Главная // Актуальные документы // РуководствоСПРАВКА
Источник публикации
М.: Стройиздат, 1977
Примечание к документу
Взамен "Рекомендаций по определению высоты вентиляционных выбросов" (шифр 1732), выпущенных Госхимпроектом и ВЦНИИОТ ВЦСПС в 1971 г., и "Временных рекомендаций по комплексному решению выбросов и воздухозабора на промышленной площадке", одобренных Главпромстройпроектом Госстроя СССР в 1972 г.
Название документа
"Руководство по расчету загрязнения воздуха на промышленных площадках"
(одобрено и рекомендовано к изданию Госстроем СССР 02.12.1975)
"Руководство по расчету загрязнения воздуха на промышленных площадках"
(одобрено и рекомендовано к изданию Госстроем СССР 02.12.1975)
Одобрено и рекомендовано к изданию
Главпромстройпроектом Госстроя СССР
2 декабря 1975 года
РУКОВОДСТВО
ПО РАСЧЕТУ ЗАГРЯЗНЕНИЯ ВОЗДУХА НА ПРОМЫШЛЕННЫХ ПЛОЩАДКАХ
Руководство одобрено и рекомендовано к изданию Главпромстройпроектом Госстроя СССР 2 декабря 1975 г.
Разработано Центральным научно-исследовательским и проектно-экспериментальным институтом промышленных зданий и сооружений (ЦНИИПромзданий) Госстроя СССР и Всесоюзным Центральным научно-исследовательским институтом охраны труда (ВЦНИИОТ) ВЦСПС.
Настоящее Руководство содержит методы расчета, с помощью которых можно определить степень загрязнения воздуха, создаваемого низкими источниками, принять необходимые меры по сокращению количества выбрасываемых вредных веществ и оценить их эффективность.
Для контроля за выбросами рекомендованы выпускаемые отечественными заводами типы контрольно-измерительных приборов. Даны примеры расчетов и программа определения концентраций вредных веществ от низких точечных и линейных источников на ЭВМ "Мир-2".
Руководство предназначено для инженерно-технических работников, занимающихся вопросами защиты воздушной среды от загрязнения технологическими и вентиляционными выбросами, может быть полезно гигиенистам, санитарным врачам и работникам по технике безопасности.
Табл. 5, рис. 16.
Руководство является дополнением к "Указаниям по расчету рассеивания в атмосфере вредных веществ, содержащихся в выбросах предприятий" (СН 369-74). В отличие от этих Указаний, не распространяющихся на расчеты рассеивания вредных веществ на промышленных площадках и участках, расположенных в пределах аэродинамической тени, образуемой зданиями и сооружениями, настоящее Руководство содержит методы расчета, с помощью которых можно определить степень загрязнения воздуха непосредственно на промышленных площадках (над крышей здания, за зданием, в межкорпусных пространствах) и прилегающих территориях, оценить эффективность комплекса мероприятий, обеспечивающего требуемую санитарными нормами чистоту воздуха на промышленных площадках, селитебных зонах, в местах расположения воздухозаборных устройств, а также установить для каждого источника величину предельно допустимого выброса вредных веществ.
В Руководстве приводятся расчетные формулы для определения концентраций вредных веществ, выбрасываемых из низких труб и аэрационных фонарей отдельно стоящих узких и широких зданий, а также для выбросов от смежных зданий. Методы расчета иллюстрируются на примерах по определению ожидаемых концентраций вредных веществ и величин предельно допустимого выброса (ПДВ) при действии одиночных точечных и линейных источников, а также группы из нескольких различных источников. К методике прилагаются перечень контрольно-измерительных приборов и сигнализирующей аппаратуры, выпускаемой отечественной промышленностью, и программа для расчетов на ЭВМ.
Руководство разработано Центральным научно-исследовательским и проектно-экспериментальным институтом промышленных зданий и сооружений (ЦНИИПромзданий) Госстроя СССР и Всесоюзным Центральным научно-исследовательским институтом охраны труда (ВЦНИИОТ) ВЦСПС.
Руководство разработано взамен "Рекомендаций по определению высоты вентиляционных выбросов" (шифр 1732), выпущенных Госхимпроектом и ВЦНИИОТ ВЦСПС в 1971 г., и "Временных рекомендаций по комплексному решению выбросов и воздухозабора на промышленной площадке", одобренных Главпромстройпроектом Госстроя СССР в 1972 г.
В разработке Руководства принимали участие: инженеры З.И. Константинова (руководитель темы), О.Д. Гесслер (ЦНИИПромзданий); д-р техн. наук, проф. В.С. Никитин (научный руководитель), канд. техн. наук Н.Г. Максимкина, инженеры В.Т. Самсонов, Л.В. Плотникова, канд. физ.-мат. наук Р.Н. Михайлов (ВЦНИИОТ).
1.1. Настоящее Руководство предназначено для расчетов ожидаемого загрязнения воздуха с целью проверки достаточности и эффективности мероприятий по защите воздушного бассейна от загрязнения низкими промышленными выбросами вновь проектируемых, расширяемых и реконструируемых предприятий.
1.2. Руководство применимо как для отдельных зданий с источниками выбросов, так и для промышленных площадок с группой зданий и комплексом одновременно действующих разнообразных выбросов.
1.3. В комплексе мероприятий, направленных на уменьшение загрязнения воздушной среды, в первую очередь должны предусматриваться:
совершенствование технологического процесса и доведение его до "безотходного" производства;
герметизация оборудования и коммуникаций;
максимально возможная очистка технологических и вентиляционных выбросов, отвечающая современному техническому уровню развития промышленности.
1.4. В целях естественного проветривания площадок промышленных предприятий, технологические процессы которых связаны с выделением вредных веществ, следует:
промышленные предприятия располагать, как правило, на горизонтальных площадках вытянутой формы и ориентированных длинной осью перпендикулярно преобладающему направлению ветра;
здания на промышленной площадке предусматривать простой формы без пристроек и надстроек;
наиболее высокие, длинные, узкие здания располагать у заветренной стороны промышленной площадки;
при последовательном расположении минимальное расстояние между смежными зданиями, как правило, принимать не менее четырех высот;
при большой протяженности зданий предусматривать сквозные проемы, приподнятые на опорах здания или части их;
при компоновке производств, располагаемых в нескольких зданиях и сооружениях различной высоты, рекомендуется объекты меньшей высоты размещать с наветренной стороны промышленной площадки;
при отсутствии преобладающего (в значительной степени) направления ветра более высокие здания и сооружения целесообразно размещать ближе к центру планировочного блока.
1.5. Промышленные предприятия, технологические процессы которых связаны с выделением токсических веществ, не следует размещать:
в районах со слабыми ветрами, длительными и часто повторяющимися штилями, инверсиями и туманами;
в районах, имеющих значительные фоновые загрязнений воздуха одноименными вредными веществами или веществами однонаправленного действия.
1.6. Значительные массивы зеленых насаждений, примыкающие к промышленным площадкам, должны иметь разрывы и просеки для интенсификации естественного проветривания площадок.
1.7. Расчет по определению возможного загрязнения воздуха производить после разработки всех технологических и санитарно-технических мероприятий по снижению и ограничению суммарного валового выброса вредных веществ. При превышении предельно допустимых концентраций следует разрабатывать дополнительные мероприятия по снижению вредных веществ в воздухе путем повышения эффективности очистных устройств, сооружения новых газоочистных установок, совершенствования отдельных технологических узлов и процессов, увеличения высоты труб, уменьшения выбросов от соседних предприятий и т.д.
1.8. Концентрации вредных веществ от низких источников в наружном воздухе промышленных площадок (в местах воздухоприемных устройств систем механической вентиляции и кондиционирования воздуха и проемов для приточной естественной вентиляции) и на прилегающих территориях следует определять по формулам
разд. 6 -
8 настоящего Руководства.
1.9. Концентрации вредных веществ в приземном слое от высоких источников (труб) следует определять в соответствии с
СН 369-74.
2. ОСНОВНЫЕ ТРЕБОВАНИЯ К РАЗМЕЩЕНИЮ ВЫБРОСОВ
И ВОЗДУХОПРИЕМНЫХ УСТРОЙСТВ
2.1. В районах с ярко выраженным господствующим направлением ветра у наветренной стороны промышленной площадки следует располагать здания производств, имеющих наименьшие количества и токсичность выбрасываемых вредных веществ примесей, а у заветренной - с

.
2.2. При сочетании зданий с высокими и низкими источниками вредных веществ их следует располагать в последовательности, обеспечивающей снижение высоты выбросов в направлении от наветренной к заветренной стороне промышленной площадки.
2.3. Для предупреждения наложения факелов распространения вредных веществ от находящихся на зданиях наиболее интенсивных источников их следует располагать так, чтобы оси факелов не совпадали.
2.4. Технологические выбросы и выбросы местных отсосов, содержащие пыль, вредные газы и пары, должны подвергаться очистке перед выходом в атмосферу. Строительство высоких труб для рассеивания технологических и вентиляционных выбросов вместо очистки должно допускаться в исключительных случаях (когда отсутствуют методы надежной очистки) и должно иметь технико-экономическое обоснование.
2.5. Очистку выбрасываемого загрязненного воздуха не следует предусматривать, если путем естественного рассеивания расчетные концентрации вредных веществ с учетом перспектив развития производства будут соответствовать требованиям "Санитарных норм проектирования промышленных предприятий"
(СН 245-71).
2.6. Трубы для выброса вредных веществ должны оборудоваться газоанализаторами, расходомерами для определения концентраций и расхода загрязненного воздуха с целью контроля за валовыми выбросами. Рекомендуемые типы контрольно-измерительных приборов и сигнализирующей аппаратуры приведены в
прил. 1.
2.7. Выбор мест размещения воздухоприемных устройств должен быть обоснован расчетом ожидаемых концентраций по формулам, приведенным в
табл. 1 -
3 разд. 6 - 8 данного Руководства, а в сложных случаях - путем моделирования.
2.8. В связи с тем что допустимое содержание вредных веществ в приточном воздухе, установленное
СН 245-71 в размере 0,3
Cпдн рабочей зоны производственных помещений, влечет за собой значительное увеличение воздухообмена, следует стремиться к обеспечению более низкой концентрации вредных веществ в приточном воздухе.
2.9. Устройство удаленных воздухозаборов, расположенных вне территории промышленной площадки, может быть допущено только в исключительных случаях при соответствующих технико-экономическом и санитарно-гигиеническом обоснованиях.
Рис. 1. Размеры циркуляционных зон, возникающих
при обтекании отдельно стоящего группы зданий
а - узкого здания; б - широкого; в - группы зданий
при расположении первого по потоку узкого здания; г - группы
зданий при расположении первого по потоку широкого здания;
I, II - здания; 1 - зона подпора; 2 - единая циркуляционная
зона; 3 - наветренная циркуляционная зона; 4 - заветренная
циркуляционная зона; 5 - межкорпусная циркуляционная зона
3. КЛАССИФИКАЦИЯ ПРОМЫШЛЕННЫХ ЗДАНИЙ
3.1. По градациям, имеющим значение для расчетов загрязнения воздуха, промышленные здания следует подразделять на отдельно стоящие узкие, отдельно стоящие широкие, длинные, короткие, а также смежные здания при расположении первого по потоку узкого или широкого зданий. К узким следует относить здания шириной
b < 2,5
Hзд, к широким - если ширина
b > 2,5
Hзд. К длинным следует относить здания с размером
l, перпендикулярным направлению ветра, более 10
Hзд, к коротким - если
l < 10
Hзд. Смежными следует считать два параллельно расположенных здания с расстоянием между ними
x1 не более 8
Hзд, если первое по потоку здание широкое, и не более 10
Hзд, если оно узкое. При

расстояниях между ними здания следует рассматривать как отдельно стоящие.
3.2. При обтекании ветром промышленных зданий возникают замкнутые, плохо проветриваемые циркуляционные зоны, размеры которых следует учитывать при расчетах рассеивания вредных веществ на территории промышленных площадок:
при обтекании ветром узкого здания возникает единая циркуляционная зона, которая распространяется от заветренной стены здания на расстояние 6
Hзд. Высота этой зоны в среднем составляет 1,8
Hзд от поверхности земли (
рис. 1,
а);
при обтекании ветром широкого здания над ним возникает наветренная циркуляционная зона длиной 2,5
Hзд и высотой от поверхности земли 1,8
Hзд. За зданием возникает заветренная циркуляционная зона длиной 4
Hзд и высотой около
Hзд (см.
рис. 1,
б);
между двумя параллельно установленными зданиями возникает единая межкорпусная циркуляционная зона длиной до 10
Hзд, если первое по потоку здание узкое (см.
рис. 1,
в), и до 8
Hзд, если первое по потоку здание широкое (см.
рис. 1,
г).
4. КЛАССИФИКАЦИЯ ИСТОЧНИКОВ ЗАГРЯЗНЕНИЯ
4.1. При расчетах загрязнения воздуха на промышленных площадках и прилегающих к ним территориях источники вредных веществ следует подразделять на низкие и высокие, линейные и точечные, внутренние и внешние, периодического и непрерывного действия, изотермические и нагретые.
4.2. Низкими следует считать точечные и линейные источники, вредные вещества которых загрязняют наветренную и заветренную циркуляционные зоны широкого здания, единую циркуляционную зону узкого здания или межкорпусную циркуляционную зону двух смежных зданий.
4.3. Границу низких источников
Hгр, м
(рис. 2), при их размещении на крыше соответственно узкого, широкого отдельно стоящего здания или на крыше первого по потоку двух смежных зданий следует определять соответственно по формулам:
Hгр <= 0,36
b3 + 2,5
Hзд; (1)
Hгр <= 0,36
b3 + 1,7
Hзд; (2)
Hгр <= 0,36(
b3 +
x1) +
Hзд (3)
При расположении источников за зданием в пределах циркуляционных зон следует в
формулах (1) -
(3) принимать
b3 = -
xи, где
xи - расстояние от заветренной стены здания до источника, расположенного в пределах циркуляционных зон.
4.4. Источники, из которых вредные вещества выбрасываются на высоте, равной или превышающей границу низких выбросов для рассматриваемой циркуляционной зоны и не поступают в указанные в
п. 4.2 циркуляционные зоны, следует относить к высоким.
4.5. Высокий источник для рассматриваемой циркуляционной зоны может оказаться низким для последующих зданий, расположенных в направлении движения ветра, в том случае, если выбрасываемые им вредные вещества загрязняют возникающие за ними циркуляционные зоны. В этом случае создаваемая этим источником концентрация должна рассматриваться как фоновая для соответствующей циркуляционной зоны и рассчитываться по зависимостям, изложенным в СН 369-74 для высоких источников.
4.6. К точечным следует относить источники (трубы, шахты, крышные вентиляторы и т.п.), факелы распространения вредных веществ которых не налагаются друг на друга в пределах половины заветренной или единой циркуляционной зон, или в пределах межкорпусной циркуляционной зоны
(рис. 3).
4.7. К линейным следует относить те источники, которые имеют значительную протяженность в направлении, перпендикулярном ветру (аэрационные фонари, открытые оконные проемы, находящиеся между зданиями технологические линии и т.п.), а также точечные источники, факелы распространения вредных веществ которых налагаются друг на друга на указанном в
п. 4.6 расстоянии. Предельное расстояние между точечными источниками, при котором они должны рассматриваться как линейные (см.
рис. 3), следует определять по формулам, приведенным в
разд. 6 -
8.
Рис. 2. Граница низких источников для зданий
а - узкого; б - широкого; в - группы зданий при расположении
первого по потоку узкого здания; г - группы зданий
при расположении первого по потоку широкого здания;
1 - граница низких источников; 2 - область размещения
низких внешних источников
Рис. 3. К определению условий наложения факелов
распространения вредных веществ
1, 2, 5, 6 - точечные источники; 3, 4 - линейные источники
4.8. Низкие линейные и точечные источники следует подразделять на внутренние, вредные вещества которых полностью участвуют в загрязнении циркуляционных зон, и внешние, вредные вещества которых участвуют в загрязнении этих зон частично, что должно учитываться с помощью коэффициентов m и k, входящих в расчетные формулы.
4.9. К внутренним источникам следует относить:
для узкого здания - все источники, выбрасывающие вредные вещества в пределах единой циркуляционной зоны;
для широкого здания - все источники, выбрасывающие вредные вещества в пределах заветренной циркуляционной зоны;
для смежных зданий - все источники, выбрасывающие вредные вещества в пределах межкорпусной циркуляционной зоны.
4.10. К низким внешним источникам следует относить:
для узкого здания - все источники, расположенные на крыше и в примыкающей к заветренной стене здания половине единой циркуляционной зоны, выбрасывающие вредные вещества между верхней границей этой зоны и ниже границы низких источников (см.
рис. 2,
а);
для широкого здания - все источники, расположенные на крыше и выбрасывающие вредные вещества ниже границы низких источников, а также расположенные в примыкающей к заветренной стене здания половине циркуляционной зоны и выбрасывающие вредные вещества выше ее границы, но ниже границы низких источников (см.
рис. 2,
б);
для смежных зданий, если первое по потоку здание узкое - все источники, расположенные на крыше первого здания и в межкорпусной циркуляционной зоне, выбрасывающие вредные вещества над верхней границей этой зоны, но ниже границы низких источников выбросов (см.
рис. 2,
в);
для смежных зданий, если первое по потоку здание широкое - все источники, расположенные на крыше первого здания и в межкорпусной циркуляционной зоне, выбрасывающие вредные вещества выше уровня крыши, но ниже границы низких источников (см.
рис. 2,
а).
4.11. Точечные и линейные источники следует подразделять на источники непрерывного и периодического действия. Расчетные формулы, приведенные в
табл. 1 -
3 разд. 6 - 8, следует распространять только на источники непрерывного действия, являющиеся основными источниками загрязнения атмосферы промышленных площадок и прилегающих к ним территорий.
4.12. Все источники следует подразделять на изотермические и неизотермические. Расчетные формулы
табл. 1 -
3, как правило, распространяются на изотермические источники, а для неизотермических они дают несколько завышенные результаты расчетных концентраций для промышленных площадок и прилегающих к ним территорий, что следует рассматривать как некоторый запас.
5. ОПРЕДЕЛЕНИЕ УРОВНЯ ЗАГРЯЗНЕНИЯ ВОЗДУХА НИЗКИМИ
ИСТОЧНИКАМИ И ОБЛАСТЬ ПРИМЕНЕНИЯ РАСЧЕТНЫХ ФОРМУЛ
5.1. Расчетные формулы распространяются на организованные источники, выбрасывающие газ, газовоздушную смесь или воздух, загрязненный высокодисперсной пылью. Формулы действительны при высоте источника, не превышающей
Hгр, определяемой согласно
п. 4.3.
5.2. Уровень загрязнения воздуха следует рассчитывать:
около отдельно стоящего узкого здания - в соответствии с
разд. 6;
около отдельно стоящего широкого здания - в соответствии с
разд. 7;
в межкорпусных пространствах - в соответствии с
разд. 8.
5.3. Расчетную скорость ветра согласно рекомендациям Минздрава СССР следует принимать равной 1 м/с.
5.4. За расчетное следует принимать направление ветра, перпендикулярное продольной оси здания. При продольном направлении ветра и размещении на крыше линейного или группы точечных источников концентрации вредных веществ ориентировочно могут быть рассчитаны по формулам
табл. 1 -
3.
5.5. Расчеты по проверке правильности выбора мест размещения воздухоприемных устройств следует вести по доминирующему вредному веществу в выбросах, которое определяется по показателю Pд, м3/с, рассчитываемому по следующим формулам:
для промышленной площадки в случае расположения на ней воздухоприемных устройств и действия одиночного источника, выбрасывающего вредные вещества разнонаправленного действия:

; (4)
то же, при выбросе вредных веществ однонаправленного действия:

; (5)
то же, при наличии ряда источников, выбрасывающих вредные вещества разнонаправленного или однонаправленного действия:

; (6)
для населенных пунктов и при действии источников, выбрасывающих вредные вещества разнонаправленного действия:

; (7)
то же, для каждого источника, выбрасывающего вредные вещества однонаправленного действия:

. (8)
Расчеты по
формулам (4) -
(8) должны проводиться для всех вредных веществ, содержащихся в выбросах каждого источника.
5.6. Доминирующим следует считать вещество, для которого величина показателя Pд будет наибольшей. Мероприятия по обеспечению требуемой санитарными нормами чистоты атмосферного воздуха на промышленных площадках и прилегающих территориях должны разрабатываться для источников, выделяющих вредные вещества, показатель Pд которых превышает нуль. При значениях Pд, равных или меньших нуля, эти мероприятия можно не предусматривать.
5.7. Влияние высоты выброса низких внешних источников (см.
п. 4.10) на уровень загрязнения атмосферы следует учитывать коэффициентом
k, определяемым по графику рис. 4. Коэффициент
k следует принимать равным 1 при выбросе вредных веществ из источников в наветренную или единую циркуляционные зоны.
Рис. 4. Величина коэффициента
k, учитывающего возвышение
устья источника над крышей здания.

- при расположении устья источника вне единой циркуляционной или межкорпусной зоны узкого здания и над наветренной зоной широкого здания;

- при расположении устья источника вне наветренной циркуляционной зоны, над заветренной зоной циркуляции и над межкорпусной циркуляционной зоной, когда первое по потоку здание широкое.
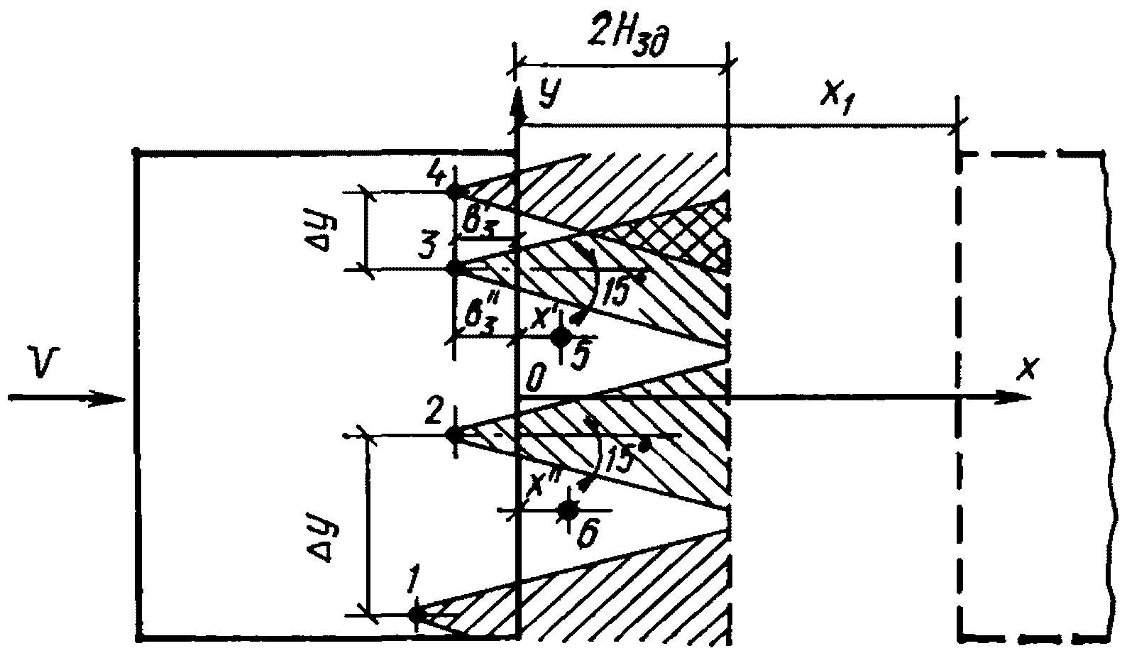
Рис. 5. График для определения значений
безразмерных коэффициентов S, S1, S2, S3, S4
для SX = 1,4l + b1; для S1X = 1,4l + b + x; для S2X = b2;
для S3X = 1,4l + x; для S4X = (H - Hзд)2 + y2
5.8. При действии линейных источников уровень загрязнения воздуха в заветренной, единой и межкорпусной циркуляционных зонах достаточно рассчитывать для любой точки этих зон, так как концентрации вредных веществ в их пределах одинаковы.
5.9. При действии точечных источников максимальные концентрации вредных веществ следует рассчитывать на оси x их факела, а в указанных циркуляционных зонах - на этой же оси Y заветренной стены здания.
5.10. При выборе мест воздухоприемных устройств и решении других задач, связанных с определением концентраций
Cy, создаваемых точечными источниками, следует на величины осевых концентраций
Cx вводить понижающие коэффициенты
S,
S1,
S2,
S3 и
S4, определяемые по формулам (9) -
(13) или по графику
рис. 5. Эти коэффициенты рассчитываются в зависимости от мест расположения источников и мест определения концентраций:

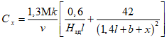
; (9)

; (10)

; (11)

; (12)

. (13)
5.11. Максимальную ширину раскрытия факела каждого точечного источника в пределах заветренной и единой циркуляционных зон следует принимать равной 10
Hзд, что должно учитываться при расчетах уровня загрязнения приземного слоя атмосферы этих зон в соответствии с примечаниями к
табл. 1 -
3.
5.12. При расчете концентрации вредных веществ за вторым и последующими зданиями по направлению ветра следует учитывать уровень загрязнения воздуха, поступающего к этим зданиям, рассматривая его как фон.
5.13. При необходимости выполнения большого количества расчетов следует пользоваться ЭВМ "Мир-2", программа для которой приведена в
прил. 2.
5.14. Для определения уровня загрязнения воздуха промышленных площадок и примыкающих к ним территорий необходимо иметь следующие исходные данные:
основные размеры зданий (длина, ширина, высота) и межкорпусных пространств;
места расположения источников, типы и виды источников вредных веществ;
характеристики источников вредных веществ (интенсивность выделения, геометрические размеры источников, условия выхода газовоздушной смеси);
состав и концентрацию вредных веществ в выбросах, их предельно допустимую концентрацию в воздухе рабочей зоны и в атмосферном воздухе населенных пунктов;
розу ветров района расположения предприятия;
фоновую концентрацию вредных веществ, содержащуюся в атмосферном воздухе.
5.15. Уровень загрязнения воздуха рассчитывается в следующем порядке:
устанавливается тип отдельно стоящего здания (широкое или узкое), а для смежных - тип первого по потоку здания;
определяется, относятся здания к отдельно стоящим или к смежным;
оценивается вид (линейный или точечный) и тип (внутренний или внешний) источников.
На основании этих данных по
табл. 1 -
3 выбираются формулы для проведения расчетов, а по
рис. 4,
5,
7,
8,
12,
13 принимаются соответствующие численные значения входящих в выбранные формулы коэффициентов
k,
S и
m.
Определяется уровень загрязнения атмосферы в местах расположения воздухоприемных устройств на промплощадке и за ее пределами при действии всех точечных и линейных источников.
6. РАСЧЕТНЫЕ ФОРМУЛЫ ДЛЯ ОПРЕДЕЛЕНИЯ КОНЦЕНТРАЦИЙ ВРЕДНЫХ
ВЕЩЕСТВ У ОТДЕЛЬНО СТОЯЩЕГО УЗКОГО ЗДАНИЯ И ПРИМЕРЫ РЕШЕНИЙ
6.1. Расчеты загрязнения воздуха выбросами отдельно стоящего узкого здания (
x1 > 10
Hзд,
b <= 2,5
Hзд) следует выполнять по формулам
табл. 1. Формулы действительны при высоте источника, не превышающей величину
Hгр, определяемую по
формуле (1).
6.2. Величину коэффициента k для узких отдельно стоящих зданий при выбросе вредных веществ в единую циркуляционную зону следует принимать равной 1.
6.3. При наличии трех и более точечных источников приблизительно равной интенсивности и высоты их можно рассматривать как линейные, если предельное расстояние между ними не превышает величину

, м (см.
рис. 3), определяемую по следующим формулам:
при расположении источников на крыше здания

; (14)
при расположении источников за зданием

. (15)
6.4. Примеры расчетов.
Пример 1. Размеры здания: длина
l = 48 м, ширина
b = 24 м, высота
Hзд = 12 м

. В центре на крыше здания имеется труба высотой H = 15 м, через которую выбрасывается газовоздушная смесь в объеме
L = 10 м
3/с с содержанием аммиака (0,3
Cпдк = 0,3·20 = 6 мг/м
3) M = 1500 мг/с, окиси углерода (0,3
Cпдк = 0,3·20 = 6 мг/м
3), M = 1000 мг/с и сероводорода (0,3
Cпдк = 0,3·10 = 3 мг/м
3) M = 600 мг/с.
Рис. 6. Схемы к примерам 1 и
2
а - здание с точечным источником: б - здание с линейным
источником; 1 - труба; 2 - аэрационный фонарь; А, Б - места
расположения воздухоприемных устройств систем вентиляции
N п.п | Место расположения устья источника | Место определения концентрации | Расчетная формула для определения концентраций от источников C, мг/м3 |
точечных | линейных |
1 | 2 | 3 | 4 | 5 |
1 | В единой циркуляционной зоне узкого отдельно стоящего здания или над ней | а) В единой циркуляционной зоне 0 < x <= 6Hзд | | |
б) Вне циркуляционной зоны за зданием на расстоянии x от заветренной стены при x > 6 Hзд | | |
Примечание. 1. При определении
Cx и
Cy для точечного источника, когда значение
l превышает 10
Hзд, во второе слагаемое следует подставлять предельное значение
l, равное 10
Hзд, а в формулу для расчета величин

- предельное значение
y, равное 5
Hзд, так как величиной концентрации в направлении оси
y, превышающем 5
Hзд, можно пренебречь.
2. Заштрихованная часть рисунка - загрязненная зона.
Фоновые концентрации в районе расположения здания по данным санитарно-эпидемиологических станций (СЭС) составляют: аммиака - 0,5 мг/м
3, окиси углерода - 1,2 мг/м
3, сероводорода - отсутствует. Проверить возможность размещения воздухоприемных устройств механической вентиляции в точках
А и
Б (рис. 6). Расчет достаточно провести по доминирующему веществу в выбросах. Определяем показатель доминирующего вещества по формуле:

;
для аммиака

;
для окиси углерода

;
для сероводорода

.
Из сопоставления показателей Pд выявляем, что доминирующим веществом в данном источнике является аммиак, по которому оцениваем возможность размещения воздухоприемных устройств.
Концентрация аммиака в точке А, расположенной в единой циркуляционной зоне на оси факела x, определяется по формуле

.
Подставляя в формулу величину
k, равную 1, так как выброс осуществляется в единую циркуляционную зону (см.
п. 6.2), и значения M,
v,
Hзд,
l,
b и
x = 0, получим

.
С учетом фона общая концентрация аммиака в точке А составит

.
Концентрация аммиака в точке Б определяется по формуле

.
В связи с тем, что значение
l не превышает 10
Hзд, а
y = 5
Hзд, расчеты ведем на фактические значения
l и
y. Величину
S1 определяем по
формуле (10):

;

.
Так как концентрации аммиака в местах воздухозабора (точки А и Б) превышают предельно допустимую для приточного воздуха (0,3Cпдк = 6 мг/м3), то следует предусмотреть очистку загрязненного воздуха или увеличить высоту трубы. С помощью коэффициента k определим необходимую высоту трубы H, обеспечивающую требуемую нормами чистоту приточного воздуха в точке А. При искомой высоте трубы значение k будет:

.
По графику
рис. 4 этому значению
k соответствует значение

.
Из зависимости

имеем

,
Hгр = 0,36b3 + 2,5Hзд = 0,36·12 + 2,5·12 = 34,3 м.
Найденная расчетом высота трубы H = 28,2 м обеспечит требуемую санитарными нормами чистоту приточного воздуха во всех проемах с заветренной стороны здания.
Пример 2. Для условий
примера 1 определим концентрации вредных веществ в проемах для приточной вентиляции на заветренной стене здания при выбросе газовоздушной смеси из аэрационного фонаря длиной, равной длине здания, и
H = 15 м. Доминирующим веществом и в этом случае также является аммиак.
Концентрацию аммиака определяем по формуле

.

.
Таким образом, полученная концентрация аммиака C = 5,2 мг/м3 не превышает 0,3Cпдк для приточного воздуха во всех проемах на заветренной стене здания.
7. РАСЧЕТНЫЕ ФОРМУЛЫ ДЛЯ ОПРЕДЕЛЕНИЯ КОНЦЕНТРАЦИЙ
ВРЕДНЫХ ВЕЩЕСТВ У ОТДЕЛЬНО СТОЯЩЕГО
ШИРОКОГО ЗДАНИЯ И ПРИМЕРЫ РЕШЕНИЙ
7.1. Расчеты уровня загрязнения воздуха выбросами отдельно стоящего широкого здания следует выполнять по формулам табл. 2. Выбор формулы осуществляется в зависимости от расположения источника и места определения концентраций. Формулы действительны при высоте источника, не превышающей величины
Hгр, определяемой по
формуле (2).
N п.п. | Место расположения устья источника | Место определения концентрации | Расчетная формула для определения концентрации от источников C, мг/м3 |
точечных | линейных |
1 | 2 | 3 | 4 | 5 |
1 | В наветренной циркуляционной зоне | а) В наветренной циркуляционной зоне b <= 2,5Hзд | | |
б) На крыше вне наветренной циркуляционной зоны на расстоянии от наветренной стены здания b1 > 2,5Hзд | | |
в) В заветренной циркуляционной зоне 0 < x <= 4Hзд | | |
г) Вне заветренной циркуляционной зоны за зданием на расстоянии от заветренной стены x > 4Hзд | | |
| На крыше широкого отдельно стоящего здания вне наветренной циркуляционной зоны при  | а) На крыше вне наветренной циркуляционной зоны b1 > 2,5Hзд | | |
б) В заветренной циркуляционной зоне 0 < x <= 4Hзд | | |
в) Вне заветренной циркуляционной зоны за зданием на расстоянии от заветренной стены x > 4Hзд | | |
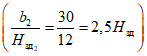
3 | Над крышей широкого здания вне наветренной циркуляционной зоны при  | а) На крыше вне наветренной циркуляционной зоны при b2 > 2,8(H - Hзд) и y < 2,8(H - Hзд) | | |
б) В заветренной циркуляционной зоне 0 < x <= 4Hзд | | |
в) Вне заветренной циркуляционной зоны за зданием на расстоянии от заветренной стены x > 4Hзд | | |
4 | В заветренной циркуляционной зоне широкого здания и над ней | а) В заветренной циркуляционной зоне 0 < x <= 4Hзд | | |
б) Вне заветренной циркуляционной зоны за зданием на расстоянии от заветренной стены x > 4Hзд | | |
Примечание. См. примеч. к табл. 1. |

Рис. 7. Величина коэффициента
m для линейных источников,
размещенных на крыше отдельно стоящего здания в наветренной
циркуляционной зоне

и вне этой зоны

7.2. Коэффициент
m, показывающий, какая часть примесей поступает в заветренную циркуляционную зону за зданием, зависящий от места расположения на крыше точечного или линейного источника, определяется по графикам
рис. 7 и
8.
7.3. При наличии трех и более точечных источников примерно одинаковой интенсивности, высоты и расположенных приблизительно на одинаковом расстоянии от заветренной кромки крыши широкого здания их можно рассматривать как линейные, если предельные расстояния между ними не превышают величину

, м (см.
рис. 3), определяемую по следующим формулам:
Рис. 8. Величина коэффициента
m для точечных источников,
размещенных на крыше отдельно стоящего здания в наветренной
циркуляционной зоне

и вне этой зоны

при расположении источников на крыше вне наветренной циркуляционной зоны

; (16)
при расположении источников в заветренной циркуляционной зоне

. (17)
7.4. Примеры расчетов:
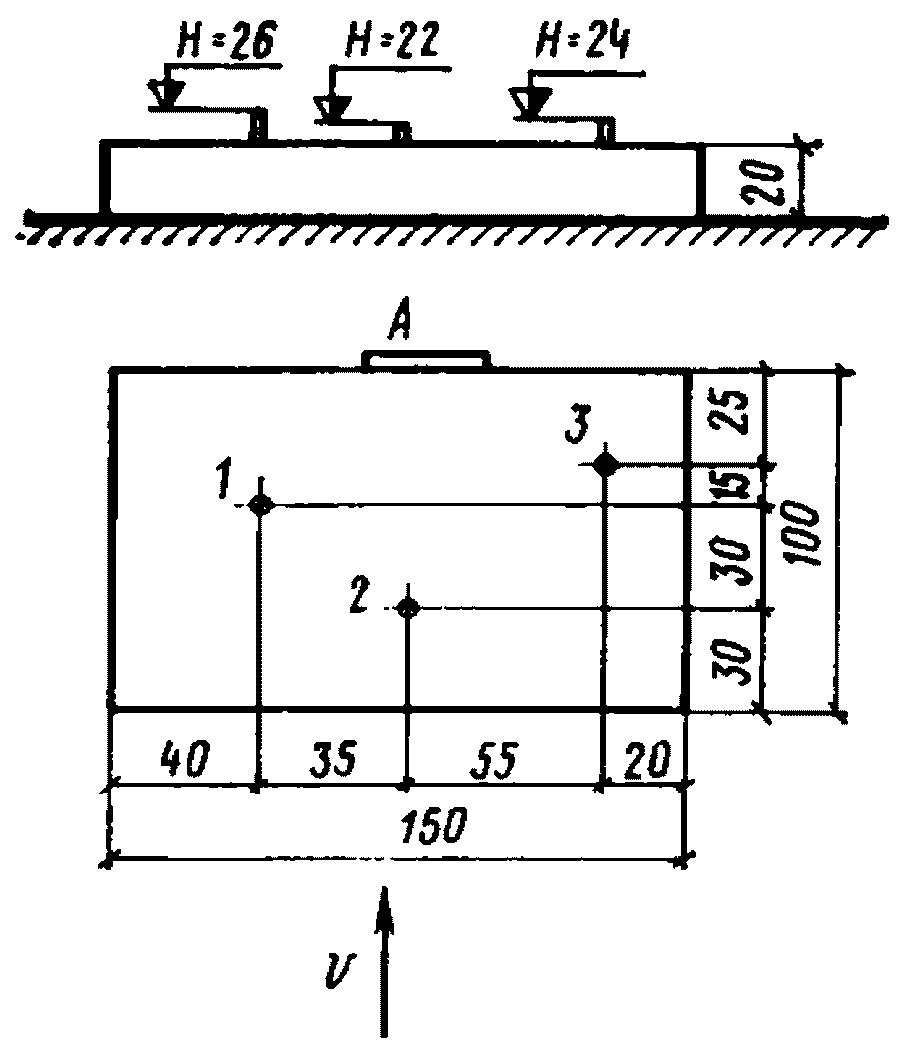
Пример 3. Размеры здания: длина
l = 150 м, ширина
b = 100 м, высота
Hзд = 20 м;

. На здании имеются источники
1,
2 и
3 (рис. 9), выбрасывающие хлоропрен (0,3
Cпдк = 0,3·2 = 0,6 мг/м
3) в количестве M
1 = 950 мг/с; M
2 = 700 мг/с; M
3 = 800 мг/с через трубы
H1 = 26 м,
H2 = 22 м,
H3 = 24 м. Объемы газовоздушной смеси
L1 = 120 м
3/с,
L2 = 100 м
3/с,
L3 = 110 м
3/с. Определить концентрацию хлоропрена в месте воздухоприемного устройства на заветренной стене здания (точка
А).
Рис. 9. Схема к примеру 3
1, 2, 3 - источники загрязнения (трубы);
А - воздухоприемные устройства систем вентиляции
При этом направлении ветра источник 2 будет находиться в наветренной циркуляционной зоне, так как расстояние от наветренной стены здания до источника меньше 2,5Hзд, а высота источника H2 меньше 1,8Hзд. Уровень загрязнения воздуха хлоропреном в воздухозаборе (точка А), расположенном в заветренной циркуляционной зоне от источника 2, определяем по формуле

.
Источники
1. и
3, расположенные вне наветренной зоны, должны рассматриваться при заданном направлении ветра как точечные, так как расстояние между ними, равное 90 м, больше величины

, определяемой в соответствии с
формулой (2)

.
Hгр = 0,36b3 + 1,7Hзд;

;

.
Так как высоты труб
H1 и
H3 не превышают величин

и

, а

и

меньше значения 0,3, то для расчетов следует пользоваться формулой
п. 2 табл. 2.

.
Концентрация хлоропрена в точке
А будет складываться из концентрации

,

и

:
В этих формулах значения коэффициентов
m для источников
2,
1,
3 определяются по графику на
рис 8.
Для источника
2 при

для отдельно стоящего здания согласно
рис. 8 m2 = 0,41.
Для источников
1 и
3 величины

определяются из равенства

и соответственно равны

и

. Согласно
рис. 8 значения
m1 = 0,7, а
m3 = 0,88.
Коэффициенты

и

для источников
1 и
3 определяются по графику на
рис. 5 или по
формуле (8):

:
а) для источника 1

;
б) для источника 3

.
Подставляя в формулу для определения суммарной концентрации

все значения, получим:
Расчет показал, что концентрация хлоропрена в месте воздухоприемных устройств в точке А превысит 0,3Cпдк, равную для приточного воздуха 0,6 мг/м3.
Следовательно, необходимо ограничить количество выбрасываемого хлоропрена, в первую очередь, путем усовершенствования технологического процесса и оборудования или введением дополнительной очистки газовоздушной смеси перед выбросом в атмосферу. Допустимое количество хлоропрена в выбросах и необходимая степень очистки определяются в соответствии с
разд. 10. Если исчерпана возможность усовершенствования технологии и повышения эффективности очистки, то увеличивается высота труб. Необходимая высота труб рассчитывается аналогично
примеру 1.
Пример 4. Размеры здания: длина
l = 180 м, ширина
b = 120 м, высота
Hзд = 12 м

.
На здании имеются (рис. 10) аэрационный фонарь высотой H1 = 15 м и труба высотой H2 = 15 м. Выбрасывается сернистый ангидрид (0,3Cпдк = 3 мг/м3) через аэрационный фонарь в количестве M1 = 1800 мг/с, через трубу M2 = 80 мг/с. Объем газовоздушной смеси, уходящей через фонарь, L1 = 360 м3/с, через трубу - L2 = 10 м3/с. Определить при скорости ветра v = 1 м/с концентрации сернистого ангидрида в воздухоприемных устройствах на крыше здания (точка А), на заветренной стене его (точка Б) и на расстоянии 35 м от здания (точка В).
Рис. 10. Схема к примеру 4
1 - аэрационный фонарь; 2 - труба для выброса вредных
веществ; А, Б, В - воздухоприемные устройства систем
приточной вентиляции
В точке А концентрации сернистого ангидрида будут создаваться только выбросами из линейного источника 1. Источник 2 не будет влиять на концентрацию в точке А, так как точка А находится вне факела, создаваемого источником 2.
Определим, относится ли источник
1 к низким. Согласно
п. 4.2
Hгр = 0,36b3 + 1,7Hзд
при
Hгр = 0,36·57 + 1,7·12 = 20,6 + 20,4 = 41 м,
так как H1 < Hгр, то источник низкий.
Концентрация сернистого ангидрида в точке
А согласно
табл. 2 определяется по формуле, когда источник находится вне наветренной циркуляционной зоны

.
В точке Б концентрация сернистого ангидрида будет суммироваться от источника
1 (
C1) и источника 2

.
Концентрацию C1 определим по формуле

.
Концентрацию

определим по формуле
В этих формулах значения коэффициентов
m1 и
m2 определены по графикам на
рис. 7 и
8.
Для отдельно стоящего здания и линейного источника согласно
рис. 7 при

коэффициент
m1 = 0,53, а для точечного источника по
рис. 8 при

величина
m2 = 0,69.
Концентрация сернистого ангидрида в точке Б будет

.
В точке В на расстоянии 35 м от здания (в заветренной циркуляционной зоне) концентрация сернистого ангидрида определяется как суммарная от источников 1 и 2 по формулам:
а) для линейного источника, расположенного вне наветренной циркуляционной зоны и при

:

;
б) для точечного источника при тех же условиях

.
Так как точка
В находится в заветренной циркуляционной зоне и расстояние между осью факела источника и этой точкой превышает 60 м (
y > 5
Hзд), то в соответствии с
примеч. 1 к табл. 1 при расчетах по этой формуле принимаем предельное значение
y = 60 м и
l = 120 м, тогда

.
Следовательно:

;

.
Концентрация сернистого ангидрида в точке В

.
Расчет показал, что концентрации сернистого ангидрида в местах воздухозабора (точки А, Б, В) ниже 0,3Cпдк и удовлетворяют требованиям санитарных норм.
Пример 5. Размеры здания:
l = 100 м,
b = 60 м,
Hзд = 10 м. Загрязненный воздух в количестве
L1 = 90 000 м
3/ч выбрасывается из аэрационного фонаря с концентрацией окислов азота

, а также из трубы в количестве
L2 = 252 м
3/ч с концентрацией окислов азота

. Высота аэрационного фонаря
H1 = 15 м, а трубы
H2 = 17 м. Указанные источники расположены в наветренной циркуляционной зоне (рис. 11). Определить уровень загрязнения воздуха над крышей здания, в заветренной циркуляционной зоне и за ее пределами на расстоянии до 60 м при направлении ветра, перпендикулярном продольной оси здания, и сопоставить полученные концентрации с предельно допустимыми по окислам азота для приточного воздуха (0,3
Cпдк = 1,5 мг/м
3) и населенных мест

при наличии жилой застройки на расстоянии 60 м.
Рис. 11. Схема к примеру 5
1 - аэрационный фонарь;
2 - труба для выброса вредных веществ
Количество выбрасываемых источниками окислов азота будет:
а) аэрационным фонарем

;
б) трубой

.
Так как здание широкое (
b = 6
Hзд) и источники расположены в наветренной циркуляционной зоне, то концентрации определяются по следующим формулам
табл. 2:
1. На крыше здания в наветренной циркуляционной зоне:
а) для линейного источника 1

;
б) для точечного источника 2

.
Для оценки изменения концентрации в наветренной циркуляционной зоне определим ее значения в трех точках при b1 = 0; b1 = 10 м b1 = 25 м:

.
Аналогично при
b1 = 10 м

, а при
b1 = 25 м

.
2. На крыше здания вне наветренной циркуляционной зоны:
а) для линейного источника 1

.
Для оценки изменения концентраций окислов азота вне наветренной циркуляционной зоны определим ее значения для предельных случаев, т.е. при b1 = 25 м и b1 = 60 м

.
Аналогично при b1 = 60 м C1 = 0,5 мг/м3
б) для точечного источника 2

.
Концентрацию

определяем для значений
b1 = 25; 40 и 60 м

.
Аналогично для
b1 = 40 м

, а для
b1 = 60 м

.
3. В заветренной циркуляционной зоне:
а) для линейного источника 1

.
Так как

, то согласно
рис. 7 m = 0,5;
б) для точечного источника 2

.
Величина коэффициента
m2 принимается согласно
рис. 8 при

.
4. Вне заветренной циркуляционной зоны:
а) для линейного источника 1

.
Определяем C1 на границе заветренной циркуляционной зоны (x = 4Hзд = 40 м) и на расстоянии 60 м за ее пределами (x = 100 м)

.
Аналогично при x = 100 м C1 = 0,2 мг/м3.
б) для точечного источника 2

.
Величины C2 определяем для тех же значений x
При x = 100 м C2 = 0,94 мг/м3. Суммарные концентрации в каждой рассмотренной точке будут складываться из концентраций C1 и C2, создаваемых источниками 1 и 2.
Из расчета следует, что при совместном действии источников концентрация окислов азота в заветренной циркуляционной зоне и на расстоянии до 20 м за ее пределами будет превышать предельно допустимую концентрацию для промышленных площадок.
В связи с этим необходимо предусматривать комплекс мероприятий, снижающий концентрацию окислов азота на указанной территории до 0,3Cпдк, если на ней будут располагаться воздухозаборы, и до Cпдк = 0,085 мг/м3 в жилой застройке.
8. РАСЧЕТНЫЕ ФОРМУЛЫ ДЛЯ ОПРЕДЕЛЕНИЯ КОНЦЕНТРАЦИЙ ВРЕДНЫХ
ВЕЩЕСТВ В МЕЖКОРПУСНОМ ПРОСТРАНСТВЕ И ПРИМЕРЫ РЕШЕНИЙ
8.1. Расчеты загрязнения воздуха точечными и линейными источниками в межкорпусном пространстве следует выполнять по формулам
табл. 3.
Зависимости действительны при высоте источников, не превышающей величину
Hгр, определяемую по
формуле (3).
8.2. При наличии трех и более точечных источников приблизительно равной интенсивности, высоты и расположения от заветренной кромки крыши здания их можно рассматривать как линейные, если предельное расстояние между ними не превышает величину

(см.
рис. 3), определяемую по следующим формулам:
при расположении источников на крыше первого по потоку здания

; (18)
при расположении источников в межкорпусной циркуляционной зоне

. (19)
8.3. Коэффициент
m, показывающий, какая часть вредных веществ поступает в межкорпусную циркуляционную зону, зависящий от места расположения источника на крыше широкого здания и расстояния между зданиями, следует определять по
рис. 12 и
13.
8.4. При определении концентраций вредных веществ на крыше первого по потоку широкого здания следует пользоваться формулами, приведенными в
табл. 2 разд. 7.
8.5. Примеры расчетов.
Рис. 12. Величина коэффициента
m для линейных источников,
размещенных на крыше первого по потоку широкого здания
в наветренной циркуляционной зоне

и вне этой зоны

Рис. 13. Величина коэффициента
m для точечных источников,
размещенных на крыше первого по потоку широкого здания
в наветренной циркуляционной зоне

и вне этой зоны

Пример 6. Размеры зданий I и II
(рис. 14) следующие: длина 100 м, ширина 24 м, высота 10 м. Через каждый фонарь, установленный на зданиях I и II, выбрасывается воздух в объеме
L1;3 = 500 000 м
3/ч, загрязненный хлором с концентрацией

(
Cпдк = 1 мг/м
3). Кроме того, через каждую из труб высотой соответственно 20 и 15 м удаляется загрязненный воздух в объеме
L2;4 = 10 000 м
3/ч с концентрацией хлора

.
Определить концентрацию хлора за зданиями I и II в местах воздухоприемных устройств в точках А и Б при скорости ветра 1 м/с.
Количество выделяющегося хлора из каждого фонаря равно: M1 = M3 = 500 000·2,24 = 1 120 000 мг/ч = 311 мг/с.
Количество выделяющегося хлора из труб 2 и 4 равно: M2 = M4 = = 10 000·20 = 200 000 мг/ч = 55,6 мг/с.
Так как первое по потоку здание узкое и расстояние между ними
x1 менее 6
Hзд, то концентрацию хлора в межкорпусном пространстве в точке
А следует определять по следующим формулам
табл. 3:
а) для линейного источника (1)

;
б) для точечного источника (2)

.
N п.п | Место расположения устья источника | Место определения концентрации | Расчетная формула для определения концентрации от источников C, мг/м3 |
точечных | линейных |
1 | 2 | 3 | 4 | 5 |
1 | В наветренной циркуляционной зоне первого по потоку широкого здания | В межкорпусной циркуляционной зоне при: а) Hзд < x1 <= 4Hзд | | |
То же, при: б) 4Hзд < x1 <= 8Hзд | | |
2 | На крыше вне наветренной циркуляционной зоны первого по потоку широкого здания при  | То же, при: а) Hзд < x1 <= 4Hзд | | |
То же, при: б) 4Hзд < x1 <= 8Hзд | | |
3 | Над крышей первого по потоку широкого здания и  | В межкорпусной циркуляционной зоне при: а) Hзд < x1 <= 4Hзд | | |
То же, при: б) 4Hзд < x1 <= 8Hзд | | |
4 | В межкорпусной циркуляционной зоне при расположении первого по потоку широкого здания | То же, при: а) Hзд < x1 <= 4Hзд | | |
То же, при: б) 4Hзд < x1 <= 8Hзд | | |
5 | Над межкорпусной циркуляционной зоной при расположении первого по потоку широкого здания и  | В межкорпусной циркуляционной зоне при а) Hзд < x1 <= 4Hзд | | |
То же, при: б) 4Hзд < x1 <= 8Hзд | | |
6 | В межкорпусной циркуляционной зоне при расположении первого по потоку узкого здания и над ней | То же, при: а) Hзд < x1 <= 6Hзд | | |
То же, при: б) 6Hзд < x1 <= 10Hзд | | |
Примечание. См. примеч. к табл. 1. |
Величину коэффициента
k следует определить по
рис. 4. Так как
Hгр = 0,36(
b3 +
x1) +
Hзд = 0,36(4 + 40) + 10 = 25,8 м, а

;

;

.
Рис. 14. Схема к примеру 6
I, II - здания; 1, 3 - аэрационные фонари; 2, 4 - трубы
для выброса вредных веществ; А, Б - воздухоприемные
устройства систем приточной вентиляции
Суммарная концентрация в точке А при одновременном действии линейного (1) и точечного (2) источников будет:

.
Таким образом, концентрация хлора в месте воздухозабора (точка А) превышает 0,3Cпдк = 0,3 мг/м3, поэтому необходимо разрабатывать мероприятия, обеспечивающие требуемую нормами чистоту атмосферного воздуха.
Концентрация хлора, поступающего в единую циркуляционную зону второго здания, равна концентрации в уходящем из межкорпусного пространства воздухе. Концентрация в точке
Б будет равна концентрации, создаваемой линейным источником
1, и концентрации, создаваемой точечным источником
2. Так как от линейного источника в межкорпусном пространстве концентрация хлора одинакова в любой точке, то она согласно выше приведенному расчету равна 0,35 мг/м
3. В связи с тем, что расстояние между осями точечного источника
2 и воздухоприемного устройства, расположенного в точке
Б, превышает
y = 5
Hзд, то в соответствии с
примечанием к табл. 1 второе слагаемое в формуле для определения

можно не учитывать. Следовательно, концентрация, создаваемая точечным источником
2 в точке
В, будет:

.
Отсюда общая концентрация хлора в воздухе, поступающем к точке Б, будет:
CБ = 0,35 + 0,025 = 0,375 мг/м3.
Из этого следует, что даже без учета уровня загрязнения единой циркуляционной зоны источниками 3 и 4 в точке Б располагать воздухозаборное устройство нельзя (CБ > 0,3Cпдк).
Пример 7. Определить концентрации вредных веществ в межкорпусных пространствах и проверить возможность размещения воздухоприемных устройств в точках
А,
Б и
В (рис. 15) при выбросах вредных веществ через трубу
1, аэрационный фонарь
2 и трубу
3.
Через трубу 1 высотой H1 = 18 м выбрасывается газовоздушная смесь в объеме L1 = 10 м3/с с содержанием окиси углерода (0,3Cпдк = 6 мг/м3) в количестве M1 = 320 мг/с и окислов азота M1 = 50 мг/с (0,3Cпдк = 1,5 мг/м3); через аэрационный фонарь 2 высотой H2 = 15 м выбрасывается окись углерода в объеме L2 = 400 м3/с и в количестве M2 = 2500 мг/с; через трубу 3 высотой H3 = 14 м выбрасывается окись углерода L3 = 12 м3/с и M3 = 150 мг/с.
Размеры зданий: I - длина
l1 = 180 м, ширина
b1 = 96 м, высота


;
II - длина
l2 = 130 м, ширина
b2 = 30 м, высота


;
III - длина
l3 = 130 м, ширина
b3 = 40 м, высота


.
Расчеты достаточно провести по доминирующему в выбросах веществу. Для этого по каждому веществу, содержащемуся в выбросах, определяем показатель доминирующего вещества Pд. Вещество с наибольшим значением Pд и будет доминирующим. В данном примере через источник 1 выбрасываются окись углерода и окислы азота; определяем величину Pд для источника 1 по формуле:

;
а) для окиси углерода

;
б) для окислов азота

.
Расчет показывает, что доминирующим веществом является окись углерода. Так как источник 2 выбрасывает тоже окись углерода, то проверку на доминирующее вещество для фонаря проводить не следует.
Рис. 15. Схема к примеру 7
I, II, III - здания; 1, 3 - трубы для выброса вредных
веществ; 2 - аэрационный фонарь; А, Б, В - воздухоприемные
устройства систем приточной вентиляции
Выбираем по
табл. 3 расчетные формулы для определения концентраций в точке
А, создаваемых выбросами из источников
1 и
2.
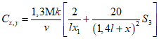
Так как источник 1 находится в наветренной циркуляционной зоне широкого здания I (b > 2,5Hзд), а расстояние между зданиями x1 = 60 м (4Hзд < x1 <= 8Hзд), следует пользоваться формулой

.
Для линейного источника 2, находящегося вне наветренной циркуляционной зоны того же здания и на том же расстоянии между зданиями, следует пользоваться следующей формулой:

.
Суммарная концентрация окиси углерода в точке А

.
В этих формулах значения
m1 и
m2 принимаются по графикам
рис. 12,
13 и равны соответственно 0,25 и 0,88.
Суммарная концентрация окиси углерода в точке А межкорпусного пространства будет

.
Таким же образом определяется концентрация окиси углерода в точке
Б, но в формулу

вводим поправочный коэффициент
S1, учитывающий падение концентраций, создаваемых точечным источником по оси
y:

.
Коэффициент

.
Суммарная концентрация окиси углерода в точке Б

.
В точке В, расположенной на наветренной стене здания III, концентрация окиси углерода будет складываться из концентраций, создаваемых источниками 1, 2 и 3.

.
Концентрация, создаваемая в точке В источниками 1 и 2, равна:

,
где

.
Концентрацию окиси углерода, создаваемую источником 3 в точке В межкорпусной циркуляционной зоны при расположении первого по потоку узкого здания и при x1 < 6Hзд, определяем по формуле
Так как устье трубы не выходит за границу циркуляционной зоны над зданием II, то в этом случае k = 1.
Концентрация окиси углерода в точке В будет

,
что не превышает величину, допустимую по
СН 245-71, равную 6 мг/м
3.
9. ОПРЕДЕЛЕНИЕ СУММАРНОГО ЗАГРЯЗНЕНИЯ, СОЗДАВАЕМОГО
КОМПЛЕКСОМ НИЗКИХ И ВЫСОКИХ ИСТОЧНИКОВ ВЫБРОСОВ ВРЕДНЫХ
ВЕЩЕСТВ НА ПРОМЫШЛЕННОЙ ПЛОЩАДКЕ И ЗА ЕЕ ПРЕДЕЛАМИ
9.1. При наличии на промышленной площадке высоких и низких источников выбросов расчеты по определению загрязнения следует производить, руководствуясь
пп. 1.8,
1.9 и
4.3.
9.2. Концентрации, создаваемые низкими и высокими выбросами в атмосферном воздухе, необходимо суммировать. Для сопоставления концентраций с предельно допустимыми принимается суммарная концентрация, создаваемая высокими и низкими источниками и фоном в заданной точке или на границе санитарно-защитной зоны

. (20)
9.3. Примеры расчетов.
Пример 8. Для условий
примера 7 и при наличии на площадке трубы высотой
H = 80 м, выбрасывающей окись углерода, определить суммарные концентрации от высокого источника
4 и низких
1,
2 и
3 (рис. 16) на расстоянии 500 м от источника
4 (точка
Г).
Рис. 16. Схема к примеру 8
I, II, III - здания; 1, 3 - низкие трубы
для выброса вредных веществ; 2 - аэрационный фонарь;
4 - высокая труба для выброса вредных веществ;
Г - место определения концентраций
Расчеты, проведенные в соответствии с Указаниями СН 369-74, показали, что концентрации окиси углерода C4 на расстоянии 500 м от высокого источника 4 равны Cв = 0,8 мг/м3.
Суммарная концентрация

будет складываться из концентраций, создаваемых каждым низким источником в точке
Г.

.

;

;

.
Общая концентрация в точке Г будет:

,
что в 3,4 раза меньше максимальной разовой предельно допустимой концентрации окиси углерода в атмосферном воздухе населенных мест (3 мг/м3)
10. ОПРЕДЕЛЕНИЕ ПРЕДЕЛЬНО ДОПУСТИМОГО ВЫБРОСА И НЕОБХОДИМОЙ
СТЕПЕНИ ОЧИСТКИ ЗАГРЯЗНЕННОГО ВОЗДУХА ДЛЯ НИЗКИХ ИСТОЧНИКОВ
10.1. Для обеспечения требуемой чистоты атмосферного воздуха в местах воздухоприемных устройств (0,3
Cпдк) следует по формулам
табл. 4 определять предельно допустимый выброс вредного вещества (ПДВ) для каждого линейного или точечного источника.
10.2. При совместном действии линейных или точечных источников, расположенных на крыше широкого здания в заветренной или межкорпусной циркуляционных зонах, ПДВ следует определять с учетом коэффициента пропорциональности n при приведении интенсивности выделения рассматриваемого вредного вещества линейными или точечными источниками к интенсивности одного из них, принимаемой при сопоставлении за единицу.
10.3. Приведенные зависимости для определения ПДВ справедливы при условии, что для проветривания промышленных площадок поступает воздух, не загрязненный аналогичными вредными веществами.
10.4. При определении величины ПДВ следует учитывать перспективы развития предприятия и связанное с этим возможное увеличение валовых выбросов путем введения в расчетные формулы соответствующего коэффициента запаса.
10.5. Общая степень очистки выбрасываемого в атмосферу загрязненного воздуха при совместном действии различных линейных и точечных источников, обеспечивающая необходимую чистоту атмосферного воздуха на промышленных площадках, может быть определена по следующим формулам:
а) для отдельно стоящего широкого здания

(21)
N п.п. | Место размещения воздухозаборных устройств | Место расположения устья источников | Расчетная формула для определения ПДВ от источников Mпдв, г/с |
точечных | линейных |
1 | 2 | 3 | 4 | 5 |
1 | В наветренной циркуляционной зоне широкого здания | В наветренной циркуляционной зоне | | Mпдв = 0,08Cпдк·vlHзд |
2 | На крыше широкого здания вне наветренной циркуляционной зоны при b2 > 2,8(H - Hзд) и y < 2,8(H - Hзд) | | Mпдв = 0,005Cпдкv·(1,4l + b1)2 | Mпдв = 0,05Cпдк·b1vl |
б) На крыше широкого здания вне наветренной циркуляционной зоны при  | | Mпдв = 0,04Cпдк·(vlb2 + 7,2L) |
при  | | Mпдв = 0,08Cпдк·(vlb2 + 3,6L) |
г) Совместное действие точечных или линейных источников, указанных в пп. "а" - "в" | |
3 | В заветренной циркуляционной зоне широкого здания | а) В наветренной циркуляционной зоне | | |
б) На крыше вне наветренной циркуляционной зоны при  | | |
в) То же, при  | | |
г) В заветренной циркуляционной зоне или над ней | | |
д) Совместное действие всех линейных или точечных источников, указанных в пп. "а" - "г" | |
4 | В единой циркуляционной зоне узкого здания | В единой циркуляционной зоне или над ней | | |
5 | В межкорпусной циркуляционной зоне при расположении первого по потоку широкого здания и расстоянии Hзд < x1 <= 4Hзд | а) В наветренной циркуляционной зоне | | |
б) Над крышей вне наветренной циркуляционной зоны при  | | |
в) То же, при | | |
г) В межкорпусной циркуляционной зоне | | |
д) Над межкорпусной циркуляционной зоной | | |
е) Совместное действие всех точечных или линейных источников, указанных в пп. "а" - "д" | |
6 | В межкорпусной циркуляционной зоне при расположении первого по потоку широкого здания и расстояния 4Hзд < x1 <= 8Hзд | а) В наветренной циркуляционной зоне | | |
б) Над крышей вне наветренной циркуляционной зоны при  | | |
в) То же, при  | | |
г) В межкорпусной циркуляционной зоне | | |
д) Над межкорпусной циркуляционной зоной | | |
е) Совместное действие всех точечных или линейных источников, указанных в п.п. "а" - "д" | |
7 | В межкорпусной циркуляционной зоне при расположении первого по потоку узкого здания и расстоянии Hзд < x1 <= 6Hзд | В межкорпусной циркуляционной зоне или над ней | | |
| То же, при 6Hзд < x1 <= 10Hзд | То же | | |
б) для отдельно стоящего узкого здания

(22)
Необходимая степень очистки выбросов для обеспечения чистоты воздуха в межкорпусном пространстве двух смежных зданий, если первое по потоку из них широкое или узкое, может быть определена соответственно по
формулам (21),
(22).
10.6. Требуемая общая эффективность комплекса мероприятий, обеспечивающая необходимую чистоту атмосферного воздуха на границе санитарно-защитной зоны при совместном действии линейных и точечных низких и высоких источников, может быть определена по следующей формуле:

(23)
10.7. Примеры расчетов.
Пример 9. Для условий
примера 3 определить ПДВ хлоропрена источниками
1,
2,
3 (см.
рис. 9) для воздухоприемного устройства, расположенного в точке
А.
Определим по формулам
табл. 4 ПДВ хлоропрена при условии обеспечения чистоты воздуха в заветренной циркуляционной зоне и действии только одного из указанных источников, расположенных:
а) в наветренной циркуляционной зоне (источник 2)

;
б) вне наветренной циркуляционной зоны (источник 1) при
в) вне наветренной циркуляционной зоны (источник 3) при
Предельно допустимый выброс при совместном действии трех источников и обеспечении требуемой
СН 245-71 чистоты атмосферного воздуха в заветренной циркуляционной зоне следует определить по следующей формуле

,
где

.

.
Таким образом, суммарный выброс трех источников должен быть не более 525 мг/с. При этом интенсивность каждого из источников не должна превышать следующих значений:

;

;

.
Пример 10. Для тех же условий (см.
пример 9) определить необходимую эффективность очистки загрязненного воздуха от хлоропрена для каждого источника, обеспечивающую в заветренной циркуляционной зоне концентрацию, равную 0,3
Cпдк.
Определим, следует ли применять очистку загрязненного воздуха для каждого источника по величине показателя доминирующего вещества:

;

;

.
Поскольку величины Pд превышают нуль для трех источников, следовательно, очистку следует предусматривать для всех источников.
Необходимая эффективность очистки выбросов от хлоропрена будет:

.
Следовательно, эффективность газоочистных устройств, устанавливаемых на каждом источнике, должна быть при данном направлении ветра не ниже 64%.
Аналогичным образом определяется требуемая эффективность очистных устройств и при других направлениях ветра, а при расположении около рассматриваемого предприятия селитебных зон она рассчитывается для различных направлений ветра, исходя из максимальной разовой предельно допустимой концентрации хлоропрена в атмосферном воздухе населенных мест. За окончательную эффективность газоочистных устройств, устанавливаемых на каждом источнике, должна приниматься наибольшая из рассчитанных.
РЕКОМЕНДУЕМЫЕ ТИПЫ КОНТРОЛЬНО-ИЗМЕРИТЕЛЬНЫХ ПРИБОРОВ
И СИГНАЛИЗИРУЮЩЕЙ АППАРАТУРЫ
N п.п. | Наименование прибора | Тип | Стационарный (С) переносной (П) | Определяемые вещества | Диапазон измерения | Погрешность, %, от верхнего предела | Масса комплекта, кг | Изготовитель |
размерность | величина |
1 | 2 | 3 | 4 | 5 | 6 | 7 | 8 | 9 | 10 |
1 | Автоматический газоанализатор | ТХ2301 | П | Метан, водород, горючие газы, пары | % объема | 0 - 2,5; 0 - 5 | +/- 4 | 4 | СКБ аналитического приборостроения АН СССР (Ленинград) |
2 | Газоанализатор | Атмосфера | С | Озон | мг/м3 | 0 - 0,1; 0 - 0,54 | - | - | ОКБА (Москва) |
Сернистый газ | " | 0 - 0,5; 0 - 2; 0 - 10 |
Сероводород | " | 0 - 0,5 |
3 | Автоматический газоанализатор | ГКП-1 | С | Сернистый газ | мг/м3 | 0 - 1; 0 - 2; 0 - 5; 0 - 10 | +/- 6 | 8 | ОКБА (Москва) |
4 | Анализатор | ГСФ-1М | С | Сернистый газ | " | 0 - 1; 0 - 5 | +/- 10 | - | Экспериментальный завод медицинских изделий (Киев) |
5 | Газоанализатор | ГМК-3 | С | Окись углерода | " | 0 - 40; 0 - 80; 0 - 400 | - | - | НИИтехноприбор (Смоленск) |
6 | Газораспределитель | ГХ | П | То же | мг/л | 0 - 0,0125 - 0,25 | - | 0,3 | - |
Сероводород | " | 0 - 0,005- 0,1 |
Сернистый газ | " | 0 - 0,02 - 0,2 |
Окислы азота | " | 0 - 0,004 - 0,16 |
7 | Газоанализатор | ГИП-10МБ3 | С | Окись углерода | % объема | 0 - 0,005 | +/- 10 | 60 | ОКБА (Москва) |
8 | Кондуктометрическая установка | КУ-3 | П | Двуокись углерода | мг/м3 | 0 - 50; 0 - 2500 | +/- 5 | 14 | СКБ ВНИИОТ (Ленинград) |
Окись углерода | " | 0 - 50; 0 - 500 |
Бензин | " | 0 - 750 |
9 | Газоанализатор | ПГА-ВПМ | П | Окислы азота | мг/л | 0,001 - 0,01 | +/- 30 | - | Киевский завод аналитического приборостроения (Киев) |
Окись углерода | " | 0,01 - 0,05 |
Сурьмянистый водород | " | 0,00015 - 0,005 |
Керосин, бензин, триэтиламин | " | 0,05 - 0,5; 0,02 - 0,1 |
10 | Универсальный газоанализатор | УГ-2 | П | Сероводород | мг/м3 | 0 - 30; 0 - 300 | +/- 10 | 1 | Завод химических реактивов (Черкассы) |
Аммиак | " | 0 - 30; 0 - 300 |
Окись азота | " | 0 - 50; 0 - 200 |
Двуокись азота | " | 0 - 50 |
Сернистый газ | " | 0 - 30; 0 - 200 |
Окись углерода | " | 15 - 120; 0 - 400 |
Ацетилен | " | 0 - 1400; 0 - 6000 |
Бензин | " | 0 - 1000; 0 - 5000 |
Пары фракций нефти (керосин, уайт-спирит и др.) | " | 0 - 1000 |
Бензол | мг/м3 | 0 - 200; 0 - 1000 |
Толуол | " | 0 - 500; 0 - 2000 |
Ксилол | " | 0 - 500; 0 - 2000 |
Этиловый эфир | " | 0 - 3000 |
Метиловый спирт | " | 0 - 500 |
Ацетон | " | 0 - 2000 |
Хлористый водород | " | 0 - 30; 0 - 100 |
11 | Газоанализатор | УФГА-2 | С | Двуокись азота, сернистый газ, сероводород, сероуглерод, ацетилен | " | - | +/- 4 | - | ВНИИ аналитического приборостроения (Киев) |
12 | Газоанализатор | ФГЦ-1 | С | Сероводород | мг/м3 | 0 - 30; 0 - 10; 0 - 3 | +/- 20 | 70 | Тульский филиал ОКБА (Тула) |
ФГЦ-3 | С | Синильная кислота | " | 0 - 0,5 |
ФГЦ-4 | С | Аммиак | " | 0 - 20 |
13 | Газоанализатор | ФЖС-1 | С | Сероуглерод | " | 0 - 20 | - | - | То же |
Уксусная кислота | " | 0 - 10 |
Уксусный ангидрид | " | 0 - 10 |
Формальдегид | " | 0 - 1 |
Синтетические жирные кислоты | " | |
14 | Сигнализатор | ФЛС-2,11 | С | Сероводород | " | 10 - 30 | - | - | Тульский филиал ОКБА (Тула) |
15 | Индикатор | ФЛП-2,1 | П | Сероводород | мг/м3 | 10 - 30 | +/- 30 | - | Тульский филиал ОКБА (Тула) |
16 | Автоматический газоанализатор | ФК-00686 ФК-00684 | С | Аммиак | мг/л | 0,001 - 0,01 | | | " |
Алкиламины | " | 0,0005 - 0,005 |
Окислы азота | " | 0,005 - 0,03 |
17 | Универсальный газоанализатор | ФЛ-5501М | С | Сероводород | " | 0 - 0,01 | +/- 10 | 70 | Смоленский завод средств автоматики (Смоленск) |
Сернистый газ | " | 0 - 0,02 |
Аммиак | " | 0 - 0,005 |
Двуокись азота | " | 0 - 0,05 |
Гидрацин - гидрат | " | 0 - 0,002 |
Озон | " | 0 - 0,0001; 0 - 0,0005 |
18 | Автоматический газоанализатор | ФЛ-6801 | С | Фреон-12 | мг/м3 | 0 - 500 | +/- 10 | 69 | То же |
ФЛ-6802 | С | То же | " | 0 - 500 | +/- 10 - 20 | 37 |
19 | Экспресс-анализатор | ЭА-0201 | П | Окись углерода | мг/л | 0 - 0,05 | +/- 15 | 5 | Завод химических реактивов (Черкассы) |
Окислы азота | | 0 - 0,008 | +/- 25 |
20 | Анализатор датчик | АМТ-3 | С | Метан | % объема | - | +/- 0,2 | - | Завод "Красный металлист" (Конотоп) |
ДМТ-3Т | С | " | То же | 0 - 2,5; 0 - 1,8; аварийный сигнал при 0,5; 0,7; 1,0; 1,5; 2,0 | +/- 0,2 |
Аппарат сигнализатор | АС-3Т | С | " | " | 0 - 2,5 | +/- 0,3 | - | То же |
21 | Аппаратура системы контроля уровня загазованности | ГАЗ-1 | С | Метан | % объема | 0 - 1,2 | +/- 0,2 | - | Завод "Красный металлист" (Конотоп) |
22 | Газоопределитель | ГИК-3 | П | " | То же | 0 - 3 | +/- 0,3 | 2,2 | Чирчикский филиал ОКБА (Чирчик) |
Водород | " | 0 - 2 |
Двуокись углерода | " | 0 - 1 |
23 | Газоанализатор | ГС-СОМ | С | Окись углерода | " | 0,02 - 1,15 | +/- 10 | - | Киевский завод аналитического приборостроения (Киев) |
24 | Газоанализаторы автоматические | ГП-У1, ГП-У2 | С | Сернистый газ | % объема | 0 - 1 | +/- 5 | 16 | Уральский научно-исследовательский химический институт (Свердловск) |
25 | Газоопределитель | ИГА-6 | П | Метан | То же | 0 - 6 | - | 2,4 | Новосибирский приборостроительный завод имени В.И. Ленина (Новосибирск) |
Двуокись углерода | " | 0 - 6 |
26 | Лабораторный интерферометр | ЛИ-4М | П | Метан | " | 0 - 12 | - | - | То же |
27 | Автоматический газоанализатор | МН-3001М | С | Пары различных топлив (градуировка по бутановоздушной смеси) | % объема | Пределы измерения по бутану 0 - 1,2 | +/- 0,08 | 82 | Завод газоанализаторов (г. Выру ЭССР) |
28 | Метан-реле | ММР-61 | С | Метан | То же | 1,5 | 0,5 | - | МакНИИ (Макеевка Донецкой обл.) |
29 | Оптико-акустический газоанализатор | ОА-2309 | С | " | " | 0 - 30; 0 - 50; 0 - 70; 0 - 100 | +/- 2,5 | 57 | Смоленский завод средств автоматики (Смоленск) |
30 | Автоматический газоанализатор | ОА-5501 | С | Окись углерода или метан | % объема | 0 - 0,5; 0 - 0,1; 0 - 0,2; 0 - 0,5 | +5 - 10 | - | Смоленский завод средств автоматики (Смоленск) |
31 | Газоанализатор | ПГФ2 М1-И1АУ-4 ("Метан") | П | Метан | То же | 0,37 - 1,2; 1,2 - 4,2 | +/- 0,5 +/- 0,50 | 3 | Харьковский филиал ОКБА (Харьков) |
ПГФ2М1-ИЗГУ-4 | П | Коксовый газ | " | 0,2 - 1; 0,1 - 4 | +/- 0,1 +/- 0,5 |
Этилен | " | 0,05 -0,25; 0,25 - 2,0 | +/- 0,5 +/- 0,25 |
Пропан | " | 0,1 - 0,4; 0,4 - 2,0 | +/- 0,1 +/- 0,3 |
Пропилен | " | 0,06 - 0,3; 0,3 - 1,7 | +/- 0,05 +/- 0,25 |
Метиловый спирт | " | 0,35 - 1,1; 1,1 - 5,5 | +/- 0,2; +/- 1,0 |
Этиловый спирт | " | 0,2 - 0,65; 0,65 - 3,7 | +/- 0,15; +/- 0,5 |
Диэтиловый эфир | " | 0,08 - 0,4; 0,4 - 2,2 | +/- 0,05; +/- 0,2 |
Бензин Б-70 | мг/л | 2,5 - 12,5 | +/- 2 |
Бензин Б-95/130 | " | 12,5 - 80 | +/- 1,25 |
32 | Автоматические газоанализаторы | ТП-1116М, ТП-1117 | С | Водород | % объема | 0 - 6 | +/- 0,15 | 55 | Завод газоанализаторов (г. Выру ЭССР) |
33 | Газоанализатор | ТП-1123 | П | " | То же | 0 - 4 | +/- 0,15 | 3,8 | То же |
34 | Автоматические датчики газоанализаторов | ТП-1126 | С | " | " | 0 - 4 | +/- 0,2 | 5 | " |
ТП-1128 | С | " | " | 0 - 6 | +/- 0,2 | 16,7 |
ТП-1132 | С | " | " | 0 - 6 | +/- 0,2 | 5,5 |
ПРОГРАММА РАСЧЕТА КОНЦЕНТРАЦИИ ВРЕДНЫХ ВЕЩЕСТВ
ОТ НИЗКИХ ИСТОЧНИКОВ НА ЭВМ "МИР-2"
1. Описание алгоритма для точечных источников
Алгоритм вычислений составлен согласно изложенной выше методике. Первоначально определяется тип здания (широкое или узкое, отдельно стоящее или смежное). После этого проверяется, относится ли источник к низким. Если источник оказался высоким, то дальнейший расчет не производится и ЭВМ останавливается. На экран выдается информация ВЫ-1. Далее при помощи системы условных операторов по заданным координатам источника (XP, YP, ZP), точки наблюдения (XN, YN, ZN) и типу здания определяется номер формулы NФ для расчета концентрации вредных веществ. Если в выбранную формулу входят коэффициенты KP = K и MP = M, то они вычисляются по соответствующим формулам. После выбора ЭВМ номера формулы производится вывод выбранного номера на экран. Если заданные значения параметров не охватываются предложенными формулами или произошла ошибка в задании исходных данных, то NФ = 0, при этом на экран выдаются значения XP, ZP, XN, YN. После выбора номера формулы задаются значения аргументов и параметров, входящих в формулы: X = XN - B; B1 = XN; B2 = XN - XP; Y = YP - YN. Выбранная формула F[NФ] вызывается в рабочую зону, где производится вычисление концентрации КЦР. Вычисленное значение выводится на экран. Одновременно выводятся значения величин X, Y, KP, MP. На этом вычисления заканчиваются.
Программа состоит из двух информатив и одной директивы. Под операторную информативу необходимо отвести три страницы памяти, а под описательную - две страницы. При задании исходных данных следует иметь в виду, что координатная система совмещена с наветренной стеной здания. Ось X направлена по ветру, ось Y - перпендикулярно ему, ось Z - по высоте здания. Начало координат выбрано в наветренном углу здания на уровне земли.
Ниже приведен текст программы.
Для вычисления по предложенной программе необходимо задать следующие параметры:
M | - | количество примесей, мг/с; |
I | - | количество воздуха, м3/с; |
b, H, L | - | ширина, высота и длина здания, м; |
| - | координаты источника, м; |
| - | координаты точки наблюдения, м; |
V | - | скорость ветра, м/с; |
X1 | - | расстояние между зданиями, м. |
Если здание отдельно стоящее, то в качестве X1 нужно выбрать достаточно большую величину, например X1 = 103.
Ниже приводятся примеры директив:
"ВЫП" M = 55,6; I = 10 000; b = 24; H = 10; L = 100; XP = 20; YP = 70; ZP = 20; XN = 24; YN = 50; ZN = 5; V = 1; X1 = 40; "на "конц" кон".
Полученное значение КЦР = 0,09
"ВЫП" M = 1500; I = 10; b = 24; H = 12; L = 48; XP = 12; YP = 24; ZP = 15; XN = 24; YN = 12; ZN = 0; V = 1; X1 = 103; "На"конц"кон".
Полученное значение КЦР = 7,8.
2. Описание алгоритма для линейных источников
Алгоритм вычислений составлен согласно изложенной выше методике расчета концентраций вредных веществ от низких линейных источников. Системы координат и обозначений приняты такими же, как для точечных источников. Так как линейные источники имеют протяженность приблизительно соответствующую длине здания, то при задании координат источника следует ограничиться XP и ZP.
Сначала определяется тип здания и проверяется высота источника. Если источник высокий, то на экран выдается ВЫ-1, и машина останавливается. Затем ЭВМ выбирает номер формулы, по которой нужно производить расчет. Если в формулу входят коэффициенты KP = K и ML = M1, то они вычисляются по соответствующим зависимостям. После выбора ЭВМ номера формулы производится его вывод на экран. Если заданные значения параметров не охватываются предложенными формулами, то NФ = 0. После этого ЭВМ вычисляет значение концентрации в заданной точке.
Программа состоит из двух информатив и одной директивы. Под операторную информативу необходимо отвести три страницы памяти, а под описательную - одну страницу.
Примеры директив.
"Вып" M = 311; J = 90; b = 24; H = 10; L = 100; X1 = 40; V = 1; XP = 15; ZP = 15; XN = 24; ZN = 5; YN = 50; на "конл"; "кон".
Полученное значение концентрации KYL = 0,35.
"Вып" M = 1800; J = 360; b = 120; H = 12; L = 180; X1 = 105; V = 1; XP = 60; ZP = 15; XN = 155; ZN = 0; YN = 90; на "конл"; "кон"
Полученное значение концентрации KYL = 0,978.
Текст программы можно получить по адресу: 119021, Москва, Г-21, Оболенский пер., д. 10, ВЦНИИОТ ВЦСПС.
ОБОЗНАЧЕНИЯ ВЕЛИЧИН, ВХОДЯЩИХ В ФОРМУЛЫ
В приведенных в данном Руководстве формулах приняты следующие обозначения:
C | - | расчетная концентрация вредного вещества в наружном воздухе, мг/м3; |
M | - | количество вредного вещества, выбрасываемого источником в атмосферу, мг/с; |
v | - | расчетная скорость ветра, м/с; |
Hзд | - | высота здания от уровня земли до его крыши при плоской кровле: до конька крыши при двускатной кровле; до верха карниза фонаря при продольных фонарях, расположенных менее чем на 3 м от наветренной кромки здания, м; |
H | - | высота источника от уровня земли до его устья, м; |
Hгр | - | высота границы низких источников, м; |
l | - | длина здания, принимаемая перпендикулярно направлению ветра, м; |
b | - | ширина здания (вдоль направления ветра), м; |
x | - | расстояние от заветренной стены здания до точки, в которой определяется концентрация, м; |
x1 | - | расстояние между зданиями, м; |
y | - | расстояние от оси факела перпендикулярно направлению ветра до точки, в которой определяется концентрация, м; |
b1 | - | расстояние в пределах крыши от наветренной стены широкого здания до точки, в которой определяется концентрация, м; |
b2 | - | расстояние в пределах крыши широкого здания от источника до точки, в которой определяется концентрация, м; |
b3 | - | расстояние в пределах крыши от источника до заветренной стены здания, м; |
Cпдк | - | предельно допустимая концентрация вредного вещества в воздухе рабочей зоны ( табл. 4 СН 245-71), мг/м 3; |
| - | предельно допустимая концентрация вредного вещества в атмосферном воздухе населенных пунктов ( табл. 3 СН 245-71), мг/м 3; |
| - | суммарная концентрация, создаваемая низкими источниками загрязнения, мг/м3; |
| - | суммарная концентрация, создаваемая высокими источниками загрязнения, мг/м3; |
Cф | - | фоновая концентрация, мг/м3; |
| - | общая суммарная концентрация, создаваемая низкими, высокими источниками и фоном, мг/м3; |
Pд | - | показатель доминирующего вещества, м3/с; |
L | - | объем газовоздушной смеси, выбрасываемой из источника, м3/с; |
m | - | безразмерный коэффициент заноса вредных веществ для линейных и точечных источников отдельно стоящего широкого здания, а также межкорпусного пространства, показывающий, какое количество выделяемых источниками веществ участвует в загрязнении циркуляционных зон; |
k | - | безразмерный коэффициент, учитывающий влияние высоты выброса вредных веществ на уровень загрязнения циркуляционных зон; |
S; S1; S2; S3; S4 | - | вспомогательные безразмерные величины, позволяющие определять концентрации вредных веществ в любой точке факела их распространения от точечных источников; |
Mпдв | - | предельно допустимый выброс вредного вещества для линейных или точечных низких источников; |
n; n1; n2 | - | коэффициенты пропорциональности при приведении интенсивности источников различного типа к интенсивности одного из них, принимаемой при сопоставлении за единицу. |
| - | суммарная концентрация от внутренних линейных и точечных источников в заветренной циркуляционной зоне широкого здания, мг/м3; |
| - | суммарная концентрация в заветренной циркуляционной зоне широкого здания от внешних линейных и точечных источников, расположенных на крыше в наветренной циркуляционной зоне, мг/м3; |
| - | суммарная концентрация в заветренной циркуляционной зоне широкого здания от внешних линейных и точечных источников, расположенных на крыше вне наветренной циркуляционной зоны до границы низких источников, мг/м3; |
| - | суммарная концентрация в единой циркуляционной зоне от линейных и точечных источников, расположенных в этой зоне и выше ее до границы низких источников, мг/м3; |
| - | суммарная концентрация на границе санитарно-защитной зоны от линейных и точечных низких и высоких источников, мг/м3. |