Главная // Актуальные документы // РуководствоСПРАВКА
Источник публикации
Документ опубликован не был
Примечание к документу
Документ фактически утратил силу с 01.01.2018 в связи с принятием Федерального
закона от 30.12.2015 N 431-ФЗ, признавшего утратившими силу нормативные акты органов государственной власти СССР, РСФСР и Российской Федерации, регулирующие отношения в сфере геодезии и картографии и принятые до дня вступления в силу указанного Федерального закона.
Название документа
"ГКИНП-44. Руководство по фототрансформированию аэроснимков и изготовлению фотопланов"
(утв. ГУКГ СССР 21.04.1976)
"ГКИНП-44. Руководство по фототрансформированию аэроснимков и изготовлению фотопланов"
(утв. ГУКГ СССР 21.04.1976)
ГУКГ СССР
21 апреля 1976 года
РУКОВОДСТВО
ПО ФОТОТРАНСФОРМИРОВАНИЮ АЭРОСНИМКОВ
И ИЗГОТОВЛЕНИЮ ФОТОПЛАНОВ
ГКИНП-44
В Руководстве изложены различные методы фототрансформирования аэроснимков, используемые в настоящее время в предприятиях ГУГК. Особое внимание уделено методу ортофототрансформирования, позволяющему изготавливать фотопланы на районы с любым рельефом, так как ранее практических руководств по работе на ортофототрансформаторах не было.
Руководство предназначено для работников производства, занимающихся изготовлением фотопланов, а также учащихся фотограмметрической специальности техникумов и ВУЗов.
Руководство составлено в Центральном научно-исследовательском институте геодезии, аэросъемки и картографии.
Многие организации, занимающиеся изучением и освоением природных богатств страны, используют в своей деятельности, наряду с топографическими картами, и фотопланы.
Несмотря на то, что топографические карты имеют ряд преимуществ перед фотопланами, они уступают им в наглядности, полноте изображения объектов земной поверхности и в сроках изготовления. Использование фотопланов, как основы для получения топографических карт комбинированным или стереофотограмметрическим методами, освобождает производство от необходимости инструментальной съемки контуров, в результате чего получается существенный экономический эффект. Еще больший эффект возникает при применении фотопланов для обновления топографических карт. В настоящее время ставится вопрос об изготовлении фотокарт, лучше удовлетворяющих запросы различных ведомств. Таким образом, возникает необходимость получения фотопланов на районы с любым рельефом.
Методы трансформирования, которые применяются для равнинных и всхолмленных районов, достаточно полно разработаны и успешно применяются на производстве, однако практически они не могут быть использованы при изготовлении фотопланов местности со сложным рельефом.
Трансформирование снимков по зонам в этом случае является процессом крайне трудоемким и приводящим к снижению геометрического качества фотопланов.
Для получения фотопланов местности со сложным рельефом в последнее время разработан метод ортофототрансформирования, основанный на использовании ортофототрансформаторов. В СССР для этой цели применяется ортофотопроектор ОФПД.
Повышение качества аэрофотоснимков, внедрение в производство аналитических методов построения фотограмметрической сети и новых приборов позволило усовершенствовать и внедрить в производство методику фототрансформирования по установочным элементам и так называемый метод оптического монтажа, заключающийся в том, что одновременно с фототрансформированием выполняется монтаж фотоплана. Эти методы наиболее целесообразно применять при больших коэффициентах фототрансформирования, когда один аэроснимок покрывает целый планшет.
Внедрение в производство новых методов фототрансформирования и усовершенствование известных методов определило необходимость написания данного руководства. Основное внимание в руководстве уделено ортофототрансформированию, поскольку этот метод мало известен в производстве и недостаточно полно рассматривается в соответствующих учебниках.
В данной работе не рассматриваются вопросы сгущения планового обоснования, т.к. эти вопросы излагаются в "Руководстве по фотограмметрическому сгущению аналитическим способом".
В
первой главе настоящего руководства на основе теории ортофототрансформирования излагаются основные источники погрешностей ортофотоснимка, что позволит работникам производства творчески подходить к вопросу использования указанного метода в зависимости от поставленных задач.
Во
второй главе рассмотрены вопросы фототрансформирования по опорным точкам и по установочным элементам, в том числе с одновременным оптическим монтажом, ортофототрансформирования с помощью ОФПД. Технология создания фотопланов методом оптического монтажа изложена на основе опыта работ, выполненных заведующим ОИЛ Сергеевым Б.И. и инж. Галкиным А.Е. (предприятие N 5). Способ трансформирования аэроснимков по установочным элементам изложен по материалам, представленным В.Н. Белых.
ОСНОВНЫЕ ФАКТОРЫ, ВЛИЯЮЩИЕ НА КАЧЕСТВО ОРТОФОТОСНИМКОВ,
ПОЛУЧАЕМЫХ С ПОМОЩЬЮ ОФПД
Метод ортофототрансформирования основан на принципе проектирования изображения трансформируемого аэроснимка бесконечно малыми участками с непрерывным изменением коэффициента увеличения в зависимости от углов наклона аэроснимков и изменения рельефа местности. Практически проектирование выполняют участками, имеющими конечные размеры (элементарными участками), в пределах которых остаются некоторые разности высот точек местности и неучтенное влияние углов наклона АФА, вызываемые горизонтальным расположением аэроснимков в приборе.
Следовательно, ошибки взаимного ориентирования аэроснимков и горизонтирования модели, а также изменение высот точек местности оказывают влияние на точность и качество ортофотоснимка.
В данной главе рассматривается влияние перечисленных факторов на точность ортофотоснимков, получаемых с помощью ортофотопроектора ОФПД.
I.1. Влияние рельефа местности и углов наклона
аэрофотоснимков на точность ортофотоснимков
I.1.1. Влияние рельефа местности
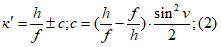
Ошибки ортофотоснимка, обусловленные влиянием только разности высот точек местности в пределах элементарного участка, выражаются зависимостями. <*>
--------------------------------
<*> Здесь и в дальнейшем даются зависимости, исходя из следующих положений: а) профилирование ведется в направлении оси Y прибора; б) больший размер (длина) щели располагается в направлении оси X, а меньший (ширина) - в направлении оси Y прибора; в) полное устранение ошибок осуществляется для точки, проектирующейся в центр щели.
где

- ошибки в положении точек элементарного участка ортофотоснимка;
L - длина щели;
x, y - координаты центра элементарного участка на исходном снимке;
v - угол наклона местности элементарного участка в плоскости XZ;
x
f - фокусное расстояние аэроснимка.
Ошибки

могут привести к двоению или исчезновению контуров на стыках полос ортофотоснимка, величины которых определяются по формулам:
где

- величины двоения и исчезновения контуров;
r - расстояние от точки надира до определяемой точки.
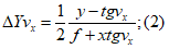
Исчезновение контуров имеет место в случае, когда склон местности обращен к плоскости YZ снимка, при противоположном направлении склона будет наблюдаться двоение контуров. Рельеф местности может приводить к снижению фотокачества ("смазу") изображения ортофотоснимка. Величина "смаза" определяется зависимостью:
где:

- величина "смаза";
v - угол наклона местности, измеряемый в плоскости YZ;
y
d - ширина щели. <*>
--------------------------------
<*> В приборе ОФПД ширина каждой щелевой диафрагмы составляет примерно 1/3 ее длины, соответственно и "смаз" составляет 1/3 величины исчезновения контуров.
Формулы (1),
(2),
(3),
(4),
(5) справедливы для случая обработки снимков с преобразованием связок проектирующих лучей.
Из приведенных формул видно, что значения ошибок ортофотоснимка можно свести к желаемой величине, выбирая те или иные размеры щели.
Формулу для вычисления допустимой длины щели с учетом приведения ортоснимка к масштабу фотоплана получим из
(1), а ширины - из
(5).
где k - коэффициент увеличения ортофотоснимка.
Таким образом, зная v , v , f, k, x, y, z и задаваясь величинами

и
x y

можно вычислить оптимальные размеры щелевой диафрагмы.
I.1.2. Совместное влияние рельефа местности
и углов наклона снимков
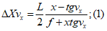
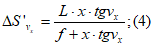
Плановые снимки, при обработке их с помощью ОФПД, на соответствующие углы не наклоняют и, кроме того, не вводят поправки в масштабный коэффициент фотопроектирования элементарных участков за влияние углов наклона аэроснимков. В этом случае ошибки ортофотоснимков выражаются зависимостями:
где

- ошибки положения точек ортофотоснимков, обусловленные совместным влиянием рельефа и углов наклона снимков;

- "смаз" изображения на ортофотоснимке;

- продольный и поперечный углы наклона снимка.
Приняв в
формуле (11) 
что соответствует интервалу исчезновения контуров

x = y = 70 мм; k = 1, составим табл. 1 оптимальных значений длин щели для различных фокусных расстояний 70, 100, 140 и 200 мм и углов наклона АФА:
Таблица 1
Длина щелевой диафрагмы, мм
┌───────────────────────────┬───────────────┬─────────────────────────────┐
│ Фокусное расстояние АФА, │ Углы наклона │Крутизна скатов местности, v │
│ f , мм │ │ x│
│ k ├───────┬───────┼────┬────┬────┬────┬────┬────┤
│ │альфа° │омега° │ 3 │ 6 │ 10 │ 15 │ 20 │ 30 │
│ │ x│ x│ │ │ │ │ │ │
├───────────────────────────┼───────┼───────┼────┼────┼────┼────┼────┼────┤
│70 │0° │0° │4,1 │2,1 │1,3 │1,0 │ │ │
├───────────────────────────┼───────┼───────┼────┼────┼────┼────┼────┼────┤
│ │-1 │+1 │2,0 │1,4 │1,0 │0,8 │ │ │
├───────────────────────────┼───────┼───────┼────┼────┼────┼────┼────┼────┤
│ │-2 │+2 │1,8 │1,1 │0,8 │0,7 │ │ │
├───────────────────────────┼───────┼───────┼────┼────┼────┼────┼────┼────┤
│100 │0 │0 │6,0 │2,9 │1,8 │1,4 │1,0 │ │
├───────────────────────────┼───────┼───────┼────┼────┼────┼────┼────┼────┤
│ │-1 │+1 │2,9 │1,9 │1,4 │1,1 │0,8 │ │
├───────────────────────────┼───────┼───────┼────┼────┼────┼────┼────┼────┤
│ │-2 │+2 │1,9 │1,4 │1,1 │0,9 │0,7 │ │
├───────────────────────────┼───────┼───────┼────┼────┼────┼────┼────┼────┤
│140 │0 │0 │8,0 │4,0 │2,5 │1,7 │1,3 │0,9 │
├───────────────────────────┼───────┼───────┼────┼────┼────┼────┼────┼────┤
│ │-1 │+1 │3,9 │2,7 │1,9 │1,4 │1,1 │0,9 │
├───────────────────────────┼───────┼───────┼────┼────┼────┼────┼────┼────┤
│ │-2 │+2 │2,7 │2,0 │1,5 │1,2 │1,0 │0,8 │
├───────────────────────────┼───────┼───────┼────┼────┼────┼────┼────┼────┤
│200 │0 │0 │12,0│5,7 │3,4 │2,3 │1,8 │1,2 │
├───────────────────────────┼───────┼───────┼────┼────┼────┼────┼────┼────┤
│ │-1 │+1 │5,6 │3,8 │2,7 │1,9 │1,6 │1,1 │
├───────────────────────────┼───────┼───────┼────┼────┼────┼────┼────┼────┤
│ │-2 │+2 │3,7 │2,9 │2,2 │1,7 │1,4 │1,0 │
└───────────────────────────┴───────┴───────┴────┴────┴────┴────┴────┴────┘
В приборе ОФПД предельная длина щели L = 4 мм, поэтому приведенные в табл. 1 значения, превышающие 4 мм, имеют теоретический смысл.
I.2. Влияние погрешностей построения горизонтирования
и профилирования модели местности на точность
и качество ортофотоснимков
I.2.1. Влияние погрешностей взаимного ориентирования
Если в процессе обработки снимков возникли ошибки в элементах взаимного ориентирования, то наряду с ошибками в высоте точек измеряемой модели, будут наблюдаться ошибки и в плановых координатах, средние квадратические значения которых определяются зависимостями:
x
m = m -; (13)
x z f
y
m = m -; (14)
y z f
m , m - средние квадратические ошибки соответствующих координат;
x y
m - средняя квадратическая ошибка определения высоты точки,
z
обусловленная ошибками взаимного ориентирования;
x, y - координаты определяемой точки на снимке;
f - фокусное расстояние снимка.
Точность ортофотоснимков зависит также и от их информативности, которая может снизиться за счет исчезновения контуров на стыках полос. Исчезновение и двоение контуров на стыках полос возникают в тех случаях, когда соседние полосы проектируются при разных высотах, что может быть вызвано как влиянием рельефа, так и ошибками ориентирования снимков. Если полосы ортофотоснимка располагаются параллельно оси Y, как в ортофотопроекторе ОФПД, то исчезновение контуров будет иметь место на склонах модели, обращенных к плоскости YZ. Следовательно, чтобы определить влияние ошибок взаимного ориентирования на информативность ортофотоснимка, необходимо знать характер искажений высот точек модели в направлении оси X. Известно <*>, что поверхность, образованная этими искажениями в сечении плоскостью XZ при разных значениях ординаты yi дает параболы, уравнение которых имеет вид: <8>
--------------------------------
<*> <8> А.С. Скиридов. Стереофотограмметрия. М., Геодезиздат, 1959
2
i
где:
H - высота проектирования.
Уравнение (15) показывает, что с изменением ординат вершин парабол их абсциссы также изменяются. Взяв первую производную по X от
(15) и приравняв ее нулю, найдем зависимость, определяющую абсциссы вершин парабол:
B'
i
2A
Подставляя в
(16) значения коэффициентов A и B' и считая

можем
i
записать:
y
i
X° = --; (17)
i 2
где x° , y - координаты вершин парабол.
i i
Величина интервала исчезновения контуров зависит от крутизны ската, поэтому, определив угол наклона касательной к параболе в наиболее удаленной ее точке, найдем наибольшую крутизну "ската" поверхности искажения модели.
Перепишем
уравнение (15) для случая, когда вершина параболы совпадает с началом координат и возьмем первую производную:
2
Z = Ax , Z' = 2A .
x
Вычислим Z' для x . Тогда:
max
y
i
X = -- + b
max 2
Приняв x = y = b = f = 70 мм; z = 160 мм (среднее значение для ОФПД) и

(при

), вычислим тангенс угла наклона касательной:
2 х 160 х 3',2 х 105
tg v = -------------------- ~= 0,0064,
k 70 х 70 х 3400
откуда v = 22'.
k
Таким образом, наибольшая крутизна поверхности искажения составляет (в направлении оси X) 22' и, практически, это не будет снижать информативности ортофотоснимков.
Очевидно, что ошибки взаимного ориентирования будут оказывать влияние на точность положения элементарных участков. Согласно исследованиям Герценовой К.Н. и Ванина А.Г., средние квадратические ошибки координат точек модели (в нашем случае - центров элементарных участков), вызванных ошибками элементов взаимного ориентирования, не превышают значения:
m = m = 0,001 B,
x y
где B - базис фотографирования в масштабе снимка.
В масштабе модели:
m'x = m'y = 0,001 х 70 х 1,2 = 0,08 мм,
где B = 70 мм, а коэффициент увеличения модели по отношению к снимку в ОФПД равен 1,2.
I.2.2. Влияние погрешностей горизонтирования модели
На рис. 1 показано взаимное положение начальной плоскости модели P' и
экрана при наличии ошибки P горизонтирования, в результате которой
0
положения точек A и B модели на ортофотоснимке получились искаженными.
Рис. 1
При ортофототрансформировании точки, образующие поверхность модели,
проектируются на экран ортогональными лучами, так как для каждой точки
(вернее элементарного участка) устанавливается соответствующая высота
проектирования. Поэтому точка A, имеющая превышение h над плоскостью P',
изобразится на ортофотоснимке в точке A' вместо A , т.е. с ошибкой:
0
где
Величина

имеет второй порядок малости по сравнению

, а потому ею можно пренебрегать.
Поворот плоскости P' модели вокруг оси YY (ошибка горизонтирования

) вызовет исчезновение (двоение) контуров на стыках полос. Интервал исчезновения в этом случае, с достаточной степенью точности, может быть определен по формуле:
Воспользовавшись
формулой (19), найдем зависимость для подсчета необходимой точности горизонтирования модели:
Потребуем, чтобы ошибка

не оказывала заметного влияния на качество ортофотоснимка, т.е. чтобы величина

не превышала 0,02 мм. Исходя из этого условия и принимая x = 70 мм и f = 130 мм (фокусное расстояние ОФПД), составим табл. 2 допустимых значений

.
┌─────────────────────────────────────┬───────────────────────────────────┐
│ Длина щели, мм │ ДЕЛЬТА фи │
│ │ x │
├─────────────────────────────────────┼───────────────────────────────────┤
│4 │34 │
├─────────────────────────────────────┼───────────────────────────────────┤
│3 │45 │
├─────────────────────────────────────┼───────────────────────────────────┤
│2 │67 │
├─────────────────────────────────────┼───────────────────────────────────┤
│1 │134 │
└─────────────────────────────────────┴───────────────────────────────────┘
Таким образом, если при горизонтировании модели ошибка

не превысит значений, приведенных в
таблице (2), то информативность ортофотоснимка практически не снизится.
I.2.3. Влияние погрешностей профилирования модели
Неточное совмещение измерительной марки с поверхностью модели в процессе профилирования приводит к общему смещению изображения элементарных участков на ортофотоснимке. Величины этих смещений определяются зависимостями:
где:

- ошибки координат точек ортофотоснимка, вызванные неточностью совмещения марки с поверхностью модели;

- ошибка совмещения марки с поверхностью модели.
Ошибка

может привести к снижению информативности ортофотоснимка за счет потери контуров на стыках полос. Интервал исчезновения контуров будет являться ошибкой разности двойных измерений (совмещений марки в соседних полосах). Поэтому обозначая интервал исчезновения контуров через

, напишем:
откуда
Величина ошибки

зависит от ряда факторов, одним из которых является
скорость профилирования. При уменьшении скорости уменьшается

, но
снижается и производительность. Учитывая, что целесообразно принять

тогда для ортофотопроектора при f = 130 мм, и x = 70 мм получим:
k
Следовательно, при получении ортофотоснимка с помощью ортофотопроектора необходимо выдерживать высоту проектирования в процессе профилирования с ошибкой, не превышающей 0,13 мм.
I.3. Точность ортофотоснимков
Определим ожидаемую точность ортофотоснимка при условии одновременного влияния всех факторов, рассмотренных в предыдущих разделах.
I.3.1. Информативность ортофотоснимков
На информативность ортофотоснимков оказывают существенное влияние рельеф местности и ошибки профилирования. Оба эти фактора носят случайный характер. Поэтому для среднего квадратического значения интервала исчезновения контуров на ортофотоснимке можно написать:
Полагая, что

будем иметь

где

- максимальный интервал исчезновения контуров.
I.3.2. Точность положения точек на ортофотоснимке
На смещение точек ортофотоснимка оказывают влияние: рельеф местности совместно с углами наклона аэроснимка, ошибки построения, горизонтирования и профилирования модели. Влияние перечисленных факторов на точность ортофотоснимка носит случайный характер, поэтому для средних квадратических ошибок координат точки можно написать:
где:
m , m - средние квадратические ошибки координат на ортофотоснимке;
x y

- средние квадратические ошибки координат точки, вызванные совместным влиянием рельефа и угла наклона снимка;

- средние квадратические ошибки координат точки, вызванные погрешностями горизонтирования;

- средние квадратические ошибки координат точки, вызванные неточностью профилирования;

- средние квадратические ошибки координат точки, вызванные погрешностями взаимного ориентирования.
Принимая
m = m = m,
x y
можем написать
где m - средняя квадратическая ошибка положения точки на
S
ортофотоснимке.
Для горных районов допускается смещение контрольных точек на фотопланах от их положения, определяемого координатами, полученными при сгущении - 1,1 мм. Учитывая, что это предельное допустимое смещение и принимая его за удвоенное значение средней квадратической ошибки, можем написать:
Формула (25) или
(26) позволяет определить допустимые превышения на стереопару над средней плоскостью в зависимости от ошибки горизонтирования. Перепишем
формулу (25) в следующем виде:
Откуда
Представляя в
(28):

и

получим

и
где

- проекции

на ось X.
Подставляя в
(30) значение

и

из
табл. 2, составим табл. 3 допустимых превышений h в масштабе ортофотоснимка.
Таблица 3
ДЕЛЬТА фи'x | 34 | 43 | 67 | 134 |
+/- h мм | 37,0 | 30,0 | 19,0 | 10,0 |
Значения ошибок, приведенных в данном разделе, выражены в масштабе ортофотоснимка. Если ортофотоснимок в дальнейшем будет увеличиваться (уменьшаться), то соответственно увеличатся (уменьшатся) и ошибки, что необходимо учитывать при выборе размеров щели, точности горизонтирования и т.п.
ФОТОТРАНСФОРМИРОВАНИЕ АЭРОСНИМКОВ И ИЗГОТОВЛЕНИЕ ФОТОПЛАНОВ
II.1.1. Снимки для монтажа фотопланов могут быть получены трансформированием на одну горизонтальную или наклонную плоскость, на несколько горизонтальных или наклонных плоскостей и ортофототрансформированием.
Фототрансформирование может выполняться с использованием опорных точек или по установочным элементам, получаемым в процессе сгущения планово-высотного обоснования. При этом наиболее эффективным является получение трансформированных снимков по принципу - снимок-планшет.
Фототрансформирование на несколько горизонтальных плоскостей (зон) целесообразно применять при количестве зон, не превышающем пяти. Фототрансформирование на наклонные плоскости применяется, если изобразившаяся на снимке местность имеет один или два перегиба ската. В случае если разности высот точек местности в пределах аэроснимка вызывают необходимость трансформирования более чем на пять плоскостей или в случае значительного расчленения рельефа местности, следует применять ортофототрансформирование. Способ трансформирования устанавливается при рабочем проектировании в соответствии с рельефом местности.
II.1.2. Для изготовления фотопланов крупных масштабов экономически выгодно фототрансформирование аэроснимков выполнять с большими коэффициентами увеличения.
При этом возникает ряд дополнительных требований к фототрансформаторам, а также к точности отождествления и маркирования трансформационных точек.
К современным фототрансформаторам предъявляются следующие основные требования:
а) диапазон увеличений 0,6x - 6x;
б) разрешающая способность объектива в плоскости аэроснимка не менее 40 л/мм;
в) освещенность экрана должна быть равномерной на всем диапазоне увеличений;
г) фокусное расстояние обрабатываемых аэроснимков 50 мм - 350 мм;
д) определение экспозиции должно осуществляться автоматическим путем, регулирование выдержки с помощью экспозиметра;
е) конструкция кассеты должна быть приспособлена для фототрансформирования негативов на пленке, на стекле и неразрезанного фильма;
ж) введение децентрации должно осуществляться автоматически;
з) рабочая площадь кассеты должна быть переменной в зависимости от формата обрабатываемого негатива;
и) движение кареток по направлению оси Z должно осуществляться от мотора и ножного штурвала.
Сравнительные данные фототрансформаторов по основным показателям, применяемых в настоящее время на производстве, приведены в таблице 4.
Таблица 4
Характеристики | ФТБ | ФТМ | STG-Y |
Коэффициент увеличения | 0х, 6 - 5х | 0х, 7 - 2х5 | 0х, 5 - 6х, 5 |
Формат снимка, см | 30 х 30 | 30 х 30 | |
Размер экрана, см | 60 х 100 или 100 х 100 Имеет доступ с одной стороны | 60 х 60 Имеет доступ с 3-х сторон | 100 х 100 Имеет доступ с 3-х сторон |
Осветительное устройство | Рефлектор эллипсо- идальной формы | Рефлектор эллип- соидальной формы | Конден. в виде линз Френеля |
Децентрация продольная, мм | - 65 + 75 | +/- 50 | Вводится автоматически |
Поперечная, мм | 110 | +/- 50 | 110 +/- 45 |
--------------------------------
<9*> Можно закладывать снимки 32 x 32 см, однако обрабатываемая площадь остается такой же, как и для формата 23 x 23.
Описание фототрансформаторов SEG-Y, а также краткая методика работы на них изложены в
приложении.
II.1.3. С целью удобства трансформирования по установочным элементам рекомендуется к фототрансформаторам изготовить специальные фотокассеты из тонкого (толщиной 2 мм) листового алюминия размером 100 x 100 см для пятикратного увеличения и 80 x 80 см для четырехкратного. На листах алюминия указанных размеров по периметру прикрепляются полосы из обклеенного бумагой алюминия шириной 10 см и толщиной, равной толщине светочувствительной основы. На эти пластинки при масштабировании будут проектироваться координатные метки аэрофотоснимка.
Кроме того, для ФТМ необходимо изготовить тангенциальный измеритель углов (рис. 2), состоящий из двух уровней, расположенных на одной плите перпендикулярно друг другу и имеющих возможность с помощью микрометренных винтов, менять положение своих осей в вертикальной плоскости.
Расстояние P между проекциями оси вращения уровня и точки касания
l
микрометренного винта с оправой уровня на плоскость основания, а также
места нулей

у микрометренных винтов должны быть известны с ошибкой
не превышающей 0,05 мм и 0,01 мм соответственно.
В настоящее время имеется программа фотограмметрического сгущения
съемочного обоснования, разработанная И.Т. Антиповым, в соответствии с
которой ЭВМ выдает данные для углов наклона экрана исходя из P = 100,0 мм
l
Для установки на ФТМ предвычисленных значений децентраций требуется изготовить и установить на приборе соответствующие шкалы.
При фототрансформировании по установочным элементам снимки должны быть строго центрированы в снимкодержателях. Поэтому необходимо на прикладных стеклах приборов ФТМ и ФТБ нанести координатные метки.
II.1.4. Повышения точности нанесения (маркировки) опорных точек на снимке добиваются использованием двойного стереоскопического идентификатора ДСИ-Т.
В соответствии с действующими требованиями средняя ошибка в положении точек на фотоплане относительно точек полевой подготовки не должна превышать 0,5 мм, отождествление и маркирование опорных точек должно осуществляться в два раза точнее.
Проведенные исследования показали, что точность маркирования опорных точек с использованием стереоскопов характеризуется ошибками порядка 0,06 - 0,08 мм, что может обеспечить требуемую точность фотопланов только в случае фототрансформирования снимков при трехкратном увеличении. Прибор ДСИ-Т, описание которого и методика работы на нем изложены в
приложении, обеспечивает маркирование опорных точек с ошибкой, не превышающей 0,02 мм. Следует иметь в виду, что точность маркирования с помощью ДСИ-Т зависит от ошибок стереоскопического визирования, поэтому работу на этом приборе необходимо поручать опытным исполнителям.
II.2. Фототрансформирование аэроснимков по опорным точкам
II.2.1. Перед фототрансформированием аэроснимков должны быть проведены подготовительные работы, заключающиеся в изготовлении трансформационных основ, увеличении диаметров наколов опорных точек на аэронегативах и определении систематической деформации фотобумаги.
Трансформационная основа (опорный планшет) представляет собой лист плотной бумаги или целлулоида, на который копируют (перекалывают) положение опорных, центральных и геодезических точек с редуцированной и увязанной сети.
Опорный планшет изготовляют на всю трапецию или по частям (помаршрутно) с таким расчетом, чтобы он свободно помещался на экране фототрансформатора.
На опорном планшете должны быть не только точки, находящиеся на данной трапеции, но и зарамочные точки, которые могут потребоваться при фототрансформировании аэроснимков, расположенных вблизи рамок трапеции. Условные знаки и номера переколотых на опорный планшет точек вычерчивают тушью.
Диаметры наколов опорных точек на аэронегативах должны быть увеличены (чтобы при фототрансформировании изображения наколов ярко светились), но не должны быть больше 0,2 мм. Наколы расширяют при помощи обычной иглы, для чего аэронегатив кладут на подложку (целлулоид) и иглу при накалывании вращают, чтобы отверстие накола получилось круглым. Перед фототрансформированием все аэронегативы протирают с целлулоидной стороны. В случае фототрансформирования снимков на уменьшение наколы опорных точек обводят при помощи кронциркуля с целлулоидной стороны негатива кружками минимального диаметра. Величину кружка на негативе подбирают с таким расчетом, чтобы на трансформированном отпечатке диаметр его не превышал 1 мм.
Затем определяют деформацию фотобумаги данного сорта. Для этого на фотобумаге изготовляют несколько контактных отпечатков контрольной сетки.
После фотографической обработки и сушки измеряют на контактных отпечатках стороны и диагонали квадрата (рис. 3) с точностью 0,1 мм.
Рис. 3
Сначала по отрезкам l , l и l , l определяют разность продольной и
1 2 3 4
поперечной деформации фотобумаги по формуле:
где l , l и l , l - отрезки, измеренные на отпечатках.
1 2 3 4
Если разностная деформация превышает 0,20%, то данная бумага считается совсем непригодной для фототрансформирования. При работе на увеличение от 1,4x до 2x нельзя применять фотобумагу, имеющую разностную деформацию, превышающую 0,14%; при коэффициенте увеличения 3x - 0,10%; при коэффициенте увеличения более 3x бумагу следует наклеивать на алюминий.
После этого определяют коэффициент систематической деформации по формуле:
где

- сумма длин отрезков, измеренных на контактных отпечатках;

- сумма длин соответствующих отрезков на контрольной сетке, с которой изготовлены контактные отпечатки.
Для исключения влияния систематической деформации фотобумаги нужно при фототрансформировании укрупнить масштаб изображения аэроснимка. Для этого на экран под опорный планшет кладут картонную подложку. Странсформировав аэроснимок, подложку с опорным планшетом убирают, а на экран кладут фотобумагу и печатают на ней изображение трансформированного аэроснимка. После фотографической обработки масштаб отпечатка трансформированного аэроснимка вследствие деформации уменьшится до масштаба трансформирования. Толщина подложки рассчитывается по формуле:
c = d · k, (33)
где c - толщина подложки;
d - расстояние от объектива фототрансформатора до экрана;
k - коэффициент систематической деформации фотобумаги.
II.2.2. Фототрансформирование аэроснимков на фототрансформаторе ФТБ выполняют в следующей последовательности. Аэронегатив укладывают в кассету прибора эмульсионной стороной вниз и прижимают сверху выравнивающим стеклом. При этом главная точка аэроснимка должна быть примерно совмещена с центром кассеты. На экран фототрансформатора кладут подложку для компенсации влияния систематической деформации фотобумаги, на подложку - трансформационную основу и прижимают ее выравнивающим стеклом. Выравнивающее стекло должно быть плоскопараллельным и несколько больше размера трансформированного аэроснимка. Стекло не должно иметь пузырьков, свилей и царапин. Полностью открывают диафрагму объектива фототрансформатора, экран приводят примерно в горизонтальное положение, включают свет и на экране получают изображение проектируемого аэроснимка.
Совмещение изображений спроектированных точек с одноименными точками трансформационной основы осуществляют в такой последовательности. Сначала кассету с аэронегативом вращают в своей плоскости и устанавливают так, чтобы две опорные точки 1 и 3 (рис. 4а), расположенные по диагонали аэроснимка, проектировались на экран примерно по направлению его оси вращения. После этого, передвигая опорный планшет и действуя масштабным инверсором, достигают совмещения изображений точек 1 и 3 с одноименными точками опорного планшета (рис. 4б).
Рис. 4
Несовмещение изображения точек 2 и 4 с одноименными точками опорного планшета устраняют наклоном экрана в сторону наблюдателя. Если после этого точки 2, 4 и 5 все-таки не будут совмещены с одноименными точками опорного планшета, то кассету с аэронегативом необходимо повернуть в своей плоскости. При несовмещении точек (рис. 5) кассету с аэронегативом и опорный планшет повертывают в направлении против хода часовой стрелки.
Рис. 5
Путем последовательных приближений достигают совмещения светящихся изображений точек с одноименными точками опорного планшета. Величина несовмещения опорных точек не должна быть более 0,4 мм.
II.2.3. При работе на фототрансформаторе ФТМ и SEG-Y совмещение изображения точек с одноименными точками опорного планшета осуществляют в следующем порядке. Кассету фототрансформатора при помощи линейных перемещений в своей плоскости устанавливают так, чтобы ее центр примерно совпал с конструктивной осью прибора. Экран фототрансформатора при помощи штурвалов продольного и поперечного наклонов приводят примерно в горизонтальное положение. Для исключения влияния систематической деформации фотобумаги на экран под опорный планшет кладут картонную подложку.
После этого опорный планшет ориентируют по соответствующим изображениям проектируемых точек и примерно устанавливают масштаб. Затем продольным и поперечным наклонами экрана, путем последовательных приближений, на всех точках достигают одинаковых несовмещений, которые затем устраняют изменением масштаба изображения.
Допустимая величина несовмещения изображений точек с одноименными точками опорного планшета указана в
§ II.2.2.
II.2.4. При фототрансформировании аэроснимков на фототрансформаторах может возникнуть необходимость введения продольной и поперечной децентраций аэронегатива.
На рис. 6 и
7 показано, при каком расположении точек на опорном планшете следует вводить ту или другую децентрацию.
Рис. 6
Прежде чем вводить децентрацию аэронегативов, необходимо тщательно проверить отсутствие ошибок в положении точек на опорном планшете. При фототрансформировании необходимо достигать совмещения не только опорных, но также и центральных точек.
Рис. 7. Поперечная децентрация
II.2.5. После того как светящиеся изображения точек будут совмещены с одноименными точками опорного планшета, изображение трансформированного аэроснимка должно быть отпечатано. Для этого объектив диафрагмируют и закрывают красным или оранжевым светофильтром, а с экрана убирают опорный планшет и подложку. На экран кладут лист фотобумаги эмульсионным слоем вверх и прижимают его выравнивающим стеклом.
Фотобумагу кладут так, чтобы на ней поместилось изображение всего трансформированного аэроснимка.
Затем, сняв светофильтр, экспонируют фотобумагу. Величину выдержки определяют опытным путем; она зависит от светочувствительности фотобумаги, плотности аэронегатива и освещенности, создаваемой источником света. Для того, чтобы во всех частях отпечатка трансформированного аэроснимка фотографическое изображение оказалось одинаково хорошо проработанным, во время экспонирования делают растушевку, давая различную продолжительность освещения (при помощи вырезанной из картона "маски") для светлых и темных частей изображения. При растушевке нельзя держать маску неподвижно, так как вследствие этого на отпечатке трансформированного аэроснимка могут оказаться дефекты в виде резких границ между частями изображения, экспонированными в течение разных отрезков времени.
При проявлении следует выравнивать тон отпечатка. Для этого после начала проявления вынимают из проявителя отпечаток и часть его, где проявление идет особенно быстро, поливают водой, чтобы несколько замедлить проявление, а на части отпечатка, получившие меньшую экспозицию, наносят концентрированный проявитель.
Для достижения однотонности в процессе проявления, отпечатки следует сравнивать с отпечатком-эталоном. Проявленные отпечатки фиксируют, промывают и сушат в горизонтальном или слегка наклонном положении эмульсионной стороной вниз, удалив оставшиеся капли воды фильтровальной бумагой. Запрещается для сушки подвешивать отпечатки, а также применять ускоренные способы сушки в сушильных шкафах.
II.2.6. Трансформирование всего аэроснимка на одну плоскость допускается в тех случаях, когда на площади, ограниченной точками, по которым ведется трансформирование, разности высот не превышают величин, приведенных в табл. 5.
Таблица 5
┌──────────────────┬──────────────────────────────────────────────────────┐
│ Радиус рабочей │ Масштаб съемки │
│ площади на ├──────────────────────────┬───────────────────────────┤
│ аэроснимке, мм │ 1:10000 │ 1:25000 │
│ ├──────────────────────────┼───────────────────────────┤
│ │Допустимые h, м при f , мм│Допустимые h, м, при f , мм│
│ │ k │ k │
│ ├─────┬────┬────┬─────┬────┼─────┬────┬────┬────┬──────┤
│ │ 55 │ 70 │100 │ 140 │200 │ 55 │ 70 │100 │140 │ 200 │
├──────────────────┼─────┼────┼────┼─────┼────┼─────┼────┼────┼────┼──────┤
│55 │7,5 │9,5 │13 │19 │27 │18 │23 │33 │47 │67 │
├──────────────────┼─────┼────┼────┼─────┼────┼─────┼────┼────┼────┼──────┤
│70 │6,5 │8 │11 │16 │23 │16 │20 │30 │40 │57 │
├──────────────────┼─────┼────┼────┼─────┼────┼─────┼────┼────┼────┼──────┤
│80 │5,5 │7 │10 │14 │20 │14 │18 │25 │35 │50 │
├──────────────────┼─────┼────┼────┼─────┼────┼─────┼────┼────┼────┼──────┤
│90 │5,0 │6 │9 │12 │18 │12 │16 │22 │31 │45 │
├──────────────────┼─────┼────┼────┼─────┼────┼─────┼────┼────┼────┼──────┤
│100 │4,5 │5,5 │8 │11 │16 │11 │14 │20 │28 │40 │
├──────────────────┼─────┼────┼────┼─────┼────┼─────┼────┼────┼────┼──────┤
│110 │4,0 │5 │7 │10 │14 │10 │12,5│18 │25 │36 │
└──────────────────┴─────┴────┴────┴─────┴────┴─────┴────┴────┴────┴──────┘
При больших разностях высот аэроснимки следует трансформировать на несколько плоскостей по зонам (но не больше чем на пять зон).
Для этого на каждом контактном отпечатке, основе и опорном планшете, пользуясь имеющимися топографическими картами или, прибегая к стереоскопическим измерениям, намечают границы зон трансформирования так, чтобы превышения в каждой зоне не были больше указанных в
таблице.
Изображения точек аэроснимка совмещают с одноименными точками опорного планшета только при трансформировании начальной зоны, в которой должна располагаться большая часть площади аэроснимка. Переход к следующим зонам осуществляется изменением масштаба изображения. Перед трансформированием аэроснимка необходимо вычислить для всех точек опорного планшета поправки за рельеф относительно средней плоскости начальной зоны.
Поправки за рельеф вычисляют на логарифмической линейке или при помощи специальных палеток с точностью 0,1 мм по формуле:
где: r - расстояние на опорном планшете от центральной до данной точки аэроснимка;
h - превышение данной точки относительно средней плоскости начальной зоны;
H - высота фотографирования над средней плоскостью начальной зоны.
Превышение данной точки относительно средней плоскости начальной зоны вычисляют по формуле:
h = A - A ,
i i 1
где: A - высота данной точки, определенная по карте или из
i
стереоскопических измерений;
A - высота средней плоскости начальной зоны.
1
Высоту фотографирования H вычисляют для каждого аэроснимка по формуле:
1
H = H - A ,
1 0 1
где H - высота фотографирования над уровнем моря.
0
Вычисленные поправки за рельеф вводят графически в положения точек на опорном планшете. Если данная точка расположена выше средней плоскости начальной зоны, то величину поправки

откладывают по направлению от центра аэроснимка, а если ниже - то к центру аэроснимка.
Наколотые на опорном планшете новые точки обводят при помощи кронциркуля кружками диаметром 2 мм, а наколы зачерняют тушью или карандашом. Затем аэроснимок трансформируют по этим точкам обычным способом и печатают.
Полученный отпечаток соответствует начальной зоне трансформирования, поэтому на обратной стороне его пишут "Первая зона". Чтобы сделать отпечаток, соответствующий 2-й зоне, необходимо изменить масштаб трансформирования, причем, если вторая зона расположена выше начальной, то масштаб изображения следует уменьшить, а ниже - увеличить.
Масштаб изображения изменяют в следующем порядке. При помощи циркуля и
масштабной линейки на опорном планшете измеряют расстояние L между любыми
1
двумя опорными точками. Затем определяют расстояние L , которое должно быть
2
между изображениями этих же точек на средней плоскости второй зоны
трансформирования:
причем
где

- разность высот средних плоскостей данной и начальной зон;
H - высота фотографирования над средней плоскостью начальной (первой)
1
зоны.
Пример L = 120,0 мм;

H = 1272 м.
1 1
Тогда
L = 120,0 + 1,4 x 121,4 мм.
2
Отрезок L откладывают циркулем на опорном планшете, а наколы концов
2
отрезка зачерняют остро заточенным карандашом. Затем при помощи масштабного
инверсора изменяют масштаб изображения трансформированного аэроснимка так,
чтобы изображение тех же опорных точек совпали с концами отрезка L . После
2
этого изготовляют отпечаток, соответствующий второй зоне трансформирования,
и т.д.
При фототрансформировании по зонам с каждого трансформированного аэроснимка изготовляют столько отпечатков, сколько рассчитано зон. На обратной стороне каждого отпечатка должна быть указана зона, к которой данный отпечаток относится.
II.2.7. Если сфотографированная в пределах аэроснимка местность имеет только один или два перегиба ската, фототрансформирование по зонам может быть заменено фототрансформированием на наклонные плоскости. Для этого аэроснимок сначала трансформируют на первую (основную) плоскость по точкам опорного планшета, расположенным на скате по одну сторону от его перегиба. При этом изображение центральной точки аэроснимка должно быть обязательно совмещено с центральной точкой основы, а точки, расположенные за перегибом ската, должны совпадать с центральными направлениями. Странсформировав аэроснимок на первую наклонную плоскость, делают отпечаток и на его обратной стороне, а также на опорном планшете пишут "первый".
Затем трансформируют аэроснимок по точкам опорного планшета, расположенным на другой стороне от перегиба ската, которая не трансформировалась на первую плоскость. При этом изображение центральной точки аэроснимка также должно быть обязательно совмещено с соответствующей точкой опорного планшета, а точки за перегибом ската, по которым выполнялось трансформирование на первую плоскость, должны располагаться на центральных направлениях. После такого совмещения точек получают второй отпечаток.
В случае, когда при фотограмметрическом сгущении плановой опорной сети были определены дополнительные точки на перегибах скатов, фототрансформирование может быть выполнено и более чем на две наклонные плоскости. При этом каждый раз необходимо добиваться совмещения с соответствующими точками фотоизображения точек опорного планшета, ограничивающих скат данного направления и центральной точки, а остальные опорные точки должны лежать на центральных направлениях. На обратной стороне снимка и на опорном планшете обязательно делается запись, какой плоскости соответствует данный отпечаток.
II.2.8. Технология составления фотопланов методом оптического монтажа. При фототрансформировании аэроснимков с большими коэффициентами увеличения (более 3x) опорные точки наносят на негативы с помощью ДСИ-Т, причем диаметр накола не должен превышать 0,1 мм. С целью исключения влияния на точность фотоплана деформации фотобумаги, ее наклеивают на жесткую основу. Затем на нее последовательно осуществляют фотопроектирование трансформированного изображения снимков, благодаря чему, после химикофотографической обработки, получают фотоплан на полную трапецию или несколько трапеций. Этот метод известен как метод оптического монтажа.
II.2.9. Основу для фототрансформирования методом оптического монтажа изготавливают следующим образом. На лист алюминия, соответствующий размеру фотоплана, наклеивают неэкспонированную фотобумагу и закрывают листом черной светонепроницаемой бумаги - "рубашкой". "Рубашку" приклеивают жидким резиновым клеем, который наносят только на основу. Эта операция выполняется в помещении, которое снабжено мощной вытяжкой. Для устранения воздушных пузырей, наличие которых недопустимо, при наклейке рубашки следует использовать резиновый валик. По краям основы и полосок светонепроницаемой бумаги делается окантовка.
Для удобства работы в зонах расположения трансформационных точек на "рубашку" следует наклеить "клапаны" размером 40 x 40 мм из белой бумаги.
II.2.10. В светлом помещении на подготовленную основу через "рубашку" в зонах "клапанов" иглой перекалывают с прозрачной фототриангуляционной основы: опознаки, опорные точки, углы рамок трапеции. После проявления фотоплана эти наколы будут изображаться в виде черных точек.
В случае фототрансформирования снимков по зонам на "рубашку" необходимо перенести границы зон трансформирования. С этой целью с топографической карты, масштаб которой может быть мельче масштаба составляемого фотоплана до 5x, фотографическим путем получают негативную копию рельефа.
Полученный таким путем негатив разрезают по километровой сетке на столько частей, чтобы каждая из них поместилась в кассете фототрансформатора, затем выполняют проектирование горизонталей на "рубашку", совмещая идентичные линии километровой сетки. Границы зон трансформирования обводят на "рубашке" карандашом белого или желтого цвета.
Одновременно переносят изображение гидрографии, которое при предварительном трансформировании используют для приведения в соответствие изображения контуров и рельефа на границах зон.
II.2.11. Процесс введения поправок за рельеф выполняется обычным способом. Высота зон трансформирования выбирается таким образом, чтобы предельное смещение контуров за влияние рельефа не превышало 0,3 мм в масштабе фотоплана.
II.2.12. Фототрансформирование снимков следует выполнять на фототрансформаторах SEG-Y. Процесс фототрансформирования выполняется обычным порядком (см.
п. II.2.2,
II.2.3). Допустимое несовмещение опорных точек при этой технологии может составлять 0,4 - 0,5 мм.
II.2.13. После завершения фототрансформирования первого снимка специальным резаком с вращающимся ножом (изготовленным по принципу кривоножки) аккуратно прорезают "рубашку" по контуру границы первого снимка. Снимают вырезанную часть "рубашки", удаляют с фотоэмульсионного слоя фотобумаги остатки засохшего резинового клея и производят экспонирование. Затем удаленную часть "рубашки", если снимок не покрывает всего планшета, наклеивают обратно на исходное место, смазывая жидким резиновым клеем только фотобумагу. Затем трансформируют второй снимок и т.д. Особое внимание при этом следует обратить на то, чтобы при вклейке не допустить образования просветов между первым и вторым снимками. Следует заметить, что точность и качество фотопланов существенно зависят от тщательного выполнения порезов по границе зон, которые должны производиться опытными исполнителями.
II.2.14. Если выполняется фототрансформирование по зонам, то после фототрансформирования и экспонирования первой зоны переходят ко второй. Как правило, последующие зоны располагают выше начальной. Поэтому масштаб изображения при переходе от зоны к зоне требуется уменьшить. Это достигается путем изменения отсчетов по шкале коэффициентов фототрансформирования.
Величина изменения отсчета по шкале коэффициентов фототрансформирования для каждой зоны определяется следующим образом: совмещают проекцию наколов на аэроснимке с наколами точек на основе, соответствующими 1-й зоне. Со шкалы коэффициентов фототрансформирования снимают отсчет. Затем, уменьшая масштаб изображения, ножным штурвалом добиваются совмещения проекций наколов аэроснимка с наколами на основе, соответствующими последней зоне фототрансформирования.
Разность отсчетов по шкале интерполируется в соответствии с количеством зон.
Пример.
V = 5,150
1
V = 5,100
11
V - V = 0,050
1 11
Отсюда:
V = 5,150 - 0,005 = 5,145
2
V = 5,145 - 0,005 = 5,140
3
V = ... = 5,100
11
Поставив отсчет V , соответствующий второй зоне фототрансформирования,
2
делают порез на границе между второй и третьей зонами, удаляют часть
"рубашки", соответствующую второй зоне, и экспонируют. В таком порядке
экспонируется вся площадь фотоплана. Завершают работу контролем
первоначальной установки элементов фототрансформирования.
II.2.15. После снятия "рубашки" с основы и удаления остатков засохшего клея выполняют по общепринятой технологии фотолабораторную обработку оригинала. Затем производят оформление фотоплана: вычерчивают рамки, выходы километровой сетки и зарамочное оформление.
II.3. Фототрансформирование аэроснимков
по установочным элементам <*>
Фототрансформирование по установочным элементам может применяться в тех случаях, когда выполняется фотограмметрическое сгущение съемочного обоснования аналитическим способом с применением программ, предусматривающих вычисление установочных элементов для фототрансформаторов. В данном руководстве рассматривается методика с использованием программы Антипова И.Т. (Директор НИИПГ).
II.3.1. Одновременно с проектом фотограмметрического сгущения составляется рабочий проект фототрансформирования.
При проектировании необходимо сначала отметить снимки, фототрансформирование которых будет выполняться по зонам или на наклонную плоскость.
В карточке информации необходимо указать, для каких маршрутов выдавать установочные элементы фототрансформирования по зонам, для каких на наклонную плоскость, для каких те и другие.
Выбор точек для фототрансформирования должен осуществляться так, чтобы на каждом снимке в пределах полезной площади было минимум по одной точке на самом низком и на самом высоком участках местности.
II.3.2. В соответствии с инструкциями по эксплуатации программ составляется исходная информация для вычисления на ЭВМ установочных элементов.
В результате вычислений электронно-вычислительная машина выдает на печать следующие величины (см. таблицу 6):
Таблица 6
ОПРЕДЕЛЕНИЕ ЭЛЕМЕНТОВ ВНЕШНЕГО ОРИЕНТИРОВАНИЯ СНИМКОВ
┌─────────────────────────────────────────────────────────┬───────────────────────────────────┐
│ Элементы внешнего ориентирования │ Точность определения ЭВО │
├──┬────────────────────────────┬─────────────────────────┼───────────────┬───────────────────┤
│N │ линейные (в м) │ угловые │ (в м) │ (в мин.) │
│сн├──────────┬─────────┬───────┼───────┬────────┬────────┼────┬────┬─────┼──────┬──────┬─────┤
│ │ X │ Y │ Z │ альфа │ омега │ хи │ m │ m │ m │m │m │m │
│ │ │ │ │ │ │ │ x │ y │ z │ альфа│ омега│ хи │
│ │ │ │ │ │ │ │ │ │ │ │ │ │
├──┼──────────┼─────────┼───────┼───────┼────────┼────────┼────┼────┼─────┼──────┼──────┼─────┤
│0 │7009 724,9│289 320,1│1350,23│0 32 01│-0 21 00│32 32 14│0,1 │0,1 │0,05 │0,2 │0,2 │0,1 │
├──┼──────────┼─────────┼───────┼───────┼────────┼────────┼────┼────┼─────┼──────┼──────┼─────┤
│1 │7010 287,6│290 232,5│1349,94│0 19 18│-0 26 39│32 32 18│0,0 │0,0 │0,02 │0,1 │0,1 │0,0 │
├──┼──────────┼─────────┼───────┼───────┼────────┼────────┼────┼────┼─────┼──────┼──────┼─────┤
│2 │7010 868,9│291 153,6│1348,95│0 32 14│-0 34 28│33 16 55│0,1 │0,0 │0,02 │0,1 │0,1 │0,1 │
├──┴──────────┴─────────┴───────┼───────┴────────┴────────┴────┴────┴─────┴──────┴──────┴─────┤
│ Высота зоны 7,0 │ Установочные величины │
│ ├─────────────────────────┬───────────────┬───────────────────┤
│ │ ФТБ │ ФТМ │ SEG-Y │
├──┬──────────┬─────────┬───────┼───────┬────────┬────────┼────┬────┬─────┼──────┬──────┬─────┤
│N │ К │ S │ D │наклон │ дец. │ L │нак-│дец.│ L │наклон│ дец. │ L │
│сн│ А │ x │ x │экрана │ хи │ D │лон │ по │ D │ экр. │ по X │ D │
│ │ │ │ │ │ │ L │экр.│X и │ L │ по X │ и Y │ L │
│ │ │ S │ D │ │ │ │по X│ Y │ │ и Y │ │ │
│ │ │ y │ y │ │ │ │и Y │ │ │ │ │ │
├──┼──────────┼─────────┼───────┼───────┼────────┼────────┼────┼────┼─────┼──────┼──────┼─────┤
│0 │1,7593 │286,5 │1,62 │1,38 │1,4 │496,8 │48,1│-2,5│497,1│988 │-0,6 │496,8│
│ │115,5 │285,5 │1,62 │ │65,09 │1,80 │54,1│5,4 │1,79 │26 │1,2 │1,80 │
├──┼──────────┼─────────┼───────┼───────┼────────┼────────┼────┼────┼─────┼──────┼──────┼─────┤
│1 │1,7587 │286,5 │1,62 │1,24 │1,2 │496,6 │49,8│-0,3│496,9│998 │-0,1 │496,6│
│ │115,5 │285,4 │1,62 │ │86,31 │1,80 │53,8│5,1 │1,79 │25 │1,2 │1,80 │
├──┼──────────┼─────────┼───────┼───────┼────────┼────────┼────┼────┼─────┼──────┼──────┼─────┤
│2 │1,7573 │286,3 │1,62 │2,01 │1,7 │496,4 │49,1│-1,2│496,9│994 │-0,8 │496,4│
│ │115,5 │285,2 │1,62 │ │80,13 │1,80 │55,4│7,2 │1,79 │35 │1,6 │1,80 │
├──┴──────────┴─────────┴───────┼───────┴────────┴────────┴────┴────┴─────┴──────┴──────┴─────┤
│ Наклонная плоскость │ Установочные величины │
│ ├─────────────────────────┬───────────────┬───────────────────┤
│ │ ФТБ │ ФТМ │ SEG-Y │
├──┬──────────┬─────────┬───────┼───────┬────────┬────────┼────┬────┬─────┼──────┬──────┬─────┤
│N │ К │ S │ D │наклон │ дец. │ L │нак-│дец.│ L │наклон│ дец. │ L │
│сн│ А │ x │ x │экрана │ хи │ D │лон │по X│ D │ экр. │ по X │ D │
│ │ │ │ │ │ │ L │экр.│и Y │ L │по X и│ и Y │ L │
│ │ │ S │ D │ │ │ │по X│ │ │ Y │ │ │
│ │ │ y │ y │ │ │ │и Y │ │ │ │ │ │
├──┼──────────┼─────────┼───────┼───────┼────────┼────────┼────┼────┼─────┼──────┼──────┼─────┤
│0 │1,7588 │286,4 │ │1,43 │1,4 │497,7 │48,3│-2,3│497,0│989 │-0,5 │496,7│
│ │115,8 │285,4 │ │ │68,33 │ │54,4│5,8 │ │28 │1,3 │ │
├──┼──────────┼─────────┼───────┼───────┼────────┼────────┼────┼────┼─────┼──────┼──────┼─────┤
│1 │1,7573 │286,3 │ │1,30 │1,2 │496,4 │50,0│0,0 │496,6│26 │0,0 │496,4│
│ │116,5 │285,2 │ │ │90,16 │ │54,1│5,4 │ │ │1,2 │ │
├──┼──────────┼─────────┼───────┼───────┼────────┼────────┼────┼────┼─────┼──────┼──────┼─────┤
│2 │1,7552 │286,0 │ │2,06 │1,7 │496,1 │49,2│-1,0│496,6│995 │-0,2 │496,1│
│ │117,0 │284,9 │ │ │82,20 │ │55,7│7,5 │ │36 │1,7 │ │
└──┴──────────┴─────────┴───────┴───────┴────────┴────────┴────┴────┴─────┴──────┴──────┴─────┘
ГЕОДЕЗИЧЕСКИЕ КООРДИНАТЫ ПРОЕКЦИЙ МЕТОК СНИМКА
НА ТРАНСФОРМАЦИОННУЮ ПЛОСКОСТЬ (ГОРИЗОНТАЛЬНУЮ)
┌──┬──────────────────────┬──────────────────────┬──────────────────────┬──────────────────────┬───────────┐
│N │ Западная │ Восточная │ Южная │ Северная │Смещение за│
│сн│ │ │ │ │рельеф (мм)│
│ ├───────────┬──────────┼───────────┬──────────┼───────────┬──────────┼───────────┬──────────┼─────┬─────┤
│ │ X │ Y │ X │ Y │ X │ Y │ X │ Y │сред.│макс.│
├──┼────┬──────┼───┬──────┼────┬──────┼───┬──────┼────┬──────┼───┬──────┼────┬──────┼───┬──────┼─────┼─────┤
│0 │7008│951,79│288│131,07│7010│489,18│290│541,84│7008│498,10│290│109,30│7010│900,18│288│577,30│0,1 │-0,2 │
├──┼────┼──────┼───┼──────┼────┼──────┼───┼──────┼────┼──────┼───┼──────┼────┼──────┼───┼──────┼─────┼─────┤
│1 │7009│508,42│289│033,27│7011│046,54│291│443,65│7009│060,10│291│016,60│7011│461,02│289│484,49│0,1 │-0,3 │
├──┼────┼──────┼───┼──────┼────┼──────┼───┼──────┼────┼──────┼───┼──────┼────┼──────┼───┼──────┼─────┼─────┤
│2 │7010│073,48│289│972,52│7011│641,58│292│360,91│7009│644,00│291│961,34│7012│023,47│290│398,99│0,2 │-0,4 │
└──┴────┴──────┴───┴──────┴────┴──────┴───┴──────┴────┴──────┴───┴──────┴────┴──────┴───┴──────┴─────┴─────┘
ГЕОДЕЗИЧЕСКИЕ КООРДИНАТЫ ПРОЕКЦИЙ МЕТОК СНИМКА
НА ТРАНСФОРМАЦИОННУЮ ПЛОСКОСТЬ (НАКЛОННУЮ)
┌──┬──────────────────────┬──────────────────────┬──────────────────────┬───────────────────────┬───────────┐
│N │ Западная │ Восточная │ Южная │ Северная │Смещение за│
│сн│ │ │ │ │рельеф (мм)│
│ ├───────────┬──────────┼───────────┬──────────┼───────────┬──────────┼────────────┬──────────┼─────┬─────┤
│ │ X │ Y │ X │ Y │ X │ Y │ X │ Y │сред.│макс.│
├──┼────┬──────┼───┬──────┼────┬──────┼───┬──────┼────┬──────┼───┬──────┼────┬───────┼───┬──────┼─────┼─────┤
│0 │7008│939,45│288│114,00│7010│479,63│290│528,95│7008│488,38│290│106,42│7010│894,958│288│571,67│0,0 │-0,1 │
├──┼────┼──────┼───┼──────┼────┼──────┼───┼──────┼────┼──────┼───┼──────┼────┼───────┼───┼──────┼─────┼─────┤
│1 │7009│499,87│289│017,31│7011│040,11│291│430,74│7009│057,16│291│010,81│7011│460,98 │289│476,87│0,0 │-0,1 │
├──┼────┼──────┼───┼──────┼────┼──────┼───┼──────┼────┼──────┼───┼──────┼────┼───────┼───┼──────┼─────┼─────┤
│2 │7010│060,82│289│951,38│7011│630,59│292│341,86│7009│639,14│291│952,99│7012│020,62 │290│386,30│0,0 │-0,3 │
└──┴────┴──────┴───┴──────┴────┴──────┴───┴──────┴────┴──────┴───┴──────┴────┴───────┴───┴──────┴─────┴─────┘
а) линейные элементы внешнего ориентирования в м (X, Y, Z) каждого снимка;
б) угловые элементы внешнего ориентирования каждого снимка

в) данные по оценке точности этих элементов

г) установочные элементы трансформирования на горизонтальную или наклонную плоскость, а именно:
- коэффициент трансформирования (К);
- альтитуду средней плоскости трансформирования (А);
- высоту зоны трансформирования;
- длины отрезков между координатными метками на экране (S , S );
x y
- приращение этих отрезков для перехода к соседним зонам (D , D );
x y
- отсчеты по вертикальным шкалам приборов и приращения их для перехода к соседним зонам

- значения углов

наклона экрана и разворота снимков: для ФТБ в градусах и минутах, для ФТМ, SEG-Y в тангенсах углов наклона экрана;
- значения децентраций в миллиметрах в масштабе снимка.
Одновременно выдаются следующие данные:
а) геодезические координаты проекций координатных меток снимков на плоскость трансформирования;
б) величины средних и максимальных смещений за влияние рельефа при трансформировании площади снимка, ограниченной крайними связующими точками сгущения, на одну горизонтальную или наклонную плоскость;
в) каталоги координат углов рамок трапеций и опорных точек по планшетам. После завершения процесса вычисления всех данных для фототрансформирования с помощью координатографа по значениям координат, полученных на ЭВМ, подготавливают основы для монтажа фотопланов.
II.3.3. Фототрансформирование рекомендуется выполнять с неразрезанного фильма. Фильмы закладываются так, чтобы номер снимка проектировался в противоположную от исполнителя сторону экрана. Снимок, подлежащий трансформированию, центрируется и ориентируется по координатным меткам.
Для фототрансформирования по зонам в соответствии с таблицей известными способами отмечаются границы зон на снимках.
II.3.4. Фототрансформирование по установочным элементам выполняется по следующей схеме.
На шкалах наклона экрана фототрансформатора SEG-Y и тангенциальном измерителе углов ФТМ ставятся тангенсы углов наклона экрана вокруг осей XX и YY. При этом тангенсы отрицательных углов для SEG-Y устанавливаются как дополнение до единицы.
На шкалах ФТБ устанавливаются значения углов

и

Положительному значению углов соответствует подъем дальней части экрана.
После установки углов наклона экрана вводятся децентрации по табличным данным (на SEG-Y автоматически). Положительные направления децентраций соответствуют перемещению изображения на экране вправо и от наблюдателя.
Масштабирование изображения наиболее точно может быть выполнено по длинам отрезков XX и YY, измеряемым между проекциями координатных меток снимка на экране.
Эти отрезки для всех снимков трапеции или участка необходимо заранее вычертить на одной основе.
При работе на SEG-Y коэффициент фототрансформирования можно устанавливать по шкале. Однако табличный коэффициент отличается от фактического из-за деформации негативов. Для получения фактического коэффициента с каждого фильма по отрезкам масштабируют несколько снимков, получают отсчеты по шкале коэффициентов и, сравнивая их с табличными, определяют величины поправок к отсчетам по шкале для данного фильма.
Все остальные снимки фильма можно масштабировать путем установки на шкале табличной величины коэффициента фототрансформирования, исправленного средней поправкой за деформацию.
Учет деформации фотобумаги до трехкратного увеличения производится общеизвестным способом, а при большем увеличении изображение проектируется на фотобумагу, наклеенную на жесткую основу.
II.3.5. Фототрансформирование по зонам осуществляется путем изменения масштаба изображения. Для этой цели используют данные
таблицы 6 приращения отрезков между координатными метками и приращения по шкале изменения масштаба для перехода от зоны к зоне.
При фототрансформировании на SEG-Y переход от зоны к зоне можно осуществлять путем изменения отсчетов по шкале коэффициентов увеличения, в соответствии с разностью отсчетов по ней, для изменения табличного отрезка при переходе на 10 зон.
Изменение коэффициента для перехода от зоны к зоне определяется по формуле:
где:
K - отсчет по шкале коэффициентов увеличения, полученный при
1
масштабировании по отрезку 1-й зоны;
K - то же при масштабировании по отрезку 11-й зоны, для которой
11
II.3.6. Высокая точность фототрансформирования снимков по установочным элементам позволяет трансформировать снимки с коэффициентами увеличения 4x - 6x и изготавливать фотопланы по принципу снимок-планшет.
II.3.7. При изготовлении фотопланов по принципу снимок-планшет аэрофотосъемку необходимо выполнить по строго заданным направлениям, проходящим через середины съемочных трапеций.
II.3.8. Фототрансформирование аэроснимков с большими коэффициентами увеличения по установочным элементам выполняют по следующей технологической схеме:
а) выбирают снимки для фототрансформирования таким образом, чтобы в большинстве случаев один снимок покрывал всю съемочную трапецию;
б) маркируют точки на диапозитивах (негативах) и переносят их на смежные маршруты с помощью ДСИ-Т или других стереомаркирующих приборов;
в) подготавливают светочувствительную основу путем наклеивания фотобумаги на алюминий;
г) изготавливают прозрачную основу на малодеформирующемся прозрачном пластике, политую коллодием или какой-либо прозрачной эмульсией;
д) на прозрачную основу с неполитой стороны по координатам наносят:
- четыре координатные метки снимка (северная, южная, западная и восточная);
- углы рамки трапеции;
- точки съемочного обоснования и сгущения (в пределах трапеции);
- километровую сетку, если в ней есть надобность.
Все элементы прозрачной основы с эмульсионной стороны вычерчивают черной тушью и обозначают:
- координатные метки - крестами (толщина 0,2 мм);
- рамки трапеции, километровая сетка и ее выходы - линиями толщиной 0,1 мм;
- точки съемочного обоснования и сгущения - кружками диаметром 1 мм.
К прозрачной основе с эмульсионной стороны на координатные метки подклеивают кусочки белой бумаги, а с обратной стороны липкой лентой наклеивают заранее заготовленный негатив с зарамочным оформлением.
Фототрансформирование следует выполнять на приборах SEG-Y.
В специальную кассету укладывают светочувствительную основу. На нее эмульсией вниз помещают прозрачную основу, которую прижимают по всей площади стеклом и закрывают черной бумагой для предохранения светочувствительного материала от попадания света.
Можно применить стекло меньшего размера, лишь покрывающее светочувствительную основу, но в этом случае каждую координатную метку необходимо покрыть куском стекла такой же толщины.
Вращением масштабного штурвала и перемещением специальной кассеты по экрану изображения четырех координатных меток аэроснимка совмещают с соответствующим их положением на основе.
При закрытом объективе удаляют лист черной бумаги, покрывающий светочувствительную основу. Далее производят экспонирование и фотохимическую обработку.
В случае, если потребуется изготовить фотоплан из двух снимков, на основу наносят координатные метки обоих снимков и далее работа сводится к последовательному экспонированию с применением оптического монтажа.
II.3.9. При работе по установочным элементам повышаются требования к определению мест нулей шкал наклона экрана, шкал децентраций и выполнению условия сопряжения плоскостей негатива, объектива и экрана. Поэтому определение мест нулей шкал фототрансформаторов выполняют особо тщательно, путем трансформирования
снимков макетов (см. приложение 4).
II.4. Ортофототрансформирование на ОФПД
II.4.1. Технология изготовления ортофотопланов складывается из следующих основных процессов:
- подготовительные работы;
- изготовление ортофотонегативов (ортофототрансформирование);
- изготовление отпечатков и монтаж ортофотоплана.
II.4.2. Подготовительные работы.
Подготовительные работы состоят из:
а) подбора материалов для ортофототрансформирования;
б) составления рабочего проекта;
в) подготовки данных для ортофототрансформирования.
а) Перед ортофототрансформированием необходимо иметь: топографическую карту того же масштаба, что и составляемый фотоплан (или мельче, но не более, чем в четыре раза); материалы геодезического обоснования и камерального сгущения (если эти работы выполнены к данному моменту), диапозитивы; репродукции накидного монтажа; основу с нанесенными точками геодезического обоснования и камерального сгущения; контактные отпечатки.
б) Составление рабочего проекта включает в себя: выделение в районе съемки участков с одинаковой крутизной скатов и выбор снимков для ортофототрансформирования.
Выделение в районе съемки участков с одинаковой крутизной скатов позволяет в дальнейшем при наличии нескольких ортофотопроекторов обрабатывать на каждом приборе снимки участков с определенной крутизной скатов. Это исключает необходимость частой смены щелевых диафрагм в приборах и тем самым повышает производительность труда.
Деление на участки выполняется с учетом фокусного расстояния аэрофотоаппарата и коэффициента К - отношения масштабов фотоплана и аэроснимков. Крутизну скатов определяют по карте, причем учитывают только преобладающие скаты. Не учитывают промоины, отдельные овраги, насыпи и т.п. Выбранные участки отмечают на репродукции накидного монтажа, и для каждого из них указывается длина щели. При делении района съемки на участки можно пользоваться таблицей 7.
Таблица 7
┌──────────┬───────────┬───────────┬────────────┬────────────┬────────────┐
│ \f, мм│ 70 │ 100 │ 140 │ 200 │ 350 │
│L, мм\ │ │ │ │ │ │
├──────────┼───────────┼───────────┼────────────┼────────────┼────────────┤
│1 │15 │20 │28 │37 │53 │
├──────────┼───────────┼───────────┼────────────┼────────────┼────────────┤
│2 │7 │10 │14 │20 │32 │
├──────────┼───────────┼───────────┼────────────┼────────────┼────────────┤
│3 │5 │7 │9 │13 │22 │
├──────────┼───────────┼───────────┼────────────┼────────────┼────────────┤
│4 │4 │5 │7 │10 │17 │
└──────────┴───────────┴───────────┴────────────┴────────────┴────────────┘
Углы наклона местности, приведенные в этой таблице, вычислены по приближенной
формуле (35) 
где v - угол наклона местности, L - длина щели;
x
f - фокусное расстояние АФА;
x - максимальное значение абсциссы;
K - отношение масштабов фотоплана и аэроснимка;

- ошибка в положении точек элементарного участка.
При вычислении на снимке принято: X = 70 мм;

K = 1.
В пределах каждого участка выбирают снимки для ортофототрансформирования. В стереопаре, обрабатываемой с помощью ОФПД, фототрансформируется снимок, заложенный в правую камеру. Поэтому, стереопару в приборе следует закладывать таким образом, чтобы в правой камере оказался снимок, на котором преобладающие скаты составляли бы с плоскостью фототрансформирования острый угол, измеряемый по часовой стрелке (если смотреть в сторону положительных ординат координатной системы прибора).
В данном случае влияние рельефа местности, приводящее к исчезновению контуров ортофотоснимка, будет наименьшим. Номера снимков записываются на схеме в том порядке, в каком они должны закладываться в прибор. На рис. 8 показано, что снимок при обработке обеих стереопар, в которые он входит, закладывается в правую камеру.
Когда на краю стереопары (X = 0, X = X ) крутизна скатов
1 2 max
превосходит значения, приведенные в
таблице 4, то такую стереопару
обрабатывают дважды: первый раз в правую камеру закладывают правый снимок,
второй раз - левый. При этом каждый раз фототрансформируют половину площади
стереопары с небольшим перекрытием для пореза.
В данном случае и, следовательно, ошибки за влияние рельефа уменьшатся примерно в два раза. Необходимость двукратной обработки стереопары определяется в процессе рабочего проектирования и помечается на схеме. На
рис. 8 показано, что стереопара 223 - 224 должна обрабатываться дважды.
При рабочем проектировании определяют границы обрабатываемой площади стереопары и помечают их на контактных отпечатках. Границы выбирают таким образом, чтобы ортофотоснимки в масштабе фотоплана перекрывались на 15 - 20 мм.
в) Предварительная подготовка данных, необходимых для ортофототрансформирования снимков в ОФПД, преследует цель наиболее производительного использования приборов и включает следующие операции:
- расчет базисов проектирования;
- определение длин отрезков между опорными точками;
- вычисление угловых элементов ориентирования.
Длина базиса b проектирования для установки его в ОФПД подсчитывается
x
где b - базис фотографирования, измеренный на снимке;
m - знаменатель масштаба аэрофотосъемки;
c
h - максимальная разность высот точек модели, полученная на карте.
Определение длин отрезков между опорными точками выполняют путем измерения на основе и вычисления на местности соответствующих расстояний. Результаты записывают на обороте аэроснимка. Если сгущение не проводилось, то выбирают с карты точки, которые опознают на снимках, накалывают их, на обороте надписывают высоты и расстояния между точками, снятые с карты и приведенные к значению на местности, если превышения на стереопару больше, чем 35% от высоты фотографирования, то ортофототрансформирование будет проводиться на две плоскости. Поэтому следует точки с карты выбирать так, чтобы они располагались в обеих зонах.
Если сгущение проводилось аналитическим методом с определением углов наклона снимков или на стереопроекторе СПР, то вычисляют установочные элементы ориентирования по той же методике, что и для СД-3 <*10>.
--------------------------------
<*10> Труды ЦНИИГАиК, вып. 172, Недра, М., 1967.
II.4.3. Изготовление ортофотонегативов
При ортофототрансформировании на ОФПД должны быть получены трансформированные негативы. В дальнейшем их, как правило, следует увеличивать до масштаба составляемого плана, кроме того на изготовляемых проекционным путем отпечатках легче обеспечить одинаковый тон изображения. Процесс изготовления ортофотонегативов с помощью ОФПД включает:
- подготовку материалов и прибора;
- взаимное ориентирование снимков и горизонтирование модели;
- профилирование модели и фотохимическую обработку ортофотонегативов.
II.4.4. Для изготовления ортофотонегативов нужны следующие материалы:
- диапозитивы на стекла <**>;
--------------------------------
<**> В тех случаях, когда для дальнейших работ не требуются диапозитивы, то работа выполняется по негативам.
- контактные отпечатки с наколами точек геодезического обоснования и точек фотограмметрического сгущения (или снятых с карты). На снимках должны быть также отмечены границы обрабатываемой площади, а на обратной стороне указаны расстояния на местности между опорными точками;
- каталоги координат и высот опорных точек;
- ведомость значений фокусных расстояний АФА;
- ведомость элементов ориентирования;
- схема расположения снимков в стереопарах со значениями базисов проектирования и значением длины щели.
II.4.5. Взаимное ориентирование снимков и горизонтирование модели выполняется следующим образом.
При отключенных шаговом механизме, протяжном механизме и блоке питания
в прибор закладывают кассеты с центрированными в них аэроснимками и
устанавливают базисный компонент b . Если известны и остальные установочные
x
элементы, то устанавливают их на соответствующих шкалах, после чего
остаточные поперечные параллаксы устраняют известными приемами. На этом
построение и горизонтирование модели (в данном случае) заканчивается. В
случае отсутствия установочных элементов производят, после установки b ,
x
взаимное ориентирование снимков, как это делается обычно на СД-3. На стол
прибора укладывают лист чертежной бумаги; стереоскопически визируют из
точки снимков с известными координатами и накалывают их на чертежной бумаге
с помощью специального устройства, смонтированного на каретке X. Далее
металлической линейкой измеряют расстояния между наколами и, зная значения
этих расстояний на местности (подписанных на обороте снимков), вычисляют
горизонтальный масштаб модели, умножив его на коэффициент аффинности,
получают вертикальный масштаб. Вычисляют фотограмметрические разности высот
и углы наклона модели по формуле:
где

- угол наклона модели, составленный плоскостью модели и отрезком S;

- соответственно известное и фотограмметрическое превышения одного конца отрезка S над вторым;
S - длина отрезка.
Углы наклона модели определяют в направлении осей X и Y (

и

). Если один из углов превышает значения, приведенные в таблице 8, то обычными приемами осуществляют горизонтирование модели.
Таблица 8
┌─────────────────┬─────────────┬─────────────┬─────────────┬─────────────┐
│ Длина щели, мм │ 4 │ 3 │ 2 │ 1 │
├─────────────────┼─────────────┼─────────────┼─────────────┼─────────────┤
│фи , мин. │34 │43 │43 │43 │
│ s │ │ │ │ │
└─────────────────┴─────────────┴─────────────┴─────────────┴─────────────┘
Таблица 8 составлена из расчета, что разность высот в масштабе модели занимает весь диапазон перемещения базисного устройства по оси Z.
II.4.6. Подготовка к профилированию модели складывается из следующих операций:
- уточняют масштаб модели, для чего наводят марку на самую высокую и
самую низкую точки. Если не хватает диапазона перемещения каретки Z по
высоте (вверх или вниз), то соответственно изменяют b ;
x
- устанавливают щелевую диафрагму, размер которой указан в проекте.
Проверяют соответствие шага перемещения каретки X длине щели, а также
k
определяют время выдержки. Для этого делают пробную фоторазвертку;
- в темной комнате при красном свете закладывают фотопластинку (фотопленку) в кассету. Чувствительность фотоматериала должна находиться в пределах 5 - 10 ед. ГОСТ. На кассету надевают шибер и закрепляют его фиксатором;
- устанавливают фотокассету в фотопроектирующий блок. Снимают шибер, включают осветитель, шаговый и протяжный механизмы. Оставляя высоту проектирования постоянной, получают 5 - 6 полос фоторазвертки;
- если на полученном негативе будет четко выражена полосатость, то изменяют установку шага на шаговом механизме: при темных полосах шаг увеличивают, при светлых - уменьшают. Одновременно с этим определяют правильность выбранной экспозиции. При необходимости изменяют напряжение на лампе конденсора.
После внесенных исправлений делают второй пробный негатив.
II.4.7. Профилирование стереомодели. К профилированию модели приступают после получения удовлетворительной пробы.
Этот процесс заключается в том, что при автоматическом движении каретки 10 (см.
приложение N 1) оператор, наблюдая стереомодель, удерживает марку на ее поверхности с помощью штурвала 12. При этом незначительные элементы рельефа (промоины, небольшие перегибы склонов, каналы и т.п.) не принимаются во внимание, а в населенных пунктах марка совмещается с поверхностью земли. Точность совмещения марки с поверхностью модели зависит от скорости движения каретки 10 и навыка оператора. Соответственно, перед получением ортофотонегатива подбирают скорость движения каретки 10. Для этого выбирают на стереопаре участок с наиболее сложным рельефом и без фотоматериала выполняют профилирование двух - трех полос. Если оператор не успевает удерживать марку точно на поверхности модели (ошибка совмещения не должна превышать 0,13 мм), то он уменьшает скорость, что делается с помощью редуктора протяжного механизма и изменением напряжения на электродвигателе. При значительном изменении скорости меняют накал лампы конденсора. Если скорость уменьшена, то следует уменьшить и накал лампы. Подобрав скорость движения каретки 10, приступают к изготовлению ортонегатива. Для этого:
- фотокассету с фотоматериалом устанавливают в фотопроектирующий блок;
- наводят стереоскопически марку на один из углов обрабатываемой площади;
- включают тумблеры двигателей и подсветки и выполняют профилирование всей модели;
- вынимают кассету и производят химико-фотографическую обработку негатива.
Убедившись, что негатив получился нормальным и не требует переделки, подготавливают прибор для обработки следующей стереопары: выключают блок питания, отключают шаговый и протяжный механизмы, переключают винт каретки 36 со штурвала 12 на ножной штурвал и ставят фиксаторы редуктора 17 и 18 в рабочее положение.
При обработке следующей пары уже нет необходимости в установке щелевой диафрагмы и подборе шага, регулировке положения кулачков командного устройства и получении пробного негатива.
II.4.8. Профилирование стереопар, обрабатываемых в двух зонах, выполняют следующим образом. Когда каретка 36 достигает предельного положения, срабатывает зуммер предупредительной сигнализации. В этот момент оператор выключает лампу подсветки и несколько изменяет высоту, чтобы выключился зуммер; каретка 10 продолжает перемещаться автоматически. Как только марка вновь коснется поверхности модели, а направление ската изменится на противоположное, оператор включает подсветку и продолжает профилирование. По окончании обработки первой зоны производят химико-фотографическую обработку негатива и приступают к ортофототрансформированию второй зоны, для чего изменяют масштаб модели с учетом возможности обработки второй зоны и выполняют профилирование. Площадь второй зоны выбирается из расчета перекрытия ее с первой на 15 - 20 мм. Если опорные точки не попадают в эту площадь, то их профилируют отдельно двумя - тремя короткими полосами. При этом включение шагового двигателя и реверс протяжного осуществляют вручную, для чего в необходимый момент нажимают один из концевых микропереключателей и перемещают шток 99 (см.
приложение 1).
Примечание: в ортофотопроекторе диапозитивы располагаются эмульсией вверх (т.е. к стеклу снимкодержателя), фотоматериал в кассете тоже располагается эмульсией вверх, поэтому изображение на ортофотонегативе получается зеркальным; при получении отпечатков такие негативы следует располагать в кассете фототрансформатора (увеличителя) также эмульсией вверх.
II.5. Монтаж фотопланов и их контроль
II.5.1. Основными работами при монтаже фотоплана являются: подготовка к монтажу, укладка и наклейка отпечатков на основу, резка отпечатков, оформление и контроль фотоплана.
При подготовке к монтажу следует проверить, все ли аэроснимки для данной трапеции странсформированы и покрывают ли отпечатки всю площадь трапеции, а также проверить фотографическое качество и однотонность отпечатков. Отпечатки, имеющие неудовлетворительное фотографическое качество или какие-либо дефекты, должны быть переделаны до сдачи трапеции в монтаж.
После этого на всех отпечатках пробивают пуансоном отверстия на точках, соответствующих центрам аэроснимков и опорным точкам.
II.5.2. Монтаж одиночных фотопланов начинают с северного маршрута; сдвоенных и счетверенных фотопланов - с середины основы в направлении слева направо.
Сначала на основу накладывают первый отпечаток, ориентируют его, совмещая пробитые пуансоном точки с соответствующими точками основы, и загружают грузиками. Далее также накладывают смежный отпечаток и проверяют сходимость контуров между обоими снимками. Для этого посередине перекрытия отпечатков на четких контурах делают тонкой иглой наколы так, чтобы следы от них получились на нижнем отпечатке. Отклонения наколов на нижнем отпечатке от одноименных контуров, наколотых на верхнем отпечатке, не должны быть более 0,5 мм.
Категорически запрещается сдвигать отпечаток с собственного центра для уменьшения расхождения контуров. Допускается небольшой разворот отпечатка вокруг центра, но так, чтобы опорные точки основы находились в пределах отверстий, пробитых пуансоном (0,4 мм).
Неудовлетворительное совпадение точек трансформированного снимка с точками основы может произойти по следующим причинам:
а) из-за ошибок в установке табличных значений элементов трансформирования, неправильного учета деформации фотобумаги и других ошибок, допущенных в процессе работ. В этом случае выполняется повторное фототрансформирование;
б) из-за систематических ошибок фототрансформирования, возникающих в результате использования ошибочных опорных точек;
в) в результате фототрансформирования на наклонную плоскость участков, на которых разность высот точек местности превышает допустимую высоту зоны.
После проверки совмещения точек снимка и основы острым ланцетом прорезают отпечатки примерно посередине перекрытия в зоне наилучшего совпадения контуров и однотонности фотоизображения. Необходимо, чтобы линия пореза проходила по контурам, не имеющим важного значения, по возможности минуя населенные пункты и мелкие объекты (отдельные постройки, мосты и т.п.). Желательно также, чтобы линия пореза не пересекала под острым углом вытянутых контуров (дороги, реки).
Отпечатки с однообразной ситуацией, как правило, режут по плавным кривым, а со значительным количеством контуров - по ломаным линиям.
После этого первый отпечаток наклеивают на основу, ориентируя его по точкам и по линии пореза со вторым отпечатком, и загружают грузиками. Затем также наклеивают второй отпечаток. Укладывают на основу, ориентируют по точкам и закрепляют грузиками третий отпечаток. Прорезают по перекрытию второй и третий отпечатки и наклеивают последний на основу. Так же монтируют остальные отпечатки маршрута. Чистые (не замазанные клеем) обрезки от каждого пореза собирают для использования их при контроле.
Для наклейки лучше применять целлулоидный клей, так как он почти не деформирует отпечатки, прочно приклеивает их к основе и быстро сохнет. Можно пользоваться также и резиновым клеем.
II.5.3. Второй маршрут монтируют из отпечатков, ориентируемых по точкам основы и по ранее смонтированным отпечаткам первого маршрута. Сначала разрезают отпечатки по линии поперечного перекрытия, когда нижняя часть снимка закреплена грузиками.
Переставив грузики на правую сторону отпечатка, разрезают его по линии продольного перекрытия. В таком порядке монтируют все отпечатки трапеции.
По окончании монтажа отпечатки отрезают параллельно сторонам их трапеции, отступив от них на 1 см, а по сводным рамкам - на 2 см.
После этого загружают фотоплан грузиками, под которыми он должен находиться не менее 16 часов. Сняв грузики, смывают ацетоном остатки клея и передают фотоплан для контроля.
Отпечатки аэроснимков, фототрансформированных по зонам, монтируют теми же приемами. Одноименные отпечатки для разных зон трансформирования укладывают на основе по одним и тем же точкам. Предварительно на каждом отпечатке в опорные точки вводят поправки за рельеф, вычисленные по формуле:
где H - высота фотографирования над средней плоскостью зоны данного
c
отпечатка;
h - превышение точки над средней плоскостью зоны данного отпечатка.
c
Направление, по которому вводят поправки на планшете, объяснено на выше. Исправленное положение точек пробивают пуансоном. Смонтированные отпечатки разрезают по границам зон фототрансформирования и вклеивают на основу части, относящиеся к зоне данного отпечатка.
II.5.4. Поскольку при ортофототрансформировании с помощью ОФПД получают ортофотонегативы в произвольном масштабе, то перед монтажом фотоплана с ортофотонегативов необходимо изготовить отпечатки в масштабе фотоплана. Отпечатки получают проекционным путем с помощью увеличителя или фототрансформатора, определив предварительно деформацию фотобумаги.
II.5.5. Точность смонтированного фотоплана должна быть проверена по точкам, порезам и сводкам.
Контроль фотоплана по точкам заключается в определении величин несовмещения центров отверстий, пробитых пуансоном на отпечатках по всем точкам, по которым трансформировался аэроснимок, с одноименными точками на основе. Если фотоплан получен методом оптического монтажа, то этот контроль осуществляется путем наложения на фотоплан прозрачной основы, с которой перекалывались точки на "рубашку".
Величины несовмещений в равнинных и всхолмленных районах не должны превышать 0,5 мм, а в горных - 0,7 мм.
II.5.6. Контроль фотоплана по порезам осуществляют в следующем порядке.
Оставшиеся при монтаже фотоплана обрезки отпечатков прикладывают к соответствующим порезам на фотоплане и закрепляют грузиками. Затем на обрезке, по возможности ближе к порезу, накалывают тонкой иглой ряд четких контуров так, чтобы следы наколов были видны на фотоплане. Величины несовмещения этих наколов с соответствующими контурами на фотоплане измеряют с точностью до десятых долей миллиметра и выписывают на корректурный лист около данной точки. На корректурном листе вычерчивают схему расположения на трапеции всех линий порезов и точек (наколов), для которых сделаны измерения. Наколы вдоль линии пореза делают примерно через 2 см. Несовмещения контуров по порезам не должны быть больше 0,7 мм, а при коэффициенте трансформирования более 1,5x допускают несовмещения контуров естественного покрова до 1,0 мм. В горных районах расхождения контуров по порезам не должны превышать 1,0 мм.
II.5.7. Контроль фотоплана по сводкам со смежными трапециями выполняют в следующем порядке. Зарамочные обрезки отпечатков накладывают на соседний фотоплан, точно совмещают их с выводами километровой сетки и на четких контурах, расположенных вблизи рамки, делают наколы примерно через каждые 3 см. Места наколов и величины несовмещений наколов с соответствующими контурами на фотоплане выписывают также на корректурные листы. Допустимые величины несовмещений при контроле по сводкам: 1,0 мм в равнинных и всхолмленных районах и 1,5 мм в горных районах. В равнинных районах, как исключение, допускают расхождения по сводкам до 1,5 мм (не более 5%) при коэффициенте фототрансформирования более 1,5x.
Без выполнения сводок со смежными фотопланами или с ранее изданными картами выпуск фотопланов из цеха запрещается. Контроль фотографического качества фотоплана осуществляется визуальным сравнением с эталоном.
Размеры сторон и диагоналей фотоплана не должны отличаться от теоретических более чем на 0,2 мм.
II.5.8. На фотоплане, соответствующем указанным техническим требованиям, должны быть нанесены и вычерчены условными знаками все опорные геодезические пункты. Должна быть также вычерчена рамка и выполнено зарамочное оформление фотоплана.
Ортофотопроектор ОФПД предназначен для трансформирования плановых снимков местности со сложным рельефом.
Технические данные прибора
Формат аэроснимка, мм 180 x 180
Углы поворота аэроснимка

Децентрации аэроснимка, мм

Углы наклона коррекционных плоскостей:

Фокусное расстояние прибора, мм f130 +/- 0,2 мм
Диапазоны перемещений базисных кареток, мм b от 40 до 100
x
b , b +/- 10
y z
Диапазоны перемещения координатных кареток, мм Y +/- 120
k
X -50 + 120
k
Z от 127 до 187
k
Увеличение оптической наблюдательной системы 7x
Диаметр поля зрения наблюдательной системы, мм 20
Диаметр измерительной марки, мм 0,03
Глазной базис, мм 56 - 72
Диапазон диоптрийной наводки окуляров +/- 5-диоптрий
Формат ортофотоснимка, мм 180 x 240
Скорости автоматического перемещения от 1,5 до 6
каретки Y, мм/сек.
Размеры щелевых диафрагм (длина x ширина), мм 4,0 x 1,3; 3,0 x 1,0;
2,0 x 0,5; 1,0 x 0,5
Диаметр маркирующей диафрагмы, мм 0,15
Габариты ортофотопроектора, мм 1800 x 175 x 1250
Масса прибора, кг 450
Общий вид прибора показан на рис. 9 (не приводится).
Ортофотопроектор ОФПД создан на основе стереографа СД-3. Прибор состоит из следующих основных узлов: станины, координатной системы, базисного устройства, бинокулярной головки, фотопроектирующего блока, блока питания и тумбочки с принадлежностями.
Станина 1 прибора является опорой для основных узлов прибора, механизма коррекционных плоскостей и приводных устройств (рис. 10, 11, 12 - не приводятся).
Механизм коррекционных плоскостей содержит левую и правую плоскости 2,
3 (рис. 11, 12), которые могут наклоняться на продольные и поперечные углы
с помощью микрометренных винтов

Для совместного наклона
левой и правой плоскостей имеются переключатели 7, 6 (рис. 10). К
станине крепятся направляющие 8, 9, по которым перемещается координатная
каретка y 10.
k
Координатная каретка 10 (рис. 10) содержит направляющие, по которым
перемещается координатная каретка x 11 (рис. 11). Каретки 10 и 11
k
перемещаются по взаимноперпендикулярным направлениям при помощи штурвалов
x 12 и y 13. Кроме того, они могут свободно перемещаться по направляющим,
ш ш
если откидные гайки отключить при помощи рукояток 14, 15 (рис. 10, 11).
Изменение скорости перемещения кареток 11 и 10 осуществляется переключением
фиксаторов 16, 17. По направляющим 18, укрепленным на координатной каретке
11, перемещаются дифференциальные каретки

(аналогичные элементы
содержатся для правой каретки, на рис. не видны), на которых располагаются
вертикальные направляющие кареток приращений фокусных расстояний

(рис.
10),

(рис. 12). Каретки 21, 22 содержат подпятники, контактирующие с
левой и правой плоскостями 2, 3 коррекционного механизма, и несут нижние
шарнирные карданы 23. Положение кареток 21, 22 по высоте может изменяться
как за счет наклона коррекционных плоскостей, так и при помощи
микрометренных винтов 24 (рис. 11).
На левой дифференциальной каретке 19 находится суппорт децентраций

на котором укреплена левая камера 26. Суппорт

расположен в бинокуляре, перемещение которого осуществляется микрометренным винтом 27. Перемещение суппорта 25 осуществляется микрометренным винтом 28. На правой дифференциальной каретке

располагаются взаимно-перпендикулярные суппорты децентраций

На суппорте 30 крепится правая камера 31. На камере устанавливаются снимкодержатели 32, 33.
Камеры имеют возможность вращаться на угол при помощи винтов 34, 35.
Базисное устройство содержит каретку z 36, которая может перемещаться
k
по высоте по направляющей, укрепленной на координатной каретке 11.
Перемещение каретки 36 осуществляется путем вращения ножного штурвала z
ш
37. Изменение направления перемещения каретки 36 осуществляется с помощью
фиксатора 38. Для отключения ножного штурвала имеется рукоятка 39. При
профилировании модели, в процессе ортофототрансформирования перемещение
каретки осуществляется штурвалом 12.
Изменение высоты проектирования фиксируется на счетчике высот 40 и
шкале 41. Базисное устройство содержит каретки базисных составляющих,
перемещающихся при помощи микрометренных винтов b 42, b 43, b 44. На
x y z
каретке b располагается левая шаровая опора левого проектирующего рычага
x
45, а на каретке b находится правая шаровая опора правого проектирующего
z
рычага 46 (рис. 11). Поэтому микрометренный винт 42 перемещает левую камеру
26, а винты 43 и 44 - правую камеру 31. Ходовой винт каретки 36 может
подсоединиться к штурвалу 12 с помощью механических передач, соединенных
посредством вала с сельсином-датчиком, передающим высотные движения каретки
36 в фотопроектирующий блок. Для подключения штурвала 12 к винту каретки 36
вместо ножного штурвала 37 имеется переключатель 47 (рис. 12).
Оптическая наблюдательная система прибора состоит из левой и правой ветвей. На
рис. 13 показана левая ветвь. Свет от лампочки 48 проходит через снимок 49 и, преломившись в призме 50, попадает в объектив 51, в фокальной плоскости которого находится аэроснимок.
Из объектива 51 свет выходит параллельным пучком, отражается зеркалами 52, 53 и попадает в объектив 54. По выходе из объектива 54 сходящийся пучок проходит через отклоняющую призму 55 и строит изображение в фокальной плоскости окуляра 56, в которой располагается измерительная марка 57. В окуляре находится отклоняющий клин 58.
Призма 50 и объектив 51 находятся на каретке, перемещающейся в направлении оси Y прибора при введении децентраций

микрометренным винтом 27 (рис. 10).
Правая ветвь отличается от левой дополнительным блоком призм и отсутствием подвижных элементов для введения децентраций

Оптическая наблюдательная система монтируется в бинокулярной головке, на корпусе которой установлены верхние шарнирные карданы 59 (рис. 10), определяющие центры проекций в приборе.
Фотопроектирующий блок, служащий для фотопроектирования
трансформированного изображения, состоит из светонепроницаемого шкафа и
содержит каретки x и y 60 (рис. 14 - не приводится). Каретка x (на
ф ф ф
рис. не видна) при помощи держателя, имеющего отверстие для стопора 61
(рис. 9), жестко соединена с кареткой 11 (рис. 9, 11) прибора и через окно
62 на ней можно устанавливать фотокассету 63. Стопор 61 укреплен на
фотопроектирующего блока и служит для фиксации положений координатных
боковой стенке кареток 11, 10 прибора при установке и съеме
фотокассеты. Фотокассета содержит лапки, к которым прижимается фотоматериал
пластинчатыми пружинами, прикрепленными к дну кассеты. Шибер 64
закрепляется на фотокассете фиксатором 65. Чтобы фотокассета не
перемещалась относительно держателя при установке и съеме шибера, она
закрепляется фиксатором 66 (рис. 9).
Оптическая система фотопроектирующего блока
(рис. 17) проектирует участки правого снимка на фотоматериал фотокассеты. Свет от осветителя 67 проходит через снимок 68 и, отразившись в системе зеркал 69, попадает в объектив 70, в фокальной плоскости которого находится аэроснимок. Из объектива 70 свет выходит параллельным пучком, проходит призму Дове 71, объектив 72 и сходится в плоскости коллектива 73. Фокальная плоскость объектива 74 совпадает с плоскостью коллектива, поэтому свет выходит из объектива 74 параллельным пучком, попадает в объективы 75 и 76 панкратической системы, благодаря которым преобразуется в сходящийся и, отразившись от зеркал 77 и 78, пройдя щелевую диафрагму 79, попадает на фотоматериал 80. Зеркала 77 и лекало 81 (рис. 17) располагаются на каретке, которая перемещается синхронно с кареткой 36 (рис. 11) от сельсина-приемника 82 через винт с откидной гайкой 83 (рис. 16 - не приводится), изменяя тем самым длину фотопроектирующего луча, а следовательно, и масштаб изображения. На той же каретке размещается объектив 75 панкратической системы, который перемещается лекалом через угольник 84, с целью сохранения постоянства резкости в плоскости фотокассеты.
При подготовке к ортофототрансформированию требуется устанавливать соответствие между длиной фотопроектирующего луча и значением Z прибора, для чего имеется шкала 85.
В фотопроектирующем блоке находится съемный суппорт 86, на котором смонтированы маркирующая и щелевые диафрагмы (рис. 18 - не приводится).
Для установки щелевой диафрагмы имеется рукоятка 87 со шкалой, на которой показаны значения длин щелевых диафрагм. Положение каждой щели фиксируется фиксатором 88 (рис. 9).
Автоматическое перемещение координатной каретки 10 (рис. 10) при фототрансформировании осуществляется протяжным механизмом 89 (рис. 12). Двигатель 90 протяжного механизма связан с ходовым винтом каретки 10 прибора через телескопический вал и редуктор. Изменение скорости перемещения каретки осуществляется рукояткой 91.
Для перемещения координатной каретки 11 (рис. 11) прибора на величину длины щели при переходе на следующую полосу сканирования имеется шаговый механизм 92. С валом каретки 11 прибора двигатель 93 шагового механизма соединяется при помощи карданного шарнира и редуктора. Заданная величина перемещения каретки 11 устанавливается винтом 94. Двигатель 93 располагается на суппорте, который в рабочем положении закрепляется рукояткой 95. При изменении взаимного положения дисков шагового механизма их выводят из контакта с помощью рукоятки 96.
Управление работой шагового и протяжного двигателей осуществляет командное устройство, на штоке 97 (рис. 12) которого находятся подвижные ограничители 98, используемые для установки диапазонов автоматического перемещения координатной каретки 10 в зависимости от размера площади ортофотоснимка. На штоке 99, соединенном с кареткой 10, располагаются два подвижных кулачка 100, подающих импульсы через микропереключатели на реле времени, замыкающее цепь питания двигателя шагового механизма в начале и конце полосы в процессе фототрансформирования. Для накола точек в масштабе модели имеется устройство, прикрепленное к каретке 11, содержащее цангу с иглой и соленоидом 101 (рис. 11). Включение соленоида осуществляется ножной педалью 102 (рис. 9).
В приборе имеются распределительные щитки 103 (рис. 9), 104 (рис. 12), на которых располагаются тумблеры. С целью защиты прибора от поломок предельные положения кареток ограничены системой предупредительной сигнализации.
Блок электропитания (рис. 19 - не приводится) обеспечивает стабилизированное напряжение всех электродвигателей, следящей системы и ламп подсветки снимков при ортофототрансформировании. На панели блока располагаются тумблер "Сеть" 105 общего включения рукоятка 106 для регулировки реле времени "выдержка", тумблеры напряжения 107/12 В, 108/110 В; тумблер 109 реверса электродвигателя шагового механизма; рукоятка 110 включения подсветки правого снимка; рукоятка 111, предназначенная для изменения скорости движения каретки 10 прибора, четыре предохранителя 112 и сигнальная лампа 113.
Взаимодействие составных частей ортофотопроектора
При ориентировании снимков коррекционные плоскости наклоняют на углы

, вводят базисные компоненты b , b , b . Если после этого штурвалами
x y z
x 12 и y 13 перемещать каретки 11 и 10 ортофотопроектора вместе с
i ш
камерами 26, 31, то, благодаря наклону коррекционных плоскостей, каретки
приращений фокусных расстояний 21, 22 будут подниматься или опускаться в
направлении оси Z прибора. В результате этого нижние шарнирные карданы 23,
перемещаясь вдоль проектирующих рычагов 45, 46, сообщают дополнительные
перемещения дифференциальным кареткам 19 и 20. Смещения этих кареток равны
величинам поправок в положении камер за перспективные искажения аэроснимков
в наблюдаемых точках. При изменении положения каретки 36 базисного
устройства по высоте дифференциальные каретки вместе с камерами получают
дополнительные смещения, соответствующие поправки в положение точек на
снимке за влияние рельефа.
При движении каретки 10 (рис. 9) в процессе ортофототрансформирования перемещается фотокассета 63 (рис. 14), с фотоматериалом относительно неподвижной щели. Оператор удерживает марку на поверхности модели, изменяя положение каретки 36. Сельсин-приемник 82 (рис. 16) перемещает каретку с зеркалами 77 и лекалом 81 в фотопроектирующем блоке. Положение зеркал 77 определяет масштаб фотографирования, а лекало 81 через угольник 84 перемещает каретку с объективом 75 панкратической системы, сохраняя тем самым резкость в плоскости фотоматериала; элементарные участки снимка проектируются на непрерывно движущийся относительно щели фотоматериал. При достижении каретки 10 крайнего положения командное устройство изменяет направление вращения двигателя шагового механизма 92, подает одновременно импульс на реле времени и замыкает цепь питания шагового механизма, который перемещает каретку 11 и фотокассету 63 на следующую полосу (на величину длины щели).
Установка прибора в рабочем помещении
При выборе места установки прибора с учетом его веса и размеров необходимо, чтобы помещение было сухим, свободным от вибрации, вблизи места установки не должно быть источников тепла, на прибор не должен попадать прямой солнечный свет, окна должны находиться сзади или сбоку оператора. От стен ортофотопроектор должен располагаться на 50 - 80 см. Для электропитания прибора необходимо иметь сетевую розетку, рассчитанную на мощность 1,5 кВ.
Поверки и юстировки ортофотопроектора
В процессе эксплуатации прибора рабочие поверки следует проводить через каждые шесть месяцев. В случае необходимости выполняют юстировки. При выполнении рабочих поверок и вотировок используют измерительные решетки, уровни, индикаторы и секундомер.
Определение места нуля шкал микрометренных винтов
На середину левой коррекционной плоскости устанавливают уровень с ценой деления 10" вдоль оси X прибора, а затем в направлении оси Y. Если пузырек уровня уходит от середины, то микрометренными винтами

приводят уровень в нулевое положение.
После этого юстировочными винтами шкал микрометренных винтов

, не изменяя положения коррекционных плоскостей, устанавливают на шкалах отсчеты, соответствующие месту нуля, записанному в формуляре ОФПД. Затем аналогичным способом определяют место нуля для правой коррекционной плоскости.
Определение мест нулей шкал

Поверку выполняют вначале для левой камеры. Наводят штурвалами X и Y
ш ш
левую марку на центр креста, награвированного в центре стекла кассеты левой
камеры. Не трогая штурвала X , штурвалом Y перемещают камеру в крайние
ш ш
положения, видимые несовмещения марки с вертикальными штрихами устраняют
винтом

. Поверку повторяют. Отсчет, полученный после этого на шкале

,
будет ее местом нуля. Аналогичным способом определяют место нуля и шкалы

.
Определение места нуля шкалы микрометренного винта
Наводят левую марку на центр креста, награвированного в центре стекла
кассеты левой камеры. Штурвалом X перемещают камеру до тех пор, пока в
ш
поле зрения не появится центр креста правой камеры. Величину несовмещения
вдоль оси Y правой марки с центром стекла исправляют микрометренным винтом
b . После этого, пользуясь юстировочными винтами микрометренного винта
у
b , устанавливают отсчет равный месту нуля, указанному в формуляре.
у
Определение места нуля шкалы микрометренного
винта b и установка равенства фокусных расстояний
z
левой и правой камер
На правой камере прибора в направлении оси X укрепляют индикатор, щуп
которого должен контактировать с левой камерой. Ножным штурвалом
устанавливают отсчет Z, равный 130 мм, а на шкале микрометренного винта
движением b отсчет, приблизительно равный 85 мм. Штурвалами X и Y
x ш ш
перемещают каретки так, чтобы проектирующий рычаг правой камеры находился
приблизительно в отвесном положении и по индикатору записывают
соответствующий отсчет. Затем штурвалом X перемещают каретку X в другое
ш к
крайнее положение и вновь записывают отсчет по индикатору.
Если второй отсчет отличается от первого, то, действуя микрометренным
винтом b , на индикаторе устанавливают первый отсчет, после чего все
z
действия повторяют. Обеспечив равенство отсчетов на индикаторе для обоих
положений кареток, устанавливают, пользуясь юстировочными винтами, отсчет
на шкале b , равный указанному в формуляре месту нуля шкалы b , сохраняя
z z
при этом отсчет по индикатору. После этого ножным штурвалом устанавливают
отсчет Z = 185 мм, предварительно установив b = 110 мм.
z
Затем штурвалом X перемещают камеры вдоль оси X прибора из одного
ш
крайнего положения в другое. При этом должен сохраняться отсчет по
индикатору. Изменение отсчетов свидетельствует о неравенстве фокусных
расстояний прибора. Исправления производят при помощи винта приращений
фокусных расстояний

. После установки равенства фокусных расстояний
необходимо зажать закрепительный винт.
Определение места нуля шкалы Z
и фокусного расстояния прибора
В кассеты прибора устанавливают и ориентируют измерительные решетки.
На каретке X прибора укрепляют индикатор, щуп которого должен
к
контактировать с левой камерой в направлении оси X; на шкале Z
устанавливают отсчет, равный 130 мм; штурвалом X перемещают
ш
соответствующую каретку прибора, если при этом отсчет по индикатору не
сохраняется, то изменяют отсчет по шкале Z. Обеспечив постоянство отсчета
по индикатору при перемещении каретки X (т.е. f = Z), записывают отсчет
к n
Z по счетчику высот.
1
Штурвалом Y наводят марку на штрих измерительной решетки, у которого
ш
y = 85 мм, затем ножным штурвалом каретку базисного устройства опускают
1
вниз так, чтобы марка совместилась по измерительной решетке со штрихом y =
2
70 мм, а со счетчика высот снимают отсчет Z ; действуя штурвалом Z
2 ш
совмещают марку со штрихом y = 60 мм и записывают отсчет Z .
3 3
Место нуля отсчетного барабана шкалы Z определяют по формуле:
Если значение МО , вычисленное по формуле, отличается от указанного в
Z
формуляре, то отсчет по барабану изменяется прокручиванием барабана.
Проверка работы сельсинной связи
выполняется в такой последовательности:
включают прибор в сеть; подключают шаговый 92 и протяжный 89 механизмы
к соответствующим винтам; каретку Z 36 подключают к штурвалу X 12,
к ш
фиксатор 17, 16 коробки скоростей ставят в нейтральное положение; открывают
крышку шкафа фотопроектирующего блока; штурвалом X устанавливают отсчет на
ш
шкале Z, равный 130 мм. Включают все тумблеры на панели блока питания.
Индекс каретки зеркал 85 устанавливают на отсчет 130 мм. Штурвалом X
ш
изменяют отсчет на шкале Z на величину примерно 50 мм; индекс каретки
зеркал 85 должен указывать тот же отсчет (следует иметь в виду, что зеркала
77 перемещаются на величины Z/2). В случае обнаруженных несоответствий
следует обратиться к механику.
Проверка работы шагового 92 и протяжного 89 механизмов,
командного устройства; определение места нуля
шкалы шагового механизма
Регулируют положение ограничителей 98 на штоке 97 (рис. 12) и кулачков
100 на штоке 99 таким образом, чтобы микропереключатели включались,
примерно, одновременно при достижении кареткой Y крайних положений. На
к
каретке X прибора укрепляют струбцину индикатора, щуп которого
к
контактирует с кареткой Y . Включают тумблеры двигателей шагового и
к
протяжного механизмов и проводят две - три полосы сканирования. С помощью
секундомера определяют время движения каретки Y в прямом и обратном
к
направлениях, разница не должна быть более 5%. Шаг перемещения каретки X
к
(определяемый по индикатору) при переходе от полосы к полосе должен
сохраняться с точностью 0,01 мм.
Отсчет, снятый со шкалы шагового механизма, должен быть равен величине
перемещения каретки X , определенной по индикатору. Их несоответствие
к
устраняют перемещением шкалы, т.е. добиваются MO шкалы = 0. Дефекты
электросхемы устраняет электрик, а непостоянство величины шага - механик.
Поверка положения платы щелевых диафрагм (рис. 18)
Поверка положения платы щелевых диафрагм производится в следующей последовательности: диапозитивную пластинку 18 x 18 см засвечивают и проявляют. В центре засвеченной пластинки иглой наносят крест. Закладывают засвеченную пластинку в правый снимкодержатель прибора. Наводят марку на крест. Устанавливают наибольший размер щелевой диафрагмы; производят экспонирование. Щелевую диафрагму заменяют маркирующей и выполняют повторное экспонирование. На проявленной пластинке измеряют величину несовпадения изображения маркирующей диафрагмы с изображением креста. На измеренную величину перемещают плату щелевых диафрагм и проверяют выполнение условия совпадения изображения креста с изображением маркирующей диафрагмы.
(фирма Оптон, ФРГ)
Фототрансформатор SEG-Y предназначен для трансформирования аэроснимков по опорным точкам, нанесенным на планшет, или по предвычисленным установочным значениям. Прибор позволяет трансформировать отдельные снимки и неразрезанные фильмы.
Формат снимка, см 24 x 24; 18 x 18
<*11>
Наклон снимка, град. 5
Децентрации снимка

+/- 45
Размеры экрана, кв. м 1 x 1
Увеличение, крат. 0,5 - 6,5
Габариты, мм 1040 x 1500 x 2850
Вес, кг 620
--------------------------------
<*11> В прибор можно закладывать снимки форматом 32 x 32 см, но трансформируемая площадь ограничивается форматом снимка 24 x 24 см.
Трансформатор SEG-Y представлен на рис. 20 (не приводится). Прибор содержит вертикальную колонку 1, каретку объектива 2, каретку снимка 3, экран 4, осветительное устройство 5.
Станина прибора представлена вертикальной колонкой, которая является направляющей кареток снимка и объектива. Станина приводится в отвесное положение с помощью подъемных винтов 6 и круглого уровня 7.
По колонке в вертикальном направлении перемещается каретка объектива 2, содержащая объектив "Топогон" Y 180/6,3".
Плоскопараллельная пластинка объектива, обращенная к лампе, имеет хромовое покрытие переменной плотности для того, чтобы компенсировать падение освещенности к краям поля зрения.
В объектив вмонтирован красный светофильтр, который играет роль затвора. Величина выдержки фиксируется на экспозиметре 8. Значение фокусного расстояния аэрофотоаппарата устанавливается с помощью кнопки 9 и фиксируется на счетчике 10.
Перемещение каретки объектива осуществляется при помощи мотора или ножным штурвалом 12.
Каретка снимка 3, содержащая снимкодержатель 13, имеет кинематическую связь с кареткой объектива 2 и может наклоняться автоматически в направлении осей X и Y, в зависимости от наклона экрана и от коэффициента увеличения. Снимкодержатель располагается на взаимно-перпендикулярных суппортах, на которых он перемещается на величину децентрации или автоматически или от руки при помощи штурвалов 14, 15.
Значение децентрации фиксируется на шкале 16 (рис. 20). Снимкодержатель содержит стеклянную пластинку 17 (рис. 22 - не приводится) с награвированными координатными метками и покровное стекло 18, закрепленные в металлических оправах. Оправа покровного стекла изготовлена для формата 18 x 18, 24 x 24 см и имеет пригоночные штифты, которые позволяют ориентировать покровное стекло относительно стеклянной пластинки. Там же имеются подвижные направляющие болты 19, которые обеспечивают точную установку пленки неразрезанного фильма в поперечном направлении. Кроме того, в приборе предусмотрены приспособления для установки катушки с неразрезанной пленкой.
Экран 4 содержит металлическое плато размером 1 х 1, имеет возможность наклоняться в направлении осей X, Y с помощью штурвалов 20, 21 с тормозными устройствами. Величины углов наклона фиксируются на счетчиках 10, 22 в тангенсных единицах. Края экрана имеют желоба для стока воды при работе с увлажненной фотобумагой (23).
Осветительное устройство 5 содержит ртутную лампу и конденсор, состоящий из линзы Френеля. Конденсор смонтирован на каретке снимка, а ртутная лампа укреплена на специальном держателе и ее положение изменяется при перемещении каретки снимка.
Взаимное положение лампы и каретки снимка изменяется при установке величин коэффициента увеличения. Автоматическое перемещение держателя лампы обеспечивается при коэффициенте увеличения в диапазоне 1,7х - 6,8х. При работе с коэффициентом увеличения менее 1,7х автоматическое перемещение держателя лампы невозможно и регулировку производят рукояткой на задней стенке колонки 1. Осветительное устройство содержит светозащитные меха, предохраняющие фотоматериал от засвечивания (24).
В приборе оптическое условие резкости и условие перспективного сопряжения выполняются автоматически с помощью счетно-решающих механизмов. При установке коэффициента увеличения изменяется расстояние от экрана до объектива. При этом автоматически изменяется расстояние от объектива до снимка с учетом выполнения условия масштабного сопряжения с помощью специального инверсора, которым управляет реле, замыкающее цепь электродвигателя.
Выполнение условия перспективного сопряжения осуществляется инверсором Карпантье.
При наклоне экрана в направлении X наклон снимкодержателя осуществляется штангой инверсора, а в направлении Y - с помощью передвижной втулки, закрепленной на каретке снимка. Вертикальное положение каретки снимка регулируется цепью, связанной с кареткой объектива. Смещение главной точки снимка (децентрация) по отношению к оси проекции вычисляется счетчиком автоматически. Величины, вычисленные счетчиком, снимаются потенциометром и через усилитель подаются к моторам, которые встроены в снимкодержатель. Эти моторы с помощью механических передач устанавливают снимкодержатель на рассчитанную величину смещения (децентрацию).
Включают лампу осветителя. Спустя три минуты ртутная лампа достигает полного накала. Устанавливают коэффициент увеличения K = 2,5x. Освобождают зажимной винт 25 и передвигают держатель лампы 26 вперед, назад и вращают до тех пор, пока на экране не будет достигнуто симметричное освещение поля изображения без цветных колец.
2. Юстировка резкости изображения
Устанавливают в горизонтальное положение экран 4, вводят коэффициент увеличения K = 6,0x. В снимкодержатель вставляют измерительную решетку, которую проектируют на экран и добиваются четкого ее изображения с помощью винта 27, расположенного на каретке снимка, или вращением эксцентрика 28 на реле (рис. 23 - не приводится), благодаря чему изменится длина цепи и тем самым увеличится или уменьшится расстояние между каретками снимка и объектива.
3. Юстировка счетчика увеличения
На измерительной решетке отмечают отрезок длиной 100,0 мм. Вращая ножной штурвал, устанавливают длину проекции отмеченного отрезка равной 600,0 мм, (т.е. при коэффициенте увеличения K = 6,0x). Несоответствие отсчета, снятого со счетчика увеличений, действительному коэффициенту увеличения, устраняют вращением диска 29 (рис. 24 - не приводится), ослабив винты 30.
4. Регулировка "усилителя"
Перед процессом фототрансформирования проверяют работу моторов, которые вводят автоматически децентрации

Моторы должны работать без шума и вибрации. В противном случае выполняют регулировку путем перестановки сопротивления на "усилителе".
Порядок работы на приборе
Фототрансформирование снимков с помощью SEG-Y по опорным точкам выполняют известными способами. При этом технологические процессы на приборе производят в следующей последовательности:
- устанавливают негатив в снимкодержатель, для чего рамку 11 приподнимают и прикрепляют к магниту, вынимают снимкодержатель, центрируют в нем негатив и устанавливают в прибор;
- устанавливают значение фокусного расстояния АФА на счетчике 10. Эта операция выполняется с помощью кнопки 9;
- изменяют масштаб фототрансформирования путем вращения ножного диска 12. Если коэффициент увеличения заранее известен, то его значение может быть установлено на шкале 22;
- наклоняют экран на углы v и v с помощью штурвалов 20, 21. Если
x y
известны эти углы, то значения их тангенсов (предварительно вычисленных по
синусам) можно устанавливать на счетчиках 10, 22;
- устанавливают децентрации

вручную с помощью штурвалов 14, 15, если отключена система автоматического управления.
При фототрансформировании по установочным элементам в приборе ставят следующие величины:
- f - фокусное расстояние АФА;
- tg v , tg v - тангенсы углов наклона экрана, предвычисленные по
x y
синусам;
- K - коэффициент увеличения;
-

и

- децентрации (если отключена система автоматического управления).
Указанные величины рассчитывают по следующим формулам:
где:
f - фокусное расстояние объектива фототрансформатора;
e
h - высота полета над относительной плоскостью в масштабе проекции;
c - корректурная поправка;
v , v - углы наклона снимка по направлению соответствующих осей.
x y
ДВОЙНОЙ СТЕРЕОСКОПИЧЕСКИЙ ИДЕНТИФИКАТОР ДСИ-Т
Прибор предназначен:
- для маркирования идентичных точек в зоне продольного и поперечного перекрытия двух смежных снимков, имеющих одинаковый масштаб;
- для переноса ранее замаркированных на снимке точек на другой снимок.
Маркирование точек с помощью ДСИ-Т может выполняться на снимках со стеклянной, пленочной и бумажной подложкой. В случае использования снимков на пленочной подложке, маркирование можно выполнять как со стороны эмульсии, так и со стороны подложки.
ДСИ-Т позволяет получать точечный маркировочный знак в виде прозрачного кружка или кольца с точкой.
Основные технические данные прибора
Формат снимка, мм 180 x 180
Перемещение каретки X, мм 145
Перемещение каретки Y, мм 180
Перемещение каретки продольных параллаксов P, мм 60
Перемещение каретки поперечных параллаксов q, мм 40
Допустимый процент перекрытия между
обрабатываемыми снимками, % от 3 до 95
Угол поворота кассет

град. 360°
Допустимая толщина диапозитивных пластин, мм 3
Диаметр визирной марки в плоскости снимка, мм 0,04
Увеличение наблюдательной системы 7,5x и 4x
Диаметр маркировочного знака (кружка), мм 0,03 - 0,10
Диаметр опознавательного кольца, мм ~2
Средняя квадратическая ошибка маркирования, мм M = M = +/- 0,007
x y
Прибор ДСИ-Т состоит из следующих основных узлов: устройства (I) для перемещения снимков, подвижной системы (II) с маркирующими механизмами и блоком световых марок, бинокулярной головки (III), пульта управления маркерами (IV), пульта регулирования освещения (V), блоков питания тепловых штампов (VI), устройства поиска зон маркирования точек (VII), поворотного планшета (VIII).
Основная каретка (2) перемещается в направлении оси X относительно станины (1), а подвижная система с маркирующим механизмом перемещается вдоль оси Y.
Перемещения могут осуществляться как с помощью штурвалов, так и с помощью устройств свободного хода рукоятками: 3 - в направлении оси X и 4 - в направлении оси Y.
На основной каретке с правой стороны расположены дополнительные каретки продольного и поперечного параллаксов, перемещение которых выполняется микрометренными винтами (9) и (10). Закрепление снимка осуществляется с помощью пружинных съемных лапок. Поворот снимков на углы

выполняется винтами (5).
Внутри станины расположены лампы с отражателями для подсветки диапозитивов. На задней стенке станины укреплены блоки питания (VI) тепловых штампов. С лицевой стороны станины расположены пульт управления маркерами (IV) и пульт регулировки освещения (V). На пульте управления (IV) находятся переменные резисторы 6 регулировки тона штампов, две сигнальных лампочки, а также кнопки 7 "маркирование" и "поворот маркеров". С кареткой Y (8) жестко связана ферма, несущая оба маркирующих устройства.
На этой же ферме расположены: электромагниты (ЭМл, ЭМп) для фиксации и удержания маркера в рабочем положении и регулировочный упор, с помощью которого выполняется совмещение в направлении оси Y маркировочного знака с проекцией визирной марки. Кроме того, на ферме укреплены устройства для локального выравнивания в плоскость снимка, изготовленного на пленочной или бумажной основах.
На
рис. 26 представлена схема маркирующего механизма, который состоит из: пуансона (11) с маркирующим элементом в виде теплового штампа (12); направляющих (13); пружины (14), создающей требуемое статическое давление рабочего торца на поверхность снимка; коромысла (15), кулачка (16), обеспечивающего плавное опускание штампа и постоянство времени контактирования его с фотослоем; редуктора (17); электродвигателя (18) и пружины (19) для кинематического замыкания коромысла с пуансоном. Тепловой штамп (12) (см. рис. 27 - не приводится) состоит из держателя (20) и сменного рабочего наконечника (21).
Принципиальная схема устройства
для плавного опускания теплового штампа
Держатель несет посадочный конус для крепления теплового штампа в пуансоне (11) и два токоподвода (22). Нижняя плоскость держателя состоит из двух изолированных друг от друга частей, на каждой из которых имеется по два резьбовых отверстия, служащих для крепления рабочего наконечника.
Комплект прибора содержит два типа рабочих наконечников. Один из них выполнен в виде кольца (диаметром 2 мм с рабочим торцом 30 мкм), в центре которого находится игла с рабочим торцом 30 мкм. Другой наконечник представляет собой иглу с рабочим торцом 60 - 80 мкм. Рабочий торец наконечника (кольцевого и иглообразного) нагревается от одного импульса тока. Температура нагрева наконечника регулируется переменным резистором 6. В коробке (23), закрепленной на подвижной каретке, размещены блоки световых визирных марок с котировочными винтами. На задней стенке коробки (23) расположены лампы для освещения снимков сверху.
Пульт регулировки освещения (V) укреплен на передней стенке станины. На лицевой панели корпуса пульта расположены выключатели: общей сети, подсветки шкал микрометренных винтов, осветителя устройства поиска зон маркирования и поворотного планшета. Здесь же установлен галетный переключатель, предназначенный для включения ламп освещения снимков и реостаты для регулировки освещенности визирных марок.
Для быстрого определения зон маркирования имеется устройство (VII). Устройство включает в себя поворотный стол (24) и световой индекс (25). Поворотный стол (24) укреплен на левом торце общей каретки и состоит из основания (22), относительно которого он может быть повернут на угол

, и снимкодержателя с пружинными лапками для закрепления фотоотпечатка. Световой индекс (25) укреплен с левой стороны коробки (23).
Это устройство состоит из штанги и оптического проектора (26), строящего в плоскости фотоотпечатка световой кружок диаметром 3 - 4 мм.
При нанесении маркировочного знака работа каждого маркирующего механизма происходит следующим образом. После поворота от руки обоих корпусов маркирующих устройств происходит переключение микропереключателей, и напряжение поступает на электромагниты ЭМл, ЭМп, фиксирующие рабочее положение маркеров. При нажатии кнопки "маркирование" поступает питание на электродвигатель (18), вращение которого через редуктор (17) вызывает поворот кулачка (16) на 360°. В соответствии с профилем кулачка коромысло (15) плавно опускает пуансон с тепловым штампом на поверхность снимка. В процессе опускания пуансон через реле включает электронный блок, управляющий нагревом наконечника штампа. Этот блок обеспечивает к моменту контактирования с фотослоем требуемую температуру иглы в течение заданного времени, после чего он автоматически выключается. Время контактирования рабочего торца штампа с фотослоем определяется профилем кулачка. Завершив один оборот, кулачок через коромысло приводит пуансон в исходное (верхнее) положение и размыкает цепь питания электродвигателя. Цикл работы механизма: опускание - 2,0 с, контактирование наконечника со слоем - 0,1 с, подъем пуансона - 0,5 с.
Маркирующие устройства удерживаются электромагнитами ЭМ и ЭМ в
л п
рабочем положении до тех пор, пока не будет разомкнута электроцепь с
помощью кнопки "поворот маркеров", после чего под действием плоских пружин
маркирующие устройства выводятся из поля зрения прибора.
3. Основные рабочие поверки и юстировки прибора (ДСИ-Т)
3.1. Перпендикулярность геометрической оси штампа
к плоскости фотоэмульсионного слоя
Поверка выполняется с помощью специального юстировочного приспособления. Установив в маркирующий механизм вместо теплового штампа юстировочное приспособление, фиксируют рабочее положение маркирующих механизмов с помощью электромагнитов ЭМл и ЭМп. Затем, включив кнопку "маркирование", опускают устройство на поверхность прижимного стекла кассеты. Если зазор одной из сторон юстировочного приспособления не превышает 0,3 мм, поставленное условие считается выполненным. При нарушении этого требования перпендикулярность оси теплового штампа выставляют с помощью трех юстировочных винтов маркирующего механизма.
3.2. Плавность поворота маркирующих устройств
При нажатии на кнопку "поворот маркеров" правый и левый механизмы под действием плоских пружин должны плавно повернуться вокруг своих вертикальных осей и без резкого удара коснуться поролоновых упоров. В случае резкого поворота корпуса маркера необходимо подогнуть плоскую пружину. При попадании в поле зрения каких-либо деталей маркирующего устройства, следует переместить на винтах основание поролонового упора.
3.3. Неизменность рабочего положения маркирующего
устройства, фиксируемое электромагнитом (ЭМл, п)
Поверка выполняется с помощью микрокатора (или индикатора), который укрепляется струбциной на ферме, несущей маркеры. Шток микрокатора упирается в корпус маркера.
Затем, при включенном в сеть приборе, осуществляют не менее 10 раз контактирование маркера с якорем электромагнита. Расхождение в показаниях микрокатора не должно превышать 3 мкм. В случае больших расхождений необходимо проверить надежность крепления ЭМ и отсутствие люфта в оси корпуса маркера.
3.4. Резкость изображения визирных марок
Предварительно должна быть обеспечена достаточная освещенность марок. Подбор необходимой освещенности марок осуществляется центрировкой нити накала лампы подсветки и регулировкой тока с помощью реостата, расположенного на пульте V. Для фокусировки визирной марки предварительно устанавливают вращением окуляра резкое изображение штрихов измерительной сетки, размещенной на кассете прибора. Затем перемещают тубус с маркой до тех пор, пока изображение визирной марки не получится четким и резким. При этом должен отсутствовать зрительный параллакс марки относительно штрихов измерительной решетки.
3.5. Совмещение геометрического центра визирной марки
с центром маркировочного знака
Для проверки совмещения предварительно производят маркирование и, не нарушая положения кареток снимков, проверяют совпадение проекции марки с центром замаркированного знака. В случае несовпадения производят юстировку.
Юстировка состоит из двух этапов.
Первый этап представляет приближенное совмещение визирной марки с маркировочным знаком. Для выполнения этой юстировки производят маркирование на фотоснимке произвольной точки. Затем, оценив величину расхождения между маркой визирования и нанесенной точкой, юстировочными винтами маркирующего механизма добиваются такого положения, чтобы расхождение между ними не превышало примерно диаметр марки визирования.
Второй этап предусматривает точное совмещение марки с маркировочным знаком. Для этого вновь наносят на фотоснимок маркировочный знак. Видимое расхождение полностью устраняют с помощью юстировочных винтов, предназначенных для перемещения марки визирования. При точном совмещении геометрического центра марки с центром нанесенного отверстия, ширина светового кольца, которое образуется между ними, должна оставаться одинаковой в пределах всей окружности.
Такая операция производится отдельно для левого и правого маркеров.
3.6. Установка требуемого размера знака
Для фототрансформирования аэроснимков с большими коэффициентами увеличения внутренний диаметр знака должен составлять порядка 80 - 100 мкм. Требуемый размер знака получают следующим способом. В держатель теплового штампа вставляют иглообразный наконечник с рабочим торцом порядка 60 - 80 мкм. Выполняют пробное маркирование на фотоматериале, который по физико-химическим свойствам подобен фотоматериалу рабочих снимков.
Требуемую степень прозрачности дна у маркировочного кружка и ширину бортика, образующегося вокруг знака, получают путем изменения силы тока.
Следует иметь в виду, что при маркировании точек на пленочном материале, по сравнению со снимками на стеклянной подложке, температура нагрева штампа должна быть примерно в два раза ниже.
4. Методика работы на ДСИ-Т при маркировании точек
для фототрансформирования снимков с большим
коэффициентом увеличения
4.1. Перед началом работ в держатели тепловых штампов должны быть вставлены наконечники с рабочим торцом порядка 60 - 80 мкм и выполнено совмещение центра визирной марки с центром знака (см. юстировки 3, 5).
4.2. Процесс маркирования точек на ДСИ-Т выполняется следующим образом.
4.2.1. Включают прибор в сеть. Поворотом окуляров устанавливают требуемое значение глазного базиса. Вращением оправ оптических клиньев совмещают между собой изображения визирных марок.
4.2.2. Негатив размещают на стекле кассеты, прижимают его четырьмя пружинными лапками, после чего опускают на поверхность снимка устройства для локального выравнивания в плоскость фотоматериала.
4.2.3. Резкое изображение деталей негатива и марок получают путем поворота окулярных оправ. Затем, перемещая негативы от руки по поверхности прижимных стекол кассет, получают стереоэффект. Эта операция аналогична той, которая осуществляется при рассматривании снимков под стереоскопом. В зависимости от расположения негативов на кассетах вставляют в соответствующие гнезда лапки.
Для получения устойчивого стереоскопического эффекта в пределах всей зоны перекрытия производят уточнение ориентировки негативов по начальному направлению путем совместного их перемещения вдоль оси X и поворота кассеты на угол

. Для повышения точности маркирования дважды выполняют стереоскопическое визирование на выбранную точку. Каждое наведение сопровождают снятием отсчетов с микрометренных винтов

и

. Расхождение между двумя отсчетами не должно превышать по винту

продольных параллаксов 0,015 мм, а по винту

поперечных параллаксов 0,020 мм.
4.2.4. После того как выполнено стереоскопическое наведение на точку, поворачивают, взявшись руками за корпуса, оба маркирующих устройства до упора, причем контактирование с упором должно выполняться без удара и нажима на него.
После фиксации маркирующих устройств электромагнитами, нажимают кнопку "маркирование". Длительность процесса маркирования составляет около 3 с. Процесс маркирования точек контролируют по загоранию сигнальных лампочек на пульте IV.
Затем нажимают кнопку "поворот маркеров", в результате чего маркирующие механизмы автоматически отводятся из поля зрения наблюдательной системы прибора.
После выведения из поля зрения прибора маркирующих механизмов визирные марки должны оставаться совмещенными с центрами маркировочных знаков, а при стереоскопическом рассматривании негативов обе маркированные точки, подобно маркам визирования, должны представляться единым кружком, расположенным на поверхности видимой модели местности.
4.3. После этого переходят к маркированию последующих точек.
Для маркирования точек только на одном негативе описанный процесс остается без изменения за исключением того, что в поле зрения вводится маркирующий механизм, расположенный над тем снимком, на котором следует маркировать точку.
4.4. В том случае, когда на одном из снимков уже имеется маркированный знак, который необходимо перенести на смежный снимок, поступают следующим образом. Снимок с маркированным знаком помещают в левый снимкодержатель. После получения стереоэффекта визирную марку, расположенную в левой ветви, вращением штурвалов X и Y прибора наводят монокулярно на центр знака. Затем, не изменяя взаимного положения левой марки и снимка, микрометренными винтами P и q устраняют продольный и поперечный параллаксы. Далее, изложенным выше способом выполняют маркировку точки на снимке, расположенном в правом снимкодержателе.
ДЛЯ ОПРЕДЕЛЕНИЯ МЕСТ НУЛЕЙ ШКАЛ ФОТОТРАНСФОРМАТОРОВ
Определение мест нулей шкал фототрансформаторов производят путем трансформирования макетных снимков. Макетный снимок и основу для его трансформирования изготавливают на прозрачном пластике, на который в соответствии с данными таблицы, наносят по координатам x, y все точки макетного снимка и по координатам X, Y точки трансформационной основы. Точки макета обводят кружками диаметром 0,8 мм, а точки основы - кружками диаметром 2,5 мм.
Процесс трансформирования макетного снимка выполняется по методике трансформирования реальных снимков, изложенной в
разделе II.2, с той лишь разницей, что несовмещение изображения точек макетного снимка с соответствующими точками основы не должно превышать 0,2 мм.
МАКЕТ СНИМКА N 1
(трансформирование на горизонтальную плоскость)
m = 2000 К = 2,000 Sx = 342,2 мм

m = 1000 А = 100,00 м Sy = 342,0 мм

┌────────────────┬────────────────────────────────────────────────────────┐
│ Название точки │ Координаты точек │
│ ├──────────────────────────┬─────────────────────────────┤
│ │ на снимке (мм) │ на местности (м) │
│ ├──────────┬───────────────┼────────┬───────────┬────────┤
│ │ X │ Y │ X │ Y │ H │
├────────────────┼──────────┼───────────────┼────────┼───────────┼────────┤
│ 1 │ 2 │ 3 │ 4 │ 5 │ 6 │
├────────────────┼──────────┼───────────────┼────────┼───────────┼────────┤
│Главная точка │200,00 │200,00 │ │ │ │
│снимка │ │ │ │ │ │
├────────────────┼──────────┼───────────────┼────────┼───────────┼────────┤
│Координатная │200,00 │285,00 │ │ │ │
│метка С │ │ │ │ │ │
├────────────────┼──────────┼───────────────┼────────┼───────────┼────────┤
│Координатная │200,00 │115,00 │ │ │ │
│метка Ю │ │ │ │ │ │
├────────────────┼──────────┼───────────────┼────────┼───────────┼────────┤
│Координатная │115,00 │200,00 │ │ │ │
│метка З │ │ │ │ │ │
├────────────────┼──────────┼───────────────┼────────┼───────────┼────────┤
│Координатная │285,00 │200,00 │ │ │ │
│метка В │ │ │ │ │ │
├────────────────┼──────────┼───────────────┼────────┼───────────┼────────┤
│1 │139,19 │278,82 │100,00 │300,00 │100,00 │
├────────────────┼──────────┼───────────────┼────────┼───────────┼────────┤
│2 │137,81 │208,51 │100,00 │160,00 │100,00 │
├────────────────┼──────────┼───────────────┼────────┼───────────┼────────┤
│3 │136,52 │143,00 │100,00 │20,00 │100,00 │
├────────────────┼──────────┼───────────────┼────────┼───────────┼────────┤
│4 │209,53 │277,82 │240,00 │300,00 │100,00 │
├────────────────┼──────────┼───────────────┼────────┼───────────┼────────┤
│5 │205,52 │204,96 │240,00 │160,00 │100,00 │
├────────────────┼──────────┼───────────────┼────────┼───────────┼────────┤
│6 │201,78 │137,26 │240,00 │20,00 │100,00 │
├────────────────┼──────────┼───────────────┼────────┼───────────┼────────┤
│7 │285,45 │276,73 │380,00 │300,00 │100,00 │
├────────────────┼──────────┼───────────────┼────────┼───────────┼────────┤
│8 │278,38 │201,14 │380,00 │160,00 │100,00 │
├────────────────┼──────────┼───────────────┼────────┼───────────┼────────┤
│9 │271,83 │131,10 │380,00 │20,00 │100,00 │
├────────────────┴──────────┴───────────────┴────────┴───────────┴────────┤
│ Установочные элементы │
├───────────────────────────┬────────────────────────┬────────────────────┤
│ ФТБ │ ФТМ │ SEG-Y │
├─────────┬──────────┬──────┼───────────────┬────────┼───────────┬────────┤
│ альфа │ хи │ (мм) │50 + 100 tg фи │дельта x│1000 tg фи │дельта x│
│ │ │дельта│ x│(мм) │ x│(мм) │
├────┬────┼─────┬────┤ ├───────────────┼────────┼───────────┼────────┤
│° │' │° │' │ │50 + 100 tg фи │дельта y│1000 tg фи │дельта y│
│ │ │ │ │ │ y│(мм) │ y│(мм) │
├────┼────┼─────┼────┼──────┼───────────────┼────────┼───────────┼────────┤
│7 │39 │137 │58 │5,4 │65,1 │17,3 │100 │4,0 │
├────┼────┼─────┼────┼──────┼───────────────┼────────┼───────────┼────────┤
│ │ │ │ │ │63,4 │15,6 │89 │3,6 │
└────┴────┴─────┴────┴──────┴───────────────┴────────┴───────────┴────────┘
Направление осей на снимке и на местности xx, XX - вправо, yy, YY - вверх.