Главная // Актуальные документы // РуководствоСПРАВКА
Источник публикации
М.: Стройиздат, 1972
Примечание к документу
Название документа
"Руководство по применению буро-взрывного способа рыхления мерзлых и вечномерзлых грунтов и морен"
"Руководство по применению буро-взрывного способа рыхления мерзлых и вечномерзлых грунтов и морен"
ПО ПРИМЕНЕНИЮ БУРО-ВЗРЫВНОГО СПОСОБА РЫХЛЕНИЯ
МЕРЗЛЫХ И ВЕЧНОМЕРЗЛЫХ ГРУНТОВ И МОРЕН
Руководство составлено в развитие главы СНиП "Земляные сооружения. Правила производства и приемки работ" и в соответствии с "Едиными правилами безопасности при взрывных работах".
В Руководстве приведены методы рыхления мерзлых грунтов взрывным способом при разработке траншей и котлованов в промышленном и гражданском строительстве. Рекомендуемые методы основаны на производственном опыте треста Союзвзрывпром, Омского треста Строймеханизация N 2, Челябинского треста Южуралспецстрой и Новосибирского треста Строймеханизация N 1, а также на экспериментальных исследованиях ЦНИИОМТП Госстроя СССР (щелевой метод).
В Руководстве описаны типы и основные технические характеристики станков и машин для бурения шпуров и скважин и нарезания щелей, а также укрытия, предохраняющие людей и объекты от разлета мерзлого грунта при взрывных работах; даны основные сведения о взрывчатых веществах, средствах и способах взрывания в мерзлых грунтах, а также по организации производства буро-взрывных работ; указаны безопасные условия рыхления мерзлых грунтов взрывом.
Руководство может служить пособием для инженерно-технических работников, занимающихся проектированием и производством работ при рыхлении мерзлых грунтов.
Разработка мерзлых грунтов - трудоемкий и недостаточно механизированный процесс в общем цикле строительных работ.
Мерзлые грунты, имеющие повышенную механическую прочность, трудно поддаются разработке обычными землеройными машинами, поэтому, как правило, требуется предварительное рыхление таких грунтов специальными машинами или взрывным способом.
Взрывной способ рыхления мерзлого грунта нашел широкое применение на Урале, в Западной и Восточной Сибири. В тресте Южуралспецстрой 80% всего объема мерзлого грунта рыхлится буро-взрывным способом. При взрывном способе рыхление мерзлого грунта осуществляется одновременно на всю глубину промерзания.
Ряд усовершенствований, внедренных в практику, - применение короткозамедленного и контурного взрывания, удлиненных и рассредоточенных зарядов взрывчатых веществ (ВВ), новейшего бурового оборудования - повышает эффективность взрывного метода рыхления мерзлых грунтов и расширяет область его использования.
Цель настоящего руководства - помочь строителям и проектировщикам выбрать и применить наиболее экономичный для данных условий метод рыхления мерзлых грунтов взрывом.
Руководство составлено в Отделе организации, технологии и механизации земляных работ ЦНИИОМТП руководителем лаборатории канд. техн. наук И.П. Балбачан и ст. научным сотрудником Ю.А. Ивановым. В разработке щелевого метода принимал участие инж. А.А. Юрко.
Руководство рецензировалось Центральной производственно-экспериментальной лабораторией (ЦПЭС) треста Союзвзрывпром.
1. КРАТКИЕ СВЕДЕНИЯ О МЕРЗЛЫХ ГРУНТАХ
1.1. Климатические и грунтовые условия существенно влияют на стоимость и трудоемкость разработки мерзлых грунтов. С увеличением прочности грунта повышается и трудоемкость его разработки.
В свою очередь прочность мерзлого грунта зависит от ряда факторов, в том числе от вида грунта, температуры наружного воздуха, влажности грунта.
Мерзлый грунт следует рассматривать как четырехкомпонентную систему, состоящую из твердых минеральных частиц, связующего вещества (льда), воды и воздуха. Содержание льда в грунте во многом предопределяет его прочностные свойства. На количество замерзающей воды в грунте влияет температура наружного воздуха и вид грунта: чем ниже температура, тем больше образуется льда в порах грунта; чем грунт дисперснее, тем меньше льда содержится в его порах при прочих равных условиях.
Механическая прочность мерзлого грунта характеризуется временным сопротивлением разрыву и сжатию, величины которых для различных грунтов приведены в
табл. 1.
Таблица 1
Временное сопротивление мерзлых грунтов сжатию и разрыву
Температура грунта в °C | Песок, w = 20% | Супесь, w = 22 - 23% | Суглинок, w = 20% | Глина, w = 33 - 35% |
Величины временных сопротивлений в кгс/см2 |
разрыву | сжатию | разрыву | сжатию | разрыву | сжатию | разрыву | сжатию |
-5 | 29 | 85 | 22 | 60 | Нет данных | 16 | 40 |
- 15 | 38 | 155 | 39 | 120 | 36 | То же | 23 | 60 |
-25 | 45 | 195 | 50 | 170 | 44 | " | 30 | 85 |
-40 | 52 | 235 | 57 | 210 | 54 | " | 30 | 103 |
Примечание. w - весовая влажность в %.
1.2. Глубина сезонного промерзания грунта зависит от многих факторов, главными из которых являются: температура воздуха, скорость ветра, толщина снегового покрова, вид и прочность грунта, его влажность, теплопроводность и теплоемкость, уровень грунтовых вод и характер растительного покрова.
1.3. Глубина и скорость промерзания грунтов в значительной степени влияют на сложность их разработки в зимнее время, что обусловливает необходимость тщательного анализа данного вопроса перед началом производства работ. Поэтому следует учитывать, что грунты с порами, частично заполненными влагой, а также плотные мелкопористые грунты при прочих равных условиях промерзают глубже и быстрее, чем рыхлые и сухие, так как теплопроводность первых больше. Чем ближе к поверхности уровень грунтовых вод, тем меньше глубина промерзания грунта. Процесс промерзания глин протекает медленнее, чем песков; пески промерзают тем скорее и глубже, чем больше в них крупных частиц.
2. ОБЩИЕ УКАЗАНИЯ ПО ОРГАНИЗАЦИИ РАБОТ
2.1. Перед началом производства работ по рыхлению мерзлого грунта должен быть составлен проект производства буро-взрывных и земляных работ с указанием количества буровых станков (или щелерезных машин) и землеройного оборудования, в зависимости от объема работ, глубины промерзания грунта, ширины траншеи или выемки.
В проекте производства работ должны быть учтены требования по своевременной подготовке площадки, обеспечению бесперебойной работы землеройных машин и транспортных средств, рыхлению с минимальным выходом негабарита (до 3%), обеспечению безопасности людей и сохранности машин и оборудования. Кроме того, должны быть увязаны сроки рыхления мерзлого грунта взрывом и его разработки. Мерзлые грунты необходимо рыхлить взрывом непосредственно перед разработкой, иначе разрыхленный грунт может вторично смерзнуться.
2.2. Для обеспечения бесперебойной работы на незастроенных участках необходимо применять бескапсюльный метод взрывания с использованием детонирующего шнура (ДШ), так как при этом способе взрывания можно производить заряжание шпуров и скважин, не останавливая работающие вблизи землеройное оборудование и транспортные средства.
2.3. При производстве взрывных работ вблизи зданий и сооружений повсеместное применение детонирующего шнура не рекомендуется в связи с усилением действия воздушной ударной волны.
2.4. Негабаритными считаются куски, наибольший поперечный размер которых превышает:
а) для экскаватора с прямой и обратной лопатами - 2/3 ширины ковша;
б) для драглайна - 1/2 ширины ковша;
в) для скреперов - 2/3 наибольшей конструктивной глубины копания;
г) для бульдозеров и грейдеров - 1/2 высоты отвала;
д) для автосамосвалов - 1/2 ширины кузова, а по весу - его паспортную грузоподъемность.
3. МЕТОДЫ И ТЕХНИКА ВЗРЫВНЫХ РАБОТ
3.1. Рыхление мерзлого грунта взрывом осуществляется следующими методами:
а) шпуровых зарядов;
б) скважинных зарядов;
в) щелевых зарядов.
3.2. Выбор того или иного метода зависит в основном от объемов работ, застроенности рабочей площадки, типа сооружений (котлован, траншея, дорожная выемка, карьер), глубины промерзания грунта, срока производства работ, наличия бурового оборудования или машин для нарезания щелей и способа разработки мерзлых грунтов. Избранный рациональный метод указывается в проекте производства работ (ППР).
3.3. Метод шпуровых зарядов применяется при глубине промерзания грунтов до 1,2 м, в основном при разработке траншей, небольших котлованов и выемок, планировочных работах, а также в стесненных условиях. Глубина промерзания на стройплощадке определяется опытным путем (бурением контрольных шпуров).
3.4. Заряды ВВ размещаются в шпурах диаметром до 75 мм и глубиной, равной 0,95 глубины промерзания грунта.
3.5. Расстояние между шпурами в ряду и между рядами шпуров принимается от 0,8 до 1,4
W, в зависимости от взрываемости грунта и назначения взрыва (см.
табл. 3). Шпуры располагают в шахматном порядке или по квадратной сетке.
3.6. Забойка шпура выполняется, как правило, из песка или буровой мелочи на величину не менее 1/3 его длины.
3.7. Шпуры должны иметь размеры, которые обеспечивали бы размещение в них зарядов расчетного веса ВВ. Размещение веса зарядов в шпуре определяют по вместимости заряжаемой части, определяемой по формуле
Qш = (lш - lз)P кг, (1)
где lш - длина шпура в м;
lз - длина забойки в м;
P - вместимость 1 м шпура в кг/м.
Значения вместимости приведены в
табл. 2.
Таблица 2
Вместимость 1 м шпура (скважины) в зависимости от диаметра
при заряжании порошкообразным или гранулированным ВВ
с плотностью 0,9 кг/дм3
Диаметр шпура в мм | Вместимость шпура P в кг/м | Диаметр шпура в мм | Вместимость шпура P в кг/м | Диаметр скважины в мм | Вместимость скважины в кг/м |
25 | 0,44 | 47 | 1,57 | 75 | 4,02 |
26 | 0,48 | 48 | 1,64 | 80 | 4,5 |
27 | 0,52 | 49 | 1,7 | 90 | 5,7 |
28 | 0,56 | 50 | 1,77 | 95 | 6,4 |
29 | 0,6 | 51 | 1,85 | 100 | 7,1 |
30 | 0,64 | 52 | 1,92 | 105 | 7,8 |
31 | 0,68 | 53 | 1,99 | 110 | 8,6 |
32 | 0,73 | 54 | 2,07 | 115 | 9,4 |
33 | 0,79 | 55 | 2,15 | 120 | 10,2 |
34 | 0,82 | 56 | 2,23 | 125 | 11 |
35 | 0,82 | 57 | 2,31 | 130 | 12 |
36 | 0,92 | 58 | 2,39 | 135 | 12,9 |
37 | 0,97 | 60 | 2,56 | 140 | 13,8 |
38 | 1,07 | 65 | 3 | | |
39 | 1,08 | 67 | 3,19 | | |
40 | 1,14 | 68 | 3,3 | | |
41 | 1,18 | 69 | 3,35 | | |
42 | 1,25 | 70 | 3,48 | | |
43 | 1,31 | 71 | 3,58 | | |
44 | 1,37 | 72 | 3,68 | | |
45 | 1,44 | 73 | 3,78 | | |
46 | 1,5 | 74 | 3,89 | | |
3.8. Величина заряда определяется по формуле
где q - удельный расход ВВ для заряда рыхления в кг/м3;
W - расчетная линия сопротивления в м, равная глубине заложения заряда.
Значения q для растительного и песчаного грунтов принимаются равными 0,4 - 0,55, для суглинков - 0,6 - 0,7, для глин и строительного мусора - 0,7 - 0,9 кг/м3.
3.9. Скважинный метод рыхления мерзлых грунтов эффективно применять в районах Крайнего Севера, Востока и Сибири, при глубине промерзания грунтов свыше 1,8 м, при разработке грунта в траншеях, котлованах и дорожных выемках больших сечений и на вскрышных работах.
3.10. Заряды ВВ размещаются в скважинах диаметром от 75 до 140 мм.
3.11. Скважины бурят на глубину 0,85 - 0,9 глубины промерзания грунта.
3.12. В зависимости от глубины и характера промерзания грунта и необходимой степени его рыхления конструкция заряда может быть удлиненной или рассредоточенной. Применение удлиненных зарядов рекомендуется при толщине мерзлого слоя до 2,5 м, рассредоточенных зарядов - при глубине промерзания более 2,5 м.
Как показал опыт работы ЦНИИОМТП с комбинатом Печоршахтострой, верхняя часть заряда ВВ должна составлять
1/
3 общего веса заряда, нижняя -
2/
3. Промежуток (рассредоточение) между частями заряда заполняется забоечным материалом, в качестве которого используется буровая мелочь, песок или другие сыпучие местные материалы. Основные расчетные параметры шпуровых и скважинных зарядов при рыхлении мерзлых грунтов в траншеях и котлованах приведены в
табл. 3.
Таблица 3
Основные расчетные параметры шпуровых и скважинных зарядов
при рыхлении грунтов в траншеях и котлованах
Группа грунта | Мощность мерзлого слоя в м | Глубина шпура (скважины) в м | Расчетная линия сопротивления в м | Расстояние между шпурами (скважинами) в ряду в м | Расстояние между рядами шпуров (скважин) в м | Удельный расход ВВ в кг/м3 | Вес заряда ВВ в кг |
I | 0,5 | 0,5 | 0,5 | 0,5 | 0,5 | 0,5 | 0,22 |
0,75 | 0,7 | 0,7 | 0,75 | 0,75 | 0,34 |
1 | 0,95 | 0,95 | 1 | 1 | 0,5 |
1,5 | 1,3 | 1,3 | 1,5 | 1,5 | 1,7 |
2,2 | 1,9 | 1,9 | 2 | 2 | 5,3 |
II | 0,5 | 0,5 | 0,5 | 0,5 | 0,4 | 0,6 | 0,26 |
0,75 | 0,7 | 0,7 | 0,75 | 0,6 | 0,4 |
1 | 0,95 | 0,95 | 1 | 0,9 | 0,6 |
1,5 | 1,3 | 1,3 | 1,3 | 1,2 | 2,1 |
2 | 1,8 | 1,8 | 1,5 | 1,5 | 4,8 |
2,2 | 2 | 2 | 1,5 | 1,5 | 6,4 |
III - IV | 0,5 | 0,5 | 0,5 | 0,5 | 0,4 | 0,8 - 1 | 0,38 |
0,75 | 0,7 | 0,7 | 0,75 | 0,6 | 0,5 |
1 | 0,95 | 0,95 | 1 | 0,8 | 0,8 |
1,5 | 1,35 | 1,35 | 1,3 | 1,3 | 2,8 |
2 | 1,8 | 1,8 | 1,5 | 1,3 | 6,4 |
2,2 | 2 | 2 | 1,5 | 1,3 | 8,5 |
Примечание. Группы мерзлых грунтов определяют по средним затратам времени на бурение 1 м шпура или скважины буровыми машинами или станками, имеющимися на данном объекте (по методике, указанной в ЕНиР, сб. 2 "Земляные работы", вып. 3, "Буро-взрывные работы", 1969).
3.13. Вечномерзлые грунты, характеризующиеся пластично-вязким состоянием, имеют более высокий коэффициент взрываемости, в связи с чем повышается трудоемкость их разработки и удельный расход ВВ.
3.14. Удельный расход при рыхлении вечномерзлых грунтов необходимо увеличивать на 20 - 30% по сравнению со значениями, указанными в
табл. 3 по данным ЦНИИОМТП и треста Союзвзрывпром.
3.15. Метод щелевых зарядов, разработанный ЦНИИОМТП, заключается в совместной работе рассредоточенных или удлиненных зарядов ВВ, размещенных в щелях, с незаряженными компенсирующими щелями.
3.16. Незаряженные щели образуют новые обнаженные поверхности и компенсирующие пространства, куда происходит сдвиг грунта в момент взрыва одновременно с его рыхлением (принцип ударного сдвига).
3.17. Метод щелевых зарядов рекомендуется применять при разработке траншей и котлованов для рыхления грунта, промерзшего на глубину 0,8 - 2 м.
3.18. Нарезание щелей в мерзлом грунте производится землерезными дискофрезерными или баровыми машинами.
3.19. Нарезание щелей целесообразно производить перпендикулярно охраняемому объекту, так как разлет грунта происходит в обе стороны от щелей.
3.20. Параметры щелей:
а) глубина зарядных щелей - 0,9 - 0,95 глубины промерзания (соответственно для больших и меньших значений промерзания);
б) ширина щелей - 100 - 300 мм;
в) расстояние между зарядной и компенсирующими щелями (их боковыми гранями) - не менее 0,9 их глубины, но не более 1,8 м (по расчетным и опытным данным).
3.21. Заряжание щелей ВВ производится через одну щель рассредоточенными или удлиненными зарядами ВВ.
Удлиненные заряды применяются при патронированном ВВ или когда в соответствии с удельным расходом ВВ высота сечения заряда не менее 2/3 его ширины. Ленточные заряды для данной цели применять не следует. Во всех остальных случаях применяются рассредоточенные заряды ВВ с расположением отдельных частей заряда по длине щели через 0,5 - 0,6 м (по опытным данным).
Предварительно по всей длине зарядной щели прокладывается детонирующий шнур.
3.22. При глубине щелей более 1,5
м может производиться укладка двух удлиненных или рассредоточенных зарядов ВВ через прослойку забоечного материала (штыба) с расстоянием между ними 0,3 - 0,5
м (рис. 1).
Рис. 1. Рассредоточение заряда по высоте щели и по сечению
заряда патронированным и рассыпным ВВ
1 - заряд ВВ; 2 - детонирующий шнур; 3 - забоечный материал
Наилучшие результаты по данным ЦНИИОМТП показало использование нижнего сплошного заряда и верхнего, рассредоточенного по длине, весом 1/3 общего веса заряда в щели (двойное рассредоточение по высоте щели и длине заряда).
3.23. При разработке траншей шириной до 1,3 м используются две щели, одна из которых является зарядной, а другая - компенсирующей. В данном случае для сохранения наружной стенки зарядной щели от разрушения следует применять патронированное ВВ, скрепленное с ДШ (гирлянду), с укладкой заряда в щели у стенки взрываемого массива.
3.24. При разработке траншей шириной более 1,3 м следует применять три и более щелей с заряжанием средних щелей и укладкой ВВ по всей ширине щели. Крайние щели, соответствующие откосам траншей, не должны заряжаться: благодаря этому откосы траншей сохраняются от разрушения в момент взрыва.
3.25. При разработке котлованов необходимо применять короткозамедленное взрывание с использованием четырех ступеней замедления через один интервал по продольно-врубовой схеме.
3.26. Засыпание забоечного материала в зарядные щели производится с помощью бульдозера.
3.27. При глубине разработки мерзлого грунта, превышающей технические возможности землерезных машин (более 2 м), разработка ведется послойно.
3.28. Удельный расход взрывчатых веществ q, гарантирующий заданный размер наибольшего куска мерзлого грунта, определяется по формуле

(3)
где B по опытным данным ЦНИИОМТП равно: для мерзлых песков - 0,006, для суглинков - 0,008, для глин - 0,01;
W0 - глубина заложения заряда в м;
Xmax - размер наибольшего куска в м;

- коэффициент сближения щелей (
a - расстояние между щелями в
м);
f(m) - функция коэффициента сближения щелей
(табл. 4).
Таблица 4
Значения функции коэффициента сближения щелей
m | 0,3 | 0,4 | 0,5 | 0,6 | 0,7 | 0,8 | 0,9 | 1 | 1,1 | 1,2 | 1,3 | 1,4 |
f(m) | 4,1 | 3,4 | 3,2 | 3,1 | 3,2 | 3,4 | 3,6 | 4 | 4,2 | 4,9 | 5,3 | 6,1 |
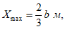
Величина
Xmax определяется шириной ковша экскаватора или другого землеройного оборудования (см.
п. 2.4):

(4)
где b - ширина ковша экскаватора.
Пример.
b = 0,6 м;
при
W0 = 1,3 м и a = 1,6 м, m = 1,23.
3.29. В случае, когда нарезание мерзлого грунта представляет трудности (большая прочность грунта, каменистые включения), для достижения проектного профиля траншеи и уменьшения ручных работ по заряжанию ВВ по сравнению со шпуровым методом можно применять комбинированный способ, т.е. между компенсирующими щелями бурить шпуры или скважины (по опыту Новосибирского треста Строймеханизация N 1).
3.30. Преимущества метода рыхления мерзлого грунта щелевыми зарядами ВВ с использованием компенсирующих щелей перед шпуровым или скважинным методом заключаются в возможности образования траншей с ровными откосами
(рис. 2), в снижении объема ручных работ, улучшении результатов взрыва (степени дробления, уменьшении разлета кусков), в снижении стоимости работ на 30% и повышении производительности труда.
Рис. 2. Вид откосов траншей при разработке разрыхленного
взрывом грунта с использованием компенсирующих щелей
4. СРЕДСТВА БУРЕНИЯ ШПУРОВ И СКВАЖИН И НАРЕЗАНИЯ ЩЕЛЕЙ
4.1. Механизированное бурение шпуров и скважин осуществляется электросверлами ЭР-16, СЭР-19, СЭР-20 и др., станками и машинами шнекового типа, а также термическим способом.
Шнековые станки вращательного бурения скважин (шпуров) просты по своей конструкции, имеют небольшой вес и обслуживаются, как правило, одним человеком.
Наиболее совершенными буровыми станками шнекового типа являются: БТС-60, М-3, СКБ Мосстроя, буровая установка СБУДМ-ЗИВ-150 на базе автомобиля ЗИЛ-157, переоборудованная трестом Южуралспецстрой, С-1035 "С" Красноярского филиала ВНИИСтройдормаша, ШПА-2 системы Гидроспецстроя.
Буровые машины С-1035 "С"
(рис. 3), ШПА-2, СБУДМ-ЗИВ-150 имеют высокую производительность, мобильность, автономное энергопитание, что в условиях отсутствия электроэнергии приобретает большое значение
(табл. 5).
Рис. 3. Буровая машина С-1035 "С"
Таблица 5
Технические характеристики станков вращательного шнекового,
шарошечного и ударно-вращательного бурения
Элементы характеристики | Единица измерения | БТС-60 | М-3 | СКБ Мосстроя | СБУДМ-ЗИВ-150 | ШПА-2 | С-1035 "С" | | |
Диаметр шпура (скважины) | мм | 65 | 80 - 120 | 60 - 120 | 110 | 80 - 100 | 60 - 100 | До 350 | 105 |
Глубина бурения | м | 2 | 2 - 4 | До 4 | 2 - 4 | 2 - 4 | 2,5 | 30 | 20 - 25 |
Число рабочих органов | шт. | 2 | 1 | 3 | 2 | 2 | 2 | 1 | 1 |
Привод вращения | - | - | Гидравлический | Электрический | Механический | Электрический | Механический | Механический | Электрический |
Мощность электродвигателя | кВт | 10 | - | 16,5 | - | 10 | - | - | 2,8 |
Скорость вращения бурового става | об/мин | 300 - 450 | 540 | 540 - 270 | - | - | 250 - 500 | - | 41 |
Способ перемещения | - | Самоходный на базе трактора ДТ-54А | Самоходный на базе трактора | Самоходный на базе ЗИЛ-157 | Самоходный на базе трактора ДТ-75 | Самоходный на базе трактора ДТ-54А | Гусеничный самоходный |
Габариты: | | | | | | | | | |
высота | мм | 2750 | 3000 | 3250 | - | - | 3010 | 3600 | - |
длина | " | 4530 с трактором | - | 7050 с трактором | - | - | 5690 | 7420 | - |
ширина | " | 1926 | 870 | 2580 | - | - | По трактору | 2800 | - |
Производительность бурения | м/смену | 200 - 300 | 300 | 200 - 250 | 500 - 600 | 400 - 500 | 500 - 600 | До 300 | - |
--------------------------------
<*> Буровой станок шарошечного бурения скальных и моренных грунтов.
<**> Буровой станок ударно-вращательного бурения скальных и моренных грунтов.
4.2. Шнеки изготовляют из специальных металлических труб, на которые навивается, а затем приваривается полосовая сталь. Для увеличения срока службы шнека в 2 - 3 раза края первых трех-четырех витков шнековой полосы в отдельных местах наплавляются слоем твердого сплава. К буровой штанге на конце крепится резец. Резцы армируются пластинками из высокопрочных сплавов.
4.3. При щелевом методе рыхления мерзлых грунтов для нарезания щелей применяются дискофрезерные и баровые машины различных марок, а также роторный экскаватор ЭТР-132А
(табл. 6).
Таблица 6
Технические характеристики машин для нарезания щелей
Машина | Производительность в пог. м/ч | Глубина щели в м | Ширина щели в м | Скорость движения режущей цепи в м/сек | Базовая машина | Расстояние между щелями в мм |
Дискофрезерная ДФМ-ГПИ-50 | 50 - 80 | 1,2 | 0,16 | - | Трактор С-100 | - |
Двухбаровая Главзапсибстроя | 25 - 60 | 2 | 0,14 | 2,6 и 1,3 | То же | 500 |
Двухбаровая Главволговятскстроя | 21 | 2 | 0,3 | - | " | - |
Баровая Главзапсибстроя | 15 | 2 | 0,14 | 1,6 и 2,5 | " | - |
То же | 15 | 1,6 | 0,14 | 3,2 | Экскаватор ЭТУ-353 | - |
Баровая БЭТН-124 | 14 | 1,2 | 0,14 | 1,4 и 2,33 | Экскаватор ЭТН-124 | - |
Баровая | 16 | 1,6 | 0,14 | 1,75 и 2,85 | Экскаватор ЭТН-171 | - |
Роторная ЭТР-132АС | 50 - 100 | 1,3 | 0,22 - 0,26 | - | Трактор Т-180 | - |
5. ВЗРЫВЧАТЫЕ ВЕЩЕСТВА, СРЕДСТВА И СПОСОБЫ ВЗРЫВАНИЯ
5.1. При взрывании мерзлых грунтов рекомендуется применять водоустойчивые ВВ: аммонит 6ЖВ, детонит 10-А и др.
5.2. Рекомендуется применять электрический способ взрывания.
5.3. Средствами взрывания служат капсюли-детонаторы, электродетонаторы (мгновенного, замедленного и короткозамедленного действия), детонирующий шнур и пиротехническое реле.
5.4. Рекомендуется применять способ короткозамедленного взрывания (
рис. 4 и
5), который по сравнению с мгновенным взрыванием имеет следующие преимущества:
увеличение выхода разрыхленного грунта с погонного метра бурения;
снижение сейсмического действия взрыва на здания и сооружения;
возможность регулирования направления и формы развала мерзлых грунтов;
уменьшение радиуса разлета кусков мерзлого грунта.
Рис. 4. Схема короткозамедленного взрывания
при однорядном расположении зарядов
а - по скважинам; б - через скважину (гребенка);
в - волновая; г - врубовая. Цифрами обозначена очередность
взрывания зарядов
Рис. 5. Схема многорядного короткозамедленного взрывания
а - с одним продольным врубовым рядом; б - с двумя
продольными врубовыми рядами; в - с поперечным врубом;
г - с клиновым врубом; д - с трапецеидальным врубом;
е, ж - схемы взрывания для траншей. Цифрами обозначена
очередность взрывания зарядов
5.5. Величина оптимального замедления при короткозамедленном взрывании определяется по формуле
t = AW м/сек, (5)
где A - коэффициент, зависящий от крепости пород; для мерзлых грунтов A = 10 - 15 (меньшее значение соответствует трудновзрываемым грунтам);
W - линия наименьшего сопротивления, равная мощности мерзлого грунта, в м.
Практически при рыхлении мерзлых грунтов интервал замедления колеблется в пределах 15 - 25 м/сек.
5.6. Короткозамедленное взрывание (КЗВ) производится при помощи электродетонаторов короткозамедленного действия (ЭДКЗ) необходимой ступени замедления и пиротехнических реле КЗДШ-58 и КЗДШ-62-2. Взрывание с помощью ЭДКЗ можно осуществлять путем непосредственного введения его в заряд ВВ или путем подключения его к детонирующему шнуру у устья каждой скважины или группы скважин.
5.7. Пиротехническое реле применяется в случае, когда количество ступеней замедления ЭДКЗ недостаточно для монтажа сети или взрываемая зона опасна из-за блуждающих токов. Взрывание с применением детонирующего шнура (ДШ) осуществляется путем включения реле в разрыв сети, присоединением концов ДШ к реле и ДШ к сети внакрутку или внахлестку; при этом следует строго следить за совпадением направления детонации в сети и стрелки на реле.
6. ОСОБЕННОСТИ РЫХЛЕНИЯ МОРЕННЫХ ГРУНТОВ
6.1. Моренные грунты имеют большую неоднородность по составу и содержат в основном пылеватые частицы, песок и скальные включения (валуны). Содержание валунов колеблется в широких пределах и достигает иногда 70%.
6.2. Бурение скважин в моренных грунтах осуществляется станками шарошечного бурения БТС-2 и станками ударно-вращательного бурения с погружными пневмоударниками.
6.3. При глубине рыхления более 2 м для улучшения дробления моренного грунта необходимо применять рассредоточенные заряды ВВ.
При использовании сосредоточенного заряда, расположенного в донной части скважины, валуны у поверхности грунта не дробятся, чем вызывается дополнительный объем дробления валунов (негабаритов).
Для обеспечения качественного рыхления моренных грунтов расчет рассредоточенных зарядов необходимо корректировать в соответствии с местными условиями путем пробного взрывания.
6.4. При необходимости устройства откосов котлованов и траншей целесообразно применять контурное взрывание (метод предварительного щелеобразования) в наклонных скважинах под углом заложения откоса (но не более 1:0,67, т.е. 55°). Бурение наклонных скважин для более пологих откосов в моренных грунтах не производится.
При контурном взрывании наклонные скважины бурятся с интервалом 0,8 - 1 м.
Для рыхления моренных грунтов необходимо применять короткозамедленное взрывание, так как разлет кусков моренного грунта как в мерзлом, так и в талом состоянии больше, чем других видов грунтов.
7.1. При производстве взрывных работ вблизи зданий и сооружений применяются различного рода защитные устройства, предохраняющие людей и механизмы, находящихся в опасной зоне, от разлета кусков мерзлого грунта и действия ударной воздушной волны.
7.2. Рекомендуется применять следующие виды укрытий:
а) укрытия из металлических листов толщиной 4 - 30
мм, из которых изготовляются щиты размерами 1,5 x 2,5; 2,2 x 3; 2 x 4,5
м (рис. 6).
Рис. 6. Укрытия из металлических листов
Расчет укрытий указанного типа производят по формуле Союзвзрывпрома

(6)
где Pу - вес укрытия на 1 м2 укрываемой площади в кг/м2;
W - толщина взрываемого слоя в м;

- объемный вес грунта в
кг/
м3;
Ng - коэффициент относительного веса заряда, равный 0,33 - 0,35.

(7)
где Q - расчетный вес заряда;
Kн.вW3 - вес заряда нормального выброса;
б) укрытия из якорных цепей, выполненные в виде матов, скрепленных между собой железными кольцами
(рис. 7). Наиболее удобные размеры цепей указаны в
табл. 7.
Рис. 7. Укрытия из якорных цепей
Таблица 7
Рациональные размеры цепей для укрытий
Диаметр цепного железа в мм | Длина звена в мм | Ширина звена в мм | Вес 1 пог. м цепи в кг | Вес 1 м2 цепи в кг |
26 | 143 | 91 | 14,9 | 164 |
28 | 154 | 98 | 17,2 | 176 |
30 | 164 | 105 | 19,8 | 188 |
34 | 187 | 119 | 21,8 | 206 |
Расчет веса цепных укрытий на 1 м2 площадки для зарядов рыхления производится по формуле Союзвзрывпрома

(8)
в) металлические укрытия, выполненные в виде "домика" с двускатной крышей
(рис. 8).
Рис. 8. Укрытия типа "домик"
Каркас сооружения изготовляется из швеллера N 12, стены и крыша - из уголка 56 x 56 x 5. Общий вес укрытия 5 т.
При сетке шпуров 1,3 x 1,3 м внутренняя площадь укрытия позволяет разместить под ним шесть шпуров с весом заряда до 2 кг.
Металлические укрытия широко применяются в управлении механизации N 14 Москвы, в тресте Строймеханизация N 2 Омска и в Челябинском тресте Южуралспецстрой. В этих же организациях можно получить чертежи на изготовление указанных укрытий;
г) передвижной локализатор ЛВ-64-02
(рис. 9). Локализатор, предназначенный для ограничения разлета кусков породы при рыхлении мерзлых и скальных грунтов взрывом вблизи жилых домов, промышленных зданий и инженерных сооружений, представляет собой тележку на восьми колесах. Во внутренней раме тележки с помощью тросов и гидравлических цилиндров перемещается металлическая плита с дополнительным грузом. Локализатор работает в сцепе с трактором С-100 или ДТ-75.
Рис. 9. Локализатор взрыва
Техническая характеристика локализатора ЛВ-64-02 |
База | Сварная тележка с плоским днищем |
Габаритные размеры в мм: | |
длина | 6075 |
ширина | 3190 |
высота | 670 |
Вес в кг: | |
без балласта | 2200 |
с балластом | 6000 - 9000 |
Локализатор изготовлен Горьковским специализированным трестом Строймеханизация N 1 Главволговятскстроя Минстроя СССР.
Первые три группы укрытий ограничивают разлет кусков грунта, сокращая его до 20 м, последняя же полностью его исключает.
8. БЕЗОПАСНЫЕ УСЛОВИЯ РЫХЛЕНИЯ МЕРЗЛЫХ ГРУНТОВ ВЗРЫВОМ
8.1. Основной мерой, снижающей степень опасности поражения людей, повреждения механизмов и сейсмического влияния на здания и сооружения при рыхлении мерзлого грунта взрывным способом, является применение короткозамедленного взрывания рассредоточенными зарядами ВВ, а также щелевого метода. Щели, являющиеся экранирующим средством, нарезают на всю глубину промерзания (до 2 м). Сейсмический эффект взрыва в ближайшей зоне при этом снижается в 2 - 2,5 раза.
8.2. Радиус сейсмически опасной зоны для зданий и сооружений при экранировании щелями можно определить по формуле В.С. Силина

(9)
где Kг - коэффициент, учитывающий грунтовые условия (для суглинков и супесей Kг = 8 - 9);
Kз - коэффициент, учитывающий глубину заложения заряда при расположении заряда на границе талого и мерзлого грунтов, Kз = 0,75;
Kэ - коэффициент, учитывающий влияние экрана, Kэ = 0,5;
Q - общий вес зарядов в кг;
n - количество ступеней замедления во взрываемой группе зарядов.
8.3. Безопасное для людей и механизмов расстояние по разлету кусков мерзлого грунта и действию воздушной ударной волны указывается в техническом расчете и паспорте на производство взрывных работ. Такой паспорт составляется на каждый строительный объект с учетом его особенностей и "Единых правил безопасности при взрывных работах".
ПРИМЕР РАСЧЕТА ШПУРОВЫХ ЗАРЯДОВ
Исходные данные
Грунты на строительном объекте представлены мерзлыми суглинками. Глубина промерзания h = 1 м. Бурение шпуров производится машиной БТС-60 на глубину промерзания 0,95 м. Диаметр шпура 60 мм.
Расчет зарядов, их расположение
Находим значение
q - удельного расхода ВВ для суглинков (грунты группы II) по
табл. 3:
q = 0,6
кг/
м3.
Расчетную линию сопротивления принимаем равной W = 0,95 м.
Подставляем найденные значения в
формулу (2):
Q = 0,6·0,95
3 = 0,6
кг.
Длина забойки должна быть не менее
1/
3l шпура, или 0,3
м; тогда под заряжаемую часть остается 0,7
м. Проверяем, разместится ли расчетный вес ВВ в заряжаемой части. По
табл. 2 для шпуров диаметром
d = 60
мм вместимость 1
пог. м составляет 2,56
кг, т.е. расчетный заряд ВВ вполне разместится в шпуре.
Шпуры расположим по квадратной сетке. Расстояние между шпурами принимаем равным W = 1 м.
Безопасные расстояния при взрывных работах определяем в соответствии с "Едиными правилами безопасности при взрывных работах".
ПРИМЕР РАСЧЕТА СКВАЖИННЫХ ЗАРЯДОВ
Исходные данные
Грунты на строительном объекте представлены мерзлыми глинами. Глубина промерзания h = 2 м.
Бурение скважин производится буровой машиной С-1035 "С" на 0,9 глубины промерзания. Диаметр скважины 90 мм.
Расчет зарядов, их расположение
Находим значение
q - удельного расхода ВВ по
табл. 3:
q = 0,8
кг/
м3.
Расчетную линию сопротивления принимаем равной
W = 1,8
м. Подставляем найденные значения в
формулу (2):
Q = 0,8·1,83 = 0,8·6 = 4,8 кг.
Длина забойки должна быть не менее 1/3 глубины скважины или 0,6 м. Заряжаемая часть скважины равна 1,4 м.
Проверяем по
табл. 2 возможность размещения в скважине расчетного веса ВВ. На 1
пог. м скважины приходится 5,7
кг ВВ; на 1,4
м скважины - 5,7·1,4 = 7,9
кг. Значит, принятый расчетный вес 4,8
кг вполне разместится в скважине.
Скважины располагаем по квадратной сетке. Расстояние между скважинами и между рядами скважин принимаем равным 0,8 - 1,4W. Для глин III группы расстояние между скважинами равно 0,9W, или 0,9·1,8 = 1,6 м; расстояние между рядами скважин 1,5 м.
Безопасные расстояния при взрывных работах определяем в соответствии с "Едиными правилами безопасности при взрывных работах".
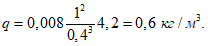
ПРИМЕР РАСЧЕТА ЩЕЛЕВЫХ ЗАРЯДОВ
Исходные данные
Грунты на строительной площадке представлены мерзлыми суглинками II группы. Глубина промерзания h = 1,1 м. Нарезка щелей производится дискофрезерной машиной Саратовгэсстроя. Глубина щели W0 = 1 м; расстояние между щелями a = 1,1 м.
Расчет зарядов
Удельный расход ВВ, гарантирующий заданный размер наибольшего куска мерзлого грунта, определяем по
формуле (3).
Для суглинков коэффициент B = 0,008.
Находим значение m:
Величина максимального куска равна 2/3 ширины ковша экскаватора. При ширине ковша 0,6 м величина максимального куска
Удельный расход ВВ:
Безопасные расстояния при взрывных работах определяем в соответствии с "Едиными правилами безопасности при взрывных работах".