Главная // Актуальные документы // Рекомендация / РекомендацииСПРАВКА
Источник публикации
М.: Стройиздат, 1972
Примечание к документу
Название документа
"Рекомендации по уменьшению вредных вибраций рабочих мест на предприятиях железобетонных изделий"
"Рекомендации по уменьшению вредных вибраций рабочих мест на предприятиях железобетонных изделий"
ПО УМЕНЬШЕНИЮ ВРЕДНЫХ ВИБРАЦИЙ РАБОЧИХ МЕСТ
НА ПРЕДПРИЯТИЯХ ЖЕЛЕЗОБЕТОННЫХ ИЗДЕЛИЙ
В Рекомендациях рассматриваются: общие мероприятия по уменьшению колебаний строительных конструкций заводов железобетонных изделий; динамические нагрузки от технологического оборудования; расчет фундаментов под виброплощадки и стенды; виброизоляция оборудования заводов сборного железобетона и пассивная виброизоляция рабочих мест.
В приложении содержатся:
перечень основного технологического оборудования и данные о нормативных динамических нагрузках;
пример расчета виброизоляции стендовой силовой виброформы с навесными вибраторами;
примеры расчета пассивно-виброизолированных площадок.
Рекомендации предназначены для инженеров-проектировщиков и работников предприятий железобетонных изделий.
"Рекомендации по уменьшению вредных вибраций рабочих мест на предприятиях железобетонных изделий" составлены на основании обобщения опыта применения "Инструкции по устранению вредных воздействий вибраций рабочих мест на предприятиях железобетонных изделий" (СН 190-61), утвержденной Госстроем СССР в октябре 1961 г.
Основное внимание уделяется мероприятиям, которые необходимо предусматривать при проектировании предприятий железобетонных изделий.
Основа этих мероприятий - динамический расчет строительных конструкций, позволяющий составить прогноз уровня вибраций и наметить рациональные способы уменьшения вредных вибраций. Однако в значительной части Рекомендации вполне применимы также и на действующих предприятиях при капитальном ремонте оборудования, его замене и реконструкции.
Приведены сведения о методике динамического расчета фундаментов под виброплощадки и стенды, междуэтажных перекрытий и разгрузочных балок, о виброизоляции некоторых строительных машин, пассивной виброизоляции рабочих мест. Включен небольшой раздел об определении динамических нагрузок от строительного оборудования и машин.
Специализированные организации, проектирующие и изготовляющие строительные машины и механизмы, не уделяют должного внимания определению их динамических нагрузок и других динамических характеристик, а также их виброизоляции. Это обстоятельство отрицательно влияет на возможности учета динамического характера нагрузок при проектировании зданий и сооружений заводов железобетонных конструкций и при разработке мер по уменьшению вибраций.
Приведен перечень динамических характеристик оборудования, необходимых в задании на проектирование, без которых инженер-строитель не может рационально решить вопросы уменьшения вредных вибраций. Приведены также возможные схемы виброизоляции некоторых строительных машин и установок (бетоносмесители, кассеты для формования железобетонных изделий), поскольку виброизоляция является самой эффективной мерой локализации вибраций, препятствующей распространению вредных вибраций на примыкающие конструкции.
В Рекомендациях не излагаются организационно-технические мероприятия по улучшению санитарно-гигиенических условий труда на предприятиях, насыщенных возбуждающим вибрации оборудованием. Однако во многих случаях роль таких мероприятий для сохранения здоровья обслуживающего персонала огромна. Вредное влияние вибраций на здоровье людей часто является результатом нарушения правил техники безопасности и правил эксплуатации вибромеханизмов, неудачного конструктивного выполнения механизмов, обслуживающих площадок и вспомогательных устройств, изменения технологических условий, недостатков организации труда и других причин, приводящих к необходимости пребывания людей на вибрирующих частях механизмов (на виброплощадках и т.п.) и тем самым отрицательно характеризующих культуру данного производства.
Помимо новых сведений о мерах по уменьшению вредных вибраций, включены также отдельные разделы и пункты Инструкции СН 190-61. Рекомендации дополняют Инструкцию СН 190-61, составленную в 1961 г. в лаборатории динамики ЦНИИ строительных конструкций (д-р техн. наук проф. Б.Г. Коренев, канд. техн. наук А.М. Сизов).
"Рекомендации по уменьшению вредных вибраций рабочих мест на предприятиях железобетонных изделий" разработаны в лаборатории динамики Центрального научно-исследовательского института строительных конструкций им. В.А. Кучеренко Госстроя СССР канд. техн. наук А.М. Сизовым. Общее редактирование выполнено засл. деятелем науки и техники РСФСР д-ром техн. наук проф. Б.Г. Кореневым.
Приложения 1 и
2 разработаны в Государственном институте по проектированию предприятий промышленности строительных материалов Гипростройматериалы Министерства промышленности строительных материалов СССР инженерами Е.П. Дериченко, Ф.Ф. Пороженко, С.Г. Гершманом.
Дирекция ЦНИИСК им. В.А. Кучеренко
1.1. Настоящие Рекомендации предусматривают проведение мероприятий по уменьшению общих вибраций рабочих мест, возникающих при изготовлении железобетонных изделий на заводах и полигонах.
1.2. Снижение общих вибраций рабочих мест до уровня, допускаемого санитарно-гигиеническими требованиями производится с целью устранения вредного действия вибрации на здоровье людей. <1>
--------------------------------
<1> См. "Санитарные нормы проектирования промышленных предприятий"
(СН 245-71) Госстроя СССР, Стройиздат, 1972.
Для вновь проектируемых и реконструируемых предприятий железобетонных изделий основными мероприятиями по снижению вредных вибраций являются:
а) выбор технологической схемы производства, типа оборудования и его компоновка, при которых эффект динамического действия нагрузок на рабочие места и конструкции здания был бы наименьшим, ограниченным участками, примыкающими к машине; более широкое применение автоматизации технологических процессов; использование оборудования, виброизоляция которого предусмотрена при его изготовлении на заводе-изготовителе; применение оборудования с дистанционным управлением;
б) учет характера динамического воздействия нагрузок при проектировании с целью обеспечения необходимого конструктивного решения здания (динамический расчет несущих конструкций);
в) разработка способов уменьшения колебаний конструкций, воспринимающих динамические нагрузки (виброизоляция оборудования, уравновешивание и др.).
Для действующих предприятий железобетонных изделий основными мерами по устранению вредных вибраций являются:
а) организационно-технические мероприятия, обеспечивающие нормальный режим эксплуатации оборудования, его планово-предупредительный ремонт с сохранением паспортных характеристик, выполнение требований технологического процесса и правил техники безопасности;
б) виброизоляция оборудования, являющегося источником возбуждения колебаний;
в) устройство пассивно-виброизолированных площадок на рабочих местах с повышенной вибрацией.
Примечание. Пассивная виброизоляция рабочих мест вблизи формовочных установок, а также установок, которые могут быть виброизолированы, применяется лишь как временная мера до устройства активной виброизоляции.
1.3. Уменьшение колебаний строительных конструкций возможно следующими путями:
а) изменением жесткости конструкций;
б) изменением массы фундамента машины и площади его подошвы;
в) виброизоляцией оборудования;
г) изменением расположения оборудования;
д) уравновешиванием, балансировкой и изменением числа оборотов машины, а также устройством гасителей колебаний.
1.4. Амплитуды колебаний несущих конструкций зданий и фундаментов под оборудование с динамическими нагрузками определяются соответствующим динамическим расчетом по действующим нормативным документам проектирования конструкций; в случаях превышения вычисленных амплитуд колебаний, допускаемых санитарно-гигиеническими требованиями, надлежит принимать меры по уменьшению колебаний.
В числе нормативных документов, кроме настоящих Рекомендаций и Инструкции СН 190-61, которыми следует руководствоваться при проектировании и расчете, следующие:
а) для виброизоляции оборудования - "Руководство по проектированию виброизоляции машин и оборудования" (ЦНИИСК им. Кучеренко. М. Стройиздат, 1972);
б) для перекрытий, площадок и здания в целом - "
Инструкция по расчету несущих конструкций промышленных зданий и сооружений на динамические нагрузки" (ЦНИИСК им. Кучеренко. М. Стройиздат, 1970);
"Инструкция по мерам борьбы с вибрационными воздействиями технологического оборудования при проектировании зданий и сооружений промышленности нерудных строительных материалов" (ЦНИИСК им. Кучеренко. Стройиздат, 1968);
в) для фундаментов - СНиП глава II-Б.7-70 "Фундаменты машин с динамическими нагрузками. Нормы проектирования".
1.5. Виброплощадки и формующие машины должны иметь габариты (без выступов в стороны) по ширине, не превышающие размеры формы изготовляемых изделий более чем на 30 - 50 см; в противном случае формы должны устанавливаться на виброплощадки таким образом, чтобы обслуживающий персонал мог свободно подходить к формуемому изделию, не касаясь при этом вибрирующих частей установки.
Расположение виброплощадки должно назначаться с таким расчетом, чтобы рабочий мог работать, не поднимаясь на виброплощадку.
Приямки у виброплощадки должны быть минимальными по ширине.
Перекрытия приямков рекомендуется устраивать из достаточно жестких железобетонных плит. Практика перекрытия приямков рифленкой или деревянным настилом показала, что такие перекрытия имеют повышенные, часто недопустимые, колебания.
1.6. Обслуживающие площадки, устраиваемые для удобства работы вокруг виброагрегатов, рекомендуется выполнять из сборного железобетона. Перекрытия площадок следует делать из сборных железобетонных плит (см.
п. 1.5).
1.7. Крепление обслуживающих площадок к вибрирующим частям машин не допускается. Между конструкциями зданий и обслуживающими площадками, с одной стороны, и вибрирующими механизмами, с другой, необходимо устройство разделяющих швов.
1.8. Ремонт машин и оборудования, возбуждающих вибрации рабочих мест, должен производиться без изменения их проектных динамических характеристик (без изменения величины дебалансов, жесткостей пружин и т.п.). После ремонта машины и оборудование не должны возбуждать вибрации рабочих мест, превышающие допускаемые.
1.9. Разравнивание бетонной смеси при вибрировании должно производиться с помощью автоматизированных устройств, исключающих непосредственное участие рабочих в этой операции.
Разравнивание вибрируемой бетонной смеси в форме лопатами в процессе вибрации запрещается.
На действующих неавтоматизированных виброагрегатах допускается разравнивание вибрируемой бетонной смеси с помощью специальных скребков снабженных виброизолированными рукоятками.
1.10. Пребывание рабочих на вибрирующих частях машин и установок, вибрации которых необходимы по технологическим условиям производства, запрещается. Уровень вибраций рабочих площадок, устраиваемых на машинах и различных механизмах, также не должен быть вредным для здоровья людей.
1.11. Применение для упругих опор виброплощадок и виброизоляции оборудования кусков конвейерных лент как отдельными листами, так и в виде пакета не обеспечивает необходимой степени виброизоляции и приводит, как правило, к повышенным недопустимым вибрациям рабочих мест.
В связи с указанным применение кусков конвейерных лент в качестве упругих опор виброплощадок, а также для виброизоляции другого оборудования не допускается (см.
п. 4.1).
2. ДИНАМИЧЕСКИЕ НАГРУЗКИ ОТ СТРОИТЕЛЬНЫХ МАШИН И МЕХАНИЗМОВ
2.1. На заводах железобетонных изделий применяется большое количество разнообразных машин и механизмов (виброплощадки, бетоносмесители, раздаточные бункера, дозаторы, транспортеры и др.).
В настоящем разделе приводятся некоторые рекомендации по определению динамических нагрузок от строительных машин, а также перечисляются характеристики машин, необходимые для динамического расчета строительных конструкций и виброизоляции машин <1>.
--------------------------------
<1> См. также "
Рекомендации по экспериментальному определению динамических характеристик машин предприятиями машиностроительной промышленности" ЦНИИСК, 1972.
Сведения о необходимых характеристиках машин позволят проектировщикам зданий и сооружений получить у заводов-изготовителей машин данные о них для динамического расчета конструкций и решения вопроса о рациональных методах уменьшения вредных вибраций.
2.2. Для возможности динамического расчета строительных конструкций и разработки рациональных мероприятий по уменьшению вредного действия вибраций на здоровье людей, прочность и устойчивость сооружений, нормальное прохождение технологического процесса (для технологических процессов, предъявляющих определенные ограничения к уровню вибраций) необходимы следующие динамические характеристики машин:
1) краткая характеристика режима работы машины и вида динамического воздействия;
2) величина, направление и точка приложения динамической нагрузки (средней или нормативной) от машины при различных режимах ее работы в условиях нормальной эксплуатации, отвечающей техническим требованиям (при полной и частичной загрузке, при холостом ходе и т.п.);
3) закон изменения нагрузки во времени при стационарном и пуско-остановочном режимах работы машины;
4) число оборотов вращающихся частей машины или число циклов возвратно-поступательно движущихся деталей;
5) вес машины, веса и основные размеры движущихся частей;
6) значения наибольшей динамической нагрузки при аварийных и особых условиях работы машины с учетом возможности отклонения от принятых средних значений, действительных весов и размеров движущихся частей, эксцентрицитетов, рабочего числа оборотов машины и т.п.;
7) положение центра тяжести машины;
8) моменты инерции машины относительно центральных осей;
9) скорость нарастания и убывания числа оборотов машины при ее пуске и остановке;
10) основные габариты машины и габариты опорных частей.
Примечания: 1. Динамические нагрузки от оборудования составляются на основании анализа работы машины, расчетов по данным о кинематике движения деталей машины и их массах, а также экспериментального определения на специальных стендах.
Для номинально уравновешенных машин (электродвигатели, вентиляторы и другие сбалансированные машины) определение динамических нагрузок расчетом производится по допускам для балансировки с учетом реальной возможности разбалансировки при эксплуатации. Для неуравновешенных машин (виброплощадки, бетоносмесители, вибрационные центрифуги и т.п.) расчет динамической нагрузки производится по данным о подвижных массах с учетом возможных допусков.
2. По вопросам определения динамических нагрузок от промышленного оборудования см. "
Инструкцию по определению динамических нагрузок от машин, устанавливаемых на перекрытиях промышленных зданий", разработанную ЦНИИСК им. Кучеренко Госстроя СССР (Стройиздат, 1966).
2.3. При проектировании специализированными организациями механизмов и установок (например, виброформ, кассет, индивидуальных виброплощадок и т.п.), возбуждающих динамические воздействия, нельзя допускать распространения вибраций на опорные и примыкающие строительные конструкции, а также на рабочие места операторов этих механизмов. В процессе опытной доводки механизмов и установок необходимо обращать особое внимание на уменьшение динамических воздействий, передающихся на примыкающие строительные конструкции и рабочие места, а также определять динамические характеристики механизмов и установок.
В паспорта указанных машин и механизмов проектная организация, ведущая разработку, должна включать данные о динамических нагрузках и характеристиках в соответствии с
п. 2.2 настоящих Рекомендаций.
2.4. При динамическом расчете конструкций различают нормативные и расчетные значения динамических нагрузок.
Нормативные величины динамических нагрузок от машин принимаются по среднестатистическим значениям параметров, определяющим динамические нагрузки, или по проектным значениям масс и геометрических размеров движущихся частей машины в соответствии с ее кинематической схемой и режимом движения.
Расчетная динамическая нагрузка вычисляется путем умножения нормативной динамической нагрузки на коэффициент перегрузки Kд, значение которого приведено в табл. 1.
Таблица 1
Значения коэффициента перегрузки Kд
Тип машины | Коэффициент перегрузки Kд |
С конструктивно неуравновешенными движущимися частями | 1,3 |
С номинально уравновешенными, а фактически неуравновешенными движущимися частями | 4 |
2.5. Для большинства машин динамические нагрузки изменяются во времени по гармоническим и периодическим негармоническим законам. Однако некоторые строительные машины и механизмы наряду с указанными видами динамических воздействий на отдельных этапах работы возбуждают импульсивные нагрузки, например, в результате достаточно быстрого загружения или разгружения, свободного падения материалов, толчков и ударов.
Равномерно вращающиеся и возвратно-поступательно движущиеся части машин возбуждают гармонические динамические нагрузки, амплитуда которых определяется центробежной силой

, (1)
где m - масса вращающихся или возвратно-поступательно движущихся частей машины;
r - эксцентрицитет вращающихся масс или амплитуда поступательного перемещения центра масс;

- круговая частота вращения вала машины в сек
-1;
n0 - число оборотов вала машины в 1 мин.
При периодическом негармоническом законе изменения во времени динамическая нагрузка равна:
P(t) = P(t + T), (2)
где T - период изменения силы P(t). Эффект действия силы P(t) определяется суммарным эффектом действия гармонических составляющих:

(3)
k = 1, 2, 3,..., n.
Гармонические составляющие определяются из разложения периодической силы P(t) в тригонометрический ряд Фурье

. (4)
Здесь:
k = 0, 1, 2,..., n;
k = 1, 2, 3,..., n;

;

.
Действие каждой составляющей силы

в пределах упругой стадии работы конструкции при линейных колебаниях можно рассматривать независимо друг от друга.
2.6. Схема действия инерционных сил на несущие строительные конструкции принимается по монтажным чертежам оборудования. Характеристики и численные значения динамических нагрузок определяются типом машины и характером связи ее с поддерживающими конструкциями (при жесткой связи динамические нагрузки передаются полностью, а при гибкой связи с применением виброизоляции динамические нагрузки передаются частично).
Нагрузки от механических вибраторов
2.7. Нормативная динамическая нагрузка (центробежная сила), возбуждаемая механическими вибраторами с вращающимися эксцентричными массами (дебалансами) без сдвига фазовых углов между массами, определяется выражением

, (5)
где
Ki =
qiri - кинетический момент
<1> i-го вибратора в кгс·см;
qi - вес эксцентрично насаженной i-й массы (дебаланса) в кгс;
ri - расстояние от оси вращения до центра тяжести дебаланса в см;
n - число вибраторов;
g = 981 см/сек2 - ускорение силы тяжести;

- угловая скорость вращения вибратора в сек
-1 (круговая частота);
n0 - число оборотов вибратора в 1 мин;
f0 - число оборотов вибратора в 1 сек.
--------------------------------
<1> В литературе называется также иногда статическим моментом дебаланса.
Механические вибраторы с вращающимися эксцентричными массами (дебалансами) возбуждают центробежную силу, изменяющую свое направление в плоскости вращения дебаланса.
Вертикальная и горизонтальная составляющие возмущающей центробежной силы вибратора с односторонними дебалансами изменяются по гармоническому закону, а именно: горизонтальная составляющая

; вертикальная составляющая

, где
t - время в сек (рис. 1, а). Такие вибраторы, называемые одновальными, возбуждают колебания центра тяжести установки в плоскости вращения дебаланса по эллиптической или круговой траектории.
Рис. 1. Схема установки дебалансов (эксцентриков)
механических вибраторов
а - вибратор с односторонним дебалансом ненаправленного
действия; б - вибратор направленного действия с синхронно
вращающимися в противоположные стороны валами, возбуждающими
вертикальную гармоническую возмущающую силу
Расчет производится на максимальное (амплитудное) значение возмущающих сил
NV = N; NH = N,
при этом сила
NH сдвинута по фазе относительно силы
NV на

.
Для получения направленного действия вибраций устраивают часто двухвальные вибраторы с дебалансами, синхронно вращающимися в противоположные стороны. При расположении дебалансов согласно
рис. 1, б горизонтальные составляющие центробежных сил уравновешиваются, а вертикальные складываются. Такие вибраторы часто применяются в виброплощадках для возбуждения вертикальных гармонических колебаний всей площадки. В этом случае центр тяжести установки, центр жесткости упругих опор и центр тяжести площади подошвы фундамента должны находиться на вертикальной линии, совпадающей с линией действия возмущающей силы. В противном случае помимо поступательных вертикальных колебаний возникают также вращательные колебания относительно центра тяжести установки.
3. ПРОЕКТИРОВАНИЕ ФУНДАМЕНТОВ ПОД ВИБРАЦИОННОЕ ОБОРУДОВАНИЕ
ДЛЯ ФОРМОВАНИЯ БЕТОННЫХ И ЖЕЛЕЗОБЕТОННЫХ ИЗДЕЛИЙ
3.1. Настоящий раздел составлен в дополнение СНиП II-Б.7-70 <*> и распространяется на проектирование фундаментов под виброплощадки и формовочные установки, возмущающие силы которых изменяются по синусоидальному закону. При этом предполагается, что фундамент симметричен относительно вертикальной плоскости, проходящей через продольную ось машины.
--------------------------------
<*> См. СНиП часть II, раздел Б, глава 7. Фундаменты машин с динамическими нагрузками. Нормы проектирования, § 1. Общие положения § 6. Фундаменты формовочных машин для производства сборного железобетона. Стройиздат, 1971.
Наиболее широкое применение для формования бетонных и железобетонных изделий в настоящее время получили установки с вертикально направленными колебаниями, с круговыми колебаниями <1> и с горизонтально направленными продольными колебаниями.
--------------------------------
<1> При различной жесткости опорных пружин в вертикальном и горизонтальном направлениях возникают не круговые, а эллиптические колебания центра тяжести установки с большей амплитудой колебаний в направлении меньшей жесткости пружин.
Вертикально или горизонтально направленные колебания центра тяжести установки возбуждаются при синхронном вращении в противоположные стороны одинаковых дебалансов. Такие колебания характерны для двухвальных виброплощадок с синхронизатором и площадок с горизонтальными колебаниями.
Круговые колебания центра тяжести установки обычно возбуждаются при вращении одного или нескольких дебалансов в одну сторону. Круговые колебания характерны для одновальных виброплощадок и двухвальных без синхронизатора.
Примечания: 1. При негармоническом законе изменения вертикально направленной периодической силы функцию, выражающую зависимость возмущающей силы от времени, следует разложить в ряд Фурье и учитывать первый член этого ряда.
2. При вибрировании изделия виброщитом или вибровкладышами, на которых обычно устанавливаются вибраторы ненаправленного действия с вращающейся возмущающей силой, следует иметь в виду, что горизонтальная составляющая возмущающей силы вибраторов виброщита передается на подъемную раму щита, а вертикальная составляющая - на вибрируемое изделие. В первом приближении можно считать, что горизонтальные составляющие возмущающих сил вибраторов вибровкладышей формовочной установки или виброплощадки гасятся в теле бетона и на опорные конструкции не передаются, а вертикальные составляющие возмущающих сил полностью передаются на вибрируемое изделие и опорные конструкции.
3.2. Фундаменты виброагрегатов должны удовлетворять условиям прочности, устойчивости и экономичности, причем амплитуды вынужденных колебаний их не должны превосходить величин, устанавливаемых санитарно-гигиеническими условиями.
3.3. Определенные по расчетным формулам амплитуды вынужденных колебаний строительных конструкций aк, на которых находятся люди, не должны превышать допускаемой величины амплитуды колебаний [aк]

, (6)
где [aк] - допускаемая амплитуда колебаний строительной конструкции (пола, междуэтажного перекрытия, фундамента виброплощадки и др.);
[aр] - допускаемая амплитуда общих вибраций на рабочем месте по санитарным нормам;

- коэффициент, учитывающий ряд условностей расчетных схем и вычисления нагрузок, определяемый по табл. 2. При этом, если возмущающая нагрузка возбуждает чисто вертикальные колебания, а также при расчете без учета вращательных колебаний значения коэффициента

принимаются по первому случаю. При расчете с учетом вращательных колебаний фундамента - по второму случаю (табл. 2).
Таблица 2
Значения коэффициента

Характеристика конструкции | Коэффициент  при рабочей частоте |
> 25 гц | <= 25 гц |
|
первом | втором | первом | втором |
Постоянные вновь проектируемые фундаменты на заводах железобетонных изделий и постоянных полигонах | 0,25 | 0,35 | 0,5 | 0,7 |
Временные вновь проектируемые фундаменты на строительных площадках и временных полигонах | 0,5 | 0,7 | 0,7 | 0,8 |
Существующие фундаменты при оценке допустимости их колебаний по замерам | 1 | 1 | 1 | 1 |
Строительные конструкции междуэтажных перекрытий и полы промышленных зданий | 1 | 1 | 1 | 1 |
Задание на проектирование
3.4. Для проектирования фундаментов под формовочные установки и виброплощадки, а также оснований стендов для уплотнения бетона с помощью вибровкладышей, навесных вибраторов и т.п. необходимы следующие сведения:
а) технические характеристики установки, в том числе чертежи с указанием расположения анкерных болтов, закладных деталей, упругих опор, вибраторов, коммуникаций и др.; данные о весе неподвижных и подвижных частей, вспомогательных механизмов и оборудования (двигателей, виброщита, пустотообразователей, формы), а также бетона изделия; данные о числе вибраторов виброщита, вибровкладышей, наибольших амплитуд колебаний виброплощадки в рабочем режиме, жесткости упругих опор в вертикальном направлении и наименьшей частоте вибрирования бетона (при поличастотных установках);
б) технологические и эксплуатационные требования к фундаменту установки (необходимость устройства тоннеля или приямка для доступа к установке снизу, доступа к анкерным болтам и другим закладным деталям и т.п.);
в) данные о геологии и гидрогеологии участка и физико-механических свойствах грунтов основания;
г) привязка проектируемого фундамента к зданию и, в частности, к фундаментам последнего.
Указания по проектированию
3.5. Фундаменты под формовочные машины и виброплощадки проектируются массивными в виде плит или блоков, заглубленных в грунт <1>, из бетона проектной марки не ниже 150, с необходимыми выемками, колодцами и отверстиями для размещения частей машины, оборудования и коммуникаций.
--------------------------------
<1> В случае применения виброизоляции и соответствующего обоснования расчетом допускается установка виброплощадок на междуэтажных перекрытиях или при установке на первом этаже на усиленную бетонную подготовку без устройства фундаментов, заглубленных в грунт.
Основные размеры фундамента определяются: размерами установки и расположением опорных устройств; длиной анкерных болтов, расположением и размерами тоннелей и каналов, проходящих в фундаменте; высотой надземной части фундамента и глубиной заложения его подошвы.
Размеры фундамента, определенные конструктивно, проверяются расчетом.
3.6. Глубину заложения фундаментов под виброагрегаты назначают в зависимости:
а) от размеров и конструкции фундамента, расположенных рядом с фундаментом каналов и приямков, глубины заложения фундаментов примыкающих установок и др.;
б) от геологических и гидрогеологических условий строительной площадки; при этом в случае установки машин под навесами или в неотапливаемых помещениях учитывают глубину промерзания грунта в соответствии с указаниями действующих норм проектирования естественных оснований.
Примечание. Глубину заложения фундаментов виброагрегатов назначают независимо от влияния вибраций основания на конструкции здания; расположение подошв фундаментов установок и здания на разных отметках практически не оказывает влияния на интенсивность передачи вибраций через грунт на здание, вызываемых работой установок (виброплощадок, формовочных машин, стендов).
3.7. Между фундаментами под виброплощадки, фундаментами под формовочные установки и конструкциями здания (фундаментами, площадками, полами и т.п.) следует устраивать осадочные швы.
3.8. Коммуникации, примыкающие к установке, не следует крепить жестко к фундаменту и конструкциям здания; в случае жесткого крепления необходимо предусматривать компенсирующие устройства.
3.9. Устройство рабочих мест непосредственно на фундаменте должно выполняться в виде жестких постаментов без гибких настилов (дощатых, из рифленой стали и т.п.). Однако, если колебания рабочих мест будут превышать допускаемые санитарными нормами, следует устраивать пассивно-виброизолированные площадки.
Устройство обслуживающих площадок допускается только в порядке исключения: при отсутствии связи с конструкциями установок и при условии пассивной виброизоляции рабочих мест, надежность которой подтверждается расчетом, а также при наличии технического и экономического обоснования целесообразности такого решения.
Примечание. При кассетном методе формования изделий обслуживающие площадки вокруг кассет должны обладать необходимой жесткостью и не должны иметь связей с конструкциями кассет. Устройство обслуживающих площадок, закрепленных на стенах кассетных форм, запрещается. Настилы обслуживающих площадок вокруг кассет следует устраивать из железобетонных плит.
3.10. Для уменьшения вибраций конструкций здания (стен, перекрытий, пола и т.д.), возникающих при работе формовочных установок, уплотнение бетона на которых производится поверхностной вибрацией и с помощью вибровкладышей, рекомендуется форму с изделием виброизолировать, устанавливая ее на упругие опоры, а не на жесткие (см.
пп. 4.4;
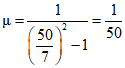
4.5). Коэффициент передачи для формы с изделием рекомендуется принимать равным:

, (7)
где

- круговая частота собственных вертикальных колебаний виброизолированной формы.
Расчет фундаментов
3.11. Расчет фундаментов под виброплощадки и формовочные установки сводится к проверке:
а) амплитуд вынужденных колебаний;
б) прочности отдельных немассивных элементов фундамента (консолей, балок, плит и т.д.), а также участков фундамента в местах передачи сосредоточенных нагрузок;
в) давлений, передаваемых фундаментом на грунт.
3.12. Расчет оснований под стенды сводится к проверке амплитуд вынужденных колебаний и давлений, передаваемых на грунт.
3.13. Назначение размеров фундамента и проверка амплитуд вынужденных колебаний производятся по нормативным нагрузкам, при этом давление на основание определяют только от статических нагрузок: веса фундамента, веса засыпки над его обрезами, веса установленного на фундамент оборудования и веса формуемого бетона.
3.14. Нагрузки на фундамент разделяются на постоянные и временные. К постоянным нагрузкам относятся: вес фундамента и грунта, лежащего на его обрезах, вес оборудования.
К временным нагрузкам относятся максимальные величины нагрузок, систематически возникающие при работе оборудования, а также монтажные нагрузки <1>.
--------------------------------
<1> Величины и распределение монтажных нагрузок указываются в технологическом задании.
3.15. Собственный вес фундамента и грунта, лежащего на его обрезах, определяют по предварительным размерам фундамента. Вес оборудования принимается по заданию на проектирование.
Нагрузку от веса оборудования принимают:
а) при определении давления на грунт - в виде сосредоточенных сил;
б) при проверке прочности в сечениях основного массива фундамента или отдельных элементов его - равномерно распределенной по фактической площади опирания оборудования.
3.16. Нагрузка на поддерживающую конструкцию от виброплощадки или формовочной машины с упругим опиранием включает нагрузку от неподвижных частей установки (опорные конструкции, вспомогательное оборудование и др.) и нагрузку от подвижных частей (стол виброплощадки, форма, виброщит, пустотообразователи, бетон изделия и т.п.).
Нагрузка от подвижных (подрессоренных) частей установки приложена в местах расположения упругих опор (опорных пружин). Она делится на статическую и динамическую.
Статическая нагрузка, передаваемая опорной конструкции, равна весу подвижных частей установки (включая вес изделия и формы).
Распределение веса подвижных частей установки между отдельными упругими опорами зависит от положения центра жесткости опорных пружин. При нахождении центра тяжести подвижных частей на одной вертикали с центром жесткости опорных пружин статическая осадка пружин будет одинаковой и определяется формулой

, (8)
где Qп.ч - вес подвижных частей установки в тс;

- коэффициент жесткости опорных пружин стола виброплощадки в вертикальном направлении в тс/м;
Kiп - коэффициент жесткости i-й опорной пружины стола виброплощадки в тс/м.
Нагрузка, передаваемая пружиной, будет определяться формулой

. (9)
При несовпадении центра тяжести с центром жесткости статическая осадка данной опорной пружины определяется формулой

, (10)
где

- статическая осадка опорной пружины в предположении, что центр тяжести находится на одной вертикальной линии с центром жесткости;

- статическая осадка опорной пружины в м, вызванная моментом
M =
Qп.чx; при этом знак плюс соответствует сжатию пружины;
x - расстояние между центром тяжести подвижных частей площадки и центром жесткости опорных пружин в м.
Нормативная динамическая нагрузка <1> на поддерживающую конструкцию определяется формулой
--------------------------------
<1> При жестком опирании формовочной машины на поддерживающую конструкцию передается вся динамическая сила, возбуждаемая вибраторами.

, (11)
где aп - амплитуда колебаний виброплощадки в рабочем режиме в м;

- наименьшая круговая частота вибрирования бетона, на которую рассчитана установка, в сек
-1;
f0 - наименьшая частота вибрирования бетона в гц;
n0 - наименьшее (при поличастотных вибраторах) число оборотов вибратора в 1 мин;

- круговая частота
<1> собственных вертикальных колебаний подрессоренной установки в сек
-1;

- масса подвижных частей установки в тс·сек
2/м;
g = 9,81 м/сек2 - ускорение силы тяжести.
--------------------------------
<1> Чем больше частота собственных колебаний площадки

, тем большая динамическая нагрузка передается на поддерживающую конструкцию.
б) Определение амплитуд вынужденных колебаний фундаментов
под виброплощадки или формовочные установки
3.17. Амплитуды вынужденных колебаний фундаментов определяются при наиболее невыгодном сочетании динамических нагрузок, возникающих при нормальном стационарном режиме эксплуатации. При этом динамические нагрузки определяются в предположении невыгодного сочетания фаз работы вибровозбуждающих механизмов (например, все механизмы работают в одной фазе; часть механизмов работает в противофазе и т.п.).
Виброплощадки с вертикально направленными колебаниями
3.18. При определении амплитуд вынужденных колебаний фундамента под виброплощадку или формовочную установку с вертикально направленными колебаниями следует различать следующие два случая установки виброплощадки на фундамент <1>.
--------------------------------
<1> Предполагается, что фундамент и виброагрегат симметричны относительно вертикальной плоскости, проходящей через продольную ось машины. Указанное означает, что центр тяжести неподвижных частей установки (фундамента, грунта на его обрезах, неподвижных частей виброплощадки и вспомогательного оборудования), центр тяжести площади подошвы фундамента, центр жесткости упругих опор виброплощадки и вертикальная составляющая равнодействующей возмущающих сил находятся в этой вертикальной плоскости.
Первый случай (
рис. 2, а). Центр тяжести неподвижных частей установки (
O2) и центр тяжести площадки подошвы фундамента (
O3) находятся на линии действия вертикальной составляющей равнодействующей возмущающих сил <2>, проходящей через центр жесткости опорных пружин виброплощадки (
O1).
--------------------------------
<2> Прохождение вертикальной составляющей равнодействующей возмущающих сил через центр жесткости опорных пружин обусловливается технологическими требованиями равенства амплитуд колебаний всех точек стола виброплощадки.
В случае, если вертикальная составляющая возмущающих сил не проходит через центр жесткости опорных пружин, то на фундамент виброплощадки помимо вертикальной силы передается возмущающий момент. Расчет фундамента при этом производится по второму случаю.
Рис. 2. Схемы установки на фундамент виброплощадок
с вертикально направленной возмущающей силой
а - первый случай опирания площадки на фундамент;
б - второй случай опирания на фундамент
Второй случай (
рис. 2, б). Центр тяжести неподвижных частей установки и центр тяжести площади подошвы фундамента (
O3) не находятся на линии действия вертикальной составляющей равнодействующей возмущающих сил.
При виброплощадках с вертикально направленными колебаниями в первом случае возникают чисто вертикальные колебания фундамента, а во втором случае помимо вертикальных колебаний возбуждаются вращательные колебания.
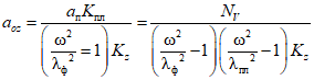
3.19. В первом случае установки виброплощадки с вертикально направленными колебаниями на фундамент все точки его колеблются в одной фазе с одинаковой амплитудой (чисто вертикальные колебания). Приближенное значение амплитуды колебаний a0z определяется по формуле

, (12)
где

- нормативная вертикальная составляющая возмущающих сил в тс, передающихся через упругие опоры на фундамент виброплощадки в предположении, что

;
K - кинетический момент дебалансов
<1> в тс·м;

- круговая частота собственных вертикальных колебаний фундамента в сек
-1;
Kz = FфCz - коэффициент жесткости естественного основания фундамента при равномерном сжатии в тс/м;
Cz - коэффициент упругого равномерного сжатия грунта основания фундамента виброплощадки в тс/м3, определяемый по СНиП II-Б.7-70;
Fф - площадь подошвы фундамента в м2;

- масса фундамента, грунта на его обрезах, неподрессоренных частей виброплощадки и вспомогательного оборудования в тс·сек
2/м;
Q = Qф + Qн.ч - вес неподвижных частей установки в тс;
Qф - вес фундамента и грунта на его обрезах в тс;
Qн.ч - вес неподрессоренных (неподвижных) частей виброплощадки и вспомогательного оборудования в тс.
--------------------------------
Более точное значение амплитуды вынужденных вертикальных колебаний фундамента виброплощадки aoz в м определяется по формуле
| | ИС МЕГАНОРМ: примечание. Формула дана в соответствии с официальным текстом документа. | |

. (13)
3.20. Амплитуды вертикальных вынужденных колебаний фундамента виброплощадки или формовочной машины во втором случае при несовпадении центра жесткости упругих опор с центром тяжести неподвижных частей установки определяются по формуле

, (14)
где
aoz - амплитуда вертикальных колебаний (в м) центра тяжести неподвижных частей установки, определяемая по
формуле (12) или
(13);

- амплитуда вращательных колебаний неподвижных частей установки в радианах относительно горизонтальной оси, проходящей через их центр тяжести перпендикулярно плоскости колебаний;
xoi - расстояние (в м) от центра тяжести вдоль оси (продольной оси площадки) до точки, амплитуда которой определяется.
Амплитуда вращательных колебаний

определяется по формуле

, (15)
где

- возмущающий момент в тс·м, равный моменту возмущающих сил, передающихся на фундамент, относительно горизонтальной оси, проходящей через центр тяжести неподвижных частей установки перпендикулярно плоскости колебаний;
ex - эксцентриситет возмущающих сил относительно центра тяжести в м.
При этом

. (16)
Здесь Kx = CxFф - коэффициент жесткости естественного основания фундамента при упругом равномерном сдвиге в тс/м;

- коэффициент жесткости естественного основания фундамента при упругом повороте подошвы фундамента относительно горизонтальной оси (неравномерное сжатие) в тс·м;
Cx,

- коэффициенты упругого равномерного сдвига и неравномерного сжатия грунта в тс/м
3, определяемые по СНиП II-Б.7-70;

- момент инерции массы фундамента, грунта на его обрезах и неподвижных (неподрессоренных) частей установки относительно оси, проходящей через центр тяжести перпендикулярно плоскости колебаний в тс·м·сек
2;

- наименьшая круговая частота вибрирования бетона в сек
-1;
h - расстояние от центра тяжести неподвижных частей установки (фундамент, грунт, оборудование) до подошвы фундамента в м.
Jф - момент инерции площади подошвы фундамента в м4.
Виброплощадки с продольными горизонтально
направленными колебаниями
3.21. Для виброплощадок с продольными горизонтально направленными колебаниями величина динамической горизонтальной силы, передающейся на фундамент, зависит от конструкции опор площадки.
а) При устройстве опор в виде подвижных катковых шарниров (
рис. 3, а) величина горизонтальной силы
Hтр, передающейся на фундамент при колебаниях виброплощадки, определяется силой трения качения шарниров по плоскости фундамента
где kтр - коэффициент трения качения шарниров;
Qп.ч - вес подвижных частей виброплощадки, изделия и формы.
Примечание. Для уменьшения горизонтальной силы, передающейся на фундамент при горизонтальных колебаниях виброплощадки, целесообразно уменьшать коэффициент трения. Применяющиеся иногда в практике упругие подкладки под цилиндрические катки опор из кусков транспортерных лент нерациональны, поскольку они приводят к передаче значительных горизонтальных сил на фундамент.
Рис. 3. Схемы установки на фундамент виброплощадок
с горизонтально направленными продольными колебаниями
а - на шарнирно-подвижных катучих опорах;
б - на шарнирно-подвижных катучих опорах с упругой
горизонтальной связью между виброплощадкой и фундаментом;
в - на шарнирных опорах с упругими горизонтальными связями
б) При шарнирно-подвижных катковых опорах и наличии упругой горизонтальной связи между виброплощадкой и фундаментом (
рис. 3, б) на фундамент передаются: горизонтальная сила, определяемая силой трения качения
(17), и горизонтальная сила от упругой связи
где Kxпр - коэффициент жесткости упругой горизонтальной (в направлении оси x) связи виброплощадки с фундаментом в тс/м;
aпл - амплитуда горизонтальных колебаний виброплощадки в м.
в) При упругих горизонтальных связях между виброплощадкой и фундаментом (например, в виде опор, обладающих горизонтальной упругостью,
рис. 3, в) на фундамент передаются горизонтальные силы, определяемые формулой

, (19)
где

- круговая частота (парциальная) собственных горизонтальных (продольных) колебаний виброплощадки в сек
-1;

- масса подвижных частей установки в тс·сек
2/м;
g - ускорение силы тяжести.
3.22. Амплитуда вынужденных колебаний i-й точки фундамента виброплощадки с продольными горизонтально направленными колебаниями определяется формулой

, (20)
где

- амплитуда вертикальной составляющей колебаний;

- амплитуда горизонтальной составляющей колебаний;
aox - амплитуда горизонтальных колебаний центра тяжести O2 фундамента и неподвижных (неподрессоренных) частей установки;

- амплитуда вращательных колебаний фундамента относительно горизонтальной оси, проходящей через центр тяжести
O2 фундамента и неподвижных частей установки, перпендикулярно плоскости колебаний в радианах;
xoi - расстояние (в м) вдоль оси x от центра тяжести фундамента до i-й точки фундамента, амплитуда перемещений которой определяется;
zoi - то же, вдоль оси z.
Величины
aox (в м) и

(в рад) вычисляются по формулам:

; (21)

, (22)
где Px - горизонтальная возмущающая сила, передающаяся на фундамент, равная:
а) для виброплощадок с шарнирно-подвижными катковыми опорами
Px = Hтр;
б) для виброплощадок с шарнирно-подвижными катковыми опорами и упругими горизонтальными связями
Px = Hтр + Hупр;
в) для виброплощадок с упругими горизонтальными связями
Px = Hупр;
M - возмущающий момент в тс·м, равный сумме момента от горизонтальных возмущающих сил Px относительно центра тяжести установки и момента от вертикальных подвижных нагрузок веса площадки, формы и изделия при их перемещениях
Zi - расстояние вдоль оси z от линии действия горизонтальной возмущающей силы Px до центра тяжести неподвижных частей установки в м;
Qп.ч - вес подвижных частей установки, формы и изделия в тс;
aпл - амплитуда горизонтальных колебаний виброплощадки в м.
Примечание. При амплитуде горизонтальных колебаний
aпл <= 1 мм влиянием момента от вертикальных подвижных нагрузок при вычислении момента по
формуле (23) можно пренебречь.
Виброплощадки с круговыми колебаниями
3.23. Амплитуда вынужденных колебаний
i-й точки фундамента виброплощадки с круговыми колебаниями
(рис. 4) определяется
формулой (20) при значениях:

- амплитуда вертикальной составляющей колебаний в м;

- амплитуда горизонтальной составляющей колебаний в м;
aoz - амплитуда вертикальных колебаний (в м) центра тяжести
O2 фундамента и неподвижных частей установки, определяемая
формулой (13), в которой принимается

; (24)
aox,

- амплитуды горизонтальных (в м) и вращательных (в радианах) колебаний фундамента, определяемые по
(21),
(22), в которых возмущающий момент принимается равным:

; (25)
Kzпр - коэффициент жесткости вертикальной (в направлении оси z) упругой связи (пружины) виброплощадки с фундаментом в тс/м;
Px - горизонтальная возмущающая сила (в тс), передающаяся на фундамент.
Остальные обозначения приведены на стр. 13 и 24.
Примечание. При установке виброплощадки на вертикальные цилиндрические пружины жесткость этих пружин в горизонтальном направлении определяется по графику
рис. 5.
Рис. 4. Схема установки на фундамент виброплощадки
с круговыми колебаниями
Рис. 5. График для определения жесткости пружины
в горизонтальном направлении
D - средний диаметр пружины; HP - рабочая высота пружины
под нагрузкой
P;

- деформация сжатия пружины
под вертикальной нагрузкой P; Kx' и Ky' - жесткости пружины
в горизонтальной плоскости в направлении x и y;
Kz' - жесткость пружины в вертикальном направлении
4. ВИБРОИЗОЛЯЦИЯ ОБОРУДОВАНИЯ
4.1. Одним из наиболее эффективных мероприятий по уменьшению вредных вибраций, передающихся строительным конструкциям здания и на рабочие места обслуживающего персонала, является активная виброизоляция оборудования, возбуждающего колебания <1>.
--------------------------------
<1> Виброизоляция строительных машин и установок, возбуждающих вибрации рабочих мест и конструкций здания, в настоящее время не получила еще достаточно широкого распространения. Этим в значительной степени объясняются повышенные вибрации на ряде предприятий строительной индустрии. Например, только отсутствием виброизоляции бетоносмесителей при установке их на междуэтажных перекрытиях объясняются сильные вибрации этих перекрытий.
При активной виброизоляции машина или установка, являющаяся источником возбуждения вибраций, опирается или подвешивается на поддерживающую конструкцию с помощью упругих элементов, называемых виброизоляторами. В результате упругого опирания доля динамической нагрузки, передающаяся опорной конструкции, уменьшается в несколько раз (иногда в несколько десятков раз) и колебания конструкции также уменьшаются во столько же раз.
Однако для достижения эффекта виброизоляции необходимо, чтобы виброизоляция была рассчитана и запроектирована с учетом условий ее эксплуатации.
Применение виброизоляции без расчета и надлежащего проектирования может в лучшем случае привести к напрасным затратам труда и средств в связи с незначительной эффективностью, а в отдельных случаях и к увеличению вибраций опорных конструкций.
При проектировании и расчете виброизоляции рекомендуется пользоваться: "Руководством по проектированию виброизоляции машин и оборудования" (ЦНИИСК им. Кучеренко, Стройиздат, 1972), "Инструкцией по мерам борьбы с вибрационными воздействиями технологического оборудования при проектировании зданий и сооружений промышленности нерудных строительных материалов" (ЦНИИСК им. Кучеренко. Стройиздат, 1968), а также указаниями настоящих Рекомендаций, в которых приведены отдельные данные о виброизоляции некоторых строительных машин и механизмов и возможные схемы их виброизоляции.
4.2. Виброизоляция может быть осуществлена в двух вариантах: а) "опорном" и б) "подвесном". При "опорном" варианте виброизоляторы устанавливаются под постаментом машины или установки (рис. 6,
8, б,
9), а при "подвесном" изолируемая машина подвешивается (
рис. 7,
8, а) на закрепленных выше подошвы постамента виброизоляторах, работающих на сжатие или растяжение. При преобладании горизонтальных возмущающих сил устройство виброизоляции возможно также в виде подвески машины на стержнях с шарнирными присоединениями ("качели"). В этом случае будут уменьшены только горизонтальные силы, передающиеся на опорную конструкцию, и моменты относительно вертикальной оси. Для уменьшения вертикальных составляющих возмущающих сил необходимо в конструкции стержней подвесок предусматривать упругие элементы.
Рис. 6. Схемы виброизоляции кассет для формования
вентиляционных панелей и блоков. Опорные варианты
с применением цилиндрических пружин сжатия
а - с железобетонным постаментом; б - с установкой
виброизоляторов под поддоном; 1 - неподвижный борт
с поддоном; 2 - разделительный борт; 3 - гребенка;
4 - вибраторы; 5 - виброизоляторы;
6 - железобетонный постамент
Рис. 7. Виброизоляция кассеты для формования
двухрядных блоков
1 - поддон; 2 - мостик крепления вибратора;
3 - кронштейн для крепления вибратора; 4 - виброизоляторы;
5 - опорная балка; 6 - подвеска
Рис 8. Схемы виброизоляции бетоносмесителей
а - подвесной вариант с применением цилиндрических пружин
сжатия; б - опорный вариант; 1 - рама бетоносмесителя;
2 - смесительный барабан; 3 - электродвигатель; 4 - опорная
подвесная рама, 5 - подвески; 6 - виброизоляторы;
7 - разгрузочная балка; 8 - корпус; 9 - опора корпуса
Рис. 9. Форма для изготовления железобетонных труб
на виброизолированном поддоне
А - схема установки; 1 - форма; 2 - вибратор, возбуждающий
круговые колебания с горизонтальной осью вращения дебаланса;
3 - жесткая железобетонная плита (поддон); 4 - деталь
для фиксации места установки формы и крепления ее к поддону;
5 - ограничители деформации пружин виброизоляторов
при отсутствии формы на поддоне; 6 - виброизолятор;
Б - сочетания на фазе центробежных сил нескольких
вибраторов; а - фазы совпадают; б - в противофазе;
в - сдвиг по фазе на

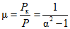
4.3. Эффективность виброизоляции машины (в вертикальном направлении) при гармонической возмущающей силе определяется коэффициентом передачи

, (26)
где Pк - амплитуда динамической силы, передающейся через виброизоляторы на поддерживающую конструкцию;
P - амплитуда возмущающей гармонической силы, действующей на установку;

- отношение круговой частоты вынужденных колебаний (круговой частоты возмущающей силы)

к круговой частоте собственных вертикальных колебаний

виброизолированной установки.
Отношение

должно удовлетворять условию

. (27)
Учитывая, что изготовление виброизоляторов, обеспечивающих частоту собственных колебаний ниже 2 гц, сопряжено со значительными техническими трудностями (для достижения частоты собственных вертикальных колебаний виброизолированной установки 2 гц статическая осадка пружины от веса постамента и машины должна быть равной примерно 6,3 см), при виброизоляции агрегатов с частотой возмущения меньше 500 кол/мин, как исключение, можно принимать

.
При подвесном варианте виброизоляции с шарнирными стержнями ("качели") машин с горизонтальными возмущающими силами в
формулу (26) вместо

подставляется значение

или

, т.е. круговые частоты собственных горизонтальных колебаний виброизолированной системы в направлении оси
X или
Y (в зависимости от направления действия возмущающей силы).
4.4. При изготовлении железобетонных изделий с помощью навесных вибраторов (
рис. 6,
7,
приложение 2), а также вибровкладышей форма с изделием должна устанавливаться на виброизоляторы.
При возбуждении вертикально направленных колебаний коэффициент передачи рекомендуется принимать равным:

;
при этом для уменьшения амплитуд горизонтальных колебаний установки необходимо стремиться к ее минимальной высоте.
Здесь

- угловая скорость вращения вибратора в сек
-1 (круговая частота);
n0 - число оборотов вибратора в 1 мин;
f0 - число оборотов вибратора в 1 сек;

- круговая частота собственных вертикальных колебаний формы с изделием, установленной на виброизоляторах, в сек
-1;

- масса подрессоренных частей и формы с изделием в тс·сек
2/м;
Kп - коэффициент жесткости виброизоляторов в тс/м;
Qп.ч - вес подрессоренных частей и формы с изделием в тс;
g = 9,81 м/сек2 - ускорение силы тяжести.
4.5. При формовании железобетонных труб и колец с помощью навесных вибраторов рекомендуется форму устанавливать на упруго опирающийся поддон. Поддоном в этом случае является жесткая железобетонная плита, опирающаяся на виброизоляторы
(рис. 9).
Для фиксирования установки формы на поддон и предупреждения ее подпрыгивания рекомендуется устраивать фиксирующие приспособления и крепление формы к поддону.
Расчет виброизоляции формы производится на наиболее неблагоприятные сочетания условий возбуждения центробежных сил всех вибраторов по фазе.
При возбуждении колебаний установки вибраторами ненаправленного действия с горизонтальной осью вращения наиболее неблагоприятными сочетаниями центробежных сил вибраторов по фазе являются следующие:
а) центробежные силы всех вибраторов совпадают по фазе;
б) центробежные силы части вибраторов (при четном количестве вибраторов 50%) находятся в противофазе;
в) центробежные силы части вибраторов сдвинуты по фазе на

.
4.6. При устройстве виброизоляции необходимо обеспечить контроль за работой виброизоляторов и их замену, а также предусмотреть меры защиты виброизоляторов от попадания на них бетона и загрязнения, нарушающих работу виброизоляторов.
5. ПАССИВНАЯ ВИБРОИЗОЛЯЦИЯ РАБОЧИХ МЕСТ И ПЛОЩАДОК
5.1. Пассивно-виброизолированное рабочее место или площадка (помост) представляет собой массивную плиту, установленную с помощью упругих опор на колеблющееся основание (пол цеха, междуэтажное перекрытие, перемещающаяся машина и т.п.).
5.2. Пассивная виброизоляция может применяться как при периодических, так и при непериодических вибрациях поддерживающего основания <1>.
--------------------------------
<1> При негармоническом законе изменения перемещения поддерживающего основания следует функцию, выражающую зависимость перемещения основания от времени, разложить в ряд Фурье и учитывать первый член этого ряда.
Наиболее часто встречаются гармонические или близкие к ним вибрации, которые возбуждаются механизмами с вращающимися неуравновешенными частями машин (вентиля горами, дебалансными валами виброплощадок и т.п.).
В зависимости от направления колебаний (вертикальные или горизонтальные) применяются различные виды виброизоляции. При вертикальных колебаниях применяются пассивно-виброизолированные площадки на упругих опорах, допускающих вертикальные перемещения (пружины сжатия или растяжения). При горизонтальных колебаниях применяются пассивно-виброизолированные площадки на шарнирных подвесках, допускающих горизонтальные перемещения площадки (рис. 10).
Рис. 10. Принципиальные схемы пассивной
виброизоляции площадок
а - при вертикальных колебаниях основания;
б и в - при горизонтальных колебаниях основания
(б - опорный вариант, в - подвесной вариант);
1 - пассивно-виброизолированная плита; 2 - виброизолятор;
3 - колеблющееся основание; 4 - направление колебаний;
5 и 6 - опорные стержни (5 - катки, 6 - подвески)
Для заводов сборного железобетона характерны вертикальные колебания рабочих мест со сравнительно небольшими амплитудами и большой частотой вынужденных колебаний. Поэтому обычно следует применять пассивно-виброизолированные площадки на вертикальных упругих элементах (
рис. 10, а). Следует, однако, иметь в виду, что помимо чисто вертикальных колебаний они допускают также вращательные колебания. При недостаточном весе плиты <1> и малом расстоянии между упругими опорами пассивно-виброизолированная плита будет зыбкой, и при перемещениях по ней будут возникать неприятные ощущения (см.
п. 5.5). В связи с указанным вес плиты и расстояние между упругими опорами следует обосновывать расчетом. Расчет виброизоляции является обязательным, так как применение пассивно-виброизолированных площадок (настилов) без расчета в некоторых случаях может привести вместо уменьшения колебаний к их увеличению.
--------------------------------
В дальнейшем везде рассматриваются только вертикальные колебания.
5.3. Исходными данными для проектирования пассивно-виброизолированных площадок (настилов) при гармонических колебаниях поддерживающей конструкции служат:
а) частота f0 и амплитуда aкz вынужденных колебаний поддерживающей конструкции в месте расположения пассивно-виброизолируемой площадки (рабочего места);
б) допускаемая амплитуда колебаний пассивно-виброизолируемой площадки a0z;
в) необходимые габариты площадки, вес оборудования, устанавливаемого на площадке, число одновременно находящихся на площадке людей.
5.4. Порядок расчета пассивно-виброизолированной площадки (помоста) следующий.
1. По частоте вынужденных колебаний f0 по санитарным нормам определяется допускаемая амплитуда колебаний пассивно-виброизолированной площадки a0z <2>.
--------------------------------
<2> При устройстве пассивной виброизоляции за допускаемую амплитуду колебаний в большинстве случаев принимают не предельную амплитуду, допускаемую по санитарным нормам, а в несколько раз меньшую, если последующие расчеты подтверждают техническую возможность и целесообразность получения пассивно-виброизолированной плиты с принятой амплитудой колебаний.
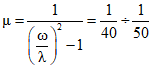
2. Определяется коэффициент передачи

, которым характеризуется эффективность применения виброизоляции.
Коэффициентом передачи называется отношение амплитуды колебаний a0z пассивно-виброизолированной плиты к амплитуде колебаний основания aкz, определяемое по формуле

, (28)
где f0 - частота вынужденных колебаний основания, определяемая числом оборотов источника возбуждения вибраций. При этом если число оборотов источника вибраций равно n0 об/мин, то частота вынужденных колебаний будет равна:

; (29)
fz - частота свободных вертикальных колебаний плиты, установленной на пружинах, в гц.
Как следует из
формулы (28), коэффициент передачи может быть определен по отношению амплитуд колебаний или по отношению частот. В последнем случае частоту
fz следует предварительно определить исходя из статической осадки пружин

и удобства эксплуатации пассивно-виброизолированной плиты. При этом следует иметь в виду, что эффективность виброизоляции будет тем большей, чем мягче (податливей) пружины (виброизоляторы), на которых установлена плита, и чем больше статическая осадка пружин. В то же время с точки зрения удобства эксплуатации площадки выгодно, чтобы пружины были достаточно жесткими, иначе плита при передвижениях по ней рабочих будет получать слишком большие перемещения и окажется зыбкой.
При практических расчетах часто задаются коэффициентом передачи

.
3. Определяется частота свободных вертикальных колебаний плиты

. (30)
На заводах железобетонных изделий применяются преимущественно вибраторы с числом оборотов в минуту порядка 1800 - 3000, возбуждающие вибрации с частотами порядка 30 - 50 гц.
При таких частотах вынужденных колебаний и указанных выше коэффициентах передачи

частоты свободных колебаний пассивно-виброизолированных площадок обычно принимают равными 5 - 7 гц.
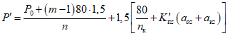
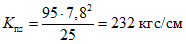
4. Определяется суммарная жесткость пружин
Kпz, на которых устанавливается плита по частоте собственных колебаний
fz при заданном весе плиты или статической осадке пружин:

, (31)
где Kпz - суммарная жесткость пружин, на которых установлена плита, в кгс/см;
P0 - вес плиты и установленного на ней оборудования в кгс
<1>;

- статическая осадка пружин в см, вызываемая установленной на них плитой и оборудованием, определяется по формуле

.
--------------------------------
<1> При определении веса
P0 для подсчета необходимой жесткости пружин допускается учитывать вес одного человека, принимаемый равным 80 кгс, с коэффициентом 0,75.
На рис. 11 приведен график зависимости частоты собственных вертикальных колебаний площадки от статической осадки пружин, вызываемой весом плиты и нагрузкой на нее.
Рис. 11. График зависимости между частотой
fz и статической
осадкой пружины

Следует иметь в виду, что для площадок, устанавливаемых на колеблющееся основание (пол цеха, междуэтажное перекрытие и т.п.), вес плиты должен превышать не менее чем в 2 - 3 раза вес рабочих, которые могут находиться на площадке.
5. Определяется жесткость одной пружины

при заданном числе пружин
n

. (32)
6. Проверяется деформативность виброизолятора при перемещениях человека по плите (см.
п. 5.5).
7. Определяется расчетная нагрузка на одну пружину

, (33)
где P0 - вес плиты и установленного на ней оборудования (без веса людей) в кгс;
n - общее число пружин, на которые устанавливается плита;
nк - число пружин, устанавливаемых в одном кусте (например, виброизолятора);
m - число людей, одновременно находящихся на плите;
aoz - амплитуда колебаний пассивно-виброизолированной плиты в см;
aкz - амплитуда колебаний основания в см.
Примечания: 1. В
формуле (33) коэффициентом 1,5 учитываются усталостные явления материала пружин.
2. Предполагается, что вес одного человека передается на один куст пружин, расположенных рядом (на один виброизолятор).
3. При пружинах с жесткостью каждая менее 500 кг/см и амплитудах колебаний основания
aкz менее 0,25 мм членом

в
формуле (33) можно пренебречь.
8. Производится расчет пружины по следующим формулам:
а) диаметр прутка d

, (34)
где
k - коэффициент, определяемый по графику на
рис. 12;

- отношение среднего диаметра пружины к диаметру прутка (индекс пружины); рекомендуется принимать значения в пределах от 4 до 10;
P' - расчетная нагрузка, приходящаяся на одну пружину, в кгс;

- допускаемое напряжение на срез (сдвиг) для материала пружины в кгс/см
2;
б) число рабочих витков i пружины

, (35)
где G - модуль упругости на сдвиг для материала пружины; для стали G = 8·105 кгс/см2;
в) число "мертвых" витков i2 принимается: i2 = 1,5 витка на оба торца пружины при i <= 7 и i2 = 2,5 витка при i > 7;
г) полное число витков пружины
д) высота ненагруженной пружины
H0 +
ih + (
i2 - 0,5)
d, (37)
где
h - шаг пружины, выбираемый в пределах 0,25 - 0,50
D; при расчете пружин, работающих на сжатие, отношение высоты незагруженной пружины к ее среднему диаметру должно быть не больше 1,5, т.е.

.
Рис. 12. График определения коэффициента
k
D - средний диаметр пружины; d - диаметр прутка
5.5. Осадка виброизолятора, на котором установлена пассивно-виброизолированная плита, при перемещениях по плите одного человека, вес которого принимается равным 80 кгс, не должна превышать 10 мм.
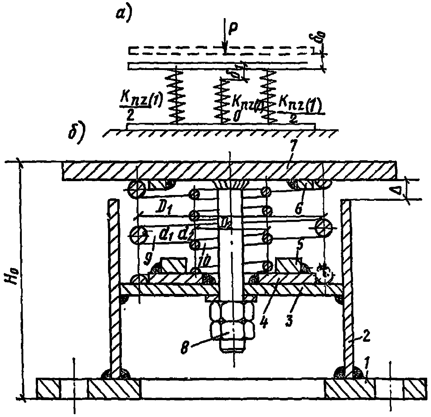
Если указанная осадка плиты будет более 10 мм, то рекомендуется виброизолятор устраивать из двух концентрических пружин, соединенных параллельно с зазором между опорными плоскостями пружин (рис. 13).
Рис. 13 Виброизолятор переменной жесткости
а - принципиальная, схема; б - конструктивная схема;
1 - нижняя опорная пластина; 2 - кожух виброизолятора;
3 - днище; 4, 5 и 6 - фиксирующие кольца; 7 - верхняя
опорная пластина; 8 - стяжной болт для предварительного
сжатия; 9 - пружина жесткостью Kпz(1); 10 - пружина
жесткостью
Kпz(2);

- деформация предварительного
сжатия;

- зазор между верхней опорной пластиной
и верхом пружины
Kпz(2);

- зазор между верхней
опорной пластиной (7) и кожухом виброизолятора (2);
принимается по конструктивным соображениям
При равномерном распределении нагрузки между отдельными виброизоляторами плита опирается на более мягкие пружины жесткостью
Kпz(1), а в случае, когда человек находится над данным виброизолятором
<1>, зазор

исчезает и подключается пружина большей жесткости
Kпz(2), т.е.
Kпz(1) <
Kпz(2). Величина зазора между верхними опорными плоскостями пружин должна быть такой, чтобы при равномерном распределении подвижной нагрузки на все виброизоляторы более жесткие пружины не включались в работу, так как в последнем случае коэффициент передачи

резко возрастет и степень виброизоляции окажется недостаточной. С другой стороны, зазор не должен быть слишком большим, чтобы не превысить допускаемой осадки виброизолятора при перемещениях человека по плите, т.е. должно соблюдаться следующее неравенство:

. (38)
--------------------------------
<1> Предполагается, что вес одного человека полностью воспринимается данным виброизолятором.
Статическая нагрузка, воспринимаемая пружиной виброизолятора с жесткостью Kпz(1), определяется формулой

. (39)
Статическая нагрузка, воспринимаемая пружиной с жесткостью Kпz(2), определяется формулой

; (40)
при этом

, (41)
где

- осадка пружины при предварительном сжатии
<1> в см;

- величина зазора (расстояние между нижней поверхностью плиты и верхней поверхностью пружины с жесткостью
Kпz(2)) в см;

- осадка пружин от статической нагрузки при совместном их деформировании в см;
P' - усилие, приходящееся на виброизолятор, в кгс;
Kпz(1) - жесткость первой пружины в кгс/см;
Kпz(2) - жесткость второй пружины в кгс/см.
--------------------------------
<1> Предварительное сжатие виброизолятора вызывается необходимостью обеспечить требуемую величину зазора и перемещение плиты не более 10 мм при передвижениях человека Величина осадки предварительного сжатия

должна обеспечивать свободу колебания виброизолированной плиты относительно положения статического равновесия плиты при нахождении одного человека на ней.
5.6. Пассивная виброизоляция площадок, подверженных случайным толчкам, должна иметь коэффициент неупругого сопротивления

. Такая величина коэффициента

может быть достигнута путем применения демпферов вязкого трения, воздушных демпферов и комбинированных виброизоляторов из стальных пружин и резиновых элементов.
5.7. При пассивной виброизоляции нельзя допускать возникновения сил сухого трения, препятствующих перемещениям изолируемой установки относительно поддерживающей конструкции.
6. РАСЧЕТ КОНСТРУКЦИЙ МЕЖДУЭТАЖНЫХ ПЕРЕКРЫТИЙ И РАЗГРУЗОЧНЫХ
БАЛОК НА ДИНАМИЧЕСКИЕ НАГРУЗКИ ОТ ОБОРУДОВАНИЯ
6.1. Расчет строительных конструкций междуэтажных перекрытий на действие динамических нагрузок от оборудования позволяет определить на стадии проектирования уровень вибраций этих конструкций, запроектированных по условиям статической прочности и устойчивости. Расчет рекомендуется производить в соответствии с инструкциями, указанными в
п. 1.4.
При динамическом расчете рекомендуется придерживаться следующей последовательности:
а) по заданию технологов и в соответствии с паспортом на оборудование определяются динамические нагрузки;
б) по данным о конструкциях вычисляются частоты и формы собственных колебаний
<1>;
в) определяются амплитуды динамических перемещений от действия нормативных динамических нагрузок и сравниваются с допускаемыми по санитарным нормам вибраций;
г) определяются амплитуды динамических и изгибающих моментов от действия расчетных динамических нагрузок;
д) проверяется несущая способность конструкций на совместное действие статических и динамических нагрузок.
--------------------------------
<1> Для однопролетных и равнопролетных неразрезных балок и плит с равномерно распределенной и сосредоточенной нагрузкой вычисление частот собственных колебаний рекомендуется производить по: "
Инструкции по расчету несущих конструкций промышленных зданий и сооружений на динамические нагрузки" (ЦНИИСК. Стройиздат, 1970) и "Инструкции по расчету перекрытий на импульсивные нагрузки" (ЦНИИСК. Стройиздат, 1966). В этих инструкциях приведены также подробные таблицы балочных функций.
В случае, если балка загружена тяжелыми, сосредоточенными грузами, по сравнению с которыми собственный вес балки мал, а также для приближенных расчетов она может рассматриваться как система с конечным числом степеней свободы. Частоты, формы собственных и амплитуды вынужденных колебаний таких балок могут определяться по формулам "Инструкции по расчету покрытий промышленных зданий, воспринимающих динамические нагрузки" (ЦНИИСК. Стройиздат. 1967).
6.2. В случае, если амплитуды колебаний превышают допускаемые, то их уменьшение возможно изменением (как правило, увеличением) жесткости конструкций или разработкой такого конструктивного решения перекрытия, при котором балки и плиты не будут испытывать непосредственно динамических воздействий от оборудования, а динамические нагрузки с помощью специальных разгрузочных балок будут передаваться на колонны и стены здания.
Следует отметить, что применение разгрузочных балок в сочетании с виброизоляцией является одним из наиболее эффективных способов уменьшения влияния динамических воздействий на междуэтажные перекрытия и снижения уровня вибраций перекрытий, являющихся рабочими местами для обслуживающего персонала.
Амплитуды вынужденных колебаний разгрузочных балок ограничиваются только их несущей способностью и предельно допустимым динамическим прогибом (п. 6.3).
6.3. Предельно допустимый динамический прогиб разгрузочных балок, не являющихся элементами перекрытий, колебания которых не ограничиваются требованиями санитарных норм и технологическими условиями, не должен превышать амплитуд колебаний, приведенных в табл. 3.
Таблица 3
Амплитуды колебаний разгрузочных балок, соответствующие
предельно допустимому динамическому прогибу
Частота в гц | Амплитуда в мм | Частота в гц | Амплитуда в мм |
1 | 25,0 | 10 | 0,25 |
2 | 6,4 | 15 | 0,2 |
3 | 2,8 | 20 | 0,125 |
4 | 1,6 | 25 | 0,1 |
5 | 1,0 | 50 | 0,05 |
6 | 0,7 | 75 | 0,034 |
8 | 0,4 | 100 | 0,025 |
6.4. При динамическом расчете разгрузочных балок следует различать три случая, характеризующие соотношение частот собственных колебаний балки и подвешенного оборудования.
1-й случай. При отношении частот

(42)
частоты собственных колебаний и амплитуда вынужденных колебаний разгрузочной балки определяются без учета массы подвешенного оборудования.
В
формуле (42) 
- наименьшая частота собственных колебаний разгрузочной балки без учета влияния подвешенного оборудования;
nв - частота собственных вертикальных колебаний подвешенного оборудования.
Частота

определяется в соответствии с "
Инструкцией по расчету несущих конструкций промышленных зданий и сооружений на динамические нагрузки" (ЦНИИСК. Стройиздат, 1970) по формуле

, (43)
где D = EJ - изгибная жесткость балки;

- коэффициент частоты;

- приведенная равномерно распределенная масса, отнесенная к единице длины балки (со всеми жестко присоединенными к ней массами);
l - пролет балки.
Частота nв определяется по формуле

, (44)
где mг - масса подвешенного оборудования;
Kв - коэффициент жесткости <1> всех подвесок, соединяющих оборудование с перекрытием.
--------------------------------
<1> Коэффициентом жесткости конструкции называется коэффициент, характеризующий упругость конструкции и численно равный величине силы, которая, будучи приложена к данной точке конструкции, вызывает перемещение ее, равное единице. Коэффициент Kв измеряется величиной вертикальной силы, приложенной к центру тяжести подвешенного оборудования и вызывающей единичное перемещение в точке приложения этой силы при неподвижном закреплении подвесок к опорной конструкции (разгрузочной балке).
2-й случай. При отношении частот

(45)
наименьшую частоту собственных колебаний балки рекомендуется определять по приближенной формуле

, (46)
где

- наименьшая частота собственных колебаний разгрузочной балки с учетом влияния массы подвешенного оборудования;

- коэффициент, характеризующий влияние упруго присоединенной массы подвешенного оборудования на частоту собственных колебаний балки.
Коэффициент

вычисляется по формуле

, (47)
где n1мин - частота собственных колебаний балки в предположении, что подвешенное оборудование жестко связано с балкой.
Частота n1мин определяется по формуле

, (48)
где

- приведенная погонная масса на балке от подвешенного оборудования в предположении жесткой связи его с балкой <1>.
--------------------------------
<1> При определении

принимается, что масса оборудования сосредоточена в точках присоединения подвесок к разгрузочной балке. Сосредоточенные массы, приходящиеся на каждую подвеску, находятся по правилу рычага.
В случае, если расстояние между подвесками оборудования меньше 1/6 пролета балки, то масса, приходящаяся на эти подвески, считается сосредоточенной в средней точке между подвесками. Подсчет приведенной погонной массы, определение амплитуд колебаний и проверка несущей способности производятся по Инструкции, указанной в
п. 1.4, "б".
3-й случай. При отношении частот

(49)
наименьшая частота собственных колебаний разгрузочной балки определяется по
формуле (48) в предположении, что оборудование жестко связано с балкой.
ОСНОВНОГО ТЕХНОЛОГИЧЕСКОГО ОБОРУДОВАНИЯ ЗАВОДОВ И ПОЛИГОНОВ
СБОРНОГО ЖЕЛЕЗОБЕТОНА И ДАННЫЕ О НОРМАТИВНЫХ ДИНАМИЧЕСКИХ
НАГРУЗКАХ, ВОЗБУЖДАЕМЫХ ЭТИМ ОБОРУДОВАНИЕМ <1>
--------------------------------
<1> Составлен Государственным институтом по проектированию предприятий промышленности строительных материалов Гипростройматериалы (инженерами Ф.Ф. Пороженко, Е.П. Дериченко, С.Г. Гершман).
В настоящем перечне приведены характеристики и нормативные динамические нагрузки для основного технологического оборудования, являющегося источником возбуждения вибраций при изготовлении железобетонных изделий.
В перечень включены не только так называемые средства вибрационной техники (виброплощадки, виброформы и др.), но и основные технологические машины, возбуждающие динамические нагрузки (бетоносмесители, центрифуги для формования железобетонных изделий и др.).
Перечень систематизирован по типам машин в виде таблиц, в которых приводятся краткие характеристики, а также нормативные динамические нагрузки, определенные расчетным путем.
Следует отметить, что перечень оборудования, а также данные о динамических нагрузках не претендуют на исчерпывающую полноту.
Динамические характеристики оборудования в ряде случаев являются ориентировочными, а иногда и вовсе отсутствуют, поскольку организации, проектирующие и изготовляющие оборудование, не указывают эти данные в паспортах оборудования.
При подсчете суммарных динамических нагрузок от вибрационного оборудования приняты также некоторые допущения. Например, суммарные возмущающие силы и кинетические моменты для машин, снабженных несколькими вибраторами, приведены в таблицах в предположении, что все вибраторы в какой-то момент работают синфазно или синхронно.
Оборудование и виброинструмент в предлагаемых таблицах обозначены двумя марками. Наряду с общеизвестными марками приведены новые. Старые марки обозначены в скобках.
Таблица 4
Вибраторы глубинные, электромеханические, ручные
Наименование параметров | Единица измерения | Значения параметров вибраторов |
ИВ-32 (С-825) | ИВ-33 (С-826) | ИВ-55 (С-975) | ИВ-56 (С-976) | ИВ-17 (С-727) | ИВ-25 (С-800) | ИВ-26 (С-801) | ИВ-27 (С-802) | ИВ-47 (С-922) |
Вибрационный механизм | - | Дебалансный | Планетарный |
Размеры вибронаконечника | диаметр | мм | 14 | 133 | 51 | 76 | 36 | 76 | 76 | 51 | 76 |
длина | " | 420 | 430 | 410 | 530 | 350 | 440 | 470 | 400 | 440 |
Вес | общий | кгс | 22 | 29 | 10 | 19 | 27 | 46 | 48 | 34 | 59 |
вибронаконечника | " | - | - | - | - | 1,8 | 8,7 | 9,9 | 4,4 | 8,7 |
электродвигателя | " | - | - | - | - | 14 | 16,5 | 16,5 | 14 | 16,5 |
Электродвигатель привода вибратора | конструктивное выполнение | - | Встроенный | Отдельно стоящий с гибким валом |
потребляемая мощность | квт | 0,6 | 1,1 | 0,27 | 0,8 | 0,8 | 1,2 | 1,2 | 0,8 | 1,2 |
скорость вращения ротора | об/мин | 5800 | 5800 | 11000 | 11000 | 2800 | 2800 | 2800 | 2800 | 2800 |
напряжение в сети | в | 36 |
частота тока | гц | 200 | 50 |
Максимальный кинетический момент дебалансов | кгс·см | 1,3 | 2,22 | 0,15 | 0,41 | 0,03 | 0,35 | 0,4 | 0,1 | 0,35 |
Характер колебаний | - | Круговые | Сложнокруговые |
Частота колебаний | кол/мин | 5800 | 5800 | 11 000 | 11 000 | 20 000 | 10 000 | 12 500 | 15 000 | 10 000 |
Нормативная возмущающая сила (максимальная) | кгс | 500 | 830 | 200 | 550 | 135 | 400 | 700 | 250 | 400 |
Назначение | - | Для уплотнения бетонных смесей |
Таблица 5
Вибраторы глубинные, электромеханические, подвесные <1>
--------------------------------
<1> Используются в виде вибропакетов, подвешенных на кранах.
Наименование параметров | Единица измерения | Значения параметров вибраторов |
ИВ-34 (С-827) | ИВ-11 (С-649) | В316-01 |
Вибрационный механизм | - | Планетарный (с внутренней обкаткой бегунка) |
Размеры вибронаконечника | диаметр | мм | 133 | 194 | 194 |
длина | " | 720 | 1500 | 2300 |
Вес вибратора | кгс | 120 | 230 | 350 |
Электродвигатель привода вибраторов | конструктивное выполнение | - | Вынесенный | Встроенный |
потребляемая мощность | квт | 3,2 | 4 | 4 |
скорость вращения ротора | об/мин | 1500 | 3000 | 3000 |
напряжение | в | 220/380 |
частота | гц | 50 |
Максимальный кинетический момент дебалансов | кгс·см | 2,8 | 8,3 | 8,3 |
Характер колебаний | - | Сложнокруговые |
Частота колебаний | кол/мин | 8000; 1420 | 5500; 740 | 5500; 740 |
Амплитуда колебаний (в воздухе) | мм | - | 1 | 1 |
Максимальная нормативная возмущающая сила | кгс | 2000 | 2800 | 2800 |
Назначение | - | Для уплотнения бетонной смеси в массивах |
Таблица 6
Вибраторы общего назначения, электромеханические
Наименование параметров | Единица измерения | Значения параметров вибраторов |
ИВ-19 (С-792) | ИВ-20 (С-793) | ИВ-21 (С-794) | ИВ-22 (С-795) | ИВ-24 (С-797) | ИВ-61 | ИВ-49 (С-967) | |
Вибрационный механизм | - | Дебалансный |
Конструктивная характеристика | - | Одновальный | Двухвальный | Одновальный |
Габаритные размеры | длина | мм | 275 | 310 | 405 | 420 | 510 | 435 | 420 | 950 |
ширина | " | 180 | 230 | 240 | 310 | 345 | 240 | 484 | 650 |
высота | " | 200 | 250 | 250 | 285 | 320 | 250 | 385 | 310 |
Вес (общий) | кгс | 12 | 20 | 25 | 51 | 80 | 32 | 110 | 43 |
Электродвигатель привода вибратора | потребляемая мощность | квт | 0,27 | 0,4 | 0,6 | 0,8 | 1,5 | 0,4 | 0,8 x 2 | 0,7 |
скорость вращения ротора | об/мин | 2 800 | 2 800 | 2 800 | 2 800 | 2 800 | 1 400 | 2 800 | 2 800 |
напряжение в сети | в | 220/380 | 36 |
частота тока | гц | 50 |
Максимальный кинетический момент дебалансов | кгс·см | 2,3 | 4,6 | 9,2 | 18,3 | 34,4 | 23 | 36,6 | 6,5 |
Характер колебаний | - | Круговые | Направленные | Круговые |
Частота колебаний вибратора | кол/мин | 2 800 | 2 800 | 2 800 | 2 800 | 2 800 | 1 400 | 2 800 | 2 800 |
Нормативная возмущающая сила (максимальная) | кгс | 200 | 400 | 800 | 1600 | 3 000 | 500 | 3 200 | 565 |
Назначение | - | Для уплотнения бетонных смесей, механизации выгрузки сыпучих и пр. | Для установки на транспортерах, вибропитателях и пр. | Для уплотнения бетонных смесей |
--------------------------------
<*> Вибратор ИВ-2 - поверхностный - выпускается в комплекте с плитой.
Таблица 7
Маятниковые вибраторы электромеханические, общего назначения
Наименование параметров | Единица измерения | Значения параметров вибраторов |
ИВ-35 (С-839) | ИВ-36 (С-840) | ИВ-38 (С-842) | ИВ-53 (С-971) | ИВ-63 (взамен С-485) |
Вибрационный механизм | - | Дебалансный |
Конструктивная характеристика | - | Одновальный |
Габаритные размеры вибратора | длина | мм | 275 | 390 | 470 | 495 | 510 |
ширина | " | 305 | 395 | 455 | 310 | 345 |
высота | " | 185 | 230 | 310 | 455 | 510 |
Вес | кгс | 15 | 32 | 85 | 94,2 | 130 |
Электродвигатель привода вибратора | конструктивное выполнение | - | Встроенный |
потребляемая мощность | квт | 0,27 | 0,4 | 0,8 | 0,8 | 1,5 |
скорость вращения ротора | об/мин | 2 800 |
напряжение в сети | в | 220/380 |
частота тока | гц | 50 |
Максимальный кинетический момент дебалансов | кгс·см | 2,3 | 4,6 | 18,3 | 18,3 | 34,3 |
Характер колебаний | - | Направленный |
Частота колебаний | кол/мин | 2 800 |
Нормативная возмущающая сила (максимальная) | кгс | 200 | 400 | 1600 | 1600 | 3000 |
Назначение | - | Для установки на вибропитателях, транспортерах и пр. | Для групповой работы на виброплощадках и пр. | - |
Таблица 8
Вибраторы пневматические, глубинные
Наименование параметров | Единица измерения | Значения параметров вибраторов |
ИВ-13 (С-697) | ИВ-14 (С-698) | ИВ-15 (С-699) | ИВ-16 (С-700) | ИВ-48 (С-923) |
Вибрационный механизм | - | Планетарный |
Размеры вибронаконечника | диаметр | мм | 34 | 50 | 75 | 110 | 133 |
длина | " | 315 | 315 | 375 | 480 | 350 |
Общая длина вибратора | " | 2470 | 2335 | 2525 | 1405 | 1250 |
Вес вибратора | кгс | 3,5 | 5,5 | 11,0 | 20,0 | 24,5 |
Пневматический привод бегунка | рабочее давление сжатого воздуха | кгс/см2 | 4 - 6 | 4 - 6 | 4 - 6 | 4 - 6 | 4 - 6 |
расход воздуха | м3/мин | 0,5 - 0,7 | 0,8 - 1,0 | 1,2 - 1,3 | 1,4 - 1,5 | 1,6 - 1,7 |
Максимальный кинетический момент дебалансов | кгс·см | 0,04 | 0,15 | 0,45 | 2,3 | 3,0 |
Характер колебаний | - | Сложнокруговой |
Частота колебаний | При работе в воздухе | высокая | кол/мин | 14000 - 18000 | 12000 - 18000 | 10000 - 16000 | 8 000 - 14 000 | 7 000 - 12 000 |
низкая | " | 2800 - 3600 | 2400 - 3600 | 2000 - 3000 | 1500 - 2600 | 1400 - 2400 |
При работе в бетоне | высокая | " | 12000 - 16000 | 10000 - 15000 | 8000 - 14 000 | 7000 - 12 000 | 6000 - 10 000 |
низкая | " | 2400 - 3200 | 2000 - 3000 | 1500 - 2700 | 1300 - 2200 | 1200 - 2000 |
Амплитуда колебаний (в нижней точке вибратора) | мм | 0,8 | 1,0 | 1,6 | 2,6 | 2,1 |
Нормативная возмущающая сила (максимальная) | кгс | 100 | 375 | 980 | 3700 | 3350 |
Назначение | - | Для уплотнения бетонных смесей |
Таблица 9
Вибраторы пневматические, прикрепляемые
Наименование параметров | Единица измерения | Значения параметров вибраторов |
ИВ-28 (С-819) | ИВ-29 (С-820) | ИВ-30 (С-821) | ИВ-31 (С-822) | С-876 (ВПН-1) | ИВ-64 |
Для формования напорных труб |
Вибрационный механизм | - | Планетарный |
Габаритные размеры | длина со шлангом | мм | 1300 | 1310 | 1305 | 1355 | - | - |
длина корпуса | " | 120 | 125 | 125 | 170 | 260 | 210 |
ширина | " | 70 | 95 | 140 | 180 | 200 | 250 |
высота | " | 38 | 54 | 78 | 116 | 180 | 272 |
Вес вибратора | кгс | 2,5 | 3 | 6 | 14 | 16 | 12,5 (19,5 с комплектом шланга и креплением) |
Привод бегунка | рабочее давление сжатого воздуха | кгс/см2 | 5 | 5 | 5 | 5 | 3 - 6 | 5 |
расход воздуха | м3/мин | <= 0,7 | <= 1 | <= 1,3 | <= 1,6 | 0,8 - 1,25 | 1,6 (при работе без нагрузки) |
Максимальный кинетический момент | кгс·см | 0,04 | 0,15 | 0,45 | 2,3 | 1,9 | 2,4 |
Характер колебаний | - | Сложнокруговые двухчастотные | Круговые, одночастотные | Сложнокруговые, двухчастотные |
Частота колебаний | высокая | кол/мин | 14 000 | 12 000 | 10 000 | 8000 | 4300 - 6000 при 3 кгс/см2, 7000 - 9000 при 6 кгс/см2 | 8000 +/- 20% при работе без нагрузки |
низкая | " | 2600 | 2500 | 2300 | 1300 | - | - |
| | ИС МЕГАНОРМ: примечание. При публикации в издании М., Стройиздат, 1972 допущен типографский брак. Цифра, не пропечатанная в официальном тексте документа, в электронной версии данного документа заменена символом "!". | |
|
Нормативная возмущающая сила (максимальная) | кгс | 87 | !40 | 500 | 1650 | 1720 при 9000 кол/мин | 1710 при 8000 кол/мин |
Назначение | - | Для уплотнения бетонных смесей; для механизированной выгрузки сыпучих и т.д. |
Таблица 10
Вибраторы двухтактные, электромагнитные
Наименование параметров | Единица измерения | Значения параметров вибраторов |
367-РМ | 411-РМ | 372-РМ | 382-РМ | 383-РМ | ГВК-1-08 |
Исполнение вибратора | - | Открытый с рессорной подвеской |
Исполнение вибродвигателя | - | Двухзазорный, возвратно-поступательного действия |
Габаритные размеры вибратора | длина | мм | 1095 | 1400 | 1740 | 1890 | 2180 | 1565 |
ширина | " | 710 | 840 | 960 | 1170 | 1470 | 1110 |
высота | " | 405 | 475 | 560 | 720 | 865 | 770 |
Вес | кгс | 510 | 740 | 1710 | 2700 | 3430 | 3040 |
Сила тока питающего (переменного) | " | 1,8 | 3,5 | 7,5 | 14,0 | 30,0 | 14,0 |
Сила тока возбуждения (постоянного) | " | 3,4 | 2,7 | 7,0 | 11,0 | 16,0 | 11,0 |
Мощность потребляемая | вт | 500 | 1000 | 2000 | 4000 | 8000 | 4000 |
Нормальный зазор электромагнита | мм | 1,5 | 1,6 | 1,8 | 2,1 | 2,7 | |
Коэффициент мощности | - | 0,7 - 0,8 | 0,8 - 0,9 |
Напряжение переменного тока питания | в | 380 |
Напряжение постоянного тока возбуждения | " | 24 |
Частота тока питания | гц | 50 |
Частота колебаний вибратора | " | 50 |
Размах колебаний рабочего органа (двойная амплитуда) | мм | 1,4 | 1,5 | 1,6 | 1,8 | 2,2 | 1,8 |
Назначение | - | Употребляются в качестве привода вибропитателей и пр. |
Таблица 11
Виброплощадки блочной конструкции
(из унифицированных виброблоков)
Наименование параметров | Единица измерения | Значения параметров виброплощадок |
СМЖ-63 (СМ-865) | СМЖ-64 (СМ-868) | СМЖ-200 (6691-С/1) | СМЖ-181 (6691/1СБ) | СМЖ-199 (7151/1С) | СМЖ-65 (5917) |
Максимальная грузоподъемность | тс | 2 | 8 | 15 | 15 | 24 | 10 |
Конструктивное выполнение | - | Из унифицированных блоков |
Тип вибровозбудителя | - | Центробежные, двухвальные со сменными дебалансами |
Количество виброблоков | шт. | 2 | 8 | 8 | 8 | 16 | 8 |
Способ крепления форм | - | Пневмоприжимы | Электромагниты |
Максимальный размер формуемых изделий (в плане) | м | 0,8 x 3 | 2 x 6 | 3 x 6 | 2 x 8 | 3 x 12 | 0,7 x 14 |
Габаритные размеры виброплощадки | длина | мм | 3860 | 7000 | 9704 | 10 674 | 14 634 | 16 984 |
ширина | " | 670 | 2330 | 2772 | 2600 | 2834 | 760 |
высота | " | 790 | 900 | 890 | 654 | 694 | 800 |
Вес виброплощадки | общий | кгс | 1040 | 4300 | 7480 | 6300 | 9500 | 5800 |
вибрирующих частей | " | 720 | 2900 | 4800 | 3100 | 640 | 4084 |
Электродвигатель привода виброплощадки | мощность | квт | 10 | 20 x 2 | 20 x 4 | 20 x 4 | 20 x 4 | 30 x 2 |
скорость вращения ротора | об/мин | 3000-200 |
Максимальный кинетический момент дебалансов | одного виброблока | кгс·см | 60 | 80 | 60 |
общий | " | 120 | 480 | 640 | 960 | 480 |
Характер колебаний | - | Гармонические, одночастотные, вертикально направленные |
Частота колебаний | кол/мин | 2800 | 2800 | 2800 | 2800 | 2800 | 292 |
Амплитуда колебаний | мм | 0,4 - 0,6 | 0,4 - 0,6 | 0,4 | 0,4 | 0,45 | 0,5 |
Нормативная возмущающая сила (максимальная) | на один виброблок | кгс | 5280 | 5280 | 7000 | 7000 | 5280 | 5700 |
общая | " | 10 560 | 42 240 | 56 000 | 56 000 | 84 480 | 45 500 |
Назначение | - | Для формования железобетонных изделий |
Таблица 12
Виброплощадки рамной конструкции
Наименование параметров | Единица измерения | Значения параметров виброплощадок |
СМ-475У | ДВ-21 | СМ-476Б | СМ-615КП | СМЖ-66 (6668/3Б) |
Максимальная грузоподъемность | тс | 2 | 3 | 5 | 10 | 8 |
Конструктивное выполнение | вибростолы | шт | 1 | 2 | 4 | 4 | 1 |
амортизаторы | - | На пружинных рессорах |
Вибровозбудитель (со сменными дебалансами) | тип | - | Двухвальные | Одновальные | Двухвальные | Одновальные |
количество | шт. | 2 | 4 | 8 | 8 | 6 |
Способ крепления форм | - | Клиновыми прижимами |
Максимальные размеры формуемых изделий (в плане) | м | 1,1 x 3 | 2,5 x 2,7 | 2,5 x 6 | 3,6 x 6,1 | 2,5 x 3 |
Габаритные размеры виброплощадки | длина | мм | 3770 | 3900 | 7020 | 7200 | 5260 |
ширина | " | 1100 | 2500 | 2500 | 3600 | 2685 |
высота | " | 975 | 935 | 955 | 880 | 1327 |
Вес | общий | кгс | 1530 | 2100 | 4100 | 5960 | 5126 |
вибрирующих частей | " | 1030 | - | 3000 | 4400 | 2400 |
Электродвигатель привода дебалансов | мощность | квт | 10 | 20 | 20 | 20 x 2 | 13 x 2 |
скорость вращения ротора | об/мин | 2890 | 2920 | 2920 | 2920 | 3000-200 |
Максимальный кинетический момент дебалансов | кгс·см | 160 | 160 | 320 | 640 | 270 |
Характер колебаний виброплощадки | - | Гармонические, одночастотные, вертикально направленные |
Частота колебаний | кол/мин | 2890 | 2920 | 2920 | 2920 | 2920 |
Амплитуда колебаний | мм | 0,4 - 1,0 | 0,3 - 0,45 | 0,3 - 1,0 | 0,3 - 0,6 | 0,37 |
Нормативная возмущающая сила (максимальная) | кгс | 15 000 | 15 000 | 30 000 | 60 000 | 25 300 |
Назначение | - | Для формования железобетонных изделий |
Таблица 13
Виброплощадки с горизонтально направленными колебаниями
Наименование параметра | Единица измерения | Значения параметров виброплощадок |
СМЖ-80 (7452) | СМЖ-198 (СМ-3010) | СМЖ-195 | СМЖ-196 |
Максимальная грузоподъемность | т | 8 | 15 | До 4 | 12 - 20 |
Конструктивное выполнение | - | С вынесенным отдельно вибровозбудителем |
Тип вибровозбудителя | - | Центробежные двухвальные со сменными дебалансами | Супергармонический | С двусторонними ударами |
Способ крепления форм | - | Зажим - грузорычажный; освобождение - гидравлическое | Клиновый с гидроприводом | Не требуется |
Габаритные размеры виброплощадки | длина | мм | 8310 | 8370 | 4220 | 1750 |
ширина | " | 2960 | 3200 | 2000 | 1310 |
высота | " | 1435 | 1435 | 1000 | 1050 |
Вес | общий | кгс | 5350 | 6400 | 3500 | 3650 |
колеблющихся частей | " | 575 | 934 | 1500 | 2060 |
Электродвигатель привода виброблока | мощность | квт | 7,7 | 14 | 22 | 20·2 = 40 |
скорость вращения ротора | об/мин | 3000 | 3000 | 1500 | 1500 |
Максимальный кинетический момент | кгс·см | 80 | 90 | 185 | 640 |
Характер колебаний | - | Гармонические одночастотные | Гармонические двухчастотные | Ударные (через резиновые про кладки) |
Частота колебаний | кол/мин | 3000 +/- 100 | 2600 +/- 100 | 1500 и 4500 | 1500 (двусторонних ударов) |
Амплитуда колебаний | мм | 0,4 - 0,6 | 0,15 (при 4500 кол/мин) 0,3 (при 1500 кол/мин) | 2 - 2,5 |
Нормативная возмущающая сила (максимальная) | кгс | 8000 | 6800 | | - |
Назначение | - | Для формования изделий из жестких бетонных смесей |
--------------------------------
<*> При частоте колебаний 1500 кол/мин.
Таблица 14
Виброплощадки с круговыми колебаниями
Наименование параметров | Единица измерения | Значения параметров виброплощадок |
10-22 С | 10-26 С | 651-02 |
Максимальная грузоподъемность | тс | 5 | 10 | 15 |
Конструктивное выполнение | вибростолы | - | Рамной конструкции |
амортизаторы | - | Пружинные опоры |
Тип вибровозбудителя | - | Одновальные со сменными дебалансами |
Способ крепления форм | - | Электромагнитный | Механический | Электромагнитный |
Размеры вибростола (в плане) | м | 2 x 6,6 | 2,8 x 4,2 | 1,6 x 8,4 |
Габаритные размеры | длина | мм | 6565 | 4200 | 8400 |
ширина | " | 1980 | 2800 | 2000 |
высота (без электродвигателя) | " | 1020 | 1025 | 880 |
Вес | общий | кгс | 7420 | 7100 | 13 200 |
в т.ч. вибрирующих частей | " | 6278 | 6565 | 11 400 |
Электродвигатель привода дебалансного вала | мощность | квт | 28 | 28 | 40 |
скорость вращения ротора | об/мин | 3000 | 2940 | 3000 |
Максимальный кинетический момент дебалансов | кгс·см | 290 | 320 | 640 |
Характер колебаний | - | Круговые |
Частоты колебаний | кол/мин | 3000 | 2940 | 3000 |
Амплитуда колебаний | мм | 0,4 |
Нормативная возмущающая сила (максимальная) | кгс | 29 230 | 30 980 | 64 500 |
Назначение | - | Для формования железобетонных изделий |
Таблица 15
Кассетные установки для изготовления плоских
железобетонных изделий
Наименование параметров | Единица измерения | Значения параметров кассет |
7412/1 | 7412/2 | 7412/3 | 7412/4 | 7412/5 | 7412/6 | 7412/7 |
Наименование формуемых изделий | - | Панели перекрытий | Внутренние стеновые панели | Внутренние перегородки |
Максимальные размеры формуемых изделий | длина | м | 5,7 | 5,7 | 5,62 | 5,8 | 5,6 | 5,73 | 5,73 |
ширина | " | 3,18 | 2,64 | 2,58 | 2,58 | 2,58 | 2,58 | 2,58 |
толщина | " | 0,1 | 0,1 | 0,12 | 0,12 | 0,14 | 0,05 | 0,05 |
Распалубочная машина к кассетам | марка | СМЖ-20 (7412/21) | СМЖ-21 (7412/22) | СМЖ-22 (7412/23) |
По кассете | Количество рабочих отсеков в кассете | шт. | 10 | 10 | 10 | 10 | 6 | 6 | 10 |
Максимальное рабочее давление пара в тепловых отсеках | ати | 0,6 |
Вибраторы (навесные) | существующие | тип | Электромеханические общего назначения ИВ-2 (С-414) |
перспективные | " | Электромеханические ИВ-68 (разработаны специально для кассетных установок) |
Количество вибраторов на кассете | шт. | 10 | 10 | 10 | 10 | 6 | 6 | 10 |
Габаритные размеры | Кассеты | длина | мм | 7050 |
ширина | " | 2588 | 2788 | 2412 | 2402 | 2432 |
высота | " | 3555 | 3035 |
Распалубочной машины (по типам машин) | длина | мм | 7130 |
ширина | " | 5740 |
высота | " | 2875 | 2355 |
Вес | Кассет (вибрирующих частей) | тс | 77,1 | 67,4 | 66,3 | 64,3 | 47 | 42,8 | 65,7 |
Распалубочной машины | " | 13,45 | 12,93 | 13,29 |
Бетона в изделиях (при максимальной раскладке) | " | 45,0 | 37,5 | 43,5 | 44,7 | 30,0 | 11,1 | 18,2 |
При одновременной работе всех вибраторов | Максимальная потребляемая вибраторами мощность | при С-414 | квт | 0,7 x 10 = 7,0 | 0,7 x 6 = 4,2 | 7,0 |
при ИВ-68 | " | 0,4 x 10 = 4,0 | 0,4 x 6 = 2,4 | 4,0 |
Максимальный кинетический момент | при С-414 | кгс·см | 6,5 x 10 = 65,0 | 6,5 x 6 = 39 | 65,0 |
при ИВ-68 | " | 23 x 10 = 230 | 23 x 6 = 138 | 230 |
Характер колебаний | - | Круговые |
Частота колебаний вибраторов | при С-414 | кол/мин | 2800 |
при ИВ-68 | " | 1400 |
Нормативная возмущающая сила (максимальная) | при С-414 | кгс | 565 x 10 = 5650 | 565 x 6 = 3390 | 5650 |
при ИВ-68 | " | 500 x 10 = 5000 | 500 x 6 = 3000 | 5000 |
Таблица 16
Стендовые силовые виброформы для длинномерных
Наименование параметров | Единица измерения | Значения параметров, N чертежей форм |
7520 | 3030 | 3081 | 74 | 73 |
Тип формы | - | Вибропоршневые | С навесными вибраторами |
Формуемое железобетонное изделие | наименование балки | - | Стропильные балки | Подстропильные балки | Стропильные балки |
серия чертежа | - | ПК-01-06 | ПП-01-01 | ПП-01-03 | ПК-01-06 | ПК-01-06 |
марка | - | 1Б4-18-3 | БПТ-18-3 | БПТ-4 | 1Б4-18-3 | 1Б4-12-1 |
длина | м | 18 | 18 | 12 | 18 | 12 |
Вибраторы | тип, марка | - | 4 В | С-413 |
местонахождение | - | Привариваются к поддону | Навешиваются на борта форм |
количество | шт. | 3 | 3 | 4 | 20 | 12 |
Количество пружинных амортизаторов под формой | " | 20 | 20 | 10 | 12 | 8 |
Габаритные размеры формы (без навесных вибраторов и без амортизаторов) | длина | мм | 21 611 | 22 920 | 15 250 | 19 820 | 13 820 |
ширина | " | 1 350 | 1 500 | 2 160 | 760 | 660 |
высота | " | 21 175 | 2 140 | 2 300 | 1 830 | 1 502 |
Вес | Железобетонного изделия | т | 9,1 | 12 | 12 | 9,1 | 4,2 |
Виброформы (без навесных вибраторов и амортизаторов) | " | 20,8 | 20 | 20 | 12,25 | 6,45 |
Максимальная потребляемая вибраторами мощность (при работе всех вибраторов) | квт | 5,5 x 3 = 16,5 | 5,5 x 3 = 16,5 | 5,5 x 4 = 22 | 0,4 x 20 = 8 | 0,4 x 12 = 4,8 |
Максимальный кинетический момент | на один вибратор | кгс·см | 45 | 4,5 |
при синхронной работе всех вибраторов | " | 135 | 135 | 180 | 90 | 54 |
Характер колебаний вибраторов | - | Круговые |
Частота колебаний вибраторов | кол/мин | 3000 | 2800 |
Нормативная возмущающая сила (максимальная) | на один вибратор | кгс | 4500 | 395 |
при синхронной работе всех вибраторов | " | 13 500 | 13 500 | 18 000 | 7900 | 4740 |

Рис. 14. Стендовые силовые виброформы для длинномерных
железобетонных изделий
вибропоршневые формы: а - 7520; б - 3030; в - 3081;
формы с навесными вибраторами: г - 74; д - 73;
1 - железобетонная балка; 2 - форма; 3 - навесной вибратор;
4 - вибратор под поддоном; 5 - виброизолятор
Таблица 17
Посты формования напорных железобетонных труб (способом
виброгидропрессования в вертикальном положении) (см.
рис. 9)
Наименование параметров | Единица измерения | Значения параметров для труб по их внутренним диаметрам |
500 | 700 | 900 | 1000 | 1200 | 1400 | 1600 |
Железобетонная труба | объем бетона | м3 | 0,53 | 0,87 | 1,17 | 1,42 | 1,98 | 2,66 | 3,28 |
вес бетона | т | 1,2 | 2,01 | 2,92 | 3,55 | 4,95 | 6,65 | 8,2 |
Данные по формовочному посту (при высоте форм 5640 мм) | чертеж формы | N | 6873/36 | 6873/46 | 6873/3Б | 6873/2Б | 6873/1Б | Опытные |
2422/25 | 2422/24 |
наружный диаметр формы | мм | 916 | 1156 | 1388 | 1510 | 1786 | 2024 | 2264 |
площадь опирания раструба формы (в плане) | м2 | 0,98 | - | - | 1,77 | 2,56 | 2,92 | 3,8 |
размер (в плане) железобетонной плиты поддона  | м2 | 1,55 x 1,55 | 1,9 x 1,9 | 3,2 x 2,2 |
вес формы | общий | кгс | 2900 | 3880 | 5952 | 6800 | 8509 | 11 629 | 14 558 |
в том числе | наружной формы | " | - | 1980 | 2972 | 3441 | 3829 | 5050 | 5406 |
сердечника | " | - | 1559 | 2620 | 2942 | 4020 | 5947 | 8377 |
резинового чехла | " | 139 | 196 | 243 | 278 | 340 | 380 | 420 |
Вес загрузочного конуса | " | 35 | 50 | 69 | 76 | 98 | 128 | 175 |
Навешены на форму вибраторы | Количество | шт. | 4 | 4 | 6 | 6 | 6 | 8 | 8 |
Тип | существующие | - | С-876 (ВПН-1) пневматические |
на перспективу | - | ИВ-64 | То же (взамен С-876) |
Характер колебаний | - | Сложнокруговой |
частота колебаний | С-876 | кол/мин | 4300 - 6000 при давлении 3 кгс/см2; 7000 - 9000 при 6 кгс/см2 |
ИВ-64 | " | 8000 +/- 20% |
Максимальный суммарный кинетический момент (всех вибраторов) | при С-876 | кгс·см | 7,6 | 11,4 | 15,2 |
при ИВ-64 | " | 9,6 | 14,4 | 19,2 |
Максимальная суммарная возмущающая сила (всех вибраторов) | при С-876 | кгс | 6880 | 10 320 | 13 560 |
при ИВ-64 | " | 6840 | 10 250 | 13 500 |
Таблица 18
Центрифуги для формования трубчатых железобетонных изделий
Наименование параметров | Единица измерения | Значения параметров центрифуг |
СМЖ-104 (7286/1) | СМЖ-106 (7286/3) | СМЖ-169 (576/1) опытная | 5П-273 |
Тип центрифуги | - | Роликовые | Клиноременные |
Количество опор в центрифуге | шт. | 2 | 2 | 4 | 3 |
Вид центрифугируемого железобетонного изделия | - | Цилиндрические безнапорные трубы | Конические опоры разные (Л П и др.) | Трубы разные |
Размерные данные | по центрифугируемому изделию | диаметр условного прохода | мм | 1000 - 1500 | 400 - 900 | Вершина 170 - 290, основание 490 | 800 - 900 |
максимальная длина | м | 5,2 | 5,2 | 13,5 | 5,2 |
по форме | диаметр бандажа | мм | 2020 - 2520 | 1100 - 1750 | 515 - 650 - 700 | - |
длина | м | 5,365 | 5,2 - 5,45 | 13,5 | 5,3 |
по центрифуге | диаметр роликов | мм | 800 | 800 | 400 | - |
габаритные размеры | длина | " | 5950 | 5800 | 12 540 | 6500 |
ширина | " | 4550 | 4000 | 3465 | 4756 |
высота | " | 3720 | 3020 | 1597 | 4100 |
Вес | центрифугируемого железобетонного изделия | тс | 4,75 - 8,13 | 0,77 - 3,9 | 1,13 - 1,82 | 4 |
формы | " | 5,43 - 7,9 | 2,4 - 4,7 | - | - |
центрифуги | " | 14,1 | 12,4 | 12,74 | 15,82 |
Электродвигатель привода вращения форм | мощность | квт | 125 | 75 | 27,7 максимальная | 75 |
скорость вращения ротора | об/мин | 1450 | 1450 | 485; 725; 960; 1450 | 1500 |
Скорость вращения форм | при распределении бетонной смеси (разгонная) | " | 48 - 60 | 79 - 145 | 163; 141; 121 | - |
при уплотнении бетонной смеси (рабочая) | " | 190 - 242 | 255 - 505 | 490; 420; 360 | максимальная 578 |
Таблица 19
Бетоносмесители и растворосмесители принудительного
действия (стационарные, циклические)
Наименование параметров | Единица измерения | Значения параметров смесителей |
С-355 | С-356 | С-773 | С-951 | С-289В (со скипом) | СБ-81 | СБ-79 |
Емкость | по загрузке | л | 500 | 1000 | 500 | 1200 | 325 | 1000 | 1000 800 |
по выгрузке | " | 330 | 660 | 330 | 800 | 250 | 800 | |
Емкость приведена для смесей | " | Бетонных | Растворных | Бетонных |
Растворных |
Рабочие органы смесителя | - | Противоточные (вращаются чаша и ротор с лопастями) | Вращается ротор с лопастями | Вращается горизонтальный вал с лопастями | Турбулентного действия | Вращается ротор с лопастями |
- | дополнительные планетарные лопасти |
Внутренний диаметр чаши | мм | 2200 | 2188 | 1800 | 2140 | 840 | 1200 | 2200 |
Длина корыта | - | - | - | - | - | 900 | - | - |
Габаритные размеры смесителя | длина | мм | 3170 | 3170 | 2200 | 2455 | 2455 | 2535 | 2600 |
ширина | " | 2360 | 2360 | 1970 | 2280 | 2035 | 1610 | 2375 |
высота | " | 1534 | 1585 | 2160 | 2795 | 2130 (со скипом) | 2030 | 2560 |
Вес | общий (машины) | кгс | 3920 | 4465 | 2000 | 4000 | 1380 | 2400 | 3445 |
смесительного органа | " | - | - | ~ 500 | 1000 | 172 | ~ 150 | 660 |
вращающейся чаши | " | - | - | - | - | - | - | - |
бетона или раствора | тс | ~ 1,0 | ~ 1,8 | ~ 1,0 | ~ 2,0 | ~ 0,5 | ~ 1,6 | ~ 1,8 |
Электродвигатель привода смесителя | мощность | квт | 10 | 14 | 14 | 28 | 4,5 | 40 | 28 |
скорость вращения ротора | об/мин | 980 | 750 | 1000 | 1500 | 1440 | 1470 | 1470 |
Скорость вращения смесителя | рабочего органа | " | 31,4 | 24,46 | 30 | 20 - 23 | 31,2 | 320 | 26 |
корпуса чаши | " | 6,73 | 5,26 | - | - | - | - | - |
Таблица 20
Бетоносмесители гравитационные, стационарные, циклические
Наименование параметров | Единица измерения | Значения параметров смесителей |
С-336Г (БП-330) | С-333Г С-333П | С-302 | С-230А-1А | СБ-84 | СБ-91 |
Емкость | по загрузке | л | 500 | 500 | 1200 | 2400 | 500 | 750 |
по выгрузке | " | 330 | 330 | 800 | 1600 | 330 | 500 |
Характер перемешивания | - | Свободное падение в опрокидных барабанах |
Загрузка бетоносмесителя | - | скипом | без скипа | скипом | без скипа |
Размеры | Наибольший диаметр барабана | мм | 1400 | 1400 | 1824 | 2400 | 1400 | 1400 |
Габариты машины | длина | " | 2575 | 2260 | 3725 | 3420 | 1930 | 1825 |
ширина | " | 2235 | 2180 | 2730 | 4180 | 1900 | 1950 |
высота | " | 1800 | 1920 | 2526 | 3230 | 1850 | 1850 |
то же, с поднятым ковшом | " | 2800 | - | - | - | 2675 | - |
| | ИС МЕГАНОРМ: примечание. При публикации в издании М., Стройиздат, 1972 допущен типографский брак. Цифра, не пропечатанная в официальном тексте документа, в электронной версии данного документа заменена символом "!". | |
|
Вес | Общий (машины) | кгс | 2000 | 1370 | 3817 | 8046 | 1300 | 1200 |
В том числе | вращающегося барабана) | " | 571 | 571 | 1812 | 3535 | 200 | 318 |
ковша скипа | " | 200 | - | - | - | 160 | - |
бетонной смеси | тс | 0,!2 | 0,82 | 2,0 | 4,0 | 0,82 | 1,25 |
Электродвигатель привода | вращения барабана | мощность | квт | 2,8 | 2,8 | 14,0 | 28,0 | 3,0 | 4 |
скорость вращения ротора | об/мин | 1420 | 1420 | 980 | 970 | 1440 | 1440 |
подъема ковша скипа | мощность | квт | 5,5 | - | - | - | 4,0 | - |
скорость вращения ротора | об/мин | 965 | - | - | - | 1440 | - |
Скорость вращения барабана | " | 18,3 | 18,2 | 17,0 | 12,6 | 18 | 18,2 |
Таблица 21
Бункера раздаточные для бетонной смеси
Наименование параметров | Единица измерения | Значения параметров бункеров |
СМЖ-1 (6611А) | (6611Б) | СМЖ-26 (1350/62Б) |
Технологическая характеристика | - | Передвижные по эстакаде с прицепом (бадьей) | Стационарные (под бетономешалкой) |
Емкость | основного бункера | м3 | 1,8 | 1,8 | 1,0 |
бадьи-прицепа | " | 1,6 | 0,9 | - |
Ширина колеи | мм | 1720 | - |
Габаритные размеры (всей машины) | длина | " | 3680 | 3281 | 1850 |
ширина | " | 1900 | 1900 | 1660 |
высота | " | 1600 | 1410 | 1200 |
Вес | собственно машины | бункера | кгс | 2000 | 2000 | 560 |
бадьи-прицепа | " | 875 | 682 | - |
бетонной смеси | в бункере | " | ~ 4500 | ~ 4500 | ~ 2500 |
в бадье-прицепе | " | ~ 4000 | ~ 2250 | - |
Электродвигатель передвижения бункера | мощность | квт | 3,0 | 2,8 | - |
скорость вращения ротора | об/мин | 950 | - |
Скорость передвижения | м/мин | 42 и 29 | - |
Вибраторы, установленные на бункере - побудители выдачи бетонной смеси | тип | на основном бункере | - | ИВ-20 (С-793) | ИВ-20 (С-793) | ИВ-2 (С-414) |
на бадье-прицепе | - | ИВ-20 (С-793) | ИВ-20 (С-793) | - |
потребляемая мощность | на основном бункере | квт | 0,4 | 0,4 | 0,7 |
на бадье-прицепе | " | 0,4 | 0,4 | - |
кинетический момент дебалансов (максимальный) | на основном бункере | кгс·см | 4,6 | 4,6 | 6,5 |
на бадье-прицепе | " | 2,3 | 2,3 | - |
частота колебаний | на основном бункере | кол/мин | 2800 | 2800 | 2800 |
на бадье-прицепе | " | 2800 | 2800 | 2800 |
возмущающая сила (максимальная) | на основном бункере | кгс | 400 | 400 | 565 |
на бадье-прицепе | " | 400 | 400 | - |
Таблица 22
Вибропитатели лотковые, подвешиваемые на амортизаторах
Наименование параметров | Единица измерения | Значения параметров вибропитателей |
С-911 (ПЭВ-1) | С-912 (ПЭВ-2) | С-913 (ПЭВ-3) | С-914 (ПЭВ-4) | С-915 (ПЭВ-5) | С-916 (ПЭВ-6) |
Максимальная производительность вибропитателя | при горизонтальном положении лотка | м3/ч | 1,75 | 5 | 10 | 20 | 45 | 75 |
при наибольшем угле наклона вниз (12°) | " | 3 | 8 | 16 | 40 | 90 | 150 |
В качестве побудителя установлен вибратор | марка | - | С-917 | С-918 | С-919 | С-920 | С-921 | С-922 |
вибрационный механизм | - | Электромагнитный, однотактный |
расположение вибратора на лотке | - | Нижнее | Нижнее и верхнее |
потребляемая сила тока (средняя) | а | 0,1 | 0,8 | 1,2 | 8 | 12 | 15 |
род тока | - | Пульсирующий, однополупериодный |
Блок питания (комплектующее оборудование) | марка | - | В-356 | В-357 | В-357 | В-358 | В-359 | В-359 |
род тока | - | Переменный |
допустимая сила тока | а | <= 2 | <= 2 | <= 2 | <= 20 | <= 25 | <= 25 |
частота тока | гц | 50 |
напряжение тока | в | 220 |
Размеры лотка | длина | мм | 570 | 600 | 800 | 1000 | 1400 | 1600 |
ширина | " | 125 | 180 | 250 | 360 | 500 | 700 |
высота | " | 65 | 90 | 125 | 175 | 270 | 300 |
Вес | питателя (без блока питания) | кгс | 7 | 20 | 35 | 150 | 300 | 400 |
лотка (вибрирующих частей) | " | 3 | 7 | 11 | 50 | 100 | 200 |
вибратора | " | 4 | 13 | 20 | 100 | 180 | 200 |
якорной части вибратора (средний) | " | 1,6 | 6 | 9,7 | 33 | 60 | 70 |
Частота колебаний вибратора | кол/мин | 3000 |
Амплитуда колебаний лотка (регулируемая) | мм | 0 - 0,6 | 0 - 0,7 | 0 - 0,6 | 0 - 0,8 | 0 - 0,8 | 0 - 0,6 |
Кинетический момент | кгс·см | 0,8 | 1,6 | 3,2 | 6,4 | 12,8 | 25 |
Назначение | - | Для выдачи сыпучих из бункеров |
ПРИМЕР РАСЧЕТА ВИБРОИЗОЛЯЦИИ СТЕНДОВОЙ СИЛОВОЙ
ВИБРОФОРМЫ С НАВЕСНЫМИ ВИБРАТОРАМИ ДЛЯ ИЗГОТОВЛЕНИЯ
--------------------------------
<1> Расчет выполнен в ГПИ Гипростройматериалы инж. Курган А.Е.
Рис. 15. Виброизолированная стендовая силовая
виброформа 74 для изготовления железобетонных
стропильных балок 1В4-18-3 (а). Разрез А-А (б)
1 - железобетонная балка; 2 - форма; 3 - вибраторы навесные;
4 - виброизоляторы; 5 - кронштейны для виброизоляторов,
6 - резиновые подкладки; O1 - начало координат, выбранное
произвольно при подсчете центра тяжести системы;
C - центр жесткости виброизоляторов
Вес виброформы Qвф = 12 250 кгс.
Вес железобетонной балки 1Б-18-3 Qб = 9100 кгс.
Число вибраторов (С-413) <*> n = 20 шт.
--------------------------------
<*> Вибратор С-413 в дальнейшем предполагается заменить вибратором ИВ-2, что в расчет виброизоляции формы не вносит принципиальных изменений.
Число оборотов вала вибратора n0 = 2800 об/мин.
Кинетический момент вибратора K = 4,5 кгс·см.
Мощность, потребляемая вибратором W' = 0,4 квт.
Допустимая амплитуда колебаний виброизолируемой установки aдоп = 0,5 мм.
2. Определение возмущающих нагрузок
Частота нормативной динамической нагрузки

.
Нормативная динамическая нагрузка, возбуждаемая всеми вибраторами установки
(5) <**>.
--------------------------------
<**> В круглых скобках дана ссылка на формулы и рисунки настоящих Рекомендаций. При расчете виброизоляции применялось также "Руководство по проектированию виброизоляции машин и оборудования" (ЦНИИСК им. Кучеренко. Стройиздат, 1972), формулы из которого приведены без ссылок на соответствующие номера формул Руководства.

;
то же, одним вибратором

.
3. Определение центра тяжести и моментов
инерции масс виброизолируемой установки
Моменты инерции масс установки и ее центр тяжести определяем по упрощенной схеме, считая при этом, что массы всех отдельных элементов формы с учетом бетонной смеси распределены по объему формы равномерно.
При колебаниях виброформы предполагаем, что в движение приводится 40% массы бетона балки <1>.
--------------------------------
<1> Вопрос об участии бетонной массы в совместных колебаниях с формой исследован пока недостаточно. Однако совершенно очевидно, что загружение формы бетоном при неизменной жесткости упругих опор понижает частоту собственных вертикальных колебаний формы, улучшая эффект виброизоляции. Граничные значения коэффициента передачи, характеризующего эффект виброизоляции, могут быть определены из расчета виброизоляции пустой формы и формы, полностью заполненной бетоном в предположении, что бетонная смесь и форма колеблются совместно как единое твердое тело. Принятое в примере соотношение 40% является достаточно условным.
Общий вес виброизолируемой установки, участвующей в колебаниях;
Qуст = Qвф + 0,4Qб = 12 240 + 0,4·9100 = 15 800 кгс.
В результате расчета получаем:
а) координаты центра тяжести установки

;
б) моменты инерции относительно осей, проходящих через центр тяжести установки:
Jox = 0,371 тс·м·сек2; Joy = 38,063 тс·м·сек2; Joz = 37,87 тс·м·сек2.
4. Подбор параметров виброизоляции
а) Задаемся частотой собственных вертикальных колебаний установки
fz = 4 гц;

.
Необходимая величина общей жесткости виброизоляторов в вертикальном направлении

.
Принимаем 12 виброизоляторов из стандартных цилиндрических пружин <2> с вертикальной жесткостью для каждого Kz' = 827 кгс/см.
--------------------------------
<2> См. "Каталог пружинных виброизоляторов и пружин для виброизоляторов". ЦНИИ Промзданий, серия 3.001-1, нормаль ТЭП 60.31.20.III.
Вертикальная жесткость всех пружин
Kz = 12·827 = 9930 кгс/см.
Фактическая частота

;

.
Наибольшая допускаемая рабочая нагрузка на одну пружину <1> P' = 6592 кгс; на все пружины P = 12·6592 = 79 200 кгс.
--------------------------------
Общий вес виброизолируемой установки

.
б) Жесткость пружин в горизонтальном направлении.
Статическая осадка

.
Высота пружины в свободном состоянии
H0 = 30,5 см: то же в рабочем

;

;
Dср = 18,5 см - средний диаметр пружины,

.

;
Kx = Ky = 12·680 = 3160 кгс/см.
в) Угловые жесткости виброизоляторов определяем по формулам
<2>:

;
где xki, yki, zki - координаты средней точки i-го виброизолятора при начале координат в центре жесткости виброизоляторов.
--------------------------------
5. Частоты собственных колебаний
Определение круговых частот собственных вращательных колебаний установки производим по формулам "Руководства по проектированию виброизоляции машин и оборудования", принимая расстояние между центром тяжести установки и центром жесткости виброизоляторов S = 90 см. Получаем:
а) в плоскости X0O1Z0:

;
б) в плоскости Y0O1Z0:

;
в) в плоскости X0O1Y0:

.
Следовательно, отношение круговой частоты возмущающей силы к любой из круговых частот собственных колебаний значительно больше 2,5, что удовлетворяет требованиям "Руководства по проектированию виброизоляции машин и оборудования".
6. Амплитуды вынужденных колебаний установки
Амплитуды поступательных колебаний установки определяем по формулам:

;

.
Амплитуды вращательных колебаний:

;

,
где Px, Py, Pz; Mox, Moy Moz - амплитуды возмущающих сил и моментов в направлении осей X0, Y0, Z0; Jox, Joy, Joz - моменты инерции установки относительно этих осей.
Амплитуды колебаний i-й точки виброформы

;

;

,
где xoi, yoi, zoi - координаты рассматриваемой i-й точки при начале координат в центре тяжести установки.
Рассмотрим несколько наиболее характерных невыгодных сочетаний нагрузок
(рис. 16). Результаты приводим в табличной форме (табл. 23).
Таблица 23
Амплитуды вынужденных колебаний установки
Амплитуды силовых воздействий | Амплитуды перемещений при действии нагрузок по рис. 16 |
а | б | в | г | д |
Poy = 7780 кгс, Mox = -102 500 кгс·см | P0 = -7880 кгс | M0x = -35 400 кгс·см | M0y = 323 000 кгс·см | M0z = 323 000 кгс·см |
Смещение центра тяжести O | линейные смещения (мм) | a0x | - | - | - | - | - |
a0y | 0,0575 | - | - | - | - |
a0z | - | -0,0574 | - | - | - |
углы поворота (рад) | | -0,0000291 | - | 0,0001010 | - | - |
| - | - | - | 0,00001 | - |
| - | - | - | - | 0,00000905 |
Линейные смещения точек установки (мм) | N1 | | - | - | - | 0,0033 | -0,0034 |
| 0,0313 | - | -0,0910 | - | -0,0815 |
| -0,0101 | -0,0574 | -0,0379 | -0,09 | - |
N2 | | - | - | - | -0,009 | -0,00272 |
| 0,0671 | - | 0,0334 | - | 0,0815 |
| -0,0088 | -0,0574 | -0,0301 | -0,09 | - |
Рис. 16. Схемы действия возмущающих нагрузок на форму
N (0, 0, 13) - точка приложения равнодействующей
горизонтальных возмущающих сил; N1 (900, 37,5 - 90) - центр
наиболее удаленного виброизолятора;
N2 (909, 30, 33) - наиболее удаленная точка виброформы
Наибольшие вертикальная амплитуда колебаний виброформы azмакс = 0,09 мм и горизонтальная ayмакс = 0,091 мм не превышают допустимой амплитуды 0,5 мм.
7. Определение амплитуд колебаний установки,
вызываемых включением тока при пуске или остановке
мотора или коротким замыканием
Вращающий момент от всех вибраторов при установившемся рабочем режиме:

,
где W - мощность двигателей вибраторов в квт;
n - число оборотов в 1 мин;
W = 20·0,4 = 8 квт;

.
Внезапно приложенные моменты, возникающие:
а) при остановке мотора
Mn = 2M' = 2·278 = 556 кгс·см;
б) при коротком замыкании
Mк.з = 8W = 8·8 = 64 кгс·м = 6400 кгс·см.
Амплитуда углов поворота

.
Деформации виброизолятора при остановке мотора:

.
При коротком замыкании

.

.
Во избежание перекоса формы во время загрузки бетоном устраиваются ограничители колебаний (зазор 3 мм).
При резонансе во время пуска или остановки двигателя наибольшую величину вертикальной возмущающей силы

, передающейся через виброизоляторы на поддерживающую конструкцию, определим по формуле

,
где
aмакс - максимальная амплитуда вертикальных колебаний изолируемой установки в пусковом или остановочном режиме, определяется по Руководству (см.
п. 1.4 "а"):

.
Средняя скорость убывания оборотов

;

.

для стальных пружин.
По графику Руководства

.
При рабочем режиме наибольшая возможная возмущающая сила, передающаяся через один виброизолятор на поддерживающую конструкцию, равна:
а) нормативная вертикальная Pz = azK'z = 0,009·827 = 7,35 кгс;
б) нормативная горизонтальная Py = ayK'y = 0,0091·680 = 6,18 кгс.
ПРИМЕРЫ РАСЧЕТА ПАССИВНО-ВИБРОИЗОЛИРОВАННЫХ ПЛОЩАДОК
Пример N 1. Рабочее место оператора дозировочного отделения
Дозировочное отделение бетоносмесительного цеха находится на перекрытии третьего этажа. Перекрытие ребристое железобетонное монолитное На перекрытии размещены оборудование и пульт управления дозаторной. При работе оборудования дозаторной на отдельных участках перекрытия возникали сильные вибрации, которые вредно действовали на здоровье оператора. Произведенные замеры вибраций показали, что колебания происходят с частотой f0 = 50 гц, соответствующей числу оборотов вибраторов на дозировочных бункерах 3000 об/мин, и амплитудой колебаний akz = 0,13 мм. Амплитуда скорости колебаний

.
По характеру воздействия на человека указанные колебания перекрытия относились к безусловно вредным
<1>. Рациональным методом уменьшения вредного действия вибраций на оператора в рассматриваемом случае являлось устройство пассивно-виброизолированного рабочего места у пульта управления. Произведем расчет пассивной виброизоляции.
1. За допускаемую амплитуду колебаний пассивно-виброизолированной площадки принимаем aoz = 0,002 мм, соответствующую колебаниям, которые человек воспринимает как слабо ощутимые <1>.
--------------------------------
<1> См. "
Инструкцию по расчету несущих конструкций промышленных зданий и сооружений на динамические нагрузки". ЦНИИСК им. Кучеренко Госстроя СССР. Стройиздат, 1970.
2. Коэффициент передачи

;
3. Частота свободных вертикальных колебаний плиты определится по
формуле (30)

.
4. Задаваясь весом плиты
P0 = 240 кгс, определяем по
формуле (31) суммарную жесткость пружин, на которых устанавливается плита. Принятому весу плиты соответствует железобетонная плита размером 1,25 x 0,8 м
2, толщиной
d = 0,1 м. Вес плиты и человека на ней
P = 240 + 80·0,75 = 300 кг. Жесткость всех пружин

.

.
5. Из условия расположения пружин по углам плиты (по две пружины на каждый угол) берем число пружин n = 8 шт.

.
6. Осадка пружин виброизолятора при нахождении человека над данным виброизолятором

.
7. Расчетную нагрузку на одну пружину при
nk = 2 пружины находим по
формуле (33)

.
8. Производим расчет (подбор) пружины:
а) диаметр прутка пружины при
D = 80 мм;

;

.
Конструктивно принимаем d = 1 см, тогда напряжение

;
в) полное число витков пружины при числе "мертвых" витков
i2 = 1,5 по
формуле (36) будет
i1 = 3,42 + 1,5 ~= 5 витков;
г) высота ненагруженной пружины при шаге
h = 0,25
D = 0,25·8 = 2 см по
формуле (37)

.
Осциллограмма замеренных в натуре колебаний перекрытия и пассивно-виброизолированной плиты дана на рис. 17.
Рис. 17. Осциллограмма колебаний перекрытия
и виброизолированной плиты рабочего места
1 - колебания перекрытия; 2 - колебания
виброизолированной плиты рабочего места оператора
Пример N 2. Рабочее место формовщиков у виброплатформы
Колебания рабочих мест формовщиков на бетонном полу вблизи виброплатформ с упругими опорами из стальных пружин при частоте вынужденных колебаний 50 гц и частоте собственных вертикальных колебаний виброплатформы 5 - 8 гц находятся в пределах, требуемых санитарными нормами. Следовательно, уменьшения колебания, как правило, не требуется.
При виброплощадках с опорами из кусков транспортерных лент колебания рабочих мест формовщиков превышают предельно допустимые амплитуды колебаний. Хотя применение таких опор запрещается, на некоторых заводах встречаются виброплощадки с такими опорами. В этих случаях необходимо уменьшение вибраций рабочих мест формовщиков. Кроме того, иногда возникает необходимость уменьшения вибраций рабочих мест формовщиков и при виброплощадках с опорами на стальных пружинах.
Рассмотрим расчет пассивно-виброизолированного рабочего места формовщиков у виброплощадки. Указанный расчет может быть произведен таким же образом, как и в рассмотренном
примере N 1. Однако иногда может возникнуть необходимость в иной последовательности расчета. Это возможно в случае, если на заводе имеются готовые пружины, которые необходимо использовать для пассивной виброизоляции рабочего места формовщиков.
Пусть вибрации хорошо ощутимы и имеют амплитуду колебаний akz = 0,006 мм при частоте колебаний f0 = 50 гц. Такие колебания санитарными нормами вполне допускаются. Однако администрация завода считала желательным уменьшить амплитуду колебаний рабочего места формовщиков. Было принято решение применить пассивную виброизоляцию, установив железобетонную плиту размером 6 x 0,7 x 0,15 м на виброизоляторы из стальных пружин. Произведем расчет пассивной виброизоляции плиты.
1. Имеющиеся на заводе цилиндрические пружины обладают следующими характеристиками: диаметр прутка
d = 14 мм; диаметр пружины
D = 100 мм; полное число витков
i1 = 3 витка; высота ненагруженной пружины
H0 = 50 мм; шаг пружины
h = 24 мм; пружины изготовлены из пружинной стали с допускаемым напряжением на срез

.
2 Определяем жесткость одной пружины, преобразуя
(35)

.
Число рабочих витков пружины i = 3 - 1,5 = 1,5.

;
и по графику
рис. 12 k = 1,2, откуда
| | ИС МЕГАНОРМ: примечание. Формула дана в соответствии с официальным текстом документа. | |

.
3. Несущую способность пружины определяем, преобразуя
формулу (34)

.
4. В качестве плиты принимаем гладкую железобетонную плиту толщиной dпл = 150 мм и размером в плане 700 x 6000 мм.
Вес плиты P = 2,4·0,7·6·0,15 = 1510 кгс.
5. Плиту устанавливаем на 12 пружин. Суммарная жесткость пружин Kпz = 256·12 = 3080 кгс.
6. Статическая осадка пружин при нахождении на плите одного человека по
формуле (31)

.
7. Частота собственных вертикальных колебаний плиты на виброизоляторах по графику
рис. 11

.

.
Такой коэффициент передачи можно считать удовлетворительным.
9. Определяем расчетную нагрузку на одну пружину. При этом считаем, что виброизолятор состоит из двух пружин, а на плите находятся пять человек и один из них стоит непосредственно над виброизолятором.
Расчетная нагрузка, приходящаяся на одну пружину по
формуле (33)

.

.
Таким образом, пружины могли быть изготовлены из пружинной стали с допускаемым напряжением на срез

.
10. Осадка пружин при нахождении человека над виброизолятором

.
Общий вид установки плиты и виброизолятора приведен на рис. 18.
Рис. 18. Схема пассивной виброизоляции рабочего места
формовщиков у виброплощадки
1 - железобетонная плита; 2 - виброизолятор;
3 - фундамент виброплощадки; 4 - пол цеха
Пример N 3. Рабочая площадка моториста
Амплитуды колебаний рабочей площадки моториста формующего агрегата, перемещающейся вместе с машиной, достигают
akz = 0,1 мм при частоте колебаний
f0 = 50 гц. Амплитуда скорости колебаний при этом

. По характеру воздействия на человека такие колебания относятся к безусловно вредным колебаниям.
Радикальным методом оздоровления условий труда моториста будет перевод агрегата на дистанционное управление. Однако по ряду местных условий осуществить это до капитальной реконструкции не представлялось возможным. Поэтому в качестве временной меры было решено устроить на агрегате пассивно-виброизолированную площадку около пульта управления.
Пассивно-виброизолированную площадку осуществляем из рифленой листовой стали толщиной

размером в плане 500 x 1000 мм. Плиту устанавливаем на шесть виброизоляторов из стальных цилиндрических пружин.
1. За допускаемую амплитуду колебаний примем aoz = 0,0025 мм, при которой амплитуда скорости колебаний будет v0 = 2·3,14·50·0,0025 = 0,8 мм/сек. По характеру восприятия колебаний человеком они относятся к хорошо ощутимым.

.
3. Для обеспечения такого коэффициента передачи необходимо, чтобы частота свободных вертикальных колебаний плиты была равна по
формуле (30):

.
4. Суммарная жесткость пружин виброизоляторов при равномерном распределении нагрузки между всеми виброизоляторами
<1>; вес плиты и одного человека на ней
P = 70·1·0,5 + 0,75·80 = 95 кгс;

.
--------------------------------
<1> Равномерность распределения нагрузки между отдельными виброизоляторами обеспечивается достаточной жесткостью плиты (приваркой к ней ребер жесткости).
Плита устанавливается на шесть виброизоляторов.

.
При такой жесткости виброизолятора передвижения человека по плите будут вызывать ее сильные перемещения - плита будет зыбкой.
Для уменьшения зыбкости плиты виброизолятор устраиваем из двух пружин различной жесткости по схеме
рис. 13. Принимаем жесткость первой пружины

и жесткость второй пружины

.
Пружины устанавливаем так, чтобы при равномерном распределении веса человека между виброизоляторами плита опиралась на более мягкие пружины, а при нахождении человека над виброизолятором в работу включалась более жесткая пружина данного виброизолятора.
Для уменьшения зыбкости плиты при перемещениях по ней человека предварительно сжимаем виброизолятор.
Для выбора деформации от предварительного сжатия определим осадки пружины

при различных нагрузках на нее:
а) от веса плиты

;
б) от веса человека с коэффициентом 0,75, равномерно распределенного на все пружины площадки:

.
Деформация от предварительного сжатия не должна быть более

.
Окончательно принимаем

.
6. Задаваясь величиной зазора

, определим осадку виброизолятора при нахождении человека над виброизолятором

;

.
7. Предполагая, что на площадке могут одновременно находиться два человека (из которых один стоит непосредственно над виброизолятором), определим нагрузку на один виброизолятор по
(33)

.
Определим нагрузку на каждую из пружин.
Осадка пружин от статической нагрузки при совместном их деформировании [по
формуле (41)] при
Kпz(1) = 40 кгс/см,
Kпz(2) = 160 кгс/см:

.
Нагрузка на пружину с жесткостью
Kпz(1) = 40 кгс/см [по
(39)]
P1 = 40(0,3 + 0,5 + 0,57) = 54,8 кгс.
Нагрузка на пружину с жесткостью
Kпz(2) = 160 кгс/см [по
формуле (40)]
P2 = 160·0,57 = 91,1 кгс.
Пружины изготавливаются из пружинной стали с допускаемым напряжением на срез

.
По требуемой жесткости путем подбора определяем характеристики пружин, которые приводим в табл. 24.
Таблица 24
Характеристики пружин виброизолятора
Наименование характеристик пружин | Единица измерения | Показатели для пружин |
Kпz(1) | Kпz(2) |
Средний диаметр D | мм | 100 | 50 |
Диаметр прутка d | " | 10 | 8 |
Число рабочих витков i | шт. | 2,5 | 2 |
" мертвых витков  | " | 1,5 | 1,5 |
Полной число витков i1 | " | 4 | 3,5 |
Индекс пружины  | - | 10 | 6,25 |
Шаг пружины h | мм | 20 | 20 |
Высота пружины H0 = ih + (i2 - 0,5)d | " | 60 | 48 |
Жесткость пружины  | кгс/см | 40 | 164 |
| - | 1,15 | 1,24 |
Напряжения на срез (сдвиг) материала пружины  | кгс/см2 | 1610 | 2260 |