Главная // Актуальные документы // Рекомендация / РекомендацииСПРАВКА
Источник публикации
М.: Стройиздат, 1971
Примечание к документу
Название документа
"Рекомендации по расчету свайных фундаментов на вертикальную и горизонтальную нагрузки (для экспериментального проектирования)"
"Рекомендации по расчету свайных фундаментов на вертикальную и горизонтальную нагрузки (для экспериментального проектирования)"
ПО РАСЧЕТУ СВАЙНЫХ ФУНДАМЕНТОВ
НА ВЕРТИКАЛЬНУЮ И ГОРИЗОНТАЛЬНУЮ НАГРУЗКИ
(ДЛЯ ЭКСПЕРИМЕНТАЛЬНОГО ПРОЕКТИРОВАНИЯ)
"Рекомендации по расчету свайных фундаментов на вертикальную и горизонтальную нагрузки" содержат расчеты для проектирования свай и свайных фундаментов на вертикальную и горизонтальную нагрузки.
Рекомендации разработаны Научно-исследовательским институтом оснований и подземных сооружений Госстроя СССР совместно с Башниистроем, МИСИ им. Куйбышева, Уральским Промстройниипроектом и Пермским политехническим институтом.
Настоящие Рекомендации рассчитаны на инженерно-технический персонал, занимающийся экспериментальным проектированием.
"Рекомендации по расчету свайных фундаментов на вертикальную и горизонтальную нагрузки" разработаны на основании экспериментальных и теоретических исследований, проведенных в Научно-исследовательском институте оснований и подземных сооружений совместно с Башниистроем, МИСИ им. Куйбышева, Уральским Промстройниипроектом и Пермским политехническим институтом в 1966 - 1969 гг., и содержат расчеты свайных фундаментов на вертикальную и горизонтальную нагрузки для экспериментального проектирования.
Работа состоит из следующих разделов:
1. Новая методика определения несущей способности свай по результатам их статических испытаний с учетом фактора времени (НИИ оснований и подземных сооружений).
2. Предложения по расчету пирамидальных свай (НИИ оснований и подземных сооружений).
3. Предложения по расчету свай с уширенной пятой (Уральский Промстройниипроект, НИИ оснований и подземных сооружений).
4. Метод расчета несущей способности однорядных свайных фундаментов с низким ростверком, передающим часть нагрузки через подошву ростверка (НИИ оснований и подземных сооружений).
5. Методика расчета несущей способности свай (МИСИ им. Куйбышева).
6. Методика расчета несущей способности свай (НИИ оснований и подземных сооружений)
<1>.
--------------------------------
<1> Метод МИСИ им. Куйбышева рекомендуется применять в слабых глинистых грунтах, в остальных случаях применяют метод НИИ оснований и подземных сооружений.
7. Расчет с использованием ЭЦВМ высокого жесткого ростверка на вертикальную нагрузку (НИИ оснований и подземных сооружений. Промстройпроект).
8. Определение осадок однорядных, двухрядных и трехрядных свайных фундаментов (Пермский политехнический институт).
9. Расчет одиночной сваи на совместное действие вертикальных и горизонтальных нагрузок (Башниистрой).
Составители: кандидаты техн. наук В.А. Барвашов, Б.В. Бахолдин, Б.Л. Фаянс, А.П. Хамов, инж. В.А. Кондрашов (НИИ оснований); кандидаты техн. наук А.А. Бартоломей (Пермский политехнический институт); Н.М. Дорошкевич, Б.А. Сальников (МИСИ им. Куйбышева); кандидаты техн. наук А.Н. Тетиор (Уральский Промстройниипроект), В.Б. Шахирев (Башниистрой), инж. А.М. Шор (Промстройпроект).
1. НОВАЯ МЕТОДИКА ОПРЕДЕЛЕНИЯ НЕСУЩЕЙ СПОСОБНОСТИ СВАЙ
ПО РЕЗУЛЬТАТАМ ИХ СТАТИЧЕСКИХ ИСПЫТАНИЙ
С УЧЕТОМ ФАКТОРА ВРЕМЕНИ
ОБЩИЕ ПОЛОЖЕНИЯ
1.1. Настоящая методика распространяется на все песчаные грунты и глинистые грунты от мягкопластичной до твердой консистенции.
1.2. Методика не распространяется на просадочные грунты, илы, торф и мерзлые грунты.
ОСОБЕННОСТИ ИСПЫТАНИЯ СВАЙ ПРИ ПРИМЕНЕНИИ
НОВОЙ МЕТОДИКИ ОПРЕДЕЛЕНИЯ НЕСУЩЕЙ СПОСОБНОСТИ
1.3. Загружение свай должно производиться ступенями. Первые две ступени принимаются равными 1/3 - 1/5, а остальные 1/10 - 1/15 части ожидаемой предельной нагрузки.
1.4. Продолжительность приложения каждой ступени нагрузки - 3 ч.
1.5. Снятие отсчетов осадки сваи под нагрузкой в процессе испытаний должно производиться с точностью до 0,1 мм, причем на каждой ступени нагрузки первый отсчет должен сниматься через 5 мин с момента увеличения нагрузки на ступень, второй - через 10 мин, третий - через 15 мин и каждый последующий - через 30 мин.
1.6. Общую осадку сваи в процессе испытаний рекомендуется доводить до величины не менее 25 мм.
ОПРЕДЕЛЕНИЕ НЕСУЩЕЙ СПОСОБНОСТИ
И СТАБИЛИЗИРОВАННОЙ (ЗАТУХШЕЙ) ОСАДКИ СВАИ
1.7. Несущая способность сваи
P определяется в соответствии с
СНиП II-Б.5-67 "Свайные фундаменты. Нормы проектирования" по формуле
где k - коэффициент однородности, принимаемый равным 0,8;
m - коэффициент условий работы, принимаемый m = 1;
Pн - нормативное сопротивление сваи в
т, определяемое по графику зависимости стабилизировавшейся (затухшей) во времени осадки сваи

от передаваемой на нее нагрузки и соответствующее нагрузке, при которой стабилизировавшаяся (затухшая) осадка равна допустимой осадке для данного здания или сооружения, принимаемой в соответствии со
СНиП II-Б.1-62* "Основания зданий и сооружений. Нормы проектирования".
1.8. Величина стабилизировавшейся (затухшей) осадки сваи для каждой ступени нагрузки определяется по результатам статических испытаний сваи в соответствии с
формулой (1)

(2)
где

- осадка сваи от нагрузки, предшествующей данной ступени, в
мм;

- условно мгновенная осадка сваи в
мм от нагрузки данной ступени, принимаемая условно равной приращению осадки сваи, измеренной спустя 5
мин с начала приложения нагрузки данной ступени;

- приращение осадки сваи в
мм за время
t1 = 3
ч выдержки рассматриваемой ступени нагрузки;
t2 - время условной стабилизации (затухание) осадки сваи в годах, принимаемое как время, после которого скорость затухания осадки составляет 1
мм/град, и определяемое по
табл. 1 в зависимости от величины, определяемой по
формуле (2)

(3)
где
t1 - время выдержки ступени нагрузки, принимаемое обычно равным 2
ч 55
мин, т.е.
.
Таблица 1
Скорость затухания осадки
Время условной стабилизации (затухание) осадки t2 в годах при величине ai - ai-1, равной |
3,6 | 2,4 | 2,2 | 2,1 | 1,3 | 1,2 | 1,1 | 1,0 | 0,9 | 0,8 | 0,7 | 0,5 | 0,4 |
1 | 2 | 3 | 4 | 5 | 6 | 7 | 9 | 10 | 12 | 14 | 15 | 19 |
Примечание. Для промежуточных значений ai - ai-1 время t2 определяется по интерполяции.
2. ПРЕДЛОЖЕНИЯ ПО РАСЧЕТУ ПИРАМИДАЛЬНЫХ СВАЙ
ОБЩИЕ ПОЛОЖЕНИЯ
2.1. Пирамидальные сваи при одном и том же расходе материала имеют в большинстве грунтовых условий

несущую способность, чем призматические сваи.
2.2. Наиболее эффективным по грунтовым условиям случаем применения пирамидальных свай является случай, когда сваи забиваются в относительно однородных по глубине грунтах. В этом случае несущая способность пирамидальной сваи может быть в 1,5 - 2 раза выше в сравнении с несущей способностью призматической сваи того же объема.
2.3. Пирамидальные сваи без поперечного армирования исходя из прочности их на ударные нагрузки могут применяться при забивке их главным образом в глинистых грунтах от текучей до тугопластичной консистенции с пробивкой в случае необходимости небольших пластов порядка 1 - 2 м глинистых грунтов полутвердой, а при макропористых грунтах и твердой консистенции, а также небольших пластов песчаных грунтов не выше средней плотности.
2.4. Применять пирамидальные сваи рекомендуется в тех случаях, когда несущая способность пирамидальной сваи, полученная по указанной методике, оказывается выше несущей способности призматической сваи.
2.5. Пирамидальные сваи могут применяться только в малопучинистых грунтах.
РАСЧЕТ НЕСУЩЕЙ СПОСОБНОСТИ ПИРАМИДАЛЬНЫХ СВАЙ
2.6. Несущая способность P в т забивной пирамидальной или конической сваи, работающей на осевую сжимающую нагрузку, определяется как сумма расчетных сопротивлений грунта под нижним концом сваи за счет сил трения и отпора грунта по формуле

(4)
где k - коэффициент однородности грунта, принимаемый k = 0,7;
m - коэффициент условий работы, принимаемый m = 1;
Rн - нормативное сопротивление грунта под нижним концом свай в
т/м2, определяемое по
табл. 1 СНиП II-Б.5-67 "Свайные фундаменты. Нормы проектирования";
F - площадь опирания на грунт нижнего конца сваи в м2;
Ui - средняя величина периметра поперечного сечения сваи в пределах i-го слоя грунта в м;
li - толщина i-го слоя грунта, соприкасающегося с боковой поверхностью сваи, в м;
fi - нормативное сопротивление
i-го слоя грунта по боковой поверхности сваи в
т/м2, определяемое по
табл. 2 СНиП II-Б.5-67 "Свайные фундаменты. Нормы проектирования";
iс - уклон боковой поверхности сваи в долях единиц;
Ei - модуль деформации i-го слоя грунта, окружающего боковую поверхность сваи в кГ/см2, определяемый по результатам компрессионных испытаний;

- коэффициент отпора грунта, определяемый по
табл. 2, в зависимости от вида грунта.
Таблица 2
Коэффициент отпора грунта
Вид грунта | Значение |
Пески и супеси | 0,5 |
Суглинки | 0,6 |
Глины тощие (W = 18) | 0,7 |
Глины жирные (W = 25) | 0,9 |
Примечание. При глинах с числом пластичности 18 <
W < 25 значение

берется по интерполяции.
Пример.
Пирамидальная свая длиной 6 м; сечением 40 x 40 м в верхнем конце и 20 x 20 м в нижнем погружена в пределах площадки, характеризующейся залеганием на глубину до 3 м тугопластичных суглинков с консистенцией B = 0,3 и модулем деформации E = 60 кГ/см2, подстилаемых мягкопластичными суглинками с консистенцией B = 0,4 и модулем деформации E = 45 кГ/см2. Определить несущую способность указанной пирамидальной сваи на вертикальную нагрузку.
Расчетные величины согласно приведенным выше условиям и
СНиП II-Б.5-67 "Свайные фундаменты. Нормы проектирования" следующие:
Rн = 210 т/м2; F = 0,04 м2; U1 = 4·0,35 = 1,35 м;
U2 = 4·0,25 = 1 м; l1 = 3 м; l2 = 3 м;
P = 0,7·1[210·0,04 + 1,35·3(2,9 + 10·0,0166·60·0,6) +
+ 1,3(2 + 10·0,0166 + 45·0,6] = 0,7[8,4 + 4,1(2,9 + 6) +
+ 3(2 + 4,5)] = 0,7(8,4 + 36 + 19,6) = 0,7·64 = 45 т.
3. ПРЕДЛОЖЕНИЯ ПО РАСЧЕТУ СВАЙ С УШИРЕННОЙ ПЯТОЙ
ОБЩИЕ ПОЛОЖЕНИЯ
3.1. Перспективной конструкцией свай с уширением для массового строительства в районах распространения слабых грунтов являются сваи с уширенным нижним концом.
3.2. Сваи с уширением в нижнем конце ствола рекомендуется применять для зданий и сооружений, передающих на фундаменты практически только вертикальные сжимающие нагрузки.
3.3. Применение свай с уширениями рационально в грунтовых условиях, характеризующихся залеганием с поверхности слабых грунтов (глинистые грунты текучепластичной и текучей консистенции; илы, рыхлые пески, торф), подстилаемых на некоторой глубине слоем песчаных грунтов средней плотности или слоем глинистых грунтов тугопластичной и полутвердой консистенции.
3.4. Использование свай с уширениями в указанных грунтовых условиях позволяет уменьшить расход материала по сравнению с железобетонными призматическими сваями за счет увеличения несущей способности сваи в 1,5 - 2 раза и более при сохранении неизменными размеров ствола сваи.
3.5. Возможно применение свай с объемным и плоским уширением.
3.6. Сваи с объемным уширением рекомендуются в случаях, когда с поверхности залегают оплывающие грунты (например, рыхлые насыщенные водой пески) или торф.
Сваи с плоским уширением рекомендуется применять также при устройстве свайных фундаментов в слабых неоплывающих грунтах, так как в одном направлении они обеспечивают первоначальную устойчивость ствола сваи без тщательной засыпки пазух, образующихся между грунтом и сваей при забивке.
3.7. Рекомендуемые параметры свай с уширением ствола: длина сваи до 12 м, сечение ствола 30 x 30 см; сечение объемного уширения до 60 x 60 см, а плоского до 30 x 90 см; высота уширения до 100 см.
РАСЧЕТ ФУНДАМЕНТОВ ИЗ ЗАБИВНЫХ СВАЙ И УШИРЕНИЕМ СТВОЛА
3.8. Несущая способность забивных свай с уширениями определяется по грунту и по материалу сваи
(рис. 1).
Рис. 1. Расчетная схема свай с уширением
а - без заполнения пазух; б - с заполнением пазух
3.9. Несущая способность по грунту в т для свай с уширением у острия, забитых в оплывающие грунты или при засыпке пазух выше уширения песком с уплотнением его до средней плотности, определяется по формуле

(5)
где k - коэффициент однородности грунта, принимаемый k = 0,7;
m - коэффициент условий работы, принимаемый m = 1;
Rн - нормативное сопротивление по указаниям
табл. 1 СНиП II-Б.5-67 "Свайные фундаменты. Нормы проектирования";
Fу - площадь поперечного сечения уширенного конца сваи в месте наибольшего уширения в м2;
Uу - периметр уширения в м;
hу - высота уширения в м;
fн - нормативное сопротивление грунта по боковой поверхности уширения в
т/м2, определяемое по
табл. 2 СНиП II-Б.5-67 "Свайные фундаменты. Нормы проектирования", на уровне середины уширения;
Uс - периметр ствола сваи в м;

- нормативное сопротивление
i-го слоя грунта по боковой поверхности ствола, определяемое применительно к грунту естественных напластований по
табл. 2 СНиП II-Б.5-67 "Свайные фундаменты. Нормы проектирования;
li - толщина i-го слоя грунта, соприкасающегося с боковой поверхностью ствола, в м.
При расчете li не учитывается трение грунта по стволу над уширением в пределах высоты, равной одному диаметру или размеру стороны уширения.
3.10. Несущая способность по грунту для свай с уширением у острия в т, погруженных без заполнения пазух выше уширения или с неуплотненной засыпкой, вычисляется по формуле
P = km(RнFу + Uуhfн - Pг), (6)
Pг - вес засыпки пазух выше уширений, равный произведению объема засыпки на объемный вес грунта, в т/м3.
3.11. Если полость в грунте выше уширения не заполнена плотным грунтом, несмещаемость свай в горизонтальном направлении должна быть обеспечена конструкцией ростверка или наклонными сваями.
3.12. Расчет свай с местными уширениями по материалу ствола производится как для центрально сжатых элементов по формулам:
а) железобетонные сваи

(7)
б) металлические сваи

(8)
где m - коэффициент условий работы, m = 1;

- коэффициент продольного изгиба;
Rпр - призменная прочность бетона;
Fб - площадь сечения сваи;
Rа.у - условное расчетное сопротивление арматуры, равное расчетному сопротивлению, умноженному на коэффициент условий работы в соответствии с главой
СНиП II-Б.1-62 "Основания зданий и сооружений. Нормы проектирования";
Fа - площадь сечения продольной арматуры;
R - расчетное сопротивление стали на сжатие;
Fнт - площадь сечения нетто;
F - общая площадь сечения стальной сваи.
Если полость, образующаяся при забивке, выше уширения заполнена песком с уплотнением или оплывшим грунтом, то коэффициент продольного изгиба принимается равным

. В остальных случаях коэффициент продольного изгиба

определяется по
табл. 3.
Таблица 3
Значение коэффициента 
| 14 | 16 | 18 | 20 | 22 | 24 | 26 | 28 | 30 |
| 12,1 | 13,9 | 15,6 | 17,3 | 19,1 | 20,8 | 22,5 | 24,3 | 26 |
| 50 | 55,4 | 62,2 | 69 | 76 | 83 | 90 | 97 | 104 |
| 1 | 0,88 | 0,8 | 0,63 | 0,67 | 0,62 | 0,57 | 0,53 | 0,5 |
Примечание. В таблице приняты обозначения: l0 - расчетная длина сваи; b - наименьший размер сечения призматической сваи; d - диаметр круглой сваи; r - наименьший радиус инерции сечения.
Расчетную длину сваи l0 определяют в зависимости от условной величины заделки головы в ростверке и забивки уширения в плотный грунт.
Если уширение оперто на плотный грунт, принимается шарнирное закрепление ствола. Когда уширение забито в плотный грунт не менее чем на 2b (где b - ширина уширения), можно принимать жесткое защемление нижнего конца сваи.
Расчетная длина l0 вычисляется в зависимости от длины сваи l так:
а) при полном защемлении обоих концов сваи l0 = 0,5l;
б) при защемлении одного конца и шарнирном опирании другого l0 = 0,7;
в) при шарнирно неподвижном закреплении обоих концов l0 = l;
г) при одном защемлении и другом свободном конце (голова сваи) l0 = 2l.
4. МЕТОДИКА РАСЧЕТА НЕСУЩЕЙ СПОСОБНОСТИ
СВАЙНЫХ ФУНДАМЕНТОВ С УЧЕТОМ СОВМЕСТНОЙ РАБОТЫ СВАЙ
(метод МИСИ им. Куйбышева) <1>
--------------------------------
<1> Метод рекомендуется применять в слабых глинистых грунтах.
4.1. Несущая способность свайного фундамента с учетом совместной работы свай определяется по формуле

(9)
где l - глубина погружения сваи в грунт в м;
F - площадь поперечного сечения сваи в м2;
n - количество свай в кусте;
Ri - сопротивление грунта под нижним концом
i-й сваи в кусте в
т/м2, определяемое согласно
п. 4.2;
Ti - сопротивление грунта, приходящееся на единицу длины боковой поверхности
i-й сваи в кусте в
т/м, определяемое согласно
п. 4.3.
4.2. Сопротивление грунта под нижним концом
i-й сваи в кусте определяется по формуле

(10)
где Rо - сопротивление грунта под нижним концом одиночной сваи в т/м2;

- безразмерный коэффициент, учитывающий увеличение сопротивления грунта под острием сваи в кусте в результате уплотнения грунта в процессе забивки соседних свай, определяемый по формуле

(11)
где

- коэффициент, учитывающий увеличение сопротивления грунта под нижним концом сваи от влияния одной сваи. Их значения представлены графиками на
рис. 2 в зависимости от соотношения размеров сваи

и расстояния между сваями

, где
d - диаметр круглой или сторона поперечного сечения квадратной сваи и
a - расстояние между сваями по осям.
Рис. 2. График зависимости

,
Kт от
r
1 - 16 - количество свай в плане
Суммирование по
формуле (11) осуществляется следующим образом: вычерчивается в определенном масштабе куст свай, замеряются расстояния
a от оси рассматриваемой сваи до осей всех других свай куста, высчитываются отношения

, и соответственно по
рис. 2 определяются

, сумма которых

.
4.3. Сопротивление грунта по боковой поверхности сваи в кусте определяется в зависимости от положения сваи в плане куста.
Для сваи, расположенной в центре тяжести квадратного в плане куста, по формуле
Tц = TоKт.ц, (12)
где
Tо - сопротивление грунта, приходящееся на единицу длины боковой поверхности одиночной сваи в
т/м, равное

, где
f - удельное сопротивление грунта по боковой поверхности одиночной сваи в
т/м2;
Kт.ц - безразмерный коэффициент, учитывающий снижение трения грунта по боковой поверхности центральной сваи в кусте вследствие совместной работы всех свай. Он определяется по формуле

(13)
где

- коэффициент, учитывающий снижение сопротивления грунта по боковой поверхности сваи от действия одной сваи. Значения этих коэффициентов представлены графиками на
рис. 2 в зависимости от

и
r. Порядок вычисления коэффициента
Kт изложен ниже.
Для любой сваи свайного фундамента (кроме сваи, расположенной в центре тяжести квадратного куста) по формуле

(14)
где Ф(
x)
i - интеграл вероятности, определяемый по графику
(рис. 3) в зависимости от
Kт и
m, где
m - количество нулей в значении
Kт до первой значащей цифры, включая и нуль целых.
Рис. 3. График зависимости Ф(
x) от
Kт
Входящий в
формулу (14) коэффициент
Kт учитывает снижение сопротивления грунта по боковой поверхности сваи в кусте по сравнению с одиночной сваей. Он равен

(15)
Для угловых и боковых свай куста (Kт)макс = 1.
Коэффициенты (Kт)мин и (Kт)макс определяются по следующим формулам:

(16)

(17)
где j - число свай, расположенных в сторону центра тяжести плана свайного фундамента от линии II, проходящей через центр рассматриваемой сваи перпендикулярно прямой I, соединяющей центр сваи и центр тяжести свайного фундамента;
n - j - число свай, расположенных по другую сторону линии II.
Порядок вычисления коэффициентов (
Kт)
мин и (
Kт)
макс изложен в
п. 4.4.
4.4. Расчеты по
формулам (16) и
(17) производятся в следующей последовательности. На вычерченном в определенном масштабе плане куста свай
(рис. 4) проводится прямая
I, соединяющая центр тяжести куста и центр рассматриваемой сваи. Пересечение этой прямой с боковой поверхностью рассматриваемой сваи дает точки
C и
C'.
Перпендикулярно прямой через центр рассматриваемой сваи проводится другая прямая, которая делит свайное поле на две части. Недоиспользование вследствие совместной работы свай куста сил трения грунта по боковой поверхности рассматриваемой сваи в точке
C учитывается коэффициентом (
Kт)
мин, который определяется по
формуле (16), как произведение коэффициентов

от
j свай, расположенных в той части свайного поля, где находится точка
C. Коэффициенты

определяются по графикам
рис. 2 в зависимости от

и

, где
a - есть расстояние от точки рассматриваемой сваи до центра любой другой сваи. Количество коэффициентов

соответствует числу свай этой части свайного поля.
Коэффициент (Kт)макс определяется аналогично. Только в данном случае рассматривается точка C' и другая часть свайного поля.
В том случае, когда требуется определить коэффициент для сваи, расположенной в центре тяжести свайного куста, прямая II проводится в любом направлении, деля свайное поле на две равные части. Коэффициент Kт определяется аналогично вышеизложенному из условия воздействия на точку C центральной сваи любой половины свайного куста. Местоположение точки C определяется точкой пересечения боковой поверхности сваи и прямой, проходящей через центр этой сваи перпендикулярно прямой II.
Пример расчета
Требуется определить несущую способность куста с высоким ростверком, состоящего из 16 свай
(рис. 4).
Глубина забивки свай в грунт l = 10 м, сечение свай 35 x 35 см, расстояние между сваями (по осям) 3d = 1,05 м. В результате испытания сваи-штампа такого же размера установлено следующее:
полная несущая способность сваи - 60 т;
сопротивление грунта под острием - 30 т.
Определяем Tо и Rо
Для определения несущей способности всего куста достаточно определить несущую способность трех свай - угловой, боковой и центральной. Тогда полная несущая способность всего куста будет равна сумме несущих способностей четырех угловых, восьми боковых и четырех центральных свай.
ЦЕНТРАЛЬНАЯ СВАЯ
Для определения
Rо по
формуле (10) нужно знать коэффициенты

(см.
рис. 2), определяемые в зависимости от расстояния по осям между сваей и всеми остальными сваями куста.
Таблица 4
Значения расчетных величин
N свай, от которых учитывается влияние | Расстояние a' в м | Расстояние  в м | Коэффициент  |
1; 3; 9; 11 | 1,48 | 4,25 | 0,0515 |
2; 5; 7; 10 | 1,05 | 3 | 0,076 |
4; 12; 13; 15 | 2,35 | 6,7 | 0,03 |
8; 14 | 2,1 | 6 | 0,034 |
16 | 2,96 | 8,5 | 0,022 |
Коэффициенты

определены для

.
Отсюда
Для определения
T6 по
формуле (14) необходимо знать
Kт (рис. 2), определяемые в зависимости от расстояния
a' от точки
C (или
C') до центров других свай куста. Результаты вычислений сведены в
табл. 5.
Таблица 5
N свай, от которых учитывается влияние | Расстояние a' в м | Расстояние  в м | Коэффициент  |
Для точки C |
3; 9 | 1,55 | 4,3 | 0,62 |
4; 13 | 2,28 | 6,5 | 0,725 |
7; 10 | 0,91 | 2,6 | 0,485 |
8; 14 | 1,96 | 5,6 | 0,69 |
12; 15 | 2,14 | 6,1 | 0,71 |
11 | 1,24 | 3,55 | 0,57 |
16 | 2,73 | 7,8 | 0,765 |
Для точки C' |
3; 9 | 1,51 | 4,3 | 0,62 |
2; 5 | 0,91 | 2,6 | 0,485 |
1 | 1,24 | 3,55 | 0,57 |
Теперь определяем (Kт)мин, (Kт)макс и Kт.
(Kт)мин = 0,622·0,7252·0,485·2·0,692·0,712·0,57·0,765 = 0,005;
(Kт)макс = 0,622·0,4852·0,57 = 0,0517;
Согласно
рис. 3 определяем Ф(
x) для
Kт = 0,097 и
m = 2Ф(
x) = 0,485.
Полная несущая способность центральной сваи
P6 = 423·0,35·0,35 + 0,087·10 = 51,8 + 0,87 = 52,67 т.
БОКОВАЯ СВАЯ
Коэффициенты

определяем аналогично вышеизложенному. Вычисления сведены в
табл. 6.
Таблица 6
N свай, от которых учитывается влияние | Расстояние a' в м | Расстояние  в м | Коэффициент  |
1, 3, 6 | 1,05 | 3 | 0,076 |
5, 7 | 1,48 | 4,25 | 0,0515 |
4, 10 | 2,10 | 6 | 0,034 |
8, 9, 11 | 2,35 | 6,7 | 0,03 |
12 | 2,96 | 8,5 | 0,022 |
13, 15 | 3,33 | 9,5 | 0,0195 |
14 | 3,15 | 9 | 0,0205 |
16 | 3,78 | 10,8 | 0,0175 |
R2 = 246(1 + 0,588) = 390 т/м2.
Определение коэффициентов

приведено в
табл. 7.
Таблица 7
Определение коэффициентов 
N свай, от которых учитывается влияние | Расстояние a' в м | Расстояние  в м | Коэффициент  |
3 | 0,98 | 2,8 | 0,5 |
4 | 2,04 | 5,8 | 0,7 |
5 | 1,44 | 4,1 | 0,61 |
6 | 0,895 | 2,55 | 0,48 |
7 | 1,32 | 3,75 | 0,585 |
8 | 2,22 | 6,3 | 0,72 |
9 | 2,22 | 6,3 | 0,72 |
10 | 1,93 | 5,5 | 0,685 |
11 | 2,14 | 6,1 | 0,715 |
12 | 2,81 | 8 | 0,775 |
13 | 3,24 | 9,2 | 0,8 |
14 | 2,99 | 8,5 | 0,785 |
15 | 3,13 | 8,9 | 0,795 |
16 | 3,6 | 10,25 | 0,82 |
Теперь определяем
Kт и Ф(
x). Учитывая, что для боковых свай куста (
Kт)
макс = 1, по
формуле (17) получаем
Kт = 0,00485 и при
m = 3Ф(
x) = 0,5.
Трение грунта на 1 м длины боковой поверхности сваи равно
Несущая способность боковой сваи равна:
P2 = 390·0,35·0,35 + 1,09·10 = 47,7 + 10,9 = 58,6 т.
УГЛОВАЯ СВАЯ
Определение коэффициентов
Kт и

дано в
табл. 8 и
9.
Таблица 8
Определение коэффициентов 
N свай, от которых учитывается влияние | Расстояние a' в м | Расстояние  в м | Коэффициент  |
2, 5 | 1,05 | 3 | 0,076 |
3, 9 | 2,10 | 6 | 0,034 |
4, 13 | 3,15 | 9 | 0,0205 |
6 | 1,48 | 4,25 | 0,0515 |
7, 10 | 2,35 | 6,7 | 0,03 |
8, 14 | 3,33 | 9,5 | 0,0195 |
11 | 2,96 | 8,5 | 0,022 |
12, 15 | 3,78 | 10,8 | 0,0175 |
16 | 4,47 | 12,75 | 0,013 |
Таблица 9
Определение коэффициентов 
N свай, от которых учитывается влияние | Расстояние a' в м | Расстояние  в м | Коэффициент  |
2, 5 | 0,895 | 2,55 | 0,48 |
3, 9 | 1,95 | 5,55 | 0,69 |
4, 13 | 3 | 8,55 | 0,79 |
6 | 1,225 | 3,5 | 0,565 |
7, 10 | 2,1 | 6 | 0,71 |
8, 14 | 3,1 | 8,85 | 0,795 |
11 | 2,72 | 7,75 | 0,765 |
12, 15 | 3,53 | 10,1 | 0,82 |
16 | 4,2 | 12 | 0,84 |
Определяем

и
R1:
R1 = 246(1 + 0,5815) = 390 т/м2.
Учитывая, что для угловых свай (
Kт)
макс = 1, соответственно
табл. 9 Kт = (
Kт)
мин:
Kт = (0,48·0,69·0,79·0,71·0,795·0,82)20,565·0,765·0,84 =
= 0,0053;
Ф(x) = 0,5;
Несущая способность угловой сваи равна:
P1 = 390·0,35·0,35 + 1,16·10 = 47,7 + 11,6 = 59,3 т.
Полная несущая способность всего куста свай равна:
Pк = 4·59,3 + 8·58,6 + 4·52,67 = 237,2 + 468,8 + 210,7 =
= 916,7.
Pк = 916,7 т.
Несущая способность куста из 16 одиночных свай составляет 60·16 = 960 т, т.е. в данном случае за счет совместной работы свай несущая способность сваи в кусте снизилась по сравнению с одиночной сваей на 4,5%.
5. РЕКОМЕНДАЦИИ ПО РАСЧЕТУ НЕСУЩЕЙ СПОСОБНОСТИ КУСТА СВАЙ
НА ВЕРТИКАЛЬНУЮ НАГРУЗКУ (метод НИИ оснований)
5.1. Несущая способность куста свай Pк рассчитывается по формуле

(18)
где

- нормативное сопротивление одиночной сваи; при определении по результатам испытаний свай принимается равным среднему из значений несущих способностей одиночных свай;
nсв - количество свай в кусте;
k - коэффициент однородности несущей способности грунта основания свай, определяемый по формуле

(19)
где n' - количество свай в свайном фундаменте здания;
n" - количество свай, испытанных на площадке
<1>;
Pсв.ср - среднее значение несущей способности сваи на площадке, полученное при испытании;

- разница между средним и минимальным значениями несущей способности свай;
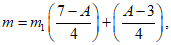
m - коэффициент, учитывающий условия работы свай в кусте, определяемый по формуле

(20)
где A - расстояние между осями свай в кусте, принимаемое равным от 3 до 7d, полагая при A > 7d сваи работают как одиночные;
m1 - определяется по формулам:
а) для куста свай квадратной формы в плане

(21)
б) для куста свай прямоугольной формы в плане

(22)
в) для куста свай круглой формы в плане

(23)
--------------------------------
<1> При определении
Pк по
табл. 1 и
2 СНиП II-Б.5-67 "Свайные фундаменты. Нормы проектирования" значения
Pк и
fн необходимо умножать на поправочный коэффициент 1,2, а значение
k принять равным 1.

- отношение несущей способности грунта по боковой поверхности одиночной сваи к несущей способности грунта под ее острием;
n1 и n2 - количество свай, считая по сторонам прямоугольного в плане куста;
nа - отношение диаметра куста к размеру стороны поперечного сечения сваи;
nсв - количество свай в кусте;

- коэффициент, учитывающий взаимное влияние свай в кусте, определяемый по формуле

(24)
где
B - относительное заглубление сваи в пределах 25 - 50, равное

;
h - глубина забивки сваи;
d - сторона поперечного сечения сваи.
6. РЕКОМЕНДАЦИИ ПО ОПРЕДЕЛЕНИЮ НЕСУЩЕЙ СПОСОБНОСТИ
ОДНОРЯДНЫХ СВАЙНЫХ ФУНДАМЕНТОВ С РОСТВЕРКОМ НА ГРУНТЕ
И ОДИНОЧНЫХ СВАЙ С РОСТВЕРКАМИ ОГОЛОВКАМИ
ОБЩИЕ ПОЛОЖЕНИЯ
6.1. Настоящие рекомендации распространяются на проектирование свайных фундаментов с низким ростверком в глинистых грунтах от мягкопластичной до твердой консистенции, а также в песчаных грунтах плотных и средней плотности.
6.2. Рекомендации рассматривают следующие случаи напластования грунтов в основании сваи и ростверка:
а) свая прорезает однородный грунт и опирается острием на этот грунт;
б) свая прорезает однородный по прочности слой грунта и опирается острием на другой по прочности слой грунта;
в) часть ствола сваи, расположенная у ростверка, прорезает слой прочного грунта, а остальная часть ствола сваи находится в более слабом грунте.
6.3. Рекомендации разработаны применительно к свайным фундаментам из коротких свай длиной до 7
м при отношении ширины ростверка к диаметру сваи

.
6.4. Исключается использование низкого ростверка для передачи давления на грунт непосредственно через подошву ростверка при наличии под ростверком насыпного грунта, илов, торфа, просадочных мерзлых и набухающих грунтов.
6.5. Использование ростверка для передачи нагрузки непосредственно на грунт в соответствии с настоящими рекомендациями допускается лишь в случае, когда подошва ростверка закладывается ниже глубины промерзания грунтов или когда грунты основания ростверка в соответствии со
СНиП II-Б.1-62* "Основания зданий и сооружений. Нормы проектирования" позволяют принимать глубину заложения фундаментов на естественном основании вне зависимости от глубины промерзания.
РАСЧЕТ СВАЙНОГО РОСТВЕРКА
6.6. Несущая способность сваи в однорядном свайном фундаменте с ростверком на грунте, а также забивной висячей сваи с квадратным, прямоугольным или круглым низким ростверком, работающим на осевую сжимающую нагрузку, определяется по формуле

(25)
где k - коэффициент однородности грунта, равный k = 0,7;
m - коэффициент условий работы, принимаемый за 1;
F - площадь опирания на грунт сваи, принимаемая по площади поперечного сечения сваи;
| | ИС МЕГАНОРМ: примечание. В официальном тексте документа, видимо, допущена опечатка: строительные нормы и правила "Свайные фундаменты. Нормы проектирования" имеют номер СНиП II-Б.5-67, а не СНиП II-Б.6-67. | |
Rн - нормативное сопротивление грунта под нижним концом сваи в
т/м2, принимаемое по
СНиП II-Б.6-67* "Свайные фундаменты. Нормы проектирования";
Uр - периметр подошвы низкого ростверка, приходящегося на одну сваю, равный

;
U - периметр ростверка;
n - число свай в ростверке;

- безразмерный коэффициент, позволяющий оценить сопротивление сдвигу грунта основания по боковой поверхности условного заглубленного массива;
| | ИС МЕГАНОРМ: примечание. Текст дан в соответствии с официальным текстом документа. | |
fi - нормативное сопротивление
i-го слоя грунта, соприкасающегося с боковой поверхностью сваи, в
т/м2, определяемое по
СНиП II-Б.5-67* "Свайные фундаменты. Нормы проектирования";
li - толщина i-го слоя грунта в м, соприкасающегося с боковой поверхностью сваи.
Значение коэффициента

по результатам статических испытаний рядов свай в натурных условиях может быть принято равным

, а в случае одиночных свай с ростверками - оголовками

.
7. РАСЧЕТ С ИСПОЛЬЗОВАНИЕМ ЭЦВМ СВАЙНЫХ ФУНДАМЕНТОВ
С ВЫСОКИМ ЖЕСТКИМ РОСТВЕРКОМ НА ВЕРТИКАЛЬНУЮ НАГРУЗКУ
ОБЩИЕ ПОЛОЖЕНИЯ
7.1. Программа предназначена для вычисления осадок и кренов свайных фундаментов с высоким жестким ростверком, подверженных действию вертикальной нагрузки с малым эксцентриситетом, и определения реакций свай на ЭЦВМ "НАИРИ".
7.2. По программе может быть рассчитан и свайный фундамент с низким жестким ростверком без учета работы грунта между сваями.
7.3. Построенная методика расчета основывается на том, что нагрузка на сваю не может превышать некоторого предельного значения, которое предлагается считать равным несущей способности сваи.
7.4. Исходными данными является информация о нагрузке на ростверк; количество, расположение и геометрические размеры свай, а также параметры, характеризующие работу одиночной сваи и взаимное влияние свай друг на друга.
7.5. Результатами расчета являются величины осадок и кренов ростверка и реакций отпора свай.
7.6. Максимально возможное для расчета количество свай в ростверке - 30.
7.7. Программа может быть использована, если полученные по ней величины осадок и кренов не превосходят допускаемых по СНиП II-Б.1-62* "Основания зданий и сооружений. Нормы проектирования",
табл. 10 и
11.
7.8. Порядок заполнения карточки исходных данных, правила пользования программой даны в приложении настоящих рекомендаций. Там же приведена блок-схема программы, сама программа и тест-пример.
7.9. Время подготовки исходной информации на один расчет от 15 до 30 мин. Машинное время от 3 до 15 мин.
8. РАСЧЕТ ОСАДОК ОДНОРЯДНЫХ
И МНОГОРЯДНЫХ СВАЙНЫХ ФУНДАМЕНТОВ
8.1. Осадка однорядных и многорядных свайных фундаментов определяется по формуле

(26)
где S - осадка свайного фундамента в см;
P - погонная нагрузка на свайный фундамент в
кг/см;
;
E - модуль деформации грунта в кГ/см2 (принимается средневзвешенное значение до неподвижной точки с учетом уплотнения грунта под сваями на глубину до 3 диаметров);
S0 - определяется в зависимости от приведенной глубины активной зоны
z0/
l (
z0 - глубина активной зоны;
l - длина сваи), приведенной ширины фундамента

, где
b - ширина фундамента, коэффициента бокового расширения грунта

и характера передачи нагрузки по боковой поверхности и в плоскости острия (
табл. 10 и номограмма на
рис. 5).
Таблица 10
Значения S2 в зависимости от Z0/l при 
z0/l | |
0,05 | 0,10 | 0,15 | 0,20 | 0,25 | 0,30 | 0,35 | 0,40 |
S1 |
1,401 | 1,310 | 1,230 | 1,153 | 1,076 | 0,999 | 0,922 | 0,845 |
S2 |
1,1 | -0,813 | -0,815 | -0,778 | -0,728 | -0,672 | -0,613 | -0,553 | -0,492 |
1,2 | -0,411 | -0,437 | -0,435 | -0,417 | -0,387 | -0,351 | -0,309 | -0,264 |
1,3 | -0,119 | -0,146 | -0,154 | -0,150 | -0,134 | -0,114 | -0,087 | -0,054 |
1,4 | 0,118 | 0,093 | -0,082 | 0,080 | 0,086 | 0,098 | 0,117 | 0,140 |
1,5 | 0,319 | 0,298 | 0,286 | 0,281 | 0,283 | 0,290 | 0,302 | 0,319 |
1,6 | 0,497 | 0,478 | 0,466 | 0,461 | 0,460 | 0,464 | 0,472 | 0,484 |
1,7 | 0,657 | 0,639 | 0,628 | 0,622 | 0,620 | 0,622 | 0,627 | 0,636 |
1,8 | 0,803 | 0,786 | 0,776 | 0,770 | 0,767 | 0,767 | 0,771 | 0,777 |
1,9 | 0,937 | 0,922 | 0,912 | 1,906 | 0,903 | 0,902 | 0,904 | 0,909 |
2,0 | 1,062 | 1,048 | 1,039 | 1,033 | 1,029 | 1,028 | 1,029 | 1,032 |
2,1 | 1,178 | 1,165 | 1,157 | 1,151 | 1,146 | 1,145 | 1,146 | 1,148 |
2,2 | 1,288 | 1,275 | 1,267 | 1,262 | 1,256 | 1,256 | 1,256 | 1,257 |
2,3 | 1,391 | 1,380 | 1,372 | 1,366 | 1,382 | 1,360 | 1,360 | 1,361 |
2,4 | 1,489 | 1,478 | 1,471 | 1,465 | 1,461 | 1,459 | 1,458 | 1,459 |
2,5 | 1,582 | 1,572 | 1,565 | 1,599 | 1,556 | 1,553 | 1,552 | 1,553 |
2,6 | 1,671 | 1,661 | 1,664 | 1,649 | 1,645 | 1,643 | 1,642 | 1,642 |
Рис. 5. Номограмма для определения значений
z0/
l
В настоящих рекомендациях приведены значения
S0 для

при равномерном распределении сил трения по боковой поверхности и равномерном распределении напряжений в плоскости острия сваи. При небольшом интервале изменения

граница активной зоны принимается на глубине, где
.
Пример расчета
Рассчитать осадку трехрядного свайного фундамента под внутреннюю стену 5-этажного кирпичного здания. Сваи сечением 30 x 30, длиной 7 м, расстояние между сваями C = 90 см. Ширина свайного фундамента b = 2,1 м, нагрузка на сваю P = 15 т. Напластование грунтов следующее:
1) песок мелкозернистый, средней плотности, мощностью h1 = 1,4 м, модуль деформации E = 180 кГ/см2;
2) супесь мягко- и текучепластичная, мощностью h2 = 2,6 м, модуль деформации E2 = 50 кГ/см2;
3) суглинок мягкопластичный, мощностью h = 11 м, модуль деформации E = 80 кГ/см2.
С глубины 18 м залегает плотный аргиллит. В уплотненной зоне под сваями hупл = 0,9 м (среднее значение модуля деформации Eупл = 340 кГ/см2).
Для решения определяем:
1. Приведенную ширину свайного фундамента

.
2. Приведенную глубину активной зоны. По данным

и

находим в
табл. 10, что
S2 примерно равно
S1 при
z0/
l = 2, т.е. граница активной зоны находится на глубине 7
м ниже плоскости острия свай.
3. Компоненту перемещения S0.
Из соответствующего значения
z0/
l = 2 (см.
номограмму) проводится линия, параллельная оси абсцисс, до пересечения с линией приведенной ширины фундамента

и опускается перпендикуляр до линии коэффициента бокового расширения

. Из точки пересечения проводится линия, параллельная оси абсцисс, до пересечения с осью ординат, на которой определяем значение
S0 = 2,03.
4. Средневзвешенное значение модуля деформации до нижней границы активной зоны
5. Погонную нагрузку на свайный фундамент
6. Осадку свайного фундамента
| | ИС МЕГАНОРМ: примечание. Формула дана в соответствии с официальным текстом документа. | |
9. РАСЧЕТ ОДИНОЧНОЙ СВАИ НА СОВМЕСТНОЕ ДЕЙСТВИЕ
ВЕРТИКАЛЬНЫХ И ГОРИЗОНТАЛЬНЫХ НАГРУЗОК
ОБЩИЕ ПОЛОЖЕНИЯ
9.1. Настоящие рекомендации составлены в развитие глав
СНиП II-А.10-62 "Строительные конструкции и основания. Основные положения проектирования";
СНиП II-Б.1-62 "Основания зданий и сооружений. Нормы проектирования";
СНиП II-Б.5-67 "Свайные фундаменты. Нормы проектирования" и распространяются на расчет одиночных, отдельно стоящих горизонтально нагруженных забивных свай и свай, подверженных совместному действию вертикальных и горизонтальных нагрузок.
Примечания: 1. Рекомендации не распространяются на расчет кустов и одиночных свай, заделанных в ростверк, а также свайных конструкций, возводимых в сейсмических районах, на вечномерзлых и просадочных грунтах.
2. Под забивными сваями понимаются сваи, погружаемые ударным методом, вдавливанием и вибровдавливанием.
9.2. Расчету по
разделу 2 подлежат сваи, подверженные совместному действию вертикальных и горизонтальных нагрузок и погруженные в однородное грунтовое основание на глубину более 30
d (
d - диаметр или поперечная сторона сваи).
9.3. Расчету по
разделу 3 подлежат сваи, подверженные совместному действию вертикальных и горизонтальных нагрузок и заглубленные в однородное и неоднородное основание на глубину не более 10
d.
9.4. К неоднородным грунтам относятся песчаные грунты, различающиеся в пределах глубины погружения сваи по своей крупности, и глинистые грунты с показателем консистенции B, изменяющимся с глубиной более чем на 0,2B. При изменении менее чем 0,2B грунты следует относить к однородным.
9.5. Величины нормативных коэффициентов пропорциональности грунта Kн определяются по данным геологического бурения в зависимости от консистенции глинистого грунта или крупности песчаного грунта. При этом толщина слоев назначается в зависимости от глубины отбора монолитов.
Толщина первого слоя грунта принимается равной расстоянию от поверхности грунта до середины интервала между местом отбора первого и второго монолитов (проб), толщина последнего слоя грунта принимается равной расстоянию от середины интервала между последним и предпоследним монолитами (пробами) в пределах глубины погружения сваи до нижнего конца сваи. Толщина промежуточных слоев грунта устанавливается равной расстоянию от середины предыдущего интервала между местами отбора монолитов (проб) до середины последующего интервала.
9.6. Рекомендации по расчету горизонтально нагруженных свай и свай, подверженных совместному действию вертикальных и горизонтальных нагрузок, применимы для расчета свайных опор под трубопроводы и эстакады, линий электропередачи, опор контактной сети, свайных фундаментов под теплообменные аппараты и горизонтальные емкости нефтехимических и нефтеперерабатывающих заводов, а также подпорных стенок, опор транспортных галерей и т.п.
9.7. Сваи и свайные фундаменты из одиночных от отдельно стоящих свай, подверженные действию горизонтальных и вертикальных нагрузок, и их основания рассчитываются по трем предельным состояниям:
а) расчету по первому предельному состоянию (по прочности) подвергаются сваи и свайные фундаменты на усилия от действующих расчетных нагрузок;
б) расчету по второму предельному состоянию (по деформациям) подлежат основания свай и свайных фундаментов на усилия от действующих нормативных горизонтальных и вертикальных нагрузок с учетом нормативных характеристик грунта;
в) расчету по третьему предельному состоянию (по трещиностойкости) подлежат железобетонные сваи на усилия от действующих нормативных нагрузок.
9.8. Сбор нагрузок, действующих на сваю или свайный фундамент, производится в соответствии со статической схемой данной конструкции. При расчете оснований неразрезных и рамных конструкций сбор нагрузок допускается производить без учета перемещений элементов конструкций, вызываемых осадками или горизонтальными перемещениями основания и без учета неразрезности конструкций.
РАСЧЕТ ОДИНОЧНЫХ ГИБКИХ СВАЙ
НА ГОРИЗОНТАЛЬНУЮ НАГРУЗКУ С УЧЕТОМ ВЛИЯНИЯ
ВЕРТИКАЛЬНОЙ СИЛЫ В УСЛОВИЯХ ОДНОРОДНОЙ ГРУНТОВОЙ СРЕДЫ
9.9. Настоящие предложения распространяются на расчет длинных свай, заглубленных в однородное основание на глубину более 30
d (рис. 6).
9.10. Расчет свай по первому предельному состоянию производится из условия
где Mмакс - максимальный изгибающий момент в сечении сваи, возникающий от расчетных нагрузок, в тм;
| | ИС МЕГАНОРМ: примечание. В официальном тексте документа, видимо, допущена опечатка: строительные нормы и правила "Основания зданий и сооружений. Нормы проектирования" имеют номер СНиП II-Б.1-62, а не СНиП II-В.1-62*. | |
Mр - расчетный изгибающий момент, воспринимаемый сечением сваи, в
т·
м, определяемый по
СНиП II-В.1-62* "Основания зданий и сооружений. Нормы проектирования" или из
табл. 11 и
12.
Таблица 11
Значения расчетного изгибающего момента
Mр для свай прямоугольного сечения
Диаметр рабочей арматуры класса A-II1 в мм | Mр в тм |
Для свай (марки 300) сечением в см |
Защитный слой в см |
4 | 4 | 4,5 | 5 |
2 | 3 | 4 | 5 |
12 | 1 | 1,4 | - | - |
14 | 1,4 | 1,8 | 2,3 | - |
16 | 1,8 | 2,4 | 2,8 | 3,3 |
18 | 2,3 | 3,0 | 3,5 | 4,1 |
20 | 2,8 | 3,75 | 4,5 | 5,1 |
22 | 3,5 | 4,5 | 5,5 | 6,1 |
24 | 4,1 | 5,2 | 6,5 | 7,2 |
26 | 4,8 | 6,2 | 7,6 | 8,6 |
28 | - | 7,8 | 8,6 | 10 |
30 | - | - | 9,7 | 11,3 |
32 | - | - | - | 12,9 |
34 | - | - | - | 16,6 |
36 | - | - | - | 14,6 |
Таблица 12
Значения расчетного изгибающего момента
Mр для трубчатых свай
Диаметр рабочей арматуры класса A-II в мм | Mр в тм |
Для трубчатых свай (марки 300) диаметром в см |
Количество стержневой рабочей арматуры |
8 | 10 | 12 | 15 |
Толщина стенки в см |
8 | 10 | 10 | 12 |
12 | 3,8 | 7,7 | 13 | 20 |
14 | 5 | 10 | 17,5 | 27,2 |
16 | 6,4 | 13,1 | 22,5 | 35,5 |
18 | 8 | 16,2 | 37 | 45 |
20 | 9,7 | 19,7 | 33,4 | 53,3 |
22 | 11,7 | 23,4 | 39,5 | 62,9 |
24 | - | 27,3 | 46,1 | 73,3 |
26 | - | - | 52,8 | 85,5 |
28 | - | - | - | 97,8 |
9.11. Максимальный изгибающий момент, возникающий в свае от расчетных нагрузок, определяется из выражения

(28)
где

- перемещение сваи от расчетных нагрузок на уровне поверхности грунта, определяемое графоаналитически,
п. 9.15;

- перемещение сваи на высоте
H от расчетных нагрузок, определяемое по выражению

(29)
Pр и Nр - расчетные вертикальные и горизонтальные нагрузки на сваю, передаваемые сооружением, в т;
H - высота приложения нагрузки над поверхностью грунта в м;
K - коэффициент пропорциональности грунта, определяемый из
табл. 13;
EJ - жесткость сечения сваи в
тм2, определяемая согласно
табл. 14 и
15;
tm - безразмерная ордината сечения с максимальным изгибающим моментом, равная

(
Xm - глубина расположения сечения с максимальным изгибающим моментом от поверхности грунта в
м;
l0 - глубина расположения условной заделки сваи в грунте в м;
| | ИС МЕГАНОРМ: примечание. Текст дан в соответствии с официальным текстом документа. | |
F1 - тригонометрическая функция, определяемая из графика на
рис. 7 в зависимости от величины
tm.
Таблица 13
Глинистые грунты консистенции B | Коэффициент K в т/м2 | Песчаные грунты средней плотности | Коэффициент K в т/м2 |
0 0,1 0,2 | 65 45 35 | | Крупные пески | 110 |
0,3 0,4 | 30 25 | | Пески средней крупности | 50 |
0,5 0,6 | 22 19 | | Мелкие пески | 40 |
0,7 | 15 | | Пылеватые пески | 35 |
Таблица 14
Значение EJ для прямоугольных свай
Диаметр рабочей арматуры класса A-II в мм | EJ в тм2 |
Для свай (марки 300) сечением в см |
25 x 25 | 30 x 30 | 35 x 35 | 40 x 40 |
Защитный слой в см |
4 | 4 | 4,5 | 5 |
12 | 150 | 230 | - | - |
14 | 190 | 310 | 450 | - |
16 | 230 | 380 | 560 | 750 |
18 | 280 | 470 | 690 | 930 |
20 | 320 | 550 | 810 | 1120 |
22 | 370 | 630 | 940 | 1130 |
24 | 410 | 710 | 1070 | 1490 |
26 | 450 | 790 | 1190 | 1680 |
28 | - | 870 | 1320 | 1880 |
30 | - | - | 1450 | 2070 |
32 | - | - | 1590 | 2270 |
34 | - | - | - | 2470 |
36 | - | - | - | - |
Таблица 15
Значение EJ для трубчатых свай
Диаметр рабочей арматуры класса A-II в мм | EJ в тм2 |
40 | 60 | 80 | 100 |
Количество стержневой рабочей арматуры |
8 | 10 | 12 | 15 |
Толщина стенки в см |
8 | 10 | 10 | 12 |
12 | 550 | 1500 | 4 100 | 8 400 |
14 | 670 | 2000 | 51 000 | 10 300 |
16 | 810 | 2600 | 6 400 | 12 600 |
18 | 950 | 3200 | 7 800 | 15 500 |
20 | 1090 | 3900 | 9 300 | 18 800 |
22 | 1230 | 4700 | 10 700 | 22 000 |
24 | - | 5500 | 12 200 | 25 600 |
26 | - | - | 13 800 | 29 000 |
28 | - | - | - | 32 600 |
Рис. 7. Графики функций
F1m и
F2m
9.12. Безразмерная ордината сечения с максимальным изгибающим моментом определяется из графика на
рис. 7 в зависимости от величины
F2m, определяемой из выражения

(30)
где

;

- линейная характеристика сваи, определяемая из графика на
рис. 8 при
H = 0;
d - диаметр или сторона сваи, перпендикулярная направлению действия горизонтальной силы, в м.
Рис. 8. График функций

9.13. Глубина расположения условной заделки сваи определяется по формуле

(31)
где l - глубина погружения сваи в м;

- безразмерный коэффициент, определяемый из графика на
рис. 9 в зависимости от отношения

.
Рис. 9. График функции

9.14. Расчет свай, подверженных совместному действию вертикальных и горизонтальных нагрузок по второму предельному состоянию (по деформациям), производится из условия

(32)
где

- предельная величина горизонтального перемещения сваи в уровне поверхности грунта в
м, задаваемая в проекте;

- предельно допустимое перемещение верха сваи в
м.
9.15. Горизонтальное перемещение в уровне поверхности грунта

от нормативной горизонтальной нагрузки
Pн с учетом влияния вертикальной нормативной нагрузки
Nн определяется графоаналитически. Для этого, задаваясь возможными перемещениями

, по выражению (33) вычисляются соответствующие им нагрузки

(33)
По данным расчета строится график нагрузка-перемещение, по которому определяется горизонтальное перемещение в уровне поверхности грунта от заданной нормативной нагрузки.
9.16. Перемещение верха сваи определяется по формуле (34)

(34)
Примеры расчета
Рассчитать железобетонную сваю, подверженную совместному действию вертикальных и горизонтальных нагрузок.
Исходные данные:
Pн = 0,5
т; грунты: глина консистенции
B = 0,1;
Nн = 20
т; допускаемое перемещение верха сваи
H = 2,5
м;

;
l = 6
м; сечение сваи 30 x 30
см.
| | ИС МЕГАНОРМ: примечание. Текст дан в соответствии с официальным текстом документа. | |
Задаемся армированием сваи

класса A-II и маркой бетона 300. Согласно
табл. 9 определяем расчетный изгибающий момент для данной сваи
Mр = 1,8 тм
и жесткость сечения по
табл. 11, равную:
EJ = 310 тм2.
Из
табл. 13 для данных грунтовых условий находим коэффициент податливости грунта
K = 45 т/м4.
Задаваясь несколькими значениями перемещений в уровне поверхности грунта, например

;

и

, по
формуле (33) строим график нагрузка-перемещение. Для этого построения необходимо выполнить следующие вычисления.
1. Находим численные значения отношений, соответствующие заданным перемещениям

, а именно:
--------------------------------
<*> Для перемещений

значение
l0, а следовательно, и отношение

необходимо принимать постоянным и равным значению
l0 при
.
2. По полученным значениям из графика на
рис. 9 находим значения коэффициентов

соответственно для принятых перемещений:
l0 = 0,27·6 = 1,62 м;
l0 = 0,27·6 = 1,62 м;
l0 = 0,3·6 = 1,8 м.
Соответственно находим

при
H = 0
(рис. 8) 
;

;

.
Подставляя полученные значения величин в
формулу (33), находим значения горизонтальных нагрузок, вызывающих заданные перемещения с учетом вертикальной нагрузки:
при

при

По полученным данным строим трафик нагрузка-перемещение
(рис. 10), из которого находим горизонтальные перемещения, вызванные расчетной и нормативной горизонтальными нагрузками. Нормативной нагрузке, равной
Pн = 0,5
т, соответствует перемещение

; расчетной нагрузке, равной
P = 1,2
Pн = 0,6
т (где 1,2 - коэффициент перегрузки), соответствует перемещение

;
.
Рис. 10. График нагрузка-перемещение
Зная перемещение сваи от нормативной нагрузки
Pн в уровне поверхности грунта, по
формуле (34) определяем горизонтальное перемещение верха сваи
Полученное перемещение верха сваи не превышает перемещения, допустимого в проекте
Далее производим проверку сваи по первому предельному состоянию (по прочности материала) согласно
(29). При этом расчет производится на расчетные нагрузки.
Для этого сначала найдем перемещение от расчетных нагрузок
По графику на
рис. 7 находим значение ординаты
tm и функцию
F1;
tm = 0,32;
F1 = 0,016.
Следовательно:
Mмакс = 2,174 тм > Mр = 1,8 тм,
что не удовлетворяет
формуле (27) и сваю следует пересчитать, изменив при этом процент армирования или сечение сваи.
РАСЧЕТ ЖЕСТКИХ СВАЙ НА СОВМЕСТНОЕ ДЕЙСТВИЕ
ВЕРТИКАЛЬНЫХ И ГОРИЗОНТАЛЬНЫХ НАГРУЗОК
В УСЛОВИЯХ НЕОДНОРОДНОЙ ГРУНТОВОЙ СРЕДЫ
9.17. Расчет свай и свайных фундаментов из одиночных свай, подверженных действию вертикальных и горизонтальных нагрузок, погруженных в неоднородные грунты на глубину не более 10d, по первому предельному состоянию производится из условия
Mмакс <= Mрас, (35)
где Mмакс - максимальный изгибающий момент в свае-колонне при расчетных нагрузках;
| | ИС МЕГАНОРМ: примечание. В официальном тексте документа, видимо, допущена опечатка: строительные нормы и правила "Основания зданий и сооружений. Нормы проектирования" имеют номер СНиП II-Б.1-62, а не СНиП II-В.1-62*. | |
Mрас - расчетный изгибающий момент, воспринимаемый сечением (
СНиП II-В.1-62* "Основания зданий и сооружений. Нормы проектирования" или по
табл. 11 и
12).
9.18. Максимальный изгибающий момент, возникающий в свае или свае-колонне от расчетных вертикальных и горизонтальных нагрузок, определяется путем построения эпюры изгибающих моментов по длине сваи в пределах заглубленной ее части по формуле
| | ИС МЕГАНОРМ: примечание. Формула дана в соответствии с официальным текстом документа. | |

(36)
где

- расчетный изгибающий момент, возникающий в свае или свае-колонне в любом сечении
i-го слоя грунта, определяемого интервалом
Xi-1 <
X <=
Xi;
Mi-1 - то же, на нижней границе i-1-го слоя в тм;
Xi-1 - расстояние от поверхности грунта до нижней границы i-1-го слоя в м;
Ki - коэффициент пропорциональности грунта в пределах
i-го слоя в
т/
м4, определяемый из
табл. 15;
| | ИС МЕГАНОРМ: примечание. Текст дан в соответствии с официальным текстом документа. | |
Qi-1 - поперечная сила на нижней границе i-го слоя в т;
H - высота приложения вертикальной нагрузки над поверхностью грунта в т;
Nр - расчетная вертикальная нагрузка на сваю или сваю-колонну в т;

- расчетный вес 1
пог. м сваи или сваи-колонны в
т;

- угол поворота сваи в грунте, определяемый из выражения

(37)
где

- горизонтальное перемещение сваи в уровне поверхности грунта в
м;
d - диаметр или поперечный размер прямоугольной сваи;
l0 - глубина расположения точки поворота сваи в грунте в м, определяемая из выражения

(38)
где Pс - расчетный вес сваи или сваи-колонны в т;
l - глубина погружения сваи в м;
Q0 и M0 - поперечная сила и изгибающий момент в уровне поверхности грунта от расчетных нагрузок соответственно в т и тм;

,

,

- коэффициенты влияния слоев, определяемые из выражений:

(39)

(40)

(41)
где Kn - коэффициент пропорциональности последнего слоя грунта;
Xn - расстояние от поверхности грунта до нижней границы последнего слоя, равное l.
9.19. Поперечная сила, возникающая в сечении сваи или сваи-колонны на нижней границе
i-1-го слоя, определяется из выражения
<1>

(42)
--------------------------------
<1> Для проверки результатов расчета рекомендуется построение эпюры поперечных сил. При этом поперечная сила, возникающая в свае в любом сечении
Xi-го слоя грунта, определяемого интервалом
Xi-1 <
X <
Xi, рассчитывается по формуле

(42а)
9.20. Величина угла поворота сваи или сваи-колонны в грунте -

определяется по
формуле (37).
Горизонтальное перемещение сваи или сваи-колонны определяется из графика на
рис. 11 в зависимости от значения коэффициента
B,
C и
D:

(43)

(44)

(45)
Рис. 11. График определения

| | ИС МЕГАНОРМ: примечание. В официальном тексте документа, видимо, допущена опечатка: выражение (4а) отсутствует. | |
По вычисленному значению

определяется значение коэффициента

, входящего в
выражения (36),
(41) и (4а), из графика на
рис. 12.
Рис. 12. График определения коэффициента

Примечание. При расчете сваи и свай-колонн по первому предельному состоянию можно воспользоваться аналитическим выражением для максимального изгибающего момента, возникающего в свае от действующих расчетных вертикальных и горизонтальных нагрузок:

(46)
где Xm - ордината сечения с максимальным изгибающим моментом в м.
Для определения
Xm необходимо, воспользовавшись
выражением (42а), определить слой
i, в котором эпюра
Qx меняет свой знак, т.е.
Qi-1 > 0 >
Qi.
Тогда ордината
Xm определяется из
выражения (46), решаемого путем подбора:

(47)
При проектировании и расчете свай и свай-колонн, имеющих относительно небольшое заглубление в грунт, эпюра может менять свой знак в первом, втором и редко в третьем слоях грунта.
Если эпюра
Qx имеет нулевое значение в первом слое или в случае однослойного основания,
уравнение (13) для этого случая принимает вид

(48)
где K1 - коэффициент пропорциональности грунта для первого слоя.
Если
Qx меняет свой знак во втором слое, ордината
Xm определяется из
выражения (47)

(49)
9.21. Расчет сваи и свай-колонн по второму предельному состоянию производится из условия

(50)
где

- горизонтальное перемещение сваи или сваи-колонны в уровне поверхности грунта, вызываемое действующими нормативными нагрузками, в
м;

- предельно допустимое горизонтальное перемещение свай или сваи-колонны в уровне поверхности грунта в
м, задаваемое в проекте.
9.22. Горизонтальное перемещение сваи или сваи-колонны

определяется по графику, изображенному на
рис. 11, в зависимости от величин
Bн,
Cн,
Dн с учетом действующих нормативных нагрузок.
9.23. Если конструктивные особенности сооружения требуют ограничения горизонтального перемещения сваи-колонны в верхней ее части, расположенной на высоте H от поверхности грунта, следует эти перемещения определить по формуле

(51)
удовлетворяя при этом условию

(52)
Примеры расчета
Рассчитать железобетонную сваю-колонну на совместное действие горизонтальных и вертикальных нагрузок, а также изгибающего момента при данных, сведенных в
табл. 16, а также соответствующих
рис. 13.
Таблица 16
Значения нормативных нагрузок
Вид нагрузки | Величины нагрузки в т и тм | Высота приложения нагрузки в м |
Горизонтальная нагрузка | 0,64 | H = 2,4 |
Вертикальная " | 12 | H = 2,4 |
Изгибающий момент | 0,756 | H = 1,2 |
Рис. 13. Схема для расчета жесткой сваи на совместное
действие вертикальных и горизонтальных нагрузок
Грунтовые условия
Лабораторные исследования монолитов показали, что на месте предстоящего погружения сваи залегают глинистые грунты различной консистенции (см.
табл. 17).
Таблица 17
N слоя | Расчет от поверхности земли | Толщина слоя в м | Наименование грунтов | Консистенция | Коэффициент пропорциональности Ki в т/м4 |
до верхней границы слоя | до нижней границы слоя |
1 | 0 | 0,7 | 0,7 | Глинистый | 0,4 | 25 |
2 | 0,7 | 1,9 | 1,2 | " | 0,4 | 45 |
3 | 1,9 | 3,2 | 1,3 | " | 0,03 | 65 |
Определение начальных параметров расчета
Нормативные значения начальных параметров
Расчетные значения начальных параметров
При коэффициентах перегрузок:
для внешних сил n1 = 1,22;
для собственного веса конструкции n2 = 1,1;
Выбор сечения и армирования сваи
Предварительно принимаем максимальное значение изгибающего момента, возникающего в свае от внешних сил:
Mмакс = 1,5M0 = 1,5·0,94 = 1,41 тм.
По
табл. 9 принимаем сваю: сечением 30 x 30
см, с армированием

. Длина сваи
l0 +
H = 2,6 + 2,4 = 5
м.
Допустимая величина изгибающего момента на сваю |M| = 1,8 тм.
Определение собственного веса сваи
Нормативные значения
Расчетные значения
Определение границ слоев и коэффициентов пропорциональности
Согласно
табл. 15 найдем значения коэффициентов пропорциональности грунта -
Ki и мощность слоев в виде, показанном на
рис. 14.
Таким образом, для расчета сваи имеем следующие исходные данные.
Нормативные нагрузки | Расчетные нагрузки |
| Q0 = 0,78 т |
| M0 = 0,94 тм |
Nн = 12 т | N = 14,5 т |
| Pс = 1,2 т |
| |
K1 = 25 т/м2 | X1 = 0,7 м |
K2 = 45 т/м4 | X2 = 1,9 м |
K3 = 65 т/м4 | X3 = 2,4 т |
Расчет по первому предельному состоянию
Соответственно на
рис. 12 при
C = 5,03 и
D = 13,1 находим

и определяем

По
формулам (42а) и
(36) определяем
Qi и
Mi для различных уровней заглубленной части сваи.
Расчет ведем по слоям:
Q1 = 0,78 - 0,01461·25·0,72(2,946 - 0,7) = 0,368 т;
Q2 = 0,368 - 0,01461·45[2,946(1,92 - 0,72) -
- (1,93 - 0,73)] = -1,387 т;
Q3 = -1,387 - 0,01461·65[2,946(2,62 - 1,92) -
- (2,63 - 1,93)] ~= 0.
Изгибающий момент
M2 = 1,576 + 0,368·1,2 + (14,5 + 2,15·0,24)4,3·0,002135 -
- 0,00366·45[11,784·1,9(1,92 - 0,72) - 14,456(1,93 - 0,73) +
+ 3(1,94·0,74] = 0,895 тм;
M3 = 0,895 - 1,387·0,7 + (14,5 + 2,5·0,24)5,0·0,002135 -
- 0,00366·65[11,784·2,6(2,62 - 1,92) - 18,265·(2,63 -
- 1,93) + 3(2,64 - 1,94)] = 0.
Q1 = 0,368 т;
Q2 = -1,387 т.
Так как Q1 > 0 и Q2 < 0, заключаем, что поперечная сила имеет нулевое значение во втором слое.
Ординату максимального изгибающего момента
xм находим по
формуле (49)
Решив уравнение, находим:
xm = 0,9 м;
Mмакс = 1,576 + 0,368·0,2 + (14,5 + 1,65·0,24)3,3·0,002135 =
= 0,00366·45[11,784·0,9·0,32 - 11,456·8,386 + 1,245] =
= 1,718 тм.
Расчет по второму предельному состоянию
При задании в проекте перемещения сваи-колонны в верхней ее части на высоте
H от поверхности грунта

.
При этом должно быть удовлетворено условие
Для наглядного представления о необходимости учета многослойности основания, ниже приводится
пример 2 для той же сваи с напластованием слоев грунта, расположенных в обратном порядке.
Рассчитать сваю, приведенную в
примере 1, при убывании прочности грунтов по глубине:
K1 = 65 т/м4; x1 = 0,7 м; l = 2,6 м;
K2 = 45 т/м4; x2 = 1,9 м; H = 2,4 м;
K3 = 25 т/м4; x3 = 2,6 м; d = 0,3 м.
Расчет по первому предельному состоянию
По графику на
рис. 12 определяем при
C1 = 8,55 и
D = 11,75
Определяем величину

Расчет ведем по слоям:
Ql = 0,78 - 0,00837·65(3,227·0,49 - 0,343) = 0,097 т;
Q2 = 0,097 - 0,00837·45[3,227(1,92 - 0,72) - (1,93 - 0,73)] = -1,241 т;
Q3 = -1,241 - 0,00837·25[3,227(2,62 - 1,92) - (2,63 - 1,93)] = 0.
Изгибающий момент
В данном примере ограничимся определением Mмакс.
Ординату
Xm максимального изгибающего момента найдем графически из эпюры
Qx (рис. 15) Xm ~= 0,8
м.
Рис. 15. Эпюра прерывающих сил
Q вдоль сваи
Найдем вначале M1:
Расчет по второму предельному состоянию
РАСЧЕТ СВАЙНЫХ ФУНДАМЕНТОВ С ЖЕСТКИМ РОСТВЕРКОМ
НА ВЕРТИКАЛЬНУЮ НАГРУЗКУ
Общие положения
Сваи нумеруются и координаты их осей выбираются согласно схеме на
рис. 16.
Рис. 16. Расчетная схема расположения свай в плане
Исходными данными являются:
d - диаметр сваи в м;
x, y - расстояние между осями крайних свай в плане соответственно по оси oX и oY в м;
P - внешняя нагрузка на ростверк в т;
x0, y0 - координаты точки приложения силы в м;
Pпред - предельная нагрузка на сваю в
т, определяемая по статическим испытаниям или по СНиП II-Б.5-67 "Свайные фундаменты. Нормы проектирования",
табл. 1 и
2;
W - осадка одиночной сваи от действия единичной нагрузки в м, определяемая по статическим испытаниям с учетом фактора времени;

- безразмерный коэффициент, учитывающий взаимное влияние свай друг на друга, может быть принят

.
Результатами расчета являются:

- крен относительно оси
oX,

- крен относительно оси
oY;
W0 - вертикальное перемещение ростверка в точке (x0, y0);
Ki - номер сваи, потерявшей устойчивость или работающей на выдергивание (причем для свай, работающих на выдергивание, эти номера имеют знак "-").
Программа автоматически формирует симметричную систему
где
n - число свай

;
i,
j = 1, 2, ...,
n.
Для решения этой системы используется программа Н-7 КиевЗНИИЭПа, которая имеется в ДЗУ вместе с программой Н-59. Учет устойчивости и выдергивания свай производится неравенством
Фактически решается система линейных уравнений и неравенств, для чего используется итерационный процесс. После решения системы на каждом шагу итерации производится проверка 0 <= Xj <= Pпред. Если при данном j это неравенство не выполняется, то назначается

(54)
Это исправленное значение Xj подставляется в систему как известная величина, система переформировывается и порядок ее уменьшается. Этот процесс повторяется при каждой итерации, пока все Xj не становятся больше Pпред и не меньше нуля либо система не становится вырожденной (что указывает на общую потерю устойчивости ростверком в целом).
Программой предусмотрена возможность расчета без учета неравенств либо с учетом какого-то одного неравенства. То есть имеется 4 варианта:
I | |
II | - с учетом только Xj <= Pпред (нажата клавиша "Ключ"); |
III | - " | " | " | Xj >= 0 (нажата клавиша "Вариант"); |
IV | - с учетом (53) (нажаты клавиши "Ключ" и "Вариант"). |
Результаты печатаются, после чего машина останавливается.
Для вычисления Wij используется формула

(55)
где xi, yi - координаты оси i-й сваи в плане.
Блок-схема
I | Очистка ячеек для признаков | 407-409 70-14 |
| | |
II | | Блок нахождения адреса последнего свободного члена (выход по ячейке 1023) | 191-199 |
| | |
III | Сохранение начального (порядка системы),  и A посл. своб. члена | 76-78 200-201 |
| | |
IV | Блок образования коэффициентов и свободных членов системы (выход по ячейке 1022) | | 79-190 |
| | |
V | Переход к решению системы симметричных линейных уравнений | 202-204 |
| | |
VI | Блок решения системы симметричных линейных уравн. | | 14 336-14 478 |
| | |
VII | Печать результатов | 205-213 |
| | |
VIII | Если клавиша "ключ" или "вариант" нажата, то | |
| | |
IX | Останов | 216 |
| | |
X | | Блок проверки результатов и образования признаков | 217-271 410-419 388-392 |
| | |
XI | Если клавиша "вариант" нажата, то | |
| | |
XII | Если "ключ" нажата, то | |
| | |
XIII | Восстановление начальных, п, ш | 410-411 |
| | |
XIV | Останов | 412 |
| | |
XV | Если все Xi > 0, то | |
| | |
XVI | Признаку + 1 переход к образованию системы | |
| | |
XVII | Если все Xt < Pпред, то | |
| | |
XVIII | Переход к блоку образования начальной системы | |
| | | | Выход из IV | |
XIX | Выделение номера прочеркиваемого ряда для переадресации | 393-397 260-265 |
| | |
XX | Если признак = 0, то | |
| | |
XXI | Если признак < 0, то | |
| | |
XXII | Если нажата "Ключ", то | |
| | |
XXIII | Если все признаки проверены, то | |
| | | XIX | 420-422 |
XXIV | Если нажато "Вариант", то | |
| | |
XXV | Образование свободных членов по признакам (сложение к свободным членам коэффициентов прочеркив. ряда) | 272-293 |
| | |
XXVI | Переадресация коэффициентов | 294-342 |
| | |
XXVII | Уменьшение порядка системы | |
| | | Выход из II | |
XXVIII | Переадресация свободных членов | 344-354 |
| | | XXIII | |
XXIX | Образование новых свободных членов по признакам | 364-379 |
| | |
XXX | Если порядок системы n < 6, то | |
| | |
XXXI | Печать "Нет реш.", останов. | 7828-7835 |
| | |
Блок нахождения адреса последнего свободного члена
I | Вычисление  | 191 - 195 |
| | |
II |  + [первый A коэф.] - I | 196-197 |
| | |
III | Нахождение адреса последнего свободного члена | 198-199 |
| | |
IV | Выход по ячейке 1023 | 199 |
Блок образования коэффициентов и свободных членов системы
I | Очистка ячеек всех коэффициентов | 78-83 |
| | |
II | Образование посл. свободного члена (= P) | 84-85 |
| | |
III | Посылка (-1) в коэффициенты W0 | 86-97 |
| | |
IV | Посылка W в коэф. главной диагонали | 98-106 |
| | |
V | Вычисление ( xi - x0) и посылка в коэффициенты  | 107-120 |
| | |
VI | Вычисление ( yi - y0) и посылка в коэффициенты  | - |
| | |
VII | Если все точки не учтены, то | |
| | |
VIII | Вычисление  и посылка в соотв. ячейки | 134-171 |
| | |
IX | Если все точки не учтены, то | |
| | |
| Выход по ячейке 1022 | |
Блоки проверки результатов и образования признаков
I | Нахождение ячейки Xn и вычисление n - 3 | 217-222 |
| | |
II | Проверка Xi | 223-225 |
| | |
III | Если Xi < 0, то | |
| | |
IV | Если Xi > Pпред, то | |
| | |
V | + 1 ячейку, где количество X, которые меньше Pпред | 229-230 |
| | |
VI | Если все Xi не проверены, то | |
| | |
VII | Выход из блока | 242-243 |
| | |
VIII | Добавление 1 к 6-му разряду ячейки признака | 388-389 |
| | |
IX | Печатать знака "-----" | 391 |
| | |
X | Печать порядкового номера Xi | 231-232 |
| | |
XI | Сложение порядкового номера с 5-ю последними разрядами ячейки признака | 233-234 |
| | |
XII | Передвижение ячейки признака 6-го разряда налево или переадресация | |
РАСПРЕДЕЛЕНИЕ ПАМЯТИ МАШИНЫ
I ОЗУ
1. Рабочие ячейки
10-15; 19; 27-28; 34-59
2. Исходные данные
60-69; 29-30
3. Программа
70-422
4. Константы 31 - 33.
5. Матрица системы уравнений (в треугольном виде)
424-1017 (до 33-го порядка).
II ОЗУ
1. Решение системы уравнений
14336-14478.
2. Контрольное суммирование
2144-2173.
3. Печать "Нет реш."
7828-7835; 7934-7935.
Примечание. После ввода ленты программы в машину можно считать контрольную сумму. Контрольная сумма записывается в ячейку 34 и программа "Подготовка" в ячейки 50 - 54. В ходе расчета эти ячейки используются как рабочие.
ИНСТРУКЦИЯ
Исходные данные
Исходные данные вводятся в ОЗУ в следующем порядке:
29 m и n - порядок системы;
ш n - ширина ленты;
60 n W - осадка одиночной сваи от действия единичной нагрузки (м/т);
d - диаметр сваи (м);

- расстояние между осями крайних свай по оси
X и оси
Y соответственно (
м);

- расстояния между осями соседних свай по оси
X и по оси
Y соответственно (
м);
P - нагрузка на ростверк (т);

- координаты точки приложения внешней нагрузки (
м);
Pпред - предельная нагрузка на одиночную сваю (т).
Примечания: 1. Порядок системы и ширина ленты получаются следующим образом: n = число свай + 3.
2. Возможны 4 варианта расчета:
а) | без учета условия Xi <= Pпред; |
б) | с учетом условия Xi <= Pпред (нажата клавиша "Ключ"); |
в) | с учетом условия Xi > 0 (нажата клавиша "Вариант"); |
г) | " | " | условий Xi <= Pпред; Xi > 0 (нажаты клавиши "Ключ" и "Вариант"). |
Инструкция оператору
1. Ввести ленту с программой и с контрольным суммированием.
2. Сосчитать контрольную сумму, для чего нужно набрать на РТА 50И.
При совпадении контрольных сумм машина останавливается и горит лампа "останов.". При несовпадении машина печатает "не совп.". Тогда необходимо повторить ввод.
3. Следить, чтобы в машине была кассета с программой Н-59.
4. Ввести исходные данные в следующем порядке:
5. В случае необходимости нажать нужную клавишу ("Ключ" или "Вариант" или обе).
6. Набрать на РТА 70И.
После окончания расчета в СчК находится 6358 или 174008.
Второй случай тогда, когда печатается "нет реш.".
Примечание. При повторном решении с тем же самым n придется ввести снова n в ячейки 29 и 30, потому что в ходе расчета содержимое этих ячеек портится.
Результаты расчета
При решении задачи на печать выводятся результаты по каждой итерации в следующем порядке:
Xi - величины реакций свай в порядке нумерации (согласно
рис. 16);

,

- крены ростверка в плоскости
0X и
0Y соответственно;
Wо - осадка ростверка в точке приложения равнодействующей внешней нагрузки;
i - номера свай, реакция которых Xi > Pпред, если нажата клавиша "Ключ";
j - номера свай, работающих на выдергивание (со знаком минус), если нажата клавиша "Вариант".
Расчет заканчивается, когда выполненными оказываются ограничения для величин реакций всех свай.
Результаты окончательной итерации выводятся так же, как и в промежуточных итерациях.
Тест - пример
Исходные данные | 4 | |
29 т | | 1 | |
33 | | 1 | |
33 | | 900 | |
Ш | | 2,5 | |
60п | | 2 | |
0,0004368 | | 40,001 | |
0,3 | | Ш | |
| | Нажата клавиша "Ключ" |
| | Результаты: |
| | |
42,4001 | | | |
32,5615 | P = 900 т | | |
32,8680 | | |
32,8680 | | | |
32,5615 | P = 40 т | 42,4001 | |
42,4001 | 0,0000 | |
32,5617 | | 0,0000 | |
22,2675 | | 0,0268 | |
22,8260 | | 33,2561 | |
22,8260 | | 33,2741 | |
22,2675 | | 33,1182 | |
32,5617 | | 33,1182 | |
32,5617 | | 33,2741 | |
32,8539 | | 33,2741 | |
22,7983 | | 23,5313 | |
23,3776 | | 22,9956 | |
23,3776 | | 22,9956 | 22,5313 |
22,7983 | | 22,5313 | 22,9956 |
32,8539 | | 32,2741 | 22,9956 |
32,5617 | | 33,0974 | 22,5313 |
22,2675 | | 23,9601 | 33,2741 |
22,8260 | | 22,5555 | 33,2741 |
22,8260 | | 23,5555 | 33,1182 |
22,2675 | | 23,9601 | 33,1182 |
32,5617 | | 32,0974 | 33,2741 |
42,4001 | | 33,2741 | 0,0000 |
32,5615 | | | 0,0000 |
32,8680 | | | 0,0270 |
32,8680 | | | |
32,5615 | | | |
Код - программа
106 | 70 | | Е1 | 336 | П | |
107 | 71 | | П | 0 | П | 50 |
110 | 72 | | С | 1 | П | 1 |
111 | 73 | | В1 | 9 | П | |
112 | 74 | | Е1 | 16380 | П | |
113 | 75 | | М1 | 191 | К | 1023 |
114 | 76 | | П | 29 | Н | 11 |
115 | 77 | | П | 41 | Н | 12 |
116 | 78 | | Е1 | 121 | П | |
117 | 79 | | П | 32 | Н | 1 |
120 | 80 | | П | 0 | К | |
121 | 81 | | С | 1 | П | 1 |
122 | 82 | | В1 | 13 | Н | |
123 | 83 | | Е1 | 16380 | П | |
124 | 84 | | П | 13 | Н | 1 |
125 | 85 | | П | 66 | Н | |
126 | 86 | | П | 32 | Н | |
127 | 87 | | С1 | 11 | Н | |
130 | 88 | | В1 | 1 | П | 1 |
131 | 89 | | П | 12 | Н | 41 |
132 | 90 | | В1 | 7 | П | |
133 | 91 | | С1 | 32 | Н | 41 |
134 | 92 | | П | 11 | Н | 40 |
135 | 93 | | П | 6051 | Н | |
136 | 94 | | В | 1 | П | 40 |
137 | 95 | | С1 | 1 | Н | 1 |
140 | 96 | | В1 | 41 | Н | |
141 | 97 | | Е1 | 16379 | П | |
142 | 98 | | П | 32 | Н | 1 |
143 | 99 | | В | 3 | П | 41 |
144 | 100 | | П | 11 | Н | 40 |
145 | 101 | | П | 60 | Н | |
146 | 102 | | С | 40 | Н | 1 |
147 | 103 | | В1 | 41 | Н | |
150 | 104 | | Е1 | 2 | П | |
151 | 105 | | В | 1 | П | 40 |
152 | 106 | | Е1 | 16378 | П | |
153 | 107 | | П | 11 | Н | |
154 | 108 | | В1 | 1 | П | 42 |
155 | 109 | | П | 0 | П | 43 |
156 | 110 | | П | 0 | П | 34 |
157 | 111 | | П | 32 | Н | 40 |
160 | 112 | | С1 | 11 | Н | |
161 | 113 | | В1 | 3 | П | 1 |
162 | 114 | | П | 43 | Н | 45 |
163 | 115 | | ВП | 67 | Н | 45 |
164 | 116 | | П | 45 | Н | |
165 | 117 | | П | 34 | Н | 46 |
166 | 118 | | ВП | 68 | Н | 46 |
167 | 119 | | С | 1 | П | 1 |
170 | 120 | | П | 46 | Н | |
171 | 121 | | П | 43 | Н | 15 |
172 | 122 | | ОВ | 62 | Н | 15 |
173 | 123 | | Е1 | 4 | Н | 43 |
174 | 124 | | СП | 64 | Н | 43 |
175 | 125 | | В | 1 | П | 42 |
176 | 126 | | С1 | 42 | Н | 1 |
177 | 127 | | Е1 | 16370 | П | |
200 | 128 | | П | 34 | Н | 15 |
201 | 129 | | ОВ | 63 | Н | 15 |
202 | 130 | | Е1 | 3 | П | |
203 | 131 | | СП | 65 | Н | 34 |
204 | 132 | | П | 0 | П | 43 |
205 | 133 | | Е1 | 16375 | П | |
206 | 134 | | В | 4 | П | 41 |
207 | 135 | | П | 0 | П | 43 |
210 | 136 | | П | 0 | П | 34 |
211 | 137 | | П | 32 | Н | 1 |
212 | 138 | | С1 | 1 | П | 1 |
213 | 139 | | П | 0 | П | 46 |
214 | 140 | | П | 64 | Н | 45 |
215 | 141 | | П | 43 | Н | 37 |
216 | 142 | | ОВ | 45 | Н | 37 |
217 | 143 | | П | 34 | Н | 38 |
220 | 144 | | ОВ | 46 | Н | 38 |
221 | 145 | | УП | 37 | Н | 37 |
222 | 146 | | УП | 38 | Н | 38 |
223 | 147 | | СП | 37 | Н | 38 |
224 | 148 | | КП | 38 | Н | 42 |
225 | 149 | | ОД | 61 | Н | 42 |
226 | 150 | | УП | 5790 | Н | 42 |
227 | 151 | | УП | 6051 | Н | 42 |
230 | 152 | | ЕХ | 42 | Н | 42 |
231 | 153 | | Е1 | 4 | П | |
232 | 154 | | Х | | | |
233 | 155 | | Х | | | |
234 | 156 | | Х | | | |
235 | 157 | | Х | | | |
236 | 158 | | УП | 60 | Н | 42 |
237 | 159 | | П | 42 | Н | |
240 | 160 | | С | 1 | П | 1 |
241 | 161 | | П | 45 | Н | 15 |
242 | 162 | | ОВ | 62 | Н | 15 |
243 | 163 | | Е1 | 2 | П | |
244 | 164 | | СП | 64 | Н | 45 |
245 | 165 | | Е1 | 16359 | П | |
246 | 166 | | П | 46 | Н | 15 |
247 | 167 | | ОВ | 63 | Н | 15 |
250 | 168 | | Е1 | 3 | П | |
251 | 169 | | СП | 65 | Н | 46 |
252 | 170 | | П | 0 | П | 45 |
253 | 171 | | Е1 | 16353 | П | |
254 | 172 | | С | 4 | П | 1 |
255 | 173 | | В1 | 41 | Н | |
256 | 174 | | И | 1022 | П | |
257 | 175 | | П | 43 | Н | 15 |
260 | 176 | | ОВ | 62 | Н | 15 |
261 | 177 | | Е1 | 9 | П | |
263 | 178 | | СП | 64 | Н | 43 |
262 | 179 | | П | 43 | Н | 15 |
264 | 180 | | ОВ | 62 | Н | 15 |
265 | 181 | | Е1 | 3 | П | |
266 | 182 | | П | 34 | Н | 46 |
267 | 183 | | П | 43 | Н | 45 |
270 | 184 | | Е1 | 16363 | П | |
271 | 185 | | П | 34 | Н | 46 |
272 | 186 | | Е1 | 16366 | П | |
273 | 187 | | СП | 65 | Н | 34 |
274 | 188 | | П | 0 | П | 43 |
275 | 189 | | П | 34 | Н | 46 |
276 | 190 | | Е1 | 16333 | П | |
277 | 191 | | П | 2 | П | 42 |
300 | 192 | | П | 29 | Н | 41 |
301 | 193 | | УТ | 41 | Н | 41 |
302 | 194 | | С | 29 | Н | 41 |
303 | 195 | | ДТ | 42 | Н | 41 |
304 | 196 | | С1 | 32 | Н | |
305 | 197 | | В1 | 1 | П | 14 |
306 | 198 | | С1 | 29 | Н | 19 |
307 | 199 | | И | 1023 | П | |
310 | 200 | | П | 19 | Н | 13 |
311 | 201 | | И1 | 79 | К | 1022 |
312 | 202 | | О | 2274 | Н | |
313 | 203 | | Е | 1 | П | 48 |
314 | 204 | | И | 14336 | П | |
315 | 205 | | П | 41 | Н | |
316 | 206 | | Б1 | 11 | П | 1 |
317 | 207 | | С | 2048 | П | 1 |
320 | 208 | | ПП | 0 | Н | 4 |
321 | 209 | | О | 2274 | Н | |
322 | 210 | | П | 1 | Н | |
323 | 211 | | А1 | 11 | П | |
324 | 212 | | В1 | 19 | Н | |
325 | 213 | | Е1 | 16377 | П | |
326 | 214 | | И3 | 217 | П | |
327 | 215 | | Е1 | 1 | П | 1 |
330 | 216 | | Е1 | 195 | П | |
331 | 217 | | П | 29 | Н | 10 |
332 | 218 | | В1 | 3 | П | 43 |
333 | 219 | | П | 6 | П | 49 |
334 | 220 | | П | 19 | Н | |
335 | 221 | | В1 | 3 | П | 42 |
336 | 222 | | П | 0 | П | 15 |
337 | 223 | | П | 42 | Н | 1 |
340 | 224 | | | 11 | П | 1 |
341 | 225 | | П | 0 | Н | 34 |
342 | 226 | | Е1 | 27 | П | |
343 | 227 | | ОВ | 69 | Н | 34 |
344 | 228 | | Е1 | 2 | П | |
345 | 229 | | С | 1 | П | 15 |
346 | 230 | | Е1 | 7 | П | |
347 | 231 | | ПТ | 43 | Н | |
350 | 232 | | О | 2270 | Н | |
351 | 233 | | П | 28 | Н | 1 |
352 | 234 | | С | 43 | Н | 50 |
353 | 235 | | В | 1 | П | 49 |
354 | 236 | | Е1 | 14 | П | |
355 | 237 | | | 6 | П | 50 |
356 | 238 | | В | 1 | П | 43 |
357 | 239 | | В | * | П | 42 |
360 | 240 | | В1 | 44 | Н | |
361 | 241 | | Е1 | 16365 | П | |
362 | 242 | | М | 6 | П | 49 |
363 | 243 | | Е1 | 174 | П | |
364 | 244 | | П | 28 | Н | 1 |
365 | 245 | | А | 6 | П | 50 |
366 | 246 | | Е1 | 166 | П | |
367 | 247 | | В1 | 29 | Н | |
370 | 248 | | С1 | 3 | П | |
371 | 249 | | Е1 | 7 | П | |
372 | 250 | | Е1 | 159 | П | |
373 | 251 | | С | 1 | П | 28 |
374 | 252 | | П | 6 | П | 49 |
375 | 253 | | Е1 | 16368 | П | |
376 | 254 | | В | 1 | П | 10 |
377 | 255 | | Е1 | 132 | П | |
400 | 256 | | Е1 | 16358 | П | |
401 | 257 | | С | 1 | П | 28 |
402 | 258 | | И1 | 79 | К | 1022 |
403 | 259 | | Е1 | 133 | П | |
404 | 260 | | П | 0 | П | 38 |
405 | 261 | | П | 6 | П | 49 |
406 | 262 | | П | 40 | Н | 1 |
407 | 263 | | | 11 | П | 1 |
410 | 264 | | П | 50 | Н | 15 |
411 | 265 | | Л1 | 31 | П | 45 |
412 | 266 | | Е1 | 92 | П | |
413 | 267 | | В1 | 38 | Н | 45 |
414 | 268 | | П | 15 | Н | |
415 | 269 | | Л1 | 32 | П | |
416 | 270 | | Е1 | 113 | П | |
417 | 271 | | Е1 | 114 | П | |
420 | 272 | | П | 45 | Н | 39 |
421 | 273 | | П | 29 | Н | 37 |
422 | 274 | | П | 32 | Н | |
423 | 275 | | С1 | 45 | Н | |
424 | 276 | | В1 | 1 | П | 34 |
425 | 277 | | П | 14 | Н | |
426 | 278 | | С1 | 1 | П | 36 |
427 | 279 | | П | 34 | Н | |
430 | 280 | | | 11 | П | |
431 | 281 | | С1 | 36 | Н | 1 |
432 | 282 | | СП | 0 | Н | |
433 | 283 | | В | 1 | П | 39 |
434 | 284 | | Е1 | 4 | П | |
435 | 285 | | В | 1 | П | 37 |
436 | 286 | | С | 37 | Н | 34 |
437 | 287 | | С | 1 | П | 36 |
440 | 288 | | Е1 | 16374 | П | |
441 | 289 | | П | 36 | Н | |
442 | 290 | | В1 | 19 | Н | |
443 | 291 | | Е1 | 2 | П | |
444 | 292 | | С | 1 | П | 34 |
445 | 293 | | Е1 | 16377 | П | |
446 | 294 | | П | 29 | Н | |
447 | 295 | | В1 | 2 | П | 39 |
450 | 296 | | П | 1 | П | 37 |
451 | 297 | | П | 45 | Н | 35 |
452 | 298 | | П | 32 | Н | |
453 | 299 | | С1 | 45 | Н | 34 |
454 | 300 | | В1 | 1 | П | 36 |
455 | 301 | | С1 | 39 | Н | 47 |
456 | 302 | | В1 | 37 | Н | 46 |
457 | 303 | | В | 1 | П | 35 |
460 | 304 | | Е1 | 16 | П | |
461 | 305 | | П | 34 | Н | |
462 | 306 | | Б1 | 11 | П | |
463 | 307 | | С1 | 36 | Н | |
464 | 308 | | П | 0 | Н | |
465 | 309 | | П | 1 | Н | |
466 | 310 | | Л1 | 2047 | П | |
467 | 311 | | М1 | 46 | Н | |
470 | 312 | | Е1 | 2 | П | |
471 | 313 | | С | 2049 | П | 1 |
472 | 314 | | Е1 | 16377 | П | |
473 | 315 | | С | 1 | П | 37 |
474 | 316 | | П | 47 | Н | |
475 | 317 | | С1 | 2 | П | 34 |
476 | 318 | | П | 46 | Н | |
477 | 319 | | С1 | 1 | П | 36 |
500 | 320 | | Е1 | 16364 | П | |
501 | 321 | | П | 45 | Н | |
502 | 322 | | В1 | 1 | П | |
503 | 323 | | Е1 | 13 | П | |
504 | 324 | | П | 47 | Н | |
505 | 325 | | С1 | 2 | П | 34 |
506 | 326 | | П | 34 | Н | |
507 | 327 | | | 11 | П | |
510 | 328 | | С1 | 36 | Н | 1 |
511 | 329 | | П | 0 | Н | |
512 | 330 | | П | 1 | Н | |
513 | 331 | | А1 | 11 | П | |
514 | 332 | | Л1 | 2047 | П | |
515 | 333 | | М1 | 14 | Н | |
516 | 334 | | Е1 | 6 | П | |
517 | 335 | | С | 2049 | П | 1 |
520 | 336 | | Е1 | 16376 | П | |
521 | 337 | | П | 32 | Н | |
522 | 338 | | С1 | 29 | Н | 34 |
523 | 339 | | П | 32 | Н | 36 |
524 | 340 | | Е1 | 16369 | П | |
525 | 341 | | В | 1 | П | 29 |
526 | 342 | | С | 1 | П | 38 |
527 | 343 | | И1 | 191 | К | 1023 |
530 | 344 | | П | 45 | Н | 39 |
531 | 345 | | С | 2049 | П | 1 |
532 | 346 | | П | 0 | Н | |
533 | 347 | | В | 1 | П | 39 |
534 | 348 | | Е1 | 2 | П | |
535 | 349 | | С | 2048 | П | 1 |
536 | 350 | | Е1 | 16379 | П | |
537 | 351 | | П | 1 | Н | |
540 | 352 | | Л1 | 2047 | П | |
541 | 353 | | М1 | 19 | Н | |
542 | 354 | | Е1 | 16374 | П | |
543 | 355 | | Е | 1 | П | 49 |
544 | 356 | | Е1 | 2 | П | |
545 | 357 | | А | 6 | П | 15 |
546 | 358 | | Е1 | 16290 | П | |
547 | 359 | | Е1 | 60 | П | |
550 | 360 | | В1 | 28 | Н | |
551 | 361 | | Е1 | 2 | П | |
552 | 362 | | С | 1 | П | 40 |
553 | 363 | | Е1 | 16280 | П | |
554 | 364 | | П | 14 | Н | |
555 | 365 | | С1 | 1 | П | 1 |
556 | 366 | | | 11 | П | 1 |
557 | 367 | | П | 0 | Н | 37 |
560 | 368 | | УП | 69 | Н | 37 |
561 | 369 | | А | 11 | П | 1 |
562 | 370 | | П | 37 | Н | |
563 | 371 | | П | 1 | Н | |
564 | 372 | | В1 | 19 | Н | |
565 | 373 | | Е1 | 2 | П | |
566 | 374 | | С | 1 | П | 1 |
567 | 375 | | Е1 | 16374 | П | |
570 | 376 | | П | 69 | Н | 38 |
571 | 377 | | ВП | 11810 | Н | 38 |
572 | 378 | | УП | 66 | Н | 38 |
573 | 379 | | СП | 38 | Н | |
574 | 380 | | П | 29 | Н | 30 |
575 | 381 | | В1 | 6 | П | |
576 | 382 | | И | 7828 | П | |
577 | 383 | | Е1 | 14 | П | |
600 | 384 | | Е1 | 16293 | П | 1 |
601 | 385 | | Е1 | 16353 | П | |
602 | 386 | | И3 | 272 | П | |
603 | 387 | | Е1 | 16351 | П | |
604 | 388 | | П | 28 | П | 1 |
605 | 389 | | С | 32 | П | 50 |
606 | 390 | | С | 1 | П | 15 |
607 | 391 | | С | 2259 | Н | |
610 | 392 | | Е1 | 16222 | П | |
611 | 393 | | П | 11 | Н | 29 |
612 | 394 | | П | 13 | Н | 19 |
613 | 395 | | В1 | 29 | Н | 14 |
614 | 396 | | П | 0 | П | 40 |
615 | 397 | | Е1 | 16242 | П | |
616 | 398 | | О | 2274 | П | |
617 | 399 | | Е1 | 16186 | П | |
620 | 400 | | Е1 | 3 | П | 1 |
621 | 401 | | П | 15 | Н | |
622 | 402 | | И3 | 247 | П | |
623 | 403 | | Е1 | 6 | П | |
624 | 404 | | М | 29 | Н | 10 |
625 | 405 | | Е1 | 16379 | П | |
626 | 406 | | Е1 | 16234 | П | |
627 | 407 | | П | 0 | П | 28 |
630 | 408 | | П | 0 | П | 1 |
631 | 409 | | Е1 | 16045 | П | |
632 | 410 | | П | 11 | Н | 29 |
633 | 411 | | П | 11 | Н | 30 |
634 | 412 | | К | 0 | Н | |
635 | 413 | | Л1 | 131072 | Л | |
636 | 414 | | Е1 | 2 | П | |
637 | 415 | | М | 258048 | Л | 50 |
640 | 416 | | П1 | 0 | Н | 50 |
641 | 417 | | Е1 | 16366 | П | |
642 | 418 | | В | 1 | П | 28 |
643 | 419 | | Е1 | 16364 | П | |
644 | 420 | | П | 40 | Н | |
645 | 421 | | С1 | 1 | П | |
646 | 422 | | Е1 | 16321 | П | |
647 | 423 | | | | | |
| 50к | | Х | 31 | Н | 33 |
| 51 | | Х | 70 | Н | 422 |
| 52 | | И1 | 2144 | К | 1023 |
| 53 | | И | 7881 | П | 9 |
| 54 | | К | 0 | Н | |
Константы
| I | 31 т | | | |
| 424 | | | | |
| I | | | | |
| III | | | | |
К | 44020132 | 34 т | | | |
14336 | | П | 0 | П | 37 |
7 | | П | 30 | Н | 34 |
8 | | П | 32 | Н | 35 |
9 | | П | 0 | К | 47 |
14340 | | П | 0 | П | 40 |
1 | | П | 35 | Н | 38 |
2 | | П | 1 | П | 36 |
3 | | П | 37 | Н | |
4 | | Е1 | 19 | П | |
5 | | П | 41 | Н | |
6 | | С1 | 47 | Н | |
7 | | С1 | 1 | П | 44 |
8 | | С1 | 36 | Н | 45 |
9 | | П | 35 | Н | |
14350 | | С1 | 36 | Н | |
1 | | | 11 | П | 1 |
2 | | П | 0 | Н | 43 |
3 | | П | 44 | Н | |
4 | | | 11 | П | 1 |
5 | | П | 0 | Н | 44 |
6 | | УП | 43 | Н | 44 |
7 | | П | 35 | Н | |
8 | | | 11 | П | 1 |
9 | | П | 0 | Н | 43 |
14360 | | ДП | 44 | Н | 43 |
1 | | П | 45 | Н | 1 |
2 | | ОВ | 43 | Н | |
3 | | Е1 | 23 | П | |
4 | | С | 34 | Н | 38 |
5 | | В | 40 | Н | 38 |
6 | | П | 0 | П | 39 |
7 | | П | 38 | Н | |
8 | | С1 | 39 | Н | 45 |
9 | | П | 35 | Н | |
14370 | | С1 | 36 | Н | 44 |
1 | | | 11 | П | 1 |
2 | | П | 0 | Н | 43 |
3 | | С | 39 | Н | 44 |
4 | | | 11 | П | 1 |
5 | | П | 0 | Н | 44 |
6 | | УП | 43 | Н | 44 |
7 | | П | 35 | Н | |
8 | | | 11 | П | 1 |
9 | | ОД | 0 | Н | 44 |
14380 | | П | 45 | Н | 1 |
1 | | ОВ | 44 | Н | |
2 | | С | 1 | П | 39 |
3 | | В1 | 34 | Н | |
14384 | | С1 | 36 | Н | |
5 | | С1 | 1 | П | |
6 | | Е1 | 16364 | П | |
7 | | П | 36 | Н | |
8 | | С1 | 47 | Н | |
9 | | В1 | 1 | П | |
14390 | | В1 | 29 | П | |
1 | | С1 | 34 | Н | |
2 | | Е1 | 1 | П | |
3 | | С | 1 | П | 40 |
4 | | С | 1 | П | 36 |
5 | | В1 | 34 | Н | |
6 | | С1 | 1 | П | |
7 | | Е1 | 16329 | П | |
8 | | С | 34 | Н | 35 |
9 | | П | 29 | Н | |
14400 | | В1 | 34 | Н | |
1 | | В1 | 47 | Н | |
2 | | Е1 | 1 | П | |
3 | | В | 1 | П | 34 |
4 | | С | 1 | П | 47 |
5 | | В1 | 29 | Н | |
6 | | С1 | 2 | П | |
7 | | Е1 | 16316 | П | |
14408 | | П | 35 | Н | 41 |
9 | | П | 37 | Н | |
14410 | | Е1 | 21 | П | |
1 | | П | 0 | П | 46 |
2 | | П | 1 | П | 37 |
3 | | П | 31 | Н | |
4 | | Е1 | 1 | П | |
5 | | Е1 | 16305 | П | |
6 | | П | 1 | П | 39 |
7 | | П | 39 | Н | |
8 | | С1 | 41 | Н | 1 |
9 | | П | 0 | К | |
14420 | | С | 1 | П | 39 |
1 | | В1 | 29 | Н | |
2 | | Е1 | 16378 | П | |
3 | | П | 41 | Н | |
4 | | С1 | 46 | Н | 1 |
5 | | С | 1 | П | 1 |
6 | | П | 8213 | К | |
7 | | Е1 | 16293 | П | |
8 | | С | 1 | П | 46 |
9 | | В1 | 29 | Н | |
14430 | | Е1 | 16939 | П | |
1 | | Е1 | 48 | П | |
14432 | | П | 29 | Н | 47 |
3 | | П | 35 | Н | |
4 | | | 11 | П | 1 |
5 | | П | 0 | Н | 42 |
6 | | ВП | 0 | П | 42 |
7 | | П | 41 | Н | |
8 | | С1 | 47 | Н | 1 |
9 | | ОД | 42 | Н | |
14440 | | П | 35 | Н | |
1 | | В1 | 32 | Н | |
2 | | Е1 | 23 | П | |
3 | | П | 30 | Н | |
4 | | В1 | 34 | Н | |
5 | | Е1 | 1 | П | |
6 | | С | 1 | П | 34 |
7 | | В | 34 | Н | 35 |
8 | | В | 1 | П | 47 |
9 | | П | 1 | П | 39 |
14450 | | П | 35 | Н | |
1 | | С1 | 39 | Н | |
2 | | Б1 | 11 | П | 1 |
3 | | П | 0 | Н | 45 |
4 | | П | 41 | Н | |
5 | | С1 | 47 | Н | 44 |
14456 | | С1 | 39 | Н | |
7 | | Б1 | 11 | П | 1 |
8 | | УП | 0 | Н | 45 |
9 | | П | 44 | Н | 1 |
14460 | | СП | 45 | Н | |
1 | | С | 1 | П | 39 |
2 | | В1 | 34 | Н | |
3 | | С1 | 1 | П | |
4 | | Е1 | 16369 | П | |
5 | | Е1 | 16351 | П | |
6 | | М | 0 | П | 33 |
7 | | Е1 | 10 | П | |
8 | | П | 29 | Н | 43 |
9 | | П | 41 | Н | |
14470 | | Б1 | 11 | П | 42 |
1 | | С | 2048 | П | 42 |
2 | | П | 42 | Н | 1 |
3 | | ПП | 0 | Н | 9 |
4 | | О | 2274 | Н | |
5 | | С | 2048 | П | 42 |
6 | | В | 1 | П | 43 |
7 | | Е1 | 16378 | П | |
8 | | П | 31 | Н | |
9 | | Е1 | 16332 | П | |
14480 | | Н | 0 | П | 33 |
1 | | И | 48 | Н | |
2 | | ПТ | 44 | Н | |
3 | | К | 0 | П | |
Контрольное суммирование
2144 | П | 0 | К | 10 |
2145 | П | 1 | Н | 6 |
2146 | П | 1023 | Н | |
2147 | Л1 | 262016 | П | 2 |
2148 | У | 4 | К | 1 |
2149 | Н | 16382 | Н | 3 |
2150 | Л1 | 1023 | К | 4 |
2151 | Б1 | 12 | К | 4 |
2152 | С | 2048 | К | 4 |
2153 | Л | 9736 | Н | 3 |
2154 | П1 | 0 | Н | 1 |
2155 | П | 0 | Н | 5 |
2156 | А1 | 18 | К | |
2157 | Л1 | 262143 | П | |
2158 | С1 | 10 | Н | 10 |
2159 | Л | 262143 | П | 5 |
2160 | С1 | 10 | Н | 10 |
2161 | С | 2048 | К | 1 |
2162 | М | 1 | Н | 1 |
2163 | Е1 | 16374 | П | |
2164 | Л | 13527 | Н | 3 |
2165 | Е1 | 2 | П | |
2166 | В | 128 | К | 2 |
2167 | Е1 | 16364 | К | |