Главная // Актуальные документы // РуководствоСПРАВКА
Источник публикации
М.: Стройиздат, 1982
Примечание к документу
Название документа
"Руководство по проектированию, сооружению и эксплуатации бесфильтровых водозаборных скважин"
"Руководство по проектированию, сооружению и эксплуатации бесфильтровых водозаборных скважин"
ПО ПРОЕКТИРОВАНИЮ, СООРУЖЕНИЮ И ЭКСПЛУАТАЦИИ
БЕСФИЛЬТРОВЫХ ВОДОЗАБОРНЫХ СКВАЖИН
Рекомендовано к изданию Отделом технического нормирования и стандартизации Госстроя СССР.
Составлено к главе
СНиП II-31-74 на основе научных исследований и изучения опыта использования бесфильтровых скважин в рыхлых породах.
Даются рекомендации по обоснованию применения скважин без фильтра в напорных песчаных водоносных горизонтах, излагаются методы расчета водоприемной части скважин, гидрогеологических параметров, технологии сооружения и эксплуатации этих скважин, намечаются перспективы их применения на территории СССР и указываются технико-экономические преимущества при их внедрении.
Для инженерно-технических работников проектных и строительных геологоразведочных, буровых, водохозяйственных, мелиоративных, коммунальных, горнодобывающих предприятий и организаций, занимающихся вопросами водоснабжения, орошения, осушения, водоотведения.
Подземные воды широко используются в народном хозяйстве и являются одним из источников водоснабжения городского и сельского населения. Постоянно расширяется их потребление для обводнения пастбищ, орошения земель и других нужд.
Наиболее распространенный тип водозаборных сооружений - буровая скважина. В настоящее время для добычи подземных вод в СССР эксплуатируется более 300 тыс. таких скважин, к ним ежегодно добавляется еще 30 тыс., а 8 - 10 тыс. бурят для целей гидрогеологической разведки.
В планах развития народного хозяйства страны постоянно отмечается необходимость повышения эффективности и качества работ, совершенствования конструкций и технологии, снижения материалоемкости и затрат энергии. Эффективность работы и срок службы буровой скважины зависят прежде всего от конструкции ее водоприемной части. В широко распространенных рыхлых песчаных водоносных горизонтах скважины обычно оборудуются разнообразными фильтрами, на изготовление которых расходуется много цветных металлов и других материалов. Для мелкозернистых и глинистых песков подбор фильтров сложен, а скважины в них имеют низкие дебиты, которые со временем еще более уменьшаются. Механическая или химическая кольматация фильтров выводит скважины из строя, что требует дополнительных затрат на ремонт либо повторное их бурение. Эти обстоятельства побуждают специалистов обходиться без оборудования скважин фильтрами в тех случаях, когда это возможно.
Бесфильтровые скважины в рыхлых породах сооружаются в напорных песчаных водоносных горизонтах, перекрытых устойчивыми породами. Водоприемной частью в них служит воронкообразная полость в верхней части песчаного пласта, через откосы которой вода поступает в скважину. Устойчивость водоприемной полости обеспечивается крепостью пород кровли, естественными углами образующихся фильтрующих песчаных откосов и оптимальным режимом откачки. В результате отпадает необходимость в изготовлении и установке фильтра, повышается производительность и увеличивается срок ее службы. Все это в итоге уменьшает затраты на единицу продукции - кубометр воды.
Перспективность применения бесфильтровых скважин во многих районах нашей страны обусловлена широким распространением чередующихся песчаных и плотных осадочных отложений различного состава в артезианских бассейнах платформ, предгорных прогибов и межгорных впадин. В последние годы эти скважины все чаще сооружают в европейской части СССР, некоторых районах Казахстана, Средней Азии, Сибири. Определенный опыт применения бесфильтровых скважин для водоснабжения и гидрогеологических исследований имеется в Белоруссии и ряде других районов страны. С каждым годом количество бесфильтровых конструкций скважин растет в различных районах страны, изучающих и использующих подземные воды.
Поэтому в настоящее время необходимо специальное методическое руководство, отвечающее современным требованиям и охватывающее разные аспекты применения бесфильтровых скважин. В первом руководстве такого рода, изданном во ВНИИГиМ в 1974 г., была рассмотрена только часть вопросов данной проблемы. Работы последних лет дали новые результаты, способствующие развитию этой прогрессивной конструкции. Однако в вышедших в 1978 г. руководствах по проектированию, строительству и эксплуатации водозаборов подземных вод бесфильтровые скважины не упоминаются. В "Справочнике по бурению скважин на воду" (1979 г.) о них приводятся лишь краткие сведения.
Для более широкого внедрения бесфильтровых скважин и интенсификации работы водозаборов подземных вод подготовлено настоящее Руководство. Оно базируется на многолетнем опыте бурения и эксплуатации высокодебитных бесфильтровых скважин в разных районах страны. При составлении Руководства учтены общесоюзные нормативные материалы и методическая литература по сооружению и эксплуатации водозаборных скважин, использованы книги и брошюры по теории и практике устройства бесфильтровых скважин [
5,
6,
8,
16,
40,
41,
42].
В составлении Руководства принимали участие сотрудники ВНИИГИМ Минводхоза СССР - канд. техн. наук В.М. Беляков, инж. Т.И. Гавич, ЦНИИКИВР Минводхоза СССР - канд. геол-мин. наук Р.А. Станкевич, инж. А.А. Федяев. Автор по погружным электронасосам -
глава 7 - канд. техн. наук А.Д. Гуринович (БелКТИГХ). Кроме того, в работе над отдельными разделами Руководства участвовали инж. К.Б. Дмитриев (Союзглавсельхозводоснабжение), заслуженный мелиоратор РСФСР канд. техн. наук И.М. Крышов (Пензагидрострой Минводхоза РСФСР) и инж. В.К. Роговой (Брянский Облводхоз). Общая редакция выполнена В.М. Беляковым.
КОНСТРУКТИВНЫЕ ОСОБЕННОСТИ И ЦЕЛЕВОЕ НАЗНАЧЕНИЕ
БЕСФИЛЬТРОВЫХ СКВАЖИН
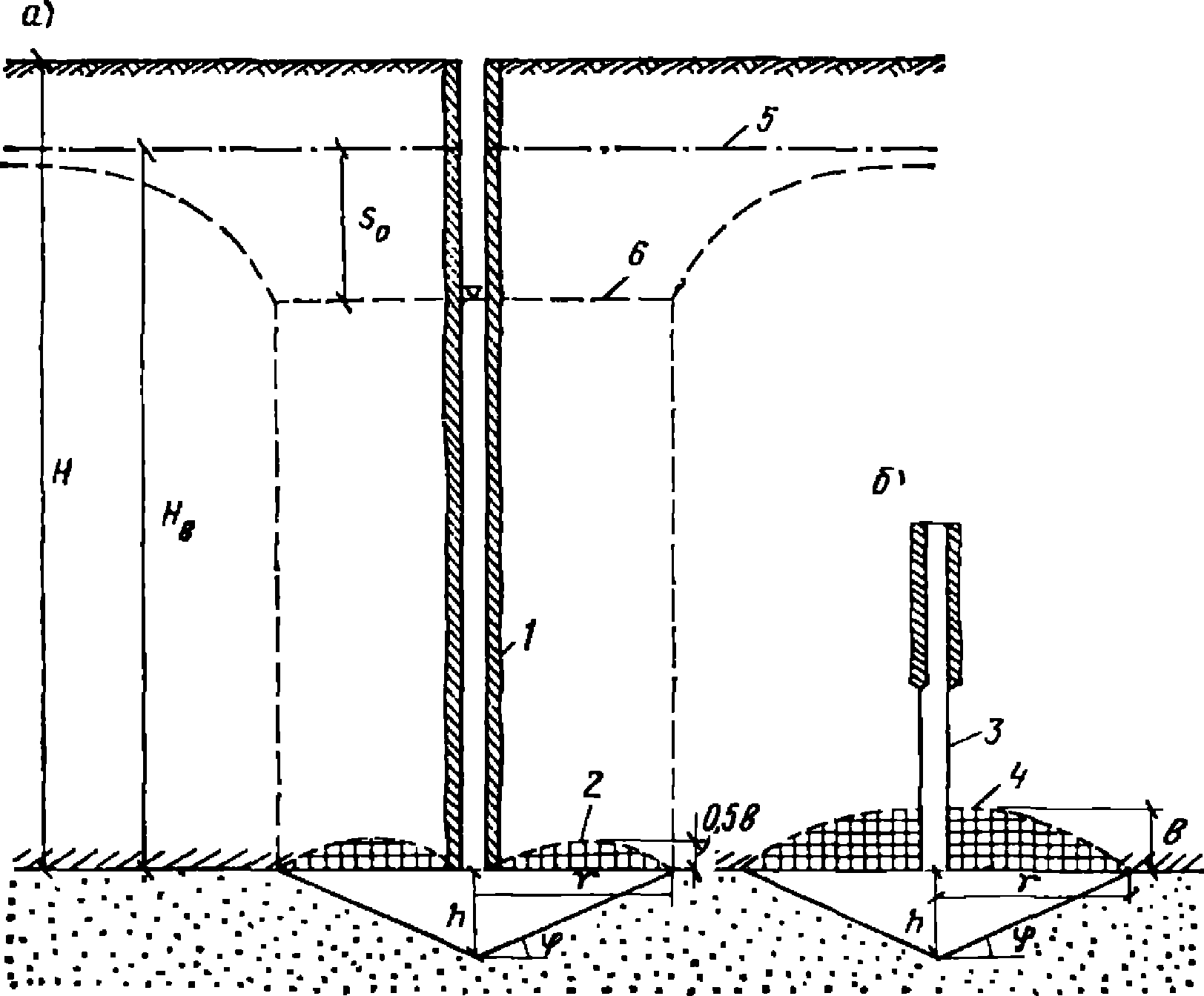
1.1. Бесфильтровая водозаборная скважина представляет собой инженерное сооружение, водоприемной частью которого является полость в песчаной водоносной породе в виде конусообразной воронки под кровлей
(рис. 1). Глубина полости в центре обычно достигает 1,5 - 2 м, наибольший радиус - 10 - 15 м и более. Такая значительная фильтрующая площадь
(табл. 1) позволяет обеспечить отбор воды из мелкозернистых и глинистых песков, из маломощных пластов.
Рис. 1. Схема водоприемной части скважины с фильтром (а)
и без фильтра (б)
1 - порода устойчивая (мел, мергель, глина, песчаник,
известняк и т.п.); 2 - песок; d'тр, d"тр - диаметр обсадных
труб (обычные размеры d'тр = 0,2 - 0,3 м, d"тр = 0,1 - 0,2
м); dф, l - диаметр и длина фильтра; h, r - глубина
и радиус воронки
Таблица 1
Соотношение размеров водоприемной поверхности
воронки и фильтра
Размеры воронки, м | Водоприемная поверхность <*> F, м 2 | Соответствующая этой площади длина фильтра l, м |
h | r | dф = 0,1 | dф = 0,2 |
0,5 | 1 | 3,9 | 12,4 | 6,2 |
1 | 2 | 15,7 | 50 | 25 |
1,5 | 3 | 35,3 | 112,5 | 56,2 |
2 | 4 | 62,8 | 200 | 100 |
--------------------------------
<*> По формуле шарового сегмента

.
Необходимым условием для сооружения бесфильтровых скважин является устойчивая кровля над водоносным слоем и его напорный характер. К наиболее устойчивым породам относятся плотные песчаники, известняки, мел, мергели, доломиты, аргиллиты, алевролиты, сильно уплотненные глины, к менее устойчивым - слабо уплотненные глины, суглинки, каменный и бурый уголь. Чем плотнее порода, тем меньшей мощности может быть кровля. Увеличение мощности пород кровли в любом случае благоприятствует ее устойчивости. Малая мощность перекрывающего воронку пласта при низкой его крепости может привести к его деформации и оседанию в воронку. При слабой кровле необходимо ее искусственное укрепление.
Бесфильтровые скважины могут сооружаться с одной водоприемной частью в основном водоносном пласте или с несколькими вдоль ствола скважины в слоистой толще, когда чередуются прослои рыхлого песка и плотных пород. Разновидностью являются многоствольные скважины с одной водоприемной полостью. Распространен преимущественно первый тип скважин. При недостаточно четких литологических границах в ожидаемом водоносном интервале устанавливается перфорированная труба, через отверстия которой выносится песок при разработке одной или нескольких полостей
(рис. 2).
Рис. 2. Разновидности конструкций разведочных,
наблюдательных, разведочно-эксплуатационных
и эксплуатационных бесфильтровых скважин
а, б, в - одноярусные; г, д - одноярусные с гравийной
засыпкой; е, ж - многоярусные;
з, и - многоствольные одноярусные
1.2. Из конструктивных особенностей рассматриваемых типов бесфильтровых скважин видны некоторые ограничения по их применению. Они могут сооружаться только в напорных водоносных горизонтах. Снижение напора в процессе эксплуатации допускается почти до кровли воронки, но осушение воронки и пласта исключается. Погружной насос должен устанавливаться выше полости. Значительное снижение гидростатического напора в скважине уменьшает давление, поддерживающее снизу кровлю над воронкой. При недостаточно прочной и маломощной кровле, неглубоком ее залегании, в случае ее деформации существует вероятность просадок земной поверхности у устья скважины. Эти обстоятельства следует учитывать при проектировании.
1.3. Простота и экономичность конструкции позволяют использовать бесфильтровые скважины для различных целей: водоснабжения населенных пунктов, промышленных и сельскохозяйственных предприятий, гидрогеологических исследований, орошения сельскохозяйственных земель, обводнения пастбищ, осушения месторождений полезных ископаемых, добычи минеральных и промышленных вод, искусственного восполнения запасов подземных вод, поглощения сточных вод, разработки глубоких песчаных пластов скважинным методом.
ТРЕБОВАНИЯ К ПРОЕКТИРОВАНИЮ
1.4. При проектировании и строительстве бесфильтровых скважин должны соблюдаться общие требования к водозаборам подземных вод, регламентируемые официальными документами, основными из которых являются "
Основы водного законодательства Союза ССР и союзных республик".
По общим вопросам проектирования и сооружения скважин на воду целесообразно также использовать специальную методическую литературу [
1,
3,
19 -
21,
24,
27,
32,
36,
43 и др.].
1.5. Общие принципы проектирования водозаборов с бесфильтровыми скважинами не отличаются от таковых для скважин с фильтрами (расположение одиночных или групп скважин в плане, схема водозабора, зоны санитарной охраны, согласование Проекта и т.д.). Основными особенностями проектирования бесфильтровых скважин являются:
определение возможности сооружения бесфильтровой скважины в конкретных гидрогеологических условиях;
выбор рациональной конструкции скважин (диаметры и длина обсадных труб, глубина их установки, необходимые размеры воронки);
выбор способа бурения и разработки воронки;
определение производительности и продолжительности откачки для формирования устойчивой водоприемной полости;
указания по режиму эксплуатации скважин;
геолого-технический контроль за производством работ и инструктаж персонала по специфике бурения бесфильтровых скважин.
2. ОСНОВЫ ГИДРОГЕОЛОГИЧЕСКОГО РАЙОНИРОВАНИЯ
ДЛЯ ПРИМЕНЕНИЯ БЕСФИЛЬТРОВЫХ СКВАЖИН
2.1. Возможности и перспективы заложения бесфильтровых скважин в песчаных водоносных горизонтах наиболее ясно определяются при специальном районировании территории для этих целей. Оно основывается на общем гидрогеологическом районировании отражающем закономерности формирования и распределения подземных вод на территории того или иного региона, которое опирается на геолого-структурный принцип.
2.2. Бесфильтровые скважины в песках сооружаются в областях распространения осадочных пород с пологим залеганием, образующих слоистые толщи с чередованием рыхлых водоносных и плотных слоев различного литологического состава.
2.3. В основу выделения перспективных районов ложатся три основных признака, характеризующих гидравлические и литологические особенности водоносных пластов:
наличие гидростатического напора, который при эксплуатации не срабатывается до кровли пласта;
водоносный пласт, представленный песками любого гранулометрического состава, мощностью не менее 2 - 5 м;
крепкая, устойчивая к обрушению кровля не обязательно водоупорная.
2.4. Для целенаправленного и планомерного внедрения бесфильтровых скважин необходимо произвести гидрогеологическое районирование территории страны по условиям заложения скважин. При этом в крупных гидрогеологических или административных регионах в первую очередь должны быть выделены перспективные напорные водоносные горизонты, сложенные рыхлыми породами и имеющие выдержанную прочную кровлю. В пределах распространения перспективных горизонтов необходимо выделить площади с разной глубиной залегания кровли, величиной напора, мощностью устойчивых пород кровли и мощностью водоносного пласта. На основании этих материалов можно составить типовые разрезы бесфильтровых скважин и определить их возможную производительность.
СХЕМА РАЙОНИРОВАНИЯ ТЕРРИТОРИИ СССР
ПО СООРУЖЕНИЮ БЕСФИЛЬТРОВЫХ СКВАЖИН
2.5. Возможность заложения бесфильтровых скважин в песках зависит от гидрогеологических условий, которые определяются геоструктурными особенностями территории и распространенными в районе водоносными комплексами. Широкое развитие песчано-пластовые водоносные горизонты имеют в артезианских бассейнах платформенных и складчатых областей, где благодаря смене фациальных условий осадконакопления сформировались слоистые водонапорные системы.
2.6. Крупные артезианские бассейны платформ, предгорные и межгорные артезианские бассейны являются в целом перспективными для сооружения бесфильтровых скважин. Исходя из этого по существующему гидрогеологическому районированию СССР
[23] можно ориентировочно наметить возможные районы внедрения скважин бесфильтровой конструкции. Представленная схема (рис. 3) показывает, что такие районы занимают не менее 70% площади страны, включая наиболее обжитые территории.
Рис. 3. Схема гидрогеологического районирования территории
СССР по перспективам применения бесфильтровых скважин
в рыхлых породах
1 - 2 - перспективные районы с преобладанием пластовых вод
(1 - артезианские области и бассейны; 2 - межгорные
артезианские бассейны складчатых областей);
3 - неперспективные районы с преобладанием трещинных вод
(гидрогеологические массивы и складчатые области);
4 - районы с невыясненными перспективами; 5 - районы,
в которых применяются бесфильтровые скважины
2.7. Благоприятные гидрогеологические условия для заложения бесфильтровых скважин имеются во многих артезианских бассейнах, протягивающихся широкой полосой от Белоруссии до Узбекистана. С этой целью в них освоены песчаные водоносные горизонты различной стратиграфической принадлежности (от палеогена до девона) при глубине скважин от 40 до 500 м. Пески по гранулометрическому составу от тонко- до крупнозернистых. Кровля представлена мелом, мергелем и глиной. Напоры значительные и составляют 30 - 500 м выше кровли песков. С глубиной устойчивость кровли увеличивается благодаря возрастанию плотности пород и большему гидростатическому напору.
ОПЫТ РАЙОНИРОВАНИЯ ТЕРРИТОРИИ БССР
2.8. В качестве источника хозяйственно-питьевого водоснабжения городских и сельских населенных пунктов в республике широко используются пресные воды четвертичных, палеоген-неогеновых, меловых, девонских, верхнепротерозойских отложений. Мощность осадочной толщи, покрывающей кристаллический фундамент, измеряется от 100 - 500 м на Белорусском массиве до 400 - 700 м на седловинах (Полесская, Жлобинская и Латвийская) и до 1500 (Брестская, Оршанская) - 5000 м (Припятская) во впадинах.
2.9. Анализ гидрогеологических условий территории БССР, производственный опыт поисково-разведочных работ и эксплуатации водозаборов позволяют выделить в республике районы, перспективные для заложения бесфильтровых скважин (рис. 4).
Рис. 4. Схема перспективных районов применения бесфильтровых
скважин в песках на территории БССР
1 - район I - альб-сеноманские отложения перекрыты
мергельно-меловой толщей (верхний мел), воды пресные.
Водоприемные воронки в песках, кровля - мергель и мел.
Контуры - по материалам Белорусской
геолого-гидрогеологической экспедиции на 1978 г.; 2 - район
II - старооскольско-швентойские отложения, содержащие
пресные воды (средний и верхний девон). Водоприемные воронки
в песках, кровля - глины и алевролиты; 3 - западная граница
распространения ивентойских отложений в районе II;
4 - подчеркнуты пункты, в районе которых пробурены
бесфильтровые скважины в песках к концу 1979 г.
К благоприятным в этом отношении районам относятся площади распространения альб-сеноманского водоносного горизонта, перекрытого мергельно-меловой толщей (район I) и старооскольско-швентойского комплекса девона с переслаивающимися слоями песков и глинистых пород (район II).
Возможность заложения бесфильтровых скважин в других водонапорных комплексах, например в четвертичном, палеогеновом, юрском, триасовом, определяется для отдельных участков по конкретному разрезу, ввиду отсутствия необходимого количества фактического материала о выдержанности и устойчивости пород, перекрывающих водовмещающие пески.
2.10. Для целей специального районирования по условиям заложения бесфильтровых скважин выделен альб-сеноманский водоносный горизонт, занимающий около 60% территории БССР. Подавляющее большинство бесфильтровых скважин заложено в этом горизонте.
На большей части распространения он залегает на глубинах свыше 50 - 100 м; лишь у границы выклинивания на северо-востоке республики кровля его встречена на глубине менее 50 м. В отдельных местах альб-сеноманские и нижезалегающие юрские пески не разделены водоупором, поэтому они объединяются в общий водоносный горизонт. Мощность песчаной части альб-сеномана постепенно увеличивается от центра Белорусского массива (0,3 - 5 м) к областям впадин (10 - 25 м и до 46 - 83 м). Величины напоров изменяются от 40 - 120 м на приподнятых участках до 170 - 280 м при погружении горизонта.
По минералогическому составу альб-сеноманские пески обычно глауконито-кварцевые различного гранулометрического состава, преимущественно тонко- и мелкозернистые (рис. 5).
Рис. 5. Гранулометрический состав песков,
в которых образованы водоприемные воронки
Мощность мергельно-меловой толщи, перекрывающей альб-сеноманские пески, увеличивается от 10 - 15 м в центре до 100 - 175 м на западе и 150 - 240 м на юго-востоке БССР.
2.11. В основу специального районирования для заложения бесфильтровых скважин положены: глубина залегания кровли, величина напора и мощность альб-сеноманского водоносного горизонта.
По этим признакам выделены районы с различной глубиной залегания кровли водоносного горизонта (интервалы глубин 50 - 100, 100 - 150, 150 - 200 и свыше 200 м) и его мощностями (до 10, 10 - 20 и свыше 20 м). Величины напоров проведены через 20 м и колеблются от 40 до 280 м (рис. 6). Мощность мергельно-меловой толщи почти повсеместно более 10 м и удовлетворяет требованиям устойчивости кровли.
Рис. 6. Схематическая карта районирования альб-сеноманского
водоносного горизонта территории БССР по условиям заложения
бесфильтровых скважин
1 - 4 - глубина кровли водоносного горизонта (1 - 50 - 100;
2 - 100 - 150; 3 - 150 - 200; 4 - свыше 200 м); 5 - изолинии
напоров, м; 6 - изолинии мощностей, м; 7 - пункты
со средними величинами глубин залегания кровли водоносного
горизонта, мощности, напоры, м
Составлено по материалам Белорусской
геолого-гидрогеологической экспедиции 1978 - 1979 гг.
Районирование облегчает задачи выбора конструкций бесфильтровых скважин при их проектировании. С помощью карты районирования и данных по опробованию ранее пробуренных бесфильтровых скважин можно определить возможную производительность проектируемых скважин, требуемое понижение уровня воды, глубину установки насоса.
3. РАСЧЕТ ПРОИЗВОДИТЕЛЬНОСТИ БЕСФИЛЬТРОВЫХ СКВАЖИН
ОСОБЕННОСТИ ПРИТОКА К ВОДОПРИЕМНОЙ ПОЛОСТИ
3.1. Расчет производительности бесфильтровой скважины отвечает на следующие вопросы:
при каком расчетном понижении S0 в данных гидрогеологических условиях будет получен запроектированный дебит Q0;
каких размеров при этом должна быть водоприемная полость;
будет ли при этих условиях обеспечена устойчивость откосов полости;
будет ли устойчива ее кровля.
3.2. Дебит бесфильтровой скважины формируется за счет притока воды через откосы водоприемной полости. Экспериментальными исследованиями установлено, что более 50% притока поступает через верхнюю треть или четверть откоса полости. На изменение дебита бесфильтровой скважины весьма существенно влияет радиус полости и в меньшей степени - ее глубина.
3.3. Описать реальную форму водоприемной полости геометрической фигурой практически невозможно. Поэтому при расчетах притока воды к бесфильтровой скважине заменяют реальную водоприемную полость на условную полусферическую, коническую или цилиндрическую (рис. 7), что позволяет использовать известные из динамики подземных вод расчетные схемы и зависимости.
Рис. 7. Схематизация формы водоприемной воронки для расчета
1 - конус; 2 - полусфера; 3 - шаровой сегмент;
4 - приведенная полусфера, равновеликая по площади
поверхности конуса
3.4. Опыт и модельные исследования показывают, что наиболее вероятной формой водоприемника является полость, похожая на сглаженный конус, с относительно пологим дном в центре, более крутыми откосами и выполаживающимися концевыми участками. Наибольшие дебиты наблюдаются в бесфильтровых скважинах с большим радиусом воронки и пологими углами откосов (табл. 2).
Таблица 2
Зависимость приведенного дебита бесфильтровой скважины
от степени ее гидродинамического несовершенства
,
относительного радиуса полости
и угла естественного откоса
по данным моделирования
| | Угол откоса  | Ширина зоны деформации потока в долях (n) его мощности rн = nm | Величина относительного понижения  , %, на границе зоны rн | Приведенный дебит  |
0,05 | 1 | 2°55' | 1,7 - 1,8 | 55 - 60 | 1,45 |
0,05 | 0,5 | 5°45' | 1,4 - 1,5 | 55 - 60 | 2,56 |
0,1 | 1,5 | 4° | 2,3 - 2,5 | 60 - 65 | 1,1 |
0,1 | 1 | 5°45' | 1,9 - 1,8 | 55 - 60 | 1,46 |
0,1 | 0,5 | 11°20' | 1,7 - 1,8 | 40 - 45 | 2,58 |
0,125 | 0,38 | 18°30' | 1,4 - 1,6 | 30 - 35 | 3,02 |
0,125 | 0,2 | 32° | 1,2 - 1,3 | 23 - 25 | 4,95 |
0,15 | 0,2 | 36°50' | 1,3 - 1,4 | 30 - 35 | 2,77 |
0,2 | 1 | 11°20' | 1,7 - 1,8 | 60 - 65 | 2,35 |
0,25 | 1,5 | 9°30' | 2,3 - 2,5 | 60 - 65 | 1,1 |
0,25 | 1 | 14°05' | 1,6 - 1,8 | 55 - 60 | 1,43 |
0,25 | 0,75 | 18°30' | 1,6 - 1,8 | 50 - 55 | 1,7 |
0,25 | 0,5 | 26°35' | 1,2 - 1,4 | 40 - 45 | 3,03 |
0,5 | 1,5 | 18°45' | 2,1 - 2,2 | 60 - 65 | 1,05 |
0,5 | 1 | 26°35' | 1,5 - 1,7 | 50 - 55 | 1,35 |
0,5 | 0,67 | 36°50' | 1,5 - 1,7 | 55 - 60 | 1,65 |
0,5 | 0,5 | 45° | 1,2 - 1,4 | 45 - 50 | 2,03 |
0,75 | 1,5 | 26°35' | 2,1 - 2,3 | 65 - 70 | 1,05 |
0,75 | 1 | 36°50' | 1,5 - 1,7 | 55 - 60 | 1,35 |
0,75 | 0,5 | 56°15' | 1,2 - 1,4 | 45 - 50 | 1,85 |
0,85 | 1,7 | 26°35' | 2,2 - 2,4 | 65 - 70 | 0,97 |
3.5. Гидродинамическое несовершенство скважины по степени вскрытия пласта

характеризует величину вреза полости в водоносный пласт и представляет собой отношение глубины полости
h к мощности пласта
m

(1)
Размер полости можно характеризовать ее относительным радиусом

, который представляет отношение радиуса полости у кровли
rк к мощности пласта
m:

(2)
3.6. Анализ гидродинамических сеток притока воды к бесфильтровым скважинам показывает [
6,
16], что зона резкой деформации потока для бесфильтровой скважины существенно больше, чем для фильтровой, и составляет

мощности пласта. При этом, чем больше радиус полости
rк (по кровле), тем шире зона деформации
Rн (
табл. 2, рис. 8). Это необходимо иметь в виду при проектировании опытных откачек.
Рис. 8. График зависимости ширины зоны гидродинамического
несовершенства бесфильтровой скважины rн от
,
,
построенный по данным моделирования на АВМ
Изменение напоров, а следовательно, и понижений в зоне влияния откачки различно для скважин с разной формой водоприемной полости (
рис. 9,
10). В
табл. 3 по данным моделирования стационарной фильтрации и теоретическим расчетам приведено распределение относительных величин понижений

(в %-ном отношении от
S0 - понижения в скважине) для эквивалентных по дебитам и площади полостей конической и полусферической форм, работающих в ограниченных и неограниченных по мощности пластах
[16]. Относительные понижения получены для безразмерных расстояний
r, рассчитанных относительно радиуса влияния откачки

или мощности пласта

. Как видно, наиболее быстрое уменьшение

наблюдается для полостей полусферической формы; при конической полости величина

уменьшается значительно медленнее. Различие в изменении понижений наблюдается практически в пределах всей зоны влияния откачки. Это означает, что расчеты гидрогеологических параметров и приведенных характеристик водоприемной полости зависят от принятой расчетной формы и размеров полости. Уменьшить это влияние можно, если вести расчеты, используя разность понижений в двух наблюдательных скважинах. Это следует иметь в виду при проектировании водозаборов и обработке опытных откачек из бесфильтровых скважин.

| | ИС МЕГАНОРМ: примечание. Текст дан в соответствии с официальным текстом документа. | |
Рис. 9. Гидродинамическая сетка, полученная моделированием
на АВМ для конической полости h = 1 м, rк = 5 м. Приведенные
параметры полости:
,
; у эквипотенциалей
показана величина относительного потенциала, %, у линий
токов - относительная величина расхода
в долях единицы,
в узлах сетки - значения потенциалов; 1, 2 - эпюры
изменения относительных напорных градиентов i
Рис. 10. Гидродинамическая сетка притока к полости формы
шарового сегмента: hк = 2,5 м; rк = 5 м
Уровень в пласте: 1 - начальный; 2 - при откачке; 3 - линии
тока; 4 - эквипотенциали и значение потенциала в %
Таблица 3
Распределение относительных понижений S, %, в пласте
при откачке из бесфильтровой скважины с конической
и эквивалентной ей полусферической полостью [16]
Расстояние  от скважины в значениях | Неограниченный пласт по мощности | Ограниченный пласт по мощности |
Коническая полость (моделирование),  | Эквивалентная по площади полусфера (расчет), rп | Коническая полость (моделирование),  |
радиуса влияния | мощности пласта | 0,05/0,5 | 0,1/0,5 | 0,05/1 | 0,1/1,0 | 1/1,5 | 0,15/0,2 | 3,5 | 7,1 | 4 | 10 | 0,25/0,5 | 0,25/1 | 0,25/1,5 | 0,5/2 | 0,75/2,25 | 0,3/0,4 |
0,05 | 0,5 | 44 | 87 | 100 | 100 | 100 | 64 | 60 | 100 | 80 | 100 | 78 | 100 | 100 | 100 | 100 | 56 |
0,1 | 1,2 | 35 | 41 | 85 | 78 | 100 | 37 | 25 | 60 | 34 | 83 | 45 | 80 | 100 | 100 | 100 | 38 |
0,15 | 1,7 | 32 | 33 | 63 | 61 | 85 | 31 | 17 | 42 | 23 | 59 | 35 | 69 | 83 | 94 | 99 | 30 |
0,2 | 2,3 | 27 | 30 | 51 | 48 | 65 | 26 | 13 | 31 | 18 | 44 | 30 | 51 | 65 | 78 | 95 | 25 |
0,25 | 2,9 | 22 | 25 | 44 | 42 | 55 | 22 | 10 | 25 | 14 | 34 | 25 | 45 | 57 | 71 | 78 | 23 |
0,3 | 3,5 | 13 | 21 | 38 | 36 | 48 | 19 | 9 | 20 | 11 | 29 | 21 | 37 | 48 | 58 | 64 | 18 |
0,5 | 6 | 4 | 12 | 21 | 20 | 25 | 12 | 5 | 12 | 7 | 17 | 12 | 21 | 26 | 34 | 37 | 10 |
0,75 | 9 | 4 | 4 | 7 | 7 | 10 | 4 | 3 | 8 | 5 | 11 | 6 | 8 | 10 | 12 | 14 | 4 |
3.7. В бесфильтровых скважинах с неглубокими полостями, имеющих высокий показатель по степени вскрытия пласта,

, водоприемная полость может быть представлена эквивалентными по площади притока условной полусферой с приведенным радиусом
rпр или условным конусом с приведенным радиусом
rпр и приведенным углом откоса
(рис. 7).
При

водоприемная полость может быть эквивалентно заменена на цилиндрическую скважину с приведенным радиусом
rпр.
Если заменить прямой круглый конус радиуса
rн равновеликой по площади полусферой, то ее приведенный радиус
(рис. 7) будет равен:
| | ИС МЕГАНОРМ: примечание. В издании М.: Стройиздат, 1982 допущен типографский брак. Текст, не пропечатанный в официальном тексте документа, в электронной версии данного документа выделен треугольными скобками. | |

(3)
где
h - глубина конусообразной полости, м;

- угол естественного откоса, град.
Приближенные значения углов естественного откоса для некоторых типов горных пород показаны в
табл. 4. Следует обратить внимание на то, что гидродинамическое давление, обусловленное фильтрацией воды в полость, вызывает дополнительное выполаживание откосов. Поэтому в сформированной устойчивой полости откосы имеют углы, меньшие углов естественного откоса (углов внутреннего трения).
Таблица 4
Углы естественного откоса горных пород, град
Горная порода | Состояние |
сухое | влажное | насыщенное водой |
Песок мелкозернистый | 30 | 35 | 20 |
Песок среднезернистый | 35 | 40 | 25 |
Песок крупнозернистый | 45 | 50 | 30 |
Гравий | 40 | 45 | 35 |
Суглинок рыхлый | 45 | 35 | 30 |
Радиус условного фильтра r0 определяется путем приведения полости конуса к цилиндру той же высоты (h = l), где l - длина условного фильтра, одинакового по фильтрующей площади, причем учитывается приток с нижнего основания цилиндра, поскольку полость работает и дном. Радиус находится из соотношения формул площади поверхности конуса, цилиндра и круга

(4)
где rк - приведенный радиус конусообразной полости у кровли.
3.8. Рассматривают две схемы расположения бесфильтровых скважин в пласте:
практически неограниченной мощности с весьма высокой степенью несовершенства по степени вскрытия пласта

;
ограниченной мощности с разной степенью несовершенства

.
В первой схеме используются формулы, полученные на основе теории точечного стока или источника на плоскости или в пространстве и данные моделирования; во второй - формулы, полученные на основе теории линейных стоков или источников на плоскости или в пространстве, а также данные моделирования.
3.9. Расчет бесфильтровых скважин можно вести:
гидродинамическим способом по известным из динамики подземных вод зависимостям или по формулам и графикам, полученным в результате электрического и физического моделирования работы бесфильтровых скважин;
гидравлическим способом, используя кривые зависимости дебита скважины от понижения уровня воды в ней или среднее значение удельных дебитов бесфильтровых скважин;
методом аналогий, используя данные опытных откачек или эксплуатации.
3.10. В отличие от фильтровых скважин, реальная форма водоприемника бесфильтровой скважины неизвестна. Размеры полости меняются при изменении дебита или понижения в скважине, поэтому расчет возможной производительности любыми из названных выше методов будет приближенным. Для повышения достоверности этих расчетов при проектировании бесфильтровых скважин следует:
а) расчетные характеристики водоприемной полости (h, rпр) определять по данным выполненных при изысканиях опытных откачек или из существующего опыта эксплуатации бесфильтровых скважин и проверять принятые проектные характеристики по результатам строительных откачек, регистрируя полученные данные в технической документации скважин;
б) подтверждать аналогию между проектной и использованными в расчетах бесфильтровыми скважинами не только по гидрогеологическим условиям, но и по техническим условиям их сооружений и создания водоприемных полостей, отмечать их различия.
Это позволит накопить необходимый экспериментальный материал для дальнейшего совершенствования методов расчета бесфильтровых скважин.
3.11. Последовательность расчета бесфильтровых скважин должна быть следующей:
для исходных гидрогеологических условий принимается способ сооружений бесфильтровой скважины и выбираются или рассчитываются основные характеристики ее водоприемной полости (
h,
rпр,

,

,

);
одним из указанных выше способов по проектному дебиту Q0, принятым гидрогеологическим параметрам (K; Km; a; Rпр) и характеристикам водоприемной полости вычисляются значения рабочего понижения S0 и соответствующий удельный дебит q0;
проверяется устойчивость откосов запроектированной полости (путем оценки ib; vb) и устойчивость ее кровли (определением допустимого значения h1 и rдоп) при необходимости корректируются размеры полости и величина S0; q0;
оценивается возможный объем песка W, который будет вынесен при сооружении скважины;
оцениваются продолжительность t0 и интенсивность строительной откачки;
по данным строительных и опытных откачек проверяется соответствие принятых в расчет и полученных опытом данным
Q0,
q0,
S0,
t0, а также приведенных размеров созданной водоприемной полости (
h,
rпр,

).
РАСЧЕТ ПРОЕКТНЫХ ПОНИЖЕНИЙ И ДЕБИТОВ
3.12. Проектный дебит обычно принимается заданным, а проектное понижение рассчитывается в зависимости от гидрогеологических условий либо при стационарном режиме фильтрации, либо нестационарном. При заданном рабочем понижении рассчитывается проектный дебит.
3.13. Гидродинамический метод расчета основан на использовании аналитических зависимостей. Оценка производительности бесфильтровых скважин по формулам гидродинамики требует знания формы и размеров водоприемной полости. Возможно два подхода в расчетах: первый предполагает наличие данных изысканий или опыта эксплуатации бесфильтровых скважин, второй выполняется при отсутствии таковых.
| | ИС МЕГАНОРМ: примечание. Текст дан в соответствии с официальным текстом документа. | |
В первом случае при расчете бесфильтровых скважин целесообразно использовать значения приведенных
rпр или обобщенных

;

радиусов водоприемной полости и общего гидравлического сопротивления
об. Они определяются по данным опытных откачек, выполненных из бесфильтровых скважин в период изысканий. Водоприемная полость проектируемой скважины приводится к той же форме, которая была принята при обработке данных опытных или эксплуатационных откачек. Типовые формы полости и расчетные схемы пласта принимаются в соответствии с
пп. 3.7 и
3.8.
Результаты откачек и эксплуатации обрабатываются в основном способами, разработанными в динамике подземных вод для фильтровых скважин.
Во втором случае, при отсутствии данных изысканий и опыта эксплуатации, в зависимости от принятой расчетной формы полости ее приведенный радиус
rпр определяется по
формуле (3) с учетом
табл. 2 или
4, по данным которых приближенно принимается значение угла откоса для проектной полости, или вычисляется условный радиус
r0 по
формуле (4).
Зная
Q,
h,

и
rпр, по одной из приведенных ниже зависимостей определяется рабочее понижение
S0.
3.14. При неограниченной мощности пласта

проектное понижение в бесфильтровой скважине с полостью в виде полусферы радиуса
rпр при стационарной фильтрации определяется по формуле

(5)
При нестационарной фильтрации расчетное понижение определяется по формуле

(6)

(7)
где
a - коэффициент пьезопроводности;

- известная табулированная функция [
32,
43].
3.15. При заданной величине рабочего понижения
S0 проектный дебит вычисляется из
формулы (5).
На графиках (рис. 11) приведены рассчитанные по этой формуле удельные дебиты бесфильтровых скважин при разных коэффициентах фильтрации и приведенных радиусах полусферы (при понижении S0 = 1 м).
Рис. 11. Графики зависимости удельного дебита бесфильтровой
скважины с полусферическим забоем от радиуса при разных
коэффициентах фильтрации (а) и от коэффициента фильтрации
при разных радиусах (б)
3.16. При стационарной фильтрации в ограниченных по мощности пластах

при

и полости в виде конуса или полусферы с радиусом
rпр приближенные значения расчетных понижений могут быть вычислены по формуле

(8)
где

- эмпирический коэффициент, изменяющийся от 0,67 до 0,25 по разным авторам [
1,
6,
8,
40] в зависимости от принятых размеров зон с радиально-сферическим и плоскорадиальным потоком, на которые подразделяется пласт при выводе формулы;
Rпр - приведенный радиус влияния откачки, определяемый из данных опытных работ, м.
При квазиустановившемся режиме фильтрации и постоянном дебите
Q рабочее понижение в бесфильтровой скважине при

можно ориентировочно определить по формуле для скважины с фильтром, эквивалентно заменяя коническую или полусферическую полость цилиндрической водоприемной частью условного радиуса

(9)
где
Rпр - приведенный радиус влияния, равный

, м;
t - время от начала откачки, сут;
r0 - радиус условного фильтра, м, длина которого равна глубине воронки
h, м, определяется по
формуле (4);

- фильтрационное сопротивление, обусловленное несовершенством скважины по степени и характеру вскрытия пласта, определяемое по данным опытных работ [
7,
12,
43]. В тонкозернистых пластах расчет можно вести согласно рекомендациям, изложенным в работе
[17].
3.17. Расчет дебита бесфильтровых скважин может быть произведен по формуле, которая базируется на результатах физического моделирования, выполненного в ЦНИИКИВР А.А. Федяевым. При моделировании работы бесфильтровой скважины на напорном секторном лотке в мелкозернистых песках (типа сеноманских в БССР) определялась зависимость притока от размеров водоприемной полости при

до 0,4. В результате перехода от модели к натуре получена расчетная формула
где
Km - водопроводимость пласта, м
2/сут;
S0 - понижение в скважине, м;
qм - величина удельного дебита (м
3/сут), определяемая по графику
(рис. 12) и зависящая от

; 140 - пересчетный коэффициент от модели к натуре, сут/м
3.
Расчетная
формула (10) проверена на реальных бесфильтровых скважинах, пробуренных на сеноманский водоносный горизонт в районах Бреста, Гродно, Кобрина.
Пример. В Бресте скважина 3 оборудована на сеноманский водоносный горизонт, имеющий мощность 38,1 м. Глубина воронки 1,5 м.
Водопроводимость пласта 254 м
2/сут. Дебит скважины
Q = 933 м
3/сут при понижении
S0 = 5,6 м. Степень несовершенства

. По графику (рис. 12) определяем
qм = 0,005. Подставляя эти данные в расчетную формулу, получим
Q = 140·254·5,6·0,005 = 996 м
3/сут. Результат получен в пределах допустимой точности.
Рис. 12. График зависимости удельного дебита (qм)
бесфильтровой скважины на физической модели
от гидродинамического несовершенства по степени
вскрытия пласта 
На основании результатов физического моделирования и
формулы (10) в
табл. 5 и
6 приведены расчетные дебиты бесфильтровых скважин при разной глубине воронки, мощности пласта, коэффициенте фильтрации и понижении уровня воды.
Таблица 5
Расчетные дебиты бесфильтровых скважин для водоносных
горизонтов мощностью от 10 до 50 м 
Глубина воронки, м | Мощность водоносного горизонта, м | Коэффициент фильтрации, м/сут | Расчетные значения |
Удельный дебит, м3/сут | Дебит, м3/сут, при S0 = 5 м | Дебит, м3/сут, при S0 = 10 м |
1 | 50 | 5 | 105 | 525 | 1050 |
| | 10 | 210 | 1050 | 2100 |
| | 15 | 315 | 1575 | 3150 |
| | 20 | 420 | 2100 | 4200 |
2 | 50 | 5 | 175 | 875 | 1750 |
| | 10 | 350 | 1750 | 3500 |
| | 15 | 525 | 2625 | 5250 |
| | 20 | 700 | 3500 | 7000 |
1 | 40 | 5 | 106 | 530 | 1060 |
| | 10 | 212 | 1060 | 2120 |
| | 15 | 318 | 1590 | 3180 |
| | 20 | 424 | 2120 | 4240 |
2 | 40 | 5 | 168 | 840 | 1680 |
| | 10 | 336 | 1680 | 3360 |
| | 15 | 504 | 2520 | 5040 |
| | 20 | 672 | 3360 | 6720 |
1 | 30 | 5 | 90 | 450 | 900 |
| | 10 | 180 | 900 | 1800 |
| | 15 | 270 | 1350 | 2700 |
| | 20 | 360 | 1800 | 3600 |
2 | 30 | 5 | 149 | 745 | 1490 |
| | 10 | 298 | 1490 | 2980 |
| | 15 | 447 | 2235 | 4470 |
| | 20 | 596 | 2980 | 5960 |
1 | 20 | 5 | 84 | 420 | 840 |
| | 10 | 168 | 840 | 1680 |
| | 15 | 252 | 1260 | 2520 |
| | 20 | 336 | 1680 | 3360 |
2 | 20 | 5 | 125 | 625 | 1250 |
| | 10 | 250 | 1250 | 2500 |
| | 15 | 375 | 1875 | 3750 |
| | 20 | 500 | 2500 | 5000 |
1 | 10 | 5 | 62 | 310 | 620 |
| | 10 | 124 | 620 | 1240 |
| | 15 | 186 | 930 | 1860 |
| | 20 | 248 | 1240 | 2480 |
Таблица 6
Расчетные дебиты бесфильтровых скважин для водоносных
горизонтов мощностью от 4 до 10 м 
Глубина воронки, м | Мощность водоносного горизонта, м | Коэффициент фильтрации, м/сут | Расчетные значения |
Удельный дебит, м3/сут | Дебит, м3/сут, при S0 = 5 м | Дебит, м3/сут, при S0 = 10 м |
1 | 10 | 5 | 62 | 310 | 620 |
10 | 124 | 620 | 1240 |
15 | 186 | 930 | 1860 |
20 | 248 | 1240 | 2480 |
2 | 10 | 5 | 84 | 420 | 840 |
10 | 168 | 840 | 1680 |
15 | 252 | 1260 | 2520 |
20 | 336 | 1680 | 3360 |
1 | 8 | 5 | 56 | 280 | 560 |
10 | 112 | 560 | 1120 |
15 | 168 | 840 | 1680 |
20 | 224 | 1120 | 2240 |
2 | 8 | 5 | 72 | 360 | 720 |
10 | 144 | 720 | 1440 |
15 | 216 | 1080 | 2160 |
20 | 288 | 1440 | 2880 |
1 | 6 | 5 | 48 | 240 | 480 |
10 | 96 | 480 | 960 |
15 | 144 | 720 | 1440 |
20 | 192 | 960 | 1920 |
2 | 6 | 5 | 58 | 290 | 580 |
10 | 116 | 580 | 1160 |
15 | 174 | 870 | 1740 |
20 | 232 | 1160 | 2320 |
1 | 4 | 5 | 36 | 180 | 360 |
10 | 72 | 360 | 720 |
15 | 108 | 540 | 1080 |
20 | 144 | 720 | 1440 |
2 | 4 | 5 | 45 | 225 | 450 |
10 | 90 | 450 | 900 |
15 | 135 | 675 | 1350 |
20 | 180 | 900 | 1800 |
3.18. Расчет проектного понижения или дебита бесфильтровых скважин может быть произведен графоаналитическим методом с использованием результатов математического моделирования, выполненного во ВНИИГИМ Т.И. Гавичем. При моделировании работы бесфильтровой скважины определялась зависимость ее дебита от размеров водоприемной полости при

до 0,8;

от 0,2 до 2,5 и угле откоса

от 3 до 45°. В результате перехода от модели к натуре построены обобщенные графики зависимости приведенного удельного дебита
q от

,

,

, представленные на
рис. 13,
14. Предлагаемый способ проверен на опубликованных и фондовых материалах реальных бесфильтровых скважин, пробуренных в БССР и Днепропетровской области.
Рис. 13. График изменения приведенного удельного дебита q,
бесфильтровой скважины от относительного радиуса
водоприемной полости
для различного гидродинамического
несовершенства полости по степени вскрытия пласта
,
построенный по результатам моделирования
Рис. 14. График изменения приведенного удельного дебита q
бесфильтровой скважины от гидродинамического несовершенства
полости по степени вскрытия пласта
при разных значениях
относительного радиуса полости
и угла ее откоса 
,
построенный по результатам моделирования
Последовательность расчета следующая:
1) на основании имеющихся материалов опыта эксплуатации бесфильтровых скважин и
табл. 2,
4 выбираются для конической полости глубина ее
h, угол откоса

и приведенный радиус
rпр, вычисляются

,

;
2) по этим данным и графикам
рис. 13,
14 определяется приведенный удельный дебит
q;
3) с учетом заданной величины водопроводимости рассчитывается проектный удельный дебит по формуле
q0 = Kmq; (11)
4) по заданной проектной величине дебита скважины Q и величине q0 находят рабочее понижение

(12)
Возможно расчет вести иначе, приняв из опыта эксплуатации расчетную величину понижения
S0, вычислить проектный удельный дебит и найти значение
q, потом по графикам
рис. 13,
14 при заданной величине

найти проектный радиус конической полости
rпр. Таким образом, проектные размеры полости оказываются связанными с принятыми проектными величинами дебита и рабочего понижения, что позволяет более обоснованно вести расчет устойчивости полости и технологии ее разработки.
Пример. Определить расчетное понижение для скважины 113, оборудованной в г. Гродно на сеноманский водоносный горизонт, дающий при понижении 10,42 м дебит 2980 м
3/сут (удельный дебит 286 м
3/сут). Мощность горизонта 54 м, водопроводимость 500 м
2/сут. Примем по опытным данным глубину воронки
h = 2 м, тогда

. Обработка данных откачки показала, что радиус полости по кровле равен примерно 20 - 25 м. Приняв
rпр = 20 м, что отвечает

, согласно графику
рис. 14, находим приведенный удельный дебит
q = 0,65, затем вычисляем удельный дебит
q0 = 500·0,65 = 325 м
3/сут и расчетное рабочее понижение, которое при дебите 2980 м
3/сут равно

. Результат получен в пределах допустимой мощности.
3.19. Гидравлический способ определения расчетного понижения S0 основан на использовании кривых Q = f(S0) или q = f(S0), построенных на основании опыта эксплуатации или выполненных откачек при изысканиях (рис. 15).
Рис. 15. Экспериментальные обобщенные графики зависимости
Q0 = f(S0), построенные по данным эксплуатации бесфильтровых
скважин в некоторых районах БССР
(1 - Гродно; 2 - Брест) [16]
Рабочее понижение S0 в скважине находится по опытной кривой зависимости дебита от понижения. Экстраполяцию за пределы опытной кривой проводить не рекомендуется, поскольку крайним точкам соответствует максимальный размер полости. При большем понижении произойдет дополнительный вынос некоторого объема песка, в результате чего изменится гидродинамическая характеристика полости.
Рабочее понижение можно найти расчетом по формуле

(13)
где Q - проектный дебит; q - средний удельный дебит ранее пробуренных бесфильтровых скважин в аналогичных условиях.
Связь проектного дебита с размерами водоприемных полостей, формирующихся в бесфильтровых скважинах данного района, при гидравлическом расчете может быть найдена путем обработки материалов изысканий или фондов построением кривых зависимости приведенного радиуса полости
rпр от удельного или общего дебита и объема вынесенного песка
W в зависимости от дебита или приведенного радиуса полости. На рис. 16 показаны такие графики, построенные по бесфильтровым скважинам в БССР на сеноманский водоносный горизонт
[16].
Рис. 16. Экспериментальный график зависимости приведенного
радиуса rпр бесфильтровых скважин от их удельного дебита q0,
построенный по данным эксплуатации скважин в некоторых
районах БССР (1 - Жлобин; 2 - Гродно) [16]
3.20. Метод гидравлических аналогий также базируется на гидрогеологическом и техническом подобии между разведанным (или эксплуатационным) и проектируемым участками. Рабочее понижение S0 при проектном дебите Q0 приближенно можно найти по зависимости

(14)
где S1, Q1, (Km)1 - фактические понижения, дебит, водопроводимость, полученные по данным откачки (или эксплуатации) на уже разведанном участке; (Km)0 - соответственно водопроводимость на проектируемом новом участке.
Приближенность расчета определяется тем, что в
формуле (14) предполагается равенство безразмерных гидравлических сопротивлений
R0 (для проектируемого участка) и
R1 (для разведанного). Из динамики подземных вод известно [
11,
12,
32,
46], что величина
R в общем виде характеризует гидрогеологические условия рассматриваемого участка, число и расположение водозаборных скважин, условия их сооружения и особенности конструкции водоприемной части. С использованием этой величины понижение в любой скважине, в том числе в бесфильтровой, может быть в общем виде записано так:

(15)
где R принимает разные выражения в зависимости от конкретных гидрогеологических условий, числа скважин и их конструкции.
Так, при замене полости эквивалентной полусферой, согласно
формулам (15) и
(5),

, а при замене на цилиндрическую поверхность условного радиуса
r0, согласно
формуле (9),

и т.п.
Увеличение проектного понижения
S0 и дебита
Q0 по сравнению с фактическими
S1 и
Q1, а также изменение водопроводимости
Km0 до
Km1 приводит к тому, что
R0 не будет эквивалентно
R1. Это подтверждается графиком зависимости
rпр от
q, показанным на
рис. 16. Следовательно, расчет по
формуле (14) будет приближенным. При использовании метода гидравлических аналогий требуется предварительно решать вопрос о тождественности технических условий сооружения бесфильтровых скважин и принятых размерах проектных водоприемных полостей.
Если
Q0 и
S0 не превышают
Q1 и
S1, а
Km1 незначительно отличается от
Km0, то расчет по
формуле (14) дает хорошие результаты.
РАСЧЕТ НАГНЕТАНИЯ В СКВАЖИНУ
3.21. Бесфильтровые скважины могут применяться для нагнетания поверхностных вод при искусственной напорной инфильтрации или сточных вод при сбросе их в глубокие горизонты.
Преимущество бесфильтровых скважин перед фильтровыми при нагнетании состоит в более высокой приемистости (больше водоприемная площадь), меньшей степени кольматации (отсутствие фильтра), более простом методе сооружения и восстановления поглощающей способности водоприемной поверхности.
Применение бесфильтровых скважин в песках для нагнетания ранее не практиковалось.
3.22. Опыты по нагнетанию в бесфильтровые скважины, проведенные в ЦНИИКИВР А.А. Федяевым в 1979 г. на секторном напорном лотке, показали устойчивость откосов водоприемной полости, ее высокую поглощающую способность, зависимость расхода поглощения от напора, распределение напоров по пласту. Удельное поглощение при нагнетании было близким по величине удельному дебиту при откачке.
3.23. Величина рабочего понижения уровня в бесфильтровой скважине невелика (обычно 5 - 15 м) по сравнению с возможным избыточным давлением при нагнетании. При наличии депрессионной воронки на водозаборе уровень воды опускается на десятки и даже сотни метров, что позволяет создавать на устье скважины значительный избыточный напор (рис. 17). Поэтому расход поглощения нагнетательной бесфильтровой скважины может быть увеличен в несколько раз по сравнению с дебитом откачки.
Рис. 17. Схема нагнетания в бесфильтровую скважину
1 - статический уровень; 2 - динамический уровень
при откачке; 3 - уровень нагнетания
3.24. Расход поглощения для начального периода эксплуатации рассчитывается по зависимости
Q = qH, (16)
где q - удельный дебит бесфильтровой скважины при откачке с максимальными дебитом и размерами водоприемной воронки, м3/сут на 1 м; H - величина избыточного напора над статическим уровнем в скважине, м.
В процессе эксплуатации расход поглощения уменьшается в связи с образованием илистой пленки и кольматажом песчаных откосов воронки, причем эти изменения зависят от гранулометрического состава песка поглощающего горизонта и качества закачиваемой воды.
Динамику роста пленки и кольматажа породы в призабойной зоне можно определить по аналогии с фильтровыми скважинами, как это предлагается в рекомендациях ВНИИ ВОДГЕО
[34]. Исходные параметры для таких прогнозов следует определять экспериментальным путем на основе наблюдений в начальный период работы скважины. По этим данным уточняются режим эксплуатации скважины и периоды регенерации водоприемной полости путем прокачки.
4. УСТОЙЧИВОСТЬ ВОДОПРИЕМНОЙ ПОЛОСТИ И ЕЕ РАЗРАБОТКА
УСТОЙЧИВОСТЬ КРОВЛИ И ОТКОСОВ ПОЛОСТИ
4.1. Водоприемные полости бесфильтровых скважин достигают в диаметре 10 - 15 м и более, а по глубине до 2 - 3 м. Глубина их заложения колеблется от 50 до 500 м. Поэтому их можно рассматривать как своеобразные подземные выработки, имеющие кровлю из относительно крепких пород и боковые откосы из водоносных песков, находящихся под большим гидростатическим давлением. Проведение выработки нарушает ранее существовавшие условия устойчивого равновесия в массиве, в результате чего породы вокруг деформируются и прежде всего - в кровле. Если деформация не превышает пределов упругости, то состояние обнаженных пород будет устойчивым, в противном случае происходит прогиб или обрушение кровли, боковой выпор породы.
4.2. К расчету устойчивости кровли применимы закономерности, вытекающие из теории горного давления. Кровля воронки испытывает растягивающие напряжения, но обрушение пород кровли может произойти только при превышении некоторых пределов упругости.
Расчет устойчивости кровли целесообразно проводить в следующей последовательности:
проверить естественную устойчивость кровли при работе скважины путем расчета возникающих растягивающих напряжений в кровле и сравнения их с допустимыми;
при превышении допустимых напряжений в кровле произвести расчет высоты естественного свода обрушения, которым заканчивается процесс потери устойчивости.
4.3. Условие устойчивости кровли полости в массиве горных пород выполняется при

, где

- растягивающее напряжение в кровле,

- предел прочности пород кровли при двухосном напряжении.
Величина растягивающего напряжения в кровле выработки зависит от размеров выработки и давления вышележащей породы. Давление на кровлю выработки ограниченных размеров в связных крепких породах до глубины, равной 5 полуширинам сечения выработки, увеличивается по гидростатическому закону. Ниже этой зоны давление практически считается независимым от глубины расположения выработки вследствие появления разгружающего эффекта за счет трения и сцепления пород. С учетом этого положения подсчитаны величины понижающего коэффициента давления K0, учитывающего разгружающий эффект и зависящего от размеров водоприемной воронки (табл. 7).
Таблица 7
Величины понижающего коэффициента давления K0 в зависимости
от радиуса водоприемной воронки r и глубины расположения
кровли выработки H
 , м | 0,01 | 0,02 | 0,04 | 0,06 | 0,08 | 0,1 | 0,12 | 0,14 | 0,16 | 0,18 | 0,2 |
K0 | 0,05 | 0,1 | 0,2 | 0,3 | 0,4 | 0,5 | 0,6 | 0,7 | 0,8 | 0,9 | 1 |
Растягивающее напряжение, возникающее в породах кровли воронки, с учетом противодавления гидростатического напора
(рис. 18) можно рассчитать по формуле

(17)
где
Kд - понижающий коэффициент давления;

- коэффициент Пуассона;

- объемная масса вышележащих пород (средняя), кг/см
3;
H - глубина кровли от поверхности земли, см;

- плотность воды, кг/м
3;
Hв - гидростатический напор выше плоскости кровли см;
S0 - рабочее понижение уровня при откачке, см.
Рис. 18. Схема к расчету устойчивости кровли
водоприемной воронки
а - с обсадной колонной и затрубной цементацией;
б - с незакрепленным стволом; 1 - зацементированная обсадная
колонна; 2 - свод обрушения с опорой на обсадную колонну;
3 - открытый ствол в устойчивых породах; 4 - свод обрушения
без опоры на обсадную колонну; 5 - статический уровень;
6 - динамический уровень
Предел прочности пород на одноосное растяжение составляет 3 - 5% от предела прочности пород на одноосное сжатие

. Для условий двухосного растяжения, которое испытывает порода в кровле выработки, пределы прочности примерно в два раза выше, чем при одноосном растяжении. В
табл. 8 и
9 приведены ориентировочные прочностные характеристики горных пород, залегающих в кровле водоносных горизонтов.
Таблица 8
Прочностные свойства горных пород [8]
Горная порода | Коэффициент крепости f | Коэффициент Пуассона  | Предел прочности на одноосное сжатие,  , кгс/см 2 | Предел прочности при двухосном растяжении  , кгс/см 2 |
Известняки и песчаники крепкие | 8 | 0,27 | 800 | 64 |
Обыкновенный песчаник | 6 | 0,27 | 600 | 48 |
Песчаные сланцы, сланцевые песчаники | 5 | 0,27 | 500 | 40 |
Крепкий глинистый сланец, некрепкие песчаники и известняки | 4 | 0,26 | 400 | 32 |
Разнообразные некрепкие сланцы, плотный мергель | 3 | 0,26 | 300 | 24 |
Мягкий сланец, мел, обыкновенный мергель, очень мягкий известняк | 2 | 0,26 | 200 | 16 |
Отвердевшая глина, разрушенный сланец, крепкий каменный уголь | 1,5 | | 150 | 12 |
Плотная глина, мягкий каменный уголь | 1 | 0,42 | 100 | 8 |
Валунные глины (морена) | 0,5 - 0,7 | 0,42 | 50 - 70 | 4 - 5,6 |
Мягкая песчанистая глина, лесс | 0,8 | 0,35 | 80 | 6,4 |
Легкий суглинок | 0,6 | 0,30 | 60 | 4,8 |
Таблица 9
Плотность, объемная масса и пористость горных пород [8]
Горная порода | Плотность, г/см3 | Объемная масса, г/см3 | Пористость (в долях единицы) |
от | до | от | до | от | до |
Песчаник крепкий | 2,69 | 2,74 | 2,64 | 2,7 | 0,02 | 0,1 |
Песчаник слабый | 2,62 | 2,74 | 2,31 | 2,68 | 0,16 | 0,26 |
Алевролит | 2,61 | 2,83 | 2 | 2,44 | 0,14 | 0,30 |
Известняк крепкий | 2,7 | 2,71 | 2,63 | 2,7 | 0,05 | 0,14 |
Известняк слабый | 2,4 | 2,6 | 1,8 | 2,3 | 0,1 | 0,22 |
Доломит крепкий | 2,82 | 2,84 | 2,62 | 2,74 | 0,03 | 0,12 |
Доломит слабый | 2,28 | 2,74 | 1,9 | 2,4 | 0,015 | 0,22 |
Мергель | 2,65 | 2,8 | 2,2 | 2,6 | 0,03 | 0,08 |
Мел | 2,63 | 2,73 | 1,3 | 1,4 | 0,05 | 0,09 |
Глинистый сланец | 2,7 | 2,9 | 2,4 | 2,6 | 0,005 | 0,075 |
Аргиллит | 2,63 | 2,86 | 2,3 | 2,6 | 0,01 | 0,24 |
Опока | 2,22 | 2,48 | 1,64 | 1,79 | 0,39 | 0,49 |
Угли | 1,25 | 1,75 | 1,2 | 1,62 | 0,03 | 0,46 |
Глины | 2,73 | 2,92 | 1,9 | 2,5 | 0,25 | 0,55 |
Суглинок моренный | 2,6 | 2,76 | 2,3 | 2,6 | 0,18 | 0,2 |
4.4. Если напряжение в кровле водоприемной полости превышает предел растяжения

, то кровля будет неустойчивой. Она начнет прогибаться, разрываться трещинами, что приведет к выпадению кусков породы и обрушению. В результате обрушения в кровле образуется некоторый устойчивый свод.
Высота параболического свода обрушения по способу М.М. Протодьяконова определяется формулой

(18)
где r - полупролет выработки или радиус полости бесфильтровой скважины по кровле, м; f - коэффициент крепости пород кровли, выражающий совокупное действие трения и сцепления в породе.
За единицу крепости принимается предел прочности горной породы на одноосное сжатие

(19)
Для относительно слабых грунтов данная формула дает заниженные значения
f, поэтому следует использовать следующую зависимость
[20]

(20)
4.5. Выяснение степени прочности пород, т.е. нахождение коэффициента крепости f, может быть выполнено по образцам (керну) в лабораторных условиях.
Коэффициент крепости пород кровли определяется методом одноосного сжатия
[2]. Отбор керна для исследований производится из скважин. Испытаниям подвергаются образцы пород цилиндрической формы диаметром и высотой 42 мм. Этот способ является наиболее простым и приемлемым, дающим достаточную точность для оценки

.
Для быстрого определения коэффициента крепости в полевых условиях
[33] М.М. Протодьяконовым предложен метод толчения или метод падающего груза, заключающийся в том, что кусочки испытываемой породы размером 1,5 - 2 см общим объемом 12 - 20 см
3 дробятся в стальном стакане путем десятикратного сбрасывания на них гири массой 2,4 кгс с высоты 600 мм. После дробления пяти таких проб отсеянный материал с фракцией меньше 0,5 мм высыпают в трубку объемометра и замеряют высоту столбика на шкале. Коэффициент крепости подсчитывается по формуле

(21)
где n - число сбрасываний (n = 10); h - высота столбика раздробленной породы в объемометре, мм.
За последние годы рядом организаций проводились исследования по применению акустического каротажа для изучения физико-механических свойств горных пород. Так, трестом Днепрогеофизика установлено наличие корреляционной связи между скоростью распространения продольных волн
vр для песчано-глинистых пород (песчаники, песчаные и глинистые сланцы) и пределом их прочности на одноосное сжатие

выражаемое уравнением:

(22)
Установлено, что точность определения

по акустическому каротажу соответствует точности по лабораторным испытаниям керна исследуемых горных пород на раздавливание. Акустический каротаж выполняется модернизованной станцией ЛАК-1.
Существует ряд других методов определения коэффициента крепости пород [
13,
14,
15].
4.6. При цементации затрубного пространства центральная часть породы в параболоиде связывается с обсадной колонной, а свод равновесия представляется в виде фигуры, полученной движением параболы высотой 0,2
b по цилиндрической образующей, проходящей на расстоянии 0,5
r от ствола скважины
(рис. 18).
Масса горной породы в объеме параболоида определяет наибольшую нагрузку на кровлю и составляет

(23)
а при опоре на обсадную колонну

(24)
где

- объемная масса пород кровли в условиях естественного залегания
(табл. 9).
Высота расчетного свода равновесия должна удовлетворять условию
b <= 0,7mк, (25)
где mк - мощность пород кровли.
При выходе верха свода за пределы перекрывающего прочного пласта в вышележащий водоносный горизонт гидростатический напор последнего будет давить непосредственно на породы, лежащие внутри свода равновесия, увеличивая давление со стороны кровли и уменьшая ее устойчивость.
Сохранение устойчивости породы в своде равновесия (принимая для "запаса прочности" b - высоту цилиндра, а не параболоида) будет соблюдаться при условии

(26)
а в случае "подвески" на обсадную колонну

(27)
Здесь регулируемыми величинами являются понижение
S0 и радиус полости
r. Уменьшение
r повышает устойчивость пород внутри свода. Фактический (расчетный) радиус полости не должен превышать предельно допустимый, определяемый из выражений (
26,
27). Для контроля примерный радиус водоприемной полости определяется по данным выполненных откачек или по зависимости

(28)
где W - объем вынесенного при откачке песка, м3; Kр - коэффициент разрыхления песка, равный 1,05 - 1,2; h - глубина полости, м.
В большинстве практических случаев при залегании в кровле полости скальных и полускальных осадочных пород (мергель, мел, известняк, плотные глины, алевролиты и др.) не отмечалось их деформаций и обрушения в воронку, что свидетельствует о естественной устойчивости горных пород без образования свода над полостью.
4.7. Устойчивость откосов водоприемной полости определяется соотношением сил веса, трения и сцепления песчаных частиц, с одной стороны, и пластового гидродинамического давления - с другой. Если откосы водоприемной полости соответствуют углу естественного откоса песка, то любое гидродинамическое давление, обусловленное поступлением воды в полость, вызовет оплывание ее откосов. Поэтому откосы формируются под углом, меньшим угла естественного откоса песка под водой
(табл. 4).
Все существующие способы оценки устойчивости песчаных откосов водоприемной полости исходят из строгой и геометрически прямолинейной формы откосов, известных углов откоса и заведомо определенной водозахватной поверхности, что делает эти способы приближенными.
Можно воспользоваться результатами математического моделирования
[16] и определить устойчивость откосов проектируемой полости по среднему входному градиенту
ib, значение которого для принятых размеров полости должно быть равно или меньше критических, отвечающих углу внутреннего трения песка под водой
(рис. 19). В
табл. 10 приведены относительные градиенты

, характеризующие различные участки откосов конической полости, полученные по результатам математического моделирования. Абсолютные значения входных градиентов рассчитываются по формуле

(29)
Здесь

- масштаб относительных потенциалов, определяемых как

(30)
где S0 - рабочее понижение в скважине.
Рис. 19. График определения критического входного напорного
градиента iк при заданном угле откоса полости 
(по Т. Пивецки, 1968). Линии для угла внутреннего
трения песков 
1 - 35°; 2 - 30°; 3 - 25°
Таблица 10
Таблица относительных градиентов, построенная моделированием
| | | Относительные координаты точек <*>,  |
по внутреннему откосу полости | по кровле водоупора вблизи полости |
0,013 | 0,05 | 0,2 | 0,4 | 0,7 | 0,013 | 0,05 | 0,2 | 0,4 | 0,7 |
0,1 | 0,1 | 11° | 60 | 60 | 20 | 18 | 13 | 70 | 35 | 12 | 18 | 4 |
0,2 | 0,15 | 36°50' | 40 | 40 | 25 | 18 | 15 | 40 | 38 | 16 | 10 | 8 |
0,38 | 0,125 | 18°30' | 60 | 50 | 30 | 24 | 20 | 50 | 40 | 24 | 15 | 10 |
0,5 | 0,05 | 5°45' | 50 | 35 | 23 | 15 | 12 | 50 | 35 | 10 | 5 | 4 |
0,5 | 0,1 | 11°20' | 60 | 60 | 30 | 18 | 13 | 70 | 35 | 12 | 8 | 4 |
0,5 | 0,25 | 26°35' | 40 | 35 | 22 | 19 | 17 | 40 | 30 | 10 | 8 | 4 |
0,5 | 0,5 | 45° | 28 | 28 | 15 | 11 | 10 | 17 | 16 | 10 | 8 | 4 |
1 | 0,05 | 2°55' | 20 | 18 | 8 | 4 | 3 | 19 | 11 | 5 | 4 | 3 |
1 | 0,1 | 5°45' | 22 | 18 | 10 | 6 | 3 | 24 | 16 | 5 | 4 | 3 |
1 | 0,25 | 14°05' | 24 | 15 | 8 | 5 | 3 | 20 | 12 | 5 | 3 | 3 |
1 | 0,5 | 26°35' | 20 | 16 | 8 | 4 | 3 | 12 | 6 | 4 | 2 | 2 |
1 | 0,75 | 36°50' | 20 | 16 | 6 | 4 | 3 | 20 | 16 | 8 | 4 | 3 |
1,5 | 0,5 | 3°50' | 20 | 10 | 6 | 3 | 2 | 16 | 11 | 4 | 2 | 2 |
1,5 | 0,25 | 9°30' | 20 | 10 | 6 | 3 | 2 | 16 | 6 | 4 | 2 | 2 |
1,5 | 0,5 | 18°45' | 16 | 10 | 4 | 2 | 2 | 16 | 6 | 4 | 2 | 2 |
1,5 | 0,75 | 26°35' | 12 | 8 | 4 | 2 | 2 | 12 | 6 | 4 | 2 | 2 |
--------------------------------
<*> Начало координат в концевой части полости (фокус размыва), положительное направление оси в сторону расположения ствола скважины.
Порядок расчета следующий: по величине
S0 находят значение масштабного коэффициента, согласно
формуле (30), затем, задаваясь относительным расстоянием

(где
rк - проектный радиус полости,
ri - местоположение участка откоса полости относительно ее концевой точки), определяют по
табл. 10 для каждого участка откоса относительный градиент

, вычисляют среднее значение и по
формуле (29) определяют средний входной градиент

; затем, пользуясь графиком
рис. 19, оценивают равен он или меньше критического.
Условие ib <= iкр указывает, что углы откоса расчетной полости меньше, чем угол естественного откоса под водой, и полость устойчива. Среднее значение входной скорости фильтрации vb рассчитывается по формуле
vв = Kib, (31)
и дает возможность перейти к оценке объема рыхлого песка при заданном проектном дебите.
Пример. Оценим устойчивость откосов и кровли расчетной полости, полученной для скважины 113 из примера
п. 3.18, в которой
h = 2 м,
rпр = 20 м, что отвечает

,

и угол откоса полости примерно равен 5 - 6°. По этим данным из
табл. 10 определяем для
r = 0,4 - 0,7 (по внутреннему откосу) среднее значение
iср = 13. При
S0 = 9 м, согласно
формулы (30),

и

, что для угла в 5° превышает критическое значение
(рис. 19). Результат свидетельствует о том, что скважина с такой полостью может песковать особенно вблизи концевых участков полости
r < 0,2, где градиент еще больше. Целесообразно при разработке полости применять горизонтальные насадки и увеличивать радиус полости, что способствует уменьшению градиентов и улучшению устойчивости ее откосов (согласно
табл. 10 при

,

градиент уменьшается в 3 раза).
Найдем предельно допустимый радиус
rпр полости, при котором сохраняется устойчивость породы в кровле расчетной полости. В кровле сеноманских песков залегают мергельно-меловые породы
[40], глубина до кровли

, а гидростатический напор над кровлей равен

.
Примем объемную массу пород кровли

, коэффициент крепости
(табл. 8). Тогда, согласно
формуле (26), будет сохраняться условие устойчивости кровли

растягивающее напряжение

, что меньше, чем допустимая величина

из
табл. 8. Следовательно, кровля полости будет устойчива.
Устойчивость песчаной полости проверяется практически путем при ее формировании опытной откачкой, которая проводится при режиме, превышающем проектный дебит и понижение минимум на 20 - 50%. Отсутствие пескования при заданном режиме обеспечивает устойчивость песчаных откосов при меньших дебитах и соответствующих понижениях.
РАЗМЕРЫ ВОДОПРИЕМНОЙ ПОЛОСТИ И ЕЕ РАЗРАБОТКА
4.8. При проектировании бесфильтровых скважин целесообразно производить ориентировочный расчет размеров водоприемной полости и скорости ее разработки.
Размеры водоприемной полости зависят от необходимого дебита, состава и строения водоносного горизонта и ограничиваются прочностью пород кровли.
В начальный период формирования полость имеет крутые откосы и находится в неустойчивом динамическом состоянии. В дальнейшем за счет действия сил бокового давления, тяжести и гидродинамической силы фильтрационного потока песчаные откосы полости выполаживаются и приобретают устойчивое динамическое равновесие. При сложении водоносного горизонта песками разнозернистого состава на водоприемной поверхности полости образуется экранирующая естественная пригрузка из более крупных частиц песка. В силу неоднородности песков реальная полость может иметь сложную форму, во многих случаях она близка к выположенному конусу [
8,
16].
4.9. Размеры водоприемной полости можно характеризовать ее глубиной h, приведенным радиусом rпр и объемом откачиваемого из полости песка W. Объем полости тесно связан с проектным дебитом и коэффициентом фильтрации водоносного песка. Контролирующими элементами этого объема являются глубина полости в центре и объем откаченного из полости песка. Соотношение этих элементов для бесфильтровых скважин с проектным дебитом от 100 до 2800 м3/сут и строительным дебитом 180 - 4200 м3/сут приведено в табл. 11 и рассчитано следующим образом.
Таблица 11
Рекомендуемые размеры водоприемной воронки в зависимости
от проектного дебита при разных коэффициентах фильтрации
Проектный дебит, м3/сут | Строительный дебит, м3/сут | Глубина воронки, м | Объем воронки, м3 | Объем рыхлого песка, м3 |
Коэффициент фильтрации K, м/сут |
1 | 5 | 10 | 15 | 20 | 25 | 1 | 5 | 10 | 15 | 20 | 25 | 1 | 5 | 10 | 15 | 20 | 25 |
100 | 180 | 1,8 | 0,6 | 0,6 | 0,6 | 0,6 | 0,6 | 50 | 4 | 4 | 4 | 4 | 4 | 60 | 5 | 5 | 5 | 5 | 5 |
200 | 300 | 2,2 | 1 | 0,6 | 0,6 | 0,6 | 0,6 | 103 | 9 | 4 | 4 | 4 | 4 | 124 | 11 | 5 | 5 | 5 | 5 |
300 | 450 | 2,8 | 1,3 | 0,8 | 0,6 | 0,6 | 0,6 | 200 | 19 | 5 | 4 | 4 | 4 | 240 | 23 | 6 | 5 | 5 | 5 |
500 | 750 | - | 1,4 | 1,2 | 0,9 | 0,7 | 0,6 | - | 23 | 15 | 6 | 4 | 4 | - | 28 | 18 | 7 | 5 | 5 |
700 | 1050 | - | 2 | 1,4 | 1,2 | 0,9 | 0,8 | - | 70 | 23 | 15 | 6 | 4 | - | 84 | 28 | 18 | 7 | 5 |
1000 | 1500 | - | 2,2 | 1,7 | 1,3 | 1,2 | 1 | - | 103 | 42 | 19 | 15 | 9 | - | 124 | 50 | 23 | 18 | 11 |
1200 | 1800 | - | 2,4 | 1,9 | 1,5 | 1,3 | 1,2 | - | 135 | 60 | 29 | 19 | 15 | - | 162 | 72 | 35 | 23 | 18 |
1400 | 2100 | - | 2,6 | 2 | 1,6 | 1,4 | 1,3 | - | 167 | 70 | 34 | 23 | 19 | - | 200 | 84 | 41 | 28 | 23 |
1600 | 2400 | - | 2,8 | 2 | 1,7 | 1,5 | 1,4 | - | 200 | 70 | 42 | 28 | 23 | - | 240 | 84 | 50 | 34 | 28 |
1800 | 2700 | - | - | 2,1 | 1,8 | 1,6 | 1,5 | - | - | 85 | 50 | 34 | 28 | - | - | 102 | 60 | 41 | 34 |
2000 | 3000 | - | - | 2,2 | 1,9 | 1,7 | 1,5 | - | - | 103 | 60 | 42 | 29 | - | - | 124 | 72 | 50 | 35 |
2400 | 3600 | - | - | 2,5 | 2 | 1,8 | 1,7 | - | - | 152 | 70 | 50 | 42 | - | - | 182 | 84 | 60 | 50 |
2800 | 4200 | - | - | - | 2,2 | 2 | 1,8 | - | - | - | 103 | 70 | 50 | - | - | - | 124 | 84 | 60 |
Для конусообразных воронок глубиной от 0,5 до 3,0 м с выполаживающимися углами откосов (снизу вверх в каждой четверти по высоте соответственно 30 - 20 - 15 - 10°) подсчитаны площади боковой поверхности (f) и объемы (W), а также объемы рыхлого песка с коэффициентом разрыхления 1,2. Затем определены притоки в воронки по формуле
| | ИС МЕГАНОРМ: примечание. Обозначения даны в соответствии с официальным текстом документа. | |
где v - выходная скорость фильтрации на откосах, м/сут; K - коэффициент фильтрации, м/сут; J - градиент потока, принятый равным максимальным величинам: для строительной откачки - 1,5, для проектного дебита - 1.
При таком подсчете были учтены результаты опробования более 100 бесфильтровых скважин на территории БССР; добивались, чтобы размеры расчетных воронок и дебиты возможно ближе соответствовали реальным скважинам. Полученные таким путем дебиты с помощью промежуточных графиков Q = f(F), h = f(F), W = f(h) для указанных выше воронок переведены в табличные значения дебитов и соответствующих им глубинам и объемам воронок.
Поэтому
табл. 11 с некоторым гарантийным запасом позволяет определить требуемую глубину, объем воронки и объем рыхлого песка при заданном проектном дебите.
4.10. По заданной глубине полости и расчетному объему вынесенного песка по
формуле (28) рассчитывается ее радиус. Если радиус полости поверху допустим по условиям устойчивости кровли, то откачка должна продолжаться до тех пор, пока будет откачен весь расчетный объем песка.
Приведенный радиус водоприемной полости также является контрольным элементом, так как связан с объемом полости, потребным дебитом и коэффициентом фильтрации водоносного песка. Он характеризует в обобщенном виде форму и размеры полости, гидродинамическое влияние, связанное с формирующимися откосами, созданными условиями входа воды в полость и ствол скважины, а также устойчивостью ее в целом.
При проектировании бесфильтровых скважин по результатам изысканий или при наличии опыта их эксплуатации расчетный приведенный радиус контролируется соответствием его величинам, определенным по данным опытных или эксплуатационных откачек с учетом соответствия опытных и проектных дебитов и объемов вынесенного при создании полости песка. Для этого предварительно по опытным данным строятся графики Q = f(rпр, W) и rпр = f(W).
4.11. Величина понижения уровня воды в бесфильтровой скважине зависит от дебита, размеров водоприемной полости и коэффициента фильтрации песка. С увеличением понижения вынос песка и размеры полости возрастают. Излишняя разработка водоприемной полости не рекомендуется, поскольку это может привести к неустойчивости кровли. Ориентировочные величины понижений при строительной откачке для определенных размеров воронки и коэффициентов фильтрации приведены в
табл. 12. Они получены по аналогии с опробованными бесфильтровыми скважинами на сеноманский водоносный горизонт в БССР, при различных коэффициентах фильтрации. При этом понижения для строительной откачки увеличены в 1,5 раза и взяты пропорционально глубине воронки.
Таблица 12
Понижения уровней воды в скважинах при разных строительных
дебитах, глубинах воронки и коэффициентах фильтрации песка
Строительный дебит, м3/сут | Понижение при откачке, м ---------------------------------------- Глубина воронки, м |
Коэффициент фильтрации, м/сут |
1 | 5 | 10 | 15 | 20 | 25 |
180 | 4,5 ------ 1,8 | 2,5 ------ 0,6 | 4 ----- 0,6 | 4,5 ------ 0,6 | 5,5 ------ 0,6 | 6 ----- 0,6 |
300 | 5,5 ------ 2,2 | 4,5 ------ 1 | 4 ----- 0,6 | 4,5 ------ 0,6 | 5,5 ------ 0,6 | 6 ----- 0,6 |
450 | 6,5 ------ 2,8 | 5,5 ------ 1,3 | 5,5 ------ 0,8 | 4,5 ------ 0,6 | 5,5 ------ 0,6 | 6 ----- 0,6 |
750 | - | 6 ----- 1,4 | 8,5 ------ 1,2 | 7 ----- 0,9 | 6,5 ------ 0,7 | 6 ----- 0,6 |
1050 | - | 9 ---- 2 | 10 ------ 1,4 | 9,5 ------ 1,2 | 8 ----- 0,9 | 8 ----- 0,8 |
1500 | - | 9,5 ------ 2,2 | 11,5 ------ 1,7 | 10 ----- 1,3 | 11 ----- 1,2 | 10 ----- 1 |
1800 | - | 10,5 ------ 2,4 | 13 ----- 1,9 | 11,5 ------ 1,5 | 11,5 ------ 1,3 | 12 ----- 1,2 |
2100 | - | 11,5 ------ 2,6 | 14 ----- 2 | 12,5 ------ 1,6 | 12,5 ------ 1,4 | 13 ----- 1,3 |
2400 | - | 12,5 ------ 2,8 | 14 ----- 2 | 13,5 ------ 1,7 | 13,5 ------ 1,5 | 14 ----- 1,4 |
2700 | - | - | 14,5 ------ 2,1 | 14 ----- 1,8 | 14,5 ------ 1,6 | 15 ----- 1,5 |
3000 | - | - | 15 ----- 2,2 | 15 ----- 1,9 | 15,5 ------ 1,7 | 15 ----- 1,5 |
3600 | - | - | 17 ----- 2,5 | 15,5 ------ 2 | 16 ----- 1,8 | 17 ----- 1,7 |
4200 | - | - | - | 17 ----- 2,2 | 18 ----- 2 | 18 ----- 1,8 |
4.12. Скорость разработки полости зависит от степени уплотненности водоносного песка и скорости притока воды к полости. Длительность откачки можно сократить за счет поддерживания большей концентрации песка в воде (мутности).
По обсадным трубам поднимается вода с большей или меньшей мутностью. Чтобы взвесь не выпадала из воды при движении ее по трубе, скорость подъема не должна быть меньше критической, при которой твердые частицы начинают выпадать на дно скважины
(табл. 13). Чем крупнее песок, больше мутность воды и больше диаметр водоприемной трубы, тем больше нужны восходящие скорости
(табл. 14).
Таблица 13
Критические скорости (м/с) при разных диаметрах труб
и разной мутности воды
Взвесь | Диаметр труб, мм | Скорости при мутности воды от 1 до 50% (по объему) |
1 | 2 | 5 | 7 | 10 | 20 | 30 | 40 | 50 |
Мелкий песок | 100 | 0,48 | 0,49 | 0,52 | 0,55 | 0,59 | 0,74 | 0,98 | 1,12 | 1,35 |
150 | 0,58 | 0,61 | 0,65 | 0,68 | 0,73 | 0,91 | 1,2 | 1,39 | 1,66 |
200 | 0,68 | 0,71 | 0,76 | 0,8 | 0,86 | 1,08 | 1,42 | 1,64 | 1,96 |
250 | 0,73 | 0,76 | 0,82 | 0,86 | 0,92 | 1,16 | 1,53 | 1,76 | 2,1 |
Крупный песок | 100 | 0,61 | 0,63 | 0,68 | 0,71 | 0,77 | 0,96 | 1,26 | 1,46 | 1,74 |
150 | 0,75 | 0,79 | 0,85 | 0,88 | 0,95 | 1,2 | 1,57 | 1,82 | 2,16 |
200 | 0,88 | 0,92 | 0,95 | 1,04 | 1,12 | 1,4 | 1,82 | 2,1 | 2,54 |
250 | 0,98 | 1,02 | 1,09 | 1,14 | 1,23 | 1,54 | 2,04 | 2,35 | 2,8 |
Таблица 14
Минимальные дебиты скважин при скоростях (л/с) входа,
Взвесь | Диаметр труб, мм | Дебиты при мутности воды от 1 до 50% (по объему) |
1 | 2 | 5 | 7 | 10 | 20 | 30 | 40 | 50 |
Мелкий песок | 100 | 3,75 | 3,8 | 4,1 | 4,3 | 4,6 | 5,8 | 7,6 | 8,9 | 10,6 |
150 | 10,2 | 10,8 | 11,5 | 12 | 12,8 | 16 | 21 | 24,5 | 29 |
200 | 21 | 22 | 23,5 | 24,7 | 26,6 | 33,5 | 44 | 51 | 60,4 |
250 | 35,6 | 37,3 | 40 | 42 | 45 | 57 | 75 | 86 | 103 |
Крупный песок | 100 | 4,7 | 4,9 | 5,3 | 5,55 | 6,0 | 7,5 | 9,8 | 11,4 | 13,6 |
150 | 13,2 | 13,9 | 15 | 15,5 | 16,7 | 21 | 27,5 | 32,2 | 38 |
200 | 27,4 | 28,5 | 30,5 | 32,4 | 34,5 | 43,5 | 56,5 | 65 | 78,5 |
250 | 48 | 50 | 53,5 | 56 | 60,5 | 76 | 100 | 116 | 137 |
Показанные в
табл. 14 дебиты могут служить для подбора эрлифтов при откачках воды с разной мутностью.
Необходимую длительность откачки можно ориентировочно определить по зависимости

(33)
где W - объем рыхлого песка, м3; Q - дебит, м3/ч; M - мутность в долях единицы.
Для расчета продолжительности откачки по формированию водоприемной полости можно использовать
табл. 15, в которой показана часовая производительность извлечения песка при разных дебитах и мутности. Разделив общий расчетный объем песка на часовую производительность, получим ориентировочные затраты времени на разработку полости в часах.
Таблица 15
Объем песка, откаченного из полости за 1 ч при разной
мутности и дебите скважины (W = QM, м3/ч)
Дебит | Объем песка при мутности воды от 1 до 50% (по объему) |
л/с | м3/ч | 1 | 2 | 5 | 7 | 10 | 20 | 30 | 40 | 50 |
10 | 36 | 0,36 | 0,72 | 1,8 | 2,52 | 3,6 | 7,2 | 10,8 | 14,4 | 18 |
20 | 72 | 0,72 | 1,44 | 3,6 | 5,04 | 7,2 | 14,4 | 21,6 | 28,8 | 36 |
30 | 108 | 1,08 | 2,16 | 5,4 | 7,56 | 10,8 | 21,6 | 32,4 | 43,2 | 54 |
40 | 144 | 1,44 | 2,88 | 7,2 | 10,1 | 14,4 | 28,8 | 43,2 | 57,6 | 72 |
50 | 180 | 1,8 | 3,6 | 9 | 12,6 | 18 | 36 | 54 | 72 | 90 |
60 | 216 | 2,16 | 4,32 | 10,8 | 15,1 | 21,6 | 43,2 | 64,8 | 86,4 | 108 |
70 | 252 | 2,52 | 5,04 | 12,6 | 17,6 | 25,2 | 50,4 | 75,6 | 101 | 126 |
80 | 288 | 2,88 | 5,76 | 14,4 | 20,2 | 28,8 | 57,6 | 86,4 | 115,2 | 144 |
90 | 324 | 3,24 | 6,48 | 16,2 | 22,7 | 32,4 | 64,8 | 97,2 | 130 | 162 |
100 | 360 | 3,6 | 7,2 | 18 | 25,2 | 36 | 72 | 108 | 144 | 180 |
В зависимости от принятого оборудования и способа откачки длительность этой операции изменяется от нескольких часов до нескольких недель. Откачка с малым содержанием песка в пульпе и низким дебитом нерациональна. Следует предусматривать интенсивные режимы откачек (см.
главу 5), обеспечивающие быструю разработку водоприемной полости. При большой мутности откачку необходимо вести непрерывно во избежание осаждения песка и образования пробки в стволе во время остановки откачки.
В
табл. 16 приведена продолжительность формирования водоприемной полости при средней мутности 1,5% для разных размеров воронки и дебита откачки. Из опыта в БССР известно, что мутность воды изменялась от 10 - 20% в начале откачки до 0,1 - 0,01% в конце, при этом средняя мутность за весь период находилась в пределах 1,3 - 1,7%
[8]. Исходя из этого, при мутности 1,5%, по данным
табл. 14 и
формуле (33), подсчитано ориентировочное время формирования воронки.
Таблица 16
Продолжительность откачки для формирования
водоприемной полости
Строительный дебит, м3/сут | Продолжительность откачки, ч |
Глубина воронки, м ----------------------------------- Объем рыхлого песка, м3 |
0,5 ------ 4 | 1 ----- 11 | 1,5 ------ 34 | 2 ----- 84 | 2,5 ------ 182 | 3 ------ 265 |
180 | 36 | 98 | 303 | 747 | 1618 | 2356 |
300 | 21 | 59 | 181 | 448 | 971 | 1413 |
450 | 14 | 39 | 121 | 299 | 647 | 942 |
750 | 8 | 23 | 72 | 179 | 388 | 573 |
1050 | 7 | 17 | 52 | 128 | 277 | 404 |
1500 | 4 | 12 | 36 | 90 | 194 | 283 |
1800 | 3,6 | 10 | 30 | 75 | 162 | 236 |
2100 | 3 | 8 | 26 | 64 | 139 | 202 |
2400 | 3 | 7 | 23 | 56 | 121 | 177 |
2700 | 2 | 6,5 | 20 | 50 | 108 | 157 |
3000 | 2 | 6 | 18 | 45 | 97 | 141 |
3600 | 1,8 | 5 | 15 | 37 | 81 | 118 |
4200 | 1,5 | 4 | 13 | 32 | 69 | 101 |
Из
табл. 16 видно, что откачка с малым дебитом может удлинить сроки создания большой воронки до месяца и более. Чтобы уложиться в разумные пределы продолжительности этих работ (например, до 5 сут), необходимо предусмотреть соответствующий дебит строительной откачки (ниже разграничительной линии, соответствующей примерно 120 ч).
4.13. Для определения объема полости бесфильтровых скважин может быть использован гидроакустический каверномер "Профиль-2", разработанный ВИТРом
[13].
Он позволяет в заполненной водой, а также глинистым раствором скважине проводить профилирование полостей любых размеров путем локации их стенок. "Профиль-2" проводит профилирование как по вертикали, так и по горизонтали.
Вертикальное профилирование осуществляется при непрерывном движении скважинного прибора с одновременной записью сечений, продольных оси скважины.
Горизонтальное профилирование осуществляется при неподвижном приборе с записью формы одного поперечного (горизонтального) сечения воронки.
Снаряд спускаемый в скважину, имеет диаметры 63 и 75 мм. В воде измеряемое расстояние по радиусу достигает 200 м. Время, затрачиваемое на вертикальное профилирование, - 1 ч, на горизонтальное (одно поперечное сечение) - 120 с. Результаты измерений поступают на поверхностный пульт и записываются на осциллографическую фотобумагу в заданном масштабе.
4.14. Для определения формы и объема полости может также использоваться ультразвуковой каверномер "Контур"
[14]. Он используется для обмеров камер, создаваемых в пластах каменной соли для ее выщелачивания с помощью скважин. Прибор спускается в скважину в зону водоприемной полости и излучает зондирующие импульсы при круговом вращении. На поверхности регистрирующие приборы записывают обводы горизонтального сечения полости на кинопленку в заданном масштабе.
Диаметр спускаемого зондировочного снаряда разработанной установки "Контур-1" равен 92 мм, максимальная глубина погружения - 1200 м, измеряемое расстояние по радиусу от 0,3 до 100 м, время регистрации одного сечения - 60 с.
РАСЧЕТ ПРИВЕДЕННЫХ РАДИУСОВ ВОДОПРИЕМНОЙ ПОЛОСТИ
ПО ДАННЫМ ОТКАЧКИ
4.15. Приведенный радиус водоприемной полости rпр определяется по данным строительных, опытных или эксплуатационных откачек с учетом гидродинамического несовершенства скважины, по степени вскрытия пласта, режима фильтрации и типа откачки. Он в общем виде характеризует форму и размеры созданных водоприемных полостей.
Приведенный радиус полости можно определять, используя известные из динамики подземных вод аналитические и графоаналитические способы, а также метод эталонов [
16,
18].
4.16. Метод эталонов построен на сравнительном анализе данных проведенной кустовой откачки из бесфильтровой скважины с результатами эталонного моделирования, выполненного на типовых расчетных схемах, характеризующих приток воды к различным по форме и размерам полостям. Сопоставляются величина и характер распределения относительных понижений по наблюдательным скважинам кустовой откачки с аналогичными модельными данными, служащими в качестве эталонов. Форма реальной полости выбирается эквивалентной такой модельной, при которой табличное распределение относительных понижений наиболее близко совпадает с опытным. В качестве эталонов предлагается использовать результаты математического моделирования, выполненного для конических форм водоприемной полости в условиях неограниченного

и ограниченного

по мощности пласта. Характеристика модельных эталонов дана в
табл. 2, распределение относительных понижений

для заданных относительных расстояний

дано в
табл. 3. Последовательность анализа следующая.
1. По измеренной глубине полости
h вычисляют величину

и определяют вид расчетной схемы

.
2. На конец откачки, которая выполняется в условиях стационарной или квазистационарной фильтрации, по данным наблюдательных скважин определяют относительные расстояния

и соответствующие им относительные понижения

. Здесь
m - мощность пласта;
ri - расстояние данной наблюдательной скважины от центральной;
Si,
S0 - соответственно понижения в наблюдательной и центральной скважинах.
3. Полученные значения
Si, %, для определенных
ri при расчетном

сравнивают с аналогичными данными
табл. 3 и выбирают такую полость, для которой табличное распределение наиболее близко совпадает с опытным.
4. По определенной из
табл. 3 величине

и известной мощности водоносного пласта находят величину приведенного радиуса

для конусообразной полости глубиной
h. Затем рассчитывают тангенс приведенного угла откоса полости по формуле

и далее по известным таблицам угол

.
Пример. В
табл. 17 приведено сопоставление распределения относительных понижений, полученных для проведенной кустовой откачки из скважины 113, с данными
табл. 3. Скважина 113 бесфильтровая, пробурена в г. Гродно БССР на сеноманский водоносный горизонт. Данные по откачке взяты из работы
[40]. Глубина полости 2,1 м при мощности водоносного горизонта 54 м,

. Понижение в центральной скважине на конец откачки составило 10,4 м, понижения в наблюдательных скважинах показаны в
табл. 17. Наиболее близко натурному распределению относительных понижений соответствует полученное на модели для конической полости с параметрами

и

. Можно предположить, что в скважине 113 сформировалась полость, радиусом около половины или несколько меньше мощности водоносного горизонта, т.е. около 20 - 25 м. Если принять полость в виде полусферы радиусом 4 м, то уменьшение относительного понижения с увеличением расстояния от скважины идет скорее, чем это получено по данным откачки. Меньший радиус дает еще большие расхождения (
табл. 3,
17).
Таблица 17
Сравнение распределения относительных понижений по данным
кустовой откачки из скважины 113 и моделирования
Номер наблюдательных скважин | Расстояние от центральной скважины r, м | Понижение в наблюдательной скважине S, м | Относительные расстояния  | Относительное понижение  |
по данным откачки | по данным моделирования при  |
125 | 65 | 4,16 | 1,2 | 40 | 40 - 35 |
124 | 127 | 3,61 | 2,3 | 34,5 | 30 - 35 |
На рис. 20 изображена предполагаемая гидродинамическая сетка, отвечающая предложенной схеме строения водоприемной полости в скважине 113.
Рис. 20. Схематическая гидродинамическая сетка, построенная
графоаналитическим методом по данным кустовой откачки
для реальной бесфильтровой скважины 113
4.17. Приведенный радиус rпр можно определять по одиночным откачкам, используя аналитические зависимости.
При

полость приводится к полусфере и при стационарной фильтрации и известном коэффициенте фильтрации величина
rпр вычисляется по формуле

(34)
где S0, Q0 - понижение уровня воды в скважине и соответствующий ей дебит.
Формулой (34) можно пользоваться и при квазистационарной фильтрации, которая, как показывают расчеты, наступает в зоне скважины через 0,1 - 0,7 сут при
a = 10
4 - 10
6 м
2/сут,
rпр = 2,0 - 40 м.
Пример. По данным опытных откачек, проведенных в г. Гродно, величина дебита и водопроводимости по скважине 113 равна
Q1 = 2980 м
3/сут,
Km1 = 500 м
2/сут, по скважине 115
Q2 = 2160 м
3/сут,
Km2 = 311 м
2/сут. При средней мощности водоносного пласта
m = 55 м и глубине каверн
h = 2 м бесфильтровые скважины имеют

, что отвечает схеме пласта с неограниченной мощностью и позволяет определять
rпр по
формуле (34). Вычислив предварительно коэффициент фильтрации, находим приведенные радиусы полусфер для скважины 113
rпр1 = 4,92 м, для скважины 115
rпр2 = 6,7 м.
4.18. По данным кустовых откачек при наличии в луче нескольких наблюдательных скважин приведенный радиус определяется графоаналитическим методом по графику площадного прослеживания. В зависимости от предполагаемой формы полости графики строятся в различных координатах.
Принимая реальную полость за эквивалентную цилиндрическую радиуса
rпр0, график площадного прослеживания строят в координатах
(рис. 21). Здесь

, т.е. разность понижений уровня воды в центральной и одной из наблюдательных, находящейся на расстоянии
ri от опытной. Исходным является известное уравнение квазистационарной (или стационарной) фильтрации, которое в этом случае принимает вид

(35)
при

(36)
A = -B lg rпр,0. (37)
Здесь B - тангенс угла наклона прямой к оси абсцисс, A - отрезок, отсекаемый ею на оси ординат.
Рис. 21. График площадного прослеживания 
,
построенный
по данным кустовой откачки из скважины 113
Последовательность определения следующая:
по данным опытных откачек вычисляют разность понижений

и lg
ri. Должно быть не менее двух-трех наблюдательных скважин в одном луче, расположенных за зоной деформации потока;
полученные данные наносят на полулогарифмический график

и проводят равноотстоящую прямую через опытные точки;
определяют тангенс угла наклона этой прямой к оси абсцисс по формуле

(38)
продолжением прямой до пересечения с осью ординат определяют отрезок A;
вычисляют сначала логарифм rпр,0 по формуле

(39)
а затем - величину rпр,0;
для проверки расчета на оси абсцисс находят отрезок при

, так как в этом случае lg
ri = lg
rпр,0.
Обратим внимание на то, что при этом способе может быть определена величина водопроводимости пласта расчетом из
формулы (36) при известной величине
B. Время, начиная с которого определение параметров можно вести графоаналитическим методом, находят по формуле

(40)
Здесь ri - расстояние до наблюдательной скважины.
При наличии двух лучей в опытном кусте целесообразно вычислять rпр,0 по каждому из них. Это позволит получить относительную характеристику формы полости в пространстве. Рекомендуемый способ был проверен на тестовых задачах, а также данных кустовых откачек, выполненных в БССР и других районах.
Пример. Используем данные кустовой откачки из скважины 113 и определим
rпр,0 по графику площадного прослеживания

, заменяя тем самым водоприемную полость на приведенную цилиндрическую скважину радиуса
rпр,0, вскрывающую водоносный горизонт на всю его мощность
m = 54 м. Определяем разность понижений

,

, используя
табл. 17 и величину понижения в центральной скважине
S0 = 10,4 м. Соответственно имеет lg
r1 = lg 65 = 1,81 и lg
r2 = lg 127 = 2,1. По этим данным строим график

, показанный на
рис. 21.
Находим по
формуле (38) коэффициент
B = 2,07, а затем отрезок
A = 2,6. Вычисляем по
формуле (39) lg
rпр,0 = -1,26 и значение
rпр,0 = 0,055 м при
l =
m = 54 м.
Аналогичным образом можно находить приведенное значение радиуса полости для других схем, используя известные приемы обработки опытных откачек.
Предлагаемый способ определения приведенного радиуса полости rпр по данным опытных работ имеет главное преимущество в том, что бесфильтровая скважина с реальной полостью заменяется на скважину с приведенной полостью при равенстве их дебитов и понижений. Это соответствие выполняется, если при проектировании бесфильтровых скважин принятая при обработке опытных откачек приведенная форма полости не изменяется. Использование эквивалентности боковых поверхностей водопритока при замене реальной полости на расчетную приводит к несоответствию их дебитов и понижений. Это необходимо иметь в виду при расчете бесфильтровых скважин.
| | ИС МЕГАНОРМ: примечание. Текст дан в соответствии с официальным текстом документа. | |
4.19. Гидродинамическая структура потоков, создающихся вблизи полости бесфильтровых скважин и с фильтром существенно различны. В связи с этим дебит бесфильтровой скважины зависит в основном от радиуса полости по кровле
rк (т.е.

) и меньше от глубины ее (т.е.

), дебит фильтровой несовершенной скважины зависит главным образом от длины фильтра и, следовательно, от

и очень слабо от радиуса фильтра
r0. Поэтому вычислять коэффициент гидродинамического несовершенства по графикам и таблицам Н.Н. Веригина для бесфильтровых скважин неправомерно. Целесообразно по данным опытных кустовых откачек определять известными способами (
12,
30,
32) показатель общего гидравлического несовершенства

, приводя водоприемную полость к цилиндрической с длиной фильтра
l =
h и радиусом
r0.
5. СООРУЖЕНИЕ БЕСФИЛЬТРОВЫХ СКВАЖИН
5.1. При сооружении бесфильтровых скважин применяется вращательное бурение (роторное, колонковое) с прямой промывкой глинистым раствором, обеспечивающее высокую скорость бурения и требующее минимальное количество обсадных труб. Колонковым способом бурятся скважины, как правило, при геологоразведочных работах на воду для изучения геологического разреза и взятия образцов горных пород. Роторный способ используется при бурении эксплуатационных скважин и разбурке разведочных стволов под разведочно-эксплуатационные скважины. Обязательным является проведение стандартного электро- и гамма-каротажа для уточнения литологических границ в разрезе.
5.2. Известный недостаток бурения с глинистым раствором - глинизация водоносного пласта - при бесфильтровой конструкции исчезает, поскольку размеры создаваемой водоприемной воронки в сотни раз больше зоны проникновения глинистого раствора. Отсутствие фильтра позволяет применять обсадные трубы малого диаметра.
5.3. Для сооружения скважин применяют буровые установки УРБ-2А, УРБ-3АМ, 1БА-15В, УРБ-2А2, УРБ-3А2, УРБ-3А3, УВБ-600, УРБ-4ПМ, СБУДМ-150-3ИВ и другие с глубиной бурения до 150 - 1200 м.
Все работы по устройству бесфильтровых скважин выполняются стандартным оборудованием и инструментами, принятыми в буровой практике. Технология их сооружения проста и общедоступна, но требует от персонала ясного представления о сущности происходящих на забое явлений и строгого выполнения установленного порядка работ. Соблюдение несложных правил технологии обеспечивает высокую производительность скважин и длительный срок их службы.
ПОДГОТОВКА БУРОВОЙ ПЛОЩАДКИ
5.4. При планировке площадки для производства буровых работ (рис. 22) предусматривается место для отвода и отстоя водопесчаной пульпы из скважины при разработке водоприемной воронки. Извлеченный из скважины песок после заполнения отстойника складируется способом намыва с целью определения его ориентировочного объема для оценки размеров образованной на забое полости.
Рис. 22. Схема расположения оборудования на буровой площадке
1 - буровая установка; 2 - насос; 3 - глиномешалка;
4 - отстойник; 5 - компрессор; 6 - бурильные трубы;
7 - обсадные трубы; 8 - инструмент; 9 - передвижной
вагончик; 10 - площадка для песка
5.5. Отстойник циркуляционной системы глубиной до 1,5 м должен состоять из двух емкостей для лучшей очистки промывочной жидкости и иметь увеличенный объем. Он должен вместить весь материал при бурении ствола и первоначальный объем песка, извлеченный при формировании водоприемной полости. С учетом этого ориентировочные объемы отстойника приведены в табл. 17.
| | ИС МЕГАНОРМ: примечание. Нумерация таблиц дана в соответствии с официальным текстом документа. | |
Таблица 17
Рекомендуемые объемы отстойника, м3
Глубина скважины, м | Диаметр долота, мм |
135 | 161 | 190 | 214 | 243 |
50 | 4 | 4 | 4 | 5 | 6 |
100 | 6 | 6 | 6 | 8 | 10 |
150 | 7 | 8 | 10 | 12 | 15 |
200 | 9 | 10 | 13 | 16 | 20 |
250 | 10 | 12 | 16 | 20 | 25 |
300 | 12 | 15 | 20 | 24 | 30 |
350 | 14 | 18 | 24 | 29 | 35 |
Легко измеряемый в отстойнике объем песка даст представление о величине созданной первоначальной емкости на забое скважины, что позволит решить вопрос о переходе к более интенсивной откачке песка без опасений образования песчаной пробки в стволе скважины.
БУРЕНИЕ И КРЕПЛЕНИЕ СТВОЛА СКВАЖИНЫ
5.6. Глубина скважин назначается на изученном участке с учетом вскрытия водоносного пласта на 4 - 6 м, а при разведочных работах - выборочно на полную мощность.
Процесс сооружения бесфильтровых скважин состоит из двух стадий: бурение ствола скважины с обсадкой его трубами и создание водоприемной полости путем откачки песка.
5.7. Последовательность работ при бурении следующая:
бурение ствола (с керном или сплошным забоем);
стандартный каротаж скважины;
интерпретация каротажа и уточнение геологического разреза скважины;
расширение ствола под обсадную колонну;
крепление скважины трубами;
цементация затрубного пространства.
Бурение скважины колонковым или роторным способом производится по обычной технологии с прямой промывкой глинистым раствором.
5.8. Следует обратить особое внимание на точность определения глубины контакта плотных пород кровли и намеченных к эксплуатации водоносных песков, а также на мощность пород кровли. Эти границы устанавливаются по керну и каротажу. В слабоизученных разрезах породы кровли должны буриться с полным отбором керна, по которому дается визуальная оценка крепости породы, а при необходимости отбираются образцы с ненарушенной структурой для лабораторных определений коэффициента крепости, объемной массы, скорости размокания.
5.9. Глинистые породы кровли независимо от плотности должны быть полностью перекрыты обсадной колонной с выходом ее в подстилающие пески на 0,2 - 0,5 м. В противном случае из-за склонности глин к набуханию и пучению в присутствии воды произойдет выпор стенок скважины и прекращение подачи воды.
5.10. Если кровля сложена слаботрещиноватыми породами скального и полускального типа, то их можно не перекрывать обсадной колонной, а лишь заглубить в них башмак на 2 - 3 м, оставив ниже обнаженный ствол, заканчивающийся водоприемной воронкой.
Когда кровля представлена сильнотрещиноватыми породами, то во избежание вывалов ствол должен крепиться трубами до водоносных песков.
5.11. Заглубление обсадных труб в водоносные пески допускается не более чем на 0,3 - 0,5 м, чтобы не создавать излишне глубокую воронку. Достаточная глубина воронки составляет 1,5 - 2 м, считая от контакта с кровлей. Поскольку формирование воронки происходит ниже башмака труб, то вышележащий слой песка до устойчивой породы обрушается при откачке из воронки, увеличивая общую ее глубину и площадь обнажения кровли, уменьшая устойчивость пород кровли.
5.12. При слоистом разрезе, постепенных литологических переходах, нечетких границах песков, а также по субъективным причинам технического порядка могут быть случаи затрудненного определения контактов песчаного пласта с плотными породами. Выход из этих затруднений находится путем установки в переходный интервал перфорированной трубы с достаточно большим числом крупных отверстий: при откачке воронка сама будет образовываться в рыхлой зоне, оставляя плотную породу за дырчатым каркасом.
Некоторые варианты обсадки скважин в зависимости от геологического разреза показаны на
рис. 2.
5.13. В зависимости от гидрогеологических условий и глубины скважины закрепляются одной или несколькими колоннами обсадных труб. Диаметр и длину эксплуатационной колонны определяют типом насоса с учетом прогнозированного снижения уровня воды на весь срок эксплуатации. Диаметр следующей колонны, в целях снижения металлоемкости скважины, можно выбирать минимальным, допустимым с точки зрения пропуска подаваемого количества воды.
Меньший диаметр бурения скважины и обсадных труб благоприятствует более надежной цементации затрубного пространства и уменьшает затраты на скважину.
5.14. Цементация затрубного пространства производится не только с обычной целью изоляции горизонтов друг от друга и предохранения обсадных труб снаружи от коррозии, но также для предотвращения переноса по затрубному пространству вместе с водой обломочного материала в водоприемную воронку. Она служит для надежного сцепления обсадной колонны с породами, залегающими выше осваиваемого водоносного пласта. В зависимости от литологии вышележащих пород цементация проводится от башмака колонны до определенной отметки либо до устья скважины.
Качественная цементация предохраняет воронку от заполнения сыпучим материалом из верхних слоев и укрепляет ее свод, что усиливает надежную работу скважины.
Для цементации применяется тампонажный цемент не ниже марки М400.
СОЗДАНИЕ ВОДОПРИЕМНОЙ ПОЛОСТИ. ОТКАЧКА
5.15. После затвердевания цемента пески водоносного горизонта разбуриваются на 3 - 5 м с целью разрыхления и образования некоторой призабойной емкости за счет обрушения песчаных стенок ствола. Затем производится разработка полости с помощью бурового насоса, эрлифта или водоструйного насоса (гидроэлеватора). На фонтанирующих бесфильтровых скважинах формирование водоприемной воронки осуществляется способом естественного самоизлива при его регулировании.
5.16. Разработку полости можно осуществлять и без участия бурового агрегата, используя самостоятельный центробежный насос для подачи промывочной воды по трубам на забой, треногу с лебедкой для спуско-подъемных операций и компрессор для откачки или водоструйный насос.
5.17. Этапы формирования водоприемной полости с помощью эрлифта показаны на рис. 23
[6]. При малых диаметрах обсадных труб последние служат водоподъемной колонной
(рис. 24). При закреплении скважин трубами диаметром более 168 мм (6") в скважину опускается дополнительная водоподъемная колонна меньшего диаметра
(рис. 25).
Рис. 23. Этапы сооружения бесфильтровой скважины
а - скважина пробурена до водоносного пласта; б - скважина
обсажена трубами, зацементировано затрубное пространство;
в - разбурен ствол в водоносном пласте с целью разрыхления;
г - бурильные трубы приподняты, через них скважина промыта
чистой водой, ствол в пласте обрушен с образованием
начальной воронки, опущены воздухоподающие трубы эрлифта;
д - через буровой снаряд закачивается вода, ведется откачка
эрлифтом; е - подача воды прекращена, эрлифт работает
за счет притока воды; ж - скважина после завершения работ
Рис. 24. Общая схема сооружения бесфильтровой скважины
с откачкой через обсадные трубы
1 - компрессор; 2 - воздухоподающие трубы; 3 - насос;
4 - отстойник; 5 - воронка; 6 - водоподающие трубы
Рис. 25. Схема откачки из бесфильтровой скважины
с дополнительной водоподъемной колонной эрлифта
1 - трубы для подачи воды; 2 - эрлифт
5.18. В начальный период, когда фильтрующая поверхность полости мала, нельзя создавать большое понижение уровня, иначе при большом дебите и высоких выходных скоростях фильтрации на песчаных откосах в ствол скважины будет поступать пульпа со значительной концентрацией песка, которая приведет к закупорке труб. Одновременная подача на забой воды с помощью насоса уменьшает величину понижения и предотвращает образование песчаных пробок в стволе. При наличии отдельной водоподъемной колонны эрлифта подавать воду в скважину можно прямо с поверхности в открытое устье скважины. Однако промывка ствола водой с забоя служит безусловной гарантией от песчаных пробок.
5.19. Последовательность работ при формировании воронки следующая:
промывка глинистым раствором с переходом на чистую воду разбуренного верхнего интервала песка, при этом глинистый раствор отводится в сторону, а в отстойник подается чистая вода;
подъем бурового снаряда немного выше границы воронки, промывка скважины чистой водой;
остановка насоса и спуск воздухоподающих труб до расчетной глубины для обеспечения работы эрлифта. В скважинах большого диаметра - спуск водоподъемной колонны эрлифта до забоя и внутри ее - воздухоподающей трубы на расчетную глубину;
запуск насоса, подача воды по буровому снаряду к воронке, затем запуск компрессора;
одновременная работа насоса и эрлифта, заполнение отстойника песком, контроль объема поднятого песка и увеличения притока воды из пласта;
после извлечения примерно 4 - 6 м3 песка отключение насоса и продолжение откачки эрлифтом с доведением ее до максимальной производительности; контроль роста дебита скважины; снижение содержания песка в пульпе и общего его количества с начала разработки; глубины динамического уровня (используя прежнюю водоподающую колонну);
после осветления воды при дебите, превышающем эксплуатационный примерно в 1,5 - 1,7 раза, что свидетельствует о сформировании устойчивых откосов воронки, проводится контрольная откачка эрлифтом с дебитом, близким к эксплуатационному. Откачку заканчивают при прекращении выноса песка. Для нормальной эксплуатации центробежных скважинных насосов содержание песка в воде не должно быть более 0,01% по весу
[39];
остановка откачки, демонтаж эрлифта, замер глубины сформированной воронки.
5.20. При откачках эрлифтом трубы монтируются по схеме "центрально", когда воздухопроводные трубы размещаются внутри водоподъемных, и по схеме "параллельно", когда те и другие трубы опускаются рядом. Диаметры труб эрлифта в зависимости от расхода воды можно принимать по табл. 18.
Таблица 18
Диаметры водоподъемных и воздухопроводных труб (внутренние)
Расход воды, л/с | Диаметр труб, мм, при расположении |
параллельном | центральном |
водоподъемной | воздухопроводной | водоподъемной | воздухопроводной |
1 - 2 | 40 | 12 | - | - |
2 - 3 | 50 | 12 - 20 | 50 | 12,5 |
3 - 5 | 63 | 20 - 25 | 63 | 20 |
5 - 6 | 63 | 20 - 25 | 75 | 20 |
6 - 9 | 75 | 25 - 30 | 88 | 25 |
9 - 12 | 88 | 25 - 30 | 100 | 32 |
12 - 18 | 100 | 30 - 38 | 125 | 38 |
18 - 30 | 125 | 38 - 50 | 150 | 50 - 63 |
30 - 45 | 150 | 50 - 63 | 200 | 75 |
5.21. Для разработки водоприемных полостей бесфильтровых скважин при глубине статического уровня до 30 - 50 м используются компрессоры типа ЗИФ-ВКС, ЗИФ-ВКС-10, ДК-9М с подачей воздуха 5 - 10 м3/мин и с рабочим давлением 7 кгс/см2. При более глубоком положении статического уровня, а также для форсированной разработки полости откачку производят более мощными компрессорами типа УКП-25/20, УПК-80, которые имеют производительность соответственно 20 - 25 м3/мин и 8 м3/мин, а рабочее давление 20 - 40 и 80 кгс/см2.
Повысить интенсивность выноса песка и сократить время на разработку полости можно следующими приемами:
периодически выключать и включать подачу воздуха от компрессора в скважину, что создает гидравлические удары и способствует подвижности откосов и приближению грунта к всасывающему отверстию трубы или стволу скважины;
увеличить число одновременно действующих компрессоров или применять более мощные компрессоры для повышения дебита скважины, чтобы резко увеличить скорости восходящего фильтрационного потока у поверхности песка и отрыв песчинок от массива;
постепенно спускать водоподъемные трубы вслед за разрабатываемой поверхностью воронки до достижения требуемой глубины воронки.
При неподвижной водоприемной трубе по мере разработки поверхность песка все время удаляется от всасывающего отверстия трубы, а содержание песка в пульпе и интенсивность разработки песчаного массива падает. Наоборот, при периодическом опускании водоподъемных труб так, чтобы нижний их торец был у поверхности песка, интенсивность захватывания песка потоком воды увеличивается, разработка полости ускоряется. Для получения максимального эффекта нужно, чтобы конец водоподъемной трубы эрлифта находился над разрабатываемым грунтом на расстоянии 0,3 диаметра всасывающего отверстия трубы и обеспечивалась максимальная входная скорость в трубе в пределах 1,4 - 2 м/с.
Взамен опускания водоподъемной трубы предлагается прикрепить к ее нижнему концу гофрированный патрубок, заканчивающийся металлическим кольцом с короткими стойками: при неподвижной трубе гофрированный патрубок растягивается под грузом кольца и следует за забоем, а благодаря стойкам сохраняется необходимое расстояние до поверхности песка
[45].
При использовании обсадной колонны труб в качестве водоподъемной третий способ исключается.
5.22. Помимо эрлифтов для формирования водоприемной полости могут использоваться водоструйные насосы. Последовательность операций при работе с ними аналогична производству формирования воронки с использованием эрлифтов
(рис. 26).
Рис.
26. Формирование водоприемной полости с использованием
водоструйного насоса
1 - водоприемная воронка; 2 - водоструйный насос;
3 - обсадные трубы; 4 - водоподающие трубы; 5 - буровая
установка; 6 - буровой насос; 7 - шланг подачи воды
к насосу; 8 - сливной шланг; 9 - зумпф для отстоя песка;
10 - всасывающий шланг; 11 - отстойник с очищенной водой
Водоструйный насос приводится в действие насосом бурового агрегата, что является большим преимуществом, так как отпадает необходимость в компрессоре. Он может приводиться в действие также центробежным насосом. Отсутствие в струйном аппарате движущихся деталей позволяет откачивать воду с большим содержанием песка (до 30% по весу, крупностью до 5 - 6 мм).
5.23. При сооружении эксплуатационных скважин применяются одноколонные водоструйные насосы конструкции треста Промбурвод и ВИЭСХ. Они выпускаются двух типоразмеров с наружными диаметрами 135 и 185 мм. Их характеристики приведены в табл. 19.
Таблица 19
Характеристика водоструйных насосов
Подача и давление, развиваемое буровым насосом | Положение динамического уровня воды в скважине, м | Диаметр сопла, мм | Диаметр сменной втулки камеры смешения, мм | Подача струйного аппарата, л/с |
л/с | МПа |
4,5 | 3 | | До 25 | 9 | 25 | 9,5 |
25 - 50 | 25 | 6,5 |
51 - 75 | 20 | 4,5 |
76 - 100 | 18 | 3 |
При повышении рабочего давления в напорной линии больше 3 МПа производительность аппарата увеличивается. Величина максимального давления обусловливается прочностью проводящих шлангов и возможностями бурового насоса.
5.24. Для формирования воронки и опытных откачек из гидрогеологических скважин с целью определения фильтрационных параметров может быть использован также погружной водоструйный насос ПВН-108 конструкции ТГУЦР (
рис. 27,
табл. 20).
Рис. 27. Погружной водоструйный насос ПВН-108
1 - бурильная труба; 2 - переходник; 3 - муфта
соединительная; 4 - нагнетательная трубка; 5 - диффузор;
6 - пьезометрическая труба; 7 - прижимной фланец;
8 - гидравлический пакер; 9 - фланец крепления резинового
элемента; 10 - камера смешения; 11 - насадка; 12 - корпус
Таблица 20
Техническая характеристика насоса ПВН-108
Наименование | Характеристика |
Тип | Водоструйный |
Внутренний диаметр обсадных труб, мм | 108 |
Подача, м3/ч, при глубине динамического уровня воды: | |
0 - 10 м | 35 |
10 - 30 " | 25 |
30 - 60 " | 10 |
Привод | Буровой насос (подача 230 - 250 л/мин) |
Рабочее давление на приводном насосе, МПа | 2 - 2,5 |
Коэффициент эжекции | 2,3 |
Монтаж | На трубах  или 50 мм |
Масса, т | 0,009 |
5.25. Формирование водоприемной воронки с использованием водоструйных насосов должно производиться непрерывно, так как остановки в работе приводят к осаждению песка в бурильных трубах и насосе. Перед каждым спуском должна быть проверена работоспособность пакера опрессовкой. После суммарной наработки струйного аппарата более 500 ч необходима проверка сопла и втулки камеры смешения.
5.26. Формирование воронки самоизливающихся скважин производится путем выпусков воды с замерами избыточного давления на устье скважины и регулированием дебита запорной арматурой.
Если понижение уровня на устье и дебит близки к проектным, то формирование воронки ограничивается выпуском воды с заданным дебитом. Для увеличения восходящей скорости воды в обсадные трубы большого диаметра опускается колонна меньшего диаметра. Между опускаемой и обсадной колоннами на устье скважины устанавливается сальник, позволяющий свободно опускать по мере углубления дна воронки (рис. 28).
Рис. 28. Схема формирования воронки самоизливающихся скважин
1 - оголовок; 2 - сальник; 3 - труба для подъема пульпы;
4 - водоприемная воронка
Если избыточное давление на устье скважины, а вместе с ним понижение и дебит при самоизливе излишне велики, то после первого этапа выпуска, выполняемого с высоким дебитом и мутностью для разработки воронки, следует уменьшить дебит до проектного. Регулируя дебит вентилем или задвижкой, добиваются такого положения, чтобы при проектном дебите пескование практически прекратилось или было в пределах нормы. Не следует допускать излишний дополнительный вынос песка, который ведет к расширению воронки и уменьшению устойчивости кровли.
Если дебит скважины при самоизливе меньше проектного и требуется установка насоса, то после прекращения выноса песка самоизливом необходимо провести откачку эрлифтом в соответствии с общими правилами для бесфильтровых скважин.
В целях охраны запасов подземных вод и окружающей среды, а также сохранения самих бесфильтровых скважин, следует не допускать бесполезного самоизлива из фонтанирующих скважин. После испытаний эксплуатационная скважина должна оборудоваться оголовком, предусматривающим крановое регулирование с отбором воды по мере необходимости.
5.27. Если пьезометрический уровень водоносного горизонта находится выше поверхности земли, вскрытие пласта производится с использованием глинистого раствора повышенной плотности и вязкости во избежание прихвата бурового инструмента.
При вскрытии высоконапорного пласта на обсадной колонне с помощью фланцевого соединения устанавливается противовыбросное сальниковое устройство - превентор, представляющий собой отрезок трубы с верхней крышкой, через отверстие в которой с самоуплотняющимся сальником проходят бурильные трубы. Промывочная жидкость отводится из скважины через боковой отвод превентора, снабженного вентилем, с помощью которого регулируется расход и давление на устье скважины в процессе бурения
[19].
5.28. Глубина водоприемной воронки замеряется разными способами:
с помощью бурового снаряда;
опущенным на забой размеченным проводом или тросом с массивным и достаточным по площади грузом, не утопающим в призабойном песке;
при помощи каротажного кабеля и зонда.
О размерах разработанной воронки можно судить по объему откачанного песка и коэффициенту его разрыхления (равному 1,05 - 1,20).
Замер объема выкачанного песка из полости можно произвести расчетом или одним из следующих методов:
на ровной площадке, куда отводится водопесчаная пульпа из скважины и где через метр или больше разбита сетка из колышков, помеченных сантиметровыми делениями. По окончании откачки записываются деления, до которых колышки занесены песком. По мощности песка у колышков и занимаемой площади подсчитывается объем песка;
по содержанию песка в пульпе и ее объему в процессе откачки. Для этого одновременно с замерами дебита берут пробу пульпы в какую-либо емкость и после отстаивания определяют процентное содержание песка (мутности) в воде по объему. Переводя его на объем откаченной воды, находят объем вынесенного песка за определенное время.
В последнем методе для расчета объема песка W можно воспользоваться формулой
W = Q(M1t1 + M2t2 +, ..., + Mntn), (41)
где Q - дебит, постоянный за расчетный период; M1, M2, ..., Mn - мутность в долях единицы (по объему); t1, t2, ..., tn - периоды от качки с разной мутностью при постоянном дебите.
Записи производят в журнале следующей формы:
Расчетный период | Продолжительность периода | Понижение, м | Дебит, м3/ч | Мутность | Объем откаченной воды, м3 | Объем вынесенного песка, м3 |
Замеренный каким-либо методом объем песка делят на коэффициент разрыхления и получают объем песка в плотном сложении, т.е. объем воронки.
5.29. Углы откоса песка под водой замеряют в простейшем лотке по нескольким пробам и выводят средние. Следует иметь в виду, что замеренные в статическом положении углы естественного откоса являются максимальными для данного песка, и в условиях интенсивной фильтрации через откосы они дополнительно выполаживаются гидродинамическим давлением.
5.30. Зная объем воронки, ее глубину в центре по оси скважины, принимая средние углы откоса, рассчитывают по формуле конуса или шарового сегмента возможный радиус воронки по кровле и боковую фильтрующую поверхность, или принимают приведенное значение радиуса, вычисляя его по данным опытных откачек или эксплуатации (см.
пп. 4.16 -
4.18).
Радиус воронки дает возможность оценить устойчивость кровли над ней, а боковая поверхность - критические вымывающие скорости и устойчивость откосов.
5.31. Затраты времени на создание водоприемной воронки зависят от двух основных факторов:
необходимого дебита из бесфильтровой скважины и прямо связанного с ним размера воронки, который, в свою очередь, находится в зависимости от гранулометрического состава песков;
способа разработки полости.
5.32. Для получения дебита 5 - 10 м
3/ч достаточно разработать воронку минимальных размеров. Если проектируется дебит 70 - 100 м
3/ч, то в том же песке водоприемник должен быть значительно больших размеров. Чем крупнее пески, тем больше допускается выходная скорость фильтрации на откосах, тем меньше водоприемная площадь и меньше объем воронки за счет более крутых ее откосов. Расчетные данные о соотношении дебита скважины и размеров воронки в песках с разным коэффициентом фильтрации приведены в
разделе 4.
5.33. Песчаные откосы водоприемной полости после правильной ее разработки под проектный дебит, как правило, сохраняют устойчивость и не создают пескования в процессе эксплуатации скважины. В ряде случаев в воронку целесообразно засыпать гравий с размером зерен 2 - 3 мм, который способствует устойчивости откосов при повышенных скоростях фильтрации и кровли из недостаточно плотных пород. Оказывая дополнительное гидравлическое сопротивление, гравийная засыпка не гарантирует высоких дебитов скважины. Глубина воронки при заполнении ее гравием должна быть не менее 1 - 1,5 м. Вместо гравия можно использовать гранулы полувспененного полистирола, имеющего плотность 0,2 - 0,8 г/см3.
5.34. Гравийная засыпка в воронку может производиться в следующих случаях:
при небольшой потребности в воде - для более гарантированного сохранения полости при слабоустойчивой кровле;
для предупреждения кратковременного пескования при часто повторяющихся пусках и остановках насосов и неравномерном режиме водоотбора;
для предохранения от заплывания воронки при длительном простое скважины (на массивах орошения);
в небольшом количестве - в качестве дренирующей пригрузки в основании откосов для удержания их от оплывания и выполаживания;
для сокращения времени формирования воронки.
5.35. Объем гравийной засыпки определяется по замеру объема воронки или фактически вынесенному из воронки объему песка (с учетом коэффициента разрыхления). При этом следует иметь в виду, что объем необходимого гравия обычно меньше объема воронки, поскольку технологически довольно сложно полностью заполнить гравийным материалом воронку. При использовании гранул полувспененного полистирола верхняя часть воронки заполняется в первую очередь. В случае сочетания того и другого материала объем засыпки будет близок объему воронки.
5.36. Доставку гравия в воронку производят при свободной засыпке и принудительной с помощью насоса (рис. 29).
Рис. 29. Схема загрузки воронки гравием
5.37. Гравийная засыпка в воронку является дополнительной операцией. С ней связаны дополнительные расходы на материалы, транспортировку и др. Поэтому при производстве работ, если без гравийной засыпки обойтись нельзя, следует обосновать ее необходимость, целевое назначение и способ качественного заполнения воронки.
ИСКУССТВЕННОЕ КРЕПЛЕНИЕ КРОВЛИ
5.38. Если кровля водоносных песков сложена слабоустойчивыми породами, склонными к размоканию и обрушению (мягкие глины, суглинки), устройство водоприемной полости возможно только при искусственном закреплении кровли.
Способы повышения устойчивости кровли разделяются на две группы, основанные на разных принципах:
искусственное изменение физико-механических свойств пород кровли в пределах расчетного свода обрушения (уплотнение, повышение твердости, снижение водопроницаемости и размокания, уменьшение пучения);
дополнительное поддержание кровли снизу (цементная подушка, гравийная засыпка).
5.39. К первой группе можно отнести ряд методов, заимствованных из практики строительства объектов на грунтах с первоначальной слабой несущей способностью, но пока не разработанных применительно к бесфильтровым скважинам. Имеющиеся способы пропитывания горных пород затвердевающими растворами (цементация, силикатизация, смолизация) не являются эффективными для глин и суглинков ввиду весьма низких фильтрационных свойств этих пород и отсутствия технологии инъецирования растворов в пласт с забоя скважины. Термический метод, т.е. обжиг породы в стволе скважины, пока выполняется в сухих и неглубоких стволах и дает ограниченный в размерах (до 2 - 3 м в диаметре) обожженный цилиндр грунта. Электрохимический метод (электроосмос и пропитывание) с использованием постоянного электрического тока и химических растворов для условий призабойной зоны скважины весьма сложен. Значительная глубина, ограниченность призабойного пространства и обводненные условия затрудняют применение методов этой группы.
5.40. Ко второй группе относятся более перспективные методы, используемые на практике:
создание цементной подушки: вначале обычным путем в песках формируется воронка глубиной около 0,4 м, которая заполняется цементным раствором. Для лучшего сцепления с цементом на башмаке обсадных труб навариваются поперечные ребра. После затвердевания в цементной подушке пробуривается ствол, а снизу формируется водоприемная полость
(рис. 30);
заполнение водоприемной воронки гравием или искусственными гранулами, служащими опорой для кровли в ее естественном положении или после деформации и оседания. Эффективность засыпки в качестве опоры для кровли зависит от полноты заполнения воронки. Наиболее трудная для заполнения зона находится на контакте песчаных откосов с кровлей, где при откачке развиваются максимальные скорости потока воды, которые размывают гравий и песок, образуя все более удаленные от ствола щелевые полости. Выступающий ниже кровли конец обсадной колонны также затрудняет перемещение засыпки от ствола скважины. При прочной кровле без оседаний непосредственному ее контакту с гравием мешает движущийся к стволу поток воды. При оседании слабой кровли гравий становится ее опорой;
цементация затрубного пространства связывает центральную часть параболоида с обсадной колонной, в результате чего в центре полости появляется дополнительная опора для пород кровли. При этом безопорный пролет кровли уменьшается в 2 раза, высота нового свода - в 1,5 раза. Это способствует повышению устойчивости кровли.
Рис. 30. Способ крепления кровли цементной подушкой
1 - обсадные трубы; 2 - цементная подушка
Предлагается также способ укрепления глинистой кровли путем закачки под нее сжатого воздуха и создания воздушной подушки для исключения контакта глин с водой, что препятствует размоканию глин (авторское свидетельство N 614215, кл. Е 21 В 33/138, авторы В.С. Оводов, Ю.И. Хуторянский). Здесь верхняя наиболее продуктивная часть откосов воронки изолируется воздушной подушкой, а работа потока предельно выполаживает воронку. Данный способ нуждается в производственной проверке.
ПЕРЕОБОРУДОВАНИЕ СКВАЖИН С ФИЛЬТРАМИ
В БЕСФИЛЬТРОВЫЕ И НАОБОРОТ
5.41. Скважины, оборудованные фильтрами, нередко не обеспечивают требуемой производительности или выходят из строя по причинам:
больших гидравлических сопротивлений установленного фильтра и прилегающей заглинизированной зоны;
химической и механической кольматации фильтра при эксплуатации;
увеличения выноса песка через фильтр при дополнительной нагрузке.
В таких случаях на скважинах производят ремонтные работы.
5.42. Если по гидрогеологическим условиям водоносный горизонт может обеспечить более высокую производительность скважины, а эксплуатируемый песчаный пласт перекрыт устойчивыми породами, то при ремонте скважину с фильтром можно переоборудовать в бесфильтровую. Водоприемную воронку следует устраивать в верхней части водоносного пласта. Обсадная колонна выше водоприемной воронки должна иметь надежную затрубную цементацию.
5.43. В зависимости от прежней конструкции скважины, имеющихся технических средств рекомендуются следующие способы перехода с фильтровой конструкции на бесфильтровую:
извлечение фильтра (фильтровой колонны) и создание водоприемной полости в песке ниже башмака обсадных труб, которые не должны быть заглубленными в песок более 0,5 - 1 м
(рис. 31). После извлечения фильтра вначале долотом разбуривают и разрушают промывкой закольматированный слой песка в бывшей зафильтровой зоне, а затем обычными способами формируют полость;
перфорация максимально крупными отверстиями обсадной или фильтровой колонны против песчаного пласта в интервале 0,5 - 2 м ниже его кровли и откачка водопесчаной пульпы теми же методами для создания водоприемной воронки за колонной труб
(рис. 32). Этот способ более универсален, поскольку все колонны труб остаются в скважине, а перфорацию можно провести в нужном интервале, но для этого необходимо иметь соответствующее оборудование по глубинной перфорации труб. Для одноколонной конструкции скважин данный способ является единственно возможным.
Рис. 31. Схема переоборудования скважины путем извлечения
фильтра (а) и создания водоприемной воронки (б)
Рис. 32. Схема перехода на бесфильтровый отбор воды путем
перфорации надфильтровой колонны (а), фильтра (б)
или обсадной колонны (в) и образования воронки за трубами
5.44. Переход с бесфильтровой конструкции на фильтровую может возникнуть в случае недоучета особенностей геологического разреза или несоблюдения технологии устройства бесфильтровых скважин в результате чего происходят вывалы пород в воронку по затрубному пространству из-за плохой цементации, обрушение кровли, длительное пескование.
Длина требуемого фильтра в 5 - 15 раз превышает глубину воронки. Рабочую часть фильтра устанавливают ниже бывшей водоприемной воронки, в интервале которой обвалы вышележащих, особенно глинистых пород, ухудшают фильтрационные свойства пласта. Ствол скважины следует приработать до такой степени, чтобы выступы подбашмачной цементации не нарушили целости фильтра во время его спуска. Бурение через воронку по разрыхленной зоне может сопровождаться поглощением промывочной жидкости, запас которой необходимо иметь при выполнении этой операции.
ГЕОЛОГО-ТЕХНИЧЕСКАЯ ДОКУМЕНТАЦИЯ
5.45. В состав геолого-технической документации при сооружении бесфильтровых скважин входят обычные материалы, предусмотренные специальными инструкциями по бурению скважин на воду.
Принципиальных отличий от установленных форм геолого-технической документации бесфильтровые скважины не имеют, но по ним должна фиксироваться специфика устройства водоприемной части.
Следует подробнее характеризовать литологический состав и физико-механические свойства (по образцам) горных пород кровли над водоносными песками и песков, в которых устраивается водоприемная полость; крепление скважины трубами при переходе к водоприемной полости; способ цементации затрубного пространства; режим откачки при формировании полости, величину пескования, продолжительность откачки и объем извлеченного песка; расчеты размеров полости; дебит и понижение уровня воды при откачке рекомендуемые для эксплуатации. Обязательным является замер глубины водоприемной воронки при максимальном дебите и после откачки с проектным дебитом. Данные о глубине водоприемной воронки заносятся в паспорт скважины. При засыпке гравия приводятся данные о его гранулометрическом составе, количестве и способе укладки в водоприемную полость.
Бесфильтровая водозаборная скважина сдается в эксплуатацию по приемо-сдаточному акту с передачей необходимой геолого-технической документации в установленном порядке.
Буровая организация при сдаче заказчику указывает в паспорте скважины наряду с другими сведениями глубину водоприемной воронки и дает рекомендации о режиме эксплуатации скважины и типе водоподъемного оборудования.
К актам на скрытые работы (цементацию, гравийную засыпку, дезинфекцию скважины и др.) добавляется акт на разработку водоприемной полости, в котором приводятся данные о креплении ствола скважины над водоприемной полостью, способе и продолжительности разработки полости, объеме откачанного песка, глубине воронки при максимальном дебите и понижении уровня и после откачки с проектным дебитом и понижением.
6. МЕТОДЫ ОПРЕДЕЛЕНИЯ ГИДРОГЕОЛОГИЧЕСКИХ ПАРАМЕТРОВ
ОСНОВНЫЕ ОТЛИЧИЯ В ОПРОБОВАНИИ БЕСФИЛЬТРОВЫХ СКВАЖИН
6.1. Гидрогеологические параметры определяют гидравлические свойства водоносной толщи и используются при обосновании различных видов строительства, в частности водозаборов подземных вод, мелиоративных систем. К числу основных параметров напорных водоносных горизонтов, рассчитываемых по результатам опытных откачек, относятся коэффициенты фильтрации, водопроводимости, пьезопроводности, упругая водоотдача, коэффициент перетекания в слоистой толще.
С конструктивными особенностями водоприемной части скважины связана ее водозахватная способность и, как следствие, - надежность и достоверность гидрогеологических параметров вскрываемых водоносных горизонтов.
6.2. Особенности устройства водоприемной полости бесфильтровой скважины следующим образом отражаются на гидравлической характеристике системы пласт-скважина:
скважины применяются только в напорных пластах;
по степени вскрытия пласта скважины чаще всего, исключая тонкие пласты, являются несовершенными (глубина воронки обычно до 2 м);
по характеру вскрытия скважины отличаются высокой степенью совершенства, поскольку на фильтрующей поверхности песка отсутствуют какие-либо покрытия, а при откачке происходит пересортировка материала откосов, вынос более мелких фракций и переотложение крупных, образуется фильтрующая поверхность с более высокой проницаемостью, чем пласт;
повышение проницаемости призабойной зоны (отрицательный "скин-эффект") позволяет достаточно надежно выделять представительный участок на индикаторном графике откачки для определения параметров;
при откачке максимальное понижение напора формируется не только в стволе скважины, но и над всей площадью водоприемной воронки, поскольку скважина представляет собой общий пьезометр всех точек поверхности воронки;
водопроводимость пласта определяется дебитом, а последний - величиной воронки, однако для визуального наблюдения и всесторонних замеров формы и размеров создаваемой на забое полости технические средства пока ограничены;
высокодебитные откачки из бесфильтровых скважин охватывают своим эффективным влиянием значительные зоны с дальними наблюдательными скважинами, что позволяет характеризовать большие площади при уменьшенном количестве наблюдательных скважин;
отсутствие гидравлических препятствий в призабойной зоне позволяет получать достаточно высокие дебиты и успешно опробовать тонкие пласты, мелкозернистые, пылеватые и глинистые пески;
информативность одиночных откачек из бесфильтровых скважин и надежность определения по ним водопроводимости существенно повышается за счет уменьшения "скин-эффекта", поскольку технология позволяет рассчитывать на хорошее качество призабойной зоны;
в условиях снятия гидравлических помех между фильтрующим массивом и скважиной общее качество получаемой информации о водоносности пласта повышается.
6.3. Гидрогеологические параметры при использовании бесфильтровых скважин определяются по результатам опытно-фильтрационных работ и эксплуатации водозаборов, в пластах неограниченных и ограниченных в плане и разрезе. Обработке результатов откачек при разных условиях и технике опытных работ присущи все те особенности, которые характерны для скважин с фильтрами в напорных горизонтах. При этом имеется и своя специфика, связанная с характером водоприемной части бесфильтровых скважин.
Общие методы интерпретации опытно-фильтрационных работ подробно освещены в гидрогеологической литературе [
10,
26,
28,
37,
43]. Они требуют определенной квалификации, творческого подхода в каждом конкретном случае и не могут жестко регламентироваться.
Ниже кратко излагаются рекомендации по применению тех методов оценки гидрогеологических параметров, которые апробированы на практике при оценке эксплуатационных запасов подземных вод по бесфильтровым скважинам.
РАСЧЕТ ГИДРОГЕОЛОГИЧЕСКИХ ПАРАМЕТРОВ
6.4. Наиболее надежными методами расчета коэффициентов водопроводимости, пьезопроводности являются те, которые базируются на уравнениях неустановившегося движения. В частных случаях, при достаточно точном определении размеров водоприемной полости и соответствующим им строгим расчетным зависимостям для квазистационарного режима, можно использовать формулы стационарной фильтрации для определения коэффициентов фильтрации и водопроводимости по одиночным скважинам.
Определение гидрогеологических параметров по многоярусным бесфильтровым скважинам с несколькими водоприемными полостями вдоль ствола возможно лишь по методике неустановившегося режима.
Коэффициент пьезопроводности пласта устанавливается по кустовым откачкам или по многолетнему режиму эксплуатации водозабора, коэффициенты водопроводимости и фильтрации - по кустовым или одиночным откачкам, коэффициент упругой водоотдачи - путем деления водопроводимости на пьезопроводность, коэффициент перетекания - по кусту скважин.
6.5. Правомерность применения к бесфильтровым скважинам графоаналитического метода Джейкоба, основанного на формуле Тейса для совершенной скважины, обоснована путем введения поправки на несовершенство центральной скважины (с учетом приведенного радиуса) или удаления наблюдательных скважин от возмущающей на соответствующее расстояние.
Для оценки погрешности использования метода Джейкоба для бесфильтровых скважин построены графики
(рис. 33), позволяющие оценить эту погрешность, выбрать нужное расстояние до наблюдательных скважин (
r) и длительность откачки (
t). Кривые построены на основании анализа погрешностей, возникающих при замене расчетной схемы совершенной скважины в ограниченном по мощности
(m) пласте схемой точечного стока в неограниченном пласте
[9]. Для использования этих кривых необходимо, задавшись приближенными значениями коэффициента пьезопроводности (
a), ориентировочно вычислить обобщенные величины
r/
m и
r/2

и найти на
рис. 32 соответствующую им точку. Если найденная точка лежит выше кривых, то применение метода Джейкоба не дает погрешности большей, чем указано на кривой. Если же точка расположена ниже, то необходимо увеличить расстояние до наблюдательной скважины или длительность откачки, например при
m = 40 м,
r = 50 м,
t = 10 сут,
a = 10
5 м
2/сут погрешность будет значительно меньше 5%, так как соответствующая им точка
M с координатами (
r/
m = 1,25;

) лежит выше кривых. В подавляющем большинстве практических случаев расчетные точки ложатся выше кривой 5%, что позволяет широко использовать метод Джейкоба для бесфильтровых скважин.

Рис. 33. График оценки возможности применения метода
Джейкоба для обработки данных откачек
из бесфильтровых скважин
6.6. Значения коэффициентов водопроводимости и пьезопроводности находятся путем интерпретации полулогарифмических графиков прослеживания уровней во времени и по площади при квазистационарном режиме откачки или после ее остановки. При кустовой откачке используется прямолинейная часть графиков за пределами влияния гидродинамического несовершенства и границ пласта: временного (S - lg t), площадного (S - lg r) или комбинированного [S - lg(t/r2)] прослеживания, где S - понижение или повышение уровня; t - текущее время; r - расстояние наблюдательных скважин от центральной.
При одиночной откачке коэффициент водопроводимости определяется по прямолинейной части графика восстановления уровня (S - lg t) после прекращения работы скважины с постоянным (или закономерно изменяющимся и приведенным) дебитом при квазистационарном режиме.
При медленном восстановлении уровня, когда
t >= (0,1 - 0,05)
T, после кустовой или одиночной откачки применяется графоаналитический метод Хорнера, основанный на зависимости

, где
S - повышение уровня;
T - продолжительность откачки;
t - продолжительность восстановления уровня на момент его замера.
С помощью графика (S - lg r) по кусту бесфильтровых скважин определяется приведенный радиус (Rn) и коэффициент перетекания слоистой толщи (B = Rn/1,12).
Гидродинамическое несовершенство возмущающих бесфильтровых скважин влияет только на форму начальных участков графиков (
S - lg
t),

, которые при проведении прямой не учитываются. Поэтому конфигурация водоприемной полости и степень ее гидродинамического несовершенства не влияют на определение водопроводимости по одиночной скважине.
Многочисленные кустовые откачки из бесфильтровых скважин указывают на то, что прямые S - lg t по центральным и ближайшим наблюдательным скважинам параллельны, что свидетельствует об их хорошей корреляционной связи и совпадении значений коэффициентов водопроводимости, о допустимости и достоверности расчетов по одиночным бесфильтровым скважинам коэффициента водопроводимости.
При опробовании самоизливающихся скважин с постоянным понижением уровня воды (до отметки оголовка скважины) используются те же способы, что и при откачке с постоянным дебитом. В этих случаях строятся графики временного
(S/
Q - lg
t), площадного (
S/
Q - lg
r), комбинированного [
S/
Q - lg(
t/
r2)] прослеживания, а коэффициент водопроводимости определяется по соответствующим зависимостям
[43].
Обработка данных групповых откачек и откачек со скачкообразным изменением дебита проводится путем ввода приведенных величин времени работы и дебита отдельных центральных скважин, их расстояния от наблюдательных скважин.
6.7. К числу формул стационарной фильтрации, которые некоторые исследователи предлагают использовать для определений коэффициента фильтрации (водопроводимости) по бесфильтровым скважинам, относятся известные формулы (Форхгеймера для полусферы, Дюпюи с поправкой на несовершенство, М.Е. Альтовского для конуса, Н.Н. Веригина для примыкающего к кровле пласта фильтра, Н.Н. Биндемана, В.Н. Щелкачева, И.А. Чарного для ограниченного пласта и др.), выведенные для заданной геометрической формы водоприемника в пластах большой и ограниченной мощности
[8]. Недостаток их состоит в том, что все они базируются на трудно определимых линейных или угловых размерах водоприемной полости, что вносит неопределенность в расчеты.
Поэтому формулы стационарной фильтрации могут найти лишь ограниченное применение для ориентировочных расчетов, а надежность определений по ним должна проверяться корреляцией с графоаналитическими методами неустановившегося режима.
ТРЕБОВАНИЯ К ОПЫТНЫМ КУСТАМ СКВАЖИН
6.8. Заложение наблюдательных скважин в опытных кустах для оценки параметров исследуемого горизонта должно выполняться с учетом особенностей деформации потока у центральной бесфильтровой скважины.
Электромоделированием в пластах ограниченной мощности установлено, что ширина зоны сферически-радиального потока к водоприемной воронке значительно превышает зону деформации потока у несовершенной скважины с фильтром. Ширина этой зоны для полостей с углами откосов до 20° составляет в среднем 1,7 - 2,3 мощности пласта, при 30° и более - 1,4 - 1,5 его мощности
[16]. За пределами ее фильтрация приобретает плоскорадиальный характер, которому удовлетворяют формулы Тейса и в частном случае Дюпюи. Зона деформации тем дальше удаляется от скважины, чем больше радиус водоприемной полости.
6.9. Исходя из необходимости определения параметров способами временного и площадного прослеживания, не менее двух наблюдательных скважин следует задавать на расстоянии более двух мощностей пласта, располагая их в пределах предварительно рассчитанной зоны эффективного влияния откачки. Кроме того, 1 - 2 скважины следует располагать в зоне деформации потока для оценки возможных размеров водоприемной полости по распределению понижений в наблюдательных скважинах. Если такая скважина попадает в краевую часть воронки, то в ней будет фиксироваться одинаковый с центральной скважиной динамический уровень.
При мощностях исследуемого водоносного горизонта 10 - 50 м рекомендуются следующие минимальные расстояния наблюдательных скважин от центральной, которые в зависимости от условий откачки могут быть увеличены, а для первой скважины уменьшены. При глубоком залегании водоносного горизонта опытный куст включает луч из трех наблюдательных скважин, первая из которых находится на расстоянии 0,5 - 1 мощности пласта (
m), вторая - на (2 - 2,3)
m, третья - (3 - 4)
m от центральной. При небольшой глубине изучаемого горизонта целесообразно увеличить число скважин до четырех, поместив еще одну в зоне деформации потока: ближайшая наблюдательная скважина должна находиться на расстоянии (0,3 - 0,5)
m, следующие - на (1 - 1,5)
m, (2,3 - 2,5)
m, (3,5 - 4,5)
m от центральной. Эти рекомендации основаны на результатах электромоделирования бесфильтровых скважин
[16].
6.10. Следует также вести наблюдения во всех пробуренных на участке скважинах, включая разведочно-эксплуатационные, поскольку высокий дебит центральной бесфильтровой скважины обеспечивает снижение напора на дальних расстояниях.
Практика многочисленных кустовых откачек из бесфильтровых скважин в БССР указывает на то, что в сеноманских песках зона влияния откачки отчетливо фиксируется на расстоянии 1,5 - 2 км. Например, в районе Жлобина при мощности песков 8 - 10 м и понижении в центральной скважине 8,9 м наблюдались снижения уровней 0,3 - 0,5 м на удалении до 1800 м; в районе Добруша при мощности песков 27 - 30 м и понижении в центральной скважине 6,7 м отмечались снижения уровней в 1690 м на 1,4 м, в 2340 м - на 1,2 м.
6.11. Все наблюдательные скважины в кустах могут быть бесфильтровыми. Несовершенство их по степени вскрытия пласта в зоне деформации линий тока и в зоне плоскорадиального потока не отражается на качестве информации при определении параметров, поскольку вдоль кровли песков линии тока имеют горизонтальное направление.
6.12. Продолжительность кустовой откачки должна обеспечить достаточно полное развитие квазистационарного режима в пределах куста скважин для получения представительного временного графика прослеживания и, согласно рекомендациям [
9,
21], должна ориентироваться на выполнение критерия
t >= 5
tкв, где
tкв = 2,5, - время наступления квазистационарного режима в дальней наблюдательной скважине (
r - расстояние,
a - коэффициент пьезопроводности).
Продолжительность одиночной откачки для определения параметров по восстановлению уровня должна быть не менее 1 - 2 сут (на одно понижение), чтобы достигнуть стабилизации дебита и охватить влиянием достаточную зону пласта.
НЕКОТОРЫЕ ОСОБЕННОСТИ ОЦЕНКИ
ЭКСПЛУАТАЦИОННЫХ ЗАПАСОВ ПОДЗЕМНЫХ ВОД
6.13. Для сохранения устойчивой водоприемной воронки при эксплуатации погружными насосами без пескования проектный дебит бесфильтровых скважин принимается меньше полученного при опытных откачках. Поэтому при опытно-фильтрационных работах необходимо стремиться к достижению максимальных дебитов, которые в 1,3 - 1,8 раза больше намечаемых в условиях эксплуатации.
6.14. Проектное рабочее понижение приводится по удельному дебиту в соответствие с проектным дебитом скважины и дополняется расчетом снижения во времени в условиях взаимодействия со скважинами данного водозабора и другими водозаборами.
При определении эксплуатационных запасов выполняется расчет суммарного дебита водозабора, исходя из величины допустимого снижения уровня. Вычитая из общего напора рабочее понижение и срезку от других водозаборов, по оставшейся величине напора делают расчет суммарного дебита "большого кольца", к которому приравнивается водозабор.
Ввиду уменьшения гидравлических сопротивлений в бесфильтровых скважинах рабочее понижение сравнительно мало, а доля остаточного напора увеличивается. За счет этого увеличиваются и эксплуатационные запасы водозабора. То же происходит при переводе скважин с фильтрами на бесфильтровую эксплуатацию.
6.15. Высокие дебиты бесфильтровых скважин определяют достаточную гарантированность эксплуатационных запасов при отнесении их к промышленным категориям
[24]. Запасы промышленных категорий могут быть обоснованы бесфильтровыми скважинами с малым диаметром обсадных труб (127 - 146 мм), что уменьшает затраты и повышает экономическую эффективность гидрогеологических исследований.
Применение скважин бесфильтровой конструкции позволяет сделать переоценку водоносных горизонтов с низкой водоотдачей, которые при каптаже скважинами с фильтрами представлялись бесперспективными, и использовать их для крупного водоснабжения.
7. ЭКСПЛУАТАЦИЯ БЕСФИЛЬТРОВЫХ СКВАЖИН
МНОГОЛЕТНИЙ ОПЫТ ЭКСПЛУАТАЦИИ БЕСФИЛЬТРОВЫХ СКВАЖИН
7.1. Применение на территории СССР бесфильтровых скважин в песках для водоснабжения имеет почти 90-летнюю историю, причем до 1950-х годов было сооружено всего несколько десятков скважин. До 1941 г. скважины оборудовались в Пензе, Киеве, Курске, Могилеве, Полтавской, Херсонской, Харьковской, Сумской, Запорожской областях и имели стабильный дебит и длительный срок эксплуатации (20 - 45 лет).
7.2. Начиная с 1950 г. бесфильтровые скважины получили дальнейшее распространение для городского и сельскохозяйственного водоснабжения в Пензенской, Курской, Днепропетровской, Воронежской, Саратовской, Волгоградской, Брянской, Астраханской и других областях. В Белоруссии бесфильтровые скважины широко используются с 1950 г. на водозаборах Бреста, а с 1966 г. - при геологоразведочных работах и на водозаборах более 15 других городов республики.
В настоящее время в стране имеются тысячи водозаборных скважин бесфильтровых конструкций.
Подавляющее большинство скважин работает длительное время без существенных изменений дебита
[8].
По мере совершенствования опыта сооружения и эксплуатации возрастает интерес к бесфильтровой конструкции скважин. Многие геологоразведочные, проектные, буровые, водохозяйственные организации стремятся использовать в своей практике бесфильтровые скважины, поскольку повседневный и повсеместный опыт подтверждает их большую эффективность.
РЕЖИМ РАБОТЫ И ТЕХНИЧЕСКОЕ ОБСЛУЖИВАНИЕ
7.3. Эксплуатация бесфильтровых скважин, как и фильтровых, регламентируется "Правилами технической эксплуатации систем сельскохозяйственного водоснабжения" (ВСН 7-5-77). Приемка в эксплуатацию производится в соответствии с указаниями
СНиП III-30-74. При организации служб эксплуатации можно руководствоваться "Рекомендациями по строительству и эксплуатации водозаборов подземных вод"
[35].
7.4. Целевое назначение бесфильтровых скважин и режим водопотребления определяют следующие типы режима эксплуатации:
круглосуточный в течение всего срока работы с остановками для профилактики через несколько месяцев - для городского и промышленного водоснабжения;
периодический с частыми остановками и пусками в зависимости от расхода воды из напорных емкостей на скважинах - для сельскохозяйственного водоснабжения;
сезонный с работой в круглосуточном или периодическом режиме в вегетационный период и остановками до 1 - 9 мес - для орошения.
7.5. В зависимости от напора и положения пьезометрического уровня бесфильтровые скважины могут эксплуатироваться различными насосами или самоизливом.
При падении дебита самоизлива в результате снижения пьезометрического уровня фонтанирующие бесфильтровые скважины переводятся на насосную эксплуатацию.
7.6. Эксплуатация самоизливающихся бесфильтровых скважин должна производиться во всех случаях при крановом регулировании дебита. Нерегулируемый излив приводит к истощению запасов подземных вод, а также к пескованию скважины и чрезмерному росту водоприемной воронки.
7.7. В зависимости от назначения скважин, условий эксплуатации, уровня грунтовых вод, климатических условий и других факторов оголовки скважин можно размещать в подземной или наземной камерах.
На рис. 34 представлены типовые регулирующие оголовки для самоизливающихся скважин.
Рис. 34. Типы оголовков самоизливающихся скважин
а) не пескующих, б) пескующих; 1 - пробнопусковой кран;
2 - манометр; 3 - трехходовой кран; 4 - отвод;
5 - эксплуатационная задвижка; 6 - трубопровод;
7 - диафрагма; 8 - ремонтная задвижка; 9 - переход;
10 - устье; 11 - патрубок с отводом; 12 - трубная колонна;
13 - дополнительный отвод; 14 - диафрагма дополнительного
отвода; 15 - вентили; 16 - вентиль воздушный
Оголовок для не пескующей скважины
(рис. 34) состоит из перехода, ремонтной задвижки, основного отвода со спусковым краном и манометром, диафрагмы и эксплуатационной задвижки.
Диафрагма представляет собой металлический диск с просверленным отверстием определенного диаметра. Диаметр, мм, вычисляют по формуле

(42)
где Q - эксплуатационный расход, м3/ч; H1 - показание манометра при эксплуатационном расходе, МПа; H2 - необходимый напор в сети за диафрагмой, МПа.
Для скважин, изливающих воду с песком, оголовок отличается тем, что он имеет дополнительный отвод меньшего диаметра и предназначен для пропуска воды с тем, чтобы создать движение воды в стволе скважины и избежать образования в нем песчаной пробки. Дополнительный отвод снабжен диафрагмой. Отверстие в ней подбирают с таким расчетом, чтобы обеспечить скорость подъема воды в стволе скважины, в 2 раза большую скорости осаждения частиц песка в воде. При необходимости отбора большого количества воды используют основной отвод, не перекрывая дополнительный.
При работе задвижками, а также при формировании водоприемной части скважин могут происходить гидравлические удары, вызывающие обильное поступление песка. Для смягчения ударов оголовки скважин снабжают дополнительной колонной труб (см.
рис. 34), которую спускают в скважину и в пространство, образованное между ними и обсадными трубами, нагнетают воздух для создания воздушной подушки.
7.8. При организации эксплуатации бесфильтровых скважин рекомендуется:
поддерживать эксплуатационный дебит в скважине в пределах 70 - 80% дебита опытной откачки;
в период эксплуатации периодически (например, при извлечении насоса) измерять глубину водоприемной воронки, что позволит судить об изменении размеров водоприемника, обеспечивающего дебит скважины;
вести на действующих водозаборах учет производительности, водоотбора, глубины динамического и статического уровней, напора над устьем смены, насосов, пескования скважин для объективной оценки их работы;
в целях ликвидации пескования пуск насоса производить с закрытой задвижкой, с последующим постепенным открытием ее до необходимого дебита и понижения. Плавность пуска можно также регулировать путем оборудования скважин автоматическими устройствами (см. ниже).
7.9. Для производства наблюдений в период эксплуатации бесфильтровые скважины должны быть оборудованы приспособлениями для измерения уровней и отбора проб воды. Для учета производительности скважина оборудуется водомерами (кральчатый, турбинный) или расходомерами (пьезометрический, электромагнитный).
Обслуживающий персонал должен вести журнал учета работы бесфильтровых скважин, в котором заносятся все сведения о режиме их эксплуатации.
Техническое обслуживание скважин производится, как правило, подготовленным персоналом. Периодически техническое обслуживание осуществляется ремонтной бригадой специализированной организации, занимающейся ремонтом скважин на договорной основе, которая устраняет мелкие неисправности оборудования и регулирует режим эксплуатации скважин.
ПУСК И ОСТАНОВКА ПОГРУЖНЫХ ЭЛЕКТРОНАСОСОВ
В БЕСФИЛЬТРОВЫХ СКВАЖИНАХ
7.10. При переходных режимах пуска и остановки погружных электронасосов в водоподъемной колонне может возникнуть гидравлический удар, а в призабойной зоне скважины резко увеличиться градиенты фильтрации, нарушающие устойчивость откосов.
Характер протекания этих процессов зависит от оборудования скважин соответствующей запорно-регулирующей и предохранительной арматурой, от технологических схем подачи воды потребителю и правильного осуществления режима пуска и остановки электронасосов.
7.11. Основным требованием правильного пуска и остановки погружного насоса бесфильтровой скважины, при котором предотвращается гидравлический удар и пескование, является обеспечение плавного регулирования подачи воды насосом от нуля до рабочей производительности. Время регулирования каждой скважины должно определяться экспериментально.
7.12. Режим пуска электронасоса разделяется на два вида:
пуск электронасоса, устанавливаемого на новой или длительное время не работающей скважине, а также при замене или установке нового насоса;
пуск насоса в период эксплуатации.
7.13. Пуск новой и длительное время не работающей скважины.
После монтажа насоса в скважине в первую очередь необходимо проверить направление вращения электродвигателя. Для этого пуск насоса нужно производить на полностью закрытую задвижку
(рис. 35). Вентиль должен быть закрыт с целью отключения манометра и запирания в водоподъемной трубе воздуха, который при первом пуске является демпфером, смягчающим гидравлический удар о закрытую задвижку. При этом следует отметить, что высокое расположение статического уровня (2 - 3 м от отметки расположения задвижки), из-за которого общий объем воздуха окажется небольшим, может привести к значительной силе гидравлического удара. Для таких случаев необходимо производить пуск при 0,5 степени открытия задвижки, после чего ее нужно полностью закрыть.
Рис. 35. Технологическая схема оборудования скважин
запорно-регулирующей арматурой
1 - погружной электронасос; 2, 7 - обратные клапаны;
3 - обсадная колонна; 4 - водоподъемная колонна;
5 - вентиль; 7 - кран; 8 - задвижка; 9 - сборный
напорный трубопровод
После 15 - 30 с работы насоса открывается кран и выпускается воздух, после чего он закрывается и фиксируется показание манометра. Затем производится остановка электронасоса, при этом предварительно закрывается вентиль и меняются места подключения двух фаз питающего провода. Производится повторный пуск. При большем показании манометра направление вращения насоса будет правильным.
При отсутствии клапана у насоса или при наличии у клапана отверстия остановку необходимо производить при вентиле и кране, открытых для впуска воздуха в водоподъемную колонну труб. При невыполнении этих действий а результате опорожения водоподъемной колонны в ней образуется вакуум. Повторный пуск при этих условиях будет сопровождаться гидравлическим ударом, превышение давления которого может привести к аварийной ситуации.
После определения правильного направления вращения производится проверка на соответствие характеристики насоса параметрам скважины. Для этого производятся контрольные замеры динамического уровня при 3 - 4 режимах подачи воды, давления в трубопроводе по манометру, а также через вентиль проверяется наличие песка в воде. Если работа насоса и скважины протекает нормально, устанавливается рабочий режим.
Если рабочий режим обеспечивается путем дросселирования задвижкой, необходимо провести замену насоса пониженной мощности. Если не обеспечивается нормальный режим работы насоса, то не допускается длительная его эксплуатация при производительности меньшей номинальной на 70 - 80%. При этом следует произвести установку насоса с меньшей производительностью.
Если при рабочем режиме обнаруживается вынос песка, то следует снизить производительность насоса путем дросселирования до значения, при котором пескование прекратится. В противном случае необходимо произвести обследование скважины с целью ремонта.
7.14. Пуск насоса в процессе эксплуатации для бесфильтровых скважин, склонных к пескованию, производится на закрытую задвижку, после чего ее необходимо плавно открывать. При этом на насосе в обязательном порядке должен быть обратный клапан.
Перед остановкой предварительно необходимо плавно закрыть задвижку и после полного закрытия остановить насос. Время открытия и закрытия при этом может составить в зависимости от конкретных условий от 30 с до 5 мин.
На рис. 36 представлена технологическая схема скважины, которая позволяет полностью автоматизировать режим пуска и остановки путем применения кольцевой задвижки и управляющего клапана.
Рис. 36. Технологическая схема автоматического управления
режимом пуска и остановки водозаборных скважин
1 - погружной электронасос; 2 - обратный клапан;
3 - обсадная колонна; 4 - водоподъемная колонна; 5 - кран;
6 - манометр; 7 - управляющий клапан; 8 - кольцевая
задвижка; 9 - трехходовой кран; 10 - сборный
напорный трубопровод
ОБСЛЕДОВАНИЕ И РЕМОНТ СКВАЖИН
7.15. В процессе эксплуатации может произойти снижение удельного дебита и выход из строя бесфильтровой скважины по ряду причин:
поступление породы в водоприемную воронку по затрубному пространству в результате некачественной затрубной цементации;
износ обсадных труб в результате длительной эксплуатации;
обрушение кровли водоприемной воронки;
уменьшение размеров воронки в результате взрыхления и оплывания откосов.
7.16. Для установления причин выхода скважины из строя производится предварительное обследование состояния скважины и водоподъемного оборудования: изучается техническая документация по скважине, документы по эксплуатации. При обнаружении дефектов скважины, водоподъемного оборудования, требующих ремонта, производится детальное обследование.
7.17. В первую очередь детально обследуется водоподъемное оборудование. Если оно исправно, то проверяется техническое состояние скважин с помощью специальных ловильных и ремонтных инструментов, а также с помощью автоматической каротажной станции СКВ-69, разработанной институтом ВСЕГИНГЕО совместно с объединением Россельхозводстрой.
В результате детального обследования выявляется место коррозийного разрушения обсадных труб, качество затрубной цементации, состояние водоприемной воронки (глубина, наличие инородных предметов и обрушенных пород кровли) и составляется заключение на ремонт скважины.
Техническое обследование и ремонт скважин в большинстве случаев производится специализированными буровыми или ремонтными организациями.
7.18. Текущий ремонт бесфильтровой скважины осуществляется, как правило, раз в год. При текущем ремонте производится профилактический ремонт насоса, очистка внутренней поверхности обсадных труб от отложений солей и продуктов электрохимической коррозии, удаление из скважины посторонних предметов. Замеряется глубина скважины и определяется глубина воронки. При необходимости производится углубление водоприемной воронки до допустимых размеров.
Для выполнения текущего ремонта может быть использован ремонтный агрегат АГР/2М, созданный на базе буровой установки АВБ-2М институтом ВСЕГИНГЕО совместно с объединением Россельхозводстрой и Белорусским спецтрестом Промбурвод.
7.19. Капитальный ремонт бесфильтровых скважин производится с целью восстановления их производительности и нормализации работы путем крепления ствола, затрубной цементации обсадной колонны, углубления водоприемной воронки.
Ремонт обсадных труб бесфильтровых скважин производится несколькими способами:
в пределах участка коррозионного износа обсадных труб под давлением закачивается цементный раствор, который после застывания разбуривается;
если позволяют технические условия эксплуатации, в скважину опускается новая колонна обсадных труб меньшего диаметра с последующим цементированием кольцевого зазора.
Затрубная цементация производится в тех случаях, когда башмак колонны обсадных труб находится в устойчивых породах, выше кровли водоносного горизонта. Ниже башмака устанавливается пакер и производится затрубная цементация общепринятым способом, после чего разбуривается цементная пробка.
Во всех случаях после ремонта, а также с целью углубления воронки производится откачка эрлифтом или другим водоподъемным механизмом.
Для капитального ремонта скважин глубиной до 500 м следует использовать ремонтный агрегат РА-15, изготовленный на базе буровой установки 1БА-15В, а для скважин глубиной до 100 м - агрегат УРС-18, выполненный на базе буровой установки УРБ-2А
[35].
7.20. Экономическая целесообразность ремонта скважин определяется в зависимости от стоимости ремонта, срока эксплуатации и стоимости бурения новой скважины. Стоимость одного капитального ремонта бесфильтровой скважины должна составлять не более 50% стоимости бурения новой скважины, а текущего - не более 20%. В противном случае бурится новая скважина. С целью экономии может быть использована водоприемная воронка вышедшей из строя скважины, для чего в радиусе примерно 1 - 1,5 м от старой скважины бурится новая скважина.
ПОДДЕРЖАНИЕ ПРОЕКТНОЙ ПРОИЗВОДИТЕЛЬНОСТИ
7.21. Большинство бесфильтровых скважин работает длительное время без существенного снижения дебита [
8,
41]. Колебание их производительности в основном происходит в результате смены насосов разной мощности. Как правило, бесфильтровые скважины в настоящее время оборудуются погружными насосами типа ЭЦВ. Насосные установки ЭЦВ выпускаются промышленностью в соответствии с ГОСТ 10428-79 серийно, с различной технической характеристикой
[36]. Для водоподъема могут применяться и другие разнообразные типы насосов.
7.22. Проектная производительность бесфильтровой скважины поддерживается работой насоса при соответствующей его нагрузке. Эксплуатация бесфильтровой скважины, оборудованной насосом, производительность которого больше строительного дебита, производится (с целью уменьшения водоподачи) с прикрытой задвижкой. При необходимости увеличения эксплуатационного дебита производится дополнительная предпусковая прокачка для создания устойчивости водоприемной воронки повышенных размеров при соответствующем дебите. Сохранение удельного дебита и отсутствие пескования в процессе эксплуатации свидетельствует о нормальном состоянии скважины.
РАБОТА НАГНЕТАТЕЛЬНЫХ СКВАЖИН
7.23. Нагнетательные бесфильтровые скважины по назначению могут использоваться для закачки промстоков и для искусственного восполнения запасов подземных вод.
По способу подачи жидкости выделяются скважины со свободным наливом через устье скважины и нагнетанием под давлением, когда напор превышает отметку устья.
7.24. При наливе следует избегать свободного падения жидкости в скважину, во избежание ее аэрации, поэтому водоподающая труба опускается ниже динамического уровня нагнетания.
При нагнетании жидкости под давлением производится герметизация оголовка скважины.
В процессе нагнетания замеряется расход, динамический уровень или избыточное давление на устье скважины.
7.25. Бесфильтровые скважины, применяемые для нагнетания промстоков, сооружаются в песчаных горизонтах, заключающих подземные воды, не пригодные для хозяйственно-технических нужд и не представляющие ценности в промышленном и лечебном отношении.
7.26. В целях повышения эффективности нагнетания и снижения скорости кольматации водоприемной поверхности необходимо производить предварительную водоподготовку закачиваемой жидкости, в которую входят мероприятия по отстаиванию минеральных и органических материалов, ее дегазация и хлорирование. Хлорирование производится независимо от санитарного состояния закачиваемой жидкости во избежание развития на песчаных откосах микроорганизмов, способствующих образованию плывунных свойств и выполаживанию откосов.
В процессе нагнетания происходит падение производительности за счет кольматации откосов водоприемной воронки. Восстановление производительности бесфильтровой нагнетательной скважины производится путем проведения откачки с целью снятия верхнего закольматированного слоя с откосов воронки.
Периодически повторяющиеся процессы декольматации откосов водоприемной воронки будут способствовать росту ее размеров, поэтому бесфильтровую нагнетательную скважину следует строить с возможно минимальными размерами водоприемной воронки. Производительность нагнетания в период эксплуатации регулируется величиной напора, который с ростом воронки будет уменьшаться.
7.27. Бесфильтровые скважины геологоразведочные, выполнившие свое целевое назначение, и эксплуатационные, непригодные для дальнейшей эксплуатации, подлежат ликвидации
[31].
Правила [31] являются обязательными для всех предприятий, организаций и учреждений, независимо от ведомственной подчиненности. Контроль за выполнением работ по ликвидационному тампонажу скважин осуществляется геологическими управлениями, органами охраны водных ресурсов, местными санитарно-эпидемиологическими службами и органами Госгортехнадзора СССР.
7.28. На ликвидацию скважины составляется проект, которому предшествует детальное обследование скважины. По окончании работ составляется "Акт на производство ликвидационного тампонажа".
7.29. Водоприемная воронка бесфильтровых скважин во всех случаях заполняется песком или гравием согласно способам, изложенным в
разделе 5 настоящего Руководства.
8. ТЕХНИКО-ЭКОНОМИЧЕСКАЯ ОЦЕНКА ИСПОЛЬЗОВАНИЯ
БЕСФИЛЬТРОВЫХ СКВАЖИН
ГЕОЛОГО-ТЕХНИЧЕСКИЕ И ЭКОНОМИЧЕСКИЕ ПРЕИМУЩЕСТВА
БЕСФИЛЬТРОВЫХ СКВАЖИН
8.1. При качественном устройстве бесфильтровые скважины являются надежными инженерными сооружениями для отбора подземных вод и обладают рядом достоинств.
Эффективность бесфильтровых скважин при геологоразведочных работах состоит в следующем:
увеличение удельных дебитов гидрогеологических скважин;
эксплуатационные запасы подземных вод промышленных категорий могут быть обоснованы бесфильтровыми скважинами с малым диаметром обсадных труб, которые обеспечивают эксплуатационные дебиты;
возможность водоотбора из тонкозернистых и глинистых песков;
повышение качества информации о водоносных горизонтах при одиночных и кустовых откачках;
увеличение достоверности гидрогеологических параметров при исследовании ограниченных пластов;
изменение представлений о потенциальных возможностях водоносных горизонтов;
сокращение числа разведочных скважин;
увеличение гарантированных эксплуатационных запасов подземных вод;
ускорение гидрогеологических исследований.
8.2. Технологический эффект при сооружении скважин достигается следующими факторами:
упрощение конструкции и увеличение надежности скважины в целом;
исключение изготовления и установки фильтра;
уменьшение глубины скважины;
уменьшение диаметра и длины обсадных труб (металлоемкости скважин);
устранение процесса разглинизации прискважинной зоны водоносного пласта.
8.3. Водопотребители получают экономический эффект в процессе эксплуатации бесфильтровых скважин, благодаря которым обеспечиваются:
высокие дебиты при небольших рабочих понижениях и устойчивость их во времени;
уменьшение глубины загрузки скважинных насосов и высоты подъема воды;
отсутствие кольматации водоприемника;
увеличение срока службы скважины в 5 - 10 раз (до 30 - 50 лет);
исключение бурения новых скважин;
уменьшение общего числа эксплуатационных скважин у водопотребителя;
сокращение длины водоводов, линий электропередач, числа трансформаторных подстанций и других сооружений, земельных площадей;
уменьшение расхода электроэнергии на подъем воды из скважин;
эксплуатация без ремонта до износа обсадных труб;
простота восстановления водоприемной части скважины путем прокачки.
8.4. В целом экономический эффект от применения бесфильтровых скважин получается в результате:
снижения затрат на сооружение водозабора;
сокращения эксплуатационных расходов;
уменьшения себестоимости воды.
СОПОСТАВЛЕНИЕ ЗАТРАТ НА СООРУЖЕНИЕ СКВАЖИН
С ФИЛЬТРОМ И БЕЗ ФИЛЬТРА В ОДИНАКОВЫХ УСЛОВИЯХ
8.5. Стоимость сооружения водозаборной скважины определяется при составлении проекта, исходя из объемов бурения, вспомогательных операций, сопутствующих работ и затрат на материалы.
Проектная стоимость сооружения скважины зависит не только от ее конструкции, но и от подхода к конкретным нормам и объемам дополнительных работ. На практике нередко проект на скважину, особенно в слабоизученных условиях или для новой конструкции, составляется с некоторым запасом средств, поэтому простое сравнение конкретных проектов не дает объективной оценки затрат средств. Это возможно только при заложении в проект оптимальных объемов.
При сооружении бесфильтровых скважин сокращение капитальных вложений осуществляется за счет ряда слагаемых: меньшей глубины бурения и длины обсадных труб, отсутствия фильтра, разглинизации и т.д., а удорожание - в результате проведения работ по формированию водоприемной воронки. Чрезмерно длительная строительная откачка вызывает удорожание бесфильтровой скважины. Более интенсивный режим откачки обеспечивает быструю разработку водоприемной полости и существенно удешевляет строительство.
8.6. Стоимость сооружения скважины на геологоразведочных и строительных работах определяется разными нормативами, причем по первым затраты в целом меньше [
22,
38]. Примеры стоимости скважин разных глубин в БССР по тем и другим нормативам приведены в
табл. 21,
22, причем длительность создания водоприемной воронки в них принята равной 5 сут. Из них видно, что затраты на бесфильтровые скважины могут быть меньше, равны или больше, чем скважины с фильтрами, в зависимости от индивидуальных конструкций и принятых нормативов.
Таблица 21
Сравнительная стоимость сооружения
разведочно-эксплуатационных скважин при геологоразведочных
работах на территории БССР
Район | Глубина скважины, м | Конструкция скважин | Сметная стоимость скважин, руб. | Средний дебит скважины, м3/сут | Затраты на 1 м3/сут, руб. |
Гродно | 260 | С фильтром | 12 211 | 1200 | 10,18 |
230 | Бесфильтровая | 9 551 | 2800 | 3,41 |
Речица | 190 | С фильтром | 10 134 | 480 | 21,11 |
172 | Бесфильтровая | 9 339 | 2300 | 4,06 |
Жлобин, Рогачев | 100 | С фильтром | 5 791 | 600 | 9,65 |
78 | Бесфильтровая | 5 336 | 3300 | 1,62 |
Таблица 22
Сравнительная стоимость сооружения
разведочно-эксплуатационных скважин по строительным нормам
на территории БССР
Район | Глубина скважины, м | Конструкция скважин | Сметная стоимость скважин, руб. | Средний дебит скважины, м3/сут | Затраты на 1 м3/сут, руб. |
Брест | 232 | С фильтром | 15 314 | 1320 | 11,6 |
215 | Бесфильтровая | 15 649 | 2400 | 6,5 |
Кобрин | 170 | С фильтром | 11 906 | 960 | 12,4 |
160 | Бесфильтровая | 12 120 | 1560 | 7,8 |
Жлобин | 86 | С фильтром | 6 551 | 720 | 9,1 |
75,5 | Бесфильтровая | 6 556 | 1680 | 3,9 |
В среднем строительную стоимость скважины бесфильтровой и с фильтром в одинаковых условиях можно считать примерно одинаковой. Но затраты на полученный кубометр воды в бесфильтровых скважинах меньше, ввиду их более высокой производительности.
Следует учитывать, что при одинаковой общей стоимости у бесфильтровой скважины отпадает необходимость в латунной сетке и других цветных металлах, употребляемых для изготовления фильтра.
8.7. Основная экономия при сооружении бесфильтровых скважин достигается за счет общего меньшего количества скважин для удовлетворения заявленной потребности в воде, более длительного срока их службы, снижения затрат на подъем воды.
ОЦЕНКА ЭКОНОМИЧЕСКОЙ ЭФФЕКТИВНОСТИ БЕСФИЛЬТРОВЫХ СКВАЖИН
8.8. Экономическая эффективность сооружения и эксплуатации бесфильтровых скважин определяется снижением затрат на строительство водозабора и эксплуатационных затрат при добыче воды.
Годовой экономический эффект от применения бесфильтровых скважин, согласно
Инструкции Госстроя СССР
<*>, рассчитывается по формуле
Э = [(C1 + EнK1) - (C2 + EнK2)]A2, (43)
где C1 и C2 - себестоимость единицы продукции (1 м3 воды) до сооружения бесфильтровых скважин и после их внедрения, руб.; K1 и K2 - удельные капитальные вложения в производственные фонды до и после внедрения бесфильтровых скважин, руб.; Eн - нормативный коэффициент эффективности капитальных вложений (Eн = 0,15); A2 - годовой объем производства продукции с помощью бесфильтровых скважин, м3.
--------------------------------
<*> Инструкция по определению экономической эффективности использования в строительстве новой техники, изобретений и рационализаторских предложений
(СН 509-78). М., Стройиздат, 1979.
Порядок расчета годового экономического эффекта для одиночной бесфильтровой скважины и группового водозабора несколько отличается. Покажем это на примерах.
8.9. Произведем расчет для одиночных скважин глубиной 120 - 150 м, принимая за базу сравнения обычную конструкцию скважин с фильтром в аналогичных гидрогеологических условиях. Обслуживание скважины базового и нового вариантов принимается одинаковым и содержание персонала в расчетах не учитывается. В стоимость скважин включено устьевое оборудование и создание зоны санитарной охраны.
Исходные данные и результаты расчета приведены в табл. 23, из которой видно, что годовой экономический эффект при использовании одиночной бесфильтровой скважины составляет 1737 руб.
Таблица 23
Исходные данные и расчет годового экономического эффекта
для одиночной бесфильтровой скважины
Показатели и формулы для расчета | Обозначение | Единицы измерения | Варианты |
базовый | новый |
Водопотребление | QC | м3/сут | 400 | 400 |
Годовой объем добычи воды | A2 | м3/год | 146000 | 146000 |
A2 = Qc365 | | | | |
Дебит скважины | Qч | м3/ч | 20 | 40 |
Количество часов работы в сутки | - | ч | 20 | 10 |
Высота подъема воды | H | м | 80 | 35 |
Затраты электроэнергии в год  | Aэ | кВт·ч | 84 400 | 36 200 |
КПД насоса | | - | 0,6 | 0,6 |
КПД электродвигателя | | - | 0,6 | 0,6 |
Количество работающих насосов | n | шт. | 1 | 1 |
Количество часов работы в год | t | ч | 20·365 | 10·365 |
Количество подаваемой воды | Q | л/с | 6,12 | 12,25 |
Стоимость электроэнергии в год | Cэ | руб. | 1 266 | 543 |
Сметная стоимость скважины | Cс | " | 10 500 | 9800 |
Расчетный срок службы скважины | | год | 7 | 15 |
Годовая амортизация | Cа | руб. | 1 575 | 686 |
Среднегодовые текущие затраты C = Cэ + Cа | C | " | 2 841 | 1229 |
Себестоимость 1 м3 воды C1, 2 = C/A2 | C1, C2 | " | 0,0195 | 0,0084 |
Удельные капиталовложения K1, 2 = Cс/A2 | K1, K2 | " | 0,072 | 0,067 |
Нормативный коэффициент эффективности капвложений | Eн | - | 0,15 | 0,15 |
Приведенные затраты З = C + EпK | З1, З2 | руб. | 0,0303 | 0,0184 |
Годовой экономический эффект Э = (З1 - З2)·A2 | Э | " | | 1737 |
Одновременно за счет устранения фильтровой колонны снижается расход металла в следующем количестве. Вес 1 м обсадной трубы диаметром 6 - 8" принимается в среднем равным 40 кг. На фильтровую колонну с отстойником и надфильтровой частью общей длины 15 м требуется 600 кг металла. На 1 м фильтра диаметром 6 - 8" при просвете между проволоками 0,6 - 1 мм расходуется в среднем 5 кг нержавеющей проволоки или 0,75 м2 латунной сетки. На рабочую часть фильтра длиной 10 м требуется 50 кг нержавеющей проволоки или 7,5 м2 латунной сетки.
За счет фильтровой колонны на одной бесфильтровой скважине экономятся 600 кг стальных труб, 50 кг нержавеющей проволоки (или 7,5 м2 латунной сетки). Кроме того, на бесфильтровой скважине можно уменьшить длину эксплуатационной колонны и перейти ниже на меньший диаметр обсадных труб.
8.10. Определим годовой экономический эффект от применения бесфильтровых скважин на водозаборе производительностью 20 000 м3/сут в условиях БССР.
Таблица 24
Исходные данные для расчета
Показатели | Единица измерения | Скважина с фильтром | Скважина бесфильтровая |
Дебит скважины | м3/сут | 1200 | 1800 |
Высота подъема воды от динамического уровня | м | 28,5 | 21,5 |
Количество скважин | шт. | 17 | 11 |
Длина трубопровода до резервуара | км | 4,2 | 3,2 |
Объем резервуара | м3 | 15 000 | 15 000 |
Средняя сметная стоимость скважины | тыс. руб. | 12 | 12 |
Стоимость насосной станции с коммуникациями и созданием зоны санитарной охраны | " | 8 | 8 |
Стоимость скважин с насосными станциями | " | 340 | 220 |
Стоимость трубопровода | " | 168 | 128 |
Стоимость резервуара | | 75 | 75 |
Капитальные вложения в основные производственные фонды | " | 583 | 423 |
Удельные капиталовложения | руб. | 0,08 | 0,06 |
Среднегодовые эксплуатационные расходы (электроэнергия, содержание, обслуживание) | тыс. руб. | 51,1 | 36,5 |
Себестоимость 1 м3 воды | руб. | 0,007 | 0,005 |
1.
Абрамов С.К., Алексеев В.С. Забор воды из подземного источника. М., Колос, 1980, 239 с.
2.
Барон Л.И., Логунцов Б.М., Позин Е.З. Определение свойств горных пород. М., Госгортехиздат, 1962, 320 с.
3.
Башкатов Д.Н., Сулакшин С.С., Драхлис С.Л., Квашнин Г.П. Справочник по бурению скважин на воду. М., Недра, 1979, 560 с.
4. Белицкий А.С., Дубровский В.В. Проектирование разведочно-эксплуатационных скважин для водоснабжения. М., Недра, 1968, 244 с.
5.
Беляков В.М., Сапожников Н.Г. Бесфильтровые скважины на воду. Обзорная информация N 7, 1970, М., ЦБНТИ Минводхоза СССР, 55 с
.
6.
Беляков В.М., Гавич Т.И., Краснощеков Г.М., Сапожников Н.Г., Дмитриев К.Б., Роговой В.К. Руководство по проектированию и сооружению бесфильтровых скважин на воду. М., изд. ВНИИГиМ, М., 1974, 51 с.
7.
Биндеман Н.Н., Язвин Л.С. Оценка эксплуатационных запасов подземных вод. М., Недра, 1970, 216 с.
8.
Богомолов Г.В., Станкевич Р.А. Бесфильтровые водозаборные скважины в рыхлых породах. Минск, изд-во "Наука и техника", 1978, 152 с.
9.
Богомолов Г.В., Станкевич Р.А., Чабан М.О. Определение основных гидрогеологических параметров песчаных водоносных горизонтов с помощью бесфильтровых скважин. "Методы оценки ресурсов подземных вод". Симпозиум Международной ассоциации гидрогеологов, Вильнюс, 1979, т. 15. Доклады". М., Наука, 1979, с. 194 - 198.
10.
Боревский Б.В., Самсонов Б.Г., Язвин Л.С. Методика определения параметров водоносных горизонтов по данным откачек. Изд. "Недра", 1979, 326 с.
11.
Бочевер Ф.М. Теория и практические методы гидрогеологических расчетов эксплуатационных запасов подземных вод. М., Недра, 1968, 328 с.
12.
Бочевер Ф.М., Гармонов И.В., Лебедев А.В., Шестаков В.М. Основы гидрогеологических расчетов. М., Недра, 1969, 365 с.
13.
Быков И.И., Пантюшов К.Н., Сороко В.И., Фролов Н.Д. Гидроакустический каверномер "Профиль-2". - Сб.: Методика и техника разведки, N 70. Л., ОНТИ ВИТР, 1970, с. 73 - 74.
14.
Быков И.И., Дмитриевская Н.П., Сороко В.И., Фролов Н.Д., Шибат Г.А. Ультразвуковой гидроакустический каверномер "Контур". - Сб.: Методика и техника разведки, N 70. Л., ОНТИ ВИТР, 1970, с. 69 - 72.
15.
Воздвиженский Б.И., Мельничук И.П., Пешалов Ю.А. Физико-механические свойства горных пород и влияние их на эффективность бурения М., Недра, 1973.
16.
Гавич Т.И., Володько И.Ф. Опыт сооружения и гидродинамические расчеты бесфильтровых скважин. М., Изд. ВИЭМС, 1976, 61 с.
17.
Гавич Т.И., Заезжев Н.М., Яковлев Е.А. Расчет параметров бесфильтровых скважин в тонкослоистых породах. Экспресс-информация, серия 3, вып. 4. М., 1977 (ЦБНТИ Минводхоза СССР), с. 10 - 15.
18.
Гавич Т.И. Испытания бесфильтровых скважин при гидрогеологических исследованиях с целью изучения условий формирования водоприемной полости. Экспресс-информация, серия 3, вып. 3. М., 1977, с. 9 - 20 (ЦБНТИ Минводхоза СССР).
19.
Гаврилко В.М., Киселев О.К. Фонтанирующие скважины в сельском хозяйстве. М., Колос, 1960, 215 с.
20.
Гаврилко В.М., Алексеев В.С., Бессонов Н.Д., Гуркин А.Я., Ткаченко В.П. Сооружение высокодебитных водозаборных и дренажных скважин. М., Колос, 1974, 174 с.
21.
Дубровский В.В., Керченский М.М., Плохов В.И. и др. Справочник по бурению и оборудованию скважин на воду. М., Недра, 1972, 512 с.
22. Единые нормы и расценки на строительные, монтажные и ремонтно-строительные работы. Сборник N 14. Бурение скважин на воду. М., Стройиздат, 1973, 151 с.
23.
Зайцев И.К., Толстихин Н.И. Закономерности распространения и формирования минеральных (промышленных и лечебных) подземных вод на территории СССР. М., Недра, 1972, 280 с.
24.
Инструкция по применению классификации эксплуатационных запасов подземных вод и месторождениям пресных вод. М., Недра, 1978, 114 с.
25. Карамбиров Н.А. Сельскохозяйственное водоснабжение. М., Колос, 1978, 446 с.
26.
Керкис Е.Е. Методы изучения фильтрационных свойств горных пород. Л., Недра, 1975, 231 с.
27.
Логинов В.М., Шуссер Л.М. Справочник по сельскохозяйственному водоснабжению. М., Колос, 1980, 288 с.
28.
Мироненко В.А., Шестаков В.М. Теория и методы интерпретации опытно-фильтрационных работ. М., Недра, 1978, 328 с.
29. Оноприенко М.Г. Бурение и оборудование гидрогеологических скважин. М., Недра, 1978, 168 с.
30. Опытно-фильтрационные работы. М., Недра, 1974, 204 с.
31.
Правила ликвидационного тампонажа буровых скважин различного назначения засыпки горных выработок и заброшенных колодцев для предотвращения загрязнения и истощения подземных вод. М., Изд. Мингео СССР, 1969, 20 с.
32. Проектирование водозабора подземных вод. М., Стройиздат, 1976, 292 с.
33.
Протодьяконов М.М. Определение крепости угля на шахтах. - "Уголь", 1950, N 9.
34. Рекомендации по проектированию и эксплуатации систем искусственного пополнения запасов подземных вод. М., Изд. ВНИИ ВОДГЕО, 1976, 223 с.
35. Рекомендации по строительству и эксплуатации водозаборов подземных вод. М., Изд. В/О "Союзводпроект", 1978, 360 с.
36.
Руководство по проектированию сооружений для забора подземных вод. М., Стройиздат, 1978, 209 с.
37.
Самсонов Б.Г., Бурдакова О.Л., Кривошеева Л.И. Рекомендации по обработке результатов опытных работ на основе уравнений неустановившегося движения. М., Недра, 1969, 104 с.
38. Сборник укрупненных сметных нормативов на геологоразведочные работы. Выпуск V - разведочное бурение, М., Недра, 1969, 255 с.
39.
СНиП II-31-74. Нормы проектирования. Водоснабжение. Наружные сети и сооружения. Госстрой СССР. М., Стройиздат, 1975, 145 с.
40.
Станкевич Р.А., Сидорович В.П., Романов Г.Ф. Опыт разведки в БССР песчаных водоносных горизонтов скважинами без фильтра. Минск, Изд. БелНИИНТИ. 1973, 56 с.
41.
Станкевич Р.А., Федяев А.А. Опыт эксплуатации бесфильтровых скважин в лесках на водозаборах Белоруссии и эффективность их применения. Минск. Изд. БелНИИНТИ, 1976, 48 с.
42.
Станкевич Р.А., Федяев А.А. Методическое руководство по проектированию, сооружению и эксплуатации бесфильтровых водозаборных скважин в песчаных породах. Минск. "Полымя", 1981, 92 с.
43. Справочное руководство гидрогеолога. Под редакцией В.М. Максимова. Изд. 3-е, Л., Недра, 1979, т. 1. 512 с., т. 2. 295 с.
44. Усенко В.С. Вопросы теории фильтрационных расчетов дренажных в водозаборных скважин. М., Колос, 1968, 301 с.
45.
Хуторянский Ю.И. Эрлифт для формирования водоприемной полости бесфильтровых скважин. Экспресс-информация, серия 3, вып. 7. М., 1980, с. 5 - 10 (ЦБНТИ Минводхоза СССР).
46.
Шестаков В.М. Динамика подземных вод. М., Изд-во МГУ, 1979, 363 с.