Главная // Актуальные документы // РуководствоСПРАВКА
Источник публикации
М.: Стройиздат, 1969
Примечание к документу
Название документа
"Руководство по расчету оснований башенных копров"
"Руководство по расчету оснований башенных копров"
ПО РАСЧЕТУ ОСНОВАНИЙ БАШЕННЫХ КОПРОВ
Настоящее Руководство разработано в развитие и дополнение главы
СНиП II-Б.1-62* "Основания зданий и сооружений. Нормы проектирования".
Руководство может быть использовано для расчета оснований различных сооружений башенного типа с жесткими фундаментами.
Руководство по расчету оснований башенных копров разработано Донецким Промстройниипроектом (кандидаты технических наук В.Е. Андреев и Ю.М. Гусев).
Разработка Руководства осуществлена на основе научно-исследовательских работ - теоретических и экспериментальных исследований, проведенных в Донецком Промстройниипроекте и НИИ оснований Госстроя СССР с использованием СНиП и других нормативных документов по строительству, научно-технической литературы, а также с учетом замечаний и предложений ряда специализированных научно-исследовательских и проектных организаций.
Руководство по расчету оснований башенных копров предназначается для инженерно-технических работников строительных, проектных и научно-исследовательских организаций, преподавателей и слушателей вузов и техникумов, занимающихся вопросами проектирования и строительства башенных шахтных копров и других сооружений башенного типа.
Отзывы, предложения и пожелания по Руководству просьба направлять по адресу: Донецк, Университетская, 122, Донецкий Промстройниипроект.
Редакторы - В.Е. Андреев, А.П. Старицын.
При строительстве предприятий по добыче полезных ископаемых башенные шахтные копры находят все более широкое применение в отечественной и зарубежной практике. Башенные копры имеют значительные преимущества по сравнению с обычными шахтными копрами: простота технологии их возведения, компактность; более благоприятные и безопасные условия работы подъемных установок; разрешение проблемы подъема тяжеловесных грузов; резкое увеличение глубины шахтного подъема; значительное улучшение условий работы копра из-за отсутствия горизонтальных сил от натяжения канатов при расположении подъемных машин на земле; малые габариты подъемных машин, позволяющие устанавливать эти машины непосредственно над стволом шахты; отсутствие необходимости сооружения укосин и устройства специальных массивных фундаментов подъемных машин и, наконец, значительное сокращение объемов строительных работ и стоимости всей установки в целом.
Работа оснований шахтных башенных копров в отличие от обычных сооружений башенного типа имеет ярко выраженные специфические особенности:
прежде всего на работу основания оказывает влияние своеобразная форма конструкции фундаментной части башенного копра, которая в поперечном сечении имеет прямоугольный или круглый вырез для шахтного ствола;
наличие целого ряда сверхнормативных динамических и импульсных нагрузок, возникающих в силу специфики работы шахтной подъемной установки;
требования к сохранению достаточно строгой вертикальности и горизонтальности основных рабочих площадок и их конструктивных элементов. Кроме того, на работе основания башенного копра очень часто сказывается вредное влияние подземных горных разработок, в результате которого в основаниях этих сооружений происходят деформации горных пород и земной поверхности, оказывающие вредное воздействие на сооружения.
В основу настоящего Руководства положены нормы и правила проектирования зданий и сооружений (глава
СНиП II-Б.1-62* "Основания зданий и сооружений. Нормы проектирования") применительно к расчету оснований башенных копров с учетом специфики работы основания путем введения дополнительных условий. В Руководстве даны рекомендации по определению ряда необходимых данных для проектирования этих сооружений (таких, как глубина заложения фундамента, размеры фундамента в плане, нормативное давление на грунт, крен и осадка башенного копра и т.д.).
Для удобства пользования в Руководстве в необходимых случаях приводится текст главы
СНиП II-Б.1-62*, который отмечен на полях слева вертикальной чертой (нумерация формул, таблиц и рисунков двойная; в скобках даны номера, соответствующие главе
СНиП II-Б.1-62*).
С целью определения необходимых для проектирования расчетных данных в Руководстве приведены формулы, таблицы и номограммы, разработанные как для кольцевых, так и для прямоугольных фундаментов с прямоугольным вырезом. Поскольку в большинстве из формул фигурируют деформационные характеристики грунтов основания, даются указания относительно определения этих характеристик в полевых и лабораторных условиях и приводятся таблицы средних значений коэффициента боковой деформации наиболее характерных грунтов.
При расчете крена и осадок башенного копра учитывается сочетание вертикальных и моментных нагрузок, а также принимается во внимание искривление основания вследствие подземных горных разработок и учитывается различная деформируемость грунта при нагружении и разгрузке. Для определения осадок кольцевого фундамента от действия вертикальных сил использованы результаты теоретических исследований д-ра техн. наук К.Е. Егорова (НИИ оснований Госстроя СССР).
Методика расчета основания башенного копра иллюстрирована примером, приведенным в
приложении 2.
Настоящее Руководство может применяться при проектировании не только башенных шахтных копров, но и других сооружений башенного типа с жесткими фундаментами как на подрабатываемых территориях, так и при строительстве на просадочных и набухающих грунтах, дающих при замачивании неравномерные осадки и подъемы.
1.1. Настоящее Руководство распространяется на проектирование оснований башенных шахтных копров и может быть использовано для расчета оснований различных сооружений башенного типа с жесткими фундаментами.
1.2. Расчет оснований башенных копров следует производить в соответствии с главами
СНиП II-А.10-62 "Строительные конструкции и основания. Основные положения",
СНиП II-А.11-62 "Нагрузки и воздействия. Нормы проектирования",
СНиП II-Б.1-62* "Основания зданий и сооружений. Нормы проектирования", главами СНиП части II раздела Б, а также "
Пособием по проектированию оснований и сооружений" НИИ оснований Госстроя СССР и настоящим Руководством.
1.3. При проектировании оснований зданий и сооружений, предназначенных для строительства на вечномерзлых, просадочных, набухающих, насыпных грунтах, в сейсмических, карстовых, оползневых, селеопасных районах, на подрабатываемых территориях, а также оснований фундаментов под машины с динамическими нагрузками должны учитываться дополнительные требования к устройству оснований фундаментов зданий и сооружений в указанных условиях, которые предъявляют при этом соответствующие нормативные документы:
глава
СНиП II-А.12-62 "Строительство в сейсмических районах. Нормы проектирования";
глава
СНиП II-Б.2-62 "Основания и фундаменты зданий и сооружений на просадочных грунтах. Нормы проектирования";
глава СНиП II-Б.6-66 "Основания и фундаменты зданий и сооружений на вечномерзлых грунтах. Нормы проектирования";
"Технические условия проектирования фундаментов под машины с динамическими нагрузками" (СН 18-58);
"Указания по проектированию зданий и сооружений на подрабатываемых территориях" (СН 289-64);
"Временные указания по проектированию оснований и фундаментов зданий и сооружений, возводимых на набухающих грунтах" (СН 331-65);
"Указания по проектированию оснований и фундаментов зданий и сооружений, возводимых на насыпных грунтах" (СН 360-66);
"Руководство по расчету зданий и сооружений, проектируемых на подрабатываемых территориях" ВНИМИ и Донецкого Промстройниипроекта, Стройиздат, 1968.
1.4. Нормативные характеристики грунтов оснований следует определять по данным инженерно-геологических изысканий и исследований физико-механических свойств грунтов в соответствии с установленной
СНиП II-А.10-62 номенклатурой грунтов оснований и "Руководством по инженерно-геологическим изысканиям для проектирования башенных копров" Донецкого Промстройниипроекта.
1.5. Результаты инженерно-геологических (в том числе и гидрогеологических) изысканий и исследований физико-механических свойств грунтов будущей площадки строительства должны дать проектировщику необходимые данные для проектирования основания, а также для установления способов производства работ по устройству оснований и последующей эксплуатации сооружений применительно к особенностям инженерно-геологических условий участка застройки.
1.6. В результате исследований физико-механических свойств грунтов проектировщик должен располагать данными для установления номенклатурных видов грунтов, слагающих основание будущего здания или сооружения, а также прочностными и деформационными характеристиками этих грунтов, необходимыми для расчета оснований. К числу таких данных относятся:
удельный вес, объемный вес и весовая влажность всех видов грунтов;
число пластичности для глинистых грунтов;
гранулометрический состав для песчаных и крупнообломочных грунтов;
угол внутреннего трения и удельное сцепление для всех видов нескальных грунтов;
модуль деформации и коэффициент фильтрации для всех видов грунтов;
предел прочности при одноосном сжатии;
коэффициент размягчения и растворимости для скальных грунтов;
относительная просадочность для просадочных грунтов;
относительное сжатие при оттаивании для вечномерзлых песчаных и глинистых грунтов.
Методы определения этих характеристик, как и объемы исследований, устанавливаются соответствующими нормативными документами и ГОСТ на исследования грунтов в основаниях зданий и сооружений.
2. ВЫБОР ГЛУБИНЫ ЗАЛОЖЕНИЯ ФУНДАМЕНТА
2.1. Глубину заложения фундамента следует определять в соответствии с требованиями СНиП II-Б.1-62* (
пп. 4.1 -
4.11) с обязательным учетом следующих дополнительных факторов:
конструкции примыкающих вентиляционных и других каналов, при этом необходимо обеспечение их несущей способности в случае заложения фундаментов выше отметки дна каналов;
наличия шейки ствола;
методов и последовательности производства работ по устройству фундаментов башни, шейки ствола и других примыкающих к нему подземных сооружений.
2.2 (4.1). Глубина заложения фундаментов должна определяться с учетом: а) назначения зданий и сооружений, наличия подвалов, подземных коммуникаций и фундаментов под оборудование; б) величины и характера нагрузок, действующих на основание; в) глубины заложения фундаментов примыкающих зданий и сооружений; г) геологических и гидрогеологических условий строительной площадки (виды грунтов и их физическое состояние; уровень грунтовых вод и возможные колебания и изменения его в период строительства и эксплуатации зданий и сооружений; наличие верховодки), а также климатических особенностей района; д) возможности пучения грунтов при промерзании и осадки при оттаивании. 2.3 (4.2). Нормативная глубина промерзания грунта Hн принимается равной средней из ежегодных максимальных глубин сезонного промерзания грунтов по данным наблюдений за фактическим промерзанием грунтов под открытой, оголенной от снега поверхностью за срок не менее 10 лет. 2.4 (4.3). При отсутствии данных многолетних наблюдений нормативную глубину промерзания Hн разрешается определять на основе теплотехнических расчетов или по схематической карте нормативных глубин промерзания грунта на территории СССР, приведенной в главе СНиП II-А.6-62 "Строительная климатология и геофизика. Основные положения проектирования", либо по формуле где  - сумма среднемесячных отрицательных температур воздуха за зиму, принятая как средняя из данных многолетних наблюдений местной метеорологической станции (данные вставляются в формулу со знаком плюс); при отсутствии таких данных величина  может быть определена ориентировочно по данным наблюдений гидрометеорологической станции, находящейся в аналогичных условиях со строительной площадкой (в см). Примечания: 1. Схематическая карта и формула 1 (8) не распространяются на горные районы. 2. Для супесей и песков мелких и пылеватых нормативная глубина промерзания принимается по схематической карте или по формуле 1 (8) в обоих случаях с коэффициентом 1,2. 2.5 (4.4). Расчетная глубина промерзания H определяется по формуле где Hн - нормативная глубина промерзания; mt - коэффициент влияния теплового режима здания на промерзание грунта у наружных стен, определяемый по указаниям п. 2.6 (4.5). 2.6 (4.5). Коэффициент влияния теплового режима mt здания на промерзание грунта у наружных стен здания принимается по табл. 1 (5). Коэффициент влияния теплового режима mt здания на промерзание грунта |
| Тепловой режим здания и конструкция полов | Коэффициент mt |
Регулярно отапливаемые здания с расчетной температурой воздуха в помещении не ниже 10 °C: | |
полы на грунте | 0,7 |
" " лагах по грунту | 0,8 |
" " балках по грунту | 0,9 |
Прочие здания | 1 |
Примечания: 1. Здания с неотапливаемым техническим подпольем относятся к группе прочих. 2. Глубина промерзания грунтов у холодильников и в случае применения теплозащиты определяется специальными расчетами. |
| 2.7 (4.6). Глубина заложения фундаментов из условий учета возможности пучения грунтов основания при промерзании назначается по табл. 2 (6). Глубина заложения фундаментов из условия возможности пучения грунтов основания при промерзании |
| Вид грунта | Расстояние от поверхности планировки до уровня грунтовых вод в период промерзания грунтов | Глубина заложения фундаментов от поверхности планировки |
1. | Скальные и крупнообломочные грунты, а также гравелистые, крупные и средней крупности пески | Любое | Не зависит от глубины промерзания |
| Пески мелкие и пылеватые, а также супеси твердой консистенции | Превышает расчетную глубину промерзания на 2 м и более |
3. | Пески мелкие и пылеватые, а также супеси независимо от их консистенции | Менее расчетной глубины промерзания или превышает ее менее чем на 2 м | Не менее расчетной глубины промерзания |
4. | Супеси пластичной и текучей консистенции | Любое |
5. | Суглинки и глины с консистенцией B <= 0,5 | Превышает расчетную глубину промерзания на 2 м и более | Независимо от глубины промерзания |
| Суглинки и глины мягко-пластичной консистенции | То же | |
7. | Суглинки и глины текуче-пластичной и текучей консистенции | Любое | Не менее расчетной глубины промерзания |
| Суглинки и глины независимо от их консистенции | Менее расчетной глубины промерзания или превышает ее менее чем на 2 м |
Примечания: 1. Глубина заложения фундаментов внутренних стен и колонн отапливаемых зданий назначается без учета промерзания грунтов при условии выполнения требований пп. 2.9 (4.8) и 2.10 (4.9) с начала строительства до ввода здания или сооружения в эксплуатацию. 2. Глубина заложения фундаментов стен и колонн зданий, имеющих неотапливаемые подвалы или подполья, при грунтах, указанных в пп. 3, 4, 6 и 8 (СНиП II-Б.1-62*), назначается от пола подвала, равной половине расчетной глубины промерзания. |
2.8 (4.7). Глубина заложения фундаментов при грунтовых условиях, предусмотренных в п. 6 табл. 2 (6), при соответствующем экономическом обосновании может назначаться менее расчетной глубины промерзания при соблюдении требований пп. 2.9 (4.8) и 2.10 (4.9) только в тех случаях, когда расчетная глубина промерзания меньше 2,5 м, а при всех прочих условиях - не менее расчетной глубины промерзания. 2.9 (4.8). Грунты оснований отапливаемых зданий, перечисленные в пп. 2 - 8 табл. 2 (6), должны быть защищены от увлажнения поверхностными водами, а также от промерзания их в период строительства, а для неотапливаемых зданий и в период эксплуатации. 2.10 (4.9). Способ защиты грунтов основания от промерзания принимается в зависимости от характера здания или сооружения и от местных условий строительства. 2.11 (4.10). Помимо пучения грунтов, залегающих в основании, необходимо считаться с возможностью выпучивания фундамента вследствие бокового смерзания последнего с окружающим его пучащимся грунтом, учитывая при этом нагрузки, действующие на фундамент. Возможность такого явления устанавливается на основе исследований в процессе изысканий. 2.12 (4.11). Для предупреждения пучинных явлений застраиваемая площадка должна быть ограждена нагорными канавами, тщательно спланирована с устройством поверхностных водоотводных канав и лотков, а при необходимости и глубоких дренажей. |
2.13. В скальных грунтах минимальная глубина заложения подошвы фундамента может быть равна толщине выветрившегося слоя, но не менее 25 см.
3. ОПРЕДЕЛЕНИЕ РАЗМЕРОВ ПОДОШВЫ ФУНДАМЕНТА В ПЛАНЕ
3.1. Размеры подошвы фундамента в плане следует определять по нормативным нагрузкам, действующим на фундамент, и по нормативному давлению на грунт.
3.2. В дополнение к
п. 3.1 необходимо учитывать наличие шейки ствола и ее размеры. Так, размер внутренней части фундаментной подошвы рекомендуется назначать

наружного размера шейки ствола в соответствии со схемой
(рис. 1) минимально на 2
м, по 1
м с каждой стороны шейки ствола.
Рис. 1. Схемы подошвы фундаментов разных форм и шейки ствола
3.3. Наружные размеры фундамента устанавливаются с учетом факторов, указанных в
п. 3.1, на основе конструктивных и технико-экономических расчетов.
4. ОПРЕДЕЛЕНИЕ НОРМАТИВНОГО ДАВЛЕНИЯ НА ГРУНТ
4.1. Нормативное давление на грунт определяется в соответствии с размерами подошвы фундамента, установленными в соответствии с
разделом 3, и глубиной его заложения, установленной в соответствии с
разделом 2, по формуле
где

- осредненный объемный вес грунта, залегающего выше подошвы фундамента, в
т/м3;
Cн - нормативное удельное сцепление грунта, залегающего непосредственно под подошвой фундамента, в т/м2;
b - меньшая наружная сторона подошвы фундамента в форме прямоугольника с прямоугольным вырезом, в м;
h - глубина заложения фундамента в м;
A,
B,
D - безразмерные коэффициенты, зависящие от нормативного угла внутреннего трения

грунта, залегающего непосредственно под подошвой фундамента, и принимаемые по
табл. 3.
Таблица 3
Коэффициенты A, B и D для определения нормативного
давления на основание
Нормативное значение угла внутреннего трения грунта  в град. | Формы подошвы фундамента |
прямоугольник | круг |
Коэффициенты |
A | B | D | A | B | D |
0 | 0 | 1 | 3,14 | 0 | 1 | 3,37 |
2 | 0,03 | 1,12 | 3,22 | 0,03 | 1,12 | 3,56 |
4 | 0,06 | 1,25 | 3,51 | 0,06 | 1,26 | 3,77 |
6 | 0,1 | 1,39 | 3,71 | 0,1 | 1,42 | 4 |
8 | 0,14 | 1,55 | 3,93 | 0,15 | 1,6 | 4,25 |
10 | 0,18 | 1,73 | 4,17 | 0,2 | 1,8 | 4,51 |
12 | 0,23 | 1,94 | 4,42 | 0,26 | 2,02 | 4,81 |
14 | 0,29 | 2,17 | 4,69 | 0,32 | 2,28 | 5,12 |
16 | 0,36 | 2,43 | 5 | 0,39 | 2,56 | 5,46 |
18 | 0,43 | 2,72 | 5,31 | 0,47 | 2,9 | 5,84 |
20 | 0,51 | 3,06 | 5,66 | 0,57 | 3,28 | 6,25 |
22 | 0,61 | 3,44 | 6,04 | 0,68 | 3,71 | 6,71 |
24 | 0,72 | 3,87 | 6,45 | 0,8 | 4,21 | 7,2 |
26 | 0,84 | 4,37 | 6,9 | 0,94 | 4,78 | 7,75 |
28 | 0,98 | 4,93 | 7,4 | 1,11 | 5,45 | 8,36 |
30 | 1,15 | 5,59 | 7,95 | 1,3 | 6,2 | 9 |
32 | 1,34 | 6,35 | 8,55 | 1,55 | 7,19 | 9,8 |
34 | 1,55 | 7,21 | 9,21 | 1,79 | 8,18 | 10,64 |
36 | 1,81 | 8,25 | 9,98 | 2,11 | 9,43 | 11,61 |
38 | 2,11 | 9,44 | 10,8 | 2,5 | 10,98 | 12,78 |
40 | 2,46 | 10,84 | 11,73 | 2,93 | 12,7 | 13,95 |
42 | 2,87 | 12,5 | 12,77 | 3,46 | 14,86 | 15,39 |
44 | 3,37 | 14,48 | 13,96 | 4,11 | 17,7 | 17,04 |
45 | 3,66 | 15,64 | 14,64 | 4,49 | 18,96 | 17,96 |
Примечание. Значения коэффициентов A, B и D для прямоугольной формы подошвы фундамента приняты в соответствии с табл. 7 СНиП II-Б.1-62. |
4.2. Для подошвы фундамента в форме кольца или правильного многоугольника с круглым вырезом принимаются значения

, где
F - площадь подошвы данной формы, определяемая наружными размерами без учета выреза.
Примечание. В отдельных случаях, вместо увеличения наружного диаметра фундамента экономичнее его углубить.
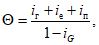
5. ОПРЕДЕЛЕНИЕ КРЕНА КОПРА
5.1. Крен копра

определяется по формуле

(4)
где iп - наклон основания от неравномерных просадок в результате горных выработок, принимаемый равным наклону поверхности на участке сооружения и определяемый маркшейдерскими расчетами в соответствии с "Указаниями по проектированию зданий и сооружений на подрабатываемых территориях" (СН 289-64) и "Руководством по расчету зданий и сооружений, проектируемых на подрабатываемых территориях" ВНИМИ и Донецкого Промстройниипроекта;
iг, iG, iе - наклоны копра и его фундамента в результате действия моментных нагрузок.
5.2. Моментные нагрузки от горизонтальных сил Mг, от эксцентрично приложенных вертикальных сил Mе и от отклонения центра тяжести копра при его наклоне MG определяются по формулам
Mг =
Thг;
Mе =
Ge;
MG =
Ghс, (5)
где T - равнодействующая нормативных горизонтальных нагрузок в Т;
hг - расстояние от точки приложения силы T до подошвы фундамента в м;
G - равнодействующая нормативных вертикальных нагрузок в Т;
e - эксцентриситет приложения равнодействующей G;
hс - расстояние от центра тяжести массы башни до подошвы фундамента в м.
5.3. Суммарная моментная нагрузка M, передаваемая на основание, определяется по формуле

(6)
5.4. Наклоны iг, iе и iG определяются соответственно по формулам:
при кольцевом фундаменте
при прямоугольном фундаменте с прямоугольным вырезом, расположенным симметрично относительно оси через центр фундамента:
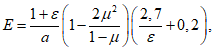
5.5. Коэффициент сжатия грунта основания C определяется по формулам:
при кольцевом фундаменте

(9)
при прямоугольном фундаменте с прямоугольным вырезом

(10)
E - модуль деформации;

- коэффициент Пуассона грунта;
r - радиус наружного кольца фундамента в м;
L - наружная сторона прямоугольного фундамента с вырезом, в направлении которой действует моментная нагрузка, в м;
b - наружная сторона прямоугольного фундамента с вырезом, нормальная L;
W - безразмерный коэффициент, определяемый по
табл. 4.
Таблица 4
Коэффициент W для определения коэффициента сжатия грунта C
| 0 | 0,04 | 0,16 | 0,36 | 0,64 | 1 |
W | 0,5 | 0,53 | 0,53 | 0,53 | 0,55 | |
r1 - радиус внутреннего кольца фундамента;

- отношение внутреннего радиуса кольца к наружному или отношение стороны выреза
L' к длине, параллельной ей,
L (рис. 2);

- отношение стороны выреза к величине, параллельной ей,
b;
A' - безразмерный коэффициент, определяемый по номограммам (
рис. 3 и
4) в зависимости от формы фундамента и выреза, а также отношения модуля упругости к модулю общей деформации грунта, обозначенного
K. Точные значения коэффициента
A даны в
табл. 1 приложения 1;
n - коэффициент формы подошвы фундамента, определяемый по
табл. 5 в зависимости от отношения размеров наружных сторон

.
Рис. 2. Планы фундаментов различных форм
Рис. 3. Номограмма для определения безразмерных
коэффициентов
t и

при кольцевом фундаменте
Рис. 4. Номограмма для определения безразмерных
коэффициентов
t и

при прямоугольном фундаменте с вырезом.
Значения
t и
A' для

при всех

принимать равными.
При

и

, значения
A и
t определять по кривой

Таблица 5
Коэффициент формы подошвы фундамента n
5.6. При фундаменте в виде двух опор, соответственно условным обозначениям, приведенным на
рис. 5, крен определяется также по
формулам (6) и
(8). При этом
A' в зависимости от
K находится по номограмме
(рис. 6).
Рис. 5. Планы фундаментов в виде отдельных опор.
Моментная нагрузка передается на фундамент
в направлении горизонтальной центральной оси
I-I - ось поворота подошвы фундамента;
II-II - центральная ось
Рис. 6. Номограмма для определения безразмерных
коэффициентов
t и
A' по известным значениям
K и

для фундаментов в виде двух прямоугольных опор
5.7. Если число опор (по две в ряд, см.
рис. 5) будет 2 или 3, то значение моментной нагрузки в
формуле (8) соответственно уменьшится в 2 или 3 раза.
5.8. При действии моментной нагрузки под углом к центральной оси через центры прямоугольных фундаментов общий крен копра следует определять в двух взаимно перпендикулярных направлениях на моментные нагрузки, полученные путем разложения общей моментной нагрузки по направлениям расчетных осей.
5.9. Указанное в
пп. 5.6 -
5.8 относится лишь к фундаментам с расстоянием между отдельными опорами больше двукратной ширины этих опор.
5.10. При фундаменте в виде трех опор, расположенных на расстоянии более 2,5 ширины опоры, соответственно с
рис. 5,
б, крен копра определяется в направлении действия одной опоры по формуле

(11)
где
A' и
t - определяются по номограмме
(рис. 7) и
табл. 2 приложения 1. Значения

,
t и

определяются в соответствии с
рис. 5 как
Рис. 7. Номограмма для определения коэффициентов
t и
A'
в зависимости от

для фундаментов в виде трех опор
при моментной нагрузке M в направлении одной опоры
5.11. Если моментная нагрузка действует в направлении двух опор (
рис. 5,
в), крен определяется по формуле

(13)
Рис. 8. Номограмма для определения коэффициентов
t и
A'
в зависимости от

для фундамента в виде трех опор
при моментной нагрузке в направлении двух опор
5.12. Значения нормативного давления на грунт и коэффициента сжатия основания при фундаментах в виде отдельных опор определяются соответственно по
формулам 3 (12) и
(10) как для одной опоры.
6. ОПРЕДЕЛЕНИЕ ДЕФОРМАЦИОННЫХ ХАРАКТЕРИСТИК ОСНОВАНИЯ
6.1. Модуль деформации грунта определяется при лабораторных испытаниях по формуле

(14)
где

- коэффициент пористости грунта до сжатия;
a - коэффициент уплотнения;

- коэффициент Пуассона грунта, принимаемый для разных видов грунтов по
табл. 6.
Таблица 6
Коэффициент Пуассона грунтов 
Грунты | Пески | Супеси | Суглинки | Глины |
| 0,27 | 0,3 | 0,35 | 0,42 |
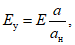
6.2. Модуль упругости грунта выражается формулой

(15)
где aн - коэффициент набухания, определяемый по ветви разгрузки компрессионной кривой при лабораторных испытаниях грунта.
6.3. Определенные по лабораторным испытаниям E и Eу могут быть использованы на стадии предварительных расчетов.
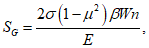
6.4. При полевых испытаниях грунтов круглыми штампами модуль деформации можно определять по формуле

(16)
где
S - полная осадка штампа при средней нагрузке на него

в
м;
D - диаметр круглого штампа в м.
Определение модуля упругости грунта производится также по
формуле (16), но вместо
S проставляется значение упругой деформации, получающейся после сброса нагрузки со штампа. Значение средней нагрузки при этом соответствует давлению, с которого начался сброс нагрузки.
7. ОПРЕДЕЛЕНИЕ ОСАДКИ БАШЕННОГО КОПРА
7.1. Осадку копра рекомендуется определять по формуле
где SG - осадка центра фундамента сооружения от вертикальных нагрузок на основание в м;
Sи - осадка фундамента от искривления основания в м;
Sм - осадка центра фундамента сооружения от моментных нагрузок.
7.2. При кольцевой форме фундамента SG определяется по формуле К.Е. Егорова:

(18)
7.3. При прямоугольной форме фундамента с прямоугольным вырезом осадка приближенно может определяться формулой

(19)
где

- среднее давление на основание, равное частному от деления вертикальных нормативных нагрузок на площадь подошвы фундамента, в
Т/
м2.
7.4. Осадка SG копра с фундаментами в виде отдельных равновеликих прямоугольных опор определяется как для одной опоры со средним усилием на нее, равным частному от давления общей вертикальной силы на число опор.
7.5. Осадка фундамента от моментной нагрузки при прямоугольной форме подошвы фундамента с вырезом находится как

(20)
7.6. Осадка центра кольцевого фундамента, вызванная только моментной нагрузкой, определяется по формуле

(21)
Значение безразмерного коэффициента
t определяется по номограммам (см.
рис. 3 и
4) в зависимости от отношения модуля упругости к модулю деформации
K и формы фундамента.
7.7. Осадка для фундаментов с четным числом отдельных опор, вызванная моментной нагрузкой, также определяется по
формуле (20), при этом
t находится по номограмме
(рис. 6).
7.8. При трехопорном фундаменте в зависимости от направления действия моментной нагрузки осадка центра опор определяется по формуле

(22)
где значение безразмерного коэффициента
t находится в зависимости от величины
K по номограмме на
рис. 7 и
8 при направлении действия моментной нагрузки в сторону одной или двух опор соответственно.
7.9. Осадка башни в результате воздействия горных разработок при искривлении основания по радиусу R может быть определена по формулам:
для кольцевого фундамента

(23)
для прямоугольного фундамента с вырезом

(24)
где

- расчетная осадка земной поверхности от воздействия горных разработок под центром фундамента
(рис. 9).
Рис. 9А. Схемы эпюр отпора основания при его перегибе
а - от веса сооружения и искривления основания;
б - от моментной нагрузки M; в - суммарная эпюра отпора
Рис. 9Б. Схемы эпюр отпора основания при его прогибе
а - от веса сооружения и искривления основания;
б - от моментной нагрузки; в - суммарная эпюра отпора
При перегибе земной поверхности в
формулах (23) и
(24) принимается знак "плюс", при прогибе - "минус".
7.10. При фундаментах с четным числом отдельных опор осадка башни в результате воздействия горных выработок
Sи находится по
формуле (24) соответственно схеме на
рис. 9.
7.11. Расчетные осадки и наклоны не должны превышать их предельных значений. Предельные осадки и наклоны башенных сооружений определяются согласно
СНиП II-Б.1-62*. Так, для башенных копров предельная осадка может быть принята равной 30
см, а предельные крены копров 0,004 при условии обеспечения бесперебойной работы механизмов шахтного подъема.
Примечание. Предельная осадка в 30
см принимается без учета расчетной осадки земной поверхности от воздействия горных разработок

.
8. ОПРЕДЕЛЕНИЕ ОТПОРА ГРУНТА ОСНОВАНИЯ
8.1. Давление на основание
P определяется в зависимости от формы фундамента и действующих нагрузок в соответствии со схемой на
рис. 9 по формуле
где PG - среднее давление на основание, равное частному от деления суммы вертикальных сил на площадь подошвы фундаментов, в Т/м2;
Pм - часть давлений, вызываемая только моментными нагрузками, в Т/м2;
Pи - часть давлений, возникающая от искривления основания и перераспределения отпора, в Т/м2.
8.2. При кольцевой форме фундамента краевые давления на грунт P и P2 от моментной нагрузки равны:

(26)
8.3. При прямоугольной подошве фундамента давления на основания определяются

(27)
где M - моментная нагрузка в Тм.
8.4. Нулевые значения давлений от моментной нагрузки (см.
рис. 9, б) находятся на расстоянии

от оси фундамента в направлении
P2.
При кольцевом и прямоугольном фундаментах соответственно

(28)
8.5. При фундаменте с четным числом опор давления на основание определяются
формулами (27) -
(28), в которых значение моментной нагрузки
M уменьшается во столько раз, сколько рядов отдельных опор располагается в направлении действия момента. Значения
t и
A' определяются по номограмме
(рис. 6).
8.6. Для трехопорного фундамента при моментной нагрузке, действующей в сторону одной опоры соответственно схеме
(рис. 5), давления на основание находятся по формулам:

(29)
где
A' и
t определяются по номограмме
(рис. 7).
Соответственно при действии момента в сторону двух опор

(30)
где
A' и
t находятся по номограмме
(рис. 8).
8.7. Нулевые давления от моментной нагрузки находятся на расстоянии

от центра тяжести площадей трех опор в направлении
P2:

(31)
При искривлении основания в результате горных выработок по радиусу R давления на основание определяются при кольцевом фундаменте как

(32)
при прямоугольном фундаменте с прямоугольным вырезом

(33)
8.8. Границами применимости вышеуказанных расчетных зависимостей являются давления на основание в пределах
0 <= P <= 1,2Rн. (34)
8.9. При отсутствии данных по определению значений для приближенных расчетов кренов копров допускается принимать K равным единице.
При этом значение
C, определенное по
формулам (9) -
(10), следует умножить на 1,7.
При K, равном единице, t равно нулю, а значение A' при кольцевом фундаменте выражается формулой

(35)
При прямоугольном фундаменте с вырезом

(36)
ТАБЛИЦЫ ЗНАЧЕНИЙ K И A' ДЛЯ РАЗЛИЧНЫХ ФУНДАМЕНТОВ
Таблица 1
Значения коэффициентов K и A' в зависимости от t,
, 
при прямоугольном фундаменте с вырезом
| | |
t | 0,1 | 0,2 | 0,3 | 0,4 | 0,5 | 0,6 | 0,7 | 0,8 | 0,9 |
0 | | 1 | 1 | 1 | 1 | 1 | 1 | 1 | 1 | 1 |
| 2 | 1,998 | 1,995 | 1,987 | 1,975 | 1,957 | 1,931 | 1,898 | 1,854 |
0,1 | 1,494 | 1,489 | 1,485 | 1,481 | 1,479 | 1,479 | 1,489 | 1,481 | 1,484 | 1,488 |
2,42 | 2,416 | 2,411 | 2,403 | 2,393 | 2,378 | 2,356 | 2,327 | 2,289 | 2,24 |
0,2 | 2,25 | 2,238 | 2,225 | 2,214 | 2,208 | 2,205 | 2,205 | 2,21 | 2,219 | 2,232 |
2,88 | 2,871 | 2,861 | 2,849 | 2,835 | 2,816 | 2,792 | 2,759 | 2,716 | 2,661 |
0,3 | 3,449 | 3,425 | 3,4 | 3,376 | 3,356 | 3,346 | 3,345 | 3,354 | 3,374 | 3,405 |
3,38 | 3,336 | 3,351 | 3,333 | 3,313 | 3,291 | 3,263 | 3,226 | 3,179 | 3,119 |
0,4 | 5,445 | 5,4 | 5,356 | 5,311 | 5,267 | 5,234 | 5,525 | 5,239 | 5,279 | 5,346 |
3,92 | 3,901 | 3,88 | 3,857 | 3,83 | 3,801 | 3,768 | 3,729 | 3,678 | 3,612 |
0,5 | 9 | 8,92 | 8,84 | 8,76 | 8,68 | 8,6 | 8,55 | 8,561 | 8,635 | 8,778 |
4,5 | 4,475 | 4,448 | 4,42 | 4,387 | 4,35 | 4,31 | 4,266 | 4,211 | 4,142 |
0,6 | 16 | 15,85 | 15,7 | 15,55 | 15,4 | 15,25 | 15,1 | 15,038 | 15,154 | 15,464 |
5,12 | 5,089 | 5,056 | 5,021 | 4,982 | 4,939 | 4,89 | 4,837 | 4,779 | 4,706 |
0,7 | 32,111 | 31,8 | 31,489 | 31,178 | 30,866 | 30,555 | 30,244 | 29,933 | 29,944 | 30,628 |
5,78 | 5,742 | 5,703 | 5,661 | 5,616 | 5,566 | 5,51 | 5,447 | 5,381 | 5,306 |
0,8 | 81 | 80,2 | 79,4 | 78,6 | 77,8 | 77 | 76,2 | 75,4 | 74,6 | 75,667 |
6,48 | 6,435 | 6,389 | 6,34 | 6,288 | 6,231 | 6,168 | 6,098 | 6,019 | 5,938 |
0,9 | 361 | 357,4 | 353,8 | 352,2 | 346,6 | 343 | 339,4 | 335,8 | 332,2 | 328,6 |
7,22 | 7,168 | 7,114 | 7,058 | 6,998 | 6,934 | 6,864 | 6,786 | 6,7 | 6,604 |
Продолжение табл. 1
| |
t | 0,1 | 0,2 | 0,3 | 0,4 | 0,5 | 0,6 | 0,7 | 0,8 | 0,9 |
0 | 1 | 1 | 1 | 1 | 1 | 1 | 1 | 1 | 1 |
2 | 1,997 | 1,989 | 1,974 | 1,95 | 1,914 | 1,863 | 1,795 | 1,708 |
0,1 | 1,484 | 1,475 | 1,469 | 1,465 | 1,463 | 1,463 | 1,466 | 1,472 | 1,481 |
2,411 | 2,401 | 2,387 | 2,365 | 2,336 | 2,293 | 2,234 | 2,157 | 2,059 |
0,2 | 2,225 | 2,2 | 2,179 | 2,165 | 2,158 | 2,158 | 2,16 | 2,183 | 2,21 |
2,862 | 2,842 | 2,818 | 2,79 | 2,752 | 2,703 | 2,637 | 2,552 | 2,442 |
0,3 | 3,4 | 3,351 | 3,302 | 3,262 | 3,241 | 3,237 | 3,253 | 3,291 | 3,354 |
3,352 | 3,332 | 3,286 | 3,247 | 3,201 | 3,144 | 3,071 | 2,977 | 2,857 |
0,4 | 5,356 | 5,267 | 5,178 | 5,089 | 5,022 | 5 | 5,023 | 5,098 | 5,232 |
3,881 | 3,84 | 3,794 | 3,741 | 3,682 | 3,616 | 3,536 | 3,434 | 3,304 |
0,5 | 8,84 | 8,68 | 8,52 | 8,36 | 8,2 | 8,097 | 8,107 | 8,242 | 8,523 |
4,45 | 4,397 | 4,339 | 4,274 | 4,2 | 4,119 | 4,03 | 3,921 | 3,783 |
0,6 | 15,7 | 15,5 | 15,1 | 14,8 | 14,5 | 14,2 | 14,063 | 14,263 | 14,859 |
5,057 | 4,992 | 4,922 | 4,845 | 4,758 | 4,659 | 4,554 | 4,437 | 4,292 |
0,7 | 31,489 | 30,866 | 30,244 | 29,622 | 29 | 28,378 | 27,755 | 27,728 | 29 |
5,704 | 5,626 | 5,542 | 5,542 | 5,352 | 5,24 | 5,114 | 4,981 | 4,83 |
0,8 | 79,4 | 77,8 | 76,2 | 74,6 | 73 | 71,4 | 69,8 | 68,2 | 70,053 |
6,39 | 6,298 | 6,2 | 6,096 | 5,982 | 5,856 | 5,716 | 5,558 | 5,396 |
0,9 | 353,8 | 346,6 | 339,4 | 332,2 | 325 | 317,8 | 310,6 | 303,4 | 296,2 |
7,115 | 7,008 | 6,896 | 6,777 | 6,648 | 6,507 | 6,352 | 6,18 | 5,989 |
Продолжение табл. 1
| |
t | 0,1 | 0,2 | 0,3 | 0,4 | 0,5 | 0,6 | 0,7 | 0,8 | 0,9 |
0 | 1 | 1 | 1 | 1 | 1 | 1 | 1 | 1 | 1 |
1,999 | 1,995 | 1,984 | 1,962 | 1,925 | 1,87 | 1,794 | 1,693 | 1,563 |
0,1 | 1,479 | 1,466 | 1,456 | 1,45 | 1,446 | 1,446 | 1,45 | 1,459 | 1,473 |
2,406 | 2,391 | 2,37 | 2,339 | 2,293 | 2,228 | 2,141 | 2,026 | 1,878 |
0,2 | 2,213 | 2,175 | 1,143 | 2,121 | 2,109 | 2,108 | 2,119 | 2,143 | 2,185 |
2,853 | 2,822 | 2,787 | 2,744 | 2,688 | 2,613 | 2,515 | 2,386 | 2,222 |
0,3 | 3,376 | 3,302 | 3,229 | 3,168 | 3,134 | 3,125 | 3,145 | 3,198 | 3,293 |
3,338 | 3,292 | 3,24 | 3,18 | 3,111 | 3,025 | 2,915 | 2,775 | 2,595 |
0,4 | 5,311 | 5,178 | 5,045 | 4,911 | 4,81 | 4,77 | 4,796 | 4,897 | 5,098 |
3,862 | 3,8 | 3,731 | 3,651 | 3,563 | 3,463 | 3,342 | 3,189 | 2,995 |
0,5 | 8,76 | 8,52 | 8,28 | 8,04 | 7,8 | 7,64 | 7,639 | 7,816 | 8,228 |
4,424 | 4,345 | 4,259 | 4,162 | 4,05 | 3,928 | 3,793 | 3,63 | 3,422 |
0,6 | 15,55 | 15,1 | 14,65 | 14,2 | 13,75 | 13,3 | 13,076 | 13,324 | 14,17 |
5,026 | 4,928 | 4,823 | 4,707 | 4,577 | 4,429 | 4,27 | 4,094 | 3,876 |
0,7 | 31,178 | 30,244 | 29,311 | 28,378 | 27,444 | 26,511 | 25,578 | 25,459 | 27,21 |
5,666 | 5,548 | 5,424 | 5,288 | 5,138 | 4,97 | 4,78 | 4,58 | 4,354 |
0,8 | 78,6 | 76,2 | 73,8 | 71,4 | 69 | 66,6 | 64,2 | 61,8 | 64,135 |
6,345 | 6,206 | 6,061 | 5,904 | 5,733 | 5,544 | 5,533 | 5,098 | 4,852 |
0,9 | 350,2 | 339,4 | 328,6 | 317,8 | 307 | 296,2 | 285,4 | 274,6 | 263,8 |
7,063 | 6,902 | 6,734 | 6,555 | 6,362 | 6,151 | 5,918 | 5,66 | 5,373 |
Продолжение табл. 1
| |
t | 0,1 | 0,2 | 0,3 | 0,4 | 0,5 | 0,6 | 0,7 | 0,8 | 0,9 |
0 | 1 | 1 | 1 | 1 | 1 | 1 | 1 | 1 | 1 |
1,999 | 1,994 | 1,978 | 1,949 | 1,9 | 1,827 | 1,726 | 1,59 | 1,417 |
0,1 | 1,474 | 1,457 | 1,443 | 1,434 | 1,428 | 1,428 | 1,432 | 1,443 | 1,462 |
2,402 | 2,382 | 2,353 | 2,311 | 2,25 | 2,164 | 2,047 | 1,893 | 1,698 |
0,2 | 2,2 | 2,15 | 2,107 | 2,077 | 2,06 | 2,056 | 2,067 | 2,097 | 2,153 |
2,844 | 2,803 | 2,756 | 2,698 | 2,623 | 2,523 | 2,391 | 2,22 | 2,003 |
0,3 | 3,351 | 3,253 | 3,155 | 3,074 | 3,025 | 3,009 | 3,028 | 3,092 | 3,22 |
3,324 | 3,263 | 3,193 | 3,113 | 3,02 | 2,905 | 2,758 | 2,571 | 2,332 |
0,4 | 5,267 | 5,089 | 4,911 | 4,733 | 4,596 | 4,535 | 4,556 | 4,676 | 4,938 |
3,842 | 3,76 | 3,668 | 3,562 | 3,443 | 3,309 | 3,146 | 2,943 | 2,685 |
0,5 | 8,68 | 8,36 | 8,04 | 7,72 | 7,4 | 7,179 | 7,154 | 7,355 | 7,882 |
4,399 | 4,294 | 4,178 | 4,049 | 3,9 | 3,737 | 3,555 | 3,336 | 3,061 |
0,6 | 15,4 | 14,8 | 14,2 | 13,6 | 13 | 12,4 | 12,077 | 12,333 | 13,387 |
4,994 | 4,864 | 4,724 | 4,57 | 4,396 | 4,198 | 3,985 | 3,748 | 3,458 |
0,7 | 30,866 | 28,622 | 28,378 | 27,133 | 25,89 | 24,644 | 23,4 | 23,14 | 25,217 |
5,628 | 5,471 | 5,305 | 5,124 | 4,924 | 4,7 | 4,447 | 4,179 | 3,875 |
0,8 | 77,8 | 74,6 | 71,4 | 68,2 | 65 | 61,8 | 58,6 | 55,4 | 57,89 |
6,3 | 6,115 | 5,921 | 5,712 | 5,484 | 5,232 | 4,951 | 4,637 | 4,307 |
0,9 | 346,6 | 332,2 | 317,8 | 303,4 | 289 | 274,6 | 260 | 245,8 | 231,4 |
7,01 | 6,796 | 6,572 | 6,334 | 6,076 | 5,794 | 5,484 | 5,14 | 4,758 |
Продолжение табл. 1
| |
t | 0,1 | 0,2 | 0,3 | 0,4 | 0,5 | 0,6 | 0,7 | 0,8 | 0,9 |
0 | 1 | 1 | 1 | 1 | 1 | 1 | 1 | 1 | 1 |
1,999 | 1,992 | 1,973 | 1,936 | 1,875 | 1,784 | 1,657 | 1,488 | 1,271 |
0,1 | 1,469 | 1,447 | 1,43 | 1,418 | 1,411 | 1,409 | 1,413 | 1,424 | 1,449 |
2,398 | 2,372 | 2,336 | 2,283 | 2,206 | 2,098 | 1,952 | 1,761 | 1,516 |
0,2 | 2,188 | 2,125 | 2,071 | 2,032 | 2,008 | 2 | 2,01 | 2,044 | 2,114 |
2,835 | 2,784 | 2,725 | 2,652 | 2,556 | 2,432 | 2,267 | 2,054 | 1,782 |
0,3 | 3,327 | 3,204 | 3,082 | 2,979 | 2,915 | 2,888 | 2,902 | 2,973 | 3,129 |
3,31 | 3,234 | 3,146 | 3,046 | 2,929 | 2,784 | 2,6 | 2,365 | 2,068 |
0,4 | 5,222 | 5 | 4,778 | 4,556 | 4,38 | 4,294 | 4,302 | 4,429 | 4,745 |
3,823 | 3,72 | 3,605 | 3,472 | 3,324 | 3,154 | 2,95 | 2,695 | 2,374 |
0,5 | 8,6 | 8,2 | 7,8 | 7,4 | 7 | 6,714 | 6,652 | 6,854 | 7,471 |
4,374 | 4,242 | 4,098 | 3,936 | 3,75 | 3,545 | 3,316 | 3,041 | 2,7 |
0,6 | 15,25 | 14,5 | 13,75 | 13 | 12,25 | 11,5 | 11,065 | 11,286 | 12,478 |
4,963 | 4,8 | 4,625 | 4,432 | 4,215 | 3,968 | 3,7 | 3,401 | 3,039 |
0,7 | 30,555 | 29 | 27,444 | 25,889 | 24,333 | 22,778 | 21,222 | 20,765 | 23 |
5,59 | 5,394 | 5,186 | 4,96 | 4,71 | 4,43 | 4,114 | 3,776 | 3,394 |
0,8 | 77 | 78 | 69 | 65 | 61 | 57 | 53 | 49 | 51,285 |
6,255 | 6,024 | 5,781 | 5,52 | 5,235 | 4,92 | 4,569 | 4,176 | 3,76 |
0,9 | 343 | 325 | 307 | 289 | 271 | 253 | 235 | 217 | 199 |
6,968 | 6,69 | 6,41 | 6,112 | 5,79 | 5,438 | 5,05 | 4,62 | 4,142 |
Продолжение табл. 1
| |
t | 0,1 | 0,2 | 0,3 | 0,4 | 0,5 | 0,6 | 0,7 | 0,8 | 0,9 |
0 | 1 | 1 | 1 | 1 | 1 | 1 | 1 | 1 | 1 |
1,999 | 1,99 | 1,968 | 1,923 | 1,85 | 1,741 | 1,558 | 1,386 | 1,125 |
0,1 | 1,464 | 1,438 | 1,417 | 1,402 | 1,392 | 1,388 | 1,391 | 1,403 | 1,432 |
2,394 | 2,362 | 2,319 | 2,256 | 2,163 | 2,033 | 1,857 | 1,628 | 1,335 |
0,2 | 2,175 | 2,1 | 2,035 | 1,987 | 1,956 | 1,941 | 1,947 | 1,981 | 2,064 |
2,826 | 2,765 | 2,694 | 2,606 | 2,492 | 2,34 | 2,141 | 1,886 | 1,561 |
0,3 | 3,302 | 3,155 | 3,008 | 2,884 | 2,803 | 2,762 | 2,767 | 2,835 | 3,015 |
3,296 | 3,205 | 3,099 | 2,979 | 2,838 | 2,662 | 2,44 | 2,158 | 1,804 |
0,4 | 5,178 | 4,911 | 4,645 | 4,378 | 4,164 | 4,048 | 4,033 | 4,152 | 4,505 |
3,804 | 3,68 | 3,542 | 3,382 | 3,204 | 2,999 | 2,751 | 2,445 | 2,061 |
0,5 | 8,52 | 8,04 | 7,56 | 7,08 | 6,6 | 6,246 | 6,133 | 6,306 | 6,974 |
4,349 | 4,19 | 4,018 | 3,823 | 3,6 | 3,354 | 3,075 | 2,743 | 2,333 |
0,6 | 15,1 | 14,2 | 13,3 | 12,4 | 11,5 | 10,6 | 10,039 | 10,177 | 11,42 |
4,932 | 4,736 | 4,526 | 4,294 | 4,034 | 3,738 | 3,414 | 3,052 | 2,617 |
0,7 | 30,244 | 28,378 | 26,511 | 24,644 | 22,778 | 20,911 | 19,044 | 18,334 | 20,515 |
5,552 | 5,317 | 5,067 | 4,796 | 4,496 | 4,16 | 3,781 | 3,372 | 2,911 |
0,8 | 76,2 | 71,4 | 66,6 | 61,8 | 57 | 52,2 | 47,4 | 42,6 | 44,295 |
6,21 | 5,933 | 5,641 | 5,328 | 4,986 | 4,608 | 4,187 | 3,715 | 3,212 |
0,9 | 339,4 | 317,8 | 296,3 | 274,6 | 253 | 231,4 | 209,8 | 188,2 | 166,6 |
6,906 | 6,584 | 6,248 | 5,89 | 5,504 | 5,082 | 4,616 | 4,1 | 3,526 |
Продолжение табл. 1
| |
t | 0,1 | 0,2 | 0,3 | 0,4 | 0,5 | 0,6 | 0,7 | 0,8 | 0,9 |
0 | 1 | 1 | 1 | 1 | 1 | 1 | 1 | 1 | 1 |
1,999 | 1,989 | 1,962 | 1,91 | 1,825 | 1,698 | 1,52 | 1,283 | 0,979 |
0,1 | 1,459 | 1,428 | 1,404 | 1,386 | 1,373 | 1,365 | 1,366 | 1,377 | 1,409 |
2,389 | 2,352 | 2,302 | 2,227 | 2,119 | 1,967 | 1,762 | 1,494 | 1,153 |
0,2 | 2,163 | 2,075 | 1,999 | 1,941 | 1,901 | 1,879 | 1,877 | 1,907 | 1,997 |
2,817 | 2,746 | 2,662 | 2,56 | 2,425 | 2,247 | 2,015 | 1,716 | 1,339 |
0,3 | 3,278 | 3,106 | 2,935 | 2,789 | 2,668 | 2,63 | 2,619 | 2,676 | 2,866 |
3,282 | 3,176 | 3,052 | 2,912 | 2,746 | 2,539 | 2,278 | 1,949 | 1,537 |
0,4 | 5,133 | 4,822 | 4,511 | 4,2 | 3,946 | 3,795 | 3,748 | 3,839 | 4,2 |
3,784 | 3,64 | 3,479 | 3,923 | 3,083 | 2,843 | 2,551 | 2,192 | 1,746 |
0,5 | 8,44 | 7,88 | 7,32 | 6,76 | 6,2 | 5,774 | 5,595 | 5,706 | 6,362 |
4,324 | 4,139 | 3,937 | 3,71 | 3,45 | 3,161 | 2,833 | 2,443 | 1,965 |
0,6 | 14,95 | 13,9 | 12,85 | 11,8 | 10,75 | 9,7 | 9 | 9 | 10,154 |
4,9 | 4,672 | 4,427 | 4,157 | 3,853 | 3,507 | 3,128 | 2,701 | 1,192 |
0,7 | 29,933 | 27,755 | 25,578 | 23,4 | 21,222 | 19,044 | 16,867 | 15,843 | 17,71 |
5,514 | 5,24 | 4,948 | 4,632 | 4,282 | 3,89 | 3,448 | 2,967 | 2,425 |
0,8 | 75,4 | 69,8 | 64,2 | 58,6 | 53 | 47,4 | 41,8 | 36,2 | 36,879 |
6,166 | 5,842 | 5,501 | 5,136 | 4,737 | 4,296 | 3,805 | 3,254 | 2,662 |
0,9 | 335,8 | 310,6 | 285,4 | 260,2 | 235 | 209,8 | 184,6 | 159,4 | 134,2 |
6,853 | 6,478 | 6,086 | 5,669 | 5,218 | 4,725 | 4,182 | 3,58 | 2,911 |
Продолжение табл. 1
| |
t | 0,1 | 0,2 | 0,3 | 0,4 | 0,5 | 0,6 | 0,7 | 0,8 | 0,9 |
0 | 1 | 1 | 1 | 1 | 1 | 1 | 1 | 1 | 1 |
1,998 | 1,987 | 1,957 | 1,898 | 1,8 | 1,754 | 1,451 | 1,181 | 0,834 |
0,1 | 1,454 | 1,419 | 1,39 | 1,369 | 1,352 | 1,341 | 1,337 | 1,345 | 1,376 |
2,385 | 2,343 | 2,285 | 2,189 | 2,075 | 1,9 | 1,665 | 1,359 | 0,971 |
0,2 | 2,15 | 2,05 | 1,962 | 1,895 | 1,845 | 1,813 | 1,8 | 1,818 | 1,903 |
2,808 | 2,726 | 2,631 | 2,513 | 2,358 | 2,154 | 1,886 | 1,545 | 1,115 |
0,3 | 3,253 | 3,057 | 2,861 | 2,693 | 2,572 | 2,493 | 2,459 | 2,49 | 2,663 |
3,268 | 3,146 | 3,006 | 2,844 | 2,653 | 2,415 | 2,114 | 1,737 | 1,268 |
0,4 | 5,089 | 4,733 | 4,378 | 4,022 | 3,727 | 3,537 | 3,444 | 3,483 | 3,8 |
3,765 | 3,6 | 3,416 | 3,203 | 2,963 | 2,683 | 2,349 | 1,936 | 1,427 |
0,5 | 8,36 | 7,72 | 7,08 | 6,44 | 5,8 | 5,298 | 5,037 | 5,045 | 5,59 |
4,298 | 4,087 | 3,857 | 3,598 | 3,3 | 2,968 | 2,59 | 2,139 | 1,529 |
0,6 | 14,8 | 13,6 | 12,40 | 11,2 | 10 | 8,8 | 7,947 | 7,75 | 8,637 |
4,869 | 4,608 | 4,328 | 4,019 | 3,672 | 3,277 | 2,841 | 2,347 | 1,762 |
0,7 | 29,622 | 27,133 | 24,644 | 22,155 | 19,667 | 17,178 | 14,689 | 13,293 | 14,517 |
5,476 | 5,162 | 4,83 | 4,468 | 4,068 | 3,62 | 3,114 | 2,561 | 1,935 |
0,8 | 74,6 | 68,2 | 61,8 | 55,4 | 49 | 42,6 | 36,2 | 29,8 | 29 |
6,12 | 5,75 | 5,362 | 4,944 | 4,488 | 3,984 | 3,422 | 2,794 | 2,11 |
0,9 | 332,2 | 303,4 | 274,6 | 245,8 | 217 | 188,2 | 159,4 | 130,6 | 101,8 |
6,8 | 6,372 | 5,924 | 5,447 | 4,932 | 4,369 | 3,748 | 3,06 | 2,295 |
Продолжение табл. 1
| |
t | 0,1 | 0,2 | 0,3 | 0,4 | 0,5 | 0,6 | 0,7 | 0,8 | 0,9 |
0 | 1 | 1 | 1 | 1 | 1 | 1 | 1 | 1 | 1 |
1,998 | 1,986 | 1,951 | 1,885 | 1,775 | 1,611 | 1,383 | 1,078 | 0,688 |
0,1 | 1,449 | 1,409 | 1,377 | 1,351 | 1,33 | 1,315 | 1,305 | 1,304 | 1,325 |
2,38 | 2,333 | 2,268 | 2,171 | 2,03 | 1,833 | 1,568 | 1,223 | 0,786 |
0,2 | 2,138 | 2,024 | 1,926 | 1,848 | 1,787 | 1,742 | 1,713 | 1,709 | 1,764 |
2,799 | 2,707 | 2,606 | 2,466 | 2,291 | 2,059 | 1,756 | 1,371 | 0,889 |
0,3 | 3,229 | 3,008 | 2,788 | 2,597 | 2,454 | 2,35 | 2,283 | 2,268 | 2,374 |
3,254 | 3,117 | 2,959 | 2,777 | 2,56 | 2,29 | 1,949 | 1,522 | 0,995 |
0,4 | 5,045 | 4,645 | 4,245 | 3,845 | 3,507 | 3,272 | 3,122 | 3,074 | 3,252 |
3,745 | 3,56 | 3,353 | 3,114 | 2,842 | 2,527 | 2,145 | 1,676 | 1,103 |
0,5 | 8,28 | 7,56 | 6,84 | 6,12 | 5,4 | 4,818 | 4,458 | 4,314 | 4,585 |
4,273 | 4,036 | 3,776 | 3,485 | 3,15 | 2,775 | 2,345 | 1,832 | 1,214 |
0,6 | 14,65 | 13,3 | 11,95 | 10,6 | 9,25 | 7,9 | 6,881 | 6,419 | 6,772 |
4,837 | 4,544 | 4,229 | 3,882 | 3,491 | 3,046 | 2,553 | 1,991 | 1,327 |
0,7 | 29,311 | 26,511 | 23,711 | 20,911 | 18,111 | 15,311 | 12,511 | 10,679 | 10,852 |
5,438 | 5,085 | 4,711 | 4,304 | 3,854 | 3,35 | 2,781 | 2,154 | 1,442 |
0,8 | 73,8 | 66,6 | 59,4 | 52,2 | 45 | 37,8 | 30,6 | 23,4 | 20,613 |
6,075 | 5,659 | 5,222 | 4,752 | 4,239 | 3,672 | 3,04 | 2,333 | 1,557 |
0,9 | 328,6 | 296,2 | 263,8 | 231,4 | 119 | 166,6 | 134,2 | 101,8 | 69,4 |
6,748 | 6,266 | 5,762 | 5,226 | 4,646 | 4,012 | 3,314 | 2,54 | 1,68 |
<*> Верхние цифры всех граф - значения K.<**> Нижние цифры - значения A'. |
Таблица 2
Значения коэффициентов K и A' в зависимости от t и 
для фундамента из трех опор (M действует в направлении
одной опоры)
| 0,1 | 0,2 | 0,3 | 0,4 | 0,5 | 0,6 | 0,7 | 0,8 | 0,9 | 1 |
t |
1 | 2 | 3 | 4 | 5 | 6 | 7 | 8 | 9 | 10 | 11 |
0 | | 1 | 1 | 1 | 1 | 1 | 1 | 1 | 1 | 1 |
| 0,156 | 0,231 | 0,306 | 0,383 | 0,463 | 0,549 | 0,637 | 0,745 | 0,872 |
0,033 | 1,17 | 1,17 | 1,17 | 1,17 | 1,17 | 1,17 | 1,16 | 1,16 | 1,16 | 1,15 |
0,081 | 0,158 | 0,234 | 0,311 | 0,39 | 0,473 | 0,568 | 0,666 | 0,78 | 0,929 |
0,083 | 1,5 | 1,5 | 1,5 | 1,5 | 1,5 | 1,5 | 1,48 | 1,47 | 1,46 | 1,44 |
0,085 | 0,166 | 0,247 | 0,321 | 0,416 | - | - | - | - | - |
0,133 | 2 | 2 | 2 | 2 | 1,97 | 1,96 | 1,92 | 1,88 | 1,84 | 1,8 |
0,087 | 0,173 | 0,268 | 0,347 | 0,436 | 0,537 | 0,651 | 0,787 | 0,944 | 1,125 |
0,183 | 2,83 | 2,83 | 2,83 | 2,79 | 2,72 | 2,63 | 2,54 | 2,45 | 2,37 | 2,3 |
0,09 | 0,179 | 0,27 | 0,361 | 0,468 | 0,575 | 0,706 | 0,86 | 1,035 | 1,235 |
0,233 | 4,5 | 4,5 | 4,36 | 4,11 | 3,85 | 3,62 | 3,21 | 3,25 | 3,07 | 2,95 |
0,092 | 0,187 | 0,277 | 0,374 | 0,485 | 0,61 | 0,753 | 0,921 | 1,08 | 1,33 |
0,3 | 13,96 | 11,12 | 9,03 | 7,61 | 6,6 | 5,86 | 6,29 | | 4,44 | 4,17 |
0,098 | 0,197 | 0,301 | 0,417 | 0,547 | 0,694 | 0,885 | 1,063 | 1,28 | 1,53 |
0,4 | - | 217 | 52,84 | 28 | 23,3 | 14,22 | 11,46 | 8,89 | 8,32 | 7,37 |
0,248 | 0,404 | 0,539 | 0,71 | 0,825 | 1,03 | 1,26 | 1,514 | 1,8 |
0,5 | - | - | - | 541 | 121 | 51,62 | 39,24 | 23,04 | 17,72 | 14,5 |
0,567 | 0,756 | 0,971 | 1,21 | 1,475 | 1,765 | 2,093 |
0,6 | - | - | - | - | - | 972 | 182,44 | 82 | 49,1 | 34 |
1,13 | 1,4 | 1,71 | 2,03 | 2,4 |
0,7 | - | - | - | - | - | - | - | 168 | 265 | 119,2 |
1,95 | 2,32 | 2,72 |
<*> Верхние цифры всех граф - значения K.<**> Нижние цифры - значения A'. |
Таблица 3
Значения коэффициентов K и A' для фундаментов из трех опор
(M действует в направлении двух опор)
| 0,1 | 0,2 | 0,3 | 0,4 | 0,5 | 0,6 | 0,7 | 0,8 | 0,9 | 1 |
t |
0 | | 1 | 1 | 1 | 1 | 1 | 1 | 1 | 1 | 1 |
| 0,313 | 0,429 | 0,53 | 0,625 | 0,718 | 0,81 | 0,903 | 1 | 1,1 |
0,1 | 1,53 | 1,53 | 1,53 | 1,53 | 1,53 | 1,53 | 1,53 | 1,53 | 1,53 | 1,53 |
0,18 | 0,331 | 0,461 | 0,577 | 0,69 | 0,799 | 0,902 | 1,023 | 1,127 | 1,248 |
0,2 | 2,28 | 2,28 | 2,28 | 2,28 | 2,28 | 2,28 | 2,28 | 2,28 | 2,28 | 2,28 |
0,183 | 0,342 | 0,472 | 0,612 | 0,738 | 0,862 | 0,987 | 1,11 | 1,24 | 1,38 |
0,3 | 3,45 | 3,45 | 3,45 | 3,45 | 3,45 | 3,45 | 3,45 | 3,44 | 3,43 | 3,42 |
0,186 | 0,351 | 0,502 | 0,642 | 0,782 | 0,918 | 1,062 | 1,2 | 1,355 | 1,505 |
0,4 | 5,5 | 5,5 | 5,5 | 5,5 | 5,5 | 5,48 | 5,42 | 5,32 | 5,22 | 5,07 |
0,188 | 0,359 | 0,518 | 0,67 | 0,824 | 0,98 | 1,135 | 1,295 | 1,46 | 1,63 |
0,5 | 10 | 10 | 10 | 9,94 | 9,65 | 9,26 | 8,85 | 8,68 | 7,94 | 7,75 |
0,189 | 0,365 | 0,536 | 0,706 | 0,874 | 1,042 | 1,215 | 1,39 | 1,565 | 1,75 |
0,6 | 28 | 26 | 23,5 | 21,2 | 18,9 | 17,5 | 15,5 | 14,25 | 13,3 | 12,55 |
0,192 | 0,379 | 0,562 | 0,742 | 0,926 | 1,105 | 1,29 | 1,48 | 1,67 | 1,865 |
<*> Верхние цифры всех граф - значения K.<**> Нижние цифры - значения A'. |
Исходные данные
Цилиндрический башенный копер диаметром 18 м.
Вес надфундаментной части 8500 т.
Основание должно подвергаться воздействию ветровых нагрузок и неравномерных просадок основания от воздействия горных разработок.
Наружный диаметр шейки ствола Dш = 8 м.
Равнодействующая ветрового давления T = 80 Т на высоте 47 м от поверхности земли.
Центр тяжести копра на оси симметрии. От воздействия горных разработок ожидаются неравномерные просадки основания с наклоном iп = 0,45·10-3 и перегибом по радиусу искривления R = 10 км.
При этом центр фундамента по расчету получит дополнительную осадку
.
Грунт основания - суглинок.
Модуль деформации E = 2000 Т/м2 и модуль упругости Eу = 4000 Т/м2.
Объемный вес грунта 1,8
т/
м3. Коэффициент Пуассона грунта

.
Угол внутреннего трения

.
Сцепление Cн = 3 Т/м2.
Требуется
Запроектировать размеры фундамента, определить крен и осадки копра и давления на его основание.
Решение
Для цилиндрического копра целесообразно принять кольцевой фундамент. Диаметр внутренней части определяется в соответствии с
п. 3.2:
Dв = Dш + 2 м = 10 м.
Наружный диаметр принимаем равным диаметру цилиндра
Dн = 18
м. Тогда площадь фундамента
F1 = 176
м2. Глубину заложения фундамента в соответствии с главой
СНиП II-Б.1-62* и
разделом 2 настоящего Руководства принимаем равной 3
м. На основании принятых размеров определяем нормативное давление на грунт
Rн (
пп. 4.1,
4.2):
При этом вес фундамента

Общий вес копра G = 8500 + 1280 = 9780 т.
Определяем площадь фундамента при

:
Так как
F2 >
F1, увеличим наружный диаметр фундаментного кольца до 19
м. Тогда
F2 будет равна 206
м. При этом изменится
Rн на

:
При

вес фундамента
Cф = 1500, т.е. вес копра
G = 10 000
т. При этом расстояние от центра тяжести копра до подошвы фундамента
hс равно 40
м. Расстояние
kг от силы
T до подошвы фундамента будет равно 50
м. При полученных данных определяем моментные нагрузки, передаваемые на основание.
Mе = 0;
Mг = 80·50 = 4000 Т·м.
MG = 10 000·40 = 400 000 Т·м.
Определим значение
K и

:
t = 0,17; A' = 3,9.
т.е. расчетный крен меньше предельно допустимого. Суммарный момент, действующий на основание, определяем по
формуле (6):
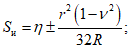
M = 4000 + 10 000·40·3,95·10-3 = 5580 Т·м.
SM = 0,5·0,17·2,65·10-3 = 0,0043 м;
S = 0,268 + 0,0043 + 0,1002 = 0,372 м,
т.е. осадка копра меньше предельно допустимой осадки даже с учетом

.
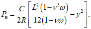
Максимальное краевое давление на основание находится по
формуле (25), в которой
PG = Rн = 53,8 Т/м2;
Pмакс = 53,8 + 7,8 - 0,74 = 60,86 Т/м2.
Максимально допустимое давление на основание равно

, т.е. выше максимального расчетного давления. Минимальное расчетное краевое давление должно быть больше нуля.
Pмин = Rн - P2 - Pн = 53,8 - 11 - 0,74 = 42,06 Т/м2,
т.е. Pмин > 0, и проведенные расчеты отвечают граничным условиям.
Теперь определим крен копра при тех же исходных данных, за исключением формы подошвы фундамента, приняв ее в виде прямоугольника с прямоугольным вырезом. При этом длинная сторона фундамента L = 20 м, короткая b = 16 м. Соответственно параллельные стороны выреза L' = 12 м, b' = 9 м.
При
n = 1,03; при
W = 0,53.
Рассмотрим крен копра при действии моментной нагрузки в направлении длинной наружной стороны фундамента, для чего при
K = 2 находим для

и

, равное 2,3:
т.е. в этом случае расчетный крен оказывается меньше, чем в предыдущем примере.
При расположении копра короткой стороной в направлении действия моментной нагрузки
iG = 260·10-3;