Главная // Актуальные документы // РуководствоСПРАВКА
Источник публикации
М.: Стройиздат, 1984
Примечание к документу
Название документа
"Руководство по интерпретации кривых ВЭЗ МДС"
"Руководство по интерпретации кривых ВЭЗ МДС"
ПО ИНТЕРПРЕТАЦИИ КРИВЫХ ВЭЗ МДС
Рекомендовано к изданию решением секции геофизики и инженерной сейсмологии Научно-технического совета ПНИИИС Госстроя СССР.
Изложены новые приемы интерпретации кривых вертикального электрического зондирования методом двух составляющих (ВЭЗ МДС), обеспечивающие определение электрических свойств горных пород и элементов залеганий их контактов (глубины, простирания, угла падения) с удовлетворительной для практических целей точностью. Приведены примеры.
Для инженерно-технических работников изыскательских организаций.
Разработано ПНИИИС Госстроя СССР (канд. геол.-минерал. наук А.Н. Боголюбов, инженеры Н.П. Боголюбова, Е.Я. Мозганова).
Большой диапазон изменения удельного электрического сопротивления (УЭС) горных пород в зависимости от их состава, строения и состояния создает самые благоприятные предпосылки для применения электроразведки вообще и вертикальных электрических зондирований (ВЭЗ), в частности для решения разнообразных задач, возникающих в геологической практике. Однако успехи электроразведки не соответствуют ее возможностям и достигнуты главным образом в районах с относительно простым геологическим строением и несложными гидрогеологическими и мерзлотными условиями. В более сложных случаях эффективность электроразведки резко снижается, причем причиной неудач, как правило, является присутствие в массиве пород геоэлектрических границ с различными элементами залегания. Наклонные контакты горных пород вызывают изменения (аномалии) на кривых

ВЭЗ, нередко неотличимые от изменений, обусловленных влиянием горизонтальных границ. Применение в таких случаях приемов интерпретации, рассчитанных на простое слоистое строение среды, приводит к резкому снижению точности и надежности получаемых результатов.
Отсюда вытекает реальная потребность в таком способе электроразведки, который позволил бы при проведении ВЭЗ обнаруживать в массиве неоднородности с наклонными границами раздела и определять элементы залегания последних. Обобщая имеющиеся по рассматриваемой проблеме материалы, можно установить, что предложено пять способов измерения параметров электрического поля постоянного тока, необходимых и достаточных для обнаружения в разрезе негоризонтальных границ и оценки их элементов залегания. К ним принадлежат круговые измерения кажущегося сопротивления различными установками; измерения в модификации одной и двух составляющих, наблюдения квадратными, квадруполь-квадрупольными и векторными установками.
Круговые измерения кажущегося сопротивления наиболее широко известны, но характеризуются низкой производительностью и высокой себестоимостью, которые ограничивают их применение. Все остальные способы по своей сути являются упрощенными или усложненными вариантами измерений в модификации двух составляющих (в дальнейшем - МДС), поэтому в настоящем Руководстве сосредоточено внимание на ВЭЗ МДС как на наиболее общем и вместе с тем достаточно простом способе исследования.
1. ТЕОРЕТИЧЕСКИЕ ОСНОВЫ ВЭЗ МДС
Поле точечного источника постоянного тока на поверхности
сред простейшего строения
1.1. Величины потенциала поля точечного источника тока на поверхности однородного изотропного полупространства определяются по формуле

(1)
где

- УЭС среды;
r - расстояние от источника тока до точки, в которой измеряется потенциал, или действующее расстояние.
1.2. Потенциал на поверхности однородного анизотропного полупространства равен:

(2)
где

- среднее удельное квадратическое сопротивление анизотропной среды;

- коэффициент анизотропии;

- сопротивление среды в направлении, перпендикулярном слоистости среды;

- сопротивление среды в направлении слоистости;

- угол падения слоистости относительно поверхности измерений;

- угол между направлением
r и простиранием слоистости.
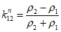
1.3. Потенциал над двухслойной средой, граница раздела в которой параллельна поверхности измерений, определяется по формуле

(3)
где

- коэффициент отражения;

- УЭС первой от поверхности среды;

- УЭС второй от поверхности среды;
h1 - мощность первой от поверхности среды.
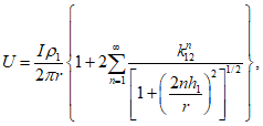
1.4. Формула для потенциала на поверхности трехслойной параллельно-слоистой среды может быть представлена в виде

(4)
где qn - коэффициенты разложения в ряд, выражающиеся через коэффициенты отражения k12 и k23:
1.5. Выражение для потенциала на поверхности среды, которая содержит вертикальный выходящий на поверхность контакт двух изотропных сред, может быть записано следующим образом в полярной системе координат

с центром в источнике тока и осью
R, направленной вдоль контакта:
а) при электроде
A и точке
M, находящихся над средой

:

(5)
б) при электроде
A, находящемся в среде

, а электроде
M - в среде

:

(6)
в) при электродах
A и
M, располагающихся в среде с

:

(7)
Здесь dA - кратчайшее расстояние от электрода A до плоскости контакта.
Особенности деформаций поля точечного источника тока
и способы их изучения
1.6. Векторные установки. Присутствие в массиве негоризонтальных границ раздела сред существенно изменяет форму поля постоянного тока на дневной поверхности по сравнению с нормальным полем над однородной изотропной средой. Наличие деформаций поля на дневной поверхности, их характер и степень можно определить, если в процессе измерений положение питающих электродов и центра приемных линий закрепить на местности и менять лишь угол

между приемной линией и осью установки. Такие установки названы "векторными" (
рис. 1,
2).
Рис. 1. Способы измерений на земной поверхности
и схемы измерительных установок
1 - круговые измерения методом сопротивления;
2 - установка Л.М. Альпина; 3 - квадратная установка;
4 - квадруполь-квадрупольная установка; 5 - установки МДС
Боголюбова А.Н.: а - симметричная; б - трехэлектродная;
в - дипольная осевая двусторонняя; 6 - векторные установки:
г - симметричная; д - трехэлектродная двусторонняя
Рис. 2. Поле трехэлектродной векторной установки
на поверхности однородной изотропной среды
а - схема трехэлектродной установки с произвольной
ориентировкой приемных линий; б - схема трехэлектродной
установки с произвольной ориентировкой приемной линии;
в - график изменения разности потенциалов

в зависимости от величины угла

1.7. Условимся под осью установки понимать прямую, проходящую через разнополярные питающие электроды. В случае трехэлектродных градиент-установок осью будет являться прямая, соединяющая питающий электрод и центр приемных линий.
1.8. На примере трехэлектродной векторной установки
AMN покажем изменение разности потенциалов

в зависимости от величины угла

при различных положениях оси установки на поверхности однородной изотропной и анизотропной сред. Примем, что к питающему электроду
A присоединен положительный полюс источника питания; азимут между приемной линией и осью установки меняется так, что первый приемный электрод
M находится всегда ближе к электроду
A, чем второй электрод
N. Положительные значения

условимся отсчитывать от оси установки по ходу часовой стрелки.

(8)
Выразив расстояния rAM и rAN через параметры установки, получаем после упрощения

(9)
где r - действующее расстояние установки, равное расстоянию от электрода A до центра приемных линий;
a - полуразнос приемной линии.
Соответственно, коэффициент установки будет равен:

(10)
Анализ формулы для разности потенциалов показывает, что разность потенциалов максимальна при

(приемная линия ориентирована вдоль оси установки) и обращается в нуль при

(см.
рис. 2,
в). Величина

положительна на интервале

. В отличие от этого, коэффициент установки минимален при

и обращается в

при

. Произведение

(11)
положительно и равно величине УЭС однородной среды при произвольной ориентировке приемных линий относительно оси установки. При этом положение последней на поверхности однородного полупространства не имеет значения, поскольку азимутный угол

не входит в формулу для разности потенциала.
1.9. Физическая сторона зависимостей

и

становится понятной, если рассмотреть схему сечения эквипотенциальных поверхностей плоскостью измерений (
рис. 3,
а). Можно видеть, что эквипотенциальные линии представляют собой концентрические окружности с центром в электроде
A. Приемная линия при

пересекает наибольшее число эквипотенциалей и разность потенциалов на ее электродах максимальна. При постепенном отклонении приемной линии от оси установки в ту или иную сторону число пересекаемых эквипотенциалей убывает и величина разности постепенно убывает, обращаясь в нуль при

, при котором приемные электроды попадают на одну эквипотенциальную поверхность.
Рис. 3. Схема сечения эквипотенциальных поверхностей
плоскостью измерений
а - схема поля трехэлектродной установки AMN на поверхности
изотропной среды; б - схема поля точечного источника тока
на поверхности анизотропной среды
1.10. Используя
формулу (2), найдем выражение для разности потенциалов над анизотропным полупространством при произвольном положении оси векторной установки на его поверхности:

(12)
где

- угол между простиранием слоистости и направлением
rAM;

- угол между простиранием слоистости и направлением
rAN (см.
рис. 3,
б).
Значения
rAM,
rAN,

и

могут быть выражены с помощью параметров установки и ориентировки ее элементов относительно слоистости среды:

(13)
Подставив полученные значения в формулу для разности потенциалов, имеем

(14)
1.11. Для горизонтально-слоистых сред, когда

, полученное равенство приходит к виду, характерному для однородного изотропного полупространства:

(15)
со всеми вытекающими отсюда закономерностями изменения разности потенциалов и коэффициента установки в зависимости от угла

.
1.12. В случае наклонно-слоистой среды

формула для разности потенциалов не поддается непосредственному анализу, поэтому основные закономерности изменения разности потенциалов над анизотропной средой рассмотрим на примере теоретических кривых
(рис. 4), вычисленных для постоянных параметров среды и размеров векторной установки.
Рис. 4. Поле трехэлектродной векторной установки
на поверхности однородной анизотропной среды
а - схема эквипотенциальных линий точечного источника тока
при различной ориентировке оси векторной установки
относительно направления слоистости; б - теоретические
кривые изменения разности потенциалов

при различных
углах

между осью векторной установки и простиранием
слоистости анизотропной среды
1.13. Когда установка располагается вдоль или вкрест простирания слоистости (

, 90°, 180° и т.д.), графики

и

аналогичны графикам над изотропной или горизонтально-слоистой средой. В соответствии с так называемым парадоксом анизотропии уровень значений на кривой

, полученной в направлении слоистости (

, 180° и т.д.), выше, чем кривой, полученной при

, 270°, и т.д. Произведение

постоянно при любых

и имеет значение

при

, 180° ... и

при

, 270° ...
1.14. При любых других положениях оси установки относительно простирания слоистости (

, 90°, 180° и т.д.) графики

имеют более сложный вид. Они перестают быть симметричными относительно оси ординат. Разность потенциалов на них достигает максимума при

, обращается в нуль при

и достигает некоторых положительных или отрицательных значений при

. Направление смещения экстремумов относительно оси ординат зависит от величины угла

. При углах

максимальные значения на графике

отмечаются слева от оси ординат при отрицательных значениях угла поворота

, а нулевые и отрицательные значения разности потенциалов имеют место слева от оси ординат при положительных

, когда приемный электрод
M находится справа от оси установки. При

(вторая четверть) максимум на графике

смещается вправо по оси абсцисс, а отрицательные и нулевые значения

формируются при отрицательных

, когда электрод
M размещается слева от оси установки. В третьей и четвертой четвертях характер изменения графиков

тот же, что в первой и второй.
1.15. Произведение

в этом случае непрерывно изменяется по мере поворота приемной линии относительно оси установки, стремясь к

при

и проходя через нуль на интервалах

или
(рис. 5).
Рис. 5. Зависимость величин

и
K от угла поворота
приемной линии относительно оси установки
1.16. Можно заключить, что изменение

обусловлено главным образом характером деформаций поля питающего электрода, а не изменением свойств среды, которые в каждой точке наблюдений постоянны и имеют положительные конечные значения. Полученный результат согласуется с представлениями о том, что кажущееся сопротивление является параметром поля, а не среды. В явной форме эта идея присутствует и в широко известном парадоксе анизотропии.
1.17. Особенности формирования величин и знаков

и, как следствие

, можно объяснить, рассмотрев схему поля точечного источника тока на поверхности однородной анизотропной среды (
рис. 4,
а). Когда

или 90°, эквипотенциальные поверхности симметричны относительно оси установки. Максимальное число их пересекается приемной линией, ориентированной вдоль оси установки

. Электроды приемной линии попадают на одну эквипотенциаль при

и разность потенциалов между ними обращается в нуль. При

или 90° эквипотенциальные поверхности несимметричны относительно оси установки и пересекают ее под углами, отличающимися от прямого. Максимальное количество эквипотенциальных поверхностей пересекается приемной линией при

. Приемные электроды, ориентированные перпендикулярно оси установки

, попадают на различные эквипотенциали, вследствие чего на них отмечается определенная разность потенциалов. Знаки и абсолютные величины этой разности потенциалов зависят как от величины угла

между осью установки и простиранием слоистости, так от размещения приемных электродов относительно питающего (справа или слева).
1.18. На основании анализа поля векторных установок можно сделать два чрезвычайно важных вывода, которые могут быть сформулированы следующим образом:
величины

и

являются параметрами поля и, как следствие, векторными величинами, что предопределяет законы действия с ними при наложении полей от различных источников тока или возмущающих объектов;
для изучения характера деформаций поля точечного источника тока или определения направления полного его вектора в заданной точке земной поверхности необходимо и достаточно измерить две его компоненты (составляющие).
1.19. Для обнаружения деформаций поля питающего электрода достаточно ввести в обычную схему измерительных установок в модификации сопротивления вторую приемную линию
MnNn, располагающуюся перпендикулярно оси установки (см.
рис. 1). Этой линии присвоено наименование "азимутальной". Приемная линия
MtNt, ориентированная вдоль оси установки, названа "осевой".
1.20. Измерение по методу двух составляющих во многом сходно с методикой ЭП и ВЭЗ методом сопротивления. Разница заключается в том, что на каждой точке ЭП или разносе ВЭЗ берутся два замера разности потенциалов (по одному на осевой и азимутальной приемных линиях) и определяется сила тока в питающей цепи. Результаты измерений во всех случаях относятся к центру приемных линий, так как все приемы интерпретации разработаны нами только для этого случая. Дополнительно к этому при измерениях необходимо соблюдать ряд условий, который сводится к следующему:
на каждой точке профиля или каждом разносе ВЭЗ необходимо измерять не только величины осевой и азимутальной разностей потенциалов, но и их знаки;
в процессе всех измерений должен сохраняться принятый порядок взаимного расположения электродов осевой и азимутальной приемной линий. Мы везде будем пользоваться "правой" схемой расстановки закреплений приемных линий, при которой электрод Mn азимутальной приемной линии всегда находится справа от центра приемных линий, если обратиться лицом к электроду Mt осевой приемной линии. При таком положении второй осевой электрод Nt должен находиться сзади от наблюдателя, а второй азимутальный электрод Nn - слева от него;
во время измерений на одной точке ЭП или одном разносе ВЭЗ полярность тока в питающей цепи не должна меняться;
на каждой точке профиля или каждом разносе ВЭЗ электроды осевой приемной линии должны размещаться строго по оси установки, а электроды азимутальной приемной линии - строго на перпендикуляре к ней. Ошибки в расстановке приемных линий не должны выходить за пределы +/- 1 - 2°.
1.21. Все требования обусловлены особенностями распределения поля питающих электродов установок на поверхности сред с наклонными границами раздела. Нарушение правил может сделать невозможной интерпретацию результатов наблюдений по методу двух составляющих или привести к крупным ошибкам в оценке строения и свойств изучаемой среды.
1.22. При соблюдении перечисленных выше условий осевая разность потенциалов положительна, если электрод Mt располагается ближе к источнику тока с положительной полярностью, чем электрод Nt. Объясняется это тем, что электрод Mt попадает, как правило, на эквипотенциальные поверхности с большими положительными значениями по сравнению с теми, на которых находится электрод Nt. Знак азимутальной разности потенциалов переменен и в значительной степени зависит от особенностей строения среды и ориентировки оси установки относительно наклонных геоэлектрических границ.
Принимая это во внимание, условимся считать истинным знаком осевой разности потенциалов знак "плюс", а истинным знаком азимутальной разности потенциалов тот знак, который возникает при правой расстановке азимутальных приемных электродов по отношению к источнику тока с положительной полярностью.
1.23. Это правило справедливо в подавляющем большинстве случаев. Однако, как показывает теория и практика, возможны такие деформации поля, при которых истинным знаком осевой разности потенциалов и соответственно кажущегося сопротивления будет минус. В частности, такое явление имеет место при профилировании или зондировании дипольной или трехэлектродной градиент-установкой над пологонаклонным хорошо проводящим пластом при неглубоком залегании его верхней границы. В таких случаях истинные знаки осевой и азимутальной разности потенциалов могут быть определены лишь при условии, что в процессе всех измерений сохраняются полярность тока в питающей цепи и правая расстановка приемных электродов.
1.24. Легко убедиться в том, что перемена полярности тока в питающей цепи, или, что равноценно, одновременный поворот обеих приемных линий на 180°, вызывает одновременное обращение знаков осевой и азимутальной разностей потенциалов, но не отражается на их соотношении. Так, если оба знака были положительными, то после одной из указанных выше операций они станут отрицательными, но будут по-прежнему одинаковыми. Тем самым создается предпосылка для того, чтобы восстановить истинный знак азимутальной разности потенциалов по знаку осевой независимо от полярности тока в питающей цепи или размещения приемных линий по отношению к питающей. Для ее реализации необходимо в процессе всех измерений постоянно сохранять принятую правую схему размещения осевых и азимутальных приемных электродов относительно друг друга. Истинный знак азимутальной разности потенциалов устанавливается путем одновременного изменения знаков осевой и азимутальной разностей потенциалов, в результате которого осевая разность потенциалов должна стать положительной. Определение истинных знаков по наблюдаемым приведено в
табл. 1.
Знаки, наблюдаемые при произвольной полярности тока | Истинные знаки |
осевая разность потенциалов | азимутальная разность потенциалов | осевая разность потенциалов | азимутальная разность потенциалов |
+ | - | + | - |
+ | + | + | + |
- | - | + | + |
- | + | + | - |
2. ИНТЕРПРЕТАЦИЯ КРИВЫХ
ВЭЗ, ПОЛУЧЕННЫХ
НАД ПАРАЛЛЕЛЬНО-СЛОИСТЫМИ МАССИВАМИ
2.1. Понятие горизонтально-слоистые среды часто вводит в заблуждение геологов при обсуждении результатов интерпретации кривых

ВЭЗ, особенно, если последние получены в условиях пересеченной местности. Удобней использовать понятие о параллельно-слоистой среде, в которой границы залегают параллельно земной поверхности исследуемой территории.
2.2. К наклонно-слоистым относятся среды, в которых границы слоев залегают параллельно друг другу, но наклонены относительно земной поверхности.
2.3. Присутствие в массиве слоев, границы которых залегают параллельно земной поверхности, можно однозначно установить лишь по данным кругового ВЭЗ методом сопротивления, крестового ВЭЗ МДС симметричной установкой или единичного ВЭЗ МДС двусторонней трехэлектродной или дипольной установкой. В первом случае признаком параллельно-слоистой среды будет полное совпадение всех кривых

ВЭЗ, полученных на одной точке в различных направлениях; во втором - полное совпадение крестовых кривых

при нулевых значениях

на всех разносах питающих электродов в обоих направлениях; в третьем - полное совпадение кривых

для правой и левой установок при нулевых значениях

.
2.4. При интерпретации кривых

ВЭЗ МДС удобно пользоваться уже известной классификацией параллельно-слоистых сред, в основу которой положена последовательность чередования в разрезе сверху вниз слоев с различными УЭС. При этом любой многослойный разрез расчленяется на трехслойные элементы, число видов которых равно четырем. Это так называемые трехслойные среды типов
K (

,

),
Q 
,
H (

,

),
A 
.
В некоторых случаях при обозначении трехслойных разрезов необходимо указывать значение УЭС третьего горизонта, что осуществляется путем добавления еще одного индекса к буквенному обозначению типа трехслойного разреза, например
K -

,
H -

,
A -

и т.д.
Однородное анизотропное полупространство
с параллельной слоистостью
2.5. В этом случае

и

, откуда следует, что кривая ВЭЗ над параллельно-слоистым полупространством должна иметь вид прямой, параллельной оси абсцисс при нулевых значениях

на всех разносах питающих электродов. В связи с этим важно установить условия, при которых могут быть определены параметры анизотропной среды по данным электроразведки.
2.6. Известно, что:

(16)
| | ИС МЕГАНОРМ: примечание. Обозначения даны в соответствии с официальным текстом документа. | |
где

- УЭС микропрослоев, хорошо проводящих электрический ток;

- УЭС микрослоев, плохо проводящих электрический ток;

- суммарная мощность хорошо проводящих микропрослоев;

- суммарная мощность плохо проводящих прослоев;

и

.
Систему из двух
уравнений (16) можно изобразить в виде сетчатой номограммы (см. приложение,
рис. 34), которая представляет собой два семейства кривых для различных постоянных значений

и

в прямоугольных координатах

и

. Характер этой зависимости таков, что по любым двум из четырех входящих соотношений можно определить два других.
2.7. Величины

, которая может быть получена в результате интерпретации кривой

ВЭЗ, явно недостаточно для определения геоэлектрических параметров анизотропной среды с помощью номограммы. Задача становится разрешимой, если в результате обработки каротажных диаграмм найти величины

и

. Методика таких определений проста и изложена во всех руководствах по интерпретации данных ВЭЗ. Вычислив отношения

и

, по их величинам можно найти соотношение мощностей проводящих и непроводящих прослоев в анизотропном массиве

и УЭС непроводящих прослоев

. Информация такого рода имеет большое значение при изучении трещиноватых и флишевых (слоистых) толщ с помощью зондирований.
Двухслойное полупространство
2.8. Особенности изменения кривых

ВЭЗ над двухслойным полупространством хорошо исследованы. Теоретические двухслойные кривые

ВЭЗ сгруппированы в одну палетку, на которой всегда можно подобрать кривую, наилучшим образом совпадающую с интерпретируемой. Геоэлектрические параметры реальной среды вычисляются по параметрам найденной теоретической кривой

ВЭЗ. Такой способ интерпретации, получивший наименование метода подбора, наиболее распространен в электроразведочной практике, но не является единственным.
2.9. В целом ряде случаев, о которых речь пойдет в следующих разделах, целесообразней пользоваться методом особых точек. Установлено, что координаты точек на кривых

ВЭЗ зависят от геоэлектрических параметров среды (
h1,

и

) и величины действующего расстояния. На основании существующей зависимости составлена номограмма для определения параметров среды по величинам абсциссы и ординаты особой точки на интерпретируемой кривой

.
В качестве координаты
X взято отношение

. Вместо координаты

по целому ряду причин удобнее использовать соотношение

(17)
характеризующее интенсивность влияния нижележащей среды при заданном
(рис. 6). По своей сути отношение

аналогично интенсивности аномалии на графиках

электропрофилирования.
Рис. 6. Схема определения особых точек на двухслойных
кривых

ВЭЗ
При

, тогда среда с высокими УЭС залегает снизу,

,

,

(18)
Если высокоомная среда залегает сверху

, то

,

,

(19)
2.10. Зависимости (18) и
(19) могут быть изображены в виде сетчатых номограмм (см. приложение,
рис. 11). Каждая из них представляет собой семейство кривых для различных постоянных

, построенное в прямоугольной системе координат с
Параметры, необходимые для составления номограмм такого вида, могут быть получены в результате элементарного пересчета теоретических кривых

ВЭЗ.
2.11. Интерпретация кривых

с помощью номограмм производится следующим образом. Определив тем или иным способом величины
h1 и

, произвольно выбирают значение

(
AO или
OB) и находят для него

. Далее вычисляют отношения

;

или

и по соответствующей номограмме определяют

.
2.12. Метод особых точек и рассчитанные для него номограммы не имеют особого значения при интерпретации двухслойных кривых

ВЭЗ, поскольку при определении величин
h1 и

одновременно находится и значение

. В свою очередь метод особых точек становится единственным способом интерпретации двухслойных кривых

, осложненных боковым влиянием проводящих сред. Большую помощь номограммы для двухслойной среды могут оказать при интерпретации многослойных кривых, правая ветвь которых не выходит на асимптоту. В этом случае вместо
h1 и

выступают мощность (
Hэ) и УЭС

эквивалентного слоя, а величины

выбираются при максимальном разносе
rос. Подробней этот вопрос рассматривается в следующем разделе.
2.13. Традиционным способом интерпретации трехслойных кривых

ВЭЗ является метод подбора, который дает хорошие результаты, если известен один из параметров промежуточного горизонта. Покажем возможности метода особых точек в этом отношении.
В формулу для кажущегося сопротивления над трехслойной средой входят пять независимых переменных

,

,

,

и

, из которых первые две могут быть определены по интерпретируемой кривой без особых затруднений. В результате получаем систему из двух уравнений с неизвестными

,

и

:

(20)
Система уравнений такого вида может быть изображена с помощью сдвоенных сетчатых номограмм, если одной из неизвестных переменных придать постоянные дискретные значения.
2.14. Величина

неудобна для номографирования
системы (20) из-за плохого разрешения номограмм при малых

и

. Поэтому на аналогии с двухслойной средой полезно использовать интенсивность аномалии на кривой

.
2.15. В случае массивов типов
K (

,

) и
A
система (20) приобретает вид:

(21)
2.16. В массивах типов
H (

,

) и
Q

,

и
система (20) может быть переписана следующим образом:

(22)
2.17. Для того чтобы ограничить число номограмм без ущерба для точности определения по ним параметров промежуточных горизонтов, необходимо придать дискретные значения отношению

, которое может быть найдено по правой асимптоте интерпретируемой кривой.
Далее необходимо установить единые правила выбора значений

и
rос на интерпретируемых кривых

ВЭЗ. Решение этой задачи в значительной степени условно и зависит от строения и свойств трехслойных массивов и характера изменения кривых

ВЭЗ над ними.
2.18. Когда на кривых

ВЭЗ присутствуют максимум или минимум (кривые типа
K или
H), особую точку следует приурочить именно к ним и по ней определить
rос и

(
рис. 7, тип
K и
H).
Рис. 7. Схема определения особых точек
на трехслойных кривых

ВЭЗ явного и неявного вида
2.19. В случае неявных кривых

ВЭЗ, когда экстремум на них вырождается при определенных значениях

и

, особая точка находится по отрыву интерпретируемой кривой

ВЭЗ от правой ее горизонтальной асимптоты (см.
рис. 7, неявные типы
K и
H).
2.20. Устойчивы критерии выбора особой точки на кривых

ВЭЗ, полученных над разрезами типа
A с бесконечно большим УЭС третьего горизонта. Значения
rос и

следует брать в точке отрыва левой части интерпретируемой кривой от правой ее асимптоты, располагающейся под 45° к оси абсцисс (см.
рис. 7, тип
A при

). Столь четкие критерии определения особой точки отсутствуют при любых других значениях

. С целью сохранения единообразия правил нахождения особых точек на кривых

ВЭЗ над разрезами типа
A условимся брать их в точке отрыва левой части интерпретируемой кривой от двухслойной теоретической наилучшим образом, т.е. наибольшим числом точек, совпавшей с правой ветвью и асимптотой интерпретируемой кривой (см.
рис. 7, тип
A,

).
2.21. С аналогичными осложнениями приходится иметь дело при определении особых точек на кривых

ВЭЗ, относящихся к разрезам типа
Q. Здесь с целью сохранения единства правил нахождения особых точек условимся брать особую точку в месте отрыва левой части интерпретируемой кривой от двухслойной теоретической кривой, наилучшим образом совпавшей с правой ветвью и асимптотой интерпретируемой кривой (см.
рис. 7, тип
Q). Необходимо заметить, что некоторая неопределенность выбора особых точек на кривых

в значительной степени компенсируется характером зависимости отношений

;

или

от

и

, который обеспечивает получение устойчивых однозначных решений в сравнительно узком диапазоне изменения

и

при изменении

и
rос в довольно широких пределах.
2.22. В основу номограмм для трехслойных параллельно-слоистых сред положены данные, полученные в результате соответствующей обработки и пересчета известных теоретических кривых. Сдвоенные сетчатые номограммы (см. приложение,
рис. 12 -
17;
20 -
25), объединяющие два семейства кривых вида
(21) или
(22), построены в двух системах координат с общей осью

и разными осями

и

для различных постоянных значений

и

. Каждая из номограмм снабжена типичной кривой

ВЭЗ с указанным на ней положением особой точки.
Номограммы такого вида обеспечивают однозначное определение неизвестных величин

и

по известным

и

. Для этого определяют сначала величины
h1 и

с помощью двухслойных, а если необходимо, то и трехслойных теоретических кривых

ВЭЗ.
2.23. По соответствующим правилам выбирают особую точку на интерпретируемой кривой, находят значения
rос и

и вычисляют отношения

и

или

. Взяв номограмму, соответствующую типу разреза и значению УЭС третьего горизонта, накладывают на нее прозрачный транспарант (кальку), на котором проводят оси координат номограммы. На осях ординат откладывают значения

и

в масштабе номограммы и фиксируют их точками. Поиски решения состоят в том, что транспарант перемещают вдоль оси абсцисс, сохраняя параллельность осей координат на транспаранте и номограмме. Этот процесс продолжается до тех пор, пока точки на осях ординат транспаранта не попадут на номограмме на кривые, имеющие одинаковые индексы

. В этом положении центр осей координат транспаранта укажет на оси абсцисс номограммы величину

, а индекс кривых - значение

.
2.24. В силу эквивалентности разрезов
H и
K по
S и
T возможна некоторая неопределенность решения из-за совпадения одной пары значений

и

с несколькими парами кривых для различных

. Поэтому, зафиксировав первое совпадение точек транспаранта с кривыми, имеющими одинаковый индекс на номограмме, необходимо продолжить перемещение транспаранта с тем, чтобы либо убедиться в единственности полученного решения, либо определить пределы неопределенности решения, устанавливая тем самым пределы действия принципа эквивалентности разрезов
K и
H.
2.25. Специфика аномалий на кривых

ВЭЗ над разрезами
K при

и разрезами
H при

такова, что одна пара значений

и

может соответствовать двум парам решения обратной задачи. Одно из решений имеет место при

, когда на кривых

ВЭЗ отсутствует экстремум; второе решение существует при

и соответствует кривым

ВЭЗ с отчетливо выраженным экстремумом. Учитывая это, выбор правильного решения из двух возможных должен производиться на основе анализа формы и амплитуды аномалии на интерпретируемой кривой.
2.26. УЭС третьего, опорного горизонта может быть определено по правой асимптоте интерпретируемой кривой. Если таковая отсутствует, то величина

может быть найдена способом, в основу которого положена возможность перевода трехслойного разреза в двухслойный путем замены первых двух сверху слоев одним эквивалентным с мощностью
Hэ и с сопротивлением

. Значения
Hэ и

определяют по вспомогательным номограммам
LCK,
LCQ,
LCH и
LCA, которые хорошо известны и представляют собой два семейства кривых для дискретных значений

и

, построенных в системе координат (приложение,
рис. 18,
26)

и

. Координаты точки пересечения двух кривых с заданными

и

равны:

и

, откуда легко вычислить
Hэ =
h1Mx и

. Определив величины
Hэ и

по установленным ранее значениям

и

и сведя таким образом трехслойный разрез к двухслойному, мы можем найти УЭС опорного горизонта по координатам особой точки правой ветви интерпретируемой кривой.
2.27. Для повышения точности определения величин
Mx =
My в разрезах типа
K при малых

и больших

составлена дополнительная номограмма (см. приложение,
рис. 19). Она представляет собой геометрическое место точек
Mx =
My в прямоугольной системе координат с осями

и

. Номограммой пользуются следующим образом. По известным величинам

и

находят точку пересечения на номограмме и по индексу наклонной прямой, с которой совпадает эта точка, определяют величину
Mx =
My. Допускается интерполяция, если точка попадает между прямыми.
2.28. Интерпретируя кривые

ВЭЗ с помощью номограмм для определения

и

в трехслойных разрезах (номограмма

),

в двухслойных разрезах (номограмма

) и вспомогательных номограмм для нахождения
Mx и
My (номограмма
MxMy), мы последовательно определяем все геоэлектрические параметры трехслойного разреза, указывая пределы действия принципа эквивалентности, если таковая имеет место. При этом не возникает никакой необходимости в привлечении сторонней информации о величинах мощности или УЭС промежуточных горизонтов. Описанная выше последовательность интерпретации трехслойных кривых ВЭЗ может быть схематически изображена так:
Примеры интерпретации практических трехслойных кривых

симметричных ВЭЗ методом особых точек.
2.29. Пример 1. Интерпретируемая кривая

(см.
рис. 8) получена на участке современного промерзания рыхлых пород в одном из районов Западной Сибири. Промерзающие породы - пески, глубина промерзания - 16 м. По внешнему облику кривая

может быть отнесена к типу
K, в котором УЭС первого и третьего горизонтов соизмеримы. Особые точки
I и
II находятся в районе максимума и на последнем разносе питающих электродов. Интерпретация ведется в установленной последовательности:
Рис. 8. Пример интерпретации кривой типа

методом особых точек
1 - торф;
2 - песок;
3 - граница мерзлоты;
4 - кривая

ВЭЗ и особые точки на ней; 5 - диаграмма УЭС пород по данным
количественной интерпретации кривой

ВЭЗ
Условимся в дальнейшем размерность
h и

не проставлять в целях сокращения записи процесса и результатов интерпретации.
Выполнив соответствующие вычисления, получим следующие геоэлектрические параметры разреза:
Легко убедиться в том, что результаты интерпретации отличаются от истинных значений мощностей слоев не более чем на +/- 15%.
2.30. Если эту же кривую ошибочно проинтерпретировать с помощью номограммы для типа K - 0, то будет получено:
и соответственно:
что значительно отличается от реального геоэлектрического разреза. Причиной ошибок является несоответствие между параметрами примененной номограммы и параметрами разреза, что выражается в значительном смещении координат эквивалентного слоя вправо по оси абсцисс.
2.31. Пример 2. Кривая

ВЭЗ получена над песчаной толщей, содержащей глинистый прослой. По внешнему облику она может быть отнесена к трехслойной типа
H с

(см.
рис. 9,
а). Интерпретация ее с помощью номограммы для

дает следующие результаты:
и, соответственно:
что незначительно расходится с разрезом скважины.
Рис. 9. Примеры интерпретации кривых

ВЭЗ
а - тип

;
б - тип

;
1 - песок;
2 - суглинок;
3 - глина;
4 - кривая

ВЭЗ и особые точки на ней;
5 - диаграмма УЭС пород по данным количественной
интерпретации кривой

ВЭЗ
2.32. Применение номограммы для

позволяет получить несколько иные данные:
которые значительно отличаются от реального разреза. Признаком ошибочности этого решения является большая (более +100%) разница между значениями УЭС третьего слоя, полученными в результате интерпретации, и значениями, указанными в индексе использованной номограммы.
2.33. При неправильном выборе

можно попытаться проинтерпретировать кривую с помощью номограммы для

. В таком случае будем иметь:
На ошибочность этого решения указывают немыслимые значения УЭС опорного горизонта, которые возникают из-за "ухода" координат эквивалентного слоя вправо от экстремума на интерпретируемой кривой (см.
рис. 9,
а) подобно тому, что имело место над разрезами типа
K.
Таким образом, истинным решением является первое из трех, признаком которого является хорошее соответствие между значениями УЭС третьего горизонта, указанными на номограмме и полученными в результате интерпретации.
2.34. Пример 3. Относится к песчано-глинистой толще, нижняя часть которой засолена, что обнаруживается по появлению кристаллов соли в керне (см.
рис. 9,
б). Внешне кривая

соответствует типу
Q при конечных значениях УЭС опорного горизонта и может быть проинтерпретирована с помощью номограммы для

. В таком случае имеем:
что хорошо (с точностью до +/- 15%) согласуется с данными бурения.
2.35. Интерпретация той же кривой

по номограмме для

дает близкие результаты:
Заметим, что ошибочное использование номограммы для Q - 0 также не вносит больших искажений.
2.36. Пример 4. Приводится кривая

симметричного ВЭЗ, типичная для трехслойных разрезов типа
K - 0. Зондирование выполнено вблизи скважины, по которой достаточно точно установлены верхняя и нижняя границы высокоомного горизонта
(рис. 10). Интерпретация этой кривой, произведенная по палетке
K для

, позволяет получить следующий геоэлектрический разрез:
который в общем хорошо согласуется с данными бурения и каротажа.
Рис. 10. Пример интерпретации кривой

ВЭЗ
типа K - 0 методом особых точек
Выполнив интерпретацию той же кривой

методом особых точек, находим устойчивое единственное решение на номограммах для
K - 0 и

:
и соответственно:
которое значительно отличается от реального строения геоэлектрического разреза и результатов интерпретации методом подбора теоретических кривых. Различия между ними далеко выходят за пределы возможных случайных погрешностей интерпретации и заставляют думать о наличии в данном случае систематической ошибки, наиболее вероятной причиной которой может быть анизотропия промежуточного пласта. На реальность такого предположения указывает сильная изрезанность каротажной диаграммы на интервале, относящемся к высокоомному слою.
2.37. Обработав каротажную диаграмму по рекомендуемой методике, убеждаемся в том, что пласт с высоким УЭС анизотропен
(табл. 2).
Номер пропластка |  , м |  , Ом·м |  , Мо |  , Мо |  , м | | |
1 | 6 | 500 | 0,012 | - | - | - | - |
2 | 18 | 260 | 0,069 | - | - | - | - |
3 | 24 | 600 | 0,040 | - | - | - | - |
4 | 6 | 50 | 0,120 | - | - | - | - |
5 | 6 | 500 | 0,012 | - | - | - | - |
6 | 6 | 55 | 0,120 | - | - | - | - |
7 | 6 | 30 | 0,200 | - | - | - | - |
8 | 3 | 90 | 0,033 | 2,440 | 360 | 148 | 2,64 |
9 | 3 | 30 | 0,100 | - | - | - | - |
10 | 3 | 90 | 0,033 | - | - | - | - |
11 | 6 | 60 | 0,100 | - | - | - | - |
12 | 18 | 130 | 0,138 | - | - | - | - |
13 | 6 | 60 | 0,100 | - | - | - | - |
14 | 25 | 400 | 0,062 | - | - | - | - |
15 | 6 | 150 | 0,040 | - | - | - | - |
16 | 32 | 350 | 0,058 | - | - | - | - |
17 | 30 | 50 | 0,600 | - | - | - | - |
18 | 81 | 400 | 0,200 | - | - | - | - |
19 | 75 | 180 | 0,412 | - | - | - | - |
Разделив мощность второго горизонта, полученную в результате интерпретации кривой

методом особых точек, на коэффициент анизотропии, приходим к истинной мощности высокоомного анизотропного пласта
Располагая величинами

и

, можно определить УЭС непроводящих микропрослоев, если известно УЭС проводящих

. В качестве первого приближения к

можно принять минимальные значения

в пределах высокоомного пласта. Сняв с каротажной диаграммы

, вычисляем

и

. Воспользовавшись номограммой для определения соотношений

и

(приложение,
рис. 34), находим, что

и

. Зная суммарную мощность анизотропного пласта (
h2 ист = 352 м) и УЭС проводящих прослоев, вычисляем суммарные мощности проводящих и непроводящих прослоев и УЭС непроводящих прослоев
В результате обработки каротажной диаграммы получены близкие значения суммарных мощностей проводящих и непроводящих прослоев

и

.
Интерпретация трехслойных кривых

ВЭЗ методом особых точек отличается большей объективностью по сравнению с традиционным методом подбора теоретических кривых и позволяет получить данные, значительно лучше соответствующие строению и свойствам реального разреза. Для учета влияния анизотропии пород в пределах того или иного слоя необходимо знать величину коэффициента анизотропии и УЭС проводящих прослоев.
Источники ошибок интерпретации трехслойных кривых ВЭЗ
и способы их устранения или учета
2.38. Одним из основных источников погрешностей, которые возникают при интерпретации трехслойных кривых ВЭЗ, является неточное определение величин
h1 и

с помощью двухслойных теоретических кривых. Ошибки такого рода относятся главным образом к результатам определения мощностей и УЭС первого и второго слоев; размеры их могут достигать +/- 60%. От них можно практически полностью избавиться, если для определения величин
h1 и

использовать левые ветви теоретических кривых ВЭЗ для трехслойных разрезов с небольшими

.
2.39. Следующую группу составляют ошибки, которые возникают в результате интерпретации кривых с помощью номограмм, не соответствующих истинным параметрам разреза. Погрешности такого рода могут входить в результаты интерпретации со знаком "плюс" или "минус", достигая в отдельных случаях 60 - 80%. Их присутствие обнаруживается либо по характерному смещению координат эквивалентного слоя вправо от экстремума на интерпретируемой кривой, либо по большой разнице (более 100%) между величинами УЭС опорного горизонта, полученными в ходе интерпретации, и указанными в индексе номограммы. Ошибки такого рода устраняются путем подбора номограмм, соответствующих параметрам разреза.
2.40. Реже встречаются ошибки, возникающие вследствие того, что при интерпретации неявных кривых типа
K или
H пытаются найти решение при

и, наоборот, при интерпретации явных кривых и при

. Погрешности интерпретации в таких случаях выходят далеко за пределы 100% и практически полностью устраняются, как только из двух возможных решений задачи будет выбрано то, что соответствует характеру аномалии на интерпретируемой кривой.
2.41. Особую группу составляют ошибки, обусловленные влиянием анизотропных пород в пределах того или иного горизонта. Они носят систематический характер, входят в результаты интерпретации со знаком "плюс". Величина их целиком определяется значением коэффициента анизотропии. Появление анизотропии в пределах того или иного слоя обнаруживается по резкому увеличению значений его мощности по данным интерпретации, которое противоречит известным представлениям о геологическом строении района и не подтверждается в ходе заверочного бурения. Ошибка исключается путем приведения мощностей слоев к их истинным значениям; одновременно с этим находят величины коэффициента анизотропии пород в пределах слоя, соотношение суммарных мощностей и величины УЭС проводящих и непроводящих микропрослоев.
2.42. При устранении вышеперечисленных ошибок точность количественной интерпретации трехслойных кривых ВЭЗ методом особых точек, как правило, не хуже +/- 10 - 15%.
Четырехслойные параллельно-слоистые среды
2.43. По последовательности залегания в разрезе слоев с различными УЭС выделяются восемь видов четырехслойных массивов:
Для каждого из них характерен особый тип аномалии на кривых

ВЭЗ, если мощности слоев достаточно велики, а среды хорошо дифференцированы по УЭС. Вместе с тем возможны случаи, когда один из промежуточных горизонтов не обнаруживается явно на кривой

ВЭЗ при определенных значениях его мощности и УЭС. Все это дополняется расширением пределов действия эквивалентности по
S и
T, которая в случае четырехслойных разрезов может выходить за рамки одного вида.
2.44. Общим приемом интерпретации многослойных кривых

ВЭЗ является подбор или построение теоретических кривых, наилучшим образом совпадающих с интерпретируемыми. При решении этой задачи широко используются ЭВМ. Для обеспечения требуемой точности и достоверности результатов интерпретации необходимо предварительно знать величины УЭС или мощности промежуточных горизонтов.
2.45. Из всех известных экспресс-методов интерпретации многослойных кривых

ВЭЗ наибольшей популярностью пользуется способ, основанный на сведении трехслойного или любого многослойного разреза к двухслойному путем последовательной замены вышележащих слоев одним эквивалентным. Задача эта решается с помощью палеток теоретических кривых

для двухслойных сред и вспомогательных номограмм
LCK,
LCQ,
LCH и
LCA для определения координат эквивалентного слоя по известным

и

.
2.46. Воспользуемся этим весьма конструктивным способом интерпретации многослойных кривых

ВЭЗ с той лишь разницей, что для определения

и

в промежуточных горизонтах мы будем пользоваться не двухслойными теоретическими кривыми

, а специальными номограммами, применяющимися для интерпретации трехслойных кривых

ВЭЗ.
2.47. Разрезы типа
KH (

;

;

). Типичные кривые для этого типа приведены на рисунке. Можно видеть, что при достаточной мощности третьего слоя каждый геоэлектрический горизонт в массиве отчетливо проявляется на кривой

ВЭЗ (см.
рис. 11, кривые
5 и
4). Такие разрезы и относящиеся к ним кривые

ВЭЗ будем называть "явными". Интерпретация явных кривых

ВЭЗ вида
KH не вызывает особых затруднений, если она выполняется с помощью номограмм для трехслойных СГМ сверху вниз по разрезу или слева направо по кривой

ВЭЗ.
Рис. 11. Теоретические кривые

ВЭЗ для разрезов
KH и особые точки на них
1 - неявная кривая KH второго рода; 2 - неявная кривая KH
второго рода; 3 - неявная кривая KH первого рода;
4 - явная кривая KH; 5 - явная кривая KH
2.48. Порядок интерпретации кривых

ВЭЗ в этом случае таков: сначала по ГП-2 определяют
h1 и

. Затем с интерпретируемой кривой

снимают

и

и вычисляют

и

. Далее по номограмме

для типа
K находят

и

и вычисляют

и

. Зная

и

, определяют по номограмме
MxMy для типа
K координаты эквивалентного слоя

и

и вычисляют

и

. Далее в роли
h1 начинает выступать

, а в роли

-

. Переходя к следующему слою, определяют координаты второй особой точки

и

и вычисляют отношения

и

. Далее по номограмме

для типа
H определяют

и

и вычисляют

и

. Располагая величинами

и

, обращаются к номограмме
MxMy для типа
H, находят по ней

и

и вычисляют

и

. Взяв на правой ветви интерпретируемой кривой значения

и

, вычисляют отношения

и

и по номограмме

определяют

и, следовательно,

. Описанную выше последовательность интерпретации кривых

явного вида
KH можно записать следующим образом:

2.49. Если в разрезе существует эквивалентность по
T или
S, то интерпретацию четырехслойных кривых

ВЭЗ следует вести и по эквивалентным вариантам. В массивах с нормальной контрастностью пород по УЭС

и достаточно большими мощностями слоев (

и

) ошибки не выходят за пределы +/- 15% и носят случайный характер. Ошибки возрастают до +100% и становятся систематическими, если интерпретируемые кривые относятся к массивам с небольшой мощностью слоев (

и

) и большим перепадом УЭС на границе слоев (

,

,

). В большинстве случаев решение вообще не может быть получено при таких соотношениях параметров массивов из-за того, что существующие номограммы не рассчитаны на такие условия. В свою очередь отсутствие решения на номограммах при полном соответствии кривых

ВЭЗ параллельно-слоистому строению массива может быть использовано в качестве признака, указывающего на присутствие в разрезе маломощных слоев с большим перепадом УЭС на их границах.
В качестве примера приведем результаты интерпретации теоретических кривых

явного вида
KH методом особых точек (см.
рис. 11, кривые
4 и
5).
2.50. Кривая 4:
соответственно:
Истинный геоэлектрический разрез характеризуется следующими параметрами:
2.51. Кривая 5:
вместо
2.52. Пример практической кривой

ВЭЗ для явного типа
KH приведен на
рис. 12.
Рис. 12. Пример интерпретации четырехслойной кривой

ВЭЗ методом особых точек
а - параметрический ВЭЗ и диаграмма УЭС по данным
интерпретации ВЭЗ; б - геологический разрез;
в - диаграмма УЭС по данным количественной
интерпретации кривых

ВЭЗ методом особых точек;
1 - песчано-глинистые отложения; 2 - трещиноватые
известняки; 3 - слаботрещиноватые известняки
Зондирование произведено около скважины, вскрывшей следующий геологический разрез:
наносы мощностью 2 м и с

;
пески батского яруса средней юры мощностью 10 м и с

;
песчано-глинистые отложения и глины батского яруса средней юры общей мощностью 36 м и с

;
разрушенные известняки верхнего карбона мощностью 32 м и с

;
плотные известняки среднего карбона с

.
Результаты интерпретации кривой

ВЭЗ методом особых точек приведены ниже:
Отсюда находим, что:
2.53. Сравнив полученные результаты с известными геоэлектрическими параметрами, можно заметить, что мощности и УЭС пород первого и второго слоев, а также глубина залегания опорного высокоомного горизонта определены с относительной погрешностью, не превышающей +/- 20%. Песчано-глинистые отложения средней юры и разрушенные известняки верхнего карбона отбились в виде единого геоэлектрического горизонта с осредненным УЭС 29,5 Ом·м, а УЭС плотных известняков оказалось равным 385 Ом·м, а не бесконечности.
2.54. Минимум на кривых

ВЭЗ может отсутствовать при небольшой мощности третьего горизонта или слабой дифференциации пород по УЭС в разрезах типа
KH, вследствие чего они приобретают вид, характерный для трехслойных разрезов типа
A (см.
рис. 11, кривые
1 и
2). Неявные кривые

типа
KH не могут быть проинтерпретированы с помощью приемов, справедливых для явных кривых, поскольку нельзя найти устойчивых критериев для выделения особых точек на месте исчезнувших максимума и минимума. На основании внешнего сходства аномалий на кривых

ВЭЗ над неявными разрезами типа
KH и трехслойными - типа
A можно предположить, что для них могут быть общими, как правило, определения особых точек, так и номограммы для оценки геоэлектрических параметров массива. При этом оба промежуточных слоя должны выделяться как единый с некоторым осредненным значением УЭС.
2.55. Неявные кривые типа
KH могут быть подразделены на два подвида, отличающиеся друг от друга как по характеру аномалии на кривых

ВЭЗ над ними, так и по способу интерпретации последних, точности и количеству получаемой информации.
2.56. Первый (переходный) подвид составляют кривые

ВЭЗ, на которых максимумы и минимумы вырождаются в горизонтальный прямолинейный отрезок (см.
рис. 11, кривая
3). Особенности такого вида аномалий состоят в том, что координаты точки выхода начальной ветви кривой

на горизонтальную площадку тесно связаны с геоэлектрическими параметрами второго слоя подобно тому, что имеет место на неявных кривых

ВЭЗ над разрезом типа

. К сожалению, эта особенность не распространяется на точку отрыва правой ветви кривой от горизонтальной площадки и эту часть кривой

ВЭЗ необходимо рассматривать не как элемент неявного вида
H, а как часть трехслойного разреза
A с большей мощностью промежуточного горизонта. Отсюда вытекает специфика интерпретации кривых

ВЭЗ, относящихся к переходному подвиду неявных
KH. Она заключается в том, что левые ветви кривых

ВЭЗ интерпретируются с помощью номограмм для определения

и

в разрезах

, а правые - по номограммам разрезов вида
A. В последнем случае в интерпретации участвует вся кривая

ВЭЗ, а особая точка находится по отрыву ее правой ветви от совмещенной с ней двухслойной кривой

. В результате такой интерпретации определяют УЭС и мощность первого и второго слоев, а также УЭС и глубину залегания кровли опорного горизонта. Мощность третьего горизонта вычисляется как разность между
h1 и
h2 +
h3; УЭС третьего горизонта остается неизвестным. Последовательность интерпретации может быть схематически записана в следующем виде:
а)

б)

2.57. Приведем пример интерпретации кривой

первого неявного подвида типа
KH (см.
рис. 11, кривая
3) методом особых точек:
Отсюда находим:
Сравнив полученные геоэлектрические параметры с истинными
убеждаемся в том, что если мощности и УЭС первого и второго горизонтов определены с удовлетворительной точностью, то суммарная мощность второго и третьего горизонтов завышена по данным интерпретации практически вдвое. Это явление характерно для всех неявных видов кривых типа KH и вопросы учета возникающих ошибок будут рассмотрены специально.
2.58. Ко второму подвиду неявных кривых типа
KH относятся кривые, аномалии на которых внешне соответствуют трехслойному строению среды с

. Положение особых точек на них устанавливается по тем же правилам, что и в случае разрезов типа
A (см.
рис. 7, кривые
1 и
2), предопределяя тем самым последовательность применения соответствующих номограмм:
2.59. Отметим следующие особенности.
Из двух возможных решений, получаемых при интерпретации кривой

типа
KH первого подвида с помощью номограммы для разрезов типа

ближе к истинному оказывается то, что относится к

вопреки правилу, установленному для трехслойных массивов. Это объясняется тем, что над четырехслойными массивами выход кривой

ВЭЗ на горизонтальную асимптоту вызван влиянием

и

третьего слоя, тогда как в разрезах типа

он обусловлен величинами

и

. Отсюда следует, что в случае неявных кривых типа
KH предпочтение следует отдавать тому решению, которое соответствует

.
Мощность второго псевдогоризонта, получаемая в результате интерпретации неявных кривых

ВЭЗ типа
KH с помощью номограмм для типа
A, всегда превышает истинную суммарную мощность второго и третьего слоев, а величина УЭС всегда больше УЭС второго и меньше третьего слоев.
2.60. С целью уточнения этого явления нами была предпринята массовая интерпретация теоретических кривых

ВЭЗ для неявных разрезов типа
KH, собранных в палетки

,

,

и пр. В результате была обнаружена отчетливая зависимость вида:

(23)
которая может быть номографирована с помощью сдвоенной сетчатой номограммы при постоянном значении какого-либо одного из входящих в нее переменных. Каждая номограмма представляет собой два семейства кривых, построенных в двух системах координат с общей осью

и разными осями

,

. Каждая кривая нормирована по

, величина которой проставлена в виде индексов кривых (см.
приложение 32,
а и
б).
2.61. Полученные номограммы аналогичны номограммам для определения

и

в трехслойных разрезах, отсюда вытекает практически полное сходство приемов их применения. На номограмму, выбранную в соответствии с ожидаемыми значениями

, накладывают прозрачный транспарант, на котором отмечают положение начала осей координат для каждого из двух семейств кривых. Далее по осям ординат на транспаранте откладывают величины

и

, полученные в результате интерпретации неявных кривых

ВЭЗ типа
KH с помощью номограмм типа
A. Перемещая затем транспарант по номограмме так, чтобы отмеченные на нем начала осей координат находились все время на осях абсцисс номограммы, отыскивают положение, при котором концы вертикальных отрезков на транспаранте совместятся на номограмме с кривыми, соответствующими одинаковым индексам, или окажутся между ними. При таком положении транспаранта находят значения

на оси абсцисс номограммы,

- по индексу кривых и

- по индексу номограммы. Если

неизвестно, то параметры разреза отыскивают, последовательно переходя от одной номограммы к другой. В ряде случаев решение может быть найдено на двух и даже трех номограммах, что служит указанием на наличие эквивалентности разреза по
S и
T, а также на пределы ее действия. Имея это в виду, произведем интерпретацию теоретических кривых
3,
2 и
1, приведенных на
рис. 11.
2.62. Кривая
3. Представляет собой переходную стадию к неявным кривым типа
KH. Она проинтерпретирована ранее, и интересующие нас параметры были определены:

и

. Воспользовавшись номограммой для поправок к неявному типу
KH, находим два эквивалентных решения:
из которых правильным является второе, поскольку известно, что

. Произведя необходимые вычисления, получим:
h2 + h3 = 12,4;

;

.
Поскольку параметры первого слоя мы определили ранее по неявному элементу K, то можно определить параметры всех слоев в разрезе с хорошей точностью:
2.63. Кривая 2:
Поправки к неявному типу
KH находятся на номограммах для

; 1 и 2 при полученных параметрах второго слоя и записываются в следующем порядке:
Зная, что

, находим:
h2 + h3 = 8,6,

и

и, как окончательный вариант интерпретации
Эти данные значительно ближе к параметрам истинного разреза
чем результаты интерпретации кривой 2 как трехслойной.
2.64. Кривая 1:
Поправки к неявному типу
KH находятся на номограммах

;
1 и
2 и имеют вид
Приняв

, вычисляем:
h2 +
h3 = 4,2;

и

. Окончательное строение разреза:
не намного отличается от истинного
2.65. Разрезы типа
HK (

,

,

). Типичные кривые

ВЭЗ для разрезов вида
HK приведены на
рис. 13. Можно видеть, что здесь тоже присутствуют кривые с явными и неявными признаками наличия в массиве третьего слоя.
Рис. 13. Теоретические кривые

для разрезов вида
HK
2.66. Явные кривые

ВЭЗ формируются при достаточно больших мощностях второго и третьего горизонтов и легко распознаются по характерному сочетанию минимума и максимума на них. Интерпретация таких кривых не вызывает затруднений и выполняется с помощью номограмм для определения

,

,
Mx и
My в трехслойных разрезах типа
H и
K в установленной последовательности. В качестве примера рассмотрим интерпретацию кривых, приведенных на
рис. 13.
2.67. Кривая 1
Произведя необходимые вычисления, получим
Полученные параметры весьма незначительно отличаются от истинных, если не обращать внимания на расхождения в оценке УЭС опорного горизонта, причина которого не ясна
2.68. Кривая 2:
После вычислений находим
что также хорошо увязывается с известным строением разреза
2.69. Кривая 3:
Получаемый геоэлектрический разрез:
вполне удовлетворительно совпадает с истинным по всем горизонтам
2.70. При небольшой мощности третьего горизонта или слабой дифференциации пород второго и третьего слоев по УЭС максимум в правой части кривых

вида
HK исчезает и аномалии на них приобретают вид, характерный для трехслойных разрезов типа
Q. Отсюда становится вынужденной необходимость интерпретации четырехслойных кривых
HK как трехслойных
Q.
2.71. Для примера рассмотрим почти неявную кривую 1 на
рис. 13, на которой точка отрыва в псевдоэлементе
Q совпадает с максимумом вырождающегося элемента
K. Ее интерпретация дает следующее:
Сравнив полученный геоэлектрический разрез с истинным, можно убедиться в том, что суммарная мощность второго и третьего горизонтов завышена на 75%, а УЭС промежуточного псевдогоризонта занимает промежуточное значение между величинами УЭС второго и третьего слоев. Разрез может быть уточнен за счет выделения и интерпретации элемента H, который достаточно устойчив в случае неявных кривых вида HK.
2.72. Массовая интерпретация неявных кривых типа HK показывает, что завышение суммарной мощности промежуточных горизонтов носит систематический характер при интерпретации четырехслойных кривых вида HK как трехслойных вида Q и может быть учтено с помощью специальных вспомогательных номограмм. Правда, необходимость последних не так велика, как в случае разрезов типа HK, поскольку ошибки в оценке суммарной мощности промежуточных горизонтов не выходят за пределы +75 - 100% и, как правило, бывают ниже +30 - 40%.
Разрезы типов QQ 
и
AA 
2.73. Типичные кривые

ВЭЗ для разрезов
QQ приведены на
рис. 14. При небольших мощностях третьего горизонта кривые

ВЭЗ внешне ничем не отличаются от кривых, характерных для трехслойных разрезов
Q. Устойчивые признаки четырехслойного строения массива обнаруживаются на кривых

ВЭЗ при достаточно больших мощностях промежуточных горизонтов и выражаются в образовании двух точек перегиба, после каждой из которых угол наклона кривой относительно оси абсцисс меняется и остается постоянным на некотором интервале действующих расстояний. Отсюда вытекают все особенности приемов интерпретации кривых

ВЭЗ, относящихся к разрезам типа
QQ.
Рис. 14. Теоретические кривые

для разрезов вида
QQ
2.74. Выбор особой точки, связанной на кривой

с положением нижней границы в разрезе, не вызывает особых затруднений и всегда производится по тем же правилам, что и в случае разрезов типа
Q, т.е. по точкам отрыва интерпретируемой кривой от двухслойной теоретической кривой, совмещенной по максимальному количеству точек с ее правой ветвью и асимптотой.
2.75. Гораздо сложнее обстоит дело с определением положения особых точек, относящихся на кривой

к подошве второго слоя в разрезе типа
QQ. Причиной тому служит отсутствие устойчивых признаков у этих точек. Принимая во внимание специфику изменения аномалий на кривых

ВЭЗ в зависимости от соотношения мощностей промежуточных горизонтов, можно предложить следующие правила для определения приблизительного положения промежуточных особых точек на них.
2.76. При небольшой мощности третьего горизонта, когда на кривой

ВЭЗ отсутствуют признаки четырехслойного строения массива, промежуточной особой точкой может служить либо точка перегиба в средней части кривой, если эта точка проявлена достаточно отчетливо, либо точка отрыва средней части интерпретируемой кривой от двухслойной теоретической кривой, совмещенной с ее левой ветвью и асимптотой наилучшим образом. Интерпретация четырехслойных кривых, выполненная по номограмме для разреза типа
Q без разделения промежуточных горизонтов, показывает, что ошибки в оценке глубины залегания кровли опорного горизонта невелики, если третий горизонт имеет незначительную мощность
v3 <= 3. При большей мощности третьего горизонта погрешности интерпретации могут достигать +100; +200% из-за несоответствия координат выбранной особой точки четырехслойному строению среды. Признаком такого несоответствия будет служить большое смещение координат эквивалентного слоя вправо по оси абсцисс, делающее невозможным определение УЭС опорного горизонта с помощью двухслойных теоретических кривых

ВЭЗ.
2.77. Интерпретация тех же кривых

ВЭЗ, произведенная с выделением особых точек для промежуточных горизонтов, дает погрешности в определении геоэлектрических параметров промежуточных горизонтов, не выходящие за пределы +/- 20%; -40%. Здесь следует обратить внимание на то, что ошибки при определении мощности второго и третьего горизонтов всегда имеют различные знаки и в значительной мере компенсируются при оценке глубины залегания кровли опорного горизонта, точность которой не менее +/- 20%. Источником погрешностей в таких случаях является только неустойчивость выбора положения промежуточной особой точки на кривой ВЭЗ над разрезом
QQ.
В качестве примера рассмотрим результаты интерпретации кривых

ВЭЗ, приведенных на
рис. 14.
2.78. Кривая 1. Первая особая точка находится по отрыву двухслойной теоретической кривой от левой ветви и асимптоты интерпретируемой кривой, а вторая - по отрыву от правой ее ветви:
Произведя необходимые вычисления, получим разрез
который отличается от истинного
тем, что мощность второго от поверхности слоя занижена на 53%, а мощность третьего слоя - завышена на 265%. Однако суммарная мощность обоих горизонтов определена с ошибкой в +25% по сравнению с ошибкой в -25%, которая возникает при интерпретации рассматриваемой кривой как трехслойной вида Q.
2.79. Кривая
3. Первая особая точка находится по перегибу кривой

в средней ее части, а вторая - по отрыву средней части кривой

от двухслойной теоретической кривой, совмещенной с правой ветвью интерпретируемой кривой:
Произведя необходимые вычисления, получаем геоэлектрический разрез:
который достаточно близок к истинному:
Ошибки в оценке мощностей второго и третьего слоев не выходят за пределы +/- 25%. Суммарная мощность обоих горизонтов определена с точностью до +6,3%.
2.80. Кривая 5. Первая особая точка берется по отрыву левой ветви интерпретируемой кривой от двухслойной теоретической кривой, по максимальному числу точек совпавшей со средней частью интерпретируемой кривой. Вторая особая точка находится по обычным правилам:
Вычислив значения мощностей и УЭС слоев, находим:
Полученный геоэлектрический разрез хорошо совпадает с истинным:
2.81. Рассмотренный способ интерпретации может быть применен к кривым

ВЭЗ, относящимся к трехслойным разрезам типа
Q, в которых второй слой представлен градиентной в вертикальном направлении средой (см.
рис. 15). Корректность такого подхода вытекает из принципиальной возможности аппроксимации градиентной среды слоистой со сходным законом изменения УЭС слоев с глубиной. Характерным признаком присутствия в массиве градиентной среды является наличие в средней части кривой

ВЭЗ прямолинейного участка, протяженность которого превышает суммарную длину прямолинейных отрезков на двухслойных теоретических кривых

ВЭЗ, совмещенных с начальной и конечной ветвями и асимптотами градиентной кривой

ВЭЗ.
Рис. 15. Теоретические кривые для разрезов вида
A и
Q
с вертикальным градиентом УЭС в пределах второго слоя
2.82. Интерпретация градиентных кривых

ВЭЗ должна выполняться следующим образом. Сначала по установленным правилам находят положение особой точки кривой

ВЭЗ, относящейся к самой нижней геоэлектрической границе в разрезе. Далее с помощью палетки двухслойных теоретических кривых

ВЭЗ определяют обычным образом
h1 и

, а также положение первой промежуточной особой точки по отрыву интерпретируемой кривой от теоретической. Остальные промежуточные особые точки выбираются произвольно. Количество их зависит от длины прямолинейного отрезка на интерпретируемой кривой и требуемой детальности разбиения градиентного слоя на дискретные слои. Дальнейшая интерпретация кривой

ВЭЗ ведется с помощью номограмм для определения
v2 и

,
Mx и
My в трехслойных разрезах типа
Q. В качестве окончательных результатов интерпретации принимаются мощность и УЭС первого от поверхности слоя, УЭС второго слоя, суммарная мощность всех промежуточных слоев

. УЭС предпоследнего слоя

и опорного горизонта. Градиент УЭС во втором слое оценивается приблизительно по формуле

(24)
2.83. Все сказанное выше целиком распространяется и на четырехсложные разрезы типа
AA, поскольку критерии выбора особых точек на интерпретируемых кривых принципиально те же, что и в случае разрезов типов
Q и
QQ. Учитывая это, мы ниже ограничимся только примерами интерпретации неявных кривых

, относящихся к разрезам типа
AA (см.
рис. 16).
Рис. 16. Теоретические кривые

ВЭЗ
для разрезов вида AA
2.84. Кривая 1. Эта кривая соответствует трехслойному разрезу типа A с параметрами:
Попытки ее интерпретации как четырехслойной не приводят к успеху из-за невозможности определения УЭС опорного горизонта. Действительно, взяв первую особую точку в месте отрыва двухслойной теоретической кривой от левой ветви интерпретируемой кривой, а вторую особую точку - по обычным правилам, имеем:
из-за "ухода" координат последнего бивалентного слоя вправо по оси абсцисс. Вместе с тем интерпретация той же кривой как трехслойной дает вполне приемлемый результат:
2.85. Кривая 2. Первая особая точка выбирается условно несколько выше точки отрыва двухслойной теоретической кривой, совмещенной с левой ветвью интерпретируемой кривой. Вторая и третья особые точки определяются по обычным правилам. Далее имеем:
Вычислив параметры разреза, находим:
вместо
2.86. Результаты интерпретации явных кривых

типа
AA характеризуются более высокой точностью.
Кривая 4
вместо
2.87. Разрезы типа
QH 
. Теоретические кривые для этого вида четырехслойных параллельно-слоистых массивов показаны на
рис. 17. Исследуя их, можно заметить, что аномалии на них внешне соответствуют скорее разрезам типа
H, чем разрезам
QH, даже при значительной мощности третьего горизонта. Интерпретация таких кривых

ВЭЗ, как трехслойных с помощью номограмм для разрезов типа
H, позволяет установить, что получаемая суммарная мощность промежуточных горизонтов всегда превышает истинные ее значения. При этом осредненное УЭС промежуточных горизонтов ближе к УЭС третьего слоя. Несоответствие этих решений истинному строению и свойствам изучаемых массивов надежно обнаруживается по большому смещению координат эквивалентного слоя вправо по оси абсцисс, делающему невозможным определение УЭС опорного горизонта по палеткам и номограммам для двухслойных сред. Этот признак может быть использован для разделения кривых

ВЭЗ, относящихся к разрезам типа
H и
QH.

Рис. 17. Теоретические кривые

ВЭЗ для разрезов вида
QH
2.88. Убедившись в том, что интерпретируемые кривые

ВЭЗ соответствуют четырехслойному строению среды типа
QH, необходимо найти положение промежуточных особых точек по установленным правилам, т.е. по точкам отрыва интерпретируемых кривых от двухслойных теоретических, совмещенных наилучшим образом с нижней частью левых ветвей интерпретируемых кривых. В таком случае строение массива и его геоэлектрические параметры определяются с удовлетворительной точностью, а получаемые координаты последнего эквивалентного слоя оказываются приемлемыми для нахождения УЭС опорного горизонта как по палеткам теоретических кривых, так и по номограммам для двухслойной среды. Покажем это на примере интерпретации теоретических кривых, приведенных на
рис. 17.
2.89. Кривая 2. Присутствие в разрезе элемента Q обнаруживается достаточно уверенно по отрыву двухслойной теоретической кривой как от верхней, так и от нижней частей левой ниспадающей ветви интерпретируемой кривой. Найдя положение первой особой точки по установленным правилам, производим интерпретацию в обычном порядке:
Произведя необходимые вычисления, находим
что достаточно близко к параметрам теоретического разреза:
2.90. Кривая
3. Присутствие в разрезе элемента
Q и местоположение промежуточной особой точки на кривой

обнаруживаются по обычным правилам. Далее находим:
| | ИС МЕГАНОРМ: примечание. Обозначения даны в соответствии с официальным текстом документа. | |
Вычислив параметры геоэлектрического разреза, имеем:
вместо
2.91. Кривая 3 несет на себе все признаки четырехслойного строения, и ее интерпретация не вызывает затруднений:
что с небольшой ошибкой соответствует истинному геоэлектрическому разрезу:
2.92. Интерпретация этих же кривых как трехслойных типа H дает значительно завышенные мощности второго псевдогоризонта и не позволяет определить УЭС опорного горизонта, которое оказывается значительно "больше" бесконечности из-за смещения координат эквивалентного слоя вправо по оси абсцисс.
2.93. В качестве примера практической кривой

ВЭЗ, имеющей элемент
QH, рассмотрим кривую, полученную на северо-западе Русской платформы. Зондирование произведено вблизи скважины, стратиграфический разрез которой, а также результаты обработки данных каротажа и опробования подземных вод приведены на
рис. 18. Там же помещена относящаяся к ним кривая

ВЭЗ.
Рис. 18. Результаты интерпретации многослойной кривой

ВЭЗ типа KQQH методом особых точек
1 - стратиграфическая таблица; 2 - диаграмма УЭС пород
по данным количественной интерпретации методом особых точек;
3 - диаграмма УЭС пород по данным каротажа; 4 - диаграмма
изменения минерализации подземных вод;
5 - кривая

ВЭЗ и особые точки на ней
На первый взгляд кривая

соответствует четырехслойному строению среды типа
KH. Однако интерпретация ее методом особых точек, выполненная в предположении о четырехслойном строении среды, позволяет обнаружить заметное смещение координат предопорного эквивалентного слоя вправо по оси абсцисс:
несмотря на то, что правая ветвь кривой воздымается под углом 45° к оси абсцисс. Вычислив геоэлектрический разрез, получаем завышенную мощность третьего (проводящего) горизонта:
2.94. На этом основании можно заключить, что в разрезе присутствует неявно выраженный элемент
Q. Внимательно исследовав ниспадающую ветвь кривой

ВЭЗ на интервале

, можно обнаружить две точки, в которых заметно меняется угол наклона кривой относительно оси абсцисс. Взяв их в качестве особых, произведем повторную интерпретацию кривой

, начиная с эквивалентного слоя после элемента
K:
2.95. Результаты интерпретации графически изображены на
рис. 18. Сравнив их с известным геологическим разрезом, распределением УЭС и минерализацией подземных вод с глубиной, можно установить, что:
первый от поверхности геоэлектрический горизонт мощностью 7 м и УЭС 20 Ом·м относится к четвертичным отложениям;
второй геоэлектрический горизонт мощностью 77 м и УЭС 500 Ом·м связан с загипсованными известняками верхнего девона;
третий геоэлектрический горизонт мощностью 63 м и УЭС 120 Ом·м относится к песчаной толще верхнего девона;
четвертый геоэлектрический горизонт мощностью 150 м и УЭС 63 Ом·м относится к песчано-глинистым отложениям среднего девона; уменьшение УЭС примерно в два раза по сравнению с УЭС вышележащих пород может быть обусловлено в равной мере увеличением минерализации подземных вод и глинистости разреза;
пятый геоэлектрический горизонт мощностью 228 м и УЭС 2,7 Ом·м относится к мергелям среднего девона и песчано-глинистым породам кембрия; низкие значения УЭС, не характерные для присутствующих в этой части разреза пород, позволяют говорить о высокой минерализации приуроченных к ним подземных вод;
шестой опорный горизонт соответствует архейским кристаллическим породам с очень большими величинами УЭС.
Расхождения между данными ВЭЗ, документации и каротажа скважины, имеющие место при оценке глубин залегания промежуточных горизонтов, обусловлены некорректностью выбора особых точек на кривой ВЭЗ. Ошибки эти сравнительно невелики (+/- 20%), входят с различным знаком и компенсируются при определении глубины залегания опорного горизонта.
2.96. Разрезы типа
HA 
. Особенности изменения аномалий на кривых

ВЭЗ над массивами такого строения можно проследить на примере типичной кривой, приведенной на
рис. 19.
Рис. 19. Теоретические кривые

ВЭЗ для разрезов типа
HA
2.97. Присутствие в разрезе третьего промежуточного горизонта обнаруживается на кривых

ВЭЗ только при достаточно больших его мощностях (
v3 >= 10). Интерпретация таких кривых

ВЭЗ с помощью номограмм для определения
v2,

,
Mx,
My, в трехслойных массивах позволяет получить геоэлектрические параметры каждого слоя с удовлетворительной точностью. В качестве примера проинтерпретируем кривую
3 (см.
рис. 19):
Полученный геоэлектрический разрез отличается от истинного:
не более, чем +/- 10 - 15%.
2.98. При небольшой мощности третьего слоя в разрезах типа
HA кривые

ВЭЗ внешне очень близки к трехслойным для типа
H. Интерпретация таких кривых

ВЭЗ, выполненная без учета третьего слоя, дает возможность найти глубину залегания опорного горизонта с достаточной точностью (+/- 20 - 30%). При этом УЭС объединенного горизонта оказывается близким к УЭС второго слоя в разрезе типа
HA или превышает его примерно в два раза. УЭС опорного горизонта оценивается вполне уверенно по координатам предопорного эквивалентного слоя, которые в данном случае не могут служить критерием установления факта пропуска слоя при интерпретации кривой

.
2.99. Интерпретация неявных кривых

ВЭЗ для разрезов типа
HA, произведенная в предположении о четырехслойном строении разреза, позволяет выявить третий горизонт. При этом УЭС всех промежуточных горизонтов и мощность второго слоя определяются с хорошей точностью. Мощность третьего слоя и глубина залегания опорного горизонта оказываются несколько завышенными; ошибки при оценке указанных параметров тем больше, чем меньше УЭС второго слоя.
2.100. Особенности интерпретации неявных кривых

типа
HA покажем на следующем примере (см.
рис. 19, кривая
2):
Вычислив геоэлектрические параметры, получаем разрез
мало отличающийся от истинного:
Попытки интерпретации трехслойных кривых типа
H, как четырехслойных типа
HA, обычно не венчаются успехом. Иллюстрацией может послужить интерпретация трехслойной кривой
1 на
рис. 19:
и дальнейшая интерпретация кривой становится невозможной из-за отсутствия решения на номограмме для разреза типа

. Поэтому, чтобы не пропустить в разрезе маломощные пласты, необходимо внешне трехслойные кривые типа
H подвергать пробной интерпретации в предположении о четырехслойном строении среды.
2.101. Разрезы типа
AK 
весьма благоприятны для формирования над ними неявных кривых
(рис. 20), которые внешне неотличимы от трехслойных типа
K и часто могут быть приняты за них. Отсюда возникает возможность интерпретации четырехслойных кривых
AK как трехслойных и, наоборот, трехслойных типа
K как четырехслойных при применении метода особых точек. Практика показывает, что признаком ошибочного решения является смещение координат предопорного эквивалентного слоя вправо по оси абсцисс так, что определение УЭС опорного горизонта становится невозможным. Покажем это на примере интерпретации теоретических кривых
2 и
3 (см.
рис. 20).
Рис. 20. Теоретические кривые

ВЭЗ для разрезов типа
AK
2.102. Кривая 3 соответствует трехслойному разрезу с параметрами:
Ее можно попытаться проинтерпретировать как четырехслойную типа
AK, если в средней части восходящей ветви кривой

условно выделить промежуточную особую точку:
что указывает на необоснованность выделения четвертого горизонта в разрезе. Действительно, проинтерпретировав ту же кривую

как трехслойную, получаем геоэлектрический разрез, близкий к истинному:
2.103. Кривая 2 получена для четырехслойного разреза с параметрами:
Приняв ее за трехслойную типа K - 0, находим:
что указывает на несоответствие между истинным разрезом и примененной номограммой. Так как номограмма соответствует УЭС опорного горизонта, то можно предположить, что в разрезе присутствует еще один слой. Для того чтобы его выделить, необходимо найти промежуточную особую точку. Поскольку устойчивых критериев для ее выделения нет, то точку берут посередине восходящей ветви кривой

. Результаты интерпретации в этом случае меняются следующим образом:
Произведя необходимые вычисления, получаем
что находится в неплохом согласии с истинным разрезом. Заметим, что удовлетворительная точность определения параметров второго слоя является делом случайным и целиком зависит от выбора места промежуточной особой точки.
2.104. Кривые

явного четырехслойного вида формируются при достаточно больших мощностях слоев и значительной дифференциации разреза по УЭС. Особые точки на них отыскиваются без затруднений по установленным правилам, а результаты интерпретации отличаются хорошей точностью. Примером может служить обработка кривой
1 на
рис. 20:
Параметры истинного разреза равны:

2.105. Разрезы типа
KQ 
. Их особенность состоит в том, что полученные над ними кривые

ВЭЗ сохраняют сходство с трехслойными кривыми типа
K даже при достаточно больших мощностях третьего горизонта
(рис. 21). Присутствие последнего в разрезе может быть обнаружено только по положению точек отрыва двухслойной теоретической кривой от правой ветви интерпретируемой кривой. При этом требуется особенно тщательное соблюдение правил определения положения особых точек в разрезах типа
Q. Заметим, что в случае трехслойных разрезов типа
K двухслойная теоретическая кривая

практически полностью ложится на правую ветвь интерпретируемой кривой, образуя точку отрыва вблизи максимума на ней. Неточное определение точки отрыва может привести к выделению еще одного промежуточного горизонта в трехслойном разрезе типа
K; однако мощность его будет мала и соизмерима с погрешностями интерпретации кривых

ВЭЗ методом особых точек. Сказанное выше покажем на примере интерпретации теоретических кривых

ВЭЗ (см.
рис. 21).

Рис. 21. Теоретические кривые

ВЭЗ
для разрезов типа KQ
2.106. Кривая 1 относится к трехслойному разрезу с параметрами:
Выделив вторую промежуточную точку в пределах правой ветви кривой

, можно попытаться проинтерпретировать ее как четырехслойную типа
KQ:
"Отрицательные" значения УЭС опорного горизонта свидетельствуют об ошибочности решения. Проинтерпретировав ту же кривую как трехслойную типа K - 0, находим все параметры разреза:
2.107. Кривая
2. Вторая особая точка на правой ниспадающей кривой

определяется вполне устойчиво. В результате интерпретации кривой
2 имеем:
Сравнив полученный геоэлектрический разрез с истинным:
убеждаемся в их соответствии друг другу с учетом, конечно, эквивалентности разреза по элементу K.
Многослойные параллельно-слоистые среды
2.108. Многослойные среды целесообразно подразделять на виды и подвиды по количеству и последовательности чередования слоев в разрезе с различными УЭС. Число возможных видов пятислойных, а тем более шестислойных и т.д. разрезов весьма велико и в рамках настоящего Руководства не может быть рассмотрено с той же подробностью, как это было сделано для трехслойных и четырехслойных сред. С другой стороны, в этом нет особой необходимости, поскольку не существует каких-либо ограничений для распространения на многослойные среды правил интерпретации трехслойных и четырехслойных кривых

ВЭЗ методом особых точек. Возможности этого способа интерпретации мы уже показали на примере практической кривой

ВЭЗ, относящейся к шестислойному разрезу типа
KQQH (см.
рис. 18).
2.109. Необходимо отметить следующее:
любые кривые

ВЭЗ, относящиеся к многослойным массивам, могут быть проинтерпретированы стандартным способом, суть которого заключается в последовательном сведении любого многослойного массива к различным видам трехслойных разрезов. В свою очередь все геоэлектрические параметры трехслойных разрезов могут быть определены по координатам особых точек на кривых

ВЭЗ с помощью специально построенных для этих целей номограмм. Точность оценки геоэлектрических параметров в трехслойных средах не выходит за пределы двадцатипроцентной ошибки; при этом не требуется никаких дополнительных сведений о величинах УЭС или мощностях промежуточных горизонтов;
результаты могут быть неоднозначными, если они относятся к массивам с близкими значениями
T или
S. Пределы действия эквивалентности устанавливаются в ходе интерпретации по номограммам для определения
v2 и

без каких-либо дополнительных вычислений. Правильное решение выбирается в соответствии с реальной обстановкой на основании известных данных об УЭС или мощностях промежуточных слоев. Если такие сведения отсутствуют, то наиболее вероятные значения
h2 и

для промежуточных горизонтов следует брать в середине интервалов
v2 и

, в пределах которых существует эквивалентность исследуемых трехслойных массивов;
в трехслойных разрезах типа

и

возможны двойные решения, относящиеся к
v2 < 1 и
v2 > 1. Истинное решение выбирается с учетом внешнего вида аномалии на интерпретируемой кривой

ВЭЗ. Это правило не распространяется на кривые

ВЭЗ, полученные над четырехслойными и вообще над многослойными массивами;
анизотропия промежуточных горизонтов, а также явление экранирования нижележащей толщи высокоомным пластом обнаруживаются по большому завышению мощностей промежуточных горизонтов или глубин залегания опорного горизонта по данным ВЭЗ, которое противоречит возможному строению изучаемой среды и не подтверждается соответствующими аномалиями на кривых

и

ВЭЗ, указывающими на нарушение параллельно-слоистого залегания границ слоев. Влияние анизотропии промежуточных горизонтов и явление экранирования нижележащих слоев в многослойных массивах может быть учтено с помощью специальных номограмм, которые необходимо использовать в соответствии с реальной обстановкой. В любом случае применение этих номограмм позволяет повысить точность результатов интерпретации кривых

ВЭЗ и получить дополнительные сведения о строении и свойствах изучаемой среды;
присутствие в массиве слоев с градиентным изменением УЭС в вертикальном направлении или неявно выраженных на интерпретируемых кривых

ВЭЗ также приводит к необоснованному завышению глубины залегания опорного горизонта по данным ВЭЗ. Это явление довольно уверенно обнаруживается по смещению координат завершающего эквивалентного слоя вправо по оси абсцисс, находящемуся в некотором противоречии с характером аномалий на интерпретируемой кривой. Влияние градиентности массива или неявно выраженных пластов может быть учтено путем выделения на интерпретируемой кривой

ВЭЗ дополнительных промежуточных особых точек.
3. ОСНОВНЫЕ ЗАКОНОМЕРНОСТИ ИЗМЕНЕНИЯ КРИВЫХ ВЭЗ МДС
НАД ЭЛЕМЕНТАРНЫМИ ГЕОЭЛЕКТРИЧЕСКИМИ МАССИВАМИ (ЭГМ)
С ГОРИЗОНТАЛЬНЫМИ И НАКЛОННЫМИ ГРАНИЦАМИ РАЗДЕЛА СРЕД
3.1. Понятие об ЭГМ. Прежде чем приступить к классификации сред с произвольным расположением границ раздела, уточним понятия геоэлектрического разреза и геоэлектрического массива. Вызвано это тем, что вид кривых

и

ВЭЗ МДС зависит не только от строения и электрических свойств среды, но и от положения центра ВЭЗ и ориентировки оси установки относительно геоэлектрических границ.
3.2. Под геоэлектрическим массивом условимся понимать полупространство, сложенное средами с различными УЭС, отделенными друг от друга границами произвольной формы. Строение геоэлектрического массива описывается истинными значениями УЭС контактирующих сред, истинными мощностями слоев, истинными углами падения и простирания плоскостей и истинными формами криволинейных поверхностей.
3.3. Геоэлектрическим разрезом будем считать сечение геоэлектрического массива вертикальной плоскостью в направлении разносов питающих электродов измерительной установки. Строение геоэлектрического разреза характеризуется структурными и электрическими параметрами сред, "видимыми" в заданном направлении, например, "видимыми" кажущимися сопротивлениями в случае анизотропных сред, "видимыми" углами падения, "видимыми" мощностями слоев, "видимыми" формами криволинейных поверхностей.
3.4. При классификации сред с горизонтальными и наклонными границами раздела необходимо пользоваться понятием геоэлектрического массива, связывая все возможные изменения вида кривых

и

ВЭЗ МДС при различных положениях оси установки на его поверхности с истинными значениями структурных и электрических параметров.
3.5. Условимся называть элементарным геоэлектрическим массивом однородную среду, содержащую единичную неоднородность с границами произвольной формы. В общем случае число ЭГМ должно быть очень большим. Количество их может быть сокращено до разумных пределов, если при их определении пользоваться следующими критериями:
в ЭГМ должно присутствовать не более двух сред с различными УЭС;
строение ЭГМ должно быть максимально простым и вместе с тем соответствовать хотя бы в первом приближении структурам, встречающимся в геологической, инженерно-геологической, гидрогеологической или геокриологической практике; ЭГМ не должен содержать повторяющихся структурных элементов;
каждый выделенный ЭГМ должен отличаться от других либо по общему виду кривых

и

ВЭЗ МДС, либо по закономерностям изменения вида указанных кривых при изменении положения центра ВЭЗ или ориентировки оси установки на поверхности ЭГМ;
вид кривых

и

ВЭЗ МДС над ЭГМ должен быть максимально простым, а точность и однозначность результатов интерпретации их не должны выходить за пределы, ограниченные действием принципа эквивалентности для данного ЭГМ;
при предельных значениях параметров, описывающих строение и электрические свойства среды, ЭГМ должны переходить из одной классификационной единицы в другую и в том числе в элементарные параллельно-слоистые массивы; одновременно с этим должны меняться соответствующим образом общий вид кривых

и

ВЭЗ МДС и закономерности их изменения при изменении положения центра ВЭЗ и ориентировки оси установки на поверхности ЭГМ;
количество выделенных ЭГМ должно быть достаточным для последовательной аппроксимации сложных геоэлектрических массивов (СГМ), встречающихся в практической деятельности.
3.6. Принципы классификации ЭГМ. Классификация геоэлектрических массивов крайне необходима при решении прямой и, главным образом, обратной задачи электроразведки МДС. Главной ее целью является систематизация ЭГМ по первичным и вторичным признакам.
К первичным признакам следует относить параметры, описывающие величины УЭС пород и их распределение в среде, а к вторичным - закономерности изменения электрического поля, находящие свое отражение на кривых

и

ВЭЗ. В основу единой классификации ЭГМ должны быть положены первичные признаки в виде, необходимом для решения прямой задачи ВЭЗ МДС. Вместе с тем в единой классификации должны быть использованы и вторичные признаки, которые являются единственным источником информации при решении обратной задачи ВЭЗ МДС.
3.7. Критерии, принимаемые при систематизации ЭГМ, должны удовлетворять следующим условиям:
ЭГМ, выделяемые в классификационные единицы, должны хотя бы в первом приближении соответствовать геоэлектрическим массивам, встречающимся в геологической, инженерно-геологической, гидрогеологической или геокриологической практике;
ЭГМ, объединяемые в одну классификационную единицу, должны характеризоваться одинаковой совокупностью вторичных признаков и отличаться от других хотя бы по одному из них;
переход ЭГМ из одной классификационной единицы в другую при предельных значениях структурных или электрических параметров должен сопровождаться изменением хотя бы одного вторичного признака.
3.8. Общий вид аномалий на кривых

и

ВЭЗ МДС над ЭГМ любого строения определяется в первую очередь соотношением УЭС контактирующих сред. По этому признаку все ЭГМ могут быть подразделены на два типа. Первый из них характеризуется соотношением

и обозначается цифрой I. Ко второму типу с индексом II относятся ЭГМ с соотношением

. Таким образом, тип является самой крупной таксонометрической единицей в классификации ЭГМ.
3.9. Дальнейшее членение в пределах каждого типа целесообразно производить по морфологическим (структурным) признакам ЭГМ, поскольку характер аномалий на кривых

и

ВЭЗ МДС определяется в пределах одного типа формой и размерами неоднородности. По этим признакам выделены три класса ЭГМ: двухслойные среды (ДС), пласты (Пл) и эллипсоиды вращения (ЭВ).
3.10. Класс ДС. Среда с УЭС

составляет нижнюю часть полупространства и в общем случае повсеместно залегает под средой с УЭС

. С ЭГМ первого класса приходится иметь дело при изучении глубины залегания и строения скальных пород; при трассировании древних долин рек; при поисках и оконтуривании карстовых провалов в кровле карбонатных и сульфатных пород; при определении глубины несквозных таликов в мерзлых породах и т.д.
3.11. Класс Пл. Среда с УЭС

находится в средней части полупространства и в общем случае повсеместно перекрывается и подстилается средой с УЭС

. ЭГМ этого класса описывают изменения в составе и строении пород, слагающих промежуточные горизонты в изучаемом объеме. Эти изменения могут быть обусловлены проявлением пликативной и дизъюнктивной тектоники, присутствием в массиве горизонтов или линз пресных или минерализованных вод, а также многолетнемерзлых пород с различной льдистостью и температурой.
3.12. Класс ЭВ. Среда с УЭС

залегает в среде с УЭС

и ограничена поверхностью вращения. ЭГМ этого класса аппроксимируют различные объекты искусственного и естественного происхождения, имеющие различную протяженность по простиранию и изометрическое сечение. К ним относятся различные трубопроводы и горные выработки, карстовые пещеры, отдельные типы залежей полезных ископаемых и пр.
3.13. ЭГМ в пределах каждого класса могут быть расчленены на более дробные единицы - виды, отличающиеся друг от друга количеством и элементами залегания поверхностей, ограничивающих распространение среды с УЭС

в горизонтальном и вертикальном направлениях. Виды ЭГМ в пределах каждого класса условимся обозначать арабскими цифрами.
3.14. ЭГМ, представляющие собой частные случаи строения среды в пределах одного вида, но имеющие самостоятельное значение, удобно выделить в подвиды, обозначив их малыми буквами русского алфавита. Описание классификации ЭГМ дано в
табл. 3. Там же изображено схематическое строение основных видов и подвидов ЭГМ в разрезе с целью пояснения геоэлектрических и структурных параметров, использованных для характеристики ЭГМ. Принятая систематизация достаточно полно отражает соотношение УЭС контактирующих сред и особенности строения ЭГМ и позволяет однозначно определить положение в классификационной таблице любого из них по индексам, которыми обозначены тип, класс (буквенные), вид и подвид. Принципиальная схема классификации ЭГМ не изменится, если в соответствии с требованиями практики ВЭЗ МДС будут выделены дополнительные классы, виды или подвиды ЭГМ.
Тип | Класс | Вид | Подвид | Разрез ЭГМ с обозначением положения центра ВЭЗ относительно его частей |
ТИП I  или ТИП II  | ДВУХСЛОЙНАЯ СРЕДА (I- ДС при  или II- ДС  ) | Контакт двух изотропных сред I-ДС-1 или II-ДС-1 | Плоскость контакта параллельна поверхности ЭГМ I или II-ДС-1-а | |
Одна из полуплоскостей наклонена относительно поверхности ЭГМ I или II-ДС-1-б | |
Ступень I-ДС-2 или II-ДС-2 | Ступень на плоскости, параллельной поверхности ЭГМ I-а или II-ДС-2-а | |
Грабен I-ДС-3 или II-ДС-3 | Грабен на плоскости, параллельной поверхности ЭГМ I- или II-ДС-3-а | |
Горст I-ДС-4 или II-ДС-4 | Горст на плоскости, параллельной поверхности ЭГМ I- или II-ДС-4-а | |
Воронка I-ДС-5 или II-ДС-5 | Воронка на плоскости, параллельной поверхности ЭГМ I- или II-ДС-5-а | |
Купол I-ДС-6 или II-ДС-6 | Купол на плоскости, параллельной поверхности ЭГМ I- или II-ДС-6-а | |
ПЛАСТ (I- ПЛ при  ) или (II- ПЛ  ) | Пласт безграничный I-ПЛ-1 или II-ПЛ-1 | Пласт безграничен и параллелен поверхности ЭГМ I- или II-ПЛ-1-а | |
Пласт безграничен, одна пара полуплоскостей наклонена относительно поверхности ЭГМ I- или II-ПЛ-1-б | |
| Пласт, ограниченный с одной стороны I-ПЛ-2 или II-ПЛ-2 | Ограниченный пласт, параллельный поверхности ЭГМ I- или II-ПЛ-2-а | |
Пласт залегает перпендикулярно к поверхности ЭГМ I- или II-ПЛ-2-б | |
Пласт, ограниченный с двух сторон I-ПЛ-3 или II-ПЛ-3 | Пласт параллелен поверхности ЭГМ I- или II-ПЛ-3-а | |
Пласт залегает перпендикулярно поверхности ЭГМ I- или II-ПЛ-3-б | |
Эллипсоид вращения I- ЭВ при  или II- ЭВ  | Полуось вращения безгранична (цилиндр I- или II-ЭВ-1) | Ось вращения ЭВ параллельна поверхности ЭГМ I- или II-ЭВ-1-а | |
Ось вращения ЭВ перпендикулярна поверхности ЭГМ I- или II-ЭВ-1-б | |
Оси эллипсоида соизмеримы (шар I- или II-ЭВ-2) | | |
3.15. Введем следующие обозначения для параметров, характеризующих электрические свойства контактирующих сред, строение ЭГМ, размещение центра ВЭЗ на исследуемой поверхности, вид измерительной установки и ориентировку ее оси:

- УЭС первой от поверхности среды;

- УЭС второй от поверхности среды;
h0 - глубина залегания верхней точки первой от поверхности геоэлектрической границы; эти точки могут располагаться на ребрах двугранных углов, образующихся при пересечении двух плоских границ; ими являются вершины цилиндрических, сферических или конических поверхностей;
h1 или
H - глубина залегания кровли горизонта под центром ВЭЗ; она измеряется по перпендикуляру к поверхности, на которой располагается установка;
h2 - истинная мощность объекта; она определяется по перпендикуляру к параллельным ограничивающим плоскостям; в случае цилиндра и шара соответствует их диаметрам;

- амплитуда смещения горизонтальных и пологонаклонных геоэлектрических границ; измеряется по нормали к поверхности наблюдений;
D - ширина возмущающего объекта определяется по перпендикуляру к оси симметрии; для цилиндра и шара соответствует их диаметрам;

- угол падения наклонных плоскостей относительно поверхности, на которой производятся измерения; этот угол отсчитывается в вертикальной плоскости, перпендикулярной ребру двугранного угла, образованного поверхностью измерений и наклонной плоскостью;
d - расстояние от центра ВЭЗ до проекции верхних точек негоризонтальных границ раздела сред на поверхность измерений; во всех случаях
d откладывается по перпендикуляру к простиранию негоризонтальных границ или осей симметрии массива;

- угол между направлением разносов питающих линий ВЭЗ МДС и простиранием наклонных плоскостей или осей симметрии цилиндрических тел; угол

всегда отсчитывается от оси установки по ходу часовой стрелки;
r - действующее расстояние или длина разносов питающих электродов измерительной установки; для симметричной установки

, для трехэлектродных градиент-установок
r =
AO =
OB, для дипольных -
r =
OO' - расстоянию между центрами питающего и приемного диполей.
3.16. Для соблюдения принципа подобия при построении и анализе теоретических и экспериментальных кривых

и

ВЭЗ МДС над ЭГМ необходимо использовать не абсолютные значения геоэлектрических и технических параметров, а их соотношения. С этих позиций представляют интерес следующие отношения:

,
v2 =
h2/
h1 или
h2/
H,
h2/
D,
D/
r,
d/
D,
r/h1.
3.17. В результате физического моделирования каждый класс, вид или подвид ЭГМ типа I

был охарактеризован сериями кривых, отражающими изменения величин и знаков

и

в зависимости от распределения геоэлектрических параметров в массиве и положения измерительных установок относительно простирания наклонных границ раздела сред. Все типичные кривые ВЭЗ МДС систематизированы по видам и подвидам ЭГМ и схемам измерительных установок.
3.18. ЭГМ различных классов заметно отличаются друг от друга по вторичным признакам. Так, для массивов первого класса характерно возрастание значений

по мере увеличения действующего расстояния с выходом на асимптоту при бесконечно больших
r. Массивам второго класса свойственны кривые

с отчетливо выраженным максимумом в средней их части. Над центральной частью ЭГМ третьего класса наблюдаются монотонно возрастающие кривые

ВЭЗ МДС, довольно быстро выходящие на асимптоту при увеличении действующего расстояния.
3.19. При описании и анализе результатов ВЭЗ МДС удобно пользоваться понятиями о нормальном поле и аномалии на кривых

и

.
3.20. Под нормальным полем условимся понимать значения

и

ВЭЗ, которые имеют место или должны иметь место при отсутствии в геоэлектрическом массиве подлежащей исследованию неоднородности. Форма и уровень нормального поля зависят от строения исходного геоэлектрического массива и величин УЭС контактируемых сред. Параметры нормального поля ВЭЗ МДС могут быть как постоянными, когда исходный геоэлектрический массив сложен однородной изотропной или анизотропной средой, так и переменными при наличии в нем единичных контактов двух и более сред.
3.21. Аномалией на кривых

и

ВЭЗ МДС следует считать все отклонения от уровня нормального поля, превышающие допустимую ошибку измерений.
Основные закономерности изменения кривых двусторонних
трехэлектродных ВЭЗ МДС над ЭГМ различного строения
Первый класс - двухслойная среда (I-ДС)
3.22. Простейший ее случай - двухслойная параллельно-слоистая среда (подвид I-ДС-1-а), рассмотрен нами в предыдущем разделе. Вид - наклонный контакт двух изотропных сред (Подвид I-ДС-1-б).
3.23. Кривые

и

трехэлектродных ВЭЗ для ЭГМ рассматриваемого подвида приведены на
рис. 22 и
23. Они характеризуются следующими признаками.
Рис. 22. Типичные кривые двусторонних трехэлектродных
ВЭЗ МДС над наклонным контактом двух сред
а)
| d/r = -0,65 | d/r = -0,33 | d/r = -0,1 |
0° | | | |
45° | | | |
90° | | | |
б)
| d/r = +0,1 | d/r = +0,33 | d/r = +0,66 |
0° | | | |
45° | | | |
90° | | | |
Рис. 23. Экспериментальные кривые двусторонних
трехэлектродных ВЭЗ МДС над наклонным контактом
а - над горизонтальной его частью;
б - над наклонной частью наклонного контакта
3.24. Когда центр зондирования располагается над горизонтальной частью наклонного контакта (положение "+"), кривые

для удаляющейся установки
AMN,
как правило, соответствуют двухслойному строению среды.
В отличие от этого на кривых

для секущей установки
MNB формируется перегиб или локальный максимум, после которого кривая выходит на горизонтальную асимптоту при

. В результате этого образуется специфическое расхождение кривых

для встречных установок, однозначно указывающее на присутствие в разрезе наклонного контакта двух сред в стороне от центра зондирования.
3.25. Аномалии на кривых

для удаляющейся установки представлены непрерывным увеличением или уменьшением значений по мере увеличения действующего расстояния; при этом обнаруживается отчетливая тенденция к выходу кривых

на асимптоту при больших
r/
h1. На кривых

для секущей установки формируются аномалии, имеющие положительный или отрицательный экстремум при пересечении ребра контакта питающим электродом. Знаки аномалий на кривых

для встречных установок всегда различны и зависят от направления отклонения оси установки от перпендикуляра к простиранию ребра контакта.
3.26. Когда центр ВЭЗ находится над ребром контакта ("+/-",
рис. 22,
б), обе установки становятся удаляющимися и кривые

для них приобретают вид двухслойных. При этом кривая

, полученная установкой, питающий электрод которой перемещается над наклонной плоскостью, располагается всегда ниже. Аномалия на кривых

для установки, располагающейся над горизонтальной плоскостью контакта, практически не меняется, тогда как на кривой для установки, проходящей над наклонной плоскостью, абсолютная величина сначала возрастает, а затем монотонно убывает, стремясь к нулю.
3.27. Если центр ВЭЗ находится над наклонной частью контакта ("-",
рис. 22,
в), то характерным признаком, указывающим на присутствие в массиве наклонной плоскости, является расхождение кривых

для обеих установок. Влияние нижележащей плоскости обнаруживается раньше на кривой

для секущей установки, питающий электрод которой идет по восстанию наклонной плоскости в сторону ребра контакта. При пересечении ребра контакта этой установкой на кривой

образуется перегиб при

, после которого угол наклона кривой относительно оси абсцисс уменьшается. Увеличение значений

для удаляющейся установки наступает тем позже, чем больше угол падения

. Наклон этой кривой

относительно оси абсцисс меньше, чем у аналогичной кривой над параллельно-слоистой средой с теми же соотношениями УЭС. Величины отношения

начинают отличаться от нуля одновременно с проявлением влияния наклонной плоскости контакта на кривой

ВЭЗ. На кривой

для секущей установки экстремум формируется на расстоянии

.
3.28. Форма аномалий и положение характерных точек на кривых

и

двусторонних трехэлектродных ВЭЗ сохраняются при любых значениях угла падения наклонной плоскости контакта, если прочие условия остаются постоянными. Изменение

от 0° до 90° сопровождается лишь увеличением расхождения кривых

для удаляющейся и секущей установок и ростом амплитуд аномалий на кривых

для секущей установки.
При этом необходимо обратить внимание на следующую особенность их изменения в зависимости от положения центра зондирования относительно ребра контакта.
Когда центры ВЭЗ находятся над горизонтальной плоскостью контакта, форма и амплитуды аномалий на кривых

и

для удаляющейся установки неявно зависят от величины

. При этом аномалии на кривых

внешне отражают двухслойное строение среды с заданным распределением геоэлектрических параметров в вертикальном направлении.
3.29. Установленные закономерности изменения параметров аномалий на кривых

и

двусторонних трехэлектродных ВЭЗ могут быть использованы для численной оценки истинного угла падения наклонной плоскости контакта. Для этих целей наилучшим образом подходит параметр, описывающий степень расхождения кривых

, полученных удаляющейся и секущей установками. Для количественной оценки этого параметра удобно воспользоваться отношением

, где

и

- значения на кривых

для удаляющейся и секущей установок при одном и том же действующем расстоянии. Пример определения

и

приведен на
рис. 22. С тем чтобы сделать возможным построение номограмм для определения

по величинам

, условимся значения

и

брать при

, когда кривые получены над горизонтальной плоскостью контакта (
рис. 22,
а) и при

, если центр ВЭЗ МДС находится над наклонной плоскостью контакта (
рис. 22,
б).
3.30. Влияние угла

на величины и знаки аномалий на кривых

и

двусторонних трехэлектродных ВЭЗ весьма специфично и принципиально одинаково при любых положениях центра зондирования относительно ребра наклонного контакта двух сред.
Не останавливаясь на деталях этого влияния, отметим лишь те его черты, которые могут быть использованы в дальнейшем для определения простирания наклонной плоскости контакта. К их числу относятся закономерные и взаимосвязанные изменения степени расхождения кривых

для удаляющейся и секущей установок, знаков и амплитуд аномалии на кривых

и

для удаляющихся установок, которые имеют место при изменении величины и направления отклонения оси установки от перпендикуляра к ребру контакта.
3.31. Расхождение кривых

двусторонних трехэлектродных ВЭЗ максимально при

(см.
рис. 23). При этом экстремумы и точки перегиба на кривых для секущих установок выражены наиболее отчетливо, а абсциссы их численно равны расстоянию от центра ВЭЗ до ребра наклонного контакта. Расхождение кривых

двусторонних трехэлектродных ВЭЗ постепенно уменьшается по мере увеличения отклонения оси установок от перпендикуляра к ребру контакта в ту или иную сторону. Одновременно с этим происходит сглаживание экстремумов и точек перегиба на них и смещение их вправо по оси абсцисс. Когда ось установок ориентирована вдоль ребра контакта (

или 180°), кривые

двусторонних трехэлектродных ВЭЗ МДС полностью совпадают, а экстремумы и точки перегиба, обусловленные пересечением ребра контакта питающими электродами, исчезают. Закономерности изменения величины

в зависимости от угла

таковы, что по ним можно установить наличие отклонения оси установки от перпендикуляра к ребру контакта, но нельзя однозначно указать направление этого отклонения без проведения круговых исследований.
3.32. Значения

равны нулю на всех разносах питающих электродов любой установки, если

. Аномалии на кривых

двусторонних трехэлектродных ВЭЗ МДС возникают, когда ось установок отклоняется от перпендикуляра к ребру контакта. Амплитуда аномалий на кривых

непрерывно возрастает по мере уменьшения

или увеличения

угла между осью установки и простиранием ребра контакта и достигает максимума при

или 180°. Кривые

двусторонних ВЭЗ МДС над наклонным контактом с

и

совпадают с теоретическими кривыми

над вертикальным контактом при

как по форме, так и по величинам.
3.33. Знаки на кривых

для удаляющейся и секущей установок всегда различны над ЭГМ I-
ДС-1-б и зависят от направления отклонения оси установок от перпендикуляра к ребру контакта. Закономерности их изменения таковы, что по соотношению знаков аномалий на кривых

двусторонних трехэлектродных ВЭЗ МДС можно однозначно указать направление этого отклонения, а по абсолютной величине

в пределах аномалий - судить о величине угла

между осью установки и простиранием наклонной плоскости контакта. С тем, чтобы облегчить использование знаков аномалий на кривых

при определении простирания ребра контакта, условимся всегда брать знак аномалии на кривых

для удаляющейся установки. Такой выбор объясняется тем, что аномалии на кривых

в этом случае обладают наиболее устойчивой формой и не меняют своего знака при увеличении действующего расстояния над ЭГМ практически любого строения. Аномалии на кривых

для удаляющихся установок отрицательны при

и положительны при

, когда центр ВЭЗ находится над горизонтальной частью наклонного контакта (см.
рис. 22, "+" и "+/-"). Над наклонной плоскостью наблюдается обратное соотношение знаков

на кривых для удаляющихся установок: отрицательные значения соответствуют тупым углам

, а положительные - острым. Таким образом, информация, заключенная в закономерностях изменения вида и знаков аномалий на кривых

и

двусторонних трехэлектродных ВЭЗ, носит взаимодополняющий характер и достаточна для определения простирания наклонного контакта двух сред.
3.34. Исследуя поведение кривых

для удаляющихся установок над горизонтальной плоскостью контакта (
рис. 23,

), можно заметить, что угол наклона их относительно оси абсцисс постепенно уменьшается по мере увеличения отклонения оси установки от перпендикуляра к ребру контакта. При этом внешний вид аномалий практически не меняется и соответствует двухслойному строению среды в широком диапазоне изменений величины

. Это явление вызвано влиянием залегающей сбоку проводящей среды и внешне подобно тому, что происходит при уменьшении УЭС нижележащей среды. Влияние проводящей среды минимально при

, и кривые

для удаляющейся установки практически полностью соответствуют параметрам двухслойной параллельно-слоистой среды. Когда оси установок ориентированы вдоль ребра контакта (

или 180°), влияние проводящей среды достигает максимума, и кривые

из двухслойных превращаются в трехслойные. На присутствие проводящей среды в разрезе сбоку от центра ВЭЗ указывают только характерные аномалии разного знака на кривых

.
3.35. Следовательно, по кривым

для удаляющихся установок могут быть определены с помощью теоретических кривых

только глубина залегания горизонтальной плоскости контакта двух сред и УЭС первой от поверхности среды. УЭС подстилающей среды будут приуменьшены тем больше, чем больше отклонена ось установки от перпендикуляра к ребру наклонной плоскости контакта. Столь закономерные изменения амплитуд аномалий на кривых

для удаляющихся установок заставляют, с одной стороны, искать способы обнаружения и учета бокового влияния проводящей среды, а с другой - могут послужить источником дополнительной информации для определения простирания наклонной плоскости контакта.
3.36. Можно предложить следующие правила определения глубины залегания наклонной плоскости контакта и УЭС контактирующих сред с помощью имеющихся палеток теоретических кривых

ВЭЗ.
3.37. При неглубоком залегании ребра наклонного контакта

и больших углах падения его наклонной плоскости

целесообразно использовать палетки для симметричных ВЭЗ над наклонным контактом, осредняя для этого кривые

двусторонних трехэлектродных ВЭЗ. Теоретические кривые

, рассчитанные для

, могут быть применены без опасности получить большие погрешности, если

. При

или

следует пользоваться теоретическими кривыми для

.
3.38. При глубоком залегании ребра наклонного контакта двух сред

интерпретацию кривых

двусторонних трехэлектродных ВЭЗ следует проводить с помощью палеток теоретических кривых ГП-2. При этом глубина залегания наклонной плоскости контакта вычисляется как полусумма глубин, полученных при интерпретации кривых

для удаляющейся и секущей установок. УЭС контактирующих сред наилучшим образом может быть определено по осредненной кривой

двусторонних трехэлектродных ВЭЗ с помощью теоретических кривых симметричных ВЭЗ из набора для наклонного контакта двух сред при

и ГП-2 - при
.
3.39. Завершая исследование основных закономерностей изменения аномалий на кривых

и

двусторонних трехэлектродных ВЭЗ над ЭГМ I-
ДС-1-б, необходимо отметить следующее:
особенности изменения аномалий на кривых

и

двусторонних трехэлектродных ВЭЗ в этом случае таковы, что по данным одного ВЭЗ МДС можно обнаружить присутствие в массиве наклонного контакта двух сред и указать его местоположение;
глубины залегания горизонтальной и наклонной плоскостей контакта могут быть определены с помощью палеток теоретических кривых ГП-2 и HK. При оценке УЭС пород нижнего горизонта необходимо учитывать боковое влияние проводящей среды, залегающей над наклонной плоскостью;
такие параметры аномалий на кривых

и

двусторонних трехэлектродных ВЭЗ, как

и

, отчетливо зависят от соотношения УЭС контактирующих сред и элементов залегания геоэлектрических границ. Характер этих зависимостей таков, что ни один из указанных параметров не может быть использован для однозначного определения свойств и строения среды. Вместе с тем имеются все предпосылки для успешного решения этой задачи при совместном их использовании.
Вид - ступень, подвид I-ДС-2-а
3.40. Основные закономерности изменения аномалий на кривых

и

двусторонних трехэлектродных ВЭЗ остаются принципиально теми же, что и в случае наклонного контакта двух сред. Различия между ними, которые позволяют выделить ступень в самостоятельный вид, сводятся к следующему
(рис. 24).
Рис. 24. Типичные кривые двусторонних трехэлектродных
ВЭЗ МДС над ступенью с высокоомным основанием
3.41. При размещении центра зондирования над горизонтальной поднятой частью (см.
рис. 24,
а) кривые

для удаляющейся установки имеют вид двухслойных при любых значениях угла

. На кривых

для секущей установки формируются максимум и минимум или широкий перегиб вместо них, после чего первоначальный угол наклона кривой восстанавливается и кривые

для встречных установок располагаются параллельно. Максимум или первый перегиб на кривой

для секущей установки формируется при

, тогда как минимум или второй перегиб имеют место при

, четко фиксируя положение ребра ступени в разрезе по направлению разносов питающих электродов. Степень расхождения кривых

для встречных установок тесно связана с величинами отношения

и угла

.
3.42. Когда центр ВЭЗ находится над ребром ступени ("+/-",
рис. 24,
б), кривые

для правой и левой установок параллельны и смещены относительно друг друга. Степень расхождения их зависит от величин

,

и

.
3.43. Над погруженной частью ступени ("-",
рис. 24,
в) расхождение кривых

для секущей и удаляющейся установок быстро исчезает по мере увеличения

и уменьшения

. Сколько-нибудь заметные изменения величин

имеют место при

или

и только в непосредственной близости с ребром ступени.
Вид - грабен, подвид I-ДС-3-а
3.44. Кривые

и

двусторонних трехэлектродных ВЭЗ
(рис. 25), полученные в стороне от грабена, идентичны кривым над поднятой частью ступени, если выполняется соотношение

. При

наклон правой ветви кривой

для секущей установки становится более 45° относительно оси абсцисс, вследствие чего степень расхождения правых ветвей кривых

для удаляющейся и секущей установок начинает убывать по мере увеличения действующего расстояния. Это является надежным признаком присутствия в массиве нешироких переуглублений.
Рис. 25. Типичные кривые двусторонних
трехэлектродных ВЭЗ МДС над грабеном
3.45. Над осью грабена кривые

для встречных установок совпадают и идут круче 45°. Максимальный угол их наклона относительно оси абсцисс наблюдается при

и достигает 62°. Интерпретация таких кривых

ВЭЗ может быть осуществлена только с помощью теоретических кривых, собранных в палетку
ЦС-2-1
. Кривые

для встречных установок также совпадают над центром грабена. При этом острым углам отвечают положительные значения

, а тупым - отрицательные, в противоположность тому, что имеет место над боковыми границами грабена. Это различие необходимо всегда принимать во внимание при определении простирания грабена по данным зондирований, выполненных над его центром и боковыми границами.
Вид - горст, подвид I-ДС-4-а
3.46. Аномалии на кривых

и

двусторонних трехэлектродных ВЭЗ МДС, полученные за пределами горста (I-
ДС-4 "-",
рис. 26,
а) и над пониженной частью ступени (I-
ДС-2-а "-",
рис. 24,
в) имеют много общего. Заметные различия между горстом и ступенью обнаруживаются, когда центр зондирования оказывается в непосредственной близости с их боковыми границами. Над горстом на кривых

для секущих установок формируются последовательно максимум и минимум по мере того, как питающий электрод проходит над ближней и дальней его границами. Аномалии на кривых

обладают небольшими амплитудами и имеют одинаковые знаки для удаляющейся и секущей установок. При этом так же, как и в случае ступени и грабена, отрицательные величины на кривых

для удаляющихся установок, соответствуют тупым углам

, а положительные - острым.
Рис. 26. Типичные кривые двусторонних
трехэлектродных ВЭЗ МДС над горстом
3.47. Непосредственно над горстом аномалии на кривых

и

двусторонних ВЭЗ обладают рядом специфических признаков, из которых необходимо обратить внимание на следующие.
3.48. Когда центр ВЭЗ располагается над боковой границей горста (I-
ДС-4-а "+/-",
рис. 26,
б), кривая

для удаляющейся установки сохраняет вид двухслойной, тогда как на кривой

для секущей установки, проходящей над горстом, формируется характерный перегиб при

. На кривой

для секущей установки происходит смена знака при

, после чего кривые

для удаляющейся и секущей установок идут с одинаковым знаком.
3.49. Над осью горста кривые

и

для левой и правой установок совпадают соответственно на всех разносах питающих электродов и при любых углах

(положение "+",
рис. 26,
в). На разносе

формируется перегиб кривой

, сопровождающийся резким увеличением ее угла наклона относительно оси абсцисс. Аномалии на кривых

ВЭЗ приобретают вид, свойственный разрезам вида
KH неявных подвидов. На присутствие в массиве негоризонтальных границ раздела указывает в таких случаях только знакопеременная аномалия на кривых

, переход через нуль в пределах которой осуществляется при

.
Вид - воронка, подвид I-ДС-5-а
3.50. Типичные кривые

и

двусторонних трехэлектродных ВЭЗ над полусферическим углублением в непроводящем основании приведены на
рис. 27. Получены они в результате физического моделирования в грунтовой ванне, при котором не удалось задать границы воронки с требуемой точностью. Об этом свидетельствует некоторая асимметрия аномалии на кривых

двусторонних трехэлектродных ВЭЗ, особенно заметная вблизи границ воронки

при малых значениях
MN. Тем не менее на этом примере можно проследить основные закономерности изменения аномалий на кривых

и

двусторонних трехэлектродных ВЭЗ над изометрическим углублением и высокоомном фундаменте.
d/D | -0,75 | -0,5 | -0,25 | 0 |
Центры ВЭЗ и питающие электроды находятся на одном диаметре полусферы | | | | |
Центры ВЭЗ находятся на диаметре полусферы, питающие электроды - на перпендикуляре к этому диаметру | | | | |
Рис. 27. Типичные кривые

и

двусторонних трехэлектродных
ВЭЗ МДС над полусферическим углублением в непроводящем
основании по данным физического моделирования
3.51. Предварительно уточним правила определения ориентировки оси установки относительно проекции границ воронки на земную поверхность.
Условимся отсчитывать угол

от оси установки по ходу часовой стрелки до касательной к окружности в точке пересечения ее диаметром, на котором или на продолжении которого находится центр ВЭЗ
(рис. 28). При таком условии обеспечивается общность правил отсчета углов

при определении элементов залегания плоских и криволинейных границ раздела сред, а также сохраняется единый закон изменения знаков аномалии на кривых

двусторонних трехэлектродных ВЭЗ при изменении ориентировки оси установки относительно направления плоских и криволинейных поверхностей.
Рис. 28. Примеры определения угла

в случае
криволинейных поверхностей раздела сред
3.52. Сравнивая кривые на
рис. 25 и
27, легко убедиться в том, что закономерности изменения аномалий на кривых

и

двусторонних трехэлектродных ВЭЗ над грабеном и воронкой во многом одинаковы.
Различия между ними носят частный характер и сводятся к тому, что над центром воронки значения

при любой ориентировке оси установки на земной поверхности.
Приемы интерпретации полученных кривых ВЭЗ МДС оказались во многом идентичными. Когда центр ВЭЗ располагается над центром воронки, величины

,

и

могут быть определены с удовлетворительной точностью с помощью теоретических кривых на палетке
ЦС-2-I
, если соблюдается соотношение

. Если центр ВЭЗ смещен относительно центра воронки, интересующие нас геоэлектрические параметры могут быть получены в результате интерпретации кривой

для удаляющейся установки, питающий электрод которой удаляется в процессе зондирования от ближайшей к центру ВЭЗ боковой границы воронки.
Класс - пласты (I-Пл)
3.53. Трехслойная параллельно-слоистая среда - тип
K или ЭГМ I-
Пл-1
. В этом случае кривые

двусторонних трехэлектродных ВЭЗ совпадают, а значения

равны нулю на всех разносах питающих электродов. Основные типы аномалий на кривых

ВЭЗ МДС и приемы их интерпретации рассмотрены в
разд. 2.
Вид - изогнутый пласт, подвид - I-Пл-2-а
3.54. Когда центр зондирования располагается над горизонтальной частью изогнутого пласта (положение "+",
рис. 29,
а), кривые

для удаляющейся установки имеют вид трехслойных, полностью соответствуя геоэлектрическим параметрам разреза. Влияние наклонной часта пласта обнаруживается на кривых

для секущей установки, начиная с разносов

. На них присутствуют два локальных максимума, один из которых формируется в результате прохождения питающего электрода секущей установки над ребром изогнутого пласта, а второй обусловлен влиянием нижней границы пласта. Вследствие этого кривые

для встречных установок расходятся, начиная с

, и образуют характерное пересечение при больших действующих расстояниях.
Рис. 29. Типичные кривые двусторонних
трехэлектродных ВЭЗ МДС над изогнутым пластом
3.55. Значения

равны нулю на всех разносах питающих электродов, если центр ВЭЗ находится над горизонтальной частью пласта и достаточно удален от его боковой границы, а также при

. Во всех остальных случаях на кривых

для удаляющейся и секущей установок присутствуют аномалии, амплитуды и знаки которых зависят от величины и направления отклонения оси установок от перпендикуляра к простиранию наклонной плоскости пласта. Форма и знаки аномалий на кривых

двусторонних трехэлектродных ВЭЗ над пластом почти полностью идентичны тем, что имеют место над горизонтальной плоскостью наклонного контакта. Такое соответствие сохраняется при любых расстояниях между центром ВЭЗ и проекцией боковой границы пласта на земную поверхность и любой ориентировке оси установки, что делает возможной разработку общих приемов интерпретации данных ВЭЗ МДС.
3.56. Кривые

ВЭЗ МДС, полученные над наклонной частью изогнутого пласта, только в общих чертах соответствуют кривым над трехслойными геоэлектрическими массивами (
рис. 29,
в, положение "-"). Кривые

для встречных установок расходятся сразу же после того, как на них обнаруживается влияние нижележащей высокоомной среды. Степень расхождения кривых для встречных установок, величина смещения максимумов определяются величинами

,

,

и
v2. Аномалии на кривых

над наклонной частью изогнутого пласта подобны тем, что имеют место над наклонной плоскостью контакта двух сред. При этом они более устойчивы на кривых

для удаляющейся установки, имея положительные значения при

и отрицательные при

.
3.57. Влияние величины угла падения наклонной части изогнутого пласта на результаты двусторонних трехэлектродных ВЭЗ МДС выражается в следующем
(рис. 30). Амплитуда аномалий на кривых

и степень расхождения кривых

двусторонних трехэлектродных ВЭЗ возрастают по мере увеличения угла падения наклонной части пласта в диапазоне

. При этом аномалии на кривых

для удаляющихся установок соответствуют трехслойному строению среды, а интерпретация их с помощью теоретических кривых для трехслойных сред позволяет определить мощность пласта
h2' =
h2 с удовлетворительной точностью. Однако получаемые при этом значения
H' превышают глубину залегания
H верхней границы пласта под центром ВЭЗ, а значения

оказываются несколько меньше истинных. Эти расхождения закономерно возрастают по мере увеличения

. Аномалии на кривых

для секущих установок также отражают трехслойное строение среды и могут быть проинтерпретированы с помощью теоретических кривых для трехслойных сред. Получаемые при этом значения
H" оказываются явно преуменьшенными, а

преувеличенными. Однако

и

так же, как и в случае наклонного контакта двух сред. Мощность пласта

, определяемая по кривым

для секущих установок, оказывается значительно меньше истинной; при

она вообще не может быть оценена из-за плохого совмещения этих кривых с теоретическими для трехслойных сред. Интерпретация осредненных кривых

двусторонних трехэлектродных ВЭЗ, соответствующих кривым симметричных ВЭЗ, позволяет найти с достаточной точностью
H и

пласта; истинная мощность пласта в этом случае оказывается всегда заниженной. Ошибки интерпретации возрастают по мере увеличения угла падения, и при

кривые

симметричных ВЭЗ становятся совсем неинтерпретируемыми из-за плохого их совпадения с теоретическими кривыми как для наклонного контакта двух сред, так и для горизонтально-слоистой трехслойной среды.
Угол падения

Класс и вид геоэлектрических разрезов | 0° | 10° | 20° | 30° | 60° | 90° |
Двухслойная среда с горизонтальной и наклонной частью | | | | | | |
Пласт с горизонтальной и наклонной частью | | | | | |
Пласт, ограниченный по простиранию с одной стороны | | | | |
Рис. 30. Результаты физического моделирования,
иллюстрирующие особенности изменения аномалий
на кривых двусторонних трехэлектродных ВЭЗ МДС
над ЭГМ I-ДС-1-б "-"; I-ПЛ-1-б "-"; I-ПЛ-2-а
"+" при

3.58. Изменение ориентировки оси установки относительно простирания наклонной плоскости изогнутого пласта влияет на результаты двусторонних трехэлектродных ВЭЗ в общем так же, как и в случае наклонного контакта двух сред. Специфика ЭГМ I-Пл-2-а выражается в следующем.
Когда центр ВЭЗ находится над горизонтальной частью изогнутого пласта (положение "+"), амплитуды максимумов на кривых

для удаляющихся установок достигают наибольших значений при

, полностью соответствуя распределению УЭС в вертикальном направлении под точкой зондирования. Такое соответствие сохраняется при любых расстояниях от центра ВЭЗ до боковой границы изогнутого пласта. По мере отклонения оси установки в ту или иную сторону от этого направления амплитуды максимумов уменьшаются и достигают минимальных значений при

или 180°. При этом абсцисса максимумов остается постоянной при любых

и

, если соблюдается условие

. Такое поведение аномалий на кривых

удаляющихся установок приводит к тому, что в результате их интерпретации с помощью теоретических кривых для трехслойных сред могут быть получены значения
v2 и

и, следовательно,
h2 и

, меняющиеся в одном пункте наблюдений в широких пределах в зависимости от ориентировки оси установки. Вместе с тем закономерные изменения амплитуды максимумов на кривых

для удаляющихся установок делают возможной разработку способов учета бокового влияния проводящей среды путем приведения амплитуд аномалий к их значениям при

с помощью соответствующих поправок. Решение этой задачи облегчается тем, что абсциссы максимумов на кривых

постоянны, а величины и знаки аномалий на кривых

для удаляющихся установок отчетливо зависят от ориентировки оси установки относительно простирания наклонной части изогнутого пласта.
Подвид - горизонтальный пласт, ограниченный
с одной стороны (I-Пл-3-а)
3.59. Кривые

для удаляющихся установок соответствуют трехслойному строению среды с заданными геоэлектрическими параметрами при любых расстояниях между центром зондирования и боковой границей пласта
(рис. 31).
Рис. 31. Типичные кривые двусторонних трехэлектродных
ВЭЗ МДС над горизонтальным пластом, ограниченным
по простиранию с одной стороны
3.60. Амплитуда максимума, его абсцисса на кривых

для секущей установки постепенно уменьшается по мере приближения центра ВЭЗ к боковой границе пласта. Аномалии на кривых для секущей установки исчезают над ребром пласта при

и
d = 0 (положение "+/-",
рис. 31,
б). В результате этого над ограниченным с одной стороны пластом, залегающим параллельно дневной поверхности, возникает расхождение кривых

для встречных установок, которое увеличивается по мере приближения центра ВЭЗ к боковой границе пласта. Аномалии на кривых

двусторонних трехэлектродных ВЭЗ над ограниченным пластом, параллельным земной поверхности, имеют ту же форму и знаки, как над контактом двух сред, ступенью и изогнутым пластом на участках, где границы раздела сред параллельны земной поверхности (положение "+" и "+/-",
рис. 31,
а и
б).
3.61. Когда центр зондирования помещается за пределами пласта (положение "-",
рис. 31,
в), аномалии на кривых

для удаляющихся установок отсутствуют. На кривых

для секущих установок присутствует максимум, который по своим параметрам существенно отличается от аномалий, характерных для параллельно-слоистых сред. Интерпретация этого максимума с помощью номограмм, рассчитанных для параллельно-слоистых сред, не венчается успехом из-за отсутствия решений.
3.62. Аномалии на кривых

для встречных установок имеют в рассматриваемом случае различные знаки. Величины

на кривой для удаляющейся установки постепенно растут по мере увеличения действующего расстояния. Отрицательным значениям

отвечают

, а положительным -

. На кривой

для секущей установки формируется экстремум, абсцисса которого совпадает с абсциссой максимума на кривой

, обнаруживая тем самым положение пласта в разрезе.
Подвид - вертикальный пласт I-Пл-3-б
3.63. Когда центр зондирования находится за пределами вертикального пласта (
рис. 32, положение "-"), аномалии на кривых

и

двусторонних трехэлектродных ВЭЗ имеют много общего с аномалиями, получаемыми за пределами горизонтального пласта. Это сходство сохраняется при любых значениях угла падения, предопределяя тем самым единство признаков для обнаружения в массиве горизонтальных и наклонных пластов, залегающих в стороне от центра зондирования.
3.64. Над центром вертикального пласта (
рис. 32, положение "+") кривые

и

для левой и правой установок соответственно совпадают при любом положении оси установки относительно простирания боковых границ пласта. При этом форма аномалий на кривых

и

во многом зависит от соотношения

.
Рис. 32. Типичные кривые двусторонних
трехэлектродных ВЭЗ МДС над вертикальным пластом,
ограниченным сверху и снизу
3.65. При

в начальной ветви кривых

всегда присутствует максимум, образующийся в результате прохождения питающих электродов над боковыми границами пласта. Правая ветвь кривых имеет постоянный наклон относительно оси абсцисс в интервале

. Угол наклона максимален при

и не превышает 35° при

.
3.66. На кривых

при соотношении

формируется знакопеременная аномалия. Переход значений

через нуль происходит при

и хорошо коррелируется с положением максимума на кривых

, создавая тем самым надежные предпосылки для определения ширины пласта по данным ВЭЗ МДС. Отношение

на всех разносах питающих электродов, если

, 90° или 180°; во всех остальных случаях

не равно нулю; оно отрицательно при

и положительно при

.
3.67. Максимум в левой части кривых

и знакопеременная аномалия на кривых

отсутствуют над маломощным вертикальным пластом (при

). Абсолютные значения

и

в этом случае монотонно возрастают по мере увеличения действующего расстояния, подобно тому, что имеет место над параллельно-слоистыми разрезами типа
A. Интерпретация таких кривых

с помощью палеток и номограмм, рассчитанных для параллельно-слоистых сред, приводит к ошибочным оценкам всех параметров разреза. Отсюда возникает потребность в разработке специальных палеток теоретических кривых и номограмм для определения геоэлектрических параметров вертикального пласта и окружающей его среды.
3.68. Характер аномалий на кривых

и

двусторонних трехэлектродных ВЭЗ МДС над вертикальными пластами таков, что для определения их геоэлектрических и структурных параметров можно воспользоваться соотношениями

и

. Примеры выбора особых точек на кривых

и

двусторонних трехэлектродных ВЭЗ показаны на
рис. 32.
3.69. Специфика аномалий на кривых

и

ВЭЗ МДС над вертикальными пластами состоит еще и в том, что абсолютные величины

и

очень сильно зависят от соотношения

. Значения

и

максимальны по модулю, если длина приемной линии меньше горизонтальной мощности пласта, и резко уменьшаются, как только размеры приемной линии ее превысят. В результате этого формируется характерное параллельное смещение кривых

и

ВЭЗ МДС при переходе с одного разноса приемных линий на другой. При прочих равных условиях это смещение максимально на кривых

при

и на кривых

при

или 180°.
Вид - ограниченный с двух сторон пласт, подвид I-Пл-4-а
3.70. Когда центр зондирования располагается за пределами ограниченного с двух сторон пласта (положение "-",
рис. 33) или находится над его боковыми границами (положение "+",
рис. 33), аномалии на кривых

и

двусторонних трехэлектродных ВЭЗ имеют такой же вид, что и на кривых, полученных над боковыми границами горизонтального или пологонаклонного пластов, ограниченных с одной стороны. Совершенно идентичны в этих случаях и закономерности изменения амплитуд и знаков аномалий на кривых

и

в зависимости от параметров геоэлектрического разреза и элементов залегания границ. Поэтому последние могут быть определены с помощью приемов, применяющихся при интерпретации кривых, полученных над ЭГМ I
-ДС и I-
Пл. Точность результатов интерпретации вполне удовлетворительна, если соблюдается условие

, где
rос - абсцисса максимума на кривых

над безграничным пластом с теми же

и

.
Рис. 33. Типичные кривые двусторонних трехэлектродных ВЭЗ
МДС над горизонтальным пластом, ограниченным с двух сторон
3.71. Над центром пласта (положение "+",
рис. 33,
в) кривые

и

для левой и правой установок совпадают. На кривых

в этом случае присутствует аномалия, характерная для трехслойных разрезов типа
K с

. При этом ордината правой асимптоты определяется не только соотношениями

и

, но и шириной пласта, точнее отношением

.
3.72. Азимутальная разность потенциалов над центром пласта равна нулю на всех разносах питающих электродов при

, 90° и 180°. При любых других азимутах на кривых

присутствует знакопеременная аномалия, переход через нуль в пределах которой осуществляется при

. Отрицательные значения

после их перехода через нуль соответствуют

, а положительные -

.
Класс - эллипсоиды вращения
Подвид - горизонтальный цилиндр I-ЭВ-1-а
3.73. Когда центр зондирования находится над осью цилиндра, кривые для установок AMN и MNB совпадают на всех разносах
r (рис. 34). Аномалия на кривых

внешне похожа на ту, что имеет место над двухслойной средой с небольшим соотношением

. На кривых

над осью цилиндра формируется аномалия одного знака, который отрицателен при

и положителен при

.
Рис. 34. Типичные кривые двусторонних трехэлектродных
ВЭЗ МДС над горизонтальным цилиндром
3.74. Амплитуды аномалий на кривых

и

, полученных над осью цилиндра, очень зависят от величины отношения

: при

они в два-три раза меньше, чем при

. Вследствие этого образуется большое расхождение кривых

и

при переходе с малых
MN на большие.
3.75. Когда центр зондирования помещается за пределами цилиндра, на кривых

и

для встречных установок формируются аномалии, внешне подобные тем, что имеют место над пластами, ограниченными с двух сторон.
Подвид - шар I-ЭВ-1-б
3.76. Кривые

и

ВЭЗ над шаром имеют много общего с кривыми, полученными над цилиндром. Различия между ними сводятся к следующему:
амплитуды аномалий на кривых

и

над шаром примерно в два раза меньше, чем над цилиндром при одинаковых значениях

;
если центр ВЭЗ находится над центром шара, форма и величина аномалий на кривых

ВЭЗ одинаковы во всех азимутах, а значения

равны нулю.
Принципы построения номограмм для интерпретации
кривых ВЭЗ МДС
3.77. Общие замечания. В предыдущих разделах было показано, что геоэлектрические параметры массивов, содержащих негоризонтальные границы раздела, могут быть определены с помощью существующих палеток теоретических кривых

ВЭЗ, если, во-первых, интерпретации будут подвергаться кривые

двусторонних трехэлектродных ВЭЗ, полученные удаляющейся и в особых случаях секущей установками, а во-вторых, угол между осью установки и простиранием наклонных границ будет близок к прямому. Применение палеток теоретических кривых

для горизонтально-слоистых сред при интерпретации кривых ВЭЗ, полученных в любых других положениях оси установки относительно простирания наклонных границ раздела, позволяет найти с удовлетворительной точностью только величины
h1 и

. Геоэлектрические параметры второго слоя в этом случае будут отличаться от истинных тем больше, чем ближе расположен центр зондирования к сочленению горизонтальных и наклонных плоскостей и чем больше отклонена ось установки от перпендикуляра к направлению простирания наклонных границ раздела. Закономерный характер этих изменений допускает возможность учета искажающего влияния негоризонтальных границ раздела сред на результаты интерпретации данных ВЭЗ.
3.78. Наиболее очевидным способом учета влияния боковых границ является приведение кривых

, полученных удаляющейся трехэлектродной установкой при произвольном положении ее оси, к виду, который они должны были бы иметь над тем же геоэлектрическим разрезом при отсутствии в нем негоризонтальных границ.
3.79. Существующие зависимости величин и знаков

и

от геоэлектрических и структурных параметров среды, положения центра зондирования и ориентировки оси установки позволяют осуществить приведение кривых

к виду, свойственному им при

, путем введения поправок последовательно в каждую их точку. К сожалению, величины поправок меняются по мере увеличения действующего расстояния даже при прочих равных условиях. Поэтому процесс восстановления всей кривой

весьма трудоемок и не осуществим без применения быстродействующих ЭЦВМ.
3.80. Более доступен способ, основанный на внесении поправок в особые точки на интерпретируемых кривых

. Его реализация обеспечивает, с одной стороны, определение элементов залегания наклонных границ раздела, а с другой - позволяет привести координаты особых точек на искаженных кривых

ВЭЗ в соответствие с истинным строением массива в вертикальном направлении.
Номограмма для определения элементов залегания
наклонно-слоистой среды
3.81. Над однородным анизотропным полупространством кривые

и

двусторонних трехэлектродных ВЭЗ МДС соответственно совпадают и имеют вид прямых, параллельных оси абсцисс. Если в разрезе присутствует перекрывающий изотропный слой, кривые

и

двусторонних трехэлектродных ВЭЗ принимают вид двухслойных, выходящих на горизонтальную асимптоту при

. Для асимптотических значений

справедливо выражение

(25)
где

- коэффициент кажущейся анизотропии.
3.82. Зависимость (25) может быть представлена сетчатой номограммой (см. приложение,
рис. 33), структура которой такова, что для однозначного определения

и

необходимо располагать результатами измерений в двух направлениях на земной поверхности. В таком случае мы имеем:

(26)
где

- угол между направлениями, в которых производились измерения. Зная

,

и

, по номограмме

можно однозначно установить величины

и

.
3.83. На номограмму накладывается подвижный прозрачный транспарант, на котором проводится линия, соответствующая оси абсцисс номограммы. На этой линии откладывается отрезок, равный по величине

в масштабе оси абсцисс на номограмме.
3.84. Из концов отрезка восстанавливаются перпендикуляры к нему, на которых откладываются значения

и

в масштабе оси ординат на номограмме и с учетом знака. Положение точек

и

на осях транспаранта фиксируется.
3.85. Затем транспарант перемещают вдоль оси абсцисс номограммы так, чтобы горизонтальный отрезок на нем все время совпадал с осью абсцисс на номограмме.
3.86. Перемещение транспаранта продолжается до тех пор, пока точки на его вертикальных отрезках попадут на кривую, имеющую одинаковый индекс в правой и левой части номограммы. При таком положении концы горизонтального отрезка укажут на оси абсцисс номограммы величины углов

и

, а индекс кривой - значение

.
3.87. Рассмотрим последовательность определения геоэлектрических параметров анизотропной среды на примере интерпретации кривых

и

двусторонних трехэлектродных крестовых ВЭЗ МДС, выполненных над безграничным горизонтальным пластом с вертикальной слоистостью
(рис. 35).
Рис. 35. Пример интерпретации кривых

и

двусторонних
трехэлектродных ВЭЗ МДС, выполненных над безграничным
горизонтальным пластом с вертикальной слоистостью
а - кривая

;
б - кривые

ВЭЗ МДС, полученные двусторонней
трехэлектродной установкой;
в - кривые

, полученные
двусторонней трехэлектродной установкой ВЭЗ МДС
3.88. Присутствие в массиве анизотропной среды устанавливается по совокупности следующих признаков:
кривые

для встречных установок совпадают на всех разносах питающих электродов;
кривые

для встречных установок имеют одинаковый знак и так же совпадают. Принимая во внимание форму аномалий на кривых

и

двусторонних ВЭЗ МДС, можно предположить, что анизотропная среда залегает в виде горизонтального пласта.
3.89. Проинтерпретировав кривые

методом особых точек, находим мощность и УЭС анизотропного пласта:

;
Полученная мощность горизонтального пласта с точностью до +10% совпадает с вертикальными размерами прослоев, составляющих анизотропную среду.
3.90. Простирание вертикальной слоистости оценивается с помощью номограммы для наклонно-слоистых анизотропных сред. Располагая величиной

, которая в нашем случае равна 90°, определяют значения

,

и

на каждом разносе питающих и приемных электродов
(табл. 4).
AO, OB | | | |  , град |  , град | |
1,5 | 0,5 | 0 | 0 | - | - | 1 |
2 | 0,5 | 0 | 0,03 | - | - | 1 |
3 | 0,5 | -0,07 | +0,06 | 47 | 137 | 1,1 |
5 | 0,5 | -0,18 | 0,13 | 20 | 110 | 1,3 |
7 | 0,5 | -0,19 | 0,2 | 46 | 136 | 1,28 |
10 | 0,5 | -0,25 | +0,254 | 45 | 135 | 1,37 |
15 | 0,5 | -0,24 | +0,29 | 50 | 140 | 1,4 |
15 | 5 | -0,19 | +0,19 | 45 | 135 | 1,3 |
20 | 0,5 | -0,31 | 0,43 | 60 | 150 | 1,6 |
20 | 5 | -0,234 | 0,26 | 50 | 140 | 1,26 |
30 | 5 | -0,214 | 0,27 | 55 | 145 | 1,25 |
50 | 5 | -0,155 | 0,175 | 40 | 130 | 1,2 |
Вычислив среднее значение углов

и

находим, что слоистость простирается под углом 46° и 136° к направлению разносов питающих электродов соответственно ВЭЗ N 1 и 2, что хорошо согласуется с истинным положением дел.
3.91. Построив кривую изменения

в зависимости от разносов питающих и приемных электродов (см.
рис. 35,
а), можно приближенно оценить асимптотическое значение коэффициента кажущейся анизотропии, которое в нашем случае равно 1,6 - 1,8. Полученные цифры близки к истинной величине коэффициента анизотропии

, установленной нами как по данным круговых ВЭЗ МДС, так и в результате вычислений по соответствующим формулам. Дополнительно к этому было обнаружено, что УЭС второго слоя приблизительно равно среднему квадратическому сопротивлению анизотропной среды при заданной ориентировке оси установки относительно простирания слоистости. Принимая это во внимание, можно найти соотношение суммарных мощностей и УЭС проводящих и непроводящих прослоев с помощью уже известной номограммы для определения

и

в параллельно-слоистых средах. Вычислив

и приняв

, находим на указанной номограмме

и

. Полученные величины близки к истинным соотношениям модели, равным

и

.
Номограммы для учета бокового влияния проводящих сред
3.92. Эти номограммы применяются для интерпретации кривых

двусторонних трехэлектродных ВЭЗ МДС, полученных над параллельно-слоистыми средами вблизи наклонных границ, по которым происходит погружение или смещение в глубину слоев с повышенным УЭС. Такие структуры являются составной частью ЭГМ видов I-
ДС-1-б "+", I-
ДС-2 "+", I-
ДС-3 "+", I
-ДС-4 "+", I
-ПЛ-2 "+", I
-ПЛ-3-а "+", I
-ПЛ-4-а "+"; они выделяются специфическими аномалиями на кривых

и

двусторонних трехэлектродных ВЭЗ МДС, которые обладают следующим рядом общих признаков:
аномалии на кривых

для удаляющихся установок отражают истинное строение среды в вертикальном направлении, причем амплитуды аномалий на них могут быть заниженными из-за бокового влияния проводящей среды;
аномалии на кривых

для удаляющейся установки имеют постоянный знак, а амплитуда их постепенно возрастает по мере увеличения действующего расстояния; при этом отрицательным значениям

соответствуют острые углы

, а положительным - тупые;
кривые

, полученные левой и правой установками, начинают расходиться при действующем расстоянии

, степень расхождения их достигает максимума при

, когда на кривых

для секущей установки образуется минимум или перегиб, обусловленный прохождением питающим электродом сочленения горизонтальных и наклонных границ.
3.93. Изменение амплитуд аномалий на кривых

и

ВЭЗ, вызванные изменением геоэлектрических параметров и структур среды, могут быть описаны с помощью следующих соотношений:

- интенсивностью аномалий на кривых

для удаляющихся установок, которая необходима для определения УЭС пород и строения массива в вертикальном направлении; интенсивность аномалий определяется по тем же правилам, что и в случае параллельно-слоистых сред:

- соотношение, определяющее степень расхождения кривых

для встречных установок, обусловленного влиянием наклонных границ; степень расхождения используется для оценки величин углов падения наклонных контактов или амплитуд смещения горизонтальных границ раздела;

- отношение разности потенциалов, необходимое для определения простирания наклонных контактов.
3.94. Величины

,

,

,

, используемые для вычисления указанных соотношений, должны браться на кривых

и

при одном и том же действующем расстоянии, которое выбирается соответственно с типом аномалии на исследуемых кривых. В случае двухслойного строения среды соотношения

,

и

вычисляются по значениям

,

,

и

при

. Если аномалии на кривых

указывают на трехслойное строение среды, то соотношения

,

и

определяют при
rос, где
rос - абсцисса особой точки на кривой

для удаляющейся установки.
3.95. В общем случае зависимость соотношений

,

и

от геоэлектрических и структурных параметров среды можно представить в виде:

(27)
где
c представляет собой

,

или

в зависимости от вида и подвида ЭГМ. Три соотношения

,

и
r/
h1 в
системе (27) могут быть заменены одним

, и система примет вид:

(28)
Такая система может быть номографирована путем построения сетчатых номограмм, описывающих непрерывное изменение четырех переменных при постоянных значениях трех остальных.
3.96. Когда центр зондирования располагается в стороне от боковых границ проводящей среды (положение "+"), влиянием величин

или

можно пренебречь. Поскольку особые точки на интерпретируемых кривых

и

ВЭЗ МДС берутся при одинаковых

, то
система (28) дополнительно упрощается и приобретает окончательный вид:

(29)
3.97. Зависимость (29) можно изобразить в виде сетчатой номограммы, которая объединяет три семейства кривых в координатах
3.98. На номограмме масштаб по оси абсцисс одинаков, а кривые во всех трех семействах нормированы по отношению

, значения которого проставлены в виде индексов кривых. Такая номограмма допускает определение величин

,

и

по известным

,

и

при любых значениях

,

,
r/
h1 (см. приложение,
рис. 3 -
7).
3.99. Когда центр ВЭЗ помещается над боковыми границами проводящей среды (положение "+/-"), влияние отношения

или величины

велико и его необходимо учитывать при построении номограмм для определения величин

;

и

. Нами построена серия частных номограмм для нескольких дискретных значений

; 3 и 1 или что соответствует

; 0,6 - 0,3 и 0,2 - 0,05. Поскольку

и
d/
r = 0, номограммы также представляют собой три семейства кривых

,

и

, построенных в трех системах координат с одинаковым масштабом всех осей абсцисс.
3.100. Интерпретация кривых двусторонних трехэлектродных ВЭЗ МДС в этих случаях ведется в следующей последовательности.
Сначала по внешнему виду аномалий на кривых

и

определяют возможный вид ЭГМ, расстояние

и положение центра ВЭЗ относительно наклонных и горизонтальных границ раздела.
3.101. Далее с помощью палетки
ГП-2 определяют
h1 и

по кривой для удаляющейся установки.
3.102. Выбрав абсциссу особой точки в соответствии с особенностями строения ЭГМ в вертикальном направлении и положением центра ВЭЗ относительно сочленения горизонтальных и наклонных границ, вычисляют соотношения

,

и

по установленным правилам.
3.103. Взяв номограмму для полученного d/r, накладывают на нее прозрачный транспарант и отмечают на нем особыми значками положение центров осей координат для различных семейств кривых.
3.104. От этих точек по осям ординат откладывают вычисленные значения

,

и

с учетом их знака и в масштабе соответствующей оси ординат на номограмме. Концы отрезков также фиксируют точками.
3.105. После этого транспарант начинают перемещать по номограмме так, чтобы помеченные центры осей координат находились все время на осях абсцисс на номограмме. Перемещение продолжается до тех пор, пока не будет найдено положение, при котором концы вертикальных отрезков наилучшим образом совмещаются с кривыми, имеющими одинаковый индекс в различных семействах. В этом положении точки, соответствующие центрам осей координат на транспаранте, укажут на осях абсцисс номограммы величину

, а индекс кривых - значение

.
3.106. Дополнительно к этому по семейству кривых

можно определить величину

, для чего достаточно продолжить кривую, с которой было достигнуто совпадение конца вертикального отрезка, до пересечения ее с осью ординат при

.
3.107. Удовлетворительное одновременное совмещение вычисленных по данным ВЭЗ МДС значений

,

и

с кривыми с одинаковым индексом на номограмме осуществляется, когда геоэлектрические параметры исследуемого массива близки к тем, для которых составлена используемая номограмма. Получаемые при этом результаты интерпретации наиболее близки к истинным значениям

,

и

. Если строение и геоэлектрические параметры массива отличаются от соотношений, для которых построены номограммы, то, как правило, не удается найти удовлетворительного совпадения интерпретируемых значений

,

и

с кривыми, имеющими на номограмме одинаковый индекс. В таком случае может быть получено только приближенное решение задачи с помощью любого из двух возможных способов.
3.108. Первый способ заключается в подборе такой номограммы, на которой достигается наилучшее совпадение интерпретируемых значений

,

и

с кривыми, имеющими одинаковый индекс.
3.109. Второй способ основан на том, что
система (29) избыточна и интересующие нас приближенные решения могут быть получены с помощью любой парной зависимости вида:

(30)
3.110. Основные приемы применения номограмм в этом случае остаются такими же и состоят в последовательном поиске совпадений каждой пары интерпретируемых соотношений с кривыми, имеющими одинаковые индексы в различных семействах. Таким образом, мы получаем три решения:

(31)
которые тем меньше отличаются друг от друга, чем ближе структурные и геоэлектрические параметры массива к соотношениям, для которых построена выбранная номограмма. Среднее из трех значений можно принять в качестве наилучшего приближения к истинному.
3.111. Результаты такой интерпретации удобно изображать в виде таблицы (см.
табл. 5).
Определяемые параметры | Пары номограмм |
I - II | I - III | II - III | среднее |
| a1 | a2 | a3 | |
| - | b2 | b3 | |
| c1 | c2 | c3 | |
3.112. Для определения

,

или

необходимо воспользоваться зависимостью вида:

(32)
3.113. При любом
r/
h1 = const
система (32) упрощается и становится доступной для номографирования. Учитывая это, нами были составлены номограммы для
r/
h1 = 5, 10 и 20 (прил.,
рис. 8,
9,
10).
Каждая номограмма представляет собой семейство кривых

, построенных в системе координат

и

для различных постоянных значений

, представленных в виде индексов около кривых. Каждое семейство таких кривых сопряжено с соответствующим им графиком

, изображенным в системе координат

и

. Системы координат
X1OY и
X2OY2 объединены по оси
X.
3.114. С помощью номограмм такого вида могут быть определены

,

и

при

по известным

и

. Решение этой задачи производится следующим образом.
3.115. Выбирают номограмму в соответствии с
r/
h1, при котором найдены соотношения

и

, определяют

по графику

.
3.116. Затем переходят к семейству кривых

, находят кривую, к которой принадлежит точка с координатами

и

. По индексу этой кривой определяют величину

.
3.117. Продолжив найденную кривую вправо по оси абсцисс до значений

, получаем величину

, которая должна была бы иметь место при бесконечно большом УЭС второй среды. Величина

необходима для определения истинного угла падения границы, залегающей сбоку от центра зондирования.
3.118. Если значение
r/
h1, при котором были вычислены интерпретационные соотношения

,

и

, отличается от указанных на номограммах, то интересующие нас величины

,

и

могут быть приближенно оценены путем их интерполяции или экстраполяции в связи с изменением отношения
r/
h1. Возможность такого подхода к решению задачи следует из того, что величины

и

зависят только от соотношения
r/
h1 при прочих равных условиях.
3.119. Поиски приближенного решения состоят в том, что по полученным в ходе интерпретации значениям

и

находят величины

,

и

последовательно по номограммам для
r/
h1 = 5, 10 и 20 (см. приложение,
рис. 8 -
10).
3.120. Далее по трем точкам строят графики изменения величин

,

и

в зависимости от
r/
h1, продолжая их вправо или влево по оси абсцисс за пределы интервала

в соответствии с обнаруживающейся закономерностью их изменения
(рис. 36).
Рис. 36. Пример экстраполяции и интерполяции величин

,

и

в соответствии с изменением соотношения
3.121. Интересующие нас значения

,

и

находят на этих графиках при
r/
h1, соответствующем координатам особой точки на интерпретируемых кривых

и

.
3.122. Результаты такой интерпретации изображаются в виде графиков (см.
рис. 36) или таблиц.
3.123. Интерпретация кривых ВЭЗ МДС, относящихся к ЭГМ первого класса, производится в следующей последовательности:
3.124. Если интерпретируемые кривые

и

ВЭЗ относятся к ЭГМ второго класса, то геоэлектрические параметры массива определяют по восстановленным величинам

с помощью номограмм для параллельно-слоистых трехслойных сред.
3.125. Для оценки УЭС опорного горизонта в трехслойных массивах приходится прибегать к номограммам для ЭГМ первого класса.
3.126. Тогда интерпретация кривых ВЭЗ МДС выполняется в следующем порядке:
3.127. В качестве примера проинтерпретируем лабораторные кривые двусторонних трехэлектродных ВЭЗ МДС, полученные над ступенью со следующими геоэлектрическими параметрами:
h1 = 1,5 см;

;
H =
h1 +
h2 = 6 см;

,

.
3.128. По характеру аномалий на кривых

и

двусторонних трехэлектродных ВЭЗ МДС устанавливаем (см.
рис. 37,
а), что зондирование выполнено вблизи контакта с проводящей средой, которая располагается в 7 - 10 см справа от центра ВЭЗ со стороны разносов
OB. Поскольку правые ветви кривых

для встречных установок параллельны, можно предположить, что граница с проводящей средой имеет форму ступени.
Рис. 37. Пример интерпретации кривых

и

двусторонних
трехэлектродных ВЭЗ МДС, полученных над ступенью
3.129. По кривой

для удаляющейся установки
AO определяем с помощью палетки
ГП-2
h1 = 1,4 см и

. Далее с кривых

и

для встречных установок снимаем исходные интерпретационные параметры при
r = 2
d' = 15 см:
на основании которых вычисляем необходимые для интерпретации соотношения:
3.130. Воспользовавшись номограммой для определения

,

и

при

, убеждаемся, что единственного решения не существует из-за несоответствия между параметрами номограммы и истинным строением среды. Поэтому будем искать приближенное решение, как среднее из трех возможных:
Таблица 6
Параметры | Пары номограмм |
I - II | I - III | II - III | средние |
| 10,4 | 11 | 7 | 9,5 |
| - | 0,8 | 0,75 | 0,775 |
| 125° | 140° | 128° | 131° |
3.131. Выбрав номограмму для определения

и

, соответствующую
r/
h1 = 10,7, находим, что

,

или

и

. Окончательные результаты интерпретации могут быть записаны в виде:
Полученные параметры близки к истинным:
3.132. Второй ВЭЗ МДС выполнен над ребром ступени. На это указывает характерное расхождение кривых

для встречных установок (см.
рис. 37,
б). В отличие от этого аномалии на кривых

соответствуют случаю маломощного вертикального пласта при размещении центра зондирования над его боковой границей. Этот дефект модели имел место в действительности, что послужило причиной ее выбраковки. Тем не менее попытаемся определить параметры ступени, полагая, что аномалии на кривых

и

для удаляющейся установки не сильно искажены.
3.133. С помощью палетки
ГП-2 находим глубину залегания поднятой части ступени
h1 = 1,5 см и УЭС первой от поверхности среды

.
3.134. Выбор особых точек на кривых

и

для удаляющейся установки достаточно произволен при
d/
r = 0.
3.135. Положив rос = 10 см, продолжим интерпретацию в установленном порядке:
Откуда находим параметры модели:
Истинное строение модели описывается следующими параметрами:
Номограммы для определения простирания и истинного угла
падения наклонных границ раздела
3.136. Необходимо рассмотреть два варианта номограмм в зависимости от размещения центра зондирования относительно ребра наклонного контакта двух сред.
3.137. Центр зондирования располагается в стороне от наклонной плоскости контакта. Аномалии на кривых

и

двусторонних трехэлектродных ВЭЗ МДС принципиально сходны с ЭГМ I-
ДС-1-б "+" и I-
ДС-2-а "+", что предопределяет общность их интерпретации. С помощью рассмотренных в предыдущем разделе номограмм можно последовательно определить все геоэлектрические параметры массива, кроме истинного угла падения наклонной плоскости.
3.138. Для оценки

следует воспользоваться зависимостью

, которая может быть представлена в виде сетчатой номограммы при постоянных значениях одной из входящих в нее переменных.
| | ИС МЕГАНОРМ: примечание. Нумерация пунктов дана в соответствии с официальным текстом документа. | |
1.139. На основании данных физического моделирования нами была составлена номограмма для

, представляющая собой семейство кривых для различных постоянных значений
h/
r, построенных в системе координат

и

(см. приложение,
рис. 28). С помощью этой номограммы можно найти

по известным

и
h/
r.
3.140. Если

имеет конечные значения, то получаемые с помощью такой номограммы величины

будут всегда занижены и тем больше, чем меньше будет

. Поэтому для того чтобы найти значение угла падения, близкое к истинному, необходимо соотношение

, соответствующее конечным значениям

, привести к величине

.
3.141. Для этого следует обратиться к уже известным номограммам, описывающим
зависимость вида (29), и определить по ним

,

и

(см. приложение,
рис. 3 -
7).
3.142. Затем нужно перейти к номограммам вида
(32) и по ним найти

и

(см. приложение,
рис. 8 -
10).
3.143. Типичные кривые двусторонних трехэлектродных ВЭЗ МДС для случая, когда центр зондирования находится в стороне от наклонной плоскости контакта, приведены на
рис. 38,
а. Относятся они к модели с параметрами:
Рис. 38. Пример интерпретации кривых двусторонних
трехэлектродных ВЭЗ МДО над наклонным контактом
3.144. Присутствие наклонной плоскости в стороне от центра зондирования однозначно устанавливается по характерному расхождению кривых

для встречных установок. Интерпретация их ведется в установленном порядке:
Располагая значениями

и

, находим на номограмме соответствующее им

. Окончательные результаты могут быть представлены в виде:
3.145. Центр ВЭЗ располагается над наклонной плоскостью контакта (положение "-"). Учитывая специфику аномалий на кривых

и

двусторонних трехэлектродных ВЭЗ над наклонной частью контакта двух сред, параметры, требуемые для вычисления соотношений

и

, следует брать при

.
3.146. Величины
HAO и
HOB определяются по левым ветвям кривых

для удаляющейся и секущей установок с помощью палеток теоретических кривых
ГП-2.
3.147. Глубина залегания наклонной плоскости под центром зондирования вычисляется как среднее арифметическое из HAO и HOB.
3.148. Типичные аномалии на кривых

и

двусторонних трехэлектродных ВЭЗ над наклонной плоскостью контакта двух сред и пример определения перечисленных выше параметров приведены на
рис. 22,
в,
23,
38,
б.
3.149. В общем случае соотношения

и

над наклонной плоскостью контакта двух сред зависят от следующих переменных:

(33)
При описании зависимостей величин

и

от

можно сократить количество независимых переменных, если некоторые из них (такие, как

,

,
H/
d,
h0/
d) будут заменены одной, зависящей от них, величиной

. Принимая это во внимание, можно записать:

(34)
3.150. Система (34) может быть представлена в виде сетчатой номограммы, состоящей из двух семейств кривых, построенных в двух системах координат

,

и

,

для ряда постоянных значений

(см. приложение,
рис. 29). Определение значений

и

с помощью этой номограммы производится в следующей последовательности.
3.151. Сначала по левым ветвям кривых

для секущей и удаляющейся установок находят
HAO и
HOB с помощью теоретических кривых для двухслойных горизонтально-слоистых (
ГП-2) или наклонных (
HK) сред.
3.152. Глубина залегания наклонного контакта под центром зондирования вычисляется по формуле:

.
3.153. Далее при

берут

на кривой

для секущей и

на кривой для удаляющейся установок и вычисляют соотношение

.
3.154. Значение

находится на кривой для удаляющейся установки при том же действующем расстоянии

.
3.155. Значения

и

определяют по номограмме по известным

и

с помощью приемов, аналогичных тем, что были нами описаны ранее при применении номограмм подобного вида.
3.156. Величины

и
h0 могут быть получены из соотношений вида:

(35)
Система (35) может быть разрешена, а результаты решения могут быть представлены в виде номограммы, если одно из независимых переменных сделать постоянным.
3.157. Сдвоенная сетчатая номограмма, состоящая из двух семейств кривых, построенных в двух системах координат

,

и

,

(при

) для одинаковых постоянных значений
h0/
d и объединенных по оси абсцисс, приведена в приложении на
рис. 30. С ее помощью могут быть определены

и
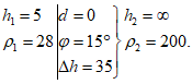
h0/
d, а соответственно, и
h0 по значениям

и

, которые находятся в результате обработки и интерпретации кривых двусторонних трехэлектродных ВЭЗ МДС.
3.158. Для этого на номограмму накладывают прозрачный транспарант и фиксируют на нем положение осей координат.
3.159. Затем по осям ординат в соответствующем масштабе откладывают полученные значения

и

и начинают перемещать транспарант по номограмме так, чтобы оси абсцисс на них все время совпадали. Транспарант двигается до тех пор, пока точки, фиксирующие заданные значения

и

, не совместятся с кривыми, имеющими одинаковый индекс. По положению начала координат на транспаранте на оси абсцисс номограммы отсчитывают величину

, а по индексу кривых, с которыми произошло совмещение интерпретируемых значений

и

, находят
h0/
d и вычисляют
h0.
3.160. Полученные величины

и
h0 будут близки к истинным, если

. При конечных значениях

, найденные по номограмме значения

окажутся уменьшенными, а
h0 - преувеличенными. Эта ошибка тем больше, чем меньше

. Ее можно уменьшить или совсем устранить, если интерпретируемую величину

, соответствующую конечным

, привести к значениям

. Такая операция может быть осуществлена с помощью дополнительных номограмм, описывающих зависимость вида

. Для построения таких номограмм достаточно воспользоваться уже известными частными зависимостями

при

и

при
h0/
d = 0.
3.161. Учитывая особенности изменения амплитуд и знаков аномалий на кривых двусторонних трехэлектродных ВЭЗ МДС в зависимости от

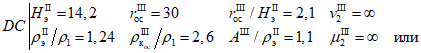
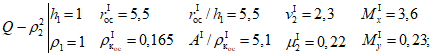
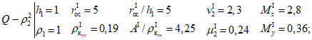
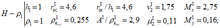
и

наклонного контакта, нами были составлены дополнительные номограммы для трех постоянных значений:

, 10 и 20°. Они приведены в прил. на
рис. 31. Характер изображенных на них зависимостей таков, что по установленным в ходе интерпретации значениям

и

можно определить

. Затем необходимо возвратиться к номограмме, описывающей
систему (35), и по ней повторно найти

и
h0/
d при новом

и старом

. Полученные значения

и
h0 принимают в качестве окончательных.
3.162. Последовательность интерпретации кривых двусторонних трехэлектродных ВЭЗ МДС при определении

,

,

и
h0 наклонного контакта двух сред должна быть следующей:
3.163. Типичные для рассматриваемого случая кривые

и

двустороннего трехэлектродного ВЭЗ МДС представлены на
рис. 38,
б. Проинтерпретируем их для примера.
3.164. Пользуясь палеткой ГП-2, находим приближенно HAO = 6,7 см и HOB = 3,3 см и вычисляем Hср = 5 см. Далее снимаем с интерпретируемых кривых требуемые параметры:
Hср = 5 см | Располагая соотношениями  , по номограмме для определения  и  находим  и вычисляем  . |
d' = rос = 10 см |
|
|
|
3.165. Далее переходим к номограмме для определения

и с ее помощью получаем

и
h0/
d = 0,11. Эти данные не нуждаются в поправке за

, которое близко к бесконечности, если судить по углу наклона правых ветвей кривых

для встречных установок. Окончательные результаты будут иметь вид:
Истинное строение массива описывается следующими параметрами:
Hср = 4,7 см | h0 = 1 см |
| d = 10 см |
| |
| |
4. НЕКОТОРЫЕ ЗАКОНОМЕРНОСТИ ИЗМЕНЕНИЯ КРИВЫХ ВЭЗ МДС
НАД СЛОЖНЫМИ ГЕОЭЛЕКТРИЧЕСКИМИ МАССИВАМИ (СГМ)
С ГОРИЗОНТАЛЬНЫМИ И НАКЛОННЫМИ ГРАНИЦАМИ РАЗДЕЛА
Основные закономерности формирования аномалий на кривых
ВЭЗ МДС над СГМ, в которых ЭГМ чередуются
в вертикальном направлении
4.1. Ограниченный с двух сторон пласт над горизонтальным непроводящим основанием

. Строение модели в плане и разрезе, расположение центра ВЭЗ относительно боковых границ пласта и полученные кривые

и

двусторонних трехэлектродных ВЭЗ показаны на
рис. 39.
Рис. 39. Экспериментальные кривые двусторонних
трехэлектродных ВЭЗ МДС, полученные над СГМ
[I-ПЛ-3-а "+" + I-ДС-1-а]
1 - кривая

, полученная в результате измерений над сложной
моделью; 2 - кривая

, полученная в результате измерений
над каждой единичной моделью; 3 - кривая

, полученная
в результате суммирования кривых для единичных моделей
4.2. В полном соответствии со строением модели и размещением над ней центров зондирований кривые

и

, полученные правой и левой трехэлектродными установками, всегда совпадают с аналогичными кривыми для симметричной установки при любой ориентировке оси установки относительно простирания боковых границ пласта. По совокупности аномалий на кривых

и

ВЭЗ можно с достаточной долей уверенности говорить о присутствии в исследуемом массиве горизонтальной двухслойной среды, осложненной локальным поднятием под центром зондирования с приблизительно параллельными боковыми границами ("горст", ЭГМ I-
ДС-4-а "+"). Если кривыми

пренебречь, то аномалии на кривых

ВЭЗ могут быть отнесены к разрезам типа
A или
KH явного или неявного подвидов в зависимости от ориентировки оси установки относительно направления боковых границ пласта.
4.3. При более подробном изучении представленных кривых

и

ВЭЗ можно обнаружить отчетливые признаки суммирования на них аномалий, относящихся к каждому из ЭГМ, взятому в отдельности (см.
рис. 39, тонкие сплошные линии
3). В этом убеждает нас хорошее, часто практически полное совпадение кривых

ВЭЗ, полученных в результате непосредственных измерений над составной моделью (см.
рис. 39, сплошные полужирные кривые
1) и простого суммирования аномалий от каждого ЭГМ в отдельности (точечные кривые
2).
4.4. Закон, по которому происходит суммирование аномалий на кривых

ВЭЗ, может быть записан в первом приближении в виде:

, где

- суммарное значение кажущегося сопротивления на кривой для левой или правой установки над СГМ при некотором постоянном действующем расстоянии
r;

- значение кажущегося сопротивления на кривых для тех же установок над первым от поверхности ЭГМ, при том же действующем расстоянии при отсутствии в массиве второго ЭГМ;

- значение кажущегося сопротивления на кривых для этих установок над вторым от поверхности ЭГМ, при том же действующем расстоянии и при отсутствии в массиве первого ЭГМ;

- значение кажущегося сопротивления на кривых для тех же установок, при тех же действующих расстояниях, но при отсутствии в массиве и первого и второго ЭГМ; в случае однородного изотропного полупространства

.
4.5. Азимутальные разности потенциалов, обусловленные влиянием боковых границ каждого ЭГМ в отдельности, также в первом приближении суммируются с учетом их знаков:

(36)
где

- значения на кривой

над первым от поверхности ЭГМ при каком-либо постоянном действующем расстоянии и при отсутствии в массиве второго ЭГМ;

- значения на кривой

над вторым от поверхности ЭГМ при том же действующем расстоянии и при отсутствии в массиве первого ЭГМ.
4.6. В рассматриваемом нами случае

над горизонтальной плоскостью равно нулю на любых разносах питающих электродов и при любой ориентировке оси установки, а

над единичным ограниченным с двух сторон пластом. Это равенство нарушается только при
H = 5 см, когда пласт соприкасается с непроводящим основанием и образует модель горста. При таком условии форма и знаки аномалий на кривых

остаются теми же, что и над единичным ограниченным с двух сторон пластом, а абсолютные значения удваиваются в полном соответствии с переходом СГМ

в ЭГМ I-
ДС-4-а "+" с бесконечно большим УЭС второго слоя.
4.7. Возможны два варианта интерпретации кривых

и

ВЭЗ, полученных над СГМ с горизонтальными и вертикальными границами раздела сред.
Первый, наиболее корректный и точный, основан на полном учете суммирования аномалий на кривых

и

ВЭЗ от всех составных ЭГМ. Для того, чтобы этот способ мог быть реализован, необходимо знать, во-первых, истинное строение исследуемого СГМ и, во-вторых, располагать теоретическими кривыми

и

ВЭЗ для каждого ЭГМ, входящего в этот СГМ. При определенных условиях вместо теоретических кривых могут быть использованы особые точки на них. В любом случае задача не разрешима, если заранее не известно истинное строение среды.
4.8. Второй способ менее корректен и точен. Он состоит в интерпретации кривых

с помощью номограмм для параллельно-слоистых сред, а кривых

- по номограммам для ЭГМ с горизонтальными и наклонными границами раздела. К нему приходится прибегать, когда по характеру аномалий на кривых ВЭЗ МДС нельзя однозначно установить присутствие в массиве негоризонтальных границ, их форму и местоположение.
4.9. По совокупности аномалий на кривых

и

двусторонних трехэлектродных ВЭЗ (см.
рис. 39) можно однозначно предсказать, что в верхней части массива на фоне горизонтального залегания непроводящего основания присутствуют либо узкое поднятие (при
H <= 7 см), либо ограниченный с двух сторон пласт (при
H >= 10 см) с параллельными боковыми границами. Заметим, что такая однозначность в определении строения массива недостижима, если для этих целей оперировать аномалиями на кривых

и

симметричных ВЭЗ.
4.10. Если аномалиями на кривых

пренебречь, то по характеру аномалий на кривых

ВЭЗ исследуемые массивы могут быть отнесены к СГМ
A или СГМ
KH. Интерпретация кривых

, выполненная с помощью номограмм для определения

и

в трехслойных горизонтально-слоистых массивах, позволяет определить глубину залегания и УЭС опорного горизонта с ошибками, меняющимися в следующих пределах:

и

. Постоянный знак погрешности указывает на их систематический характер. Есть основание полагать, что в данном случае мы определяем амплитуду смещения горизонтальной границы, а не мощность пласта. Этим же объясняются и большие ошибки в оценке УЭС промежуточного пласта.
4.11. Простирание боковых границ пласта находится с помощью номограмм для учета бокового влияния проводящей среды при
d = 0 и

. Выбор особых точек на кривых

и

достаточно произволен. Необходимо только, чтобы они располагались в пределах кривых, снятых при малых разносах
MN.
4.12. Ограниченный с двух сторон пласт над наклонным высокоомным основанием

. Ширина исследуемого пласта была меньше длины малых приемных линий, вследствие чего его влияние выразилось в некотором увеличении уровня нормального поля на кривых

и

при малых действующих расстояниях (см.
рис. 40). Аномалии, обусловленные влиянием наклонного контакта двух сред, сформировались на фоне нового уровня нормального поля.
Рис. 40. Экспериментальные кривые двустороннего
трехэлектродного ВЭЗ МДС над СГМ
[I-ПЛ-3-а "+" + I-ДС-1-б "-"] при небольшой ширине пласта
4.13. Интерпретация аномалий на кривых

и

, выполненная без учета нового уровня нормального поля, позволяет определить следующие элементы залегания наклонного контакта:
Полученные значения в общем не намного отличаются от истинных. Исключение составляет величина угла

, которая оценена с ошибкой, превышающей допустимые для ЭГМ пределы.
4.14. Источником погрешности является пласт под центром зондирования, влиянием которого мы пренебрегли. Одновременное смещение уровня нормального поля на кривых

для левой и правой установок практически не отразилось на величине отношения

. В отличие от этого смещение уровня нормального поля на кривых

в область положительных значений послужило причиной уменьшения амплитуды отрицательной аномалии на кривой для секущей установки.
4.15. Чтобы скомпенсировать искажающее влияние пласта, необходимо амплитуды аномалий на кривых

отсчитывать от нового уровня нормального поля, а не от нуля. В этом случае мы имеем:
Можно видеть, что вновь полученные значения
h0,

и

близки к истинным и определены с ошибкой, характерной для ЭГМ.
4.16. На
рис. 41 приведены кривые двусторонних трехэлектродных и симметричных ВЭЗ МДС, снятые последовательно над наклонным контактом двух сред (I-
ДС-1-б "-"), горизонтальным ограниченным с двух сторон пластом (I-
Пл-3-а "+") и над их сочетанием

.
Рис. 41. Экспериментальные кривые двусторонних
трехэлектродных (а) и ВЭЗ МДС над СГМ [I-ПЛ-3-а "+"
+ I-ДС-1-б "-"] и его отдельными элементами
4.17. Интерпретация кривых двусторонних трехэлектродных ВЭЗ МДС, относящихся к единичному контакту двух сред (ЭГМ I-ДС-1-б "-"), позволяет определить следующие геоэлектрические параметры массива:
Полученные значения
Hср = 9 см,
h0 = 4,6 см,

и

близки к истинным.
4.18. По характеру аномалий на кривых

и

двустороннего трехэлектродного ВЭЗ над вторым ЭГМ можно однозначно установить, что центр зондирования располагается на одинаковом расстоянии от боковых границ пласта, простирающихся под тупым углом к направлению оси установки. Максимум на кривых

формируется при действующих расстояниях, которые существенно меньше расстояния от центра ВЭЗ до боковых границ пласта. Поэтому пласт может быть принят в качестве безграничного и его параметры могут быть определены с помощью номограмм для параллельно-слоистых сред:
Величина h2 с точностью до -0,09 см равна толщине листа фанеры, использовавшейся в качестве пласта с высоким УЭС.
4.19. Исследуя кривые двусторонних трехэлектродных ВЭЗ МДС, полученные над сочетанием рассмотренных выше ЭГМ, легко убедиться в том, что аномалии на них являются результатом суммирования того влияния, которое оказывают пласт и наклонный контакт в отдельности на величины

и

при любом из заданных действующих расстояний. Даже не располагая никакими сведениями о строении СГМ, по характеру суммарных аномалий можно однозначно установить присутствие в разрезе под центром зондирования пласта, ограниченного с двух сторон и простирающегося под тупым углом к оси установки, и наклонного контакта двух сред, плоскость которого простирается перпендикулярно к направлению оси установки.
4.20. Для определения мощностей и УЭС слоев произведем количественную интерпретацию кривых

для левой и правой установок, считая границы слоев горизонтальными и бесконечными по простиранию:
Левая установка AO
Правая установка OB
Взяв среднее из полученных значений мощностей и УЭС слоев, находим:
4.21. Для определения элементов залегания наклонного контакта необходимо свести многослойный разрез к элементарному. Это может быть достигнуто, если первые три слоя заменить одним эквивалентным с

, а значения

, относящиеся к наклонному контакту, отсчитывать от уровня аномалии, созданной пластом. В этом случае имеем:
Окончательные результаты интерпретации могут быть записаны в следующем виде:
Легко убедиться в том, что они хорошо совпадают с данными, полученными для каждого ЭГМ в отдельности.
4.22. По виду аномалий на кривых

и

симметричных ВЭЗ можно установить только строение массива в вертикальном направлении и наличие в верхней его части негоризонтальных границ, простирающихся под тупым углом к оси установки. Количественная интерпретация кривых

с помощью номограмм для параллельно-слоистых сред позволяет найти величины мощностей и УЭС слоев с той же точностью, которая достигается при интерпретации кривых

трехэлектродных ВЭЗ. Форма наклонных границ, их местоположение в элементы залегания остаются неизвестными.
4.23. Таким образом, можно считать установленным факт суперпозиции аномалий на кривых

и

ВЭЗ МДС, формирующихся над залегающими друг над другом неоднородностями. Выявленная асимптотика кривых

и

ВЭЗ МДС допускает их интерпретацию с помощью номограмм для ЭГМ. Основной прием интерпретации состоит в сведении СГМ к составным ЭГМ в том порядке, в котором последние залегают в разрезе сверху вниз, и в определении для каждого выделенного ЭГМ нового уровня нормального поля на кривых

и

ВЭЗ МДС.
4.24. При интерпретации кривых

ВЭЗ промежуточными уровнями нормального поля являются координаты эквивалентных слоев, которые находятся по правилам, установленным для параллельно-слоистых сред. Новыми уровнями нормального поля на кривых

должны служить аномалии, обусловленные влиянием боковых границ выше лежащих объектов. Истинные значения амплитуд аномалий для каждого ЭГМ должны вычисляться как разность между суммарным значением

и уровнем аномалий, обусловленных влиянием вышележащего объекта, при одних и тех же разносах питающих и приемных электродов.
Основные закономерности формирования аномалий на кривых
ВЭЗ МДС над СГМ, в которых ЭГМ чередуются
в горизонтальном направлении
4.25. Сочетание ЭГМ первого класса. С массивами такого вида часто приходится сталкиваться при картировании мощных слоев, кровля которых имеет сложную конфигурацию. В качестве примера рассмотрим результаты двусторонних трехэлектродных ВЭЗ МДС над двухслойной средой, поверхность которой дважды меняет угол своего падения - СГМ (I-
ДС-1-б "-" + I-
ДС-1-б "+"). Строение среды и полученные над ней кривые

и

ВЭЗ приведены на
рис. 42.
| | ИС МЕГАНОРМ: примечание. Текст дан в соответствии с официальным текстом документа. | |
Рис. 42. Экспериментальные кривые двусторонних
трехэлектродных ВЭЗ МДС нам
СГМ [I-ДС-1-б "-" + I-ДС-1-б "+"]
4.26. По характерному расхождению кривых

и

для правой и левой установок можно обнаружить справа от центра зондирования наклонный контакт, простирающийся под тупым углом к направлению оси установки.
4.27. Различный наклон левых ветвей кривых

для левой и правой установок, присутствие аномалий различного знака на кривых

на начальных разносах питающих линий указывают на негоризонтальное залегание геоэлектрических границ под центром ВЭЗ. Эти изменения невелики по сравнению с аномалией, обусловленной влиянием залегающего сбоку контакта. Если их не учитывать, то:
и обнаруживаем, что решение не может быть получено с помощью номограмм, учитывающих боковое влияние проводящей среды, так как вычисленные соотношения выходят за пределы номограмм. Поэтому воспользуемся частной номограммой для определения

и

в ЭГМ I-
ДС-1-б "+" (см. прил.,
рис. 27):
Полученные значения

и

отличаются от истинных на величины, превосходящие предельную ошибку интерпретации в случае ЭГМ. В данных условиях единственным источником погрешности может быть влияние наклонной границы под центром зондирования, которым мы пренебрегли.
4.28. Влияние наклонной границы под центром зондирования можно учесть, если из суммарной величины

при
r = 2
d' = 30 см вычесть величину, обусловленную расхождением кривых

для левой и правой установок на начальных разносах питающих линий, а амплитуду аномалии на кривой

для удаляющейся установки
AMN отсчитывать от нового уровня нормального поля, примерно равного +0,1. Для приблизительного определения вычитаемой величины

нужно продолжить левую часть кривой

для секущей установки или сместить ее правую часть параллельно самой себе вверх по оси ординат до соприкосновения с кривой

для удаляющейся установки (тонкие пунктирные линии на
рис. 42). Поправочная разность кажущихся сопротивлений берется при
r = 2
d' = 30 см, вычитается из суммарной разности сопротивлений и относится к

снимаемому с кривой для удаляющейся установки:
Произведя перечисленные выше операции, находим:
Вновь полученные значения

и

гораздо ближе к истинным, что может служить признаком правильности выбранного нами способа нахождения новых уровней нормального поля на кривых

и

и приведения аномалии на них к виду, свойственному для ЭГМ первого класса.
4.29. Сочетание ЭГМ второго класса. На
рис. 43 показаны результаты измерений над системой из двух пластов, ограниченных по простиранию с двух и трех сторон. Пласты имеют одинаковую мощность (1,2 см) и залегают на одинаковой глубине (0,3 см). Основной задачей исследований являлось выяснение особенностей влияния линзовидных тел, залегающих в стороне от центра зондирования, на характер аномалий на кривых ВЭЗ МДС, связанных с объектами, залегающими под центром зондирования.
Рис. 43. Экспериментальные кривые ВЭЗ МДС над массивами,
состоящими из различных сочетаний ЭГМ I-ПЛ-3-а
а - кривые двусторонних трехэлектродных ВЭЗ МДС;
б - кривые симметричных ВЭЗ МДС
4.30. На
рис. 43,
а и
б представлены кривые

и

двусторонних трехэлектродных и симметричных ВЭЗ над единичным ограниченным с трех сторон пластом. Аномалии на кривых

для правой и левой установок практически совпадают, указывая на то, что центр зондирования одинаково удален от боковых сторон пласта. О том, что пласт ограничен с двух сторон, можно судить по присутствию знакопеременных аномалий на кривых

, смещению правых ветвей кривых

вверх по оси ординат при переходе с малых приемных линий на большие и выходу кривой

на правую асимптоту

. Одинаковые знаки аномалий на кривых

для правой и левой установок на малых разносах питающих линий (до
r = 8 - 10 см) и разные - на больших свидетельствуют о том, что боковые границы пласта имеют встречное простирание и располагаются в 8 - 10 см от центра ВЭЗ. Аналогичное заключение можно сделать на основании анализа кривых

и

симметричного ВЭЗ.
4.31. Поскольку максимум на кривых

, обусловленный влиянием нижней границы пласта, формируется при
r = 2,5 - 3 см, то влиянием боковых границ на его амплитуду можно пренебречь и использовать для интерпретации осредненных кривых

номограммы для определения

и

в СГМ

:
Полученные значения мощности пласта совпадают с истинными в пределах действия эквивалентности по T. Среднее из предельных значений мощности пласта равно 1,1 см, что отличается от истинной мощности на 0,1 см.
4.32. Кривые

и

трехэлектродных и симметричных ВЭЗ на
рис. 43, 2,
а и
б относятся к тому же пласту, рядом с которым со стороны разносов питающих электродов правой установки помещен еще один аналогичный ему пласт. Можно видеть, что дополнительный пласт не внес каких-либо существенных изменений в облик аномалий, вызванных основным пластом.
4.33. Интерпретация суммарных кривых

ВЭЗ с помощью номограмм для параллельно-слоистых сред позволяет найти параметры залегающего под центром зондирования пласта:
а по характеру аномалий на кривых

можно установить встречное простирание боковых границ основного пласта. Объясняется это тем, что при заданном положении центра ВЭЗ дополнительный пласт создает слишком слабую аномалию для того, чтобы она выделилась на фоне основной.
Для проверки этого боковой пласт был заменен таким же по размерам пластом с

. Кривые

и

для этого случая представлены на
рис. 43,
а и
б. Сравнив их с кривыми на
рис. 43, 2,
а и
б, можно заметить, что новый боковой пласт обнаружился только на кривых

для симметричной и правой (секущей) трехэлектродной установок в виде максимума, который возник при действующих расстояниях, равных расстоянию от центра зондирования до центра бокового пласта.
4.34. Качественная интерпретация этих кривых приводит к ошибочному заключению о четырехслойном строении среды под центром ВЭЗ (по данным симметричной установки) или справа от него (по данным правой трехэлектродной установки). Однако параметры "третьего" и "четвертого" слоев установить не удается в ходе количественной интерпретации из-за несоответствия отношений

и

номограммам для СГМ
H:
решения нет.
4.35. Влияние бокового пласта не распространяется на характер аномалий на кривых

и

для левой трехэлектродной установки и на первый слева максимум на кривой

для симметричной установки. Количественная интерпретация их позволяет определить параметры залегающего под центром ВЭЗ пласта с хорошей точностью.
4.36. Измерения между двумя одинаковыми пластами показывают, что каждый пласт в соответствии с его положением в разрезе и простиранием боковых границ выделяется аномалиями на кривых

и

для левой и правой установок, характерными для пластов, ограниченных с двух сторон и залегающих сбоку от центра зондирования. Однако в совокупности они образуют аномалии на кривых

для левой и правой установок, внешне похожие на те, что имеют место над наклонной частью изогнутого пласта. Сходство нарушается тем, что аномалии на кривых

не соответствуют этому случаю. Но этот признак ненадежен, поскольку полное подобие аномалий на кривых

и

двусторонних трехэлектродных ВЭЗ для указанных случаев осуществляется при одинаковом простирании боковых границ пластов. Интерпретация таких аномалий с помощью приемов и номограмм, рассчитанных для наклонных границ, позволяет получить элементы залегания несуществующего изогнутого пласта. Нереальность этого решения может быть установлена только по резкому изменению строения массива при перемещении центра зондирования в другую близрасположенную точку. Надежным признаком аномалий, обусловленных влиянием залегающих сбоку неоднородностей, является отсутствие решений при количественной интерпретации кривых

симметричных и трехэлектродных ВЭЗ МДС, внешне соответствующих параллельно-слоистому строению среды. Влияние поверхностных неоднородностей на результаты ВЭЗ МДС выражается в следующем.
4.37. Аномалии на кривых

и

ВЭЗ МДС суммируются подобно тому, что имело место над чередованием ЭГМ в вертикальном направлении. Характер суперпозиции аномалий на малых и больших разносах питающих и приемных линий определяется асимптотикой кривых

и

ВЭЗ, которая в свою очередь зависит от строения ЭГМ, участвующих в сложении СГМ.
4.38. Над двухслойной средой с неровной границей раздела, когда ЭГМ первого класса чередуются в горизонтальном направлении, аномалии от каждого последующего элемента разреза формируются на фоне аномалий от предыдущих, ближе расположенных к центру зондирования. Характер суперпозиции аномалий таков, что исходный уровень нормального поля на кривых

ВЭЗ сохраняется постоянным и определяется истинными или эквивалентными параметрами перекрывающей толщи пород.
4.39. При интерпретации кривых ВЭЗ МДС необходимо учитывать только аномальный эффект, вносимый каждым ЭГМ при заданных разносах питающих и приемных электродов. Новые уровни нормального поля на кривых

для каждого последующего в горизонтальном направлении ЭГМ должны отсчитываться от уровня аномалий, вызванных влиянием залегающих ближе к центру зондирования ЭГМ.
4.40. Локальные линзы и пласты пород, располагающиеся под центром зондирования, обнаруживаются в виде аномалий, характерных для ЭГМ I-ПЛ-2-а и I-ПЛ-3-а. Количественная интерпретация таких аномалий позволяет определить мощность и УЭС пород в пределах неоднородности, если ее поперечные размеры достаточно велики.
4.41. Влияние залегающих сбоку неоднородностей второго и третьего классов практически не ощутимо, если создаваемые ими амплитуды аномалий соизмеримы с ошибкой измерений. Признаком того, что аномалии на кривых ВЭЗ МДС являются следствием влияния залегающих сбоку от центра зондирования локальных неоднородностей, могут служить:
отсутствие решений при количественной интерпретации аномалий на кривых

ВЭЗ с помощью номограмм для параллельно-слоистых сред;
резкое несоответствие в строении массива пород, устанавливаемое по данным ВЭЗ МДС в соседних сближенных пунктах наблюдений.
Принципы систематизации сложных геоэлектрических массивов
4.42. СГМ необходимо систематизировать с целью унификации приемов решения обратной задачи. Перспективной является система, в основу которой положено расчленение сложных массивов на элементарные. Возможность и корректность такого подхода к систематизации СГМ вытекают из существования суперпозиции аномалий на кривых

и

ВЭЗ, создаваемых каждым ЭГМ в отдельности. Предлагаемая систематизация СГМ позволяет дать описание массива практически любого строения с помощью различных комбинаций ЭГМ, связать с каждым элементом строения сложного массива соответствующую аномалию на кривых

и

ВЭЗ и установить вид и последовательность применения номограмм для определения свойств и строения изучаемой среды.
4.43. Краеугольным камнем предлагаемой систематизации СГМ является постоянство обозначения различных видов ЭГМ и правил записи последовательности их расположения в СГМ. Эта запись должна содержать следующее:
обозначения видов и подвидов ЭГМ, принимающих участие в строении СГМ;
перечисление ЭГМ в той последовательности, в которой они обнаруживаются на кривых

и

ВЭЗ по мере увеличения разносов питающих и приемных линий.
4.44. Такая запись в свою очередь дает информацию о:
правилах выбора особых точек и способах определения уровня нормального поля на кривых

и

ВЭЗ МДС;
виде номограмм для оценки геоэлектрических и структурных параметров ЭГМ и последовательности их применения.
4.45. Примером такой систематизации СГМ являются широко распространенная классификация параллельно-слоистых разрезов, суть которой состоит в том, что бесконечное множество возможных случаев описывается различными сочетаниями трехслойных элементов, число типов которых равно четырем. Запись строения многослойного параллельно-слоистого СГМ производится сверху вниз (слева направо по кривым

и

ВЭЗ) в той последовательности, в которой осуществляется переход к различным видам трехслойных СГМ при замене вышележащих слоев одним эквивалентным. Такая запись содержит информацию о том, с помощью каких номограмм находить координаты эквивалентных слоев, т.е. новые уровни нормального поля для последующих аномалий, и по каким номограммам определять геоэлектрические параметры нижележащих слоев. Примеры применения систематизации параллельно-слоистых СГМ для обозначения и интерпретации многослойных кривых

ВЭЗ рассмотрены нами в
разд. 2.
4.46. В классификации ЭГМ с горизонтальными и наклонными границами раздела также заложена информация о строении массива и способах определения элементов залегания границ опорного горизонта и его УЭС с помощью соответствующих номограмм. Принятая система обозначения ЭГМ может быть использована и для описания строения СГМ с горизонтальными и наклонными границами в полном соответствии с порядком суммирования аномалий на кривых

и

ВЭЗ от ЭГМ, принимающих участие в сложении СГМ. Примеры использования таких записей сокращенных обозначений различных СГМ приведены в предыдущих параграфах настоящего раздела.
4.47. Для обозначения и систематизации многослойных СГМ с горизонтальными и наклонными границами раздела сред целесообразно объединить рассмотренные выше способы. В этом случае количество и последовательность залегания слоев с различными УЭС в вертикальном направлении обозначаются и записываются так же, как и при параллельно-слоистом строении среды. Изменения элементов залегания или конфигурации кровли какого-либо горизонта обозначаются и записываются в системе, принятой для ЭГМ и СГМ с горизонтальными и наклонными границами. Эта запись помещается в квадратных скобках перед обозначением того трехслойного элемента, в кровле которого имеют место отклонения от параллельно-слоистого строения среды. Она свидетельствует о том, что в результате интерпретации аномалий, относящихся к последующим трехслойным элементам, необходимо вносить поправки, учитывающие влияние этих отклонений.
4.48. В качестве примера можно привести обозначение строения массива по аномалиям на кривых

и

двусторонних трехэлектродных ВЭЗ, приведенных на
рис. 41. По сочетанию аномалий на кривых

можно однозначно установить, что массив относится к четырехслойному виду
KH с горизонтальным залеганием границ в элементе
K и наклонной кровлей опорного горизонта в элементе
H. Строение указанного массива может быть записано в виде СГМ
K (I-
ДС-1-б "-")
H. Из этой записи следует, что мощности и УЭС первых двух слоев могут быть определены с помощью номограмм для СГМ
K, а при оценке УЭС третьего и четвертого горизонтов и глубины залегания кровли четвертого горизонта под центром ВЭЗ необходимо использовать приемы и номограммы, рассчитанные для контакта двух сред, наклонная плоскость которого располагается под центром зондирования.
4.49. Возможности предлагаемого способа систематизации и обозначения многослойных СГМ с произвольной формой границ раздела сред практически не ограничены. Форма записи достаточно компактна и содержит необходимую информацию о строении СГМ, последовательности и способах интерпретации относящихся к ним аномалий на кривых

и

ВЭЗ.
5. ПРИЕМЫ ИНТЕРПРЕТАЦИИ КРИВЫХ ВЭЗ МДС, ПОЛУЧЕННЫХ
НАД МАССИВАМИ РАЗЛИЧНОГО СТРОЕНИЯ
5.1. Особенности изменения аномалий на кривых ВЭЗ МДС таковы, что прежде, чем приступить к определению по ним геоэлектрических параметров массивов, необходимо предварительно установить строение последних и положение центров зондирований относительно наклонных границ раздела сред. Отсюда вытекает потребность в выделении первых двух этапов интерпретации кривых

и

ВЭЗ: качественной и количественной интерпретации. Третий и заключительный этап интерпретации необходим для выявления и учета анизотропии в каком-либо промежуточном горизонте, а также для обнаружения в разделе пропущенных слоев, не проявившихся явно на кривых

ВЭЗ. Рассмотрим особенности, присущие каждому из перечисленных этапов.
Качественная интерпретации кривых
и
двусторонних
трехэлектродных ВЭЗ МДС
5.2. Целью качественной интерпретации является последовательное решение следующих вопросов:
определение общего строения изучаемого массива с выделением составных ЭГМ по совокупности аномалии на кривых

и

для правой и левой установок;
уточнение положения центра зондирования относительно наклонных границ раздела сред и приблизительная оценка расстояния до них;
выбор кривых

и

ВЭЗ, которые могут быть подвергнуты количественной интерпретации с помощью палеток и номограмм для параллельно-слоистых сред и сред с горизонтальными и наклонными границами раздела, и нахождение на них особых точек.
5.3. Строение изучаемого массива в окрестностях зондирования устанавливается в результате совместного анализа аномалий на кривых

и

для правой и левой установок. Для облегчения решения этой задачи следует широко использовать типичные кривые

и

двусторонних трехэлектродных ВЭЗ над различными видами и подвидами ЭГМ (см.
разд. 3). Тип и класс изучаемого массива определяются на основании общей закономерности изменения величин

по мере увеличения действующих расстояний. Виды и подвиды ЭГМ выделяются по форме локальных аномалий на кривых

для левой и правой установок, сопровождающихся характерными аномалиями на кривых

. Результаты решения этой задачи записываются в виде формулы по установленным правилам или описываются словами, если в этом есть необходимость.
5.4. По абсциссам особых точек на кривых

и

двусторонних трехэлектродных ВЭЗ МДС можно практически однозначно и с удовлетворительной точностью определить местоположение центра зондирования относительно негоризонтальных границ и расстояние до них в ЭГМ практически любого строения. Признаки, которыми должны обладать указанные особые точки, подробно рассмотрены в соответствующих
разд. 2 и
3. Двузначность решений возможна, когда центр зондирования располагается за пределами пластов, ограниченных с одной или двух сторон. Характер аномалий на кривых

и

для правой и левой установок в этих случаях таков, что они в равной мере могут отвечать положению центра ВЭЗ над боковой границей объекта указанного вида, залегающего на большой глубине. Неопределенность может быть устранена в результате количественной интерпретации аномалий на кривых

с помощью соответствующих номограмм. При размещении центра ВЭЗ за пределами объекта решения на номограммах, как правило, отсутствуют.
5.5. Сформулируем правила, которыми следует руководствоваться при отборе кривых

и

двусторонних трехэлектродных ВЭЗ для определения строения и электрических свойств изучаемых массивов в вертикальном и горизонтальном направлениях. Отступление от этих правил влечет за собой большие, не поддающиеся учету ошибки при интерпретации кривых ВЭЗ с помощью рекомендуемых палеток и номограмм.
5.6. Для определения строения массива и изменения электрических свойств в вертикальном направлении выбирают кривые

, полученные удаляющейся установкой.
5.7. Для определения простирания и глубины залегания боковых границ возмущающих объектов различной формы используют аномалии на кривых

и

для удаляющихся установок, центры которых располагаются над средой с повышенными значениями УЭС или над наименее погруженной ее частью. Такие положения мы условились обозначать знаками "+" (зондирование выполняется над высокоомной средой на некотором удалении от ее боковых границ) и "+/-" (фондирование выполняется над боковой границей объекта).
5.8. Направление и величина истинного угла падения наклонных границ, а также величина амплитуды смещения горизонтальных границ в ЭГМ вида I-
ДС-1, I-
ДС-2, I-
ДС-3 и I-
ДС-4 определяются по степени расхождения кривых

для левой и правой установок и амплитуде аномалий на кривой

для удаляющейся установки.
5.9. Результаты качественной интерпретации могут иметь самостоятельное значение. Поэтому во многих случаях их полезно изображать в виде схематических геоэлектрических разрезов и планов простирания наклонных границ отдельно для каждого зондирования
(рис. 44). На геоэлектрических разрезах показывается форма и местоположение горизонтальных и наклонных границ раздела сред и приблизительное соотношение УЭС, и на планах - простирание и направление падения наклонных или смещения горизонтальных границ.
Рис. 44. Пример изображения результатов качественной
интерпретации кривых двусторонних трехэлектродных ВЭЗ МДС
Количественная интерпретация кривых
и
двусторонних
трехэлектродных ВЭЗ МДС
5.10. Целью количественной интерпретации является определение по аномалиям на кривых

и

ВЭЗ числовых значений электрических и структурных параметров изучаемых массивов с точностью, которую можно оценить в каждом конкретном случае. При количественной интерпретации используются теоретические кривые

для горизонтально- и наклонно-слоистых сред, а также специальные номограммы для сред с горизонтальными и наклонными контактами. Приемы интерпретации и применяющиеся при этом номограммы и палетки теоретических кривых зависят от строения исследуемого массива. В этом отношении представляют интерес следующие случаи.
Многослойные параллельно-слоистые СГМ
5.11. Интерпретации подвергаются кривые

для правой или левой установок после того, как в ходе качественной интерпретации будет установлено параллельно-слоистое строение массива над центром зондирования и отсутствие влияния боковых наклонных границ.
5.12. Интерпретация ведется сверху вниз по разрезу (слева направо по кривой

ВЭЗ) и заключается в последовательном определении мощностей и величин УЭС слоев с помощью теоретических кривых

для ЭГМ. I-
ДС-а и II-
ДС-а (приложение,
рис. 1,
а,
б), специальных номограмм для нахождения соотношений

,

,
Mx и
My в трехслойных разрезах типа
K,
Q,
H и
A (приложение,
рис. 12 -
26). Последовательность и приемы применения этих номограмм подробно рассмотрены в
разд. 2. Поэтому ниже мы остановимся лишь на отдельных сторонах этого процесса.
5.13. Интерпретация кривых

каждого единичного зондирования производится без привлечения каких-либо дополнительных сведений о величинах УЭС или мощностей промежуточных горизонтов. Если в том или ином элементе СГМ обнаруживается эквивалентность по
T или
S, то обязательно должны быть установлены ее пределы. В тех случаях, когда мощность или УЭС промежуточного горизонта, обусловившего эквивалентность, неизвестны, необходимо брать предельные значения и по ним вычислять величины мощности и УЭС слоя, а также координаты эквивалентного слоя для дальнейшей интерпретации кривой

. Как показывает экзамен номограмм (приложение,
рис. 12 -
14 и
20 -
22) с помощью соответствующих теоретических кривых

для трехслойных СГМ, ошибки в оценке истинных мощностей не выходят за пределы +/- 20% во всех эквивалентных массивах. Если из каких-нибудь источников известно УЭС или мощность промежуточного слоя, то величины

,

,
Mx и
My следует определять по номограммам с учетом известных данных.
5.14. Нередко в ходе интерпретации возникают значительные смещения координат эквивалентных слоев вправо по оси абсцисс по отношению к связанным с ними экстремумам на кривых

ВЭЗ. Во многих случаях в результате такого смещения становится невозможным определение параметров нижележащих слоев, несмотря на то, что правые ветви кривых

продолжают соответствовать параллельно-слоистому строению среды. Причинами такого явления могут быть:
неправильный выбор номограммы для трехслойного СГМ, выполненный без учета значений УЭС третьего слоя (например, номограмма для типа
K - 0 вместо

, типа

вместо

и т.д.);
пропуск слоя в разрезах типа
Q и
A, не нашедшего явного выражения на кривых

;
присутствие в разрезе слоев с градиентом УЭС в вертикальном направлении (градиентных слоев).
Дальнейшая интерпретация кривой

может быть осуществлена только после устранения смещения координат эквивалентного слоя путем выбора номограммы, соответствующей соотношению УЭС второго и третьего слоев, или дополнительных особых точек на проинтерпретированном отрезке кривой для пропущенных или фиктивных (в градиентных средах) слоев.
5.15. Результаты количественной интерпретации каждой единичной кривой

ВЭЗ следует рассматривать как предварительные, поскольку они не учитывают анизотропии в пределах отдельных слоев или экранирования нижележащей толщи высокоомным слоем.
Массивы с горизонтальными и наклонными границами
раздела сред
5.16. Для определения электрических свойств контактирующих сред и элементов залегания границ между ними в ЭГМ и СГМ указанного вида используются номограммы приложения,
рис. 1, а, б -
10;
27 -
31. В общем случае интерпретация производится в следующей последовательности.
5.17. Сначала с помощью теоретических кривых

ВЭЗ на номограммах приложения,
рис. 1, а, б;
2, а, б находят глубину залегания
h1 или
Hср высокоомной среды под центром ВЭЗ.
5.18. Затем в особых точках на кривых

и

двусторонних трехэлектродных ВЭЗ берут значения

,

и

и вычисляют соотношения
d/
r;
r/
h;

;

;

.
5.19. Далее по номограммам приложения
рис. 3 -
7;
27;
29 определяют величины

,

и

, по которым в свою очередь устанавливают значения

,

и

с помощью номограмм (см. приложение
рис. 8 -
10) и вычисляют

и

. Приемы применения перечисленных номограмм и примеры, их иллюстрирующие, приведены в
разд. 3 и
4.
5.20. В случае СГМ возникает вопрос о способах нахождения нового уровня нормального поля на кривых

и

двусторонних трехэлектродных ВЭЗ при интерпретации аномалий, осложненных влиянием близко расположенных к центру зондирования границ. По этому поводу можно дать следующие рекомендации.
5.21. При интерпретации аномалий на кривых

для удаляющейся установки не приходится искать новый уровень нормального поля, поскольку все искажения, обусловленные влиянием боковых границ, учитываются с помощью номограмм и служат источником информации об их элементах залегания.
5.22. Суммарное воздействие нескольких боковых границ в гораздо большей степени проявляется на кривых

для секущих установок и сопровождается значительными изменениями величины

.
5.23. Степень влияния ближайших к центру ВЭЗ геоэлектрических границ может быть установлена и учтена, если правая ветвь кривой

для секущей установки будет смещена параллельно самой себе вверх или вниз по оси ординат до соединения ее с кривой

для удаляющейся установки в особой точке при
r = 2
d'. Исправленная величина

определяется обычным образом после выполнения указанной выше операции и относится к величине

снимаемой с кривой

для удаляющейся установки при
r = 2
d'.
5.24. Новый уровень нормального поля на кривых

определяется приблизительно путем экстраполяции аномалий, имеющих место на малых разносах питающих линий, в область больших действующих расстояний, руководствуясь при этом закономерностями изменения величин

, типичными для ЭГМ данного вида или подвида. Аномалии на кривых

, используемые для оценки элементов залегания наклонных границ, отсчитываются от нового уровня нормального поля в установленном порядке.
Многослойные массивы с горизонтальными,
наклонными и вертикальными границами
5.25. Многослойные параллельно-слоистые массивы с наклонными границами, залегающими в стороне от центра зондирования. Если влияние наклонных и вертикальных границ обнаруживается при действующих расстояниях, превышающих абсциссы особых точек для параллельно залегающих слоев на кривых

, то необходимо сначала определить с помощью номограмм (см. приложения
рис. 12 -
26) геоэлектрические параметры параллельных слоев, а затем - элементы залегания наклонных и вертикальных границ по номограммам приложения
рис. 3 -
10,
27,
28. В последнем случае вместо
h1 и

должны быть использованы величины

и

, вычисленные по значениям

,

,
Mx и
My для последнего слоя и объединяющие параллельно-слоистую толщу. Указанный порядок интерпретации должен быть отражен в записи СГМ, где обозначения ЭГМ с наклонными или вертикальными границами следует помещать после перечисления трехслойных элементов параллельно-слоистой среды, например СГМ
KH [I-
ДС-1-б "+"] или СГМ
AA [I-
ДС-4-а "+"] и т.д.
5.26. Если влияние боковых границ сказывается на величинах

всех особых точек, относящихся к параллельным слоям, то обозначения ЭГМ с непараллельными границами раздела следует помещать перед обозначениями элементов параллельно-слоистой среды при записи строения всего массива. Например, четырехслойный массив с

,

и

, осложненный ступенью вблизи центра зондирования, опишется формулой: СГМ [I-
ДС-2
-а "+/-"]
KH. В соответствии с такой записью интерпретация кривых

и

ВЭЗ должна производиться в следующей последовательности.
5.27. Сначала с помощью номограмм приложения
рис. 3 -
10 или
28 находят элементы залегания наклонных и вертикальных границ.
5.28. Затем вычисляют отношение

для всех особых точек, относящихся к параллельно-залегающим слоям, и, располагая величиной

, восстанавливают

по зависимости

на номограммах приложений
рис. 3 -
7, которые выбираются с учетом величины
.
5.29. По восстановленным значениям

вычисляют для каждой особой точки в отдельности величину

.
5.30. Дальнейшая интерпретация кривой

производится в обычном для параллельно-слоистых сред порядке с той лишь разницей, что при вычислении амплитуд аномалий в особых точках используют найденные величины.
5.31. Если влияние боковых границ обнаруживается в средней части интерпретируемых кривых

и

ВЭЗ, то обозначение ЭГМ с негоризонтальными границами раздела помещается перед обозначением тех элементов параллельно-слоистой среды, для которых положение особых точек на кривой

изменено. Например, запись строения массива с

и наклонным контактом, находящимся на достаточном удалении от центра зондирования, будет иметь вид: СГМ
A[I-
ДС-1-б "+"]
A. В соответствии с такой записью первый элемент параллельно-слоистой среды должен быть проинтерпретирован с помощью номограмм для определения
v2,

,
Mx и
My в разрезах типа
A, а второй - только после того, как в амплитуду особой точки для него будет внесена поправка, учитывающая влияние боковой границы. Эта операция производится в той же последовательности, которая имеет место, когда влияние непараллельных границ начинает сказываться уже при малых действующих расстояниях. Отличие рассматриваемого случая состоит в том, что здесь вместо величин
h1 и

используют

и

последнего слоя, положение особой точки которого не изменено.
5.32. Многослойные массивы с наклонными границами под центром зондирования. В эту группу входят массивы, частично или полностью состоящие из ЭГМ видов (I-
ДС-4-б "-"; I-
ПЛ-2-а "-"). Специфическая особенность последних заключается в том, что для определения угла падения наклонных границ в них необходимо знать глубину залегания последних под центром зондирования и соотношение УЭС контактирующих сред. Такие сведения могут быть получены в результате количественной интерпретации кривых

для левой и правой установок с помощью номограмм для параллельно-слоистых сред. Величины мощностей слоев по вертикали под центром ВЭЗ и УЭС слоев вычисляются как средние арифметические из двух значений. Отсюда вытекают правила записи строения многослойных массивов с наклонными границами раздела сред и последовательность интерпретации соответствующих им кривых

и

двусторонних трехэлектродных ВЭЗ.
5.33. Ранее было показано, что обозначения ЭГМ с наклонными границами раздела следует помещать перед элементом параллельно-слоистой среды, в пределах которого произошло изменение угла падения одной из границ. Согласно такой записи, необходимо сначала произвести количественную интерпретацию кривых

для левой и правой установок и определить мощности и УЭС слоев, а также величины

и

для слоев, залегающих над наклонной границей. Дальнейшая интерпретация кривых

и

двусторонних трехэлектродных ВЭЗ выполняется с помощью номограмм 29 - 31 в установленном порядке с той лишь разницей, что вместо
h1 и

используются
Hэср и

.
Заключительный этап интерпретации
5.34. По данным качественной и количественной интерпретации кривых

и

ВЭЗ необходимо построить геоэлектрические разрезы по всем профилям. Точки зондирований располагаются на них с учетом направления разносов питающих электродов правой и левой установок. Под каждым геоэлектрическим разрезом должен быть помещен план простирания наклонных границ с указанием направления и угла их падения.
5.35. В процессе построения геоэлектрических разрезов и планов простирания геоэлектрических границ могут быть обнаружены несоответствия между глубинами залегания границ слоев и их истинными углами падения. Небольшие расхождения в пределах допустимых величин случайных ошибок интерпретации осредняются и в дальнейшем во внимание не принимаются. Расхождения, превышающие предельные значения ошибок интерпретации, относятся к систематическим и подлежат учету в соответствии с причиной их возникновения. Ошибки технического характера, обусловленные утечками, смещением приемных или питающих линий от заданных направлений и пр., устраняются просто: кривые

и

бракуются и в интерпретации не участвуют. Систематические ошибки, связанные с особенностями строения среды, учитываются путем повторной интерпретации кривых

и

с помощью дополнительных номограмм, позволяющих определить истинную мощность и электрические параметры анизотропных слоев или учесть влияние экранирования нижележащей толщи высокоомным промежуточным горизонтом. Вновь полученные данные выносятся на геоэлектрические разрезы и служат обоснованием для уточнения положения геоэлектрических границ на них.
5.36. Если измерения выполнялись в виде площадной съемки, то на основании окончательных геоэлектрических разрезов и планов простирания геоэлектрических границ к ним составляются:
карты глубин залегания кровли или подошвы промежуточного или опорного горизонта;
карты распространения пород с различными геоэлектрическими характеристиками;
карты элементов залегания кровли или подошвы какого-либо горизонта, а также круто падающих секущих границ. Перечисленные карты и геоэлектрические разрезы к ним являются окончательным результатом интерпретации данных ВЭЗ МДС и в таком виде могут быть использованы для решения разнообразных задач геологического, гидрогеологического и мерзлотного картирования.
Примеры поэтапной интерпретации результатов зондирований
5.37. Региональные исследования. Рассматриваемый пример относится к юго-восточному склону Воронежского кристаллического массива. Исследования носили маршрутный характер и выполнялись при помощи электроразведочной станции. Сведения о геоэлектрическом разрезе района работ были получены в результате бурения, по параметрическим ВЭЗ и после обработки каротажных диаграмм двенадцати скважин. Было установлено, что кривые

ВЭЗ многослойны и очень изменчивы по форме в полном соответствии с особенностями геологического строения района. Большую часть полученных кривых не удалось проинтерпретировать с помощью палеток теоретических кривых. Поэтому был использован статистический прием, основанный на зависимости между величиной среднего продольного сопротивления

проводящей толщи и

на интерпретируемых кривых. Такая зависимость была установлена для района эмпирически при совместной обработке данных бурения, параметрических ВЭЗ и каротажа.
5.38. Определение глубин залегания поверхности фундамента производилось в следующем порядке. С интерпретируемой кривой

ВЭЗ снимали значение

, по нему согласно установленной зависимости оценивали

и, зная величину
S, находили
. Результаты интерпретации были представлены в виде двух разрезов, на которых было показано только положение поверхности кристаллического фундамента по данным ВЭЗ.
5.39. Все кривые

ВЭЗ, приведенные в книге для этого района, были нами проинтерпретированы методом особых точек с целью сравнения возможностей различных способов интерпретации. Интерпретация методом особых точек велась в установленном для параллельно-слоистых сред порядке. Примеры выделения особых точек на интерпретируемых кривых

ВЭЗ приведены на
рис. 45. Там же изображены результаты интерпретации в виде диаграмм УЭС по глубине. Сравнивая их с данными бурения, можно убедиться в том, что чередование в разрезе карбонатных и глинистых пород нашло свое отражение на диаграмме УЭС в виде неявных элементов [
HK (
Q) и
KH (
A)]. Только глинистые отложения верхнего девона практически повсеместно выделились отдельным низкоомным (2 - 20 Ом·м) горизонтом. Кристаллические породы архея охарактеризовались большими (250 - 2200 Ом·м) и бесконечно большими значениями УЭС. Точность совпадения геоэлектрических и геологических границ в большинстве случаев не вышла за пределы +/- 15 - 20% ошибки.

Рис. 45. Пример выделения особых точек на кривых

ВЭЗ
и диаграммы УЭС, полученные в результате интерпретации
этих кривых
5.40. По данным количественной интерпретации методом особых точек построен геоэлектрический разрез и карта глубин залегания кровли архейских пород
(рис. 46).
а)
б)
Рис. 46. Результаты электроразведочных работ
на юго-восточном склоне Воронежского
кристаллического массива
а - карта глубин залегания кровли кристаллического
фундамента; б - геоэлектрический разрез по профилю I-I;
1 - глины; 2 - известняки; 3 - геоэлектрические границы
по данным интерпретации кривых ВЭЗ методом особых точек;
4 - геоэлектрические границы по данным статистического
метода интерпретации кривых ВЭЗ; 5 - контуры высокоомных
пластов кровли девона; 6 - высокоомные пласты
5.41. На геоэлектрическом разрезе устойчиво проследилась поверхность архейских пород. Ее конфигурация оказалась существенно проще той, что вырисовывалась по данным интерпретации методом
S. Любопытно отметить, что результаты интерпретации тем и другим способом хорошо совпали лишь вблизи скважин, тогда как на других участках они разошлись и тем больше, чем дальше точки ВЭЗ располагались от скважин. Явление это вполне закономерно и объясняется снижением точности определения величины

путем интерполяции на большие расстояния. Хорошее совпадение данных, полученных различными способами вблизи скважин, разрез которых нам неизвестен, лишь подтверждает надежность и хорошую точность результатов интерпретации методом особых точек.
5.42. С меньшей определенностью проявилась на геоэлектрическом разрезе кровля девонских отложений. Достаточно условно ее удалось выделить по верхней границе предопорного элемента
KH. Тем не менее основные элементы ее залегания установлены правильно, о чем свидетельствует карта изогипс поверхности архея, приведенная на
рис. 46.
5.43. По данным количественной интерпретации методом особых точек составлена карта равных глубин залегания поверхности архейских пород, на которой обнаруживается широкое переуглубление на фоне общего погружения кристаллического основания.
5.44. Детальная съемка. Рассматриваемые геофизические работы проводились с целью изучения распространения карста. Согласно имевшимся перед началом геофизических работ данным, карст на изучаемой территории приурочен к каширским известнякам среднего карбона (
C2Ks
v), залегающим на верейских глинах (
C2Vr) и перекрытым четвертичными суглинками (см.
рис. 47). Он проявляется и виде пустот до 1 - 2 м, фиксирующихся при бурении скважин; карстовых полостей, выполненных известняковым конгломератом на глинистом цементе; карстовых воронок в кровле каширских известняков, погребенных под четвертичными отложениями; известковистой муки, образующей кору выветривания в кровле каширских известняков. Зоны повышенной закарстованности приурочены к крыльям и сводам брахиантиклиналей, которые хорошо коррелируются с участками минимальной мощности четвертичных отложений. На участках, где мощность покровных отложений возрастает до 15 м, проявления карста сокращаются, а карстовые пустоты в известняках практически исчезают.

Рис. 47. Геологическое строение района работ
а - геологическая карта;
б - геологический разрез по линии V-V;
1 - покровные суглинки; 2 - моренные суглинки;
3 - известняки лопасненского яруса; 4 - глины хатынского
яруса; 5 - известняки нарского яруса; 6 - глины верейского
горизонта; 7 - границы смещения блока каширских известняков
по данным геологической съемки; 8 - границы смещения блока
каширских известняков по данным интерпретации ВЭЗ МДС;
9 - граница площади геофизических работ;
10 - стратиграфическая граница; 11 - линия профиля V-V
5.45. Электроразведочные работы состояли из двусторонних трехэлектродных ВЭЗ МДС с максимальными разносами питающих электродов до 150 м. Согласно требованиям действующих инструкций и сметным нормам, точки ВЭЗ располагались в пределах стройплощадки по относительно равномерной сети наблюдений (см.
рис. 48).
Рис. 48. Карта изогипс кровли известняков и равных значений
среднеквадратического УЭС на участке "Пущино"
1 - линии равных глубин залегания кровли известняков;
2 - линии равных среднеквадратических УЭС известняков;
3 - границы протяженного переуглубления в толще известняков;
4 - контуры застроенной территории; 5 - контуры
распространения прослоев в известняках; 6 - точки ВЭЗ МДС
В целом ряде пунктов выполнены крестовые ВЭЗ МДС с целью повышения точности и однозначности решения обратной задачи.
5.46. Интерпретация кривых ВЭЗ МДС производилась в три этапа в соответствии с данными ранее рекомендациями. Типичные для района работ кривые

и

двусторонних трехэлектродных ВЭЗ МДС приведены на
рис. 49. Поскольку вопросы количественной интерпретации кривых ВЭЗ МДС подробно рассмотрены и проиллюстрированы в
разд. 3 и
4, здесь мы сделаем акцент на первом и третьем этапах интерпретации.
Рис. 49. Типичные кривые двусторонних трехэлектродных ВЭЗ
МДС на участке "Пущино"
ВЭЗ N 1 (профиль I, пикет 1)
5.47. Качественная интерпретация: по совокупности аномалий на кривых

и

для левой (сплошные линии) и правой (пунктирные линии) установок можно предположить, что разрез под центром зондирования имеет четырехслойное строение с

;

;

. Кровля третьего (высокоомного) горизонта залегает наклонно по отношению к земной поверхности, погружаясь в сторону правой установки. Угол падения кровли высокоомного горизонта меняется слева от центра ВЭЗ, на что указывает перегиб на кривой

для левой установки при
r = 30 м.
5.48. Преждевременный срыв правой ветви кривой

для правой установки позволяет установить, что справа от центра ВЭЗ на расстоянии около 70 м от него существует ступень в кровле высокоомного горизонта или заметное увеличение угла ее падения. Нулевые значения

на малых разносах питающих линий свидетельствуют о горизонтальном залегании первой от поверхности геоэлектрической границы. Большие значения

средней части кривой говорят о том, что наклонная плоскость простирается под углом, близким к 180° по отношению к направлению разносов питающих электродов.
5.49. Резкий срыв кривой

для правой установки при
r = 70 м является признаком того, что ступень или второй наклонный контакт простираются под острым

углом к линии профиля. Строение массива может быть записано в виде: СГМ
H [I-
ДС-1-б "-" + I-
ДС-1-б "+"]
K. Такая запись показывает, что при интерпретации кривой

, относящейся к элементу
H, мы можем пользоваться номограммами для параллельно-слоистых сред, тогда как в амплитуду аномалии на кривой

для левой установки в элементе
K следует внести поправку, учитывающую влияние ступени. При определении элементов залегания последней амплитуду аномалии на кривой

для левой установки необходимо отсчитывать от нового уровня нормального поля, каковым является продолжение сформировавшейся ранее аномалии.
Результаты количественной интерпретации:
ВЭЗ N 4 (профиль I, пикет 4)
5.50. Качественная интерпретация по характеру аномалий на кривых

и

можно сказать, что массив в окрестностях зондирования относится к виду СГМ
QHK, осложненному ступенью или наклонным контактом в кровле четвертого (высокоомного) горизонта. Эта ступень находится в 50 м справа от центра ВЭЗ N 4 и хорошо коррелируется с боковыми границами переуглубления, которое фиксируется с помощью ВЭЗ N 1, 2 и 3. Если судить по виду аномалий на кривых

, то можно установить, что контакт с проводящей средой простирается практически по направлению разносов питающих электродов. В целом массив относится к виду СГМ
QH [I-
ДС-1-б "+"]
K и требует внесения поправки в амплитуду аномалии на кривой

для левой установки, относящейся к элементу
K.
Результаты количественной интерпретации:
ВЭЗ N 14 (профиль II, разносы AO и OB по профилю)
5.51. Качественная интерпретация. Массив под центром зондирования имеет трехслойное строение с

,

. Кровля второго горизонта погружается в сторону левой установки. Кровля опорного горизонта залегает параллельно земной поверхности, поскольку максимумы на кривых

для левой и правой установок образуются при одинаковых действующих расстояниях. Аномалии на кривых

указывают на то, что в массиве присутствует наклонная граница, простирание которой близко к направлению разносов питающих электродов. В общем массив имеет строение вида: СГМ [I-
ДС-1-б "-" + I-
ДС-1-б "+"]
K.
Результаты количественной интерпретации:
ВЭЗ N 15 (профиль II, разносы перпендикулярно к профилю)
5.52. Качественная интерпретация. Если пренебречь локальными аномалиями на кривых

на начальных разносах до
r = 3 м, то можно говорить о том, что массив имеет трехслойное строение с

,

. Кровля второго горизонта осложнена ступенью, находящейся в 9 м от центра зондирования в сторону разносов питающих электродов правой установки. Кровля опорного горизонта залегает параллельно земной поверхности, о чем свидетельствуют одинаковые абсциссы максимумов на кривых

для левой и правой установок. Незначительные амплитуды аномалий на кривых

являются признаком того, что ребро ступени простирается под прямым углом к направлению разносов питающих электродов. В общем массив может быть отнесен к виду СГМ [I-
ДС-2-а "+"]
K.
Результаты количественной интерпретации:
Сопоставив результаты количественной интерпретации кривых основного и крестового ВЭЗ МДС, можно заметить, что расхождения между ними не выходят за допустимые пределы ошибок при определении геоэлектрических и структурных параметров ЭГМ.
ВЭЗ N 25 (профиль IV)
5.53. Качественная интерпретация. Если исключить локальные аномалии на кривых

при
r <= 1,5 - 2 м, то строение массива слева от центра следует считать четырехслойным с

,

, а справа - трехслойным с

,

. Расхождение кривых

для левой и правой установок типично для ступени, располагающейся под центром зондирования. Максимумы на кривых

для левой и правой установок формируются при одинаковых действующих расстояниях, свидетельствуя о параллельности земной поверхности и кровли опорного горизонта. Аномалии на кривых

указывают на присутствие под центром зондирования узкого непроводящего тела вида [I-
ПЛ-3-а "+"] или [I-
ЭВ-1-а "+"]. Аномалии на кривых

, относящиеся к ступени, формируются на фоне аномалии от узкого пласта. В общем строение массива может быть записано в виде:
СГМ [I-ПЛ-3-а "+" + I-ДС-2-а "+/-"] AK.
Результаты количественной интерпретации:
ВЭЗ N 26 (профиль IV)
5.54. Качественная интерпретация. Массив под точкой ВЭЗ имеет пятислойное строение с

,

,

, причем верхняя и нижняя границы в элементах
AK погружаются в сторону правой установки. Об этом говорит характерное расхождение экстремумов на кривых

для левой и правой установок. Аномалии на кривых

- имеют незначительные амплитуды, указывая на то, что наклонные границы простираются под острым углом к линии профиля, близким к 90°. Таким образом, строение массива может быть записано в виде:
СГМ H [I-ДС-1-б "-"] AK.
Результаты количественной интерпретации:
ВЭЗ N 48 (профиль VI)
5.55. Качественная интерпретация. Кривая

левой установки отчетливо указывает на двухслойное строение среды. При этом правая ветвь кривой составляет с осью абсцисс угол более 45°, что является признаком присутствия в массиве крутопадающего контакта слева от центра зондирования. В отличие от этого, правая установка обнаруживает проводящую среду, контакт с которой находится в непосредственной близости от центра ВЭЗ. Аномалии на кривых

имеют различные знаки, что характерно для ступеней, но не для грабенов. Учитывая это, строение массива может быть описано формулой:
СГМ [I-ДС-2-а "-" + I-ДС-2-а "+/-"].
Результаты количественной интерпретации:
ВЭЗ N 49 (профиль VI)
5.56. Качественная интерпретация. Массив под центром зондирования имеет четырехслойное строение с

,

. В кровле опорного непроводящего горизонта присутствует ступень или наклонный контакт на расстоянии 25 м справа от центра зондирования, что хорошо коррелируется с данными, полученными на предыдущем ВЭЗ N 48. Аномалии на кривых

для левой и правой установок имеют различные знаки, соответствуя ступенеобразному строению массива. При больших действующих расстояниях (
r > 70 м) знаки аномалий на кривых

меняются, по-видимому, из-за появления в массиве дополнительных наклонных границ с существенно иным простиранием. Строение массива в ближайших окрестностях точки ВЭЗ N 49 может быть записано в виде:
СГМ Q [I-ДС-2-а "+"] AH.
Результаты количественной интерпретации:
5.57. По материалам качественной и количественной интерпретации всех ВЭЗ МДС построены геоэлектрические разрезы и планы простирания к ним по всем профилям. Некоторые из них приведены на
рис. 50. Можно видеть, что геоэлектрический массив на изученной территории имеет преимущественно трехслойное строение, если пренебречь незначительными вариациями УЭС в первом от поверхности слое. Геологическая привязка выделенных геоэлектрических горизонтов не вызывает особых затруднений.
Рис. 50. Геоэлектрические разрезы и планы простирания
геоэлектрических границ на отдельных профилях
1 - точки ВЭЗ и направление разносов питающего электрода A;
2 - буровые скважины и их номер; 3 - геоэлектрические
границы и величины УЭС пород; 4 - положение нижней границы
высокоомного горизонта по данным ВЭЗ МДС; 5 - истинное
положение границы высокоомного горизонта; 6 - элементы
залегания крутопадающих границ; 7 - геоэлектрические
параметры анизотропных горизонтов (сверху вниз); коэффициент
анизотропии, отношение суммарных мощностей глинистых
и известняковых прослоев, УЭС известняков в прослоях;
8 - покровные суглинки; 9 - известняки;
10 - глины нижнего и среднего карбона
5.58. Верхний геоэлектрический горизонт с УЭС, меняющимся от 15 до 40 Ом·м, относится к четвертичным суглинкам с различной влажностью или содержанием песчаного материала.
5.59. Промежуточный горизонт с повышенными значениями УЭС (60 - 600 Ом·м) принадлежит каширским известнякам, весьма неоднородным по составу и степени сохранности. Кровля этого горизонта имеет сложную конфигурацию из-за большого числа переуглублений различных размеров и протяженности. Подошва высокоомного горизонта залегает практически горизонтально на большинстве профилей (см. профиль
I,
рис. 50). Глубина залегания ее, установленная в результате осреднения результатов количественной интерпретации кривых ВЭЗ МДС, с точностью до одного-двух метров совпадает с известной глубиной залегания нижней границы каширских известняков. Наряду с этим обнаружен участок, в пределах которого (см. профиль
II,
рис. 50) мощность промежуточного горизонта по данным ВЭЗ МДС завышена в два и более раз по сравнению с той, что имеет место на остальной части территории.
5.60. Во всех точках, где произошло увеличение мощности промежуточного горизонта, аномалии на кривых

и

двусторонних трехэлектродных ВЭЗ соответствовали горизонтальному или пологонаклонному

залеганию нижней границы непроводящего слоя, что позволило нам связать обнаруженное явление с анизотропией пород в промежуточном горизонте, возникающей в результате появления в известняках глинистых прослоев и оконтурить область распространения глинистых прослоев в известняках и определить коэффициент анизотропии толщи в каждой точке ВЭЗ из соотношения

, где в качестве

бралась средняя глубина залегания подошвы высокоомного горизонта на соседних отрезках профилей.
5.61. Поскольку значения УЭС глинистых прослоев (10 - 20 Ом·м, среднее - 15 Ом·м) были известны по материалам предшествующих исследований, то появилась возможность определить коэффициент "глинистости" карбонатной толщи

и величины УЭС известняков в прослоях. Решение этой задачи осуществлялось с помощью номограммы приложения
рис. 34 для определения

и

, по известным

и

, где в роли

выступало УЭС карбонатной толщи, полученные в результате количественной интерпретации кривых

и

ВЭЗ МДС. На основании этих данных была произведена коррекция первоначально построенных геоэлектрических разрезов с вынесением на них дополнительной информации об УЭС известняков в прослоях и степени "глинистости" карбонатной толщи.
Опорный проводящий горизонт в геоэлектрическом массиве связан с верейскими глинами, УЭС которых в среднем равно 10 Ом·м.
5.62. На основании окончательных геоэлектрических разрезов и планов простирания геоэлектрических границ к ним была составлена сводная карта глубин залегания кровли известняков, распространения в них глинистых прослоев и изменения среднего квадратического УЭС в пределах второго геоэлектрического горизонта (см.
рис. 48). Карта после ее составления была заверена бурением контрольных скважин, располагавшихся как в непосредственной близости от пунктов ВЭЗ, так и между ними. Всего было пройдено 19 скважин. Из них четыре были продублированы с тем, чтобы вскрыть причину значительных (около +/- 60%) расхождений между данными бурения и ВЭЗ. Результаты заверки изображены в виде гистограмм распределения относительных ошибок в оценке глубин залегания кровли и подошвы известняков с помощью ВЭЗ МДС (см.
рис. 51, участок "Пущино"). При этом за истинные принимались глубины, установленные по скважинам или снятые с геологической карты на
рис. 47.
Рис. 51. Гистограмма распределения относительных ошибок
в оценке глубины залегания кровли и подошвы известняков
с помощью ВЭЗ МДС
5.63. Анализ гистограмм показывает, что ошибки при оценке глубины залегания верхней границы известняков не выходят за пределы +/- 20% в 80% всех случаев. Значительные расхождения между данными бурения и ВЭЗ были получены на склонах переуглублений, где смещение устья скважины-дублера на 5 м относительно точки ВЭЗ по падению или восстанию кровли известняков сопровождалось увеличением или уменьшением глубины залегания последней на 5 - 8 м. На основании этого можно сделать заключение о том, что реальная точность результатов ВЭЗ МДС несколько выше указанной, а рассматриваемые нами ошибки включают все возможные погрешности, возникающие при проверке данных единичных ВЭЗ бурением в сложных структурных условиях. Ошибки при определении глубины залегания подошвы известняков в 70% всех случаев не выходят за пределы +/- 40%. Ошибки более 40% все положительны и получены там, где толща каширских известняков становится анизотропной.
5.64. Точность результатов ВЭЗ может быть повышена путем осреднения случайных ошибок и учета систематических с помощью специальных номограмм.
5.65. Анализ карты и геоэлектрических разрезов позволяет установить следующее:
на всем обследованном участке кровля известняков имеет сложную конфигурацию, которая практически не нашла своего отражения в современном рельефе. Переуглубления в кровле известняков отличаются друг от друга по форме, размерам и, по-видимому, по генезису;
наибольшим распространением пользуются протяженные переуглубления, борта которых имеют пологое падение

и изменчивое простирание

. Они образуют сообщающиеся системы, внешне напоминающие овражную сеть, наводя тем самым на мысль об эрозионном их происхождении;
в северной части планшета обнаружено и устойчиво прослежено неширокое (10 - 50 м) переуглубление с крутопадающими

выдержанными по простиранию границами. Мощность суглинистой толщи в пределах этого переуглубления достигает 40 м (ВЭЗ N 48) и 100 м (ВЭЗ N 58), превышая мощность каширских известняков. По местоположению и простиранию это переуглубление может быть связано с крупной трещиной, по которой произошло смещение (сползание?) карбонатной толщи, зафиксированное по стратиграфическому несогласию в скважине N 34 (см.
рис. 47, линии
V-V). В пользу этого предположения говорит резкое изменение конфигурации кровли известняков в северной части планшета сразу же за переуглублением рассматриваемого типа, где начинают проявляться черты, свойственные крупноблоковым смещениям в твердом основании;
переуглубления изометрической формы концентрируются в центральной и юго-восточной частях планшета, где мощность четвертичных отложений минимальна (4 - 8 м). По морфологическим признакам они могут быть отнесены к карстовым воронкам в кровле известняков;
зона распространения глинистых прослоев в известняках протягивается в северо-западном направлении и обнаруживает тенденцию к выклиниванию по простиранию. Присутствие глинистых прослоев в верхней части известняков было подтверждено всеми скважинами, пробуренными на профилях
II, III и
IV в пределах этой зоны. Относительное содержание глинистых прослоев в толще каширских известняков достигает 37,5% по данным ВЭЗ МДС (см. профиль
II на
рис. 50), что достаточно близко к зафиксированным по району цифрам, например, к 33% в скважине N 4 на
рис. 47;
особый интерес представляют зоны высоких значений среднеквадратического УЭС известняковой толщи, которые могут быть связаны либо с более плотными и менее глинистыми, либо с сухими трещиноватыми и кавернозными известняками. Последнее более вероятно, поскольку исследуемая часть разреза находится выше уровня грунтовых вод. При проходке контрольной скважины вблизи ВЭЗ N 25 была обнаружена полутораметровая незаполненная полость в интервале глубин 11 - 13 м. Напомним, что упомянутые скважина и ВЭЗ располагаются вблизи ступени, по которой кровля известняков сместилась вглубь на 6,7 - 11 м. По-видимому, вскрытая пустота относится к пещере или понору в склоне погребенного "оврага".
5.66. Вновь полученные электроразведочные данные не вступают в противоречие с известными результатами комплексных исследований предыдущих лет, а лишь дополняют и в значительной степени уточняют их. Заверенные сравнительно небольшим количеством рекогносцировочных скважин, они были использованы целиком при составлении проекта комплекса зданий, позволив сократить затраты средств и времени на инженерно-геологическую разведку без ущерба для точности и качества ее результатов.
6. НЕКОТОРЫЕ ВОПРОСЫ МЕТОДИКИ ВЭЗ МДС
6.1. Современные положения проектирования и производства полевых работ методом ВЭЗ базируются, пусть в неявной форме, на предположении о горизонтально-слоистом строении изучаемых массивов.
6.2. Основными вопросами методики ВЭЗ являются выбор минимальных и максимальных разносов питающих и приемных линий для обеспечения требуемой глубинности исследований и определение количества и порядка размещения точек наблюдений на изучаемой площади в соответствии с заданным масштабом съемки.
6.3. В тени оказываются такие аспекты методики, как выбор типа измерительных установок с учетом их разведочных возможностей; оценка разрешающей способности ВЭЗ в различных геоэлектрических условиях; правила размещения пунктов наблюдений на поверхности изучаемого массива, обеспечивающие непрерывное прослеживание геоэлектрических границ и параметров среды не только по площади, но и в разрезе на различных глубинах. Эти вопросы имеют второстепенное значение при изучении параллельно-слоистых сред. Однако при постановке ВЭЗ в сложных геоэлектрических условиях они приобретают самостоятельное значение и переходят в категорию главных.
6.4. ВЭЗ используются для определения строения массивов пород в вертикальном направлении и оценки величин УЭС на различных глубинах. На однозначность и точность решения этих задач оказывают влияние следующие факторы:
строение массива пород и соотношение УЭС контактирующих сред;
величины разносов питающих и приемных линий;
схемы измерительных установок;
местоположение пунктов наблюдений относительно наклонных границ раздела сред;
масштаб (детальность) съемки.
Рассмотрим возможные способы учета перечисленных факторов при проектировании и проведении ВЭЗ МДС в сложных геоэлектрических условиях.
Критерии выбора размеров измерительных установок
в связи с особенностями строения изучаемых массивов
6.5. Минимальные и максимальные разносы питающих и приемных линий ВЭЗ МДС следует выбирать, исходя из реальной глубинности и разрешающей способности данного метода, которые в свою очередь зависят от строения массива и соотношения УЭС слагающих его пород.
6.6. При проектировании и проведении работ в районах, строение которых в общих чертах может быть аппроксимировано ЭГМ первого класса, глубинность исследования определяется соотношениями

,

и

, где
rмакс - максимальные разносы питающих электродов;
h0 и
H - наименьшая и наибольшая глубины залегания кровли опорного горизонта на исследуемой территории. Задавшись ожидаемыми значениями
h0 и
H, по номограмме приложения,
рис. 11 можно найти минимальные и максимальные разносы питающих и приемных линий, при которых на кривых

и

будут получены аномалии с достаточно большими амплитудами в возможном диапазоне изменения УЭС пород.
6.7. Разрешающая способность ВЭЗ при изучении массивов вида I-ДС-1 и I-ДС-2 зависит только от соотношения УЭС контактирующих сред.
6.8. Над массивами видов I-
ДС-3, I-
ДС-4, I-
ДС-5 и I-
ДС-6 разрешающая способность дополнительно определяется соотношениями

и

. Допустимые минимальные значения

и

при заданных

, т.е. нижний предел разрешающей способности, могут быть установлены по номограммам приложения,
рис. 8 -
11.
6.9. При проектировании и проведении работ методом ВЭЗ в районах, которые по своему строению могут быть отнесены к ЭГМ второго класса, следует исходить из того, что глубинность и разрешающая способность в этом случае зависят в большей степени от соотношений

и

в меньшей - от максимальных разносов питающих электродов. Пределы разрешающей способности могут быть оценены по номограммам приложения,
рис. 11 -
26. Требуемые для расчетов диапазоны изменения величин

и

могут быть получены в результате анализа общих сведений о строении и свойствах пород в районе работ. Минимальные и максимальные разносы питающих электродов подбираются таким образом, чтобы обеспечивалось определение УЭС первого и третьего слоев.
Критерии выбора схем измерительных установок
и способа измерений
6.10. Основным критерием, которым следует руководствоваться при выборе схем измерительных установок, является получение необходимого и достаточного количества информации о строении и электрических свойствах пород в пределах изучаемого района. При этом такие показатели, как большая производительность и меньшая себестоимость работ той или иной установкой, приобретают второстепенное значение, если это сопряжено со снижением количества или качества получаемой информации. Можно считать доказанным, что применение высокопроизводительных, но малоинформативных установок не дает положительного эффекта в сложных геоэлектрических условиях даже при сгущении точек наблюдений.
6.11. Информативность (разведочные возможности) различных схем измерительных установок находится в прямой зависимости от количества параметров электрического поля, измеряемых с их помощью. С этих позиций наилучшими разведочными возможностями обладают ВЭЗ МДС двусторонними трехэлектродными установками.
6.12. В результате интерпретации кривых

и

двусторонних трехэлектродных ВЭЗ могут быть определены величины УЭС горных пород, форма и местоположение границ раздела сред, их глубина, простирание и истинный угол падения с вполне удовлетворительной точностью.
6.13. Разведочные возможности ВЭЗ МДС симметричными установками существенно ниже по следующим причинам. Во-первых, по характеру аномалий на кривых

и

единичного симметричного ВЭЗ нельзя определить направление и величину угла падения наклонных границ раздела сред. Во-вторых, результаты интерпретации данных симметричных ВЭЗ МДС обладают неоднозначностью решений и крупными, не поддающимися учету, ошибками при определении строения массивов с крутопадающими контактами пород. Принимая это во внимание, можно дать следующие рекомендации по выбору схем измерительных установок и способов наблюдений при изучении массивов различного строения.
6.14. При исследовании массивов, содержащих крутопадающие и наклонные контакты пород, необходимо применять ВЭЗ МДС двусторонними трехэлектродными установками. Область применения симметричных ВЭЗ МДС следует ограничить изучением массивов, содержащих вертикальные пласты или включения цилиндрической и сферической формы, поскольку в этих случаях разведочные возможности всех установок примерно одинаковы, а производство работ симметричными установками требует существенно меньших затрат средств и времени. Традиционные вертикальные зондирования симметричными установками целесообразно использовать только в тех случаях, когда заранее установлено параллельно-слоистое строение изучаемой толщи.
Критерии размещения точек ВЭЗ на исследуемой территории
6.15. Количество и качество получаемой информации существенно зависит от положения центров зондирования относительно наклонных границ раздела сред.
6.16. При изучении массивов, содержащих ЭГМ видов I-ДС-1, I-ДС-2, I-ПЛ-1, I-ПЛ-2, геоэлектрические и структурные параметры каждого объекта могут быть определены с требуемой точностью по данным двух зондирований двусторонними трехэлектродными или дипольными установками по методу двух составляющих. При этом одна из точек ВЭЗ должна находиться над наименее погруженной частью высокоомной среды или непроводящего пласта вблизи их боковых границ, а вторая - над наклонной плоскостью контакта двух сред или изогнутого пласта, опущенной частью ступени или за пределами ограниченного с одной стороны пласта.
6.17. Строение и геоэлектрические параметры единичных массивов вида I-ДС-3, I-ДС-4, I-ДС-5 и I-ДС-6 могут быть однозначно установлены по данным двух ВЭЗ МДС двусторонними трехэлектродными или дипольными установками. При этом одна точка ВЭЗ должна располагаться над осью симметрии возмущающего объекта, а вторая - над поднятой или опущенной частью высокоомного основания вблизи боковых границ.
6.18. Элементы залегания геоэлектрических границ и величины УЭС пород в массивах вида I-ПЛ-3 могут быть установлены по одному двустороннему трехэлектродному ВЭЗ МДС, если боковые границы пласта параллельны. При этом центр зондирования следует располагать над пластом вблизи одной из его боковых границ. Если боковые границы простираются под различными углами к направлению разносов питающих электродов, необходимо выполнить два двусторонних трехэлектродных зондирования - по одному около каждой боковой границы.
6.19. При определении геоэлектрических и структурных параметров массивов третьего и четвертого классов необходимы измерения, выполненные непосредственно над проекцией оси симметрии возмущающего объекта на земную поверхность. Это условие распространяется на все схемы измерительных установок.
6.20. Перечисленные выше критерии размещения точек ВЭЗ могут быть использованы, если известно строение изучаемых массивов. Необходимые для этого сведения могут быть получены двумя путями.
6.21. Первый путь заключается в том, что в процессе измерений на каждой точке ВЭЗ производится качественная интерпретация кривых

и

, в результате которой оценивается общая структура массива и приблизительное положение негоризонтальных границ раздела сред. В соответствии с полученными сведениями намечается следующая точка ВЭЗ в направлении разносов питающих электродов.
6.22. Второй путь, наиболее рациональный, заключается в том, что при проектировании и проведении ВЭЗ в сложных геоэлектрических условиях используются данные электропрофилирования или других геофизических методов, на основании которых определяется общая структура изучаемого массива и намечается положение точек ВЭЗ в соответствии с выделенными границами.
6.23. Следует признать нерентабельным размещение точек ВЭЗ по заранее выбранной равномерной сети наблюдений. Связано это с тем, что при редкой сети наблюдений велика вероятность пропуска пунктов, в которых могут быть получены кривые

и

ВЭЗ, пригодные для количественной интерпретации. При частой же сети наблюдений возрастает число точек ВЭЗ, не дающих новой информации и не повышающих ее точность.
Техника полевых измерений
6.24. Подготовка полигонов для измерений. Основное требование, которое необходимо всегда выполнять при разбивке полигонов, заключается в том, что створы ВЭЗ должны быть хорошо провешены и строго прямолинейны в плане. Вешки по створам следует расставлять таким образом, чтобы из каждой точки створа хорошо просматривались в обе стороны не менее чем по две вешки. Направление створов ВЭЗ следует выбирать так, чтобы влияние рельефа или других искажающих факторов было минимальным. При этом створы ВЭЗ могут занимать произвольное положение по отношению друг к другу и к простиранию пород, не создавая особых затруднений при интерпретации кривых ВЭЗ, поскольку метод двух составляющих позволяет обнаруживать и учитывать влияние негоризонтальных границ раздела по измерениям в одной точке и при одном направлении разносов питающих электродов.
6.25. В процессе ВЭЗ питающие приемные электроды размещают строго по створу вешек, чем достигают максимального совмещения осевой приемной линии с осью установки. Перпендикуляр, на котором заземляют азимутальные приемные электроды, восстанавливают также к створу вешек. Нарушение прямолинейности створов ВЭЗ приводит к тому, что в районе изгибов возникает отклонение оси установки от направления створа ВЭЗ. В результате создается положение, при котором осевая приемная линия не совпадает с осью установки, а азимутальная - с перпендикуляром к ней. Возникающие погрешности нельзя учесть в каждом конкретном случае, а они могут достигать больших значений.
6.26. Монтаж измерительных установок. Монтаж питающих линий производят обычным способом. При этом весьма желательно выбирать такую схему включения источников тока в питающие цепи, при которой полностью исключалась бы возможность перемены полярности тока в процессе всех измерений.
6.27. При работе трехэлектродными установками ВЭЗ МДС один из питающих электродов должен удаляться от центра зондирования на расстояние, в 10 раз превышающее длину максимальных разносов первого питающего электрода. Если по каким-либо причинам это условие невыполнимо, то второй питающий электрод в каждом пункте наблюдений следует относить в сторону по перпендикуляру к направлению разносов первого питающего электрода, т.е. по направлению разносов азимутальных приемных электродов. Минимально допустимое расстояние от центра ВЭЗ до удаленного электрода равно максимальным разносам основных питающих линий. В журнале обязательно указывается положение удаленного питающего электрода по отношению к приемным MnNn, что необходимо для внесения поправок в результате измерений, учитывающих влияние этого электрода.
6.28. Для внесения поправок в результаты измерений нами составлена номограмма (см.
рис. 52), описывающая изменение абсолютной ошибки при измерении величины

по мере уменьшения отношения

. В основе номограммы лежат результаты вычислений по формулам для однородной среды и вертикального контакта, выходящего на земную поверхность.
Рис. 52. Номограмма для определения абсолютной ошибки
в оценке величины

при увеличении отношений

или

6.29. Приемные линии монтируются так, чтобы на каждой точке ВЭЗ можно было обеспечить один и тот же порядок взаимной расстановки приемных электродов. Для этого каждый провод, отходящий от электродов
Mt,
Nt,
Mn и
Nn, должен быть помечен тем или иным способом. Против штырьков соединительных вилок, к которым присоединяют провода, отходящие от электродов
Mt,
Nt,
Mn и
Nn, должны быть проставлены соответствующие индексы (см.
рис. 53). Последнее крайне необходимо, так как вилки приемных линий должны присоединяться к входным клеммам измерительных приборов на каждом разносе ВЭЗ всегда в одном и том же заранее принятом положении.
Рис. 53. Расстановка приемных линий на местности
а - пример разметки электродов и фишек; 1 - разметка
электродов и фишек на осевой приемной линии; 2 - разметка
электродов и фишек на азимутальной приемной линии;
б - общий вид приспособления для восстановления
перпендикуляра к оси установки в центре приемных линий
6.30. В зависимости от характера местности, способы разметки проводов приемных линий могут быть различными. При работе в районах с ровной поверхностью и слабой залесенностью, где приемные электроды просматриваются на значительные расстояния, можно ограничиться лишь разметкой проводов различным количеством меток. Если же из центра ВЭЗ азимутальные электроды просматриваются плохо по тем или иным причинам (залесенность, гористость и т.д.), то приемные электроды целесообразно снабдить вешками. При наличии последних разметка проводов упрощается и в этом случае достаточно метить провода, отходящие от электродов Mt и Mn. Метки следует делать хорошо заметными и располагать их вблизи от центра приемных линий с тем, чтобы оператор или вычислитель мог без затруднений проверить в любой момент правильность расстановки приемных электродов.
6.31. Касаясь особенностей работ по методу двух составляющих, необходимо указать, что длины осевой и азимутальной приемных линий на каждом разносе питающих электродов должны быть одинаковыми. Это связано с тем, что все номограммы составлены только для такого случая.
6.32. Измерительные приборы и инструменты. Для измерения разностей потенциалов на приемных электродах и силы тока в питающей цепи могут быть использованы электронные автокомпенсаторы ЭСК-1, АЭ-72 и другие приборы этого класса.
6.33. Для восстановления на каждой точке ВЭЗ перпендикуляра к оси установки можно использовать любую буссоль с визиркой или эккер. При отсутствии их можно легко изготовить приспособления типа эккера (
рис. 53, б).
Производство полевых измерений
6.34. Размещение питающих и приемных электродов измерительной установки на местности. При размещении установки на местности выполняются следующие операции:
питающие электроды установок помещают строго по створу вешек, которыми обозначено направление разносов питающей линии ВЭЗ;
в этом же направлении размещаются осевые приемные линии;
с помощью буссоли или заменяющего ее приспособления из центра приемных линий восстанавливают перпендикуляр к створу вешек, на котором заземляют азимутальные электроды, всегда соблюдая правую систему их расстановки; точность расстановки азимутальных приемных электродов на начальных разносах значительно повышается, если вместо вешек, прикрепленных к ним, пользоваться отвесом;
питающие и приемные линии присоединяются к соответствующим клеммам измерительных приборов.
6.35. Измерение осевой и азимутальной разностей потенциалов и силы тока в питающей цепи. Прежде чем приступать к измерениям на каждой точке ВЭЗ, оператор или вычислитель должен проверить правильность взаимной расстановки приемных электродов.
6.36. Если емкость источников питания достаточно велика и силу тока в питающей цепи можно поддерживать постоянной известный промежуток времени, то измерения следует начинать с определения величин и знаков осевой и азимутальной разностей потенциалов. Для этого приемные линии в порядке очередности подключают к входу прибора так, чтобы штырьки вилок, соответствующие электродам Mt и Mn, входили в гнездо (клемму) с индексом "M". Затем производят отсчет величины разности потенциалов, а по показанию тумблера полярности находят знак, при котором был взят этот отсчет.
6.37. Значение силы тока в питающей цепи определяют после того, как будут измерены осевая и азимутальная разности потенциалов. При ненадежных источниках питания силу тока в питающей цепи измеряют дважды: до и после измерений разности потенциалов. В этом случае величину силы тока, используемую для вычисления кажущегося сопротивления и отношения

, определяют как среднее арифметическое из двух значений.
6.38. Необходимо иметь в виду, что полярность тока в питающей цепи не должна меняться в течение измерений на одном разносе питающих электродов.
6.39. В случае вынужденных или нечаянных перемен полярности тока между замерами осевой и азимутальной разностей потенциалов производят повторные измерения их знаков и величин при новой полярности. Результаты измерений заносят в журнал, примерная форма которого приведена в
табл. 7.
N п/п |  ,  | | K | ,mv |  , mv | J са | Ом·м | | Примечание |
| | | | | | | | | |
6.40. Контроль за точностью и качеством измерений. В соответствии с требованиями, предъявляемыми ко всем электроразведочным работам, изложенными в инструкциях, контроль за точностью измерений осуществляется как в форме повторных замеров на отдельных разносах питающих электродов, так и в виде полного повторного измерения кривых

и

на одной точке ВЭЗ. Суммарный объем контрольных измерений не должен быть меньше 5% общего объема замеров.
6.41. По результатам повторных измерений вычисляют среднюю относительную погрешность определений

и среднюю абсолютную погрешность определения отношений

. В зависимости от условий измерений предельная относительная погрешность

не должна превышать +/- 5 - 10%, а абсолютная погрешность

- +/- 0,02 - 0,05.
6.42. Необходимо иметь в виду, что величины и знаки осевой и азимутальной разностей потенциалов существенно зависят от точности размещения всех электродов установки на местности. Для контроля за этим следует выдернуть все электроды, в том числе и азимутальные, и произвести их повторную расстановку по всем правилам перед контрольными замерами. В противном случае контроль следует считать недействительным.
6.43. Обработку результатов измерений необходимо начинать непосредственно в поле, вычисляя на каждом разносе питающей линии ВЭЗ кажущееся сопротивление и отношение

с учетом их истинных знаков. Предварительная обработка результатов наблюдений способствует своевременному выявлению и устранению случайных ошибок в процессе измерений.
Рис. 1. Номограмма для определения
h1 и

в двуслойных
горизонтально-слоистых средах
а - в средах I-ДС-1-а; б - в средах II-ДС-1-а (ГП-2)
Рис. 2. Номограмма для определения
h1,

,

над осью грабена
а - в ЭГМ I-ДС-3; б - в ЭГМ II-ДС-3 (палетка ЦС-2-1)
Рис. 3. Номограмма для определения

;

;

над горизонтальной частью (приподнятой) ЭГМ I-ДС-1-б,
I-ДС-2, I-ДС-3, I-ДС-4, I-ПЛ-1-б, I-ПЛ-2, I-ПЛ-3
при

и

Рис. 4. Номограмма для определения

;

;

над горизонтальной частью (приподнятой) ЭГМ I-ДС-1-б,
I-ДС-2, I-ДС-3, I-ДС-4, I-ПЛ-1-б, I-ПЛ-2, I-ПЛ-3
при

;

Рис. 5. Номограмма для определения

;

;

над горизонтальной частью (приподнятой) ЭГМ I-ДС-1-б,
I-ДС-2, I-ДС-3, I-ДС-4, I-ПЛ-1-б, I-ПЛ-2, I-ПЛ-3
при

,

Рис. 6. Номограмма для определения

;

;

над горизонтальной частью (приподнятой) ЭГМ I-ДС-1-б,
I-ДС-2, I-ДС-3, I-ДС-4, I-ПЛ-1-б, I-ПЛ-2, I-ПЛ-3
при

Рис. 7. Номограмма для определения

;

;

над горизонтальной частью (приподнятой) ЭГМ I-ДС-1-б,
I-ДС-2, I-ДС-3, I-ПЛ-1-б, I-ПЛ-2, I-ПЛ-3 при r ~= 1,5d'
Рис. 8. Номограмма для определения

;

;

по известным

и

при
r/
h1 = 5
Рис. 9. Номограмма для определения

,

,

Рис. 10. Номограмма для определения

,

,

Рис. 11. Номограмма для определения

в I-ДС-а и II-ДС-а
по координатам особых точек на кривых

ВЭЗ
Рис. 12. Номограмма для определения

и

по координатам
особых точек на кривых

ВЭЗ в разрезах типа
K - 0
Рис. 13. Номограмма для определения

и

по координатам
особых точек на кривых

ВЭЗ в разрезах типа

Рис. 14. Номограмма для определения

и

по координатам
особых точек на кривых

ВЭЗ в разрезах типа

Рис. 15. Номограмма для определения

и

по координатам
особых точек на кривых

ВЭЗ в разрезах типа
Q - 0
Рис. 16. Номограмма для определения

и

по координатам
особых точек на кривых

ВЭЗ в разрезах типа

Рис. 17. Номограмма для определения

и

по координатам
особых точек на кривых

ВЭЗ в разрезах типа

Рис. 18. Номограмма для определения координат
эквивалентных слоев в разрезах типа K и Q
Рис. 19. Номограмма для определения координат
эквивалентных слоев в разрезах типа K
Рис. 20. Номограмма для определения

и
по координатам
особых точек на кривых

ВЭЗ в разрезах типа

| | ИС МЕГАНОРМ: примечание. Формула дана в соответствии с официальным текстом документа. | |
Рис. 21. Номограмма для определения

и

по координатам
особых точек на кривых

ВЭЗ в разрезах типа

Рис. 22. Номограмма для определения

и

по координатам
особых точек на кривых

ВЭЗ в разрезах типа

Рис. 23. Номограмма для определения

и

по координатам
особых точек на кривых

ВЭЗ в разрезах типа

Рис. 24. Номограмма для определения

и

по координатам
особых точек на кривых

ВЭЗ в разрезах типа

Рис. 25. Номограмма для определения

и

по координатам
особых точек на кривых

ВЭЗ в разрезах типа

Рис. 26. Номограмма для определения координат эквивалентных
слоев в трехслойных разрезах типа A и H
Рис. 27. Номограмма для определения

и

по данным

и

двусторонних трехэлектродных ВЭЗ МДС в ЭГМ
I-ДС-1-б над приподнятой частью разреза
Рис. 28. Номограмма для определения

по известным

и

над приподнятой частью разреза
Рис. 29. Номограмма для определения

и

по данным

и

над наклонной частью разреза
Рис. 30. Номограмма для определения

и

по известным

и

ЭГМ I-
ДС-1-б над наклонной частью разреза при

Рис. 31. Номограмма для определения

и

по известным значениям угла

в ЭГМ I-
ДС-1-б
(над наклонной частью)
а)
б)
Рис. 32. Номограмма для определения геоэлектрических
параметров при интерпретации неявных четырехслойных кривых

ВЭЗ типа KH
а - при

б - при

Рис. 33. Номограмма для определения

и

в наклонно-слоистой анизотропной среде
по известным величинам

Рис. 34. Номограмма для определения параметров анизотропной
среды по известным

и
