Главная // Актуальные документы // Рекомендация / РекомендацииСПРАВКА
Источник публикации
М.: Стройиздат, 1983
Примечание к документу
Название документа
"Рекомендации по применению метода налива тяжелой жидкости для определения коэффициента фильтрации слабопроницаемых грунтов"
"Рекомендации по применению метода налива тяжелой жидкости для определения коэффициента фильтрации слабопроницаемых грунтов"
ПО ПРИМЕНЕНИЮ МЕТОДА НАЛИВА ТЯЖЕЛОЙ ЖИДКОСТИ
ДЛЯ ОПРЕДЕЛЕНИЯ КОЭФФИЦИЕНТА ФИЛЬТРАЦИИ
СЛАБОПРОНИЦАЕМЫХ ГРУНТОВ
Рекомендовано к изданию решением секции гидрогеологии и гидрологии Научно-техн. совета произв. и н.-и. ин-та по инженерным изысканиям в стр-ве Госстроя СССР.
Излагаются методика и технология опытно-фильтрационного опробования слабопроницаемых грунтов методом, основанным на вытеснении в грунт из скважины утяжеленного раствора соли или другого водорастворимого химического вещества. Дается теоретическое и экспериментальное обоснование метода. Приводится методика расчета коэффициента фильтрации грунта, основанная на использовании результатов полевых опытных работ.
Для работников изыскательских и проектно-изыскательских организаций различных ведомств.
Сведения об использовании Рекомендаций, а также замечания и предложения по их содержанию следует направлять по адресу: 105058, Москва, Окружной проезд, 18.
Табл. 10, ил. 7
Инженерно-геологические изыскания в последние годы все чаще сталкиваются с необходимостью изучения широко распространенных слабопроницаемых грунтов, обводненных в связи с орошением, фильтрацией из водохранилищ, каналов, прудов, самоподтоплением в процессе эксплуатации промышленности и городского хозяйства и т.д.
В настоящее время существует ряд специальных полевых методов исследования водопроницаемости, учитывающих фильтрационные особенности слабопроницаемых грунтов. Одни из существующих способов определения фильтрационных характеристик в своем большинстве относятся к необводненным породам зоны аэрации (наливы в шурфы и скважины). Эти способы в данном случае недостаточны, так как не позволяют изучить именно водонасыщенный пласт, подлежащий дренированию, и относятся лишь к ближнему от поверхности земли и часто весьма малому слою грунта.
Другая большая группа методов опытно-фильтрационных исследований используется преимущественно для опробования водозаборных скважин в хорошо проницаемых водоносных пластах. Механический перенос из этой области гидрогеологических исследований некоторых методов в рассматриваемые условия приводит к недоиспользованию оборудования и нередко дает искаженные результаты. Например, даже такой основной метод фильтрационных исследований, как опытные откачки, в данном случае недостаточно эффективен ввиду слабой водоотдачи грунтов и соответственно низкой величины дебита скважин. В связи с этим большинство существующих типов водоподъемников в этих условиях оказываются нерациональными и даже неработоспособными. То же относится к целому ряду наиболее широко распространенных типов фильтров скважин, которые в данном случае становятся малопригодными. Кроме этого, незначительное по величине и длительное развитие депрессионной воронки грунтовых вод в слабопроницаемых породах затрудняет организацию и проведение кустовых откачек, требующих иногда слишком близкого размещения наблюдательных скважин от центральной и друг от друга, а также больших сроков ведения работ.
В связи с этим важное значение при исследовании слабопроницаемых грунтов находят такие методы, как наливы и нагнетания в скважины, наблюдения за восстановлением уровня и т.д. Особенно важны в данных условиях экспресс-методы быстрого определения главных гидрогеологических параметров, таких, как коэффициент фильтрации, водопроводимость, обобщенное сопротивление скважины.
Достаточно широкое применение получили такие экспресс-методы, как мгновенный налив в скважину, который производится либо непосредственным введением в ее ствол фиксированного объема воды, либо с помощью погружаемого под уровень в скважине груза, либо путем отжатия этого уровня сжатым воздухом. Мгновенная откачка или тартание (желонирование) сводится, наоборот, к быстрому изъятию из скважины фиксированного объема воды.
Особенностью экспресс-методов опытно-фильтрационного опробования грунтов, в отличие от обычных методов, является воздействие на ограниченную по размерам зону грунтового массива. С одной стороны, это не дает возможности учитывать влияние границ области фильтрации и определять комплекс гидрогеологических параметров, так как здесь надежно оценивается лишь одна характеристика при известных других. Например, определение коэффициента фильтрации грунта связано с грубооценочным заданием величины его водоотдачи.
С другой стороны, быстрое опробование водоносного пласта экспресс-методами позволяет при достаточно большом числе точек исследования обеспечивать высокую степень детализации определения водопроницаемости в плане и разрезе пласта. В условиях слабой водопроницаемости и низкой водоотдачи грунтов, когда пьезопроводность имеет небольшую величину, мгновенные импульсы изменения давления в прифильтровой зоне скважин также оказываются весьма малыми. В связи с этим использование экспресс-методов в данном случае приобретает особый смысл и их применение может быть одним из наиболее распространенных направлений исследования слабопроницаемых грунтов.
В частности, таким методом может стать метод тяжелой жидкости (МТЖ), рекомендации по применению которого приводятся ниже.
Целью составления Рекомендаций является обеспечение изыскательских и проектно-изыскательских организаций методикой и технологией применения метода тяжелой жидкости для опробования слабопроницаемых грунтов. При этом имеется в виду, что по мере накопления опыта использования метода в практике изысканий он будет совершенствоваться и развиваться.
Рекомендации разработаны в Производственном и научно-исследовательском институте инженерных изысканий в строительстве (ПНИИИС) Госстроя СССР старшим научным сотрудником канд. техн. наук Г.А. Разумовым.
Рекомендации рецензировали д-р геол.-минерал. наук, проф. Л.С. Язвин, канд. геол.-минерал. наук Т.А. Плугина (ВСЕГИНГЕО), д-р геол.-минерал. наук, проф. В.М. Швец, канд. геол.-минерал. наук В.В. Перцовский (МГРИ), канд. техн. наук М.Ф. Хасин (Гидроспецпроект), канд. геол.-минерал. наук С.П. Абрамов (Стройизыскания), инженеры П.В. Коваленко (Укргипроводхоз), В.Д. Бабенко и В.В. Золочевский (Укрвосток ГИИНТИЗ).
1. СУЩНОСТЬ МЕТОДА, ОБЛАСТИ И УСЛОВИЯ ЕГО ПРИМЕНЕНИЯ
1.1. Метод тяжелой жидкости (МТЖ) основан на эффекте вытеснения в грунт из скважины водного раствора соли (или другого вещества), плотность которого выше плотности грунтовой воды
[1]. В результате действия добавочного гидростатического напора, возникающего при утяжелении воды в скважине, уровень жидкости в ней понижается со скоростью, зависящей от водопроницаемости грунта (характеризующейся его коэффициентом фильтрации) и разницы в плотностях жидкости в скважине и в окружающей ее области водоносного пласта. При минерализации грунтовой воды опробуемого пласта более 5 г/л применение МТЖ нецелесообразно.
1.2. Гидродинамические процессы, происходящие в прифильтровой зоне скважины при наливе в нее тяжелой жидкости, иллюстрируют схемы рис. 1. Как видно, в нижней части скважины происходит вытеснение раствора в грунт, в верхней, наоборот, грунтовая вода втекает в скважину. При этом фильтрация в прифильтровой зоне пласта происходит по осесимметричной схеме. Характеристика фильтрационного течения в двухслойном пласте, полученная по результатам экспериментов в грунтовом лотке, дается в
прил. 1. Опытные полевые работы, проведенные на ряде объектов изысканий, показывают, что максимальная глубина распространения тяжелой жидкости в грунте
rmax при ее одиночном наливе составляет 3 - 7 радиусов скважины (
табл. 3 прил. 4). Эта величина тем больше, чем больше глубина и радиус скважины и чем выше водопроницаемость грунтов. При многоразовом наливе и длительном поддержании максимального понижения уровня в опробуемой скважине глубина растекания тяжелой жидкости значительно увеличивается. Так, при трехразовом заполнении ствола скважины насыщенным раствором поваренной соли радиус его распространения достигает 20 радиусов скважины (см.
прил. 1).

Рис. 1. Гидродинамические схемы процесса фильтрации
в водоносном пласте при наливе тяжелой жидкости
а - в однородном слое; б - в двухслойном пласте; 1 - граница
распространения тяжелой жидкости в водоносном пласте;
2 - линии тока; 3 - депрессионная поверхность грунтовых вод;
4 - естественный уровень грунтовых вод вблизи скважины;
hф - длина фильтра скважины (высота столба растекания
раствора за стенкой скважины); dр - средний диаметр зоны
("груши") растекания; r - средняя глубина проникания
раствора в грунт; rmax - максимальная глубина проникания
1.3. Процессы, происходящие при применении МТЖ, делятся на стадии, следующие одна за другой: 1-я стадия - подъем уровня в скважине выше статического, происходящий за счет добавления в скважину извне фиксированного объема соляного раствора. Эта стадия соответствует известному процессу "мгновенного" налива воды в скважину (или погружения в нее груза); 2-я стадия - снижение уровня в скважине вплоть до достижения максимального понижения, соответствующего квазистационарному режиму, когда отток тяжелой жидкости в нижней части скважины в некоторой степени компенсируется притоком в ее верхней части. По характеру гидродинамических процессов, происходящих в прифильтровой зоне скважины, эта стадия аналогична, например, опытно-фильтрационному опробованию пласта, проводящемуся с вытеснением воды из скважины сжатым воздухом (с применением компрессора, баллонного газа, выхлопных газов автомобиля и т.д.); 3-я стадия - восстановление уровня в скважине за счет притока в нее грунтовой воды после уменьшения, а затем и полного прекращения оттока тяжелой жидкости из нижней части скважины.
Учет каждой из этих стадий может не только уточнять определение коэффициента фильтрации грунта, но и характеризовать разные зоны или слои водоносного пласта.
1.4. Процесс вытеснения из скважины в грунт тяжелой жидкости известен в геофизике и используется при проведении гидрогеологических исследований с применением электролитов (например, метод заряженного тела, резистивиметрический каротаж, электролитический метод). Эти методы достаточно подробно охарактеризованы в специальной литературе [
2,
3].
1.5. В качестве тяжелой жидкости, удельный вес которой больше 1, может использоваться водный раствор одного из водно-растворимых нетоксичных химических соединений, обеспечивающих увеличение плотности в скважине не менее чем на 10%. Эти соединения должны быть в как можно большей степени химически нейтральны по отношению к опробуемым грунтам и в короткие промежутки времени не должны влиять на физико-механические свойства грунтов. Характеристики некоторых химических соединений приведены в
таблице прил. 2.
Структура водно-растворимого вещества должна быть рыхлой.
1.6. Рассматриваемый метод относится к группе экспресс-методов, предусматривающих быстрое определение фильтрационных параметров грунта при опробовании одиночных скважин с импульсным воздействием на ограниченную по размерам прифильтровую зону водоносного пласта. В данном случае опробование основано на принципе экспресс-налива, предполагающего быстрое ("мгновенное") возмущение напора водоносного пласта с последующей регистрацией уровня жидкости в скважине [
4,
5].
1.7. Опытно-фильтрационные работы с применением МТЖ могут проводиться с целью определения водопроницаемости водонасыщенных грунтов в процессе выполнения гидрогеологических исследований при изысканиях в области промышленного, жилищно-коммунального, гидромелиоративного, транспортного, энергетического, гидротехнического и другого строительства. Получаемые сведения о водопроницаемости могут использоваться на ранних стадиях проектирования при прогнозе изменения уровня грунтовых вод и расчете дренажных, противофильтрационных и гидроизоляционных мероприятий на защищаемых от подтопления, загрязнения и засоления осушаемых и мелиорируемых землях, а также на объектах строительного водопонижения.
1.8. Применение метода тяжелой жидкости для определения водопроницаемости грунтов (совместно с другими методами или взамен их [
6,
7,
8]) наиболее целесообразно в следующих условиях (по отдельности или при их сочетании):
а) при малых коэффициентах фильтрации и коэффициентах водоотдачи опробуемых грунтов. Это условие связано с тем, что при более высокой водопроницаемости грунтов применение МТЖ требует большого расхода растворимого вещества, которое в этом случае слишком быстро вымывается из скважины. Кроме того, скоротечность процесса выдавливания раствора в грунт уменьшает точность проведения замеров;
б) при отсутствии возможности или малой экономичности проведения опытных откачек (отсутствии соответствующего водоподъемного оборудования, электроэнергии и т.д.). Здесь следует иметь в виду, что большинство применяемых в настоящее время для опытных откачек водоподъемников рассчитано на откачку достаточно больших расходов воды, которые в данном случае не имеют места из-за низкого дебита скважин. Аналогичные трудности связаны с использованием применяемых в массовом масштабе различных типов фильтров скважин, которые при откачках из глинистых грунтов быстро выходят из строя, хотя значительно лучше работают при наливах;
в) при отсутствии или непригодности специального оборудования для производства опытных наливов (нагнетаний) в скважины. В отличие от обычного налива, в данном случае отпадает необходимость в подвозе воды к скважине или подаче ее по водоводу со стороны;
г) при необходимости быстрого и недорогого массового опробования большого числа опытных гидрогеологических скважин на значительной территории. В сочетании с другими традиционными методами МТЖ позволяет обеспечить расчетными параметрами решение задач для сложных условий плановой фильтрационной неоднородности и дает возможность при большом числе интервалов опробования в вертикальном направлении получить достаточно высокую степень детализации проницаемости по разрезу пласта;
д) при близком от поверхности земли залегании естественного уровня грунтовых вод (менее 1 м). В таких условиях обычный налив воды в скважину требует устройства специального стояка - трубы и подмостей для залива в нее воды, которые должны быть подняты выше уровня земли.
1.9. Опытно-фильтрационные работы с использованием МТЖ применимы в условиях однослойных водоносных пластов и двухслойных с нижним хорошо проницаемым слоем. Применение МТЖ также эффективно при пространственной неоднородности водоносного пласта, особенно в случаях, когда требуется учитывать фильтрационную анизотропию и выделять горизонтальную проницаемость грунтового массива.
В случае двухслойного пласта традиционная опытная откачка воды насосом (при обычной установке фильтра в нижнем хорошо проницаемом слое) приводит к возникновению наклонно-вертикальных нисходящих токов воды в верхнем слабопроницаемом слое. При его четко выраженной анизотропии в этом случае мы не получаем информации о горизонтальной проницаемости, знание которой особенно важно, например, при прогнозе подъема уровня грунтовых вод и расчете дренажа. Метод тяжелой жидкости дает возможность сформировать именно горизонтальный поток к скважине (в ее верхней части - см.
рис. 1), поэтому величина определяемого таким образом коэффициента фильтрации представляет особенный интерес.
2. МЕТОДИКА И ТЕХНОЛОГИЯ ПРОВЕДЕНИЯ ОПЫТНО-ФИЛЬТРАЦИОННЫХ РАБОТ
2.1. Для проведения полевых опытно-фильтрационных работ с применением МТЖ могут быть использованы как обсаженные скважины с фильтром, так и скважины, не имеющие обсадки
[7].
2.2. Опытно-фильтрационные работы с применением МТЖ могут осуществляться одним из двух технологических способов. В первом состав работ принимается следующим.
В ранее пробуренную скважину погружаются на веревке или тросике несколько порций водно-растворимого вещества, помещенного в чехол из пористого материала (рис. 2,а). В качестве последнего может использоваться, например, ткань (типа мешковины), ушитая в виде мешочков, каждый из которых рассчитан на содержание 2 - 4 кг водно-растворимого вещества.
Рис. 2. Технологическая схема проведения
опытно-фильтрационного опробования скважины
с применением метода тяжелой жидкости
а - погружение сухого водно-растворимого вещества; б - налив
заранее приготовленного раствора; 1 - фильтр скважины;
2 - уровнемер; 3 - мешочки с водно-растворимым химическим
веществом; 4 - шланг подачи раствора в скважину; 5 - емкость
для приготовления раствора тяжелой жидкости
Количество вещества, которое необходимо растворить в скважине для получения задаваемой плотности раствора или известной его концентрации, определяется из условия заполнения объема скважины по следующей формуле:

, (2.1)
где V - количество водно-растворимого вещества, погружаемого в скважину, г;
c - концентрация раствора (в весовых процентах), т.е. число граммов растворяемого вещества на 100 г раствора;
H - высота столба воды в скважине, см;
d - диаметр скважины, см.
Длина гирлянды мешочков должна составлять не менее 0,5 высоты столба воды в скважине, а ее диаметр около 0,7 внутреннего диаметра фильтровой колонны (или самой скважины, если она не обсажена). Если в ходе опыта окажется, что количество загружаемого в скважину водно-растворимого вещества недостаточно для создания ощутимого понижения уровня, длина гирлянды мешочков должна быть увеличена вплоть до всей высоты столба воды в скважине.
Для повышения эффективности растворения твердого вещества целесообразны попеременное опускание и подъем гирлянды мешочков на всю высоту столба воды в скважине.
После растворения вещества в скважине производятся замеры уровня жидкости: в течение первого часа - с интервалом 5 - 10 мин, а затем до установления постоянного (квазистационарного) уровня - через 30 - 60 мин в течение 6 - 8 ч.
Составляется таблица (график) зависимости понижения уровня раствора в скважине
S от времени проведения опыта
t. С использованием функции
S =
f(t) вычисляется коэффициент фильтрации грунта по формулам, которые приведены в
гл. 3.
2.3. Второй способ проведения опыта, который предпочтительнее первого, хотя и более трудоемок, предусматривает налив в скважину заранее приготовленного раствора (см.
рис. 2,б). Достоинство такого способа - в возможности получения тяжелой жидкости достаточно высокой концентрации и плотности, что интенсифицирует процесс. Кроме того, в данном случае полезно то, что заранее известна плотность раствора.
Налив раствора в скважину осуществляется через шланг или трубу, опущенные ко дну скважины с таким расчетом, чтобы заполнение ее ствола шло снизу вверх. При этом пресная вода, находившаяся в скважине, может быть выплеснута через устье скважины на поверхность земли. Налив тяжелой жидкости производится в объеме, при котором ее уровень в скважине достигает статического или превышает его.
В случае очень низкой водопроницаемости опробуемых грунтов может быть выполнено предварительное удаление пресной воды из скважины, например тартанием (желонированием) с последующим наливом в нее приготовленной заранее тяжелой жидкости.
Более строгим подходом к проведению опыта по второму способу может быть применение резистивиметрии. При этом в ствол скважины с налитой в нее жидкостью одновременно с уровнемером опускается резистивиметр, выполненный в виде "косы" (гирлянды электрических сопротивлений). Это позволяет в процессе проведения опыта вести наблюдения за скоростью опускания границы раздела жидкостей различной минерализации. При этом определение фильтрационных параметров водоносного пласта по соответствующим формулам
(гл. 3) производится с учетом понижения не свободной поверхности жидкости в скважине, а границы раздела жидкостей.
Рис. 3. Последовательность проведения опыта
в двухслойном пласте
а - первый этап - налив в нижний хорошо проницаемый слой;
б - второй этап - налив в двухслойный пласт;
H - естественный уровень безнапорного водоносного пласта;
Hф x T1 - средний уровень грунтовых вод; d - диаметр
скважины; S и Sо - понижения уровня в скважине на первом
и втором этапах проведения опыта; T - мощность напорного
водоносного пласта; K, M и K1, M1 - соответственно
коэффициенты фильтрации и водоотдачи нижнего напорного
и верхнего безнапорного водоносного пласта;
и
- соответственно плотность грунтовой
воды и жидкости в скважине
Все операции, выполняемые после налива раствора в скважину, и обработка полученной информации выполняются в той же последовательности, что и в предыдущей постановке опыта, описанной в
п. 2.2.
2.4. При опытно-фильтрационном опробовании двухслойного пласта опыт проводится в два этапа. Сначала выполняется исследование нижнего хорошо проницаемого слоя при изолировании верхнего слабопроницаемого. На втором этапе осуществляется опробование всего комплекса грунтов. Порядок проведения работ в таких условиях следующий (в отличие от предыдущего, последовательность операций описывается здесь с учетом устройства и оборудования самой скважины)
(рис. 3):
а) производятся бурение скважины и ее обсадка трубами.
Устанавливается фильтр (в большинстве случаев с песчаной обсыпкой) на всю высоту скважины
(рис. 3,а);
б) выполняется налив приготовленного заранее раствора (желательно после тартания скважины) или устанавливаются мешочки с солью в соответствии с
п. 2.2 или
2.3;
в) производится подъем обсадной трубы на высоту нижнего проницаемого слоя, после чего в него начинается фильтрация жидкости из скважины;
г) ведется наблюдение за падением уровня в скважине вплоть до достижения максимального понижения при квазистационарном режиме, составляется таблица (строится график) зависимости понижения уровня от времени
S =
f(t), который используется для расчета коэффициента фильтрации нижнего слоя (
рис. 4, кривая
а);
д) на 2-м этапе производятся полное извлечение обсадной трубы из скважины и быстрый новый налив (или долив) раствора в скважину до статического уровня
(рис. 3,б);
е) ведется вторично наблюдение за падением уровня воды в скважине вплоть до условной стабилизации режима и также строится график зависимости понижения уровня жидкости в скважине от времени
Sо =
f(t) (
рис. 4, кривая
б), который вместе с предыдущим используется для расчета коэффициента фильтрации верхней слабопроницаемой толщи грунта (см. гл. 3).
3. МЕТОДИКА РАСЧЕТА ФИЛЬТРАЦИОННЫХ ПАРАМЕТРОВ
3.1. Коэффициент фильтрации однородного водоносного пласта определяется по формуле, полученной на основе теоретического решения фильтрационной задачи
(прил. 3) путем преобразования
выражения 24 (прил. 3), характеризующего понижение уровня жидкости в скважине ниже статического:

, (3.1)
или по упрощенной зависимости

, (3.1,а)
Здесь введены следующие обозначения:
K - коэффициент фильтрации, м/сут;

- расчетный коэффициент, определяемый по
табл. 1 в зависимости от значений функции

;
d - диаметр скважины, м;

- коэффициент водоотдачи (недостатка водонасыщения);
T - мощность водоносного пласта, где заложена опробуемая скважина, м. Для безнапорного горизонта грунтовых вод при небольшой деформации их свободной поверхности величину T можно принимать равной высоте фильтра скважины;
t - время от начала понижения уровня жидкости в скважине ниже уровня грунтовых вод (статического уровня). В случае расчетов по
формуле (3.1,а), применяемой когда наблюдения ведутся до достижения квазистационарного режима, под
t понимается время, при котором расчетное понижение уровня в скважине
S = 0,6
Smax,
где S - понижение уровня в скважине, которое замеряется в процессе опыта, м.
| | | | | | | |
1,0000 | 0,00 | 0,5069 | 0,75 | 0,2554 | 2,00 | 0,1548 | 3,51 |
0,9460 | 0,05 | 0,4891 | 0,80 | 0,2451 | 2,10 | 0,1504 | 3,62 |
0,8965 | 0,10 | 0,4723 | 0,85 | 0,2356 | 2,20 | 0,1484 | 3,68 |
0,8509 | 0,15 | 0,4565 | 0,90 | 0,2267 | 2,30 | 0,1440 | 3,80 |
0,8090 | 0,20 | 0,4416 | 0,95 | 0,2185 | 2,40 | 0,1397 | 3,92 |
0,7703 | 0,25 | 0,4276 | 1,00 | 0,2108 | 2,50 | 0,1352 | 4,05 |
0,7346 | 0,30 | 0,4017 | 1,10 | 0,2036 | 2,60 | 0,1335 | 4,11 |
0,7015 | 0,35 | 0,3785 | 1,20 | 0,1969 | 2,70 | 0,1310 | 4,19 |
0,6708 | 0,40 | 0,3576 | 1,30 | 0,1905 | 2,80 | 0,1273 | 4,32 |
0,6423 | 0,45 | 0,3387 | 1,40 | 0,1846 | 2,90 | 0,1253 | 4,40 |
0,6157 | 0,50 | 0,3216 | 1,50 | 0,1790 | 3,00 | 0,1201 | 4,57 |
0,5909 | 0,55 | 0,3060 | 1,60 | 0,1721 | 3,12 | 0,1189 | 4,65 |
0,5678 | 0,60 | 0,2917 | 1,70 | 0,1696 | 3,20 | 0,1148 | 4,81 |
0,5462 | 0,65 | 0,2786 | 1,80 | 0,1638 | 3,30 | 0,1133 | 4,88 |
0,5259 | 0,70 | 0,2665 | 1,90 | 0,1613 | 3,36 | 0,1098 | 5,04 |
Функция

определяется по опытным данным в соответствии с формулой.

, (3.2)
где

, которое соответствует максимальному понижению. В случаях когда вследствие длительности процесса достичь
Smax не представляется возможным, величина

определяется по формуле

, (3.3)
где

- расчетная плотность тяжелой жидкости;

- плотность воды, т/м
3
Величина расчетной плотности тяжелой жидкости

принимается средней по высоте столба этой жидкости в скважине и по времени проведения опыта. В полевых условиях

может определяться путем повторения опыта с погружением в ту же скважину равнообъемного мешочка с нерастворимым веществом (например, грунтом).
Величина коэффициента водоотдачи (недостатка водонасыщения) грунта устанавливается по лабораторным данным или по результатам опытных фильтрационных работ, выполненных в близких условиях. При оценочном характере проводимых изысканий величину

можно брать по литературным данным (например
[9]). В табл. 2 даны средние значения

.
Таблица 2
Грунты | Коэффициент водоотдачи |
Песок: | |
крупнозернистый | 0,30 - 0,25 |
среднезернистый | 0,25 - 0,20 |
мелкозернистый | 0,20 - 0,15 |
тонкозернистый | 0,15 - 0,07 |
Супеси, суглинки, легкие глины | 0,15 - 0,05 |
Примечание. Для глинизированных песков величина

принимается на 0,05 меньше приведенных значений.
3.2. Коэффициент фильтрации верхней толщи двухслойного пласта
K1, опробуемого по методике, описанной в
п. 2.4, определяется по формуле

, (3.4)
где
T1 и

- соответственно мощность и коэффициент водоотдачи верхнего слабопроницаемого слоя:

- расчетный коэффициент, относящийся к нижнему хорошо проницаемому слою, определяется по результатам 1-го этапа проведения опыта так же, как для однослойного пласта
(п. 3.1);

- расчетный коэффициент, относящийся к двухслойному пласту, определяется по табл. 3 в зависимости от функции

.
| | | | | |
0,00 | 0,0000 | 1,00 | 0,5724 | 3,00 | 0,2736 |
0,05 | 1,0800 | 1,10 | 0,5439 | 3,12 | 0,2653 |
0,10 | 1,0350 | 1,20 | 0,5179 | 3,20 | 0,2595 |
0,15 | 0,9940 | 1,30 | 0,4941 | 3,30 | 0,2533 |
0,20 | 0,9550 | 1,40 | 0,4723 | 3,36 | 0,2496 |
0,25 | 0,9297 | 1,50 | 0,4522 | 3,51 | 0,2407 |
0,30 | 0,8846 | 1,60 | 0,4337 | 3,62 | 0,2346 |
0,35 | 0,8528 | 1,70 | 0,4166 | 3,68 | 0,2314 |
0,40 | 0,8230 | 1,80 | 0,4007 | 3,80 | 0,2252 |
0,45 | 0,7948 | 1,90 | 0,3860 | 3,92 | 0,2194 |
0,50 | 0,7686 | 2,00 | 0,3723 | 4,05 | 0,2135 |
0,55 | 0,7438 | 2,10 | 0,3594 | 4,11 | 0,2108 |
0,60 | 0,7203 | 2,20 | 0,3474 | 4,19 | 0,2073 |
0,65 | 0,6981 | 2,30 | 0,3362 | 4,32 | 0,2020 |
0,70 | 0,6772 | 2,40 | 0,3256 | 4,40 | 0,1987 |
0,75 | 0,6574 | 2,50 | 0,3156 | 4,57 | 0,1925 |
0,80 | 0,6386 | 2,60 | 0,3063 | 4,65 | 0,1894 |
0,85 | 0,6208 | 2,70 | 0,2974 | 4,81 | 0,1840 |
0,90 | 0,6038 | 2,80 | 0,2891 | 4,88 | 0,1817 |
0,95 | 0,5877 | 2,90 | 0,2811 | 5,04 | 0,1766 |
Функция

вычисляется по опытным данным в соответствии с формулой

. (3.5)
Здесь
Sо - понижение уровня жидкости в скважине на 2-м этапе проведения опыта по методике
п. 2.4;

- понижение уровня, соответствующее максимальному понижению при квазистационарном режиме фильтрации.
3.3. Расход жидкости, вытесняемой в грунт под действием дополнительного гидростатического давления, для скважины с обсадкой может быть определен по скорости понижения уровня (кривая
1 на
рис. 4). Например, для нижнего слоя на момент времени
t1 этот расход равен

, (3.6)
где Q - расход раствора (тяжелой жидкости), вытесняемой в грунт через нижнюю часть фильтра скважины, м3/сут.
Рис. 4. Графики зависимости понижения уровня жидкости
в опробуемой скважине от времени проведения опыта
1 - первый этап проведения опыта; 2 - второй этап проведения
опыта; h - уровень в скважине, замеряемый на момент времени
t;
- максимальное понижение уровня в скважине,
соответствующее квазистационарному режиму фильтрации
Приток грунтовых вод в верхнем слабопроницаемом слое определяется как разность расходов воды, определенных на 1-м и 2-м этапах проведения опыта. Этот приток может быть рассчитан по формуле

, (3.7)
где t1 и t2 - время понижения уровня воды соответственно на 1-м и 2-м этапах опыта (t2 > t1).
Поскольку на обоих этапах действует в данном случае один и тот же напор, то конечная величина максимального понижения уровня в скважине должна быть одинаковой, поэтому промежутки времени t1 и t2 принимаются по графикам S = f(t) для S = Smax.
3.4. При расчете коэффициента фильтрации грунта целесообразно использовать и две другие стадии опыта (см.
п. 1.2), т.е. повышение уровня в скважине выше статического (1-я стадия), и его восстановление (3-я стадия). Для определения параметров в этих случаях может быть использована известная методика обработки опытных данных, полученных при "мгновенном" наливе воды в скважине [
5,
10], которая дает наиболее точные результаты.
Для приближения расчетов может быть использована более простая методика, основанная на применении тех же методов обработки опытных данных, которые используются при проведении опытных откачек [
9,
11]. В частности, возможно применение приближенных зависимостей, полученных для конечного этапа восстановления или экспресс-налива в скважину [
4,
14].
При расчете коэффициента фильтрации по результатам 1-й и 3-й стадий опыта может оказаться необходимым определение фильтрационного расхода. Для этого следует пользоваться
формулами (3.6) и
(3.7), а при более строгом подходе -
формулами (31) и
(35) прил. 3.
Пример 1. Скважина диаметром 127 мм пробурена в глинистых песках на глубину 4 м ниже уровня грунтовых вод, залегающего на глубине 3,6 м. После установки фильтра в его внутреннюю полость опущены мешочки с солью и выполнены замеры уровня жидкости, зависимость изменения которого от времени, начиная со 2-й стадии опыта (через 25 мин после погружения соли), дана в табл. 4.
Время, м | 25 | 27 | 35 | 40 | 50 | 70 | 100 | 120 | 130 | 150 | 200 |
Глубина, м | 3,60 | 3,90 | 4,00 | 4,10 | 4,18 | 4,30 | 4,30 | 4,23 | 4,22 | 4,13 | 4,10 |
В соответствии с результатами замеров имеем:

. Расчетное понижение

. Согласно
табл. 4 этой величине при глубине жидкости в скважине 3,6 + 0,4 = 4,0 м соответствует время
t = 35 - 30 = 5 мин = 0,0035 сут. Коэффициент водоотдачи принят по лабораторным данным

.
Используя
формулу (3.1,а), получим значение величины коэффициента фильтрации
Пример 2. Скважина диаметром 149 мм пробурена в двухслойном водоносном пласте. Мощность верхнего слабопроницаемого слоя 10 м, нижнего - 2 м, коэффициенты водоотдачи определены лабораторным способом для верхнего слоя - 0,05; для нижнего - 0,10. После проведения опытно-фильтрационных работ по методике, описанной в
п. 2.4, получаем зависимость понижения уровня жидкости в скважине от времени - табл. 5.
Время, мин | | 0 | 18 | 54 | 90 | 180 | 240 | 300 |
Глубина, м, на этапе | 1 | 1 | 1,30 | 1,40 | 1,43 | 1,60 | 1,74 | 1,80 |
2 | 1 | 1,10 | 1,15 | 1,22 | 1,35 | 1,48 | 1,66 |
Продолжение табл. 5
Время, мин | | 360 | 420 | 480 | 540 | 600 | 660 | 720 |
Глубина, м, на этапе | 1 | 1,80 | 1,80 | 1,80 | 1,80 | 1,80 | 1,80 | 1,80 |
2 | 1,70 | 1,73 | 1,76 | 1,78 | 1,80 | 1,80 | 1,80 |
В соответствии с данными
табл. 5, имеем для 1-го этапа:

. При
t = 180 мин = 0,125 сут понижение уровня жидкости в скважине
S = 1,60 - 1 = 0,60 м. Согласно
формуле (3.2), функция

. По
табл. 1 находим

. В соответствии с
формулой (3.1) определяем значение коэффициента фильтрации нижнего слоя
Для 2-го этапа работ при том же времени (
t = 0,125 сут) имеем
Sо = 1,35 - 1 = 0,35 м. Согласно
формуле (3.5) функция

. По
табл. 3 находим

. По
формуле (3.4) определяем коэффициент фильтрации верхнего слоя:
Приток грунтовой воды к верхней части скважины в слабопроницаемом слое определяется, например, для понижения
S = 0,6 м. Согласно
табл. 5, имеем
t1 = 180 мин = 0,125 сут и
t2 = 290 мин = 0,202 сут. По
формуле (3.7) определяем расход воды:
ЭКСПЕРИМЕНТАЛЬНОЕ ИССЛЕДОВАНИЕ ГИДРОДИНАМИЧЕСКОГО ПРОЦЕССА,
ПРОИСХОДЯЩЕГО В ВОДОНОСНОМ ПЛАСТЕ ПРИ НАЛИВЕ
В СКВАЖИНУ ТЯЖЕЛОЙ ЖИДКОСТИ
Лабораторное изучение процесса фильтрации тяжелой жидкости в опробуемый водоносный пласт проведено в Лаборатории фильтрационных исследований ин-та Гидроспецпроект Минэнерго СССР канд. техн. наук М.Ф. Хасиным в грунтовом лотке прямоугольной формы. Лоток длиной 500, высотой 240 и шириной 200 мм сделан из органического стекла на металлическом каркасе. Двухслойная засыпка лотка представлена нижним хорошо проницаемым гравийным слоем мощностью 40 мм и верхним мелкопесчаным, водопроницаемость которого (коэффициент фильтрации около 5 м/сут) меньше нижнего более чем в 20 раз. Мощность верхнего слоя 180 мм.
Налив тяжелой жидкости (насыщенный раствор NaCl, подкрашенный марганцевокислым калием) производился в модель фильтра скважины радиусом 15 мм, установленного в одном из углов лотка. Фильтр представлял собой перфорированную алюминиевую трубку с латунной сеткой галунного плетения. Налив производился по резиновой трубке, конец которой был опущен на дно модели скважины. В противоположном углу лотка размещался пьезометр для замера уровня воды в грунте, моделирующем водоносный пласт. Для фиксирования линий тока фильтрационного течения к одной из стенок лотка в отдельные точки области фильтрации были подведены гибкие пластмассовые трубки диаметром 0,5 мм, через которые подавался краситель (чернила), поэтому на стенке лотка была образована система трассообразующих пятен, которые в процессе фильтрации воды размывались и ими фиксировались линии тока и характеризовалось их развитие во времени. Отдельные стадии фильтрации фотографировались (рис. 5).
Рис. 5. Фильтрационное течение в грунтовом лотке
при фильтрации в нижний слой более проницаемого грунта
тяжелой жидкости (размывы трассообразующих
пятен показывают линии тока)
Наблюдения за гидродинамическим процессом показали, что вытеснение насыщенного соляного раствора в нижний хорошо проницаемый слой сопровождается опусканием уровня воды в модели фильтра скважины по отношению к уровню воды в грунтовой загрузке лотка. Вследствие этого в верхнем слабопроницаемом слое возникает фильтрационное течение, аналогичное притоку к скважине при откачке из нее воды. Как показано на
рис. 5, в верхней части области фильтрации в непосредственной близости от скважины имеет место четко выраженное осесимметричное течение с почти горизонтальными линиями тока. Это, в частности, может служить подтверждением правильности выбранной расчетной схемы, которая принята при проведении теоретического обоснования МТЖ (см.
п. 1.1 и
прил. 3).
Результаты замеров понижения уровней воды в лотке по пьезометру, заложенному в грунте, Hгр, и в модели фильтра скважины, Hф в зависимости от времени фильтрации t даны в нижеследующей табл. 6. Данные приведены по трем наливам, следовавшим один за другим и проведенным с подачей одного и того же количества тяжелой жидкости в модель скважины, а также с выравниванием уровня воды в лотке (до отметки - 15,0 мм).
Таблица 6
t | 1-й налив | 2-й налив | 3-й налив |
Hгр | Hс | S | Hгр | Hс | S | Hгр | Hс | S |
0 | 150 | 150 | 0 | 150 | 150 | 0 | 150 | 150 | 0 |
50 | 135 | 124 | 11 | 145 | 132 | 13 | 148 | 134 | 14 |
100 | 127 | 121 | 6 | 138 | 128 | 10 | 142 | 131 | 11 |
200 | 121 | 119 | 2 | 133 | 126 | 7 | 137 | 129 | 8 |
300 | 118 | 116 | 2 | 129 | 124 | 5 | 133 | 127 | 6 |
600 | 115 | 114 | 1 | 125 | 122 | 3 | 129 | 125 | 4 |
900 | 113 | 112 | 1 | 123 | 121 | 2 | 126 | 123 | 3 |
Примечание. Понижения уровня раствора в модели скважины, приведенные в данной таблице, определены как разность S = Hгр - Hс, мм
Как видно, условная стабилизация процесса течения (квазистационарный режим фильтрации) в условиях лабораторного эксперимента наступает довольно быстро (в течение 1 - 1,5 мин). Это в данном случае связано также и с достаточно высокой проницаемостью песчаной загрузки лотка.
ХАРАКТЕРИСТИКА НЕКОТОРЫХ ВОДНО-РАСТВОРИМЫХ ХИМИЧЕСКИХ
СОЕДИНЕНИЙ, КОТОРЫЕ МОГУТ БЫТЬ ИСПОЛЬЗОВАНЫ ПРИ ПРОВЕДЕНИИ
ОПЫТНО-ФИЛЬТРАЦИОННОГО ОПРОБОВАНИЯ ГРУНТОВ С ПРИМЕНЕНИЕМ МТЖ
N п.п. | Название водно-растворимого соединения и его формула | Растворимость в воде при 20 °C, весовые % | Концентрация, весовые % | Плотность водного раствора при данной концентрации, г/см3 | Динамическая вязкость при 20 °C, спз |
1 | Хлористый кальций CaCl2 | 74,5 | 20 | 1,177 | 1,89 |
30 | 1,282 | 3,6 |
40 | 1,396 | - |
2 | Медный купорос CuSO4·5H2O | 20,5 | 10 | 1,107 | - |
18 | 1,206 | - |
3 | Хлористый калий KCl | 34 | 10 | 1,063 | 0,99 |
20 | 1,132 | 1,02 |
24 | 1,162 | - |
4 | Хлористый магний MgCl2 | 35,3 | 20 | 1,176 | 2,74 |
32 | 1,293 | - |
5 | Горькая соль MgSO4·7H2O | 26,2 | 10 | 1,103 | 1,86 |
20 | 1,220 | 4,14 |
26 | 1,296 | - |
6 | Поваренная соль NaCl | 36 | 10 | 1,071 | 1,19 |
20 | 1,148 | 1,535 |
26 | 1,197 | - |
7 | Глауберова соль Na2SO4·10H2O | 16,1 | 10 | 1,092 | 1,40 |
16 | 1,151 | - |
8 | Хлорид железа FeCl3 | 91,9 | 20 | 1,182 | - |
30 | 1,291 | - |
40 | 1,417 | - |
50 | 1,551 | - |
Примечание. Растворимость (в вес. процентах) дана в граммах сухого безводного вещества на 100 г растворителя. Концентрация в вес. процентах - число граммов растворенного вещества на 100 г раствора.
ТЕОРЕТИЧЕСКОЕ РЕШЕНИЕ ЗАДАЧИ О ФИЛЬТРАЦИИ ТЯЖЕЛОЙ
ЖИДКОСТИ ИЗ СКВАЖИНЫ В ВОДОНОСНЫЙ ПЛАСТ <*>
--------------------------------
<*> Приведенное ниже решение задачи выполнено автором данных Рекомендаций совместно с канд. техн. наук С.В. Васильевым.
Рассматривается осесимметричная фильтрация в двухслойном пласте, возникающая при вытеснении из скважины в нижний более проницаемый слой раствора соли (тяжелой жидкости) и притоке грунтовой воды к скважине в верхнем слабопроницаемом слое (рис. 6). За счет разности удельного веса жидкости в скважине

и грунтовой воды

возникает перепад уровней

. Под действием понижения уровня жидкости в скважине ниже естественного уровня грунтовых вод в пласте и возникает фильтрация в верхнюю часть скважины. Разнонаправленное течение в каждом слое отдельно описывается следующими уравнениями:

; (1)

. (2)
Рис. 6. Расчетная схема к теоретическому решению задачи
о фильтрации тяжелой жидкости из скважины в водоносный пласт
a1 и a2; K1 и K2;
и
- коэффициенты уровнепроводности
(пьезопроводности), фильтрации и водоотдачи соответственного
верхнего слабо проницаемого и нижнего более проницаемого
слоя; H - естественный уровень верхнего безнапорного
водоносного пласта; S1 и S2 - изменения уровня в скважине;
h1 и h2 - измененные уровни грунтовых вод на расстоянии
r от оси скважины
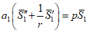
Граничные условия задачи:

; (3)

. (4)
Начальные условия:

. (5)
Здесь и далее введены следующие обозначения:
a1 и
a2;
K1 и
K2;

и

- коэффициенты уровнепроводности, фильтрации и водоотдачи соответственно верхнего (слабопроницаемого) и нижнего (более проницаемого) слоев;
rо - радиус скважины;
T - мощность нижнего слоя;
Hср - средняя мощность верхнего слоя;
t - время от начала фильтрации.
Решение выполняется операционным методом с применением интегрального преобразования Лапласа

. Уравнение фильтрации и краевые условия примут вид:

; (6)

; (7)

; (8)

; (9)

. (10)

; (11)

: (12)
Для удовлетворения граничным
условиям (4) коэффициенты
A1 =
A2 = 0, поэтому искомое решение имеет следующий вид:

; (13)

. (14)

. (15)

(16)
Из
(13) и
(16) находим понижение на стенке скважины при
r =
rо и при больших значениях
p (малых
t):

(17)
После перехода от изображений к оригиналу в соответствии с предельными теоремами преобразования Лапласа получим:

; (18)

, (19)
где

.
При фильтрации только в нижний слой (верхний изолирован):

. (20)
Отсюда имеем:

(21)
И далее в соответствии с
(14) получим:

(22)
Так же, как раньше при больших значениях p (малых t) имеем:

. (23)
После перехода к оригиналу получим:

. (24)
Этот же результат может быть получен из
(18), если принять

и

.
Полученный результат совпадает (при малых значениях
t) с решением задачи о фильтрации в пласт при мгновенном наливе (или откачке) в скважину, которое (для любых
t) дано Н.И. Гамаюновым и Б.С. Шержуковым
[13]. Из сравнения с этим решением находим критерий применимости полученных выше
формул (18) и
(24):

. (25)
Полученное Н.И. Гамаюновым и Б.С. Шержуковым асимптотическое приближение совпадает с результатом разложения в ряды функций
выражения (24):

(26)
Фильтрационный расход потока соответственно в верхнем и нижнем слоях определится из следующих уравнений:

; (27)

. (28)
Учитывая
(13), в изображениях получим:

. (29)
При малых значениях:

(30)
После перехода к оригиналу:

. (31)
Здесь:

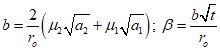
, (32)

. (33)
Изменение объема воды в стволе скважины, которое фиксируется в полевых условиях по колебанию уровня воды:

, (34)
поэтому фильтрационный приток в верхнюю часть скважины определяется из следующего выражения:

(35)
ОПЫТНО-ПРОИЗВОДСТВЕННОЕ ВНЕДРЕНИЕ МЕТОДА ТЯЖЕЛОЙ ЖИДКОСТИ
НА ОБЪЕКТАХ ИНЖЕНЕРНЫХ ИЗЫСКАНИЙ
Опытно-производственное испытание и внедрение метода осуществлено в трех различных районах СССР (на 4 объектах инженерно-геологических и гидрогеологических изысканий).
а) Балаковский комбинат химического волокна имени
В.И. Ленина (Саратовская обл.) - июнь 1974 г.
На этом объекте ПНИИИСа выполнялись изыскания с целью изучения характера и причин подтопления промплощадки комбината. Установлены значительный подъем уровней грунтовых вод и образование искусственного техногенного водоносного горизонта. Территория с поверхности земли сложена глинистыми грунтами делювиального и лиманного происхождения, представленными в основном переслаивающимися и взаимозамещающимися глинами и суглинками с горизонтальными прослоями и отдельными линзами супесей, а также пылеватых и мелких песков.
Наливы были произведены в скважинах N 137 и 138, 132 и 102. Тяжелой жидкостью являлся насыщенный раствор поваренной (столовой) соли с концентрацией 260 г/л. Всего проведено 4 опытных налива, которые производились с заполнением объема скважины выше статического уровня.
Опыт проводился в следующей последовательности:
1) выполнялась откачка воды и очистка (желонирование) скважины;
2) замерялись фактические размеры скважины (до забоя), отбирались пробы воды;
3) производился "мгновенный" налив раствора с заполнением внутренней полости скважины;
4) осуществлялись замеры изменения уровня воды в скважине вплоть до восстановления статического уровня;
5) отбиралась проба воды.
Результаты замеров по двум скважинам приведены на графиках рис. 7. Понижения уровня ниже статического для скважин N 137, 138 и 132 составили соответственно 37, 35 и 47 см.
Рис. 7. Результаты проведения опытно-фильтрационных работ
методом тяжелой жидкости на объектах изысканий
а - г. Балаково (Комбинат искусственного волокна),
скв. N 138; б - то же скв. N 132; в - г. Кировск
(Апатито-нифелиновая фабрика N 2), скв. N 75а; г - г. Тула
(Профилакторий комбайнового завода), скв. N 8; д - то же,
скв. N 8а; е - г. Щекино (типография), скв. N 4;
1 - почвенно-растительный слой; 2 - глина плотная
с прослойками песка; 3 - песок мелкий; 4 - суглинок
тугопластичный с прослойками песка
Проведенные в Балакове опыты подтверждают, что при использовании метода налива тяжелой жидкости имеют место три стадии:
1. Понижение уровня жидкости в скважине до статического, происходящее после "мгновенного" налива (за счет разности уровня налитой в скважину жидкости и статического уровня воды, т.е. напора, действующего в дополнение к давлению, связанному с утяжелением воды в скважине по сравнению с грунтовой водой) - режим налива.
2. Понижение уровня воды в скважине ниже статического, возникающее вследствие воздействия только разности величин удельного веса жидкости в скважине и воды в грунте - режим откачки.
3. Подъем уровня воды в скважине до его стабилизации на статическом уровне - режим восстановления уровня воды.
Концентрация раствора соли в скважине N 132 после проведения опыта составила 66,6 г/л, а в скважине N 138 - также после проведения опыта - 26 г/л.
б) Производственное объединение "Апатит"
(Кировская обл. станция Хибины) - июль - август 1976 г.
На этом объекте ПНИИИСа выполнялись инженерно-геологические изыскания с целью изучения прочностных и других свойств намывных грунтов дамб обвалования хвостохранилища Апатито-Нифелиновой обогатительной фабрики N 2.
С помощью этого способа выполнено опытно-фильтрационное опробование песчаных грунтов (хвостов) участка пляжной зоны хвостохранилища. Определение фильтрационных свойств грунтов осуществлялось с применением метода тяжелой жидкости. При этом работы производились в следующей последовательности:
1. Выполнялось бурение (канатно-ударным способом) скважины глубиной 6 - 7 м с обсадными трубами диаметром 127 мм.
2. В скважине устанавливалась фильтровая колонна, состоящая из труб диаметром 108 мм и фильтра диаметром 89 мм и длиной 1 м. Фильтр был оборудован латунной сеткой на проволочной обмотке, размер ячейки сетки 0,05 мм.
3. После замера статического уровня грунтовых вод в скважину осуществлялся быстрый (условно мгновенный) налив до верха трубы тяжелой жидкости. В качестве последней был использован 34-процентный раствор хлористого кальция (CaCl2), применяемый в качестве реагента на Апатито-нифелиновой фабрике в процессе обогащения руды. Удельный вес раствора составляет 1,4 г/см3.
4. Процесс опускания уровня жидкости в скважине фиксировался с применением электроуровнемера в течение 2 - 3 сут.
5. Понижение уровня жидкости в скважине ниже естественного уровня грунтовых вод, происходящее за счет разности плотностей тяжелой жидкости и воды, составило 0,25 - 0,7 м.
В результате выполненных работ получены зависимости скорости понижения уровня в скважине, с применением которых определен коэффициент фильтрации в размере 0,95 м/сут (например, для скв. N 75а). Близкий к этой величине результат дали контрольные определения коэффициента фильтрации в лабораторном приборе "трубка Спецгео", выполненные на образце естественного сложения (0,87 м/сут). Всего было проведено десять определений.
в) Объекты изысканий треста ТулаТИСИЗ: Профилакторий
комбайнового завода (Тула) и Щекинская типография
(Щекино, Тульская обл.) - июль 1978 г.
На объекте "Профилакторий" выполнялись инженерно-геологические изыскания под корпуса жилых зданий и коммунальных служб. Территория сложена делювиальными суглинками с песчаными прослоями, сильно обводненными, уровень грунтовых вод достигает поверхности земли.
На объекте "Щекинская типография" изыскания выполнялись с целью исследования процесса самоподтопления. Территория также сложена суглинками, которые сильно увлажнены.
Опытно-фильтрационные работы проведены на тех же площадках изысканий, где трестом ТулаТИСИЗ применялся метод заряженного тела (МЗТ). В состав работ МЗТ входит погружение в опробуемую скважину мешочка с солью и наблюдение за изменением в грунте электрического сопротивления при растекании в нем соляного раствора.
Состав работ при проведении опытно-фильтрационного опробования методом тяжелой жидкости для данных условий был следующим:
1. В ранее пробуренную скважину на глубину, равную половине столба воды в ней, так же как для МЗТ, опускалась помещенная в мешковину порция поваренной соли весом 3 - 4 кг.
2. Производились замеры уровня жидкости в скважине с помощью электроуровнемера (в течение первого часа с интервалом 5 - 10 мин, затем, если стабилизация уровня в скважине не наступила - еще 15 - 30 мин).
3. Выполнялось полевое измерение плотности проб жидкости, отбираемой из скважины, с помощью ареометра (плотность составляла 1,015 - 1,035 г/см3).
4. Вычислялся коэффициент фильтрации грунтов.
Работы были проведены на четырех скважинах объекта инженерно-геологических изысканий "Профилакторий" комбайнового завода в Туле и на одной скважине на территории реконструируемой типографии в Щекине.
Опробованные скважины диаметром 150 мм были заложены в слабопроницаемых покровных суглинках с включениями песчаных и глинистых линз и прослоев. Некоторые результаты проведенных опытов даны на графиках на
рис. 7г -
7е. В связи со слабой водопроницаемостью грунтов, небольшой плотностью раствора и малой глубиной скважин понижение уровня в них оказалось незначительным.
Общая сводка результатов части опытов, проведенных методом тяжелой жидкости на разных объектах, приведена в
табл. 9.
Как видно, величины максимального понижения уровня в скважинах S, достигнутого за время проведения опыта, достаточно велики (во всяком случае они соизмеримы с глубиной столба жидкости в скважине). Полученные результаты определения коэффициента фильтрации методом тяжелой жидкости удовлетворительно совпадают с величинами к, определенными с применением опытных откачек (Балаково, Тула) или других традиционных способов (в Кировске - лабораторные определения).
По данным, полученным при проведении полевых исследований, вычислены размеры зоны ("груши") растекания тяжелой жидкости в грунте
(рис. 1), которые приведены в
табл. 10.
Таблица 8
Объект, N скважины | Глубина скважины, м | Время проведения опыта | Максимальное понижение уровня воды в скважине, см | Плотность жидкости, т/м3 |
начало дата, ч-мин | конец дата, ч-мин |
Профилакторий комбайнового завода (Тула); скважина: | | | | | |
N 8 | 2,3 | 4/VII, 12-10 | 5/VII, 16-45 | 9 | 1,006 |
N 8а | 1,95 | 11/VII, 14-55 | 11/VII, 19-30 | 3 | 1,021 |
N 9 | 1,92 | 13/VII, 12-55 | 13/VII, 16-50 | 8 | 1,027 |
N 10 | 0,80 | 27/VII, 14-40 | 28/VII, 12-40 | 3,5 | 1,020 |
Типография (Щекине), скважина N 4 | 3,80 | 6/VII, 11-55 | 7/VII, 09-30 | 8 | 1,009 |
Характеристики скважин, результаты опытов | ОБЪЕКТЫ |
Кировск | Балаково | Тула |
грунты |
мелкозернистые пески | глина с песчаными прослойками | суглинки |
Глубина, м | 2,4 | 4,2 | 3,65 | 2,0 | 3,8 | 1,9 | 1,90 | 0,80 |
Диаметр, мм | 89 | 89 | 89 | 52 | 150 | 150 | 150 | 130 |
N скважины | 75а | 137 | 138 | 132 | 4 | 8 | 9 | 10 |
Smax, м | 0,70 | 0,37 | 0,35 | 0,47 | 0,08 | 0,09 | 0,08 | 0,04 |
Длительность опыта, r | 1,10 | 3,50 | 2,50 | 23,0 | 12,0 | 3,3 | 4,3 | 22 |
| 0,95 | 0,03 | 0,03 | 0,007 | 0,62 | 0,14 | 0,32 | 0,36 |
По опытным откачкам и другим методам | 0,87 | 0,08 | 0,08 | - | - | 0,29 | 0,29 | 0,29 |
Коэффициент водоотдачи  | 0,11 | 0,08 | 0,08 | 0,08 | 0,09 | 0,06 | 0,06 | 0,06 |
Объект | N скважины | K, м/сут | H, м | hф, м | d1, м | dр, м | r, м | rmax, м |
Балаково | 138 | 0,03 | 3,65 | 0,25 | 0,089 | 0,34 | 0,12 | 0,30 |
132 | 0,07 | 2,00 | 0,25 | 0,052 | 0,15 | 0,05 | 0,12 |
Кировск | 75 а | 0,95 | 2,40 | 0,10 | 0,089 | 0,44 | 0,17 | 0,39 |
77 б | 0,04 | 5,40 | 0,10 | 0,089 | 0,65 | 0,28 | 0,61 |
Тула | 8 | 0,14 | 1,90 | 0,50 | 0,150 | 0,29 | 0,07 | 0,22 |
8 а | 0,11 | 1,95 | 0,50 | 0,150 | 0,30 | 0,07 | 0,22 |
9 | 0,48 | 1,79 | 0,50 | 0,150 | 0,28 | 0,07 | 0,21 |
10 | 0,48 | 0,80 | 0,50 | 0,150 | 0,30 | 0,08 | 0,22 |
4 | 0,65 | 1,00 | 0,50 | 0,150 | 0,27 | 0,06 | 0,20 |
В
табл. 10 кроме уже известных введены следующие новые обозначения:
hф - длина фильтра скважины (высота столба растекания жидкости за стенкой скважины);
dр - средний диаметр зоны растекания (см.
рис. 1,а);
r - средняя глубина проникания тяжелой жидкости в грунт;
rmax - максимальная глубина проникания.
Как видно, зона растекания тяжелой жидкости зависит, во-первых, от глубины (и соответственно объема) скважины и, во-вторых, от водопроницаемости грунтов.
1.
Хасин М.Ф., Малышев Л.И., Разумов Г.А. Способ понижения уровня грунтовых вод. Автор. свид. N 510562. - "Открытия, изобретения, промышленные образцы, товарные знаки", N 42, 1976.
2.
Матвеев Б.К. Геофизические методы изучения движения подземных вод. М., Госгеолтехиздат, 1965.
3.
Гринбаум И.И. Геофизические методы определения фильтрационных свойств горных пород. М., Недра, 1965.
4. Техника проведения и методика обработки опытно-фильтрационных работ (методические рекомендации). ВСЕГИНГЕО. М., 1969.
5. Рекомендации по определению фильтрационных параметров горных пород и грунтов методом экспресс-налива в несовершенные скважины. ВНИИ ВОДГЕО, М., 1978.
6. Грунты. Методы полевых испытаний проницаемости.
ГОСТ 23278-78. М., Стандарты, 1979.
7.
Разумов Г.А., Бондаренко В.В. Комплексное применение методов заряженного тела и тяжелой жидкости для определения гидрогеологических параметров. - В кн.: Инженерно-строительные изыскания. М., Стройиздат, 1979.
8.
Разумов Г.А. Исследования слабопроницаемых грунтов методом тяжелой жидкости - В кн.: Проектирование водоснабжения и канализации, серия IV, вып. 2(95), ЦИНИС, М., 1975.
9. Справочное руководство гидрогеолога. Под ред. В.М. Максимова, т. 1. Л., Недра, 1979.
10. Гидродинамические и физико-химические свойства горных пород. Под ред. Н.Н. Веригина. М., Недра, 1977.
11.
Боревский Б.В., Самсонов Б.Г., Язвин Л.С. Методика определения параметров водоносных горизонтов по данным откачек. М., Недра, 1973.
12. Мироненко В.А., Шестаков В.М. Теория и методы интерпретации опытно-фильтрационных работ. М., Недра, 1978.
13.
Гамаюнов Н.И., Шержуков Б.С. Определение водопроницаемости грунтов в полевых условиях. Инженерно-физический журнал, т. IV, N 10.
14.
Карслоу Г., Егер Д. Теплопроводность твердых тел. М., Наука, 1964.
15.
Сегал Б.И. Семендяев К.А. Пятизначные математические таблицы, М.-Л., Изд-во АН СССР, 1950.