте 2 м над поверхностью суши приводится к скорости ветра над водной поверхностью согласно указаниям, изложенным в
п. 5.4.3;
- определение скорости ветра на высоте 10 м над водной поверхностью производится путем умножения скорости ветра, приведенной к скорости ветра на высоте 2 м над водой, на поправочный коэффициент
K, который при сильно неустойчивой стратификации (разность значений температуры поверхностного слоя воды и воздуха
t0 -
t более 5 °C) принимается равным 1,15, при неустойчивой стратификации (1 <
t0 -
t < 5 °C)
K = 1,18, при нейтральной стратификации
K = 1,20, при инверсии
K = 1,28.
Для приближенных расчетов коэффициент K может быть принят равным для весеннего периода 1,15, для летнего периода 1,20, для осеннего периода 1,28.
Приведение полученного значения скорости ветра на высоте 10 м над водной поверхностью к показаниям анемометра производится путем умножения на коэффициент
Kф, принимаемый по
табл. 8.2.
Таблица 8.2

, м/с .............. 10 15 - 25 25

................... 1 0,9 0,8
8.3.4. Разгон волн X определяется в случае сложной конфигурации береговой линии следующим образом. Из точки, в которой рассчитываются ветровые волны, проводится в направлении, противоположном наиболее волноопасному, главный луч длиной X0, два боковых луча длиной X+1 и X-1 через 22,5° в обе стороны от главного луча и два боковых луча длиной X+2 и X-2 через 45° в обе стороны до пересечения их с линией берега (острова, мыса). Измеряются длины главного и боковых лучей. Расчетный разгон X определяется по формуле
X = 0,27[X0 + 0,85(X+1 + X-1) + 0,5(X+2 + X-2)]. (8.20)
В случае простой конфигурации береговой линии, когда отношение Xмакс/Xмин < 2, где Xмакс и Xмин - соответственно наибольший и наименьший лучи, разгон волн X принимается равным X0.
8.3.5. Высота волны расчетной обеспеченности для водохранилищ озерного типа определяется путем умножения средней высоты волны (см.
п. 8.3.2) на коэффициент
Ki, который снимается с графиков на
рис. 8.4.
Рис. 8.4. График значений коэффициента
K1, %,
для водохранилищ озерного типа
Рис. 8.5. График значений коэффициента
Kу
8.3.6. Средний период волн

для озерных и речных водохранилищ определяется по графику на
рис. 8.2 в зависимости от средней безразмерной высоты волн

.
8.3.7. Средняя длина волны определяется по формуле

(8.21)
8.3.8. В случае когда водохранилище проектируется в узкости, удовлетворяющей условию b/X < 0,25 (b - ширина узкости по нормали к ее оси), расчетная высота волн определяется по формуле
где
hв,у - высота волны в узкости, м;
Kу - коэффициент, определяемый по графику на
рис. 8.5 в зависимости от безразмерного разгона
gX/
u2 и безразмерной ширины
gb/
u2;
hв - высота исходной волны, определенная в соответствии с указаниями, изложенными в
пп. 8.3.2 -
8.3.5. Средний период

и средняя длина волны

в узкости определяется в соответствии с требованиями, изложенными в
пп. 8.3.6 и
8.3.7. Примеры расчетов элементов волн даны в
прил. 11.
9. РЕКОМЕНДАЦИИ ПО ОРГАНИЗАЦИИ ГИДРОМЕТЕОРОЛОГИЧЕСКОЙ
СЕТИ В РАЙОНЕ СОЗДАВАЕМОГО ВОДОХРАНИЛИЩА
9.1. Постоянная гидрометеорологическая сеть (сверх устройств, обеспечивающих учет стока на гидротехнических сооружениях) организуется в целях обеспечения гидрометеорологическими данными службы эксплуатации водохранилищ, а также удовлетворения запросов различных народнохозяйственных организаций текущими и перспективными данными о гидрометеорологическом режиме вновь создаваемого водного объекта.
Гидрометеорологическое обеспечение проектирования и строительства водохранилища основывается на данных существующей гидрометеорологической сети и временных пунктов наблюдений, организуемых специально на этот период.
9.2. Постоянная гидрометеорологическая сеть организуется на водохранилищах в соответствии с проектом состава и размещения гидрометеорологической сети, составляемым генеральным проектировщиком на стадии ТЭО и уточняемым на стадии технического проекта. Как первый, так и уточненный вариант проекта гидрометеорологической сети согласовывается с территориальным Управлением по гидрометеорологии и контролю природной сети (УГКС), а в случае разногласий с последним представляется головному проектному институту данной отрасли для согласования с Государственным комитетом СССР по гидрометеорологии и контролю природной среды (Госкомгидрометом).
9.3. Основой для составления проекта гидрометеорологической сети является техническое задание на проектирование, разрабатываемое территориальным УГКС и представляемое генеральному проектировщику.
Техническое задание составляется в соответствии с требованиями Наставления
[39] и
Инструкции по разработке проектов и смет для промышленного строительства
[19]. В нем рассматриваются основные задачи проектируемой гидрометеорологической сети и ее состав, характер взаимодействия органов Госкомгидромета с заинтересованными в соответствующей информации народнохозяйственными организациями, штаты работников сети, объемы капитального строительства и капиталовложения, схема размещения пунктов гидрометеорологических наблюдений на водохранилище и др. (макет технического задания приведен в
прил. 10).
При определении состава гидрометеорологической сети, ее оснащения, содержания и объемов работ в условиях изолированной работы водохранилища следует исходить из интенсивности намеченного хозяйственного использования водохранилища, его размеров и характера котловины. На самых малых водохранилищах, с площадью водной поверхности до 10 км2, организация гидрометеорологической сети, как правило, не предусматривается, так как изучение их режима осуществляется в основном экспедиционным путем. На малых водохранилищах, с площадью водной поверхности 10 - 50 км2, организуется, как правило, не более одного поста, предназначенного для проведения ограниченного круга наблюдений на водохранилище. Для среднего по площади водохранилища (50 - 250 км2) должна быть предусмотрена организация не менее одного поста (возможно два или три), который должен быть оснащен плавсредствами и оборудованием для выполнения работ на акватории. В отдельных случаях, при планируемом интенсивном использовании водохранилища, возникает необходимость организации специализированной станции.
На больших по площади водохранилищах (250 - 1000 км2) организуется озерная станция и несколько постов. В случаях когда водохранилище имеет особенно большое хозяйственное значение, включая специализированное гидрометеорологическое обеспечение народнохозяйственных организаций, на нем может быть создана гидрометеорологическая обсерватория, ведущая полный комплекс гидрометеорологических наблюдений.
На крупнейших водохранилищах (площадью более 1000 км2), особенно при их интенсивном использовании, создаются специализированные гидрометеорологические обсерватории, имеющие сеть постов и при необходимости станции.
Детально состав, назначение, порядок размещения и программа наблюдений гидрометеорологической сети на изолированных водохранилищах изложены в пособии
[39]. При проектировании водохранилищ в каскаде состав постоянной гидрометеорологической сети на каждом отдельном водохранилище должен быть увязан со схемой размещения сети на всех водохранилищах каскада.
Численность штата гидрометеорологической сети определяется в зависимости от объема и состава наблюдений на водохранилище. Объем капитального строительства и размеры капитальных вложений рассчитываются в соответствии с действующими СНиПами.
При составлении территориальным УГКС технического задания на проектирование постоянной гидрометеорологической сети генеральный проектировщик представляет необходимые сведения об основных параметрах проектируемого водохранилища. К техническому заданию прилагается ведомость гидрометеорологической изученности в районе проектируемого водохранилища и нижнего бьефа.
9.4. В составе проекта постоянной гидрометеорологической сети, разрабатываемого генеральным проектировщиком на основании технического задания, как правило, предусматривается:
- пояснительная записка к проекту;
- состав проектируемой постоянной гидрометеорологической сети (по форме
табл. 9.1);
- ведомость объемов работ по организации постоянной гидрометеорологической сети (по форме
табл. 9.2);
- схема размещения постоянной гидрометеорологической сети;
- смета расходов на строительство и оборудование сети.
Состав постоянной гидрометеорологической сети
на ......... водохранилище
Строительные объекты, количество -------------------- общая площадь | Гидрометрические сооружения | Приборы и оборудование, марка, количество штук | Транспорт, марка, количество единиц |
Здания | Вспомогательные | Помещение для дизельной | Баня и т.д. | Гидроствор | Установка самописца уровня | Тросовая переправа | Испарительная площадка | Дождемерный пункт и т.д. | Самописец уровня | Дистанционная установка ГР-70 | Анеморумбограф | Плювиограф | Испаромер ГГИ-3000 и т.д. | Катер | Лодка металлическая | Лодка деревянная | Автомобиль |
служебные | жилые |
1 | 2 | 3 | 4 | 5 | 6 | 7 | 8 | 9 | 10 | 11 | 12 | 13 | 14 | 15 | 16 | 17 | 18 | 19 |
| | | | | | | | | | | | | | | | | | |
Ведомость объемов работ по организации постоянной
гидрометеорологической сети на ....... водохранилище
N п/п | Наименование и характеристика работ | Измеритель | Количество | Сметная стоимость | Примечание |
1 | 2 | 3 | 4 | 5 | 6 |
| | | | | |
На схеме размещения постоянной гидрометеорологической сети указываются границы бассейна реки и создаваемого водохранилища, действующие пункты гидрометеорологических наблюдений, в том числе и попадающие в зону затопления, а также пункты вновь организуемой гидрометеорологической сети на проектируемом водохранилище.
1. Боголюбова И.В. и др. Гидрологические расчеты при проектировании водохранилищ СССР. - В кн.: Материалы международного симпозиума по специфическим аспектам гидрологических расчетов для водохозяйственного проектирования. Л., 1979, с. 141 - 149.
2. Браславский А.П., Викулина З.А. Нормы испарения с поверхности водохранилищ. - Л.: Гидрометеоиздат, 1954. - 212 с.
3. Булатов С.Н. Расчеты прочности тающего ледяного покрова и начала ветрового дрейфа льда. - Труды Гидрометцентра СССР, 1970, вып. 74, с. 3 - 116.
4. Булатов С.Н. Методика расчета толщины и прочности тающего ледяного покрова для целей расчета и прогноза сроков вскрытия рек и водохранилищ. Методические указания. - М.: Изд. Гидрометцентра СССР, 1974, с. 3 - 53.
5. Быков В.Д., Васильев А.В. Гидрометрия. - Л.: Гидрометеоиздат, 1977. - 448 с.
6. Вадковская М.П. Температурный режим глубоких водоемов в период весенне-летнего нагрева. - Водные ресурсы, 1974, N 2, с. 88 - 96.
7. Васильев А.В., Шмидт С.В. Водно-технические изыскания. - Л.: Гидрометеоиздат, 1978. - 368 с.
8. Винников С.Д. Гидравлический метод оценки заторных масс льда в речных потоках. - Метеорология и гидрология, 1978, вып. 6, с. 62 - 70.
9. Водноэнергетические расчеты методом Монте-Карло. - М.: Энергия, 1969. - 303 с.
10. Вуглинский В.С. К вопросу о методике учета влияния водохранилищ на речной сток. - Труды ГГИ, 1981, вып. 274, с. 73 - 85.
11. Вуглинский В.С., Старовойтова В.К., Черская Е.Н. О методике оценки испарения с поверхности водоема по данным континентального испарителя ГГИ-3000. - Труды ГГИ, 1981, вып. 274, с. 53 - 72.
12. Голубев В.С., Вуглинский В.С., Кокорева К.М. Методика расчета средней многолетней температуры поверхности воды водоемов по данным наблюдений водноиспарительной сети. - Труды ГГИ, 1981, вып. 279, с. 75 - 93.
13. Готлиб Я.Л. и др. Натурные гидрологические исследования при проектировании ГЭС. - Л.: Гидрометеоиздат, 1971, с. 230 - 260.
14. Готлиб Я.Л., Жидких В.М., Сокольников Н.М. Тепловой режим водохранилищ гидроэлектростанций. Л.: Гидрометеоиздат, 1976. - 203 с.
15. Донченко Р.В. Особенности шугообразования на зарегулированных участках реки. - Труды координационных совещаний по гидротехнике, 1976, вып. 111, с. 66 - 68.
16. Донченко Р.В., Чачина Н.С. Оценка зажорных скоплений в нижних бьефах ГЭС гидравлическим методом. - Труды ГГИ, 1972, вып. 192, с. 53 - 66.
17. Инструкция по составу и объему изысканий для гидростроительства. И-34-61, ч. 1 - 3. - М.; Л.: Госэнергоиздат, 1962.
18. Инструкция по определению расчетных характеристик дождевых селей ВСН 03-76. - Л.: Гидрометеоиздат, 1976. - 28 с.
19. Инструкция по разработке проектов и смет промышленного строительства
СН 202-76. - М.: Стройиздат, 1976.
20.
СНиП 2.01.14-83. Определение расчетных гидрологических характеристик. М.: Госстрой СССР, 1983.
21. Калганова М.В. Расчеты заиления водохранилищ. - Труды Гидропроекта, 1973, вып. 30, с. 106 - 117.
22. Калганова М.В., Тетерина Т.И. Расчеты твердого стока. - Труды Гидропроекта, 1973, вып. 30, с. 95 - 106.
23. Калинин Г.П. Основы методики краткосрочных прогнозов водного режима. - Л.: Гидрометеоиздат, 1952. - 166 с. (Труды ЦИП. Вып. 28 (55)).
24. Караушев А.В. Теория и методы расчета речных наносов. - Л.: Гидрометеоиздат, 1977. - 271 с.
25. Караушев А.В. Сгонно-нагонные явления на водохранилищах и озерах. - Л.: Гидрометеоиздат, 1960. - 216 с.
26. Кириллова Т.В. Радиационный баланс озер и водохранилищ. - Л.: Гидрометеоиздат, 1970. - 253 с.
27. Константинов А.Р. Испарение в природе. - Л.: Гидрометеоиздат, 1968. - 588 с.
28. Кривошей М.И., Федулова Е.М. Ветровые волнения в узкостях водохранилищ. - Труды ГГИ, 1977, вып. 246, с. 122 - 129.
29. Кривошей М.И., Рождественская В.Г., Тарасова Р.Б. Расчет ветровых волн на водохранилищах. - Труды ГГИ, 1977, вып. 246, с. 113 - 122.
30. Кузьмин П.П. Процесс таяния снежного покрова. - Л.: Гидрометеоиздат, 1961. - 345 с.
31. Лапшенков В.С. Прогнозирование русловых деформаций в бьефах речных гидроузлов. - Л.: Гидрометеоиздат, 1979. - 238 с.
32. Методические рекомендации по прогнозу переформирования берегов водохранилищ. П 30-75. - Л.: Изд. ВНИИГ, 1975. - 64 с.
33. Методические рекомендации по расчету зажорных явлений в нижних бьефах ГЭС. - Л.: Гидрометеоиздат, 1977. - 30 с.
34. Методические рекомендации по оценке точности и гидрологическому контролю данных государственного учета вод и их использованию. - Л.: Гидрометеоиздат, 1977. - 118 с.
35. Методические указания по установлению параметров притока к верхнему гидроузлу и боковой приточности между гидроузлами, максимальных расходов и объемов половодий и паводков, расчетных гидрографов и возможных их сочетаний: Научно-технический отчет/Гидропроект. - N ГР 70051776. - Л., 1970. - 193 с.
36. Методические указания управлениям гидрометслужбы N 89. - Л.: Гидрометеоиздат, 1974. - 96 с.
37. Наставление гидрометеорологическим станциям и постам. Вып. 6, ч. 3. - Л.: Гидрометеоиздат, 1957. - 399 с.
38. Наставление гидрометеорологическим станциям и постам. Вып. 6, ч. 3. - Л.: Гидрометеоиздат, 1958. - 289 с.
39. Наставление гидрометеорологическим станциям и постам. Вып. 7, ч. 1. - Л.: Гидрометеоиздат, 1973. - 476 с.
40. Наставление гидрометеорологическим станциям и постам. Вып. 6, ч. 1. - Л.: Гидрометеоиздат, 1973. - 283 с.
41. Нежиховский Р.А. Русловая сеть бассейна и процесс формирования стока воды. - Л.: Гидрометеоиздат, 1971. - 476 с.
42. Нежиховский Р.А. Гидрологические расчеты и прогнозы при эксплуатации водохранилищ. - Л.: Гидрометеоиздат, 1976. - 192 с.
43. Охрана природы. Гидросфера. Классификация водных объектов.
ГОСТ 17.1.1.02-77. - М.: Госстандарт, 1977. - 38 с.
44. Оценка изменений гидрогеологических условий под влиянием производственной деятельности. - М.: Недра, 1978. - 264 с.
45. Пиотрович В.В. Расчеты толщины ледяного покрова на водохранилищах по метеорологическим элементам. - Л.: Гидрометеоиздат, 1968. - 135 с. (Труды Гидрометцентра СССР. Вып. 18).
46. Пособие по экстраполяции кривых расходов воды до наивысших уровней. - Л.: Гидрометеоиздат, 1966. - 114 с.
47. Проскуряков Б.В., Берденников В.П. Метод оценки мощности заторов льда на реках при использовании опорных кривых. - Труды ГГИ, 1973, вып. 201, с. 38 - 64.
48. Рекомендации по расчету испарения с поверхности суши. - Л.: Гидрометеоиздат, 1976. - 95 с.
49. Ресурсы поверхностных вод СССР. Т. 1 - 20. - Л.: Гидрометеоиздат, 1963 - 1974.
50. Ресурсы поверхностных вод СССР. Основные гидрологические характеристики. Т. 1 - 20. - Л.: Гидрометеоиздат, 1963 - 1980.
51. Россинский К.И., Кузьмин И.А. Балансовый метод расчета деформаций дна потока. - Труды Гидропроекта, 1964, вып. 12, с. 265 - 271.
52. Россинский К.И. Движение донных наносов. - Труды ГГИ, 1968, вып. 160, с. 102 - 139.
53. Россинский К.И. Термический режим водохранилищ. - М.: Наука, 1975. - 167 с.
54. Руководство по определению расчетных гидрологических характеристик. - Л.: Гидрометеоиздат, 1983.
55. Руководство по определению нагрузок и воздействий на гидротехнические сооружения (волновых, ледовых и др. судов) - Л.: Изд. ВНИИГ, с. 308 - 310.
56. Рымша В.А., Донченко Р.В. Исследование теплопотерь с открытой водной поверхности в зимнее время. - Труды ГГИ, 1958, вып. 65, с. 53 - 84.
57. Сток наносов, его изучение и географическое распределение. Под ред. А.В. Караушева. - Л.: Гидрометеоиздат, 1977. - 240 с.
| | ИС МЕГАНОРМ: примечание. Взамен СНиП II-57-75 Постановлением Госстроя СССР от 15.06.1982 N 161 с 1 января 1984 года введены в действие СНиП 2.06.04-82. | |
58. Строительные нормы и правила (СНиП II-57-75). Ч. 2, гл. 57. М.: Стройиздат, 1976. - 41 с.
59. Указания по расчету испарения с поверхности водоемов. - Л.: Гидрометеоиздат, 1969. - 84 с.
60. Указания по термическому расчету водохранилищ. - Л.: Энергия, 1969. - 70 с.
61. Чеботарев А.И., Рождественский А.В. Статистические методы в гидрологии. - Л.: Гидрометеоиздат, 1974. - 424 с.
62. Чижов А.Н. Образование внутриводного льда и формирование шугохода на горных реках. - Труды ГГИ, 1962, вып. 93, с. 3 - 23.
63. Шамов Г.И. Речные наносы. - Л.: Гидрометеоиздат, 1969. - 378 с.
64. Шикломанов И.А. Антропогенные изменения водности рек. - Л.: Гидрометеоиздат, 1979. - 304 с.
65. Шикломанов И.А., Веретенникова Г.М. Безвозвратные потери стока р. Волги за счет испарения с водохранилищ Волжско-Камского каскада. - Труды ГГИ, 1973, вып. 206, с. 22 - 52.
66. Эдельштейн К.К. Геометрическая модель долинного водохранилища. - В кн.: Комплексные исследования водохранилищ. М., 1980, с. 11 - 31.
ПРИМЕРНЫЙ СОСТАВ ГИДРОЛОГИЧЕСКОГО РАЗДЕЛА
ПРОЕКТА КРУПНОГО ВОДОХРАНИЛИЩА
Глава 1. Краткая характеристика физико-географических
условий в районе проектируемого водохранилища
1.1. Орогидрография
1.2. Климат
1.3. Водный режим
Глава 2. Гидрологическая характеристика
района проектирования
2.1. Гидрологическая изученность
2.2. Кривые расходов и подсчеты стока (притока) в опорных створах
2.3. Кривые расходов в проектных и расчетных створах
2.4. Годовой сток, его колебания и внутригодовое распределение
2.5. Максимальный сток
2.5.1. Максимальные расходы весеннего половодья
2.5.2. Максимальные расходы дождевых паводков
2.5.3. Расчетные гидрографы
2.6. Минимальный сток
2.7. Твердый сток
2.8. Гидрохимическая характеристика воды
2.9. Зимний режим
Глава 3. Гидрометеорологическое обслуживание в период
эксплуатации водохранилища
Примерный перечень графических и табличных приложений
к гидрологическому разделу проекта крупного водохранилища
I. Графические приложения
1. Схематическая карта бассейна реки с нанесением гидрографической сети, крупных населенных пунктов, сети гидрологических и метеорологических станций, существующих и проектируемых гидроузлов, трасс переброски стока и др.
2. График нарастания площади водосбора
3. Продольный профиль реки
4. Средние месячные и экстремальные значения основных метеорологических элементов
5. Розы ветров
6. Таблица гидрометеорологической изученности бассейна
7. Совмещенные графики колебания уровней за характерные по водности годы по длине реки
8. Графики связи соответственных уровней между уровенными постами
9. Кривые
Q =
f(
H),

,
vср =
f(
H) с нанесением точек измеренных расходов по годам и указанием зон экстраполяции
10. График изменения коэффициента шероховатости с высотой уровня
11. График изменения Kзим
12. Совмещенные гидрографы за характерные годы по длине реки
13. Графики коррелятивных связей средних годовых и максимальных расходов воды в данном пункте и пункте-аналоге
14. Хронологические графики хода средних годовых расходов воды
15. Кривые обеспеченности средних годовых, максимальных и минимальных расходов воды
16. Гидрографы половодий и паводков притока к верхнему гидроузлу и боковой приточности между гидроузлами различной вероятности превышения. Принятые модели гидрографов
17. Кривые расходов воды в створах сооружений и нижнем бьефе гидроузла
18. "Елочка" кривых расходов воды по водохранилищу и в нижнем бьефе
19. Схема размещения гидрометеорологической сети на водохранилище
II. Табличные приложения
1. Таблица гидрометеорологической изученности
2. Таблица метеоэлементов
3. Таблица средних месячных (декадных за половодье) и средних годовых расходов воды по расчетным створам за весь период наблюдений, включая и восстановленные годы
4. То же, по естественному (ретрансформированному) стоку
5. Таблица максимальных расходов воды по гидрометрическим створам за все годы наблюдений, включая и восстановленные значения
6. Таблицы ординат гидрографов половодий и паводков притока к створу верхнего гидроузла и боковой приточности между гидроузлами различной вероятности превышения
7. Таблица минимальных срочных и средних месячных расходов воды за все годы наблюдений
8. Таблица с датами вскрытия, замерзания и продолжительности ледоходов за все годы наблюдений
9. Таблица средних месячных и средних годовых значений твердого стока за годы наблюдений
10. Таблица с указанием размещения гидрометеорологической сети на водохранилище
ОБЕСПЕЧЕННОСТИ ЭМПИРИЧЕСКИХ ТОЧЕК, РАССЧИТАННЫЕ
ПО ФОРМУЛЕ

m | n | m |
10 | 11 | 12 | 13 | 14 | 15 | 16 | 17 | 18 | 19 | 20 | 21 | 22 | 23 | 24 | 25 | 26 |
1 | 9,1 | 8,3 | 7,7 | 7,1 | 6,7 | 6,3 | 5,9 | 5,6 | 5,3 | 5,0 | 4,8 | 4,5 | 4,3 | 4,2 | 4,0 | 3,8 | 3,7 | 1 |
2 | 18,2 | 16,7 | 15,4 | 14,3 | 13,3 | 12,5 | 11,8 | 11,1 | 10,5 | 10,0 | 9,5 | 9,1 | 8,7 | 8,3 | 8,0 | 7,7 | 7,4 | 2 |
3 | 27,3 | 25,0 | 23,1 | 21,4 | 20,0 | 18,8 | 17,6 | 16,7 | 15,8 | 15,0 | 14,3 | 13,6 | 13 | 12,5 | 12,0 | 11,5 | 11,1 | 3 |
4 | 36,4 | 33,3 | 30,8 | 28,6 | 26,7 | 25,0 | 23,5 | 22,2 | 21,1 | 20,0 | 19,0 | 18,2 | 17,4 | 16,7 | 16,0 | 15,4 | 14,8 | 4 |
5 | 45,5 | 41,7 | 38,5 | 35,7 | 33,3 | 31,3 | 29,4 | 27,8 | 26,3 | 25,0 | 23,8 | 22,7 | 21,7 | 20,8 | 20,0 | 19,2 | 18,5 | 5 |
6 | 54,5 | 50,0 | 46,2 | 42,9 | 40,0 | 37,5 | 35,3 | 33,3 | 31,6 | 30,0 | 28,6 | 27,3 | 26,1 | 25,0 | 24,0 | 23,1 | 22,2 | 6 |
7 | 63,6 | 58,3 | 53,8 | 50,0 | 46,7 | 43,8 | 41,2 | 38,9 | 36,8 | 35,0 | 33,3 | 31,8 | 30,4 | 29,2 | 28,0 | 26,9 | 25,9 | 7 |
8 | 72,7 | 66,7 | 61,5 | 57,1 | 53,3 | 50,0 | 47,1 | 44,4 | 42,1 | 40,0 | 38,1 | 36,4 | 34,8 | 33,3 | 32,0 | 30,8 | 29,6 | 8 |
9 | 81,8 | 75,0 | 69,2 | 64,3 | 60,0 | 56,3 | 52,9 | 50,0 | 47,4 | 45,0 | 42,9 | 40,9 | 39,1 | 37,5 | 36,0 | 34,6 | 33,3 | 9 |
10 | 90,0 | 83,3 | 76,9 | 71,4 | 66,7 | 62,5 | 58,8 | 55,6 | 52,6 | 50,0 | 47,6 | 45,5 | 43,5 | 41,7 | 40,0 | 38,5 | 37,0 | 10 |
11 | | 91,7 | 84,6 | 78,6 | 73,3 | 68,8 | 64,7 | 61,1 | 57,9 | 55,0 | 52,4 | 50,0 | 47,8 | 45,8 | 44,0 | 42,5 | 40,7 | 11 |
12 | | | 92,3 | 85,7 | 80,0 | 75,0 | 70,6 | 66,7 | 63,2 | 60,0 | 57,1 | 54,5 | 52,2 | 50,0 | 48,0 | 46,2 | 44,4 | 12 |
13 | | | | 92,9 | 86,7 | 81,3 | 76,5 | 72,2 | 68,4 | 65,0 | 61,9 | 59,1 | 56,5 | 54,2 | 52,0 | 50,0 | 48,1 | 13 |
14 | | | | | 93,3 | 87,5 | 82,4 | 77,8 | 73,7 | 70,0 | 66,7 | 63,6 | 60,9 | 58,3 | 56,0 | 53,8 | 51,9 | 14 |
15 | | | | | | 93,8 | 88,2 | 83,3 | 78,9 | 75,0 | 71,4 | 68,2 | 65,2 | 62,5 | 60,0 | 57,7 | 55,6 | 15 |
16 | | | | | | | 94,1 | 88,9 | 84,2 | 80,0 | 76,2 | 72,7 | 69,6 | 66,7 | 64,0 | 61,5 | 59,3 | 16 |
17 | | | | | | | | 94,4 | 89,5 | 85,0 | 81,0 | 77,3 | 73,9 | 70,8 | 68,0 | 65,4 | 63,0 | 17 |
18 | | | | | | | | | 94,7 | 90,0 | 85,7 | 81,8 | 78,3 | 75,0 | 72,0 | 69,2 | 66,7 | 18 |
19 | | | | | | | | | | 95,0 | 90,5 | 86,4 | 82,6 | 79,2 | 76,0 | 73,1 | 70,4 | 19 |
20 | | | | | | | | | | | 95,2 | 90,9 | 87,0 | 83,3 | 80,0 | 76,9 | 74,1 | 20 |
21 | | | | | | | | | | | | 95,5 | 91,3 | 87,5 | 84,0 | 80,8 | 77,8 | 21 |
22 | | | | | | | | | | | | | 95,7 | 91,7 | 88,0 | 84,6 | 81,5 | 22 |
23 | | | | | | | | | | | | | | 95,8 | 92,0 | 88,5 | 85,2 | 23 |
24 | | | | | | | | | | | | | | | 96,0 | 92,3 | 88,9 | 24 |
25 | | | | | | | | | | | | | | | | 96,2 | 92,6 | 25 |
26 | | | | | | | | | | | | | | | | | 96,3 | 26 |
27 | | | | | | | | | | | | | | | | | | 27 |
28 | | | | | | | | | | | | | | | | | | 28 |
m | n | m |
27 | 28 | 29 | 30 | 31 | 32 | 33 | 34 | 35 | 36 | 37 | 38 | 39 | 40 | 41 | 42 | 43 |
1 | 3,6 | 3,4 | 3,3 | 3,2 | 3,1 | 3,0 | 2,9 | 2,9 | 2,8 | 2,7 | 2,63 | 2,56 | 2,5 | 2,44 | 2,38 | 2,33 | 2,27 | 1 |
2 | 7,1 | 6,9 | 6,7 | 6,5 | 6,3 | 6,1 | 5,9 | 5,7 | 5,6 | 5,40 | 5,26 | 5,13 | 5,00 | 4,88 | 4,76 | 4,65 | 4,55 | 2 |
3 | 10,7 | 10,3 | 10,0 | 9,7 | 9,4 | 9,1 | 8,8 | 8,6 | 8,3 | 8,11 | 7,89 | 7,69 | 7,50 | 7,32 | 7,14 | 6,98 | 6,82 | 3 |
4 | 14,3 | 13,8 | 13,3 | 12,9 | 12,5 | 12,1 | 11,8 | 11,4 | 11,1 | 10,8 | 10,5 | 10,3 | 10,0 | 9,76 | 9,52 | 9,30 | 9,09 | 4 |
5 | 17,9 | 17,2 | 16,7 | 16,1 | 15,6 | 15,2 | 14,7 | 14,3 | 13,9 | 13,5 | 13,2 | 12,8 | 12,5 | 12,2 | 11,9 | 11,6 | 11,4 | 5 |
6 | 21,4 | 20,7 | 20,0 | 19,4 | 18,8 | 18,2 | 17,6 | 17,1 | 16,7 | 16,2 | 15,8 | 15,4 | 15,0 | 14,6 | 14,3 | 13,95 | 13,6 | 6 |
7 | 25,0 | 24,1 | 23,3 | 22,6 | 21,9 | 21,2 | 20,6 | 20,0 | 19,4 | 18,9 | 18,4 | 17,9 | 17,5 | 17,1 | 16,7 | 16,3 | 15,9 | 7 |
8 | 28,6 | 27,6 | 26,7 | 25,8 | 25,0 | 24,2 | 23,5 | 22,9 | 22,2 | 21,6 | 21,0 | 20,5 | 20,0 | 19,5 | 19,0 | 18,6 | 18,2 | 8 |
9 | 32,1 | 31,0 | 30,0 | 29,0 | 28,1 | 27,3 | 26,5 | 25,7 | 25,0 | 24,3 | 23,7 | 23,1 | 22,5 | 22,0 | 21,4 | 20,9 | 20,4 | 9 |
10 | 35,7 | 34,5 | 33,3 | 32,3 | 31,3 | 30,3 | 29,4 | 28,6 | 27,8 | 27,0 | 26,3 | 25,6 | 25,0 | 24,4 | 23,8 | 23,2 | 22,7 | 10 |
11 | 39,3 | 37,9 | 36,7 | 35,5 | 34,4 | 33,3 | 32,4 | 31,4 | 30,6 | 29,7 | 28,9 | 28,2 | 27,5 | 26,8 | 26,2 | 25,6 | 25,0 | 11 |
12 | 42,9 | 41,4 | 40,0 | 38,7 | 37,5 | 36,4 | 35,3 | 34,3 | 33,3 | 32,4 | 31,6 | 30,8 | 30,0 | 29,3 | 28,6 | 27,9 | 27,3 | 12 |
13 | 46,4 | 44,8 | 43,3 | 41,9 | 40,6 | 39,4 | 38,2 | 37,1 | 36,1 | 35,1 | 34,2 | 33,3 | 32,5 | 31,7 | 31,0 | 30,2 | 29,5 | 13 |
14 | 50,0 | 48,3 | 46,7 | 45,2 | 43,8 | 42,4 | 41,2 | 40,0 | 38,9 | 37,8 | 36,8 | 35,9 | 35,0 | 34,1 | 33,3 | 32,6 | 31,8 | 14 |
15 | 53,6 | 51,7 | 50,0 | 48,4 | 46,9 | 45,5 | 44,1 | 42,9 | 41,7 | 40,5 | 39,5 | 38,5 | 37,5 | 36,6 | 35,7 | 34,9 | 34,1 | 15 |
16 | 57,1 | 55,2 | 53,3 | 51,6 | 50,0 | 48,5 | 47,1 | 45,7 | 44,4 | 43,2 | 42,1 | 41,0 | 40,0 | 39,0 | 38,1 | 37,2 | 36,4 | 16 |
17 | 60,7 | 58,6 | 56,7 | 54,8 | 53,1 | 51,5 | 50,0 | 48,6 | 47,2 | 45,9 | 44,7 | 43,6 | 42,5 | 41,5 | 40,5 | 39,5 | 38,6 | 17 |
18 | 64,3 | 62,1 | 60,0 | 58,1 | 56,3 | 54,5 | 52,9 | 51,4 | 50,0 | 48,6 | 47,4 | 46,2 | 45,0 | 43,9 | 42,9 | 41,9 | 40,9 | 18 |
19 | 67,9 | 65,5 | 63,3 | 61,3 | 59,4 | 57,6 | 55,9 | 54,3 | 52,8 | 51,4 | 50,0 | 48,7 | 47,5 | 46,3 | 45,2 | 44,2 | 43,2 | 19 |
20 | 71,4 | 69,0 | 66,7 | 64,5 | 62,5 | 60,6 | 58,8 | 57,1 | 55,6 | 54,1 | 52,6 | 51,3 | 50,0 | 48,8 | 47,6 | 46,5 | 45,5 | 20 |
21 | 75,0 | 72,4 | 70,0 | 67,7 | 65,6 | 63,6 | 61,8 | 60,0 | 58,3 | 56,8 | 55,3 | 53,8 | 52,5 | 51,2 | 50,0 | 48,8 | 47,7 | 21 |
22 | 78,6 | 75,9 | 73,3 | 71,0 | 68,8 | 66,7 | 64,7 | 62,9 | 61,1 | 59,5 | 57,9 | 56,4 | 55,0 | 53,7 | 52,4 | 51,2 | 50,0 | 22 |
23 | 82,1 | 79,3 | 76,7 | 74,2 | 71,9 | 69,7 | 67,6 | 65,7 | 63,9 | 62,2 | 60,5 | 59,0 | 57,5 | 56,1 | 54,8 | 53,5 | 52,3 | 23 |
24 | 85,7 | 82,8 | 80,0 | 77,4 | 75,0 | 72,7 | 70,6 | 68,6 | 66,7 | 64,9 | 63,2 | 61,5 | 60,0 | 58,5 | 57,1 | 55,8 | 54,5 | 24 |
25 | 89,3 | 86,2 | 83,3 | 80,6 | 78,1 | 75,8 | 73,5 | 71,4 | 69,4 | 67,6 | 65,8 | 64,1 | 62,5 | 61,0 | 59,5 | 58,1 | 56,8 | 25 |
26 | 92,6 | 89,7 | 86,7 | 83,9 | 81,3 | 78,8 | 76,5 | 74,3 | 72,2 | 70,3 | 68,4 | 66,7 | 65,0 | 63,4 | 61,9 | 60,5 | 59,1 | 26 |
27 | 96,4 | 93,1 | 90,0 | 87,1 | 84,4 | 81,8 | 79,4 | 77,1 | 75,0 | 73,0 | 71,1 | 69,2 | 67,5 | 65,9 | 64,3 | 62,8 | 61,4 | 27 |
28 | | 96,6 | 93,3 | 90,3 | 87,5 | 84,8 | 82,4 | 80,0 | 77,8 | 75,7 | 73,7 | 71,8 | 70,0 | 68,3 | 66,7 | 65,1 | 63,6 | 28 |
29 | | | 96,7 | 93,5 | 90,6 | 87,9 | 85,3 | 82,9 | 80,6 | 78,4 | 76,3 | 74,4 | 72,5 | 70,7 | 69,0 | 67,4 | 65,9 | 29 |
30 | | | | 96,8 | 93,8 | 90,9 | 88,2 | 85,7 | 83,3 | 81,1 | 78,9 | 76,9 | 75,0 | 73,2 | 71,4 | 69,8 | 68,2 | 30 |
m | n | m |
27 | 28 | 29 | 30 | 31 | 32 | 33 | 34 | 35 | 36 | 37 | 33 | 39 | 40 | 41 | 42 | 43 |
31 | | | | | 96,9 | 93,9 | 91,2 | 88,6 | 86,1 | 83,8 | 81,6 | 79,5 | 77,5 | 75,6 | 73,8 | 72,1 | 70,5 | 31 |
32 | | | | | | 97,0 | 94,1 | 91,4 | 88,9 | 86,5 | 84,2 | 82,1 | 80,0 | 78,0 | 76,2 | 74,4 | 72,7 | 32 |
33 | | | | | | | 97,1 | 94,3 | 91,7 | 89,2 | 86,8 | 84,6 | 82,5 | 80,5 | 78,6 | 76,7 | 75,0 | 33 |
34 | | | | | | | | 97,1 | 94,4 | 91,9 | 89,5 | 87,2 | 85,0 | 82,9 | 81,0 | 79,1 | 77,3 | 34 |
35 | | | | | | | | | 97,2 | 94,6 | 92,1 | 89,7 | 87,5 | 85,4 | 83,3 | 81,4 | 79,5 | 35 |
36 | | | | | | | | | | 97,3 | 94,7 | 92,3 | 90,0 | 87,8 | 85,7 | 83,7 | 81,8 | 36 |
37 | | | | | | | | | | | 97,4 | 94,9 | 92,5 | 90,2 | 88,1 | 86,0 | 84,1 | 37 |
38 | | | | | | | | | | | | 97,4 | 95,0 | 92,7 | 90,5 | 88,4 | 86,4 | 38 |
39 | | | | | | | | | | | | | 97,5 | 95,1 | 92,9 | 90,7 | 88,6 | 39 |
40 | | | | | | | | | | | | | | 97,6 | 95,2 | 93,0 | 90,9 | 40 |
41 | | | | | | | | | | | | | | | 97,6 | 95,3 | 93,2 | 41 |
42 | | | | | | | | | | | | | | | | 97,7 | 95,5 | 42 |
43 | | | | | | | | | | | | | | | | | 97,7 | 43 |
44 | | | | | | | | | | | | | | | | | | 44 |
45 | | | | | | | | | | | | | | | | | | 45 |
46 | | | | | | | | | | | | | | | | | | 46 |
47 | | | | | | | | | | | | | | | | | | 47 |
48 | | | | | | | | | | | | | | | | | | 48 |
49 | | | | | | | | | | | | | | | | | | 49 |
50 | | | | | | | | | | | | | | | | | | 50 |
51 | | | | | | | | | | | | | | | | | | 51 |
52 | | | | | | | | | | | | | | | | | | 52 |
53 | | | | | | | | | | | | | | | | | | 53 |
54 | | | | | | | | | | | | | | | | | | 54 |
55 | | | | | | | | | | | | | | | | | | 55 |
56 | | | | | | | | | | | | | | | | | | 56 |
57 | | | | | | | | | | | | | | | | | | 57 |
58 | | | | | | | | | | | | | | | | | | 58 |
59 | | | | | | | | | | | | | | | | | | 59 |
60 | | | | | | | | | | | | | | | | | | 60 |
m | m | m |
44 | 45 | 46 | 47 | 48 | 49 | 50 | 51 | 52 | 53 | 54 | 55 | 56 | 57 | 53 | 59 | 60 |
1 | 2,22 | 2,17 | 2,13 | 2,08 | 2,04 | 2,00 | 1,96 | 1,92 | 1,89 | 1,85 | 1,82 | 1,82 | 1,75 | 1,72 | 1,69 | 1,67 | 1,64 | 1 |
2 | 4,44 | 4,35 | 4,26 | 4,17 | 4,08 | 4,00 | 3,92 | 3,85 | 3,77 | 3,70 | 3,64 | 3,57 | 3,51 | 3,45 | 3,39 | 3,33 | 3,28 | 2 |
3 | 6,67 | 6,52 | 6,38 | 6,25 | 6,12 | 6,00 | 5,88 | 5,77 | 5,66 | 5,56 | 5,45 | 5,36 | 5,26 | 5,17 | 5,08 | 5,00 | 4,92 | 3 |
4 | 8,89 | 8,70 | 8,51 | 8,33 | 8,16 | 8,00 | 7,84 | 7,69 | 7,55 | 7,41 | 7,27 | 7,14 | 7,02 | 6,90 | 6,78 | 6,67 | 6,56 | 4 |
5 | 11,1 | 10,9 | 10,6 | 10,4 | 10,2 | 10,0 | 9,8 | 9,6 | 9,43 | 9,26 | 9,09 | 8,93 | 8,77 | 8,62 | 8,47 | 8,33 | 8,20 | 5 |
6 | 13,3 | 13,0 | 12,8 | 12,5 | 12,2 | 12,0 | 11,8 | 11,5 | 11,3 | 11,1 | 10,9 | 10,7 | 10,5 | 10,3 | 10,2 | 10,0 | 9,84 | 6 |
7 | 15,6 | 15,2 | 14,9 | 14,6 | 14,3 | 14,0 | 13,7 | 13,5 | 13,2 | 13,0 | 12,7 | 12,5 | 12,3 | 12,1 | 11,9 | 11,7 | 11,5 | 7 |
8 | 17,8 | 17,4 | 17,0 | 16,7 | 16,3 | 16,0 | 15,7 | 15,4 | 15,1 | 14,8 | 14,5 | 14,3 | 14,0 | 13,8 | 13,6 | 13,3 | 13,1 | 8 |
9 | 20,0 | 19,6 | 19,2 | 18,8 | 18,4 | 18,0 | 17,6 | 17,3 | 17,0 | 16,7 | 16,4 | 16,0 | 15,8 | 15,5 | 15,2 | 15,0 | 14,8 | 9 |
10 | 22,2 | 21,7 | 21,3 | 20,8 | 20,4 | 20,0 | 19,6 | 19,2 | 18,9 | 18,5 | 18,2 | 17,9 | 17,5 | 17,2 | 16,9 | 16,7 | 16,4 | 10 |
11 | 24,4 | 23,9 | 23,4 | 22,9 | 22,4 | 22,0 | 21,6 | 21,2 | 20,8 | 20,4 | 20,0 | 19,6 | 19,3 | 19,0 | 18,6 | 13,3 | 18,0 | И |
12 | 26,7 | 26,1 | 25,5 | 25,0 | 24,5 | 24,0 | 23,5 | 23,1 | 22,6 | 22,2 | 21,8 | 21,4 | 21,0 | 20,7 | 20,3 | 20,0 | 19,7 | 12 |
13 | 28,9 | 28,3 | 27,7 | 27,1 | 26,5 | 26,0 | 25,5 | 25,0 | 24,5 | 24,1 | 23,6 | 23,2 | 22,8 | 22,4 | 22,0 | 21,7 | 21,3 | 13 |
14 | 31,1 | 30,4 | 29,8 | 29,2 | 28,6 | 28,0 | 27,4 | 26,9 | 26,4 | 25,9 | 25,4 | 25,0 | 24,6 | 24,1 | 23,7 | 23,3 | 23,0 | 14 |
15 | 33,3 | 32,6 | 31,9 | 31,2 | 30,6 | 30,0 | 29,4 | 28,8 | 28,3 | 27,8 | 27,3 | 26,8 | 26,3 | 25,9 | 25,4 | 25,0 | 16,4 | 15 |
16 | 35,6 | 34,8 | 34,0 | 33,3 | 32,7 | 32,0 | 31,4 | 30,8 | 30,2 | 29,6 | 29,1 | 28,6 | 28,1 | 27,6 | 27,1 | 26,7 | 26,2 | 16 |
17 | 37,8 | 37,0 | 36,2 | 35,4 | 34,7 | 34,0 | 33,3 | 32,7 | 32,1 | 31,5 | 30,9 | 30,4 | 29,8 | 29,3 | 28,8 | 28,3 | 27,9 | 17 |
18 | 40,0 | 39,1 | 38,3 | 37,5 | 36,7 | 36,0 | 35,3 | 34,6 | 34,0 | 33,3 | 32,7 | 32,1 | 31,6 | 31,0 | 30,5 | 30,0 | 29,5 | 18 |
19 | 42,2 | 41,3 | 40,4 | 39,6 | 38,8 | 38,0 | 37,3 | 36,5 | 35,8 | 35,2 | 34,5 | 33,9 | 33,3 | 32,8 | 32,2 | 31,7 | 31,1 | 19 |
20 | 44,4 | 43,5 | 42,6 | 41,7 | 40,8 | 40,0 | 39,2 | 38,5 | 37,7 | 37,0 | 36,4 | 35,7 | 35,1 | 34,5 | 33,9 | 33,3 | 32,8 | 20 |
21 | 46,7 | 45,7 | 44,7 | 43,8 | 42,9 | 42,0 | 41,2 | 40,4 | 39,6 | 38,9 | 38,2 | 37,5 | 36,8 | 36,2 | 35,6 | 35,0 | 34,4 | 21 |
22 | 48,9 | 47,8 | 46,8 | 45,8 | 44,9 | 44,0 | 43,1 | 42,3 | 41,5 | 40,7 | 40,0 | 39,3 | 38,6 | 37,9 | 37,3 | 36,7 | 36,1 | 22 |
23 | 51,1 | 50,0 | 48,9 | 47,9 | 46,9 | 46,0 | 45,1 | 44,2 | 43,4 | 42,6 | 41,8 | 41,1 | 40,4 | 39,7 | 39,0 | 38,3 | 37,7 | 23 |
24 | 53,3 | 52,2 | 51,1 | 50,0 | 49,0 | 48,0 | 47,1 | 46,2 | 45,3 | 44,4 | 43,6 | 42,9 | 42,1 | 41,4 | 40,7 | 40,0 | 39,3 | 24 |
25 | 55,6 | 54,3 | 53,2 | 52,1 | 51,0 | 50,0 | 49,0 | 48,1 | 47,2 | 46,3 | 45,5 | 44,6 | 43,9 | 43,1 | 42,4 | 41,7 | 41,0 | 25 |
26 | 57,8 | 56,5 | 55,3 | 54,2 | 53,1 | 52,0 | 51,0 | 50,0 | 49,1 | 48,4 | 47,3 | 46,4 | 45,6 | 44,8 | 44,1 | 43,3 | 42,6 | 26 |
27 | 60,0 | 58,7 | 57,4 | 56,3 | 55,1 | 54,0 | 52,9 | 51,9 | 50,9 | 50,0 | 49,1 | 48,2 | 47,4 | 46,6 | 45,8 | 45,0 | 44,3 | 27 |
28 | 62,2 | 60,9 | 59,6 | 58,3 | 57,1 | 56,0 | 54,9 | 53,8 | 52,8 | 51,9 | 50,9 | 50,0 | 49,1 | 48,3 | 47,5 | 46,7 | 45,9 | 28 |
29 | 64,4 | 63,0 | 61,7 | 60,4 | 59,2 | 58,0 | 56,9 | 55,8 | 54,7 | 53,7 | 52,7 | 51,8 | 50,9 | 50,0 | 49,2 | 48,3 | 47,5 | 29 |
30 | 66,7 | 65,2 | 63,8 | 62,5 | 61,2 | 60,0 | 58,8 | 57,7 | 56,6 | 55,6 | 54,5 | 53,6 | 52,6 | 51,7 | 50,8 | 50,0 | 49,2 | 30 |
m | n | m |
44 | 45 | 46 | 47 | 48 | 49 | 50 | 51 | 52 | 53 | 54 | 55 | 56 | 57 | 58 | 59 | 60 |
31 | 68,9 | 67,4 | 66,0 | 64,6 | 63,3 | 62,0 | 60,8 | 59,6 | 58,5 | 57,4 | 56,4 | 55,4 | 54,4 | 53,4 | 52,5 | 51,7 | 50,8 | 31 |
32 | 71,1 | 69,6 | 68,1 | 66,7 | 65,3 | 64,0 | 62,7 | 61,5 | 60,4 | 59,3 | 58,2 | 57,1 | 56,1 | 55,2 | 54,2 | 53,3 | 52,5 | 32 |
33 | 73,3 | 71,7 | 70,2 | 68,8 | 67,3 | 66,0 | 64,7 | 63,5 | 62,3 | 61,1 | 60,0 | 58,9 | 57,9 | '56,9 | 55,9 | 55,0 | 54,1 | 33 |
34 | 75,6 | 73,9 | 72,3 | 70,8 | 69,4 | 68,0 | 66,7 | 65,4 | 64,2 | 63,0 | 61,8 | 60,7 | 59,6 | 58,6 | 57,6 | 56,7 | 55,7 | 34 |
35 | 77,8 | 76,1 | 74,5 | 72,9 | 71,4 | 70,0 | 68,6 | 67,3 | 66,0 | 64,8 | 63,6 | 62,5 | 61,4 | 60,3 | 59,3 | 58,3 | 57,4 | 35 |
36 | 80,0 | 78,3 | 76,6 | 75,0 | 73,5 | 72,0 | 70,6 | 69,2 | 67,9 | 66,7 | 65,5 | 64,3 | 63,2 | 62,1 | 61,0 | 60,0 | 59,0 | 36 |
37 | 82,2 | 80,4 | 78,7 | 77,1 | 75,5 | 74,0 | 72,5 | 71,2 | 69,8 | 68,5 | 67,3 | 66,1 | 64,9 | 63,8 | 62,7 | 61,7 | 60,7 | 37 |
38 | 84,4 | 82,6 | 80,9 | 79,2 | 77,6 | 76,0 | 74,5 | 73,1 | 71,7 | 70,4 | 69,1 | 67,9 | 66,7 | 65,5 | 64,4 | 63,3 | 62,3 | 38 |
39 | 86,7 | 84,8 | 83,0 | 81,3 | 79,6 | 78,0 | 76,5 | 75,0 | 73,6 | 72,2 | 70,9 | 69,6 | 68,4 | 67,2 | 66,1 | 65,0 | 63,9 | 39 |
40 | 88,9 | 87,0 | 85,1 | 83,3 | 81,6 | 80,0 | 78,4 | 76,9 | 75,5 | 74,1 | 72,7 | 71,4 | 70,2 | 69,0 | 67,8 | 66,7 | 65,6 | 40 |
41 | 91,1 | 89,1 | 87,2 | 85,4 | 83,7 | 82,0 | 80,4 | 78,8 | 77,4 | 75,9 | 74,5 | 73,2 | 71,9 | 70,7 | 69,5 | 68,3 | 67,2 | 41 |
42 | 93,3 | 91,3 | 89,4 | 87,5 | 85,7 | 84,0 | 82,4 | 80,8 | 79,2 | 77,8 | 76,4 | 75,0 | 73,7 | 72,4 | 71,2 | 70,0 | 68,9 | 42 |
43 | 95,6 | 93,6 | 91,5 | 89,6 | 87,8 | 86,0 | 84,3 | 82,7 | 81,1 | 79,6 | 78,2 | 76,8 | 75,4 | 74,1 | 72,9 | 71,7 | 70,5 | 43 |
44 | 97,8 | 95,7 | 93,6 | 91,7 | 89,8 | 88,0 | 86,3 | 84,6 | 83,0 | 81,5 | 80,0 | 78,6 | 77,2 | 75,9 | 74,6 | 73,3 | 72,1 | 44 |
45 | | 97,8 | 95,7 | 93,8 | 91,8 | 90,0 | 88,2 | 86,5 | 84,9 | 83,3 | 81,8 | 80,4 | 78,9 | 77,6 | 76,3 | 75,0 | 73,8 | 45 |
46 | | | 97,9 | 95,8 | 93,9 | 92,0 | 90,2 | 88,5 | 86,8 | 85,2 | 83,6 | 82,1 | 80,7 | 79,3 | 78,0 | 76,7 | 75,4 | 46 |
47 | | | | 97,9 | 95,9 | 94,0 | 92,2 | 90,4 | 88,7 | 87,0 | 85,5 | 83,9 | 82,5 | 81,0 | 79,7 | 78,3 | 77,0 | 47 |
48 | | | | | 98,0 | 96,0 | 94,1 | 92,3 | 90,6 | 88,9 | 87,3 | 85,7 | 84,2 | 82,8 | 81,4 | 80,0 | 78,7 | 48 |
49 | | | | | | 98,0 | 96,1 | 94,2 | 92,5 | 90,7 | 89,1 | 87,5 | 86,0 | 84,5 | 83,1 | 81,7 | 80,3 | 49 |
50 | | | | | | | 98,0 | 96,2 | 94,3 | 92,6 | 90,9 | 89,3 | 87,7 | 86,2 | 84,7 | 83,3 | 82,0 | 50 |
51 | | | | | | | | 98,1 | 96,2 | 94,4 | 92,7 | 91,1 | 89,5 | 87,9 | 86,4 | 85,0 | 83,6 | 51 |
52 | | | | | | | | | 98,1 | 96,3 | 94,5 | 92,9 | 91,2 | 89,7 | 88,1 | 86,7 | 85,2 | 52 |
53 | | | | | | | | | | 98,1 | 96,4 | 94,6 | 93,0 | 91,4 | 89,8 | 88,3 | 86,9 | 53 |
54 | | | | | | | | | | | 98,2 | 96,4 | 94,7 | 93,1 | 91,5 | 90,0 | 88,5 | 54 |
55 | | | | | | | | | | | | 98,2 | 96,5 | 94,8 | 93,2 | 91,7 | 90,2 | 55 |
56 | | | | | | | | | | | | | 98,2 | 96,6 | 94,9 | 93,3 | 91,8 | 56 |
57 | | | | | | | | | | | | | | 98,3 | 96,6 | 95,0 | 93,4 | 57 |
58 | | | | | | | | | | | | | | | 98,3 | 96,7 | 95,1 | 58 |
59 | | | | | | | | | | | | | | | | 98,3 | 96,7 | 59 |
60 | | | | | | | | | | | | | | | | | 98,4 | 60 |
ТИПОВОЕ РАСПРЕДЕЛЕНИЕ ИСПАРЕНИЯ С ПОВЕРХНОСТИ СУШИ
ПО МЕСЯЦАМ (В % ГОДОВОГО)
Геоботаническая зона | I | II | III | IV | V | VI | VII | VIII | IX | X | XI | XII |
Европейская территория СССР |
Хвойные леса | 0 | 0,5 | 2 | 6 | 17 | 25 | 22 | 15 | 8 | 4 | 0,5 | 0 |
Смешанные и лиственные леса, лесостепи | 0,5 | 1 | 3 | 9 | 18 | 20 | 18 | 13 | 9 | 5 | 3 | 0,5 |
Степи | 1 | 1 | 3 | 11 | 19 | 20 | 16 | 12 | 8 | 5 | 3 | 1 |
Западная Сибирь |
Хвойные леса | 0 | 0 | 1 | 5 | 16 | 25 | 24 | 17 | 9 | 3 | 0 | 0 |
Лиственные леса, лесостепи | 0 | 1 | 2 | 6 | 18 | 23 | 20 | 15 | 9 | 5 | 1 | 0 |
Степи | 1 | 1 | 1 | 9 | 17 | 20 | 20 | 16 | 9 | 4 | 1 | 1 |
Восточная Сибирь и Дальний Восток |
Северотаежные леса | 0 | 0 | 1 | 3 | 11 | 32 | 28 | 18 | 6 | 1 | 0 | 0 |
Средне- и южнотаежные леса | 0 | 0,5 | 2 | 6 | 16 | 24 | 23 | 17 | 8 | 3 | 0,5 | 0 |
Лиственные леса | 0,5 | 1,5 | 4 | 8 | 14 | 18 | 18 | 16 | 11 | 6 | 2 | 1 |
Степи и лесостепи | 1 | 2 | 2 | 8 | 14 | 19 | 19 | 17 | 10 | 5 | 2 | 1 |
МАКСИМАЛЬНАЯ УПРУГОСТЬ ВОДЯНОГО ПАРА, МБАР
Температура воды, °C | Десятые доли градуса |
0,0 | 0,1 | 0,2 | 0,3 | 0,4 | 0,5 | 0,6 | 0,7 | 0,8 | 0,9 |
-10 | 2,9 | 2,8 | 2,8 | 2,8 | 2,8 | 2,8 | 2,7 | 2,7 | 2,7 | 2,7 |
-8 | 3,3 | 3,3 | 3,3 | 3,3 | 3,2 | 3,2 | 3,2 | 3,2 | 3,1 | 3,1 |
-6 | 3,9 | 3,9 | 3,8 | 3,8 | 3,8 | 3,8 | 3,7 | 3,7 | 3,7 | 3,6 |
-4 | 4,5 | 4,5 | 4,5 | 4,4 | 4,4 | 4,4 | 4,3 | 4,3 | 4,3 | 4,2 |
-2 | 5,3 | 5,2 | 5,2 | 5,2 | 5,1 | 5,1 | 5,0 | 5,0 | 5,0 | 4,9 |
0 | 6,1 | 6,2 | 6,2 | 6,2 | 6,3 | 6,3 | 6,4 | 6,4 | 6,5 | 6,5 |
2 | 7,0 | 7,1 | 7,2 | 7,2 | 7,3 | 7,3 | 7,4 | 7,4 | 7,5 | 7,5 |
4 | 8,1 | 8,2 | 8,2 | 8,3 | 8,4 | 8,4 | 8,5 | 8,5 | 8,6 | 8,7 |
6 | 9,4 | 9,4 | 9,5 | 9,5 | 9,6 | 9,7 | 9,7 | 9,8 | 9,9 | 10,0 |
8 | 10,7 | 10,8 | 10,9 | 11,0 | 11,0 | 11,1 | 11,2 | 11,2 | 11,3 | 11,4 |
10 | 12,3 | 12,4 | 12,4 | 12,5 | 12,6 | 12,7 | 12,8 | 12,9 | 13,0 | 13,0 |
12 | 14,0 | 14,1 | 14,2 | 14,3 | 14,4 | 14,5 | 14,6 | 14,7 | 14,8 | 14,9 |
14 | 16,0 | 16,1 | 16,2 | 16,3 | 16,4 | 16,5 | 16,6 | 16,7 | 16,8 | 17,0 |
16 | 18,2 | 18,3 | 18,4 | 18,5 | 18,7 | 18,8 | 18,9 | 19,0 | 19,1 | 19,3 |
18 | 20,6 | 20,8 | 20,9 | 21,0 | 21,2 | 21,3 | 21,4 | 21,6 | 21,7 | 21,8 |
20 | 23,4 | 23,5 | 23,7 | 23,8 | 24,0 | 24,1 | 24,3 | 24,4 | 24,6 | 24,7 |
22 | 26,5 | 26,6 | 26,8 | 26,9 | 27,1 | 27,3 | 27,4 | 27,6 | 27,8 | 27,9 |
24 | 29,9 | 30,0 | 30,2 | 30,4 | 30,6 | 30,8 | 31,0 | 31,1 | 31,3 | 31,5 |
26 | 33,6 | 33,8 | 34,0 | 34,2 | 34,4 | 34,6 | 34,9 | 35,1 | 35,3 | 35,5 |
28 | 37,8 | 38,1 | 38,3 | 38,5 | 38,7 | 39,0 | 39,2 | 39,4 | 39,6 | 39,9 |
30 | 42,5 | 42,7 | 43,0 | 43,2 | 43,5 | 43,7 | 44,0 | 44,2 | 44,5 | 44,7 |
32 | 47,5 | 47,9 | 48,1 | 48,4 | 48,7 | 49,0 | 49,2 | 49,5 | 49,8 | 50,1 |
34 | 53,3 | 53,6 | 53,8 | 54,2 | 54,5 | 54,6 | 55,1 | 55,4 | 55,7 | 56,0 |
36 | 59,5 | 59,8 | 60,1 | 60,5 | 60,8 | 61,1 | 61,5 | 61,8 | 62,2 | 62,5 |
38 | 66,3 | 66,7 | 67,0 | 67,4 | 67,8 | 68,2 | 68,5 | 68,9 | 69,3 | 69,3 |
40 | 73,8 | 74,2 | 74,6 | 75,0 | 75,4 | 75,8 | 76,2 | 76,6 | 77,1 | 77,5 |
42 | 82,1 | 82,5 | 83,0 | 83,4 | 83,8 | 84,3 | 84,7 | 85,2 | 85,6 | 86,1 |
44 | 91,1 | 91,6 | 92,1 | 92,6 | 93,0 | 93,5 | 94,0 | 94,5 | 95,0 | 95,5 |
46 | 101,0 | 101,5 | 102,0 | 102,6 | 103,1 | 103,6 | 104,1 | 104,6 | 105,2 | 105,7 |
48 | 111,8 | 112,3 | 112,9 | 113,5 | 114,0 | 114,6 | 115,2 | 115,8 | 116,3 | 116,9 |
50 | 123,5 | 124,1 | 124,7 | 125,4 | 126,0 | 126,6 | 127,2 | 127,9 | 128,5 | 129,1 |
ЗНАЧЕНИЯ ПАРАМЕТРА

В ЗАВИСИМОСТИ ОТ ТЕМПЕРАТУРЫ
ПОВЕРХНОСТНОГО СЛОЯ ВОДЫ t0 И СКОРОСТИ ВЕТРА u2
ДЛЯ ВОДОХРАНИЛИЩ РАЗЛИЧНОЙ ГЛУБИНЫ
t° | Средняя месячная скорость ветра над водоемом u2 |
0 | 1 | 2 | 3 | 4 | 5 | 6 | 7 | 8 | 9 | 10 |
Средняя глубина водохранилища Hср = 2 м |
0 | 635 | 678 | 721 | 764 | 807 | 850 | 893 | 936 | 979 | 1022 | 1065 |
2 | 680 | 738 | 796 | 854 | 912 | 970 | 1028 | 1086 | 1144 | 1202 | 1260 |
4 | 726 | 801 | 876 | 951 | 1026 | 1101 | 1176 | 1251 | 1326 | 1401 | 1476 |
6 | 772 | 864 | 956 | 1048 | 1140 | 1232 | 1324 | 1416 | 1508 | 1600 | 1692 |
8 | 818 | 929 | 1040 | 1151 | 1262 | 1373 | 1484 | 1595 | 1706 | 1817 | 1928 |
10 | 865 | 996 | 1127 | 1258 | 1389 | 1520 | 1651 | 1782 | 1913 | 2044 | 2175 |
12 | 913 | 1065 | 1217 | 1369 | 1521 | 1673 | 1825 | 1977 | 2129 | 2281 | 2433 |
14 | 961 | 1135 | 1309 | 1483 | 1657 | 1831 | 2005 | 2179 | 2353 | 2527 | 2701 |
16 | 1008 | 1207 | 1406 | 1605 | 1804 | 2003 | 2202 | 2401 | 2600 | 2799 | 2998 |
18 | 1057 | 1282 | 1507 | 1732 | 1957 | 2182 | 2407 | 2632 | 2857 | 3082 | 3307 |
20 | 1105 | 1359 | 1613 | 1867 | 2121 | 2375 | 2629 | 2883 | 3137 | 3391 | 3645 |
22 | 1156 | 1440 | 1724 | 2008 | 2292 | 2576 | 2860 | 3144 | 3428 | 3712 | 3996 |
24 | 1206 | 1523 | 1840 | 2157 | 2474 | 2791 | 3108 | 3425 | 3742 | 4059 | 4376 |
26 | 1256 | 1608 | 1960 | 2312 | 2664 | 3016 | 3368 | 3720 | 4072 | 4424 | 4776 |
28 | 1306 | 1697 | 2088 | 2479 | 2870 | 3261 | 3652 | 4043 | 4434 | 4825 | 5216 |
30 | 1358 | 1790 | 2222 | 2654 | 3086 | 3518 | 3950 | 4382 | 4814 | 5246 | 5618 |
Hср = 4 м |
0 | 635 | 678 | 721 | 764 | 807 | 850 | 893 | 936 | 978 | 1022 | 1065 |
2 | 707 | 765 | 823 | 881 | 939 | 997 | 1055 | 1113 | 1171 | 1229 | 1287 |
4 | 778 | 853 | 928 | 1003 | 1078 | 1153 | 1228 | 1303 | 1378 | 1453 | 1528 |
6 | 851 | 943 | 1035 | 1127 | 1219 | 1311 | 1403 | 1495 | 1587 | 1679 | 1771 |
8 | 924 | 1035 | 1146 | 1257 | 1368 | 1479 | 1590 | 1701 | 1812 | 1923 | 2034 |
10 | 997 | 1128 | 1259 | 1390 | 1521 | 1652 | 1783 | 1914 | 2045 | 2176 | 2307 |
12 | 1071 | 1223 | 1375 | 1527 | 1679 | 1831 | 1983 | 2135 | 2287 | 2439 | 2591 |
14 | 1145 | 1319 | 1493 | 1663 | 1841 | 2015 | 2189 | 2363 | 2537 | 2711 | 2885 |
16 | 1219 | 1418 | 1617 | 1816 | 2015 | 2214 | 2413 | 2612 | 2811 | 3010 | 3209 |
18 | 1294 | 1519 | 1744 | 1969 | 2194 | 2419 | 2644 | 2869 | 3094 | 3319 | 3544 |
20 | 1368 | 1622 | 1876 | 2130 | 2384 | 2638 | 2892 | 3146 | 3400 | 3654 | 3908 |
22 | 1445 | 1729 | 2013 | 2297 | 2581 | 2865 | 3149 | 3433 | 3717 | 4001 | 4285 |
24 | 1522 | 1839 | 2156 | 2473 | 2790 | 3107 | 3424 | 3741 | 4058 | 4375 | 4692 |
26 | 1598 | 1950 | 2302 | 2654 | 3006 | 3358 | 3710 | 4062 | 4414 | 4766 | 5118 |
28 | 1675 | 2066 | 2457 | 2848 | 3239 | 3630 | 4021 | 4412 | 4803 | 5194 | 5585 |
30 | 1753 | 2185 | 2617 | 3049 | 3481 | 3913 | 4345 | 4777 | 5209 | 5641 | 5673 |
Hср = 6 м |
0 | 635 | 678 | 721 | 764 | 807 | 850 | 893 | 936 | 979 | 1022 | 1065 |
2 | 730 | 788 | 846 | 904 | 962 | 1020 | 1078 | 1136 | 1194 | 1252 | 1310 |
4 | 825 | 900 | 975 | 1050 | 1125 | 1200 | 1275 | 1350 | 1425 | 1500 | 1575 |
6 | 921 | 1013 | 1105 | 1197 | 1289 | 1381 | 1443 | 1565 | 1657 | 1749 | 1841 |
8 | 1017 | 1128 | 1239 | 1350 | 1461 | 1572 | 1683 | 1794 | 1905 | 2016 | 2127 |
10 | 1113 | 1244 | 1377 | 1506 | 1637 | 1768 | 1899 | 2030 | 2161 | 2292 | 2423 |
12 | 1211 | 1363 | 1515 | 1667 | 1819 | 1971 | 2123 | 2275 | 2427 | 2579 | 2731 |
14 | 1315 | 1489 | 1663 | 1837 | 2011 | 2185 | 2359 | 2525 | 2707 | 2881 | 3055 |
16 | 1406 | 1605 | 1804 | 2003 | 2202 | 2405 | 2600 | 2799 | 2998 | 3197 | 3396 |
18 | 1504 | 1729 | 1954 | 2179 | 2404 | 2629 | 2854 | 3079 | 3304 | 3529 | 3754 |
20 | 1603 | 1857 | 2111 | 2365 | 2619 | 2873 | 3127 | 3381 | 3635 | 3889 | 4143 |
22 | 1703 | 1987 | 2271 | 2555 | 2839 | 3123 | 3407 | 3691 | 3975 | 4259 | 4543 |
24 | 1803 | 2120 | 2437 | 2754 | 3071 | 3388 | 3705 | 4022 | 4339 | 4656 | 4983 |
26 | 1903 | 2255 | 2607 | 2959 | 3311 | 3663 | 4015 | 4367 | 4719 | 5071 | 5423 |
28 | 2003 | 2394 | 2785 | 3176 | 3567 | 3958 | 4349 | 4740 | 5131 | 5522 | 5913 |
30 | 2104 | 2536 | 2968 | 3400 | 3832 | 4264 | 4696 | 5128 | 5560 | 5984 | 6424 |
Hср = 8 м |
0 | 635 | 678 | 721 | 764 | 807 | 850 | 893 | 936 | 979 | 1022 | 1065 |
2 | 753 | 811 | 869 | 927 | 985 | 1043 | 1101 | 1159 | 1217 | 1275 | 1333 |
4 | 871 | 946 | 1021 | 1096 | 1171 | 1246 | 1321 | 1396 | 1471 | 1546 | 1621 |
6 | 991 | 1083 | 1175 | 1267 | 1359 | 1451 | 1513 | 1635 | 1727 | 1819 | 1911 |
8 | 1110 | 1221 | 1332 | 1443 | 1554 | 1665 | 1776 | 1887 | 1998 | 2109 | 2220 |
10 | 1229 | 1360 | 1493 | 1622 | 1753 | 1884 | 2015 | 2146 | 2277 | 2408 | 2539 |
12 | 1350 | 1502 | 1654 | 1806 | 1958 | 2110 | 2262 | 2414 | 2566 | 2718 | 2870 |
14 | 1471 | 1645 | 1819 | 1993 | 2167 | 2341 | 2515 | 2689 | 2863 | 3037 | 3211 |
16 | 1592 | 1791 | 1990 | 2189 | 2388 | 2591 | 2786 | 2985 | 3184 | 3383 | 3582 |
18 | 1713 | 1938 | 2163 | 2388 | 2613 | 2838 | 3063 | 3288 | 3513 | 3738 | 3963 |
20 | 1834 | 2088 | 2342 | 2626 | 2850 | 3104 | 3358 | 3612 | 3866 | 4120 | 4374 |
22 | 1957 | 2241 | 2525 | 2809 | 3093 | 3377 | 3661 | 3945 | 4229 | 4513 | 4797 |
24 | 2081 | 2398 | 2715 | 3032 | 3349 | 3666 | 3983 | 4300 | 4617 | 4934 | 5251 |
26 | 2204 | 2556 | 2908 | 3260 | 3612 | 3964 | 4316 | 4668 | 5020 | 5372 | 5724 |
28 | 2327 | 2718 | 3109 | 3500 | 3891 | 4282 | 4673 | 5064 | 5455 | 5846 | 6237 |
30 | 2451 | 2883 | 3315 | 3747 | 4179 | 4611 | 5043 | 5475 | 5907 | 6339 | 6771 |
Hср = 10 м |
0 | 635 | 678 | 721 | 764 | 807 | 850 | 893 | 936 | 979 | 1022 | 1065 |
2 | 776 | 834 | 892 | 950 | 1008 | 1066 | 1124 | 1182 | 1240 | 1298 | 1356 |
4 | 918 | 993 | 1068 | 1143 | 1218 | 1293 | 1368 | 1443 | 1518 | 1593 | 1668 |
6 | 1060 | 1152 | 1244 | 1336 | 1428 | 1520 | 1582 | 1704 | 1796 | 1888 | 1980 |
8 | 1202 | 1313 | 1424 | 1535 | 1646 | 1757 | 1868 | 1979 | 2090 | 2201 | 2312 |
10 | 1345 | 1476 | 1609 | 1738 | 1869 | 2000 | 2131 | 2262 | 2393 | 2524 | 2655 |
12 | 1489 | 1641 | 1793 | 1945 | 2097 | 2249 | 2401 | 2553 | 2705 | 2857 | 3009 |
14 | 1633 | 1807 | 1981 | 2155 | 2329 | 2503 | 2677 | 2851 | 3025 | 3199 | 3373 |
16 | 1777 | 1976 | 2175 | 2374 | 2573 | 2776 | 2971 | 3170 | 3369 | 3568 | 3767 |
18 | 1921 | 2146 | 2371 | 2596 | 2821 | 3046 | 3271 | 3496 | 3721 | 3946 | 4171 |
20 | 2066 | 2320 | 2574 | 2828 | 3082 | 3336 | 3590 | 3844 | 4098 | 4352 | 4606 |
22 | 2212 | 2496 | 2780 | 3064 | 3348 | 3632 | 3916 | 4200 | 4484 | 4768 | 5052 |
24 | 2358 | 2675 | 2992 | 3309 | 3626 | 3943 | 4260 | 4577 | 4894 | 5211 | 5528 |
26 | 2505 | 2857 | 3209 | 3561 | 3913 | 4265 | 4617 | 4969 | 5321 | 5673 | 6025 |
28 | 2651 | 3042 | 3433 | 3824 | 4215 | 4606 | 4997 | 5388 | 5779 | 6170 | 6561 |
30 | 2798 | 3230 | 3662 | 4094 | 4526 | 4958 | 5390 | 5822 | 6254 | 6686 | 7118 |
Hср = 12 м |
0 | 635 | 678 | 721 | 764 | 807 | 850 | 893 | 936 | 979 | 1022 | 1065 |
2 | 793 | 851 | 909 | 967 | 1023 | 1083 | 1141 | 1199 | 1257 | 1315 | 1373 |
4 | 950 | 1025 | 1100 | 1175 | 1250 | 1325 | 1400 | 1475 | 1550 | 1625 | 1700 |
6 | 1109 | 1201 | 1293 | 1385 | 1477 | 1569 | 1661 | 1753 | 1845 | 1937 | 2029 |
8 | 1268 | 1379 | 1490 | 1601 | 1712 | 1823 | 1934 | 2045 | 2156 | 2267 | 2378 |
10 | 1426 | 1557 | 1688 | 1819 | 1950 | 2081 | 2212 | 2343 | 2474 | 2605 | 2736 |
12 | 1587 | 1739 | 1891 | 2043 | 2195 | 2347 | 2499 | 2651 | 2803 | 2955 | 3107 |
14 | 1748 | 1922 | 2096 | 2270 | 2444 | 2618 | 2792 | 2966 | 3140 | 3314 | 3488 |
16 | 1907 | 2106 | 2305 | 2504 | 2703 | 2902 | 3101 | 3300 | 3499 | 3698 | 3897 |
18 | 2068 | 2293 | 2518 | 2743 | 2968 | 3193 | 3418 | 3643 | 3868 | 4093 | 4318 |
20 | 2229 | 2483 | 2737 | 2991 | 3245 | 3499 | 3753 | 4007 | 4261 | 4515 | 4769 |
22 | 2391 | 2675 | 2959 | 3243 | 3527 | 3811 | 4095 | 4379 | 4663 | 4947 | 5231 |
24 | 2554 | 2871 | 3188 | 3505 | 3822 | 4139 | 4456 | 4773 | 5090 | 5407 | 5724 |
26 | 2717 | 3069 | 3421 | 3773 | 4125 | 4477 | 4829 | 5181 | 5533 | 5885 | 6237 |
28 | 2880 | 3271 | 3662 | 4053 | 4444 | 4835 | 5226 | 5617 | 6008 | 6399 | 6790 |
30 | 3043 | 3475 | 3907 | 4339 | 4771 | 5203 | 5635 | 6067 | 6499 | 6931 | 7363 |
Hср = 14 м |
0 | 635 | 678 | 721 | 764 | 807 | 850 | 893 | 936 | 979 | 1022 | 1065 |
2 | 809 | 867 | 925 | 983 | 1041 | 1099 | 1157 | 1215 | 1275 | 1331 | 1389 |
4 | 983 | 1058 | 1133 | 1208 | 1283 | 1358 | 1433 | 1508 | 1583 | 1658 | 1733 |
6 | 1158 | 1250 | 1342 | 1434 | 1526 | 1618 | 1710 | 1802 | 1894 | 1986 | 2078 |
8 | 1333 | 1444 | 1555 | 1666 | 1777 | 1888 | 1999 | 2110 | 2221 | 2332 | 2442 |
10 | 1508 | 1639 | 1770 | 1901 | 2032 | 2163 | 2294 | 2425 | 2556 | 2687 | 2818 |
12 | 1685 | 1837 | 1989 | 2141 | 2293 | 2445 | 2597 | 2749 | 2901 | 3053 | 3205 |
14 | 1862 | 2036 | 2210 | 2384 | 2558 | 2732 | 2906 | 3080 | 3254 | 3428 | 3602 |
16 | 2038 | 2237 | 2436 | 2635 | 2834 | 3033 | 3232 | 3431 | 3630 | 3829 | 4028 |
18 | 2215 | 2440 | 2665 | 2890 | 3115 | 3340 | 3565 | 3790 | 4015 | 4240 | 4465 |
20 | 2392 | 2646 | 2900 | 3154 | 3408 | 3662 | 3916 | 4170 | 4424 | 4678 | 4932 |
22 | 2571 | 2855 | 3139 | 3423 | 3707 | 3991 | 4275 | 4559 | 4843 | 5127 | 5411 |
24 | 2750 | 3067 | 3384 | 3701 | 4018 | 4338 | 4652 | 4969 | 5286 | 5603 | 5920 |
26 | 2929 | 3281 | 3633 | 3985 | 4337 | 4689 | 5041 | 5393 | 5745 | 6097 | 6449 |
28 | 3108 | 3499 | 3890 | 4281 | 4672 | 5063 | 5454 | 5845 | 6235 | 6627 | 7018 |
30 | 3288 | 3720 | 4152 | 4584 | 5016 | 5448 | 5880 | 6312 | 6744 | 7176 | 7608 |
Hср = 16 м |
0 | 635 | 678 | 721 | 764 | 807 | 850 | 893 | 936 | 978 | 1022 | 1065 |
2 | 871 | 929 | 987 | 1045 | 1103 | 1161 | 1219 | 1277 | 1335 | 1393 | 1451 |
4 | 1008 | 1083 | 1158 | 1233 | 1308 | 1383 | 1458 | 1533 | 1608 | 1683 | 1758 |
6 | 1159 | 1287 | 1379 | 1471 | 1563 | 1655 | 1747 | 1839 | 1931 | 2023 | 2115 |
8 | 1382 | 1493 | 1604 | 1715 | 1826 | 1937 | 2048 | 2159 | 2270 | 2381 | 2492 |
10 | 1570 | 1701 | 1832 | 1963 | 2094 | 2225 | 2356 | 2487 | 2618 | 2749 | 2880 |
12 | 1759 | 1911 | 2063 | 2215 | 2367 | 2519 | 2671 | 2823 | 2975 | 3171 | 3279 |
14 | 1929 | 2103 | 2277 | 2451 | 2625 | 2799 | 2973 | 3147 | 3321 | 3495 | 3669 |
16 | 2137 | 2336 | 2535 | 2734 | 2933 | 3132 | 3331 | 3530 | 3729 | 3928 | 4127 |
18 | 2326 | 2551 | 2776 | 3001 | 3226 | 3451 | 3676 | 3901 | 4126 | 4351 | 4576 |
20 | 2516 | 2770 | 3024 | 3278 | 3532 | 3786 | 4040 | 4294 | 4548 | 4802 | 5056 |
22 | 2707 | 2991 | 3275 | 3559 | 3843 | 4127 | 4411 | 4695 | 4979 | 5263 | 5547 |
24 | 2898 | 3215 | 3532 | 3849 | 4166 | 4483 | 4800 | 5117 | 5434 | 5751 | 6068 |
26 | 3090 | 3442 | 3794 | 4146 | 4498 | 4850 | 5202 | 5554 | 5906 | 6258 | 6610 |
28 | 3281 | 3673 | 4064 | 4455 | 4846 | 5237 | 5628 | 6019 | 6410 | 6801 | 7192 |
30 | 3473 | 3915 | 4347 | 4779 | 5211 | 5643 | 6075 | 6507 | 6939 | 7371 | 7803 |
Hср = 18 м |
0 | 635 | 678 | 721 | 764 | 807 | 850 | 893 | 936 | 978 | 1022 | 1065 |
2 | 830 | 888 | 946 | 1004 | 1062 | 1120 | 1178 | 1236 | 1294 | 1352 | 1410 |
4 | 1025 | 1100 | 1175 | 1250 | 1325 | 1400 | 1475 | 1550 | 1625 | 1700 | 1775 |
6 | 1220 | 1312 | 1404 | 1496 | 1588 | 1680 | 1772 | 1864 | 1956 | 2048 | 2140 |
8 | 1416 | 1527 | 1638 | 1749 | 1860 | 1971 | 2082 | 2193 | 2304 | 2415 | 2526 |
10 | 1512 | 1643 | 1774 | 1905 | 2036 | 2167 | 2298 | 2429 | 2560 | 2691 | 2822 |
12 | 1810 | 1962 | 2114 | 2266 | 2418 | 2570 | 2722 | 2874 | 3026 | 3178 | 3330 |
14 | 2007 | 2181 | 2355 | 2529 | 2703 | 2877 | 3051 | 3225 | 3399 | 3573 | 3747 |
16 | 2204 | 2408 | 2607 | 2806 | 3005 | 3204 | 3403 | 3602 | 3801 | 4000 | 4199 |
18 | 2402 | 2627 | 2852 | 3077 | 3302 | 3527 | 3752 | 3977 | 4202 | 4427 | 4652 |
20 | 2600 | 2854 | 3108 | 3362 | 3616 | 3870 | 4124 | 4378 | 4632 | 4886 | 5140 |
22 | 2800 | 3084 | 3368 | 3652 | 3936 | 4220 | 4504 | 4788 | 5072 | 5355 | 5640 |
24 | 2999 | 3316 | 3633 | 3950 | 4267 | 4584 | 4901 | 5218 | 5535 | 5852 | 6169 |
26 | 3199 | 3551 | 3903 | 4255 | 4607 | 4959 | 5311 | 5663 | 6015 | 6367 | 6719 |
28 | 3399 | 3790 | 4181 | 4572 | 4963 | 5354 | 5745 | 6136 | 6527 | 6918 | 7309 |
30 | 3600 | 4032 | 4464 | 4896 | 5328 | 5760 | 6192 | 6624 | 7056 | 7488 | 7920 |
Hср = 20 м |
0 | 635 | 678 | 721 | 764 | 807 | 850 | 893 | 936 | 978 | 1022 | 1065 |
2 | 838 | 896 | 954 | 1012 | 1070 | 1128 | 1186 | 1244 | 1302 | 1360 | 1418 |
4 | 1041 | 1116 | 1191 | 1266 | 1341 | 1416 | 1491 | 1566 | 1641 | 1716 | 1791 |
6 | 1246 | 1338 | 1430 | 1522 | 1614 | 1706 | 1798 | 1890 | 1982 | 2074 | 2166 |
8 | 1450 | 1561 | 1672 | 1783 | 1894 | 2005 | 2116 | 2227 | 2338 | 2449 | 2560 |
10 | 1654 | 1785 | 1916 | 2047 | 2178 | 2309 | 2440 | 2571 | 2702 | 2833 | 2964 |
12 | 1860 | 2012 | 2164 | 2316 | 2468 | 2620 | 2772 | 2924 | 3076 | 3228 | 3380 |
14 | 2066 | 2240 | 2410 | 2588 | 2762 | 2936 | 3110 | 3284 | 3458 | 3632 | 3806 |
16 | 2272 | 2471 | 2670 | 2869 | 3068 | 3267 | 3466 | 3665 | 3864 | 4063 | 4262 |
18 | 2478 | 2703 | 2928 | 3153 | 3378 | 3603 | 3828 | 4053 | 4278 | 4503 | 4728 |
20 | 2684 | 2938 | 3192 | 3446 | 3700 | 3954 | 4208 | 4462 | 4716 | 4970 | 5224 |
22 | 2892 | 3176 | 3560 | 3743 | 4028 | 4312 | 4596 | 4880 | 5164 | 5448 | 5732 |
24 | 3100 | 3417 | 3734 | 4056 | 4368 | 4685 | 5002 | 5319 | 5636 | 5953 | 6270 |
26 | 3309 | 3661 | 4013 | 4365 | 4717 | 5069 | 5421 | 5773 | 6125 | 6477 | 6829 |
28 | 3517 | 3908 | 4299 | 4690 | 5081 | 5472 | 5863 | 6254 | 6645 | 7036 | 7427 |
30 | 3726 | 4158 | 4590 | 5022 | 5454 | 5886 | 6318 | 6750 | 7182 | 7614 | 8046 |
Hср = 22 м |
0 | 635 | 678 | 721 | 764 | 807 | 850 | 893 | 936 | 979 | 1022 | 1065 |
2 | 846 | 904 | 962 | 1020 | 1078 | 1136 | 1194 | 1252 | 1310 | 1368 | 1426 |
4 | 1056 | 1131 | 1206 | 1281 | 1356 | 1431 | 1506 | 1581 | 1656 | 1731 | 1806 |
6 | 1268 | 1360 | 1452 | 1544 | 1636 | 1728 | 1820 | 1912 | 2004 | 2079 | 2154 |
8 | 1479 | 1590 | 1701 | 1812 | 1923 | 2034 | 2145 | 2256 | 2367 | 2478 | 2586 |
10 | 1691 | 1822 | 1953 | 2084 | 2215 | 2346 | 2477 | 2608 | 2739 | 2870 | 3001 |
12 | 1905 | 2057 | 2209 | 2361 | 2513 | 2665 | 2817 | 2969 | 3121 | 3273 | 3425 |
14 | 2118 | 2292 | 2466 | 2640 | 2814 | 2988 | 3162 | 3336 | 3510 | 3684 | 3858 |
16 | 2331 | 2530 | 2729 | 2928 | 3127 | 3326 | 3525 | 3724 | 3923 | 4122 | 4321 |
18 | 2544 | 2769 | 2994 | 3219 | 3444 | 3669 | 3894 | 4119 | 4344 | 4569 | 4794 |
20 | 2758 | 3012 | 3266 | 3520 | 3774 | 4028 | 4282 | 4536 | 4790 | 5044 | 5298 |
22 | 2974 | 3258 | 3542 | 3826 | 4110 | 4394 | 4678 | 4962 | 5246 | 5530 | 5814 |
24 | 3189 | 3506 | 3823 | 4140 | 4454 | 4774 | 5091 | 5408 | 5725 | 6042 | 6359 |
26 | 3405 | 3757 | 4109 | 4461 | 4813 | 5165 | 5517 | 5869 | 6221 | 6573 | 6925 |
28 | 3620 | 4011 | 4402 | 4793 | 5184 | 5575 | 5966 | 6357 | 6748 | 7139 | 7530 |
30 | 3837 | 4269 | 4701 | 5133 | 5565 | 5997 | 6429 | 6861 | 7293 | 7725 | 8157 |
Hср = 24 м |
0 | 635 | 678 | 721 | 764 | 807 | 850 | 893 | 936 | 978 | 1022 | 1065 |
2 | 853 | 911 | 969 | 1027 | 1085 | 1143 | 1201 | 1259 | 1317 | 1375 | 1433 |
4 | 1071 | 1146 | 1221 | 1296 | 1371 | 1446 | 1521 | 1596 | 1671 | 1746 | 1821 |
6 | 1290 | 1382 | 1474 | 1566 | 1658 | 1750 | 1842 | 1934 | 2026 | 2118 | 2210 |
8 | 1509 | 1620 | 1731 | 1842 | 1953 | 2064 | 2175 | 2286 | 2397 | 2508 | 2619 |
10 | 1728 | 1859 | 1990 | 2121 | 2252 | 2383 | 2514 | 2645 | 2776 | 2907 | 3038 |
12 | 1949 | 2101 | 2253 | 2405 | 2557 | 2709 | 2861 | 3013 | 3165 | 3317 | 3469 |
14 | 2170 | 2344 | 2518 | 2692 | 2866 | 3040 | 3214 | 3388 | 3562 | 3736 | 3910 |
16 | 2390 | 2589 | 2788 | 2987 | 3186 | 3385 | 3584 | 3783 | 3982 | 4181 | 4380 |
18 | 2611 | 2836 | 3061 | 3286 | 3511 | 3736 | 3961 | 4186 | 4411 | 4636 | 4861 |
20 | 2832 | 3086 | 3340 | 3594 | 3848 | 4102 | 4356 | 4610 | 4864 | 5118 | 5372 |
22 | 3055 | 3339 | 3623 | 3907 | 4191 | 4475 | 4759 | 5043 | 5327 | 5611 | 5895 |
24 | 3278 | 3595 | 3912 | 4229 | 4546 | 4863 | 5180 | 5497 | 5814 | 6131 | 6448 |
26 | 3500 | 3852 | 4204 | 4556 | 4908 | 5260 | 5612 | 5964 | 6316 | 6668 | 7020 |
28 | 3723 | 4114 | 4505 | 4896 | 5287 | 5678 | 6069 | 6460 | 6851 | 7242 | 7633 |
30 | 3947 | 4379 | 4811 | 5243 | 5675 | 6107 | 6539 | 6971 | 7403 | 7835 | 8267 |
Hср = 26 м |
0 | 635 | 678 | 721 | 764 | 807 | 850 | 893 | 936 | 978 | 1022 | 1065 |
2 | 858 | 916 | 974 | 1032 | 1090 | 1148 | 1206 | 1264 | 1322 | 1380 | 1438 |
4 | 1080 | 1155 | 1230 | 1305 | 1380 | 1455 | 1530 | 1605 | 1680 | 1755 | 1830 |
6 | 1304 | 1396 | 1488 | 1580 | 1672 | 1764 | 1856 | 1948 | 2040 | 2132 | 2224 |
8 | 1528 | 1639 | 1750 | 1861 | 1972 | 2083 | 2194 | 2305 | 2416 | 2527 | 2638 |
10 | 1751 | 1882 | 2013 | 2144 | 2275 | 2406 | 2537 | 2668 | 2799 | 2930 | 3061 |
12 | 1977 | 2129 | 2281 | 2433 | 2585 | 2737 | 2889 | 3041 | 3193 | 3345 | 3597 |
14 | 2203 | 2377 | 2551 | 2725 | 2899 | 3073 | 3247 | 3421 | 3595 | 3769 | 3943 |
16 | 2427 | 2626 | 2825 | 3024 | 3223 | 3422 | 3621 | 3820 | 4019 | 4218 | 4417 |
18 | 2653 | 2878 | 3103 | 3328 | 3553 | 3778 | 4003 | 4228 | 4453 | 4678 | 4903 |
20 | 2879 | 3133 | 3387 | 3641 | 3895 | 4149 | 4403 | 4657 | 4911 | 5165 | 5419 |
22 | 3106 | 3390 | 3674 | 3958 | 4242 | 4526 | 4810 | 5094 | 5378 | 5662 | 5946 |
24 | 3334 | 3651 | 3968 | 4285 | 4602 | 4919 | 5236 | 5553 | 5870 | 6187 | 6504 |
26 | 3562 | 3914 | 4266 | 4618 | 4970 | 5322 | 5674 | 6026 | 6378 | 6730 | 7082 |
28 | 3791 | 4182 | 4573 | 4964 | 5355 | 5746 | 6137 | 6528 | 6919 | 7310 | 7701 |
30 | 4018 | 4450 | 4882 | 5314 | 5746 | 6178 | 6610 | 7042 | 7474 | 7906 | 8338 |
Hср = 28 м |
0 | 635 | 678 | 721 | 764 | 807 | 850 | 893 | 936 | 978 | 1022 | 1065 |
2 | 860 | 918 | 976 | 1034 | 1092 | 1150 | 1208 | 1268 | 1324 | 1382 | 1440 |
4 | 1085 | 1160 | 1235 | 1310 | 1385 | 1460 | 1535 | 1610 | 1685 | 1760 | 1835 |
6 | 1310 | 1402 | 1494 | 1586 | 1678 | 1770 | 1862 | 1954 | 2046 | 2138 | 2230 |
8 | 1536 | 1647 | 1758 | 1869 | 1980 | 2091 | 2202 | 2313 | 2424 | 2535 | 2646 |
10 | 1762 | 1893 | 2024 | 2155 | 2286 | 2417 | 2548 | 2679 | 2810 | 2941 | 3072 |
12 | 1990 | 2142 | 2294 | 2446 | 2598 | 2750 | 2902 | 3054 | 3206 | 3358 | 3510 |
14 | 2217 | 2391 | 2565 | 2739 | 2913 | 3087 | 3261 | 3435 | 3609 | 3783 | 3957 |
16 | 2444 | 2643 | 2842 | 3041 | 3240 | 3439 | 3638 | 3837 | 4036 | 4235 | 4434 |
18 | 2672 | 2897 | 3122 | 3347 | 3572 | 3797 | 4022 | 4247 | 4472 | 4697 | 4922 |
20 | 2900 | 3154 | 3408 | 3662 | 3916 | 4170 | 4424 | 4678 | 4932 | 5186 | 5440 |
22 | 3130 | 3414 | 3698 | 3982 | 4266 | 4550 | 4834 | 5118 | 5402 | 5686 | 5970 |
24 | 3359 | 3676 | 3993 | 4310 | 4627 | 4944 | 5261 | 5578 | 5895 | 6212 | 6529 |
26 | 3589 | 3941 | 4293 | 4645 | 4997 | 5349 | 5701 | 6053 | 6405 | 6757 | 7109 |
28 | 3819 | 4210 | 4601 | 4992 | 5383 | 5774 | 6165 | 6556 | 6947 | 7338 | 7729 |
30 | 4050 | 4482 | 4914 | 5346 | 5778 | 6210 | 6642 | 7074 | 5706 | 7938 | 8370 |
Hср = 30 м |
0 | 635 | 678 | 721 | 764 | 807 | 850 | 893 | 936 | 978 | 1022 | 1065 |
2 | 862 | 920 | 978 | 1036 | 1094 | 1152 | 1210 | 1268 | 1326 | 1384 | 1442 |
4 | 1089 | 1164 | 1239 | 1314 | 1389 | 1464 | 1539 | 1614 | 1689 | 1764 | 1839 |
6 | 1317 | 1409 | 1501 | 1593 | 1685 | 1777 | 1869 | 1961 | 2053 | 2145 | 2237 |
8 | 1545 | 1665 | 1767 | 1878 | 1969 | 2100 | 2211 | 2322 | 2433 | 2544 | 2655 |
10 | 1773 | 1904 | 2035 | 2166 | 2297 | 2428 | 2559 | 2690 | 2821 | 2952 | 3083 |
12 | 1202 | 2154 | 2306 | 2458 | 2610 | 2762 | 2914 | 3066 | 3218 | 3370 | 3522 |
14 | 2232 | 2406 | 2580 | 2754 | 2928 | 3102 | 3276 | 3450 | 3624 | 3798 | 3972 |
16 | 2461 | 2660 | 2859 | 3058 | 3257 | 3456 | 3655 | 3854 | 4053 | 4252 | 4451 |
18 | 2691 | 2916 | 3141 | 3366 | 3591 | 3816 | 4041 | 4266 | 4491 | 4716 | 4941 |
20 | 2921 | 3175 | 3429 | 3683 | 3937 | 4191 | 4445 | 4699 | 4953 | 5207 | 5461 |
22 | 3153 | 3437 | 3721 | 4005 | 4289 | 4573 | 4857 | 5141 | 5425 | 5709 | 5993 |
24 | 3385 | 3702 | 4019 | 4336 | 4653 | 4970 | 5287 | 5604 | 5921 | 6328 | 6555 |
26 | 3617 | 3969 | 4321 | 4673 | 5025 | 5377 | 5729 | 6081 | 6433 | 6785 | 7137 |
28 | 3849 | 4240 | 4631 | 5022 | 5413 | 5804 | 6195 | 6586 | 6977 | 7368 | 7759 |
30 | 4081 | 4513 | 4945 | 5377 | 5809 | 6241 | 6673 | 7105 | 7537 | 7969 | 8401 |
G | C |
10 | 15 | 20 | 25 | 30 | 35 | 40 | 45 | 50 | 55 | 60 | 65 |
0,0001 | 0,998 | 0,998 | 0,998 | 0,997 | 0,995 | 0,992 | 0,990 | 0,988 | 0,986 | 0,983 | 0,980 | 0,977 |
0,0005 | 0,991 | 0,987 | 0,982 | 0,974 | 0,965 | 0,958 | 0,948 | 0,938 | 0,927 | 0,915 | 0,904 | 0,889 |
0,0010 | 0,982 | 0,974 | 0,960 | 0,950 | 0,934 | 0,919 | 0,900 | 0,881 | 0,860 | 0,838 | 0,816 | 0,793 |
0,0017 | 0,971 | 0,958 | 0,938 | 0,916 | 0,891 | 0,872 | 0,837 | 0,808 | 0,774 | 0,743 | 0,717 | 0,685 |
0,0018 | 0,970 | 0,955 | 0,935 | 0,912 | 0,886 | 0,863 | 0,829 | 0,798 | 0,764 | 0,731 | 0,701 | 0,669 |
0,0019 | 0,968 | 0,953 | 0,931 | 0,906 | 0,880 | 0,853 | 0,820 | 0,788 | 0,753 | 0,718 | 0,685 | 0,652 |
0,0020 | 0,967 | 0,950 | 0,927 | 0,902 | 0,874 | 0,844 | 0,812 | 0,778 | 0,742 | 0,706 | 0,669 | 0,635 |
0,0021 | 0,966 | 0,947 | 0,924 | 0,898 | 0,879 | 0,837 | 0,804 | 0,769 | 0,732 | 0,696 | 0,659 | 0,623 |
0,0022 | 0,964 | 0,944 | 0,921 | 0,894 | 0,863 | 0,831 | 0,800 | 0,760 | 0,722 | 0,685 | 0,648 | 0,611 |
0,0023 | 0,962 | 0,942 | 0,918 | 0,889 | 0,857 | 0,824 | 0,792 | 0,752 | 0,714 | 0,675 | 0,635 | 0,599 |
0,0024 | 0,960 | 0,940 | 0,914 | 0,885 | 0,852 | 0,817 | 0,779 | 0,742 | 0,703 | 0,663 | 0,624 | 0,587 |
0,0025 | 0,959 | 0,937 | 0,911 | 0,881 | 0,848 | 0,811 | 0,772 | 0,733 | 0,693 | 0,652 | 0,613 | 0,576 |
0,0026 | 0,957 | 0,935 | 0,907 | 0,876 | 0,841 | 0,804 | 0,764 | 0,725 | 0,684 | 0,642 | 0,602 | 0,564 |
0,0027 | 0,956 | 0,932 | 0,904 | 0,871 | 0,836 | 0,797 | 0,757 | 0,717 | 0,674 | 0,631 | 0,591 | 0,553 |
0,0028 | 0,954 | 0,929 | 0,899 | 0,866 | 0,830 | 0,790 | 0,750 | 0,708 | 0,663 | 0,622 | 0,580 | 0,541 |
0,0029 | 0,952 | 0,927 | 0,896 | 0,862 | 0,825 | 0,784 | 0,742 | 0,698 | 0,655 | 0,612 | 0,569 | 0,530 |
0,0030 | 0,950 | 0,924 | 0,894 | 0,859 | 0,819 | 0,778 | 0,735 | 0,690 | 0,645 | 0,601 | 0,558 | 0,519 |
0,0031 | 0,951 | 0,922 | 0,890 | 0,854 | 0,813 | 0,770 | 0,728 | 0,682 | 0,636 | 0,590 | 0,547 | 0,508 |
0,0032 | 0,948 | 0,919 | 0,886 | 0,848 | 0,087 | 0,764 | 0,720 | 0,673 | 0,626 | 0,580 | 0,537 | 0,496 |
0,0033 | 0,946 | 0,916 | 0,883 | 0,845 | 0,801 | 0,758 | 0,712 | 0,664 | 0,617 | 0,570 | 0,526 | 0,486 |
0,0034 | 0,944 | 0,913 | 0,880 | 0,841 | 0,796 | 0,751 | 0,702 | 0,656 | 0,608 | 0,561 | 0,515 | 0,474 |
0,0035 | 0,942 | 0,910 | 0,877 | 0,836 | 0,791 | 0,745 | 0,697 | 0,648 | 0,599 | 0,552 | 0,505 | 0,463 |
0,0036 | 0,941 | 0,908 | 0,873 | 0,832 | 0,786 | 0,738 | 0,691 | 0,640 | 0,591 | 0,544 | 0,498 | 0,456 |
0,0037 | 0,939 | 0,906 | 0,870 | 0,828 | 0,781 | 0,731 | 0,684 | 0,634 | 0,583 | 0,536 | 0,490 | 0,447 |
0,0038 | 0,937 | 0,903 | 0,867 | 0,823 | 0,776 | 0,725 | 0,678 | 0,626 | 0,575 | 0,528 | 0,482 | 0,439 |
0,0039 | 0,936 | 0,900 | 0,864 | 0,820 | 0,772 | 0,719 | 0,672 | 0,619 | 0,567 | 0,520 | 0,473 | 0,430 |
0,0040 | 0,935 | 0,899 | 0,861 | 0,815 | 0,766 | 0,714 | 0,665 | 0,612 | 0,560 | 0,512 | 0,465 | 0,422 |
0,0041 | 0,933 | 0,897 | 0,857 | 0,811 | 0,761 | 0,707 | 0,659 | 0,606 | 0,552 | 0,503 | 0,457 | 0,444 |
0,0042 | 0,931 | 0,894 | 0,854 | 0,807 | 0,756 | 0,702 | 0,652 | 0,598 | 0,545 | 0,495 | 0,405 | 0,406 |
0,0043 | 0,929 | 0,892 | 0,851 | 0,802 | 0,751 | 0,696 | 0,646 | 0,591 | 0,537 | 0,488 | 0,442 | 0,398 |
0,0044 | 0,929 | 0,889 | 0,848 | 0,799 | 0,746 | 0,690 | 0,640 | 0,581 | 0,530 | 0,480 | 0,434 | 0,391 |
0,0045 | 0,927 | 0,887 | 0,844 | 0,791 | 0,744 | 0,685 | 0,634 | 0,578 | 0,522 | 0,472 | 0,426 | 0,383 |
0,0046 | 0,925 | 0,884 | 0,840 | 0,791 | 0,734 | 0,679 | 0,627 | 0,570 | 0,515 | 0,465 | 0,418 | 0,375 |
0,0047 | 0,924 | 0,882 | 0,838 | 0,786 | 0,731 | 0,672 | 0,620 | 0,564 | 0,508 | 0,457 | 0,410 | 0,368 |
0,0048 | 0,924 | 0,879 | 0,834 | 0,782 | 0,725 | 0,666 | 0,644 | 0,557 | 0,499 | 0,450 | 0,402 | 0,360 |
0,0049 | 0,921 | 0,878 | 0,831 | 0,778 | 0,721 | 0,661 | 0,607 | 0,551 | 0,493 | 0,443 | 0,394 | 0,352 |
0,0050 | 0,920 | 0,876 | 0,827 | 0,774 | 0,716 | 0,655 | 0,601 | 0,543 | 0,486 | 0,435 | 0,387 | 0,344 |
0,0051 | 0,919 | 0,874 | 0,825 | 0,770 | 0,713 | 0,650 | 0,596 | 0,537 | 0,481 | 0,429 | 0,382 | 0,338 |
0,0052 | 0,917 | 0,871 | 0,822 | 0,767 | 0,708 | 0,644 | 0,592 | 0,531 | 0,474 | 0,424 | 0,376 | 0,332 |
0,0053 | 0,916 | 0,869 | 0,817 | 0,763 | 0,704 | 0,610 | 0,587 | 0,525 | 0,468 | 0,418 | 0,371 | 0,326 |
0,0054 | 0,914 | 0,867 | 0,814 | 0,758 | 0,699 | 0,635 | 0,581 | 0,519 | 0,463 | 0,412 | 0,364 | 0,321 |
0,0055 | 0,913 | 0,866 | 0,812 | 0,755 | 0,694 | 0,630 | 0,576 | 0,513 | 0,458 | 0,405 | 0,358 | 0,315 |
0,0056 | 0,911 | 0,865 | 0,809 | 0,750 | 0,690 | 0,625 | 0,572 | 0,508 | 0,452 | 0,400 | 0,352 | 0,310 |
0,0057 | 0,909 | 0,863 | 0,806 | 0,748 | 0,685 | 0,620 | 0,566 | 0,501 | 0,446 | 0,393 | 0,345 | 0,305 |
0,0058 | 0,908 | 0,860 | 0,803 | 0,744 | 0,681 | 0,617 | 0,560 | 0,496 | 0,440 | 0,388 | 0,341 | 0,300 |
0,0059 | 0,906 | 0,858 | 0,800 | 0,740 | 0,678 | 0,612 | 0,555 | 0,490 | 0,433 | 0,382 | 0,334 | 0,294 |
0,0060 | 0,904 | 0,854 | 0,797 | 0,736 | 0,673 | 0,607 | 0,550 | 0,484 | 0,428 | 0,375 | 0,329 | 0,288 |
0,0061 | 0,903 | 0,853 | 0,795 | 0,733 | 0,670 | 0,602 | 0,545 | 0,479 | 0,422 | 0,370 | 0,324 | 0,284 |
0,0062 | 0,901 | 0,848 | 0,791 | 0,730 | 0,665 | 0,598 | 0,539 | 0,474 | 0,416 | 0,364 | 0,318 | 0,278 |
0,0063 | 0,901 | 0,848 | 0,788 | 0,725 | 0,660 | 0,594 | 0,531 | 0,468 | 0,411 | 0,358 | 0,312 | 0,273 |
0,0064 | 0,899 | 0,846 | 0,784 | 0,722 | 0,655 | 0,589 | 0,524 | 0,462 | 0,406 | 0,352 | 0,306 | 0,268 |
0,0065 | 0,898 | 0,844 | 0,781 | 0,719 | 0,651 | 0,581 | 0,519 | 0,457 | 0,400 | 0,348 | 0,302 | 0,262 |
0,0066 | 0,896 | 0,842 | 0,779 | 0,716 | 0,647 | 0,580 | 0,514 | 0,452 | 0,395 | 0,343 | 0,297 | 0,258 |
0,0067 | 0,894 | 0,840 | 0,776 | 0,711 | 0,643 | 0,575 | 0,509 | 0,448 | 0,390 | 0,338 | 0,293 | 0,254 |
0,0068 | 0,892 | 0,837 | 0,772 | 0,709 | 0,639 | 0,570 | 0,505 | 0,443 | 0,385 | 0,334 | 0,289 | 0,250 |
0,0069 | 0,892 | 0,835 | 0,770 | 0,705 | 0,635 | 0,566 | 0,501 | 0,438 | 0,380 | 0,330 | 0,285 | 0,246 |
0,0070 | 0,890 | 0,833 | 0,767 | 0,701 | 0,630 | 0,562 | 0,496 | 0,433 | 0,375 | 0,326 | 0,281 | 0,243 |
0,0071 | 0,889 | 0,830 | 0,764 | 0,698 | 0,626 | 0,557 | 0,492 | 0,429 | 0,372 | 0,321 | 0,277 | 0,239 |
0,0072 | 0,888 | 0,829 | 0,762 | 0,695 | 0,623 | 0,552 | 0,487 | 0,423 | 0,368 | 0,317 | 0,272 | 0,234 |
0,0073 | 0,886 | 0,826 | 0,759 | 0,691 | 0,618 | 0,548 | 0,482 | 0,419 | 0,363 | 0,313 | 0,268 | 0,232 |
0,0074 | 0,884 | 0,824 | 0,758 | 0,687 | 0,614 | 0,544 | 0,478 | 0,414 | 0,359 | 0,308 | 0,263 | 0,228 |
0,0075 | 0,883 | 0,822 | 0,756 | 0,684 | 0,610 | 0,538 | 0,473 | 0,410 | 0,354 | 0,304 | 0,260 | 0,224 |
0,0076 | 0,881 | 0,820 | 0,752 | 0,680 | 0,607 | 0,534 | 0,469 | 0,406 | 0,349 | 0,300 | 0,256 | 0,220 |
0,0077 | 0,880 | 0,818 | 0,749 | 0,678 | 0,602 | 0,530 | 0,464 | 0,402 | 0,345 | 0,296 | 0,252 | 0,216 |
0,0078 | 0,878 | 0,816 | 0,747 | 0,674 | 0,598 | 0,528 | 0,460 | 0,397 | 0,340 | 0,291 | 0,248 | 0,213 |
0,0079 | 0,876 | 0,814 | 0,743 | 0,671 | 0,595 | 0,522 | 0,455 | 0,392 | 0,336 | 0,287 | 0,244 | 0,209 |
0,0080 | 0,875 | 0,812 | 0,741 | 0,667 | 0,591 | 0,518 | 0,450 | 0,388 | 0,331 | 0,283 | 0,240 | 0,205 |
0,0081 | 0,874 | 0,811 | 0,738 | 0,664 | 0,588 | 0,515 | 0,446 | 0,383 | 0,327 | 0,278 | 0,235 | 0,202 |
0,0082 | 0,872 | 0,808 | 0,735 | 0,660 | 0,584 | 0,511 | 0,442 | 0,379 | 0,323 | 0,275 | 0,232 | 0,198 |
0,0083 | 0,871 | 0,806 | 0,733 | 0,657 | 0,580 | 0,507 | 0,437 | 0,375 | 0,318 | 0,271 | 0,228 | 0,193 |
0,0084 | 0,870 | 0,803 | 0,730 | 0,654 | 0,576 | 0,503 | 0,433 | 0,371 | 0,314 | 0,266 | 0,224 | 0,189 |
0,0085 | 0,868 | 0,802 | 0,727 | 0,650 | 0,572 | 0,498 | 0,429 | 0,366 | 0,310 | 0,262 | 0,220 | 0,187 |
0,0086 | 0,866 | 0,799 | 0,724 | 0,647 | 0,568 | 0,493 | 0,425 | 0,362 | 0,307 | 0,258 | 0,217 | 0,185 |
0,0087 | 0,864 | 0,797 | 0,722 | 0,645 | 0,565 | 0,489 | 0,421 | 0,359 | 0,303 | 0,256 | 0,214 | 0,182 |
0,0088 | 0,863 | 0,794 | 0,719 | 0,641 | 0,561 | 0,486 | 0,418 | 0,355 | 0,300 | 0,252 | 0,211 | 0,179 |
0,0089 | 0,861 | 0,792 | 0,715 | 0,637 | 0,558 | 0,482 | 0,414 | 0,351 | 0,296 | 0,249 | 0,208 | 0,176 |
0,0090 | 0,860 | 0,790 | 0,713 | 0,633 | 0,554 | 0,478 | 0,410 | 0,348 | 0,292 | 0,246 | 0,205 | 0,174 |
0,0091 | 0,859 | 0,788 | 0,711 | 0,631 | 0,550 | 0,474 | 0,406 | 0,345 | 0,289 | 0,243 | 0,202 | 0,172 |
0,0092 | 0,857 | 0,786 | 0,709 | 0,627 | 0,548 | 0,470 | 0,403 | 0,340 | 0,286 | 0,239 | 0,199 | 0,169 |
0,0093 | 0,856 | 0,784 | 0,707 | 0,625 | 0,544 | 0,467 | 0,400 | 0,337 | 0,282 | 0,236 | 0,196 | 0,166 |
0,0094 | 0,855 | 0,783 | 0,704 | 0,621 | 0,540 | 0,463 | 0,396 | 0,333 | 0,279 | 0,233 | 0,193 | 0,164 |
0,0095 | 0,853 | 0,781 | 0,700 | 0,618 | 0,537 | 0,460 | 0,392 | 0,330 | 0,276 | 0,229 | 0,191 | 0,161 |
0,0096 | 0,851 | 0,779 | 0,698 | 0,617 | 0,533 | 0,457 | 0,389 | 0,326 | 0,273 | 0,227 | 0,188 | 0,159 |
0,0097 | 0,850 | 0,777 | 0,695 | 0,612 | 0,530 | 0,454 | 0,385 | 0,322 | 0,269 | 0,224 | 0,185 | 0,156 |
0,0098 | 0,849 | 0,775 | 0,693 | 0,610 | 0,527 | 0,450 | 0,381 | 0,319 | 0,266 | 0,220 | 0,182 | 0,154 |
0,0099 | 0,847 | 0,772 | 0,690 | 0,606 | 0,523 | 0,447 | 0,377 | 0,315 | 0,262 | 0,217 | 0,179 | 0,151 |
0,0100 | 0,845 | 0,770 | 0,687 | 0,604 | 0,520 | 0,444 | 0,373 | 0,312 | 0,259 | 0,214 | 0,177 | 0,149 |
0,011 | 0,832 | 0,751 | 0,664 | 0,577 | 0,492 | 0,418 | 0,347 | 0,287 | 0,237 | 0,196 | 0,161 | 0,136 |
0,012 | 0,818 | 0,734 | 0,642 | 0,551 | 0,466 | 0,388 | 0,321 | 0,264 | 0,215 | 0,178 | 0,146 | 0,124 |
0,013 | 0,806 | 0,715 | 0,620 | 0,526 | 0,440 | 0,360 | 0,296 | 0,240 | 0,196 | 0,161 | 0,135 | 0,112 |
0,014 | 0,792 | 0,697 | 0,597 | 0,501 | 0,415 | 0,334 | 0,272 | 0,220 | 0,178 | 0,149 | 0,121 | 0,104 |
0,015 | 0,780 | 0,680 | 0,576 | 0,478 | 0,390 | 0,312 | 0,252 | 0,200 | 0,160 | 0,133 | 0,109 | 0,094 |
0,016 | 0,766 | 0,663 | 0,555 | 0,454 | 0,365 | 0,288 | 0,230 | 0,181 | 0,144 | 0,117 | 0,099 | 0,085 |
0,017 | 0,753 | 0,646 | 0,534 | 0,431 | 0,343 | 0,265 | 0,208 | 0,164 | 0,128 | 0,104 | 0,087 | 0,076 |
0,018 | 0,741 | 0,630 | 0,524 | 0,409 | 0,320 | 0,244 | 0,190 | 0,146 | 0,113 | 0,092 | 0,076 | 0,068 |
0,019 | 0,730 | 0,614 | 0,499 | 0,390 | 0,304 | 0,227 | 0,179 | 0,137 | 0,106 | 0,085 | 0,071 | 0,062 |
0,020 | 0,718 | 0,599 | 0,479 | 0,377 | 0,290 | 0,219 | 0,169 | 0,129 | 0,099 | 0,079 | 0,066 | 0,057 |
0,021 | 0,707 | 0,585 | 0,466 | 0,362 | 0,275 | 0,208 | 0,159 | 0,121 | 0,092 | 0,073 | 0,060 | 0,053 |
0,022 | 0,696 | 0,571 | 0,450 | 0,346 | 0,262 | 0,198 | 0,149 | 0,113 | 0,086 | 0,068 | 0,056 | 0,048 |
0,023 | 0,685 | 0,557 | 0,434 | 0,332 | 0,249 | 0,186 | 0,140 | 0,104 | 0,080 | 0,063 | 0,051 | 0,044 |
0,024 | 0,673 | 0,544 | 0,420 | 0,317 | 0,237 | 0,175 | 0,131 | 0,098 | 0,074 | 0,058 | 0,047 | 0,040 |
0,025 | 0,662 | 0,530 | 0,405 | 0,303 | 0,225 | 0,167 | 0,123 | 0,091 | 0,069 | 0,053 | 0,043 | 0,037 |
0,026 | 0,650 | 0,516 | 0,392 | 0,290 | 0,213 | 0,157 | 0,114 | 0,084 | 0,064 | 0,049 | 0,039 | 0,033 |
0,027 | 0,640 | 0,502 | 0,379 | 0,278 | 0,202 | 0,148 | 0,106 | 0,078 | 0,058 | 0,045 | 0,036 | 0,030 |
0,028 | 0,629 | 0,490 | 0,364 | 0,265 | 0,191 | 0,140 | 0,098 | 0,071 | 0,053 | 0,041 | 0,032 | 0,027 |
0,029 | 0,619 | 0,477 | 0,352 | 0,253 | 0,180 | 0,131 | 0,091 | 0,065 | 0,049 | 0,037 | 0,029 | 0,023 |
0,030 | 0,608 | 0,464 | 0,337 | 0,241 | 0,168 | 0,122 | 0,084 | 0,061 | 0,044 | 0,033 | 0,026 | 0,021 |
0,031 | 0,598 | 0,454 | 0,327 | 0,233 | 0,162 | 0,117 | 0,080 | 0,057 | 0,042 | 0,032 | 0,024 | 0,020 |
0,032 | 0,591 | 0,444 | 0,318 | 0,225 | 0,157 | 0,112 | 0,076 | 0,054 | 0,040 | 0,030 | 0,023 | 0,019 |
0,033 | 0,580 | 0,435 | 0,310 | 0,218 | 0,150 | 0,107 | 0,072 | 0,052 | 0,038 | 0,029 | 0,022 | 0,017 |
0,034 | 0,570 | 0,425 | 0,302 | 0,210 | 0,144 | 0,102 | 0,069 | 0,050 | 0,036 | 0,027 | 0,020 | 0,016 |
0,035 | 0,561 | 0,414 | 0,294 | 0,203 | 0,139 | 0,098 | 0,066 | 0,048 | 0,034 | 0,026 | 0,019 | 0,015 |
0,036 | 0,553 | 0,404 | 0,286 | 0,195 | 0,133 | 0,093 | 0,063 | 0,045 | 0,033 | 0,025 | 0,018 | 0,014 |
0,037 | 0,542 | 0,396 | 0,278 | 0,189 | 0,128 | 0,089 | 0,060 | 0,043 | 0,031 | 0,023 | 0,017 | 0,013 |
0,038 | 0,535 | 0,386 | 0,270 | 0,182 | 0,122 | 0,085 | 0,057 | 0,041 | 0,029 | 0,022 | 0,016 | 0,013 |
0,039 | 0,526 | 0,377 | 0,262 | 0,175 | 0,116 | 0,081 | 0,054 | 0,038 | 0,028 | 0,021 | 0,015 | 0,012 |
0,040 | 0,517 | 0,368 | 0,254 | 0,168 | 0,110 | 0,077 | 0,052 | 0,036 | 0,026 | 0,020 | 0,015 | 0,011 |
0,041 | 0,507 | 0,361 | 0,247 | 0,163 | 0,107 | 0,073 | 0,049 | 0,034 | 0,024 | 0,018 | 0,0140 | 0,0107 |
0,042 | 0,501 | 0,352 | 0,240 | 0,156 | 0,101 | 0,070 | 0,046 | 0,033 | 0,023 | 0,017 | 0,0132 | 0,0102 |
0,043 | 0,492 | 0,345 | 0,233 | 0,150 | 0,097 | 0,066 | 0,044 | 0,031 | 0,022 | 0,016 | 0,0126 | 0,0098 |
0,044 | 0,484 | 0,337 | 0,225 | 0,144 | 0,093 | 0,063 | 0,041 | 0,029 | 0,020 | 0,0155 | 0,0118 | 0,0090 |
0,045 | 0,476 | 0,329 | 0,218 | 0,138 | 0,088 | 0,060 | 0,039 | 0,027 | 0,019 | 0,0146 | 0,0110 | 0,0085 |
0,046 | 0,468 | 0,321 | 0,212 | 0,132 | 0,084 | 0,056 | 0,037 | 0,025 | 0,018 | 0,0138 | 0,0105 | 0,0078 |
0,047 | 0,460 | 0,313 | 0,205 | 0,126 | 0,080 | 0,053 | 0,034 | 0,024 | 0,017 | 0,0131 | 0,0095 | 0,0073 |
0,048 | 0,452 | 0,305 | 0,198 | 0,121 | 0,076 | 0,050 | 0,032 | 0,022 | 0,016 | 0,0123 | 0,0089 | 0,0070 |
0,049 | 0,444 | 0,298 | 0,192 | 0,116 | 0,072 | 0,047 | 0,030 | 0,020 | 0,015 | 0,0115 | 0,0082 | 0,0065 |
0,050 | 0,436 | 0,289 | 0,185 | 0,110 | 0,069 | 0,044 | 0,028 | 0,019 | 0,014 | 0,0101 | 0,0075 | 0,0062 |
0,051 | 0,428 | 0,283 | 0,180 | 0,107 | 0,067 | 0,042 | 0,027 | 0,0182 | 0,013 | 0,0095 | 0,0071 | 0,0057 |
0,052 | 0,423 | 0,278 | 0,175 | 0,104 | 0,064 | 0,041 | 0,026 | 0,0176 | 0,0126 | 0,0091 | 0,0068 | 0,0053 |
0,053 | 0,415 | 0,272 | 0,170 | 0,101 | 0,062 | 0,039 | 0,025 | 0,0170 | 0,0121 | 0,0089 | 0,0064 | 0,0051 |
0,054 | 0,410 | 0,266 | 0,165 | 0,099 | 0,060 | 0,038 | 0,024 | 0,0164 | 0,0115 | 0,0084 | 0,0062 | 0,0047 |
0,055 | 0,403 | 0,261 | 0,161 | 0,095 | 0,058 | 0,036 | 0,023 | 0,0160 | 0,0110 | 0,0079 | 0,0058 | 0,0045 |
0,056 | 0,396 | 0,256 | 0,158 | 0,092 | 0,056 | 0,034 | 0,022 | 0,0154 | 0,0105 | 0,0077 | 0,0056 | 0,0043 |
0,057 | 0,393 | 0,251 | 0,154 | 0,090 | 0,055 | 0,033 | 0,021 | 0,0150 | 0,0100 | 0,0073 | 0,0052 | 0,0041 |
0,058 | 0,387 | 0,246 | 0,150 | 0,088 | 0,053 | 0,032 | 0,0202 | 0,0143 | 0,0098 | 0,0069 | 0,0050 | 0,0038 |
0,059 | 0,381 | 0,240 | 0,146 | 0,084 | 0,051 | 0,031 | 0,0200 | 0,0137 | 0,0094 | 0,0066 | 0,0047 | 0,0037 |
0,060 | 0,376 | 0,236 | 0,141 | 0,082 | 0,049 | 0,029 | 0,0188 | 0,0132 | 0,0089 | 0,0062 | 0,0045 | 0,0034 |
0,061 | 0,371 | 0,231 | 0,138 | 0,079 | 0,047 | 0,028 | 0,0183 | 0,0127 | 0,0085 | 0,0059 | 0,0042 | 0,0033 |
0,062 | 0,365 | 0,226 | 0,133 | 0,072 | 0,045 | 0,027 | 0,0174 | 0,0122 | 0,0081 | 0,0056 | 0,0040 | 0,0030 |
0,063 | 0,360 | 0,220 | 0,129 | 0,069 | 0,043 | 0,026 | 0,0169 | 0,0118 | 0,0077 | 0,0053 | 0,0038 | 0,0029 |
0,064 | 0,355 | 0,216 | 0,126 | 0,067 | 0,042 | 0,024 | 0,0161 | 0,0112 | 0,0072 | 0,0049 | 0,0035 | 0,0028 |
0,065 | 0,349 | 0,211 | 0,122 | 0,065 | 0,040 | 0,0237 | 0,0158 | 0,0107 | 0,0068 | 0,0048 | 0,0034 | 0,0027 |
0,066 | 0,344 | 0,206 | 0,118 | 0,063 | 0,038 | 0,0232 | 0,0148 | 0,0103 | 0,0064 | 0,0045 | 0,0032 | 0,0026 |
0,067 | 0,340 | 0,201 | 0,115 | 0,060 | 0,037 | 0,0222 | 0,0143 | 0,0099 | 0,0062 | 0,0042 | 0,0031 | 0,0024 |
0,068 | 0,334 | 0,197 | 0,112 | 0,058 | 0,036 | 0,0214 | 0,0136 | 0,0093 | 0,0059 | 0,0041 | 0,0030 | 0,0023 |
0,069 | 0,329 | 0,192 | 0,109 | 0,056 | 0,034 | 0,0206 | 0,0132 | 0,0088 | 0,0055 | 0,0037 | 0,0028 | 0,0022 |
0,070 | 0,323 | 0,188 | 0,106 | 0,056 | 0,032 | 0,0201 | 0,0124 | 0,0084 | 0,0052 | 0,0035 | 0,0027 | 0,0021 |
0,071 | 0,319 | 0,184 | 0,102 | 0,054 | 0,031 | 0,0191 | 0,0120 | 0,0080 | 0,0050 | 0,0034 | 0,0025 | 0,0019 |
0,072 | 0,313 | 0,180 | 0,099 | 0,054 | 0,030 | 0,0183 | 0,0115 | 0,0075 | 0,0048 | 0,0032 | 0,0023 | 0,0018 |
0,073 | 0,308 | 0,176 | 0,095 | 0,052 | 0,028 | 0,0175 | 0,0110 | 0,0072 | 0,0044 | 0,0031 | 0,0022 | 0,0017 |
0,074 | 0,304 | 0,172 | 0,092 | 0,050 | 0,027 | 0,0167 | 0,0106 | 0,0068 | 0,0042 | 0,0030 | 0,0021 | 0,0016 |
0,075 | 0,299 | 0,167 | 0,088 | 0,046 | 0,026 | 0,0160 | 0,0102 | 0,0065 | 0,0041 | 0,0029 | 0,0020 | 0,0015 |
0,076 | 0,295 | 0,164 | 0,086 | 0,045 | 0,025 | 0,0155 | 0,0097 | 0,0061 | 0,0038 | 0,0027 | 0,0019 | 0,0014 |
0,077 | 0,291 | 0,161 | 0,084 | 0,044 | 0,0248 | 0,0150 | 0,0095 | 0,0060 | 0,0037 | 0,0026 | 0,0017 | 0,0014 |
0,078 | 0,287 | 0,157 | 0,082 | 0,043 | 0,0242 | 0,0145 | 0,0091 | 0,0056 | 0,0035 | 0,0025 | 0,0016 | 0,0013 |
0,079 | 0,283 | 0,155 | 0,080 | 0,042 | 0,0237 | 0,0141 | 0,0088 | 0,0054 | 0,0034 | 0,0024 | 0,0016 | 0,00122 |
0,080 | 0,280 | 0,152 | 0,079 | 0,041 | 0,0231 | 0,0136 | 0,0084 | 0,0052 | 0,0033 | 0,0023 | 0,0015 | 0,00120 |
0,081 | 0,275 | 0,149 | 0,077 | 0,040 | 0,0226 | 0,0133 | 0,0082 | 0,0050 | 0,0031 | 0,0022 | 0,0014 | 0,00110 |
0,082 | 0,272 | 0,145 | 0,075 | 0,038 | 0,0221 | 0,0127 | 0,0078 | 0,0048 | 0,0030 | 0,0021 | 0,00136 | 0,00106 |
0,083 | 0,267 | 0,142 | 0,073 | 0,037 | 0,0212 | 0,0124 | 0,0074 | 0,0046 | 0,0029 | 0,0020 | 0,00132 | 0,00103 |
0,084 | 0,263 | 0,140 | 0,071 | 0,036 | 0,0207 | 0,0120 | 0,0073 | 0,0044 | 0,0028 | 0,0019 | 0,00128 | 0,00098 |
0,085 | 0,260 | 0,137 | 0,070 | 0,035 | 0,0202 | 0,0116 | 0,0069 | 0,0043 | 0,0027 | 0,0018 | 0,00118 | 0,00093 |
0,086 | 0,256 | 0,134 | 0,068 | 0,034 | 0,0196 | 0,0113 | 0,0068 | 0,0040 | 0,0026 | 0,00173 | 0,00116 | 0,00085 |
0,087 | 0,253 | 0,132 | 0,066 | 0,033 | 0,0189 | 0,0109 | 0,0065 | 0,0039 | 0,0025 | 0,00170 | 0,00111 | 0,00083 |
0,088 | 0,249 | 0,130 | 0,064 | 0,032 | 0,0184 | 0,0105 | 0,0062 | 0,0038 | 0,0024 | 0,00160 | 0,00105 | 0,00079 |
0,089 | 0,245 | 0,127 | 0,062 | 0,031 | 0,0178 | 0,0099 | 0,0060 | 0,0037 | 0,0023 | 0,00150 | 0,00098 | 0,00076 |
0,090 | 0,241 | 0,124 | 0,061 | 0,031 | 0,0175 | 0,0097 | 0,0058 | 0,0035 | 0,0022 | 0,00140 | 0,00094 | 0,00066 |
0,091 | 0,238 | 0,122 | 0,059 | 0,030 | 0,0167 | 0,0095 | 0,0055 | 0,0034 | 0,0021 | 0,00142 | 0,00090 | 0,00065 |
0,092 | 0,234 | 0,119 | 0,058 | 0,029 | 0,0163 | 0,0091 | 0,0054 | 0,0033 | 0,0020 | 0,00131 | 0,00086 | 0,00061 |
0,093 | 0,231 | 0,116 | 0,056 | 0,028 | 0,0158 | 0,0087 | 0,0052 | 0,0032 | 0,0019 | 0,00129 | 0,00080 | 0,00058 |
0,094 | 0,228 | 0,114 | 0,054 | 0,027 | 0,0152 | 0,0083 | 0,0050 | 0,0031 | 0,00186 | 0,00124 | 0,00074 | 0,00053 |
0,095 | 0,224 | 0,112 | 0,052 | 0,027 | 0,0148 | 0,0080 | 0,0046 | 0,0030 | 0,00184 | 0,00114 | 0,00070 | 0,00051 |
0,096 | 0,220 | 0,109 | 0,051 | 0,026 | 0,0143 | 0,0076 | 0,0045 | 0,0028 | 0,00166 | 0,00112 | 0,00068 | 0,00050 |
0,097 | 0,218 | 0,107 | 0,049 | 0,025 | 0,0139 | 0,0073 | 0,0044 | 0,0027 | 0,00161 | 0,00106 | 0,00065 | 0,00048 |
0,098 | 0,214 | 0,104 | 0,047 | 0,024 | 0,0133 | 0,0070 | 0,0042 | 0,0026 | 0,00156 | 0,00103 | 0,00060 | 0,00044 |
0,099 | 0,211 | 0,102 | 0,046 | 0,024 | 0,0127 | 0,0067 | 0,0040 | 0,0025 | 0,00148 | 0,00095 | 0,00057 | 0,00042 |
0,10 | 0,207 | 0,100 | 0,044 | 0,023 | 0,0123 | 0,0061 | 0,0038 | 0,0024 | 0,00143 | 0,00090 | 0,00056 | 0,00041 |
0,11 | 0,185 | 0,084 | 0,037 | 0,017 | 0,0092 | 0,0043 | 0,0020 | 0,0017 | 0,00097 | 0,00060 | 0,00036 | 0,00024 |
0,12 | 0,165 | 0,069 | 0,030 | 0,014 | 0,0068 | 0,0033 | 0,0020 | 0,0012 | 0,00062 | 0,00037 | 0,00022 | 0,00016 |
0,13 | 0,148 | 0,055 | 0,024 | 0,011 | 0,0052 | 0,0026 | 0,0014 | 0,00080 | 0,00040 | 0,00025 | 0,00014 | 0,00010 |
0,14 | 0,130 | 0,046 | 0,019 | 0,008 | 0,0040 | 0,0020 | 0,0012 | 0,00055 | 0,00027 | 0,00016 | 0,00010 | |
0,15 | 0,115 | 0,038 | 0,015 | 0,006 | 0,0029 | 0,0014 | 0,00068 | 0,00033 | 0,00019 | 0,00010 | | |
0,16 | 0,101 | 0,033 | 0,012 | 0,005 | 0,0022 | 0,0010 | 0,00049 | 0,00026 | 0,00013 | | | |
0,17 | 0,087 | 0,029 | 0,010 | 0,004 | 0,0018 | 0,00081 | 0,00035 | 0,00018 | 0,00010 | | | |
0,18 | 0,075 | 0,024 | 0,008 | 0,0032 | 0,0013 | 0,00057 | 0,00027 | 0,00012 | | | | |
0,19 | 0,067 | 0,021 | 0,007 | 0,0026 | 0,0010 | 0,00042 | 0,00020 | 0,00010 | | | | |
0,20 | 0,060 | 0,017 | 0,006 | 0,0020 | 0,00077 | 0,00033 | 0,00014 | | | | | |
0,21 | 0,052 | 0,014 | 0,005 | 0,0016 | 0,00056 | 0,00026 | 0,00010 | | | | | |
0,22 | 0,045 | 0,012 | 0,004 | 0,0012 | 0,00043 | 0,00018 | | | | | | |
0,23 | 0,039 | 0,010 | 0,0032 | 0,00098 | 0,00034 | 0,00012 | | | | | | |
0,24 | 0,033 | 0,008 | 0,0026 | 0,00074 | 0,00026 | 0,00010 | | | | | | |
0,25 | 0,027 | 0,007 | 0,0020 | 0,00053 | 0,00018 | | | | | | | |
СРЕДНИЕ СУТОЧНЫЕ ЗНАЧЕНИЯ АЛЬБЕДО ВОДНОЙ ПОВЕРХНОСТИ
Облачность, баллы |  , с.ш. |
Nо | Nн | 30 | 40 | 50 | 60 | 70 | 80 |
Январь |
0 | 0 | 0,08 | 0,13 | 0,20 | 0,27 | - | - |
5 | 0 | 0,08 | 0,12 | 0,17 | 0,24 | - | - |
5 | 5 | 0,08 | 0,13 | 0,18 | 0,25 | - | - |
10 | 0 | 0,08 | 0,08 | 0,09 | 0,09 | - | - |
10 | 5 | 0,08 | 0,08 | 0,09 | 0,009 | - | - |
10 | 10 | 0,08 | 0,08 | 0,08 | 0,08 | - | - |
Февраль |
0 | 0 | 0,06 | 0,09 | 0,12 | 0,19 | 0,44 | - |
5 | 0 | 0,07 | 0,08 | 0,11 | 0,17 | 0,33 | - |
5 | 5 | 0,07 | 0,09 | 0,11 | 0,19 | 0,38 | - |
10 | 0 | 0,07 | 0,08 | 0,09 | 0,09 | 0,08 | - |
10 | 5 | 0,07 | 0,08 | 0,08 | 0,08 | 0,08 | - |
10 | 10 | 0,08 | 0,08 | 0,08 | 0,08 | 0,08 | - |
Март |
0 | 0 | 0,05 | 0,06 | 0,08 | 0,11 | 0,20 | 0,37 |
5 | 0 | 0,06 | 0,06 | 0,08 | 0,11 | 0,18 | 0,27 |
5 | 5 | 0,06 | 0,07 | 0,08 | 0,12 | 0,20 | 0,29 |
10 | 0 | 0,06 | 0,07 | 0,08 | 0,09 | 0,09 | 0,09 |
10 | 5 | 0,07 | 0,08 | 0,08 | 0,08 | 0,09 | 0,09 |
10 | 10 | 0,08 | 0,08 | 0,08 | 0,08 | 0,08 | 0,08 |
Апрель |
0 | 0 | 0,05 | 0,05 | 0,06 | 0,08 | 0,12 | 0,19 |
5 | 0 | 0,05 | 0,06 | 0,06 | 0,18 | 0,11 | 0,15 |
5 | 5 | 0,05 | 0,06 | 0,07 | 0,09 | 0,12 | 0,16 |
10 | 0 | 0,06 | 0,06 | 0,07 | 0,08 | 0,09 | 0,09 |
10 | 5 | 0,06 | 0,07 | 0,07 | 0,08 | 0,08 | 0,09 |
10 | 10 | 0,08 | 0,08 | 0,08 | 0,08 | 0,08 | 0,08 |
Май |
0 | 0 | 0,05 | 0,05 | 0,05 | 0,07 | 0,10 | 0,13 |
5 | 0 | 0,05 | 0,05 | 0,06 | 0,07 | 0,09 | 0,11 |
5 | 5 | 0,05 | 0,05 | 0,06 | 0,07 | 0,09 | 0,12 |
10 | 0 | 0,06 | 0,06 | 0,06 | 0,07 | 0,09 | 0,09 |
10 | 5 | 0,06 | 0,06 | 0,07 | 0,08 | 0,08 | 0,08 |
10 | 10 | 0,08 | 0,08 | 0,08 | 0,08 | 0,08 | 0,08 |
Июнь |
0 | 0 | 0,05 | 0,05 | 0,05 | 0,07 | 0,09 | 0,09 |
5 | 0 | 0,05 | 0,05 | 0,06 | 0,07 | 0,09 | 0,09 |
5 | 5 | 0,05 | 0,05 | 0,06 | 0,07 | 0,09 | 0,09 |
10 | 0 | 0,06 | 0,06 | 0,06 | 0,07 | 0,08 | 0,09 |
10 | 5 | 0,06 | 0,06 | 0,07 | 0,08 | 0,08 | 0,08 |
10 | 10 | 0,08 | 0,08 | 0,08 | 0,08 | 0,08 | 0,08 |
Июль |
0 | 0 | 0,05 | 0,05 | 0,05 | 0,07 | 0,10 | 0,11 |
5 | 0 | 0,05 | 0,05 | 0,06 | 0,07 | 0,09 | 0,10 |
5 | 5 | 0,05 | 0,05 | 0,06 | 0,07 | 0,09 | 0,10 |
10 | 0 | 0,06 | 0,06 | 0,06 | 0,07 | 0,09 | 0,09 |
10 | 5 | 0,06 | 0,06 | 0,07 | 0,07 | 0,08 | 0,09 |
10 | 10 | 0,08 | 0,08 | 0,08 | 0,08 | 0,08 | 0,08 |
Август |
0 | 0 | 0,05 | 0,05 | 0,06 | 0,07 | 0,10 | 0,15 |
5 | 0 | 0,05 | 0,05 | 0,06 | 0,07 | 0,00 | 0,08 |
10 | 0 | 0,05 | 0,05 | 0,06 | 0,07 | 0,10 | 0,14 |
10 | 0 | 0,06 | 0,06 | 0,06 | 0,07 | 0,09 | 0,09 |
10 | 5 | 0,06 | 0,06 | 0,07 | 0,08 | 0,09 | 0,09 |
10 | 10 | 0,08 | 0,08 | 0,08 | 0,08 | 0,08 | 0,08 |
Сентябрь |
0 | 0 | 0,05 | 0,06 | 0,07 | 0,10 | 0,16 | 0,24 |
5 | 0 | 0,06 | 0,06 | 0,07 | 0,09 | 0,12 | 0,17 |
5 | 5 | 0,06 | 0,06 | 0,07 | 0,09 | 0,12 | 0,19 |
10 | 0 | 0,06 | 0,07 | 0,08 | 0,08 | 0,09 | 0,09 |
10 | 5 | 0,07 | 0,07 | 0,08 | 0,08 | 0,09 | 0,09 |
10 | 10 | 0,08 | 0,08 | 0,08 | 0,08 | 0,08 | 0,08 |
Октябрь |
0 | 0 | 0,06 | 0,08 | 0,10 | 0,14 | 0,33 | - |
5 | 0 | 0,07 | 0,08 | 0,09 | 0,12 | 0,25 | - |
5 | 5 | 0,07 | 0,08 | 0,09 | 0,13 | 0,29 | - |
10 | 0 | 0,07 | 0,08 | 0,08 | 0,08 | 0,08 | - |
10 | 5 | 0,07 | 0,08 | 0,08 | 0,08 | 0,08 | - |
10 | 10 | 0,08 | 0,08 | 0,08 | 0,08 | 0,08 | - |
Ноябрь |
0 | 0 | 0,07 | 0,11 | 0,17 | 0,26 | 0,46 | - |
5 | 0 | 0,07 | 0,10 | 0,15 | 0,22 | 0,34 | - |
5 | 5 | 0,07 | 0,11 | 0,16 | 0,24 | 0,39 | - |
10 | 0 | 0,08 | 0,09 | 0,09 | 0,09 | 0,08 | - |
10 | 5 | 0,08 | 0,08 | 0,09 | 0,09 | 0,08 | - |
10 | 10 | 0,08 | 0,08 | 0,08 | 0,08 | 0,08 | - |
Декабрь |
0 | 0 | 0,08 | 0,13 | 0,20 | 0,26 | - | - |
5 | 0 | 0,08 | 0,12 | 0,16 | 0,22 | - | - |
5 | 5 | 0,08 | 0,12 | 0,18 | 0,26 | - | - |
10 | 0 | 0,08 | 0,08 | 0,08 | 0,09 | - | - |
10 | 5 | 0,08 | 0,08 | 0,08 | 0,08 | - | - |
10 | 10 | 0,08 | 0,08 | 0,08 | 0,08 | - | - |
ЗНАЧЕНИЯ КОЭФФИЦИЕНТА
Ke В ЗАВИСИМОСТИ ОТ ШИРОТЫ МЕСТНОСТИ,
ВРЕМЕНИ ГОДА И АБСОЛЮТНОЙ ВЛАЖНОСТИ ВОЗДУХА
e2, мбар |  , с.ш. |
30 | 40 | 50 | 60 | 70 | 80 |
Январь |
0 | 1,050 | 1,050 | 1,043 | 1,032 | 1,015 | |
3 | 1,023 | 1,013 | 1,002 | 0,982 | 0,950 | |
5 | 1,005 | 0,990 | 0,975 | 0,947 | 0,907 | |
10 | 0,967 | 0,955 | 0,933 | 0,900 | 0,835 | |
15 | 0,930 | 0,910 | 0,889 | 0,835 | 0,765 | |
Февраль |
0 | 1,057 | 1,050 | 1,040 | 1,030 | 1,020 | 1,005 |
3 | 1,027 | 1,017 | 1,005 | 0,990 | 0,975 | 0,950 |
5 | 1,010 | 0,997 | 0,982 | 0,965 | 0,945 | 0,917 |
10 | 0,985 | 0,960 | 0,940 | 0,915 | 0,888 | 0,852 |
15 | 0,960 | 0,930 | 0,900 | 0,867 | 0,935 | 0,790 |
Март |
0 | 1,062 | 1,055 | 1,042 | 1,030 | 1,017 | 1,005 |
3 | 1,035 | 1,025 | 1,015 | 1,005 | 0,995 | 0,075 |
5 | 1,020 | 1,010 | 0,993 | 0,984 | 0,970 | 0,954 |
10 | 0,995 | 0,980 | 0,960 | 0,940 | 0,920 | 0,900 |
15 | 0,075 | 0,967 | 0,935 | 0,910 | 0,885 | 0,860 |
20 | 0,960 | 0,935 | 0,907 | 0,877 | 0,845 | 0,815 |
Апрель |
0 | 1,072 | 1,065 | 1,055 | 1,040 | 1,028 | 1,015 |
3 | 1,051 | 1,041 | 1,028 | 1,011 | 0,995 | 0,982 |
5 | 1,037 | 1,025 | 1,010 | 0,992 | 0,974 | 0,960 |
10 | 1,010 | 0,995 | 0,980 | 0,962 | 0,942 | 0,920 |
15 | 0,985 | 0,975 | 0,955 | 0,935 | 0,910 | 0,885 |
20 | 0,967 | 0,957 | 0,938 | 0,912 | 0,882 | 0,845 |
25 | 0,962 | 0,943 | 0,928 | 0,895 | 0,862 | 0,825 |
30 | 0,940 | 0,928 | 0,906 | 0,875 | 0,840 | 0,797 |
Май |
0 | 1,075 | 1,070 | 1,065 | 1,058 | 1,050 | 1,040 |
3 | 1,060 | 1,052 | 1,044 | 1,032 | 1,020 | 1,007 |
5 | 1,050 | 1,040 | 1,030 | 1,015 | 1,000 | 0,985 |
10 | 1,015 | 1,008 | 0,995 | 0,980 | 0,965 | 0,950 |
15 | 0,995 | 0,990 | 0,975 | 0,955 | 0,935 | 0,915 |
20 | 0,975 | 0,970 | 0,955 | 0,940 | 0,912 | 0,885 |
25 | 0,960 | 0,955 | 0,945 | 0,920 | 0,980 | 0,855 |
30 | 0,942 | 0,940 | 0,927 | 0,905 | 0,870 | 0,835 |
Июнь |
0 | 1,080 | 1,080 | 1,080 | 1,077 | 1,070 | 1,055 |
3 | 1,059 | 1,059 | 1,058 | 1,051 | 1,039 | 1,025 |
5 | 1,045 | 1,045 | 1,043 | 1,035 | 1,020 | 1,005 |
10 | 1,020 | 1,015 | 1,012 | 1,000 | 0,980 | 0,965 |
20 | 0,980 | 0,980 | 0,975 | 0,960 | 0,935 | 0,918 |
25 | 0,970 | 0,968 | 0,960 | 0,940 | 0,920 | 0,894 |
30 | 0,958 | 0,955 | 0,945 | 0,930 | 0,905 | 0,875 |
Июль |
0 | 1,086 | 1,095 | 1,100 | 1,100 | 1,090 | 1,075 |
3 | 1,064 | 1,071 | 1,073 | 1,069 | 1,063 | 1,039 |
5 | 1,050 | 1,055 | 1,058 | 1,055 | 1,045 | 1,015 |
10 | 1,025 | 0,025 | 1,025 | 1,020 | 1,005 | 0,975 |
15 | 1,000 | 1,000 | 1,000 | 0,995 | 0,980 | 0,945 |
20 | 0,985 | 0,985 | 0,980 | 0,970 | 0,950 | 0,920 |
25 | 0,970 | 0,970 | 0,964 | 0,950 | 0,930 | 0,900 |
30 | 0,955 | 0,952 | 0,945 | 0,930 | 0,910 | 0,875 |
Август |
0 | 1,080 | 1,090 | 1,100 | 1,100 | 1,093 | 1,080 |
3 | 1,060 | 1,066 | 1,068 | 1,070 | 1,060 | 1,043 |
5 | 1,047 | 1,050 | 1,050 | 1,050 | 1,040 | 1,018 |
10 | 1,020 | 1,023 | 1,022 | 1,020 | 1,000 | 0,970 |
20 | 0,985 | 0,985 | 0,982 | 0,970 | 0,940 | 0,900 |
25 | 0,970 | 0,970 | 0,970 | 0,950 | 0,920 | 0,875 |
30 | 0,960 | 0,957 | 0,955 | 0,935 | 0,900 | 0,850 |
Сентябрь |
0 | 1,065 | 1,075 | 1,085 | 1,090 | 1,087 | 1,065 |
3 | 1,040 | 1,050 | 1,055 | 1,055 | 1,045 | 1,020 |
5 | 1,030 | 1,035 | 1,039 | 1,037 | 1,025 | 1,000 |
10 | 1,000 | 1,000 | 1,000 | 0,992 | 0,975 | 0,950 |
15 | 0,980 | 0,980 | 0,975 | 0,968 | 0,945 | 0,910 |
20 | 0,965 | 0,965 | 0,955 | 0,940 | 0,912 | 0,875 |
25 | 0,950 | 0,945 | 0,937 | 0,920 | 0,888 | 0,850 |
30 | 0,935 | 0,930 | 0,920 | 0,900 | 0,865 | 0,825 |
Октябрь |
0 | 1,060 | 1,070 | 1,075 | 1,075 | 1,070 | 1,060 |
3 | 1,036 | 1,043 | 1,042 | 1,039 | 1,022 | 0,997 |
5 | 1,020 | 1,025 | 1,020 | 1,015 | 0,990 | 0,955 |
10 | 0,990 | 0,990 | 0,980 | 0,960 | 0,925 | 0,880 |
15 | 0,970 | 0,960 | 0,940 | 0,915 | 0,875 | 0,820 |
20 | 0,950 | 0,935 | 0,915 | 0,885 | 0,830 | 0,765 |
25 | 0,935 | 0,920 | 0,895 | 0,885 | 0,785 | |
30 | 0,930 | 0,900 | 0,870 | 0,825 | 0,775 | |
Ноябрь |
0 | 1,060 | 1,058 | 1,057 | 1,055 | 1,054 | 1,040 |
3 | 1,030 | 1,023 | 1,020 | 1,010 | 0,990 | 0,965 |
5 | 1,010 | 1,005 | 1,000 | 0,985 | 0,955 | 0,915 |
10 | 0,980 | 0,970 | 0,950 | 0,920 | 0,880 | 0,925 |
15 | 0,950 | 0,937 | 0,910 | 0,875 | 0,835 | 0,770 |
Декабрь |
0 | 1,050 | 1,040 | 1,030 | 1,015 | 0,992 | |
3 | 1,020 | 1,012 | 1,000 | 0,985 | 0,960 | |
5 | 1,000 | 0,990 | 0,977 | 0,955 | 0,940 | |
10 | 0,960 | 0,945 | 0,925 | 0,904 | 0,875 | |
15 | 0,930 | 0,910 | 0,885 | 0,860 | 0,825 | |
20 | 0,905 | 0,880 | 0,850 | 0,820 | 0,780 | |
СРЕДНЯЯ МЕСЯЧНАЯ ТЕМПЕРАТУРА ПОВЕРХНОСТНОГО СЛОЯ ВОДЫ
t0, °C (ЧИСЛИТЕЛЬ) И МЕСЯЧНЫЙ (СРЕДНИЙ МНОГОЛЕТНИЙ) СЛОЙ
ИСПАРЕНИЯ С ВОДНОЙ ПОВЕРХНОСТИ zв, мм (ЗНАМЕНАТЕЛЬ)
Водохранилище | IV | V | VI | VII | VIII | IX | X | XI |
Верхнесвирское | | 2,6 ------- 26 | 8,7 ------- 24 | 14,4 ------- 42 | 15,1 ------- 56 | 11,6 ------- 57 | 6,9 ------- 58 | 3,4 ------- 52 |
Иваньковское | | 12,5 ------- 73 | 18,0 ------- 108 | 20,5 ------- 117 | 19,2 ------- 103 | 14,0 ------- 73 | 6,8 ------- 43 | 1,3 ------- 5 |
Угличское | | 9,1 ------- 68 | 16,6 ------- 109 | 19,9 ------- 130 | 19,4 ------- 123 | 15,4 ------- 85 | 8,5 ------- 54 | 2,3 ------- 7 |
Рыбинское | | 9,1 ------- 41 | 16,6 ------- 104 | 19,9 ------- 117 | 19,4 ------- 119 | 15,4 ------- 76 | 5,8 ------- 38 | 1,5 ------- 24 |
Горьковское | | 8,4 ------- 49 | 16,3 ------- 109 | 20,5 ------- 130 | 19,6 ------- 142 | 14,5 ------- 95 | 7,2 ------- 68 | 1,9 ------- 18 |
Павловское | 2,1 ------- 24 | 9,9 ------- 60 | 16,6 ------- 110 | 21,2 ------- 110 | 19,6 ------- 114 | 14,5 ------- 102 | 7,9 ------- 79 | 1,4 ------- 1 |
Камское | 0,4 ------- 14 | 6,9 ------- 28 | 14,7 ------- 66 | 20,1 ------- 108 | 18,0 ------- 107 | 12,3 ------- 76 | 4,7 ------- 49 | 0,9 ------- 18 |
Воткинское | 1,0 ------- 11 | 6,2 ------- 25 | 15,0 ------- 71 | 19,8 ------- 101 | 18,9 ------- 108 | 14,0 ------- 90 | 6,8 ------- 65 | 1,3 ------- 10 |
Куйбышевское | 3,7 ------- 13 | 11,0 ------- 71 | 17,8 ------- 103 | 21,5 ------- 131 | 20,2 ------- 132 | 15,0 ------- 104 | 7,3 ------- 66 | 4,5 ------- 26 |
Волгоградское | 2,1 ------- 2 | 9,1 ------- 20 | 17,3 ------- 86 | 21,8 ------- 157 | 21,6 ------- 180 | 17,9 ------- 146 | 11,1 ------- 99 | 4,1 ------- 42 |
Цимлянское | 7,3 ------- 43 | 15,5 ------- 105 | 21,1 ------- 150 | 23,8 ------- 188 | 23,2 ------- 200 | 18,6 ------- 172 | 12,1 ------- 105 | 5,7 ------- 57 |
| | ИС МЕГАНОРМ: примечание. Числители даны в соответствии с официальным текстом документа. | |
|
Саратовское | ------- 4 | ------- 51 | ------- 83 | ------- 132 | ------- 150 | ------- 132 | ------- 80 | ------- 36 |
Киевское | 6,6 ------- 28 | 16,3 ------- 109 | 20,1 ------- 131 | 21,1 ------- 146 | 20,9 ------- 123 | 16,2 ------- 95 | 8,8 ------- 39 | 3,6 ------- 10 |
Кременчугское | 7,2 ------- 27 | 16,2 ------- 95 | 20,7 ------- 140 | 22,8 ------- 161 | 22,0 ------- 161 | 17,5 ------- 114 | 11,6 ------- 64 | 5,5 ------- 22 |
Днепродзержинское | 6,8 ------- 15 | 15,5 ------- 78 | 20,3 ------- 128 | 22,7 ------- 154 | 22,3 ------- 156 | 17,9 ------- 128 | 11,5 ------- 58 | 5,4 ------- 11 |
Днепровское | 6,9 ------- 18 | 16,4 ------- 89 | 20,7 ------- 129 | 23,5 ------- 176 | 22,9 ------- 165 | 19,8 ------- 122 | 13,0 ------- 68 | 7,1 ------- 32 |
Каховское | 6,2 ------- 23 | 14,9 ------- 73 | 20,7 ------- 122 | 23,3 ------- 163 | 22,7 ------- 174 | 19,0 ------- 135 | 13,2 ------- 76 | 7,7 ------- 32 |
Дубоссарское | ------- 61 | ------- 92 | ------- 123 | ------- 156 | ------- 151 | ------- 127 | ------- 82 | ------- 12 |
Мингечаурское | 12,3 ------- 50 | 18,3 ------- 100 | 23,2 ------- 110 | 25,8 ------- 130 | 25,8 ------- 170 | 23,2 ------- 131 | 19,2 ------- 120 | 15,1 ------- 85 |
Кайраккумское | 15,0 ------- 65 | 20,2 ------- 132 | 25,3 ------- 210 | 26,1 ------- 222 | 24,8 ------- 192 | 20,8 ------- 152 | 15,3 ------- 98 | 8,8 ------- 63 |
| | ИС МЕГАНОРМ: примечание. Числители даны в соответствии с официальным текстом документа. | |
|
Кассансайское | ------- 61 | ------- 113 | ------- 158 | ------- 206 | ------- 188 | ------- 136 | ------- 68 | ------- 13 |
Кенгирское | 6,9 ------- 82 | 15,4 ------- 156 | 19,3 ------- 186 | 21,4 ------- 235 | 20,2 ------- 201 | 16,9 ------- 162 | 8,5 ------- 108 | - ------- - |
Каттакурганское | ------- 82 | ------- 146 | ------- 199 | ------- 240 | ------- 220 | ------- 163 | ------- 92 | ------- 52 |
Новосибирское | - ------- - | 3,0 ------- 53 | 16,9 ------- 114 | 21,5 ------- 144 | 19,8 ------- 156 | 13,9 ------- 110 | 5,7 ------- 79 | - ------- - |
Братское | ------- 24 | ------- 27 | ------- 34 | ------- 56 | ------- 69 | ------- 68 | ------- 60 | ------- 43 |
Куюмазорское | ------- 106 | ------- 197 | ------- 266 | ------- 311 | ------- 280 | ------- 203 | ------- 131 | ------- 79 |
ТЕХНИЧЕСКОЕ ЗАДАНИЕ
на проектирование гидрометеорологической сети
в районе ........ водохранилища
Начальник УГКС
(подпись)
"___" ____________ 198 г.
Задание составлено в соответствии с требованиями "Наставления гидрометеорологическим станциям и постам", вып. 7, ч. 1, 1973 г. издания и "Инструкции по разработке проектов и смет для промышленного строительства
СН-202-76" 1976 г. издания.
1. Основание для проектирования:
2. Район строительства водохранилища:
В соответствии с заданием на проектирование.
3. Цели и задачи гидрометеорологической сети.
Излагаются применительно к конкретному водоему основные задачи проектируемой гидрометеорологической сети, исходя из общих типовых задач, которые решают органы Госкомгидромета на водохранилищах.
Гидрометеорологическая обсерватория (ГМО):
- специализированное гидрометеорологическое обеспечение строительства и эксплуатации ГЭС, а также других народнохозяйственных организаций, действующих на водохранилище, включая специализированные прогнозы и предупреждения, текущую и штормовую гидрометеорологическую информацию, оперативные водные балансы, данные о режиме водохранилища;
- исследование характера и особенностей гидрометеорологического и гидрохимического режима водохранилища, влияние хозяйственной деятельности на гидрологический режим и химический состав воды, включая производство стандартных и специальных наблюдений на акватории;
- организационно-техническое и методическое руководство сетью на водохранилище;
- осуществление учета вод и подготовка материалов государственного водного кадастра по водохранилищу.
Гидрометеорологическое бюро (ГМБ):
- специализированное гидрометеорологическое обеспечение службы эксплуатации водохранилища и народнохозяйственных организаций в том же составе и объеме, что и ГМО;
- организационно-техническое и методическое руководство сетью на водохранилище.
ГМБ создается в случаях, когда объем работ по гидрометеорологическому обеспечению весьма значителен, а характер, размеры и режим водохранилища позволяют осуществить его изучение силами озерной станции.
Озерная станция:
- осуществление комплекса стандартных и специальных наблюдений в прибрежной зоне и на акватории водохранилища;
- обеспечение службы эксплуатации водохранилища и народнохозяйственных организаций оперативной информацией о гидрометеорологическом режиме и водном балансе водохранилища;
- проведение исследований, направленных на изучение региональных особенностей гидрометеорологического режима и водного баланса водохранилища;
- руководство прикрепленными постами.
Плавучая станция (организуется в отдельных случаях наряду с ГМО, ГМБ для оперативного обеспечения интенсивного судоходства на водохранилище):
- систематическое производство на акватории водохранилища комплекса стандартных метеорологических и гидрологических наблюдений;
- оперативная информация органов службы прогнозов и пароходства о состоянии погоды и гидрологических условиях водохранилища в районе расположения плавучей станции.
Озерный гидрометеорологический пост (ОГП):
- систематическое производство наблюдений за гидрометеорологическими элементами на берегу и в прибрежной зоне водохранилища;
- оперативная информация о наблюдаемых гидрометеорологических явлениях.
4. Наименование сооружений с указанием их местоположения
- гидрометеорологическая обсерватория (ГМО),
- гидрометеорологическое бюро (ГМБ),
- озерная станция,
- плавучая станция,
- озерный гидрометеорологический пост I разряда (ОГП-1), II разряда (ОГП-2),
- гидрологический пост.
Примечание. Наименование сооружения определяется в каждом конкретном случае в зависимости от состава гидрометеорологической сети, планируемой к проектированию.
5. Производственное и хозяйственное кооперирование.
5.1. Кооперация сетевых органов Госкомгидромета с народнохозяйственными организациями в распределении информации по гидрометобеспечению службы эксплуатации водохранилища и других хозяйственных мероприятий.
Приводится общая схема гидрометеорологического обеспечения, осуществляемого ГМО, ГМБ, озерной станцией.
Перечисляются все народнохозяйственные организации, пользующиеся гидрометеорологическим обеспечением, и виды информации, в которых они заинтересованы; указываются каналы связи, по которым осуществляется эта информация.
5.2. Хозяйственная и техническая кооперация:
- по инженерным сетям (электроснабжение, газоснабжение, канализация, телефон, радио, подъездные пути);
- по размещению сооружений на действующих, строящихся или предполагаемых к строительству объектах в период и сроки, предусмотренные в задании на проектирование;
- по возможному размещению жилых и обслуживающих сооружений в населенных пунктах, существующих и строящихся.
Примечание. Вопросы возможной кооперации по указанным направлениям при проектировании гидрометеорологической сети решаются отдельно для каждого конкретного случая, в зависимости от местных условий.
6. Штат гидрометеорологической сети.
Численность штата определяется в соответствии с объемом специализированного гидрометобеспечения, объемом и составом наблюдений на водохранилище и прикрепленной сети постов.
7. Объем капитального строительства:
1) служебно-лабораторный корпус ГМО (ГМБ) с полезной площадью 500 - 600 м2;
2) объекты служебно-вспомогательного назначения (склады, гараж и т.п.) общей площадью 100 - 200 м2;
3) служебное здание озерной станции с объектами вспомогательного назначения, общей площадью 150 - 200 м2;
4) метеорологическая площадка ГМО (ГМБ, озерной станции);
5) озерные и гидрологические посты на водохранилище и реках;
6) жилой фонд (общая площадь определяется, исходя из приведенного штата гидрометеорологической сети, коэффициента семейности и нормы жилой площади для данного района).
Для определения объемов и стоимости строительства указываются номера типовых проектов и смет служебных, жилых и вспомогательных объектов, наиболее соответствующих конкретным природным условиям.
7) культурно-бытовое строительство в соответствии с действующими СНиПами.
Примечания. 1. Объем капитального строительства определяется в соответствии с объемом и составом наблюдений и схемой гидрометобеспечения.
2. Перечень основных видов гидрометрических сооружений и их стоимость для оборудования постов приведены в таблице.
8. Объем капитальных вложений.
Определяется общим объемом капитальных вложений на строительство служебных и жилых зданий, служебно-вспомогательных сооружений, пунктов наблюдений (метеостанции, посты и т.п.), приобретение приборов и оборудования.
Основные виды гидрометрических сооружений и их стоимость
N п/п | Объект | Стоимость в тыс. руб. | Примечание |
1 | 2 | 3 | 4 |
1 | Установка самописца уровня воды берегового типа с подводом воды к колодцу трубопроводом и кирпичным измерительным павильоном | 3,24 | Сметы к типовым проектам "Установки самописцев уровня", индекс альбома - УСУ (Л., ГГИ, 1972 г.) |
2 | Установка самописца уровня островного типа | 8,0 | Стоимость ориентировочная. Конкретизируется в соответствии с местными условиями и индивидуальными проектами |
3 | Сооружение волномерного пункта, оборудованного электроконтактной вехой или другим самописцем уровня, с устройством берегового измерительного павильона и прокладкой кабельной линии | 5,0 | То же |
4 | Сооружение плавучей водноиспарительной станции с испарителями ГГИ-3000 и бассейном | 15,0 | Стоимость ориентировочная, дана на основании экспериментальной установки |
5 | То же только с испарителем ГГИ-3000 | 5,0 | То же |
6 | Сооружение неподвижной платформы на акватории водохранилища для размещения комплекса автоматических приборов (станции типа АРМС с дополнительными датчиками) | 10,0 - 15,0 | Стоимость ориентировочная. Опыта сооружений нет |
7 | Установка плавучей станции на акватории водохранилища с использованием несамоходных плавсредств и проведением соответствующего их переоборудования | 3,0 - 5,0 | Указана только ориентировочная стоимость переоборудования |
8 | Двухтросовая люлечная переправа с пролетом до 200 м | 4,98 | Сметы к типовым проектам "Переправы люлечные двухтросовые", индекс альбома - ПЛ2 |
9 | Металлический решетчатый гидрометрический мост пролетом 24 м | 1,93 | "Мосты решетчатые металлические", индекс альбома - Мр (Л., ГГИ, 1971 г.) |
10 | Комбинированный расходомер (лоток Паршала с тонкостенным водосливом) с шириной горловины 1,0 м и кирпичным павильоном | 3,74 | Сметы к типовым проектам "Расходомеры комбинированные", индекс альбома - РК (Л., ГГИ, 1972 г.) |
11 | Подвесной гидрометрический мост пролетом 100 м | 7,91 | Сметы к типовым проектам "Мосты подвесные", индекс альбома - МП (Л., ГГИ, 1972 г.) |
12 | Установка дистанционная ГР-70 для измерения расходов воды | 1,70 | Стоимость дистанционной установки дана без учета привязки к местным условиям и стоимости монтажных работ |
13 | Установка дистанционная ГР-64М для измерения расхода воды | 6,80 | |
Примечания: 1. Количество гидрометрических сооружений определяется в каждом случае при проведении проектно-изыскательских работ. 2. При привязке типовые сметы пересчитываются по местным единым расценкам. 3. Сооружение плавучей водноиспарительной станции с бассейном площадью 20 м2 планируется только в случаях, когда испарение является определяющим элементом водного баланса и требует тщательного и длительного исследования. 4. Неподвижные платформы на акватории целесообразно сооружать только на очень крупных озеровидных водохранилищах с небольшими глубинами и малой сработкой (в пределах 2 - 3 м). 5. Плавучие станции организуются только на крупных водохранилищах с интенсивным судоходством в случаях, когда для обеспечения необходимы постоянные наблюдения на акватории и соответствующее пароходство выделяет для этой цели необходимые плавсредства (баржу, лихтер и т.п.). |
9. Варианты проекта
Между заказчиком и генпроектировщиком может иметь место договоренность в проработке нескольких (двух-трех) вариантов проектных решений по размещению пунктов наблюдений в целях выбора оптимального варианта.
Расчеты речного стока
Пример 1.
Выбрать расчетное внутригодовое распределение стока очень маловодного года 95%-ной обеспеченности из числа фактических лет для пункта р. Унжа - г. Макарьев. Площадь водосбора F = 18 500 км2, n = 67 лет.
Решение.
Внутригодовое распределение конкретного года может быть принято в качестве расчетного, если обеспеченности годового стока, стока за лимитирующие период, сезон и месяц реального года близки между собой и мало отличаются от заданной обеспеченности. С учетом вышеизложенного вычисления выполняются в следующем порядке:
1. Для каждого года из всего ряда наблюдений устанавливаются суммы месячных расходов за год, лимитирующие период и сезон, а также минимальный месячный расход.
2. Полученные данные располагаются в порядке убывания, и около них выписываются водохозяйственные годы, к которым они относятся, и их эмпирические обеспеченности, определяемые по
формуле (4.25). В
табл. 1 приведены соответствующие данные для маловодной группы лет.
3. Из числа имеющихся лет выбирается водохозяйственный год, в котором обеспеченности годового стока, стока за лимитирующие период и сезон, а также минимального месячного расхода воды наиболее близки между собой и к заданной обеспеченности. В качестве такого года был выбран 1907 - 08 водохозяйственный год.
4. Для выбранного 1907 - 08 г. устанавливается относительное распределение стока по месяцам и сезонам (в процентах годового стока). Далее определяются месячные и сезонные расходы воды по годовому расходу 95%-ной обеспеченности, установленному в соответствии с рекомендациями
пп. 4.5.7 -
4.5.27.
Результаты расчетов приведены в
табл. 2.
Пример 2.
Рассчитать внутригодовое распределение стока маловодного (P = 75%) и очень маловодного (P = 95%) годов методом компоновки для пункта р. Унжа - г. Макарьев. Площадь водосбора F = 18 500 км2, n = 67 лет.
Решение.
1. На основании исходных данных строятся кривые обеспеченности модульных коэффициентов стока за год и за лимитирующие период и сезон в соответствии с указаниями
гл. 4.
2. Для заданных значений обеспеченности (75 и 95%) по кривым обеспеченности определяются модульные коэффициенты стока за год, лимитирующие период и сезон.
3. Путем умножения модульных коэффициентов на соответственные средние значения стока (в суммах месячных расходов

, м
3/с) определяются абсолютные значения стока (в

, м
3/с) заданной обеспеченности за год, лимитирующие период и сезон.
Таблица 1
Суммы месячных расходов воды (

, м
3/с) за год,
лимитирующие период и сезон, а также расход
за лимитирующий месяц (Qлим, м3/с), расположенные
в порядке убывания (для маловодной группы лет)
N в порядке убывания месячных расходов воды | P, % | Годовой сток (IV - III) | Лимитирующий период (VII - III) | Лимитирующий сезон (XII - III) | Лимитирующий месяц |
год | | год | | год | | год | Qлим |
... | ... | ... | ... | ... | ... | ... | ... | ... | ... |
53 | 78,2 | 1908 - 09 | 1480,8 | 1917 - 18 | 406,5 | 1955 - 56 | 125,1 | 1936 - 37 | 27,0 |
54 | 79,7 | 1920 - 21 | 1471,1 | 1946 - 47 | 395,9 | 1959 - 60 | 124,9 | 1907 - 08 | 26,8 |
55 | 81,2 | 1940 - 41 | 1464,5 | 1897 - 98 | 395,0 | 1910 - 11 | 123,9 | 1950 - 51 | 26,2 |
56 | 82,7 | 1919 - 20 | 1430,6 | 1948 - 49 | 374,3 | 1909 - 10 | 121,9 | 1940 - 41 | 25,9 |
57 | 84,1 | 1930 - 31 | 1414,3 | 1933 - 34 | 369,9 | 1906 - 07 | 119,3 | 1937 - 38 | 25,6 |
58 | 85,6 | 1951 - 52 | 1357,1 | 1941 - 42 | 366,0 | 1907 - 08 | 117,4 | 1911 - 12 | 24,6 |
59 | 87,2 | 1907 - 08 | 1339,5 | 1937 - 38 | 363,8 | 1908 - 09 | 117,2 | 1910 - 11 | 24,5 |
60 | 88,6 | 1921 - 22 | 1304,1 | 1907 - 08 | 353,5 | 1933 - 34 | 115,2 | 1906 - 07 | 23,4 |
61 | 90,1 | 1898 - 99 | 1280,0 | 1912 - 13 | 345,6 | 1942 - 43 | 113,4 | 1942 - 43 | 23,3 |
62 | 91,6 | 1949 - 50 | 1230,4 | 1920 - 21 | 343,9 | 1937 - 38 | 109,7 | 1939 - 40 | 22,9 |
63 | 93,0 | 1939 - 40 | 1219,9 | 1960 - 61 | 331,3 | 1938 - 39 | 101,4 | 1941 - 42 | 20,0 |
64 | 94,5 | 1910 - 11 | 1204,9 | 1901 - 02 | 265,0 | 1940 - 41 | 89,4 | 1951 - 52 | 19,7 |
65 | 96,0 | 1960 - 61 | 1190,7 | 1944 - 45 | 264,9 | 1951 - 52 | 86,8 | 1944 - 45 | 18,5 |
66 | 97,5 | 1897 - 98 | 1156,0 | 1949 - 50 | 253,0 | 1944 - 45 | 83,2 | 1938 - 39 | 17,6 |
67 | 99,0 | 1937 - 38 | 954,9 | 1951 - 52 | 247,1 | 1949 - 50 | 77,0 | 1949 - 50 | 15,6 |
Таблица 2
Расчетное распределение стока по месяцам
и сезонам маловодного года 95%-ной
обеспеченности по выбранному фактическому
Характеристика | Единица измерения | IV | V | VI | VII | VIII | IX | X | XI | XII | I | II | III | Весна (IV - VI) | Лето - осень (VII - XI) | Зима (XII - III) | Годовой сток |
Распределение фактического года (1907 - 08) | м3/с | 248 | 535 | 203 | 29,5 | 60,0 | 56,4 | 55,8 | 34,4 | 26,8 | 28,0 | 30,1 | 32,5 | 329 | 47,2 | 29,4 | 112 |
% | 18,5 | 39,9 | 15,2 | 2,2 | 4,5 | 4,2 | 4,1 | 2,6 | 2,0 | 2,1 | 2,3 | 2,4 | 73,6 | 17,6 | 8,8 | 100 |
То же с приведением к году 95%-ной обеспеченности | м3/с | 214 | 461 | 175 | 25,4 | 51,8 | 48,7 | 48,1 | 29,7 | 23,1 | 24,2 | 26,0 | 28,0 | 283 | 40,7 | 25,3 | 96,3 |
Таблица 3
Расчет распределения стока по сезонам маловодного (
P = 75%)
и очень маловодного годов (P = 95%) в суммах месячных
расходов (

, м
3/с) и в процентах годового стока
Сезон | Месяцы | Средние многолетние | Группа водности (обеспеченность) года |
| в % годового стока | маловодная | очень маловодная |
K | | в % годового стока | P, % | K | | в % годового стока | P, % |
Год | IV - III | 1896 | 100 | 0,78 | 1460 | 100 | 75 | 0,61 | 1155 | 100 | 95 |
Весна | IV - VI | 1220 | 64,4 | - | 1049 | 71,9 | - | - | 878 | 76,0 | - |
Лимитирующий период | VII - III | 675,5 | 35,6 | 0,61 | 411 | 28,1 | 75 | 0,41 | 277 | 24,0 | 95 |
Лето - осень | VII - XI | 499,8 | 26,3 | - | 282,6 | 19,3 | - | - | 182,2 | 15,8 | - |
Лимитирующий сезон | XII - III | 175,7 | 9,3 | 0,73 | 128,4 | 8,8 | 75 | 0,54 | 94,8 | 8,2 | 95 |
4. Сток третьего сезона, не входящего в лимитирующий период, определяется по разности стока за год и лимитирующий период, а сток за нелимитирующий сезон, входящий в лимитирующий период, - по разности стока лимитирующих периода и сезона.
5. Для полученных значений стока сезонов и лимитирующего периода определяется доля его в годовом, т.е. устанавливается расчетное относительное распределение стока по сезонам года заданной обеспеченности. Результаты вышеизложенных расчетов приведены в
табл. 3.
6. Для определения характера распределения стока по месяцам сезонные значения стока располагаются в убывающем порядке и для каждого сезона выделяется группа маловодных лет, соответствующих эмпирическим обеспеченностям P > 66%.
Для всех лет, входящих в маловодную группу рассматриваемого сезона, месячные значения стока располагаются в убывающем порядке с указанием месяцев, к которым они относятся. В
табл. 4 показан расчет внутрисезонного распределения стока по месяцам для весны. Производится суммирование полученных ранжированных рядов средних месячных расходов и сумм средних месячных расходов за весенний сезон. По полученным данным устанавливается распределение стока по месяцам внутри сезона в процентах суммарного стока за данный сезон. Полученные значения процентной доли для каждого порядкового номера месяца относятся к тому календарному месяцу, который встречается наиболее часто в ранжированном ряду средних месячных расходов. Так, в
табл. 4 процентное отношение стока первого месяца к сезонному, равное 57,7%, отнесено к маю, который повторяется наиболее часто. Аналогично весеннему сезону расчет внутрисезонного распределения стока осуществляется и для других сезонов года.

Рис. 1. Зависимость времени добегания воды

р. Десны на участке Александровка - Брянск
от расходов воды (Qн) у Брянска
Пример 3.
Определить время добегания р. Десны на участке Александровка - Брянск.
Решение.
Произвольно в верхнем створе участка назначаются уровни воды и определяются даты наступления назначенных или близких к ним уровней для всех лет рассматриваемого периода. В частности, для рассматриваемого участка р. Десны в качестве первого уровня воды в верхнем створе (
Hв) принят уровень, равный 400 см над нулем графика. Этот или близкие к нему уровни отмечались 26/III 1937 г., 3/IV 1947 г., 1/IV 1951 г. и т.д. Далее для выбранных наиболее вероятных для данного уровня значений времени добегания (1, 2, 3, 4, 5 сут) определялись уровни воды в нижнем створе (
Hн) (см.
табл. 5). Данная выборка проводилась для 10 лет. Для принятых сроков добегания были подсчитаны средние многолетние уровни в нижнем створе, средние и ежегодные отклонения

от этих уровней. По минимальному значению среднего отклонения, которое оказалось равным +/- 12,4, определено время добегания (3 сут) при уровне в верхнем створе, равном 400 см, уровень воды в нижнем створе
Hн, равный 472 см, и расход воды
Qн = 1250 м
3/с, соответствующий данному уровню.
Таблица 4
Расчет внутрисезонного распределения стока (

, м
3/с)
по месяцам для маловодной группы весенних сезонов
N в порядке убывания сезонного стока | Год |  за сезон | 1 | 2 | 3 |
Qмес | месяц | Qмес | месяц | Qмес | месяц |
... | ... | ... | ... | ... | ... | ... | ... | ... |
46 | 1942 - 43 | 1058 | 657 | V | 210 | IV | 201 | VI |
47 | 1943 - 44 | 1050 | 478 | IV | 433 | V | 159 | VI |
48 | 1909 - 10 | 1036 | 700 | V | 180 | IV | 156 | VI |
... | ... | ... | ... | ... | ... | ... | ... | ... |
51 | 1907 - 08 | 986 | 53,5 | V | 248 | IV | 203 | VI |
52 | 1949 - 50 | 977,4 | 701 | V | 183 | IV | 93,4 | VI |
53 | 1954 - 55 | 962 | 449 | V | 373 | IV | 140 | VI |
... | ... | ... | ... | ... | ... | ... | ... | ... |
58 | 1960 - 61 | 859,4 | 497 | IV | 203 | V | 59,4 | VI |
59 | 1935 - 36 | 852,2 | 491 | IV | 265 | V | 96,2 | VI |
... | ... | ... | ... | ... | ... | ... | ... | ... |
64 | 1950 - 51 | 711,0 | 336 | IV | 198 | V | 177 | VI |
65 | 1898 - 99 | 670,3 | 504 | V | 90,7 | IV | 75,6 | VI |
66 | 1937 - 38 | 591,1 | 356 | IV | 142 | V | 93,1 | VI |
67 | 1930 - 31 | 559,9 | 446 | V | 75,2 | VI | 38,7 | VI |
Итого по группе | 19 234,9 | 11 086 | IV-8 | 5244,9 | IV-11 | 2904 | IV-3 |
| | V-14 | | V-7 | | V-1 |
| | | | VI-4 | | VI-18 |
Принятое распределение в % сезонного стока | 100 | 57,7 | V | 27,2 | IV | 15,1 | VI |
Таблица 5
Определение времени добегания р. Десны
на участке Александровка - Брянск
Год | Александровка | Брянск |
H, см | Дата | через 1 сут | через 2 сут | через 3 сут | через 4 сут | через 5 сут |
H | | H | | H | | H | | H | |
Hв = 400 см |
1937 | 400 | 26/III | 465 | -18 | 510 | 25 | 500 | 28 | 463 | 13 | 415 | -18 |
1947 | 383 | 3/IV | 531 | 48 | 504 | 19 | 484 | 12 | 468 | 18 | 454 | 21 |
1948 | - | - | - | - | - | - | - | - | - | - | - | - |
1949 | - | - | - | - | - | - | - | - | - | - | - | - |
1951 | 379 | 1/IV | 441 | -42 | 434 | -51 | 428 | -44 | 402 | -48 | 393 | -40 |
1953 | 396 | 2/IV | 434 | -49 | 543 | -32 | 440 | -32 | 408 | -42 | 396 | -37 |
1956 | 402 | 21/IV | 540 | 57 | 534 | 49 | 520 | 48 | 502 | 52 | 480 | 47 |
1957 | | | | | | | | | | | | |
1958 | 392 | 20/IV | 482 | -1 | 472 | -13 | 463 | -9 | 454 | 4 | 449 | 16 |
1962 | 398 | 9/IV | 490 | 7 | 488 | 3 | 471 | -1 | 453 | 3 | 445 | 12 |
| 2750 | | 3383 | +/- 111 | 3395 | +/- 96 | 3306 | +/- 87 | 3150 | +/- 90 | 3032 | +/- 95 |
Средн. | 393 | | 483 | +/- 15,8 | 485 | +/- 13,7 | 472 | +/- 12,4 | 450 | +/- 12,8 | 433 | +/- 13,6 |
| Hн = 472 см | Qн = 1250 м3/с |
Hв = 300 см |
1937 | 293 | 31/III | 403 | 18 | 387 | 14 | 369 | 7 | 358 | 7 | 347 | 7 |
1947 | 302 | 11/IV | 380 | -5 | 370 | -3 | 360 | -2 | 349 | -2 | 340 | 0 |
1948 | 299 | 12/IV | 404 | 19 | 384 | 11 | 372 | 10 | 359 | 8 | 352 | 12 |
1949 | 301 | 15/IV | 357 | -28 | 343 | -27 | 336 | -26 | 324 | -27 | 311 | -29 |
1951 | 292 | 8/IV | 354 | -31 | 348 | -25 | 337 | -25 | 326 | -25 | 314 | -26 |
1953 | 312 | 12/IV | 375 | -10 | 365 | -8 | 358 | -4 | 349 | -2 | 338 | -2 |
1956 | 298 | 28/IV | 403 | 18 | 390 | 17 | 382 | 20 | 373 | 22 | 361 | 21 |
1957 | 315 | 10/IV | 414 | 29 | 400 | 27 | 385 | 23 | 376 | 25 | 366 | 26 |
1958 | 305 | 29/IV | 384 | -1 | 372 | -1 | 362 | 0 | 352 | 1 | 342 | 2 |
1962 | 306 | 18/IV | 378 | -7 | 367 | -6 | 355 | -7 | 340 | -11 | 325 | -15 |
| 3023 | | 3852 | +/- 83 | 3729 | +/- 70 | 3616 | +/- 62 | 3506 | +/- 65 | 3396 | +/- 70 |
Средн. | 302 | | 385 | +/- 8,3 | 373 | +/- 7,0 | 352 | +/- 6,2 | 351 | +/- 6,5 | 340 | +/- 7,0 |
| Hн = 352 см | Qн = 475 м3/с |
Hв = 200 см |
1937 | 212 | 3/IV | 358 | 19 | 347 | 20 | 335 | 19 | 323 | 18 | 313 | 19 |
1947 | 201 | 13/IV | 360 | 21 | 349 | 22 | 340 | 24 | 330 | 25 | 319 | 25 |
1948 | 220 | 14/IV | 372 | 33 | 359 | 32 | 352 | 36 | 342 | 37 | 332 | 38 |
1949 | 196 | 23/IV | 277 | -62 | 268 | -59 | 260 | -56 | 252 | -53 | 244 | -50 |
1951 | 197 | 12/IV | 326 | -13 | 314 | -13 | 304 | -12 | 300 | -5 | 292 | -2 |
1953 | 179 | 15/IV | 349 | 10 | 338 | 11 | 328 | 12 | 317 | 12 | 308 | 14 |
1956 | 207 | 3/V | 348 | 9 | 330 | 3 | 312 | -4 | 294 | -11 | 271 | -16 |
1957 | 224 | 26/IV | 304 | -35 | 298 | -29 | 291 | -25 | 280 | -25 | 271 | -23 |
1958 | 187 | 3/V | 342 | 3 | 326 | -1 | 313 | -3 | 300 | -5 | 286 | -8 |
1962 | 228 | 20/IV | 355 | 16 | 340 | 13 | 325 | 9 | 310 | 5 | 296 | 2 |
| 2051 | | 3391 | +/- 110 | 3269 | +/- 102 | 3160 | +/- 100 | 3048 | +/- 98 | 2939 | +/- 99 |
Средн. | 205 | | 339 | +/- 11,1 | 327 | +/- 10,2 | 316 | +/- 10,0 | 305 | +/- 9,8 | 294 | +/- 9,9 |
| Hн = 305 см | Qн = 270 м3/с |
Hв = 150 см |
1937 | 151 | 7/IV | 305 | 5 | 294 | 4 | 279 | 0 | 267 | -1 | 256 | -1 |
1947 | 148 | 14/IV | 340 | 40 | 330 | 40 | 319 | 40 | 310 | 42 | 298 | 41 |
1948 | 142 | 16/IV | 342 | 42 | 332 | 42 | 322 | 43 | 307 | 39 | 292 | 35 |
1949 | 150 | 25/IV | 252 | -48 | 244 | -46 | 234 | -45 | 224 | -44 | 211 | -46 |
1951 | 144 | 15/IV | 292 | -8 | 284 | -6 | 276 | -3 | 268 | 0 | 258 | 1 |
1953 | 147 | 16/IV | 328 | 28 | 317 | 27 | 308 | 29 | 301 | 33 | 294 | 37 |
1956 | 159 | 13/V | 216 | -84 | 208 | -82 | 196 | 83 | 184 | -84 | 172 | -85 |
1957 | 140 | 27/IV | 291 | -9 | 280 | -10 | 271 | -8 | 266 | -2 | 260 | 3 |
1958 | 138 | 4/V | 313 | 13 | 300 | 10 | 286 | 7 | 274 | 6 | 262 | 5 |
1962 | 147 | 21/IV | 325 | 25 | 310 | 20 | 296 | 17 | 281 | 13 | 268 | 11 |
| 1466 | | 3004 | +/- 151 | 2899 | +/- 144 | 2787 | +/- 138 | 2682 | +/- 132 | 2571 | +/- 133 |
Средн. | 147 | | 300 | +/- 15,1 | 290 | +/- 14,4 | 279 | +/- 13,8 | 268 | +/- 13,2 | 257 | +/- 13,3 |
| Hн = 268 см | Qн = 220 м3/с |
Hв = 100 см |
1937 | 99 | 16/IV | 197 | -64 | 177 | -74 | 163 | -79 | 152 | -79 | 142 | -79 |
1947 | 100 | 16/V | 188 | -73 | 192 | -59 | 192 | -50 | 186 | -45 | 180 | -41 |
1948 | 104 | 19/IV | 322 | 61 | 307 | 56 | 292 | 50 | 276 | 45 | 264 | 43 |
1949 | 108 | 27/V | 244 | -17 | 234 | -17 | 224 | -18 | 211 | -20 | 200 | -21 |
1951 | 105 | 20/IV | 258 | -3 | 250 | -1 | 244 | +2 | 236 | 5 | 230 | 9 |
1953 | 102 | 1/V | 295 | 34 | 293 | 42 | 290 | +48 | 278 | 47 | 266 | 45 |
1956 | 94 | 15/V | 208 | -53 | 196 | -55 | 184 | -58 | 172 | -59 | 160 | -61 |
1957 | 100 | 28/IV | 291 | 30 | 280 | 29 | 271 | 29 | 266 | 35 | 260 | 39 |
1958 | 102 | 6/V | 300 | 39 | 286 | 35 | 274 | 32 | 262 | 31 | 254 | 33 |
1962 | 92 | 23/IV | 310 | 49 | 296 | 45 | 281 | 39 | 268 | 37 | 254 | 33 |
| 1006 | | 2613 | +/- 212 | 2511 | +/- 206 | 2415 | +/- 203 | 2307 | +/- 202 | 2210 | +/- 202 |
Средн. | 101 | | 261 | +/- 21,2 | 251 | +/- 20,6 | 242 | +/- 20,3 | 231 | +/- 20,2 | 221 | +/- 20,2 |
| Hн = 221 см | Qн = 170 м3/с |
Год | Александровка | Брянск |
H, см | Дата | через 6 сут | через 7 сут | через 8 сут | через 9 сут | через 10 сут |
H | | H | | H | | H | | H | |
Hв = 50 см |
1937 | 54 | 3/V | 72 | -31 | 71 | -26 | 73 | 18 | 71 | 16 | 68 | 16 |
1947 | 50 | 11/V | 100 | -3 | 88 | -9 | 82 | 9 | 74 | 13 | 68 | 16 |
1948 | 48 | 3/V | 70 | -33 | 68 | -29 | 64 | 27 | 61 | 26 | 59 | 25 |
1949 | 52 | 3/V | 64 | -39 | 60 | -37 | 52 | 39 | 48 | 39 | 44 | 40 |
1951 | 52 | 29/IV | 83 | -20 | 86 | -11 | 91 | 0 | 104 | -17 | 106 | -22 |
1953 | 55 | 24/V | 197 | 94 | 176 | 79 | 153 | -62 | 130 | -43 | 104 | -20 |
1956 | 53 | 4/VI | 130 | 27 | 115 | 18 | 95 | -4 | 76 | 11 | 66 | 18 |
1957 | 52 | 18/V | 132 | 29 | 112 | 15 | 95 | -4 | 84 | 3 | 80 | 4 |
1958 | 49 | 23/V | 69 | -34 | 65 | -32 | 61 | -30 | 58 | 29 | 57 | 27 |
1962 | 48 | 27/V | 114 | 11 | 130 | 33 | 146 | -55 | 168 | -81 | 189 | -105 |
| 513 | | 1031 | +/- 60 | 971 | +/- 144 | 912 | +/- 124 | 874 | +/- 139 | 841 | +/- 146 |
Средн. | 51 | | 103 | +/- 16,0 | 97,1 | +/- 14,4 | 91,2 | +/- 12,4 | 87,4 | +/- 13,9 | 84,1 | +/- 14,6 |
| Hн = 91 см | Qн = 68 м3/с |
Подобные расчеты были выполнены для ряда значений уровней в верхнем створе (
Hв = 300, 200, 150, 100, 50 см). Результаты расчетов приведены в
табл. 5. На основании данных таблицы построена расчетная зависимость времени добегания от расхода воды в нижнем створе
(рис. 1).
Пример 4.
Определить боковую приточность р. Ангары на участке Усть-Илимская ГЭС - Богучанская ГЭС по разности расходов воды за год и сезоны с замкнутым циклом режима реки.
Рис. 2. Схема бассейна р. Ангары на участке
от Усть-Илимской ГЭС до Богучанской ГЭС
1 - гидроствор
Водосборная площадь между Усть-Илимской ГЭС (гидрометрический створ Невон) и Богучанской ГЭС (гидрометрический створ с. Богучаны) равна 75 000 км2.
Основными притоками, впадающими на этом участке с водосборами, превышающими 1000 км
2, являются: Тушама, Ката, Едарма, Парта, Кова, Кода, Чадобец и Мура. Из них наблюдениями освещены только реки Тушама, Кова, Чадобец и Мура, контролирующие площадь, равную 36 200 км
2, т.е. всего около 48% всей площади рассматриваемого участка
(рис. 2).
Сведения об этих притоках помещены в
табл. 6.
Решение.
Исходя из наличия данных наблюдений на притоках исследуемого участка р. Ангары, определение боковой приточности произведено за 1957 - 58 - 1964 - 65 гг.
При этом разрезка года принята в границах с 1/XI по 31/X, теплого сезона - с 1/V по 31/X, а холодного - с 1/XI по 30/IV.
Таблица 6
Сведения о притоках р. Ангары
N п/п | Река | Гидроствор | Расстояние от устья, км | Площадь водосбора, км2 | Дата начала наблюдений |
1 | Тушама | Тушама | 3,0 | 3 380 | 20/IX-57 |
2 | Кова | Прокопьево | 55 | 10 200 | 20/VIII-51 |
3 | Чадобец | Яркино | 133 | 13 300 | 20/VIII-56 |
4 | Мура | Ирба | 79 | 9 320 | 1/VIII-56 |
В эти периоды уровни Ангары наиболее устойчивы: от года к году и от теплого сезона к холодному колеблются в очень небольших пределах. Это, в свою очередь, определяет и минимальные изменения объемов руслового регулирования.
Результаты расчетов боковой приточности указанным методом приведены в
табл. 7.
Таблица 7
Расчет боковой приточности за год
и сезоны по разности расходов, м3/с
Год | Невон | Богучаны | Боковая приточность |
| | | | | | | | |
1957 - 58 | 2710 | 1886 | 3534 | 2990 | 1929 | 4051 | 280 | 43,0 | 517 |
1958 - 59 | 2775 | 1529 | 4021 | 3203 | 1574 | 4832 | 428 | 45,0 | 811 |
1959 - 60 | 3138 | 2064 | 4212 | 3455 | 2107 | 4803 | 317 | 43,0 | 591 |
1960 - 61 | 3290 | 2374 | 4203 | 3696 | 2469 | 4923 | 406 | 92,0 | 720 |
1961 - 62 | 3230 | 2322 | 4138 | 3555 | 2382 | 4728 | 325 | 60,0 | 589 |
1962 - 63 | 3217 | 2508 | 3926 | 3634 | 2559 | 4709 | 417 | 51,0 | 783 |
1963 - 64 | 2973 | 2101 | 3845 | 3241 | 2169 | 4313 | 268 | 68,0 | 468 |
1964 - 65 | 3224 | 2812 | 3636 | 3622 | 2850 | 4394 | 398 | 38,0 | 758 |
Распределение среднесезонных расходов боковой приточности внутри сезона по отдельным месяцам произведено по аналогии с притоками участка - Тушамой, Ковой, Чадобцем и Мурой с помощью средневзвешенных модульных коэффициентов, определенных по формуле
где Ki и Fi - соответственно модульные коэффициенты и площади водосборов каждой из перечисленных выше рек.
Для иллюстрации в
табл. 8 показано распределение по месяцам сезонного стока р. Ангары на участке Невон - Богучаны за 1963 - 64 г.
Пример 5.
Построить расчетные гидрографы боковой приточности весеннего половодья в каскаде ГЭС на р. Ангаре по модели реального года.
Решение.
На участке р. Ангары от истока оз. Байкал до Усть-Илимской ГЭС расположены Иркутская, Братская и Усть-Илимская гидроэлектростанции. В соответствии с этим были построены гидрографы притока к Иркутскому гидроузлу (полезный приток в оз. Байкал) и гидрографы боковой приточности р. Ангары на участках Иркутская ГЭС - Братская ГЭС и Братская ГЭС - Усть-Илимская ГЭС. Учитывая, что на участке от Братской ГЭС до Усть-Илимской ГЭС нарастание стока незначительно (около 11%), а, следовательно, определение ординат гидрографов по разности соответственных расходов привело бы к существенным погрешностям, построение гидрографов произведено только методом суммирования расходов притоков.
В
табл. 9 даны параметры кривых обеспеченности основных элементов гидрографов боковой приточности р. Ангары на участке Братская ГЭС - Усть-Илимская ГЭС, вычисленные за периоды имеющихся наблюдений.
На обоих участках Иркутская ГЭС - Братская ГЭС и Братская ГЭС - Усть-Илимская ГЭС расчетные гидрографы построены по модели 1937 г., который характеризуется наибольшим максимальным расходом весеннего половодья за имеющийся период наблюдений и наибольшим объемом стока в период прохождения основной волны.
Таблица 8
Распределение стока р. Ангары на участке Невон - Богучаны
по месяцам (в числителе - Q, м3/с, в знаменателе - K)
Река - гидрометрический створ | XI | XII | I | II | III | IV | (XI - IV) | V |
Тушама - Тушама | 4,39 ------- 1,88 | 2,91 ------- 1,24 | 2,07 ------- 0,88 | 1,76 ------- 0,75 | 1,41 ------- 0,61 | 1,51 ------- 0,64 | 2,34 ------- 6,0 | 59,9 ------- 3,83 |
Кова - Прокопьево | 13,8 ------- 1,54 | 9,75 ------- 1,08 | 9,75 ------- 1,08 | 6,77 ------- 0,75 | 6,23 ------- 0,69 | 7,64 ------- 0,86 | 8,99 ------- 6,0 | 255 ------- 3,85 |
Чадобец - Яркино | 32,8 ------- 2,08 | 17,2 ------- 1,09 | 15,0 ------- 0,95 | 14,2 ------- 0,9 | 7,02 ------- 0,44 | 8,51 ------- 0,54 | 15,8 ------- 6,0 | 360 ------- 4,17 |
Мура - Ирба | 7,65 ------- 1,71 | 4,74 ------- 1,06 | 4,36 ------- 0,97 | 3,27 ------- 0,73 | 2,76 ------- 0,62 | 4,09 ------- 0,91 | 4,48 ------- 6,0 | 122 ------- 3,28 |
Средневзвешенные модульные коэффициенты K | 1,82 | 1,09 | 0,98 | 0,80 | 0,57 | 0,74 | 6,0 | 3,82 |
Расходы боковой приточности, м3/с | 1,24 | 74,0 | 66,7 | 54,3 | 38,9 | 50,3 | 68,0 | 1023 |
Река - гидрометрический створ | VI | VII | VIII | IX | X | (V - X) | Год (XI - X) |
Тушама - Тушама | 10,5 ------- 0,67 | 10,7 ------- 0,68 | 4,84 ------- 0,31 | 4,59 ------- 0,29 | 3,42 ------- 0,22 | 15,7 ------- 6,0 | |
Кова - Прокопьево | 46,2 ------- 0,79 | 35,6 ------- 0,61 | 16,8 ------- 0,29 | 15,2 ------- 0,26 | 12,4 ------- 0,20 | 58,5 ------- 6,0 | |
Чадобец - Яркино | 74,1 ------- 0,86 | 32,4 ------- 0,38 | 19,3 ------- 0,22 | 18,5 ------- 0,21 | 13,7 ------- 0,16 | 86,3 ------- 6,0 | |
Мура - Ирба | 41,4 ------- 1,12 | 25,2 ------- 0,68 | 12,7 ------- 0,34 | 12,3 ------- 0,33 | 9,43 ------- 0,25 | 37,2 ------- 6,0 | |
Средневзвешенные модульные коэффициенты K | 0,89 | 0,55 | 0,28 | 0,26 | 0,20 | 6,0 | |
Расходы боковой приточности, м3/с | 239 | 148 | 75,0 | 69,7 | 53,6 | 468 | 268 |
Таблица 9
Параметры кривых обеспеченности основных элементов
гидрографов боковой приточности р. Ангары
на участке от Братской ГЭС до Усть-Илимской ГЭС
Элемент гидрографа | Период наблюдений | Норма | Cv | Cs |
Qмакс, м3/с | 1934 - 64 | 2470 | 0,36 | 0,72 |
Wволны, км3 | 1903 - 65 | 3,81 | 0,19 | 0,38 |
Wполов, км3 | 1903 - 65 | 5,48 | 5,16 | 0,32 |
При построении расчетных гидрографов (
рис. 3 и
4) сохранялась одинаковая обеспеченность для всех его элементов.
При анализе сочетаний (по обеспеченности и в календаре) расчетных гидрографов рассматривались: гидрограф притока к створу Иркутской ГЭС (полезный приток в Байкал) и гидрографы боковой приточности от Иркутской ГЭС до Братской ГЭС и от Братской ГЭС до Усть-Илимской ГЭС.
Рис. 3. Расчетный гидрограф боковой приточности р. Ангары
на участке Иркутская ГЭС - Братская ГЭС обеспеченностью
0,02% за период весеннего половодья по модели 1937 г.
Рис. 4. Расчетный гидрограф боковой приточности р. Ангары
на участке Братская ГЭС - Усть-Илимская ГЭС обеспеченностью
2% за период весеннего половодья по модели 1937 г.
При этом, так как рассматриваемые водохранилища имеют значительные регулирующие емкости, сочетание гидрографов произведено, исходя из условия сохранения баланса объемов боковой приточности по длине реки за период весеннего половодья.
Параметры и расчетные объемы боковой приточности весеннего половодья различной обеспеченности на рассматриваемых участках, являющиеся исходными данными для расчета, приведены в
табл. 10.
В
табл. 11 приведено сочетание обеспеченностей объемов половодий на различных участках каскада, выполненное в двух вариантах:
1) по реальному распределению объемов стока за многоводный 1937 г.
2) по неблагоприятному сочетанию.
Таблица 10
Параметры и расчетные объемы боковой приточности
весеннего половодья различной обеспеченности
в каскаде ГЭС на р. Ангаре
Участок, створ | W, км3 | Cv | Cs | Обеспеченность, % |
0,01 с гарант. попр. | 0,1 | 1 | 5 | 10 |
Приток к створу Иркутской ГЭС (полезный приток в оз. Байкал) | 23,2 | 0,18 | 0,36 | 44,4 | 38,3 | 33,9 | 30,4 | 28,6 |
Иркутская ГЭС - Братская ГЭС | 10,5 | 0,19 | 0,38 | 20,7 | 17,7 | 15,6 | 14,0 | 13,1 |
Братская ГЭС - Усть-Илимская ГЭС | 5,48 | 0,16 | 0,32 | 9,88 | 8,60 | 7,73 | 7,01 | 6,63 |
Усть-Илимская ГЭС | 39,3 | 0,14 | 0,28 | 66,4 | 59,0 | 53,4 | 48,7 | 46,4 |
Таблица 11
Вариантный расчет объемов боковой приточности весеннего
половодья для различных участков каскада ГЭС на Ангаре
Участок, створ | 1-й вариант | 2-й вариант |
1937 г. | расчетный | расчетный объем стока W, км3 | обеспеченность, % |
бытовой объем W, км3 | распределение в % от замыкающего створа | W, км3 | обеспеченность, % |
Приток к Иркутской ГЭС (полезный приток в оз. Байкал) | 25,5 | 60,3 | 40,1 | 0,04 | 35,8 | 0,4 |
Иркутская ГЭС - Братская ГЭС | 12,1 | 28,5 | 18,9 | 0,02 | 20,7 | 0,01 с гарант. попр. |
Братская ГЭС - Усть-Илимская ГЭС | 4,7 | 11,2 | 7,4 | 2,0 | 9,9 | То же |
Усть-Илимская ГЭС | 42,3 | 100 | 66,4 | 0,01 с гарант. попр. | 66,4 | " |
Расчеты заиления водохранилищ
Пример 6.
Оценить срок службы водохранилища до его заиления, если имеются следующие исходные данные: объем проектируемого водохранилища при НПУ
W = 265·10
6 м
3; длина реки на участке проектируемого водохранилища
l = 35 x 10
3 м, средний многолетний расход реки, питающей водохранилище,
Qр = 550 м
3/с; средняя годовая мутность воды
Sр = 2,1·10
3 г/м
3; плотность отложений наносов в водохранилище

; средняя площадь поперечного сечения реки

, площадь поперечного сечения водохранилища в приплотинном створе

.
Решение.
tу = (W - wр)/VS,
где
Тогда
Рис. 5. График изменения мутности в зависимости
от изменения объема водохранилища
Уточняем продолжительность заиления водохранилища. Для этого находим продолжительность первой стадии заиления tуI, в течение которой практически все поступающие из реки наносы осаждаются в водохранилище, а затем вычисляем ход заиления водохранилища в течение второй стадии по формулам Шамова или Лапшенкова.
Согласно
формуле (6.40), продолжительность первой стадии заиления в первом приближении равна
Корректируем продолжительность первой стадии заиления, исходя из условия
SкI = 0,1
Sр. Для этого по заранее построенному графику
Sj/
Sр =
f(
Wj/W0)
(рис. 5) находим значение
WI/
W0 = 0,3, соответствующее принятому соотношению
SкI/
Sр = 0,1. Расчет мутности для построения графика
Sj/
Sр =
f(
Wj/W0) приведен в
табл. 12. Поскольку незаиленный объем водохранилища к концу первой стадии заиления
WкI = 0,3
W0, то объем аккумулированных за это время наносов будет равен
WаI = 0,7
W0 = 185·10
6 м
3.
Следовательно, продолжительность первой стадии заиления

Таблица 12
Расчет мутности в конечном створе
водохранилища по формуле

Исходные данные: профиль поперечного сечения в конечном
створе до заиления; Qр = 550 м3/с; Sр = 2,1·103 г/м3;
средняя крупность взвешенных наносов dср.взв = 0,08 мм;
Uвзв = 0,0068 м/с; средняя крупность отложившихся
наносов dср.отл = 1,78 мм; коэффициент
шероховатости

Уровень воды у плотины, м усл. | Площадь сечения  , м 2 | Средняя глубина сечения hср, м | Средняя скорость течения v, м/с | | | | E = f (C) | Г = f (C, G) | S | | |
Входной створ (начальный) при a = 1 |
| 540 | 2,0 | 1,02 | 0,52 | 0,0067 | 33,6 | 6 600 | 0,590 | 2025 | 0,96 | |
a = Sр/Sвыч = 2100:2025 = 1,04 |
Приплотинный (конечный) створ при a = 1,04 |
110 | 3600 | 8,6 | 0,15 | 0,0026 | 0,045 | 42,9 | 11 000 | 0,032 | 0,85 | 0,0005 | 1,0 |
109 | 3186 | 7,8 | 0,17 | 0,0037 | 0,040 | 42,3 | 10 600 | 0,044 | 1,70 | 0,0008 | 0,88 |
108 | 2784 | 7,0 | 0,20 | 0,0057 | 0,034 | 41,4 | 10 200 | 0,064 | 3,50 | 0,0017 | 0,78 |
107 | 2394 | 6,2 | 0,23 | 0,0085 | 0,030 | 40,8 | 9 800 | 0,080 | 6,40 | 0,0030 | 0,66 |
106 | 2016 | 5,4 | 0,27 | 0,0135 | 0,025 | 39,6 | 9 200 | 0,125 | 15,0 | 0,007 | 0,56 |
105,5 | 1832 | 5,0 | 0,30 | 0,0180 | 0,023 | 39,3 | 9 100 | 0,146 | 23,0 | 0,010 | 0,51 |
105 | 1650 | 4,6 | 0,33 | 0,0237 | 0,021 | 38,7 | 8 900 | 0,171 | 36,0 | 0,017 | 0,46 |
104,5 | 1472 | 4,2 | 0,37 | 0,0326 | 0,018 | 38,1 | 8 600 | 0,212 | 57,0 | 0,027 | 0,41 |
104 | 1296 | 3,7 | 0,42 | 0,0477 | 0,016 | 37,2 | 8 200 | 0,263 | 99,0 | 0,047 | 0,36 |
103,5 | 1194 | 3,3 | 0,48 | 0,0698 | 0,014 | 36,6 | 7 800 | 0,314 | 165 | 0,078 | 0,31 |
103 | 954 | 2,8 | 0,58 | 0,120 | 0,012 | 36,0 | 7 600 | 0,374 | 330 | 0,16 | 0,26 |
102,5 | 788 | 2,4 | 0,70 | 0,204 | 0,0097 | 34,8 | 7 100 | 0,457 | 640 | 0,30 | 0,22 |
102 | 624 | 1,9 | 0,88 | 0,408 | 0,0077 | 33,3 | 6 500 | 0,555 | 1420 | 0,68 | 0,17 |
101,8 | 559 | 1,74 | 0,98 | 0,533 | 0,0069 | 33,0 | 6 400 | 0,594 | 2026 | 0,96 | 0,16 |
Примечания: 1. Значения E сняты с графика на рис. 6.3. 3. Поправочный коэффициент a = 1,04 получен по данным измерений и вычисления на входном створе. |
Таблица 13
Расчет аккумуляции наносов
в водохранилище по формуле (6.46)
Исходные данные: WаI = 185·106 м3; Wа пред.II = 61·106 м3;
Wа пред = 27,2·106 м3; WаI/Wа пред = 0,446;
1 - WаI/Wа пред = a = 0,554; tУI = 6,1 года
Вторая стадия заиления | Полный объем заиления WаI + WаtII·106, м3 | Годы от начала заиления tI + tII |
t, годы | at | 1 - at | WаtII·106, м3 |
1 | 0,554 | 0,446 | 27,2 | 212,2 | 7,1 |
2 | 0,307 | 0,693 | 42,3 | 227,3 | 8,1 |
3 | 0,170 | 0,830 | 50,6 | 235,6 | 9,1 |
4 | 0,094 | 0,906 | 55,3 | 240,3 | 10,1 |
5 | 0,052 | 0,948 | 57,9 | 242,9 | 11,1 |
6 | 0,029 | 0,971 | 59,2 | 244,2 | 12,1 |
7 | 0,016 | 0,984 | 60,0 | 245,0 | 13,1 |
8 | 0,009 | 0,991 | 60,4 | 245,4 | 14,1 |
9 | 0,005 | 0,995 | 60,6 | 245,6 | 14,1 |
10 | 0,003 | 0,997 | 60,8 | 245,8 | 15,1 |
11 | 0,0015 | 0,9985 | 61,0 | 246,0 | 16,1 |
Таблица 14
Расчет аккумуляции наносов
в водохранилище по формуле (6.49)
Исходные данные:
Wа пред.II = 61·10
6 м
3;

;
tуI = 6,1 года
Вторая стадия заиления | Полный объем заиления WаI + WаtII,·106, м3 | Годы от начала заиления tI + tII |
t, годы | | e-t/E | 1 - e-t/E | WаtII·106, м3 |
1 | 0,446 | 0,640 | 0,360 | 21,7 | 206,7 | 7,1 |
3 | 1,34 | 0,262 | 0,738 | 45,0 | 230,0 | 9,1 |
5 | 2,23 | 0,107 | 0,893 | 54,5 | 239,5 | 11,1 |
7 | 3,12 | 0,044 | 0,956 | 58,3 | 243,3 | 13,1 |
9 | 4,41 | 0,013 | 0,987 | 60,2 | 254,2 | 15,1 |
11 | 4,91 | 0,007 | 0,993 | 60,5 | 245,5 | 17,1 |
13 | 5,80 | 0,003 | 0,997 | 60,8 | 245,8 | 19,1 |
15 | 6,70 | 0,001 | 0,999 | 60,9 | 245,9 | 21,1 |
Дальнейший расчет заиления выполняем по
формулам (6.46) и
(6.49). При этом начальный объем водохранилища на второй стадии заиления будет равен
W0II =
WкI = 0,3
W0 = 0,3·265·10
6 ~= 80·10
6 м
3, а предельный объем заиления в конце второй стадии
Wа предI =
W0II -
wр = (80 - 19)·10
6 = 61·10
6 м
3.
Полагая, что в первый год второй стадии заиления сохраняется условие
Sсброс = 0,1
Sр, получим объем наносов, отложившихся в водохранилище за первый год второй стадии заиления:
WаIII = 0,9
Vs = 27,2·10
6 м
3. Расчет заиления по
формулам (6.46) и
(6.49) при принятых значениях параметров
Wа пред.II и
WаIII приведен в
табл. 13 и
14.
Пример 7.
Определить объем заиления проектируемого водохранилища через 5 лет, если известны следующие данные: проектируемый (первоначальный) объем водохранилища при НПУ W = 265·10
6 м
3; длина водохранилища
l = 35·10
3 м; средняя площадь живого сечения реки на участке проектируемого водохранилища

; средний многолетний расход воды
Qр = 550 м
3/с; средняя годовая мутность воды, поступающей в водохранилище,
Sр = 2,1·10
3 г/м
3; плотность отложений наносов

.
Решение.
Для приближенной оценки объема заиления используем номограмму
(рис. 6.7). Предварительно проводим луч

, отвечающий заданным значениям
Sр и

. Согласно
отношению (6.59),

.
Координаты точки

, через которую следует провести луч

, находим из условия

. Задавшись произвольным значением
Fз, например
Fз = 0,5, определим
t =
Fз/
S = 0,5:0,00175 = 285 и через точку

с координатами
t = 285 и
Fз = 0,50 проведем луч

(см. пунктирную линию на
рис. 6.7).
Затем определим, какой кривой

следует пользоваться для определения относительного объема водохранилища

. Для этого по
формуле (6.60) найдем

и по интерполяции проведем кривую

при

(см. пунктирную линию

на
рис. 6.7).
Закончив предварительные построения, по
формуле (6.58) найдем значение входного параметра

, соответствующее заданному промежутку времени
t = 5 лет:

(31,5·10
6 - число секунд в году).
Затем из точки

восстанавливаем перпендикуляр до пересечения с лучом

; далее проводим из этой точки горизонтальную линию до пересечения с кривой
Fз при

и из точки пересечения опускаем перпендикуляр на ось

(см. направление пунктирных стрелок на
рис. 6.7).
По полученному значению

по
формуле (6.61) находим объем водохранилища через 5 лет:

.
Объем заиления составит Wа = W0 - Wt=5 = (265 - 113)·106 = 152·106 м3.
Пример 8.
Рассчитать ход заиления двух смежных участков проектируемого водохранилища, если заданы следующие исходные данные: средний многолетний расход воды
Qр = 550 м
3/с; средняя годовая мутность реки, питающей водохранилище,
Sр = 2,1·10
3 г/м
3; плотность отложений наносов в водохранилище

; морфометрические характеристики участков водохранилища приведены в
табл. 15.
Таблица 15
Морфометрические характеристики участков водохранилища
Номер участка | Объем водохранилища при НПУ W0, млн. м3 | Длина участка l, тыс. м | Средняя глубина водохранилища hср, м | Средняя площадь поперечного сечения водохранилища , тыс. м 2 | Объем речного русла до наполнения водохранилища wр, млн. м3 | Средняя площадь поперечного сечения русла реки , тыс. м 2 | Средняя глубина реки hр.ср, м |
I | 65 | 12,5 | 4,7 | 5,20 | 6,75 | 0,54 | 2,0 |
II | 200 | 11,5 | 11,4 | 17,54 | 6,21 | 0,54 | 2,0 |
Решение. В соответствии с исходными данными ведем расчет упрощенным способом А.В. Караушева (см.
п. 6.4.3.1). Вычисление ведем в следующем порядке.
По
формуле (6.55) вычисляем крайние значения коэффициента

для расчетных участков I и II:
kр = 2,0:540
0,5 = 0,086; k
вI = 4,7:5200
0,5 = 0,065;
kвII = 11,4:17 540
0,5 = 0,086.
Промежуточные значения коэффициента
kв для участка I находим по интерполяционному графику
k =
f(
W)
(рис. 6), для участка II значение
kв оказалось постоянным (
kр =
kвII = 0,086).
Рис. 6. Интерполяционный график для определения
значений kв для I участка
По
формуле (6.54) вычисляем для каждого расчетного участка значения функции обратной связи

в диапазоне ее изменений от 1 до 0,001
(табл. 16). По полученным значениям строим вспомогательный график
(рис. 7). Закончив предварительные расчеты и построения, приступаем к расчету заиления по
формулам (6.53) и
(6.52) по участкам, при этом сначала выполняем расчет для верхнего участка I, затем для нижнего участка II. Расчет ведем в табличной форме
(табл. 17) последовательно по интервалам времени

. Значения

назначаем таким образом, чтобы получить плавное убывание

.
Порядок вычислений поясним на примере расчета заиления за восьмой интервал времени

для участка I
(табл. 17). Продолжительность интервала времени

(
графы 2 и
3). Значение
(графа 4). Находим по графику

на рис. 7 значение функции

, соответствующее объему водохранилища на первом расчетном участке за предшествующий интервал времени

при

. Объем наносов, отложившихся на первом участке за интервал времени

, вычисляем по
формуле (6.53) (графа 6):
Рис. 7. График зависимости

а - I участок, б - II участок
Таблица 16
Расчет функции обратной связи

I участок | II участок |
Wв·106, м3 | (Wв·10-6)3,25 | kв | kв(Wв·10-6)3,25 | | | lg(Wв·10-6) | Wв·10-6, м3 | (Wв·10-6)3,25 | kв | kв(Wв·10-6)3,25 | | | lg(Wв·10-6) |
6,75 | 495,7 | 0,086 | 42,63 | 1 | 0 | 0,823 | 6,21 | 378,0 | 0,086 | 32,51 | 1 | 0 | 0,793 |
7,0 | 557,9 | 0,086 | 47,98 | 0,888 | 0,112 | 0,845 | 6,75 | 495,7 | 0,086 | 42,63 | 0,763 | 0,237 | 0,823 |
7,5 | 698,2 | 0,086 | 60,0 | 0,710 | 0,290 | 0,875 | 7,0 | 557,9 | 0,086 | 47,98 | 0,678 | 0,322 | 0,845 |
8,0 | 861,7 | 0,086 | 74,05 | 0,576 | 0,424 | 0,903 | 7,5 | 698,2 | 0,086 | 60,0 | 0,542 | 0,458 | 0,875 |
9,0 | 1 262 | 0,085 | 107,3 | 0,397 | 0,603 | 0,954 | 8,0 | 861,1 | 0,086 | 74,05 | 0,439 | 0,561 | 0,903 |
10,0 | 1 778 | 0,085 | 151,1 | 0,282 | 0,718 | 1,0 | 9,0 | 1 262 | 0,086 | 108,5 | 0,300 | 0,700 | 0,954 |
12,0 | 3 216 | 0,084 | 270,1 | 0,158 | 0,842 | 1,079 | 10 | 1 778 | 0,086 | 152,9 | 0,213 | 0,787 | 1,0 |
15 | 6 642 | 0,083 | 551,2 | 0,077 | 0,923 | 1,176 | 12 | 3 216 | 0,086 | 276,5 | 0,118 | 0,882 | 1,079 |
18 | 12 012 | 0,083 | 997,0 | 0,042 | 0,958 | 1,255 | 15 | 6 642 | 0,086 | 571,2 | 0,057 | 0,943 | 1,176 |
20 | 16 918 | 0,082 | 1 387 | 0,031 | 0,969 | 1,301 | 18 | 12 012 | 0,086 | 1 033 | 0,031 | 0,969 | 1,255 |
25 | 34 938 | 0,080 | 2 680 | 0,016 | 0,984 | 1,398 | 20 | 16 918 | 0,086 | 1 455 | 0,022 | 0,978 | 1,301 |
30 | 63 189 | 0,078 | 4 929 | 0,009 | 0,991 | 1,477 | 25 | 34 938 | 0,086 | 3 004 | 0,011 | 0,989 | 1,398 |
35 | 104 285 | 0,076 | 7 926 | 0,005 | 0,995 | 1,544 | 30 | 63 189 | 0,086 | 5 434 | 0,006 | 0,994 | 1,477 |
40 | 160 952 | 0,074 | 11 910 | 0,004 | 0,996 | 1,602 | 35 | 104 285 | 0,086 | 8 968 | 0,004 | 0,996 | 1,544 |
45 | 236 015 | 0,073 | 17 053 | 0,002 | 0,998 | 1,653 | 40 | 160 952 | 0,086 | 13 841 | 0,002 | 0,998 | 1,602 |
50 | 332 393 | 0,071 | 23 600 | 0,002 | 0,998 | 1,699 | 45 | 236 015 | 0,086 | 20 297 | 0,002 | 0,998 | 1,653 |
60 | 601 162 | 0,067 | 40 278 | 0,001 | 0,999 | 1,778 | 50 | 332 393 | 0,086 | 28 585 | 0,001 | 0,999 | 1,699 |
Таблица 17
Расчет заиления водохранилища по участкам
упрощенным способом А.В. Караушева
Участок I
Qр = 550 м
3/с;
Sн = 2,1·10
3 г/м
3;

N п/п | Интервал времени  |  , 10 6 м 3 | |  , 10 6 м 3 | WI, 106 м3 | lg(WI·10-6) |  , 10 6 м 3 | SнII, 106 м3 | WаI, 106 м3 |
месяцы | 106 с |
1 | | | | 5 | | | 8 | | | 11 |
0 | 0 | 0 | 0 | 1 | 0 | 65 | 1,778 | 0 | | 0 |
1 | 3 | 7,875 | 7,58 | 0,999 | 7,58 | 57,42 | 1,760 | 0,002 | | 7,58 |
2 | 3 | 7,875 | 7,58 | 0,998 | 7,57 | 49,85 | 1,698 | 0,004 | 0,006 | 15,15 |
3 | 3 | 7,875 | 7,58 | 0,997 | 7,56 | 42,29 | 1,625 | 0,006 | | 22,71 |
4 | 3 | 7,875 | 7,58 | 0,995 | 7,56 | 34,73 | 1,540 | 0,010 | | 30,27 |
5 | 3 | 7,875 | 7,58 | 0,987 | 7,54 | 27,19 | 1,434 | 0,027 | | 37,81 |
6 | 3 | 7,875 | 7,58 | 0,969 | 7,48 | 19,71 | 1,295 | 0,065 | | 45,29 |
7 | 3 | 7,875 | 7,58 | 0,850 | 7,34 | 12,37 | 1,092 | 0,315 | | 52,63 |
8 | 1 | 2,625 | 2,53 | 0,730 | 2,15 | 10,22 | 1,009 | 0,567 | 0,357 | 54,78 |
9 | 1 | 2,625 | 2,53 | 0,530 | 1,84 | 8,38 | 0,923 | 0,987 | | 56,62 |
10 | 0,5 | 1,313 | 1,26 | 0,360 | 0,67 | 7,71 | 0,886 | 1,344 | | 57,29 |
11 | 0,5 | 1,313 | 1,26 | 0,200 | 0,45 | 7,26 | 0,860 | 1,680 | | 57,74 |
12 | 0,5 | 1,313 | 1,26 | 0,120 | 0,25 | 7,01 | 0,845 | 1,848 | | 57,99 |
13 | 0,5 | 1,313 | 1,26 | 0,050 | 0,15 | 6,86 | 0,836 | 1,995 | | 58,14 |
14 | 0,5 | 1,313 | 1,26 | 0,030 | 0,06 | 6,80 | 0,832 | 2,037 | | 58,20 |
15 | 0,5 | 1,313 | 1,26 | 0 | 0,04 | 6,76 | 0,826 | 2,1 | | 58,24 |
Полное заиление участка I наступит через 2 года и 2 месяца  . |
Участок II
N п/п | Интервал времени  | SнII, 106 г/м3 |  , 10 6 м 3 | |  , 10 6 м 3 | WII, 106 м3 | lg(WII·10-6) | |  , 10 3 г/м 3 | WаII, 106 м3 |
месяцы | 106 с |
0 | 0 | 0 | 0 | 0 | 1 | 0 | 200 | 2,301 | 0 | 0 | 0 |
1 | 12 | 31,5 | 0,006 | 0,1 | 1 | 0,1 | 199,9 | 2,300 | 0 | 0 | 0,1 |
2 | 12 | 31,5 | 0,357 | 5,2 | 1 | 5,2 | 194,7 | 2,289 | 0 | 0 | 5,3 |
3 | 12 | 31,5 | 2,08 | 30,0 | 1 | 30,0 | 164,7 | 2,216 | 0 | 0 | 35,3 |
4 | 12 | 31,5 | 2,10 | 30,3 | 1 | 30,3 | 134,4 | 2,129 | 0 | 0 | 65,6 |
5 | 12 | 31,5 | 2,10 | 30,3 | 1 | 30,3 | 104,1 | 2,017 | 0 | 0 | 95,9 |
6 | 12 | 31,5 | 2,10 | 30,3 | 1 | 30,3 | 73,8 | 1,868 | 0 | 0 | 126,2 |
7 | 6 | 15,75 | 2,10 | 15,16 | 1 | 15,2 | 58,6 | 1,768 | 0 | 0 | 141,4 |
8 | 6 | 15,75 | 2,10 | 15,16 | 0,998 | 15,2 | 43,4 | 1,637 | 0,002 | 0,004 | 156,6 |
9 | 6 | 15,75 | 2,10 | 15,16 | 0,992 | 15,1 | 28,3 | 1,452 | 0,008 | 0,017 | 171,7 |
10 | 3 | 7,875 | 2,10 | 7,58 | 0,980 | 7,5 | 20,8 | 1,318 | 0,020 | 0,042 | 179,2 |
11 | 1 | 2,625 | 2,10 | 2,53 | 0,970 | 2,5 | 18,3 | 1,262 | 0,030 | 0,063 | 181,7 |
12 | 1 | 2,625 | 2,10 | 2,53 | 0,950 | 2,4 | 15,9 | 1,201 | 0,050 | 0,105 | 184,1 |
13 | 1 | 2,625 | 2,10 | 2,53 | 0,900 | 2,4 | 13,5 | 1,130 | 0,100 | 0,210 | 186,5 |
14 | 1 | 2,625 | 2,10 | 2,53 | 0,830 | 2,3 | 11,2 | 1,041 | 0,170 | 0,357 | 188,8 |
15 | 0,5 | 1,313 | 2,10 | 1,26 | 0,790 | 1,0 | 10,2 | 1,008 | 0,210 | 0,441 | 189,8 |
16 | 0,5 | 1,313 | 2,10 | 1,26 | 0,730 | 1,0 | 9,2 | 0,964 | 0,270 | 0,567 | 190,8 |
17 | 0,5 | 1,313 | 2,10 | 1,26 | 0,600 | 0,9 | 8,3 | 0,919 | 0,400 | 0,840 | 191,7 |
18 | 0,5 | 1,313 | 2,10 | 1,26 | 0,458 | 0,8 | 7,5 | 0,875 | 0,542 | 1,138 | 192,5 |
19 | 0,5 | 1,313 | 2,10 | 1,26 | 0,300 | 0,6 | 6,9 | 0,839 | 0,700 | 1,470 | 193,1 |
20 | 0,5 | 1,313 | 2,10 | 1,26 | 0,140 | 0,4 | 6,5 | 0,813 | 0,860 | 1,806 | 193,5 |
21 | 0,5 | 1,313 | 2,10 | 1,26 | 0,050 | 0,2 | 6,3 | 0,799 | 0,950 | 1,995 | 193,7 |
| | | | | 0 | 0,1 | 6,2 | 0,793 | 1 | 2,100 | 193,7 |
Полное заиление участка II наступит через 8 лет и 5 месяцев. |
Аналогичным образом продолжаем расчет заиления за последующие интервалы времени до тех пор, пока объем водохранилища не уменьшится до объема русла реки wр, который имел место на рассматриваемом участке до заполнения водохранилища.
Прежде чем перейти к расчету хода заиления на участке II, вычислим мутность в конечном створе участка I по
формуле (6.56) (графа 9). Для восьмого расчетного интервала времени мутность в конечном створе участка I

.
Рис. 8. Ход заиления по участкам
а - I участок, б - II участок
Расчет заиления на участке II начинаем с вычисления мутности в начальном створе этого участка. Поскольку продолжительность расчетных интервалов для участка II больше, чем для участка I, то вычисляем мутность в начальном створе участка II по
формуле (6.57) (графа 10). Так, мутность в начальном створе участка II за первый расчетный интервал продолжительностью 1 год будет равна
Дальнейший расчет заиления участка II выполняется в том же порядке, как и для участка I. В результате расчета получили, что участок I полностью заилится через 2 года и 2 месяца, а участок II - через 8 лет и 5 месяцев. Ход заиления обоих участков показан на
рис. 8.
Построить расчетную кривую объемов заиленного водохранилища через 17 лет его эксплуатации. Кривые объемов и площадей водохранилища показаны на
рис. 9. Водохранилище горного типа (
m = 1,8).
Решение.
Расчет ведется в табличной форме
(табл. 18). Для отдельных уровенных горизонтов, представленных в
графе 1, определяются глубины, уровни воды, объемы и площади водохранилища с использованием кривых объемов и площадей незаиленного водохранилища, приведенных на
рис. 9. Далее определяется относительная глубина водохранилища
(графа 6) и значение параметра
A с использованием графиков на
рис. 6.8. Методом последовательных приближений определяется нулевой уровень у плотины, ниже которого объем водохранилища полностью заиливается наносами. В данном примере этот уровень соответствует отметке 331 м. Площади заиления ниже этого уровня переносятся в
графу 8 из
графы 5, а выше данного уровня рассчитываются по
формуле (6.85). Объем наносов для каждого расчетного уровня
(графа 9) определяется как произведение разности глубин двух слоев на среднюю площадь, занятую наносами. В
графе 10 суммируются с нижней строки нарастающим итогом объемы наносов по слоям, записанные в
графе 9. Объемы водохранилища по отдельным слоям после заиления определяются по разности величин, приведенных в
графах 4 и
10. По данным
графы 11 строится новая кривая объемов заиленного через 17 лет водохранилища (см.
рис. 9).
Таблица 18
Расчет заиления горного водохранилища
Wа,t = 771·106 м3; t = 17 лет
| Глубина h, м | Уровень воды H, м | Объем водохранилища до заиления, 106 м3 | Площадь зеркала f, 106 м2 | Относительная глубина  | | Площадь, занятая наносами, 106 м2 | Объем наносов, 106 м3 | Суммарный объем наносов, 106 м3 | Объем водохранилища после заиления, 106 м3 |
1 | 2 | 3 | | | | 7 | | | | |
1 | 347,5 | 19,5 | 4200,0 | 545,2 | 1,0 | 0 | 0 | 1,5 | 773,3 | 3426,7 |
2 | 346 | 18 | 3432,9 | 446,7 | 0,92 | 0,04 | 1,5 | 12,6 | 771,8 | 2661,1 |
3 | 344 | 16 | 2631,3 | 354,9 | 0,82 | 0,30 | 11,1 | 33,4 | 759,2 | 1871,8 |
4 | 342 | 14 | 1963,0 | 313,4 | 0,72 | 0,60 | 22,3 | 62,4 | 725,8 | 1237,2 |
5 | 340 | 12 | 1411,0 | 238,1 | 0,62 | 1,08 | 40,1 | 95,8 | 663,4 | 747,6 |
6 | 338 | 10 | 996,0 | 177,2 | 0,51 | 1,50 | 55,7 | 122,5 | 567,6 | 428,4 |
7 | 336 | 8 | 666,4 | 152,6 | 0,41 | 1,80 | 66,8 | 135,9 | 445,1 | 220,8 |
8 | 334 | 6 | 410,9 | 102,9 | 0,31 | 1,86 | 69,1 | 128,5 | 309,2 | 101,7 |
9 | 332 | 4 | 200,0 | 64,0 | 0,20 | 1,60 | 59,4 | 55,7 | 180,7 | 19,3 |
10 | 331 | 3 | 125,0 | 52,0 | 0,15 | 1,40 | 52 | | 125,0 | 0 |
11 | 330 | 2 | 50,0 | 40,0 | 0,10 | 1,00 | 40 | | 50,0 | 0 |
12 | 328 | 0 | 0 | 0 | 0 | 0 | 0 | | 0 | 0 |
Рис. 9. Кривые объемов (1, 1') и площадей
1 - до заиления водохранилища, 1' - через 17 лет
эксплуатации. Точки на кривой 1' - значения
объемов водохранилища, полученные расчетом
Расчеты ледово-термического режима
Пример 10.
Выполнить расчеты термического режима проектируемого глубокого водохранилища. Исходные данные: расчетное поперечное сечение получено осреднением шести поперечных сечений на выбранном характерном 11-километровом участке. Ширина расчетного поперечного сечения
b составила 3900 м, средняя глубина

, что и явилось основанием для отнесения водохранилища к разряду глубоких.
Расходы воды во входном створе водохранилища определялись по расчетному гидрографу стока для среднего по водности года.
Удельный расход воды определялся в соответствии с
п. 7.3.13 отдельно для каждого расчетного периода по формуле
q =
Q/b.
Удельные расходы, полученные для Богучанского водохранилища, позволяют рассматривать его как проточное (q > 80 000 м2/сут). В качестве аналога для Богучанского водохранилища был выбран Ангарский рукав Братского водохранилища на участке Новошумилово - Наратай.
Решение.
Расчет средней по глубине и температуры поверхностного слоя воды проводится для восьми периодов, устанавливаемых в соответствии с
п. 7.3.12.
Первый этап - расчет нагрева от нуля до начала весенней гомотермии и расчет для периода весенней гомотермии.
Расчет начинается с момента вскрытия водоема и очищения его ото льда. Начальная средняя по глубине температура воды, равная 3 °C, принимается по данным водоема-аналога. Дата вскрытия водоема 1/VI принята в соответствии с датой вскрытия реки в бытовых условиях с корректировкой последней по водоему-аналогу.
Расчет первого этапа от нуля до начала весенней гомотермии совмещается с расчетом весенней гомотермии.
Расчет ведется по
формуле (7.18) с

шагом, равным одним суткам
(табл. 19). Значения температуры поверхностного слоя воды и средней по глубине, полученные расчетом на конец первых суток, являются исходными для расчета за вторые сутки и т.д. Расчеты продолжаются до момента перехода температуры воды через 4,0 °C - температуры максимальной плотности дистиллированной воды. Расчет показал, что такой переход осуществился 8/VI, когда температура воды была 4,12 °C. Это значение принято исходным для следующего этапа расчетов - расчета периода весенне-летнего нагрева водохранилища.
Второй этап - расчет весенне-летнего нагрева.
Расчет нагрева водохранилища от 4,12 °C до максимального значения температуры поверхностного слоя воды производится с учетом даты наступления максимальных значений температуры воздуха и температуры воды в реке по данным гидрометеоинформации.
Расчет температуры поверхностного слоя и средней по глубине выполнен по
формулам (7.26) и
(7.28). В таблице второй член правой части
выражения (7.26) обозначен через

. Расчет по
формуле (7.26) ограничивается определением только первых двух членов правой части. Соответственно средняя температура на вертикали определяется как

. За
tнач для всех интервалов времени принято значение, полученное при расчете за предыдущий период и равное 4,12 °C
(табл. 20). Параллельно с расчетом

и
tпов выполнен расчет теплообмена с атмосферой по
формуле (7.1). При расчете теплообмена с атмосферой конечное значение температуры поверхностного слоя воды за предыдущий интервал времени является начальным для последующего интервала
(табл. 21).
Расчет начат с 9/VI. Продолжительность первого расчетного интервала принята равной 2 сут, последующих - 5 сут. Расчет проводился до тех пор, пока значения температуры поверхностного слоя воды не начали устойчиво уменьшаться, что говорит о прекращении летнего нагрева воды. Последнее из возрастающих значений температуры считается максимальным, и дата его появления в расчете принимается за дату наступления максимального прогрева водоема, после которой начинается следующий период - период летне-осеннего охлаждения. В данном примере максимальная температура поверхностного слоя воды (+19,49 °C) установилась 16/VIII (при значении средней по глубине температуры, равном 7,77 °C).
Третий этап - расчет охлаждения водохранилища.
За дату начала охлаждения водохранилища, согласно результатам расчетов за предыдущий период, принято 17/VIII. Расчет температуры поверхностного слоя воды и средней по глубине, а также теплоотдачи водной поверхности проводился по
формулам (7.1),
(7.23) и
(7.24). Расчет осуществлялся, как и ранее, по отдельным интервалам, продолжительность которых в расчете принята равной: для первого интервала - сутки, для второго - 3 сут и для всех последующих - 5 сут. Охлаждение просчитывается до момента установления осенней гомотермии, который определяется равенством температуры поверхностного слоя воды и средней по глубине.
Расчет температуры поверхностного слоя воды в период охлаждения для каждого интервала времени выполнялся по упрощенной
зависимости (7.28):
где
tпов,i - температура поверхности воды для последующего интервала;
ti-1 - температура поверхности воды предыдущего интервала;
Sо - теплоотдача за расчетный интервал, подсчитанная по поверхностной температуре предыдущего интервала с учетом актинометрических и метеорологических условий по
формуле (7.1);
Sh - теплоотдача в слое температурного скачка, для оценки которой использована преобразованная
формула (7.32):
Таблица 19
Схема расчета средней температуры воды
в водохранилище в период весенней гомотермии
hср = 51,25 м;
Sдн = 0;

Дата | ti-1 воды, °C |  , с | Sи + Sк, Вт/м2 | Iо, Вт/м2 | Iэф, Вт/м2 | Sо, Вт/м2 |  , °C |  , °C |
1 | 2 | 3 | 4 | 5 | 6 | 7 | 8 | 9 |
1/VI | 3,00 | 86 400 | 62,6 | 193,7 | 40,6 | 297,0 | 0,120 | 3,12 |
2/VI | 3,12 | 86 400 | 45,8 | 137,3 | 39,6 | 222,7 | 0,089 | 3,21 |
3/VI | 3,21 | 86 400 | 90,8 | 152,1 | 49,4 | 292,3 | 0,118 | 3,331 |
... | ... | ... | ... | ... | ... | ... | ... | ... |
7/VI | 3,78 | 86 400 | 105,0 | 246,5 | 51,0 | 402,5 | 0,163 | 3,94 |
8/VI | 3,94 | 86 400 | 131,4 | 279,2 | 31,3 | 442,0 | 0,178 | 4,12 |
Таблица 20
Схема расчета температуры поверхностного слоя воды
и средней по глубине в период летнего нагрева водохранилища
tн = 4,12 °C;

;

;
hср = 51,25 м
Дата |  , с | tн, °C |  , °C/м |  , °C/м |  , °C |  , °C |  , °C |  , °C | Sо, Вт/м2 | |
1 | 2 | 3 | 4 | 5 | 6 | | | | 10 | |
9 - 10/VI | 172 800 | 4,12 | 20,20 | 20,20 | 0,392 | 0,392 | 17,08 | 10,396 | 489,8 | 0,0751 |
11 - 15/VI | 432 000 | 4,12 | 37,30 | 57,50 | 0,728 | 1,120 | 17,08 | 10,396 | 360,5 | 0,213 |
16 - 20/VI | 432 000 | 4,12 | 22,10 | 79,60 | 0,432 | 1,552 | 17,08 | 10,396 | 213,7 | 0,295 |
... | ... | ... | ... | ... | ... | ... | ... | ... | ... | ... |
11 - 15/VII | 432 000 | 4,12 | 7,201 | 128,94 | 0,140 | 2,515 | 17,08 | 10,396 | 69,6 | 0,477 |
16 - 20/VII | 432 000 | 4,12 | 0,58 | 129,52 | 0,011 | 2,526 | 17,08 | 10,396 | 5,6 | 0,479 |
21 - 25/VII | 432 000 | 4,12 | 10,92 | 140,44 | 0,213 | 2,740 | 17,08 | 10,396 | 105,8 | 0,520 |
... | ... | ... | ... | ... | ... | ... | ... | ... | ... | ... |
11 - 15/VIII | 432 000 | 4,12 | 4,21 | 187,30 | 0,082 | 3,654 | 17,08 | 10,396 | 40,6 | 0,693 |
16/VIII | 86 400 | 4,12 | 0,16 | 187,46 | 0,003 | 3,657 | 17,08 | 10,396 | 7,7 | 0,694 |
Дата | n | | | | e-х | | | | | |
1 | 12 | 13 | 14 | 15 | 16 | 17 | | | 20 | 21 |
9 - 10/VI | 1 | 1,0 | 0,0037 | 0,075 | 0,928 | 0,928 | 1,160 | 12,05 | 9,54 | 4,51 |
2 | 0,25 | 0,0037 | 0,299 | 0,742 | 0,232 |
11 - 15/VI | 1 | 1,0 | 0,0037 | 0,213 | 0,808 | 0,808 | 0,915 | 9,50 | 12,82 | 5,24 |
2 | 0,25 | 0,0037 | 0,854 | 0,426 | 0,107 |
16 - 20/IV | 1 | 1,0 | 0,0037 | 0,295 | 0,744 | 0,744 | 0,820 | 8,53 | 14,22 | 5,67 |
2 | 0,25 | 0,0037 | 1,180 | 0,307 | 0,077 |
... | ... | ... | ... | ... | ... | ... | ... | ... | ... | ... |
11 - 15/VII | 1 | 1 | 0,0037 | 0,477 | 0,621 | 0,621 | 0,658 | 6,84 | 16,87 | 6,64 |
2 | 0,25 | 0,0037 | 1,910 | 0,148 | 0,037 |
16 - 20/VII | 1 | 1 | 0,0037 | 0,479 | 0,620 | 0,620 | 0,658 | 6,84 | 16,89 | 6,65 |
2 | 0,25 | 0,0037 | 1,920 | 0,150 | 0,038 |
21 - 25/VII | 1 | 1 | 0,0037 | 0,520 | 0,600 | 0,600 | 0,631 | 6,56 | 17,38 | 6,86 |
2 | 0,25 | 0,0037 | 2,080 | 0,125 | 0,031 |
... | ... | ... | ... | ... | ... | ... | ... | ... | ... | ... |
11 - 15/VIII | 1 | 1 | 0,0037 | 0,693 | 0,500 | 0,500 | 0,516 | 5,36 | 19,49 | 7,77 |
2 | 0,25 | 0,0037 | 2,772 | 0,065 | 0,016 |
16/VIII | 1 | 1 | 0,0037 | 0,694 | 0,500 | 0,500 | 0,516 | 5,36 | 19,49 | 7,77 |
2 | 0,25 | 0,0037 | 2,772 | 0,065 | 0,016 |
Примечание. Расчет tпов производился по формуле (7.28), при этом в первом приближении  , Sдн = 0, выражение под знаком экспоненты обозначено - x, n - натуральные числа, в расчетах принимаются равными 1 и 2. |
Таблица 21
Схема расчета теплоотдачи в период
летнего нагрева водохранилища
hср = 51,25 м
Дата | tпов | Sи + Sк, Вт/м2 | Iо, Вт/м2 | Iэф, Вт/м2 | S, Вт/м2 |
1 | 2 | 3 | 4 | 5 | 6 |
9 - 10/VI | 4,12 | 133,0 | 320,2 | 36,5 | 489,7 |
11 - 15/VI | 9,54 | 79,8 | 283,0 | -2,3 | 360,5 |
16 - 20/VI | 12,82 | 1,4 | 229,7 | -17,4 | 213,7 |
... | ... | ... | ... | ... | ... |
11 - 15/VII | 16,48 | -68,7 | 166,8 | -28,5 | 69,6 |
16 - 20/VII | 16,87 | -106,9 | 165,3 | -52,8 | 5,6 |
21 - 25/VII | 16,88 | -37,8 | 166,8 | -23,2 | 105,8 |
... | ... | ... | ... | ... | ... |
1 - 5/VIII | 18,59 | 27,1 | 145,0 | -41,8 | 130,3 |
6 - 10/VIII | 19,20 | -78,9 | 145,0 | -27,8 | 38,3 |
11 - 15/VIII | 19,49 | -92,2 | 181,3 | -48,5 | 40,6 |
16/VIII | 19,49 | -74,3 | 127,2 | -45,2 | 7,7 |
Температура конца весенней гомотермии равна 4,12 °C. Глубина изотермического слоя
hв.г определяется по преобразованной
формуле (7.31):
где hв.г - глубина верхнего изотермического слоя, для первого интервала принимается равной нулю.
По расчету совпадение
tпов и

получено 25/IX при значении температуры 7,4 °C.
Четвертый этап - расчет осенней гомотермии.
Расчет проводится начиная с 26/IX при начальном значении

и продолжается до значений, близких к 4,0 - 3,5 °C. Даты установления температуры 4,0 - 3,5 °C сравниваются с аналогичными датами по водоему-аналогу или по связи температуры воды и воздуха в бытовых условиях. Расчет проводится по
формулам (7.1) -
(7.24) с шагом времени одни сутки. Результаты расчетов даны в
табл. 23. По расчету значение
tср получено близким к 3,5 °C 22/XI.
Пятый этап - расчет предледоставного охлаждения водоема.
Расчет охлаждения в период снижения значений температуры воды на поверхности от 3,5 °C до нуля проводится по
формулам (7.1),
(7.23) и
(7.24).
Таблица 22
Схема расчета температуры поверхностного слоя воды
и средней по вертикали в водохранилище
в период летне-осеннего охлаждения
hср = 51,25 м;
Sдн = 0;

;
tср на 16/VIII 7,774 °C
Дата | tпов,i-1, °C | Sо,i, Вт/м2 |  , с | |  , °C/м |  , °C | tпов,i, °C | tн.г, °C | | |
1 | | 3 | 4 | 5 | 6 | 7 | 8 | 9 | 10 | 11 |
17/III | 19,49 | 10,6 | 86 400 | 18,334 | 0,440 | 0,665 | 18,82 | 4,12 | | |
18 - 20/VIII | 18,82 | 10,2 | 259 200 | | | | | 4,12 | 14,705 | 56,50 |
21 - 25/VIII | 17,49 | 22,4 | 432 000 | | | | | 4,12 | 13,366 | 49,00 |
... | ... | ... | ... | ... | ... | ... | ... | ... | ... | ... |
16 - 20/IX | 9,71 | 32,5 | 432 000 | | | | | 4,12 | 5,590 | 13,20 |
21 - 25/IX | 8,21 | 22,4 | 432 000 | | | | | 4,12 | 4,090 | 8,25 |
Дата |  , Вт/м 2 | Sо + Sh | | | hв.г | | | | | |
1 | 12 | 13 | 14 | 15 | 16 | | 18 | 19 | 20 | 21 |
17/III | | | | | | | | 9,167 | 0,004 | 7,77 |
18 - 20/VIII | 47,3 | 57,5 | 3,56 | 7,12 | 2,66 | 1,339 | 17,486 | 26,309 | 0,012 | 7,76 |
21 - 25/VIII | 41,0 | 63,4 | 6,56 | 13,12 | 3,62 | 1,812 | 15,67 | 96,898 | 0,045 | 7,71 |
... | ... | ... | ... | ... | ... | ... | ... | ... | ... | ... |
16 - 20/IX | 11,0 | 43,5 | 4,51 | 9,01 | 3,00 | 1,50 | 8,21 | 140,314 | 0,066 | 7,41 |
21 - 25/IX | 6,9 | 29,3 | 3,03 | 6,06 | 2,46 | 1,23 | 6,98 | 96,725 | 0,045 | 7,36 |
Таблица 23
Схема расчета теплоотдачи и средней температуры
воды в водохранилище от начала охлаждения
до конца осенней гомотермии
Дата |  , с | tн, °C | Sи + Sк, Вт/м2 | Iо, Вт/м2 | Iэф, Вт/м2 | Sо, Вт/м2 |  , °C/м | |  , °C |
26 - 30/IX | 432 000 | 7,36 | -137,1 | 103,2 | -60,3 | -94,2 | -9,73 | -0,19 | 7,17 |
1 - 5/X | 432 000 | 7,17 | -183,5 | 56,8 | -81,0 | -207,6 | -21,50 | -0,42 | 6,75 |
... | ... | ... | ... | ... | ... | ... | ... | ... | ... |
16 - 20/XI | 432 000 | 4,10 | -148,9 | 46,4 | -70,3 | -172,8 | -17,90 | -0,35 | 3,75 |
21/XI | 86 400 | 3,75 | -187,8 | 37,1 | -162,5 | -322,5 | -6,66 | -0,13 | 3,62 |
22/XI | 86 400 | 3,62 | -218,1 | 26,1 | -154,9 | -346,8 | -7,18 | -0,14 | 3,49 |
Таблица 24
Схема расчета температуры поверхностного слоя воды
и средней по глубине в водохранилище
в предледоставный период
tн = 3,49 °C; K = 0,000278 м2/с; hа = 15 м;
Дата |  , с | tн, °C | Si, Вт/м2 | |  , °C | |  , °C | °C |  , °C |
1 | 2 | | 4 | 5 | | 7 | | 9 | 10 |
23/XI | 86 400 | 3,49 | 403,7 | 8,35 | 0,163 | 1,445 | 1,74 | 1,58 | 3,33 |
24/XI | 86 400 | 1,58 | 375,8 | 7,78 | 0,152 | 1,345 | 1,62 | 0 | 3,18 |
С 25/XI проводится расчет для зимнего периода.
За начальное среднее по глубине значение температуры в зимний период принято значение температуры, полученное на 24/XI, т.е. 3,18 °C.
| | ИС МЕГАНОРМ: примечание. В официальном тексте документа, видимо, допущена опечатка: формула (8.23) отсутствует. Возможно, имеется в виду формула (7.23). | |
Примечание. Расчет температуры поверхностного слоя воды производился по
формуле (8.23) для случая
Y = 0;

, где
Kт = 0,00032
q;
q = 0,000239 м
2/с;

;

;
hа - толщина активной зоны, назначенная по водоему-аналогу.
Таблица 25
Схема расчета температуры воды
в водохранилище в зимний период
Дата |  , сут | Q, м3/с |  , м 2/сут |  , м 2/сут |  , 1/сут |  , 1/сут | | e-n | 9n | e-9n | | | | t1 | |
1 | | 3 | 4 | 5 | 6 | | 8 | 9 | 10 | 11 | | | | 15 | 16 |
25/XI | 1 | 2905 | 64 500 | 3,92 | 0,0015 | 0,0037 | 0,0037 | 1,0 | 0,033 | 0,965 | 1,034 | 0,037 | 0,897 | 3,176 | 3,166 |
26 - 27/XI | 2 | 2905 | 64 500 | 3,92 | 0,0015 | 0,0037 | 0,0074 | 0,995 | 0,0666 | 0,940 | 1,029 | 0,036 | 0,993 | 3,166 | 3,144 |
28 - 30/XI | 3 | 2905 | 64 500 | 3,92 | 0,0015 | 0,0037 | 0,011 | 0,99 | 0,099 | 0,910 | 1,024 | 0,034 | 0,990 | 3,144 | 3,112 |
1 - 10/XII | 10 | 2965 | 65 500 | 3,98 | 0,00152 | 0,0037 | 0,037 | 0,965 | 0,33 | 0,72 | 0,996 | 0,027 | 0,969 | 3,112 | 3,016 |
... | ... | ... | ... | ... | ... | ... | ... | ... | ... | ... | ... | ... | ... | ... | ... |
1 - 10/V | 10 | 2676 | 59 200 | 3,60 | 0,0014 | 0,0034 | 0,034 | 0,968 | 0,306 | 0,740 | 1,0 | 0,028 | 10,972 | 1,974 | 1,919 |
11 - 20/V | 10 | 2676 | 59 200 | 3,60 | 0,0014 | 0,0034 | 0,034 | 0,968 | 0,306 | 0,740 | 1,0 | 0,028 | 0,972 | 1,919 | 1,865 |
b = 3900 м; hср = 51,25 м; tср = 3,176 °C; Sдн = 0;  |
Примечание. Полученное значение средней по вертикали температуры 1,865 °C использовалось в качестве начальной для расчета средней температуры в послеледоставный период. Расчет в зимний период проводился по формуле (7.43), коэффициент K определялся по формуле (7.44). |
где Kт - коэффициент турбулентной температуропроводности, определяемый по выражению
Kт = 0,00032q.
Схема расчета приведена в
табл. 24. По расчету температура поверхностного слоя воды достигла нуля 24/XI. Эта дата считается датой установления ледяного покрова. При этом средняя по глубине температура воды составила 3,2 °C. Данное значение использовалось в качестве исходного при расчетах для зимнего периода.
Шестой этап - расчет зимнего периода.
В зимний период рассчитывается только средняя по глубине температура по
формуле (7.43). Расчет проводится до вскрытия водохранилища. Дата вскрытия водохранилища задана по водоему-аналогу. Расчет температуры в зимний период ведется по декадам.
Поскольку в пределах непродолжительного отрезка времени, охватывающего период охлаждения, граница раздела слоев внутри водоема менялась настолько мало, что ее положение можно было принимать стабильным, расчет зимнего периода был сведен к решению задачи об изменении температуры воды в неглубоких проточных водохранилищах, при этом в качестве начальных условий было принято, что
tпов = 0 °C и
tср равно средней температуре на конец предыдущего периода (3,2 °C), коэффициент температуропроводности грунта заменен коэффициентом теплопереноса, а поток тепла от дна - притоком тепла от подстилающей слой температурного скачка жидкой среды. Схема расчета приведена в
табл. 25. По расчету дата вскрытия 20/V.
Седьмой этап - расчет нагрева водохранилища от момента вскрытия до весенней гомотермии.
Нагрев водохранилища от момента вскрытия до установления весенней гомотермии рассчитывается по
формуле (7.22). При этом определяется температура поверхностного слоя воды и средняя по глубине. Начало гомотермии определяется совпадением этих значений. Расчет ведется с временным шагом одни сутки
(табл. 26). По расчету на 25/V
tср = 2,2 °C, а
tпов = 2,4 °C. Эта дата принята за начало весенней гомотермии.
Восьмой этап - расчет весенней гомотермии.
Весенняя гомотермия рассчитывалась по
формуле (7.18) с 25/V с

интервалом одни сутки. На 31/V получено
tср =
tпов = 2,764 °C (см.
табл. 27).
Расчеты годового цикла начаты 1/VI при tср = tпов = 3,0 °C. Полученное на 31/V значение tпов = 2,764 °C свидетельствует о замкнутости проведенного расчета (расхождение исходного и конечного значений температуры при расчетах годового цикла допускается в пределах 0,5 °C). Если бы расхождение оказалось больше 0,5 °C расчет пришлось бы повторить с новыми скорректированными условиями, вводимыми в расчет как начальные.
Пример 11.
Выполнить расчет зимнего термического режима неглубокого малопроточного водохранилища (на примере Киевского водохранилища).
Исходные материалы: 1. Морфометрические характеристики расчетного поперечного створа, определенные по характеристикам поперечных створов по 15-километровому приплотинному участку. На основании этих осредненных характеристик строились графики
fср =
f(
H) и
Bср =
f(
H)
(рис. 10).
2. Зарегулированные расходы воды, проходящие через расчетный створ и равные расходам воды, поступающей в нижний бьеф, и горизонты воды верхнего бьефа, соответствующие НПУ = 103,0 и 105,0 м, приняты на основании водохозяйственных расчетов
(рис. 11).
3. Тепловой поток от дна, рассчитанный по средним климатическим условиям (по средним значениям температуры воздуха) района Киевского гидроузла.
Таблица 26
Схема расчета температуры поверхностного
слоя воды и средней по глубине в водохранилище
в послеледоставный период
tср,н = 1,865 °C; hа = 15 м; K0 = 0,000278 м2/с
Дата |  , с | tн, °C | Si, Вт/м2 |  , °C/м |  , °C | |  , °C | | |
1 | 2 | 3 | 4 | | | 7 | | 9 | 10 |
21 - 22/V | 172 800 | 0 | 229,1 | 9,48 | 0,19 | 0,820 | 0,986 | 1,172 | 2,05 |
23 - 25/V | 259 200 | 1,17 | 174,0 | 10,80 | 0,21 | 0,623 | 0,750 | 2,470 | 2,25 |
26 - 31/V | 518 400 | 2,30 | 186,8 | 27,20 | 0,53 | - | - | - | 2,83 |
Примечание. Расчет проводился по формуле (7.23). Расчет на 23 - 25/V показал, что tпов близка к tср и несколько превышает ее, следовательно, начался процесс гомотермии, с 26 по 31/V рассчитывалась только средняя температура. Ее значение на конец интервала равно 2,83 °C. Это значение близко к tср = 3,0 °C, при которой был начат расчет 1/VI, поэтому считаем, что цикл расчета замкнулся. |
Таблица 27
Схема расчета средней температуры
в водохранилище в период весенней гомотермии
Дата | ti-1, °C |  , с | Sи + Sк, Вт/м2 | Iо Вт/м2 | Iэф, Вт/м2 | Sо, Вт/м2 | |  , °C |  , °C |
1 | 2 | 3 | 4 | 5 | 6 | 7 | 8 | 9 | 10 |
26/V | 2,20 | 86 400 | 73,3 | 139,6 | 60,5 | 273,4 | 5,64 | 0,110 | 2,31 |
27/V | 2,31 | 86 400 | 93,0 | 100,0 | 20,9 | 213,9 | 4,41 | 0,086 | 2,40 |
28/V | 2,40 | 86 400 | 72,1 | 191,9 | 53,5 | 317,5 | 6,56 | 0,128 | 2,53 |
29/V | 2,53 | 86 400 | 60,5 | 125,6 | 37,2 | 223,3 | 4,62 | 0,09 | 2,62 |
30/V | 2,62 | 86 400 | 58,1 | 154,7 | 36,0 | 248,8 | 5,12 | 0,10 | 2,72 |
31/V | 2,72 | 86 400 | 41,9 | 147,7 | 33,7 | 223,3 | 4,62 | 0,09 | 2,81 |
Рис. 10. Интегральные кривые площади и ширины
в расчетном створе Киевского водохранилища
Рис. 11. График горизонтов воды Киевского водохранилища
1 - средний по водности 1925 - 26 г.; 2 - многоводный
1919 - 20 г.; 3 - маловодный год 1920 - 21 г.
4. Сроки начала ледостава и вскрытия назначались по данным наблюдений на гидрологическом посту г. Киева.
5. График нарастания толщины льда для среднего года
(рис. 12).
6. Начальная температура воды в водохранилище на первый день ледостава принята равной нулю.
Решение. Расчет проведен исходя из общих представлений о том, что в плоскости нижней поверхности льда температура воды постоянно близка к нулю, ледяной покров изолирует воду от влияния атмосферных метеорологических условий (влияние атмосферы ограничивается поддержанием условий существования ледяного покрова) и единственным внешним фактором, оказывающим влияние на термический режим водоема при наличии ледяного покрова, является поток тепла, поступающего к воде от дна водоема (Sдн). При этом вода рассматривается как среда, передающая тепло, аккумулированное в летний период грунтами, слагающими дно, ледяному покрову.
Температурный режим водохранилищ этого типа в зимний период определяется интенсивностью теплоотдачи дна, зависящей от количества запасенного им в летнее время тепла и теплофизических свойств грунтов, слагающих дно; глубиной водоема и коэффициентом теплопроводности воды, зависящим от проточности водохранилища, а также от средней температуры, при которой происходит образование сплошного ледяного покрова. Эта температура на неглубоких водохранилищах обычно близка к нулю и принимается таковой в расчете для его надежности.
Рис. 12. График нарастания толщины льда для расчетов
температуры воды Киевского водохранилища в средний год
Входящий в формулу коэффициент теплопроводности воды
K в расчете употребляется в Вт/(м·°C) и рассчитывается по
формуле (7.44).
Расчет температуры воды производился только для приплотинного створа, как для малопроточного водоема, и велся путем построения по указанному уравнению кривой нарастания температуры воды в створе сооружения во времени. Построение кривой и расчет начинается с момента установления ледяного покрова, когда
t(0) принимается равной нулю
(табл. 28). В процессе расчета, когда искомая температура

достигает значений

, определение температуры в створе продолжается по выражению

. Равенство

и

означает наступление стационарного термического режима.
Таблица 28
Расчет температуры воды Киевского водохранилища
в зимний период среднего по водности 1925 - 26 г.
Период | Средняя дата | Sдн, Вт/м2 | Q, м3/с | hл, м | Hв.б, м | H - hл, м | B, м |  , м 2 | hср, м | |  , м 2/сут | | | |
1 | 2 | 3 | 4 | 5 | 6 | 7 | 8 | 9 | 10 | 11 | 12 | 13 | 14 | 15 |
8 - 10/XII | 9/XII | 9,98 | 475 | 0,032 | 105,00 | 104,97 | 9070 | 80 000 | 8,81 | 4 520 | 0,390 | 77,20 | 0,00505 | 0,0125 |
11 - 20/XII | 15/XII | 9,21 | 468 | 0,175 | 105,00 | 104,82 | 9050 | 78 700 | 8,70 | 4 460 | 0,382 | 75,30 | 0,00507 | 0,0125 |
21 - 31/XII | 26/II | 8,24 | 705 | 0,300 | 104,83 | 104,53 | 9000 | 76 000 | 8,44 | 6 760 | 0,485 | 71,00 | 0,00683 | 0,0169 |
1 - 10/I | 5/I | 7,27 | 970 | 0,361 | 104,57 | 104,31 | 8950 | 73 800 | 8,25 | 9 350 | 0,620 | 68,00 | 0,00911 | 0,0226 |
11 - 20/I | 15/I | 6,59 | 1212 | 0,402 | 104,51 | 104,11 | 8910 | 71 700 | 8,05 | 11 740 | 0,752 | 64,50 | 0,01167 | 0,0288 |
21 - 31/I | 26/I | 6,06 | 1200 | 0,440 | 104,15 | 103,71 | 8850 | 68 100 | 7,70 | 11 700 | 0,747 | 59,00 | 0,01267 | 0,0313 |
1 - 10/II | 5/II | 5,67 | 1155 | 0,470 | 103,81 | 103,34 | 8770 | 64 900 | 7,39 | 11 380 | 0,725 | 54,20 | 0,01338 | 0,0330 |
11 - 20/II | 15/II | 5,33 | 1067 | 0,492 | 103,50 | 103,01 | 8700 | 62 000 | 7,12 | 10 580 | 0,675 | 50,50 | 0,01336 | 0,0330 |
21 - 28/II | 24/II | 5,18 | 880 | 0,512 | 103,50 | 102,99 | 8700 | 61 500 | 7,07 | 8 720 | 0,566 | 50,00 | 0,01132 | 0,0280 |
1 - 10/III | 5/III | 5,18 | 665 | 0,528 | 103,50 | 102,97 | 8700 | 61 300 | 7,05 | 6 600 | 0,446 | 49,50 | 0,00902 | 0,0223 |
11 - 20/III | 15/III | 5,09 | 435 | 0,540 | 103,50 | 102,96 | 8700 | 61 300 | 7,05 | 4 310 | 0,327 | 49,50 | 0,00660 | 0,0163 |
Период | Средняя дата |  , сут | | exp (-n) | 9n | exp (-9n) | А | Б | А - Б | t2 | t1 | t1 - t2 | | t |
1 | 2 | 16 | 17 | 18 | 19 | 20 | 21 | 22 | | 24 | 25 | | 27 | 28 |
8 - 10/XII | 9/XII | 3 | 0,0375 | 0,960 | 0,338 | 0,730 | 0,995 | 0,0277 | 0,967 | 2,320 | 0 | -2,320 | -2,24 | 0,080 |
11 - 20/XII | 15/XII | 10 | 0,125 | 0,890 | 1,128 | 0,325 | 0,920 | 0,0123 | 0,0908 | 2,160 | 0,080 | -2,080 | -1,89 | 0,270 |
21 - 31/XII | 26/XII | 11 | 0,186 | 0,840 | 1,674 | 0,190 | 0,870 | 0,0072 | 0,863 | 1,480 | 0,270 | -1,210 | -1,04 | 0,440 |
1 - 10/I | 5/I | 10 | 0,226 | 0,812 | 2,030 | 0,138 | 0,840 | 0,0050 | 0,835 | 0,997 | 0,440 | -0,557 | -0,464 | 0,533 |
11 - 20/I | 15/I | 10 | 0,288 | 0,765 | 2,598 | 0,080 | 0,790 | 0,0034 | 0,787 | 0,728 | 0,533 | -0,195 | -0,353 | 0,575 |
21 - 31/I | 26/I | 11 | 0,344 | 0,725 | 3,100 | 0,051 | 0,750 | 0,0019 | 0,748 | 0,643 | 0,575 | -0,068 | -0,051 | 0,592 |
1 - 10/II | 5/II | 10 | 0,330 | 0,735 | 2,970 | 0,052 | 0,760 | 0,0020 | 0,758 | 0,595 | 0,592 | -0,003 | -0,002 | 0,593 |
11 - 20/II | 15/II | 10 | 0,330 | 0,735 | 2,970 | 0,052 | 0,760 | 0,0020 | 0,758 | 0,580 | 0,593 | 0,013 | 0,010 | 0,590 |
21 - 28/II | 24/II | 8 | 0,224 | 0,815 | 2,018 | 0,140 | 0,845 | 0,0053 | 0,840 | 0,669 | 0,590 | -0,079 | -0,066 | 0,603 |
1 - 10/III | 5/III | 10 | 0,223 | 0,815 | 2,006 | 0,142 | 0,845 | 0,0054 | 0,840 | 0,845 | 0,603 | -0,242 | -0,203 | 0,642 |
11 - 20/III | 15/III | 10 | 0,163 | 0,860 | 1,468 | 0,232 | 0,890 | 0,0088 | 0,881 | 1,131 | 0,642 | -0,489 | -0,430 | 0,701 |
Примечание. Дата замерзания принята для среднего 1952 - 53 г. по гидрологическому посту в г. Киеве. |
Продолжительность расчетного интервала времени принималась равной 10 сут.
Исходные данные внутри каждого интервала времени осреднялись. Так, например, для интервала 1 - 10/I теплоотдача принималась равной 7,27 Вт/м2, расход воды - 970 м3/с, hл = 0,361 м, Hв.б = 104,67 м.
Начальная температура последующего интервала времени принималась равной конечной температуре предшествующего интервала.
Вычисление всех величин, входящих в уравнение, производится последовательным заполнением всех расчетных граф таблицы. Расчет для среднего года показал, что температура воды достигает 0,6 - 0,7 °C.
Тепловой поток от дна рассчитывается по
формуле (7.17). Исходными данными для расчета служат средние месячные значения температуры воздуха за многолетний период наблюдений по ближайшей метеостанции. Для расчета принимается год со средним температурным режимом воздуха за летний период.
Расчет
Sдн выполняется в следующем порядке. Первоначально строится схема расчета теплоотдачи дна водоема
(рис. 13), для чего ход во времени температуры воды придонных слоев, представляющий собой пограничное условие в расчете, трансформируется в ступенчатый график с осреднением температуры на протяжении каждой ступени (интервала времени). Построение схемы расчета начинается со ступени, отвечающей средней многолетней температуре за весь период, предшествующий непосредственно расчетному году наблюдений. Вслед за многолетним периодом данные наблюдений располагаются двумя ступенями - для зимнего и летнего периодов года, предшествующего расчетному году. Далее на схему наносятся значения температуры летнего и зимнего периодов расчетного года (
t). Температура расчетного года осредняется в пределах месяца. Для выполнения расчета необходимо знать температуру придонных слоев воды в водоеме, которая не может быть определена без
Sдн. В связи с этим в первом приближении температура придонных слоев воды в летний период принималась равной температуре воздуха. Температура воды в зимний период задавалась сообразно с изменениями температуры воды на водоеме-аналоге, при этом учитывались особенности гидравлического режима, размеры водоема и пр.

Рис. 13. Схема расчета теплоотдачи дна
Киевского водохранилища
Расчет
Sдн производился аналитическим способом с заполнением граф расчетной таблицы
(табл. 29). Горизонтальные строки таблицы заполняются исходными данными и постоянными значениями расчетной зависимости (температура воздуха, единая характеристика расчетного периода и т.д.). Графы таблицы, охватывающие интервалы времени расчетного года, заполняются последовательно вычисленными значениями расчетной зависимости. В целях удобства табличной формы компоненты
формулы (7.17) для потока тепла, проходящего через дно водоема, несколько видоизменены.
Таблица 29
Расчет теплоотдачи дна (
Sдн) Киевского водохранилища
за средний 1958 - 59 г.
Номер строки | Характеристика | | Зима 1956 - 57 г. | Лето 1957 | | Расчетный 1958 - 59 г. | | | Sдн, Вт/м2 |
IV | V | VI | VII | VIII | IX | X | XI | XII | I | I | III |
1 | 2 | 3 | 4 | 5 | 6 | 7 | 8 | 9 | 10 | 11 | 12 | 13 | 14 | 15 | 16 | 17 | 18 | 19 | | |
Исходные данные |
1 | tн, °C | 8,8 | 1,1 | 14,8 | 1,1 | 4,9 | 13,4 | 17,0 | 21,0 | 19,8 | 16,4 | 9,8 | 1,0 | 1,0 | 1,2 | 1,2 | 1,0 | | | |
2 | | | 151 | 214 | 151 | 30 | 31 | 30 | 31 | 31 | 30 | 31 | 30 | 31 | 31 | 28 | 31 | | | |
Единая характеристика расчетного периода |
3 |  при | | | | | | | | | | | | | | | | | | | |
| 0,628 | 0,078 | 1,060 | 0,078 | 0,350 | 0,958 | 1,215 | 1,500 | 1,412 | 1,170 | 0,700 | 0,072 | 0,072 | 0,086 | 0,086 | 0,072 | | | |
4 | | 0,587 | 0,073 | 0,987 | 0,073 | 0,327 | 0,894 | 1,132 | 1,400 | 1,320 | 1,092 | 0,655 | 0,067 | 0,067 | 0,080 | 0,080 | 0,067 | | | |
5 | | 0,568 | 0,071 | 0,955 | 0,071 | 0,316 | 0,865 | 1,100 | 1,355 | 1,280 | 1,060 | 0,632 | 0,064 | 0,064 | 0,078 | 0,078 | 0,064 | | | |
Вычисление теплоотдачи по месяцам расчетного 1958 - 59 г. |
Апрель  |
6 | | 517 | 365 | 151 | 0 | -30 | | | | | | | | | | | | | | |
| f (t) | 0,651 | 0,119 | 0,396 | 4,311 | -5,477 | | | | | | | | | | | | +5,477 | | |
| | 0,382 | 0,009 | 0,390 | 0,316 | -1,790 | | | | | | | | | | | | | -0,693 | -3,619 |
Май  |
9 | | 546 | 395 | 181 | 30 | 0 | -31 | | | | | | | | | | | | | |
| f (t) | 0,654 | 0,111 | 0,341 | 1,227 | 3,235 | -5,568 | | | | | | | | | | | +5,568 | | |
| | 0,372 | 0,008 | 0,326 | 0,087 | 1,020 | -4,800 | | | | | | | | | | | | -2,987 | -15,642 |
Июнь  |
12 | | 557 | 426 | 212 | 61 | 31 | 0 | -30 | | | | | | | | | | | | |
13 | f (t) | 0,616 | 0,098 | 0,282 | 0,733 | 0,513 | 3,235 | -5,477 | | | | | | | | | | +5,477 | | |
14 | | 0,362 | 0,007 | 0,278 | 0,054 | 0,168 | 2,880 | -6,200 | | | | | | | | | | | -2,451 | -12,789 |
Июль  |
15 | | 607 | 456 | 242 | 91 | 61 | 30 | 0 | -32 | | | | | | | | | | | |
16 | f (t) | 0,622 | 0,092 | 0,253 | 0,599 | 0,276 | 0,551 | 3,235 | -5,568 | | | | | | | | | +5,568 | | |
17 | | 0,353 | 0,006 | 0,242 | 0,038 | 0,087 | 0,475 | 3,56 | -7,550 | | | | | | | | | | -2,789 | -14,553 |
Август  |
18 | | 638 | 487 | 273 | 122 | 92 | 61 | 31 | 0 | -32 | | | | | | | | | | |
19 | f (t) | 0,606 | 0,086 | 0,221 | 0,411 | 0,175 | 0,283 | 0,524 | 3,262 | -5,568 | | | | | | | | +5,568 | | |
20 | | 0,344 | 0,006 | 0,211 | 0,029 | 0,055 | 0,244 | 0,575 | 4,410 | -7,122 | | | | | | | | | -2,46 | -12,835 |
Сентябрь  |
21 | | 669 | 518 | 304 | 153 | 123 | 92 | 62 | 31 | 0 | | | | | | | | | | |
22 | f (t) | 0,574 | 0,075 | 0,191 | 0,319 | 0,119 | 0,175 | 0,265 | 0,524 | 3,235 | -5,477 | | | | | | | +5,477 | | |
23 | | 0,336 | 0,005 | 0,188 | 0,023 | 0,039 | 0,156 | 0,300 | 0,735 | 4,260 | -5,950 | | | | | | | | 0,092 | 0,480 |
Октябрь  |
24 | | 699 | 548 | 334 | 183 | 153 | 122 | 92 | 61 | 30 | 0 | -31 | | | | | | | | |
25 | f (t) | 0,580 | 0,073 | 0,176 | 0,272 | 0,095 | 0,128 | 0,175 | 0,283 | 0,551 | 3,235 | -5,568 | | | | | | +5,568 | | |
26 | | 0,330 | 0,005 | 0,168 | 0,019 | 0,030 | 0,111 | 0,192 | 0,384 | 0,705 | 3,420 | -3,500 | | | | | | | 1,864 | 9,722 |
Ноябрь  |
27 | | 730 | 579 | 365 | 214 | 184 | 153 | 123 | 92 | 61 | 31 | 0 | -30 | | | | | | | |
28 | f (t) | 0,549 | 0,067 | 0,154 | 0,222 | 0,072 | 0,095 | 0,119 | 0,175 | 0,276 | 0,513 | 3,235 | -5,477 | | | | | +5,477 | | |
29 | | 0,322 | 0,005 | 0,152 | 0,016 | 0,024 | 0,085 | 0,135 | 0,245 | 0,364 | 0,560 | 2,120 | -0,366 | | | | | | 3,662 | 19,107 |
Декабрь  |
30 | | 760 | 609 | 395 | 244 | 214 | 183 | 153 | 122 | 91 | 61 | 30 | 0 | -31 | | | | | | |
31 | f (t) | 0,557 | 0,063 | 0,145 | 0,197 | 0,062 | 0,077 | 0,095 | 0,128 | 0,182 | 0,276 | 0,551 | 3,235 | -5,568 | | | | +5,568 | | |
32 | | 0,316 | 0,005 | 0,138 | 0,014 | 0,020 | 0,066 | 0,104 | 0,173 | 0,233 | 0,292 | 0,348 | 0,208 | -0,360 | | | | | 1,556 | 8,112 |
Январь  |
33 | | 791 | 640 | 426 | 275 | 245 | 214 | 184 | 153 | 122 | 92 | 61 | 31 | 0 | -31 | | | | | |
34 | f (t) | 0,545 | 0,061 | 0,132 | 0,172 | 0,050 | 0,064 | 0,074 | 0,098 | 0,128 | 0,175 | 0,283 | 0,524 | 3,262 | -5,568 | | | +5,568 | | |
35 | | 0,310 | 0,004 | 0,126 | 0,012 | 0,016 | 0,055 | 0,082 | 0,133 | 0,164 | 0,185 | 0,178 | 0,034 | 0,210 | -0,430 | | | | 1,078 | 5,628 |
Февраль  |
36 | | 822 | 671 | 157 | 306 | 276 | 245 | 215 | 184 | 153 | 123 | 92 | 62 | 31 | 0 | -28 | | | | |
37 | f (t) | 0,485 | 0,050 | 0,110 | 0,138 | 0,040 | 0,047 | 0,056 | 0,069 | 0,090 | 0,112 | 0,166 | 0,244 | 0,506 | 3,179 | -5,292 | | +5,292 | | |
38 | | 0,304 | 0,004 | 0,117 | 0,011 | 0,014 | 0,045 | 0,068 | 0,104 | 0,127 | 0,131 | 0,116 | 0,017 | 0,036 | 2,272 | -0,452 | | | 0,913 | 4,769 |
Март  |
39 | | 850 | 699 | 485 | 334 | 304 | 273 | 243 | 212 | 181 | 151 | 120 | 90 | 59 | 28 | 0 | -31 | | | |
40 | f (t) | 0,527 | 0,053 | 0,113 | 0,136 | 0,038 | 0,046 | 0,051 | 0,065 | 0,077 | 0,097 | 0,130 | 0,186 | 0,281 | 0,589 | 3,179 | -5,568 | +5,568 | | |
41 | | 0,300 | 0,004 | 0,108 | 0,010 | 0,012 | 0,040 | 0,056 | 0,088 | 0,098 | 0,103 | 0,082 | 0,012 | 0,018 | 0,046 | 0,246 | -0,360 | | 0,863 | 4,501 |
Множитель

, отражающий теплофизические характеристики грунта, для нескальных пород может быть принят постоянным, равным

;
t1 =
tн - температура грунта, начальная;

- продолжительность действия источника тепла, или продолжительность первой ступени

;

- суммарное время, прошедшее от конца действия источника до расчетного интервала времени

(

или
формулы (7.17));

- длительность интервала времени, для которого рассчитывается средняя интенсивность теплоотдачи дна (
формулы (7.17))
Заполнение
графы 3 проводится с помощью только первой части расчетной зависимости, т.е.

. В этом случае

и

. Последнее значение
f(
t) для каждого расчетного месяца рассчитывается с применением только последнего члена зависимости, т.е.

или

. Так, для мая

, для июня

. Все остальные графы рассчитываются по средней части расчетного уравнения, т.е.
Например, для
графы "Зима 1957 - 58 г." в июне
По ходу расчетов полезно выполнить промежуточный контроль полученных результатов. В строках
f(
t) (
строки 7,
10 и т.д.) сумма чисел с первого до предпоследнего включительно со знаком "плюс" должна быть равна последнему числу со знаком "минус". Например, для июня имеем соответственно +5,477 и -5,477.
Числа в строках

(
строки 8,
11 и т.д.) суммируются и результат записывается в
графу 20. Чтобы в итоге получить

,

надо разделить на

. Затем умножением на

находится искомое значение теплообмена
Sдн, Вт/м
2 (графа 21).
Полученные значения
Sдн для каждой ступени, т.е. для каждого интервала расчетного года, наносятся на график в виде ступеней, в соответствии с которыми проводится плавная линия, показывающая годовой цикл искомого теплообмена
(рис. 14).
Как видно из рисунка, в период с апреля по август поток тепла направлен от воды к ложу водоема. В течение этого времени ложе запасает тепло, которое затем отдает водоему в холодное время года (с сентября по март).
Пример 12. Рассчитать гидравлическим методом количество льда, которое может образоваться в зажоре на участке реки ниже проектируемого водохранилища при пропуске через гидротехническое сооружение расхода воды, равного 3350 м3/с.
Решение. Для расчета выбран участок реки с резким переломом продольного профиля русла, в пределах которого выделены два подучастка, имеющие длину
l1 = 1 км и
l2 = 2 км (
рис. 15 а). По кривым расхода воды определены уровни на границах подучастков для расхода воды 3350 м
3/с. Эти уровни оказались равными 207,92; 207,55 и 207,25 м усл. Каждый подучасток разбит на ряд поперечников, отстоящих друг от друга на 200 м. Для каждого поперечника определена ширина русла
b через каждый метр колебания уровня воды в реке и вычислена площадь водного сечения

. По значениям

и
b определены значения гидравлического радиуса
R для условий открытой и закрытой льдом поверхности реки. По данным отдельных поперечников получены средние значения морфометрических характеристик для каждого подучастка и вычерчены графики зависимости средней ширины, площади и гидравлического радиуса от среднего уровня на расчетном подучастке (
рис. 15, б, в, г, д). Расчет коэффициентов шероховатости русла для имеющегося диапазона изменений расходов воды производился по
формуле (4.16) в виде


Рис. 14. Теплоотдача дна Киевского водохранилища за 1958 г.
По полученным данным построена графическая зависимость

(
рис. 15 е). Далее по
формулам (7.91) -
(7.93) определены значения коэффициента шероховатости нижней поверхности льда
nл и построена зависимость
nл =
f(
hл) для различных значений гидравлического радиуса
R (
рис. 15 ж). Затем по
формуле (7.90) вычислены значения приведенного коэффициента шероховатости
nпр.
Для построения опорных кривых по
формуле (7.89) вычислены значения функций

и составлены графики этих функций для толщины льда 0,1; 1, 2, 3, 4, 5 м (
рис. 16 а). Затем произведено интегрирование функций и построение семейства опорных кривых (
рис. 16 б). При помощи этих кривых определена толщина шуговых скоплений на подучастках
hл. Для верхнего подучастка вычисление
hл производилось в следующей последовательности. На
рис. 16, б через точку оси ординат, соответствующую
H = 207,55 м усл., была проведена прямая, параллельная оси абсцисс. Затем по этой прямой перемещался прямоугольный треугольник, один катет которого, параллельный оси абсцисс, равен
Q2 = 3350
2 = 11,2·10
6 м
6/с
2, а другой

. Треугольник перемещается до тех пор, пока его гипотенуза не совпадет с направлением одной из опорных кривых. В данном случае гипотенуза совпала с направлением опорной кривой, соответствующей толщине шуговых скоплений
hл = 2,7 м. Для расчета количества льда на верхнем подучастке по
рис. 16, б была определена его средняя ширина, соответствующая среднему уровню на подучастке
Hср = 207,73 м. Средняя ширина подучастка для указанного уровня 1644 м. По данным о толщине шуговых скоплений, средней ширине и длине определен объем зажора на расчетном подучастке:
Wл = hлbсрl1 = 2,7·1644·1000 = 4,44·106 м3.
Рис. 15. Схема участка реки (а) и расчетные графики
для построения опорных кривых
цифры 2 - 5 - значения гидравлического радиуса
Рис. 16. Графики функции

(а)
опорной кривой

(б)
Аналогичные расчеты были выполнены для второго подучастка. Объем зажора на этом подучастке оказался равным Wл = 3·1620·2000 = 9,72·106 м3. Общий объем зажора на расчетном участке составил 4,44·106 + 9,72·106 = 14,14·106 м3.
Расчеты элементов волн
Пример 13. Рассчитать элементы волн

,
hв,1%,

,

в точке
M (рис. 17) проектируемого водохранилища озерного типа (подпорное сооружение I класса) по трем волноопасным направлениям (В, СВ и ЮВ) и определить наиболее волноопасное направление. Глубина водохранилища в точке
M равна 20 м.
Решение.
1. Определяется разгон волн
X по трем направлениям по
формуле (8.21). В качестве примера на
рис. 18 произведены построения для расчета разгона, соответствующего восточному направлению ветра. Из расчетной точки
M проведен главный луч в западном направлении (против ветра) и по два боковых луча через 22,5° в секторе +/- 45° от главного луча. Длины лучей равны:
X0 = 45 км,
X+1 = 46,5 км,
X+2 = 11,5 км,
X-1 = 42,5 км,
X-2 = 26 км. Длина разгона при восточном ветре
X = 0,2745 + 0,85(46,5 + 42,5) + 0,5(11,5 + 26,0) = 37,6 км. Длины разгонов, рассчитанные с учетом сложного очертания береговой линии, при СВ и ЮВ волноопасных направлениях ветра оказались соответственно равными 25,2 и 21,9 км.
2. Рассчитываются скорости ветра обеспеченностью 2% для трех волноопасных направлений. В
табл. 30 даны максимальные ежегодные скорости ветра по ближайшей метеостанции, приведенные к высоте 10 м над водной поверхностью, а на
рис. 18 - кривые обеспеченности скорости ветра. Экстраполируя кривые обеспеченности в область малых значений, снимаем скорости ветра, соответствующие 2%-ной обеспеченности (см.
табл. 30).
3. Вычисляются безразмерные глубина и разгон:
восточное волноопасное направление:
gH'/u2 = 9,81·20:32,52 = 0,19; gX/u2 =
= 9,81·37 600:32,52 = 349;
северо-восточное волноопасное направление:
gH'/u2 = 9,81·20:30,72 = 0,21; gX/u2 =
= 9,81·25 200:30,72 = 262;
юго-восточное волноопасное направление:
gH'/u2 = 9,81·20:29,22 = 0,23; gX/u2 =
= 9,81·21 900:29,22 = 252.
Рис. 18. Кривые обеспеченности максимальных скоростей ветра
I - восточное направление, II - северо-восточное
направление, III - юго-восточное направление
Таблица 30
Расчет высот и периодов волн для волноопасных направлений
Волноопасное направление | uмакс, 2%, м/с | |  , м | hв%, м | |  , с |  , м |
В | 32,5 | 0,021 | 2,26 | 5,1 | 1,75 | 5,8 | 52,5 |
СВ | 30,7 | 0,021 | 2,02 | 4,5 | 1,75 | 5,5 | 47,2 |
ЮВ | 29,2 | 0,0215 | 1,87 | 4,2 | 1,77 | 5,3 | 43,9 |
4. По графику на
рис. 8.2 рассчитываются средние безразмерные высота и период волны для волноопасных направлений и далее средние высота и период волн
(табл. 30).
Путем умножения средней высоты волны на коэффициент 2,24, снятый с графика на
рис. 8.4 при
ghв/
u2 = const, определяются значения высоты волн 1%-ной обеспеченности. Длина волн рассчитывается по
формуле (8.22).
В
табл. 30 приведены рассчитанные высоты, периоды и длины волн для трех волноопасных направлений. Из таблицы видно, что наиболее волноопасным является восточное направление ветра, при котором высота волны 1%-ной обеспеченности равна 5,1 м.