Главная // Актуальные документы // Ведомость (форма)СПРАВКА
Источник публикации
Центральный научно-исследовательский институт информации и технико-экономических исследований легкой промышленности, 1988
Примечание к документу
Взамен Инструкции по нормированию расхода материалов в массовом производстве швейных изделий (М.: ЦНИИТЭИлегпром, 1981).
Название документа
"Инструкция по нормированию расхода материалов в массовом производстве швейных изделий"
(утв. Минлегпромом СССР 06.06.1988)
"Инструкция по нормированию расхода материалов в массовом производстве швейных изделий"
(утв. Минлегпромом СССР 06.06.1988)
Заместитель Министра
легкой промышленности СССР
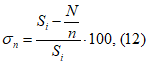
И.Г.ГРИЦЕНКО
6 июня 1988 года
ИНСТРУКЦИЯ
ПО НОРМИРОВАНИЮ РАСХОДА МАТЕРИАЛОВ В МАССОВОМ
ПРОИЗВОДСТВЕ ШВЕЙНЫХ ИЗДЕЛИЙ
Инструкция разработана Центральным научно-исследовательским институтом швейной промышленности Минлегпрома СССР на основе обобщения передового опыта швейных предприятий и результатов законченных научно-исследовательских работ института, его филиалов и в соответствии с "
Системой прогрессивных технико-экономических норм и нормативов по видам работ и затрат (экономия) труда, сырья, материалов и топливно-энергетических ресурсов, нормативов использования производственных мощностей и удельных капитальных вложений, норм и нормативов определения потребности в оборудовании и кабельных изделиях (порядок их разработки и утверждения)", одобренной постановлением Госплана СССР от 11.01.80 N 7 (в части разработки отраслевых норм расхода сырья и материалов), а также Инструкцией, утвержденной приказом Минлегпрома СССР от 28.02.79 N 101.
В настоящей Инструкции приведены основные понятия нормирования, состава и классификации норм, установлен порядок разработки, утверждения и внедрения в производство прогрессивных норм и нормативов расхода материалов.
Данная Инструкция является основным методическим документом для предприятий швейной промышленности, домов моделей одежды, отраслевых управлений и отделов министерств, планирующих организаций для нормирования расхода и контроля за использованием основных материалов на швейные изделия.
Экономному расходу материалов в швейной промышленности придается особое значение в связи с высоким удельным весом материалов (80 - 90%) в себестоимости швейных изделий.
С введением настоящей инструкции считать утратившей силу ранее действующую Инструкцию по нормированию расхода материалов в массовом производстве швейных изделий (М.: ЦНИИТЭИлегпром, 1981).
Нормирование расхода материалов - это установление плановой меры их производственного потребления. Нормирование включает разработку и утверждение норм расхода на производство единицы планируемой продукции по установленной номенклатуре.
Основной задачей нормирования является обеспечение применения в производстве и планировании технически обоснованных прогрессивных норм расхода сырья и материалов в целях их рационального распределения по направлениям потребления и осуществления режима экономии.
Нормированию подлежат все виды сырья и материалов.
Под нормой расхода материальных ресурсов в швейной промышленности понимают максимально допустимое их количество для изготовления единицы изделия установленного качества с учетом планируемых условий производства.
Нормы расхода всех видов сырья и материалов в производстве:
разрабатывают по установленной номенклатуре продукции и видам работ на единой методической основе на всех уровнях планирования независимо от объема потребления нормируемого сырья и материалов;
периодически пересматривают и совершенствуют;
учитывают в полном объеме планируемые организационно-технические мероприятия, направленные на повышение эффективности использования сырья и материалов на основе внедрения новейших достижений техники и передовой технологии, уровня организации и культуры производства;
способствуют максимальной мобилизации внутренних ресурсов на выполнение плановых заданий по экономии сырья и материалов;
обеспечивают снижение суммарных максимальных затрат в производстве продукции в стоимостном выражении при соблюдении установленных требований по качеству, долговечности и эксплуатационной надежности продукции.
Нормы расхода сырья и материалов планируемого периода на производство конкретной продукции должны быть, как правило, ниже уровня норм текущего года и фактических удельных расходов за отчетный год.
Увеличение отдельных норм на планируемый период против фактически достигнутых удельных расходов сырья и материалов возможно при обоснованном внесении существенных изменений в конструкцию изделий в соответствии с направлением моды, с целью повышения их качества, эксплуатационной надежности, долговечности, изменения шкалы размеров и ростов и вида поверхности ткани.
Нормативы - поэлементные составляющие норм, характеризующие:
удельный расход сырья и материалов на единицу массы, площади, объема, длины при выполнении производственных процессов;
размеры технологических отходов и потерь сырья и материалов по видам производственных процессов.
Нормативы измеряются в натуральных единицах или в процентах.
Нормативы удельных расходов и нормативы отходов и потерь сырья и материалов по видам технологических процессов могут быть отраслевыми и производственными.
Отраслевые нормативы - это предельно допустимые показатели, рассчитанные на средние условия производства, с учетом прогрессивных показателей передовых предприятий. Их соблюдение обязательно при нормировании расхода материалов и сырья всеми предприятиями и организациями швейной промышленности.
Производственные нормативы разрабатывают при крупносерийном и массовом выпуске продукции для конкретных производств применительно к установленной технологии. Они должны отражать более высокий технический уровень производства и использования сырья и материалов по сравнению с отраслевыми нормативами.
Отходом называется остаток исходного сырья, материала, образующегося при производстве планируемого вида продукции, который не может быть использован в процессе ее изготовления.
Отходы могут быть использованы в качестве исходного сырья для производства других видов продукции на данном предприятии или реализовываться в качестве вторичного сырья.
Потери - это количество исходного сырья и материалов, которое теряется в основном производстве изготовления продукции.
2. ОСНОВНЫЕ ПОНЯТИЯ И ОПРЕДЕЛЕНИЯ
2.1. Классификация норм расхода материалов
Нормы расхода сырья и материалов в производстве классифицируют по основным признакам:
степени агрегации;
степени укрупнения номенклатуры сырья и материалов;
периоду действия.
По степени агрегации различают индивидуальные и групповые (средневзвешенные) нормы расхода.
Индивидуальные нормы определяют расход нормируемого вида материалов на производство единицы продукции.
Групповые нормы рассчитывают как средневзвешенные величины расхода материалов по установленной номенклатуре на планируемые объемы производства одноименных видов продукции по объединениям, предприятиям.
В основном производстве предприятий швейной промышленности действуют индивидуальные и групповые виды норм расхода материалов.
Индивидуальные нормы расхода материалов
На длину раскладки лекал деталей швейных изделий
Разрабатывают на каждую модель изделия или на несколько моделей, объединенных в одной раскладке, вид поверхности и ширины материалов, на принятые сочетания размеров одежды с учетом количества комплектов лекал (один, полтора, два и более) и метода настилания полотен материала ("лицом к лицу", "лицом вниз") <*>. Эти нормы являются контрольными для раскладчиков-обмеловщиков подготовительного или раскройного цеха.
--------------------------------
<*> Или "лицом вверх".
Рассчитывают в оперативном порядке при обработке карты раскроя на основе длины раскладки, количества полотен в настиле и нормативов отходов (в процентах) по длине настила материала. Данную норму используют для проверки экономичности выполненных настилов материалов.
Рассчитывают на единицу изделия каждой модели на вид материала (основная ткань, подкладка и т.д.) на основе средневзвешенных показателей:
площади лекал деталей изделия, процента межлекальных отходов в раскладках, с учетом удельного веса вида поверхности материала, количества комплектов лекал и нормативов отходов по длине и ширине настила материала (в процентах). Эти нормы используют для контроля за фактическим расходом материалов на единицу изделия и расчета норм расхода на вид изделия.
Групповые нормы расхода материалов
Рассчитывают на единицу каждого вида изделия определенного номера артикула на основе средневзвешенных норм по моделям изделия с учетом запланированного по ним выпуска за отчетный период работы. Эти нормы используют для расчета норм расхода материалов на планируемый период.
Разрабатывают на единицу каждой группы одежды, с различными артикулами изделий при существующем на данный период разнообразии моделей и действующих шкал процентного соотношения размерных показателей изделия с учетом норматива маломерных остатков (лоскута) материалов от настилов. Данные нормы предназначаются для планирования материалов, необходимых для выполнения производственной программы отдельной фабрики, группы предприятий или отрасли в целом.
Норма расхода материалов на производство единицы продукции в швейной промышленности включает:
полезный расход - площадь лекал деталей изделия с учетом площади вытачек, но без учета площади припусков на дополнительные швы надставок и припусков к деталям, необходимых для подгонки рисунка ткани;
технологические (неизбежные) отходы - межлекальные отходы в раскладках лекал деталей изделий, отхода по ширине и длине настила (на концах и стыках полотен и концевые отходы до 15 см по шерстяным и до 10 см по всем тканям других волокон и остальным материалам).
В норму расхода материалов на единицу изделия не включаются:
отходы и потери при несоблюдении установленной технологии, различных неполадок в организации производства и снабжения:
отходы и потери при невыполнении требований стандартов и технических условий по качеству материалов, расход материалов, связанный с браком продукции, испытанием образцов, наладкой оборудования, упаковкой готовой продукции и другие виды расхода, прямо не относящиеся к изготовлению продукции.
2.3. Размерность норм расхода
Нормы расхода в основном производстве определяют в погонных метрах при определенной ширине материала и квадратных метрах и характеризуются определенными размерными показателями.
2.4. Методы разработки норм расхода материалов
Основными методами разработки норм расхода материалов в производстве швейных изделий являются расчетно-аналитический и опытный.
Расчетно-аналитический метод предусматривает определение индивидуальных норм расхода материалов в соответствии с установленным составом норм: площади лекал деталей изделия, межлекальных отходов в раскладке лекал, отходов по длине настила и ширине материала (за исключением шерстяных тканей).
Площадь лекал деталей изделия измеряют на фотоэлектронной машине типа ИЛ <*>. При отсутствии таких машин площадь лекал измеряют комбинированным
способом (приложение 1). Отходы материалов устанавливают на основании утвержденных нормативов.
--------------------------------
<*> При наличии на предприятии САПР "Раскладка" - на САПРе.
При расчете норм расхода материалов следует учитывать технологические и организационные мероприятия, обеспечивающие наиболее рациональное и эффективное их использование, передовые приемы и методы работы в области использования материалов.
Опытный метод разработки норм расхода заключается в определении удельных затрат материалов, необходимых для производства единицы продукции, на основании экспериментальных раскладок лекал, выполняемых в лабораторных или непосредственно в производственных условиях.
Опытному методу должен предшествовать всесторонний анализ резервов экономии на основе изучения передовых приемов и методов работы в области рационального и эффективного использования материалов.
3. ПОРЯДОК РАЗРАБОТКИ НОРМ
3.1. Порядок разработки индивидуальных норм
расхода материалов
Лекала деталей моделей изделий, полученные из домов моделей или разработанные в экспериментальном цехе производственного объединения (предприятия), проверить по их комплектности, соответствию основным измерениям по табелю мер и провести опытное изготовление образцов для определения правильности расположения монтажных точек и соответствия припусков на обработку.
Для проведения экспериментальных раскладок лекал, на основе которых разрабатывают нормы расхода основного материала, подкладки и приклада, вырезают из картона полный комплект лекал всех размеров каждой модели изделия. Наличие у раскладчиков и обмеловщиков полных комплектов лекал создает условия для повышения производительности труда и установления более точных норм длины раскладок.
На каждом лекале, входящем в комплект, должны быть указаны:
номер модели, наименование детали, размерные показатели изделия в соответствии со стандартами на обозначения размеров одежды, допускаемые размеры надставок и линии допускаемых отклонений от направления нитей основы ткани в деталях кроя.
В соответствии с согласованной с торгующими организациями шкалой процентного распределения размеров одежды следует составить сочетания по размерным показателям для выполнения экспериментальных раскладок лекал деталей изделия.
Для установления необходимого объема экспериментальных раскладок лекал, на основе которых разрабатывают нормы расхода тканей и материалов, следует уточнить диапазон фактических ширин материалов по данным подготовительного цеха.
Раскладки в один комплект лекал деталей изделий для взрослых и детей подросткового и школьного возрастов, в один и два комплекта лекал деталей изделий для детей дошкольного и ясельного возрастов при настилании "лицом вниз" являются неэкономичными.
В
табл. П.2.1 Приложения 2 представлены рекомендуемые величины нормативов раскроя материалов по неэкономичным раскладкам.
При разработке норм длин раскладок лекал деталей изделий следует учитывать основные принципы рационального использования материалов:
применение максимально-возможного количества комплектов лекал деталей изделий в раскладках
(табл. П.2.4);
непревышение норматива раскроя материалов по неэкономичным раскладкам, утвержденного на предприятии;
нахождение для каждого вида изделия оптимальных разрывов между нормами длин раскладок лекал, необходимых для рационального расчета кусков материала в настилы. Для большинства швейных изделий это возможно при сочетании смежных размеров одинаковых или смежных ростов;
выполнение действующей шкалы процентного распределения размеров изделия;
выбор рационального метода настилания полотен ("лицом к лицу", "лицом вниз") с учетом вида поверхности материала.
При изготовлении верхней одежды небольшими сериями для сокращения срока выполнения ростовки объединяют в одной раскладке по четыре разных размера изделия при укладывании их по полкомплекта лекал деталей и настилании материала методом "лицом к лицу".
Для моделей или групп швейных изделий, имеющих сложную конфигурацию деталей (например, детали полочек и спинки, цельновыкроенные с деталями рукавов и др.), необходимо выполнить предварительные экспериментальные раскладки лекал для изучения их экономичности от влияния следующих факторов:
увеличения количества комплектов лекал в раскладках (по сочетаниям размеров с большим удельным весом в ростовке);
применения различных вариантов сочетания размеров изделия в раскладках лекал (смежные, через один или два номера размера одинаковых или смежных ростов);
объединения в одной раскладке лекал деталей разных моделей одного или нескольких видов изделий с учетом возможности использования материалов запланированных артикулов.
Для брюк мужских и для мальчиков определение рационального количества комплектов лекал и сочетание размеро-ростов в раскладке зависит от ширины материала. Рациональность объединения размеров и распределение их по количеству комплектов лекал необходимо определять по результатам экспериментальных раскладок.
Для костюмов мужских следует применять секционно-полосовой метод размещения лекал деталей в раскладке. Особенностью этого метода является установление порядка размещения групп деталей в зависимости от площадей лекал и их габаритных размеров. При этом все детали изделия делят на две группы: крупные и мелкие. Деталям присваивают номера (в порядке убывания площади лекал, длины, ширины), которые служат основанием для определения последовательности их укладывания в раскладке. Крупные детали следует укладывать рядами по ширине раскладки, стремясь к максимальному ее использованию, образуя секции одноименных деталей в порядке убывания их площади и длины, мелкие детали - располагать в межлекальных отходах, краевых и дополнительных секциях, завершающих раскладку.
Для корсетных изделий и головных уборов необходимо применять метод локально-оптимального группирования деталей одинаковой конфигурации, изложенный в Отраслевых рекомендациях по построению оптимальных раскладок лекал корсетных изделий, утвержденных Минлегпромом СССР 31.03.83 и Отраслевых рекомендациях по построению оптимальных многокомплектных раскладок лекал деталей головных уборов, утвержденных Минлегпромом СССР 19.11.84.
Набор сочетаний размеров в раскладках лекал деталей головных уборов и корсетных изделий следует производить таким образом, чтобы заданная шкала размеров обеспечивалась в трех - четырех секциях (одна из них короткая, длиной до 1,0 м по головным уборам и до 0,5 м по корсетным изделиям). Длины остальных секций должны включать количество комплектов лекал, указанное в
табл. П.2.4.
При изменении заказов торговли (действующей шкалы) возникает необходимость в разработке норм длин раскладок на другие сочетания размеров, для этого целесообразно использовать расчетные нормы по отдельным размерам каждой модели изделия, из которых можно набирать нормы на любые новые сочетания размеров.
Такие расчетные нормы для часто встречающихся ширин материала следует определять на основе данных о площади лекал размеров изделия и достигнутой в комбинированной раскладке (в два полных комплекта лекал) величине межлекальных отходов для данной группы ширин.
3.2. Расчет предварительных длин раскладок лекал
деталей изделия
Предварительные длины для отправных экспериментальных раскладок лекал
(Н , м) следует рассчитывать на основе данных о площади лекал деталей
р
изделий этих размеров (S ) и нормативе межлекальных отходов в раскладке
л
(B ) по формуле:
о
где S - площадь лекал заданных размеров изделия (с округлением до
л
0,0001), кв. м;
B - процент межлекальных отходов (с округлением до 0,1%), утвержденный
о
на предприятии;
Ш - ширина раскладки, м.
р
Например: S = 3,0112 кв. м;
л
В = 15,55%;
о
Ш = 1,40 м;
р
3,0112 · 100
Н = ------------------- = 2,545 м.
р (100 - 15,5) · 1,40
В целях разработки экономичных норм рекомендуется предварительную длину раскладки заведомо уменьшить на 1 - 2%.
При несоответствии нормы расхода по экспериментальной раскладке предварительно рассчитанной норме, последнюю необходимо увеличить с учетом величины площади оставшихся мелких деталей, уложенных отдельно в любом прямоугольнике. При этом детали следует укладывать в любом направлении целыми или по частям.
Например, площадь раскладки оставшихся мелких деталей равна 320 кв.
см, а ширина раскладки - 110 см, увеличение предварительной длины раскладки
320
составит: --- = 3 см.
110
Отправные экспериментальные раскладки лекал деталей изделия должны выполнять наиболее квалифицированные раскладчики экспериментального цеха.
3.3. Порядок разработки норм расхода материалов
на длину раскладки лекал деталей изделия
Из установленного диапазона фактических ширин материалов необходимо определить часто встречающиеся ширины, на которые в первую очередь разрабатывают нормы на основе выполнения экспериментальных раскладок лекал.
При выполнении экспериментальных раскладок лекал следует учитывать, что процент межлекальных отходов в раскладках в два полных комплекта лекал должен быть обязательно меньше того же показателя в один комплект лекал. В зависимости от вида изделия, назначения материала рекомендуемая разница в величине процента межлекальных отходов в раскладках лекал в один и два комплекта (в два и четыре - для детей дошкольного и ясельного возрастов) должна быть не менее величин, указанных в действующих Отраслевых нормативах межлекальных отходов.
Данные экспериментальных раскладок в один комплект лекал, на разных ширинах необходимо проанализировать с целью исключения из них норм с увеличенным процентом межлекальных отходов.
Количество комплектов лекал в рациональных раскладках представлено в
табл. П.2.4.
Если позволяют конструктивные особенности модели, рекомендуется разрабатывать нормы длин раскладок в 1,5 комплекта лекал "лицом к лицу", которые близки по экономичности к раскладкам в два полных комплекта лекал.
В таких раскладках лекал деталей пальто демисезонного и костюма на второй верхний воротник следует накладывать другие мелкие лекала "лицом вниз" с последующим комплектованием этих выкроенных деталей "лицом к лицу". Использование таких норм на предприятии позволит резко сократить раскрой материала по однокомплектным раскладкам "лицом вниз", уменьшая межлекальные отходы и улучшая качество выкроенных деталей.
Раскладку лекал деталей изделия необходимо выполнять с учетом допускаемых по величине и количеству надставок и отклонений от установленного в деталях направления нитей основы или утка материала, предусмотренных отраслевой нормативно-технической документацией.
В раскладках лекал деталей отдельных видов изделий могут быть образованы поперечные секции без увеличения или с увеличением общей длины раскладки до 0,8%.
Нормы длин раскладок лекал устанавливают для настилания полотен "лицом к лицу" и "лицом вниз".
При установлении нормы длины раскладки лекал деталей изделия из материалов с рисунком в клетку, в полоску, учитывают соответствующую величину и место припуска к парным деталям, предусмотренные нормативно-технической документацией и техническим описанием модели.
Для материала с рисунком в клетку, экспериментальные раскладки рекомендуется выполнять непосредственно на материале, что облегчает обеспечение подгонки рисунка в парных деталях изделия.
Для повышения производительности труда при раскрое основных, прикладных и подкладочных материалов применяют трафареты и светокопии.
По стандартным видам одежды, а также моделям изделий с большим выпуском следует изготовлять трафареты для раскроя основной ткани, если по расчету окупаемости трафаретов целесообразно их внедрение.
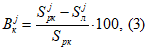
По каждой экспериментальной раскладке лекал определяют (с округлением до 0,1) фактический процент межлекальных отходов (В) в %, который рассчитывают по формуле:
где S - площадь раскладки (с округлением до 0,0001), кв. м;
р
S - площадь лекал, кв. м.
л
Для разработки норм длин раскладок на изделия костюмно-пальтовой, плательно-сорочечной групп используют расчетный метод нормирования расхода основных материалов на основе регрессионных уравнений.
Расчетный метод позволяет по нескольким тщательно выполненным отправным раскладкам и регрессионным уравнениям межлекальных отходов, разработанным по видам изделий, установить экономичные нормы на все сочетания размеров по модели.
Необходимые для расчета отправные раскладки выполняют по сочетанию со средними размерами и числом комплектов лекал, наиболее часто встречающимся в наборе сочетаний (исходному сочетанию) на крайних ширинах каждой группы. Группа ширин для пальтово-костюмных изделий включает диапазон 10 см, плательно-сорочечных - 6 - 8 см. Для большинства моделей изделий пальтово-костюмной группы и сорочек верхних включают в сочетание размеры со смежными показателями обхвата груди одинаковых или смежных ростов, для большинства моделей платьев - со смежными показателями обхвата груди одинаковых ростов. Если расчет производят для диапазона ширин 3 см, то выполняют одну экспериментальную раскладку на средней ширине.
Если модель изготавливают для нескольких возрастных групп, то отправные раскладки выполняют для одной группы (размеры которой чаще встречаются в списке сочетаний).
Отправные раскладки лекал деталей изделий выполняют наиболее квалификационные раскладчики экспериментального цеха, а выборочную проверку расчетных норм, зарисовки раскладок лекал - остальные раскладчики.
Затрата времени на отправную раскладку должна превышать затрату времени на проверочную раскладку, что позволит найти наилучшую схему размещения лекал деталей изделия.
На предприятиях, имеющих вычислительные центры или мини ЭВМ, расчет норм расхода материалов следует вести на ЭВМ. Алгоритм расчета и математическая программа по внедрению расчетного метода разработаны лабораторией нормирования расхода материалов Ростовского филиала ЦНИИШП.
3.4. Порядок разработки норм расхода материалов на длину
раскладки лекал деталей изделия на основе
регрессионных уравнений
Для расчета норм длин раскладок лекал используют данные экспериментальных раскладок и уравнения, позволяющие определить поправку межлекальных отходов в раскладках лекал деталей изделия в зависимости от основных факторов.
Выполняют экспериментальные раскладки для исходного сочетания на I
(меньшей) и II (большей) ширине одной группы ширин. Определяют процент
межлекальных отходов B и B по формуле:
I II
где К - номер ширины;
S - площадь раскладки j-го сочетания по ширине К, кв. м;
рк
S - площадь лекал j-го сочетания, кв. м.
л
Уравнения для определения первой поправки процента межлекальных
i
отходов Р (i = 1, 2, ..., n, n - число сочетаний) по видам изделий имеют
следующий вид:
пальто, полупальто, плащи мужские, женские и для детей подросткового возраста
i i i i
Р = -0,250 x - 0,030 x - 0,060 x ; (4)
1 2 3
пальто, полупальто, плащи для детей школьного возраста
i i i i
Р = -0,250 x - 0,040 x - 0,010 x ; (5)
1 2 3
пальто, плащи для детей, дошкольного и ясельного возрастов
i i i i
Р = -0,350 x - 0,020 x - 0,030 x ; (6)
1 2 3
куртки мужские, женские и для детей подросткового возраста
i i i i
Р = -0,250 x - 0,045 x - 0,028 x ; (7)
1 2 3
куртки для детей школьного возраста
i i i i
Р = -0,300 x - 0,060 x - 0,075 x ; (8)
1 2 3
куртки для детей дошкольного и ясельного возрастов
i i i i
Р = -0,530 x - 0,020 x - 0,044 x ; (9)
1 2 3
костюмы мужские и для мальчиков подросткового возраста
i i i i
Р = -0,150 x - 0,018 x - 0,025 x ; (10)
1 2 3
костюмы для мальчиков школьного возраста
i i i i
Р = -0,250 x - 0,023 x - 0,040 x ; (11)
1 2 3
костюмы для мальчиков дошкольного и ясельного возрастов
i i i i
Р = -0,910 x - 0,040 x - 0,050 x ; (12)
1 2 3
пиджаки мужские и для мальчиков подросткового возраста
i i i i
Р = -0,452 x - 0,059 x - 0,107 x ; (13)
1 2 3
платья, сарафаны, халаты, комплекты женские и для девочек подросткового возраста:
для тканей шириной 80 - 130 см
i i i i
Р = -0,174 x - 0,030 x - 0,035 x ; (14)
1 2 3
для тканей шириной более 130 см
i i i i
Р = -0,422 x - 0,030 x - 0,050 x ; (15)
1 2 3
платья, сарафаны, халаты, комплекты для девочек школьного возраста
i i i i
Р = -0,330 x - 0,040 x - 0,090 x ; (16)
1 2 3
платья, сарафаны, халаты, комплекты для девочек дошкольного и ясельного возрастов
i i i i
Р = -0,600 x - 0,070 x - 0,005 x ; (17)
1 2 3
блузки женские и для девочек подросткового возраста
i i i i
Р = -0,378 x - 0,040 x - 0,070 x ; (18)
1 2 3
сорочки верхние с длинными рукавами и короткими рукавами без надставок мужские и для мальчиков подросткового возраста
i i i i
Р = -0,312 x - 0,040 x - 0,067 x ; (19)
1 2 3
сорочки верхние с длинными рукавами и короткими рукавами с надставками мужские и для мальчиков подросткового возраста
i i i i
Р = -0,467 x - 0,028 x - 0,001 x ; (20)
1 2 3
сорочки верхние для мальчиков и блузки для девочек школьного возраста
i i i i
Р = -0,372 x - 0,020 x - 0,030 x ; (21)
1 2 3
сорочки верхние для мальчиков и блузки для девочек дошкольного и ясельного возрастов
i i i i
Р = -0,400 x - 0,020 x - 0,010 x ; (22)
1 2 3
i
где x - общая площадь лекал i-го сочетания (сумма площадей лекал всех
1
размеров изделий, включенных в сочетание), кв. м;
i
x - среднеарифметическая величина длин изделий i-го сочетания (на
2
костюмы - среднеарифметическая величина общей длины пиджака и брюк или
жилета и юбки), см;
i
x - среднеарифметическая величина показателей обхвата груди i-го
3
сочетания размеров, см.
i i
После этого устанавливают количественные значения факторов (x , x ,
1 2
i
x ) по каждому сочетанию размеров.
3
Значение факторов x и x для наименьшего размера принимают равным 10.
2 3
Для расчета на остальные размеры к этому числу прибавляют соответствующие
фактические приращения длины изделия при переходе от роста к росту (фактор
x ) и ширины изделия при переходе от размера к размеру (фактор x ).
2 3
i i i
Рассчитывают значения факторов x , x , x для всех сочетаний.
1 2 3
Определяют величину первой поправки, межлекальных отходов для всех сочетаний размеров по одному из уравнений (
4 - 22) в зависимости от вида изделия.
При расчете первой поправки межлекальных отходов на платье, халаты, сарафаны, комплекты женские и для девочек подросткового возраста, для тканей шириной менее 80 см применяют
уравнение (14). Во избежание больших отклонений норм, установленных контрольными экспериментальными раскладками, от расчетных рекомендуется выделять в возрастных группах подгруппы с небольшим диапазоном размеров и выполнять в каждой из них отправные раскладки. Это дает возможность учесть при расчете специфику влияния размерных характеристик на межлекальные отходы в раскладках лекал деталей на конкретных ширинах.
Определяют разницу между фактическими межлекальными отходами и
величиной, рассчитанной по уравнению для исходного сочетания, - вторую
поправку межлекальных отходов R и R - на 1-й и n-й ширине:
1 2
Рассчитывают межлекальные отходы по остальным сочетаниям размеров на 1-й и n-й ширине

и

:
i
Рассчитывают нормы длин раскладок (в метрах) на 1-й и n-й ширина (N и
1
i
N ) по всем сочетаниям:
n
где h , h - ширины ткани, м.
1 n
Рассчитывают приращения длины раскладки (в метрах) при изменении ширины на 1 см для каждого сочетания размеров:
Определяют нормы длины раскладок (в метрах) для каждой промежуточной ширины К (К = 2, 3, ..., n - 1)
Расчетно-аналитический метод нормирования расхода основной ткани на брюки основан на определении рационального количества комплектов лекал в раскладке для различных ширин ткани для использования имеющейся на предприятии ткани с наименьшими межлекальными отходами. Этот метод позволяет установить зоны ширин рационального использования типовых схем раскладок с различным количеством комплектов лекал и соответствующие проценты межлекальных отходов.
Для установления зон ширин рационального использования типовых схем раскладок лекал брюк по каждому из предварительно выбранных количеств комплектов лекал в зависимости от числа размеров в модели составляют два или три исходных сочетания размеров. Первое сочетание содержит наименьшие размеры, второе - средние, третье - большие. В каждое сочетание включены размеры с разными ростами. В моделях брюк для детей школьного возраста сочетания составляют по возрастным группам.
По каждому исходному сочетанию размеров выполняют две раскладки для определения минимальной и максимальной ширины рациональной зоны. При нахождении минимальной ширины по изделиям для взрослых в раскладках необходимо придерживаться следующих типовых схем:
ТИПОВЫЕ СХЕМЫ РАСКЛАДОК ЛЕКАЛ
Количество комплектов лекал в сочетании |
2 | 2, 5 | 3 | 3, 5 | 4 | 4, 5 | 5 | 5, 5 |
Схема размещения передних и задних половинок брюк по ширине раскладки |
ППЗЗ | ПППП | ППЗЗ | ПППП | ППЗЗ | ПППП | ППЗЗ | ППППП |
ППЗЗ | ПЗЗ | ППЗЗ | ПППЗ | ППЗЗ | ПППЗ | ППЗЗ | ППППП |
| ЗЗЗ | ЗЗПП | ЗЗЗ | ЗЗПП | ППЗЗ | ЗЗПП | ПЗЗЗ |
| | | ЗЗЗ | ЗЗПП | ЗЗЗ | ЗЗПП | ЗЗЗЗ |
| | | | | ЗЗЗ | ЗЗПП | ЗЗЗЗ |
Обозначения: П - передняя половинка брюк;
З - задняя половинка брюк.
Данные варианты типовых схем можно изменять. Например, для брюк большой полноты при трех комплектах лекал применяют следующие схемы совмещения передних и задних половинок брюк по ширине раскладок:
ППЗ | | ПЗЗ |
ППЗ | или | ПЗЗ |
ЗЗП | | ПЗЗ |
ЗЗП | | ППП |
Типовые схемы в основном применяют на тканях больших ширин (130 - 150 см). На тканях меньших ширин используют другие варианты совмещения половинок брюк. Например, ППП, ППЗ, ПЗЗ или ПЗ и т.д.
При нахождении минимальной ширины раскладки в моделях брюк для детей школьного возраста на больших ширинах применяют следующие схемы первого ряда раскладок лекал: ПППП, ПППЗ, ППЗЗ и т.д.
На малых ширинах количество половинок первого рода соответственно уменьшают.
Для определения минимальной ширины измеряют ширину первого ряда половинок брюк, уложенных по одной из приведенных типовых схем. Средний размер половинок брюк первого ряда должен совпадать со средним размером сочетания, для которого выполняют раскладку.
На установленной минимальной ширине выполняют первоначальную раскладку с возможно минимальным процентом межлекальных отходов, так как от результата этой раскладки зависит экономичность всех остальных норм.
Для определения максимальной ширины раскладки все задние и передние половинки брюк совмещают по длине встык, расширяя таким образом раскладку и освобождая объединенный массив площади для рационального укладывания мелких деталей. Количество половинок брюк в первом ряду раскладки сохраняют то же, что и при определении минимальной ширины. В каждом последующем ряду количество половинок брюк не превышает их количества в предыдущем ряду. Половинки брюк, уложенные при нахождении минимальной ширины, могут быть заменены другими половинками. Исходя из длины, полученной при укладывании половинок брюк встык, и площади, определенной на минимальной ширине, рассчитывают максимальную ширину раскладки.
Для расширения зон ширин рационального использования типовых схем раскладок лекал при определении максимальной ширины длину раскладки можно сохранить, укладывая задние, половинки брюк "в замок". При раскладке лекал деталей школьных брюк, количество половинок брюк в средних рядах можно увеличить. При этом следует проверить, не превышает ли ширина ряда, в который добавлена половинка, установленную максимальную ширину.
На установленной максимальной ширине выполняют конечную раскладку с тем же процентом межлекальных отходов, что и на минимальной ширине. Это обеспечивает одинаковую экономичность выполненных экспериментальных раскладок лекал и норм длин раскладок на промежуточных ширинах.
Аналогично определяют минимальную и максимальную ширину и процент межлекальных отходов для остальных исходных сочетаний размеров брюк.
Для определения процента межлекальных отходов по каждому количеству комплектов лекал определяют разницу между минимальным и максимальным значением процента, и если она не превышает 0,3%, рассчитывают среднее значение процента межлекальных отходов, который затем используют при определении норм длин раскладок для этого количества комплектов лекал.
На основании полученных данных строят график зон ширин (в см) рационального использования типовых схем раскладок лекал деталей изделия в зависимости от среднего размера и количества комплектов лекал в раскладке.
На оси абсцисс откладывают значения ширин раскладок в сантиметрах, на оси ординат - средние размеры.
Полученные точки с этими координатами соединяют прямыми линиями (минимальные ширины с минимальными, максимальные с максимальными). Зона ширин рационального использования типовых схем раскладок лекал для определенного среднего размера лежит между проекциями на оси абсцисс точек пересечения линии, проходящей через значение этого размера параллельно оси абсцисс, с линиями максимальных и минимальных ширин.
На основе установленных зон ширин рационального использования типовых схем раскладок лекал производят набор сочетаний размеров согласно заказу торгующих организаций.
Для каждой группы ширин устанавливают границы значений средних размеров брюк, соблюдение которых в сочетаниях обеспечивает принятые межлекальные отходы. Необходимо, кроме того, соблюдать требуемую величину интервала (7 - 12 см) между смежными нормами длин раскладок для облегчения предварительного расчета кусков ткани в настилы.
Если по какому-либо количеству комплектов лекал получены одинаковые средние размеры в разных сочетаниях, то разницу в нормах длин раскладок обеспечивают введением в сочетания одних и тех же размеров разных ростов.
После составления сочетаний размеров для определения площади лекал раскладки по каждому сочетанию суммируют площадь раскладок на комплект или полукомплект лекал.
При использовании комбинированных раскладок, в которых уложены лекала разных моделей или изделий (брюк мужских и для мальчиков школьного возраста), соотношение комплектов лекал, заложенное в исходные сочетания, следует соблюдать во всех остальных сочетаниях.
Для сокращения числа отправных раскладок полный их набор выполняют по одному количеству комплектов лекал. Для других комплектов лекал, раскладываемых по этой же схеме и имеющих ту же минимальную и близкую максимальную ширину, количество отправных раскладок может быть уменьшено, исходя из характера зон рационального использования типовых схем раскладок лекал, принятых для сочетаний, по которым выполнено полное количество отправных раскладок.
Порядок разработки норм расхода материалов на изделия, изготавливаемые в процессе разработки новых моделей одежды, представлен в
приложении 3.
Нормы длин раскладок лекал деталей подкладки, ватина и прокладки изделия разрабатывают на основе экспериментальных раскладок лекал. Лекала подкладки, ватина и прокладок рекомендуется максимально унифицировать по группам размеров с учетом возможности использования их на все модели или группы моделей изделия, что позволяет применять авансовый (серийный) способ раскроя материалов для разработки наиболее экономичных норм расхода материалов. При применении авансового раскроя материалов необходимо организовать хранение, учет и выдачу кроя, в пошивочные цеха комплектно с деталями изделий, выкроенными из основного материала.
Норму длины раскладки, установленную на какой-либо ширине, нельзя пересчитывать по величине площади раскладки на другую, резко отличающуюся ширину (не более 5 см), так как факторы ширины и сочетания размеров в раскладке резко влияют на изменение величины межлекальных отходов.
В зависимости от ширины и вида используемого материала в экспериментальные раскладки укладывают такое количество лекал, чтобы ширина раскладки была максимально использована.
На каждую норму длины раскладки лекал определяют фактический показатель процента межлекальных отходов, что позволяет использовать на данное сочетание размеров изделий ткани рациональной ширины.
При изготовлении изделий с подкладкой, выстеганной с ватином на специальных машинах, необходимо определить величину уработки от стежки подкладки и ватина для последующего контроля за правильностью списания фактического их расхода. С этой целью следует провести экспериментальные работы, результаты которых оформить актом, который утверждают у главного инженера предприятия. Разработанные нормы длины раскладок лекал деталей подкладки, ватина, прокладок записывают в нормировочные карты
(приложение 4).
Нормы длины раскладок на изделия прямоугольной формы: одеяла стеганые, пододеяльники, простыни, наволочки и другие изделия следует определять расчетным методом на основе:
ширины ткани;
ширины и длины изделия в готовом виде;
припусков на подгибку, стачные швы, уработку, устежку.
Нормы разрабатывают отдельно на каждую ширину материала. Определение норм путем пересчета по площади с одной ширины на другую не допускается.
Величину уработки, устежки следует определять в сантиметрах по длине и ширине изделия в готовом виде после проведения экспериментальных работ, результаты которых оформить актом, утвержденным главным инженером предприятия.
Норму расхода материала на единицу указанных изделий при раскрое определяют по длине секций в раскладке с учетом количества полотен по секциям и предельных нормативов отходов по длине, утвержденных на предприятии.
Для оценки экономичности разработанных норм их необходимо сравнить с Отраслевыми нормами расхода ткани на белье постельное (М.: ЦНИИТЭИлегпром, 1984), Отраслевыми нормами расхода ткани на одеяла стеганые шелковые (М.: ЦНИИТЭИлегпром, 1983) и Отраслевыми нормами расхода ткани на одеяла стеганые хлопчатобумажные (М.: ЦНИИТЭИлегпром, 1984).
При разработке норм длин раскладок на детали головных уборов экспериментальные раскладки лекал выполняют для настилания полотен материала "лицом к лицу" или "лицом вниз" в соответствии с Отраслевыми рекомендациями по построению оптимальных многокомплектных раскладок лекал деталей головных уборов (М.: ЦНИИТЭИлегпром, 1985).
Раскладки лекал выполняют в трех - четырех секциях. В короткой секции раскладки, длиной до 1,0 м, укладывают такое количество комплектов лекал, чтобы с учетом уменьшенной высоты настила в этой секции настила и подкроя остатков, количество изделий при этом составляло не более 10% от общего количества изделий при раскрое материалов.
Для индивидуального безнастильного раскроя искусственного меха на головные уборы раскладку лекал выполняют на столе (или пленке) с учетом процентного соотношения размеров и рационального количества комплектов лекал при определенной ширине материала.
Предварительную норму расхода уточняют по результатам раскроя контрольных кусков искусственного меха с учетом выполнения заданной ростовки по размерам изделия.
При разработке норм длин раскладок на детали корсетных изделий экспериментальные раскладки лекал выполняют для настилания "лицом к лицу" или "лицом вниз" в соответствии с Отраслевыми рекомендациями по построению оптимальных раскладок лекал корсетных изделий (М.: ЦНИИТЭИлегпром, 1983).
Раскладки лекал выполняют в трех - четырех секциях. В последней короткой (до 0,5 м) секции раскладки лекал укладывают такое количество лекал, чтобы с учетом уменьшенной высоты настила и подкроя остатков, количество изделий при этом составляло не более 16% от общего количества изделий при раскрое материала.
Разработанные
нормы длины раскладок записывают в нормировочную карту (форма НМ-3 приложения 4).
3.5. Расчет норм расхода материалов на ЭВМ
Исходными данными для расчета на ЭВМ норм расхода материала на модель изделия являются:
информация об изделии: наименование, артикул изделия, норматив раскроя по неэкономичным раскладкам, отходы по длине настила, плановый размер и длина, поправочные коэффициенты для пересчета норм на фактический размер и длину, коэффициенты для определения первой поправки межлекальных отходов;
информация о модели: номер, полнота, норматив межлекальных отходов, наименьший, наибольший, базисный размер и рост, площадь лекал базисного и наибольшего размера и роста, длина и ширина изделия базисного размера и роста, приращения длины изделия по росту и ширины по размеру;
информация о материале: вид рисунка, ширина кромок;
характеристики раскладок: метод настилания материала, количество комплектов лекал, ширина рамки наименьшая и наибольшая, длина и ширина экспериментальных раскладок.
Алгоритм расчета на ЭВМ норм расхода материалов по моделям изделий построен на основе методики определения норм на раскладку лекал по регрессионным уравнениям межлекальных отходов
(п. 3.4), в нем использован принцип расчета средневзвешенных показателей
(п. 3.7) и площади лекал по размерам и ростам.
Алгоритм реализован в виде программ для универсальных ЭВМ серии ЕС на языке ФОРТРАН в системе ОС ЕС и персональной ЭВМ "Искра-555" на языке ЯМБ.
Для расчета норм расхода материалов по моделям изделий на ЭВМ серии ЕС и ЭВМ "Искра-555" рекомендуется использование методического и программного обеспечения, разработанных лабораторией нормирования материалов Ростовского филиала ЦНИИШП.
В одном расчете на ЭВМ серии ЕС можно определить нормы расхода для 20 ширин материала на 50 сочетаний размеров при любом заданном количестве отправных норм (от одной до необходимого количества по конкретной модели изделия), на ЭВМ "Искра-555" - для 30 ширин и любого числа сочетаний. Количество комплектов лекал в сочетании размеров - от одного до четырех.
Для расчета норм на ЭВМ серии ЕС оперативную информацию задают на каждую модель, вид рисунка и группу ширин в одном входном документе "Карта-заказ для расчета норм расхода ткани", а информацию, не изменяющуюся в течение длительного периода (квартал, год), формируют в справочники. Карту-заказ и справочники заполняют в группе нормирования материалов экспериментального цеха.
При расчете норм расхода материалов на персональной машине отпадает необходимость в документировании входной информации, т.к. ввод данных осуществляется в режиме диалога машины с оператором.
Выходной документ "Нормировочная карта" выдают в необходимом количестве экземпляров, она не требует последующей доработки и используется в экспериментальном, подготовительном, раскройном цехах и производственно-техническом отделе предприятия.
Применение в нормировании расхода материалов вычислительных машин позволяет производить расчеты с достаточной точностью, высвобождает время, дает возможность лучше организовать работу и обеспечить экономичность раскладок.
Расчет норм на ЭВМ серии ЕС
Подготовка входной информации
Для проведения расчета необходима постоянная справочная информация на магнитном диске и оперативные данные.
Справочную информацию (
формы N 1,
2) оформляют в виде четырех справочников: видов изделий, возрастных групп, видов рисунков и отходов ткани по кромке.
Справочники следует формировать до начала расчетов и обновлять или дополнять по мере необходимости. В справочник возрастных групп данные заносят в порядке возрастания номера группы, в справочники видов рисунков и отходов на кромку - в порядке возрастания шифра. В справочнике видов изделий порядок строк произвольный, но нельзя допускать повторов шифра изделия.
Входной документ "
Карта-заказ для расчета норм расхода ткани" (форма N 3) содержит ряд реквизитов, требующих пояснения.
Реквизиты "шифр вида изделия", "шифр рисунка", "номер возрастной группы", "шифр отходов по кромке" используют для выборки данных из справочников.
Реквизит "код печати" принимает 5 значений:
1 - женские изделия;
2 - сорочки верхние мужские;
3 - сорочки верхние для мальчиков;
4 - мужские изделия (кроме сорочек);
5 - Детские изделия (кроме сорочек).
Реквизит "код уравнения" позволяет выбрать уравнение для расчета поправки межлекальных отходов из приведенных в п. 3.4 уравнений
(14) - (22).
В зависимости от реквизита "признак счета" расчеты производят в двух вариантах:
определяют нормы и межлекальные отходы для всех сочетаний на всех ширинах и средневзвешенные показатели по исходным и рассчитанным нормам;
определяют межлекальные отходы только по заданным во входном документе нормам и рассчитывают средневзвешенные показатели, исходя только из данных экспериментальных раскладок.
Реквизит "число выходных документов" принимает три значения:
если нужно выдать один документ "Нормировочная
карта на модель" (форма N 4);
два документа, в одном из которых отсутствуют площади лекал по размерам и межлекальные отходы на каждой ширине;
три одинаковых документа.
Реквизит "признак группы" - числовой символ (1), которым намечают начало 2, 3... выделенной группы размеров. В каждой группе должна быть задана хотя бы одна норма.
Реквизит "вид раскладки": 1 - "лицом вниз", 2 - "лицо с лицом".
Размер: по сорочкам верхним - обхват шеи, по остальным изделиям - обхват груди.
Рост: по сорочкам - длина 1, 2, 3, 4; по остальным изделиям - рост человека.
Признак комплектности - 1,0 - целый комплект; 0,5 - полкомплекта.
Информацию подготавливают на перфокартах: каждую строку документа перфорируют на отдельной карте.
Справочники и входной документ имеют жесткий формат (указан в строке под наименованиями граф). Каждый справочник имеет по одному макету перфорации, а входной документ - пять макетов: 1-я карта - по первому; 2-я - по второму; 3, 4, 5-я - по третьему; 6-я - по четвертому; с 7-й до последней (не более 56) - по пятому.
от "__" _______________ 19__ г.
Имеет продолжение на ___ листах (лист N __)
Шифр изделия | Плановый размер | Поправочный коэффициент размера | Плановая длина изделия 1, см | Поправочный коэффициент длины изделия 1 | Плановая длина изделия 2, см | Поправочный коэффициент длины изделия 2 | Плановая длина изделия 3, см | Поправочный коэффициент длины изделия 3 | Отходы по длине настила, % | Норматив однокомплектных раскладок, % | Наименование изделия |
1 | 2 | 3 | 4 | 5 | 6 | 7 | 8 | 9 | 10 | 11 | 12 |
9(10) | 9(4) | 9(2) | 9(4) | 9(2) | 9(4) | 9(2) | 9(4) | 9(2) | 9(3) | 9(3) | А(40) |
СПРАВОЧНИК ВИДОВ РИСУНКОВ
от "__" _______________ 19__ г.
Имеет продолжение на ___ листах (лист N __)
Шифр вида рисунка | Вид рисунка ткани |
1 | 2 |
9(2) | А(40) |
СПРАВОЧНИК ВОЗРАСТНЫХ ГРУПП
от "__" _______________ 19__ г.
Имеет продолжение на ___ листах (лист N __)
Номер возрастной группы | Размер наименьший | Размер наибольший | Рост наименьший | Рост наибольший | Размер базовый | Рост базовый |
1 | 2 | 3 | 4 | 5 | 6 | 7 |
9(2) | 9(3) | 9(3) | 9(3) | 9(3) | 9(3) | 9(3) |
СПРАВОЧНИК ОТХОДОВ ТКАНИ ПО КРОМКЕ
от "__" _______________ 19__ г.
Имеет продолжение на ___ листах (лист N __)
Шифр отходов по кромке | Величина отходов по кромке, см |
1 | 2 |
9(2) | 9(2) |
КАРТА-ЗАКАЗ ДЛЯ РАСЧЕТА НОРМ РАСХОДА ТКАНИ
Номер перфокарты | Код печати | Номер модели | Полнота | Ширина рамки раскладки, см | Артикул изделия | Норматив межлекальных отходов, % | Шифр отходов по кромке | Код уравнения | Признак счета | Число выходных документов | Контрольная сумма |
наименьшая | наибольшая | на комбинированные раскладки | на однокомплектные раскладки |
9(2) | 9(1) | А(10) | 9(1) | 9(3) | 9(3) | А(10) | 9(3) | 9(3) | 9(2) | 9(2) | 9(1) | 9(1) | 9(10) |
Номер перфокарты | Номер возрастной группы | Площадь лекал, кв. см | Длина изделия 1, см | Длина изделия 2, см | Длина изделия 3, см | Ширина изделия, базового размера | Контрольная сумма |
Базовый размер | Наибольший размер | базового размера | приращение | базового размера | приращение | базового размера | приращение |
базовый рост | наибольший рост | базовый рост | наибольший рост | по размеру | по росту | по размеру | по росту | по размеру | по росту |
9(2) | 9(2) | 9(5) | 9(5) | 9(5) | 9(5) | 9(4) | 9(2) | 9(2) | 9(4) | 9(2) | 9(2) | 9(4) | 9(2) | 9(2) | 9(2) | 9(10) |
Номер перфокарты | Ширина раскладок, см |
06 | |
| Сочетание размеров | Удельный вес, % | Норма длин раскладок, см | Контрольная сумма |
Признак комплектности | Вид раскладки | Размер | Рост | Признак комплектности | Размер | Рост | Признак комплектности | Размер | Рост | Признак комплектности | Размер | Рост | Признак комплектности |
9(2) | 9(1) | 9(1) | 9(3) | 9(3) | 9(2) | 9(3) | 9(2) | 9(2) | 9(3) | 9(3) | 9(2) | 9(3) | 9(3) | 9(2) | 9(3) | 9(3) | 9(3) | 9(3) | 9(3) | 9(3) | 9(3) | 9(3) | 9(3) | 9(10) |
Дата "__" _______________ 198_ г.
ПШО _____________________________ УТВЕРЖДАЮ
Главный инженер _______________
"__" __________________ 198_ г.
на модель _______________
Наименование изделия: | | Средневзвешенные показатели: |
Размеры с ____ по ____ | Межлекальные отходы, % | |
Артикул изделия | норматив |
Рисунок ткани | факт |
Отходы по длине настила, % |
Отходы по кромке, % | Размер | план: | факт: |
Длина изделия, см | план: | факт: |
Площадь лекал, кв. м | | факт: |
Площадь раскладки, кв. м | факт: |
Норма расхода, кв. м | план: | факт: |
N п/п | Вид раскладки | Сочетание размеров | Признак комплектности | Удельный вес, % | Площадь лекал раскладки, кв. м | Средние межлекальные отходы по сочетанию, % | Ширина раскладок, см | Площадь лекал по размерам, кв. м |
| | | | | | | | | |
Длины раскладок, см |
| | | | | | | | | |
1 | 2 | 3 | 4 | 5 | 6 | 7 | 8 | 9 | 10 | 11 | 12 | 13 | 14 | 15 | 16 | 17 | 18 |
Начальник экспериментального цеха ___ Руководитель группы нормирования ___
Алгоритм расчета нормировочной карты на ЭВМ построен аналогично "ручному" способу. Блок-схема алгоритма приведена на рисунке.
Особенность машинного алгоритма состоит в том, что он предусматривает возможность задания более двух экспериментальных норм для одной группы размеров и ширин. Расчет производится следующим образом. Для первого в списке сочетания размеров, по которому указана хотя бы одна норма, определяют фактический процент межлекальных отходов и вторую поправку на тех ширинах, по которым выполнены отправные раскладки. Для расчета процента межлекальных отходов на этих ширинах по всем сочетаниям размеров, стоящим в списке вышеуказанного и вслед за ним до следующего, по которому указана норма, на тех же ширинах (или до конца группы, если больше на этих ширинах норм нет) используют вторую поправку, найденную по этому сочетанию размеров. Затем переходят к следующему сочетанию, по которому указана хотя бы одна норма, и с ним поступают таким же образом и т.д. до конца группы. Далее переходят к следующей группе, и так до конца списка сочетаний.
Для определения величин межлекальных отходов на ширинах, по которым не было выполнено ни одной раскладки, находят изменение межлекальных отходов по ближайшим к рассматриваемой ширине.
Если в какой-либо группе нет сочетаний, по которым задано хотя бы две нормы, то используют изменение межлекальных отходов последнего сочетания предыдущей группы.
Если экспериментальные нормы во всех группах заданы на одной и той же ширине, то расчет межлекальных отходов на других ширинах производят, исходя из площади раскладки по сочетанию размеров.
Машинный алгоритм, кроме того, предусматривает расчет площадей лекал по размерам для каждой модели непосредственно перед расчетом норм, исходя из площади базисного и наибольшего размера и роста.
Средневзвешенные показатели рассчитывают так же, как при ручном способе.
Для печати размеров в списке сочетаний нормировочной карты дополнительно рассчитывают ряд характеристик.
При ходе печати 1 - женские изделия - определяют обхват бедер (NB) через обхват груди (NR) и полноту (NP):
NB = NR + 4NP. (31)
Укрупненная блок-схема алгоритма
При ходе печати 2 - сорочки мужские - определяют:
обхват груди через обхват шеи (NS):
NR = 48 + 4 (NS - 26); (32)
обхват талии (NT) через обхват шеи (NS) и полноту
NT = 64 + 6 (NS - 38) + 6 (NP - I). (33)
При ходе печати 3 - сорочки для мальчиков - определяют обхват груди через обхват шеи:
NR = 52 + 4 (NS - 28). (34)
При ходе печати 4 - изделия мужские (кроме сорочки) - определяют обхват талии через обхват груди и полноту:
NT = 70 + (NR - 88) + 6 (NP - I). (35)
Решение задачи осуществляется двумя программами:
NORMA - программа ввода исходных данных, расчета площадей, норм расхода, средневзвешенных показателей, выдачи табуляграммы;
SPR - программа управления базами данных, помещенных в справочниках, обеспечивает запись, чтение, удаление и дополнение массивов, необходимых для работы программы NORMA.
Осуществляется арифметический, синтаксический и логический контроль входной информации. Например, проверяется наличие данных хотя бы по одной экспериментальной раскладке в каждой выделенной группе размеров, укладываемость заданных размеров в границы, предусмотренные справочником возрастных групп, и т.д.
Программа NORMA снабжена большим количеством комментариев диагностического характера, позволяющих локализовать ошибку.
Расчет норм на ЭВМ "Искра-555"
Алгоритм расчета в целом аналогичен.
Использованы преимущества диалога и другие возможности "Искры-555".
Входная информация включает:
нормативно-справочную по видам изделий (справочник изделий), в том числе коэффициенты регрессионных уравнений;
оперативную, для удобства ввода, условно подразделенную на три формы.
Корректировка предусмотрена для всех вводимых форм.
Пакет состоит из пяти программ:
программа работы со справочником изделий: его формирование, корректировку, вывод на алфавитно-цифровое печатающее устройство, на экран и гибкий магнитный диск;
программа ввода справочной информации по коду вида изделия и первых двух форм;
программа ввода третьей формы, осуществление расчета и записи его на гибкий магнитный диск;
программа выдачи табуляграмм для служб экспериментального и подготовительного производств;
управляющий блок пакета - головная программа, связывающая выполнение предыдущих программ.
Выдаваемая табуляграмма аналогична нормировочной карте, получаемой на ЕС ЭВМ.
3.6. Порядок разработки норм расхода материала на настил
В процессе настилания материалов имеются дополнительные отходы по длине полотна, которые до определенной величины технологически неизбежны. Размер этих отходов зависит от качества работы настильщиц, от организации труда в раскройном цехе.
Отходы по длине настила материала состоят из следующих видов:
на концах настила;
на стыках полотен внутри настила;
концевые отходы от каждого куска длиной (по основе материала) до 15 см по шерстяным тканям и до 10 см по остальным материалам.
Нормативы отходов по длине настила материалов, выраженные в процентах, следует использовать для расчета средневзвешенных норм расхода материалов на модель изделия, а также для оперативного расчета норм расхода материала на настилы данной карты раскроя. Нормативы отходов, выраженные в сантиметрах - при расчете кусков материала в настил.
Норму расхода материала на настил (Н , м) данной карты раскроя
н
рассчитывают по формуле:
где Н - норма расхода материала на длину раскладки лекал, м;
pi
Б - количество полотен и настилах;
i
П - предельный норматив отходов по длине данной группы материалов, %.
д
Например, имеем следующие данные:
Н = 4,52 м, Н = 4,32 м, Н = 4,14 м, Н = 1,48 м, Б = 40;
р1 р2 р3 р4 1
Б = 38; Б = 38; Б = 10, П = 0,5.
2 3 4 д
0,5
Н = (4,52 x 40 + 4,32 x 38 + 4,14 x 38 + 1,48 x 10) (1 + ---) =
Н 100
= 650,32 (м).
3.7. Порядок разработки норм расхода материалов
на модель изделия
Для контроля за работой раскройного цеха по использованию материалов для каждой модели необходимо разработать средневзвешенную норму расхода материалов.
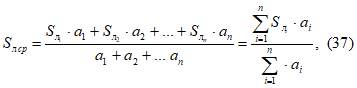
С учетом удельного веса размеров изделия определяют средневзвешенный
показатель площади (S ) по формуле:
л ср
где S - площадь лекал размера, кв. м;
л
а - удельный вес размера, %.
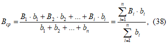
Средневзвешенный процент (В , %) межлекальных отходов в раскладках
ср
отдельно по каждому виду поверхности материала рассчитывают по формуле:
где B - среднеарифметический процент межлекальных отходов (по часто встречающимся ширинам материала) по данному сочетанию размеров в раскладке;
b - удельный вес этих сочетаний, %.
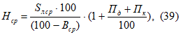
Средневзвешенную норму расхода (Н , кв. м) материалов на модель
ср
изделия рассчитывают по формуле:
где В - средневзвешенный процент межлекальных отходов в раскладках в
ср
целом по модели изделия;
П - предельный норматив отходов по длине материала, %;
д
П - норматив отходов на ширину кромок материалов, расход по которым
к
списывается вместе с кромками (за исключением шерстяных тканей), %.
Пример
расчета средневзвешенной нормы расхода на модель изделия основного материала представлен в форме НМ-4.
При выполнении раскладок лекал основного материала, подкладки и бортовой прокладки по всем сочетаниям размеров на часто встречающихся ширинах, средневзвешенные нормы расхода материалов могут быть рассчитаны другим способом.
Для этого по каждому виду поверхности материала следует определить средневзвешенную площадь раскладки лекал деталей изделия с учетом удельного веса комбинированных в 1,5; 2 и более комплектов лекал и раскладок в I комплект лекал, процент которых не должен превышать утвержденный на предприятии.
Расчет указанной нормы расхода основной ткани значительно упрощается, если на данную модель изделия используется только один вид поверхности материала (гладкая, рисунчатая или ворсовая).
При наличии нескольких часто встречающихся ширин материала средневзвешенную площадь раскладки лекал можно определить как среднеарифметическую величину, если неизвестен удельный вес всех этих ширин.
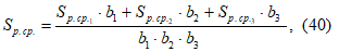
Средневзвешенную площадь раскладки (S , кв. м) рассчитывают по
р.ср.
формуле
где

- средневзвешенная площадь раскладки по нормам для гладкой поверхности материала, кв. м;

- то же, для рисунчатого материала, кв. м;

- то же, для ворсовых материалов или с направленным рисунком, кв. м;
b - удельный вес вида поверхности материала, %.
Имея данные о средневзвешенной площади лекал S и площадь
л.ср.
раскладки S , показатели межлекальных отходов по модели (В , %)
р.ср. ср.
определяют по формуле:
Средневзвешенную норму расхода материала (Н , кв. м) определяют по
ср.
формуле:
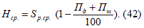
Средневзвешенная норма расхода материалов на модель изделия должна быть охарактеризована средневзвешенными показателями размера и длины изделия (в сантиметрах), которые необходимы при проведении анализа фактического расхода материалов на единицу изделия.
4. ПОРЯДОК РАЗРАБОТКИ ГРУППОВЫХ НОРМ РАСХОДА МАТЕРИАЛОВ
4.1. Порядок разработки норм расхода материалов
на вид изделия
Средневзвешенные нормы расхода материалов на единицу каждого вида
изделия (Н , кв. м) определенного артикула изделия, рассчитывают по
в
формуле:
где Н - средневзвешенная норма расхода материалов на единицу изделия
ср
данной модели, кв. м;
C - выпуск изделий по данной модели.
Такие нормы следует рассчитывать отдельно по каждому из материалов (основная ткань, подкладка и т.д.), из которых изготовляется данный вид изделия (
форма НМ-5 приложения 4).
В тех случаях, когда по отдельным моделям изделия еще не разработаны средневзвешенные нормы расхода материалов, для расчета аналогичных норм на вид изделия рекомендуется использовать отправные нормы, полученные из Дома моделей одежды.
При отсутствии на предприятии технической документации необходимо для изготовления лекал на новые модели изделия расчетные нормы расхода материала верха определять на основе описания внешнего вида модели, используя отраслевые нормативы межлекальных отходов в раскладках.
При отсутствии отраслевых нормативов на отдельные виды изделий или конструктивные формы изделия предварительные нормы расхода материала на такие модели изделий, временно используемые только для расчета средневзвешенных норм расхода материалов на вид изделия, определять на основе экспертной оценки этих моделей по сравнению с аналогичными моделями, близкими по их внешнему виду.
Норму расхода материалов на вид изделия определенного артикула (прейскуранта) на очередной планируемый год устанавливают на основании отчетных данных о расходе материалов с учетом моделей будущего года и плана мероприятий по снижению индивидуальных норм расхода материалов.
На новые артикулы изделия нормы следует устанавливать на основании норм, указанных в техническом описании на модель, с учетом выпуска этих изделий и средневзвешенных показателей.
При превышении нормы на планируемый год по сравнению с предыдущим необходимо представить обоснование ее увеличения.
Эти нормы предназначаются в качестве основы при разработке проекта норм расхода материалов, закладываемых на предприятии в плановые калькуляции по видам изделий.
Нормы расхода ниток на единицу изделия при разработке новых моделей следует определять в соответствии с отраслевыми нормативами для определения расхода ниток на изготовление швейных изделий, определенного ассортимента, разработанными УкрНИИШПом.
Нормы расхода фурнитуры и других материалов на данную модель изделия разрабатывают в экспериментальном цехе предприятия путем замеров при изготовлении опытных образцов. Такие нормы следует обосновывать соответствующей технической документацией, расчетными таблицами, а также актами экспериментальных исследований и проверок.
После утверждения этих норм главным инженером их передают в швейные цеха и склады предприятия для руководства.
Средневзвешенные нормы расхода ниток, фурнитуры и других материалов, используемых на изготовление данного вида изделия, рассчитывают на основе аналогичных норм на модель изделия с учетом запланированного по ним выпуска изделий.
Нормы расхода вспомогательных материалов, используемые в отрасли, но не овеществляемые в готовом изделии (отпарки, обшивки гладильных подушек прессов и тому подобные материалы), разрабатывают на основе фактического износа и периодичности замены их на новые, на такие нормы составляют акты о замене материалов и утверждают у главного инженера предприятия.
4.2. Порядок разработки норм расхода материалов
на группу одежды
Нормы расхода материалов на группу одежды (для планирования) разрабатывают едиными для отрасли на основе данных о нормах расхода материалов на вид изделия и объемах их производства.
Нормы расхода материалов должны включать в себя нормативы количества маломерных (нерациональных) остатков материалов, которые не могут быть использованы на планируемый ассортимент изделий.
Нормы расхода материалов на группу одежды разрабатывают в квадратных метрах, нормы должны быть охарактеризованы соответствующими средневзвешенными показателями размеров.
5. ПОРЯДОК ИЗМЕНЕНИЯ И УТВЕРЖДЕНИЯ НОРМ РАСХОДА МАТЕРИАЛОВ
Нормы расхода материалов на производство швейных изделий следует разрабатывать в соответствии с настоящей Инструкцией на весь ассортимент продукции, предусмотренный программой производства в планируемом году, включая и новые виды продукции, на которую разрабатываются временные нормы.
Разработанные на каждую модель изделия индивидуальные нормы расхода материалов и групповые (средневзвешенные) нормы расхода материалов необходимо проанализировать по технико-экономическим показателям путем сопоставления с утвержденными нормативами межлекальных отходов. Нормы утверждает главный инженер объединения (предприятия).
Нормативы отдельных составляющих суммарных отходов по переходам технологического процесса (нормативы отходов по длине, ширине настила, маломерных остатков (лоскута) материалов от раскроя; межлекальные) утверждаются главным инженером предприятия. В инструкции представлены рекомендуемые значения вышеуказанных нормативов
(приложение 2).
На ассортимент швейных изделий и виды тканей, на которые отсутствуют отраслевые нормативы суммарных отходов материалов, нормативы утверждаются главным инженером предприятия.
При копировании раскладки лекал на материалах (при соблюдении технических условий на выполнение раскладки) с экономией по сравнению с действующей нормой последнюю необходимо изменить. Наряду с этим следует дать задание группе нормирования материалов по проверке остальных норм, смежных с пересмотренной нормой (по близким размерам изделия и ширинам материала).
По устойчивым моделям с большим выпуском изделий общий пересмотр норм длин раскладок следует производить не реже одного раза в квартал даже при отсутствии экономии у обмеловщиков. Такой пересмотр норм выполняют в первую очередь по часто встречающимся ширинам материала и сочетаниям размеров изделия с большим удельным весом по ростовке.
Нормы расхода материалов на вид изделия утверждает главный инженер предприятия.
План организационно-технических мероприятий по экономии материальных ресурсов составляют на текущий и планируемый годы. В этом плане указывают объем работ, сроки внедрения, ответственных исполнителей и намечаемую экономическую эффективность. Разработка данного плана должна предшествовать разработке норм расхода материалов.
Экономия материалов, предусмотренная планом организационно-технических мероприятий, внедряемых в текущем и планируемом годах, в обязательном порядке должна быть учтена в нормах расхода материалов, разрабатываемых и утверждаемых на предприятии.
Разработанные на предприятии временные нормы расхода материалов на новые виды швейных изделий утверждают одновременно с утверждением технических условий или технических описаний на опытные партии изделий.
6. ОРГАНИЗАЦИЯ РАБОТЫ ПО НОРМИРОВАНИЮ РАСХОДА
МАТЕРИАЛОВ В ПРОИЗВОДСТВЕ
6.1. Совершенствование конструкции изделий и разработка
отправных норм расхода материалов в домах моделей одежды
Дома моделей одежды, отраслевые лаборатории, конструкторские отделы ЦТКБ минлегпромов союзных республик, модельеры-конструкторы одежды экспериментальных цехов производственных объединений и швейных предприятий должны разрабатывать и систематически использовать в новых моделях технологичные базовые конструктивные основы и максимально унифицированные экономичные конструкции лекал мелких деталей материалов верха, подкладки и приклада.
Экономичность по расходу материала верха конструкций деталей новых моделей изделий, намечаемых для массового производства на швейных предприятиях, определяют по сравнению с отраслевыми нормативами межлекальных отходов в раскладках.
Конструктор по описанию внешнего вида модели изделия должен заполнить карту-описание с указанием конструктивных особенностей основных, дополнительных деталей и декоративных элементов изделия, записывая в карте нормативные показатели межлекальных отходов.
Карта-описание представлена в приложении 3.
Экономичность конструкции деталей каждой модели изделия (по проценту межлекальных отходов) определяют по результатам выполнения контрольной раскладки лекал деталей верха с количеством изделий в раскладке соответственно:
для взрослых и подростков - два комплекта лекал среднего размера;
для детей школьного возраста - три комплекта лекал;
для детей дошкольного и ясельного возрастов - четыре комплекта лекал.
В тех случаях, когда расчетный расход материала верха на единицу изделия, определенный на основе фактических показателей площади лекал деталей и межлекальных отходов в контрольной раскладке, выше соответствующего нормативного показателя, конструктор с учетом замечаний и предложений работников группы нормирования материалов должен проверить возможность совершенствования конструкции деталей.
При этом необходимо проверить возможность изменения конструкции деталей в целях улучшения их взаимоукладываемости в раскладке (изменение кривизны линий, перевод швов, изменение нити основы на детали, использование разрезных и стачных деталей и др.), применение которых не ухудшит внешний вид модели изделия и позволит сократить расход материала на единицу изделия.
Оценку технологичности изготовления и технико-экономических показателей новых моделей, намеченных для массового производства на швейных предприятиях, рассматривают на расширенных художественно-технических советах моделирующих организаций.
Во всех домах моделей одежды и других моделирующих организациях отрасли на модели изделий, принятые для массового производства на швейных предприятиях, разрабатывают отправную норму длины раскладки с тем же количеством комплектов лекал верха, как это указано выше.
Такие раскладки необходимо выполнять с максимальной плотностью и с использованием (если это дает экономию) допускаемых надставок к отдельным деталям изделия и отклонений от основного направления нити основы.
6.2. На швейных предприятиях
В экспериментальном цехе разрабатывают графики подготовки моделей для внедрения в производство с учетом затрат времени на разработку норм расхода материалов (в соответствии с Отраслевыми
нормативами времени на операции подготовительно-раскройного производства при изготовлении пальто, костюмов, курток, платьев, сорочек, производственной одежды, утвержденными Минлегпромом СССР 16.05.87).
Исходя из принятого количества сочетаний размеров изделия и фактического диапазона ширин материала, необходимо определить общее количество норм длин раскладок по каждой из моделей изделия умножением этих величин отдельно по раскладкам в 1; 1,5; 2 и более комплектов лекал. Например, количество сочетаний 15, количество ширин 7, всего норм 15 x 7 = 105.
Для большинства видов изделий разработка всех норм по экспериментальным раскладкам не обязательна. Большая часть этих норм может быть установлена (с достаточной степенью точности) расчетно-аналитическим способом с помощью регрессионных уравнений.
При нормировании расхода материалов по каждой модели изделий удельный вес норм, подтверждаемых экспериментальными раскладками лекал, рекомендуется принимать не ниже рекомендуемых величин.
Общая затрата времени (T ) в сменах на выполнение раскладок лекал одним
о
исполнителем на данную модель изделия может быть определена по следующей
формуле:
где М - общее количество норм длины раскладок отдельно по типу раскладок и виду поверхности материала;
У - удельный вес норм, подтверждаемых экспериментальными раскладками лекал
(табл. П.2.5), %;
T , T , ..., Т - затрата времени на выполнение экспериментальных
1 2 n
раскладок лекал, определяется в соответствии с Отраслевыми
нормативами
времени на операции подготовительно-раскройного производства при
изготовлении пальто, костюмов, курток, платьев, сорочек, производственной
одежды, утвержденными Минлегпромом СССР 16.05.87 по операции "Изготовление
обмелки" с учетом увеличения норматива основного времени на 30%, мин.; 480
- средняя продолжительность работы в смену, мин.
При этом общее количество ширин принимается согласно намечаемым к использованию артикулов материалов с учетом допускаемых отклонений от стандартной (номинальной) ширины.
С учетом дополнительных затрат времени на пересмотр норм (20%) и на
вызовы раскладчика экспериментального цеха для помощи обмеловщикам
подготовительного или раскройного цехов (10%) общая затрата времени (Т ) в
р
сменах на выполнение экспериментальных раскладок одним исполнителем
определяется по формуле:
р о
где 1,3 - коэффициент, учитывающий 30% резерва времени на указанные выше дополнительные работы.
Такие расчеты следует проводить по одной из моделей (с большим выпуском) каждого вида изделия, что позволит более обоснованно определять необходимое количество раскладчиков экспериментального цеха при изменении на предприятии ассортимента изделий и количества сменяемых моделей.
Например, по пальто мужскому демисезонному имеем данные, представленные в табл. 1 и
2.
Таблица 1
Материал | Вид поверхности материала | Количество норм в зависимости от количества комплектов лекал в раскладке |
1,5; 2 и более | 1 |
Основной | Ворсовая | 100 | 20 |
| Гладкая | - | - |
| Итого | 100 | 20 |
Подкладка | | 100 | 20 |
Бортовая прокладка | | 50 | 10 |
Материал | Удельный вес норм, подтверждаемых раскладками, У, % | Затрата времени на выполнение раскладок, Т, мин. |
Количество комплектов лекал в раскладке |
1,5; 2 и более | 1 | 1,5; 2 и более | 1 |
Основной | 15 | 30 | 140 | 80 |
Подкладка | 30 | 60 | 70 | 40 |
Бортовая прокладка | 20 | 40 | 60 | 35 |
Подставляя исходные показатели в
формулу (44) определяют необходимые затраты времени на выполнение экспериментальных раскладок лекал деталей изделия отдельно по виду материалов.
а) по основному материалу
100 · 15 · 140 + 20 · 30 · 80 258000
T = ----------------------------- = ------ = 5,375;
1 480 · 100 48000
б) по подкладке
100 · 30 · 70 + 20 · 60 · 40 258000
T = ---------------------------- = ------ = 5,375;
2 480 · 100 48000
в) по бортовой прокладке
50 · 20 · 60 + 10 · 40 · 35 74000
T = --------------------------- = ----- = 1,542.
3 480 · 100 48000
Общую затрату времени в целом по модели изделия (Т ) определяют,
р
Т = 1,3(T + T + T ) = 1,3(5,375 + 5,375 + 1,542) = 15,980 ~= 16 смен.
р 1 2 3
Необходимый срок выполнения экспериментальных раскладок лекал по модели данного вида изделия (С) в сменах с учетом имеющегося количества раскладчиков рекомендуется рассчитывать по формуле:
где Р - фактическое количество раскладчиков.
ф
Например, Т = 16 смен; Р = 4 раскладчика
р ф
T
p 16
C = -- = -- = 4 смены.
Р 4
ф
В группе нормирования расхода материалов экспериментального цеха предприятия кроме руководителя (инженера-технолога) в каждой из смен, если работа производится в две смены, должны быть техники-нормировщики для расчета предварительных норм, приемки выполненных экспериментальных раскладок и определения фактического процента межлекальных отходов.
Наиболее квалифицированного из раскладчиков следует назначить ведущим раскладчиком (бригадиром). Основной его задачей является разработка по каждой из новых моделей отправных минимальных норм, на основе которых будут рассчитаны предварительные нормы длин раскладок для остальных раскладчиков, изыскание наиболее рациональных способов выполнения раскладок.
С учетом использования увеличенной затраты времени ведущий раскладчик по каждой из новых моделей изделия должен выполнять по 2 - 4 экспериментальных раскладки лекал средних размеров изделия для основного материала (верха изделия), а также оказывать помощь остальным раскладчикам в их работе.
При наличии раскладчиков разной квалификации целесообразно распределять между ними работу таким образом, чтобы нормирование расхода основного, более дорогостоящего материала производилось по раскладкам, выполненным более квалифицированными из них. Все остальные экспериментальные раскладки лекал для основного материала для данной модели изделия рекомендуется выполнять только одним или двумя раскладчиками. Это позволит им лучше изучить особенности конфигурации лекал, быстрее накопить опыт по рациональному совмещению их в раскладках, в конечном итоге - достичь лучших результатов, необходимых для разработки минимальных норм расхода материала.
Для оплаты труда раскладчиков экспериментального цеха рекомендуется использовать повременно-премиальную систему с учетом выполнения установленного нормированного задания, качества, экономичности разработанных норм длин раскладок лекал.
Экспериментальные раскладки лекал целесообразно выполнять на специальных столах необходимой длины и ширины, размеченных поперечными и продольными цветными линиями.
При использовании специальных столов производительность труда раскладчиков повышается за счет исключения ряда вспомогательных операций (разметки рамки раскладки, измерения отклонений от установленного в деталях направления нитей основы или утка материала).
Для осуществления систематического контроля за использованием материалов в производстве швейных изделий на предприятиях проводят бухгалтерский и оперативный анализ данных о фактическом их расходе, который отражается в статистической отчетности по
форме N 4-ЛЕГ, утвержденной приказом Госкомстата СССР от 11.12.87 N 432 (письмо Минлегпрома СССР N 07-04-11/60 от 09.02.88).
На основании данных бухгалтерского учета и формы 3-ШН Инструкции по учету затрат на производство и калькулированию себестоимости продукции по нормативному методу в швейной промышленности составляется сводная
ведомость по форме N 1.
По итоговым показателям сводной ведомости составляется
отчет об использовании тканей и материалов за год по форме N 4-ЛЕГ.
данных о результатах бухгалтерского учета фактического расхода
материалов верха за ____________ 19__ года
квартал
Наименование изделия | Артикул изделия | Количество изделий по раскрою | Расход материалов, кв. м | Фактическая площадь лекал, кв. м | Получено лоскута, кв. м | Суммарные отходы, % | Отклонения: экономия (-) перерасход (+) | Средневзвешенные показатели |
по плановой норме | фактический | размера, см | длины изделия (в готовом виде), см |
на единицу изделия | на количество изделий по раскрою | на количество изделий по раскрою | на единицу изделия | мерного | весового | нормативные | фактические |
по плану | фактически | по плану | фактически |
1 | | | | | | | | | | | | | | | | |
Итого по виду изделия | | | | | | | | | | | | | | | | |
И т.д. по другим видам изделия | | | | | | | | | | | | | | | | |
Итого по виду материалов | | | | | | | | | | | | | | | | |
Ответственный за анализ использования материалов ________________
Порядок заполнения сводной ведомости (форма N 1)
Графы 3;
5;
6;
8 - итоговые показатели граф 2; 23; 5; 7 формы 3-ШН "Аналитическая карточка отклонений по расходу ткани", представленной в Инструкции по учету затрат на производство и калькулированию себестоимости продукции по нормативному методу в швейной промышленности, утвержденной Минлегпромом СССР 02.04.85;
графа 4 - из заголовочной части формы 3-ШН;
графы 9;
10 - итоговые показатели гр. 7 и 8 формы N 20-Ш, представленной в Руководстве по первичному учету производства на предприятиях швейной промышленности;
графа 11 - суммарные отходы материалов по нормативам - определяются в соответствии с Временной инструкцией по определению и применению на швейных предприятиях отраслевых нормативов суммарных отходов материалов верха на основные ассортиментные группы швейных изделий, утвержденной Минлегпромом СССР 12.06.86;
--------------------------------;
графы 14,
16 - плановые средневзвешенные показатели размеров;
графы 15,
17 - фактические средневзвешенные показатели на основании данных формы 17-Ш "Накопительной ведомости данных (по раскрою) о количестве изделий по размерным признакам", представленной в Руководстве по первичному учету производства на предприятиях швейной промышленности.
Кому представляется __________________ ┌────┬─────┬─────┬─────┬─────┬─┬─┬──
(наименование, │ 1 │ 2 │ 3 │ 4 │ 5 │6│7│8
______________________________________ ├────┼─────┼─────┼─────┼─────┼─┼─┼──
адрес предприятия) │Фор-│Орга-│От- │Тер- │Мини-│ │ │КС
Министерство _________________________ │мы │низа-│рас- │рито-│стер-│ │ │
Производственное объединение │до- │ции │ли │рии │ства │ │ │
(комбинат), предприятие ______________ │ку- │сос- │по │по │(ве- │ │ │
______________________________________ │мен-│тави-│ОКОНХ│СОАТО│дом- │ │ │
Адрес ________________________________ │та │теля │ │ │ства)│ │ │
______________________________________ │по │доку-│ │ │по │ │ │
│ОКУД│мента│ │ │СООГУ│ │ │
│ │по │ │ │ │ │ │
│ │ОКЮ │ │ │ │ │ │
├────┴─────┴─────┴─────┴─────┴─┴─┴──
└───────────────────────────────────
СТАТИСТИЧЕСКАЯ ОТЧЕТНОСТЬ ОАСУ
форма N 4-ЛЕГ
Утверждена приказом Госкомстата СССР
от 11.12.87 N 432
Телеграфная - годовая
Представляется вычилительному центру,
Министерству союзной республики
20 января
ОТЧЕТ ОБ ИСПОЛЬЗОВАНИИ МАТЕРИАЛОВ В ШВЕЙНОЙ ПРОМЫШЛЕННОСТИ
(по количеству видов материалов согласно
приложению)
Наименование материалов | Код материалов | Расход тканей | Отходы материалов по отраслевым нормативам | Фактические суммарные отходы материалов | Количество весового и мерного лоскута | Обрезки (отходы) | Контрольная сумма |
по плановым нормативам | фактический | Всего по раскрою | в том числе | Лоскут полученный от поставщиков | Использовано в цехе ширпотреба | Всего по раскрою | Использовано в цехе ширпотреба |
лоскут мерный | лоскут весовой |
лоскут мерный | лоскут весовой |
| | тыс. кв. м | тыс. кв. м | % | % | тыс. кв. м | тыс. кв. м | тыс. кв. м | тыс. кв. м | тыс. кв. м | тыс. кв. м | т | т | |
| | | | | | | | | | 9 | 10 | 11 | 12 | В |
"__" ______________ 19_ г.
Фамилия и номер телефона Руководитель
исполнителя
НАИМЕНОВАНИЕ МАТЕРИАЛОВ <*>
--------------------------------
<*> Допускается изменение отдельных наименований материалов в пределах установленного количества.
Хлопчатобумажные ткани основные, подкладочные
Хлопчатобумажные ткани прикладные
Шерстяные ткани
Шелковые ткани основные
Шелковые ткани подкладочные
Льняные ткани основные
Льняные ткани прикладные
Искусственный мех
Нетканые материалы
Трикотажные и синтетические полотна
Прочие материалы
По результатам оперативного анализа данных о расходе материалов за месяц работы предприятия необходимо подготовить и представить главному инженеру заключение о причинах перерасхода и резервах материалов.
На основании методики анализа данных о фактическом расходе материалов получают данные, необходимые для контроля работы экспериментального, подготовительного и раскройного цехов по разработке норм расхода и использования материалов.
В целях снижения себестоимости и повышения рентабельности производства швейных изделий за счет снижения расхода материалов и сокращения отходов производства необходимо анализ использования материалов на предприятии начинать с анализа экономичности норм расхода, разрабатываемых экспериментальным цехом на каждую модель изделия.
Зам. начальника Зам. начальника
Технического управления Управления развития швейной
Минлегпрома СССР промышленности Минлегпрома СССР
О.Г.ЛОГИНОВ Л.Г.СИНЮТА
Зам. директора ЦНИИШПа
И.С.ЗАК
по заполнению формы N 4-ЛЕГ "
Отчет об использовании
материалов в швейной промышленности"
графа 5 - указывается код Министерства;
Раздел "
Отчет об использовании материалов в швейной промышленности":
графа А - наименование материалов согласно
приложению к форме N 4-ЛЕГ приказа Госкомстата СССР от 11.12.87 N 432;
графа Б - код материалов - согласно нумерации материалов, представленной в
приложении к форме N 4-ЛЕГ;
графа 1 - расход тканей по плановым нормам, приведенным к фактическим показателям размеро-роста (
гр. 5 формы N 1);
графы 8 - 12 - заполняются на основании данных бухгалтерского учета.
СПОСОБ ОПРЕДЕЛЕНИЯ ПЛОЩАДИ
ЛЕКАЛ ДЕТАЛЕЙ ШВЕЙНЫХ ИЗДЕЛИЙ
Площадь лекал деталей изделия измеряется на фотоэлектронной машине ИЛ-2 или комбинированным способом.
При измерении на машине лекала деталей укладывают на стекло каретки не ближе 20 мм от края ограничительной линии, располагая их диагонально по направлению перемещения каретки.
Площадь лекал деталей верха, подкладки и приклада определяется путем измерения полного комплекта лекал, групп деталей или подетально.
Комбинированный способ измерения площади лекал деталей заключается в том, что лекало размечается на правильные геометрические фигуры, площадь которых легко подсчитывается, а площади внешних криволинейных участков измеряются с помощью обычного полярного планиметра.
Планиметр устанавливается полюсом (точка опоры с иглой) вне фигуры. При этом угол между рычагами планиметра должен быть близок к прямому. Обводной шпиль планиметра следует вести по контуру измеряемой фигуры в направлении вращения часовой стрелки, т.е. влево - вверх - направо. При работе с планиметром следят за тем, чтобы счетное колесико не попадало на лекало, что приведет к неточности измерения площади. Для получения площади всей фигуры отдельные участки суммируют. Перед использованием полярный планиметр проверяют.
Измеряют площадь лекал деталей изделия исходных наибольшего и наименьшего размеров одинаковых ростов одной конструктивной группы и площадь лекал наибольшего и наименьшего роста каждого исходного размера
<*>. Величины площадей лекал деталей остальных размеров изделия устанавливают расчетным способом с помощью приращений. Величину межразмерных приращений для одного и того же роста определяют по формуле:
где

- приращение площади между смежными размерами j-го роста, кв. см; j = 1, ...
S1j - площадь лекал деталей исходного наименьшего размера возрастной группы j-го роста, кв. см;
Sкj - площадь лекал деталей исходного наибольшего размера возрастной группы j-го роста, кв. см;
к - общее количество размеров изделий возрастной группы.
--------------------------------
<*> Допускается измерять площадь лекал изделий крайних размеров наибольших ростов. При этом межростовая разница определяется расчетным способом.
Величина межростовых приращений Р определяется для каждого размера на
основе величин межростовых приращений исходных размеров P или P и величин
1 к
изменений межростовых приращений от размера к размеру

по формуле:
или
где i - порядковый номер размера в возрастной группе, i = 1, ..., к;
P - межростовое приращение для исходного наименьшего размера, кв. см;
1
P - межростовое приращение для исходного наибольшего размера, кв. см;
к

- величина изменения межростовсго приращения от размера к размеру, кв. см.
где S - площадь комплекта лекал наименьшего роста, кв. см;
1
S - площадь комплекта лекал наибольшего роста, кв. см;
n
n - количество ростов в размере:
Площадь лекал смежного размера и одинакового роста с исходным наименьшим размером определяют по формуле:
или
где Sij - площадь лекал i-го размера j-го роста, кв. см;
S(i - 1)j - площадь лекал, предыдущего i-му размеру j-го роста, кв. см;
S(i + 1)j - площадь лекал последующего после i-го размера j-го роста, кв. см.
Площадь лекал деталей изделия одного и того же размера, но смежного роста определяют по формуле:
Sij = Si(j - 1) + Pi; (9)
Sij = Si(j + 1) - Рк, (10)
где Sij - площадь лекал деталей изделия i-го размера j-го роста, кв. см;
Si(j - 1) - площадь лекал деталей изделия i-го размера и предыдущего j-му роста, кв. см;
Si(j + 1) - площадь лекал деталей изделия i-го размера и последующего j-му роста, кв. см.
Площадь лекал деталей изделия каждой конструктивной группы рассчитывается по нарастающей от наименьшего размера или по убывающей от наибольшего размера.
Результаты определения площади лекал деталей изделия каждой модели и приращения по размерам и ростам для верха, подкладки и приклада в отдельности сводят в таблицы специального журнала.
Достоверность величины площадей лекал деталей изделия, определенных расчетным способом, должна быть проверена. Для этого определяют разность величин площадей лекал между смежными размерами одного и того же роста и между смежными ростами одного и того же размера изделия. Величина изменения площади комплекта лекал изделий от размера к размеру одного роста или от роста к росту одного размера должна быть пропорциональной.
После проверки и уточнения величины площади лекал деталей швейных изделий утверждаются руководителем группы нормирования материалов.
Техническая характеристика
Машина фотоэлектронная марки ИЛ-2
для измерения площадей лекал
Машина предназначена для применения в стационарных условиях лабораторий швейных фабрик, домов моделей:
Пределы измерений площадей, кв. см | 100 - 11000 |
Габаритные размеры измеряемых лекал, мм: | |
длина наибольшая | 1500 |
длина наименьшая | 100 |
ширина наибольшая | 750 |
ширина наименьшая | 100 |
Пределы допускаемой относительной погрешности, %: | |
в диапазоне измерений 100 - 999 кв. см | +/- 1 |
в диапазоне измерений 1000 - 11000 кв. см | +/- 0,5 |
Скорость перемещения лекал (каретки), мм/с, не менее | 47 |
Время готовности машины к работе после ее включения, мин. | 30 |
Проверку относительной погрешности измерений машины следует производить по контрольным шаблонам площадью 100 и 1000 кв. см. При проверке контрольные шаблоны измеряют на различных участках стекла каретки как по ширине, так и по длине. Квадратный шаблон располагают на стекле каретки диагонально по направлению перемещения каретки. Измерение шаблонов производят в пределах площади стекла каретки, ограниченной по длине белыми линиями. Контрольные шаблоны при измерении укладывают на стекло каретки не ближе 20 - 25 см от края ограничительной линии, нанесенной на стекло каретки. При проверке погрешности измерения площади лекал в поддиапазоне 100 - 999 кв. см применяют контрольный шаблон площадью 100 кв. см. Для этого контрольный шаблон пропускают десять раз без сброса показаний счетчика. Весь поддиапазон измерения таким методом проверяют по 10 раз, в результате чего по каждой площади получается ряд из 10 значений. Поддиапазон измерений 1000 - 11000 кв. см при проверке погрешности и измерении машины получают измерением шаблона площадью 1000 кв. см. Для этого контрольный шаблон пропускают десять раз без сброса показаний счетчика. Весь поддиапазон измерений проверяют описанным выше методом по 10 раз, в результате чего по каждой площади получается ряд из 10 значений.
По каждому ряду определяют верхнюю и нижнюю погрешности измерений машины: сначала абсолютные, затем относительные, которые не должны превышать для площади лекал порядка 100, 200, 300, 400, 500, 600, 700, 800, 900 кв. см +/- 1% и для площади лекал порядка 1000, 2000, 3000, 4000, 5000, 6000, 7000, 8000, 9000, 10000, 11000 кв. см - +/- 0,4%.
Затем подсчитывают относительную вариацию по каждому поддиапазону, как разность между наибольшей и наименьшей относительной погрешностью измерения в процентах.
Проверку погрешности показаний машины на верхнем пределе измерения
производят с помощью контрольного электронного счетчика с погрешностью не
-5
более 10 +/- 1 единиц счета.
Параллельно входу электронного счетчика машины подключают контрольный электронный счетчик. Затем включают подсветку и по сумме показаний контрольного счетчика набирают количество импульсов, соответствующее величине, близкой к верхнему пределу измерений, после чего выключают подсветку.
Сравнивают показания контрольного счетчика с показанием машины. Измерение повторяют не менее пяти раз. Необходимое количество импульсов определяют по формуле
N = (0,8 - 0,9) x S x n, (11)
где N - суммарное количество импульсов на контрольном счетчике;
S - верхний предел измеряемой площади, кв. см;
n - количество импульсов на 1 кв. см.
Относительную погрешность (В) определяют по формуле:
где

- отсчет площади по счетчику машины;
i - порядковый номер измерения.
За погрешность машины принимается наибольшее значение из пяти измерений.
Определение влияний измерений напряжений питающей сети на погрешность производят при измерении напряжения сети на +/- 10% от номинального значения (с помощью автотрансформатора). Определение погрешности на нижнем пределе измерений при каждом из крайних значений напряжения питающей сети производят согласно данной методике.
Для контроля работы машины следует применять электронный
-5
счетчик-частомер ЧЗ-4А с погрешностью не более 10 +/- единиц счета.
Порядок определения площади лекал полярным планиметром
Перед использованием полярный планиметр проверяют следующим способом.
Счетное колесико планиметра должно свободно вращаться на оси, а его валик иметь небольшой продольный зазор, величина которого устанавливается посредством регулировочных винтов.
Плоскость счетного колесика располагают перпендикулярно к оси обводного рычага. Проверку производят при двух положениях планиметра: первое, когда счетное колесико находится слева от рычагов, и второе, когда оно располагается справа от рычагов. Обводя одну и ту же фигуру, при указанных двух положениях планиметра, сравнивают полученные результаты. Такие измерения повторяют несколько раз.
В некоторых конструкциях планиметров полушаровое углубление в корпусе обводного рычага расположено эксцентрично на специальной гайке, которую можно поворачивать на резьбе. Поворотом этой гайки - опоры можно отрегулировать планиметр и устранить указанную неисправность.
Обводной рычаг планиметра должен быть вполне определенной длины. Для проверки его длины следует взять фигуру, площадь которой легко определяется (прямоугольник, круг и т.п.). С этой целью полюс устанавливают вне фигуры, а затем тщательно обводят шпилем по контуру и сопоставляют показание счетчика с величиной площади, определенной расчетным путем. Если между этими данными будет большая разница, то это указывает на необходимость изменения длины обводного рычага, что достигается последовательными пробами. Если показания счетчика планиметра больше величины расчетной площади, то рычаг нужно удлинить, вследствие чего уменьшится отсчет по счетчику, и наоборот.
Для достижения большей точности проверки длины обводного рычага планиметра пользуются контрольной линейкой, которая прилагается к планиметру, в этом случае линейку укладывают на поверхность стола, иголку, расположенную на одном конце линейки, вкладывают в стол, а штрих, имеющийся на другом конце линейки, совмещают с отмеченной карандашом на стола исходной линией.
В одно из дальних углублений линейки, если их несколько, следует вставить обводной шпиль, предварительно вывинтив опорный винт и, проверив исходное положение линейки, плавно вращать ее до тех пор пока она не вернется в первоначальное положение.
Площадь круга (S) в кв. см, который образуется при вращении контрольной линейкой, рассчитывают по известной формуле:
2
S = ПR ,
где R - радиус контрольной линейки (расстояние между центровой иглой и углублением для шпиля в см с точностью до 0,01).
Пример расчетного способа определения площади лекал
деталей изделия
Платье женское
Конструктивная группа 96/176 - 108/176.
Площадь комплекта лекал (Sл) исходного наименьшего размера и наибольшего роста 96/176
Sл = 22800 кв. см
Площадь комплекта лекал исходного наибольшего размера и наибольшего роста 108/170
Sл = 24166 кв. см
Межростовое приращение для 96-го размера P = 638 кв. см, для 108
1
размера Р = 683 кв. см.
к
Величина изменения межростового приращения

от размера к размеру
Межростовое приращение для остальных размеров определяют по формуле:
Для 100 размера Рi = Р i = 2
2
Для 104 размера Рi = Р i = 3
3
Определяют площадь лекал размера 96/170
S96/170 = S96/176 - Р = 22800 кв. см - 638 кв. см = 22162 кв. см.
1
Определяют межразмерное приращение:
при i = 3.
Площадь лекал 100 и 104-го размеров роста 170 (i = 4) определяют по формуле:
т.е.
На основании данных величин площади лекал для каждого размера 5-го роста и межростового приращения для каждого размера определяют величины площади лекал деталей остальных размеров и ростов по формуле:
Sij = Si(j + 1) - Pi,
Sij = S96/164 = S96/170 - P = 22162 кв. см - 638 кв. см = 21524 кв. см
1
S98/158 = S96/164 - P = 21524 кв. см - 638 кв. см = 20886 кв. см.
1
Таким образом определяют величины площадей лекал деталей изделий всех размеров и ростов.
Площадь лекал деталей по размерным показателям определяют согласно табл. П.1.1.
Таблица П.1.1
ПЛОЩАДЬ ЛЕКАЛ ДЕТАЛЕЙ ПО РАЗМЕРНЫМ ПОКАЗАТЕЛЯМ
Рост, см | Обхват груди, см |
96 | 100 | 104 | 108 |
площадь, кв. см | приращение, кв. см | площадь, кв. см | приращение, кв. см | площадь, кв. см | приращение, кв. см | площадь, кв. см | приращение, кв. см |
158 | 20886 | 638 | 21524 | 638 | 22162 | | | |
638 | 653 | | 668 | | | |
164 | 21524 | 653 | 22177 | 653 | 22830 | 653 | 23483 | |
638 | 653 | | 668 | | 683 | |
170 | 22162 | 668 | 22830 | 668 | 23498 | 668 | 24166 | |
| 638 | | 653 | | | | | |
176 | 22800 | 683 | 23483 | | | | | |
Руководитель
группы нормирования Подпись
РЕКОМЕНДУЕМЫЕ ВЕЛИЧИНЫ РАСКРОЯ МАТЕРИАЛОВ
ПО НЕЭКОНОМИЧНЫМ РАСКЛАДКАМ
Изделие | Нормативы раскроя материала по однокомплектным (неэкономичным) раскладкам |
Для взрослых | Для детей |
школьного и подросткового возрастов | дошкольного и ясельного возрастов |
1 | 2 | 3 | 4 |
Пальто, плащи, костюмы | 11,0 | 11,0 | 11,0 |
Пиджаки, куртки | 8,5 | 8,5 | 7,5 |
Брюки | 7,0 | 7,0 | 5,0 |
Платья, платья-костюмы, халаты | 8,0 | 8,0 | 4,0 |
Школьная форма | - | 10,0 | 5,0 |
Верхние сорочки | 5,0 | 5,0 | 4,0 |
Блузки и юбки | 10,0 | 10,0 | 2,0 |
Нательное белье | 5,0 | 5,0 | 4,0 |
Спортивная одежда | 10,0 | 10,0 | 5,0 |
Корсетные изделия (в короткой секции раскладки и с учетом подкроя из остатков): | | | |
из эластичных материалов | 16 | - | - |
из остальных материалов | 10,0 | - | - |
Головные уборы (в короткой секции раскладки и с учетом подкроя из остатков) | 10,0 | 10,0 | 10,0 |
Специальная и производственная одежда: | | | |
куртки, брюки утепленные | 20,0 | - | - |
халаты, полукомбинезоны | 40,0 | - | - |
костюмы, комбинезоны | 50,0 | - | - |
РЕКОМЕНДУЕМЫЕ ВЕЛИЧИНЫ ПРЕДЕЛЬНЫХ ОТХОДОВ МАТЕРИАЛОВ
В НАСТИЛАХ
По длине настила
Группа материалов | Всего потерь для средневзвешенных норм и для расчета экономичности выполненных настилов, % | В том числе потери на одно полотно для расчета кусков материалов, см |
1 | 2 | 3 |
Шерстяные ткани | | |
Пальтовые и костюмные ворсовые | 0,6 | 2,0 |
Пальтовые и костюмные (остальные) | 0,55 | 1,5 |
Плательные и сорочечные при обрезке полотен | 0,6 | 2,0 |
Плательные и сорочечные при разрыве полотен | 0,8 | 3,0 |
Джинсовые | 0,7 | 2,5 |
Шелковые ткани | | |
Пальтовые и плащевые | 0,45 | 1,5 |
Плательно-костюмные при обрезке полотен | 0,6 | 2,0 |
Плательно-костюмные при разрыве полотен | 0,8 | 3,0 |
Сорочечные | 0,55 | 1,5 |
Подкладочные и бельевые шириной, см: | | |
121 - 160 | 0,55 | 2,0 |
100 - 120 | 0,5 | 0,4 |
менее 100 | 0,4 | 1,0 |
Ворсовые | 0,7 | 2,5 |
Шитье | 1,0 | 3,0 |
Джинсовые | 0,7 | 2,5 |
Хлопчатобумажные ткани | | |
Пальтовые, костюмные и плащевые | 0,4 | 1,0 |
Плательные и бельевые | 0,4 | 1,0 |
Сорочечные | 0,5 | 1,5 |
Подкладочные | 0,35 | 1,0 |
Прикладные | 0,35 | 1,0 |
Ворсовые | 0,7 | 2,5 |
Джинсовые | 0,7 | 2,5 |
Льняные ткани | | |
Одежные, плательные, бельевые | 0,45 | 1,5 |
Прикладные | 0,4 | 1,0 |
Синтетика, дублированная мехом | 0,6 | 2,0 |
Дублированные материалы двухслойные | 0,4 | 1,0 |
Гуммированные материалы | 0,4 | 1,5 |
Многослойные стеганые полотна | 0,5 | 1,5 |
Капроновые ткани с пленочным покрытием и без покрытия | 0,7 | 2,5 |
Капроновые подкладочные ткани | 1,0 | 3,0 |
Искусственная замша | 0,8 | 3,0 |
Искусственная кожа | 0,5 | 1,5 |
Искусственный мех на тканой основе | 0,5 | 1,5 |
Искусственный мех на трикотажной основе | 0,7 | 2,5 |
Мех подкладочный | 0,6 | 2,0 |
Флизелин, прокламелин, съюнт | 0,4 | 1,0 |
Марля | 0,7 | 2,5 |
Ватин | 1,5 | 4,0 |
Ватин на марле | 0,8 | 3,0 |
Поролон | 1,0 | 3,0 |
Волосяная ткань | 0,4 | 1,0 |
Клеевая ткань | 0,4 | 1,0 |
Нетканые материала | 1,0 | 3,0 |
Синтетическая ватка-полотно | 1,5 | 4,0 |
Примечания: 1. Указанные величины являются рекомендуемыми допустимыми показателями, рассчитанными на средние условия производства швейных изделий в отрасли, с учетом прогрессивных показателей передовых предприятий.
2. Нормативы отходов на трикотажные полотна представлены в Инструкции по подготовке и раскрою трикотажных полотен на предприятиях швейной промышленности, утвержденной Минлегпромом СССР 28.12.82.
3. В величины отходов (в процентах) включены отходы до 15 см по шерстяным тканям и до 10 см по всем тканям других волокон и остальным материалам.
4. Отходы на каждый фактический стык не должны превышать 2 см. Для подкладочных, бельевых, сорочечных, плательных тканей на стыках полотен в настиле на переходящую секцию допускаются отходы не более 5 см. На предприятиях по результатам экспериментальных настилов необходимо разрабатывать дифференцированные нормативы отходов по длине настила (в см). Такие нормативы следует утверждать на предприятии при условии, если они в среднем не превышают предельных нормативов по группе материалов. Например: рекомендуемые величины отходов на одно полотно в настиле для одежных шерстяных тканей в зависимости от длины настила составляют:
Длина настила, м | Отходы по длине, см |
До 2,0 | 0,5 - 1,0 |
2,0 - 4,0 | 1,0 - 1,5 |
Свыше 4,0 | 1,5 - 3,0 |
5. Нормативы отходов по длине настила материала, выраженные в сантиметрах, следует использовать для расчета кусков в настилы, в процентах - для расчета норм расхода материала на настилы при определении их экономичности по раскрою и расчета средневзвешенных норм расхода материалов на модели изделий.
6. Нормативы отходов по длине (в см) установлены для настилов длиной 4,0 - 5,0 м.
7. Для сокращения отходов по длине настила материала по возможности следует применять ступенчатые настилы с разным или одинаковым количеством полотен по секциям объединенного настила.
8. При раскрое тканей в производстве высококачественных изделий (изготовляемых по лицензии инофирм), потери по длине настила:
для пальтовых шерстяных тканей - 0,8%;
для костюмных шерстяных тканей - 0,8%.
По ширине настила
1. Ширину материала измеряют через каждые 3 м длины куска.
2. Ширину куска материала определяют по полной его ширине (с кромками). При этом фактической шириной куска материала (с кромками) считают по всем тканям и материалам - наименьшую из встречающихся величин в куске при повторении ее не менее двух раз. Обуженные и расширенные участки материала в куске по возможности используют по их фактической ширине.
3. Планируемую ширину рамки обмелка (раскладки) устанавливают: по фактической ширине основного фона материала (без кромок, непроклеенных и непропитанных участков, между проколами от игл ширильных машин и цветными просновками).
Для материалов, не имеющих кромок, ширину рамки обмелки уменьшают на 1 см.
4. Для наиболее рационального использования материалов допускается частичное использование в стачных швах кромок, не стянутых и не отличающихся по цвету и толщине от основного материала (ткани подкладочные и прикладные, ткани для рабочей и специальной одежды, а также другие ткани и материалы, в которых частичное использование кромок не ухудшает качество готового швейного изделия).
5. Для оперативного контроля за фактическими показателями материалов по ширине необходимо:
в паспорте куска материала указывать два показателя ширины с кромками и установленную ширину рамки раскладки;
к паспорту куска материала прикладывать образец материала с кромкой и частью основного фона;
паспорта кусков обязательно прикладывать к расчету кусков материала для контроля величины отходов по ширине материалов в группе оперативного анализа, которые затем отделять от карты, чтобы они не попадали на хранение в архив.
6. Для расчета средневзвешенной нормы расхода на единицу изделия по всем материалам, за исключением шерстяных тканей, отходы на ширину кромок в % определять по формуле:
где Ш - ширина кромок, см;
кр
Ш - ширина ткани, см.
тк
7. При переработке тканей с дефектом "стянутая кромка" допускается уменьшение ширины рамки обмелки на 1 - 2 см и увеличение норматива отходов по длине настила материала на 0,2 - 0,5%. Основанием для увеличения вышеуказанных отходов являются результаты экспериментальных настилов, утвержденные главным инженером предприятия.
8. При раскрое тканей в производстве высококачественных изделий (изготавливаемых по лицензии инофирм) ширину рамки обмелки следует уменьшить на 1 см.
РЕКОМЕНДУЕМЫЕ ВЕЛИЧИНЫ МАЛОМЕРНЫХ ОСТАТКОВ (ЛОСКУТА)
МАТЕРИАЛОВ, ОБРАЗУЮЩИХСЯ ПРИ НАСТИЛАНИИ
Группа материалов | Нормативы остатков к количеству раскроенных материалов, % |
1 | 2 |
Шерстяные ткани: | |
пальтовые и костюмные | 0,5 |
плательные и сорочечные | 0,5 |
Шелковые ткани: | |
пальтовые и костюмные | 0,4 |
плательные и бельевые | 0,4 |
сорочечные | 1,0 |
подкладочные | 0,5 |
для стеганых одеял | 2,2 |
Хлопчатобумажные ткани: | |
пальтовые и костюмные | 0,7 |
плательные и бельевые | 1,1 |
сорочечные | 1,0 |
подкладочные | 0,8 |
для постельного белья | 1,5 |
для стеганых одеял | 1,5 |
прикладные | 0,6 |
Льняные ткани: | |
пальтовые, костюмные, плательные, бельевые, прикладные | 0,5 |
для постельного белья | 1,4 |
Синтетические материалы: | |
гуммированные материалы | 0,8 |
дублированные материалы | 0,6 |
капроновые материалы с пленочным покрытием и без покрытия | 1,6 |
искусственный мех на тканой основе | 0,3 |
искусственный мех на трикотажной основе | 0,8 |
искусственная кожа | 1,5 |
искусственная замша | 0,2 |
Ворсовые ткани | 0,7 |
РЕКОМЕНДУЕМОЕ КОЛИЧЕСТВО КОМПЛЕКТОВ
ЛЕКАЛ В РАЦИОНАЛЬНЫХ РАСКЛАДКАХ
Швейные изделия | Количество полных комплектов лекал в раскладке |
1 | 2 |
Пальто (основной материал, подкладка и бортовая прокладка): | |
мужское, женское | |
и для детей подросткового возраста |
для детей школьного возраста | 4; 3 и 2 |
для детей дошкольного и ясельного возрастов | 4; 3 |
Плащи: | |
мужские, женские и для детей подросткового возраста | 2 |
для детей школьного возраста | 2 |
для детей дошкольного возраста | 3 |
Костюмы (основной материал, подкладка, бортовая прокладка): | |
мужские, для мальчиков школьного и подросткового возрастов | |
женские, для девочек школьного и подросткового возрастов | 2 |
Костюмы для детей дошкольного возраста | 4; 3 и 2 |
Брюки мужские (материал шириной 118 - 150 см <3>) | 5,5; 4,5; 4; 3,5; 3; 2,5 |
Брюки длинные для мальчиков школьного и подросткового возрастов (материал шириной 118 - 150 см <3>) | 5,5; 4,5; 4; 3,5 |
Блузки женские и для девочек школьного и подросткового возрастов | 4; 3; 2 |
Платья: | |
женские | 3; 2 |
для девочек школьного и подросткового возрастов | 4; 3; 2 |
для девочек дошкольного возраста | 6; 5; 4; 3 |
для девочек ясельного возраста | 6; 5; 4 |
Сорочки мужские и для мальчиков школьного и подросткового возрастов | 4; 3; 2 |
Сорочки для мальчиков дошкольного и ясельного возрастов | 6; 5; 4 |
Кальсоны мужские и для мальчиков школьного и подросткового возрастов | 4; 3; 2 |
Сорочки ночные женские | 2 |
Сорочки ночные для девочек | 4 |
Трусы мужские | 10; 8; 7; 6 |
| |
бюстгальтеры | 20; 16 |
пояса | 20; 15; 10 |
полукорсеты | 10; 6 |
Головные уборы | |
Фуражки, кепи, береты, шлемики, пилотки, капитанки, матроски детские: | |
основной материал | 50 - 40 |
подкладка | 25 - 20 |
Жокейки детские | 25 |
Женские головные уборы: | |
осенне-зимнего сезона | 50; 40; 30 |
летнего сезона | 30; 20 |
из искусственного меха | 60; 45 |
Специальная, производственная и форменная одежда <5> | |
Халаты | 2 |
Полукомбинезоны | 2 |
Куртки, брюки | 4; 3; 2 |
Костюмы хлопчатобумажные | 2 |
Комбинезоны | 2 |
--------------------------------
<1> Количество комплектов лекал в рациональной раскладке принято исходя ив длины не менее 4 - 6 м (для материалов шириной более 100 см) и 7 - 8 м (при ширине менее 100 см).
<2> Раскладки в 1,5 комплекта лекал "лицом к лицу" выполняют при наличии полукомплекта лекал одной из модели изделия, имеющего парные симметричные части спинки (из двух или четырех частей);
<3> В рациональных раскладках лекал количество комплектов лекал принимают соответственно используемой группе ширин материала.
<4> Для этих видов изделий количество комплектов лекал указано для основных секций раскладок.
<5> При использовании узких ширин ткани (менее 100 см).
РЕКОМЕНДУЕМЫЕ ВЕЛИЧИНЫ УДЕЛЬНОГО ВЕСА РАЗРАБОТКИ
НОРМ ПО ЭКСПЕРИМЕНТАЛЬНЫМ РАСКЛАДКАМ ЛЕКАЛ
Изделие | Материал и его назначение | Удельный вес норм по раскладкам, %, при количестве комплектов лекал в раскладке |
два | один |
1 | 2 | 3 | 4 |
1. Бытовые изделия |
Пальто и полупальто мужское | Основной материал | 15 | 30 |
Подкладка | 30 | 60 |
Бортовая прокладка | 20 | 40 |
Ватин, марля | 20 | 40 |
Плащ мужской | Основной материал | 20 | 40 |
Подкладка | 30 | 60 |
Пальто для мальчиков-подростков | Основной материал | 15 | 30 |
Подкладка | 30 | 60 |
Бортовая прокладка | 20 | 40 |
Ватин, марля | 20 | 40 |
Плащ для мальчиков-подростков | Основной материал | 20 | 40 |
Подкладка | 30 | 60 |
Пальто для мальчиков школьного возраста | Основной материал | 15 | 30 |
Подкладка | 30 | 30 |
Бортовая прокладка | 20 | 40 |
Ватин | 20 | 40 |
Плащ для мальчиков школьного возраста | Основной материал | 20 | 40 |
Подкладка | 30 | 60 |
Пальто для мальчиков дошкольного возраста | Основной материал | 15 | 30 |
Подкладка | 30 | 60 |
Бортовая прокладка | 20 | 40 |
Ватин | 20 | 40 |
Пальто для мальчиков ясельного возраста | Основной материал | 15 | 30 |
Подкладка | 30 | 60 |
Бортовая прокладка | 20 | 40 |
Ватин | 20 | 40 |
Костюм мужской и для мальчиков-подростков | Основной материал | 10 | 20 |
Подкладка основная: | | |
с наколенниками | 30 | 60 |
без наколенников | 50 | 100 |
Подкладка рукавная | 50 | 100 |
Бортовая прокладка | 20 | 40 |
Костюм для мальчиков школьного возраста | Основной материал | 10 | 20 |
Подкладка основная | 50 | 100 |
Бортовая прокладка | 20 | 40 |
Костюм для мальчиков дошкольного и ясельного возрастов | Основной материал | 20 | - |
Подкладка | 30 | 60 |
Брюки мужские | Основной материал | 20 | - |
Брюки для мальчиков-подростков и школьного возраста | Основной материал | 20 | - |
Сорочки верхние: | Основной материал | - | - |
мужские | | 40 | - |
для мальчиков школьного возраста | | 40 | - |
для мальчиков дошкольного и ясельного возрастов | | 40 | - |
Пальто и полупальто женские | Основной материал | 25 | 50 |
Подкладка | 30 | 60 |
Бортовая прокладка | 20 | 40 |
Ватин, марля | 20 | 40 |
Плащ женский и для девочек-подростков | Основной материал | 25 | 50 |
Подкладка | 30 | 60 |
Пальто для девочек-подростков | Основной материал | 25 | 50 |
Подкладка | 30 | 60 |
Бортовая прокладка | 20 | 40 |
Ватин, марля | 20 | 40 |
Пальто для девочек школьного возраста | Основной материал | 25 | 50 |
Подкладка | 30 | 60 |
Бортовая прокладка | 20 | 40 |
Ватин, марля | 20 | 40 |
Плащ для девочек школьного возраста | Основной материал | 25 | 50 |
Подкладка | 30 | 60 |
Пальто для девочек дошкольного возраста | Основной материал | 25 | 50 |
Подкладка | 30 | 60 |
Бортовая прокладка | 20 | 40 |
Ватин, марля | 20 | 40 |
Пальто для девочек ясельного возраста | Основной материал | 25 | 50 |
Подкладка | 30 | 60 |
Бортовая прокладка | 20 | 40 |
Ватин, марля | 20 | 40 |
Костюм или брючный комплекс женский и для девочек-подростков | Основной материал | 25 | 50 |
Подкладка | 30 | 60 |
Бортовая прокладка | 20 | 40 |
Брюки женские и для девочек-подростков | Основной материал | 40 | - |
Платья и халаты женские | То же | 60 | 80 |
Блузка женская и для девочек-подростков | " | 60 | 80 |
Платье для девочек: | | | |
подростков | " | 50 | 80 |
школьного возраста | " | 50 | 80 |
дошкольного и ясельного возрастов | " | 50 | 80 |
2. Специальная и производственная одежда |
Халат | Основной материал | 50 | 50 |
Комбинезон | То же | 50 | 70 |
Полукомбинезон | " | 70 | 70 |
Костюм хлопчато-бумажный | " | 50 | 50 |
Костюм брезентовый | " | 50 | 50 |
Костюм суконный | " | 25 | 25 |
Куртки | Основной материал | 50 | 50 |
Брюки | То же | 50 | - |
Рукавицы | " | 100 | - |
|
Кепи, фуражки, береты, шлемы, жокейки, капитанки, матроски | Основная ткань | 80 | - |
Подкладка | 90 | - |
Приклад | 100 | - |
Шляпы, панамы | Основная ткань | 40 | - |
Подкладка | 40 | - |
Приклад | 40 | - |
Пилотки детские | Основная ткань | 80 | - |
--------------------------------
<*> Количество комплектов лекал в раскладке см. в
табл. П.2.4.
ПО НОРМИРОВАНИЮ РАСХОДА И УЧЕТУ МАТЕРИАЛОВ НА ИЗДЕЛИЯ,
ИЗГОТОВЛЯЕМЫЕ В ПРОЦЕССЕ РАЗРАБОТКИ НОВЫХ МОДЕЛЕЙ ОДЕЖДЫ
Настоящие рекомендации устанавливают порядок определения норм расхода материалов на изделия, изготовляемые в процессе создания новых моделей (модель, модель-конструкция, первичная и повторная конструкция), и предназначены для предприятий швейной промышленности, домов моделей одежды, СХКБ, занимающихся разработкой и воспроизводством новых моделей одежды.
В процессе проектирования и разработки новых моделей одежды, для проработки модели по замыслу художника, отработки силуэтных форм, конструкторских решений, технологии обработки изделия изготавливают: модель, модель-конструкцию, первичную конструкцию, повторную конструкцию.
1.1. Модель одежды - новая по виду, форме, материалу, отделке или другим отличиям образец одежды, по которому в дальнейшем изготавливают изделия в промышленности (воспроизводится в материале на манекен или манекенщика).
1.2. Модель-конструкция - разработанная модель одежды, воспроизведенная в материале на основе базисного размера.
1.3. Конструкция - графическое изображение модели швейного изделия. Изделие по первичной конструкции изготавливается на базисный размер с целью отработки конструктивных решений, воплощающих реализацию в изделии силуэтно-размерных признаков и проработки технологии.
Повторная конструкция воспроизводится на базисный размер в качестве образца-эталона моделей изделия при изготовлении в массовом производстве.
2. Порядок определения норм расхода материалов
2.1. В соответствии с эскизным проектом новой модели одежды разрабатывают первичные лекала деталей изделия.
2.2. Измеряют площадь комплекта лекал деталей изделия на фотоэлектронной машине ИЛ.
2.3. Производят выбор материала, определяют ширину раскладки, а также способ выполнения раскладки лекал.
2.4. Производят расчет нормативного процента межлекальных отходов Вн по техническому описанию (или образцу) модели и утвержденным Отраслевым нормативам межлекальных отходов в раскладках лекал деталей на мужскую, женскую и детскую одежду.
2.5. Определяют размер увеличения нормативного процента межлекальных отходов, необходимого для отработки художественного и эстетического решения модели, конструктивного и технологического ее исполнения, который по видам изделий не должен превышать величины, указанной в табл. П.3.1.
Таблица П.3.1
Вид изделия | Размер увеличения нормативного процента межлекальных отходов |
на модель и модель-конструкцию | на конструкцию |
1 | 2 | 3 |
Пальто, полупальто мужское, женское, детское | 3,0 | 2,0 |
Плащи мужские, женские, детские | 3,0 | 2,0 |
Куртки и пиджаки мужские, куртки женские, детские | 5,0 | 3,5 |
Костюмы мужские, женские, детские | 3,0 | 4,5 |
Брюки мужские, женские, детские | 3,0 | 4,5 |
Платья, юбки: | | |
женские и подростковые: | | |
шелковые | 3,0 | 2,0 |
шерстяные | 6,0 | 4,0 |
для девочек: | 5,0 | 3,0 |
хлопчатобумажные | 2,0 | 1,0 |
шелковые | 5,0 | 3,0 |
шерстяные | 4,0 | 2,5 |
Халаты, сарафаны | 4,0 | 2,5 |
Блузки | 5,0 | 3,5 |
Примечание. Норматив может быть уменьшен для моделей, имеющих характерный прототип, при наличии базовых конструкций.
2.6. Рассчитывают предварительную норму длины раскладки Нр на основании данных о площади лекал (Sл) и нормативного процента межлекальных отходов Вн и ширины раскладки Шр по формуле:
Sл 100
Нр = ------------.
(100 - Вн)Шр
2.7. Раскладку лекал новых моделей одежды выполняют в один комплект лекал, с учетом способа настилания ("лицом вниз", "лицом к лицу", всгиб).
2.8. Определяют норму расхода материала на изделие на основании предварительной (или фактической) длины раскладки лекал и показателей прибавок для отработки художественного, конструктивного и технологического решения модели.
2.9. Раскрой материалов на новые модели одежды по раскладкам в один комплект лекал, имеющих межлекальные отходы более 30%, допускается только с разрешения главного инженера.
2.10. По изделиям стабильного ассортимента (пальто, костюмы, сорочки мужские и для мальчиков) на предприятиях, где проведена унификация деталей и разработаны конструктивные основы, могут быть установлены абсолютные значения норм расхода материалов на новые модели, дифференцированные по конструктивным особенностям. Нормы утверждаются главным инженером, не реже одного раза в год должен производиться их пересмотр.
2.11. Нормы расхода подкладочных и прикладных материалов на новые модели одежды определяют на количество комплектов лекал в раскладке аналогичного раскрою тканей верха. При наличии на предприятии унифицированных лекал деталей изделий на подкладочные и прикладные материалы выполнение раскладок производится в два и более комплектов лекал для рационального использования материалов.
2.12. Раскрой отделочных материалов целесообразно производить по фактически выполненным раскладкам в соответствии с раскроем количества комплектов лекал деталей верха изделия.
3. Учет и анализ расхода материалов
3.1. Учет расхода материалов на новые модели одежды производится в соответствии с Руководством по первичному учету производства в Домах моделей шейной промышленности и в учебно-производственных мастерских техникумов.
3.2. Списание материалов, использованных на раскрой новых моделей одежды, производится только по фактическому расходу.
3.3. В случае перерасхода материалов на новые модели одежды, составляющего более 5 см, норму подписывает главный инженер предприятия, до 5 см - инженер по нормированию материалов. В документе отражаются причины перерасхода материала.
3.4. Ежеквартально производится отчетность по состоянию нормирования и учета расхода материалов на новые модели одежды с анализом причин, вызвавших перерасход материалов по сравнению с расчетной нормой.
3.5. На новые модели одежды ведется журнальный учет расхода материалов, в котором указываются конструктивные особенности и отдельные параметры лекал деталей изделия, нормативный процент межлекальных отходов и размеры увеличения (уменьшения) нормативного процента межлекальных отходов (форма
журнала прилагается).
Журнал учета расхода материалов на новые модели одежды
Вид изделия | Номер модели | Размерная группа | Базовый размеро-рост | Площадь лекал (Sл) базового размеро-роста, кв. м | Техническое описание модели, характеристика лекал деталей | Характеристика условий выполнения раскладки | Нормативные показатели | Фактические показатели | Примечание (причины перерасхода на модель по сравнению с нормой) |
спинка | полочка | рукав | воротник | карман | мелкие детали (перечень) | вид поверхности материала (рисунок, направление, раппорт, площадь клетки) | количество комплектов лекал в раскладке | способ выполнения раскладки "лицом к лицу", "лицом вниз" | ширина материала раскладки, см | процент межлекальных отходов | норма расхода, м/кв. м | процент межлекальных отходов, В | расход материала, м/кв.м |
Изделие ______________________
Модель N _____________________
Размерные показатели __________________________
Расширение по низу ____________________________
Показатели | Процент межлекальных отходов |
Описание основных конструктивных форм изделий | |
Конструктивные особенности и дополнительные детали изделия, не предусмотренные в описании основных конструктивных форм изделия | |
Количество комплектов лекал в раскладке | |
Способ настилания | |
Вид поверхности материала | |
Вид раппорта полоски и площади клетки | |
Нормативный процент межлекальных отходов | |
ДОКУМЕНТАЦИЯ ПО ОФОРМЛЕНИЮ НОРМ РАСХОДА МАТЕРИАЛОВ
Нормы длины раскладок
На изделие _________________ Модель N ___________
Сочетание по размерным показателям | Процентное соотношение сочетаний | Площадь лекал, кв. м | Процент межлекальных отходов | Метод настилания | Ширина рамки раскладки, см |
| | |
Длина раскладки, м |
расчетная | фактическая | процент межлекальных отходов | расчетная | фактическая | процент межлекальных отходов | расчетная | фактическая | процент межлекальных отходов |
Начато
Закончено
Начальник Руководитель
экспериментального цеха группы нормирования
_______________________ ___________________
Утверждаю
Главный инженер Нормы длины раскладок
__________________________
(наименование предприятия) На изделие ___________ Модель __________
"__" ____________ 198_ г. Вид поверхности материала _______________
Средневзвешенный размер и длина ______________________
Средневзвешенный расход на единицу изделия, кв. м ____
Средневзвешенная площадь лекал _______________________
Средневзвешенный процент межлекальных отходов ________
Сочетание по размерным показателям | Количество комплектов лекал в раскладке | Площадь лекал, кв. м | Процентное соотношение | Настилание материала | Норма расхода, кв. м |
ширина, см | процент межлекальных отходов | ширина, см | процент межлекальных отходов | ширина, см | процент межлекальных отходов | ширина, см | процент межлекальных отходов | ширина, см | процент межлекальных отходов | ширина, см | процент межлекальных отходов |
Начальник Руководитель
экспериментального цеха группы нормирования
_______________________ ___________________
Утверждаю
Главный инженер Нормы длины раскладок
__________________________
(наименование предприятия) На изделие ______ Модель ____ Прейскурант N ___
"__" ____________ 198_ г. (артикул изделия)
Вид поверхности материала _____________________
Средневзвешенный размер и длина ____________________
Средневзвешенный расход на единицу изделия, кв. м __
Средневзвешенная площадь лекал _____________________
Средневзвешенный процент межлекальных отходов ______
Размеры | Метод настилания | Вид раскроя | Количество комплектов лекал | Площадь лекал, кв. м | Ширина, см | Длина, м | Площадь раскладки, кв. м | Процент межлекальных отходов | Средневзвешенная норма расхода материалов на единицу изделия, кв. м | При мечание |
Процентное соотношение | обмелки | с технологическими припусками | с нормируемыми припусками | обмелки | с технологическими припусками | с нормируемыми припусками |
без отходов | с отходами |
Начальник Руководитель
экспериментального цеха группы нормирования
_______________________ ___________________
Утверждаю
Главный инженер Расчет средневзвешенной нормы расхода материала
_________________________ на вид изделия
"__" ____________ 198_ г.
Предприятие | Норма расхода основного материала на модель изделия | Наименование изделия | Номер модели | Артикул изделия |
| | |
Способ настилания полотен | "Лицом к лицу" | "Лицом вниз" |
Вариант 1. Исходные данные: площадь лекал и межлекальные отходы в раскладках
Вид поверхности материала | Удельный вес, % | Средневзвешенные показатели | Нормативы отходов материала по |
Межлекальные отходы В, % | Площадь лекал, Sл.ср, кв. м | Рост, см | Обхват груди, см | Обхват талии, см | длине, % | ширине кромки, % |
по раскладкам в 1.5.2 и более изделий | увеличение отходов из-за использования одиночек | в целом по модели,  |
Гладкая | | | | | | | | | | |
Рисунчатая | | | | | | | | | | |
Ворсовая | | | | | | | | | | |
Средневзвешенные показатели | | | | | | | | | | |
Оборотная сторона формы НМ-4
Вариант 2. Исходные данные: нормы площади раскладок
Вид поверхности материала | Удельный вес, % | Средневзвешенные показатели |
Нормы площади раскладки, кв. м | Площадь лекал, Sл.ср, кв. м | Рост, см | Обхват груди, см | Обхват талии, см | Нормативы отходов материала по |
по раскладкам в 1.5.2 и более изделий | увеличение отходов из-за использования одиночек | в целом по модели |
длине, % | ширине кромки, % |
Гладкая | | | | | | | | | | |
Рисунчатая | | | | | | | | | | |
Ворсовая | | | | | | | | | | |
Начальник Согласовано
экспериментального Начальник планового отдела
цеха _____________ __________________________
Руководитель группы
нормирования ______
Утверждаю
Главный инженер
_________________________ Расчет средневзвешенной нормы расхода
"__" ____________ 198_ г. материалов на вид изделия
Предприятие | Нормы расхода материалов на вид изделия | Наименование изделия | Артикул изделия (прейскурантный номер) |
Пальто мужское демисезонное | 01 |
Номер модели | Средневзвешенные размерные показатели, см | Выпуск, шт. | Нормы расхода на единицу изделия по моделям и материалам, кв. м | Процент межлекальных отходов |
рост | обхват груди | обхват талии | верх | подкладка | прокладка |
длина изделия | стеганая | нестеганая | сатин | фланель | бортовая цельная | бортовая клееная | бязь | ватин | нормативный | фактический |
1 | 2 | 3 | 4 | 5 | 6 | 7 | 8 | 9 | 10 | 11 | 12 | 13 | 14 | 15 | 16 |
680 | 168,7 ------ 105,34 | 102,0 | 90,2 | 3650 | 2,976 | 0,721 | 1,68 | 0,16 | 0,213 | 0,473 | 0,303 | 0,010 | 0,721 | 13,5 | 12,95 |
560 | 172,8 ------ 106,34 | 102,0 | 90,2 | 2800 | 3,224 | 0,733 | 1,74 | 0,163 | 0,268 | - | 0,373 | 0,010 | 0,733 | 14,15 | 13,09 |
221 | 173,3 ------ 108,54 | 100,88 | 88,6 | 7110 | 3,146 | 0,721 | 0,626 | 0,163 | 0,235 | - | 0,344 | 0,020 | 0,721 | 15,15 | 13,7 |
Средневзвешенные показатели на вид изделия | | | | | | | | | | | | | | |
| 171,96 ------ 107,22 | 101,41 | 89,36 | | 3,116 | 0,723 | 1,664 | 0,163 | 0,236 | 0,127 | 0,339 | 0,015 | 0,723 | 14,5 | 13,37 |
Начальник Руководитель
экспериментального цеха группы нормирования
_______________________ ___________________