Главная // Актуальные документы // Рекомендация / РекомендацииСПРАВКА
Источник публикации
М.: Стройиздат, 1985
Примечание к документу
Название документа
"Рекомендации по инженерно-гидрогеологическому обоснованию защитного дренажа территорий, подтапливаемых подземными водами"
"Рекомендации по инженерно-гидрогеологическому обоснованию защитного дренажа территорий, подтапливаемых подземными водами"
ПО ИНЖЕНЕРНО-ГИДРОГЕОЛОГИЧЕСКОМУ ОБОСНОВАНИЮ
ЗАЩИТНОГО ДРЕНАЖА ТЕРРИТОРИЙ,
ПОДТАПЛИВАЕМЫХ ПОДЗЕМНЫМИ ВОДАМИ
Рекомендовано к изданию решением секции гидрогеологии и гидрологии Научно-технического совета ПНИИИС Госстроя СССР.
В результате обобщения и систематизации данных натурных исследований, анализа существующих аналитических решений фильтрационных задач, а также составления некоторых новых формул разработана методика гидрогеологического расчета защитного дренажа.
Даны примеры расчетов и методика проектирования лучевого дренажа застроенных территорий.
Для инженерно-технических работников проектно-изыскательских и научно-исследовательских организаций.
Широкое развитие промышленного и городского строительства, прокладка водоводных коммуникаций, образование водохранилищ и прудов, каналов, орошение сельскохозяйственных земель и другие мероприятия неизбежно ведут к дополнительному техногенному обводнению земель. В связи с этим в пределах застроенных территорий городов и промузлов в последние годы отмечены коренные изменения гидрогеологической обстановки, обусловленные развитием процесса подтопления территорий подземными водами.
Подтопление городских и промышленных территорий приводит к формированию новых техногенных горизонтов подземных вод, с которыми связано затопление подвальных помещений, заболачивание низинных участков рельефа местности, агрессивное воздействие на фундаменты сооружений и т.д.
Наиболее эффективным мероприятием по борьбе с подтоплением территорий является дренаж, который перехватывает и отводит подземные воды, защищает застроенные площади или отдельные сооружения.
ПНИИИСом был проведен инженерно-гидрогеологический анализ защитных дренажей застроенных территорий городов Астрахани, Кинешмы, Сызрани, Ульяновска, Энгельса, Абакана, Усть-Абакана (РСФСР), Никополя, Каменки-Днепровской (УССР), Огре (Латв. ССР). Всего обследовано 30 различных объектов.
В большинстве упомянутых городов достаточно эффективно действуют защитные (головные, придамбовые, отсечные, перехватные) и систематические площадные дренажи горизонтального (открытые и закрытые), вертикального и комбинированного типа.
Путем проведения сопоставительных расчетов уровней и расходов подземных вод по разным формулам и методикам и их сравнения с результатами режимных наблюдений и с эксплуатационными характеристиками для конкретных условий выполнена оценка и сделан выбор между различными: 1) режимами грунтовых вод (неустановившийся или стационарный, напорный и безнапорный со свободной поверхностью); 2) граничными условиями (область питания с уровнем равного напора или расхода и др.); 3) типами водоносного пласта, зависящего от расположения в них дренажных сооружений (ограниченные и неограниченные по мощности пласты, совершенные и несовершенные дренажи по степени вскрытия водоносного пласта).
Проведенные исследования позволили подготовить основу для составления методики гидрогеологических расчетов защитных дренажей, которая содержит комплекс формул для расчета вертикального, горизонтального, комбинированного и лучевого дренажей. Работа в этой части выполнялась путем обобщения и анализа существующих методов фильтрационного расчета. При этом было выполнено упрощение и табулирование целого ряда сложных фильтрационных решений с доведением расчетных выражений до вида, удобного для практических расчетов. В некоторых случаях проведены теоретические исследования для получения новых решений фильтрационных задач.
Методика гидрогеологического расчета иллюстрируется решением комплексных практических тестовых задач. Все формулы снабжены расчетными графиками и таблицами.
Для лучевого дренажа даны также рекомендации по конструктивным решениям, которые в отличие от горизонтального и вертикального дренажа в литературе освещены недостаточно.
Рекомендации разработаны ПНИИИС Госстроя СССР: канд. тех. наук Г.А. Разумовым при участии инженеров И.Г. Казаковой и В.В. Бондаренко.
Замечания и предложения просим направлять по адресу: 105058, Москва, Окружной проезд, 18, ПНИИИС.
1. ВЫБОР ТИПОВЫХ ГИДРОГЕОЛОГИЧЕСКИХ РАСЧЕТНЫХ СХЕМ
И КОНСТРУКТИВНЫХ ТИПОВ ЗАЩИТНОГО ДРЕНАЖА
1.1. Дренаж застроенных или отведенных под застройку территорий служит одним из главных мероприятий по защите зданий и сооружений от подтопления подземными водами. Дренаж может дополняться и другими средствами защиты (гидроизоляция заглубленных помещений, противофильтрационные завесы, регулирование поверхностного стока, ликвидация утечек из водонесущих коммуникаций и т.п.).
1.2. Выбор схемы дренирования подтапливаемых территорий и отдельных зданий и сооружений осуществляется на основе оценки характера расположения и интенсивности источников подтопления, гидрогеологических, инженерно-геологических и других природных условий, а также инженерно-производственных задач защиты и организационно-территориальных возможностей.
1.3. Дренажные мероприятия предназначаются для общей защиты подтапливаемой территории или отдельных ее районов (участков) и локальной защиты подземных частей отдельных зданий и сооружений или подземных коммуникаций.
В ряде случаев возможно комплексное применение общего дренирования территории, совмещенного с локальным дренажем отдельных фундаментов, подвалов, галерей, туннелей и других заглубленных частей зданий и сооружений.
1.4. Основные задачи дренажа при защите территории от подтопления грунтовыми водами: перехват грунтовых вод, подтапливающих территорию, и обеспечение заданной нормы осушения территории.
Решение первой задачи обеспечивается водосборным и водоотводным, второй - водопонизительным действием дренажа.
1.5. Основные источники подтопления застроенных территорий, действующие совместно или каждый в отдельности, можно объединить в следующие группы:
фильтрация из крупных водоемов или водотоков (водохранилищ, магистральных каналов, рек);
поток грунтовых вод естественного или искусственного происхождения (оросительные системы, каналы, пруды, промпредприятия и т.д.) со стороны берега (водораздела);
источники самоподтопления (утечки из водонесущих коммуникаций, промышленных производств с "мокрой" технологией и т.п.).
Рис. 1. Основные расчетные схемы питания
водоносного пласта, подлежащего дренированию
а - граница с постоянным напором;
б - граница с постоянным расходом
1.6. В соответствии с перечисленными источниками подтопления можно выделить две основные расчетные гидродинамические схемы питания пласта
(рис. 1), когда на одной боковой границе области фильтрации имеет место постоянный уровень воды, а на другой (береговой, водораздельной) границе либо также уровень равного потенциала (
рис. 1, а), либо равного притока (
рис. 1, б). В обоих случаях дополнительно может иметь место инфильтрационное питание пласта сверху.
1.7. По виду взаимодействия дренажа с источниками питания водоносного пласта и по их роли в борьбе с подтоплением застроенных территорий дренажи подразделяются на: отсечные (перехватные) дренажи, защищающие территорию от поступления на нее подземных вод со стороны, и систематические (площадные) дренажи, защищающие территорию от подтопления инфильтрационными водами, поступающими в водоносный пласт сверху.
Рис. 2. Общая схема защитного дренажа
подтапливаемой территории
1 - поток подземных вод; 2 - защищаемая территория;
3 - систематический дренаж; 4 - водохранилище;
5 - береговой дренаж; 6 - головной дренаж
1.8. Общая плановая гидрогеологическая расчетная схема расположения защитных дренажей приведена на
рис. 2. Эта основная схема предполагает защиту застроенной территории от подтопления потоком фильтрационных вод со стороны крупного водотока (водоема) - береговой дренаж, а также со стороны водораздела - головной дренаж.
1.9. В зависимости от различия в плановом расположении защищаемой территории и гидрогеологических условий могут быть выделены следующие схемы дренирования:
а) однолинейные - головные или береговые (иногда дополненные придамбовым);
б) двухлинейные - головные и береговые, действующие во взаимодействии друг с другом;
в) кольцевые (контурные) системы, при которых обеспечивается защита подтапливаемых участков или отдельных сооружений со всех сторон;
г) систематические (площадные) схемы дренажа, расположенного равномерно по всей дренируемой территории;
д) смешанные (комбинированные) схемы дренирования, линейные или кольцевые схемы дренажа всегда совмещены со систематическими.
1.10. В общем случае для защиты уже застроенной или еще подлежащей застройке территории, где имеет место многофакторное подтопление, применяются комплексные системы защитного дренажа, включающие береговой, головной и систематический. Наряду с ними для защиты отдельных зданий и сооружений или участков застройки может применяться локальный дренаж, который выполняется в виде кольцевых (контурных) дренажных систем, горизонтального, вертикального, комбинированного или лучевого типов.
1.11. На уже застроенных эксплуатируемых территориях в систематических (площадных) схемах дренирования прокладывать горизонтальный дренаж затруднительно в связи со стесненностью застройки и с занятостью подземного пространства трубопроводами, кабельными и другими коммуникациями. Поэтому в таких условиях предпочтительнее применение вертикального и лучевого дренажей, которые сооружаются бестраншейным способом.
1.12. По конструктивному признаку можно выделить следующие виды защитных дренажей: горизонтальные, подразделяющиеся на открытые (например, дренажные каналы, копани и т.д.) и закрытые (трубчатые, галерейные и др.); вертикальные, состоящие из системы буровых дренажных скважин, оборудованных фильтрами и водоподъемниками для откачки воды; комбинированные, состоящие из горизонтальной дрены и буровых скважин - усилителей, сбрасывающих воду в дрену; лучевые, представляющие собой систему горизонтальных радиальных трубчатых скважин - дрен, собирающих воду из дренируемого пласта и отводящих ее в центрально расположенный шахтный колодец, где устанавливается насос для откачки; естественные открытые дрены, представленные прудами, речными старицами, озерами, другими водоемами и водотоками, размещенными в местах понижения рельефа.
1.13. По характеру фильтрационной неоднородности могут быть выделены следующие типы водоносных пластов, подлежащих дренированию: 1) однородные в плане и разрезе; 2) неоднородные в плане; 3) неоднородные в разрезе; 4) неоднородные в плане и разрезе.
1.14. Плановая фильтрационная неоднородность водоносных пластов главным образом зависит от фильтрационных свойств грунтов, слагающих отдельные геоморфологические элементы территории. С этим связана, в частности, параллельность линий раздела зон с разными свойствами. Одновременно с этим неоднородность в плане отражает фациальные переходы одних литологических разностей грунтов в другие. Границы этих переходов чаще всего перпендикулярны урезу воды в реке.
Рис. 3. Основные типы геолого-литологических разрезов
дренируемых водоносных пластов
а - безнапорный пласт ограниченной мощности;
б - безнапорный пласт неограниченной мощности;
в - многослойная толща; г - напорный пласт ограниченной
мощности; д - напорный пласт неограниченной мощности;
е - двухслойный пласт ограниченной мощности;
ж - двухслойный пласт с нижним неограниченным слоем;
з - двухслойный пласт с дреной в нижнем слое;
и - гидравлически совершенный дренаж;
к - гидравлически несовершенный дренаж
1.15. Могут быть выделены следующие основные типы геолого-литологических разрезов
(рис. 3):
а) однородный пласт ограниченной мощности;
б) однородный безграничный водоносный пласт;
в) многослойный пласт с различными коэффициентами фильтрации (
k1,
k2,
k3, ...), соотношение между которыми не превышает 20, т.е. (
k1/
k2) < 20; (
k2/
k3) < 20; (
k3/
k4) < 20; ...
Этот пласт может приводиться к однородному по соответствующей методике
[1];
г) двухслойный пласт ограниченной мощности, когда (
k2/
k1) > 20 и гидравлическая связь между верхним и нижним слоями отсутствует. Эта схема соответствует напорному режиму фильтрации (в нижнем слое);
д) двухслойный пласт с (k2/k1) > 20 с отсутствием гидравлической связи между пластами. Нижний пласт является напорным, безграничным;
е) двухслойный пласт, когда (
k2/
k1) < 20 и имеет место гидравлическая связь между слоями. Дрена заложена в верхнем слабопроницаемом слое;
ж) двухслойный пласт со слоями, имеющими гидравлическую связь, и дреной, расположенной в верхнем слабопроницаемом слое. Нижний слой безграничный;
з) двухслойный пласт ограниченной мощности с гидравлической связью между слоями и дреной, заложенной в нижнем слое. В отличие от
схем "е" и
"г" здесь пласт может приводиться к однородному так же, как и в
схеме "в".
1.16. В зависимости от глубины заложения водозахватной части дренажа он может быть гидравлически совершенным (
рис. 3, и) или несовершенным (
рис. 3, к) по степени вскрытия водоносного пласта.
1.17. Глубина заложения дренажей, определяемая гидрогеологическими расчетами, должна обеспечивать заданную норму понижения уровня подземных вод на подтапливаемой территории, которая в свою очередь зависит от глубины защищаемых зданий и сооружений. Глубина заложения дренажей во всех случаях должна быть не менее глубины промерзания грунтов.
1.18. Продольные уклоны горизонтальных дренажей принимаются не менее 0,002 (для дрен диаметром свыше 200 мм допустимый уклон - 0,001). Максимальные уклоны следует принимать с учетом допустимой скорости течения воды в дренах - 1 м/с.
1.19. Трассировка береговых и головных дренажей производится в соответствии с конкретными гидрогеологическими и инженерно-производственными условиями, желательно по линии равных напоров подземных вод и с максимальным перехватом потока, подтапливающего защищаемую территорию. Трассы систематического дренажа прокладываются совместно с другими уличными коммуникациями и желательно в зоне температурного поля тепловых сетей.
1.20. Расстояния дрен от фундаментов сооружений и подземных коммуникаций определяются условиями эксплуатации и строительства этих сооружений и указаниями соответствующих нормативных документов.
1.21. Смотровые колодцы на линиях горизонтального дренажа устанавливаются в местах поворота трассы, изменения уклонов, на перепадах. При большой длине горизонтального дренажа смотровые колодцы устанавливаются с шагом 50 м.
1.22. Для гидрогеологического обоснования защитных дренажей требуется наличие следующих данных:
топографический план территории с отметками фундаментов, заглубленных частей сооружений и инженерных сетей (как существующих, так и проектируемых);
планы, разрезы и развертки фундаментов;
планы, продольные профили и разрезы подземных коммуникаций;
проект вертикальной планировки территории;
материалы гидрогеологических и инженерно-геологических изысканий;
подробная характеристика источников подтопления территории, включая их водный режим, интенсивность, размеры и т.д., а также сведения о других факторах подтопления
(прил. 1);
сведения о характере застройки защищаемой территории, перспективах ее развития, производственно-технологических и организационно-технических особенностях хозяйственной деятельности в пределах зоны действия дренажа.
1.23. Материалы инженерных изысканий должны содержать следующие сведения:
физико-механические свойства грунтов (гранулометрический состав, пористость, влажность, число пластичности и др.);
коэффициент фильтрации;
режим грунтовых вод, положения их уровней (существующих и проектных);
химический состав подземных вод и их агрессивность по отношению к различным материалам;
уровенный режим источников подтопления (водоемов или водотоков), а также максимальный и минимальный уровень воды в водоприемнике, куда предполагается сброс дренажных вод.
1.24. Необходимые графические приложения к материалам инженерных изысканий следующие: основные инженерно-геологические разрезы и колонки грунтов по буровым скважинам; гидрогеологическая карта масштаба 1:500 - 1:1000 с нанесением гидроизогипс на разные периоды времени; геолого-литологическая карта и карта глубин залегания водоупора.
1.25. Расчеты водопонизительного и водоотводного действия дренажа должны предваряться определением прогнозного уровня подземных вод, подъем которого является следствием подтопления застроенной или застраиваемой территории.
1.26. Прогноз подъема уровня подземных вод на защищаемой территории производится с применением следующих методов:
а) аналитического, который предполагает применение расчетных фильтрационных формул, основанных на решении дифференциальных уравнений движения подземных вод при заданных граничных условиях. Этот метод позволяет сравнительно быстро и легко без специального оборудования определять величину подъема уровня подземных вод под влиянием различных факторов подтопления. Однако аналитические зависимости пригодны лишь для определенной группы расчетных фильтрационных схем и не учитывают целого ряда природных особенностей, осложняющих решение задач;
б) методы моделирования, предусматривающие решение задач прогноза подъема уровня подземных вод с помощью аналоговых (АВМ) и цифровых (ЭВМ) вычислительных машин. Численные методы, реализуемые с применением машинной вычислительной техники, позволяют учитывать достаточно сложные гидрогеологические условия, в частности плановую и вертикальную фильтрационную неоднородность водоносных пластов, сложность формы области фильтрации, переменность питания грунтовых вод, и т.д. Вместе с тем методы моделирования требуют применения специальной вычислительной техники и позволяют решать лишь конкретную фильтрационную задачу, не давая возможности распространять полученные результаты на другие случаи;
в) метод аналогий, основанный на использовании фактических сведений по подъему уровня подземных вод на территориях, находящихся в аналогичных гидрогеологических и инженерных условиях. Этот метод позволяет на ранних стадиях проектирования ориентировочно оценивать величину подъема уровня подземных вод, например, по результатам оценки водного баланса сопоставляемых участков подтапливаемых территорий.
1.27. Для составления прогноза подъема уровней подземных вод под влиянием различных источников подтопления необходимо знание величины инфильтрационного питания подземных вод
(прил. 1).
2. МЕТОДИКА РАСЧЕТА ВЕРТИКАЛЬНОГО ДРЕНАЖА
ПОДТОПЛЕННЫХ ТЕРРИТОРИЙ
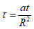
2.1. Приток дренажных вод в каждую скважину защитного линейного ряда скважин вертикального дренажа (дебит скважины) определяется по формуле
<1>
--------------------------------
<1> Обозначения параметров, входящих в эти формулы, приводятся ниже.

(2.1)
Здесь: Uд - функция напора, которая определяется по следующим зависимостям:
для безнапорных условий

(2.2)
для напорных условий
Uд = T(Hе - Hд). (2.3)
В
формуле (2.1) функция Ф
д - фильтрационное сопротивление совершенной скважины, которое определяется по формулам, приведенным в
табл. 1.
2.2. Понижение уровня грунтовых вод в любой точке пласта при работе дренажа определяется по формуле

(2.6)
Здесь напорная функция для безнапорных условий
для напорных условий
2.3. В тех случаях, когда унификация тех или иных расчетных зависимостей и их приведение к канонической форме оказались невозможны, в
табл. 1 эти формулы даны в первоначальном виде.
2.4. Дополнительное гидравлическое сопротивление на несовершенство вскрытия водоносного пласта определяется по
табл. 1 прил. 2 - для установившегося режима фильтрации и по
табл. 2 прил. 2 - для неустановившегося режима. В этих таблицах
T - мощность напорного пласта,
l - длина фильтра скважины,
rс - радиус скважины. Для безнапорных условий принимается
T = Hе - 0,5Sд; l = l0 - 0,5Sд. (2.9)
Здесь l0 - глубина погружения рабочей части скважины под уровень грунтовых вод или разность отметок естественного уровня грунтовых вод и низа рабочей части фильтра скважины.
Таблица 1
Сводка расчетных формул для вертикального дренажа
N п.п. | Расчетная схема | Расчетная формула |
| Линейный ряд скважин | Установившийся режим фильтрации [12] |
2 | | Неустановившийся режим фильтрации [12] , где Ф y = Ф д то же, что и в п. 1; |
3 | | Ф д - определяется по формуле п. 1; |
4 | | Установившийся режим фильтрации [9] , где  ; где  |
5 | | Неустановившийся режим фильтрации [18] , где  ; В точках, лежащих на линиях, перпендикулярных горизонтальной оси дренажа и проходящих посредине расстояния между скважинами: где  Значение функции  см. рис. 1 прил. 2 |
| | Установившийся режим фильтрации [9]Для зоны I Для зоны II Не в канонической форме |
7 | Линейный ряд скважин в пласте с плановой неоднородностью | n - число скважин. Для области L0 < x < L1 Для области x > L1 |
8 | Кольцевой дренаж | Установившийся режим фильтрации [12]Для скважины Б Для скважины Д где  - число скважин. где QБ и QД - дебиты соответственно ближней и дальней скважины |
9 | | Неустановившийся режим фильтрации [12] |
10 | Систематический дренаж | Установившийся режим фильтрации [18]или в другом виде На расстоянии  от оси скважины |
11 | | Неустановившийся режим фильтрации [18] где  . |
d/2R | 0,01 | 0,001 | 0,0001 | 0,00001 |
| 0,72 | 0,57 | 0,49 | 0,43 |
или в других обозначениях  - время понижения уровня подземных вод на междренье, до величины  |
12 | Лучевой дренаж | Установившийся режим фильтрации [20]где  , n - число лучей |
13 | | Неустановившийся режим фильтрации [20]Понижение уровня подземных вод определяется по приведенным выше формулам, в которых под диаметром скважины d понимается диаметр эквивалентного лучевому водозабору "большого колодца": |
2.5. Расчет в двухслойном напорном пласте ведется по
формуле (2.6), где
k = (k1T1 + k2T2)/(T1 + T2). (2.10)
Здесь T1 и T2 - мощность соответственно верхнего, где расположены скважины, и нижнего слоя; k1 и k2 - коэффициенты фильтрации также соответственно верхнего и нижнего слоя.
В отличие от
формул (2.6) -
(2.8) в данном случае поправка на гидравлическое несовершенство скважины учитывает не только неполное вскрытие всей мощности пласта, но и отличие проницаемости в интервале, где установлена скважина, от проницаемости нижележащих пород.
Значение величины

приведено в
табл. 3 прил. 2 для различных соотношений коэффициентов фильтрации и мощностей слоев.
2.6. Для иллюстрации методики гидрогеологического расчета дренажа, защищающего застроенную территорию от подтопления подземными водами, ниже рассматривается пример такого расчета для типовых условий защиты, схема которой показана на
рис. 4.
2.7. Рассматривается территория, защищенная от подтопления фильтрационными водами из водохранилища линейным береговым дренажем. Поток подземных вод с противоположной стороны от берега, где имеется 2-я граница питания, перехватывается линейным головным дренажем. Этих двух дренажных систем могло быть достаточно, если бы на застроенной территории не развивалось процесса самоподтопления, связанного с утечками из водонесущих коммуникаций, поливами зеленых насаждений и прочими факторами. Наличие инфильтрационного питания с поверхности земли вызывает дополнительный подъем уровней подземных вод. Последний должен быть снят систематическим (площадным) дренажем, выполненным в виде прямоугольной в плане сетки вертикальных скважин, равномерно расположенных на защищаемой территории.
Рис. 4. Расчетная гидрогеологическая схема
вертикального дренажа подтапливаемой территории
а - план территории; б - профиль по I - I,
систематический дренаж; в - профиль по I - I,
береговой и головной дренажи; 1 - береговой дренаж;
2 - головной дренаж; 3 - систематический дренаж
2.8. Указанные виды дренажа действуют во взаимодействии друг с другом, что учитывается при проведении расчета, порядок которого следующий: 1) определение расхода берегового дренажа; 2) расчет уровня подземных вод на линии головного дренажа, который обусловлен действием берегового дренажа; 3) определение дебита головного дренажа, взаимодействующего с береговым; 4) расчет пониженного уровня подземных вод в центре защищаемой территории (посредине между линиями берегового и головного дренажей); 5) расчет основных параметров систематического дренажа - расстояния между скважинами, уровня воды в них и др. Этот расчет выполняется по формулам, в которых понижение уровня между скважинами является заданным (по инженерным соображениям); 6) определение времени сработки уровня подземных вод; 7) определение расхода скважин систематического дренажа.
Пример расчета. Определение дренажного расхода берегового дренажа (
рис. 4, а) производится по
формуле (2.1), которая после подстановки в нее значений
Uд и Ф
д (из
табл. 1, сх. 6) имеет вид
Здесь
k = 7 м/сут;
H1 =
H2 =
Hе = 25,8 м;
Hд = 19 м;
S =
Hе -
Hд = 6,8 м;
L1 = 100 м;
L2 = 1765 м;
L = 1865 м;

;
d = 0,19 м.
Подставляя эти данные в формулу, получим Q1 = 409 м/сут = 4,7 л/с.
Расчет уровня грунтовых вод на линии головного дренажа, пониженного в результате действия берегового дренажа, ведем по соответствующей формуле
п. 6 табл. 1.
Здесь x02 = 1400 - 1865/2 = 467,5 м; x01 = 100 - 1865/2 = -832,5 м.
Подставив исходные данные в приведенную формулу, получим Hx = 24,6 м.
Определение дебита головного дренажа, взаимодействующего с береговым, осуществляется по методике С.К. Абрамова
[9].
Для головного дренажа границами с постоянным напором является с одной стороны граница с уровнем H2 и с другой - линия берегового дренажа с уровнем Hл (средний уровень между уровнями в скважинах дренажа и в междренье).
Вычисляем уровень

.
Имеем:
H2 = 19 м;
Q1 = 409 м
3/сут;
k = 7 м/сут;
d = 0,19 м;

.
Q2 = 113,8 м3/сут = 1,3 л/с;
H'е = 24,6 м;

;

;

;
d = 0,19 м;
L' = 1765 м;
L'1 = 1300 м;
L'2 = 465 м.
Расчет пониженного уровня подземных вод, который устанавливается на линии, проходящей посредине между береговым и головным дренажами
(табл. 1).
Имеем: Q2 = 113,8 м3/сут; k = 7 м/сут; H2 = 25,8 м; Hл = 21 м; L'2 = 465 м; L' = 1765 м; x = +232,50 м; x01 = -417,5 м.
Подставив эти исходные данные в приведенную формулу, получим Hц = 20,3 м.
Расчет систематического дренажа
(рис. 4) предполагает определение понижения уровня подземных вод и расхода дренажных скважин.
Предыдущими расчетами установлено, что уровень подземных вод в средней части защищаемой территории
Hц = 20,3 м (без учета инфильтрации). Для того, чтобы поддерживать УГВ на заданной отметке
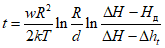
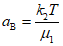
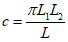
Hц (не выше 19,50 м), заложим систематический дренаж из сетки совершенных скважин в виде пяти линий с расстояниями 220 м между ними. Приведенный радиус действия каждой из скважин рассчитывается по формуле

(где
F - площадь, обслуживаемая каждой скважиной):
R = 124 м. Определим предельное превышение УГВ между скважинами систематического дренажа при установившемся режиме
где
T - средняя мощность потока при установившемся режиме.

, где

- превышение поверхности грунтовых вод посередине между скважинами над уровнями в скважинах через время
t после начала действия дренажа. Методом подбора установим оптимальный уровень в дренажных скважинах:
Имеем
R = 124 м;
d = 0,19 м;
k = 7 м/сут;
w = 0,003;
Hц = 20,3 м;
Hн = 19,5 м. Примем
Hд = 18 м. Тогда

;
T = 18,8 м;

. Проверим, каков будет уровень
Hн в данном случае

, что ниже заданного уровня
Hн = 19,5 м.
Повысим уровень в скважине:
Hд = 18,3 м. Тогда

;
T = 18,3 + 1,2/2 = 18,9 м;

.
Проверим уровень Hн = 18,3 м + 1,2 м = 19,5 м.
Дебит каждой из скважин систематического дренажа определяется по формуле
Здесь

- расход инфильтрационного питания;
Подсчет времени сработки уровня ведется по формуле
Обозначения к формулам
гл. 2
L - расстояние между границами области фильтрации.
L1, L2 - расстояния между границами области фильтрации и линией дренажа.

- расстояния между скважинами дренажа.
d - диаметр скважины, d = 2T.
x0 - расстояние от линии, проходящей посередине между границами области фильтрации, до линии дренажа.
x - расстояние от линии, проходящей по оси дренажа или посередине между границами области фильтрации, до точки с искомым уровнем (для осесимметричных задач эта величина обозначена

).
L0 - расстояние от границы области фильтрации до границы зоны с одинаковыми фильтрационными свойствами.
R - радиус (приведенный) действия скважины систематического дренажа или радиус равновеликого круга, к которому приводятся реальные контуры кольцевого дренажа.
F - площадь действия скважины систематического дренажа (системы скважин кольцевого дренажа).
t - время от ввода дренажа в эксплуатацию.
k - коэффициент фильтрации.
H1, H2 - уровни подземных вод на границах области фильтрации.
Hд - уровень воды в дренажных скважинах.
Hл - средний уровень подземных вод на линии дренажа с учетом его несовершенства.
Hx - уровень подземных вод в произвольной точке области фильтрации.
T = Hср - средний напор подземных вод на данном участке пласта.
Hе - уровень подземных вод на линии дренажа до ввода его в действие (естественный уровень).
Sд - понижение уровня воды в дренажных скважинах.
l - длина фильтровой части скважины.
w - инфильтрация (величина питания водоносного пласта поверхностными водами).
SR - понижение уровня подземных вод на границе действия скважины систематического дренажа.

- понижение уровня на расстоянии

от скважины систематического дренажа.

- уровень подземных вод на расстоянии

от скважины систематического дренажа.
Hц - уровень подземных вод посредине между двумя линиями дренажа или в центре кольцевого дренажа.
Hн - заданный (нормативный) уровень подземных вод.

- превышение уровня подземных вод в междренье над уровнем в скважине на момент времени
t.

- предельное превышение уровня подземных вод в междренье над уровнем в скважине.
Фд - гидравлическое сопротивление для определения дебита дренажной скважины.
Фx - гидравлическое сопротивление для определения уровня подземных вод на заданном расстоянии x от скважины.
Q1, Q2 - дебит скважины берегового и головного защитного дренажа.
Qб - расход фильтрационного потока подземных вод со стороны берега.
3. МЕТОДИКА РАСЧЕТА ГОРИЗОНТАЛЬНОГО (И КОМБИНИРОВАННОГО)
ДРЕНАЖА ПОДТОПЛЕННЫХ ТЕРРИТОРИЙ
3.1. Расчет системы горизонтального дренажа ведется для той же комплексной схемы, что и вертикального, т.е. рассматривается защита городской застройки, подтапливаемой с одной стороны от крупного водоисточника, с другой - потоком воды со стороны берега и за счет инфильтрации сверху. В связи с этим все основные пояснения, приведенные в предыдущей главе, могут быть почти полностью отнесены к данному расчету.
3.2. Порядок проведения расчета дренажа здесь аналогичен предыдущему и сводится к следующим операциям:
1) определение дебита берегового дренажа; 2) определение дебита головного дренажа; 3) расчет пониженного уровня грунтовых вод в вершине депрессионного бугра на междренном расстоянии между береговым и головным дренажами; 4) расчет основных параметров систематического дренажа, включая определение глубины заложения дрен и дебита при заданной норме осушения территории и заданном расстоянии между дренами, назначаемом в зависимости от размеров квартальной застройки.
Расчетная гидрогеологическая схема приведена на
рис. 5. Приводимые ниже расчеты выполняются по формулам
табл. 2.
Рис. 5. Расчетная гидрогеологическая схема
горизонтального дренажа подтапливаемой территории
а - план территории; б - профиль по I - I;
1 - береговой дренаж; 2 - систематический дренаж;
3 - головной дренаж
Пример расчета. Определение расхода берегового дренажа производится по формуле
п. 4 табл. 2 для зоны II. В данном случае эта формула имеет вид
где
k = 2 м/сут;
H1 = 15 м;
H2 = 20 м;
L1 = 50 м;
L2 = 500 м;
L3 = 800 м;
L = 1350 м;

;
d = 0,6 м;

.
Подставив в эту формулу численные значения, получим Q1 = 1 м3/сут на 1 м.
Полный расход берегового дренажа Q01 = 1·500 = 500 м3/сут.
Определение расхода головного дренажа производится для зоны I.
В данном случае
где

;

.
Остальные обозначения те же. При уже приведенных значениях получим Q2 = 0,27 м3/сут на 1 м.
Полный расход головного дренажа Q02 = 0,27·500 = 135 м3/сут.
Расчет пониженного уровня грунтовых вод в вершине депрессионного бугра получим также на основе формулы
табл. 2.
Уровень грунтовых вод при работе берегового дренажа в зоне II определяем по формуле
где x1 - расстояние от береговой дрены, м; уровень грунтовых вод на линии дренажа
Аналогично рассчитывается кривая депрессии от работы головного дренажа
где x2 - расстояние от головной дрены, м;
Наивысшая точка депрессионной кривой в области междренья должна удовлетворить условию

.
Решая систему уравнений

, находим координаты наивысшей точки депрессионной кривой:
Подставив числовые значения, получим
x1 = 192,3 м;
x2 = 307,7 м. Зная
x1 и
x2, находим

.
Уровни грунтовых вод в естественных условиях (без работы дренажей) определяем геометрически
(рис. 6).
Естественный уровень грунтовых вод

на линии "депрессионного бугра" определяется из соотношения
Hе = 15,0 + 0,9 = 15,9 м.
Тогда понижение
S в этой точке составит

.
Расчет систематического дренажа производится по той же методике, что и в
гл. 2 для вертикального дренажа.
Рис. 6. Схема определения уровня
грунтовых вод в естественных условиях
По инженерно-производственным соображениям примем норму осушения в размере 2 м. Береговой и головной дренажи понижают уровень грунтовых вод на 1,25 м, что явно недостаточно. Следовательно, возникает необходимость заложения систематического дренажа, который, кроме этого, должен отводить также поверхностный сток, инфильтрующийся сверху. Расчет площадного (систематического) дренажа на застроенных городских территориях сводится к определению глубины заложения и дебита дренажа.
Для расчета систематического дренажа, заложенного в однослойной толще, применима формула
п. 6 табл. 2, которую можно записать в виде
где hс - средняя мощность пласта, м; w - инфильтрация, м/сут; Hц - уровень грунтовых вод над водоупором в центре междренья, м.
Естественный уровень грунтовых вод над береговой дреной аналогично предыдущему составит

. Аналогично определяется естественный уровень над головной дреной

.
Средний естественный уровень между береговой и головной дренами составит приблизительно Hе = (H1 + H2)/2 = 16,1 м.
Этот уровень должен быть понижен на величину нормы осушения, т.е. на 2 м, и в связи с этим требуется, чтобы уровень подземных вод посередине между двумя соседними дренами систематического дренажа поддерживался на отметке
Hц = 14,1 м. При этом, а также при
hс = 13,5 м;
w = 0,004 м/сут;

;
k = 2 м/сут получим:
Hд = 14 - (0,004·1002)/(2·2·13,5) = 13,2 м.
Как видим, заданная норма осушения территории обеспечивается при заложении горизонтального систематического дренажа на уровне Hд = 13,2 м.
Расход дрены на единицу ее длины определяется:
Полный расход систематического дренажа на рассматриваемом участке Qос = 0,4·4·500 = 800 м3/сут. Общий расход от работы всех дренажей составит Q0 = Q01 + Q02 + Qос = 500 + 135 + 800 = 1435 м3/сут.
Эти величины определяют производительность дренажных насосных станций.
Обозначения к формулам
гл. 3
L1, L2 - расстояния между границами области фильтрации и дренажем или центром кольцевого дренажа.
x - расстояние от дренажа до точки с искомым уровнем.

- расстояние между дренами систематического дренажа или между вертикальными скважинами - усилителями комбинированного дренажа.
r0 - радиус равновеликого круга, к которому приводятся реальные контуры кольцевого дренажа.
R - радиус действия (влияния) кольцевого дренажа.

- уровень подземных вод в точке, отстоящей на расстоянии

от центра кольцевого дренажа.
T - мощность водоносного пласта.
Hц - уровень подземных вод в центральной точке кольцевого дренажа или на линии, находящейся посередине между двумя дренами систематического дренажа.
J - гидравлический градиент потока подземных вод.
Qб - приток на линии дренажа со стороны водоисточника на единицу длины дренажа.
Q - расход дренажа на единицу его длины.
Q1 - приток воды в дрену со стороны водоисточника на единицу длины берегового дренажа.
Q2 - приток воды в дрену со стороны берега на единицу длины головного дренажа.
Qк - дебит кольцевого дренажа.
Qг, Qв, Qс - дебит соответственно горизонтального, вертикального и всего элемента комбинированного дренажа.
Таблица 2
Сводка расчетных формул для горизонтального
и комбинированного дренажа
N п.п. | Расчетная схема | Расчетная формула |
1 | Береговой дренаж | Однородный безнапорный поток Установившийся режим фильтрации [5]где Qб = kJTB; J - уклон потока; B - ширина потока; T - средняя мощность. Для зоны I где  ;  . Для зоны II |
2 | | Неустановившийся режим фильтрации [12]где  . Для зоны I Для зоны II где  |
3 | | Двухслойный поток Установившийся режим фильтрации [5]где  ; где  Неустановившийся режим фильтрации [12]Для зоны I где  ;  ; Для зоны II где  . Значения F3 - см. рис. 5 прил. 2 |
| Дрена между областями питания и стока | Однородный безнапорный поток [2]Для зоны I Для зоны II |
5 | | где  . Для зоны I где  . Для зоны II |
| Систематический дренаж | Однослойный пласт Установившийся режим фильтрации [12]Неустановившийся режим фильтрации [12]где  , |
| 0,005 | 0,01 | 0,025 | 0,05 | 0,075 | 0,01 |
| 0,4585 | 0,4420 | 0,4105 | 0,3740 | 0,3451 | 0,3215 |
|
7 | | Двухслойный пласт Установившийся режим фильтрации [12]Неустановившийся режим фильтрации [12]Значения  - см. рис. 6 прил. 2. |
| 0,005 | 0,01 | 0,025 | 0,05 | 0,075 | 0,1 |
| 0,4585 | 0,4420 | 0,4105 | 0,3740 | 0,3451 | 0,3215 |
8 | Кольцевой дренаж | Однослойный пласт Установившийся режим фильтрации [12] |
9 | | Неустановившийся режим фильтрации [12]где  ;  ;  . |
| 0 | 0,005 | 0,01 | 0,025 | 0,05 | 0,1 |
| 0,2303 | 0,2102 | 0,1980 | 0,1675 | 0,1370 | 0,0988 |
10 | | Несовершенный кольцевой дренаж [9]или по формуле где  ; m* = Hд + dSд; d = 0,5 - 0,7;  ,  K - полный эллипт. интеграл I рода Значения  ,  ,  и  см. рис. 10 прил. 2. |
11 | | |
12 | Комбинированный дренаж | Установившийся режим фильтрации [12]Симметричный поток где  ;  . Несимметричный поток  ; Построение депрессионной поверхности производится по приведенным выше зависимостям при  . |
13 | | Неустановившийся режим фильтрации [14] - интеграл вероятности; S0 - понижение уровня в скважинах линейного ряда |
4. ПРОЕКТИРОВАНИЕ И РАСЧЕТ ЛУЧЕВОГО ДРЕНАЖА
ЗАСТРОЕННЫХ ТЕРРИТОРИЙ
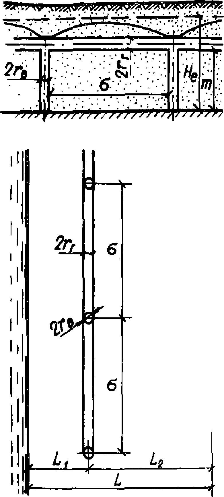
4.1. Лучевой дренаж представляет собой систему водопонизительных установок - лучевых водозаборов, состоящих из водосборных колодцев и радиальных горизонтальных трубчатых скважин
(рис. 7).
4.2. Лучевой дренаж может применяться как для общего дренирования застроенной территории (систематический, перехватывающий дренаж), так и для локального дренирования отдельных сооружений.
4.3. При дренировании подтопляемой территории подземными водами, притекающими со стороны, может применяться перехватывающий лучевой дренаж, состоящий из одного или нескольких рядов лучевых дрен, взаимодействующих друг с другом и перехватывающих боковой поток подземных вод.
Рис. 7. Лучевой водозабор
а - план; б - разрез; 1 - водосборный колодец;
2 - горизонтальные лучевые скважины; 3 - водоподъемник;
4 - естественный уровень грунтовых вод;
5 - пониженный уровень грунтовых вод
Рис. 8. Основные схемы расположения лучевых дренажей
а - кольцевой дренаж с угловым расположением двухлучевых
водозаборов; б - площадной дренаж с угловым расположением
трехлучевых водозаборов; в - кольцевой дренаж с фронтальным
расположением двухлучевых водозаборов; г - площадной дренаж
с фронтальным расположением трехлучевых водозаборов;
д - площадной дренаж с двумя пятилучевыми водозаборами;
е - кольцевой дренаж с четырехлучевыми водозаборами;
ж - с угловым расположением водосборных колодцев;
з - то же, с фронтальным расположением водосборных
колодцев; и - площадной дренаж с одним пятилучевым
водозабором; к - площадной дренаж
с четырехлучевым водозабором
4.4. При дренировании подтопляемой территории подземными водами, инфильтрующимися в грунт в пределах самой территории, может применяться систематический площадной дренаж, состоящий из лучевых водозаборов, расставленных в виде квадратной или "шахматной" сетки.
4.5. Локальный дренаж отдельных сооружений, находящихся в условиях подтопления, осуществляется установкой лучевых водозаборов в непосредственной близости от сооружений. Схемы дренажа приведены на
рис. 8. Возможность его устройства в каждом отдельном случае должна быть оценена с точки зрения опасности проявления деформации грунтов основания сооружения при их осушении. Это особенно важно для случаев размещения горизонтальных лучевых дрен под сооружением (схемы
рис. 8, б, г).
4.6. Локальный дренаж сооружений может осуществляться посредством кольцевого (схемы
рис. 8, а, в, е, ж, з) или площадного (схемы
рис. 8, б, г, д, и, к) расположения горизонтальных лучевых скважин. В первом случае эффект перехвата внешнего притока подземных вод может быть усилен установкой дополнительных лучей (схемы
рис. 8, е, ж, з). Во втором случае установка дополнительных лучей под сооружением предполагает усиление эффекта откачки внутреннего объема подземных вод и должна применяться при достаточно больших размерах сооружений в плане (
рис. 8, б, г).
4.7. При небольших плановых размерах сооружения (или отдельной его части) возможно дренирование путем устройства с площадным расположением горизонтальных дрен, двух и даже одного лучевого водозабора (схемы
рис. 8, д, и, к).
4.8. Лучевой дренаж наиболее эффективен в условиях неоднородных слоистых грунтов, когда слабопроницаемые или водоупорные породы чередуются с обводненными проницаемыми песчаными прослоями и линзами (размером более 0,5 м).
В этих условиях водозаборные лучевые дрены закладываются в более проницаемых линзах и прослоях, что позволяет наиболее полно их дренировать, вплоть до превращения в естественно-искусственные пластовые дрены. Лучевой дренаж дает возможность гибко учитывать как вертикальную, так и горизонтальную (плановую) неоднородность грунтов.
4.9. Лучевой дренаж эффективен для дренирования промплощадок со стесненной застройкой, с густой насыщенностью подземного пространства трубопроводными, кабельными и транспортными коммуникациями. С этой точки зрения вариант лучевого дренажа может быть конкурентоспособным по отношению к традиционному горизонтальному дренажу в случае дренирования уже застроенных территорий, где расположены эксплуатируемые предприятия.
4.10. Водосборный шахтный колодец (или скважина большого диаметра) служит для сбора воды, забираемой из дренируемого грунта через лучевые горизонтальные дрены - скважины. В колодце устанавливается насос для откачки воды, а в процессе строительства - оборудование для проходки горизонтальных скважин.
Водосборные колодцы (скважины) сооружаются из железобетона (бетона) - сборного или монолитного. В случае малого диаметра возможно применение стальных (при специальном обосновании - полимерных) труб.
4.11. Строительство водосборного шахтного колодца может осуществляться: а) открытым способом; б) бурением с помощью специальных методов (например, с обратной промывкой скважины, станками типа КШК и др.) или обычными станками в случае малого диаметра водосборной скважины; в) способом опускного колодца; г) вибрационным погружением; д) методом секущихся свай (траншейных стенок) и т.д.
4.12. При резкой неоднородности дренируемых пластов на участке закладки лучевого дренажа направление, число и длина отдельных лучей должны соответствовать расположению наиболее проницаемых слоев. При этом возможно наклонное размещение лучевых скважин (восходящих или нисходящих).
Число, направление, глубина расположения и длина лучевых дренажных скважин принимаются в зависимости от конкретных гидрогеологических, строительных, инженерно-производственных и эксплуатационных условий. Выбор основных параметров лучевых водозаборов осуществляется на основе фильтрационных расчетов. При длине лучей меньше 20 м в однородных пластах угол между лучами по фильтрационным соображениям не следует принимать менее 25°.
4.13. Расчет лучевого дренажа осуществляется путем его приведения (в зависимости от планового расположения лучей) в одних случаях к горизонтальному кольцевому дренажу, в других - к горизонтальному линейному и в третьих - к вертикальному. К горизонтальному кольцевому дренажу приводятся схемы расположения лучей, которые изображены на
рис. 8, а, в, е, ж, з, к вертикальному - на
рис. 8, б, г, д, и, к.
4.14. Расчет водопонизительного действия лучевого дренажа, приведенного к горизонтальному кольцевому дренажу, выполняется по методике
гл. 3. Приведение дренажей к горизонтальному кольцевому возможно, если расстояние ("просвет") между концами лучей составляет
b <= 0,15
l.
4.15. Для
схемы 8, е, ж, з лучевой дренаж приводится к горизонтальному кольцевому, если дрены-усилители имеют длину
lу <= 0,25
l. В противном случае эти схемы приводятся к схемам вертикального дренажа.
4.16. В отличие от обычного горизонтального дренажа лучевые дрены в большинстве случаев работают в напорном режиме и являются затопленными, что объясняется относительной малостью их диаметра и бестраншейным способом устройства. В связи с этим над лучевой дреной имеется нависание кривой депрессии, величина которой может быть приближенно подсчитана по формуле
hн = 0,22(q/k), (4.1)
где q - дебит дрены на 1 м ее длины; k - коэффициент фильтрации дренируемого грунта.
Таким образом, результат расчета сниженного уровня грунтовых вод от действия лучевого дренажа по формулам горизонтального дренажа должен быть повышен на величину hн.
4.17. Расчет лучевого дренажа с ответвлениями
(рис. 9) выполняется путем его приведения к однолинейному дренажу. Для этого используется способ "разворачивания" ответвлений с помощью конформного отображения действительной полуплоскости области фильтрации на условную. Указанное преобразование для фрагмента
abcd (см.
рис. 9) с достаточной степенью точности осуществляется путем пересчета координат по следующим формулам (расчетная схема -
рис. 10):

(4.2)
где
x,
y - координаты точек на действительной полуплоскости (т.е. области фильтрации);
l - действительная длина дрены-ответвления;

,

- новые координаты в отображенной области.
Рис. 9. Схема лучевого дренажа с ответвлениями
1 - основная дрена; 2 - дрена-ответвление;
3 - водосборный колодец
Рис. 10. Расчетная схема приведения лучевого дренажа
с ответвлениями к однолинейному дренажу
4.18. Для приведения ветвистого дренажа, имеющего несколько поперечных дрен, к фиктивной линейной дрене необходимо произвести столько последовательных преобразований по
формулам (4.2), сколько ответвлений имеет ветвистый дренаж. Описанная методика расчета применяется как к верхней полуплоскости (выше линии I - I на
рис. 9), так и к нижней. Результаты расчетов складываются.
После "вытягивания" дренажа с боковыми ответвлениями в одну линию расчет понижения уровней грунтовых вод ведется по методике, приведенной в
гл. 3, где расчетная длина дрены принимается с учетом "разворачивания" боковых ответвлений.
4.19. Отдельно действующие лучевые дренажи с равномерно расположенными лучами (см. схему
рис. 8, з, к), применяющиеся для дренирования отдельных сооружений (или их частей), а также для разгрузки куполов грунтовых вод рассчитываются как одиночные лучевые дренажи. При этом, если в соответствии с местными гидрогеологическими и производственными условиями лучевые скважины запроектированы разной длины
li и с разными углами

между лучами и эта разница не превышает 20%, то для применения приведенных ниже формул необходимо разные длины и углы привести к средним значениям по зависимости

(4.3)
где
l и

- соответственно осредненные длины горизонтальных радиальных скважин и угол между ними;
N - число лучей;
i - порядковый номер луча.
Рис. 11. Одиночный лучевой дренаж с равномерно
расположенными по кругу лучами
а - план; б - разрез; 1 - водосборный колодец; 2 - лучевые
дрены; 3 - депрессионная поверхность подземных вод
4.20. Дебит отдельно действующего лучевого дренажа определяется в зависимости от понижения уровня в его водосборном колодце, длины, числа, диаметра и глубины заложения лучевых горизонтальных скважин, а также фильтрационных характеристик дренируемых грунтов.
При установившемся движении дебит одиночного лучевого дренажа с равномерно расположенными в плане лучами
(рис. 11) может быть определен по формуле

(4.4)
где h - мощность водоносного пласта; S0 - снижение уровня воды в водосборном колодце; l, r - длина и радиус горизонтальной лучевой скважины.
Коэффициент взаимодействия лучевых дрен

и коэффициент

берутся по табл. 3.
N | Коэффициенты  и  при l/n: |
1 | 4 | 6 | 8 | 10 | 20 |
Коэффициент  |
3 | 0,63 | 0,67 | 0,70 | 0,71 | 0,72 | 0,75 |
4 | 0,48 | 0,52 | 0,57 | 0,60 | 0,63 | 0,64 |
6 | 0,33 | 0,38 | 0,40 | 0,45 | 0,47 | 0,52 |
8 | 0,28 | 0,33 | 0,36 | 0,42 | 0,45 | 0,51 |
Коэффициент  |
| 0,5 | 5,0 | 6,2 | 7,0 | 8,0 | 10,0 |
При неустановившемся режиме фильтрации дебит лучевого дренажа может быть определен по формуле

(4.5)
a - коэффициент уровнепроводности.
Для расчета лучевого дренажа, работающего в режиме постоянного понижения уровня, приведенными
формулами (4.5) можно пользоваться в случае, если

, где
rэ - радиус эквивалентного "большого колодца".
4.21. Радиус эквивалентного "большого колодца" по дебиту и понижению для схемы равномерного расположения лучей определяется по формуле

(4.6)
где D - диаметр водосборного колодца.
4.22. Понижение уровня грунтовых вод за пределами лучей (на расстоянии
r >= 1,75
l от оси водосборного колодца) определяется по соответствующим формулам для вертикального дренажа, приведенным в
гл. 2.
4.23. Расчет водопонизительного действия в пределах самих лучевых скважин на расстояниях от водосборного колодца
r <= 2
h и при
l > 2
h (см.
рис. 11) для случая постоянного понижения уровня во времени в колодце при неустановившемся режиме фильтрации производится следующим образом. Вначале по
формуле (4.5) находится приток воды в дренах на различные моменты времени
t. Затем строится криволинейный график
Q =
f(
t), который заменяется ступенчатым. Понижение в точке
A, расположенной на биссектрисе угла между двумя любыми лучами, определяется по формулам:

(4.7)

(4.8)

(4.9)
В этих формулах:

(4.10)
где

- расстояние от вертикальной оси водосборного колодца лучевого дренажа до точки
A, в которой определяется понижение уровня грунтовых вод
S;

- угол между
j-той лучевой скважиной и радиусом-вектором

.
В частном случае четырехлучевого (крестообразного) дренажа (см.
рис. 11, а) функция
FS для точки, расположенной на расстоянии

, определяется по формуле

(4.11)
Для двухлучевого прямоугольного дренажа (см. схему
рис. 8, в) при тех же условиях

и

можно пользоваться формулой

(4.12)
4.24. Лучевые дренажи с неравномерно расположенными лучами (см. схемы
рис. 8, б, г, д, з, и), приводимые к вертикальному дренажу, рассчитываются по методике, приведенной в
гл. 2.
Рис. 12. Приведение лучевого водозабора
к "большому колодцу"
1 - водосборный колодец; 2 - лучевые дрены
При этом в соответствующих формулах под расходом откачиваемой воды
Q должен приниматься расход лучевого дренажа, эквивалентного вертикальному большому колодцу по дебиту и понижению в нем уровня воды. Вертикальная ось расчетного "большого колодца" помещается в геометрическом центре лучевого дренажа. Эта точка определяется как центр тяжести многоугольника, вершинами которого служат середины лучей (например, для трехлучевого дренажа -
рис. 12).
Радиус эквивалентного "большого колодца" для расчета лучевого дренажа с неравномерно расположенными лучами может быть приближенно определен по зависимости

(4.13)
Здесь R - радиус действия дренажа.
4.25. Учет взаимодействия группы лучевых дренажей (см. схемы
рис. 8, б, г, д, е) выполняется по формуле

(4.14)

(4.15)
где Qn - суммарный расход дренажных вод, откачиваемых лучевыми дренажами (с учетом их взаимодействия); n - число лучевых дренажей; rk - расстояние от лучевого дренажа с номером k до дренажа с понижением уровня воды в нем S0.
В частном случае расположения лучевых дренажей по углам квадрата учет их взаимодействия может выполняться по формуле

(4.16)
Здесь

;

,
где

- половина расстояния между осями водосборных колодцев лучевых дренажей.
Для двух взаимодействующих лучевых дренажей дебит равен

(4.17)
где

.
4.26. Понижение уровня грунтовых вод в зоне действия группы лучевых дренажей за пределами лучей определяется по соответствующим формулам для взаимодействующих вертикальных скважин
(гл. 2).
ОСОБЕННОСТИ УЧЕТА САМОПОДТОПЛЕНИЯ ПРИ РАСЧЕТЕ
ДРЕНАЖА ЗАСТРОЕННЫХ ГОРОДСКИХ ТЕРРИТОРИЙ
Жилищно-коммунальное строительство приводит к существенному изменению естественного водного режима территорий и в том числе к переформированию режима подземных вод. Главным следствием появления городской застройки на свободной территории является ее обводнение за счет возникновения таких искусственных источников, как утечки из водопроводных и канализационных коммуникаций, разного рода бассейнов, каналов, котлованов, оросительных поливных вод и т.п. [
11,
12].
Механизм обводнения указанными утечками характеризуется активными и пассивными факторами подтопления. Активные факторы - это, в первую очередь, естественные: конденсация влаги под зданиями, покрытиями, накопление влаги в связи с уменьшением испарения под зданиями и покрытиями и т.д. Во-вторых, искусственные факторы, проявляющие себя в строительный период (инфильтрация и накопление в грунте поверхностных вод из строительных котлованов, траншей и т.п.) и в эксплуатационный период. В последнем случае действуют факторы эпизодического характера (аварийные утечки из водонесущих коммуникаций и пр.), периодические (поливы зеленых насаждений и пр.), систематические (утечки из водонесущих коммуникаций, прудов, бассейнов, каналов, промстоков и т.п.).
Пассивные факторы искусственного характера - это нарушение естественного стока поверхностных вод, засыпка естественных дрен, барражирующее влияние подземных сооружений (особенно линейных) и фундаментов.
Все указанное и является причиной появления на застроенных территориях особого рода инфильтрационного питания подземных вод, которого нет на открытых территориях.
Оценка величины инфильтрационного питания подземных вод поверхностными стоками представляет значительные трудности в связи со сложностью выявления источников самоподтопления и их количественных характеристик. Такая оценка может выполняться следующими способами:
анализом гидрорежимных наблюдений с использованием сезонных и еще лучше многолетних данных о колебаниях уровней подземных вод на застроенной территории. Здесь возможно применение способа непосредственного аналитического (или с применением моделирования на ЭВМ и АВМ) расчета результатов гидрорежимных наблюдений. В другом случае могут быть применены способ обратного решения фильтрационных задач по уравнениям, связывающим, например, основные параметры эксплуатируемого дренажа, и сведения о расчетных и фактических величинах уровня подземных вод в зоне влияния дренажа;
водобалансовыми расчетами, основанными на использовании данных об утечках воды из водонесущих коммуникаций, поливах зеленых насаждений и других источников подтопления. Величины этих утечек, "размазанные" по площади, дают величину инфильтрации в м/сут на 1 м2 площади. Другим приближенным способом является способ определения величины инфильтрационного питания по разности фактического и расчетного дебита дренажа, примененного для отдельных участков подтопленной территории с четкой определенной расчетной гидрогеологической схемой.
Ниже приводятся результаты расчетов величины инфильтрации, полученные некоторыми из упомянутых способов. При этом величина инфильтрации, по данным режимных наблюдений, определена по соотношению

, где

- время подъема уровня подземных вод в той или иной наблюдательной скважине на величину

, определенную как разность между расчетной и фактической величиной уровня подземных вод, пониженного дренажем.
Водобалансовый способ, использующий данные о расходе дренажа, определенном расчетным путем и замеренным на насосной станции, реализуется с применением соотношения

, где

- разность фактического и расчетного дренажного расхода, определенного для конкретного участка области фильтрации с более или менее четко установленными границами и параметрами.
Указанные расчеты выполнены для условий, позволяющих не учитывать атмосферные осадки, для чего выбраны результаты замеров, проведенных в зимнее время (декабрь).
Результаты определения величины инфильтрации, полученные по данным гидрорежимных наблюдений за пониженными уровнями подземных вод в зоне действия дренажа и замерами расхода воды дренажных насосных станций, даны в
табл. 4. Как видим, величина инфильтрационного питания, определенная по гидрорежимным наблюдениям, колеблется в достаточно широких пределах: от 0,00015 до 0,008 м/сут. В то же время средние величины инфильтрации по отдельным застроенным территориям довольно однородны и меняются в меньшем диапазоне: от 0,0007 (пос. Усть-Абакан, Хакасия) до 0,0042 м/сут (пос. Икшкиле, Латв. ССР). Средняя же величина по всем рассмотренным застроенным городским территориям составляет 0,003 м/сут.
Достаточно близкие к этому результаты дает определение величины инфильтрации по сопоставлению замеренных и рассчитанных дебитов дрен. Для г. Никополя (w = 0,0043 м/сут) и пос. Усть-Абакана (w = 0,00235 м/сут) средняя величина инфильтрации почти точно совпадает с величиной, определенной по гидрорежимным наблюдениям за УГВ (w = 0,0033 м/сут). Несколько заниженной представляется эта величина, определенная для с. Каменка Днепровская (w = 0,000038 м/сут). Однако даже с учетом и этого определения средняя величина инфильтрации w = 0,0022 м/сут, т.е. также близка к определению по гидрорежимным наблюдениям.
Таблица 4
Результаты определения величины инфильтрационного питания
по данным замеров пониженных уровней

подземных вод и дебитов дренажа

N скважины, дата | Hфакт, м | Hрасч, м |  , м | Qфакт, м3/сут | Qрасч, м3/сут |  , м 3/сут | F, м2 | w, м/сут, по  |  , сут | w, м/сут, по  |
г. Энгельс ( k = 10 м/сут;  ) |
Скважина: | | | | | | | | | | |
15 | 14,2 | 13,1 | 1,1 | | | | | | | 0,002 |
16 | 14,4 | 13,2 | 1,2 | - | 107,1 | - | - | - | 60 | 0,002 |
17 | 14,3 | 13,6 | 0,3 | - | | | | | | 0,002 |
Скважина 56 | | | | | | | | | | |
15/VI-1977 | 13,4 | 12,6 | 0,6 | - | - | - | - | - | 30 | 0,002 |
20/VII-1977 | 12,3 | 12,4 | 0,9 | - | - | - | - | - | 60 | 0,0015 |
20/IX-1977 | 13,3 | 12,8 | 0,5 | - | - | - | - | - | 120 | 0,0004 |
10/XI-1977 | 13,4 | 13,0 | 0,4 | - | - | - | - | - | 210 | 0,0002 |
г. Абакан ( k = 750 м/сут;  ) |
Скважина 62 | 9,7 | 8,8 | -0,1 | - | 77,7 | - | - | - | - | -0,0005 |
Скважина 236 | 11,3 | 10,5 | 0,8 | - | 74,0 | - | - | - | - | 0,008 |
пос. Усть-Абакан ( k = 20 м/сут;  ) |
Кольцевая дрена 27/III-1972 | 22,4 | 24,0 | -2,0 | 6,5 | 4,3 | 2,3 | 800 | 0,0028 | 300 | -0,002 |
Центральная точка 30/XII-1970 | 22,0 | 21,0 | 0,9 | 6,5 | 5,1 | 1,4 | - | 0,0017 | - | 0,001 |
Головная дрена | - | - | - | 6,5 | 1,8 | 4,8 | - | - | - | - |
Береговая дрена: | | | | | | | | | | |
1 | - | - | - | 6,5 | 6,6 | -0,1 | - | - | - | - |
2 | 24,5 | 24,4 | 0,1 | 6,5 | 4,4 | 2,2 | - | - | 120 | 0,0003 |
г. Никополь ( k = 4,2 м/сут;  ) |
Скважина: | | | | | | | | | | |
117 | 15,1 | 15,9 | -0,8 | 272,2 | - | - | 30000 | - | 60 | -0,0013 |
118 | 16,5 | 15,5 | 1,0 | 272,2 | - | - | - | - | 60 | 0,0016 |
130 | 14,3 | 12,3 | 2,0 | 272,2 | 298,1 | -25,9 | 25000 | -0,001 | 60 | 0,0032 |
136 | 12,1 | 11,3 | 0,8 | 272,2 | - | - | 32500 | - | 60 | 0,0013 |
137 | 14,2 | 12,2 | 1,9 | 272,2 | - | - | - | - | 60 | 0,0032 |
148 | 14,9 | 15,8 | -0,9 | 272,2 | 280,8 | -8,6 | 17500 | -0,0005 | 60 | -0,0014 |
149 | - | - | - | 272,2 | 185,8 | 86,4 | 17500 | 0,005 | - | - |
174 | 8,2 | 9,1 | -0,9 | 272,2 | 200,4 | 71,8 | 20000 | 0,0036 | 60 | -0,0015 |
175 | 9,9 | 10,0 | -0,1 | 272,2 | - | - | - | -0,0066 | 60 | -0,00015 |
с. Каменка Днепровская ( k = 10 м/сут;  ) |
267 | 9,6 | 10,6 | -1,0 | - | - | - | - | - | 60 | -0,0017 |
268 | 9,5 | 9,4 | 0,1 | 498,5 | 1658,8 | -1160,3 | 6000 | -0,019 | 60 | 0,0002 |
271 | 8,6 | 8,8 | 0,3 | - | - | - | - | - | 60 | 0,0005 |
277 | 9,7 | 9,1 | 0,6 | - | - | - | - | - | 60 | 0,0011 |
278 | 10,0 | 10,1 | -0,1 | 498,5 | 496,8 | 1,7 | 115000 | 0,000015 | 60 | -0,00001 |
282 | 10,6 | 10,5 | 0,1 | - | - | - | - | - | 60 | 0,0002 |
283 | 11,6 | 11,7 | -0,1 | 498,5 | 496,8 | 1,7 | 105000 | 0,000016 | 60 | -0,0002 |
287 | 10,5 | 8,6 | 1,9 | - | - | - | - | - | 60 | 0,0031 |
288 | 10,9 | 9,2 | 1,7 | 498,5 | 496,8 | 1,7 | 65006 | 0,000026 | 60 | 0,0028 |
293 | 11,1 | 9,1 | 2,0 | 498,5 | 496,8 | 1,7 | 85000 | 0,000020 | 60 | 0,0034 |
294 | 11,6 | 10,6 | 1,0 | - | - | - | - | - | 60 | 0,0018 |
с. Большая Знаменка ( k = 70 м/сут;  ) |
229 | 11,3 | 11,0 | 0,3 | - | - | - | - | - | 60 | 0,0005 |
230 | 10,2 | 10,7 | -0,5 | - | - | 775,2 | - | - | 60 | -0,0008 |
231 | 9,8 | 9,7 | 0,1 | - | - | 191,8 | - | - | 60 | 0,0002 |
пос. Икшкиле ( k = 25 м/сут;  ) |
1095 | 13,5 | 13,3 | 0,2 | - | - | - | - | - | 100 | 0,0005 |
1106 | 14,3 | 11,6 | 2,7 | - | - | - | - | - | 100 | 0,0082 |
1163 | 16,3 | 14,0 | 2,3 | - | - | - | - | - | 100 | 0,0071 |
69 | 13,1 | 14,2 | -1,1 | - | - | - | - | - | 100 | -0,0002 |
1007 | 13,2 | 15,6 | -2,4 | - | - | - | - | - | 100 | 0,0076 |
58 | 12,0 | 11,7 | 0,3 | - | - | - | - | - | 100 | 0,0009 |
3834 | 13,9 | 14,0 | -0,1 | - | - | - | - | - | 100 | -0,0002 |
В результате выполненного инженерно-гидрогеологического анализа на ряде участков застроенных территорий обнаружен отток подземных вод, характеризующийся появлением отрицательных величин инфильтрационного питания. Эта величина колеблется от -0,00015 м/сут до -0,0076 м/сут. Наличие отрицательных величин инфильтрации, т.е. падение уровней подземных вод, можно объяснить не только водопонизительным действием дренажа, но и местными геоморфологическими, гидрогеологическими и другими естественными условиями, которые приводят к оттоку подземных вод.
В целом проведенный инженерно-гидрогеологический анализ показывает, что неоднородный характер жилищно-коммунальной застройки и разнообразные условия землепользования городских территорий определяют различную степень участия основных факторов питания и расходования грунтовых вод для отдельных функциональных зон города. При этом в районах с большей плотностью застройки величина инфильтрационного питания явно увеличивается.
ВСПОМОГАТЕЛЬНЫЕ МАТЕРИАЛЫ ДЛЯ ГИДРОГЕОЛОГИЧЕСКОГО
РАСЧЕТА ДРЕНАЖА
Рис. 1. Графики функции

Рис. 2. График функции

Рис. 3. График функции

Рис. 4. График функции

Рис. 5. График функции

Рис. 6. График функции

Рис. 7. Графики функций

,

Рис. 8. График функции

Рис. 9. График функции

Рис. 10. Графики функций

,

,

Таблица 1
Значения величин дополнительных сопротивлений, учитывающих
несовершенство скважин (установившийся режим фильтрации)
l/T |  , при значениях T/r, равных |
0,5 | 1 | 3 | 10 | 30 | 100 |
0,05 | 0,00423 | 0,135 | 2,3 | 12,6 | 35,5 | 71,9 |
0,1 | 0,00391 | 0,122 | 2,04 | 10,4 | 24,3 | 42,8 |
0,3 | 0,00297 | 0,0906 | 1,29 | 4,79 | 9,2 | 14,5 |
0,5 | 0,00165 | 0,0494 | 0,666 | 2,26 | 4,21 | 6,5 |
0,7 | 0,000546 | 0,0167 | 0,237 | 0,879 | 1,69 | 2,67 |
0,9 | 0,000048 | 0,0015 | 0,0251 | 0,128 | 0,3 | 0,528 |
Продолжение табл. 1
l/T |  , при значениях T/r, равных |
200 | 500 | 1000 | 2000 |
0,05 | 94,0 | 126,0 | 149,0 | 169,0 |
0,1 | 53,8 | 68,5 | 79,6 | 90,9 |
0,3 | 17,7 | 21,8 | 24,9 | 28,2 |
0,5 | 7,86 | 9,64 | 11,0 | 12,4 |
0,7 | 3,24 | 4,01 | 4,53 | 5,19 |
0,9 | 0,664 | 0,846 | 0,983 | 1,12 |
Таблица 2
Значения величин дополнительных сопротивлений, учитывающих
несовершенство скважин (неустановившийся режим фильтрации)
l/T | r2/4at |  , при значениях T/r, равных |
1 | 3 | 10 | 30 | 100 | 200 | 500 | 1000 | 2000 |
0,1 | 5·10-11 | 0 | 1,03 | 9,33 | 23,43 | 42,43 | 53,83 | 69,13 | 80,73 | 92,53 |
5·10-7 | 0,1 | 2,08 | 10,38 | 24,48 | 43,48 | 54,88 | 70,18 | 81,78 | 92,78 |
5·10-5 | 0,12 | 2,07 | 10,37 | 24,47 | 43,47 | 54,57 | 66,97 | 73,17 | 76,17 |
5·10-4 | 0,13 | 2,04 | 10,38 | 24,38 | 42,28 | 50,38 | 56,28 | 56,98 | 58,48 |
5·10-3 | 0,14 | 2,05 | 10,39 | 23,39 | 34,99 | 38,79 | 38,19 | 38,29 | 38,49 |
5·10-2 | 0,12 | 2,03 | 9,23 | 16,73 | 20,03 | 20,13 | 20,63 | 20,63 | 20,63 |
5·10-1 | 0,119 | 1,25 | 3,38 | 4,42 | 4,65 | 4,66 | 4,68 | 4,68 | 4,68 |
0,3 | 5·10-11 | 0 | 0,23 | 3,77 | 8,03 | 13,53 | 16,63 | 20,73 | 23,93 | 27,23 |
5·10-7 | 0,08 | 1,28 | 4,78 | 9,18 | 14,58 | 17,68 | 21,78 | 24,98 | 27,78 |
5·10-5 | 0,09 | 1,27 | 4,77 | 9,17 | 14,47 | 17,47 | 19,77 | 20,57 | 20,97 |
5·10-4 | 0,09 | 1,30 | 4,78 | 9,1 | 13,68 | 14,98 | 15,68 | 15,78 | 15,88 |
5·10-3 | 0,11 | 1,31 | 4,80 | 8,39 | 10,19 | 10,49 | 10,69 | 10,69 | 10,69 |
5·10-2 | 0,09 | 1,29 | 3,93 | 5,11 | 3,28 | 3,33 | 3,35 | 3,35 | 3,35 |
5·10-1 | 0,089 | 0,70 | 1,12 | 1,23 | 1,26 | 1,27 | 1,27 | 1,27 | 1,27 |
0,5 | 5·10-11 | 0 | 0 | 1,23 | 3,23 | 5,43 | 6,83 | 8,63 | 9,93 | 11,43 |
5·10-7 | 0,08 | 0,68 | 2,28 | 4,18 | 6,48 | 7,82 | 9,68 | 10,98 | 12,18 |
5·10-5 | 0,05 | 0,65 | 2,27 | 4,17 | 6,47 | 7,77 | 8,57 | 8,87 | 9,07 |
5·10-4 | 0,05 | 0,66 | 2,26 | 4,18 | 6,08 | 6,48 | 6,78 | 6,78 | 6,86 |
5·10-3 | 0,07 | 0,67 | 2,28 | 3,80 | 4,44 | 4,57 | 4,62 | 4,63 | 4,63 |
5·10-2 | 0,05 | 0,65 | 1,81 | 2,24 | 2,38 | 2,40 | 2,41 | 2,41 | 2,41 |
5·10-1 | 0,05 | 0,34 | 0,49 | 0,54 | 0,54 | 0,55 | 0,55 | 0,55 | 0,55 |
0,7 | 5·10-11 | 0 | 0 | 0 | 0,63 | 1,63 | 2,23 | 2,93 | 3,53 | 4,13 |
5·10-7 | 0 | 0,28 | 0,88 | 1,68 | 2,68 | 3,28 | 3,98 | 4,56 | 5,08 |
5·10-5 | 0,01 | 0,23 | 0,87 | 1,67 | 2,67 | 3,17 | 3,67 | 3,77 | 3,87 |
5·10-4 | 0,02 | 0,24 | 0,88 | 1,69 | 2,51 | 2,75 | 2,88 | 2,90 | 2,92 |
5·10-3 | 0,03 | 0,25 | 0,89 | 1,56 | 1,89 | 1,95 | 1,98 | 1,98 | 1,98 |
5·10-2 | 0,01 | 0,24 | 0,72 | 0,94 | 1,01 | 1,02 | 1,02 | 1,02 | 1,02 |
5·10-1 | 0,016 | 0,13 | 0,21 | 0,23 | 0,23 | 0,23 | 0,23 | 0,23 | 0,23 |
0,9 | 5·10-11 | 0 | 0 | 0 | 0 | 0 | 0 | 0 | 0,03 | 0,13 |
5·10-7 | 0 | 0,08 | 0,18 | 0,28 | 0,58 | 0,68 | 0,88 | 0,98 | 1,18 |
5·10-5 | 0 | 0,02 | 0,12 | 0,30 | 0,53 | 0,67 | 0,87 | 0,87 | 0,97 |
5·10-4 | 0,01 | 0,03 | 0,13 | 0,31 | 0,53 | 0,63 | 0,70 | 0,71 | 0,72 |
5·10-3 | 0,02 | 0,04 | 0,14 | 0,30 | 0,45 | 0,48 | 0,50 | 0,50 | 0,50 |
5·10-2 | 0 | 0,02 | 0,11 | 0,20 | 0,25 | 0,25 | 0,25 | 0,25 | 0,25 |
5·10-1 | 0,002 | 0,02 | 0,04 | 0,054 | 0,69 | 0,058 | 0,068 | 0,068 | 0,068 |
Таблица 3
Значение поправки

для дренажной скважины
в двухслойном пласте
k2/k1 | T1/T |  при T1/ r, равном |
2 | 5 | 10 | 20 | 100 | 200 | 500 | 1000 | 2000 |
а) l0 = 0,1 |
0,01 | 0,1 | 0,645 | 2,663 | 5,832 | 10,39 | 23,95 | 30,26 | 38,68 | 45,07 | 51,46 |
0,3 | 0,477 | 2,342 | 5,304 | 9,584 | 22,47 | 28,56 | 36,75 | 42,99 | 49,23 |
0,5 | 0,451 | 2,289 | 5,220 | 9,461 | 22,24 | 28,29 | 36,46 | 42,68 | 48,91 |
0,7 | 0,443 | 2,266 | 5,179 | 9,394 | 22,10 | 28,12 | 36,25 | 42,46 | 48,67 |
0,9 | 0,439 | 2,253 | 5,153 | 9,350 | 22,00 | 27,00 | 36,10 | 42,29 | 48,49 |
0,1 | 0,1 | 1,637 | 4,767 | 9,407 | 15,97 | 35,31 | 44,28 | 56,26 | 65,35 | 74,44 |
0,3 | 0,827 | 3,267 | 6,999 | 12,33 | 28,28 | 35,81 | 45,93 | 53,63 | 61,34 |
0,5 | 0,568 | 2,647 | 5,901 | 10,58 | 24,64 | 31,29 | 40,27 | 47,11 | 53,96 |
0,7 | 0,486 | 2,411 | 5,460 | 9,861 | 23,10 | 29,38 | 37,86 | 44,32 | 50,80 |
0,9 | 0,450 | 2,291 | 5,526 | 9,471 | 22,26 | 28,33 | 36,52 | 42,78 | 49,04 |
0,25 | 0,1 | 5,310 | 13,21 | 24,18 | 39,35 | 83,55 | 104,0 | 131,3 | 152,0 | 172,06 |
0,3 | 1,375 | 4,757 | 9,744 | 16,78 | 37,72 | 47,58 | 60,83 | 70,91 | 81,01 |
0,5 | 0,765 | 3,244 | 7,035 | 12,45 | 28,64 | 36,30 | 46,62 | 54,49 | 62,37 |
0,7 | 0,568 | 2,655 | 5,934 | 10,65 | 24,81 | 31,52 | 40,60 | 47,47 | 54,39 |
0,9 | 0,467 | 2,352 | 5,347 | 9,674 | 22,70 | 28,88 | 37,22 | 43,59 | 49,98 |
0,5 | 0,1 | 9,148 | 23,11 | 42,14 | 68,29 | 144,20 | 179,3 | 226,1 | 261,6 | 297,1 |
0,3 | 2,237 | 7,186 | 14,26 | 24,15 | 53,39 | 67,14 | 85,61 | 99,66 | 113,7 |
0,5 | 1,091 | 4,240 | 8,926 | 15,56 | 35,31 | 44,64 | 57,21 | 66,79 | 76,39 |
0,7 | 0,686 | 3,066 | 6,729 | 11,97 | 27,65 | 35,08 | 54,10 | 52,73 | 60,39 |
0,9 | 0,497 | 2,455 | 5,550 | 10,01 | 23,44 | 29,80 | 38,32 | 44,95 | 51,53 |
1,0 | 0,1 | 15,94 | 41,99 | 77,14 | 125,3 | 264,6 | 328,9 | 414,7 | 479,8 | 545,0 |
0,3 | 3,872 | 11,95 | 23,20 | 38,79 | 84,64 | 106,2 | 135,1 | 157,1 | 179,1 |
0,5 | 1,745 | 6,231 | 12,71 | 21,78 | 48,66 | 61,33 | 78,39 | 91,39 | 104,4 |
0,7 | 0,945 | 3,896 | 8,326 | 14,61 | 33,35 | 42,20 | 54,15 | 63,26 | 72,39 |
0,9 | 0,558 | 2,663 | 5,957 | 10,69 | 24,91 | 31,64 | 40,74 | 47,68 | 54,63 |
б) l0 = 0,25 |
0,01 | 0,1 | 0,541 | 1,823 | 3,384 | 5,277 | 10,24 | 12,46 | 15,40 | 17,63 | 19,86 |
0,3 | 0,378 | 1,549 | 2,992 | 4,749 | 9,383 | 11,47 | 14,26 | 16,37 | 18,48 |
0,5 | 0,353 | 1,501 | 2,923 | 4,657 | 9,237 | 11,30 | 14,06 | 16,15 | 18,25 |
0,7 | 0,345 | 1,481 | 2,891 | 4,612 | 9,156 | 11,21 | 13,94 | 16,02 | 18,11 |
0,9 | 0,342 | 1,472 | 2,876 | 4,589 | 9,114 | 11,16 | 13,88 | 15,96 | 18,03 |
0,1 | 0,1 | 1,491 | 3,606 | 6,024 | 8,902 | 16,37 | 19,69 | 24,10 | 27,45 | 30,80 |
0,3 | 0,705 | 2,302 | 4,191 | 6,462 | 12,41 | 15,08 | 18,64 | 21,34 | 24,05 |
0,5 | 0,461 | 1,787 | 3,397 | 5,348 | 10,49 | 12,79 | 15,88 | 18,22 | 20,56 |
0,7 | 0,384 | 1,596 | 3,087 | 4,899 | 9,681 | 11,84 | 14,72 | 16,90 | 19,09 |
0,9 | 0,351 | 1,501 | 2,925 | 4,652 | 9,249 | 11,32 | 14,08 | 16,18 | 18,28 |
0,25 | 0,1 | 4,982 | 10,66 | 16,77 | 23,88 | 42,11 | 50,21 | 60,95 | 62,08 | 79,22 |
0,3 | 1,216 | 3,515 | 6,135 | 9,246 | 17,34 | 20,97 | 25,80 | 29,46 | 33,13 |
0,5 | 0,640 | 2,264 | 4,187 | 6,498 | 12,55 | 15,27 | 18,90 | 21,65 | 24,41 |
0,7 | 0,450 | 1,789 | 3,413 | 5,381 | 10,56 | 12,89 | 16,00 | 18,36 | 20,73 |
0,9 | 0,367 | 1,549 | 3,008 | 4,785 | 9,474 | 11,59 | 14,41 | 16,56 | 18,71 |
0,50 | 0,1 | 8,580 | 18,78 | 29,59 | 42,11 | 74,07 | 88,25 | 107,1 | 121,3 | 135,6 |
0,3 | 2,014 | 5,480 | 9,318 | 13,83 | 25,50 | 30,72 | 37,67 | 42,94 | 48,21 |
0,5 | 0,938 | 3,060 | 5,504 | 8,416 | 16,00 | 19,40 | 23,94 | 27,39 | 30,84 |
0,7 | 0,564 | 2,114 | 3,962 | 6,186 | 12,02 | 14,64 | 18,15 | 20,80 | 23,47 |
0,9 | 0,394 | 1,630 | 3,147 | 4,990 | 9,849 | 12,04 | 14,97 | 17,19 | 19,42 |
| 0,1 | 14,88 | 34,09 | 54,30 | 77,62 | 137,0 | 163,4 | 198,3 | 224,8 | 251,3 |
0,3 | 3,520 | 9,314 | 15,59 | 22,90 | 41,71 | 50,12 | 63,31 | 69,79 | 78,28 |
0,5 | 1,536 | 4,652 | 8,139 | 12,25 | 22,90 | 27,67 | 34,03 | 38,85 | 43,68 |
0,7 | 0,798 | 2,772 | 5,066 | 7,806 | 14,95 | 18,16 | 22,44 | 25,70 | 28,95 |
0,9 | 0,448 | 1,794 | 3,486 | 5,403 | 10,60 | 12,94 | 16,07 | 18,45 | 20,83 |
в) l0 = 0,5 |
0,01 | 0,1 | 0,344 | 0,903 | 1,508 | 2,205 | 3,970 | 4,750 | 5,786 | 6,571 | 7,356 |
0,3 | 0,191 | 0,678 | 1,220 | 1,848 | 3,451 | 4,165 | 5,115 | 5,835 | 6,555 |
0,5 | 0,168 | 0,637 | 1,162 | 1,774 | 3,336 | 4,033 | 4,961 | 5,664 | 6,368 |
0,7 | 0,162 | 0,623 | 1,142 | 1,745 | 3,290 | 3,978 | 4,896 | 5,592 | 6,289 |
0,9 | 0,159 | 0,616 | 1,131 | 1,731 | 3,266 | 3,950 | 4,862 | 5,555 | 6,247 |
0,1 | 0,1 | 1,212 | 2,327 | 3,426 | 4,652 | 7,703 | 9,045 | 10,82 | 12,17 | 13,52 |
0,3 | 0,472 | 1,238 | 2,032 | 2,931 | 5,195 | 6,198 | 7,531 | 8,542 | 9,533 |
0,5 | 0,254 | 0,840 | 1,473 | 2,200 | 4,045 | 4,866 | 5,958 | 6,786 | 7,615 |
0,7 | 0,190 | 0,700 | 1,265 | 1,919 | 3,584 | 4,326 | 5,315 | 6,064 | 6,814 |
0,9 | 0,166 | 0,635 | 1,162 | 1,775 | 3,341 | 4,039 | 4,969 | 5,676 | 6,382 |
0,25 | 0,1 | 4,338 | 7,823 | 11,06 | 14,55 | 23,13 | 26,88 | 31,86 | 35,63 | 39,40 |
0,3 | 0,904 | 2,134 | 3,348 | 4,699 | 8,061 | 9,546 | 11,52 | 13,01 | 14,51 |
0,5 | 0,396 | 1,178 | 1,991 | 2,912 | 5,227 | 6,255 | 7,620 | 8,656 | 9,692 |
0,7 | 0,240 | 0,832 | 1,473 | 2,210 | 4,077 | 4,910 | 6,013 | 6,852 | 7,691 |
0,9 | 0,177 | 0,667 | 1,213 | 1,848 | 3,466 | 4,188 | 5,148 | 5,878 | 6,607 |
0,5 | 0,1 | 7,439 | 13,92 | 19,84 | 26,25 | 41,88 | 48,72 | 57,78 | 64,63 | 71,49 |
0,3 | 1,567 | 3,568 | 5,482 | 7,585 | 12,799 | 15,07 | 18,10 | 20,40 | 22,70 |
0,5 | 0,634 | 1,742 | 2,854 | 4,097 | 7,198 | 8,569 | 10,39 | 11,77 | 13,15 |
0,7 | 0,325 | 1,055 | 1,825 | 2,99 | 4,903 | 5,881 | 7,182 | 8,169 | 9,157 |
0,9 | 0,196 | 0,721 | 1,301 | 1,971 | 3,676 | 4,436 | 5,447 | 6,215 | 6,983 |
1,0 | 0,1 | 12,707 | 25,13 | 36,45 | 48,66 | 78,39 | 91,39 | 108,6 | 121,6 | 134,7 |
0,3 | 2,799 | 6,322 | 9,644 | 13,25 | 22,11 | 26,00 | 31,16 | 35,07 | 38,99 |
0,5 | 1,110 | 2,870 | 4,580 | 6,468 | 11,14 | 13,20 | 15,93 | 18,00 | 20,08 |
0,7 | 0,505 | 1,512 | 2,537 | 3,687 | 6,564 | 7,837 | 9,530 | 10,82 | 12,10 |
0,9 | 0,235 | 0,831 | 1,477 | 2,218 | 4,098 | 4,934 | 6,047 | 6,892 | 7,737 |
г) l0 = 0,75 |
0,01 | 0,1 | 0,212 | 0,416 | 0,636 | 0,893 | 1,553 | 1,846 | 2,236 | 2,530 | 2,825 |
0,3 | 0,066 | 0,214 | 0,388 | 0,598 | 1,146 | 1,393 | 1,721 | 1,970 | 2,219 |
0,5 | 0,045 | 0,180 | 0,344 | 0,542 | 1,066 | 1,301 | 1,616 | 1,855 | 2,094 |
0,7 | 0,040 | 0,169 | 0,328 | 0,522 | 1,033 | 1,264 | 1,571 | 1,805 | 2,039 |
0,9 | 0,038 | 0,164 | 0,321 | 0,512 | 1,016 | 1,244 | 1,548 | 1,779 | 2,010 |
0,1 | 0,1 | 1,019 | 1,639 | 2,206 | 2,825 | 4,350 | 5,019 | 5,906 | 6,577 | 7,249 |
0,3 | 0,306 | 0,661 | 1,013 | 1,409 | 2,403 | 2,844 | 3,430 | 3,874 | 4,319 |
0,5 | 0,109 | 0,328 | 0,507 | 0,845 | 1,558 | 1,877 | 2,301 | 2,623 | 2,945 |
0,7 | 0,057 | 0,220 | 0,411 | 0,639 | 1,231 | 1,497 | 1,852 | 2,121 | 2,391 |
0,9 | 0,042 | 0,176 | 0,340 | 0,540 | 1,066 | 1,302 | 1,619 | 1,859 | 2,099 |
0,25 | 0,1 | 3,847 | 6,238 | 8,290 | 10,46 | 15,71 | 17,99 | 21,02 | 23,31 | 25,60 |
0,3 | 0,668 | 1,364 | 2,009 | 2,713 | 4,446 | 5,208 | 6,220 | 6,987 | 7,754 |
0,5 | 0,216 | 0,576 | 0,940 | 1,350 | 2,379 | 2,836 | 3,442 | 3,903 | 4,363 |
0,7 | 0,089 | 0,309 | 0,552 | 0,836 | 1,564 | 1,889 | 2,323 | 2,651 | 2,980 |
0,9 | 0,048 | 0,195 | 0,374 | 0,588 | 1,148 | 1,401 | 1,737 | 1,993 | 2,249 |
0,5 | 0,1 | 6,515 | 11,11 | 15,06 | 19,21 | 29,20 | 33,55 | 39,30 | 43,66 | 48,02 |
0,3 | 1,208 | 2,467 | 3,599 | 4,716 | 7,781 | 9,079 | 10,80 | 12,10 | 13,41 |
0,5 | 0,394 | 0,989 | 1,561 | 2,190 | 3,747 | 4,433 | 5,345 | 6,036 | 6,727 |
0,7 | 0,145 | 0,462 | 0,794 | 1,172 | 2,126 | 2,549 | 3,113 | 3,541 | 3,969 |
0,9 | 0,058 | 0,229 | 0,430 | 0,668 | 1,128 | 1,565 | 1,936 | 2,217 | 2,498 |
1,0 | 0,1 | 10,83 | 19,77 | 27,48 | 35,59 | 55,06 | 63,54 | 74,76 | 83,24 | 91,74 |
0,3 | 2,179 | 4,551 | 6,658 | 8,901 | 14,33 | 16,70 | 19,84 | 22,22 | 24,60 |
0,5 | 0,751 | 1,815 | 2,802 | 3,871 | 6,483 | 7,630 | 9,151 | 10,30 | 11,46 |
0,7 | 0,270 | 0,781 | 1,291 | 1,857 | 3,263 | 3,884 | 4,708 | 5,334 | 5,960 |
0,9 | 0,081 | 0,300 | 0,546 | 0,833 | 1,569 | 1,898 | 2,336 | 2,669 | 3,002 |
д) l0 = 1 |
0,01 | 0,1 | 0,169 | 0,236 | 0,288 | 0,340 | 0,462 | 0,515 | 0,585 | 0,637 | 0,690 |
0,3 | 0,025 | 0,043 | 0,059 | 0,074 | 0,111 | 0,127 | 0,148 | 0,164 | 0,181 |
0,5 | 0,005 | 0,011 | 0,017 | 0,024 | 0,039 | 0,046 | 0,055 | 0,062 | 0,069 |
0,7 | 0,000 | 0,002 | 0,004 | 0,007 | 0,013 | 0,016 | 0,020 | 0,023 | 0,026 |
0,9 | 0,000 | 0,000 | 0,000 | 0,000 | 0,002 | 0,003 | 0,004 | 0,005 | 0,005 |
0,10 | 0,1 | 0,939 | 1,360 | 1,688 | 2,021 | 2,800 | 3,136 | 3,581 | 3,917 | 4,254 |
0,3 | 0,232 | 0,415 | 0,565 | 0,722 | 1,093 | 1,254 | 1,467 | 1,629 | 1,790 |
0,5 | 0,048 | 0,113 | 0,173 | 0,237 | 0,394 | 0,463 | 0,554 | 0,623 | 0,692 |
0,7 | 0,006 | 0,024 | 0,045 | 0,070 | 0,136 | 0,165 | 0,204 | 0,234 | 0,263 |
0,9 | 0,000 | 0,000 | 0,003 | 0,007 | 0,022 | 0,029 | 0,039 | 0,046 | 0,054 |
0,25 | 0,1 | 3,563 | 5,440 | 6,936 | 8,463 | 12,06 | 13,61 | 15,67 | 17,22 | 18,78 |
0,3 | 0,534 | 0,980 | 1,353 | 1,742 | 2,668 | 3,071 | 3,604 | 4,008 | 4,411 |
0,5 | 0,119 | 0,282 | 0,432 | 0,593 | 0,985 | 1,157 | 1,385 | 1,558 | 1,731 |
0,7 | 0,017 | 0,065 | 0,120 | 0,184 | 0,348 | 0,421 | 0,518 | 0,592 | 0,666 |
0,9 | 0,000 | 0,003 | 0,009 | 0,021 | 0,058 | 0,076 | 0,100 | 0,120 | 0,139 |
0,50 | 0,1 | 5,875 | 9,488 | 12,43 | 15,46 | 22,62 | 25,73 | 29,83 | 32,93 | 36,04 |
0,3 | 0,962 | 1,832 | 2,571 | 3,344 | 5,193 | 5,998 | 7,064 | 7,870 | 8,678 |
0,5 | 0,238 | 0,564 | 0,864 | 1,185 | 1,970 | 2,314 | 2,770 | 3,116 | 3,462 |
0,7 | 0,043 | 0,145 | 0,258 | 0,387 | 0,716 | 0,863 | 1,058 | 1,206 | 1,354 |
0,9 | 0,002 | 0,010 | 0,026 | 0,050 | 0,126 | 0,163 | 0,213 | 0,251 | 0,289 |
1,00 | 0,1 | 9,336 | 16,21 | 21,97 | 27,96 | 42,23 | 48,43 | 56,63 | 62,83 | 69,04 |
0,3 | 1,688 | 3,373 | 4,830 | 6,366 | 10,05 | 11,66 | 13,79 | 15,41 | 17,02 |
0,5 | 0,476 | 1,128 | 1,726 | 2,371 | 3,940 | 4,629 | 5,541 | 6,233 | 6,924 |
0,7 | 0,108 | 0,331 | 0,563 | 0,826 | 1,488 | 1,781 | 2,172 | 2,468 | 2,764 |
0,9 | 0,007 | 0,032 | 0,070 | 0,124 | 0,282 | 0,357 | 0,457 | 0,533 | 0,610 |
Таблица 4
Значения функции

| | при  , равном |
0,25 | 0,5 | 1,0 | 10,0 | 25,0 | 50,0 | 100,0 |
0,1 | 0,01 | 1,175 | 0,917 | 0,661 | 0,121 | 0,026 | 0,002 | 0 |
0,025 | 0,842 | 0,592 | 0,388 | 0,026 | 0,001 | 0 | |
0,05 | 0,613 | 0,397 | 0,237 | 0,002 | 0 | | |
0,10 | 0,437 | 0,252 | 0,128 | 0 | | | |
0,25 | 0,1 | 1,332 | 1,235 | 1,075 | 0,273 | 0,060 | 0,006 | 0 |
0,025 | 1,193 | 1,011 | 0,767 | 0,060 | 0,001 | 0 | |
0,05 | 1,019 | 0,776 | 0,511 | 0,005 | 0 | | |
0,10 | 0,807 | 0,533 | 0,287 | 0 | | | |
0,5 | 0,01 | 0,976 | 0,952 | 0,906 | 0,373 | 0,085 | 0,007 | 0 |
0,025 | 0,940 | 0,884 | 0,782 | 0,085 | 0,002 | 0 | |
0,05 | 0,885 | 0,783 | 0,613 | 0,007 | 0 | | |
0,10 | 0,787 | 0,620 | 0,385 | 0 | | | |
0,75 | 0,01 | 0,426 | 0,414 | 0,401 | 0,253 | 0,060 | 0,005 | |
0,025 | 0,410 | 0,396 | 0,392 | 0,060 | 0,001 | 0 | |
0,05 | 0,399 | 0,391 | 0,363 | 0,005 | 0 | | |
0,10 | 0,390 | 0,359 | 0,257 | 0 | | | |
0,9 | 0,01 | 0,159 | 0,157 | 0,157 | 0,110 | 0,026 | 0,002 | |
0,025 | 0,157 | 0,157 | 0,157 | 0,026 | 0,001 | 0 | |
0,06 | 0,157 | 0,157 | 0,160 | 0,002 | 0 | | |
0,1 | 0,156 | 0,148 | 0,110 | 0 | | | |
ПРИМЕРЫ ГИДРОГЕОЛОГИЧЕСКИХ РАСЧЕТНЫХ СХЕМ
ЗАЩИТНОГО ДРЕНАЖА ГОРОДСКИХ ТЕРРИТОРИЙ
Рабочий поселок
(рис. 1, I) расположен на левом берегу реки в хвостовой части водохранилища. Геологолитологические условия территории характеризуются пестрым сложением: почвенный слой и суглинок с гравием (мощностью 1 - 1,5 м) и водонасыщенные песчано-гравийные и гравийно-галечные отложения с валунами (мощностью 7 - 15 м), подстилаемые глинистыми водоупорными грунтами. Водоносный пласт имеет резкую плановую неоднородность, коэффициент фильтрации колеблется от 1 - 25 до 100 - 350 м/сут. Основным источником подтопления застроенной территории является подпор уровня воды в водохранилище, достигающий 10 м и распространяющийся на 1,5 - 3 км от реки. Со стороны берега подтопляющим фактором служит грунтовый поток, формирующийся за счет орошения сельскохозяйственных полей. Защита территории от подтопления подземными водами состоит из системы береговой А - Г (длина 6 км), головной Г - Д (5,5 км) и кольцевой Б - В (3,2 км) дрен, представляющих собой открытые дренажные каналы глубиной 1 - 3 м. Рассматривается расчетная гидрогеологическая схема безнапорного однородного пласта с односторонним и двусторонним питанием. Инженерно-гидрогеологический анализ показывает малое влияние на результат расчета дренажа плановой и вертикальной неоднородности водоносного пласта.
Расчеты выполняются методом суперпозиции для двухлинейного (участка АБ), однолинейного (ГД) и кольцевого (БВ) дренажа.
Город
(рис. 1, II) расположен в зоне влияния водохранилища на правом берегу реки. Защищаемый район города находится в пойменной террасе, сложенной современным аллювием (суглинки, глины с прослоями песка), мощностью до 20 м. Под этим слоем залегают верхнекаменноугольные известняки и доломиты трещиноватые и кавернозные. Мощность этого слоя не ограничена. К указанным двум толщам приурочены два водоносных горизонта, гидравлически связанные между собой. Коэффициент фильтрации верхнего водоносного горизонта
k1 колеблется от 0,1 до 0,35 м/сут, нижнего
k2 - от 20 до 50 м/сут.
Основным источником подтопления застроенной территории является подпор уровня воды в водохранилище, достигающий 8 - 10 м и распространяющийся на 1,0 - 1,5 км от реки. Со стороны берега подтопляющим фактором служит грунтовый поток, формирующийся на II и III надпойменных террасах.
Защита территории от подтопления подземными водами состоит из двух линий - придамбовой и головной, представляющих собой систему линейного вертикального дренажа, состоящего из ряда самоизливающихся скважин, соединенных с горизонтальным коллектором, отводящим дренажные воды к насосным станциям. Глубина заложения горизонтальной дрены 5 - 6 м. Рассматривается расчетная гидрологическая схема двухслойного пласта с неограниченной глубиной залегания водоупора. Инженерно-гидрологический анализ указывает на затухание движения потока с глубиной. В связи с этим расчеты выполняются для однолинейного горизонтального дренажа в двухслойной толще.
Город
(рис. 1, III) расположен на левом берегу в средней части водохранилища. Основная его территория занимает поверхность поймы и I надпойменной террасы. Отложения поймы представлены в основном песками мелкими пылеватыми. Первая надпойменная терраса сложена суглинками и тяжелыми супесями. Залегают на хазарских песках, расчетный коэффициент фильтрации для которых принят 10 м/сут.
Основным источником подтопления застроенной территории города является подпор уровня воды в водохранилище.
Для предотвращения подтопления и заболачивания городской территории одновременно со строительством дамб обвалования были построены следующие защитные сооружения:
вертикальный дренаж в северо-западной части, который состоит из линейной системы 40 самоизливающихся скважин, сбрасывающих воду в трубчатый коллектор диаметром 500 мм, скважины несовершенные, глубиной 24 - 25 м;
открытый естественный дренаж, для организации которого использовались пруды, состоящие из озер и стариц: уровни поддерживаются на низких отметках путем откачки из них воды насосными станциями.
Рассматривается расчетная гидрогеологическая схема безнапорного однородного пласта с двумя областями питания: водохранилище и территория оросительной системы.
Инженерно-гидрогеологический анализ защитных мероприятий показывает настоятельную необходимость реконструкции и повышения надежности дренажных сооружений, а также устройства линейного вертикального дренажа.
Территория города вытянута вдоль правого берега водохранилища и занимает поверхность поймы, II и IV надпойменных террас
(рис. 1, IV). Аллювиальные отложения представлены песками, супесями и суглинками.

Разрез весьма неоднороден по фильтрационным свойствам, средний коэффициент фильтрации этих отложений, принятый для расчетов, составляет 4,2 м/сут. Водоупором служат глины харьковского докембрия. Мощность безнапорного водоносного горизонта около 12 - 15 м. После создания водохранилища большей части территории города угрожало затопление и подтопление. Инженерная защита состоит из земляной дамбы, дренажа и насосных станций. Вертикальный береговой дренаж длиной 3,7 км выполнен в виде линейного ряда скважин с шагом 50 м и расположен вдоль защитной дамбы на расстоянии 50 - 90 м от ее оси. Вода поднимается эрлифтами в сборный бетонно-трубчатый коллектор, уложенный на глубине 1,5 - 2,5 м. Рассматривается расчетная гидрогеологическая схема однослойного пласта с горизонтальным залеганием водоупора. Расчеты выполнялись для двух случаев: при одностороннем притоке фильтрационных вод только из водохранилища и при двустороннем притоке со стороны водохранилища и естественного потока грунтовых вод со стороны водораздела.
В результате проведенных расчетов было установлено, что влияние бокового притока грунтовых вод со стороны водораздела незначительно и при расчете расхода дренажа вполне может не учитываться.
Поселок расположен на левом берегу водохранилища
(рис. 1, V). Развитый здесь аллювиальный водоносный горизонт приурочен к пескам и суглинкам мощностью около 23 м. Средний коэффициент фильтрации составляет 10 м/сут. Горизонт безнапорный, довольно однородный на всем протяжении. Водоупором служат глины харьковского яруса.
Питание водоносного горизонта осуществляется за счет фильтрации из водохранилища (НПГ - 16 м) с одной стороны и за счет притока со стороны орошаемых массивов, а также за счет атмосферных осадков. Области разгрузки: лиман и система придамбовых дренажей.
Защитный дренаж длиной 9,9 км выполнен в виде линейного ряда скважин с шагом 50 м и расположен вдоль дамбы на расстоянии 50 - 200 м от ее оси. Скважины в количестве 151 шт. глубиной до 30 м оборудованы эрлифтами. Вода из дренажной системы самотеком по открытому каналу поступает в лиман, откуда откачивается в водохранилище.
Левобережная часть города расположена на аллювиальных отложениях, ограничена с одной стороны водохранилищем, с другой - болотом
(рис. 1, VI). Аллювиальные отложения представлены гравийно-песчаными толщами с прослоями супесей и суглинков мощностью 28 - 45 м.
Основным источником подтопления защищаемой территории является водохранилище. Инженерная защита территории состоит из дамбы обвалования с придамбовым дренажем, берегового вертикального дренажа, расположенного в 150 м от оси дамбы, пяти насосных станций шахтного типа, напорных и водоотводных канав.
Рис. 1. Гидрогеологические расчетные схемы инженерной
защиты застроенных городских территорий
от подтопления подземными водами объектов I - VI
а - план; б - разрез по створу наблюдательных скважин;
1 - дамба обвалования: 2 - ось берегового дренажа; 3 - ось
головного дренажа; 4 - насосная дренажная станция;
I - кольцевой и двухлинейный горизонтальный открытый
дренаж; II - придамбовый и головной горизонтальный
трубчатый дренаж; III - естественный открытый (озера)
и комбинированный дренаж; IV - береговой комбинированный
дренаж с самотечным отводом; V - береговой открытый
горизонтальный дренаж; VI - береговой комбинированный
дренаж с принудительной откачкой воды; VII - береговой
и головной естественный открытый и комбинированный дренаж
Береговой дренаж представляет собой систему вертикальных скважин, пробуренных до водоупора на глубину 28 - 45 м. Общее количество скважин 440 шт. Дренажные воды из скважин поступают в сифонные трубопроводы, уложенные в две нитки на глубине 4,5 - 5 м, и по ним в подземные резервуары насосных станций.
Отметки грунтовых вод на защищаемой территории должны составлять 41,3 - 41,6 м и не превышать 43 м. Фактически же грунтовые воды залегают на отметках 43,6 - 45,4 м, что выше проектных на 0,6 - 2,4 м.
Такое положение объясняется главным образом сокращением водозахватной способности скважин из-за усиленной кольматации породы и обсыпки скважин солевыми отложениями.
Поселок и земельный массив расположены на правом берегу реки в 25 км от города
(рис. 1, VII). Геология района представлена девонскими отложениями, прикрытыми повсеместно четвертичными отложениями. Четвертичные отложения представлены аллювиальными моренными гравийно-песчаными толщами, супесями и суглинками. Мощность этих отложений от 1,5 до 12 м, а величина коэффициента фильтрации колеблется от 0,5 до 50 м/сут. Непосредственно под ними залегают отложения, представленные сильно трещиноватыми и кавернозными доломитами. Мощность их изменяется от 2 до 12, м, а коэффициент фильтрации достигает 50 м/сут. Доломиты повсеместно подстилаются глинами, практически водоупорными.
Грунтовые воды залегают на глубине 2 м от поверхности земли со свободным выходом к реке. В центральной части изучаемого массива вследствие геоморфологических причин залегания на поверхности слабопроницаемых моренных суглинков и местного понижения рельефа наблюдается постоянный застой поверхностных вод и заболачивание. Основным источником подтопления является водохранилище. Инженерная защита поселка состоит из дамбы обвалования, придамбового закрытого горизонтального дренажа, берегового закрытого комбинированного дренажа, открытого канала, насосной станции перекачки и придамбового кювета.
Рассматривается расчетная гидрогеологическая схема безнапорного однородного пласта. Расчеты произведены для двух участков дренажа: открытого канала и закрытого берегового дренажа. В обоих случаях дрена расположена между водоемом и отдаленной областью питания. Расчет участка берегового дренажа выполнен по формуле вертикального совершенного дренажа с учетом дополнительного притока со стороны водораздела.
1. Гидродинамические и физико-химические свойства горных пород./Под ред. Н.Н. Веригина - М.: Недра, 1977, 271 с.
2. Инструкция по проектированию оросительных систем. Ч. VIII. Дренаж на орошаемых землях. - М.: Минмелиоводхоз СССР, 1975, 274 с.
3. Справочник гидрогеолога/Под ред. М.Е. Альтовского - М.: Госгеолтехиздат, 1962, 617 с.
4. Фильтрация из водохранилищ и прудов./Под ред. Н.Н. Веригина - М.: Колос, 1975, 303 с.
5. Шестаков В.М. Динамика подземных вод. - М.: МГУ, 1973, 327 с.
6. Справочное руководство гидрогеолога. Т.1/Под ред. В.М. Максимова - Л.: Недра, 1967, 592 с.
7.
Руководство по проектированию сооружений для забора подземных вод. - М.: Стройиздат, 1978, 209 с.
8. Глейзер Б.А., Разумов Г.А. Мелиорация земель, расположенных в зоне подтопления водохранилищами. - В кн.: Проблемы территориального перераспределения стока рек. Сборник научных трудов. N 49. - М.: В/О Союзводпроект, 1978, 158 - 168 с.
9. Абрамов С.К. Подземные дренажи в промышленном и городском строительстве. - М.: Стройиздат, 1973, 280 с.
10. Абрамов С.К. Гидрогеологические расчеты дренажей на участках, защищаемых от подтопления. - М.: Углетехиздат, 1951, 72 с.
11. Рекомендации по прогнозам подтопления промышленных площадок грунтовыми водами. - М.: ВНИИ ВОДГЕО, ПНИИИС, 1976, 324 с.
12. Рекомендации по проектированию и расчетам защитных сооружений и устройств от подтопления промышленных площадок грунтовыми водами. - М.: ВНИИ ВОДГЕО, ПНИИИС, 1979, 328 с.
13. Проектирование водозаборов подземных вод./Под ред. Ф.М. Бочевера - М.: Стройиздат, 1976, 291 с.
14. Разумов Г.А. Комбинированный дренаж слабопроницаемых грунтов. - В кн.: Использование подземных вод для орошения в комплексе с поверхностными водами. Сборник статей советских специалистов на IX Международном конгрессе по ирригации и дренажу. - М.: ЦБНТИ Минводхоза СССР, 1975, 226 - 235 с.
15. Веригин Н.Н., Разумов Г.А. Фильтрация вблизи гидроузла на реках и каналах. - Гидротехническое строительство, 1970, N 3, 6 - 7 с.
16. Дзекцер Е.С., Гавшина З.П. Схематизация техногенных изменений водного режима на территориях промышленных предприятий. - Промышленное строительство, 1973, N 11, 21 - 23 с.
17. Великина Г.М., Зильберг В.С., Слинко О.В. Методика оценки и прогноза изменения гидрогеологических условий на осваиваемых территориях. - В кн.: Инженерные изыскания в строительстве. Научно-технический реферативный сборник, вып. 6. - М.: ЦИНИС Госстроя СССР, 1981, 1 - 3 с.
18. Методы фильтрационных расчетов гидромелиоративных систем/Под ред. Н.Н. Веригина - М.: Колос, 1970, 440 с.
19. Разумов Г.А. Оценка возможности дренирования слабопроницаемых грунтов промплощадок. - В кн.: Труды ПНИИИСа, вып. 45. - М.: Стройиздат, 1977, 159 - 175 с.
20. Разумов Г.А. Расчеты лучевых дренажей. - В кн.: Инженерные изыскания в строительстве. Реферативный сборник, вып. 3(56). - М.: ЦИНИС Госстроя СССР, 1977, 30 - 34 с.
21. Абрамов С.К., Разумов Г.А. Гидрогеологические и инженерные особенности дренирования слабопроницаемых грунтов на застроенных территориях. - В кн.: Инженерные изыскания в строительстве. Реферативный сборник, вып. 6(40). - М.: ЦИНИС Госстрой СССР, 1975, 36 - 40 с.
22. Методические указания по проектированию вертикального дренажа на орошаемых землях - М.: Минмелиоводхоз СССР, 1966, 124 с.
23. Razumov G., Medovar Y. Formation of an artificial aquifer in the shore area of a reservoir. Water quality bulletin, vol. 5, N 4, Canada, Okt. 1980.