Главная // Актуальные документы // ПрогнозСПРАВКА
Источник публикации
М.: Стройиздат, 1981
Примечание к документу
Название документа
"Рекомендации по размещению и проектированию рассеивающих выпусков сточных вод"
"Рекомендации по размещению и проектированию рассеивающих выпусков сточных вод"
ПО РАЗМЕЩЕНИЮ И ПРОЕКТИРОВАНИЮ
РАССЕИВАЮЩИХ ВЫПУСКОВ СТОЧНЫХ ВОД
Рекомендованы НТС Государственного гидрологического института.
Составлены к главам
СНиП II-31-74 "Водоснабжение. Наружные сети и сооружения" и
II-32-74 "Канализация. Наружные сети и сооружения" и предназначены для использования при проектировании рассеивающих выпусков, повышения надежности их действия и обеспечения охраны природной среды.
Сформулированы основные требования, предъявляемые к рассеивающим выпускам сточных вод; приведены методы расчета русловых и береговых деформаций и основных элементов гидрометеорологического режима водоемов, даны рекомендации по размещению и выбору конструкций рассеивающих выпусков на реках и водоемах, а также по расчетам разбавления сточных вод; изложены общие положения теории руслового и берегового процессов, динамики водоемов и диффузии сточных вод, подлежащих учету при проектировании выпусков, приведены методы изыскательских работ на реках и водоемах, даны примеры расчетов.
Разработаны в Государственном гидрологическом институте: канд. техн. наук Б.Ф. Снищенко - руководитель работы (
разд. 1 -
5, прил. 1,
пп. 9,
11); канд. техн. наук А.С. Судольским (
разд. 6 -
12,
14,
прил. 4,
5), В.Ф. Николаевым
(разд. 7), д-ром техн. наук Н.Е. Кондратьевым и канд. техн. наук О.Г. Григорьевой (
разд. 13,
прил. 6); канд. техн. наук А.Б. Клавеном (
пп. 4.10 -
4.18, прил. 1
п. 12,
прил. 3); д-ром техн. наук А.В. Караушевым, кандидатами техн. наук А.Я. Шварцман, М.А. Бесценной (
разд. 15 -
22,
прил. 7); д-ром географ. наук И.В. Поповым (
прил. 1,
2).
Рекомендации рассмотрены Гипробумом, Водгео, ЛИИВТом, Ленводоканалпроектом, Ленгипроречтрансом, Ученым советом ГГИ (12 ноября 1979 г.) и Научно-техническим советом Госкомгидромета.
Для проектировщиков и изыскателей, работающих в области водоснабжения, канализации и гидротехнического строительства. Табл. 39, ил. 88. Редакторы - Б.В. Тамбовцев (Госстрой СССР), Б.Ф. Снищенко (ГГИ).
Особенности рассеивающих выпусков
как вида гидротехнических сооружений
1.1. Настоящие Рекомендации должны соблюдаться при проектировании вновь строящихся и реконструируемых рассеивающих выпусков сточных вод на реках и внутренних водоемах для населенных пунктов, промышленных и сельскохозяйственных предприятий.
1.2. Рассеивающий выпуск представляет собой магистральную трубу с расположенными на ней выходными патрубками, укладываемую нормально к берегу водотока или водоема, и предназначен обеспечить требуемое разбавление сбрасываемых сточных вод.
1.3. По характеру взаимодействия с рекой или водоемом рассеивающие выпуски следует относить к пассивным гидротехническим сооружениям, которые не влияют на гидрологический режим водных объектов, но легко доступны воздействию его составляющих (колебанию уровней, расходов, скоростей, отметок дна, волнения и др.) и требуют инженерной защиты.
1.4. По расположению относительно поверхности воды и дна реки или водоема рассеивающие выпуски сточных вод подразделяются на надводные, внутриводные и донные.
В надводных выпусках магистральная труба располагается над уровнем воды, а патрубки обращены сверху вниз к водной поверхности.
Во внутриводных выпусках магистральная труба и патрубки размещаются ниже уровня воды, но выше поверхности дна; патрубки могут быть обращены вверх и вниз от магистральной трубы, по течению и против течения.
В донном варианте рассеивающего выпуска магистральная труба заглубляется ниже поверхности дна водотока или водоема, а выходные патрубки направляются к поверхности воды.
Основные требования, предъявляемые к рассеивающим
выпускам сточных вод на реках и водоемах
1.5. При проектировании выпуска должны соблюдаться общие требования, предъявляемые к выпуску как к гидротехническому сооружению в соответствии с главой СНиП по основным положениям проектирования речных гидротехнических сооружений и в соответствии с главой СНиП по проектированию систем наружной канализации постоянного назначения.
1.6. Проектирование рассеивающих выпусков сточных вод должно выполняться с учетом требований комплексного использования и охраны водных ресурсов и с учетом комплексного использования водопотребителями участка реки или водоема.
1.7. Размещение рассеивающего выпуска на реке или водоеме должно удовлетворять требованиям "
Правил охраны поверхностных вод от загрязнений сточными водами".
1.8. Конструкция рассеивающего выпуска и гидрологические условия на участке его размещения в реке или водоеме должны обеспечивать нормативное разбавление сточных вод на возможно меньшем расстоянии от створа выпуска во все периоды его эксплуатации.
При определении конструкции оголовков и сопел в зависимости от степени начального разбавления следует руководствоваться "Рекомендациями по расчету рассеивающих выпусков сточных вод в реки и водоемы", М., Водгео, 1977.
1.9. Выбор конструкции и места размещения рассеивающего выпуска должен производиться на основании анализа совокупности определяющих характеристик гидрологического режима водотока или водоема.
1.10. При выборе места размещения выпуска на реке или водоеме, выборе типа конструкции и защитных мероприятий должны быть максимально сохранены морфологические черты участка и условия протекания естественных гидрологических процессов.
1.11. Проектирование рассеивающего выпуска должно производиться на основе материалов специальных гидрологических изысканий.
1.12. Проектирование выпуска на участке реки необходимо производить с учетом следующих характеристик гидрологического и руслового режима:
плановых и глубинных деформаций русла на расчетный период эксплуатации выпуска;
величин и направления скорости течения, в том числе минимальной, в разные фазы водного режима и при изменении прогнозируемой морфологической ситуации в русле;
характеристик ледовых явлений - времени замерзания и вскрытия реки, толщины льда, возможности и мощности заторо- и зажорообразований и их влияния на режим потока и русла, возможности промерзания потока с учетом прогноза морфологической ситуации.
1.13. При расположении на пойме водовода-коллектора и перекачивающих насосных станций должны быть учтены проявления пойменного процесса:
величина и продолжительность затопления поймы;
скорости потока на пойме, в том числе в местах сосредоточенных течений при затоплении и опорожнении поймы;
деформации пойменного рельефа, в том числе возможность превращения второстепенных рукавов в главные;
возможность и сроки переработки пойменного массива русловым потоком;
возможность воздействия ледяных полей и ветровых волн, развивающихся в пойме, на сооружения.
При проведении на пойме строительных работ необходимо учитывать возможные изменения скоростного режима пойменного потока и пойменного рельефа и их влияние на условия эксплуатации сооружений.
1.14. При проектировании рассеивающего выпуска и сооружений по его защите в береговой зоне водоема необходимо учитывать основные элементы гидрометеорологического режима и динамические процессы в береговой зоне: ветер, уровень воды, волнение, течения, вдольбереговые перемещения наносов; переформирования берега, отмели и пляжа; термические условия, гидрохимический и гидробиологические процессы, ледовые условия.
1.15. Расчетная обеспеченность максимальных и минимальных уровней и расходов воды в естественной реке для рассеивающих выпусков должна приниматься в соответствии с СП по определению расчетных гидрологических характеристик.
1.16. Расчетная обеспеченность уровней и расходов воды в нижнем бьефе и расчетная обеспеченность характерных уровней в водохранилище должны приниматься в соответствии с "Основными положениями правил использования водных ресурсов водохранилищ" применительно к конкретным водоемам.
1.17. При наличии сложной морфологической ситуации и сложной системы защитных сооружений для обоснования проектов рассеивающих выпусков необходимо предусмотреть проведение лабораторных исследований на моделях участка реки или водоема.
1.18. В проектах рассеивающих выпусков необходимо предусматривать проведение натурных наблюдений и обследований после постройки выпуска для оценки гидрохимического режима, гидравлики потока, переформирования дна и берегов водоприемников, проверки надежности работы сооружения и внесения предложений по улучшению условий эксплуатации выпуска и защитных сооружений.
1.19. В составе проекта выпуска должен разрабатываться проект организации работ по эксплуатации рассеивающего выпуска, обеспечивающий его надежную работу при изменении морфологической и гидрологической ситуаций в створе этого сооружения.
РАССЕИВАЮЩИЕ ВЫПУСКИ СТОЧНЫХ ВОД НА РЕКАХ
2. ОЦЕНКА ДЕФОРМАЦИЙ РУСЛА И ПОЙМЫ И РАСЧЕТЫ
НЕКОТОРЫХ ЭЛЕМЕНТОВ ВОДНОГО РЕЖИМА
Общие положения
2.1. Оценка переформирований речного русла и поймы производится с помощью методов расчета и прогноза русловых деформаций, основанных на структурных представлениях об изменении плановых и высотных (глубинных) очертаний русла, т.е. происходящих за счет перемещения русловых образований трех типов: микроформ, мезоформ и макроформ (см.
прил. 1).
На предварительной стадии проектирования оценка русловых деформаций должна производиться на основании гидролого-морфологического анализа (см.
прил. 2) и расчетов параметров русловых форм по формулам.
На стадии технического проекта необходимо выполнять изыскания и на основе их материалов уточнять полученные предварительно значения параметров русловых форм и деформаций.
Наиболее надежное определение значений параметров русловых форм и составление прогноза русловых деформаций для участка расположения рассеивающего выпуска может быть осуществлено в результате выполнения комплекса изыскательских работ во все фазы водного режима (см.
прил. 2).
При составлении прогноза развития многорукавных русел и их пойм, а также при оценке степени разбавления сточных вод на таких участках следует учитывать распределение расходов воды по рукавам и глубину затопления пойм. Водность рукавов следует определять, пользуясь существующими руководствами: "Руководством по проектированию коренного улучшения судоходных условий на затруднительных участках свободных рек", "Транспорт", 1974; "Руководством по расчету элементов гидрологического режима в прибрежной зоне морей и в устьях рек при инженерных изысканиях", Гидрометеоиздат, 1973, а при определении глубины затопления пойм необходимо исходить из рекомендаций, изложенных в прил. 1,
п. 11.
Оценка деформаций должна приводить к определению экстремальных отметок дна и положения бровки берега как в течение расчетного времени эксплуатации выпуска, так и характерного времени руслового процесса - периода сползания русловых форм, цикла развития излучины или протока.
При оценке глубинных деформаций необходимо исходить из размеров тех русловых форм, которые дают наибольшую суммарную величину деформации русла.
Приводимые ниже методы оценки русловых деформаций дифференцированы по типам русел (см. прил. 1,
п. 1). Исключение составляют микроформы, которые присущи всем типам руслового процесса.
На реках, где русловый процесс развивается в специфических условиях (вечная мерзлота и наледи; бесструктурный транспорт наносов, например, в верховьях горных рек; урбанизированные участки рек), проведение изыскательских работ обязательно.
При расположении выпусков в устьях рек гидрологический режим таких участков следует учитывать в соответствии с рекомендациями "Руководства по расчету элементов гидрологического режима в прибрежной зоне морей и в устьях рек при инженерных изысканиях", Гидрометеоиздат, 1973.
Оценка параметров русловых микроформ
2.2. Наиболее надежно все параметры песчаных гряд (см. прил. 1,
п. 9) могут быть получены при проведении изысканий в разные фазы водного режима.
Существующие расчетные формулы не учитывают пространственного распределения гряд по площади речного русла. Они дают наилучший результат в пределах основной полосы движения донных наносов.
При ленточногрядовом типе процесса расчет можно вести для всей ширины русла, исключая подвалья.
При побочневом типе процесса полоса движения наносов проходит в направлении побочень - гребень переката - побочень. Для участков подвалий побочней расчет также применять не следует.
При меандрировании основное движение наносов происходит в направлении пляж - гребень переката - пляж.
2.3. Изменение размеров гряд в руслах разных типов процесса происходит следующим образом:
вдоль ленточной гряды и побочня по мере следования из верхней плесовой лощины к гребню высота и длина гряд уменьшаются. На тыловом скате мезоформ и в их подвальях гряды, как правило, выражены неотчетливо. Наибольшие размеры гряд приурочены к месту сопряжения кромки побочня с плесом;
на меандрирующих участках русел наименьшие размеры гряд приурочены к перекатным участкам, а наибольшие - к пляжам.
Размеры гряд поперек пляжа нарастают от его прикорневой части (у берега) к плесу и достигают максимума в месте сопряжения склона пляжа с плесом. При этом наибольшие из максимальных гряд располагаются в нижней трети пляжа. На наиболее высокой части пляжа - его вершине, гряды имеют минимальные размеры. На участках примыкания плесов к вогнутым берегам излучин микроформы выражены слабо или отсутствуют совсем.
2.4. Высота гряд установившегося профиля, м, может определяться по формуле В.С. Кнороза

(1)
где H - глубина потока, м;
V - средняя скорость потока, м/с;
d - средний диаметр донных отложений, м;
Vнр - неразмывающая скорость, м/с, определяемая по формуле

(2)
где g - ускорение силы тяжести, м/с2;
или при H > 1 м по формуле Б.Ф. Снищенко и З.Д. Копалиани

(3)
где

- число Фруда;
Vнр - неразмывающая скорость по В.Н. Гончарову, м/с,

(4)
При отсутствии необходимых для расчета данных высота гряд hг, м, может быть определена по приближенным зависимостям Б.Ф. Снищенко
при H < 1 м
hг = 0,25H, (5)
при H > 1 м
hг = 0,2 + 0,1H. (6)
При прохождении половодья высота гряд

в полосе активного движения наносов увеличивается.
Ориентировочно максимальную высоту гряд

, м, в половодье можно определять по формуле

(7)
где hг - высота гряд, м, в межень, измеренная перед половодьем или спустя месяц после него.
2.5. Длина гряд lг, м, установившегося профиля может определяться по формулам Б.Ф. Снищенко

(8)
где C - коэффициент Шези, м0,5/с;
или для приближенных расчетов
В условиях половодья максимальная длина гряд

, м, может быть рассчитана по приближенной зависимости

(10)
где lг - длина гряд, м, в межень, измеренная в половодье или спустя месяц после него.
2.6. Скорость смещения микроформ Cг, м/с, следует определять по формуле Б.Ф. Снищенко и З.Д. Копалиани
где V - средняя скорость потока, м/с;

- число Фруда.
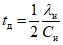
2.7. Период движения гряд

, с, необходимо определять по формуле

(12)
2.8. Для определения расхода донных наносов в объемном выражении rдн, м3/(с·м) следует использовать формулу Б.Ф. Снищенко и З.Д. Копалиани

(13)
Оценка деформаций при ленточногрядовом
и побочневом типах руслового процесса
2.9. При отсутствии подробных и разновременных топографических съемок русла измерители ленточных гряд (см. прил. 1,
п. 2) можно определять по приближенным соотношениям (высота и длина гряд, м):
высота
hлг = 0,2
Hпл, (14)
где Hпл - глубина в плесе (между грядами) при горизонте воды на уровне пойменных бровок;

(15)
на участке единого ленточногрядового типа русла с шириной между пойменными бровками;
на участке иного типа руслового процесса

(16)
скорость движения ленточной гряды при расходе воды, соответствующем уровню пойменных бровок, следует из формулы

(17)
где

- длина (шаг) гряды,
Fлг - площадь продольного сечения гряды

(18)
где

- коэффициент формы гряды;
rдн - удельный расход донных наносов, м
3/(с·м), определяемый по
формуле (13);
при неизвестном значении hг удельный расход донных наносов, м3/(с·м), определяется по формуле И.И. Леви

(19)
При определении удельного расхода донных наносов по
формуле (13), когда известна высота микроформ
hг, скорость движения ленточной гряды следует определять по зависимости

(20)
период смещения ленточной гряды

определяется из выражения

(21)
2.10. В случае отсутствия подробных и разновременных топографических съемок русла побочневого типа параметры побочня (см. прил. 1,
п. 3) определяются по приближенным зависимостям:
высота побочня hпб, м - по формуле И.Ф. Карасева
где Hпл - глубина в плесе, м, между побочнями, соответствующая уровню пойменных бровок;
при наличии сведений о расходах воды - по формуле В.В. Ромашина

(23)
где (Q50%)макс - максимальный расход 50% обеспеченности, м3/с;
длина (шаг) побочня

, м, - по формуле И.Ф. Карасева

(24)
где I - средний уклон потока на участке большого протяжения (8 - 10 мезоформ);
по формуле В.В. Ромашина

(25)
2.11. При наличии разновременных съемок за период не менее 10 лет количественные измерители определяются по указанным съемкам в соответствии с рекомендациями прил. 2,
п. 2.
2.12. Глубинные деформации в поперечном сечении русла при ленточногрядовом и побочневом типах процесса определяются высотой сползающих русловых форм.
а) При отсутствии разновременных съемок величину глубинных деформаций

, м, следует рассчитывать по приближенной зависимости

(26)

- максимальная высота микроформ, м, в половодье, рассчитываемая по
формуле (7);
б) При наличии разновременных съемок выбирается съемка, соответствующая максимальной водности, на которой по длине участка реки L разбивается ряд поперечных створов:
L = Ctп, (27)
где C - скорость смещения побочня или ленточной гряды;
tп - продолжительность прогнозируемого периода.
Профили по каждому поперечному створу совмещаются на одном графике
(рис. 1). Огибающая профилей ограничивает область вероятных глубинных деформаций.
Рис. 1. Деформации русла при побочневом режиме
1, 3, 5, 7, 9 - совмещенные поперечные профили:
линия abcd - предельный запас к расчетному контуру размыва
Величина глубинных деформаций на любом расстоянии от берега определяется по формуле

(28)
где

- величина колебания отметок дна
(рис. 1) на любом расстоянии от берега;

- максимальная высота микроформ, определяемая по
формуле (7).
При особо ответственных сооружениях рассеивающего выпуска и при разнородном составе донных отложений в
формулу (28) следует вводить запас

, равный разности отметок нижней огибающей совмещенных профилей и верхней границы базального слоя.
2.13. Плановые деформации русла при ленточногрядовом типе руслового процесса в силу их слабой выраженности рассчитывать не следует.
При побочневом типе руслового процесса ширина береговой полосы

, периодически разрушаемой и восстанавливаемой при движении побочней, определяется по приближенной зависимости

(29)
где Bбр - ширина между пойменными бровками берегов русла, м.
При наличии разновременных съемок за величину

следует принимать ее максимальное значение, определяемое по совмещенным планам русла.
Оценка русловых деформаций при меандрировании
2.14. Для всех разновидностей меандрирования следует оценивать глубинные деформации русла, перемещения русла в плане, деформации поверхности пойменного массива. При этом необходимо учитывать общие закономерности деформаций русел и пойм и способы их оценки (
прил. 1,
2).
2.15. При ограниченном меандрировании глубинные деформации в зависимости от исходного материала могут определяться следующими способами:
а) при полном отсутствии материалов следует использовать реки-аналоги. Аналог должен быть подобен изучаемому участку реки по следующим признакам: типу руслового процесса, степени развитости излучины, уклону дна долины, ширине меженного русла и пояса руслоформирования (меандрирования), расходу воды и продолжительности среднемноголетнего половодья, крупности донных отложений. На участке аналога должны отсутствовать искусственные условия, ограничивающие свободное развитие данного типа русла;
б) при наличии материалов разновременных съемок задача определения величины высотных деформаций решается аналогично тому, как это изложено в
прил. 2 и
п. 2.12. При этом поперечные профили должны проходить как через русло, так и через пойменный массив и наноситься нормально линии, проходящей по середине пояса меандрирования. Совмещаться на одном графике профили должны по вертикальной оси, соответствующей середине пояса меандрирования.
Желательно, чтобы поперечные профили, проходящие через плесовые участки, соответствовали меженному состоянию русла, а относящиеся к перекатам - периоду половодья.
Величина глубинных деформаций русла должна определяться по
формуле (28).
2.16. Расчет плановых деформаций русла при ограниченном меандрировании сводится к определению скорости сползания излучин
Cи и времени переработки пойменного массива

в пределах пояса меандрирования.
Величина
Cи определяется в соответствии с рекомендациями прил. 1,
п. 4 и прил. 2,
п. 2.
Время

определяется по формуле

(30)
где

- шаг излучины (см. прил. 1,
п. 4).
2.17. При свободном меандрировании глубинные деформации должны определяться следующим образом:
при отсутствии необходимых данных следует воспользоваться материалами по реке-аналогу (см.
п. 2.15 а);
прогноз отметок дна в любом поперечном створе по мере развития излучины можно составить, используя глубины в аналогичных створах на других излучинах рассматриваемого участка реки, находящихся в разных стадиях развития;
сезонные деформации дна русла должны определяться на основе совмещения как продольных, так и поперечных профилей, измеренных в половодье и межень;
при наличии в плесах и на перекатных участках излучины ленточных гряд глубинные деформации должны определяться с их учетом (в соответствии с
п. 2.12 б);
на участках перекатов и пляжа излучины в подсчет общей величины глубинных деформаций должна включаться высота гряд в половодье, определяемая по
формуле (7);
размеры ленточных гряд и микроформ могут приниматься постоянными на всех стадиях развития излучины после достижения соотношения

(см. прил. 1,
п. 5).
2.18. Прогноз плановых деформаций свободно меандрирующего русла может производиться в зависимости от наличия исходных материалов:
при отсутствии разновременных съемок следует приближенно принимать, что среднее плановое смещение бровки вогнутого берега излучин в год составляет 5% ширины русла между пойменными бровками;
прогноз смещений бровок вогнутых берегов свободно меандрирующих излучин при наличии разновременных съемок (см. прил. 2,
п. 2) необходимо производить по формуле Н.Е. Кондратьева

(31)
где

- смещение бровки подмываемого вогнутого берега излучины, м, за расчетный период времени
T, лет;
kи - коэффициент, учитывающий изменение скорости плановых деформаций излучины в зависимости от стадии ее развития и определяемый в функции от угла разворота

по
табл. 1;
Cи.макс - наибольшая в пределах данной излучины скорость смещения бровки вогнутого берега, м/год;
Hмакс - наибольшая глубина русла в расчетном створе, м;
Hср - средняя глубина на гребнях двух смежных перекатов, ограничивающих излучину и расположенных в местах перегиба средней линии излучины, м;
Hпл - наибольшая глубина русла в плесе излучины, м.
| 50 | 100 | 120 | 140 - 160 | 180 | 200 | 250 |
kи | 0,1 | 0,5 | 0,8 | 1 | 0,8 | 0,5 | 0,1 |
расчетные интервалы времени не следует принимать больше 5 лет, а общее время прогноза - 20 лет;
расчет позволяет наметить положение бровки подмываемого вогнутого берега на всем ее протяжении между точками перегиба средней линии русла
(рис. 2).
Рис. 2. Плановые деформации излучины
при свободном меандрировании
I - существующая береговая линия; II - осевая линия;
III - линия наибольших глубин; IV - расчетное
положение подмываемого берега; V - изобаты;
1 - 8 - расчетные поперечные профили
2.19. При незавершенном меандрировании русловые деформации должны рассчитываться для спрямляющего протока и для основного русла:
на ранней стадии формирования спрямляющий проток имеет слабокриволинейное русло побочневого типа и его деформации должны учитываться в соответствии с указаниями
пп. 2.9 -
2.13;
при переходе в спрямляющий проток большей части расхода воды основного русла плановое смещение береговой линии протока за T лет определяется по формуле

(32)
где Cбр - скорость смещения бровки вогнутого берега излучины основного русла;
расчет ширины спрямляющего протока и времени, необходимого для перехода от начального состояния к состоянию основного русла, приведен в прил. VIII к "Рекомендациям по учету руслового процесса при проектировании линий электропередач", Гидрометеоиздат, 1973;
расчет планового смещения бровки вогнутого берега основного русла до момента перехода в спрямляющий проток большей части расхода воды должен производиться по
формуле (31);
при переходе в спрямляющий проток большей части расхода воды и замедлении плановых деформаций в основном русле расчет планового смещения протока производится по
формуле (31).
Расчет и прогноз деформаций на участках многорукавных русел
2.20. К многорукавным руслам относятся участки рек, развивающиеся по типам пойменной и русловой многорукавности.
2.21. Пойменную многорукавность следует рассматривать как общий морфологический фон, на котором происходит развитие протоков по законам любого типа руслового процесса. Плановые и глубинные деформации в протоках следует оценивать методами, применяемыми к типам руслового процесса, развивающимся на этих участках многорукавного русла. Прогноз развития конкретного протока должен составляться с учетом распределения расхода воды по протокам (см.
п. 2.1). При расчете распределения расхода воды по протокам и составлении прогноза развития конкретного рукава следует учитывать периодический характер наползания на исток или устье протока мезоформ. При оценке деформаций участка пойменной многорукавности следует учитывать возможность возникновения под действием естественных и искусственных факторов новых протоков, в том числе как следствие проведения строительных работ на пойме.
2.22. Осередковый тип руслового процесса (русловую многорукавность) следует рассматривать как общий морфологический фон, на котором происходит движение ленточных гряд, побочней, осередков и меандрирование рукавов (см. прил. 1,
п. 8). При оценке деформаций в конкретном рукаве необходимо учитывать развивающийся в нем тип руслового процесса и вести расчет по рекомендациям, относящимся к конкретному типу русловых форм.
В осередковом русле с разнородной крупностью донных отложений предел возможного естественного размыва дна реки ограничивается поверхностью базального горизонта грунта. За предельную глубину размыва следует принимать расстояние от поверхности базального горизонта до максимальной отметки подвижных мезоформ. Отметку поверхности базального горизонта следует определять или по данным поперечного геологического разреза русла, или по отметке дна на участке обнаженной поверхности базального горизонта. Обнаженная поверхность базального горизонта приурочена или к приглубинным участкам русла у приверхов островов, или к нижней трети плесовых лощин у вогнутых берегов излучины.
Оценка русловых деформаций в зоне выклинивания
подпора водохранилищ
2.23. К зоне выклинивания подпора или к зоне переменного подпора относится верхняя часть водохранилища, где в определенные периоды года на бытовые условия реки накладывается подпор.
Положение створа выклинивания подпора зависит от уровня водохранилища и расхода воды в реке и непрерывно меняется вдоль реки.
Наибольшее распространение подпора вверх по реке (верхняя граница зоны) наблюдается в конце спада половодья - начале межени, когда водохранилище наполнено до нормального подпорного уровня. Граница зоны занимает нижнее положение при полной сработке полезного объема водохранилища и прохождении по реке половодья. Диапазон перемещения вдоль реки зоны переменного подпора и составляет длину зоны выклинивания подпора.
На крупных и средних равнинных реках длина зоны переменного подпора составляет 100 - 200 км.
2.24. Вдоль зоны выклинивания подпора по течению происходит следующее изменение бытовых характеристик руслоформирующих факторов: увеличиваются глубины, уменьшаются уклоны водной поверхности, падают скорости течения, снижаются расходы взвешенных и донных наносов, уменьшается крупность донных отложений, растут продолжительность и глубина затопления поймы.
2.25. В зоне переменного подпора наблюдается преобладание процесса аккумуляции наносов над процессом их размыва. В этой части крупных равнинных водохранилищ аккумулируется 30 - 80% твердого стока реки. Слой отложившихся наносов распределяется вдоль зоны неравномерно: в средней части зоны он достигает максимума, откуда уменьшается в направлении верхнего и нижнего граничных створов.
На крупных равнинных водохранилищах среднегодовая интенсивность уменьшения начальной емкости русла составляет 1 - 2% в верхней и нижней частях зоны и 2 - 3% в средней части зоны выклинивания подпора.
2.26. Аккумуляция наносов в зоне переменного подпора приводит к изменению геометрических и динамических параметров всех русловых форм, определяющих деформации русла.
Макроформы претерпевают следующие изменения:
на участках меандрирующих русел происходит уменьшение скорости плановых деформаций;
в многорукавных руслах наблюдается отмирание второстепенных рукавов и укрупнение островов и осередков;
при всех типах руслового процесса отмечается однонаправленное в многолетнем смысле изменение внутрирусловых морфологических элементов - заиление плесовых лощин и увеличение абсолютных размеров побочней, осередков, ленточных гряд, микроформ.
Изменение в динамике и параметрах мезоформ по сравнению с бытовым состоянием русла сводится к следующему:
в верхней части зоны переменного подпора мезоформам свойственны сезонные деформации, незначительно отличающиеся от бытовых тем, что ежегодный намыв гребней этих образований несколько превосходит их размыв за счет появляющегося в конце спада половодья подпора; поперечные и продольные размеры мезоформ несколько увеличиваются, скорость их смещения уменьшается;
в средней части зоны выклинивания подпора указанные для верхней зоны изменения характеристик мезоформ проявляются в большей степени;
в нижней части зоны переменного подпора подвижность и сезонные колебания размеров мезоформ становятся существенно меньшими, чем в верхней и средней частях зоны.
2.27. Оценка русловых деформаций в зоне выклинивания подпора может производиться несколькими способами:
а) при отсутствии данных наблюдений и на ранних стадиях проектирования качественная картина изменения гидрологического и руслового режима на участке переменного подпора должна учитываться в соответствии с
пп. 2.24 -
2.26. В этом случае предельная отметка дна русла
Zпр определяется по приближенному соотношению

(33)
где Ze - бытовая отметка дна русла;

- приращение уровня воды в зоне переменного подпора;
б) при расположении выпуска на участке существующей зоны выклинивания подпора количественные значения характеристик плановых и глубинных деформаций применительно к отдельным русловым формам могут быть получены приемами гидролого-морфологического анализа (см.
прил. 2). Анализ производится для бытового и зарегулированного состояний участка реки. Полученные характеристики сравниваются между собой, и по результатам сравнения устанавливается количественная тенденция к их изменению;
в) расчет хронологического хода заиления отдельных участков зоны переменного подпора с получением средней толщины слоя отложившихся на участке наносов за расчетное время следует производить балансовым методом в соответствии с "Указаниями по расчету заиления водохранилищ при строительном проектировании", Гидрометеоиздат, 1973.
Оценка деформаций русла в нижних бьефах гидроузлов
2.28. К нижним бьефам относится часть реки ниже створа гидроузла, на которой под действием регулирования стока нарушены естественные условия гидрологического режима. Нижняя граница участка соответствует створу на реке, где восстанавливаются все характеристики определяющих русловый процесс факторов. На крупных реках длина участка нижнего бьефа составляет сотни километров.
2.29. По степени отклонения проектных характеристик гидрологического режима от естественных (бытовых) участок нижнего бьефа подразделяется на зоны суточного, недельного и многолетнего регулирования стока.
Зона суточного регулирования захватывает верхнюю часть нижнего бьефа, и ее длина составляет десятки километров на крупных реках. Зона недельного регулирования в 1,5 - 2 раза длиннее зоны суточного регулирования. Зона многолетнего регулирования составляет весь участок нижнего бьефа.
Наиболее существенные изменения естественных характеристик гидрологического режима приходятся на верхнюю часть зоны суточного регулирования - приплотинный участок. Его длина составляет 15 - 25% длины зоны суточного регулирования.
2.30. Изменения гидрологического режима в нижнем бьефе сводятся к следующему:
уменьшаются объем и высота половодья и увеличиваются расходы и уровни воды в летнюю и зимнюю межень по сравнению с бытовым состоянием русла;
наблюдается значительная суточная и недельная амплитуда колебания водности и нестационарность всех характеристик потока в межень в зонах суточного и недельного регулирования;
твердый расход в створе гидроузла существенно уменьшается, иногда до нулевых значений;
изменяется температурный режим потока - зимой температура воды повышается, летом - понижается;
нарушается во всех зонах режим русловых деформаций.
2.31. Следует учитывать, что наиболее заметные изменения характеристик водного режима, влияющие на выбор проектных параметров рассеивающего выпуска, происходят в зоне суточного регулирования нагрузки ГЭС:
на приплотинном участке происходит посадка уровня водной поверхности. На крупных и средних реках общее снижение уровня составляет 1,5 - 2,5 м. Интенсивность посадки уровня в год колеблется от нескольких сантиметров до десятков сантиметров. Стабилизация уровня связывается с прекращением размывов дна ниже гидроузла;
при суточном и недельном регулировании стока расход воды может меняться в рабочие дни недели в несколько (до 10 - 15) раз. Максимальной величины расходы достигают в начале - середине недели, после чего следует спад суточных колебаний до минимального значения в субботу и воскресенье;
внутрисуточное колебание уровня в межень составляет на средних и крупных реках 1 - 3 м летом и 2 - 4 м зимой, внутринедельные на 20 - 30% превосходят суточные колебания;
скорость движения потока в течение суток колеблется значительно. В межень в период пиков суточного регулирования скорость превышает бытовую в 1,5 - 2 раза, а в период ледостава - в 1,5 - 2,5 раза.
В течение суток скорость меняется следующим образом: в ночные часы скорость потока достигает минимальных значений (до 0,01 - 0,1 м/с), в утренний период в течение 1 - 2 ч скорости достигают наибольших значений, колеблющихся в пределах 20 - 40% около среднего из максимальных значений.
Характерным свойством скоростного поля при суточном колебании стока является неоднозначность связи между максимальной, средней и донной скоростями потока в разные фазы суточного колебания уровня и на разных морфологических участках реки.
Ниже зоны недельного регулирования средние скорости потока отличаются от бытовых незначительно.
2.32. Общие закономерности переформирования русла нижнего бьефа состоят в следующем.
На всем участке нижнего бьефа процессы размыва русла в среднем преобладают над процессами аккумуляции наносов, однако знак и величина деформации русла определяются:
принадлежностью конкретного расчетного участка русла к одной из трех зон;
размещением на расчетном участке русловых форм;
продолжительностью времени эксплуатации гидроузла.
2.33. На приплотинном участке зоны суточного регулирования процесс деформации дна подразделяется на две стадии.
Первая стадия характеризуется повышением отметок дна по всей ширине русла над их бытовыми значениями в результате аккумуляции на этом участке продуктов размыва приплотинной ямы.
Вторая стадия состоит в последовательном размыве отложившихся наносов, а затем и естественного дна с формированием таких поперечных и продольных профилей русла, отметки которых находятся значительно ниже отметок бытового ложа реки.
Перемещение наносов на рассматриваемом участке реки осуществляется в структурной форме - в виде микроформ и мезоформ.
Отложившиеся первоначально в виде бара продукты размыва приплотинной ямы формируются в дальнейшем в русловую мезоформу и смещаются вниз в виде самостоятельных морфологических образований - побочней, осередков, ленточных гряд. По поверхности мезоформ перемещаются мелкие песчаные гряды.
2.34. Все русловые формы на приплотинном участке испытывают колебания своих размеров в многолетнем разрезе при годичном, недельном и суточном колебании расхода воды.
В течение многолетнего периода по мере смещения вниз структурных мезоформ наносы, слагающие эти образования, последовательно покрывают нижерасположенные участки дна слоем, равным высоте мезоформ.
Объем мезоформ и их размеры по мере смещения по участку уменьшаются при практически неизменной средней отметке гребней.
Скорость движения мезоформ также уменьшается по мере увеличения периода эксплуатации ГЭС и по мере удаления их от створа гидроузла.
Верхняя и нижняя оконечности мезоформ движутся с разной скоростью. В первые годы эксплуатации гидроузла ухвостье намывается быстрее, чем приверх, и мезоформа удлиняется. В последующем картина меняется на обратную - и мезоформа укорачивается.
После прохождения мезоформ начинается размыв дна русла ниже бытовых отметок дна.
У противоположных относительно мезоформ берегов располагаются плесовые лощины. В начальный период в них откладываются продукты размыва приплотинной ямы слоем примерно одинаковой толщины. В дальнейшем эти наносы размываются и происходит углубление дна лощины ниже бытовых отметок.
Сезонные деформации русла, вызываемые годичным регулированием стока, состоят в периодической смене зон размыва и аккумуляции наносов, поступающих из ямы размыва на приплотинный участок.
В период летне-осенней и зимней межени дно на участке размывается, вымытый материал откладывается на приверхах близлежащих мезоформ и в начальных частях плесовых лощин, формируя участок меженной аккумуляции наносов. Ниже указанных зон отложения наносов дно бьефа размывается. В межень объем вынесенных с участка наносов в несколько раз превосходит объем отложений.
В половодье зона размыва захватывает зону меженной аккумуляции наносов. Продукты размыва перемещаются на вершины и в подвалья мезоформ, а также в нижнюю часть плесов, формируя зону весенней аккумуляции наносов. Общий баланс деформаций отрицательный.
Скорости смещения мезоформ на приплотинном участке превосходят бытовые значения.
2.35. По поверхности мезоформ и по дну плесовых лощин на приплотинном участке перемещаются две системы гряд - ленточные гряды и микроформы. Высота ленточных гряд составляет несколько метров, длина - несколько сот метров; высота микроформ составляет десятки сантиметров, а длина - десятки метров. Микроформы движутся по телу ленточных гряд, и скорость их смещения значительно превышает скорость движения ленточных гряд.
Средние размеры ленточных гряд увеличиваются лишь в половодье - высота на 20 - 30%, длина на 10 - 20%. Средние размеры микроформ увеличиваются при всех видах регулирования стока: при суточном регулировании высота возрастает на 15 - 25%, длина - на 10 - 15% по сравнению с периодом минимальных суточных уровней воды; в течение недельного срока высота гряд увеличивается на 30 - 40%, а длина - на 15 - 20%; при прохождении половодья высота гряд увеличивается в 1,5 - 2 раза, а длина - в 3 - 3,5 раза.
2.36. На приплотинном участке плановые деформации русла состоят в его уширении по мере понижения отметок дна.
2.37. Ниже зоны суточного регулирования деформации русла на участке нижнего бьефа состоят в следующем:
наблюдается тенденция к изменению типа руслового процесса или замедление темпов плановых деформаций, свойственных тому или иному типу процесса;
в многорукавных руслах приостанавливается развитие второстепенных рукавов, замедляется разработка спрямляющих протоков в меандрирующих руслах, поток сосредоточивается в основном русле;
в главном русле наблюдается тенденция к выравниванию отметок гребней перекатов и дна плесовых лощин вследствие однонаправленного размыва гребней и замыва плесов. Сезонные колебания отметок указанных элементов русла становятся меньшими, чем в естественном состоянии;
скорость смещения мезоформ (побочней, ленточных гряд, осередков) становится больше, чем в естественном состоянии русла;
скорость плановых смещений излучин уменьшается. В целом русло приобретает большую стабильность, чем в естественной реке.
2.38. Прогноз русловых деформаций в каждой зоне нижнего бьефа должен выполняться с учетом качественных схем перестройки русла, изложенных в
пп. 2.31 -
2.38.
2.39. В основу количественных расчетов деформаций дна и берегов русла должны быть положены материалы натурных наблюдений за деформациями, полученные для естественного и зарегулированного состояния конкретного участка и представленные в соответствии с требованием гидролого-морфологического анализа (см. прил. 2,
п. 2).
2.40. На приплотинном участке предельный поперечный профиль русла следует определять следующим образом:
на участке намечаются поперечные и продольные створы;
для каждого створа строятся совмещенные профили за имеющийся ряд наблюдений;
на основании совмещенных профилей устанавливается скорость Cz понижения отметок дна в каждом поперечном створе в характерных местах излома профиля;
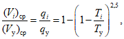
определяется предельная глубина Hпр, при которой прекращается дальнейший размыв дна, двумя путями: или по верхнему поперечному профилю, где отметки дна стабилизировались, или по приближенной формуле

(34)
где qi - расход воды в струе шириной bi, соответствующий среднегодовому расходу воды;
Vнрi - неразмывающая скорость потока, определяемая по
формуле (4);
вычисляется толщина размываемого слоя грунта hсл
hсл = Hпр - Hср, (35)
где Hср - средняя глубина в части сечения на ширине bi;
определяется время tпр достижения предельной глубины размыва Hпр

(36)
при близком к поверхности дна залегании коренных неразмываемых пород толщина слоя hсл должна определяться по геологическим профилям.
3. РАСЧЕТ ВЫСОТЫ ЗАЛОЖЕНИЯ КОНСТРУКТИВНЫХ ЭЛЕМЕНТОВ
РАССЕИВАЮЩИХ ВЫПУСКОВ РАЗНЫХ ТИПОВ
Общие положения
3.1. При размещении выпуска на участке реки следует назначать отметки заложения магистральной трубы, устьев патрубков и фундаментов русловых опор с учетом экстремальных отметок уровней воды, подвижного дна и ледяного покрова.
Расчет высоты заложения магистральной трубы и рассеивающих
патрубков при расположении донного, внутриводного
и надводного выпусков на участках рек с разным
типом руслового процесса
3.2. При ленточногрядовом и побочневом типах руслового процесса необходимо соблюдать следующие рекомендации.
а) Отметка верха магистральной трубы донного выпуска должна находиться ниже зоны высотных деформаций, определяемой в соответствии с рекомендациями
п. 2.12. Отметка устья патрубков донного выпуска должна располагаться на таком расстоянии от верха магистральной трубы, чтобы длина патрубка
lп превышала величину колебаний отметок дна

, т.е.

(37)
где

определяется по
формуле (28) при однониточном варианте выпуска
| | ИС МЕГАНОРМ: примечание. Формула дана в соответствии с официальным текстом документа. | |
и

(38)
при двухниточном и двухсекционном вариантах (см.
пп. 4.2 и
4.3).
б) При внутриводном варианте выпуска выбор отметок для установки магистральной трубы и рассеивающих патрубков в потоке должен выполняться с соблюдением следующих требований:
магистральная труба на участке секции патрубков должна устанавливаться выше отметок дна при всех положениях мезоформ в створе выпуска и во все фазы водного режима;
в то же время магистральная труба должна находиться ниже отметок минимального уровня воды и нижней поверхности ледяного покрова;
длина, отметка устья и расположение относительно магистральной трубы рассеивающих патрубков должны назначаться с учетом требований, изложенных выше.
в) При расчете отметки установки магистральной трубы надводного выпуска необходимо рассматривать два случая:
в первом из них не допускается затопление трубы выпуска при уровнях воды редкой обеспеченности,
во втором допускается кратковременное затопление трубы.
В первом случае низ магистральной трубы должен располагаться на 0,5 м выше уровня воды, а во втором - на 0,5 м выше максимального уровня ледохода.
3.3. Высота заложения магистральной трубы и устьев патрубков при ограниченном меандрировании должна назначаться следующим образом.
а) Магистральная труба донного выпуска должна укладываться ниже отметки максимально возможного размыва русла, определяемой в соответствии с
п. 2.15.
Отметки верха патрубков должны устанавливаться с учетом:
изменения отметок дна за счет смещения ленточных гряд;
изменения отметок дна за счет движения микроформ;
сезонных колебаний высот ленточных гряд и микроформ;
изменения отметок дна за счет сползания излучин.
Устья патрубков должны находиться в течение всего периода работы выпуска выше поверхности дна, высотное положение которого определяется перемещающимися русловыми формами.
Высота ленточных гряд и микроформ устанавливается в результате продольных промеров русла (см.
прил. 1,
2). Максимальная отметка дна при движении этих форм должна определяться в соответствии с
формулой (26).
Отметка дна в створе выпуска будет повышаться за счет наползания на створ вышележащего пойменного массива и его пляжа. Время наступления любой ожидаемой отметки пойменного массива или его пляжа в створе выпуска определяется по формуле

(39)
где Lсв - расстояние от створа выпуска до вышележащего поперечного створа, проходящего через пляж и массив излучины и имеющего ожидаемую отметку;
Cи - скорость сползания излучины, определяется в соответствии с рекомендациями прил. 1,
п. 4 и прил. 2,
п. 2.
б) При устройстве внутриводного выпуска следует соблюдать указания по выбору отметок его элементов, изложенные в
п. 3.2 б.
в) Отметки магистральной трубы надводного выпуска необходимо устанавливать в соответствии с требованиями
п. 3.2 в.
3.4. При свободном и незавершенном меандрировании высотное положение магистральной трубы и патрубков всех типов выпусков должно удовлетворять требованиям, изложенным в
пп. 3.2 и
3.3. Выбор высотного положения указанных элементов выпуска также должен учитывать общие особенности развития излучин, указанные в
пп. 2.14 -
2.19, и частные деформации в створах, рекомендованных для размещения выпуска при свободном (см.
п. 4.5) и незавершенном меандрировании (см.
п. 4.6). Плановое и высотное положение магистральной трубы, прокладываемой по пойме (подводящего коллектора), должно назначаться с учетом возможной разработки спрямляющего излучину протока, переработки поймы смежной излучиной, смещающейся к створу коллектора, и глубины затопления поймы (см. прил. 1,
п. 11).
3.5. На участках многорукавных русел выбор высотного положения магистральной трубы и рассеивающих патрубков следует производить в зависимости от схемы деформаций протока, пользуясь указаниями
пп. 3.2 и
3.3, а также рекомендациями по оценке общих деформаций русел с пойменной и русловой многорукавностью (
пп. 2.20 -
2.22).
Плановое и высотное положение магистральной трубы, прокладываемой по пойме, должно назначаться с учетом развития пойменных протоков и речек, пересекаемых коллектором.
Высотное положение магистральной трубы, укладываемой в русле с осередковым типом процесса, протекающим в условиях разнозернистых грунтов, должно определяться отметкой поверхности базального горизонта: труба должна заглубляться в базальный слой на глубину своего диаметра.
3.6. В зоне выклинивания подпора при выборе отметок установки магистральной трубы и рассеивающих патрубков необходимо соблюдать правила, изложенные в
пп. 3.2 -
3.5, а также учитывать схемы деформаций русла на каждом участке зоны, указанные в
пп. 2.23 -
2.27. Кроме того, необходимо соблюдать ряд дополнительных требований, вытекающих из особенностей гидрологического режима зоны:
при устройстве любого из трех типов выпусков учитывать величину колебаний уровней воды, связанных с наполнением и сработкой водохранилища;
при расположении донного и поверхностного типов выпусков в средней и нижней частях зоны высоту заложения магистральной трубы и рассеивающих патрубков следует назначать с учетом отметки заиления дна, рассчитываемой по
формуле (33) или в соответствии с рекомендациями
п. 2.27; при этом продолжительность времени достижения расчетной отметки дна должна превышать расчетный срок эксплуатации сооружения.
3.7. В нижнем бьефе гидроузлов назначение отметок установки магистральной трубы и рассеивающих патрубков должно производиться с соблюдением общих требований, вытекающих из
пп. 3.2 -
3.5, а также следующих из рассмотрения схем деформаций русла на разных участках зоны (
пп. 2.28 -
2.40). Кроме того, в верхней части зоны следует учитывать колебание уровня воды, связанное с суточным и недельным регулированием стока.
При расположении донного выпуска на приплотинном участке зоны суточного регулирования магистральную трубу необходимо укладывать ниже предельной глубины размыва на величину диаметра трубы; предельную глубину размыва следует определять в соответствии с рекомендациями
п. 2.40.
В случае, если труба донного выпуска укладывается на неразмываемом (скальном) дне русла, необходимо обеспечить ее контакт со скальным дном на всем протяжении поперечного профиля, т.е. располагать трубу ниже возможных углублений, заполненных аллювием.
3.8. Максимальная глубина размыва у опор рассеивающих выпусков рассчитывается в соответствии с рекомендациями "Технических указаний по расчету местного размыва у опор мостов, струенаправляющих дамб и траверсов",
ВСН 62-69, ЦНИИС, 1969.
4. РАЗМЕЩЕНИЕ РАССЕИВАЮЩИХ ВЫПУСКОВ В РУСЛЕ РЕКИ
И ВЫБОР ОПТИМАЛЬНЫХ ВАРИАНТОВ ИХ КОНСТРУКЦИЙ
Общие положения
4.1. При выборе оптимальных вариантов конструкций и мест размещения выпусков следует учитывать ряд общих требований:
на участке реки с деформируемым руслом невозможно выбрать створ выпуска, где полностью отсутствуют русловые деформации. Свести к минимуму их влияние на выпуск возможно с помощью выбора оптимального конструктивного типа сооружения и места его размещения в русле реки. Приводимые ниже схемы размещения выпусков могут быть дополнены другими при соблюдении указанных в
п. 4.1 требований;
при выборе конструктивного типа выпуска и места его размещения необходимо руководствоваться не только величиной деформации, но и временем ее наступления; следует выполнять требование
Tэ < tд,
где Tэ - расчетный срок эксплуатации сооружения;
tд - время наступления деформации, неблагоприятной для условий эксплуатации сооружения;
выбор места размещения выпуска и его конструктивный тип должны обеспечить расчетное разбавление сточных вод в течение всего срока Tэ;
конструкция оголовков и гидравлические условия сопряжения струи и потока должны обеспечивать максимальное разбавление сточных вод на минимальном расстоянии от створа выпуска;
при выборе количества ниток выпуска необходимо учитывать не только характер руслового процесса, но и технологию работы очистных сооружений и предприятий, сбрасывающих сточные воды.
Выбор мест размещения и вариантов конструкции выпусков
при разных типах руслового процесса
4.2. При ленточногрядовом типе руслового процесса возможно размещение на реке всех трех типов выпусков - донного, внутриводного и надводного - в любом выбранном створе. Однако при равных технико-экономических показателях проекта наиболее предпочтительным типом является надводный выпуск, наименее предпочтительным - внутриводный.
а) Донный выпуск рекомендуется устраивать в двух вариантах - однониточным и двухниточным
(рис. 3). Последний более предпочтителен. При однониточном длина патрубков должна устанавливаться с учетом
соотношения (37).
Рис. 3. Однониточный (А) и двухниточный (Б) выпуски
при ленточногрядовом типе руслового процесса
При двухниточном выпуске расстояние между нитками вдоль реки должно составлять

(40)
где n - любое нечетное число;

- длина мезоформы.
При двухниточном варианте рассеивающего выпуска нитки должны включаться попеременно с интервалом времени tд:

(41)
Для предотвращения попадания наносов внутрь патрубков неработающей нитки выпуска, когда их устья будут находиться ниже дна реки (в период tд), необходимо предусмотреть специальные конструктивные решения и мероприятия.
б) Внутриводный выпуск может размещаться в однониточном и односекционном варианте в любом поперечном створе русла с соблюдением требований
п. 3.2 б.
В зависимости от соотношения величин зазора между магистральной трубой и минимальным уровнем воды, нижней поверхностью льда и дна патрубки могут располагаться относительно трубы в трех вариантах: вверх от магистральной трубы; вниз от магистральной трубы; в горизонтальной плоскости, проходящей через ось трубы
(рис. 4).
Рис. 4. Размещение внутриводного выпуска
при ленточногрядовом типе руслового процесса
а, б, в, г - варианты размещения рассеивающих
патрубков; А - магистральная труба
в) Надводный рассеивающий выпуск может располагаться в любом поперечном створе русла при соблюдении требований
п. 3.2 в и следующих условий:
конструкция, поддерживающая трубу в случае ее затопления, должна быть рассчитана с учетом гидродинамического воздействия потока;
обращенные вниз патрубки должны быть гибкими, а их длина - регулируемой.
4.3. При побочневом типе руслового процесса возможно размещение всех трех типов выпусков - донного, внутриводного и надводного. Каждый из типов выпуска может работать надежно лишь при выполнении ряда условий.
Однониточный донный выпуск следует устраивать в двухсекционном варианте
(рис. 5), при котором каждая из секций работает попеременно с интервалом времени
tд, определяемым по
формуле (41). Размещение секций в створе должно производиться на основе расчетного совмещенного профиля (см.
рис. 1). Для включения и выключения каждой секции в проекте организации работ должны быть предложены специальные конструктивные решения.
Рис. 5. Двухсекционный донный выпуск
при побочневом типе руслового процесса
А - правобережная секция; Б - левобережная секция;
поперечное положение побочня в створе выпуска:
1 - у правого берега; 2 - у левого берега;
3 - равновысотное положение линии дна у левого
и правого берегов
Двухниточный донный выпуск следует устраивать у одного берега односекционным. Расстояние между нитками вдоль реки должно составлять

(42)
где

- шаг побочня.
Внутриводный выпуск может быть размещен в средней части побочневого русла при однониточном и односекционном варианте его конструкции
(рис. 6). Магистральная труба и рассеивающие патрубки должны размещаться по глубине в зоне, ограниченной наивысшим возможным положением дна и наинизшим возможным положением уровня воды и ледяного покрова. В зависимости от размеров этой зоны потока принимается один из трех вариантов размещения патрубков
(п. 4.2 б).
Рис. 6. Размещение внутриводного выпуска
при побочневом типе руслового процесса
А - магистральная труба; а, б, в - варианты размещения
рассеивающих патрубков. Остальные обозначения см.
рис. 5
При проектировании надводного выпуска следует рассматривать три варианта его размещения
(рис. 7).
Рис. 7. Схемы размещения надводного выпуска
при побочневом типе руслового процесса
I, II, III - варианты размещения выпуска
Вариант первый - однониточный, односекционный выпуск с расположением патрубков над средней частью реки, в зоне относительно стабильных глубин (см.
рис. 1,
6).
Вариант второй - однониточный двухсекционный выпуск, при котором каждая из секций патрубков размещается у противоположного берега на общей магистральной трубе и работает попеременно с интервалом времени
tд, определяемым по
формуле (41).
Вариант третий - двухниточный односекционный выпуск, размещаемый со стороны одного берега при расстоянии между нитками, определяемом по
формуле (42).
При устройстве каждого из трех вариантов следует учитывать рекомендации по установлению уровней воды и ледохода
(п. 3.2 в), а также по конструкции патрубков, изложенные в
п. 4.2 в.
4.4. На участке реки, развивающемся по типу ограниченного меандрирования, возможно размещение донного, внутриводного и надводного выпусков. Створ выпусков рекомендуется размещать на расстоянии

от верхней точки перегиба оси излучины.
Выпуск следует размещать со стороны вогнутого берега
(рис. 8). Наиболее надежно выпуск будет работать в течение времени, за которое излучина переместится на

, т.е. в течение

(43)
Рис. 8. Расположение створа донного,
внутриводного и надводного рассеивающих выпусков
при ограниченном меандрировании
I - начальный створ выпуска; II - резервный створ
выпуска; 1 - начальное положение русла;
2 - положение русла через

При дальнейшем смещении излучины на

следует учитывать возможность попадания выпуска в затонскую часть, кинематика течений в которой неблагоприятна для разбавления сточных вод.
Выпуски всех трех типов конструкции рекомендуется проектировать однониточными и односекционными.
При
tд <
Tэ, где
Tэ - расчетное время эксплуатации, а
tд определяется по
формуле (43), следует предусмотреть в проекте создание в будущем резервной нитки выпуска (нитка II на
рис. 8).
4.5. При свободном меандрировании возможно размещение трех вариантов конструкции выпуска в зависимости от стадии развития излучины, скорости ее плановых деформаций и глубины на верхнем и нижнем перекатах
(рис. 9).
Рис. 9. Расположение створов выпусков
на свободно меандрирующей излучине
А - верхний перекат; Б - нижний перекат; I - створ
на перекате; II - створ в конечном участке плеса;
III - створ в начальном участке плеса; 1 - начальное
положение берега; 2 - конечное положение берега
а) На ранней стадии, когда излучина сползает, необходимо руководствоваться правилами, рекомендованными для ограниченно меандрирующих участков русла (см.
п. 4.4).
б) На стадии разворота излучины вокруг неподвижных в плане перекатных участков створы выпусков следует располагать вблизи перекатов, где плановые деформации берегов наименьшие.
в) На участке гребня переката можно располагать донный и надводный выпуски при достаточных глубинах в период наступления минимальных уровней по условиям разбавления сточных вод.
При донном выпуске магистральная труба должна быть заглублена на 1 м ниже наинизшего положения гребня переката, а устье патрубков следует располагать на 0,5 м выше наиболее высоких гребней русловых форм и на 0,5 м ниже минимального уровня воды и нижней поверхности ледяного покрова.
Надводный выпуск следует размещать в соответствии с рекомендациями
п. 4.2 в.
г) В том случае, если по условиям разбавления сточных вод или вследствие глубинных деформаций невозможно расположить выпуск на участке гребня переката, его створ смещается в начало нижней плесовой лощины или в концевую часть верхнего плеса.
На верхнем перекате (см.
рис. 9) при подходе магистральной трубы со стороны левого берега створ выпуска следует размещать в верхней части нижнего плеса, а при прокладке магистральной трубы со стороны правого берега - в нижней части верхнего плеса.
На нижнем перекате (см.
рис. 9) следует соблюдать обратный порядок размещения створов выпуска.
д) В указанных в
п. 4.5 г створах возможно расположение каждого из трех типов выпуска, но наиболее предпочтительными являются варианты надводного и внутриводного.
Выпуски рекомендуется устраивать однониточными, но двухсекционными (
рис. 10,
11). Съемная секция I должна убираться по мере размыва вогнутого берега.
Рис. 10. Схема двухсекционного надводного выпуска
на участке свободного меандрирования русла
I - съемная секция патрубков; II - резервная секция
патрубков: 1 - начальное положение русла;
2 - конечное положение русла
Рис. 11. Схема двухсекционного внутриводного выпуска
на участке свободно меандрирующего русла
I - съемная секция патрубков; II - резервная секция
патрубков; 1 - начальное положение русла;
2 - конечное положение русла
Длина резервной секции II назначается равной величине отступления берега

за время

, где
Cб - скорость смещения вогнутого берега. Время
tд назначается из условия соблюдения неравенства
tд >
Tэ, где
Tэ - расчетный срок эксплуатации выпуска.
При назначении глубины заложения магистральной трубы и устьев патрубков внутриводного выпуска необходимо соблюдать требования
п. 3.2 б.
Внутриводный выпуск в свободно меандрирующем русле может поддерживаться на понтонах (см.
рис. 11);
е) На заключительной стадии развития излучины, перед прорывом перешейка, когда плановые деформации затухают, возможно расположение выпусков вдоль всего контура излучины при соблюдении приведенных выше рекомендаций по учету деформаций русла, характеристик уровневого и ледового режимов и кинематики потока.
4.6. При незавершенном меандрировании створ рассеивающего выпуска может располагаться как в основном русле, так и в спрямляющем протоке. При выборе места створа сооружения необходимо учитывать, что основное русло и спрямляющий проток проходят в своем развитии разные стадии, свойственные разным типам руслового процесса: ленточногрядовому, побочневому, ограниченному меандрированию, свободному меандрированию
(п. 2.19).
Поэтому при проектировании выпуска следует учитывать рекомендации по его размещению и выбору конструктивного варианта в зависимости от возможности появления в пределах рассчитанного срока эксплуатации указанных типов руслового процесса (см.
пп. 4.2 -
4.5). Кроме того, не рекомендуется:
размещать створ выпуска ниже разрабатывающегося протока;
устраивать в нем в момент активной разработки в ширину спрямляющегося протока рассеивающий выпуск;
располагать выпуск в ухвостье острова.
4.7. При размещении выпуска на участке многорукавного русла следует руководствоваться следующими указаниями:
при пойменной многорукавности могут применяться все типы выпуска. Выбор конкретного типа и места размещения должен определяться типом руслового процесса в протоке и стадией его развития и производиться в соответствии с рекомендациями
пп. 4.2 -
4.6;
при осередковом типе руслового процесса внутриводный выпуск применять нецелесообразно, наибольшее предпочтение следует отдавать надводному выпуску.
Донный выпуск может устраиваться в двух вариантах:
однониточный - с длиной нитки, равной ширине реки в месте ее наибольшего сужения, при этом патрубки устанавливаются по всей длине магистральной трубы;
двухниточный - у одного берега при движении вдоль него осередков в соответствии с рекомендациями
п. 4.3.
4.8. При сооружении выпуска в зоне выклинивания подпора должны соблюдаться общие требования
п. 4.1 и рекомендации, соответствующие тому или иному типу руслового процесса (
п. 2.32 -
2.36 и
4.2 -
4.7), наблюдающемуся в конкретном месте размещения створа сооружения.
Кроме того, целесообразно применять надводный и внутриводный типы выпусков, надводный тип устраивать в верхней и средней части зоны выклинивания подпора, внутриводный - на среднем и нижнем участках зоны выклинивания подпора.
Не рекомендуется размещать выпуски на участках гребней перекатов, во второстепенных протоках, на приверхах и ухвостьях островов и осередков.
| | ИС МЕГАНОРМ: примечание. В официальном тексте документа, видимо, допущена опечатка: пункт 2.49 отсутствует. Возможно, имеется в виду пункт 2.40. | |
4.9. В нижних бьефах гидроузлов размещение рассеивающих выпусков должно производиться с учетом общих требований
п. 4.1 и рекомендаций, соответствующих конкретному типу руслового процесса, в месте расположения створа выпуска (
пп. 2.37 -
2.49 и
4.2 -
4.7). Следует также выполнять следующие требования:
в зонах суточного и недельного регулирования следует размещать надводный и внутриводный выпуски;
на приплотинном участке зоны суточного регулирования внутриводный выпуск следует располагать выше бара, образованного продуктами размыва приплотинной ямы;
надводный и внутриводный выпуски на участке зоны суточного и недельного регулирования следует располагать со стороны более устойчивого берега;
не рекомендуется располагать створы рассеивающих выпусков во второстепенных протоках на участке всего нижнего бьефа.
Выбор условий, обеспечивающих эффективное
начальное разбавление сточных вод
4.10. К числу основных факторов, определяющих эффективность разбавления сточных вод на малых расстояниях от створа выпуска, относятся:
конструкция оголовка;
способ сопряжения струй речного потока со струями выпуска;
соотношение скорости речного потока вблизи устья оголовка и скорости истечения струи выпуска.
Учет этих факторов при проектировании рассеивающих выпусков позволяет в десятки раз повысить кратность начального разбавления.
4.11. В качестве наиболее рациональных конструкций оголовков русловых выпусков рекомендуются разработанные Ленводоканалпроектом три варианта трубчатого оголовка:
со встречным конусом;
с коническим растекателем;
с коническим растекателем и кольцевыми диафрагмами.
В качестве оптимального размера оголовков всех трех конструкций рекомендуется типовой размер с наружным диаметром подводящей трубы 274 мм (см. типовой проект "Детали и узлы рассеивающих выпусков сточных вод", ГПИ Ленводоканалпроект).
4.12. Струю выпуска рекомендуется направлять в речной поток одним из следующих способов:
вертикально от дна к поверхности потока;
вертикально через свободную поверхность потока ко дну;
под углом 30° от дна к поверхности, по течению.
4.13. В зависимости от технических и мощностных характеристик сооружений рассеивающего выпуска рекомендуется применять соотношение скорости выпуска и скорости потока от 1 до 10.
Скорость истечения струи выпуска может осуществляться в двух вариантах: с пропорциональным увеличению скорости увеличением расхода струи (вариант с постоянным диаметром оголовка); с пропорциональным увеличению скорости уменьшением площади поперечного сечения устья оголовка (вариант с постоянным расходом струи выпуска).
4.14. Тот или иной вариант сочетания определяющих эффективность разбавления факторов следует принимать с учетом комплекса гидрологических условий и хозяйственной освоенности реки.
4.15. В случаях, когда по гидрологическим условиям целесообразно устройство донного или внутриводного выпуска, рекомендуются следующие варианты сброса сточных вод (см. прил. 3,
табл. 18):
при значительной скорости потока - варианты IIа и IIIа;
при малой скорости потока - вариант Iа.
Наиболее предпочтительными являются варианты I и III конструкции оголовка.
Соотношение скорости выпуска и скорости потока следует подбирать с учетом положений
п. 4.13 и в зависимости от возможной протяженности фронта рассредоточения сточных вод.
4.16. В случаях, когда по гидрологическим условиям целесообразно устройство надводного выпуска, рекомендуются варианты Iб, IIб, IIIб. Предпочтительными конструкциями оголовков в условиях малых и средних глубин (до 4 м) следует считать варианты I и III.
Вариант II конструкции оголовка предпочтителен только в случае большой глубины в створе выпуска (более 4 м), так как при этом струя выпуска, сохраняющая целостность на большем расстоянии от устья оголовка, глубже проникает в речной поток через его поверхность и более эффективно насыщает водную среду кислородом.
4.17. Варианты направления струи выпуска против течения потока не рекомендуются, так как в этом случае из-за встречного движения струи выпуска на начальном участке концентрация сточных вод непосредственно выше створа выпуска удваивается, а ниже него распределяется крайне неравномерно по сечению струи. Кроме того, при встречном варианте сопряжения струй выпуска и потока сила реакции струи выпуска складывается с силой воздействия потока на сооружение, что может привести к утрате его устойчивости.
4.18. При прочих равных условиях следует отдавать предпочтение надводному выпуску сточных вод, так как в этом случае помимо эффективного начального разбавления обеспечивается постоянная аэрация речных и сточных вод. Кроме того, само сооружение легко доступно для обслуживания, контроля и управления (например, легко осуществляется перераспределение частных расходов сточных вод в связи с сезонными изменениями структуры вторичных течений или поля осредненных скоростей).
5. РЕКОМЕНДАЦИИ ПО СТАБИЛИЗАЦИИ РУСЛА НА УЧАСТКЕ
РАЗМЕЩЕНИЯ ВЫПУСКОВ СТОЧНЫХ ВОД
Общие положения
5.1. Стабилизация русла на участке размещения выпуска должна быть направлена:
на предотвращение неблагоприятной для условий эксплуатации выпуска направленности деформаций русла и поймы;
на обеспечение необходимой по условиям разбавления сточных вод водности потока в створе выпуска на расчетный период его эксплуатации;
на повышение эффективности работы и удлинение срока эксплуатации выпусков, размещенных в соответствии с рекомендациями
пп. 4.1 -
4.18.
5.2. При разработке проекта стабилизации следует производить сравнение стоимости мероприятий по стабилизации со стоимостью сооружений выпуска. Мероприятия по стабилизации следует проводить в том случае, если доказана возможность выхода выпуска из строя по условиям руслового процесса в течение расчетного срока Tэ эксплуатации этого сооружения. В случае двукратного превышения стоимости мероприятий по стабилизации, обеспечивающих его надежную работу в течение расчетного срока Tэ, над стоимостью выпуска следует рассмотреть целесообразность возведения второго выпуска.
5.3. При проектировании системы инженерных мероприятий следует учитывать возможность активизации этой системой естественного руслового процесса в створе выпуска в неблагоприятном для его работы направлении.
5.4. В настоящих Рекомендациях не регламентируются правила проектирования инженерных мероприятий по стабилизации русла и поймы, а лишь указывается на принципиальную возможность и необходимость их осуществления. При проектировании инженерных мероприятий следует пользоваться специальными ведомственными руководствами.
Состав мероприятий по стабилизации реки
на участке размещения выпуска
5.5. В качестве мероприятий по стабилизации русла следует рассматривать следующие работы:
при ленточногрядовом, побочневом и осередковом типах процесса, развивающихся как в основном русле, так и в протоках:
крепление берега русла, к которому примыкает выпуск;
одностороннее или двустороннее стеснение русла полузапрудами;
отторжение мезоформ дноуглубительными прорезями;
при меандрирующих руслах:
крепление берега на стадии разворота свободно меандрирующей излучины в районе участков перегиба русла;
крепление излучины незавершенного меандрирующего русла на завершающей стадии их развития;
не рекомендуется крепление берега сползающих излучин;
не рекомендуется крепление берега спрямляющего протока при незавершенном меандрировании, если проток находится в активной стадии развития, а также перекрывание его на ранней стадии развития;
при многорукавных руслах:
перекрытие рукавов запрудами;
устройство дноуглубительных прорезей в рукавах;
устройство полузапруд на входах в рукава.
5.6. К числу мероприятий по стабилизации поймы следует относить:
перекрытие пойменных проток;
сохранение естественной поверхности поймы при производстве на ней строительных работ;
восстановление повреждений при строительных работах поверхности поймы.
5.7. В качестве мероприятий по обводнению участка реки в створе секции рассеивающих патрубков следует предусматривать:
отторжение мезоформ;
выполнение спрямляющих и обводнительных прорезей на участках затонских частей и на входах в рукава, где расположен выпуск;
выполнение спрямляющих или обводнительных каналов на участках пойменных массивов;
перекрытие протоков, отвлекающих расход воды;
стеснение русла полузапрудами.
РАССЕИВАЮЩИЕ ВЫПУСКИ СТОЧНЫХ ВОД НА ВОДОЕМАХ
6. РАСЧЕТ СКОРОСТИ ВЕТРОВОГО ТЕЧЕНИЯ
НА ОТКРЫТОЙ АКВАТОРИИ ВОДОЕМА И ЗАЛИВА
Приближенная оценка и уточненный расчет скорости
6.1. Общие черты циркуляции вод в водоеме в случае отсутствия данных натурных съемок течений при типовых ветровых ситуациях устанавливаются путем рассмотрения схем, представленных в
прил. 4. Аналогичные сведения для открытых широких заливов устанавливаются по схемам
прил. 4.
6.2. Установление преобладающих и маловероятных схем циркуляции вод в водоеме и заливе осуществляется на основании сведений о повторяемости типовых ветровых ситуаций или по данным о повторяемости ветров различной скорости по направлениям в репрезентативных для водного объекта пунктах метеорологических наблюдений. На основании этих сведений устанавливаются преобладающий вид ветрового течения (дрейфовое, компенсационное или дрейфовое с компенсационным) и направление преобладающего переноса вод на участке размещения рассеивающего выпуска сточных вод.
6.3. Для приближенной оценки скорости ветрового течения в поверхностном слое (в пределах 0 - 20 см) рекомендуется пользоваться ветровым коэффициентом, представляющим собой отношение скорости течения (V) к скорости ветра (W10) и в случае выражения V, см/с, а W10, м/с, показывающим, какую долю в процентах скорость течения составляет от скорости ветра (K = V/W10).
6.4. Для установившегося дрейфового течения, не искаженного влиянием стоковых и компенсационных ветровых течений, при глубинах 2 - 15 м осредненная величина ветрового коэффициента принимается равной 1,7.
6.5. В случае одновременного действия дрейфового и компенсационного течений встречного направления ветровые коэффициенты необходимо определять по
табл. 2 в зависимости от относительной глубины.
Относительная глубина  | 3 | 2 | 1,5 | 1 | 0,8 | 0,6 | 0,4 |
Ветровой коэффициент K = V/W10 | 1,05 | 1,04 | 0,98 | 0,86 | 0,77 | 0,64 | 0,48 |
При этом предполагается, что дрейфовое течение охватывает верхнюю часть вертикали (1/3 - 1/5), а компенсационное течение - нижнюю (2/3 - 4/5) и по условиям возникновения является ветровым течением.
6.6. В водоемах с глубинами более 15 м в условиях, когда дрейфовое течение охватывает не менее 1/3
H, а значения безразмерного отношения

, ветровые коэффициенты увеличиваются и приближаются к значению 1,7.
6.7. Уточненные значения скорости в поверхностном слое дрейфового течения

, м/с, охватывающем всю толщу воды, рекомендуется вычислять по формуле

(44)
где H - глубина вертикали, м;

- средняя длина волн в системе при заданной скорости и направлении ветра, м;
W10 - скорость ветра на высоте 10 м над поверхностью воды, м/с;
C =
H1/
e 
(
C - коэффициент Шези).
Значение

при расчетных скоростях ветра следует определять в соответствии с главой СНиП по нагрузкам и воздействиям на гидротехнические сооружения.
6.8. В случае совместного действия дрейфового и компенсационного течений противоположных направлений скорость в поверхностном слое

, м/с, равна

(45)
6.9. Средняя на вертикали скорость дрейфового течения, проникающего до дна, выражается формулой

(46)
а в случае совместного действия дрейфового и компенсационного течений противоположных направлений - приближенно по соотношению

(47)
6.10. Формулы (44) -
(47) применимы к открытому водоему и широким заливам в случае, если глубина укладывается в указанные выше пределы 2 - 15 м и превышает критическую глубину
Hкр:
(Hкр = 1,28h1%, где h1% - высота волны 1%-ной обеспеченности).
6.11. Кроме указанных формул для определения средней скорости дрейфового течения в открытом водоеме рекомендуется также
формула (117) А.В. Караушева. Эта формула приводит к несколько завышенным значениям скорости течения, чем
формулы (44) и
(46).
6.12. При расчетах средней скорости ветровых течений для крупных водоемов или их участков, имеющих глубины несколько десятков или сотен метров, в условиях одинаковой плотности вод по вертикали необходимо учитывать степень развития течения, поскольку его установившееся состояние достигается иногда только через несколько десятков часов непрерывного действия штормового ветра.
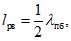
6.13. Общая продолжительность периода развития ветрового течения Tу, ч, определяется по формуле

(48)
где (
Vу)
ср - средняя на вертикали скорость установившегося ветрового течения, определяемая по
формулам (46) и
(47), м/с;
W10 - скорость ветра, приведенная к высоте 10 м над уровнем воды, м/с;
Hср - средняя глубина водоема или частично обособленного района, м;
k0 - коэффициент, равный 277.
6.14. Относительную величину средней на вертикали скорости или относительную величину элементарного расхода воды для заданного интервала времени развития течения рекомендуется определять по формуле

(49)
где (Vi)ср и qi - средние на вертикали скорость и элементарный расход ветрового течения в конце заданного интервала времени Ti;
(Vу)ср, qу и Tу - значения указанных элементов установившегося ветрового течения.
Для определения непрерывной продолжительности действия штормовых ветров различной скорости используются данные ближайшей к интересующему участку водоема репрезентативной метеорологической станции или данные Справочника по климату (ч. III, Ветер).
6.15. Характеристики ветровых течений определяются для расчетных скоростей ветра, назначаемых в соответствии с требованиями главы СНиП по нагрузкам и воздействиям на гидротехнические сооружения и классом капитальности сооружений. В ответственных случаях и при наличии необходимых сведений для участков размещения сооружений в пределах открытых акваторий водоемов и заливов желательно определять режимно-климатические характеристики ветровых и суммарных течений. Для этого можно воспользоваться рекомендациями
пп. 9.1 -
9.8.
6.16. Распределение скорости установившегося дрейфового течения, охватывающего всю толщу воды, можно получить по
рис. 12, на котором приведены безразмерные кривые

для нескольких значений относительной глубины

.
Рис. 12. Обобщенные безразмерные кривые распределения
на вертикали скорости однонаправленного ветрового течения
при различных значениях относительной глубины 
6.17. Распределение скорости установившегося ветрового течения в условиях одновременного действия дрейфового и компенсационного течений противоположного направления можно получить по обобщенной безразмерной кривой
(рис. 13), которая обеспечивает получение приемлемых результатов в диапазоне относительных глубин

.
Рис. 13. Обобщенная безразмерная кривая распределения
по вертикали скорости разнонаправленного
по глубине ветрового течения
Турбулентная вязкость в ветровых течениях
6.18. Величина кинематического коэффициента турбулентной вязкости дрейфового и компенсационного течений, охватывающих всю толщу воды, может быть выражена зависимостью

(50)
где V - средняя на вертикали скорость течения;
H - глубина;

- длина волны.
Величина

учитывает влияние волновых движений частиц жидкости на турбулизацию потока.
6.19. Средняя на вертикали величина кинематического коэффициента турбулентной вязкости, м2/с, дрейфового течения, охватывающего всю толщу воды, определяется по формуле

(51)
или

(52)
6.20. В случае совместного действия дрейфового и компенсационного течений средний на вертикали кинематический коэффициент турбулентной вязкости, м2/с, определяется по формуле

(53)
или

(54)
где

- среднее на вертикали из средних квадратических отклонений продольных пульсационных составляющих скорости ветрового течения на всех горизонтах измерения;
H - глубина;

- средняя длина ветровых волн;

- абсолютное значение средней на вертикали скорости дрейфового и компенсационного течений;

- средняя на вертикали скорость дрейфового течения, охватывающего всю толщу воды.

(55)

(56)
6.22. Располагая сведениями о средних на вертикали значениях кинематического коэффициента турбулентной вязкости и пользуясь безразмерными кривыми

(
рис. 14,
15), можно получить распределение коэффициентов
D по вертикали для различных относительных глубин

.
6.23. Кривыми
рис. 14 и
15 следует пользоваться при выборе места размещения на вертикали оголовков рассеивающих выпусков сточных вод. Кривые
рис. 14 характеризуют распределение относительной интенсивности турбулентной вязкости в дрейфовом течении, охватывающем всю толщу воды, а кривые
рис. 15 характеризуют то же явление в условиях совместного действия дрейфового компенсационного течения. Из
рис. 14 и
15 видно, что интенсивность турбулентной вязкости в поверхностном слое больше, чем в придонном слое: в 15 - 20 раз при относительных глубинах

и в 2 - 3 раза - при относительных глубинах

.
Рис. 14. Распределение безразмерных величин кинематического
коэффициента турбулентной вязкости однонаправленного
по глубине ветрового течения при различных значениях 
Рис. 15. Распределение безразмерных величин кинематического
коэффициента турбулентной вязкости разнонаправленного
по глубине ветрового течения при различных значениях 
7. УСТАНОВЛЕНИЕ ХАРАКТЕРИСТИК СТОКОВЫХ ТЕЧЕНИЙ
7.1. Сведения о стоковых течениях рекомендуется получать путем обработки и анализа материалов озерных гидрометеорологических станции, обсерваторий и специальных экспедиционных исследований. Полученные данные представляются в виде схем распределения течений по акватории, по глубине на измерительных вертикалях и в виде обобщенных режимных характеристик - повторяемости и обеспеченности скорости течения различных направлений. Для оценки стоковых течений используются материалы тех измерений, которые выполнены при штиле и слабом ветре.
Составление схем течений
7.2. Для составления схем течений материалы измерений следует предварительно сгруппировать по признаку идентичности гидрологических условий при проведении измерений: безледный период, ледостав, постоянные во времени и плавно изменяющиеся расходы притока-стока, одинаковые попуски через ГЭС, а также близкие величины наполнения водоема (отметка уровня воды), если колебания уровня значительны.
7.3. Схемы течений составляются раздельно для каждой характерной ситуации или каждого характерного периода с использованием соответствующих данных измерений, в различных пунктах акваторий и на различных горизонтах, а также с учетом внутреннего режима движения и направления переноса вод, если такие изменения существенны.
7.4. Схемы течений для каждого из выделенных горизонтов или слоев (поверхностных, глубинных, придонных) представляются в векторной форме. В тех случаях, когда расхождения направлений течения на вертикалях не превышает 20 - 30°, вычисляются осредненные параметры течения по глубине и по ним составляется единая суммарная схема течений. Схема дополняется характерными эпюрами скорости течения на репрезентативных вертикалях и краткой пояснительной запиской.
Определение обобщенных режимных характеристик течения
7.5. Обобщенные режимные характеристики стокового течения рекомендуется определять по данным длительных регулярных или эпизодических измерений течения в одних и тех же пунктах, например на рейдовой вертикали.
Измерениями должны быть освещены все сезоны года и все характерные ситуации. Общая продолжительность периода наблюдений для получения надежных характеристик течения по какому-либо пункту или горизонту должна составлять около 10 мес, при интервале между очередными измерениями, равном 6 ч, или около 3 мес при интервале между очередными измерениями, равном 2 ч.
7.6. Для каждой рейдовой вертикали определяют повторяемость течения различной скорости и разных направлений. Повторяемость означает число случаев наблюдения течения заданной скорости и заданного направления, выраженное в процентном отношении к общему числу измерений течения.
7.7. Сведения о течениях сводятся в таблицу повторяемости различных градаций скорости по секторам направлений течения, а также представляются в виде гистограммы - ступенчатого графика повторяемости различных градаций скорости течения по всем направлениям и диаграммы - кругового графика повторяемости течения по секторам направлений
(рис. 16).
Рис. 16. Гистограмма (а) и диаграмма (б) течений
в точке измерений
7.8. Путем последовательного суммирования повторяемости по градациям скорости течения в порядке убывания значений скорости вычисляется обеспеченность и затем строятся частные (для секторов направлений) и обобщенная (для всех направлений) кривые обеспеченности скорости течения.
7.9. При резко неустановившемся режиме течений в речном водохранилище в условиях ежесуточных попусков ГЭС следует выделить циклы колебаний скорости течения по данным регистрации - самописцем и для каждого цикла определить его продолжительность, среднюю и максимальную скорости. В случае чередования прямого течения с обратным указанные характеристики цикла определяются раздельно для обоих переносов. По данным длительной непрерывной регистрации течений, охватывающей основные возможные фазы режима попусков, оценивается распределение повторяемости периодов непрерывного действия течений по градациям средней и максимальной скорости и по градациям продолжительности, а также строятся кривые обеспеченности скоростей и продолжительности непрерывного действия течений каждого из основных направлений переноса.
7.10. Используя значения средней скорости и продолжительности обратных переносов вод, следует составить статистический ряд величин пути обратных перемещений водных масс на исследуемом участке водоема и рассчитать повторяемость и обеспеченность распространения сточных вод на различные расстояния от места выпуска и тем самым оценить возможность нежелательного попадания сточных вод в охраняемые районы.
7.11. При наличии данных измерений квазиустановившегося течения, охватывающих значительный диапазон расходов притока-стока, устанавливается графическая связь средней скорости течения на репрезентативной вертикали или группе вертикалей с расходом воды в замыкающем створе водохранилища
(рис. 17).
Рис. 17. Связь средних скоростей течения в пункте
наблюдений с расходами воды в замыкающих створах
Приближенная оценка скорости течения
при отсутствии данных наблюдений
7.12. В качестве ориентировочной величины скорости установившегося или квазиустановившегося стокового течения на исследуемом участке вытянутого в плане водоема принимается средняя скорость в поперечном створе, которая определяется делением расхода притока-стока на площадь живого сечения створа. Полученную величину следует считать верхним пределом скорости стокового течения для участков, расположенных вне зоны транзитного потока, где в распространении и разбавлении сточных вод основными являются ветровые, сейшевые или плотностные течения.
7.13. Среднюю скорость неустановившегося стокового течения в поперечном сечении водохранилища руслового типа при попуске ГЭС можно оценить приближенно по формуле

(57)
где g - ускорение силы тяжести;
Hср - средняя глубина водоема на участке расположения расчетного створа;

- абсолютная величина отклонения уровня воды на рассматриваемом участке от начального положения при прохождении длинной волны, вызванной попуском. Величину

следует определять по записям колебаний уровня.
7.14. Если перенос вод вызван одновременным действием двух длинных волн, распространяющихся по водохранилищу от верхнего и нижнего гидроузлов в противоположных направлениях, расчет по
формуле (57) ведется раздельно для прямой и обратной волны, а результаты расчета суммируются. Величины

в этом случае определяются отдельно для каждой волны, в период раздельного прохождения волн через рассматриваемый створ. Если такой период выделить не удается и, следовательно, не удается определить раздельно для каждой волны величину

, искомую скорость можно определить приближенно путем суммирования двух значений средних скоростей, вычисленных делением расходов попусков верхнего и нижнего гидроузлов на площадь поперечного сечения водохранилища в заданном створе.
8. РАСЧЕТ СЕЙШЕВЫХ ТЕЧЕНИЙ
Водоемы простой формы
8.1. Сейшевые течения необходимо учитывать при решении задач распространения и разбавления сточных вод наряду с ветровыми и стоковыми течениями.
8.2. Для получения надежных сведений о продолжительности действия сейшевых течений различной скорости следует пользоваться данными непрерывной регистрации течений или данными регулярных длительных наблюдений. Необходимые характеристики течений в этом случае определяются путем статистической обработки имеющихся материалов.
8.3. Приближенное значение средней скорости сейшевого течения для прямоугольного бассейна с постоянной глубиной и для водоемов с простыми плановыми очертаниями и плавным изменением глубин рекомендуется вычислять по формуле

(58)
которая с учетом выражения для периода сейши TС, с,

(59)
приводится к более простому виду

(60)
где hС - величина сейшевых колебаний уровня в пучности;
L - длина бассейна (по продольной оси);
H - глубина водоема;
g = 9,81 м/с2.
8.4. Для водоемов, отличающихся незначительно по форме и характеру подводного рельефа от прямоугольных бассейнов с постоянной глубиной, величина периода одноузловых сейшевых колебаний уровня определяется по формуле

(61)
где BС - ширина водоема в створе с площадью водного сечения FС;

- расстояние между соседними створами вдоль осевой линии.
8.5. Периоды двухузловых и трехузловых сейшевых колебаний уровня принимаются равными соответственно 1/2 и 1/3 периода одноузловых сейшевых колебаний.
Водоемы сложной формы
8.6. Для водоемов со сложной формой котловины период сейши TС необходимо определять по данным натурных наблюдений, по модельным исследованиям или вычислять по более сложным методам, рекомендуемым в специальной литературе.
8.7. Величину сейшевых колебаний уровня hС также необходимо определять по данным натурных наблюдений или приближенно принимать по аналогии с изученными водоемами-аналогами.
8.8. Распределение величины сейшевых колебаний уровня вдоль продольной оси водоема для приближенных расчетов принимается меняющимся по закону синуса или линейно от нуля в узловом створе до максимума в пучности, а более точно определяется, особенно при сложной форме водоема, по данным натурных наблюдений (при наличии достаточного числа пунктов регистрации уровня) или по модельным исследованиям.
8.9. Скорость сейшевого течения принимается уменьшающейся вдоль продольной оси водоема по закону синуса от максимума в узловом створе до нуля в пучностях, как указано в
прил. 4.
8.10. Для водоемов сложной формы распределение скорости сейшевых течений вдоль продольной оси при наличии сведений о распределении величин сейшевых колебаний уровня вычисляется по формуле

(62)
где Fс - площадь сечения водоема в расчетном створе;
(hС)ср - среднее возвышение сейшевого уровня над статическим между расчетным створом и концевым створом;
F - площадь поверхности водоема;
(BС)ср - средняя ширина водоема между расчетным и концевым створами;
fс - площадь вертикальной осевой плоскости, заключенная между сейшевым и статическим уровнями, в пределах от расчетного до концевого створов.
8.11. Необходимо учитывать, что абсолютная величина скорости сейшевого течения изменяется во времени по закону синуса, а направление меняет знак через каждую половину периода сейши TС.
Максимальная скорость сейшевого течения принимается равной
VС макс = 1,57(VС)ср. (63)
В связи с изменениями скорости и направления во времени сейшевые течения периодически замедляют или увеличивают скорость ветровых, стоковых или плотностных течений.
8.12. Все расчеты (периодов, величин колебаний, скоростей) целесообразно выполнять для одно- и двухузловых сейш, поскольку их скорости достигают наибольших величин, а в водоемах они возникают значительно чаще и оказывают большее влияние на перенос вод, чем сейши с большим числом узлов.
8.13. В водоемах сложной формы возвратно-поступательные перемещения вод при сейшах иногда приводят к возникновению циркуляционных течений. Циркуляционные течения чаще всего возникают у мысов, в местах, примыкающих к сужениям и к резким изгибам линии берега. Такие участки необходимо выявлять путем натурных измерений или модельных исследований, поскольку в циркуляционных зонах могут происходить увеличение концентраций загрязняющих воду веществ до опасных значений и перенос загрязненных вод к водозаборным сооружениям, местам отдыха трудящихся или рыбным нерестилищам.
9. РАСЧЕТ ВЕТРОВЫХ ТЕЧЕНИЙ В ЗОНЕ ПРИБРЕЖНОГО МЕЛКОВОДЬЯ
9.1. Ветровые течения в зоне прибрежного мелководья, ограниченной со стороны берега линией разбивания штормовых волн, а со стороны открытой акватории водоема - линией с глубинами, примерно равными половине длины штормовых волн

, испытывают влияние берега и дна, взаимодействуют с вдольбереговыми волновыми течениями и с течениями, формирующимися на открытой акватории водоема. Влияние перечисленных факторов проявляется в преобладании вдольберегового переноса вод по сравнению с переносом вод по нормали к линии берега (в сторону открытой акватории водоема или к берегу).
9.2. Для приближенной оценки повторяемости возможных схем переноса вод в зоне прибрежного мелководья следует пользоваться схемами течений, приведенными в прил. 4,
п. 7, и данными о повторяемости ветров различных направлений скоростью более 3 м/с. На прямолинейных участках берега формирование переноса вод по схемам прил. 4,
п. 7 осуществляется при следующих углах между направлением ветра и нормалью к направлению линии берега, град.:
схема II - 95 - 140 (см.
рис. 68 б);
На основании указанных данных определяется направление преобладающего переноса вод.
Повторяемость каждой конкретной схемы переноса вод принимается равной повторяемости ветров тех румбов, которые укладываются в диапазоны указанных углов. По результатам таких вычислений устанавливается также направление преобладающего переноса вод.
9.3. Приближенный расчет поверхностной и средней на вертикали скорости ветрового течения в зонах прибрежного мелководья небольшой ширины (0,1 - 0,3 км) производится с учетом реальной повторяемости ветров различной скорости по ветровым коэффициентам или формулам, приведенным в
пп. 6.1 -
6.23.
При наличии сведений об элементах ветровых волн среднюю на вертикали скорость ветрового течения можно вычислять также по формуле

(64)
где W10 - скорость ветра, м/с;

- средняя длина ветровых волн, м;
H - глубина на вертикали, м;

- угол между направлением ветра (откуда) и нормалью к линии берега.
9.4. Для расчета средней на вертикали скорости однонаправленного ветрового течения в зонах прибрежного мелководья шириной 0,5 - 1 км и более рекомендуется пользоваться
формулой (64) без учета синуса угла направления ветра, т.е.

(65)
9.5. Скорости ветрового течения вычисляются для всех градаций скорости ветра (через 2 - 4 м/с) по каждому из румбов, располагающихся в диапазоне углов

от 5° до 140° вправо и влево от нормали к линии берега. Повторяемость скорости течения в пределах градаций ветра каждого румба принимается равной повторяемости ветра рассматриваемой градации. На основании вычислений строятся интегральные кривые обеспеченности скоростей течения, действующих вправо и влево от нормали к линии берега, которые и используются для определения величин и повторяемостей расчетных скоростей течения.
В качестве сведений о ветрах используются данные многолетних наблюдений за безледоставные периоды, получаемые из Справочников по климату СССР Госкомгидромета (ч. III, Ветер) или путем соответствующей обработки данных наблюдений ближайшего к участку водоема метеорологического пункта.
9.6. Надежные обобщенные характеристики ветровых течений для отдельных вертикалей зоны прибрежного мелководья можно получить путем статистической обработки данных регулярных наблюдений. По таким данным определяются средние и максимальные значения скоростей течения, а также значения скоростей течения различной обеспеченности для каждого из румбов действующего ветра, обобщенные характеристики для течений, направленных вправо и влево от нормали к линии берега, а также повторяемости течений возможных направлений по градациям скоростей.
Ряды наблюдений по общей продолжительности периода и интервалам между очередными измерениями характеристик должны удовлетворять требованиям
п. 7.5.
9.7. Приближенные режимные характеристики ветрового течения в случае отсутствия данных детальных наблюдений за течениями и данных о повторяемости ветров различной скорости по направлениям можно получить по функции распределения скоростей течения и по средней скорости ветра за безледный период. Средняя (в режиме) скорость ветрового течения, соответствующая средней скорости ветра, вычисляется при этом по
формулам (64),
(65) или
(44), а скорость течения заданного процента обеспеченности определяется путем умножения средней скорости течения на коэффициент, взятый по
табл. 3.
Обеспеченность, % | 0,1 | 1 | 5 | 10 | 20 | 50 | 70 | 80 | 90 |
Коэффициент перехода  от средней скорости к скорости заданной обеспеченности | 3,77 | 2,91 | 2,23 | 1,91 | 1,54 | 0,95 | 0,6 | 0,45 | 0,26 |
9.8. Для приближенной оценки повторяемости ветровых течений по направлениям рекомендуется способ, основанный на предположениях: на внешней границе зоны прибрежного мелководья распределение ветровых течений по направлениям соответствует распределению по направлениям ветров скоростью более 3 м/с над открытой акваторией водоема; повторяемость течений вдольберегового направления увеличивается, а повторяемость течений всех других направлений уменьшается пропорционально расстоянию от единицы на внешней границе зоны до нуля на береговой границе зоны. Подробное описание этого способа и пример расчета приведены в прил. 4,
п. 7.
10. РАСЧЕТ СКОРОСТИ ВДОЛЬБЕРЕГОВОГО ТЕЧЕНИЯ
НА БЕРЕГОВОЙ ОТМЕЛИ
Расчет средней скорости вдольберегового течения
10.1. Вдольбереговые течения, возникающие на береговых отмелях под действием энергии трансформирующихся и разрушающихся ветровых волн и частично под действием касательных напряжений ветра на водную поверхность, могут осуществлять перенос разбавленных сточных вод, осуществлять размыв дна и вызывать заносимость траншей в период строительства и эксплуатации рассеивающих выпусков.
10.2. Для расчета средней скорости вдольберегового течения Vвд, м/с, на береговых отмелях шириной до 100 м рекомендуется формула

(66)
где h1% - высота волн 1%-ной обеспеченности на подходе к отмели, м;
Bо - ширина всей береговой отмели, м;
Hср - средняя глубина, м;

- параметр, зависящий от угла

между лучом волны и нормалью к линии берега, определяемый по
табл. 4;
kв - безразмерный коэффициент, принимаемый численно равным 1;
e = 2,71 - основание натуральных логарифмов.
10.3. Для отмелей шириной более 100 м (
Bо > 100 м) в расчетах предлагается учитывать дополнительно к
формуле (66) увеличение скорости течения за счет касательного напряжения ветра на водную поверхность

(67)
где W10 - скорость ветра на высоте 10 м над водной поверхностью, м/с;

- угол между направлением ветра и нормалью к линии берега.
Плановые очертания участка | Угол  , град. |
0 | 10 | 20 | 30 | 40 | 50 | 60 | 70 | 80 | 90 | 100 | 110 | 120 | 130 |
Выпуклый | 0 | 0,6 | 0,8 | 0,94 | 0,98 | 1 | 0,98 | 0,97 | 0,92 | 0,85 | 0,76 | 0,65 | 0,5 | 0,35 |
Прямолинейный | 0 | 0,6 | 0,8 | 0,94 | 0,98 | 1 | 0,98 | 0,95 | 0,9 | 0,82 | 0,7 | 0,55 | 0,35 | 0,15 |
Вогнутый | 0 | 0,6 | 0,8 | 0,94 | 0,98 | 1 | 0,98 | 0,94 | 0,87 | 0,78 | 0,64 | 0,44 | 0,1 | 0 |
10.4. Наряду с
формулами (66) и
(67) для расчетов средней скорости вдольберегового течения можно использовать формулу Института гидромеханики АН УССР (ИГМ) и
формулу (118) А.Я. Шварцман.
10.5. Формула ИГМ имеет вид

(68)
где hгл - высота волны 1%-ной обеспеченности на глубокой воде, м;
m - коэффициент откоса;
g = 9,81 м/с2 - ускорение силы тяжести;

- угол между лучом волны и нормалью к линии берега на глубокой воде, град.
10.6. Формулы (68) и
(118) приводят к несколько большим (в 1,5 - 2 раза) значениям расчетных скоростей вдольберегового течения, чем
формулы (66) и
(67), особенно существенным в диапазоне малых углов (

до 20°), и к меньшим значениям (
Vвд)
ср при больших углах

.
Распределение скорости вдольбереговых течений
по ширине береговой отмели
10.7. Для приближенной оценки распределения скоростей вдольберегового течения на отмели рекомендуется пользоваться типовыми кривыми
рис. 18, каждая из которых свойственна определенным условиям трансформации и разбивания волн.
Рис. 18. Типы распределения скорости
вдольберегового течения по ширине береговой отмели
10.8. Тип I. Одна зона повышенных скоростей

располагается в приурезовой зоне; наблюдается чаще всего в случаях, когда средняя высота глубоководных волн меньше средней глубины на отмели (
hгл <
Hср).
10.9. Тип II. Зона повышенных скоростей

располагается в пределах между центральной частью и бровкой отмели; наблюдается в случаях, когда средняя высота глубоководных волн больше или примерно равна средней глубине на отмели (
hгл >=
Hср).
10.10. Тип III. Имеются две зоны повышенных скоростей, одна из них

располагается в приурезовой зоне, а вторая

- в центральной части или у бровки отмели; наблюдается чаще всего в случаях, когда средняя высота глубоководных волн примерно равна средней глубине на отмели

, а в случаях, когда
hгл >
Hср, - при наличии нескольких (1 - 2) подводных валов на отмели.
10.11. Тип IV. Скорость течения практически не меняется в пределах отмели; наблюдается на пологих плоских (наклон 0,5 - 1,5°) и осложненных большим числом (4 - 8) подводных валов на отмелях в условиях постепенной трансформации волн или при наличии существенного влияния ветра на формирование течения.
10.12. Для перехода от поверхностей скорости вдольберегового течения к средней на вертикали предлагается пользоваться соотношением
Vвд = 0,83Vвд.пов. (69)
10.13. Распределение скорости вдольберегового течения на вертикалях береговой отмели можно получить приближенно по безразмерной эпюре
рис. 12 при значении относительной глубины

.
11. РАСЧЕТ ВЗВЕШИВАНИЯ И ВДОЛЬБЕРЕГОВОГО ПЕРЕМЕЩЕНИЯ НАНОСОВ
Средняя мутность воды
11.1. Для расчетов средней мутности воды

, кг/м
3, в зоне береговой отмели водоема предлагается пользоваться формулой

(70)
где h1% - высота ветровых волн 1%-ной обеспеченности, м;
Bо - ширина береговой отмели (между урезом и зоной разбивания волн, где

), м;

- средневзвешенный показатель продолжительности пребывания твердых частиц с предельными размерами до 0,2 мм во взвешенном состоянии

(71)
где
u1,
u2, ...,
un - гидравлическая крупность, определяемая по
табл. 5;
P1, P2, ..., Pn - содержание (в долях единицы) каждой фракции наносов в породах дна отмели;
Hср - средняя глубина в зоне береговой отмели (между урезом и границей разбивания волн).
Диаметр частиц, мм | Гидравлическая крупность u, см/с, частиц при различной температуре суспензии, град. |
5 | 10 | 15 | 20 |
0,01 | 0,0043 | 0,0049 | 0,0056 | 0,0064 |
0,015 | 0,0099 | 0,0115 | 0,0132 | 0,0149 |
0,02 | 0,017 | 0,0198 | 0,0226 | 0,0256 |
0,04 | 0,0705 | 0,082 | 0,093 | 0,106 |
0,06 | 0,159 | 0,184 | 0,212 | 0,239 |
0,08 | 0,282 | 0,324 | 0,377 | 0,424 |
0,1 | 0,441 | 0,512 | 0,588 | 0,663 |
0,12 | 0,635 | 0,737 | 0,847 | 0,956 |
0,15 | 0,99 | 1,13 | 1,325 | 1,49 |
0,2 | 1,545 | 1,711 | 1,876 | 2,042 |
0,4 | 3,785 | 3,95 | 4,116 | 4,292 |
0,6 | 6,025 | 6,191 | 6,356 | 6,522 |
0,8 | 8,265 | 8,431 | 8,596 | 8,762 |
1 | 10,505 | 10,671 | 10,836 | 11,002 |
1,2 | 12,745 | 12,911 | 13,076 | 13,242 |
1,5 | 16,105 | 16,221 | 16,436 | 16,602 |
2 | 19 | 19 | 19 | 19 |
11.2. Фракции размерами более 0,2 мм в расчете средней мутности на береговой отмели не учитываются.
Распределение мутности воды по створу береговой отмели
11.3. Распределение относительных осредненных значений мутности

по ширине пологой береговой отмели в условиях сравнительно плавного изменения скорости течения между урезом и бровкой отмели следует определять по
табл. 6 в зависимости от относительного расстояния вертикалей от уреза

.
Относительное расстояние от уреза  | 0 | 0,05 | 0,1 | 0,2 | 0,4 | 0,6 | 0,8 | 1 |
Относительная мутность  | 8 - 14 | 2,5 | 1,8 | 1,2 | 0,85 | 0,68 | 0,55 | 0,44 |
11.4. В тех случаях, когда место сосредоточенного разбивания волн приурочено к бровке отмели или к ее центральной части и совмещается с зоной повышенных скоростей, мутность у уреза следует принимать приближенно равной

(72)
а на вертикалях в зоне разбивания волн равной

(73)
Распределение мутности воды по вертикали
11.5. Приближенное распределение мутности на вертикалях в зоне береговой отмели, сложенной преимущественно песками с незначительным содержанием мелкозернистых фракций, рекомендуется определять по
табл. 7.
Относительная глубина  | Поверхность | 0,2 | 0,4 | 0,6 | 0,7 | 0,8 | 0,9 | 0,95 |
Относительная мутность воды  | 0,54 | 0,56 | 0,68 | 0,9 | 1,13 | 1,43 | 1,97 | 2,52 |
11.6. Для определения приближенной относительной величины придонной мутности (на 10 см от поверхности дна) по средней мутности на вертикали рекомендуется формула

(74)
Расчет расхода наносов через створ
11.7. При оценках вдольбереговых перемещений наносов на береговых отмелях предлагается учитывать взвешенные и донные наносы, т.е. общий расход наносов представлять в виде суммы двух расходов
R = Rвз + Rд. (75)
11.8. Расход взвешенных наносов в общем виде представляется как произведение следующих элементов

(76)
где Vвд - средняя скорость вдольберегового течения;

- средняя мутность в зоне береговой отмели;
Fс - площадь водного сечения, равная произведению ширины береговой отмели Bо или ее части, охваченной течением, на среднюю глубину Hср.
11.9. Детальный расчет расхода взвешенных наносов при ветре заданного направления и заданного диапазона скорости выполняется путем раздельного определения элементов, входящих в правую часть
формулы (76): скорости вдольберегового течения
Vвд по
формуле (66) и
(67), средней мутности

- по
формуле (70), а площади водного сечения
Fс - по профилю створа.
11.10. В случае разбивания волн у внешней границы береговой отмели сравнительно небольшой ширины (Bо < 100 м) расход взвешенных наносов Rвз, кг/с, рекомендуется вычислять по формуле

(77)
11.11. При расчете расходов наносов на береговых отмелях со значениями
Bо > 100 м среднюю скорость вдольберегового течения необходимо вычислять по
формуле (67), среднюю мутность - по
формуле (70), а
Fс, как и в предыдущем случае, принимать равной
Fс =
BоHср.
11.12. Расход донных наносов для отмелей, сложенных преимущественно песками, определяется по
табл. 8 как относительная величина расхода взвешенных наносов в зависимости от высоты ветровых волн, обусловливающих вдольбереговое течение.
Высота ветровых волн, h1%, м | 0,2 | 0,25 | 0,5 | 0,75 | 1 | 1,25 | 1,5 |
Относительная величина расхода донных наносов  | 0 | 115 | 42 | 17 | 7 | 3 | 2 |
11.13. Для определения расхода наносов вдольберегового потока R, кг/с, рекомендуются формулы Института гидромеханики АН УССР (ИГМ) и А.В. Караушева - А.Я. Шварцман.
11.14. Формула ИГМ имеет вид

(78)
где
h1% и

- высота волны 1%-ной обеспеченности и средняя длина ветровых волн, м;
d - средняя крупность донных частиц, м;
m - котангенс угла наклона профиля дна отмели к горизонту;
g = 9,81 м/с2.
11.15. Формула А.В. Караушева - А.Я. Шварцман имеет вид

(79)
Vвд - средняя скорость вдольберегового течения, определяемая по
формуле (118), м/с;
h - высота волн 10%-ной обеспеченности, м;
Hср - средняя глубина, м;
Bо - ширина всей отмели или ее части, охваченной вдольбереговым течением, м;

(80)

(81)
M = 0,7C + 6, (82)
где C - коэффициент Шези;
Гi - гидромеханический параметр, определяемый по
рис. 19, где

(83)

(84)
Рис. 19. График функции Гi = f(G, C)
Здесь c - скорость волны,
uср - средняя гидравлическая крупность взвешенных наносов.
11.16. Расходы взвешенных наносов, вычисленные по
формуле (79), превышают измеренные расходы преимущественно в 1,5 - 3 раза, а вычисленные по
формуле (78) - в 3 - 6 раз. Первые из указанных превышений можно считать допустимыми для расчетов, поскольку ошибки измерения расходов взвешенных наносов нередко могут достигать 50 - 70%, а ошибки в определении некоторых расчетных параметров
формулы (79) - 20 - 30%. Расчетные значения расходов наносов по
формуле (78) можно рассматривать как возможные предельные.
Расчет вдольбереговых перемещений наносов
и их изменчивости за длительные периоды
11.17. Формулы (76) -
(79) используются не только для расчетов расходов наносов за 1 с, но и для подсчетов массы наносов, перемещаемых через створ береговой отмели за отрезки времени любой продолжительности: отдельный шторм, месяц, сезон или безледоставный период года.
11.18. Аналогичная задача может быть решена с использованием номограммы, построенной на основании обобщения измеренных на интересующем участке расходов наносов при ветрах различной скорости и разных направлений. Пример такой номограммы показан на
рис. 20.
Рис. 20. Изменение твердого расхода (взвешенных
и донных наносов) в зависимости от скорости
ветра (W10) и его направления
11.19. Для определения перемещений наносов с использованием расчетных формул необходимо иметь следующие данные: распределение повторяемостей ветров различных градаций скорости (через 2 - 3 м/с) по всем направлениям (по 16 или в крайнем случае по 8 румбам); значения высот волн h1% на подходе к береговой отмели, соответствующие каждой градации скорости ветра по каждому из учитываемых румбов; фракционный состав пород отмели, на основании которого вычисляются гидравлическая крупность, эффективный диаметр наносов, морфометрические характеристики отмели (Bо, Hср, Fс).
11.20. На основании перечисленных сведений для каждой градации скорости ветра по каждому румбу и известной повторяемости высот волн
h1% на подходе к береговой отмели, установленных в соответствии с требованиями главы СНиП по нагрузкам и воздействиям на гидротехнические сооружения, вычисляются: средняя скорость вдольберегового течения
Vвд - по
формулам (66) и
(67); средняя мутность в зоне береговой отмели

- по
формуле (70); расход взвешенных наносов
Rвз - по
формуле (76) или
(77); количество взвешенных наносов, переносимое через створ береговой отмели при каждой конкретной градации скорости ветра за время
t, ч (
Rt =
Rвзt3,6·10
3, кг); расход донных наносов при каждой конкретной высоте волны - по данным
табл. 8.
11.21. Пример расчета количества переносимых через створ наносов при действии ветров одного направления за период, равный 9 мес, представлен в
табл. 9.
Скорость ветра W10, м/с | Обеспеченность P, % | Продолжительность t, ч | Высота волны h1%, м | Средняя скорость течения Vвд, м/с | Средний показатель взвешенных наносов  , с | Средняя мутность на отмели  , кг/с | Расход донных наносов по табл. 8 Rд, кг/с | Расход взвешенных наносов Rвз, кг/с | Rвз + Rд, кг/с | Общее количество наносов, т |
2,5 - 5 | 3,36 | 222 | 0,22 | 0,08 | 22,5 | 0,09 | - | 0,054 | 0,054 | 43,2 |
5 - 7,5 | 1,91 | 126 | 0,45 | 0,17 | 32,1 | 0,192 | 0,283 | 0,567 | 0,85 | 385,6 |
7,5 - 10 | 0,34 | 22 | 0,65 | 0,25 | 36,2 | 0,245 | 0,312 | 1,42 | 1,732 | 137,2 |
10 - 12,5 | 0,09 | 6 | 0,82 | 0,32 | 40,1 | 0,28 | 0,399 | 2,66 | 3,059 | 66,2 |
12,5 - 15 | 0,06 | 4 | 0,98 | 0,38 | 43,4 | 0,287 | 0,329 | 4,024 | 4,346 | 32,6 |
15 - 17,5 | 0,01 | 0,7 | 1,14 | 0,44 | 45,8 | 0,357 | 0,272 | 6,911 | 7,187 | 18 |
Всего: | | 712,8 |
Примечание: При расчетах

; ширина береговой отмели (30 - 74 м) и средняя глубина (0,28 - 0,57 м) увеличиваются с увеличением высоты волны; обеспеченность различных градаций скорости, %, указана от общей продолжительности безледоставного периода (9 мес).
Аналогичные вычисления выполняются для тех направлений ветра, при действии которых на береговой отмели рассматриваемого участка возникают вдольбереговые течения и осуществляется перенос наносов вправо и влево от створа.
11.22. При наличии номограммы, подобной номограмме на
рис. 20, значения расходов наносов (за секунду, час или сутки) для ветров различной скорости по каждому направлению определяются по соответствующим кривым или путем интерполяции между кривыми, а величины перемещений наносов за заданные периоды - путем умножения снятых с кривых расходов на продолжительность действия ветра каждой рассматриваемой градации скорости. В результате этого отпадет необходимость вычисления параметров волн, характеристик наносов, скоростей течения, морфологических характеристик береговой отмели и т.д.
11.23. Продолжительность требуемого расчетного периода (шторм, месяц, сезон, безледоставный период года) определяется исходя из основных задач расчета. Для оценки заносимости прорези небольших размеров, например при прокладке подводящего трубопровода рассеивающего выпуска, количество перемещаемых наносов определяется для периода строительства, который может быть равным 1 - 2 мес. Для оценки заносимости больших прорезей или оценки накопления наносов у сооружений, прерывающих вдольбереговой поток наносов, расчеты выполняются для отдельных сезонов или для всего безледоставного периода. При этом для расчетов могут использоваться средние многолетние данные о повторяемости ветров различных градаций скоростей или данные за конкретные периоды каждого года.
11.24. В случаях вычислений перемещений наносов с использованием данных о повторяемости ветров различных градаций скорости по направлениям за конкретные сезоны каждого года или ряд последовательных лет, а не осредненных многолетних значений по данным расчетов устанавливаются величины сезонной или межгодовой изменчивости перемещений наносов. На основании таких сведений определяется возможная наибольшая и наименьшая заносимость сооружений, а также возможные величины перемещения наносов вправо и влево от створа
(рис. 21).
Рис. 21. Изменение по годам вдольбереговых
перемещений наносов
1 - суммарное; 2 - вправо; 3 - влево от створа
Распределение интенсивности перемещения наносов
по ширине береговой отмели
11.25. Для получения представлений о распределении расходов взвешенных наносов по ширине береговой отмели при заданных условиях рекомендуется использовать типовые кривые относительных элементарных расходов

, представленные на
рис. 22. Они по виду подобны типовым эпюрам распределения скорости вдольберегового течения, но характеризуются отличительными признаками.
Рис. 22. Типы распределения относительных
элементарных расходов взвешенных наносов
по ширине береговой отмели (I - IV)
11.26. Тип I. Максимум
r приурочен к приурезовой зоне и обычно в 2 - 4 раза превышает осредненные значения элементарных расходов. От зоны максимума
r резко убывает до нулевых значений на границе наката волн на пляж и более плавно - по направлению к бровке отмели (см.
рис. 22, кривая
I). На береговых отмелях незначительной ширины с большими уклонами дна такое распределение расходов наблюдается как при слабых, так и при сильных штормах, а на пологих широких отмелях - только при слабых штормах, когда зона разбивания волн и зона наибольших скоростей вдольберегового течения располагаются в приурезовой зоне.
11.27. Тип II. Максимум
r располагается в центральной части береговой отмели или у ее бровки и по величине превышает осредненные значения
r в 1,5 - 3 раза (см.
рис. 22, кривая
II). Такое распределение
r наблюдается на береговых отмелях средней и большой ширины в условиях значительных штормов, когда зона разбивания волн и зона повышенных скоростей располагаются в центральной части или у бровки береговой отмели.
11.28. Тип III. Две отчетливо выраженные зоны повышенной интенсивности вдольберегового перемещения наносов со значениями

, одна из которых располагается в приурезовой зоне, а вторая - в центральной части отмели (см.
рис. 22, кривая III). Такое распределение наблюдается на береговых отмелях с отчетливо выраженным подводным валом, а на плоских береговых отмелях - при наличии двух зон повышенных скоростей вдольберегового течения, совмещенных с зонами разбивания волн.
11.29. Тип IV. Примерно одинаковые значения элементарных расходов на большей части ширины береговой отмели и плавное уменьшение их в приурезовой зоне и у внешней границы береговой отмели (см.
рис. 22, кривая
IV). Такое распределение чаще всего наблюдается на очень пологих широких береговых отмелях, особенно в условиях постепенной трансформации волн в пределах от внешней границы отмели до уреза.
11.30. Распределение осредненных относительных величин элементарных расходов на пологих береговых отмелях за длительный период, например какой-либо сезон года или весь безледоставный период, рекомендуется определять по
табл. 10.
Относительное расстояние от уреза  | 0 | 0,1 | 0,2 | 0,3 | 0,4 | 0,5 | 0,6 | 0,7 | 0.8 | 0,9 | 1 |
Относительная величина элементарного расхода  | 0,2 | 1,18 | 1,57 | 1,62 | 1,55 | 1,27 | 0,9 | 0,7 | 0,55 | 0,36 | 0,1 |
Оценка аккумуляции наносов в прорези
11.31. Таблицей 10 рекомендуется пользоваться также для определения относительного распределения объемов аккумуляции наносов в прорези, пересекающей всю отмель и заканчивающейся у уреза.
11.32. Для прорезей с поперечными размерами в несколько десятков метров, которые пересекают береговые отмели шириной 100 - 150 м и простираются в пределы суши, относительное распределение объемов аккумуляции наносов рекомендуется определять по
табл. 11.
Относительное расстояние от уреза | -1 | -0,8 | -0,6 | -0,4 | -0,2 | 0 | 0,2 | 0,4 | 0,6 | 0,7 | 1 |
Относительный объем аккумуляции наносов | 0 | 0,9 | 1,55 | 1,9 | 1,8 | 1,4 | 1 | 0,7 | 0,45 | 0,25 | 0,05 |
11.33. В прорезях, пересекающих береговые отмели, откладывается часть наносов, переносимых вдольбереговыми течениями, причем тем большая часть, чем больше относительная глубина прорези

(
Hп - средняя глубина, измеренная от поверхности воды до дна прорези;
Hср - средняя глубина воды над береговой отмелью, примыкающей к прорези).
11.34. Коэффициент аккумуляции наносов
aн, представляющий собой отношение величины отложившихся в прорези наносов
Rа к общему количеству наносов
Rt, перемещающихся вдоль берега через створ береговой отмели, рекомендуется определять по
табл. 12. Она составлена на основании данных Института гидромеханики АН УССР по заносимости каналов на береговых отмелях водохранилища преимущественно песчаными породами и данных П.Б. Шаповалова по заносимости морских каналов песчано-илистыми и илистыми породами. В связи с этим по ней можно получить приближенные величины аккумуляции наносов в прорезях, поперечные размеры которых примерно на два порядка превышают среднюю глубину на береговой отмели.
Относительная глубина прорези | 1 | 1,2 | 1,4 | 1,6 | 1,8 | 2 | 2,2 | 2,6 | 3 |
Коэффициент аккумуляции наносов | 0 | 0,25 | 0,4 | 0,5 | 0,6 | 0,67 | 0,73 | 0,87 | 0,98 |
12. ОЦЕНКА ОБРАТИМЫХ ВЫСОТНЫХ ДЕФОРМАЦИЙ ДНА
НА БЕРЕГОВЫХ ОТМЕЛЯХ
Местоположение зон высотных деформаций
12.1. Обратимые высотные деформации дна происходят как на береговых отмелях, находящихся в стадии формирования (на водохранилищах), так и на береговых отмелях, достигших в своем развитии стадии относительного динамического равновесия (на озерах).
12.2. Высотные деформации дна обусловливаются размывающим действием ветровых волн, потоками наката и ската, а также вдольбереговыми и компенсационными течениями. Под действием этих факторов формируются и перемещаются различные аккумулятивные образования, осуществляются выносы материала размыва из приурезовой зоны к внешнему склону или переносы в обратном направлении.
12.3. Величина высотных деформаций дна зависит от интенсивности волновых колебательных движений и переносных течений, от величины колебаний уровня, степени связности пород и уклона дна береговой отмели.
Наибольшие обратимые высотные деформации в условиях незначительных колебаний уровня наблюдаются в приурезовой зоне береговой отмели и пляжа. Деформации уменьшаются от максимума в приурезовой зоне до нулевых значений на границе наката волн на пляж и на вершине внешнего склона береговой отмели.
Оценка высотных деформаций приурезовой зоны
12.4. Для ориентировочной оценки сезонных высотных деформаций приурезовой зоны береговых отмелей различной крутизны при высоте штормовых волн (
h1%), достигающих на глубокой воде 1,5 - 2,5 м, и различных величинах колебаний уровня рекомендуется использовать
табл. 13.
Уклон дна береговой отмели | Порода дна | Высотные деформации, м, при сезонных величинах колебаний уровня, м |
< 0,25 | 0,5 | 1 | 1,5 | 2 |
0,1 - 0,2 | Пески разнозернистые | 1,2 | 1,5 | 1,7 | 2 | 2,5 |
Лессовидные суглинки | 0,4 | 0,5 | 0,7 | 1 | 1,4 |
0,01 - 0,05 | Пески разнозернистые | 0,8 | 1 | 1,3 | 1,6 | 1,8 |
0,02 - 0,08 | Лессовидные суглинки | 0,3 | 0,5 | 0,6 | 0,8 | 1 |
0,003 - 0,006 | Пески разнозернистые | 0,2 | 0,3 | 0,5 | 0,6 | 0,8 |
Лессовидные суглинки | 0,2 | 0,2 | 0,3 | 0,4 | 0,5 |
12.5. В случае сложного геологического строения береговой отмели и при наличии сезонных изменений уровня до нескольких метров высотные деформации дна необходимо определять более детально, с использованием данных наблюдений или метода прогноза по
пп. 13.1 -
13.11.
Оценка высотных деформаций центральной части
береговой отмели
12.6. Высотные деформации на широких

и пологих (уклон 0,01 - 0,005) береговых отмелях в условиях незначительных сезонных изменений уровня (до 1 м) рекомендуется определять по высоте формирующихся на дне подводных валов в зависимости от уклона дна и высоты ветровых волн.
12.7. Изменение высоты подводных валов, определяющих высотные деформации на береговых отмелях с уклонами дна около 0,01 при различной высоте штормовых волн, представлено на
рис. 23 сплошными кривыми. Верхние пунктирные кривые соответствуют уклонам дна 0,02, а нижние - уклонам 0,005. Снятые по кривым
рис. 23 величины высотных деформаций для различных глубин над гребнями валов необходимо откладывать вниз и вверх от осредненной линии дна створа, ориентированного по нормали к берегу, как показано на
рис. 24.
Рис. 23. Зависимость высоты подводного вала от глубины
над его гребнем при различных высотах волн и уклонах дна
Рис. 24. Контуры призмы высотных деформаций, обусловленных
перемещением подводных валов
1 - профиль дна; 2 - средняя линия дна; 3 - граница
деформаций за счет переформирования валов; 4 - границы
деформаций приурезовой зоны; 5 - результирующий контур
призмы деформаций
Определение общего контура высотных деформаций
береговой отмели
12.8. На профиле расчетного створа с нанесенными контурами высотных деформаций дна за счет перемещения подводных валов (см.
п. 12.7) откладывается также величина деформаций приурезовой зоны, принимаемая по
табл. 13.
12.9. Величина деформации приурезовой зоны откладывается в точке уреза вниз от среднего уровня воды (С
рУВ) и вверх от низкого уровня воды (НУВ), как показано стрелками на
рис. 24. Затем оконтуривается вся призма деформаций от границы наката волн на пляж, где высотные деформации равны нулю, до точки с максимальной величиной деформаций в центральной части береговой отмели и далее до нулевых деформаций на внешней границе береговой отмели (см.
рис. 24).
12.10. В случае длительного стояния уровня на высоких отметках полученные контуры призмы деформаций необходимо сместить влево вдоль профиля дна и вверх до новой отметки уровня и оконтуривать призму дополнительных деформаций и результирующую призму деформаций, как показано на
рис. 25. Нижняя огибающая результирующей призмы деформаций используется для решения вопросов заглубления на береговой отмели подводящей трубы рассеивающего выпуска, поскольку она показывает предельные величины размывов по створу береговой отмели.
Рис. 25. Контуры высотных деформаций дна береговой отмели
при длительном стоянии уровня на высоких отметках
1 - осредненный профиль; 2 - контуры призмы деформаций;
3 - контуры призмы дополнительных деформаций;
4 - результирующий контур высотных деформаций
12.11. Контур призмы высотных деформаций дна на створе можно получить также путем совмещения профилей последовательных промеров и нивелировок, если ими охвачены все основные фазы гидрометеорологического режима водоема и практически весь диапазон изменений уровня в безледоставный период. Пример определения высотных деформаций дна таким способом показан на
рис. 26.
Рис. 26. Границы контура высотных деформаций дна береговой
отмели (стрелки), проведенные по предельным отметкам
совмещенных профилей
13. ПРОГНОЗ БЕРЕГОВЫХ ДЕФОРМАЦИЙ НА ВОДОХРАНИЛИЩАХ
Общие положения
13.1. При образовании водохранилища путем создания в реке подпора в положении берегов оказываются склоны надпойменных террас или иных геоморфологических элементов речной долины. В новых условиях существования, под действием новых активных природных факторов эти склоны теряют ранее присущую им устойчивость и разрушаются. Главным активным фактором береговых переформирований является ветровое волнение. Под его воздействием вырабатывается пологая береговая отмель, частично врезанная в разрушаемый склон, частично аккумулированная из материалов разрушения
(рис. 27). В пределах со временем увеличивающейся береговой отмели происходят перестройка волн и частичное гашение их энергии. Когда отмель достигает размеров, при которых рассеивается вся волновая энергия, способная разрушать береговой склон, переформирование берега завершается. Содержащиеся в разрушенном склоне глинистые, пылеватые частицы и органические примеси переносятся течениями за границы береговой отмели. Аккумулятивная часть отмели формируется из отсортированного песка и гальки и по размерам уступает размерам разрушенной породы.

Рис. 27. Схема береговой отмели

- объем разрушения;

- объем аккумуляции;
d - внешний
край береговой отмели; H0 - глубина размывающего действия
волны;

- сработка водохранилища;
B0 - ширина береговой отмели;
L0 - смещение береговой линии; c - f - криволинейный участок
профиля; f - d - прямолинейный участок профиля
13.2. При проектировании рассеивающих выпусков на водохранилищах с незавершенным циклом формирования берегов необходимо иметь прогноз этого процесса на срок существования сооружения. Составление такого прогноза сводится к последовательному решению следующих задач:
расчет волнового режима водохранилища применительно к рассматриваемому участку берега;
расчет профиля предельной (устойчивой) береговой отмели и расположения ее относительно существующего разрушаемого берегового склона;
прогноз береговой отмели и ее расположения на заданный срок.
Расчет волнового режима водохранилища
применительно к заданному участку берега
13.3. Расчет волнового режима заданного участка берега водохранилища включает две последовательно решаемые задачи: определение ветрового режима района водохранилища и на основании этого - определение волнового режима участка берега.
Исходный материал для определения ветрового режима водохранилища можно получить в Справочнике по климату СССР (ч. III, Ветер) Госкомгидромета. Для использования этого материала в волновых расчетах требуются его соответствующий отбор и переработка.
Помесячные сведения о повторяемости
pW ветра определенной градации скорости
W и определенных направлений

по восьми румбам, полученные на основе четырехразовых наблюдений и приводимые непосредственно в
табл. 7 справочника, выражаются в процентах от числа замеренных скоростей в данном месяце. Повторяемость штилей
p0 приводится дополнительно также помесячно в отдельной таблице в процентах от полного числа наблюдений в данный месяц.
Для волновых расчетов необходимы сведения о ветрах только четырех наветренных румбов
(рис. 28), и повторяемость ветра данной градации скорости и данного румба необходимо иметь в процентном выражении от полной продолжительности безледоставного периода, содержащего несколько полных и два неполных (первый и последний) месяца, или от полного числа наблюдений за этот период, включая и штили. Для этого данные
табл. 7 по всем месяцам пересчитываются по формуле

(85)
где nбл - полное число наблюдений за данный месяц или за безледоставную его часть;

- полное число наблюдений за весь безледоставный период.
Рис. 28. Расположение румбов и углов подхода
относительно
береговой линии (пример)
Полученные значения

, выражающие повторяемость в данный месяц ветра данной скорости и направления и отнесенные ко всему безледоставному периоду, затем суммируются по всем месяцам. Пример подробного пересчета данных Справочника по климату СССР приводится в прил. 6,
п. 1.
13.4. Показания повторяемости ветра, приводимые в таблицах Справочника, отображают степень защищенности данной метеостанции, которая оценивается условным шифром. Для перехода от показаний этих станций к условиям открытого водоема необходимо введение поправочного коэффициента, значение которого колеблется практически от 1,3 до 3. При неосуществимости специального анализа всех имеющихся материалов по ветру рекомендуется ориентироваться в волновых расчетах на одну из станций района, имеющую наименьшую защищенность, вводя к показаниям поправку 1,5.
13.5. Волновой режим различных участков берега водохранилища не одинаков, поскольку он помимо режима ветра, практически одинакового для всего водохранилища, в большой степени зависит от ориентации береговой линии по сторонам горизонта и от величины разгонов и профиля дна (глубин) на разгонах по основным наветренным румбам.
Местные особенности волнового режима участка берега выражаются волновыми характеристиками, которые по четырем наветренным румбам выражают в графической форме связь между высотой волны и скоростью ветра. Расчет высоты волны
h для заданной скорости ветра выполняется на основе существующих расчетных методов, из которых можно рекомендовать метод Браславского как наиболее приспособленный к условиям водохранилищ. Образец волновых характеристик приведен в прил. 6,
п. 2 на
рис. 82.
13.6. Используя волновые характеристики участка берега, сведения о повторяемости ветра различных направлений и различных градаций скорости, отнесенные ко всему безледоставному периоду, пересчитывают на соответствующие повторяемости и обеспеченности высот волн. Пример такого пересчета применительно к условиям
примера 1 прил. 6, п. 1 приведен в
табл. 23. При использовании материалов
прил. 6 градации скорости ветра приводятся с поправкой на защищенность станции в соответствии с
п. 13.4 настоящих Рекомендаций.
Связь высоты волны
h с ее обеспеченностью получает четкое графическое выражение, если на графике вместо непосредственно обеспеченности
P откладывать lg
P (рис. 29). Кривая, проведенная по четырем натурным точкам, хорошо аппроксимируется следующим аналитическим выражением:

(86)
Здесь lg
P1 соответствует
h1 = 0 и определяется по графику;

, где

- угол наклона касательной к эмпирической кривой в точке
h1; lg
P1 также определяется по графику; показатель параметра параболы
a вычисляется по формуле

(87)
в которой

;

; lg
P2 относятся к обеспеченности волны наибольшей высоты, полученной по натурным наблюдениям. Примеры построения зависимости lg
P =
f(
h) для разных румбов приведены в
прил. 6.
Рис. 29. Эмпирическая связь между высотой волны h
и логарифмом ее обеспеченности lgP по четырем точкам
натурных наблюдений. Значения h2 и lgP2 относятся к верхней
предельной натурной точке. Значения lgP1, относящиеся
к h1 = 0, снимаются с графика
Обеспеченность Pт наибольшей волны, наблюдаемой один раз за T лет, определяется по формуле

(88)
Высота этой волны может быть получена для каждого из румбов или непосредственно из графиков lg
P =
f(
h) или вычислена по
уравнению (86), решенному относительно
h. Пример такого расчета с выделением значения
h наибольшего из всех румбов приведен в
табл. 24 прил. 6.
13.7. Элементарное количество энергии dЭ, переносимое в течение года волнами всех направлений, лежащих в интервале высот dh, включающем высоту hi, равно

(89)
где Tбл - полная продолжительность безледоставного периода, ч;

- угол подхода волн
j-го румба;
Pij - плотность вероятности появления волны
hi направления

. Эта вероятность вычисляется по формуле

(90)
в которой
a и

те же, что и в
формуле (86). На
рис. 30 приведен примерный график зависимости

, а также суммирующая кривая

для всего диапазона значений
h, взятых через равные интервалы

. Для перехода к полной энергии
Э, приносимой в течение года волнами всех размеров и всех направлений и отнесенной к единице протяженности береговой линии, приведенную выше

, следует умножить на коэффициент


(91)
Рис. 30. Распределение волновой энергии по высотам волн
1 - дифференциальное; 2 - суммарное
Пример построения графика энергии и определения полной энергии
Э приведен в
примере 2 прил. 6, п. 3.
Прогноз береговых деформаций на заданный срок
13.8. Прогноз береговых деформаций на заданный срок требует предварительного определения размеров и положения береговой отмели, находящейся в предельной стадии развития.
Профиль устойчивой береговой отмели (см.
рис. 27) схематически разбивается на два участка. Верхний - криволинейный, распространяющийся в глубину от нормального подпорного уровня до глубины
H0, равной размывающему действию расчетной волны и прямолинейного продолжения, простирающегося далее в глубину на величину

, равную величине сработки уровня водохранилища в течение безледоставного периода. При совмещении горизонтальной оси координат
x с линией нормального подпорного уровня и вертикальной оси
y, направленной вниз, криволинейная часть профиля описывается уравнением

(92)
Прямолинейный участок профиля имеет уклон, который характеризуется отношением

(93)
Отсюда получаются следующие выражения для ширины криволинейного Bок и прямолинейного Bоп участков береговой отмели:

(94)
Входящие в эти уравнения коэффициенты

и

определяются через эмпирически установленные характерные уклоны отмели - уклон на урезе воды
iур и условный уклон отмели
iо - и выражаются зависимостями

(95)
Величина этих уклонов зависит от крупности отсортированного материала, из которого формируются соответствующие участки отмели. Эти крупности определяются исходя из фракционного состава, суммарно характеризующего породы, слагающие разрушаемый откос. Из полной кривой фракционного состава исключаются фракции диаметром меньше 0,05 мм, поскольку эти фракции уносятся течениями в виде мути и не участвуют в формировании отмели. Оставшиеся фракции в процентном выражении определяют коэффициент аккумуляции, т.е. отношение объема аккумулятивной части отмели к полному объему разрушения. Средние из 10% наиболее крупных оставшихся фракций определяют уклон
iур, средние из 30% наименее крупных оставшихся фракций определяют уклон
iо. Эмпирически принятые значения этих уклонов, соответствующие крупностям фракций, приведены в прил. 6,
п. 4.
Уклон внешнего подводного края отмели

(участок
d -
e на
рис. 27) рекомендуется принимать равным 0,5. Надводный склон (участок
a -
c на
рис. 27) не должен приниматься более пологим, чем ранее естественно сформировавшийся. В предварительных расчетах рекомендуется для песков и несвязных пород принимать

, для связных грунтов

. В сложных случаях - при очень высоких склонах, при возможности образования оползней - к решению вопроса о надводном склоне должны привлекаться специалисты по механике грунтов.
Положение полученного расчетом профиля отмели относительно первоначального естественного профиля берегового откоса определяется путем такого графического совмещения профилей, который соответствует ранее определенному коэффициенту аккумуляции. Пример расчета конечной стадии берегового переформирования приведен в прил. 6,
п. 5.
13.9. При выборе высоты расчетной волны
h, по которой определяется глубина размывающего действия
Hо, в практических расчетах не следует учитывать действие наиболее высоких волн, суммарная энергия которых в результате редкой их повторяемости составляет несущественную часть общего волнового энергетического баланса. В качестве расчетной рекомендуется принять высоту волны
h, ограничивающую на волновом энергетическом графике (см.
рис. 30) область высоких волн, суммарная работа которых составляет 5% общей работы волн.
Глубина размывающего действия Hо волны высотой h может определяться по приближенной формуле
Hо = 0,64harsh8,1h. (96)
Для упрощения расчетов приводится
табл. 14:
h, м | 0,5 | 1 | 1,5 | 2 | 2,5 | 3 | 3,5 | 4 |
Hо, м | 0,68 | 1,72 | 3 | 4,35 | 5,8 | 7,3 | 8,85 | 10,4 |
Несколько большую точность дает график зависимости величины
Hо от высоты волны
h, в котором учитывается степень устойчивости частиц, формирующих внешний край отмели
(рис. 31). Значения показателя устойчивости для различной крупности отложений приводятся в прил. 6,
п. 4.
Рис. 31. График зависимости величин Hо и h
13.10. Прогнозирование береговых деформаций на заданный срок основывается на следующих положениях:
а) состояние процесса определяется показателем
n <= 1, который выражает отношение мгновенной ширины отмели
bn к предельной ширине
Bо. При всех значениях показателя
n глубины в конце криволинейного участка профиля и на внешнем крае отмели остаются неизменными и равными соответственно
Hо и

, ширины же этих участков в состоянии
n принимаются равными
bок = nBок; bоп = nBоп. (97)
Положения отмели в состоянии
n относительно начального берегового профиля получаются графическим совмещением профилей с соблюдением условия аккумуляции
(рис. 32). Этим способом устанавливается связь между объемом разрушения

и стадией развития отмели, которая может быть выражена соответствующим графиком
(рис. 33);
б) в пределах развивающейся береговой отмели происходит частичная потеря волновой энергии Э, поступающей в течение года к ее внешнему краю. Эти потери принимаются пропорциональными относительной ширине отмели n. Тогда количество годовой энергии э, расходуемой на разрушение берегового откоса, равно
э = Э(1 - n); (98)
в) на переработку 1 м
3 породы, слагающей береговой откос, требуется затратить

т/м
2 волновой энергии. Сопротивляемость волновому воздействию различных пород весьма различна и зависит не только от свойств породы, но и от того, находится ли порода в ненарушенном состоянии или волна перерабатывает верхние слои откоса, обрушившиеся в результате подмыва их основания. Значения коэффициента сопротивляемости пород

в их ненарушенном и нарушенном состоянии, установленные на основе существующего опыта, приведены в прил. 6,
п. 6. В расчет следует вводить средневзвешенное значение

, рассчитанное по всему береговому склону, с отнесением к ненарушенным породам нижние 1,5 - 2 м склона.
Рис. 32. Стадии развития береговой отмели
Рис. 33. График зависимости
от 
13.11. Из указанного выше следует, что увеличению ширины отмели от
b1 до
b2, т.е. переходу отмели из состояния
n1 в состояние
n2, соответствует объем разрушения в относительном выражении
m2 -
m1 (см.
рис. 33). Количество энергии, потребное для этого разрушения, равно

, т. Средняя годовая работа (т/год) волн при этом состоянии отмели

или

(99)
Для получения нужного количества энергии при приведенной годовой подаче потребуется

лет. Отсюда следует

(100)
или

(101)
Суммарную продолжительность от начального состояния отмели
n = 0 до любого другого значения
n можно получить путем деления всего промежутка от 0 до
n на элементарные интервалы и последующим суммированием соответствующих значений

. Пример такого расчета приведен в
прил. 6.
В случае, когда зависимость

от
n может быть представлена аппроксимирующим аналитическим выражением, суммирование значений

может быть заменено интегрированием. Если, в частности, принять эту зависимость линейной, т.е. полагать

, то
уравнение (101) примет вид

(102)
или, переходя к бесконечно малым интервалам,

(103)
После интегрирования получаем

(104)
Решаем это уравнение относительно n

(105)
Заменим

и из последнего уравнения получим

(106)
14. РАЗМЕЩЕНИЕ РАССЕИВАЮЩИХ ВЫПУСКОВ В ВОДОЕМЕ И ВЫБОР
ОПТИМАЛЬНЫХ ВАРИАНТОВ ИХ КОНСТРУКЦИЙ
Выбор мест размещения рассеивающих выпусков
14.1. Выбор мест размещения рассеивающих выпусков осуществляется в соответствии с основными требованиями, предъявляемыми к выпускам сточных вод (см.
пп. 1.1 -
1.19), с учетом всех элементов гидрометеорологического режима водоема и динамики береговой зоны участка и с учетом ожидаемого разбавления сточных вод.
14.2. При соблюдении основных требований, предъявляемых к выпускам сточных вод, предпочтение отдается участкам, на которых основные элементы гидрометеорологического режима, морфология и условия производства строительных работ характеризуются следующими факторами:
колебания уровня незначительны по величине и не приводят к существенным изменениям ветрового волнения, течений, динамических процессов на береговой отмели, не создают затруднений строительству и эксплуатации сооружений;
ветровой и волновой режимы, а также режим течений меняются по сезонам года незначительно и благоприятствуют удовлетворительному разбавлению сточных вод и переносу загрязняющих воду веществ на такие участки водоема, где они не приводят к вредным последствиям и не вызывают затруднений в хозяйственном использовании водоема;
термический и ледовый режимы не создают значительных затруднений эксплуатаций сооружений и разбавлению сточных вод в периоды стратификации, шугообразования и ледостава;
геологическое строение берега не способствует возникновению оползней, просадок, выветривания, карста, суффозии и других геодинамических процессов;
плановые переформирования берега и высотные деформации дна не создают затруднений строительству и эксплуатации сооружений и не потребуют дополнительных средств на берегоукрепительные работы;
вдольбереговые перемещения наносов не вызывают значительной заносимости прорези для укладки подводящей трубы выпуска и заносимости оголовков выпуска;
строительные мероприятия и установленные конструкции выпуска не вызовут ощутимых изменений динамических процессов на береговой отмели, пляже и береговом уступе;
глубины, уклоны дна и породы, которыми сложено дно в зоне береговой отмели и в зоне прибрежного мелководья, не создают затруднений строительству и эксплуатации сооружений;
участок размещения выпуска удален на безопасное расстояние от мест рекреации, рыбных нерестилищ, бытовых и промышленных водозаборов, судоходных трасс и не оказывает отрицательного влияния на их сохранность и работу;
протяженность подходного надводного и подводного участков трубопровода не слишком велика;
наличие удобных и достаточных по размерам площадок для производства монтажных работ на берегу водоема и для укладки подводной части выпуска в прибрежной зоне.
14.3. На водоемах с извилистыми или расчлененными берегами и с меняющимися вдоль берега глубинами предпочтение по условиям разбавления сточных вод следует отдавать соответственно мысовым участкам и участкам приглубого берега, которые не защищены со стороны водоема островами, мелководьями и другими препятствиями.
14.4. На водохранилищах речного типа створ выпуска располагают на устойчивых или слабо деформируемых участках, где затопленное русло реки не подвергается занесению наносами и размывам, но подходит возможно ближе к берегу, а на затопленной пойме нет стариц, рукавов, высоких прирусловых валов, торфяных массивов и застойных зон. Глубины над затопленной поймой вполне доступны для производства строительных работ.
Выбор мест размещения рассеивающей части выпуска
14.5. Место размещения рассеивающей части выпуска сточных вод выбирается с учетом основных требований, предъявляемых к выпускам, и требований
пп. 14.2 -
14.4 к выбору мест размещения выпуска на береговом участке водоема.
14.6. Рассеивающую часть выпуска следует ориентировать по нормали к изобатам в местах, где зона больших глубин располагается возможно ближе к берегу.
14.7. На отмелом берегу с отчетливо выраженной береговой отмелью рассеивающую часть выпуска следует располагать за пределами прогнозируемой на заданный период эксплуатации сооружений границы перемещения внешнего склона береговой отмели (
рис. 34 а).
Рис. 34. Схемы размещения рассеивающих выпусков сточных вод
различных типов (а - е)
14.8. На отмелом берегу, где береговая отмель плавно сопрягается с прибрежным мелководьем, рассеивающую часть выпуска следует располагать на глубине, большей 1,5
Hкр (
Hкр - критическая глубина первого обрушения волн, определяемая главой СНиП по нагрузкам и воздействиям на гидротехнические сооружения). Критическую глубину следует определять относительно низкого уровня воды в водоеме (
рис. 34 б).
14.9. На водохранилищах речного типа с затопленной поймой рассеивающую часть выпуска следует располагать в непосредственной близости к затопленному руслу (
рис. 34 в), но в удалении от островов и подводных мелей, замедляющих перенос вод и ухудшающих перемешивание сточных вод. Нежелательно размещать выпуск в зоне выклинивания подпора, где возможны деформации русла и заносимость его наносами.
14.10. На мысовом участке приглубого (
H >
Hкр) берега со скальным уступом или уступом, сложенным трудноразмываемыми породами, допускается размещение рассеивающей части выпуска в непосредственной близости к урезу и подводной части уступа берега, как показано на
рис. 34 г -
е. Трубу с выпускными оголовками при этом необходимо ориентировать, как и на отмелых берегах, примерно по нормали к изобатам.
Выбор типа рассеивающего выпуска
14.11. На водоемах, как и на реках, рекомендуется использовать следующие типы рассеивающих выпусков сточных вод: донный, надводный и внутриводный.
14.12. Донный выпуск рекомендуется сооружать на отмелых участках берега, где рассеивающую часть выпуска необходимо размещать за бровкой береговой отмели: в зоне прибрежного мелководья, на подводном склоне или на затопленной речной пойме. Верх подводящей трубы выпуска в пределах пляжа, приурезовой зоны и береговой отмели при этом необходимо заглублять до отметок на 0,5 м меньших, чем отметки предельных величин глубинных деформаций дна.
14.13. Рассеивающая часть донного выпуска заглубляется под уровень дна на 0,5 м ниже его поверхности, укладывается на естественный грунт, на подготовку из каменной наброски или устанавливается на бетонных опорах - в зависимости от глубины, пород дна, интенсивности волновых и ледовых воздействий, возможности механических повреждений, конструкции рассеивающих оголовков, интенсивности занесения наносами и других явлений.
14.14. Укладка рассеивающей части выпуска на грунт рекомендуется в случаях ее размещения на глубинах, превышающих половину длины штормовых волн

, в условиях достаточно прочных или скальных пород дна, а также в случаях ожидаемого незначительного занесения трубы наносами и при отсутствии ледовых и других видов механических воздействий на конструкции сооружения.
14.15. Укладка рассеивающей части выпуска на подготовку из каменной наброски, на бетонные плиты или на опоры рекомендуется в тех же случаях, что и в
п. 14.14, но при условии относительно слабых пород, подверженных просадкам при наличии нагрузок. Если в створе выпуска возможны сползание, просадки или сплывание пород дна, то труба с рассеивающими оголовками укладывается на сваи, которые заглубляются на требуемую величину в прочные и неподвижные породы подстилающих горизонтов.
14.16. Надводный тип рассеивающего выпуска рекомендуется сооружать на приглубом мысовом участке берега со скальным отвесным надводным уступом (см.
рис. 34 г), где строительство выпусков других типов невозможно или нецелесообразно по условиям глубин, грунтов дна, по разбавлению и выносу сточных вод за пределы береговой зоны или по другим показателям.
14.17. Рассеивающие оголовки надводного выпуска устанавливаются на отметках, превышающих не менее чем на 0,5 - 0,7 м отметки вершин штормовых волн при расчетном нагонном уровне воды на данном участке водоема (см.
рис. 34 г).
14.18. Внутриводный рассеивающий выпуск (см.
рис. 34 д,
е) рекомендуется сооружать на мысовых приглубых или очень глубоких участках берега, где по условиям и большинству признаков нецелесообразно или невозможно сооружение выпуска другого типа.
14.19. Рассеивающая часть внутриводного выпуска укладывается на подводные опоры (см.
рис. 34 д) или подвешивается к заякоренным подтопленным понтонам (см.
рис. 34 е) - в зависимости от общей глубины прибрежной зоны участка, пород дна, глубины расположения скачка температуры в теплый период года, условий волновых и ледовых воздействий и других характеристик.
14.20. Укладка рассеивающей части внутриводного выпуска на опорах рекомендуется на участках берега с глубинами 10 - 25 м как при наличии прочных, так и при наличии слабых, подверженных просадкам и сползанию пород дна (см.
рис. 34 д).
14.21. Подвеску рассеивающей части внутриводного выпуска к заякоренным подтопленным буям рекомендуется применять в прибрежных зонах участков с глубинами более 20 м, где затруднено или нецелесообразно строительство опор.
Выбор конструкции рассеивающих оголовков
и места их размещения по глубине
14.22. В качестве рассеивающих элементов выпусков сточных вод на водоемах рекомендуются преимущественно насадки простой конструкции - цилиндрические и конические, а также отверстия и щели в рассеивающей части трубы.
14.23. Конструкция рассеивающих оголовков выпусков выбирается с учетом типа выпуска, места и глубины размещения рассеивающей части, а в некоторых случаях - также с учетом подачи сточных вод с горизонтов со слабым перемешиванием на горизонты с интенсивным перемешиванием вод, которые устанавливаются на основании сведений о распределении кинематических коэффициентов турбулентной вязкости на вертикали согласно
рис. 14 и
15.
14.24. Устройство отверстий или щелей в трубе рекомендуется в случае, когда рассеивающая часть выпуска (донного или внутриводного) размещается в слое, охваченном волновыми колебательными движениями и ветровым течением с присущими ему пульсациями скорости.
14.25. Конструкция оголовков, обеспечивающих выбросы сточных вод на возможно большее расстояние от трубы выпуска, используется в случаях, когда горизонт установки рассеивающей части выпуска не совпадает со слоями наилучшего естественного перемешивания вод в водоеме и струи сточных вод приходится направлять в эти слои под действием гидродинамического напора в системе выпуска.
14.26. В случае размещения выпусков в зоне прибрежного мелководья на глубинах, незначительно (в 1,5 - 2,5 раза) превышающих критическую глубину первого обрушения волн, для донных выпусков, заглубленных под уровень дна, рекомендуются цилиндрические или конические насадки простейшей конструкции, основным назначением которых является предотвращение заносимости и заиления выпусков наносами, а не обеспечение лучшего начального разбавления сточных вод. Для донных выпусков с рассеивающей частью, уложенной на дно, на подготовку из каменной наброски или на бетонные плиты, рекомендуются отверстия или щели в трубах, поскольку насадки любой конструкции не улучшают разбавления сточных вод, накапливающихся в зоне выпуска в периоды отсутствия переносных течений.
14.27. В качестве рассеивающих оголовков в выпуске надводного типа (см.
рис. 34 г) рекомендуется использовать цилиндрические насадки с коническим растекателем и кольцевыми диафрагмами. Оголовки этой конструкции обеспечивают хорошую аэрацию сбросов и высокую степень разбавления сточных вод в поверхностном слое водоема при наличии переносных течений (ветровых, сейшевых, стоковых).
14.28. Оголовки внутриводных выпусков (см.
рис. 34 д,
е) следует размещать вблизи слоев с интенсивным ветроволновым перемешиванием вод или на горизонтах (примерно 10 - 15 м от поверхности воды в крупных водоемах), с которых возможна подача струй сточных вод в хорошо перемешиваемые слои как в периоды равномерной плотности вод водоема, так и в периоды возникновения стратификации плотности по глубине. Рекомендуются цилиндрические и конические оголовки. Конструкция оголовков выбирается с учетом расстояния по вертикали между горизонтом установки оголовков и хорошо перемешиваемыми слоями.
МЕТОДЫ РАСЧЕТА РАЗБАВЛЕНИЯ СТОЧНЫХ ВОД В РЕКАХ И ВОДОЕМАХ
15.1. Определение условий отведения сточных вод в водотоки и водоемы основывается на расчетах разбавления, позволяющих оценивать соответствие показателей состава и свойств воды водного объекта на заданном расстоянии от выпуска сточных вод нормативам, предусмотренным правилами по санитарной охране.
15.2. Основными факторами, ведущими к интенсификации процесса разбавления сточных вод, сбрасываемых через рассеивающие выпуски, являются увеличение ширины фронта рассеивания и увеличение скорости их истечения.
15.3. Наиболее общим показателем интенсивности разбавлений сточных вод в потоке является кратность разбавления n0, которая связана с концентрацией загрязняющих веществ следующей зависимостью:

(107)
где cст, cмакс, ce - соответственно концентрации лимитирующего вещества в сточных водах, в максимально загрязненной струе в рассматриваемом створе и в воде водного объекта.
15.4. Формирующаяся в районе выпуска область загрязнения по особенностям гидродинамического процесса разбавления разделяется на две зоны - начального (с кратностью разбавления nсн) и основного разбавления (кратность nсо). Общий эффект разбавления в пределах двух зон составляет
nс = nснnсо. (108)
15.5. Задачей расчета разбавления является определение значений максимальных концентраций загрязняющих веществ cмакс на различных расстояниях от выпуска. Сопоставление cмакс с предельно допустимой концентрацией (ПДК) нормируемого ингредиента позволяет сделать вывод о возможности или невозможности сброса сточных вод в рассматриваемый водный объект, дать рекомендации о необходимости изменения объема и состава сточных вод. При наличии в воде водного объекта нескольких веществ с одинаковым лимитирующим показателем вредности (ЛПВ) величина cмакс сопоставляется с нормативами качества воды по соотношению

15.6. Максимальная концентрация консервативного лимитирующего вещества в потоке ниже выпуска сточных вод изменяется в пределах cст >= cмакс > cn, где cn - средняя концентрация того же вещества в потоке на любом расстоянии от выпуска. При этом для створа полного перемешивания и всех расположенных ниже него створов cn выражает истинное значение концентрации загрязняющего вещества. Для створов, находящихся между створом выпуска и створом полного перемешивания, величина cn является условной, характеризующей среднее значение концентрации вещества в рассматриваемом створе.
Величина cn определяется из уравнения баланса вещества

(109)
где Q и Qст - соответственно расход воды потока и расход сточных вод;
cст и ce - концентрация загрязняющих веществ в сточных водах и в водном объекте до выпуска сточных вод.
15.7. При выполнении расчетов используются приведенные значения концентрации, выражаемые в превышениях над фоном ce. Для получения действительной концентрации расчетная величина c суммируется с фоновой.
15.8. Предлагаемые расчетные зависимости записаны в форме, позволяющей рассчитывать концентрации консервативных загрязняющих веществ.
При сбросе в водный объект неконсервативных загрязняющих веществ учет процесса их трансформации осуществляется по зависимости

(110)
где cкон и cнач - концентрация загрязняющего вещества в рассматриваемой точке соответственно с учетом и без учета трансформации вещества;
kн - коэффициент неконсервативности, который находят по соответствующим таблицам, составленным для ограниченного числа веществ (работы В.Т. Каплина);

- расчетный интервал времени.
15.9. Рассматриваемые расчетные методы предполагают равенство расходов сточных вод, поступающих в водные объекты из каждого оголовка рассеивающего выпуска.
Исходные данные для расчета разбавления в реках
16.1. Расход воды в реке Q и отвечающие этому расходу характеристики потока - площадь живого сечения F, скорость течения V, ширина B и глубина H потока, уклон водной поверхности I - средние для рассматриваемого участка. В качестве расчетного принимается расход воды 95%-ной обеспеченности.
16.2. Коэффициент Шези
C. При наличии измеренных уклонов его величина вычисляется по формуле

(111)
и при отсутствии данных об уклонах - по формуле

(112)
где
dэ - эффективный диаметр частиц донных отложений, мм, соответствующий 50%-ному значению крупности частиц по гранулометрической кривой.
Формула (112) представлена в виде номограммы
(рис. 35).
Рис. 35. Номограмма 
Если расчет выполняется для условий ледостава, то в
формулах (111) и
(112) средняя глубина
H заменяется гидравлическим радиусом
Rг, который вычисляется по зависимости

(113)
где F - площадь живого сечения потока, м2;

- смоченный периметр, м.
16.3. Кинематический коэффициент турбулентной вязкости (коэффициент турбулентной диффузии), являющийся основным параметром при расчете перемешивания в потоках, вычисляется по формуле

(114)
где
g - ускорение силы тяжести, равное 9,81 м/с
2; параметры
M и
N находят по
табл. 15 в зависимости от
C.
C | 10 | 15 | 20 | 25 | 30 | 35 | 40 | 45 | 50 | 55 | 60 | 65 | 70 |
M | 13 | 16,5 | 20 | 23,5 | 27 | 30,5 | 34 | 37,5 | 41 | 44,5 | 48 | 48 | 48 |
N | 13,3 | 25,2 | 40,8 | 59,9 | 82,6 | 109 | 139 | 172 | 209 | 250 | 294 | 318 | 343 |
16.4. Поперечная составляющая скорости течения Vz вычисляется по формуле

(115)
где R - радиус кривизны русла, взятый как средняя величина для участка реки, расположенного непосредственно ниже места выпуска сточных вод и включающего 1 - 2 излучины;
N - безразмерное характеристическое число, вычисляемое по формуле

(116)
Параметр
N является функцией коэффициента Шези и может быть определен по
табл. 15.
Исходные данные для расчета разбавления в водоемах
16.5. Эффективный диаметр донных отложений (dэ) определяется для водоемов как диаметр, ограничивающий на графике гранулометрического состава грунта 10% наиболее крупных частиц.
16.6. План участка водоема в изобатах.
16.7. Средняя по вертикали и для участка скорость ветрового (дрейфового) течения V за пределами зоны волноприбоя вычисляется по формуле

(117)
W2 - скорость ветра, м/с, на высоте 2 м над водной поверхностью;
h - высота волны, м, 1%-ной обеспеченности, средняя для рассматриваемого участка
(рис. 36).
C | 10 | 20 | 30 | 40 | 50 | 60 | 70 | 80 | 90 | 100 |
k102 | 0,1 | 0,18 | 0,27 | 0,34 | 0,42 | 0,5 | 0,55 | 0,6 | 0,64 | 0,68 |
Рис. 36. Номограмма для определения средней скорости
ветрового течения
При выполнении расчетов для зоны волноприбоя скорость течения, средняя в этой зоне, может быть вычислена по формуле

(118)
(рис. 37). Для пользования номограммой достаточно знать отношение глубины на линии разрушения волн
Hр к ширине зоны волноприбоя
Bср, значение коэффициента Шези, высоту волны перед разрушением
h и угол подхода волн к берегу

(острый угол между лучом волны и нормалью к линии уреза). Высота волны берется 10%-ной обеспеченности. Глубина на линии разрушения волн определяется по соотношению
Hр = 1,3
h.
Рис. 37. Номограмма для определения средней скорости
волнового вдольберегового течения
16.8. Коэффициент турбулентной диффузии
D при слабом ветровом волнении вычисляется по той же зависимости, что и для рек, по
формуле (114).
Для расчетных случаев, отвечающих наличию на поверхности водоема ветрового волнения, кинематический коэффициент турбулентной вязкости вычисляется по формуле

(119)
где cф - фазовая скорость волн, м/с;
V - среднее по вертикали значение абсолютной величины переносной скорости течения, которое находится по данным измерений или вычисляется по
формуле (117), м/с;
fо - эмпирический коэффициент, ориентировочно принимаемый равным 700;

;
dэ - эффективный диаметр донных отложений, мм.
Фазовая скорость волн находится по формуле

(120)
применяемой для глубокой воды, т.е. при

, где

- длина волны, м; или по формуле

- (121)
для мелкой воды. В последней зависимости Hср - средняя глубина в рассматриваемой зоне, м;
h - высота волны 1%-ной обеспеченности, м.
Высоты и длины волн находятся по данным измерений или рассчитываются в соответствии с главой СНиП по определению нагрузок и воздействий на гидротехнические сооружения.
17. РАСЧЕТ НАЧАЛЬНОГО РАЗБАВЛЕНИЯ
17.1. При сбросе сточных вод в реки и в зоны устойчивых однонаправленных течений водоемов расчет начального разбавления выполняется по формулам Н.Н. Лапшева. Исключение составляют случаи сброса через трубчатые оголовки со встречным конусом, коническим растекателем, а также с коническим растекателем и кольцевыми диафрагмами (см.
п. 17.8).
17.2. Кратность начального разбавления в нестесненной струе вычисляется по формуле:
| | ИС МЕГАНОРМ: примечание. Формула дана в соответствии с официальным текстом документа. | |

(122)
где
dз - диаметр загрязненной струи в замыкающем створе зоны начального разбавления, который находится из соотношения

(

- расстояние между соседними оголовками выпуска);
- относительная величина диаметра загрязненной струи, вычисляемая по равенству

(
dов - диаметр оголовков);

(
Vрв - скорость истечения сточной жидкости из оголовков).
Рис. 38. Номограмма для определения начального
разбавления в потоке
17.3. Кратность начального разбавления в стесненной струе (dз > H) находится по зависимости

(123)
Рис. 39. График для расчета функции 
17.4. Длина зоны начального разбавления вычисляется по зависимости

(124)
17.5. Расход смеси сточных и чистых вод в замыкающем створе зоны начального разбавления (расчетный створ) для одного оголовка находится по формуле
qсм = nснqст. (125)
17.6. Средняя концентрация лимитирующего вещества в загрязненной струе на расстоянии Lнр от выпуска вычисляется по равенству

(126)
17.7. Максимальная концентрация лимитирующего вещества на оси загрязненной струи в замыкающем створе зоны начального разбавления находится по соотношению

(127)
где
cср, как и в
формуле (126), - средняя концентрация вещества в загрязненной струе.
17.8. В случаях, если конструкции выпусков соответствуют приведенным в
прил. 3, расчет следует выполнять по
табл. 18.
18. ДЕТАЛЬНЫЙ МЕТОД РАСЧЕТА РАЗБАВЛЕНИЯ
18.1. Детальный метод расчета разбавления разработан А.В. Караушевым и применяется в случае, когда необходимо получить распределение концентраций загрязняющих веществ во всей области распространения сточных вод в водном объекте. Метод используется для расчета разбавления в реках и водоемах при сбросе сточных вод в зоны устойчивых однонаправленных течений и дает стационарное поле концентрации. Теоретические основы метода изложены в прил. 7,
п. 1.
При выводе расчетных зависимостей принято, что плотность сточной жидкости мало отличается от плотности воды, а расход сточных вод и концентрация лимитирующего вещества в них постоянны во времени.
18.2. При расчете детальным методом вся изучаемая область потока ниже створа выпуска сточных вод разделяется на равные прямоугольные параллелепипеды объемом

каждый (ось
x направлена по течению, ось
y - от водной поверхности к дну, ось
z - аппликата, направленная поперек течения; центр координат располагается в месте нахождения центрального выпуска сточных вод). Схема деления в плоскости
y0z показана на
рис. 40, где вычерчены две плоскости, находящиеся на расстоянии

одна от другой. Очевидно, что расстояния между центрами тяжести соседних параллелепипедов в направлении осей
x,
y, z будут соответственно

,

,

. Расчет выполняется по концентрациям в центрах тяжести выделенных параллелепипедов.
Рис. 40. Сетка к расчету турбулентной диффузии.
Пространственная задача
18.3. Расчетная зависимость для получения пространственного стационарного поля концентрации имеет вид

(128)
где c - концентрация загрязняющих веществ, мг/л или г/м3;
k, n, m - положение расчетного параллелепипеда соответственно на осях x, y и z.
Расстояние между расчетными сечениями находится из соотношения

(129)
где

- поперечный размер расчетного параллелепипеда,
a = 4;
D - кинематический коэффициент турбулентной вязкости, м
2/с, который вычисляется для рек по
зависимости (114), для водоемов - по
зависимости (119). При расчете принимается

.
Площадь расчетного параллелепипеда при решении пространственной задачи на первоначальном этапе расчета вычисляется из равенства

(130)
полученного при условии, что скорость сточных вод
Vрв, сбрасываемых в водный объект, на очень коротком участке пути становится равной скорости течения
V в реке или водоеме в районе сброса. В
формуле (130) i - число расчетных параллелепипедов в начальном сечении загрязненной струи,
qст - расход сточных вод, сбрасываемых из одного оголовка,

(
j - число оголовков), должно быть не менее четырех. Начальные условия, в том числе и количество начальных клеток
i, для всех оголовков берутся одинаковыми. При любом изменении числа параллелепипедов в начальном сечении не должно нарушаться условие неразрывности в отношении массы сбрасываемого и переносимого потоком вещества. На последующих этапах расчета поперечные размеры клеток могут укрупняться, увеличиваются соответственно и их продольные размеры.
18.4. Расчетная зависимость, позволяющая вычислить распределение концентрации загрязняющих веществ по длине и ширине потока (плановая, или, иначе, плоская задача), записывается в виде

(131)
При расчете по
уравнению (131) вся изучаемая область потока или водоема делится на прямоугольные параллелепипеды, объемы которых равны

, где
Hср - средняя глубина в рассматриваемой области. При пользовании
формулой (131) предполагается, что уже вблизи от выпуска сточные воды равномерно распространяются по всей глубине
Hср.
Расстояния между расчетными сечениями определяются по
формуле (129) при
a = 2. Схема расположения расчетных клеток для этого случая приведена на
рис. 41. Площадь расчетной клетки в поперечном сечении потока определяется из равенства

(132)
Рис. 41. Сетка к расчету турбулентной диффузии.
Плоская задача
В последней формуле i должно быть не менее 2.
18.5. Граничные условия при решении пространственной задачи
(п. 18.3) записываются в виде

(133)
При выполнении расчета по схеме плоской задачи (см.
п. 18.4) используется граничное условие

(134)
Учет граничных условий осуществляется путем введения в расчеты экстраполяционных значений концентрации. Расчетная сетка и поле концентрации условно распространяются за ограничивающие поток поверхности. При этом экстраполяционные значения концентрации в клетке, примыкающей к внешней поверхности стенки
cэкстр (см.
рис. 41), и значение концентрации
c1 в клетке, примыкающей к внутренней поверхности стенки на том же поперечнике, должны удовлетворять
условию (133) при решении пространственной и
условию (134) при решении плоской задачи, что возможно только в случае, если
cэкстр = c1, (135)
где
c1 - концентрация загрязняющего вещества в потоке в клетке, примыкающей к граничной поверхности. Экстраполяционные значения концентрации используются в расчете по
формулам (128) и
(131) так же, как и реальные значения (см.
рис. 41).
18.6. Начальные условия учитываются при заданных месте выпуска сточных вод, расходе сточных вод и концентрации загрязняющих веществ в них. Начальный поперечник (x = 0) проводится через створ поступления сточных вод. Предполагается, что концентрация вещества, поступающего из каждого оголовка, равномерно распределена по сечению загрязненной струи в начальном створе. Концентрация лимитирующего вещества в расчетных клетках начального створа, занятых загрязненными водами, принимается равной концентрации того же вещества в сточных водах. Наиболее удобно выполнять расчет в превышениях над фоном ce, т.е. в приведенных концентрациях cпр = c - ce. Концентрация сточных вод также приводится cст.пр = cст - ce. Для удобства расчета концентрацию вещества в сточных водах (истинную или приведенную) обычно принимают за 100%. Получаемые по расчету значения концентраций оказываются при этом выраженными в процентах от cст (или cст.прив). Окончательные результаты находят путем перехода от процентов к истинным значениям c.
18.7. Если размеры клеток получаются очень малыми, то расчет с первоначальным делением потока на элементы ведется до определенного створа, в котором загрязняющее вещество окажется распределенным в 20 - 50 клетках. После этого клетки в сечениях объединяют по 2 - 4 (плоская задача) или по 4 - 9 (пространственная задача). Получают новые средние концентрации в укрупненных клетках и новые их линейные размеры. Новые значения концентрации находятся как среднее арифметическое из суммы концентраций в объединенных клетках, размеры которых увеличиваются соответственно в 2 - 3 раза (пространственная задача) или в 2 - 4 раза (плоская задача). Величина

после укрупнения рассчитывается по формуле

(136)
где
- число, показывающее, во сколько раз увеличено значение

после объединения клеток.
18.8. При равенстве расходов сточных вод, сбрасываемых через каждый из оголовков рассеивающего выпуска, и равенстве расстояний между ними расчет разбавления до створа слияний струй выполняется для одной струи. Начиная от створа слияния струй вычисления производятся для зоны, расположенной между двумя соседними выпусками и ограниченной осями двух соседних струй.
18.9. Расчет по изложенному выше методу целесообразно выполнять в следующем порядке: для участка от створа выпуска до створа слияния струй, выходящих из соседних оголовков, расчет разбавления выполняется для одной струи по схеме пространственной задачи в соответствии с
п. 18.3; ниже створа слияния струй (после того, как загрязненные воды распространяются по всей глубине потока) расчет разбавления ведется в соответствии с
п. 18.4 (по схеме плоской задачи).
Переход от пространственной задачи к плоской осуществляется следующим образом: конечный створ расчета в условиях пространственной задачи является начальным для последующего расчета в условиях плоской задачи; клетки укрупняются так, чтобы их размеры

оказались равными глубине потока
H; концентрация загрязняющего вещества в каждой расчетной клетке для условий плоской задачи вычисляется как среднее арифметическое из концентраций в соответствующих расчетных клетках, занимавших всю глубину потока в расчетном сечении. Полученные концентрации служат начальными для расчета в условиях плоской задачи. Пример расчета приведен в прил. 7,
п. 2.
18.10. Если разница между скоростью истечения сточной жидкости из оголовка и скоростью течения в водотоке или водоеме в районе сброса оказывается значительной (
Vрв >= 4
V), необходимо учесть влияние начального разбавления (см.
пп. 17.1 -
17.8).
Последнее достигается путем включения nсн в формулы для расчета начальных условий, которые в данном случае записывают:

(137)

(138)

(139)
где cпр - концентрация лимитирующего вещества в замыкающем створе зоны начального разбавления.
В этом случае замыкающий створ зоны начального разбавления является начальным створом для дальнейшего расчета детальным методом. При определении расстояния до любого расчетного створа необходимо учитывать протяженность зоны начального разбавления. Так, при определении расстояния до створа с заданной концентрацией лимитирующего вещества полученная по расчету детальным методом протяженность зоны до этого створа суммируется с длиной зоны начального разбавления. Если выполняется расчет концентрации в створе, расположенном на заданном расстоянии от выпуска, протяженность зоны, для которой должны производиться вычисления детальным методом, определяется как разность заданного расстояния и расстояния до замыкающего створа зоны начального разбавления.
18.11. В результате расчета можно получить распределение концентрации лимитирующего вещества в каждом последующем сечении по заданному ее распределению в предыдущем сечении и выделить зону с концентрациями, превышающими любое заданное значение c, например cПДК.
18.12. Для расчетов разбавления загрязняющего вещества по методу А.В. Караушева с помощью ЭВМ предлагается программа, текст которой дается в прил. 7,
п. 3. Программа разработана для расчета разбавления по схеме плоской задачи. Расходы сточных вод, сбрасываемых через каждый из оголовков рассеивающего выпуска, предполагаются одинаковыми, расстояния между оголовками - равными между собой. Расчет выполняется в приведенных концентрациях, концентрация загрязняющих веществ в сточных водах принимается равной 100%.
19. УПРОЩЕННЫЕ МЕТОДЫ РАСЧЕТА РАЗБАВЛЕНИЯ В РЕКАХ
Расчет максимальных концентраций
на лимитирующих расстояниях от выпуска
19.1. Предлагаемая ниже расчетная зависимость получена М.А. Бесценной и применяется для расчета максимальной концентрации загрязняющих веществ в струе, выходящей из центрального оголовка рассеивающего выпуска (
cмакс.цс).
19.2. Расчетная зависимость имеет вид

(140)
где
Здесь x - лимитирующее расстояние, принимаемое равным 100 и 500 м, от створа выпуска;

- расстояние между оголовками рассеивающего выпуска;
cпс - средняя концентрация в струе, вычисляемая по формуле

(141)
19.3. Формула (140) применима на участке от створа выпуска до створа, где водные массы из области, лежащей за пределами фронта рассеивания, достигают центра загрязненной струи. Расстояние до этого створа (
x') определяется из условия

(142)
где Lф - длина рассеивающей части выпуска.
Если лимитирующее расстояние превышает
x', весь расчет выполняется детальным методом (см.
пп. 18.1 -
18.12).
Выбор длины рассеивающей части выпуска
19.4. Для выбора длины рассеивающей части выпуска, обеспечивающей заданную кратность разбавления
nс на расстоянии 100 м от выпуска, применяется номограмма зависимости
nс от двух переменных

и
(рис. 42).
Рис. 42. Номограмма nс 
19.5. Если требуемая кратность разбавления должна быть обеспечена на расстоянии 500 м от выпуска, то указанная номограмма применяется только при

.
20. УЧЕТ ИЗВИЛИСТОСТИ РЕК ПРИ РАСЧЕТАХ РАЗБАВЛЕНИЯ
20.1. Учет извилистости потоков при расчетах разбавления осуществляется путем введения к кинематическому коэффициенту турбулентной вязкости
D поправочного множителя
Kобщ, позволяющего учитывать влияние таких факторов, как поперечная циркуляция и кинематическая неоднородность потока, вызванная неравномерностью распределения глубин. При этом
формула (114) для вычисления кинематического коэффициента турбулентной вязкости приобретает вид

(143)
Величина
Kобщ зависит от поперечной циркуляции и пульсационной скорости, а также от неравномерности распределения глубин на участке. Учет влияния поперечной скорости осуществляется через безразмерную величину

. Величина
Vz вычисляется по
формуле (115);
w - среднее значение абсолютной величины поперечной составляющей пульсационной скорости - находится по зависимости

(144)
Неравномерность распределения глубин учитывается посредством параметра

, вычисляемого по формуле

(145)
где Hмакс.ср - максимальная из средних по створам глубин на рассматриваемом участке потока;
Hср - средняя глубина на этом участке;
Рис. 43. Номограмма 
20.2. При определении кратности разбавления по графику
рис. 42 извилистость учитывается введением величины
Dиспр =
DKобщ в
формулу (116) безразмерного характеристического числа турбулентного потока

(146)
20.3. При расчете максимальных концентраций на лимитирующих расстояниях от выпуска (см.
пп. 19.1 -
19.5) по
формуле (140) извилистость учитывается посредством коэффициента извилистости реки

, который вычисляется по формуле

(147)
где lфарв - длина рассматриваемого участка реки по фарватеру;
lпр - расстояние по прямой между начальным и конечным створами того же участка.
Коэффициент извилистости

вычисляется для участка реки, расположенного непосредственно ниже выпуска и включающего 1 - 2 излучины. При расчете концентрации в 100 и 500 м от выпуска на больших реках вычисление коэффициента извилистости не производится, и он принимается равным единице.
21. РАСЧЕТ РАЗБАВЛЕНИЯ НА РАЗВЕТВЛЕННЫХ УЧАСТКАХ РЕК
21.1. При разветвлении русла на рукава (протоки) расчет разбавления выполняется детальным методом, изложенным в
разд. 18 (по схеме плоской задачи). Вычисления ведутся для каждого рукава реки отдельно, получаемые поля концентрации соединяются в местах слияния рукавов, и далее ведется расчет всего поля концентрации.
21.2. Вычисления проводятся по участкам, границы которых приурочиваются к местам соединения или разъединения потоков.
21.3. Для выполнения расчетов необходимо знать распределение расходов воды по протокам.
21.4. Определение числа расчетных клеток в сечении потока при переходе от участка к участку (в данном случае при слиянии рукавов или разделении на рукава) производится в соответствии с распределением расхода воды по рукавам по формуле

(148)
где Qj, ij - соответственно расход воды и число расчетных клеток в протоке;
Q и i - суммарный расход воды всей реки в целом и число расчетных клеток в любом ее сечении.
22. МЕТОДЫ РАСЧЕТА РАЗБАВЛЕНИЯ В ВОДОЕМАХ
Расчет установившегося разбавления (установившегося
распределения концентраций)
22.1. Для расчета разбавления сточных вод, сбрасываемых в водоемы через рассеивающие выпуски в зонах однонаправленных течений, применяется метод расчета, изложенный в
пп. 18.1 -
18.12. В случае значительного различия между скоростью течения в водоеме и скоростью струи, выходящей из оголовка, расчет выполняется указанным методом с учетом начального разбавления (см.
пп. 17.1 -
17.8).
Исходные данные для расчета при отсутствии измерений получаются по зависимостям, принятым для водоемов и приведенным в
п. 16.2.
Расчет неустановившегося разбавления
22.2. Приведенный ниже метод разработан Н.Н. Лапшевым и применяется при эпизодических сбросах для получения величин наибольшей концентрации в зоне начального разбавления в случае отсутствия или почти полного отсутствия течения в районе сброса. Необходимые условия применения: скорость истечения сточных вод
Vрв >= 2 м/с, расположение выпуска в некотором удалении от берега и относительная глубина в месте устройства выпуска

, где
dов - диаметр выпускного отверстия.
22.3. Расчетная формула для определения разбавления в наиболее загрязненной струе на расстоянии x от выпуска имеет вид

(149)
где Aрв - параметр, определяющий изменение разбавления при применении рассеивающего выпуска;

- параметр, зависящий от степени проточности водоема и нагрузки сточных вод на него;
aв - параметр, зависящий от глубины водоема в месте выпуска. Величина Aрв вычисляется по формуле

(150)
где

- расстояние между оголовками выпуска.
Значение

вычисляется по соотношению

(151)
где V - скорость течения в водоеме, м/с.
Значение параметра aв находится по формуле

(152)
Параметр aв всегда меньше 1 или равен 1; в случае, если по расчету получается aв > 1, принимают aв = 1.
Расчет неустановившегося разбавления в удалении от выпуска
22.4. Предлагаемый ниже расчетный метод разработан А.В. Караушевым и применяется в условиях отсутствия или почти полного отсутствия практически заметных течений в водоеме для выпусков, имеющих сравнительно небольшую длину фронта рассеивания, т.е. в случаях, когда выпуск с небольшой погрешностью можно рассматривать как сосредоточенный.
22.5. Расчетные уравнения записаны в общем виде для неконсервативных загрязняющих веществ (kн - коэффициент неконсервативности). Для распадающихся веществ в приводимых ниже расчетных формулах коэффициент kн следует брать отрицательным (kн < 0). При расчетах распространения консервативных веществ (kн = 0) уравнение записывается без членов, содержащих kн.
22.6. При выполнении расчета зона загрязнения схематизируется как круг (при выпуске в удалении от берега) или как полукруг (при выпуске вблизи берега). Расчетная сетка в секторе

зоны загрязнения приведена на
рис. 44.
Рис. 44. Схема к расчету процесса накопления и диффузии
сточных вод при малых неустойчивых течениях
22.7. Расчетное уравнение записывается в виде

(153)
Коэффициенты

,
vn,

вычисляются по формулам:

(154)

(155)

(156)
где
D - кинематический коэффициент турбулентной вязкости
(формула 119);

- расчетный интервал времени;

- ширина расчетного отсека по радиусу.
Величины
r и

связаны между собой соотношением

(157)
где n - порядковый номер отсека при начале отсчета от центра.
Параметр

выражается равенством

(158)
где Qст - расход сточных вод, м3/с;
Hср - средняя глубина водоема на участке сброса и распространения сточных вод, м;

- центральный угол распространения сточных вод от точечного источника, рад (при сбросе сточных вод в удалении от берега

, при сбросе у прямолинейного берега

).
22.8. Для расчета концентрации в первом отсеке используется формула
cк+1,1 = acст + bcк,1 + dcк,2, (159)
где cк,1, cк,2 - соответственно средние значения концентрации в первом и втором отсеках в интервал времени, предшествующий расчетному;
коэффициенты a, b, d вычисляются по зависимостям:

(160)

(161)

(162)
22.9. Для расчета на ЭВМ по рассмотренной схеме разработана программа (прил. 7,
п. 4). Исходными данными являются кинематический коэффициент турбулентной вязкости
D, параметр

, коэффициент неконсервативности
k, а также величины

и

.
Кинематический коэффициент турбулентной вязкости вычисляется по
формуле (114) при заданных значениях средней глубины и скорости течения.
Параметр

рассчитывается по
формуле (158). Следует учитывать, что предлагаемая схема применима при соблюдении неравенства

(163)
Величины

и

должны удовлетворять соотношению

(164)
22.10. При расчете распространения консервативного вещества (k = 0) может быть выполнена проверка результатов вычисления по формуле

(165)
где

- ошибка расчета;

- масса вещества, прошедшая через рассматриваемый выпуск за расчетный период
tj;

- полученная по расчету общая масса вещества во всех отсеках в конце
j-го момента времени;

- объем всех расчетных отсеков, для которых вычислена

.
Величины

,

и

вычисляются по следующим формулам:

(166)

(167)

(168)
Если ошибка оказывается заметной, ее можно учесть, исправив на величину

вычисленные значения
cnj, после чего расчет продолжается в обычном порядке. Контроль и исправления могут выполняться неоднократно.
Приближенное определение концентраций на лимитирующих
расстояниях от выпуска
22.11. В условиях отсутствия течений или при очень малых по скорости и неустойчивых по направлению течениях в случае сброса неконсервативных веществ (при обязательном условии, что kн < 0) размеры зоны загрязнения и концентрации загрязняющих веществ в ней с течением времени стабилизируются. Для приближенной оценки распределения концентрации в стабилизировавшейся зоне загрязнения может использоваться предложенная А.В. Караушевым аналитическая зависимость

(169)
где c - концентрация на расстоянии r от выпуска;
kн - коэффициент неконсервативности;
Условием применимости этой зависимости кроме указанного выше
kн < 0 является неравенство

.
22.12. При сбросе сточных вод в зону однонаправленных течений в удалении от берега для расчета максимальных концентраций в 100 и 500 м от выпуска на первом этапе проектирования можно пользоваться номограммой
(рис. 45). На номограмме
Lф - длина фронта рассеивания, м;
D - кинематический коэффициент турбулентной вязкости, м
2/с, вычисляемый с учетом ветрового волнения по
формуле (119).
Рис. 45. Номограмма для определения максимальных
концентраций в 100 и 500 м от выпуска сточных вод
| | ИС МЕГАНОРМ: примечание. Текст дан в соответствии с официальным текстом документа. | |
22.13. Зависимость

представлена также в аналитической форме. Уравнения для вычисления максимальной концентрации загрязняющего вещества и кратности разбавления в 100 от выпуска имеют вид

(170)

(171)
Уравнения для вычисления cмакс и кратности разбавления nс в 500 м от выпуска записываются в виде

(172)

(173)
Численные коэффициенты в этих зависимостях имеют размерность

.
Нахождение расстояний между оголовками рассеивающего выпуска
и эффективной длины рассеивающей части выпуска
22.14. Длина рассеивающей части выпуска для озер и водохранилищ по предложению Н.Н. Лапшева устанавливается в зависимости от числа оголовков и расстояний между ними. Расстояния между оголовками назначаются исходя из получения наибольшего начального разбавления по формуле

(174)
а при расположении оголовков на двух параллельных трубопроводах в шахматном порядке - по формуле

(175)
где
dз - расчетный диаметр струи в сечении начального разбавления, вычисляемый по
формуле (122); при этом величина начального разбавления, диаметр оголовка и скорость истечения из него задаются;

- расстояние между осями параллельных трубопроводов;
l' - запас, принимаемый равным 0,5 - 1 м.
22.15. Число оголовков j для рассеивающих выпусков не регламентируется, его определяют, зная полный расход сточных вод Qст, диаметр единичного оголовка dов и скорость истечения из него. Расчетная зависимость имеет вид

(176)
22.16. Длина рассеивающей части выпуска вычисляется по зависимости

(177)
ОБЩИЕ СВЕДЕНИЯ О РУСЛОВОМ ПРОЦЕССЕ, ПОДЛЕЖАЩИЕ УЧЕТУ
ПРИ ПРОЕКТИРОВАНИИ ВЫПУСКОВ НА РЕКАХ
Общие положения
1. Вследствие значительных размеров плановых и высотных деформаций речного русла и поймы при проектировании рассеивающих выпусков сточных вод необходимо учитывать топографическую ситуацию как на момент строительства, так и ту, которая возникнет к концу расчетного периода эксплуатации.
Переформирования речного русла и поймы осуществляются в ходе деформаций целостных морфологических образований (сползания побочня, развития излучины, смещения осередка или острова и т.п.). Поэтому при проектировании выпусков необходимо пользоваться типичными схемами развития речного русла и поймы, т.е. представлениями о типах руслового процесса и поймы.
В Рекомендациях принята типизация руслового процесса, разработанная Государственным гидрологическим институтом (ГГИ). В соответствии с ней выделяются следующие семь типов руслового процесса (макроформ): 1 - ленточногрядовый; 2 - побочневый; 3 - ограниченное меандирование; 4 - свободное меандрирование; 5 - незавершенное меандрирование; 1а - русловая многорукавность; 5а - пойменная многорукавность
(рис. 46).
Рис. 46. Типизация руслового процесса
1 - ленточногрядовый тип; 2 - побочневый тип;
3 - ограниченное меандрирование; 4 - свободное
меандрирование; 5 - незавершенное меандрирование;
1а - русловая многорукавность; 5а - пойменная
многорукавность (стрелка указывает направление нарастания
транспортирующей способности потока)
Данные о типе руслового процесса не исчерпывают всех сведений, которые могут понадобиться при проектировании рассеивающих выпусков, однако они являются необходимым звеном оценки руслового процесса, так как дают представления об общем ходе деформаций речного русла и поймы и позволяют разработать программу изысканий.
Выделенные типы руслового процесса могут быть установлены на большинстве рек СССР. Разнообразие местных природных условий не исключает возможности обнаружения на отдельных речных участках деформаций, не предусмотренных данной типизацией. Наиболее вероятными районами таких отклонений могут явиться горные области и районы с проявлением вечной мерзлоты. Необходимо также иметь в виду, что на реках могут наблюдаться участки со смешанным типом руслового процесса: например, на фоне ограниченного меандрирования может проявляться побочневый тип процесса, в протоках многорукавного русла могут наблюдаться другие типы руслового процесса и т.п. Однако во всех случаях морфологические признаки руслового процесса разного типа опознаются достаточно уверенно. Расхождения с типизацией ГГИ касаются преимущественно различий в деталях развития морфологических образований и их структуры.
При проектировании выпусков необходимо располагать сведениями не только о типах русла, но и внутрирусловых образованиях - средних русловых формах (мезоформах) и мелких песчаных грядах (микроформах).
Ленточногрядовый тип руслового процесса
2. Деформации русла происходят в результате поступательного движения ленточных гряд и сезонных изменений их высоты, когда изменяются отметки дна русла по всей ширине в бровках меженных берегов. Движение ленточных гряд осуществляется круглый год, но в условиях низкой межени может приостанавливаться. Обнажившиеся при этом вершины гряд образуют отдельные, одиночные осередки. Плановые деформации русла не характерны.
Опознавательными признаками являются цепи гряд, занимающие всю ширину русла и обнаруживаемые на аэрофотоснимках или продольных профилях русла. Гребни гряд отстоят одни от других на расстоянии примерно 4 - 8 ширин русла в бровках меженных берегов
(рис. 47). Русло реки в плане имеет незначительную и неупорядоченную извилистость. Пойма отсутствует или является унаследованной.
Рис. 47. Ленточногрядовый тип руслового процесса
Ленточногрядовый тип руслового процесса обычно наблюдается в верховьях рек или сопровождает деформации, развивающиеся по другим типам, например при слаборазвитых излучинах, свойственных ограниченному меандрированию или начальным стадиям свободного меандрирования, или на протоках, спрямляющих излучины (незавершенное меандрирование). Ленточные гряды могут также встречаться в каналах.
В качестве измерителей процесса принимаются:
ширина русла Bбр - расстояние между бровками меженных берегов;
ширина реки B - расстояние между правым и левым урезами воды в межень;
шаг гряд

- расстояние между гребнями двух смежных гряд;
высота гряд hлг - возвышение гребня гряды над ее подошвой, измеренное по линии, по которой это превышение имеет наибольшее значение;
скорость перемещения (сползания) гряд Cлг - величина смещения гребня гряды, деленная на время между съемками.
Побочневый тип руслового процесса
3. Деформации русла сводятся к сползанию в половодье перекошенных в плане ленточных гряд. Гребни побочней частично размываются в межень и восстанавливаются в половодье. Плановые деформации берегов наблюдаются на участках подвальев гряд, но не получают большого развития, так как размываемые зоны берега прикрываются наползающими сверху побочнями
(рис. 48).
Рис. 48. Побочневый тип руслового процесса

- шаг побочня;
Bбр - ширина русла;
B - ширина меженного
русла; 1 - 13 - поперечные створы
Опознавательные признаки побочневого типа руслового процесса следующие. В русле реки имеется цепь гряд с шагом, превосходящим ширину русла, но отличающихся от ленточных тем, что гребни побочней перекошены в плане, причем направление перекоса смежных гряд противоположно. В межень прибереговые части этих мезоформ обсыхают, образуя песчаные отмели, располагающиеся по длине реки в шахматном порядке. Обсохшая поверхность гряд имеет повышенную низовую часть и пониженную верховую. Затопленный гребень гряды образует перекат. Снизу к гребню нередко примыкает коса, образующая затон. Пойма не характерна, а если она есть, то, так же как в случае ленточногрядового типа руслового процесса, является унаследованной от периодов, когда река совершала плановые деформации (меандрировала).
К измерителям побочневого русла, кроме указанных в
п. 2 настоящего приложения, необходимо отнести следующие:
шаг побочня

- расстояние по прямой между двумя смежными точками перегиба средней линии меженного русла;
высота побочня hпб - превышение гребня побочня в наиболее возвышенной его части над половодьем;
скорость перемещения побочня Cпб - скорость смещения точек перегиба средней линии русла (определяется по съемкам разных лет);
ширина русла Bбр определяет размер зоны, в пределах которой идет сползание побочней.
Разность величин Bбр и B позволяет судить о ширине побочней в данную фазу водного режима.
Ограниченное меандрирование
4. Плановые деформации русла выражаются в сползании вниз по течению излучин и огибаемых ими пойменных массивов без существенного изменения их плановых очертаний и продольного профиля дна.
Сползание излучин происходит в результате размыва пойменных массивов с верховой их стороны и намыва низовий этих массивов. Таким образом, подмываемыми оказываются нижние участки вогнутых берегов, а намываемыми - верхние участки вогнутых берегов излучин.
Расположенные примерно на перегибах русла перекаты в межень снижают свои отметки и восстанавливают их в первую половину половодья (размыв начинается в начале спада). В плесе деформации имеют обратный ход (размыв в половодье, намыв в межень).
Деформации в пойме выражаются в постепенном нарастании пойменного массива в высоту в результате отложения наилка, образуемого преимущественно взвешенными наносами. Наиболее мощный наилок образуется в верховой части пойменного массива, в результате чего она повышена. В низовой части массива образуются береговые валы. В ходе сползания формируются ряды этих валов, повторяющие очертания низовой части пойменного массива. Наряду с явлениями намыва наблюдаются размывы поверхности поймы. В верховой части массива образуются прорвы. Через них на поверхность поймы могут выноситься пески - донные наносы. Прорвы могут образовываться и в системах береговых валов. Затопление поймы в соответствии с особенностями ее строения начинается с низовой части массива, затем начинается перелив воды через верховые прорвы. Транзитное течение может наблюдаться только в высокие половодья, достигая больших скоростей в прорвах и в пониженной притеррасной части поймы.
В качестве измерителей руслового процесса приняты следующие характеристики
(рис. 49):
шаг излучины

- расстояние по прямой между двумя смежными перегибами средней линии русла;
угол разворота излучины

- угол, образованный касательными к средней линии русла, проведенными через точки перегибов и ограничивающими данную излучину;
ширина русла Bбр - расстояние между бровками меженных берегов;
ширина реки B - расстояние между урезами противоположных берегов русла;
ширина пояса меандрирования Bм - расстояние между линиями, огибающими вершины излучин, обращенных вершинами вправо и влево;
скорость сползания излучин Cи - величина смещения бровки берега за год. Вычисляется наибольшая и средняя скорость. Средняя скорость определяется делением площади зоны размыва на длину фронта размыва за время между съемками, по которым ведется измерение скоростей сползания. Среднюю скорость сползания можно определить и как смещение точек перегибов русла за год.
Рис. 49. Ограниченное меандрирование

- шаг излучины;

- угол разворота;
Bбр - ширина русла;
Bм - ширина пояса меандрирования; m - m - участок подмываемого
берега; B - ширина меженного русла
Свободное меандрирование
5. При свободном меандрировании излучины проходят замкнутый цикл развития. Каждый цикл начинается с искривления русла и формирования излучины. До появления углов разворота, превышающих 120°, излучины обычно сползают. При этом в отличие от ограниченного меандрирования углы разворота постепенно увеличиваются. При дальнейшем увеличении угла разворота более 120° сползание сменяется разворотом излучины или ее вытягиванием. При углах разворота больших 140° начинается раздвоение плесов и излучина увеличивает асимметрию своих плановых очертаний, приобретая одновременно форму петли. Цикл развития излучины завершается прорывом перешейка петли русла в результате непосредственного сближения противоположных берегов этого перешейка. Поток переходит в спрямленное русло, а старое, главное, русло превращается в старицу, отчленяется и постепенно отмирает. После прорыва перешейка цикл развития излучины повторяется.
Цикл развития излучин может приобретать специфические черты и даже нарушаться вследствие взаимодействия смежных излучин русла. Так, например, наползание сползающих излучин на более развитую, изменяющую свои очертания по схеме разворота, приводит к образованию вытянутой пальцеобразной излучины. Тот же эффект может наблюдаться, если при сползании излучина встречает на своем пути останец. Это препятствие сползанию излучины ведет к ее сжиманию и вытягиванию.
Прорыв перешейка петли русла вызывает ускорение деформаций смежных излучин вплоть до срезания их выпуклого берега.
При свободном меандрировании пойменный массив образуется несколькими излучинами.
Пойменные деформации сводятся к возникновению новых береговых валов, образующихся в результате отступания вогнутых берегов излучин, и к медленному систематическому нарастанию наилка. Быстро возникают и разрабатываются прорвы в береговых валах. Образуются верховые прорвы (прорыв вала в верхней части пойменного массива), внутренние - в валах, отошедших от русла и расположенных в глубине прорвы, низовые прорвы - размывы между валами, иногда образующие пойменные речки в низовой части массива.
Опознавательные признаки свободного меандрирования таковы. Широкая пойма обычно с хорошо выраженным гривистым рельефом. Гривы представляют собой образованные в ходе плановых деформаций береговые валы. Они располагаются сериями, образуя дугообразно изогнутые гривы - веера перемещения русла. Часты старицы подковообразных очертаний в плане. Веера перемещения, расположенные в излучинах реки, повторяют их очертания, а находящиеся в глубине поймы ориентированы по отношению к руслу различно. Старые веера при подходе к ним русла в ходе меандрирования могут быть обращены к нему концами гряд и ложбин между ними. Русло реки однорукавное. Излучины, даже смежные, могут быть весьма различны по размерам и углам разворота, иногда превосходящим 250°. Хорошо развитые излучины (с углом разворота более 140°) обычно имеют асимметричную в плане форму. Морфологические образования в русле реки, как и при других видах меандрирования, представлены перекатами, расположенными на перегибах русла и представляющими собой гряду, перекошенную в плане, затопленную круглый год и переходящую в пляж выпуклого берега нижерасположенной излучины. У вогнутого берега расположена плесовая ложбина, которая у сильно развитых излучин (большой угол разворота) обычно разделяется на две части, между которыми имеется перевал.
В качестве измерителей свободного меандрирования применяются измерители ограниченного меандрирования, а также ряд дополнительных
(рис. 50):
длина излучины Sи - расстояние между точками перегиба излучины, измеренное по средней линии русла;
угол входа

- угол, образованный линией шага и касательной в точке верхового перегиба средней линии излучины;
угол выхода

- угол, образованный линией шага и касательной в точке низового перегиба средней линии русла;
угол разворота излучины

- сумма углов входа и выхода;
угол сопряжения излучины

- угол, образованный продолжением линии шага вышележащей излучины и линией шага рассматриваемой излучины;
скорость развития излучины

- отношение приращения угла разворота к соответствующему интервалу времени:

(178)
скорость перемещения береговой линии Cб (подмываемой бровки вогнутого берега).
Рис. 50. Свободное меандрирование

- шаг излучины;
Sи - длина излучины;

- угол разворота;

- угол входа;

- угол выхода;

- угол
сопряжения излучины
Различают среднюю и наибольшую скорости перемещения, определяемые для отдельного подмываемого участка (зоны подмыва) и группы излучин.
Типичное строение пойменного массива показано на
рис. 51.
Рис. 51. Пойменный массив при свободном меандрировании
A - низовая прорва; B, C, D - верховые прорвы;
1 - 4 - участки массива с различными высотными отметками
в направлении убывания высот от 1 до 4; 5 - линия гребня
берегового вала
Незавершенное меандрирование
6. Русло реки развивается по схеме свободного меандрирования, но цикл деформаций прерывается в результате образования спрямляющего протока до достижения излучиной формы петли
(рис. 52). Подобная ситуация создается при глубоком затоплении пойм, резком несовпадении динамических осей потока в половодье и межень, а также в условиях большой разницы в крупности отложений пойменной и русловой фаций аллювия.
Рис. 52. Незавершенное меандрирование
A - спрямляющий излучину проток
Спрямляющий проток разрабатывается постепенно. Вначале он извилист и развивается по схеме свободного меандрирования, затем происходит смена типа процесса на побочневый, ленточногрядовый или осередковый; русло спрямляется, и по нему интенсивно движутся скопления наносов. После того как спрямляющий проток примет основную часть расхода воды реки, он становится главным руслом, а прежнее главное русло отмирает, превращаясь в старицу. Образование спрямляющего протока, особенно после прохождения многоводных половодий, обычно сопровождается выносом наносов в главное русло и появлением на нем кроме меандрирования сползающих ленточных гряд, побочней и даже осередков, т.е. появлением смешанных типов руслового процесса.
Тип процесса распознается по наличию на меандрирующей реке, на некоторых ее излучинах, спрямляющих протоков.
Дополнительными измерителями к рассмотренным выше являются следующие:
длина спрямляемого участка реки Sр - расстояние по средней линии русла от верховой до низовой точки спрямляющего протока; величина Sр может быть больше и меньше длины спрямляющего протока;
длина спрямляющего протока Sсп - расстояние между верховой и низовой точками, измеренное по средней линии протока;
относительная длина русла

;
относительная глубина затопления поймы - отношение глубины в русле реки при максимальном затоплении поймы H к глубине ее затопления Hп.
Пойменная многорукавность
7. В поймах, затапливаемых на большую глубину или сложенных резко различными по крупности пойменной и русловой фациями, спрямления охватывают не только отдельные излучины, но часто и серию излучин, образуя длинные пойменные протоки. Поэтому при пойменной многорукавности река течет многими рукавами и выделить основное русло бывает затруднительно
(рис. 53). Появляются крупные пойменные острова, способные расчленяться новыми протоками, в том числе и под большим углом к направлению основного течения, что связано с местными поперечными перекосами свободной водной поверхности в период затопления поймы.
Рис. 53. Пойменная многорукавность
Пойменной многорукавности присущи следующие опознавательные признаки. Широкая пойма с многочисленными длинными протоками, спрямляющими серии излучин. Наличие сети вторичных протоков, соединяющих главные пойменные речки. В протоках могут существовать различные типы руслового процесса. При анализе материалов по пойменной многорукавности требуется фрагментирование всех протоков, т.е. выделение тех типов процесса, которые в них обнаруживаются.
Измерители типов руслового процесса, встречающихся в отдельных рукавах поймы, необходимо определять в соответствии с указаниями, относящимися к выделенному типу. Для общей характеристики участка с пойменной многорукавностью можно пользоваться такими измерителями, как ширина поймы
Bп, плотность островов
Kос (отношение площади островов
fос на выбранном участке русла к полной площади этого участка
Г), среднее число протоков при данной ширине поймы, густота островов (
n - число островов на участке длиной, равной ширине поймы), средняя площадь островов

.
Русловая многорукавность
8. Русловые деформации выражаются в сползании и других видах деформаций гряд и осередков в русле
(рис. 54). Возможно их смещение вниз и вверх по реке, в поперечном направлении, что связано с образованием новых протоков, отмиранием старых, появлением в них процесса меандрирования. Наблюдается перемещение общих границ русла из-за меандрирования протоков или эпизодического внезапного обрушения берегов (явление дейгиша). В зависимости от крупности донных отложений, размера стока наносов и величины продольных уклонов реки плановые и высотные деформации протекают с разной интенсивностью. При мелких наносах и большом их единичном расходе (относительно большой уклон) процесс может развиваться с большей скоростью, полностью изменяя рельеф дна в течение нескольких часов. При этом особенно ярко проявляется дейгиш, охватывающий участок длиной в километры. При крупных наносах (галька, булыжник) русло может сохранять значительную устойчивость. Деформации в этих случаях происходят только при высоких паводках. Но при этом они могут идти очень интенсивно - например, пойменные участки превращаются при таких половодьях в движущиеся побочни.

Рис. 54. Русловая многорукавность
Указанные обстоятельства позволяют выделить несколько подтипов русловой многорукавности:
блуждающее русло - все переформирования сводятся к сползанию рядов ленточных гряд (русло сильно распластано), почти полностью затопленных;
осередковый подтип - ленточные гряды, обсыхая в межень, образуют группы осередков, при сползании объединяющиеся вследствие намыва их приверхов или меандрирования протоков;
островной подтип - осередки зарастают и превращаются в острова. Последние вследствие причленения к ним гряд могут перемещаться так же, как осередки. При русловой многорукавности можно обнаружить и сползающие побочни. В отличие от побочневого типа руслового процесса они не образуют стройной системы гряд, расположенных в шахматном порядке, и их размещение носит случайный характер. Часто наблюдается отторжение побочней и превращение их в осередки.
При выделении типа необходимо учитывать следующие опознавательные признаки. Русловая многорукавность возникает при перегрузке потока донными наносами, чаще в предгорных и устьевых участках рек, но может развиваться и в основной части реки, например как на Аму-Дарье. Ей свойственны короткие протоки, разделяющие острова, преимущественно округлых очертаний. Пойма носит островной характер, но иногда встречаются значительные по площади массивы, сформированные в результате объединения островов вследствие заноса протоков. Иногда образуются пойменные массивы, обычно приуроченные к вогнутым участкам склонов долины. На поверхности пойм можно проследить следы меандрирования протоков - системы береговых валов. Меандрирование крайних протоков в русле нередко приводит к причленению огибаемых ими островов к пойменному массиву. Это случается тогда, когда протоки достигнут большой кривизны, скорость течения в них замедлится и начнется занесение протоков.
Для характеристики протоков используются измерители, соответствующие развивающемуся в них типу руслового процесса. Для общей характеристики русловой многорукавности следует определить ширину поймы, плотность осередков, густоту осередков, среднюю площадь осередков, скорость деформаций осередков, количественные показатели дейгиша (длину и ширину участка, охватываемого дейгишем, продолжительность разрушения).
Мелкие песчаные гряды микроформы
9. При движении песчаных гряд в русле реки происходит периодическое изменение отметок его дна в любом поперечном створе. Движение микроформ осуществляется во все фазы водного режима, а их параметры подвержены сезонным колебаниям. Поэтому деформации дна, вызываемые движением песчаных гряд, неодинаковы в разные периоды года.
Наиболее достоверно грядовый профиль дна выявляется с помощью промеров русла эхолотом. Распределение гряд по дну реки крайне неравномерно. На мезоформах размеры гряд уменьшаются в направлении к их гребню, а наибольших размеров достигают в местах сопряжения склонов средних форм с плесовыми лощинами. Исключение составляет подвалье мезоформ, где микроформы выражены слабо. В плесах, особенно у вогнутых берегов излучин, микроформы часто отсутствуют.
Обнаруживаются микроформы при всех типах руслового процесса.
Длина микроформ составляет несколько глубин потока, а высота не превосходит 1/3 его глубины.
К числу измерителей микроформ относятся
(рис. 55):
высота hг - разница между максимальной отметкой гребня и минимальной отметкой подвалья;
длина lг - расстояние между гребнями или подвальями смежных гряд;
скорость движения

, где

- интервал времени, за который гряда переместится на длину

;
период смещения гряд

.
Рис. 55. Мелкие песчаные гряды
I - положение гряды в момент времени t; II - положение гряды
в момент времени

;
hг - высота гряды;
lг - длина гряды
Отличительные признаки и свойства пойм разных типов
10. Деформации поймы отображают три основных процесса: плановые деформации русла реки, осаждение на ее поверхности наносов и эрозионную деятельность течений на поверхности поймы в период ее затопления водами половодий и паводков.
Деформации речного русла в плане наиболее распространены и развиты при разновидностях меандрирования.
В ходе меандрирования на выпуклых берегах излучин формируются новые участки поймы, т.е. идет процесс отложения наносов, а на вогнутых - идет размыв и разрушение ранее сформированных потоком участков поймы.
При намыве выпуклых берегов происходят сначала отложения донных наносов, которые образуют фундамент поймы. Так, формируется русловая фация аллювия. На ее поверхности отлагаются взвешенные наносы, образуя пойменную фацию аллювия - верхние слои отложений на пойме. Однако могут быть случаи, когда на поверхность поймы через прорвы в береговых валах выносятся донные наносы.
Поверхность поймы может размываться течениями, возникающими в период ее затопления. При этом могут образовываться как длинные вытянутые промоины, так и отдельные ямы глубиной, измеряемой метрами. Они образуются на участках сосредоточенных пойменных течений, например у внутренних прорв в старых береговых валах.
Каждому типу руслового процесса присущи свои особенности морфологического строения пойм, режима их затопления и опорожнения, развития пойменных течений и особенности деформаций контура поймы и ее поверхности. Соответствие типов пойм типам руслового процесса обусловлено тем, что пойма является результатом плановых деформаций русла и, следовательно, в ее формировании участвуют те же факторы, которые определяют тип руслового процесса, т.е. водный режим, сток наносов и ограничивающие условия (факторы, препятствующие развитию плановых деформаций речного русла). Однако в связи с тем, что на формирование пойм влияет ряд вторичных факторов, таких как растительность, болотообразовательный процесс, делювиальные выносы со склонов долины, карст, термокарст, число разновидностей пойм оказывается большим, чем число типов руслового процесса.
Единицей типизации пойм являются так называемые пойменные массивы. Пойменный массив - это участок поймы, ограниченный руслом основной реки или пойменного протока и склоном долины. Такие участки имеют определенные морфологические и геологические закономерности своего строения, и для них характерны замкнутые системы течений, определенный порядок затопления и опорожнения поймы.
Материалом, позволяющим наиболее надежно отнести пойму к тому или иному типу, являются аэрофотоснимки.
Применительно к задачам размещения сооружений рассеивающих выпусков рассматриваются следующие типы пойм:
при ограниченном меандрировании русла;
свободномеандрирующих рек;
при незавершенном меандрировании русла;
с русловым процессом типа пойменной многорукавности;
параллельно-гривистые;
горных рек.
Пойменные массивы при ограниченном меандрировании русла имеют следующие отличительные признаки и свойства.
Контур пойменного массива ограничен с одной стороны руслом реки, образующим одну излучину, а с другой - подошвой склона долины или уступом террасы. При данном типе поймы характерны чередование по длине реки правых и левых излучин (относительно вершин, обращенных к склону долины) и примерно одинаковая площадь поверхности пойменных массивов. При сползании излучин русла каждый пойменный массив полностью перерабатывается потоком.
Развитость валов (превышение их гребней над дном ложбин) зависит от соотношения объемов, переносимых потоком взвешенных и донных наносов. Чем больше сток взвешенных наносов, тем менее выражены гривы. Могут быть случаи, когда образование мощного наилка на поверхности пойменного массива приводит к ее выравниванию и гривистый рельеф обнаруживается только в геологических разрезах массивов.
Как правило, пойменные массивы задернованы, на береговых валах и гривах часты кустарники.
После того как возникнет общее течение по пойме от ее верховой к низовой части, оно наиболее интенсивно в притеррасной, пониженной части пойменного массива. Первоначально течение направлено под некоторым углом в сторону склона долины, что способствует поддержанию понижений притеррасной части. При очень высоких половодьях эти течения примерно параллельны оси долины
(рис. 56).
Рис. 56. Схема пойменного массива
при ограниченном меандрировании
а - схема рельефа (валы), ход затопления (пунктир) в начале
половодья; б - продольный профиль по линии А-Б и уровни
воды в разные фазы половодья; в - план течений
при максимальном затоплении
Под влиянием овражно-делювиальных выносов со склонов долины, болотообразовательного процесса на поверхности поймы и явлений термокарста (для зон многолетнемерзлых грунтов) изменяется геоморфология пойменных массивов. Это дает основание выделить три основные разновидности пойменных массивов ограниченно меандрирующих рек
(рис. 57): овражно-делювиальные, скрытогривистые болотные и таежно-аласные.
Рис. 57. Типичные поперечные разрезы пойм ограниченно
меандрирующей реки (через центральную часть массива)
а - разрез в условиях высокого стока взвешенных
наносов - развитая пойменная фация аллювия, сглаженная
поверхность первичного гривистого рельефа; б - то же,
при малом стоке взвешенных наносов; в - овражно-делювиальная
пойма; г - скрытогривистая болотная пойма;
д - таежно-аласная пойма; 1 - пойменная фация аллювия
(обычно суглинки); 2 - русловая фация аллювия (пески);
3 - коренные породы; 4 - торф; 5 - делювий; 6 - галька
При овражно-делювиальной разновидности пойменного массива материал, выносимый со склонов долины, может заваливать пониженную притеррасную часть и даже придать поверхности массива общий наклон к руслу реки. Под слоем делювия часто обнаруживается ископаемый торф и лишь в прирусловой части относительно неглубоко от поверхности поймы обнаруживается пойменная и русловая фации аллювия. В половодье и межень положение динамической оси потока на таких поймах совпадает.
Скрытогривистая болотная пойма характерна теми же особенностями, что и овражно-делювиальная, только в этом случае общий наклон поверхности пойменного массива от склона долины к руслу обусловлен торфяной залежью.
Таежно-аласная пойма характерна тем, что вытаивание участков вечной мерзлоты способствует появлению особенно низкой притеррасной части поймы. Понижения поверхности поймы возможны и непосредственно за современным береговым валом. Это ведет к разобщению транзитных течений на пойме и может вызвать образование спрямляющих проток (отторжение участков пойменного массива).
Поймы свободно меандрирующих рек имеют те же общие особенности морфологического строения, что и в случае ограниченного меандрирования. Основные различия между ними заключаются в более сложном устройстве поверхности поймы свободно меандрирующей реки и, как следствие, в появлении более сложных систем пойменных течений, сложного порядка затопления и опорожнения и большого разнообразия деформаций поверхности.
Так как пойменный массив в условиях свободного меандрирования огибается несколькими излучинами русла, его поверхность представлена не одной, а несколькими, обычно разновысотными системами грив и ложбин (веерами перемещения русла), различно ориентированными по отношению к динамической оси потока. Часть отчленившихся излучин сохраняет воду и представляет собой старицы. Их глубина нередко равна глубине современного русла
(рис. 58).
Рис. 58. Схема рельефа поймы свободно меандрирующей реки,
установленная по аэрофотоснимку
Порядок затопления и опорожнения поймы и развитие пойменных течений усложнены. В ходе затопления поймы на ней образуются аккумулирующие емкости. Благодаря разновысотности систем вееров емкости могут иметь различные высотные отметки уровня воды. Это ведет к появлению сосредоточенных течений при переливах воды из одной емкости в другую и разработке внутренних прорв. На разных фазах половодья верховые и низовые прорвы работают в разных направлениях, но при этом суммарный объем, прошедший через одну прорву в том и другом направлении, не одинаков.
Верховые прорвы пропускают больше воды из русла в пойму, чем в обратном направлении. Низовые прорвы характерны обратным соотношением объемов воды. Таким образом, конечное опорожнение поймы осуществляется через низовые прорвы и они действуют более длительное время, в том числе иногда и в межень. Суммарный объем воды, протекающей через все низовые прорвы в двух направлениях больше, чем соответствующий объем воды, протекающий через верховые прорвы. Поэтому низовые прорвы лучше разработаны и часто принимают вид пойменных протоков.
Особенности затопления и опорожнения пойменного массива свободного меандрирования лучше всего прослеживаются по материалам последовательных аэрофотосъемок поймы в период половодья.
Наибольшие скорости течения на пойме не обязательно совпадают с наибольшей глубиной ее затопления. При больших глубинах затопления поймы обычно происходят выравнивание скоростей течения и ослабление роли отдельных прорв (участков сосредоточенных течений).
Поймы рек при незавершенном меандрировании характерны тем, что пойменный массив образован одной излучиной и ограничен спрямляющим протоком. Строение массива может быть осложнено рядом спрямляющих протоков, когда на отчлененных ими участках поймы в ходе развития протока происходит повышение прирусловья со стороны более крупного протока.
Вторичные факторы в виде карста, термокарста, болотообразовательного процесса могут играть существенную роль в формировании пойменного массива и вносить в него изменения. Например, они могут ускорить развитие спрямляющих протоков или определить их положение.
Поймы рек с русловым процессом типа пойменной многорукавности отличаются фрагментарностью в строении массивов. На таких участках можно выделить массивы, образуемые одной или несколькими излучинами, крупным островом или группой мелких. В каждом отдельном случае требуется выделение типа массива. Те массивы, которые созданы в ходе меандрирования протоков, будут иметь свойства пойм свободно меандрирующих рек и пойм при незавершенном меандрировании. На массивах островного типа возможно образование протоков поперечного направления.
На относительно прямых участках реки часто возникают параллельно-гривистые поймы. Гривы появляются в результате объединения побочней вдоль одного из берегов. Слияние побочней вызывает смещение русла параллельно самому себе, что ведет к образованию параллельных рядов валов. Подобные поймы могут наблюдаться на участках длиной в несколько десятков километров. Ложбины между валами хорошо промываются в период половодья, и иногда в них образуются цепи удлиненных озерков.
Унаследованные поймы присущи рекам, не имеющим плановых деформаций, но протекающим в широкой пойме, оставшейся от деятельности прареки. Современный пойменный процесс сосредоточивается в прирусловой части поймы. Он выражается преимущественно в отложении наносов вдоль русла, приводящем к образованию обширного прируслового вала, - так унаследованная пойма становится обвалованной.
На горных реках могут встречаться все типы пойм, описанные выше. Характерной их особенностью является большая крупность отложений, лежащих в основании поймы (галька, гравий, булыжник), и мелкозернистая глинистая или песчаная пойменная фация, залегающая на ее поверхности. Характерна относительно слабая задернованность поверхности. Древесная растительность представлена отдельными деревьями, иногда значительного возраста. Большая разница в крупности русловой и пойменной фаций аллювия обусловливает подверженность поверхности пойм размыву и формированию на ней сети неглубоких протоков при всех разновидностях пойм.
Следует иметь в виду, что на горных реках часты случаи, когда пойма образована крупными галечными побочнями, сформировавшимися при половодьях редкой обеспеченности и в промежутках между ними покрывшимися отложениями взвешенных наносов. При половодье или паводке редкой обеспеченности (1 - 5%) такая пойма может в течение одного половодья или паводка разрушиться и превратиться в движущийся побочень. При более низких половодьях возможны приостановка его движения и закрепление поверхности отложениями взвешенных наносов и растительностью.
Определение глубины затопления поймы
11. Глубина затопления поймы может быть определена с разной степенью точности в зависимости от наличия исходных данных.
При отсутствии данных уровенных наблюдений на предварительной стадии проектирования приближенно глубину затопления поймы для четырех типов руслового процесса можно определять по
табл. 17.
Типы руслового процесса | Обеспеченность максимального уровня, % |
P = 50 | P = 10 | P = 1 |
| | | | | | | | |
Ограниченное меандрирование | 0,93 | 0,07 | 0,1 | 0,76 | 0,24 | 0,32 | 0,66 | 0,34 | 0,52 |
Пойменная многорукавность | 0,79 | 0,21 | 0,37 | 0,59 | 0,41 | 0,8 | 0,51 | 0,49 | 1,08 |
Свободное меандрирование | 0,65 | 0,35 | 0,58 | 0,54 | 0,46 | 0,92 | 0,48 | 0,52 | 1,15 |
Незавершенное меандрирование | 0,63 | 0,37 | 0,65 | 0,53 | 0,47 | 0,95 | 0,47 | 0,53 | 1,27 |
В таблице приняты следующие обозначения:

- разность между отметками максимального уровня определенной обеспеченности и минимального уровня 95%-ной обеспеченности летне-осенней межени;

- высота поймы (разность между средней отметкой поймы и отметкой минимального уровня 95%-ной обеспеченности летне-осенней межени);
Hп - глубина затопления поймы (разность между отметкой максимального уровня обеспеченности 1-, 10- и 50%-ной и средней отметкой поймы).
При наличии в русле реки на участке исследуемого пойменного массива временного уровенного поста приближенное определение глубины затопления поймы производится следующим образом.
По данным временного и опорного уровенных постов строится график соответственных уровней, который экстраполируется до наивысших уровней воды.
Уровни необходимой обеспеченности определяются по данным опорного уровенного поста, и по графику связи находятся соответственные уровни для временного уровенного поста.
Приближенная средняя глубина затопления поймы определяется как разность между отметкой расчетного уровня и средней отметкой поймы.
Средняя отметка поймы определяется на основании топографической карты пойменного массива.
При отсутствии водомерных постов на исследуемом пойменном массиве ориентировочно глубину затопления поймы можно определить, пользуясь меженными отметками уреза воды, снятыми с топографических карт М 1:100 000 и крупнее.
По данным об уровнях на двух опорных уровенных постах, между которыми расположен исследуемый участок, определяются уровни необходимой расчетной обеспеченности и летние меженные уровни 95%-ной обеспеченности, по которым строятся кривые свободной поверхности воды между опорными водпостами (прямые линии).
Положение кривых свободной поверхности воды на исследуемом участке уточняется введением поправки, полученной в результате наложения на кривую свободной поверхности воды для уровней 95%-ной обеспеченности кривой свободной поверхности воды, построенной по отметкам воды, снятым с топографических карт и соответствующим, как правило, меженным уровням. Перенесение поправки, полученной для меженных уровней, на высокие уровни вносит элемент условности в предлагаемый метод, как и отнесение уровней, снятых с топографических карт, к уровням 95%-ной обеспеченности.
Глубина затопления поймы определяется как разность между отметкой расчетного уровня воды и средней отметкой поверхности поймы.
Глубина затопления поймы наиболее точно может быть определена по данным специально организованных уровенных наблюдений на пойменном массиве. Наблюдения за уровнями необходимо вести по нескольким уровенным постам, устанавливаемым в характерных местах пойменного массива и по трассе водовода. Наблюдения должны охватывать возможно больший диапазон изменения уровней воды на пойме. По данным наблюдений строятся кривые связи глубины затопления поймы с уровнями воды. Графические связи экстраполируют до расчетного уровня в соответствии с принятыми методами экстраполяции уровней высоких вод.
Особенности кинематической структуры потока, свойственные
различным типам руслового и пойменного процессов
12. Приводимые сведения о кинематической структуре потока должны учитываться при оценке разбавления сточных вод наряду с расчетными методами, изложенными в методах расчета разбавления сточных вод. В частности, особенности кинематической структуры потока должны учитываться при выборе створа размещения и типа конструкции рассеивающего выпуска.
Выясняя особенности кинематической структуры потока конкретного участка реки, следует выделять особенности поля осредненных скоростей, особенности вторичных течений и особенности поля актуальных скоростей.
Характерной особенностью кинематической структуры руслового потока является пульсация скоростей - изменение их во времени по величине и направлению в определенных для данного режима границах. Наибольший размах колебаний скорости по величине и направлению совершается с определенным для данного режима течения периодом, который называется периодом крупномасштабных колебаний скорости.
Под осредненными скоростями течения следует понимать те значения скоростей, период измерения (осреднения) которых на порядок больше периода их крупномасштабных колебаний (для натурных потоков этот период составляет десятки или сотни секунд).
Под актуальными, т.е. действительными, скоростями следует понимать те значения скоростей, период измерения (осреднения) которых на один-два порядка меньше периода крупномасштабных колебаний скорости потока (для рек этот период составляет секунды или доли секунды). Разность между актуальными и осредненными значениями скорости дает величину ее пульсации.
Под вторичными течениями следует понимать относительно устойчивые (сохраняющие свою индивидуальность в течение определенной фазы водного режима) пространственные структурные образования поля осредненных скоростей потока, имеющие ограниченную область распространения, происхождение и особенности которых связаны с особенностями гидрологического режима, гидравлического режима и морфологии русла.
Пульсационные характеристики поля актуальных скоростей и, в частности, средние по глубине значения осредненных по времени и экстремальных значений продольной, вертикальной и поперечной составляющих пульсационной скорости достаточно надежно определяются по динамической скорости потока.
В связи с этим приводимые ниже сведения об особенностях поля актуальных скоростей при ленточногрядовом типе руслового процесса переносятся практически без изменений в последующие разделы с указанием рассчитывать требуемые характеристики с учетом морфологических образований, свойственных данному типу руслового процесса.
При ленточногрядовом типе руслового процесса необходимо учитывать следующие особенности кинематической структуры потока.
Структура поля осредненных скоростей при высоком уровне воды характеризуется равномерным распределением скоростей по ширине потока при нормальном к линии бровок русла расположении фронта ленточных гряд и неравномерным распределением - при перекошенном фронте гряд. Средние по глубине значения скорости течения вдоль продольного профиля гряды возрастают от напорного склона к гребню гряды, а эпюры скоростей трансформируются от формы, близкой к треугольной, на напорном склоне гряды до более полной на гребне гряды.
В условиях межени проявляется неравномерность в распределении скоростей по ширине потока, особенно ощутимая в случае перекошенных фронтов гряд, появляются признаки извилистости динамической оси потока, стремящегося преодолевать гребень гряды по нормали к ее фронту. Распределение осредненных скоростей течения по глубине потока в значительной мере испытывает влияние гряд следующего порядка, возникающих на поверхности ленточных гряд.
Вторичные течения в условиях ленточногрядового типа руслового процесса проявляются в образовании циркуляционной зоны в подвалье ленточной гряды и продольно-винтового течения в подвалье в направлении линии фронта гряды на конкретном участке русла. Если фронт гряды перекошен в плане и сохраняет направление почти в пределах всей ширины русла, водные массы могут переноситься вдоль подвалья такой гряды от одного берега к другому. На участках перелома в направлении фронта гряды наблюдается периодический выход придонных масс воды к поверхности потока.
Со спадом уровня воды активность вторичных течений существенно снижается. В период межени циркуляционная зона, продольно-винтовое течение и периодические выходы придонных водных масс к поверхности полностью утрачивают свои черты. В этот период вторичные течения могут наблюдаться в подвальях более мелких гряд, находящихся при данных гидравлических условиях в активной фазе развития.
При обсыхании наиболее повышенной части ленточной гряды с перекошенным в плане гребнем в прибрежной части ниже по течению обсохшего участка гряды может образоваться область потока со слабой проточностью типа затонской части переката.
Структура поля актуальных скоростей оценивается характером распределения по глубине актуальных скоростей и пульсационных отклонений продольной, вертикальной и поперечной составляющих скорости течения. Пульсационные характеристики поля актуальных скоростей выражаются в масштабе динамической скорости, определяемой по формуле

(179)
где g - ускорение силы тяжести,
H - глубина потока,
I - уклон свободной поверхности потока.
Пульсационные характеристики поля актуальных скоростей в совокупности со скоростью переносного течения определяют характер турбулентной диффузии в продольном направлении. Средние по глубине и осредненные во времени значения вертикальной и поперечной составляющих скорости определяются формулами А.Б. Клавена:
Vy = 0,41V*, (180)
Vz = 0,50V*. (181)
С учетом этих соотношений определяются площади диффундирующей струи в поперечном сечении реки на любом расстоянии L от точечного источника. На участке от точечного источника (размещенного, например, на середине глубины потока) до створа стеснения струи по глубине формула для площади поперечного сечения струи имеет вид

(182)
На участке ниже по течению створа стеснения струи по глубине потока формула поперечного сечения струи имеет вид

(183)
Формулы площади поперечного сечения струи позволяют сравнительно просто оценить область распространения в потоке какой-либо субстанции, выходящей из стационарного точечного источника, и кратность уменьшения среднего значения начальной концентрации этой субстанции как отношение площади поперечного сечения струи к площади сечения выпускного устройства.
В условиях русловой многорукавности необходимо учитывать следующие особенности кинематической структуры потока.
Поле осредненных скоростей характеризуется крайней изменчивостью как по ширине, так и по длине русла. Наличие множества хаотически расположенных и малоустойчивых элементов руслового рельефа является причиной малой устойчивости осредненного поля скоростей во времени. Пространственно-временная неустойчивость поля осредненных скоростей, проявляющаяся даже при максимальных уровнях воды, существенно возрастает с переходом к межени, когда в русле у берегов образуются многочисленные застойные зоны или даже течения обратного направления на участках перехода потока в соседний рукав.
В отдельных рукавах могут развиваться элементы меандрирования или побочневого типа со свойственными этим типам особенностями поля осредненных скоростей и вторичных течений. Однако механизм течения в этих рукавах существенно усложняется впадением в них средних и малых проток, пересекающих низкие осередки и соединяющих соседние рукава реки.
Вторичные течения при максимальных уровнях воды индуцируются средними формами руслового рельефа и имеют менее упорядоченный характер в пространстве, чем при ленточногрядовом типе (это также продольно-винтовые течения в подвальях беспорядочно расположенных больших гряд, периодические выходы придонных масс воды на поверхность потока в местах перелома в направлении фронта гряд).
В меженный период вторичные течения проявляются в образовании водоворотных зон за обсохшими участками гряд, а также в образовании вторичных форм, свойственных другим типам руслового процесса, например побочневому или меандрированию. Характерной для этого типа формой вторичных течений является сбойность течений на участках слияния рукавов.
Продолжительность существования характерных форм поля осредненных скоростей и вторичных течений определяется с одной стороны продолжительностью фаз гидрологического режима, а с другой - скоростью перемещения русловых форм соответствующего масштаба и интенсивностью их деформации.
Структура поля актуальных скоростей имеет такой же характер, как и при ленточногрядовом типе процесса.
При побочневом типе руслового процесса необходимо учитывать следующие особенности кинематической структуры потока.
Поле осредненных скоростей формируется под влиянием мезоформ руслового рельефа. При высоких уровнях воды (расходы в бровках русла) неравномерность распределения скоростей течения по ширине русла проявляется в несколько больших значениях скоростей в плесовых лощинах по сравнению с участками побочней и перекатов. Траектории поверхностных струй почти параллельны берегам реки или слабоизвилисты (по форме извилистость совпадает с извилистостью меженного русла). Траектории придонных струй более близко совпадают с направлением меженного потока, а в подвальях перекатов устанавливаются течения, направленные от одного берега к другому. С переходом к меженному периоду весь поток в целом управляется формой русла. Скорости течения в плесовых лощинах становятся меньше, чем на перекатных участках. Траектории поверхностных и придонных струй на большей части русла совпадают по направлению, несколько различаясь лишь непосредственно ниже гребня переката, где поверхностные траектории сохраняют прежнее направление, а придонные отклоняются к линии гребня переката.
Вторичные течения в период прохождения максимальных расходов проявляются в расслоении потока на поверхностные и придонные струи, в образовании вдольгребневых течений, переносящих водные массы от одного берега к другому. В меженный период за обсохшими участками побочней образуются зоны потока со слабой проточностью или беспроточные (застойные зоны и зоны циркуляционных течений). Последние пополняются водами основного потока только за счет водообмена на поверхности раздела.
Структура поля актуальных скоростей имеет те же черты, что и в рассмотренных выше случаях. Расчет характеристик следует вести отдельно для плеса и переката.
В условиях ограниченного меандрирования необходимо учитывать следующие особенности кинематической структуры потока.
Структура поля осредненных скоростей существенно изменяется по длине излучины и по фазам гидрологического режима. На участках изменения знака кривизны русла наблюдается равномерное распределение осредненных скоростей течения по ширине независимо от фазы водного режима. С переходом от этого участка к вершине излучины все в большей мере проявляется асимметричность поперечных профилей скорости. На участке вершины излучины скорости течения у вогнутого берега при низких и средних уровнях воды значительно больше скоростей течения у выпуклого берега. С повышением уровня воды динамическая ось потока несколько смещается от вогнутого берега к центральной части русла и асимметричность поперечных профилей скорости уменьшается.
Структура вторичных течений проявляется в расслоении потока на поверхностные слои, в которых векторы осредненных скоростей направлены от выпуклого берега к вогнутому, и на придонные слои, в которых векторы осредненных скоростей направлены от вогнутого берега к выпуклому. Эффект расслоения потока возрастает с переходом от створа перегиба русла к створу наибольшей кривизны (вершина излучины) и затем затухает к нижерасположенному створу перегиба русла. Взаимодействие поверхностных и придонных течений приводит к образованию общей поперечной циркуляции на закруглении русла, переносящей водные массы из поверхностных слоев у вогнутого берега ко дну и затем в придонных слоях от вогнутого берега к выпуклому. Наряду с общей поперечной циркуляцией образуются вдольгребневые продольно-винтовые течения, переносящие водные массы от ухвостья вышележащего пляжа выпуклого берега по подвалью большой гряды к приверху и средней части нижележащего пляжа противоположного берега, водоворотные зоны у вогнутого берега (вблизи вершины излучины) и водоворотные зоны в низовой части (в ухвостье) пляжей выпуклых берегов, характеризующиеся замедленным водообменом с основным потоком.
Наибольшая активность вторичных течений наблюдается в периоды половодий и паводков. С переходом к межени скорости вторичных течений уменьшаются, а некоторые элементы вторичных течений (водоворотная зона в вершине излучины и в ухвостье пляжа, продольно-винтовое течение в подвалье большой гряды) исчезают полностью. За ухвостьями пляжей образуются в этот период зоны слабой проточности, или застойные зоны.
На спаде половодья или паводка и в период межени образуются русловые формы другого порядка. Эти формы индуцируют свойственные им вторичные течения, которые находятся в активной фазе и на отдельных участках излучины могут полностью определять механизм разбавления сточных вод.
Механизм и структура поля актуальных скоростей аналогичны рассмотренным при других типах руслового процесса. Расчеты количественных характеристик пульсационных скоростей следует производить согласно
п. 12 настоящего приложения раздельно для характерных фрагментов излучин.
Механизм гидравлического взаимодействия русла и поймы при ограниченном меандрировании проявляется в том, что с повышением уровня воды выход ее на пойму начинается в низовой пониженной части пойменного массива, откуда вода распространяется к верховой и прикорневой его частям. Водообмен русла и поймы начинается только после того, как при дальнейшем росте уровня вода начинает поступать на пойму в средней части пойменного массива. С наступлением наивысших уровней начинается поступление воды на пойму и через верховую часть пойменного массива, в результате чего на всем пойменном массиве устанавливается транзитное течение. Освобождение пойменного массива на спаде половодья осуществляется через низовую его часть, при этом отдельные понижения поймы не освобождаются полностью и сохраняют поступившую в них воду в течение значительной части, а иногда и всего меженного периода.
В условиях свободного меандрирования необходимо учитывать следующие особенности кинематической структуры потока.
Этому типу руслового процесса присущи все особенности кинематической структуры поля осредненных скоростей и вторичных течений, свойственные любому типу меандрирования. Отличие может состоять лишь в том, что на хорошо развитых свободно меандрирующих излучинах (с углом разворота более 120°) может наблюдаться не одна, а несколько плесовых лощин, вытянутых вдоль вогнутого берега. На таких излучинах может возникать несколько водоворотных зон у вогнутого берега. Более резко проявляются неравномерность распределения осредненных скоростей по ширине потока, расслоение потока на поверхностные и придонные слои, более интенсивный механизм поперечной циркуляции.
Структура поля актуальных скоростей характеризуется такими же свойствами, как и при ограниченном меандрировании.
Затопление пойменного массива начинается через низовые прорвы. Вода заполняет пониженные участки поймы между гривами, пойменные озера-староречья, понижения вдоль подошвы склона долины. С повышением уровня воды в русле начинают работать верховые прорвы, скорости течения в которых в начальной стадии могут существенно превышать наибольшие скорости течения в русле. Транзитное течение через пойменный массив устанавливается только после того, как уровень воды в низовой его части превысит уровень воды в русле. Опорожнение пойменного массива осуществляется значительно медленнее, чем при ограниченном меандрировании. Если интенсивность спада уровня в русле велика, опорожнение пойменного массива происходит как через низовые, так и через верховые прорвы (через последние - до момента снижения уровня до гребня прорвы). Если же интенсивность спада уровня в русле мала, то опорожнение поймы осуществляется только через низовые прорвы.
Значительные объемы воды, поступившей на пойменный массив в ходе половодья или паводка, остаются в местных понижениях и пойменных озерах вплоть до следующего затопления поймы.
Структура поля осредненных скоростей, поля актуальных скоростей и вторичных течений при незавершенном меандрировании аналогична структуре поля ограниченного и свободного меандрирования. Отличие состоит в том, что по мере развития спрямляющего рукава все элементы кинематической структуры изменяются. Факторами, определяющими эти изменения, являются уменьшающаяся от года к году водность и морфологическая перестройка в основном русле. При этом характерные для меандрирования особенности кинематической структуры становятся менее выраженными (меньше асимметрия в распределении скоростей по ширине реки, в меньшей мере проявляется расслоение потока, затухает поперечная циркуляция, исчезают водоворотные зоны в областях отрыва транзитного потока).
В спрямляющем рукаве в зависимости от типа руслового процесса будут наблюдаться соответствующие особенности кинематической структуры.
Механизм гидравлического взаимодействия русла и поймы в зависимости от свойств пойменного массива осуществляется по схеме, характерной либо для ограниченного, либо для свободного меандрирования.
В условиях пойменной многорукавности в различных рукавах реки могут наблюдаться любые типы руслового процесса и, следовательно, соответствующие им особенности кинематической структуры потока и механизма гидравлического взаимодействия русла и поймы.
Особенностью самого типа пойменной многорукавности является наличие на пойменных островах множества поперечных протоков, которые с повышением уровня заполняются водой и существенно перераспределяют расходы воды в соседних рукавах реки. В периоды действия такие протоки оказывают ощутимое влияние на кинематику принимающего их рукава, вызывая отжим струй в последнем к противоположному берегу и образование водоворотной зоны непосредственно ниже устья протока.
Характерной особенностью пойменной многорукавности являются полное отмирание отдельных рукавов реки и превращение их в пойменные озерца.
Влияние ледовых явлений на кинематическую структуру потока.
Наиболее сильное влияние ледовых явлений на кинематику потока проявляется в периоды образования заторов и зажоров. Скорости течения в такие периоды существенно уменьшаются, вплоть до нулевых значений. Значительно ослабевают или полностью исчезают вторичные течения. Вместе с тем происходит повышение уровня воды, приводящее к выходу воды на пойму или переливу ее через островные протоки в соседние рукава реки.
Наличие ледяного покрова на реке (особенно с торосистой нижней поверхностью) приводит к перестройке структуры поля осредненных и актуальных скоростей по типу напорного потока в трубе: зона наибольших скоростей потока смещается в направлении дна, появляется два максимума в эпюрах пульсаций продольной, вертикальной и поперечной составляющих скорости - вблизи дна и вблизи ледяного покрова.
Отмеченные особенности скоростного поля потока при разных типах руслового процесса требуют для своего выявления проведения изыскательских работ.
ПРОИЗВОДСТВО ИЗЫСКАНИЙ НА РЕКАХ
Общие положения
1. В настоящих Рекомендациях рассматриваются лишь те изыскательские работы, которые выполняются для учета русловых и пойменных деформаций при проектировании рассеивающих выпусков сточных вод в реки.
Изыскательские работы имеют целью получение данных, необходимых для выбора створа размещения выпуска по условиям развития руслового процесса и скоростной структуры потока, его конструкции и оптимальной системы защиты выпуска от неблагоприятных воздействий русловых и пойменных деформаций.
При вынужденном размещении створа выпуска оценка руслового процесса требуется для суждения об условиях его эксплуатации, а также для формулирования требований к оптимальной его конструкции и защитным мероприятиям. Эта оценка необходима также для сравнения условий работы выпусков при наличии нескольких вариантов их размещения.
Изыскательские работы включают три этапа:
предварительные камеральные работы, заключающиеся в сборе существующих по участку выпуска топографических, гидрологических, геоморфологических и геологических материалов и в проведении их гидролого-морфологического анализа. Последний заключается в определении типа руслового процесса (деформаций) на участке выпуска и выявлении местных факторов, влияющих на ход деформаций, предварительной оценке их средних и экстремальных значений, расчете и прогнозе переформирований русла и поймы на длительный срок (период эксплуатации выпуска);
полевые работы, направленные на уточнение и дополнение данных, полученных в результате предварительных камеральных работ;
окончательные камеральные работы по составлению заключения о русловом процессе на участке выпуска и предварительные рекомендации о назначении створа выпуска, его конструкции и защитных мероприятиях.
По степени подробности изыскательские работы подразделяются на общие и детальные. Оба вида работ производятся совместно.
Общие изыскания направлены на получение типичной схемы деформаций речного русла и поймы, средних и экстремальных значений плановых деформаций, оценку влияния смежных макроформ русла на развитие формы, в пределах которой намечен выпуск. Длина участка общих изысканий должна охватывать морфологически однородный и бесприточный участок реки и, как минимум, 2 - 3 смежные макроформы русла выше и ниже створа выпуска. Общие изыскания на полевом их этапе носят характер рекогносцировочных.
Детальные изыскания направлены на получение подробных данных о деформациях макроформы, в пределах которой размещен выпуск (излучина, парные побочни, начало и конец разветвления русла), о грядовом движении наносов и об особенностях гидравлики потока в разные фазы водного режима. Они носят полустационарный характер, так как должны повторяться в разные фазы водного и ледового режимов. Степень подробности детальных изысканий зависит от значимости выпуска и сложности развивающегося на участке руслового процесса. Детальные изыскания должны проводиться с особой тщательностью, подробностью и большой повторностью в зонах выклинивания подпора водохранилищ, в их нижних бьефах, особенно на участках влияния суточного регулирования.
Предварительные камеральные работы
2. Первоочередной задачей предварительных камеральных работ является сбор картографических (аэросъемочных), гидрологических и геологических материалов по участку выпуска.
Проект рассеивающего выпуска на реке должен быть обеспечен следующими картографическими материалами:
а) обзорной схемой русла и поймы реки, показывающей особенности их взаиморасположения в пределах дна долины на участке длиной 50 - 60 ширин русла выше створа выпуска и на таком же расстоянии ниже створа. Масштаб схемы должен быть не мельче 1:25 000 - 1:100 000. Схема служит для оценки вариантов размещения выпуска;
б) комплектом карт разновременных съемок участка выпуска, позволяющим решить следующие вопросы:
установить тип руслового процесса;
определить скорости плановых деформаций;
выявить связи русловых деформаций на участке выпуска и на смежных участках (возможность прорыва или спрямления смежных излучин, перестройки системы протоков и т.п.).
Комплект карт разновременных съемок может быть представлен съемками различного назначения, приведенными к одному масштабу - топографические карты М 1:25 000 - 1:100 000, лоцманские карты, аэрофотосъемки, землеустроительные планы и т.п.;
в) картографической основой, служащей для полевого картирования характеристик руслового процесса на участке выпуска. Наилучшей основой являются аэрофотоснимки, обеспечивающие возможность обнаружения множества местных ориентиров и тем самым возможность надежной привязки картируемых данных.
При отсутствии или недостатке имеющихся картографических данных по участку выпуска для случаев, в которых предусматривается производство детальных изысканий, необходимо запланировать специальную съемку участка. Наиболее полноценные результаты даст аэрофотосъемка. Длина участка съемки должна быть не менее 6 - 10 смежных макроформ русла, т.е. составлять 50 - 60 ширин русла реки.
При широких многорукавных поймах картографический материал должен охватывать всю ширину поймы и позволить проследить пойменные протоки, пересекаемые водоводом выпуска на всем его протяжении.
Кроме данных, получаемых для нужд проектирования сооружений, собираемые геологические материалы (данные бурения, описания обнажений, расчисток и шурфов, геологические и почвенные карты) должны дать представление о геологическом разрезе русла и поймы до базального горизонта - слоя трудноразмываемых пород и о соотношении состава и мощности пойменной и русловой фаций аллювия и их распределении по площади пойменного массива.
Подлежат сбору гидрологические материалы, позволяющие судить о водном и ледовом режимах участка, скоростях течения, донных отложениях и их гранулометрии, о продольном профиле реки, затопляемости поймы (с оценкой возможных отметок и площадей затопления поймы), расходах наносов по ближайшим к выпуску гидростворам.
Собранные картографические, геологические и гидрологические материалы подлежат гидролого-морфологическому анализу. На основе анализа устанавливаются тип руслового процесса на участке расположения выпуска, скорости деформаций русла и поймы, оценивается влияние деформаций русла и поймы на смежных участках на деформации в предполагаемом створе выпуска.
Гидролого-морфологический анализ исходных материалов в первую очередь предназначен для выбора оптимального по условиям развития руслового процесса створа выпуска.
Тип руслового процесса предварительно выявляется по обзорным картам. На картах намечается практически бесприточный участок с таким расчетом, чтобы его границы располагались соответственно выше и ниже возможного створа выпуска. В пределах выделенного участка наносится граница поймы. Сообразуясь с внешними признаками типов руслового процесса, устанавливается тип процесса, свойственный данному участку. Если обзорная карта оказывается недостаточной для установления типа руслового процесса (например, в случае побочневого типа), необходимо использовать более крупномасштабные карты, аэрофотоснимки, лоцманские и другие карты.
Следующим этапом работ является определение количественных характеристик макроформ, распространенных на участке выпуска. Работа выполняется по лоцманским картам или другим подобным крупномасштабным картографическим материалам.
Измерению подлежат все количественные показатели типа руслового процесса. Эти величины определяются для 10 - 15 смежных макроформ.
Практически работа осуществляется следующим образом.
На карту наносится средняя линия русла (при разновидностях меандрирования - между бровками меженных берегов, при побочневом типе - между урезами воды). Затем глазомерно наносятся точки перегиба этой линии (изменение знака кривизны). После этого определяются измерители процесса. Для полученных рядов значений измерителей вычисляются их средние и крайние значения. Желательно построить кривую обеспеченности этих величин. Пользуясь полученными значениями, следует установить соответствие им измерителей макроформы.
Следующей задачей анализа является оценка скорости деформаций речного русла. Скорость плановых деформаций русла устанавливается на основе сопоставления карт и планов разных лет съемки. Если по участку удалось подобрать карты нескольких лет съемки, то их сопоставление ведется последовательно, по периодам. Это дает возможность связать размеры деформаций с водностью периода и другими факторами и тем самым более обоснованно оценить возможные деформации на будущее время.
На основе данных расчета на сопоставленных картах для участка выпуска наносятся ожидаемые положения русла для всего периода, на который должна быть обеспечена безаварийная работа сооружения.
Для определения возможных изменений высотного положения дна русла производится совмещение продольных и поперечных профилей, снятых с разновременных съемок.
На основе камеральных проработок составляется предварительное заключение о выборе створа выпуска в русле реки.
В заключение должны быть освещены следующие вопросы:
тип руслового процесса на исследуемом участке;
прогноз возможных положений русла за расчетный период работы сооружения для обоснования местоположения створа выпуска;
соображения о целесообразности защиты сооружений выпуска от неблагоприятных воздействий руслового процесса.
Оценка деформаций поймы на участке выпуска производится на основе имеющихся картографических, аэрофотосъемочных, геологических и гидрологических материалов следующим образом:
определяется тип поймы;
выделяется пойменный массив, наносятся контуры массива, через который намечается водовод, а также границы вышележащего и нижележащего массивов;
при наличии крупномасштабных съемок пойменных массивов, пользуясь профилем контура поймы, а также данными о топографии ее поверхности, намечаются и наносятся на картографическую основу линии, соединяющие наиболее пониженные отметки поверхности поймы, как пересекающие весь пойменный массив, так и идущие от периферии поймы к местным аккумулирующим емкостям. Границы последних наносятся по наиболее высоким отметкам по контуру емкости. Для каждой обнаруженной прорвы составляются ее поперечный и продольный профили. Продольный профиль прорвы составляется до соединения прорвы с аккумулирующей емкостью, он обязательно должен фиксировать гребень прорвы;
при отсутствии пойменного массива или при русловом процессе типа пойменной многорукавности желательно, чтобы длина освещаемого участка поймы позволила проследить формирование пойменных течений. При пойменной многорукавности важно установить участки, на которых возможно возникновение поперечных течений на межрукавных участках поймы. По этим причинам указанные выше работы, рекомендуемые для условий меандрирующих рек, должны быть выполнены и в этом случае;
на основе собранных и обработанных материалов устанавливаются участки поймы, наиболее подверженные деформациям, и необходимость расчетов затопления поймы и течений на ней. Устанавливается перечень недостающих материалов и состав полевых работ;
составляется краткое описание участка поймы, в котором оценивается его тип, указываются особенности морфологического и геологического строения, возможный порядок затопления и опорожнения, места развития наиболее интенсивных течений, размывов или аккумуляции наносов.
При гидролого-морфологическом анализе для оценки плановых деформаций рекомендуется следующий прием сопоставления карт.
Карта (план) первого года съемки калькируется. На кальку наносятся контуры бровок берегов русла и элементы отдельных русловых образований (островов, протоков и т.п.), а также надежные местные ориентиры (реперы, здания, мосты, линии дорог и т.п.), имеющиеся также и на съемке второго года. В отдельных случаях могут быть нанесены контуры одноименных горизонталей, показанных на обеих съемках и наиболее четко рисующих положение бровки берега русла. Если рельеф русла показан в изобатах, то необходимо убедиться в том, что одноименные изобаты имеют одинаковые абсолютные высотные отметки, т.е. что съемки выполнены для одного и того же срезочного уровня. Полученная калька накладывается на карту второго года съемки и на нее другим цветом переносится та же ситуация, которая показана на съемке первого года. Для унификации обозначений рекомендуется съемку первого года делать в красном цвете, второго - в черном.
Совмещение карт производится по координатной сетке (если она имеется), а также по идентичным реперам и другим местным ориентирам
(рис. 59). При полном отсутствии надежных ориентиров можно допустить совмещение съемок по принципу наилучшего совпадения.
Рис. 59. План участка реки
а - по съемке 1913 г.; б - по съемке 1960 г.;
в - совмещенные планы 1913 и 1960 гг.
Совмещение рекомендуется производить по коротким участкам, охватывающим 2 - 3 смежные макроформы русла (излучины).
На кальке с совмещенными съемками разбивается произвольная сетка квадратов, после чего съемка первого года и сетка квадратов вновь калькируются. Так же калькируется съемка второго года и по сетке квадратов помещается под съемкой первого года. Совмещенная карта помещается под съемкой второго года. Таким образом на одном листе получаются два сопоставления (размещенных в одной системе координат) плана и в качестве выводного документа - совмещенный план. При побочневом типе руслового процесса и ограниченном меандрировании скорость смещения форм определяется как величина смещения точек перегиба русла за период между съемками.
При свободном и незавершенном меандрировании, русловой и пойменной многорукавности на совмещенных съемках иллюминуются синей вертикальной штриховкой зоны размыва и красной - зоны намыва берегов русла и островов. Одним из критериев правильности совмещения является соответствие выявленных деформаций их ходу, свойственному данному типу руслового процесса. Для каждой из зон размыва и намыва определяются средняя для данной зоны скорость плановых деформаций на таком участке и наибольшее смещение бровок берегов за период между съемками. Вычисляется средняя скорость смещения бровок берегов за год и средняя наибольшая их скорость на данном участке. Затем оцениваются их средние значения для всего участка в целом. Устанавливается соответствие скорости плановых деформаций на макроформе, непосредственно расположенной на участке перехода, ее среднему значению по всему участку.
После выполнения указанных операций производится последовательное совмещение всех последующих съемок, а кроме того, совмещаются первая и последняя съемки.
Данные о скорости деформаций по периодам и за весь период, освещенный съемками, сводятся в таблицу.
Для оценки возможного изменения скорости плановых деформаций в зависимости от изменения водности рекомендуется построить графики, иллюстрирующие ход водности реки за период, освещенный съемками. На этих графиках показывается ход годовых максимальных расходов и уровней воды, ход средних расходов за период половодья и ход средних годовых расходов воды по ближайшим гидростворам.
На графике также показываются периоды, освещенные съемками, и наносятся данные о скорости плановых деформаций русла для этих периодов. Сопоставление хода водности и скорости плановых деформаций должно быть использовано для определения расчетной скорости деформаций, входящей в формулу расчета плановых переформирований русла.
Использование материалов аэрофотосъемки при изучении деформаций русла и поймы реки ускоряет проведение полевых работ и обеспечивает большую полноту получаемых сведений.
Применение имеющихся аэрофотоматериалов позволяет:
дешифровать аэрофотоснимки для получения основных морфологических характеристик русла и поймы и установления типов руслового процесса и типа поймы;
использовать аэрофотоснимки для получения морфометрических характеристик речных русел и пойм, т.е. в измерительных целях;
использовать аэрофотоснимки для получения приближенной схемы течений на пойме;
использовать аэрофотоснимки разных лет для оценки размеров плановых деформаций русла и поймы;
использовать разовый аэрофотоснимок для восстановления хода плановых деформаций речного русла и процесса формирования поймы;
применять аэрофотоснимок в качестве картографической основы при полевом картировании характеристик руслового процесса.
Производство специальных аэрофотосъемок дает возможность:
использовать их в целях, указанных выше;
исследовать процессы затопления и опорожнения поймы и развития на ней системы течений;
вести наблюдения за плановыми деформациями русла и поймы;
вести наблюдения за развитием ледовых явлений в руслах и поймах рек.
Оптимальными масштабами аэрофотоснимков при исследовании русловых образований для рек шириной до 200 - 300 м являются масштабы 1:5000 - 1:15 000, для крупных рек - 1:15 000 - 1:20 000.
Для исследования пойм рек шириной до 200 - 300 м пригодны масштабы 1:10 000 - 1:25 000, для крупных рек - 1:25 000 - 1:50 000. В некоторых особенно сложных случаях может оказаться необходимым комбинировать крупные и мелкие масштабы.
Для оценки руслового процесса наибольшее значение имеют контактные отпечатки, позволяющие благодаря стереоэффекту видеть местность объемно, и фотосхемы, дающие возможность обзора больших территорий.
Обнаружение морфологических образований в русле и на пойме реки осуществляется непосредственно при просмотре аэрофотоснимков, с использованием признаков русловых форм. Рассмотрение пар смежных контактных отпечатков под стереоскопом позволяет детализировать особенности их строения.
На аэрофотоснимке оконтуриваются участки поймы с разным характером поверхности (лес, кустарник, луг, болото, пашня, огороды, сады) для оценки шероховатости поймы, а также выделяются внешние границы поймы, системы различно ориентированных и разновысотных систем вееров перемещения русла, районы распространения эрозионных и аккумулятивных образований на пойме, наиболее пониженные и повышенные участки.
Внешний контур пойм определяется по наличию уступа надпойменной террасы, по отсутствию следов вееров перемещения русла. Иногда границу поймы можно обнаружить по отложениям мусора в волноприбойной полосе (граница разлива предшествующего половодья).
Приемы использования аэрофотоснимков для получения морфометрических характеристик русла не отличаются от рекомендуемых при использовании обычных карт.
Для получения по аэрофотоснимку вероятной схемы течений выделяются контуры поймы на аэрофотоснимке и обнаруживаются прорвы (их контуры). Местоположение прорв обнаруживается достаточно хорошо при стереоскопическом их рассмотрении.
Обнаруживаются возможные пути перемещения и аккумуляции воды на пойме - по характеру ее поверхности. Эти элементы иллюминируются на снимке гуашью. Обнаруживаются также участки первоочередного выхода воды в низовой части пойменного массива.
Затем на иллюминированный снимок накладывается калька, на которую копируются основные контуры и наносятся предположительные линии токов воды, возникающие на пойме при ее затоплении.
Так как схемы течений различны при разной степени затопления поймы, то подобные кальки со схемами течений составляются для разных фаз половодья раздельно для его подъема и спада и для лет с малой, средней и большой затопляемостью поймы.
Схема пойменных течений, установленная по аэрофотоснимкам, может использоваться при выборе створа выпуска и мест расположения его сооружений. При необходимости разместить выпуск в районе сосредоточенных течений необходимо выполнение специальных расчетов скоростей течения.
Следует иметь в виду, что эти схемы приближенны и для детальных расчетов необходимо получение натурных данных.
В работе желательно пользоваться фотопланами или уточненными фотосхемами, лишенными искажений масштаба. При пользовании контактными отпечатками следует помнить, что наименьшей разномасштабностью они обладают в своих центральных частях. Это учтено при составлении простых фотосхем, которые дают при сопоставлении меньшие искажения. Перед сопоставлениями необходимо добиться одномасштабности съемок, пользуясь для этого расстояниями между идентичными местными ориентирами, опознаваемыми на съемках разных лет.
Работы по определению плановых деформаций русла в поле с использованием аэроснимка заключаются в следующем.
На участках подмываемых берегов путем сличения аэрофотоснимков с местностью выбираются идентичные местные ориентиры, позволяющие опознать магистраль на аэроснимке и на местности. Магистраль закрепляется на местности вехами, и от нее до бровки берега, под определенными постоянными углами, разбиваются поперечники, и по ним замеряется расстояние между магистралью и бровкой берега. Расстояния откладываются в масштабе аэрофотоснимка от магистрали, и определяется положение бровки берега на момент производства работ. Сличение положения бровки старого берега и перенесенного с натуры дает возможность вычислить деформации за время между производством аэрофотосъемки и проведением полевых работ.
Восстановление прежних положений русла по аэрофотоснимкам основывается на том, что в процессе плановых перемещений русла на участках поймы, примыкающих к выпуклым берегам реки, сохраняются следы прежних береговых валов в виде вееров перемещения, рисунок которых хорошо согласуется с контуром современного русла.
Для восстановления прежнего положения одной излучины необходимо иметь изображение смежных излучин. Из контактных отпечатков этих излучин составляется накидной монтаж (отпечатки накладываются один на другой сходящимися контурами и закрепляются кнопками). На накидном монтаже очерчивается произвольная рамка, ограничивающая исследуемый участок. Затем на снимки накладывается калька. На нее переносятся эта рамка и линии прежних береговых валов, достаточно четко обнаруживаемые на аэрофотоснимках. Эти линии называются опорными. Например, необходимо восстановить положение русла, соответствующее опорной линии
m-m (рис. 60). Эта линия находится на правобережной пойме и отображает прежнее положение правобережного берегового вала. Отложив в ряде точек этой линии по нормали к ней отрезки, равные приблизительно ширине русла, получим примерное положение левого берега. Как видно на
рис. 60, эта восстановленная линия хорошо согласуется с некоторой опорной линией на смежных левобережных участках поймы (на
рис. 60 линия
n-n), где эти линии соответствуют левобережным береговым валам. Восстановленные от линии
n-n вспомогательные линии, выражающие положение правого берега, хорошо согласуются с опорной линией
m-m. На
рис. 60 показаны два восстановленных положения русла. Для детального восстановления всей излучины можно получить достаточное число последовательных плановых положений. Для этого нет необходимости проводить опорные линии через все сохранившиеся следы прежних валов. Эти линии могут проводиться через 10 - 20 следов на фотоснимке.

Рис. 60. Восстановление прежних положений русла
по веерам перемещения
1 - контуры современного русла; 2 - линии вееров перемещения
(опорные линии); 3 - линии прежних вогнутых берегов,
восстановленных по опорным линиям; 4 - восстановленные
прежние положения русла
Применение аэрофотоснимка в качестве картографической основы при полевом картировании не нуждается в пояснении. Можно только отметить, что таким путем достигается особенно надежная привязка полевых данных к плану.
Специальные аэрофотосъемки необходимы в случаях, когда отсутствуют картографические материалы, а также когда необходимо получить особенно подробные данные об участке.
Аэрофотосъемка в общих картографических (топографических) целях регламентируется соответствующими инструкциями и наставлениями и может быть заказана любому авиаотряду, ведущему подобные работы. Непосредственного участия гидролога в подобных работах не требуется.
Исследование процессов затопления и опорожнения пойм и развития на них пойменных течений, а также наблюдения за плановыми деформациями русла и развитием ледовых явлений, как правило, требуют участия гидролога.
Аэрогидрометрические работы заключаются в сбросе специальных поплавков и их фотографировании с самолета через определенные интервалы времени. Это дает возможность проследить траекторию поплавка и вычислить скорость его перемещения.
Составление фотосхемы требует 5 - 6 дней, обработка данных одного гидроствора - не более 1 дня при числе поплавков более 30.
Створы, в которых сбрасываются поплавки, выбираются заблаговременно по аэрофотоснимку незатопленной поймы или на основе авиаразведки. Они размещаются с расчетом освещения скоростного поля в русле реки и по всей периферии пойменного массива, а также на границах аккумулирующих емкостей. При неполном затоплении они должны освещать скорости течения во всех прорвах по бровке поймы, а также на внутренних прорвах. Аэрогидрометрические работы могут выполняться при том же залете, что и съемка контуров затопления. Вначале снимается общая площадь поймы, а при втором и третьем заходах сбрасываются и фотографируются поплавки.
Полевые работы
3. Основной задачей полевых работ является получение тех сведений, которые не удалось собрать камеральным путем. Полевые работы выполняются в составе общих и детальных изысканий. Состав сведений, получаемых при производстве общих и детальных изысканий, одинаков. Различаются они степенью подробности данных и способами изложения результатов работ.
По способам производства выделяется несколько видов полевых работ:
морфологическая съемка русла и поймы реки;
топографические съемки, подразделяющиеся на разовые и детальные;
гидрометрические работы.
Цели и состав полевых работ при разных типах руслового процесса различны.
При побочневом типе руслового процесса полевые работы должны быть направлены на уточнение данных о подвижности побочней и размываемости участков берегов между смежными побочнями.
Эта задача может быть решена с помощью рекогносцировочного обследования, во время которого основное внимание должно быть обращено на выявление гребней перекатов, побочней и ленточных гряд и оценку их подвижности с помощью повторных промерных работ, а также картирование бровок берегов на участках между побочнями.
Участок рекогносцировочного обследования должен охватывать не менее трех смежных побочней.
При ограниченном меандрировании полевые работы должны быть направлены на уточнение скорости сползания излучины и оценку устойчивости поверхности пойменного массива. Задача решается путем полевого картирования. Основное внимание обращается на оценку величины смещения вогнутых берегов излучин. Картирование эрозионных и аккумулятивных образований производится на пойменном массиве, пересекаемом водоводом выпуска. Картирование береговых бровок, предназначенное для определения скорости плановых деформаций русла, осуществляется не менее чем по трем смежным излучинам.
При свободном меандрировании полевые работы выполняются для установления величины и скорости плановых деформаций русла, последовательности процесса затопления и опорожнения пойменного массива и выявления сосредоточенных течений в пойме, а также для определения стадии развития не менее чем трех излучин, смежных со створом выпуска.
Особое внимание следует обратить на выполнение аэрофотосъемочных и аэрогидрометрических работ. Во всех случаях необходимо рекогносцировочное обследование берегового вала и повышенной прирусловой части поймы в период ее затопления для выявления прорв и мест сосредоточенного перелива воды через береговые валы.
В наиболее ответственных случаях, когда возникает потребность последующего расчета частичного или полного поля скоростей в русле и пойме, необходимы более полные сведения, включающие съемку рельефа русла, а на пойме - профиля по наиболее возвышенной прибереговой ее части, топографическую съемку участков прорв в береговых валах и внутрипойменных преградах, сведения о мгновенных значениях уровня воды в русле реки и разных частях пойменного массива (в различных пойменных емкостях).
При незавершенном меандрировании кроме решения тех основных задач, которое требуется для оценки особенностей свободного меандрирования, особое внимание должно быть обращено на выявление возможностей образования спрямляющих протоков (направление, возможные размеры и сроки их появления, характер деформаций спрямлений).
При наличии пойменной многорукавности основными являются выяснение схемы взаимодействия смежных протоков, установление типа руслового процесса в каждом из них и оценка скоростей их деформаций и устойчивости поймы на межпроточных участках (островах).
Выяснение этих вопросов требует особого внимания и применения аэросъемочных и аэрогидрометрических работ при сохранении полного комплекса наземных работ.
При русловой многорукавности главное внимание должно быть уделено плановым деформациям основного русла, островов и протоков. Для этого необходимо оценить подвижность осередков и береговых бровок, определить границу полосы, в пределах которой возможны плановые перемещения русла и размываемость поверхности этой полосы. Ширина полосы определяется по следам прежних протоков и по границам предельного затопления.
При всех типах руслового процесса необходимо выполнить наблюдения за движением микроформ на участке выпуска. Во время этих наблюдений должны быть выяснены размеры и скорости смещения микроформ в разные фазы водного режима, особенности их распределения в русле реки и основные трассы перемещения, оценено влияние микроформ на заносимость патрубков выпуска.
Основным средством получения данных о грядовом движении наносов является продольное эхолотирование на участке выпуска, т.е. в пределах по крайней мере макроформы русла (излучины, парных побочней, осередка, острова и т.п.). Продольники прокладываются не менее чем по 5 - 6 параллельным маршрутам, с тем чтобы охватить по возможности все поле движущихся гряд и оценить разницу в их размерах и скоростях перемещения на характерных участках макроформы (в разном удалении от берега, на перекатах и в плесах, по периферии осередков, островов и т.п.). Серии эхолотирования необходимо осуществить на подъеме, пике и спаде половодья, в летнюю межень, а также желательно и при ледоставе.
Морфологическая съемка представляет собой комплекс приемов по выявлению на местности характеристик руслового процесса. Их получают на основе рекогносцировочного обследования, сопровождающегося картированием морфологических элементов русла и поймы реки и гидравлических особенностей потока. Съемка выполняется после проведения предварительных камеральных работ по оценке руслового процесса. В зависимости от полноты данных, получаемых в результате предварительных камеральных работ, съемка может быть выполнена по полной или частичной программе.
Картирование осуществляется на заранее подготовленной картографической и аэрофотосъемочной основе возможно более крупного масштаба или наиболее современной по времени съемки. Картографическая основа, если она представлена аэрофотоснимком, должна быть подготовлена заблаговременно. На ней должны быть указаны названия населенных пунктов и гидрографической сети, разбит километраж (через 1 км, с разметкой через 100 - 200 м). Если имеется только контактная печать, то предварительно из нее составляется простая фотосхема участка, контактные отпечатки обрезаются по сходящимся контурам и путем наклеивания на жесткую основу (картон, фанеру) соединяются в фотосхему. Нанесение данных в поле рекомендуется выполнять гуашью.
Рекогносцировочное обследование русла и поймы выполняется путем маршрутных обходов. Как минимум, назначаются три маршрута: вдоль контура поймы (русла), по наиболее пониженной притеррасной части и вдоль трассы проектируемого водовода. При обходе по береговой линии исследуемого массива или объезде его на лодке на картографическую основу наносятся:
подмываемые и намываемые участки берега и положение бровки на момент обследования;
положение основных морфологических образований в русле реки (побочней, пляжей, осередков, островов, гребней перекатов, подводных кос);
положение гребня (наиболее возвышенной части берегового вала);
местоположение и контуры в плане прорв и пониженных участков в береговых валах, контуры выносов наносов из них на пойму и направление временных или постоянных русел, если они имеются;
местоположение (номера) описываемых обнажений и закладываемых шурфов; шурфы закладываются с расчетом дать разрез берегового вала или побочня, осередка, острова;
характер поверхности берега в прирусловой части (задернованность, распаханность, кустарники, лес и т.п.);
отметки высот берега над уровнем (в момент обследования) воды в русле, определяемые выборочной нивелировкой или ватерпасовкой; работа производится в случае, если не предполагается нивелировка гребня берегового вала;
места первоочередного выхода воды на пойму;
наличие в прорвах песчаных гряд, их размеры (высота, длина) и ориентировка их гребней.
Рекомендуемые условные обозначения приведены на
рис. 61.
Рис. 61. Условные знаки для морфологического картирования
1 - общая граница поймы; 2 - граница среднего разлива;
3 - граница незатопляемых участков на пойме; 4 - граница
угодий или участков с редкой растительностью; 5 - хорошо
выраженный грядовый рельеф на пойме (соблюдается
соответствующая натуре ориентировка, если нет
аэрофотоснимков; числитель - средняя высота гребня над дном
ложбины, знаменатель - среднее расстояние между вершинами
гребней); 6 - то же, но плохо выраженный; 7 - мелкие
промойки (рытвины) на пойме; 8 - крупные размывы
при изображении в масштабе плана (числитель - средняя
глубина, м, знаменатель - площадь, м2); 9 - подмываемые
участки берега, его высота; 10 - намываемые участки берега,
его высота; 11 - подмываемые участки склонов долины, их
высота; 12 - новое положение бровки подмываемого берега,
порядковый номер участка размыва; 13 - новое положение
бровки намываемого берега, порядковый номер участка намыва;
14 - места прорывов береговых валов; 15 - направление
течений в начале подъема уровня; 16 - то же, в конце
подъема; 17 - пик (начало спада); 18 - середина спада;
19 - конец спада; 20 - местоположение шурфов, их номер;
21 - площадки для наблюдений за наилком, их порядковый
номер; 22 - кустарник; 23 - лес; 24 - осоки; 25 - хвощи;
26 - тростник; 27 - заболоченные участки; 28 - свежие
отложения на пойме и порядковый номер скопления;
29 - мелиоративная сеть и направление течения на ней;
30 - обвалования (искусственные); 31 - места интенсивного
выноса наносов из оврагов и другой временной сети;
32 - притоки, выносящие большое количество наносов;
33 - притоки с мутностью, меньшей, чем главной реки;
34 - участки русла с хорошо выраженным грядовым движением
наносов (числитель - средняя высота, знаменатель - длина
гряд); 35 - появление травяной растительности на поверхности
скоплений наносов в русле; 36 - песок (мелкий - м.,
средний - ср., крупный - кр.); 37 - иловатые пески;
38 - слоистые пески; 39 - пески с глинистыми прослойками; 40
- выходы скальных пород; 41 - гравий; 42 - галька;
43 - валуны; 44 - глина; 45 - суглинки; 46 - илы;
47 - порядковый номер скоплений наносов в русле;
48 - топляки в русле; 49 - плитняк; 50 - граница
морфологически однородных участков; 51 - гидростворы;
52 - местоположение поперечных профилей речной долины;
53 - километраж по средней линии русла и пикеты (через 100
м); 54 - участок выхода на поверхность воды придонных
водоворотов и границы этих участков; 55 - область воронок
на поверхности воды; 56 - область остановившихся волн
(числом показана длина волны, см)
Второй маршрут прокладывается по наиболее пониженным участкам поймы от наибольших по размерам верховых прорв до низовой части поймы. Цель его - проследить условия развития возможного транзитного течения на пойме.
При этом маршруте отмечаются местоположение порога прорвы, границы выноса песка из прорвы, характер поверхности обследуемого понижения (рельеф поверхности, задернованность, кустарники, деревья, распаханность и т.п.), местоположение и особенности эрозионных образований, в том числе внутренних прорв, возможные контуры местных западин, могущих быть аккумулирующими емкостями. Берутся шурфы (до глубины 1,5 - 2 м), помечается их местоположение и дается описание разрезов.
Третий маршрут (обязательный) должен проходить вдоль трассы водовода и включать те же элементы, что и при втором маршруте. Особое внимание должно быть обращено на картирование близлежащих прорв, в которых могут возникнуть местные течения, с обязательной оценкой их размеров и ориентировки.
При этом обходе должны быть предварительно намечены и картированы места расположения сооружений выпуска, в которых обязательно намечаются шурфы и определяется гранулометрический состав слоев грунта в разрезах этих шурфов.
При выполнении трех маршрутов исполнитель должен иметь схемы течений, намеченные камеральным путем, для внесения в них коррективов. Полевое картирование должно сопровождаться краткими описаниями картируемых элементов и иллюстрироваться фотографиями
(рис. 61).
Топографические работы на участке выпуска выполняются независимо от наличия материалов прежних лет. Топографическая съемка русла производится в масштабе не мельче 1:10 000, а для рек шириной до 200 м - в масштабе 1:5000. Длина участка съемки должна составлять не менее 5 - 6 смежных макроформ речного русла.
Кроме съемки русла должны быть выполнены следующие работы:
прокладка теодолитного хода по контуру поймы (гребням береговых валов) и нивелировка этого хода с привязкой к уровню воды в момент обследования;
планово-высотная съемка всех прорв с получением их поперечных сечений, точек перегиба продольного профиля в масштабе не мельче 1:2000;
прокладка теодолитного хода по наиболее пониженным участкам поймы и его нивелировка;
прокладка и закрепление на местности магистрали на участках подмываемых берегов для последующих полевых определений скоростей их подмыва.
Гидрометрические работы выполняются в межень и в половодье. В межень выполняются следующие виды работ:
организация уровенных постов в начале и конце участка выпуска (включая пойменные массивы) и производство на них срочных наблюдений;
продольная нивелировка свободной водной поверхности для получения данных о распределении падений уровня воды между плесами и перекатами по всей длине участка;
нивелировка меток высоких вод по всей площади поймы;
продольные промеры русла для получения данных о грядах и скоростях их перемещения;
взятие проб донных отложений, выявление распределения крупности донных отложений по всей длине русла и в пределах отдельных побочней, осередков, островов, подводных гряд;
измерение скоростей течения в пределах исследуемого участка;
картирование местоположения обратных течений в русле, восходящих и нисходящих вихрей, стоячих волн и других форм кинематической структуры потока.
В особо ответственных случаях - при прокладке водовода выпуска через широкие, сильно затапливаемые поймы - выполняются специальные гидрометрические работы.
Следует различать гидрометрические работы, выполняемые при частичном и полном затоплении поймы.
Гидрометрические работы при частично затопленной пойме должны включать:
организацию двух уровенных постов в русле на границах изучаемого участка для привязки к многолетним наблюдениям, организацию сети постов в основных аккумулирующих емкостях и на береговых и внутрипойменных прорвах для определения величины перепада уровней в них;
промерные работы, измерение скоростей течения и расходов воды в верховых, низовых и внутрипойменных прорвах.
Гидрометрические работы при полностью затопленной пойме сводятся:
к определению отметок свободной водной поверхности в начале и конце участка, а также по площади поймы, что достигается, как и в предыдущем случае, установкой сети постов;
к определению скоростей течения и глубин русла над бровкой внешнего контура поймы. В этих целях можно ограничиться продольным промером глубин наметкой по контуру поймы и поплавочными измерениями скоростей течения при переливе воды через бровку берега.
При гидрометрических работах применяются обычные стандартные приборы и методы измерения в соответствии с наставлениями и инструкциями, принятыми в системе Госкомгидромета.
В итоге полевых работ должен быть составлен отчет, включающий три части.
В первой части должны содержаться обоснование цели работ, сведения о сроках их проведения, условиях работы и основных методических приемах.
Вторая часть должна содержать краткое описание гидрологической обстановки во время работ: описание водного и ледового режимов, график хода уровней воды за период работы, график связи уровней воды с постом, имеющим длительный ряд наблюдений, и приведенные к нему уровни воды на участке наблюдений.
В третьей части приводятся краткая характеристика типа руслового процесса (уточнение данных камеральных работ), хода деформаций за период полевых работ и нижеследующие отчетные документы:
схема исследуемого участка русла и поймы с показанием границ участка (поймы), магистральных ходов, гидростворов, участков измерения деформаций, закладки шурфов и т.п.;
планы участков с показанием измеренных деформаций;
планы, поперечные и продольные профили прорв;
продольный профиль по контуру поймы;
положение урезов воды на затопленной пойме в разные фазы половодья;
схемы течений с векторами их скоростей по гидростворам и по отдельным фрагментам русла и поймы в разные фазы водного режима;
съемки рельефа незатопленной поймы (при наличии ранее имеющихся съемок);
продольный профиль по трассе водовода и съемка полосы местности вдоль него;
разрезы обнажений и шурфов;
картограммы гранулометрического состава донных отложений.
При составлении отчета о полевых работах необходимо увязать все полученные данные с данными предварительного камерального анализа руслового процесса.
В особых случаях может понадобиться организация стационарных наблюдений на участке рассеивающего выпуска.
Стационарные наблюдения должны организовываться на участке выпуска на крупных реках в случаях, когда по данным камеральных и полевых работ оказывается затруднительно судить о режиме деформаций. Они требуются также на участках ранее построенных выпусков, находящихся под угрозой русловых и пойменных деформаций, развивающихся в естественных условиях или возникающих в результате проведения инженерных мероприятий в пойме и русле реки.
Проведение цикла стационарных наблюдений следует предусматривать в проектах крупных выпусков.
В особо ответственных случаях требуется открытие постоянно действующих уровенных постов и наблюдательных створов, обычно же можно ограничиваться экспедиционными, но систематическими полевыми работами.
Состав стационарных русловых наблюдений рекомендуется следующий:
организация уровенного поста в створе выпуска с производством на нем наблюдений за уровнями воды, ледовыми явлениями, скоростями течения за период половодий и паводков;
организация наблюдений за деформациями русла и поймы, в том числе за движением песчаных гряд;
наблюдения на постоянно закрепленных створах за смещениями бровок берегов главного русла реки и на протоках в створах на наиболее угрожаемых участках;
наблюдения за кинематической структурой потока.
Створы размещаются с расчетом освещения всего участка, подвергающегося деформациям. В случае, если деформации на участке выпуска связаны с переформированиями смежных участков русла, необходимо также организовать наблюдения на этих участках.
Наблюдения за плановыми деформациями сводятся к систематическим (4 - 5 раз за половодье) промерам расстояний от бровки берега до постоянного начала, нанесению этих данных на картографическую основу и составлению описания хода деформаций и текущей гидрологической обстановки.
На неустойчивых поймах необходимо организовать наблюдения за переформированиями их поверхности. Наблюдения проводятся на угрожаемых участках, которые устанавливаются на основе ранее произведенных работ и маршрутного обследования.
Первый обход (рекогносцировочный) производится до начала затопления поймы или в межень, остальные 4 - 5 раз - в период половодья с освещением обстановки на подъеме и спаде уровня воды в реке. При этом производится обмер эрозионных образований и устанавливаются их возможные причины. Особое внимание следует обратить на выяснение причин возникновения повышенных скоростей течения, их величину и направление, источники и пути поступления льда, направления ветров, вызывающие сильное волнение (устанавливаются по ориентировке разрушений, вызванных волнением). На сильно деформирующихся участках, на которых возникает угроза сохранности сооружений выпуска, может потребоваться не только объезд, но и организация уровенного поста, гидроствора и систематических наблюдений за деформациями эрозионных и аккумулятивных образований.
По каждому участку стационарных наблюдений в русле и на пойме реки должны составляться:
описание хода русловых и пойменных деформаций по материалам предшествующих камеральных и полевых исследований и задача стационарных исследований;
схемы деформаций русла и поймы (последовательные по времени положения бровок берегов), полученные при предшествующих исследованиях;
схемы течений в русле и на пойме (направление, скорости);
документация работы уровенного поста;
схемы деформаций гряд, полученные в результате наблюдений на стационарном участке, с пояснительной запиской к ним;
схемы участков наблюдений на пойменных участках с показанием деформаций и пояснительной запиской к ним.
Материалы стационарных наблюдений должны сообщаться проектирующей организации, а также организации, ведающей эксплуатацией и ремонтом выпуска при возникновении угрозы сохранности его сооружений и в конце каждого срока наблюдений.
ОПРЕДЕЛЕНИЕ ХАРАКТЕРИСТИК СТРУИ СТОЧНЫХ ВОД В СТВОРЕ
ЗАВЕРШЕНИЯ НАЧАЛЬНОГО РАЗБАВЛЕНИЯ
Основными факторами, определяющими интенсивность начального разбавления, являются конструкция оголовка, способ сопряжения струи выпуска с речным потоком и соотношение скорости струи выпуска со скоростью речного потока.
В табл. 18 приведены данные о длине зоны начального разбавления
(графа 2), о величине уменьшения начальной концентрации в среднем по сечению струи и о ширине струи выпуска в створе завершения начального разбавления в зависимости от разных вариаций, определяющих начальное разбавление факторов.
Таблица 18
Характеристики струи сточных вод в створе завершения
начального разбавления
Отношение скорости выпуска к скорости потока | Расстояние от створа выпуска до створа завершения начала разбавления, м | Кратность уменьшения среднего значения начальной концентрации | Ширина струи выпуска в плане, м | Индекс варианта |
1 | | 3 | 4 | 5 |
Трубчатый оголовок со встречным конусом |
Выпуск донный (вертикально от дна к поверхности) |
1 | 8 | 126 | 1,9 | Iа |
3 | 10 | 288 | 2,5 |
6 | 15 | 504 | 3,5 |
10 | 18 | 1232 | 7,7 |
Выпуск надводный (вертикально с высоты 0,5 м от поверхности потока) |
1 | 5 | 65 | 0,8 | Iб |
3 | 10 | 293 | 2,2 |
6 | 15 | 462 | 3,1 |
10 | 17 | 720 | 4,8 |
Трубчатый оголовок с коническим растекателем |
Выпуск донный (под углом 30° к поверхности по течению) |
1 | 8 | 99 | 1,1 | IIа |
3 | 15 | 308 | 2,5 |
6 | 25 | 600 | 4,1 |
10 | 28 | 1250 | 8,6 |
Выпуск надводный (вертикально с высоты 0,5 от поверхности потока) |
1 | 2,5 | 35 | 0,6 | IIб |
3 | 5 | 151 | 1,3 |
6 | 10 | 369 | 2,7 |
10 | 20 | 1261 | 8,7 |
Трубчатый оголовок с коническим растекателем и кольцевыми диафрагмами |
Выпуск донный (под углом 30° к поверхности по течению) |
1 | 5 | 92 | 1,2 | IIIа |
3 | 10 | 270 | 2,4 |
6 | 11 | 480 | 3,5 |
10 | 12 | 685 | 4,8 |
Выпуск надводный (вертикально с высоты 0,5 м от поверхности потока) |
1 | 4 | 81 | 1,0 | IIIб |
3 | 7 | 214 | 2,6 |
6 | 10 | 468 | 5,1 |
10 | 15 | 1441 | 10 |
Данные
табл. 18 приведены для трех типовых вариантов рассеивающих оголовков, разработанных ГПИ Ленводоканалпроект, для одного типоразмера оголовка с диаметром подводящей трубы, равным 274 мм.
Для пользования
табл. 18 в различных конкретных ситуациях рекомендуется следующий порядок. По значению скорости потока в месте предполагаемого размещения рассеивающего выпуска и выбранному соотношению ее со скоростью выпуска определяется скорость истечения из оголовка. По скорости истечения из оголовка и площади его устьевого сечения определяется расход сточных вод через один оголовок. По соотношению суммарного и частного расходов сточных вод определяется число рассеивающих оголовков. По числу рассеивающих оголовков и ширине струи выпуска в створе завершения начального разбавления определяется общая ширина фронта рассредоточения сточных вод.
Расчет повторяется при необходимости несколько раз (для разных величин соотношения скоростей выпуска и потока) до получения оптимальных характеристик (фронта рассредоточения, скорости истечения из оголовка, расхода сточных вод из одного оголовка).
Приведенным в
табл. 18 значениям соотношений скоростей выпуска и потока (при постоянном диаметре оголовка) соответствуют во столько же раз изменяющиеся расходы выпуска. Увеличение скорости выпуска при постоянном расходе его (с соответственным уменьшением площади сечения устья оголовка) не изменяет общего характера гашения струи выпуска, но совершается на несколько меньших расстояниях от створа выпуска, поэтому приведенные в
табл. 18 данные могут быть использованы и в случаях соответственного уменьшения расходов выпуска.
Для определения максимальной концентрации в загрязненной струе при переходе от зоны начального разбавления к зоне основного разбавления рекомендуется соотношение

(184)
где cср - средняя концентрация вещества в загрязненной струе, определяемая по кратности начального разбавления.
ОБЩИЕ СВЕДЕНИЯ О ГИДРОМЕТЕОРОЛОГИЧЕСКОМ РЕЖИМЕ ВОДОЕМОВ,
ЦИРКУЛЯЦИИ ВОД И ДИНАМИКЕ БЕРЕГОВОЙ ЗОНЫ
Основные характеристики гидрометеорологического
режима водоемов
1. Для обеспечения проектирования, строительства и эксплуатации гидротехнических сооружений на водоеме необходимы сведения о режиме следующих гидрометеорологических элементов: уровня, ветра, волнения, течений, термики и ледовых явлений. Сведения о режиме перечисленных элементов используются также при решении вопросов оценки вдольбереговых перемещений наносов, при определении обратимых высотных деформаций дна, плановых переформирований берега и т.п.
Режим колебания уровня, обусловленный изменениями соотношений между стоком и притоком вод в водоем, а также динамическими явлениями (ветровыми сгонами-нагонами, сейшами), необходимо учитывать как при выборе высотных отметок конструктивных элементов гидротехнического сооружения, так и при расчетах ветровых волн, течений, перемещений наносов и других явлений. По материалам наблюдений за уровнем на ближайшем к участку строительства гидрологическом посту вычисляются средние суточные, средние месячные и средние годовые уровни, а также выбираются экстремальные уровни за календарные месяцы, за безледоставный период и за год. По перечисленным данным строятся графики внутригодового и сезонного хода уровня за многолетний период, а также кривые повторяемости и обеспеченности в соответствии с требованиями "Руководства по определению расчетных гидрологических характеристик" (1973). По многолетней эмпирической кривой обеспеченности определяются расчетные значения уровня.
Для водоемов с выраженными динамическими колебаниями уровня по данным наблюдений производятся также выборка и последующая статистическая обработка сведений по ветровым сгонам-нагонам и по сейшевым колебаниям уровня.
Сведения о скорости и повторяемости ветров необходимы для расчетов элементов волн, сгонов-нагонов уровня, ветровых и волновых течений, деформаций дна и берега, ледовых нагрузок.
Наиболее полно режим ветра может быть представлен таблицами повторяемости ветров различных градаций скорости по направлениям, составленными по данным наблюдений на ближайшем к участку строительства метеорологическом пункте. По таким таблицам, составленным для отдельных сезонов, для безледоставного периода или для всего года, строятся интегральные кривые обеспеченности, по которым легко определить расчетные значения скоростей ветра заданной повторяемости. Достаточно полные сведения о режиме ветра содержатся в Справочнике по климату СССР Росгидромета (ч. III, Ветер).
Сведения о непрерывной продолжительности действия ветров различной скорости и разных румбов, необходимые для расчетов волн и ветровых течений, можно получить путем обработки данных метеорологического пункта.
Сведения о режиме волнения необходимы для определения волновых нагрузок на сооружения, для расчетов скорости волновых и ветровых течений, для оценки взмучивания донных отложений и перемешивания вод по вертикали. Необходимы они также для расчета процессов, происходящих в береговой зоне: переформирований берега, вдольбереговых течений, мутности воды, вдольбереговых перемещений наносов, высотных деформаций дна и т.п. Для расчета элементов волн необходимо располагать сведениями о режиме ветров, топографией водоема и руководствоваться требованиями главы СНиП по нагрузкам и воздействию на гидротехнические сооружения (волновым, ледовым и от судов).
Режимные характеристики волнения на открытой акватории водоема определяются по режимным характеристикам ветра, т.е., например, повторяемость вычисленной высоты волн конкретного направления распространения принимается равной повторяемости ветра соответствующей скорости и направления.
К числу важнейших динамических характеристик водоема относятся характеристики режима течений. В водоемах действуют стоковые, ветровые, волновые, сейшевые и плотностные течения, которым принадлежит главная роль, например, в процессах переноса и разбавления сточных вод. Отсутствие течений создает условия для накопления сточных вод в местах их сброса и условия повышения концентрации загрязняющих веществ до сверхкритических значений. Течения в некоторых случаях обусловливают перенос сточных вод к водозаборным сооружениям, к местам рекреации или к нерестилищам, где по санитарным нормам не допускается появление каких-либо загрязняющих воду веществ.
Наиболее достоверные сведения о характеристиках режима течений можно получить по данным длительных регулярных наблюдений в нескольких репрезентативных пунктах водоема или по данным, сочетающим регулярные наблюдения в 1 - 2 пунктах со съемками течений при характерных гидрометеорологических условиях. В случае отсутствия таких данных режимные характеристики течений рекомендуется определять приближенно путем использования расчетных методов и учета реального режима ветра над водоемом.
Сведения о ледовом и термическом режимах водоема необходимы для решения вопросов ледовых нагрузок на сооружения, для установления периодов затруднений водообмена и разбавления сточных вод при наличии ледяного покрова, шуги, стратификации плотности вод по глубине и т.п. Из характеристик ледового режима наибольший интерес представляют сведения о продолжительности периода ледовых явлений и ледостава, о датах установления и разрушения ледяного покрова, о толщине льда и мощности скоплений шуги на участке размещения гидротехнического сооружения.
Термический режим водоема характеризуется графиками хода температуры воды за безледные периоды, графиками распределения температуры по глубине в различные сезоны года и наиболее теплые месяцы, а также сведениями о максимальных, средних месячных и декадных температурах, о глубине расположения скачка температуры, о продолжительности периодов сохранения устойчивой стратификации температуры по глубине и т.п.
Основные характеристики режима и динамики зоны
прибрежного мелководья
2. Сбросные сооружения на внутренних водоемах часто приходится размещать в пределах зоны прибрежного мелководья. Ширина зоны прибрежного мелководья изменяется в зависимости от уклона дна и может составлять от нескольких десятков метров до нескольких километров. Изменяется она фактически и в зависимости от параметров ветровых волн - от минимальных размеров при слабом волнении до максимальных - при сильных штормах. В целях унификации терминологии ширину этой зоны условно принято определять в соответствии с элементами наибольших штормовых волн, ограничивая ее глубинами (1,5 - 2)hмакс <= H <= (8 - 12)hмакс. На участках крупных водоемов с пологим дном береговую границу зоны рекомендуется проводить примерно по линии с глубинами 1,5 - 2 м, а внешнюю границу зоны - по линии с глубинами 7 - 10 м.
Зона прибрежного мелководья характерна в гидродинамическом отношении. В ее пределах по мере продвижения от внешней границы в сторону берега увеличивается степень влияния дна на движение частиц воды и на элементы волн (трансформацию и рефракцию), увеличивается доля волнового переноса вод и постепенно уменьшается доля дрейфового течения, увеличиваются повторяемость вдольбереговых течений и турбулизация вод. В результате увеличения повторяемости течений, направленных вдоль берега, зона распространения сточных вод и зона влияния сточных вод на качество вод в водоеме оказываются вытянутыми вдоль берега и как бы "прилипают" к нему. Последнему способствует замедленность водообмена между глубоководной зоной и зоной прибрежного мелководья.
В зоне прибрежного мелководья могут наблюдаться обратимые и необратимые высотные деформации дна, величина которых увеличивается по направлению от внешней к береговой границе. У внешней границы высотные деформации составляют от нескольких миллиметров до нескольких сантиметров за год, а у береговой границы могут достигать нескольких десятков сантиметров за год. Мутность воды в рассматриваемой зоне примерно на один-два порядка меньше, чем в прибойной зоне, и во столько же раз больше, чем в глубоководных районах водоемов.
В летний период в рассматриваемой зоне возможно возникновение стратификации плотности воды по глубине. Продолжительность существования таких условий обычно близка или равна суммарной продолжительности штилевых периодов и составляет 5 - 10% общей продолжительности навигационного периода.
В зимние месяцы зона прибрежного мелководья может оказаться местом накопления внутриводного льда и шуги или местом значительных подвижек и торошения льдов. Подвижки, торошение и навалы льда оказывают большое силовое воздействие не только на надводные, но и на подводные части сооружений. Внутриводный лед, намерзший на подводных частях сооружений, может привести к закупорке оголовков выпуска или к механическим повреждениям, а шуга, накопившаяся подо льдом, может отчленить зону сброса сточных вод от глубоководных районов водоема.
В качестве исходных характеристик режима ветра, волнения, течений, термики и ледовых явлений для зоны прибрежного мелководья используются перечисленные выше режимные характеристики, полученные для отдаленных от берега участков водоема, но учитывается их изменение под влиянием уменьшающихся глубин и приближающегося берега. В расчетах элементов волн и при установлении волнового режима учитывается рефакция и трансформация волн (согласно требованиям СНиП по нагрузкам и воздействию на гидротехнические сооружения), а в расчетах течений - увеличение с приближением к берегу повторяемости течений, действующих вдоль берега, и уменьшение повторяемости течений, действующих по нормали к берегу. Наиболее надежные сведения по ледовому и термическому режимам зоны можно получить путем анализа данных стационарных наблюдений или по данным специальных изысканий.
Основные характеристики режима и динамики береговых отмелей
3. Подводящие трубы рассеивающего выпуска сточных вод в большинстве случаев приходится прокладывать через прибойную зону. В некоторых случаях в этой зоне может быть размещена часть оголовков рассеивающего выпуска. По этой причине при проектировании, строительстве и эксплуатации сбросных сооружений на водоемах необходимо учитывать гидрометеорологический режим и динамические процессы, происходящие в прибойной зоне.
Ширина прибойной зоны на внутренних водоемах составляет обычно от нескольких десятков до нескольких сотен метров. Динамические процессы в этой зоне достигают наибольшего развития, поскольку здесь интенсивно трансформируются и окончательно разрушаются ветровые волны, наибольшего развития достигают вдольбереговые течения, происходят интенсивное взмучивание донных отложений и перенос взвешенных и влекомых насосов, наибольших величин достигают высотные деформации дна и плановые деформации берега.
Скорость волновых возвратно-поступательных движений в прибойной зоне может достигать нескольких метров в секунду, скорость вдольбереговых течений - 1 - 1,5 м/с, мутность воды у уреза 10 - 30 кг/м3, а в центральной части отмели - 2 - 5 кг/м3. Вдольбереговые перемещения наносов в пределах прибойной зоны крупных водоемов в периоды сильных штормов могут составлять от нескольких сот до нескольких тысяч тонн в сутки. Обратимые высотные деформации пляжа и дна приурезовой отмели на крупных водоемах нередко достигают 1,5 - 2 м, а плановые необратимые деформации надводного берега на вновь созданных крупных водохранилищах - нескольких десятков и даже нескольких сотен метров в год.
Для определения характеристик гидрометеорологического режима и динамики используются данные стационарных наблюдений на сети постов и станций Госкомгидромета, данные экспедиционных наблюдений различных ведомств, материалы стационарных изысканий, результаты расчетов по апробированным методам, а в некоторых случаях - и данные лабораторных исследований. В расчетах переформирований берега на заданные сроки и при установлении характеристик режима мутности воды, а также объемов вдольбереговых перемещений наносов в качестве исходных используются режимные характеристики ветра над открытой акваторией водоема и режимные характеристики волнения в точке на подходе к береговой отмели.
Основные виды течений, их характерные черты и измерители
4. Перенос вод во внутренних водоемах осуществляется под действием следующих видов течений: ветровых, стоковых, сейшевых и плотностных. Основными измерителями течения любого вида являются скорость (см/с или м/с) и направление (азимут, град).
Ветровые течения, возникающие под действием касательных напряжений ветра на водную поверхность, разделяются на дрейфовые, обусловленные собственно влекущим действием ветра, и ветровые - компенсационные, обусловленные составляющей силы тяжести, которая возникает в результате наклона уровенной поверхности.
Дрейфовые течения на удаленных от берега акваториях водоема обычно охватывают поверхностные слои, а компенсационные - глубинные и придонные слои. В водоемах удлиненной формы и в каналах при действии ветров, совпадающих по направлению с продольной осью, дрейфовое течение охватывает примерно верхнюю 1/3 глубины, а компенсационное течение - нижние 2/3 глубины. В зоне прибрежного мелководья дрейфовые течения в периоды штормов охватывают всю глубину и действуют в каком-либо направлении, в связи с чем их называют однонаправленным ветровым течением. Действующие одновременно на вертикали или каком-либо участке водоема дрейфовое и компенсационное ветровые течения встречного направления называют разнонаправленным ветровым течением.
Ветровые течения могут находиться в стадии развития, стадии установившегося движения и стадии затухания. Продолжительность развития ветрового течения в условиях охвата ветром всего водоема зависит в основном от глубины и скорости действующего ветра. Продолжительность развития ветрового течения в водоемах глубинами в несколько метров составляет несколько часов, а в водоемах глубинами в несколько сотен метров может достигать нескольких десятков часов. В процессе развития происходят увеличение скорости и изменение распределения скорости по вертикали примерно так, как показано на
рис. 62 и
63 для одно- и разнонаправленного по глубине ветрового течения.
Рис. 62. Изменение по вертикали скорости развивающегося
однонаправленного ветрового течения (данные эксперимента)
Рис. 63. Изменение по вертикали скорости развивающегося
разнонаправленного ветрового течения (данные эксперимента)
При длительном действии ветра в водоеме в целом, в заливе и в зоне прибрежного мелководья в частности, формируются специфические системы циркуляции вод. На береговых отмелях при этом распределение скоростей вдольберегового течения также приобретает специфичные черты, обусловленные соотношением между величинами элементов волн и глубинами, размерами прибойной зоны и уклонами дна.
Стоковые течения являются следствием притока воды в водоем и стока воды из водоема. Скорость стоковых течений и их направление обычно изменяются по акватории и во времени в зависимости от величины притока-стока вод и под действием течений других видов (ветровых, сейшевых или плотностных). По режиму движения стоковые течения могут быть установившимися, квазиустановившимися и неустановившимися.
На акватории водоема стоковое течение характеризуется наличием транзитного потока, горизонтальных циркуляций и застойных зон (с очень слабым водообменом). Горизонтальные циркуляции различаются по направлению течения на циклональные (против хода часовой стрелки) и антициклональные (по ходу часовой стрелки).
Транзитный поток, образуемый небольшим речным притоком или сосредоточенным береговым выпуском сточных вод с расходом порядка нескольких м3 за секунду, пересекает обычно зону береговой отмели и окончательно затухает в зоне прибрежного мелководья. Трансформация такого потока характеризуется значительной интенсивностью затухания скоростей вблизи от устьевого створа и очень плавным снижением скоростей на удаленных от берега участках. По мере удаления от берега происходят постепенное распластывание транзитного потока по ширине, увеличение извилистости оси в плане и увеличение плановых перемещений потока. Горизонтальная циркуляция вод на боковых границах транзитного потока в крупном водоеме проявляется слабо и обнаруживается лишь вблизи от устьевого створа. В периоды штормов транзитный поток искривляется и направляется в сторону действия вдольберегового течения. При штормах, действующих по нормали к линии берега, протяженность транзитного потока уменьшается, транзитный поток небольшой мощности полностью разрушается. Для расчета трансформации речной струи в водоеме ниже приводятся расчетные методы и примеры расчета.
Сейшевые течения относятся к числу довольно часто наблюдаемых во внутренних водоемах динамических явлений. Они наблюдаются при наличии сейшевых колебаний уровня, возникающих в результате неравномерного распределения атмосферного давления над акваторией, в результате воздействия ветра на водную поверхность, в результате резкого повышения или понижения уровня в отдельных частях водоема и действия других факторов.
К основным элементам сейш относятся период колебаний, число узлов, величина колебаний уровня и скорость перемещения вод. Применительно к каждому водоему большой практический интерес представляют сведения о местоположении узлов сейш, так как к ним часто приурочены наибольшие скорости сейшевых течений и наименьшие величины колебаний уровня, а также местоположение пучностей, к которым приурочены наибольшие величины колебаний уровня и наименьшие скорости сейшевого течения.
Детальное представление о распределении сейшевых колебаний уровня вдоль оси водоема дает уравнение профиля стоячей волны

(185)
где

;

;
hс - амплитуда, равная половине общей величины сейшевого колебания уровня;

- длина волны, равная при одноузловых колебаниях удвоенной длине водоема (бассейна);
Tс - период сейшевых колебаний уровня.
В момент, когда

, профиль стоячей волны определяется уравнением синусоиды

(186)
а в момент, когда

, совпадает с осью
x.
Точки профиля стоячей волны, в которых

всегда равны нулю, называются узлами. Абсциссы узлов определяются условием sin
kx0 = 0, которое выполняется при

, где
m = 0, 1, 2, 3
(рис. 64).
Рис. 64. Размещение узлов, пучностей и распределение
сейшевых колебаний уровня в прямолинейном бассейне
1 - уровень в момент

;
2 - уровень в момент

;
3 - узлы;
4 - пучности;

- длина волны;
2h - величина колебания уровня
Вертикали, пересекающие профиль стоячей волны, на которых в моменты

значения

достигают +/-
hс, называются пучностями. Их абсциссы определяются условием равенства sin
kx0 = +/- 1, которое выполняется при

. Следовательно, пучности располагаются вдоль оси
x на расстоянии

(187)
В бассейне прямоугольной формы с одинаковой глубиной частицы жидкости при сейшах совершают возвратно-поступательные перемещения вдоль продольной оси. Путь, проходимый частицами жидкости в горизонтальном направлении, уменьшается по закону синуса от максимума в узле до нуля в пучности.
В водоемах со сложными плановыми очертаниями и меняющимися глубинами распределение величин сейшевых колебаний уровня и скоростей сейшевого течения вдоль продольной оси часто не соответствует закону синуса, а имеет более сложный вид. Нередко оказывается, например, что наибольшие скорости сейшевого течения приурочены к участкам, где площади водного сечения существенно меньше, чем в узловом створе. Это обстоятельство хорошо видно на
рис. 65, где для одного из водоемов представлены совмещенно морфометрические характеристики, относительные величины колебаний уровня и скоростей течения при одно- и двухузловых сейшах. Такие характеристики сейшевых явлений можно получить путем постановки специальных натурных наблюдений, исследований на гидравлической модели или расчетов с привлечением данных наблюдений.
Рис. 65. Изменение относительной величины колебаний уровня
(а) средней скорости течения (б) и морфометрических
характеристик (в) водохранилища при действии одноузловых (1)
и двухузловых (2) сейш
В водоемах со сложными плановыми очертаниями и меняющимися глубинами при сейшевых течениях, совпадающих по направлению с продольной осью, иногда возникают горизонтальные циркуляции вод. Циркуляции часто примыкают к местам сужений, к местам с резким изгибом линии берега или к местам поднятий дна. Места возможного возникновения горизонтальных циркуляций подлежат выявлению путем постановки натурных наблюдений или путем исследований на гидравлических моделях, поскольку в случае сброса сточных вод в такие зоны возможен перенос загрязненных вод, например, к водозаборам, местам отдыха трудящихся или к рыбным нерестилищам.
Плотностные течения возникают в результате различий плотности водных масс в соседних частях водоема. Различия в плотности возникают в результате неравномерного прогрева или охлаждения водных масс, в результате различий в содержании растворенных в воде или твердых взвешенных веществ. Наибольшего развития плотностные течения достигают в крупных глубоководных водоемах, особенно в периоды интенсивного прогрева и охлаждения вод. Поверхностные течения в водоеме при температуре водной массы более 4 °C направлены от участка с большей температурой к участку с меньшей температурой, а глубинные течения - в противоположном направлении. Плотностные течения в одних случаях охватывают весь водоем, а в других - незначительную часть или сосредоточены в береговой зоне, например между температурным баром и берегом водоема. В связи с малостью скоростей плотностные течения редко удается зафиксировать существующими приборами и средствами. Обычно их оценивают косвенным методом, например по изменению физических свойств вод во времени, или путем расчетов по динамическому методу.
Суммарные течения являются результатом совместного действия течений каких-либо двух или трех видов. В водохранилищах довольно часто наблюдается совместное действие ветровых и стоковых течений, в сравнительно мелководных озерах - совместное действие ветровых и сейшевых течений, а в глубоководных - ветровых и плотностных течений.
Ветры, действующие навстречу стоковому течению, могут, например, значительно уменьшить скорости в поверхностном слое и даже вызвать перенос в противоположном направлении, существенно изменив при этом распределение скоростей по всей вертикали или в пределах значительной глубины. Ветры, попутные стоковому течению, приводят к увеличению скоростей в поверхностных слоях, но замедляют скорости в глубинных слоях и даже приводят к возникновению компенсационных течений встречного направления.
При совместном действии ветрового или стокового течения с сейшевым течением скорости суммарного течения увеличиваются и уменьшаются с определенной периодичностью. Режимные характеристики суммарных течений не удается устанавливать расчетными методами. Их приходится определять по данным наблюдений, причем таких, которыми охватываются экстремальные условия взаимодействия двух или даже трех видов течений.
Схемы циркуляции вод в водоемах
5. Во внутренних водоемах под действием устойчивого по направлению и скорости ветра формируются весьма специфичные системы горизонтальной циркуляции вод, которые поддаются классификации на основании учета общих и характерных черт. Для водоема эллипсовидной формы с плавным рельефом дна, небольшими глубинами при одинаковой плотности воды по глубине выделено 10 типичных схем циркуляции вод
(рис. 66).
Рис. 66. Схемы распределения ветровых течений в водоемах
простых очертаний при ветрах различных направлений
1 - направление ветра; направление течений:
2 - у поверхности; 3 - у дна; 4 - преобладающее;
5 - по направлению ветра (дрейфовое); 6 - навстречу ветру
(компенсационное); 7 - распределение скорости течения
по глубине
I. Равномерный ветер действует вдоль водоема. Дрейфовое течение охватывает верхнюю 1/3 толщи воды, а компенсационное - примерно 2/3 глубины. Граница раздела потоков испытывает существенные колебания во времени и по акватории.
II. Равномерный по ширине ветер направлен вдоль большой оси водоема. Глубины вдоль одного из берегов больше, чем вдоль противоположного берега. Дрейфовое течение охватывает всю толщу воды в зоне с меньшими глубинами и сравнительно небольшой по мощности слой над зоной водоема с большими глубинами. Компенсационное течение приурочено к зоне больших глубин и направлено вдоль оси водоема навстречу дрейфовому течению. Компенсационное течение приурочивается к зоне понижения дна и в тех случаях, когда она располагается вдоль осевой линии водоема или занимает в плане какое-либо промежуточное положение.
III. Ветер направлен вдоль большой оси водоема, а его скорость плавно увеличивается по ширине от одного к другому берегу. Дрейфовое течение охватывает всю толщу воды у берега с большой скоростью ветра и сравнительно небольшой по мощности поверхностный слой в зоне действия ослабленного ветра. Компенсационный поток приурочен к части водоема с ослабленной скоростью ветра.
IV. Встречный ветер направлен вдоль водоема. Возникает замкнутое циркуляционное течение. Вдоль каждого из берегов однонаправленный поток охватывает всю толщу воды.
V. Ветер направлен вдоль водоема, но область его наибольшей скорости смещается по пути движения от одного берега к другому. Течение, направленное по ветру в виде мощной струи, следует за областью наибольшей скорости ветра и переходит вместе с ней от одного берега к другому, являясь как бы транзитной частью двух циркуляций противоположного знака вращения, возникающих в зоне ослабленного ветра и примыкающих к концевым участкам водоема.
VI. Равномерный ветер направлен под острым углом к продольной оси водоема. Течение, действующее по ветру или составляющее острый угол с этим направлением, охватывает всю акваторию и проникает до дна в наветренной части водоема, а в подветренной части приурочено к поверхностному слою небольшой мощности. Компенсационный поток действует преимущественно в глубинных слоях между большой осью и подветренным берегом водоема, образуя с дрейфовым течением единую циркуляцию.
VII. Равномерный ветер направлен поперек водоема. Дрейфовое течение следует вдоль ветра и охватывает поверхностные слои, а компенсационный поток - глубинные слои. При неравномерном распределении ветра вдоль водоема в зонах повышенной скорости ветра мощность дрейфового течения увеличивается и охватывает иногда всю толщу воды, а в соседних зонах уменьшается, что способствует образованию местных неустойчивых по времени и нестабильных по местоположению циркуляций.
VIII. Ветер направлен поперек водоема, а его скорость увеличивается вдоль продольной оси от одной концевой части водоема к другой. В зоне повышенной скорости ветра дрейфовое течение проникает до дна и, следуя вдоль ветра, отклоняется берегом в сторону ослабленного ветра. Компенсационный поток приурочен к зоне ослабленного ветра и вместе с дрефовым течением образует замкнутую циркуляцию. В мелководных водоемах больших размеров при таком распределении ветра могут возникнуть две замкнутые циркуляции и более.
IX. Ветер в виде сосредоточенной струи направлен поперек водоема. Течение, действующее по направлению ветра, приурочено к ветровой струе и в зависимости от протяженности зоны ветра пересекает часть или весь водоем. По обе стороны от струи образуются циркуляционные водовороты разного знака. В водоемах сравнительно небольших размеров циркуляционные водовороты, примыкающие к основной струе, могут привести к образованию вторичных циркуляций.
X. Ветер в виде двух или нескольких сосредоточенных струй направлен поперек водоема и пересекает его по нормали или под острым углом к осевой линии. Каждая из воздушных струй создает циркуляционные водовороты, подобные изображенным на схеме IX. Степень взаимодействия соседних циркуляционных водоворотов определяется расстоянием между воздушными струями, их мощностью и морфометрическими особенностями водоема.
В реальных водоемах со сложными очертаниями береговой линии и сложным рельефом дна возможно возникновение других, более сложных схем циркуляции вод или сочетание 2 - 3 схем. На частично обособленных участках водоемов могут формироваться самостоятельные схемы циркуляции, близкие к рассмотренным.
Схемы циркуляции вод в открытых широких заливах
6. I. В открытых широких заливах, свободно сообщающихся с водоемом, при ветрах, действующих по нормали к продольной оси залива и параллельно генеральному направлению берега водоема, течения формируются не только за счет касательных напряжений ветра, но и за счет волнового переноса, обусловленного дифрагированными и рефрагированными ветровыми волнами. Результирующий перенос вод у подветренного берега залива направлен при этом в сторону вершины залива, а у наветренного берега - в сторону водоема (
рис. 67,
а).
Рис. 67. Схемы распределения ветровых течений в широком
мелководном заливе при ветрах различных направлений
а - по нормали к продольной оси залива; б - под острым углом
к продольной оси залива; в - с водоема параллельно
продольной оси водоема (обозначения см.
рис. 66)
II. Примерно такая же система переноса вод формируется и при ветрах, направленных с водоема под острым углом к продольной оси залива (см.
рис. 67,
б). Она отличается от рассмотренной выше схемы лишь некоторыми деталями.
III. В условиях действия ветров, направленных с водоема вдоль оси залива, распределение ветровых течений зависит от степени глубоководности залива. В мелководном заливе поверхностные ветровые течения в прибрежных зонах совпадают с направлением ветра, а с приближением к вершине залива постепенно разворачиваются в сторону продольной оси залива. Придонные течения при этом начинают разворачиваться в сторону продольной оси залива практически на границе с открытым водоемом. Отклоняющиеся от берега придонные течения формируют компенсационное течение, которое сосредоточивается в осевой части залива и следует от его вершины в открытый водоем (см.
рис. 67,
в). Компенсационное течение охватывает в осевой части залива всю толщу воды или значительную ее часть в зависимости от силы ветра и глубины залива. В открытом глубоководном заливе при аналогичной ветровой ситуации поверхностные ветровые течения на большей части акватории следуют по направлению ветра, а компенсационное течение сосредоточивается в придонных и глубинных слоях.
На основании приведенных схем циркуляции вод, картографических материалов и сведений о повторяемости ветров различной скорости по направлениям для каждого из рассматриваемых при проектировании сооружений участков водоема можно определить характер и преобладающие направления переноса вод, выбрать наиболее подходящие методы расчета скорости, что позволит предвидеть пути переноса загрязняющих воду веществ и надежнее оценить степень их разбавления.
Схемы циркуляции вод и изменения повторяемости направлений
течения в зоне прибрежного мелководья
7. В зоне прибрежного мелководья ветровые течения испытывают ограничивающее влияние берега, морфологии и волновых течений. Влияние этих факторов приводит к изменению направления ветровых течений, что выражается в преобладании вдольберегового переноса вод над переносами вод других направлений.
Выделяются четыре типичные схемы распределения течений в зоне прибрежного мелководья, которые формируются при ветрах следующих направлений относительно линии берега: с водоема под острым углом к линии берега, с суши под небольшим острым углом к линии берега, с водоема и с суши примерно по нормали к линии берега.
I. При ветрах, направленных под острым углом к линии берега, составляющая скорости поверхностного течения на линию берега постепенно увеличивается по мере продвижения от внешней к береговой границе зоны прибрежного мелководья. Придонное течение при этом отклоняется от берега, причем тем значительнее, чем больше расстояние от береговой границы и больше глубина вертикали (
рис. 68,
а). Величина угла отклонения придонного течения от линии берега увеличивается также с увеличением угла между вектором ветра и линией берега. Поэтому при вдольбереговых ветрах придонные течения направлены преимущественно вдоль берега.
Рис. 68. Схемы циркуляции вод в зоне прибрежного мелководья
при ветрах различных направлений
а - со стороны водоема под острым углом к линии берега;
б - с суши под острым углом к линии берега; в - по нормали
к линии берега; 1 - поверхностное течение; 2 - придонное
течение; 3 - направление ветра
II. Ветры, действующие с суши под небольшим острым углом к линии берега, формируют ветровые течения, которые подвержены существенному влиянию волновых течений, обусловленных рефрагированными волнами. В связи с этим только у внешней границы зоны поверхностные и придонные течения следуют преимущественно по направлению ветра, а в остальной части зоны - преимущественно вдоль берега, как показано на
рис. 68,
б.
III. При ветрах, направленных с водоема по нормали к линии берега, перенос вод в поверхностных слоях совпадает преимущественно с направлением ветра, а в придонных слоях имеет противоположное направление. Во время сильных штормов на одних участках перенос вод по всей толще направлен к берегу, а в других, соседних - навстречу, т.е. возникают так называемые разрывные течения (см.
рис. 68,
в).
IV. В случае действия ветров с суши по нормали к линии берега поверхностные течения следуют по направлению ветра, а их скорость увеличивается с удалением от берега. В придонных слоях при этом обычно действуют неустойчивые остаточные или слабо выраженные компенсационные течения.
На прямолинейных участках берега в условиях примерно одинаковой повторяемости ветров разных направлений на долю первой из рассмотренных схем распределения течений приходится примерно 60 - 70% случаев, на долю второй схемы - 15 - 20%, а на долю третьей и четвертой схем - по 5 - 8% случаев из общего числа наблюдений.
На прямолинейных участках озер удлиненной формы и в водохранилищах руслового типа распределение течений в зоне прибрежного мелководья по схемам I и II может достигать 85 - 90% общего числа наблюдений.
Для оценки изменений повторяемости направлений течения в зоне прибрежного мелководья в случае отсутствия необходимых наблюдений предлагается пользоваться данными о средней многолетней повторяемости различных градаций скорости по направлениям за безледоставный период и расчеты выполнять с учетом следующих положений:
на внешней границе зоны прибрежного мелководья повторяемость ветрового течения по каждому направлению принимается равной повторяемости ветра соответствующего румба, т.е., например, повторяемость течения южного направления принимается равной повторяемости ветра северного румба;
штили и слабые ветры скоростью до 3 м/с исключаются из рассмотрения, поскольку они не оказывают существенного влияния на процессы перемешивания и переноса сточных вод;
на береговой границе зоны прибрежного мелководья повторяемость течений, направленных вправо от нормали к линии берега, принимается равной сумме повторяемостей ветров, действующих слева от нормали, и полусумме повторяемостей ветров, действующих по нормали к линии берега со стороны водоема и со стороны суши. Повторяемость течений противоположного направления принимается равной сумме повторяемостей ветров, действующих справа от нормали, и полусумме повторяемостей ветров, действующих по нормали к линии берега со стороны водоема и со стороны суши;
на вертикалях, расположенных между внешней и береговой границами рассматриваемой зоны, повторяемость течения, направленного под каким-либо острым углом к линии берега, принимается уменьшающейся по сравнению с ее значением на внешней границе зоны на величину, пропорциональную расстоянию вертикали от внешней границы зоны, а повторяемость вдольберегового течения соответствующего направления - увеличивающейся на такую же величину;
на вертикалях зоны прибрежного мелководья повторяемость течений, которые на внешней границе рассматриваемой зоны направлены по нормали к линии берега, принимается уменьшающейся в сторону береговой границы зоны пропорционально расстоянию вертикали от внешней границы. Полученная величина уменьшения повторяемости течения делится пополам и равными частями прибавляется к повторяемостям течений вдольбереговых направлений.
Пользуясь перечисленными положениями и приемами, можно вычислить приближенные значения повторяемостей направлений течения для вертикалей, удаленных на различное расстояние от границ зоны прибрежного мелководья
(рис. 69). Пример таких вычислений представлен в
табл. 19. Если дополнительно к рассмотренным оценкам изменений направления течения произвести расчеты скорости ветрового течения, пользуясь рекомендациями
пп. 9.1 -
9.8 с учетом основных определяющих факторов, то можно получить сведения о величинах скорости ветрового течения и их повторяемости по направлениям. Результаты такого расчета будут приближенными, но при отсутствии данных наблюдений они могут быть использованы для решения некоторых практических задач.
Рис. 69. Изменение розы ветрового течения (повторяемость
по направлениям, %) в зоне прибрежного мелководья
под влиянием берега
Таблица 19
Повторяемость ветров, % от общей продолжительности
безледоставного периода, и повторяемость течений различных
направлений на различном относительном расстоянии
от береговой границы зоны прибрежного мелководья
Относительные расстояния | С | СВ | В | ЮВ | Ю | ЮЗ | З | СЗ |
Повторяемость ветров |
0 | 4,06 | 4,04 | 5,1 | 6,46 | 5,33 | 7,43 | 7,15 | 4,18 |
Повторяемость течений |
1 | 5,33 | 7,43 | 7,15 | 4,18 | 4,06 | 4,04 | 5,1 | 6,46 |
0,75 | 4 | 5,58 | 5,36 | 8,42 | 3,04 | 3,03 | 3,82 | 10,5 |
0,5 | 2,66 | 3,72 | 3,58 | 12,65 | 2,03 | 2,02 | 2,55 | 14,54 |
0,25 | 1,33 | 1,86 | 1,78 | 16,9 | 1,02 | 1,01 | 1,27 | 18,58 |
0 | 0 | 0 | 0 | 21,13 | 0 | 0 | 0 | 22,62 |
Примечания: 1. Нормаль к линии берега имеет направление СВ-ЮЗ. 2. Суммарная повторяемость течений всех направлений принята равной повторяемости ветров скоростью более 3 м/с (43,75%).
Трансформация речной струи в береговой зоне водоема
8. Для определения характеристик трансформации речной струи или струи сточных вод, сбрасываемых сосредоточенно на берегу водоема, разработано несколько способов. Результаты расчетов по этим способам не совпадают между собой и тем существеннее, чем больше расход струи и чем сложнее рельеф дна водоема. Наиболее приемлемые результаты по трансформации струи в водоеме можно получить при использовании расчетных способов, предложенных Н.А. Давтян и И.А. Шепелевым. Эти способы обеспечивают получение приемлемых результатов по изменению скорости струи, но существенно различаются по виду эпюр на створах, что хорошо видно на
рис. 70 и
71, где представлены результаты расчетов при одинаковых исходных и граничных условиях (
Vн = 0,8 м/с;
Hн = 1 м;
Bн = 2,5 м;
i = 0,002).
Рис. 70. Трансформация речной струи в береговой зоне водоема
(расчет по методу Н.А. Давтян)
Рис. 71. Трансформация речной струи в береговой зоне водоема
(расчет по методу И.А. Шепелева)
В способе Н.А. Давтян средняя по осевой вертикали скорость струи Vх на расстоянии X от устьевого (начального) створа определяется по формуле

(188)
где Vн, Bн, Hн - соответственно средняя скорость, глубина и ширина потока в устьевом створе;

(189)
При наличии наклонного дна в водоеме расчет скорости потока ведется по участкам, в пределах которых глубина Hх принимается постоянной. Корректировка ширины потока Bх на сложных участках производится с соблюдением условия неразрывности по формуле

(190)
Распределение средних на вертикали скоростей по ширине струи аппроксимируется выражениями:

(191)

(192)
где Y - расстояние от оси струи, измеренное по нормали к ней, до вертикали, для которой определяется средняя скорость Vy.
В способе И.А. Шепелева поверхностная скорость в любой точке с координатами X и Y вычисляется по формуле

(193)
где
kш - коэффициент, принимаемый равным 2; значение эрфункции определяется по
рис. 72. Для вычисления средней скорости течения на вертикали можно воспользоваться переходным коэффициентом, равным 0,88.
Рис. 72. График для определения эрфункции
В методе И.А. Шепелева речная струя распластывается по ширине существенно меньше, чем в методе Н.А. Давтян. Однако если в качестве скорости на внешних границах принять скорость 3 см/с, то ширины речных струй в обоих методах окажутся весьма близкими между собой, что видно из
рис. 70 и
71, где эти границы нанесены пунктирными линиями.
Характерные черты накопления и переноса
сточных вод в водоем
9. Наихудшие условия разбавления сточных вод, сбрасываемых в зону прибрежного мелководья, создаются в периоды длительных штилей при отсутствии волнового перемешивания и течений, а также в зимний период при наличии ледяного покрова. Размеры зоны накопления загрязняющих воду веществ увеличиваются с увеличением продолжительности штилевого или ледоставного периода, а концентрация их уменьшается по экспоненциальному закону от максимума у места сброса до минимума на внешней границе зоны разбавления. Под действием остаточных течений зона распределения загрязняющих воду веществ обычно приобретает эллипсовидную форму. Большая ось эллипса при этом ориентируется вдоль берега (
рис. 73,
а).
Рис. 73. Схема накопления и переноса загрязняющих веществ
в зоне прибрежного мелководья
а - при длительном штиле или вдольбереговых течениях;
б - на прямолинейном участке в зоне однонаправленного
течения; в - при резком изгибе берега; г - у границы раздела
течений; 1 - линия берега; 2 - зоны распределения
загрязняющих веществ; 3 - граница раздела течений;
4 - поверхностные течения; 5 - придонные течения;
6 - направление ветра
В условиях действия однонаправленного ветрового течения загрязняющие вещества распространяются преимущественно вдоль берега в одном направлении (см.
рис. 73,
б). Зона распространения при этом достигает тем больших размеров в продольном направлении, чем длительнее период действия шторма и чем больше скорость течения вдольберегового направления. Концентрация загрязняющих воду веществ уменьшается вдоль берега от места сброса до лобовой границы зоны, а в поперечном направлении - от оси струи к берегу и в сторону открытого водоема. Зона распространения загрязняющих веществ обычно удерживается у берега, чему способствует замедленный водообмен между прибрежной частью водоема и его открытыми пространствами.
Если место сброса сточных вод располагается у резкого изгиба линии берега в сторону суши, то при вдольбереговых и близких к ним направлениях ветров поток с разбавленными загрязняющими веществами периодически нарушается действием циркуляционного течения. Циркуляционное течение, разрывая поток, переносит часть загрязняющих воду веществ к берегу; другие же части потока продолжают перемещаться на некотором удалении от берега (см.
рис. 73,
в), что в целом способствует лучшему процессу разбавления, чем на прямолинейных участках берега.
Наилучшие условия разбавления достигаются в условиях, когда место сброса располагается на границе раздела между однонаправленным вдольбереговым и разнонаправленным течениями открытого водоема. Благодаря плановым перемещениям границы раздела сбрасываемые в водоем загрязняющие вещества в одни моменты времени переносятся вдольбереговым течением, а в другое - увлекаются глубинным компенсационным течением в противоположном направлении и постепенно удаляются от берега (см.
рис. 73,
г).
При выборе горизонта размещения выпускных оголовков в водоеме определенный интерес представляют сведения о рассеивании загрязняющих веществ на начальном участке струи. В непосредственной близости от выпуска интенсивность переноса и разбавления загрязняющих воду веществ зависит от скорости потока, волновых движений и пульсаций скорости, а также от конструкции оголовка и соотношения между скоростью истечения и скоростью переносного течения.
При отсутствии переносного течения и волновых движений принудительное истечение загрязняющих воду веществ через отверстие оголовка выпуска осуществляется в виде компактной пространственной струи с постепенно расширяющимися волнообразными границами. Размеры волнообразных возмущений на границах струи увеличиваются в направлении движения, а их скорость и устойчивость постепенно уменьшаются, что приводит к общему торможению струи и дроблению крупных вихревых образований на мелкие образования. Мелкие образования беспорядочно отрываются от струи, осуществляя так называемое турбулентное перемешивание загрязняющих веществ с окружающей средой. На участке, где начальный импульс движения существенно затухает, разбавленные загрязняющие воду вещества опускаются в результате повышенной плотности и накапливаются в придонном слое или всплывают под действием сил плавучести и накапливаются в поверхностном слое. По мере накопления загрязняющих веществ в придонном слое их верхняя граница постепенно смещается к поверхности воды, а в случае накапливания в поверхностном слое нижняя граница смещается ко дну водоема. Концентрация загрязняющих веществ в центре зоны выпуска при этом постепенно повышается и может достигнуть таких же значений, как в сбросных водах. Размеры зоны накопления загрязняющих веществ постепенно увеличиваются в горизонтальном направлении, а концентрация их уменьшается от центра зоны к внешним границам примерно так, как показано на
рис. 73,
а.
В условиях волновых колебательных движений и переносных течений протяженность компактной части струи, движущейся в направлении истечения, уменьшается, при прочих равных условиях - тем больше, чем интенсивнее турбулентное перемешивание потока. Поскольку турбулентное перемешивание в водоемах с ограниченными глубинами достигает наибольшей интенсивности в поверхностных слоях, то наибольшее рассеивание и перемешивание загрязняющих воду веществ приточной струи также приурочено к этим слоям.
Интенсивность рассеивания приточной струи и перемешивания зависит также от вида ветрового течения. В однонаправленном по глубине ветровом течении струя загрязняющих веществ движется в направлении потока и, подвергаясь действию циркуляционных образований, искривляется в горизонтальной и вертикальной плоскостях. На значительном расстоянии от места истечения возможны разрывы рассеянной струи. Однако в большинстве случаев очертания искривленной и существенно разбавленной струи загрязняющих веществ прослеживаются при прочих одинаковых условиях (глубина, скорость ветра, элементы волн, расход струи, конструкция оголовка и т.п.) в однонаправленном ветровом течении на значительно больших расстояниях от места истечения, чем в разнонаправленном ветровом течении.
В разнонаправленном ветровом течении при выпуске струи загрязняющих воду веществ в зоне действия дрейфового течения или в зоне действия компенсационного течения, но вблизи границы раздела потоков струя загрязняющих веществ периодически подвергается действию крупных вихревых образований и, интенсивно рассеиваясь, перемещается то к поверхности потока, то ко дну. В связи с этим даже вблизи места истечения струи разбавленными загрязняющими веществами охватывается значительная часть глубины или вся толща потока. Только в случае размещения выпуска вблизи дна в условиях, когда волновые движения не достигают придонного слоя, струя загрязняющих веществ может пройти в направлении потока большее расстояние, чем при выпуске на вышележащих горизонтах. Однако и в таких условиях струя подвергается действию вихревых образований, которые переносят разбавленные загрязняющие вещества к границе раздела потоков и даже на горизонты, охваченные дрейфовым течением. Если приточная струя имеет большую плотность, чем окружающий поток, например, за счет разности температур или за счет наличия твердых загрязняющих веществ, то в условиях разнонаправленного ветрового течения некоторая их часть может накапливаться в придонном слое вблизи места выпуска. Другая же часть будет рассеиваться и переноситься к поверхности, в результате чего в зоне определенных размеров загрязняющие вещества распространятся по всей толще воды, но их концентрация у дна будет большей, чем у поверхности. Таким образом, выбор горизонта размещения выпуска струи не оказывает существенного влияния на рассеивание загрязняющих веществ в разнонаправленном ветровом течении.
ПРОИЗВОДСТВО ИЗЫСКАНИЙ ДЛЯ ЦЕЛЕЙ ПРОЕКТИРОВАНИЯ СООРУЖЕНИЙ
ВЫПУСКОВ СТОЧНЫХ ВОД НА ВОДОЕМАХ
Общие положения
1. Для целей гидрологического обоснования проекта строительства выпуска сточных вод на водоеме необходимы картографические материалы, характеристики всех основных элементов гидрометеорологического режима и сведения по динамике береговой зоны. Перечень основных элементов режима и динамики, характерные черты процесса, источники получения данных наблюдений и способы определения расчетных параметров приводятся в
разд. 6 -
13 и в
прил. 4. Если на основании сбора, обработки и анализа данных о водном объекте выясняется, что полученных материалов недостаточно для решения поставленных вопросов, то намечается проведение полевых изысканий. Таким образом, основной целью полевых изысканий на водном объекте является восполнение недостающих материалов по топографии, геологии, гидрометеорологическому режиму и динамике береговой зоны для обеспечения соответствующей стадии проектирования или строительства выпусков сточных вод. Полнота и детальность освещения поставленных вопросов на основании изысканий обычно обусловливаются стадией проектирования, что должно учитываться при составлении программы и календарного плана работ.
На стадии технико-экономического обоснования (ТЭО) проекта сооружений могут быть выполнены предварительные (облегченные) изыскания и сравнительно непродолжительные наблюдения за элементами гидрометеорологического режима, в частности, с целью увязки данных по ближайшим стационарным пунктам (гидрометпостам, гидрометстанциям) с данными наблюдений по участку строительства гидротехнических сооружений.
На стадии технического проекта и стадии строительства выполняются подробные изыскания и длительные наблюдения за элементами гидрометеорологического режима. Их целью является, во-первых, получение новых уточненных планов подводного и надводного рельефов участка, поскольку они могут существенно измениться со времени проведения работ на стадии ТЭО или могут оказаться недостаточно полными для разработки рабочих чертежей, во-вторых, для уточнения гидрометеорологического режима и динамики береговой зоны водоема за отдельные сезоны и за весь год с освещением наблюдениями возможно большего числа наиболее редко повторяющихся ситуаций.
В некоторых случаях возникает необходимость проведения изысканий и в период эксплуатации сооружений. Такие работы предпринимаются, например, для выяснения распространения сточных вод в водоеме и для оценки влияния гидротехнических сооружений на гидравлику вдольберегового потока, на термику и на динамику прибрежной зоны с целью предотвращения возможности возникновения или для ликвидации создавшихся аварийных ситуаций.
Изыскательские работы на любой стадии проектирования и в период эксплуатации сооружений целесообразно проводить комплексно, т.е. с возможно большим числом наблюдений элементов гидрометеорологического режима, детальным освещением динамики береговой зоны и достаточно подробными гидролого-морфологическими и топографическими съемками участка.
При составлении программы и календарного плана учитываются тип водоема, степень изученности водного объекта в целом и участка строительства в частности, класс проектируемых сооружений, специфические особенности участка, а также изменчивость во времени гидрометеорологических условий водоема, интенсивность переформирований дна и берега.
В состав полевых изысканий и наблюдений на объекте входят следующие виды работ:
составление программы и календарного плана полевых изысканий и наблюдений;
рекогносцировочные обследования участка предполагаемого размещения гидротехнических сооружений или водоема в целом;
подготовка приборов, оборудования, материалов и плавсредств;
геодезические работы, включающие размещение и прокладку опорной сети, закрепление магистралей и створов, установку реперов и т.д., съемку контуров и рельефа участка, нивелировку реперов и поперечных створов, привязку магистралей, створов участка и реперов к опорной геодезической сети строительной площадки;
оборудование участка, створов и пунктов наблюдений;
промеры глубин;
гидрологические работы, включающие наблюдения за уровнем воды, наблюдения за волнением, измерения течений на открытой акватории водоема, измерения течений в зоне прибрежного мелководья и над береговыми отмелями, измерения мутности воды и вдольбереговых перемещений наносов на береговых отмелях, измерения высотных деформаций дна береговых отмелей и плановых деформаций надводного склона берега, наблюдения за температурой воды, наблюдения за ледовыми явлениями;
метеорологические наблюдения, включающие определение характеристик ветра, а при исследованиях ледового термического режима - и наблюдения за температурой воздуха;
наблюдения за химическим составом вод и гидрохимические съемки в зоне разбавления и зоне влияния сточных вод;
прочие работы, включающие аэрофотосъемку и авиагидрометрические измерения; фотографические работы, геологические и геоморфологические съемки.
В программах работ, составляемых на любом из этапов проектирования или эксплуатации сооружений, кроме видов изысканий и их календарных сроков указываются частота и общее число регулярных наблюдений, число повторных съемок или измерений, а в некоторых случаях отмечается общая гидрометеорологическая обстановка, при которой необходимо провести наблюдения или какие-либо виды съемок.
В разделах программы, касающихся специальных видов работ, по которым нет методических рекомендаций, указывается детальность измерений (частота, продолжительность, число вертикалей, число точек и т.д.). При определении объемов и сроков изысканий учитываются также квалификационный состав полевой группы или партии, обеспеченность приборами, оборудованием и плавсредствами, удаленность и доступность участка базирования группы и т.д.
Рекогносцировочные обследования участка
2. Рекогносцировочные обследования водоема в районе предполагаемого строительства гидротехнических сооружений проводятся руководителем гидрологических работ или его заместителем, начальником полевой партии и представителем проектной организации.
Целью рекогносцировочных обследований являются:
установление основных гидролого-морфологических черт участков;
выделение основного и второстепенных участков;
определение границ основных участков, где необходимо проводить натурные изыскания;
предварительный выбор мест размещения магистралей и створов, установление их числа и протяженности;
выбор мест установки основного оборудования и приборов;
установка высотной опорной сети и оценка возможности привязки магистралей и створов к геодезической основе строительной площадки;
выбор мест базирования полевой партии с учетом наилучшего сообщения с участком работ по суше и воде, а также с учетом обеспечения нормальных бытовых условий;
определение основных положений методики изысканий с учетом местных особенностей водоема и участка работ;
уточнение программы и календарных сроков работ с учетом гидрометрежима водоема;
уточнение типов и количества плавсредств, наземного транспорта, материалов оборудования и т.д.;
уточнение численности и квалификационного состава полевой партии исходя из объемов и методики работ, особенностей участка и погодных условий сезона.
Результаты рекогносцировочных обследований участка, особенно те, которые касаются морфологии прибрежной зоны и надводного берега, размещения магистралей и створов, пунктов установки приборов и др., представляются на плане участка или на схеме, составленной глазомерно. По другим перечисленным выше вопросам составляется записка с кратким перечнем основных результатов обследований и с обоснованием принятых решений относительно уточнения программы и методики натурных наблюдений, а также с перечнем требуемого оборудования, приборов, устройств и материалов.
Геодезические работы
3. Геодезические работы обычно выполняются на начальной стадии полевых изысканий, т.е. они предшествуют работам по установке основных устройств и приборов на участке и непосредственно наблюдениям. Однако некоторая часть геодезических работ (засечки промерных и скоростных вертикалей, периодические нивелировки водомерных устройств, определение мест установки приборов и др.) выполняется в период натурных наблюдений.
Задачей геодезических работ является получение плана участка в определенном масштабе с изображением рельефа надводной и подводной частей, а также с нанесением ситуации, местоположения основных устройств, приборов и др. Границы участка съемки назначаются при рекогносцировочных обследованиях.
В состав геодезических работ входят:
разбивка и закрепление на местности опорной сети;
определение местоположения всех опорных точек сети;
съемка рельефа и ситуации;
разбивка и закрепление магистралей и створов;
нивелировка реперов и створов;
определение местоположения устройств и приборов;
засечка скоростных и промерных вертикалей.
Все геодезические работы выполняются согласно требованиям соответствующих руководств и указаний.
Небольшие участки могут быть сняты теодолитом или мензулой в масштабе 1:(1000 - 5000) без привязки к государственной опорной сети даже без разбивки детальной геодезической основы. В некоторых случаях можно воспользоваться топографическими планами участка, составленными для проектирования и строительства гидротехнических сооружений. При этом на местности разбиваются и закрепляются магистраль и поперечные створы, которые привязываются к опорной сети имеющейся съемки. На таком участке устанавливается постоянный или временный репер для передачи высотных отметок на водомерные устройства и для определения отметок местности при нивелировках створов.
Количество промерных створов и расстояние между ними назначаются в зависимости от задач исследований, сложности морфологии и геологического строения берега, интенсивности плановых деформаций надводного уступа и высотных деформаций дна подводной зоны, особенностей динамики вод и др. Створы необходимо размещать в обе стороны от места намечаемого выпуска вод, причем большее их число - в том направлении, куда ожидается преимущественное перемещение разбавленных сточных вод. В непосредственной близости к месту выпуска створы назначаются через 25 - 100 м, а далее от него - через 100 - 500 м в зависимости от предполагаемых размеров зоны разбавления сточных вод и указанных выше особенностей морфологии и динамики участка. В некоторых случаях, например при сложной геоморфологии участка, кроме основных могут быть назначены и закреплены на местности дополнительные промежуточные створы. Схема размещения магистрали и створов показана на
рис. 74.
Рис. 74. Схема размещения створов в районе выпуска
сточных вод на крупном водоеме
На водоеме удлиненной формы сравнительно небольшой ширины, например 1 - 3 км, где возможно распространение загрязняющих веществ до противоположного берега, магистраль прокладывается на одном берегу, с которого производится выпуск сточных вод, а створы закрепляются на обоих берегах. Створы при этом, как и в предыдущем случае, размещаются с учетом характерных черт и особенностей циркуляции водных масс и направления преобладающего переноса вод в водоеме.
В тех случаях, когда протяженность района, в пределах которого предполагается распространение сточных вод, составляет несколько десятков километров, магистраль разбивается лишь в непосредственной близости к месту сооружения выпуска, а створы на большом удалении от выпуска назначаются по топографической карте. Схема размещения створов и магистрали применительно к таким условиям показана на
рис. 75.
Рис. 75. Схема размещения створов (I - IX) в зоне
разбавления сточных вод на водоеме небольшой ширины
Оборудование участка, створов и пунктов наблюдений
4. Участок наблюдений и створы оборудуются установками, устройствами и приборами в зависимости от предусматриваемых программой видов наблюдений, их продолжительности и детальности. Если на участке строительства выпуска сточных вод предполагается проведение длительных стационарных наблюдений за всеми основными элементами гидрометеорологического режима водоема и динамики береговой зоны, то в состав оборудования и приборов включаются наиболее подходящие типы, которыми можно обеспечить непрерывную регистрацию или регулярные измерения характеристик уровня, ветра, волнения, течений, транспорта наносов, переформирований дна и берега, ледовых явлений и др.
Для наблюдений за уровнем организуются временные гидрологические посты. Посты оборудуются самописцами уровня, постоянными водомерными рейками (с успокоителем или без него) или сваями. Наиболее целесообразна установка на гидрологических постах самописцев уровня воды (СУВ) типа "Валдай". В некоторых случаях могут быть использованы также дистанционные гидростатические уровнемеры ГР-105 или радиоуровнемер "Перекат".
Самописец уровня "Валдай" устанавливается в колодце берегового или островного типов, размещаемом, например, в ближайшей бухте или заливе. На открытом берегу СУВ "Валдай" может быть установлен на свайном основании, на забуренной в дно перфорированной трубе необходимого диаметра или на каком-либо из существующих гидротехнических сооружений.
При установке дистанционного гидростатического уровнемера ГР-105 или радиоуровнемера "Перекат" необходимо руководствоваться требованиями соответствующих инструкций. На участке может быть установлен один или несколько СУВ или уровнемеров. Их количество и места размещения определяются необходимостью получения данных, по которым можно выявить все характерные черты и особенности колебаний и перекосов уровня, обусловленных, например, ветровыми сгонами-нагонами, сейшами, волнами попусков или другими явлениями.
В тех случаях, когда по каким-либо причинам не удается установить СУВ или дистанционный уровнемер, каждый пост оборудуется постоянной водомерной рейкой с успокоителем, обычной водомерной рейкой или сваями. Если свайный пост оказывается недостаточно защищенным от ветровых волн, то для отсчетов уровня на свайном посту используются переносные водомерные рейки с успокоителем ГР-23.
На некоторых водоемах с небольшой величиной колебаний уровня и небольшими его перекосами возникает необходимость в определении отметок уровня с повышенной точностью (до 0,1 см). Для этой цели можно использовать переносные контактные рейки ГР-92 или лабораторные измерители уровня - тастеры. Отсчет уровня этими устройствами проводится в колодце-успокоителе, который может быть изготовлен из перфорированной трубы и прикреплен к свае с кронштейном для крепления рейки ГР-92 или тастера.
Один из временных гидрологических постов размещается в непосредственной близости к створу намечаемого выпуска, а другие, если в этом имеется необходимость, размещаются на таком удалении от створа выпуска, чтобы по данным наблюдений можно было определить с необходимой точностью основные особенности режима колебаний уровня.
Пункт наблюдений за ветром необходимо разместить в таком месте участка работ, где по данным измерений можно получить наиболее достоверные сведения о характеристиках ветра над водной поверхностью водоема. К числу таких мест относятся небольшие острова, мысы или незащищенные (растительностью, строениями, холмами и др.) участки берега. Необходимо учитывать также то, что наиболее полные сведения о ветре можно получить по данным непрерывной регистрации, осуществляемой автоматическими приборами. К числу таких приборов относятся анеморумбографы, например типа используемых на сети метеостанций анеморумбографов М-12 и М-64. Пункт наблюдений может быть оборудован также анеморумбометром или электроконтактным анемометром М-25. При отсутствии указанных приборов пункт наблюдений оборудуется флюгерами с легкой и тяжелой досками.
Датчики ветроизмерительных приборов или флюгеры устанавливаются на мачтах, на высоте 10 м над поверхностью земли. Допускается установка этих устройств и на высоте 9 или 12 м. Если изыскания на объекте планируется проводить непродолжительное время, допускается оборудование временного пункта ветромерных наблюдений. Такой пункт оборудуется мачтой для установки ручного анемометра на высоте 2 м над поверхностью земли и легкой флюгаркой.
Размещение и оборудование пунктов волномерных наблюдений определяются в зависимости от требующихся для освещения режима волнения данных. Для наблюдений за волнением в прибрежной зоне необходимо оборудовать береговой пункт, а для наблюдений в открытом водоеме требуется выбрать и закрепить на акватории одну или несколько вертикалей, у которых предполагается установка волноизмерительных устройств.
Береговой пункт наблюдений размещается в непосредственной близости к намечаемому створу сооружения выпуска на участке с плавным рельефом дна, открытом для доступа волн наибольшей высоты и наибольшей повторяемости в безледный период года. Пункт оборудуется устройствами и приборами для производства инструментальных и инструментально-визуальных наблюдений.
Для инструментальных наблюдений используются волнографы различных типов. Наибольшее распространение для регистрации волн на внутренних пресноводных водоемах получили волнографы с электроконтактными рейками. Электроконтактная рейка закрепляется обычно на жесткоустановленных мачтах - на забитой в дно трубе или на свае с заякоренными для большей устойчивости растяжками. Мачты такого типа устанавливаются обычно на глубинах, не превышающих 7 - 7,5 м. На вертикалях глубиной 5 - 10 м и более электроконтактные рейки могут быть закреплены на заякоренной вехе, изготовленной по типу заякоренной (плавучей) волномерной вехи. Если на створе устанавливается несколько электроконтактных реек, то размещаемые в прибрежной зоне или на ее внешней границе укрепляются на жестком основании, а дальние - на заякоренных вехах. Кабель, соединяющий электроконтактные рейки с приемным устройством (осциллографом или электронным самописцем другого типа), на больших глубинах прокладывается по дну, а в пределах прибойной зоны - в виде воздушной линии, установленной на жестких опорах.
На приглубом берегу со слабодеформируемым дном и устойчивым уступом кабель в пределах зоны разбивания и наката волн защищают металлической трубкой и укладывают в траншею.
На берегу, вне зоны досягаемости штормовых волн, необходимо оборудовать помещение для установки регистрирующей аппаратуры, автономных источников электропитания и для первичной обработки волнограмм. В качестве источников электропитания на участках, удаленных от электрифицированных населенных пунктов, можно использовать переносные электростанции и аккумуляторные батареи.
Пункт наблюдений оборудуется также максимально-минимальными (ММВВ) и обычными волномерными вехами. В качестве максимально-минимальных волномерных вех используются вехи ГР-24 и струнные вехи с пружинными индексами
(рис. 76). На участке желательно установить несколько (2 - 4) ММВВ, располагая каждую из них на различных глубинах или в различных местах, отличающихся по условиям волнообразования или по условиям трансформации волн. ММВВ могут быть установлены на жестком основании (на забитых в дно трубах или сваях) или на заякоренных вехах с подтопленным буем.
Рис. 76. Волномерные устройства различных типов
а - плавучая (заякоренная) ММВВ струнного типа с пружинными
индексами; б - волномерная веха с выносным указателем
волновых горизонтов; в - ММВВ типа ГР-24
В связи с этим в некоторых случаях ММВВ можно закрепить на тех же мачтах или вехах, на которых установлены, например, электроконтактные рейки.
Для инструментально-визуальных наблюдений в прибрежной зоне участка устанавливается обычная волномерная веха или буй. Обычная волномерная веха в виде раскрашенного кольцами через 10 - 20 см шеста длиной 4 - 5 м и диаметром 8 - 12 см закрепляется на жестком основании или на подтопленном буе в виде заякоренной вехи. Место установки вехи выбирается на расстоянии до 300 м от места наблюдения, т.е. в пределах видимости цифр на вехе с берега при использовании для отсчетов волновых горизонтов таких оптических приборов, как нивелир, теодолит или бинокль. Для возможности отсчета минимальных волновых горизонтов, приуроченных к подошвам волн и из-за этого затеняемых соседними гребнями, волномерная веха снабжается устройством с возвышающимся над поверхностью воды скользящим по струне указателем уровня (см.
рис. 76,
б). Только на участках, где место наблюдений располагается на высоком уступе берега, а волномерная веха - вблизи к урезу, для отсчетов волновых горизонтов можно обходиться без выносного указателя уровня. На участках, где измерение волн предполагается осуществлять с помощью волномера-перспектометра, на расстоянии 200 - 400 м от уреза устанавливается заякоренный буй, отчетливо видимый на взволнованной поверхности воды.
Инструментальные наблюдения за волнением вдали от берегов проводятся судовыми волнографами. В глубоководных водоемах для этой цели применяются судовые волнографы ГР-16 и ГМ-62. Волнографы этого типа комплектуются необходимыми устройствами и приспособлениями, что избавляет от необходимости выполнения на водоеме каких-либо дополнительных работ, кроме закрепления створов или береговых пунктов для определения местоположения точек регистрации волн.
Пункты наблюдения, удаленные от берега водоема, оборудуются устройствами для установки самописцев течения длительного действия: БПВ-2, БПВ-2р, ЭСТ и др. На вертикалях с глубинами 3 - 6 м самописцы течений устанавливаются на треногах (
рис. 77,
а), а на вертикалях с глубинами более 6 м - на устройствах типа "колокол" (см.
рис. 77,
б), на тросе с подтопленным несущим буем (см.
рис. 77,
в) или на тросе с подтопленным несущим и сигнальным буями (см.
рис. 77,
г).
Рис. 77. Устройства для установки самописцев
течений в водоемах
а - на треноге; б - на каркасе типа "колокол";
в - на тросе с подтопленным несущим буем; г - на тросе
с подтопленным несущим и вынесенным сигнальным буями
Створ измерений в пределах прибойной зоны для проведения длительных детальных наблюдений оборудуется эстакадой или тросовым устройством, на отдельных вертикалях с глубинами 3 - 5 м устанавливаются треноги или опоры для закрепления измерителей течений, а в зоне больших глубин размещаются буйковые станции.
Участки эпизодических наблюдений за течениями и наносами оборудуются облегченными устройствами: створы на суше закрепляются створными знаками, а вертикали в пределах прибойной зоны - вехами или заякоренными буями. Скоростные вертикали на открытой акватории при этом не закрепляются, но для определения их местоположения засечками на берегу прокладывается базис и закрепляются места стоянок угломерных инструментов или на берегу устанавливаются ориентиры для засечек вертикалей с судна. Если программой работ предусматривается измерение течений аэрометодами, то створы съемок маркируются на берегу отчетливо видимыми с воздуха знаками, например в виде крестов размером 4 - 8 м в зависимости от масштаба съемки.
Виды строительных материалов для эстакады и их количество определяются в зависимости от пород дна, глубин, ширины береговой отмели, размеров волн, величин ветровых сгонов-нагонов и сезонных колебаний уровня.
На отмелях с песчаным дном в качестве материала для опор эстакады можно использовать пиломатериалы или стальные трубы, а для настила - доски. Если наибольшая глубина на отмели в пределах эстакады составляет 2 - 2,5 м, высота волн - 1 - 1,5 м, ветроволновые колебания уровня достигают 0,3 м, то опоры могут быть изготовлены из труб диаметром 60 - 80 мм, а пролет между соседними парами опор принимается 2,5 - 3,5 м в зависимости от прочности материала настила и устойчивости пород дна
(рис. 78).
а - разборная секция эстакады с металлическим каркасом;
б - секция эстакады с деревянным каркасом; 1 - металлическая
леерная стойка; 2 - деревянный настил; 3 - металлическое
основание настила; 4 - секционная свая; 5 - упорный поддон;
6 - детали крепления; 7 - леерная стойка; 8 - деревянный
настил; 9 - деревянное основание: 10 - деревянная свая
На настиле или на ограждающем леере эстакады наносятся расстояния от постоянного начала для определения местоположений промерных и скоростных вертикалей.
Створ наблюдений у приглубого и у отмелого, но не очень пологого берега может быть оборудован тросовым устройством. Установка тросового устройства целесообразна на тех створах, где пролет между опорами не превышает 150 м, а глубина у места опоры - 5 - 6 м. Устойчивость опоры, устанавливаемой на внешнем крае отмели, обеспечивается подкосами из труб или жестких балок, заанкеренными или заякоренными оттяжками. Для оборудования створов с большими пролетами и большими глубинами требуются затраты значительных средств, что в некоторых случаях оказывается недостаточно эффективным.
Тросовое устройство используется для отбора проб воды на мутность и для забрасывания поплавков с целью измерения течений. Им можно пользоваться и для транспортировки других типов измерительных устройств, например измерителя течений ГР-42, электроконтактной рейки и др.
На участках, где возможна установка фундаментальных опор, в качестве тросового устройства может быть использовано оборудование речных тросовых переправ типа ГР-70, ГР-64М.
Для наблюдений за ледовыми явлениями, термикой вод, деформациями дна и берега, химическим составом воды и загрязнением водоема используются те же створы или те же вертикали, на которых проводятся измерения течений и мутности воды.
Промеры глубин
5. Промеры глубин на участке работ проводятся с целью обоснования или решения следующих вопросов: составления батиметрических планов (карт), оценки высотных деформаций дна, обеспечения измерений течений и ледовых образований, распределения состава пород на отмели, съемки температуры и химического состава вод, уточнения мест размещения измерительных приборов и различных устройств, выяснения общего характера рельефа дна при рекогносцировочных обследованиях.
Промеры глубин в зоне прибрежного мелководья и на береговых отмелях целесообразно проводить по створам, закрепленным на берегу и привязанным к магистрали, т.е. по створам, которые используются для наблюдений за деформациями дна и для измерений течений. Если промеры проводятся с целью получения плана участка в изобатах или горизонталях, то створы на участках со сравнительно плавным рельефом дна располагают через 25 - 200 м в зависимости от масштаба плана. На участках со сложным рельефом дна расстояние между створами уменьшается в 1,5 - 2 раза.
Протяженность промерных створов определяется в зависимости от рельефа дна, предполагаемого типа конструкции и удаления от берега рассеивающего выпуска. Желательно, чтобы промерами охватывалась вся береговая отмель с ее внешним склоном и прибрежное мелководье до глубин, равных половине длины штормовых волн. У сравнительно приглубых берегов протяженность створов принимается равной 150 - 300 м, а у пологих отмелых берегов может достигать 1 - 2 км.
Промерные вертикали на участках берега с узкими отмелями располагают через 2 - 5 м, а на очень широких отмелях с плавным рельефом дна - через 5 - 20 м.
Промеры осуществляются следующими средствами: рейкой, наметкой, ручным лотом, гидрологической лебедкой со счетчиком или блок-счетчиком, эхолотом и др. Рейка используется для промеров при общей глубине до 2 м, наметка - при глубине до 6 м, ручной лот и гидрологическая лебедка со счетчиком - до 20 м, эхолоты - до глубины 20 - 200 м.
Расстояния до промерных точек могут определяться по тросу, разматываемому с катушки, установленной на шлюпке, по плавучей цепи (тросу), натянутой между берегом и заякоренной шлюпкой, по дальномеру и по засечкам угломерного инструмента. Если промеры глубин в зоне прибрежного мелководья проводятся эхолотом, то контрольные точки на створах засекаются с берега или фиксируются по установленным заранее заякоренным буям (вехам). Засечки отдельных точек с берега или с судна производятся также в тех случаях, когда эхолотируются створы протяженностью в несколько километров. С целью контроля определения расстояний между отдельными фиксируемыми на створах промерными точками осуществляется регистрация времени (по секундомеру) движения катера с эхолотом от начальной точки до всех закрепленных на створе буями или вехами точек. Измерение расстояний при эхолотировании можно производить также морским лагом или гидрометрической вертушкой, снабженной хронографом или счетчиком оборотов.
Наиболее детальные промеры глубин для составления плана участка в изобатах и для оценки деформаций дна на замерзших водоемах выполняются со льда. При таких условиях промеры осуществляются теми же ручными средствами, что и в безледоставный период, т.е. рейкой, наметкой, лотом или гидрометрической лебедкой. Лунки на промерных вертикалях пробуриваются механическим буром (ГР-58), ручным буром (ГР-7, ИН-8 и др.) или пробиваются пешней. Для определения расстояний промерных вертикалей от магистрали или берега используются размеченный трос длиной 200 - 500 м, мерная лента или рулетка.
Результаты промеров глубин заносятся в промерные книжки. На батиграммах и в книжках указываются следующие данные: название водоема и участка, номер створа, дата и время промеров, уровень воды, номер батиграммы и створа, название судна и марка (тип) эхолота, фамилия оператора и др.
Промерные книжки и батиграммы используются для построения профилей створов и для построения планов участка в изобатах. В тех случаях, когда на створах проводятся повторные промеры глубин, данные наносятся на одни и те же профили и используются, например, для оценок высотных деформаций дна и выяснения хода этого процесса во времени.
Наблюдения за уровнем воды
6. Наблюдения за уровнем воды на участке работ осуществляются на гидрологическом посту, оборудованном самописцем уровня непрерывного действия, реечным, свайным, реечно-свайным или передаточным постом, а также отметчиками предельных высших и низших значений уровня.
Наблюдения за уровнем включают:
ежедневные измерения уровня по водомерной (постоянной или переносной) рейке в утренний и вечерний сроки;
регулярный контроль за работой самописца уровня со сменой лент в утренний срок и фиксацией на ленте отсчета уровня по контрольному водомерному устройству.
При отсутствии самописца в периоды сгонно-нагонных и сейшевых колебаний уровня проводятся учащенные наблюдения по водомерным рейкам и, кроме того, отсчитываются предельные положения уровня в утренний и вечерний сроки.
Уровень по водомерным рейкам отсчитывается с точностью 1 см, а по контрольной игольчатой рейке - с точностью 0,1 см. Результаты измерений уровня записываются в книжку КГ-IМ.
Водомерные устройства периодически подвергаются контрольным нивелировкам, по материалам которых проверяется сохранность высотных отметок водомерных реек и свай или определяются новые значения приводок для расчета относительных или абсолютных отметок уровня.
Обработка наблюдений над уровнем воды состоит в критическом просмотре книжек КГ-IМ и проверке правильности вычислений отметок уровня относительно нуля поста (нуль графика), в обработке лент самописца уровня и построения хронологического графика хода уровня.
Ленты самописца уровня подвергаются просмотру и обработке, включающей следующие этапы: проверку, исправление и разметку записи, снятие с записи ежечасных значений высоты уровня, внесение поправок в снятые значения уровня, определение максимального и минимального уровней и внесение полученных сведений в таблицу ежечасных высот уровня по самописцу ТГ-11. В тех случаях, когда на водоеме действуют два самописца или больше, по их данным нужно построить совмещенные графики хода уровня, которые можно использовать для определения количественных характеристик таких динамических явлений, как ветровые сгоны-нагоны, сейши и др.
Наблюдения за ветром
7. Наблюдения за ветром на береговом пункте проводятся по одному из следующих приборов: по анеморумбографу или анеморумбометру, по ручному электроконтактному и индукционному анемометру или по флюгеру. При наличии анеморумбографа все необходимые характеристики ветра можно получить по данным его записей. В случае использования других приборов наблюдения проводятся регулярно, например, в 7 и 19 ч или в 7, 13 и 19 ч. При ветрах скоростью более 10 м/с наблюдения проводятся через каждые 3 ч. В периоды проведения учащенных наблюдений за волнением, течениями и при термических съемках характеристики ветра определяются через каждый час.
Результаты наблюдений записываются в специальные книжки метеорологических наблюдений или в книжку наблюдений за высотой и периодом волн (КГ-27).
В тех случаях, когда створы или вертикали располагаются вдали от берегового метеорологического пункта, наблюдения за ветром проводятся также со шлюпки или катера. Для наблюдений используется какой-либо из типов анемометров, который устанавливается на мачте на высоте 2 м над поверхностью воды. Продолжительность измерения скорости ветра принимается равной 600 с (10 мин). Для определения направления ветра на судне используется флюгарка или вымпел.
Если работы на водоеме выполняются с катера, то он может быть оборудован судовой дистанционной гидрометеорологической станцией ГМ-6. Блок метеорологических датчиков этой станции устанавливается на мачте, вне зоны влияния палубных надстроек. С помощью ГМ-6 определяются не только характеристики ветра, но и температура воздуха и его влажность, а также температура воды за бортом судна.
Наблюдения на шлюпке или катере проводятся в те же сроки, что и на береговом метеорологическом пункте. В результате этого накапливаются сведения для выявления связи ветра над водной поверхностью с его характеристиками над сушей.
Результаты наблюдений за ветром на береговом пункте и на судах подвергаются обработке и обобщению с учетом программы работ на водоеме.
Наблюдения за волнением
8. Наблюдения за волнением проводятся на береговом волномерном пункте или в открытом водоеме с судна. На береговом пункте при наблюдениях за волнением определяются следующие элементы волн и гидрометеорологические характеристики:
средний период волн по береговому прибою или по волномерной вехе;
наибольшая разность волновых горизонтов, выбранная из 100 наблюденных подряд волн;
направление распространения волнения (в открытом водоеме и в прибрежной зоне);
скорость и направление ветра;
уровень воды.
Наблюдения в полном объеме проводятся в утренние и вечерние сроки, а при ветре скоростью 10 м/с и более - дополнительно через каждые 3 ч в сроки, совпадающие со стандартными сроками метеорологических наблюдений. В осенний и весенний сезоны утренние наблюдения проводятся сразу же после рассвета, а вечерние - перед наступлением сумерек.
Все указанные выше элементы определяются на береговом волномерном пункте в тех случаях, когда высота волны в водоеме достигает или превышает 20 см. При отсутствии волнения и при высоте волн менее 20 см измеряются только скорость и направление ветра. Результаты наблюдений записываются в книжку наблюдений за высотой и периодом волн (КГ-27).
Наблюдения по максимально-минимальной вехе выполняются один раз в сутки или через 2 - 3 сут сразу после ослабления или прекращения сильного волнения. В периоды длительных штилей через каждые 3 - 5 сут проводится осмотр максимально-минимальной вехи с целью проверки ее исправности и готовности к последующей фиксации волн.
На волномерных пунктах, оборудованных самописцами волнения, регистрации волн осуществляются как в сроки регулярных наблюдений, так и при определенных гидрометеорологических условиях, предусмотренных программой работ. При этом в каждой серии записывается не менее 100 идущих подряд волн, а в журнале отмечаются следующие данные: номер серии, дата, время, продолжительность записи, скорость протяжки кинопленки или ленты, промежутки между отметками времени, скорость и направление ветра, направление распространения волн в открытом водоеме и у места установки датчика и др.
В открытом водоеме с судов проводятся инструментальные наблюдения с помощью волнографа и визуально-инструментальные наблюдения. В некоторых случаях в открытом водоеме оборудуется временный пункт комплексных наблюдений, совмещенный, например, с рейдовой вертикалью. Для наблюдений за волнением такой пункт может быть оборудован заякоренной волномерной и максимально-минимальной вехами. Наблюдения за волнением в этом пункте проводятся в те же сроки, что и на береговом пункте, или приурочиваются к выполнению других видов гидрологических наблюдений.
При отсутствии волнографа и других волномерных устройств наблюдения за волнением с судна проводятся визуально. В состав судовых визуальных наблюдений входят: оценка состояния поверхности водоема под влиянием ветра по шкале волнения, определение направления распространения волнения (по судовому компасу или по береговым ориентирам), оценка степени волнения (в баллах) по визуально определенной высоте наиболее значительных волн.
Результаты визуальных наблюдений за волнением записываются в книжки для записи гидрологических наблюдений на рейдовой вертикали.
Наблюдения за течениями на открытой акватории водоема
9. Для изучения меняющихся во времени и по акватории водоема течений используются следующие виды наблюдений:
регулярные наблюдения на постоянных вертикалях, расположенных в характерных местах участка или водоема в целом;
длительные непрерывные или учащенные наблюдения на одной или нескольких характерных вертикалях;
эпизодические наблюдения на отдельных вертикалях;
эпизодические съемки течений на отдельных створах.
Наибольший эффект изучения течений достигается в случаях, когда на водоеме одновременно проводятся два или даже три вида наблюдений, например съемки на отдельных створах и длительные непрерывные измерения на 1 - 2 вертикалях. Наличие непрерывных сведений об изменении характеристик течения в характерных точках позволяет, в частности, более обоснованно устанавливать фазы режима или фазы динамических процессов, к которым приурочены съемки на створах или на участках водоема.
Регулярные наблюдения за течениями проводятся на 1 - 2 вертикалях, расположенных в характерных местах водоема. Вертикали желательно располагать в таких местах, которые доступны для наблюдений при самых разнообразных гидрометеорологических ситуациях. Наиболее подходящими для этой цели являются эстакады, мосты, свайные основания различного типа и др. Если вертикаль располагается вдали от берега, то наблюдения проводятся с заякоренного на длительный период судна или с судна, которое подходит к вертикали в сроки наблюдений.
Для регулярных наблюдений используются вертушки различных типов (ГР-42, ВММ, ГР-21, БПВ-2 и др.) или поплавки
(рис. 79). В зависимости от задач изучения течений регулярные наблюдения проводятся 1 - 3 раза в сутки, например в утренние, вечерние часы и в полдень. Число горизонтов измерения на вертикали назначается в зависимости от характера распределения течения по глубине: 1 - 3 горизонта - при однонаправленном по глубине течении, 5 - 7 горизонтов - при существенно изменяющихся по глубине направлении и скорости течения.
а - глубинный привязной; б - свободно плавающий
поверхностный; 1 - крестовина; 2 - фиксирующий крестовину
регулятор плавучести; 3 - грузик; 4 - вертлюжек;
5 - поплавок-указатель; 6 - леска (d = 0,4 - 0,6 мм);
7 - зажим и зажим с флажком; 8 - моталка
При использовании для наблюдений течений самописцев сведения о их установке фиксируются в журнале, где приводятся следующие данные:
местоположение вертикали относительно береговых ориентиров;
схема участка;
глубина на вертикали;
номер самописца и его горизонт относительно уровня воды или расстояние от дна;
тип устройства и его эскиз;
время установки;
время первого отпечатка на ленте.
В этот же журнал вносятся сведения о всех подъемах самописца с целью контроля его исправности или с целью смены лент. Контроль работы самописца осуществляется через 5 - 25 дней в зависимости от способа постановки и трудоемкости работ по подъему прибора, удаленности вертикали от места базирования, типа судна, надежности работы механизмов прибора и др.
Снятие самописцев течения осуществляется перед появлением ледовых образований на водоеме или в периоды, предшествующие существенному подъему уровня, в результате которого могут оказаться затопленными сигнальные буи или флаги (на треноге).
В зимний период при наличии прочного ледяного покрова самописцы течений могут быть установлены со льда. Наблюдения за течениями в зимний период проводятся в тех случаях, когда сведения о них представляют практический интерес, а скорость течений (стоковых или каких-либо остаточных) превышает начальную скорость используемых для измерений приборов.
Учащенные наблюдения за течениями на отдельных вертикалях проводятся в тех случаях, когда отсутствуют самописцы течения или когда затруднена по каким-либо причинам их установка на водоеме. Для учащенных наблюдений за течениями могут быть использованы следующие приборы: измеритель течений ГР-42, морская вертушка ВММ, поверхностные или глубинные поплавки и др. Измерения этими приборами и устройствами осуществляются с заякоренного судна или со шлюпки, с неподвижного основания островного типа, с моста или эстакады. Повторные измерения течений при учащенных наблюдениях выполняются через 1 - 6 ч в зависимости от изменчивости гидрометеорологической обстановки и течений во времени. Для учащенных измерений на каждой вертикали назначается 1, 2, 3, но не более 5 горизонтов с таким расчетом, чтобы на весь цикл измерений затрачивалось 10 - 30 мин или меньше.
Эпизодические наблюдения на отдельных вертикалях проводятся в дополнение к регулярным наблюдениям или в дополнение к непрерывной регистрации течений. Вертикали для этих наблюдений располагают в различных характерных частях водоема или участка с таким условием, чтобы на основании возможно меньшего числа измерений получить представление об изменении течений по акватории, а также с целью выявления особенностей распределения течений по глубине. В некоторых случаях эпизодические наблюдения целесообразно приурочивать к периодам возникновения на водоеме типичной гидрометеорологической обстановки (ветры определенных направлений и силы, выраженные сейшевые явления, прохождение паводков и половодий на реках, впадающих в водоем, и др.).
Если на водоеме не удается организовать непрерывную регистрацию и регулярные наблюдения за течениями, то эпизодические наблюдения являются единственным видом работ по накоплению сведений о течениях. При этом им уделяется основное внимание как в отношении полноты и тщательности измерений, так и в отношении измерений при всех типичных ситуациях и на различных участках акватории водоема.
Для эпизодических наблюдений за течениями используются те же приборы и средства, которые применяются при других рассмотренных выше видах наблюдений, т.е. вертушки различных типов и поплавки.
Съемка течений на створах и на участках проводится с целью выявления характерных черт и особенностей распределения переноса вод. Измерения течений на створах проводятся с судов или шлюпок с помощью вертушек или поплавков. Горизонты измерений назначаются через 2 м при общей глубине до 10 м и через 5 м при общей глубине до 20 м. При общей глубине вертикали до 50 м горизонты измерений назначаются через 10 м. В случае сложного распределения скорости и направлений течения по глубине между основными горизонтами могут быть назначены 1 - 2 дополнительных горизонта. Дополнительные горизонты приурочиваются к границам раздела течений или к границам слоя температурного скачка.
Если гидрометеорологическая обстановка на водоеме существенно изменяется во времени, то измерения течений на створах целесообразно проводить одновременно с 2 - 3 судов или шлюпок.
Для получения сведений о распределении поверхностных течений на разрезах желательно пользоваться аэрогидрометрическими методами измерений. Аэрометодами за сравнительно короткий период можно получить распределение поверхностных течений в прибрежной зоне участка значительной протяженности или на нескольких створах, удаленных один от другого на значительное расстояние.
Все работы по измерению течений на створах с судов или аэрометодами необходимо сопровождать измерениями характеристик ветра (скорости и направления) и измерениями основных элементов ветровых волн. Измерения ветра и волн необходимо проводить с судов одновременно с измерением течений или организовать учащенные синхронные наблюдения на береговом волномерном пункте. При производстве аэрогидрометрических работ наблюдения за ветром и элементами волн проводятся на одной из рейдовых вертикалей или в крайнем случае на береговом пункте.
Данные измерений течений независимо от вида наблюдений заносятся в книжки или журналы установленной формы, которые в последующем проверяются, а затем используются для построения эпюр скорости, хронологических графиков изменения течений во времени, разрезов течений на створах или схем распределения течений по акватории.
Материалы непрерывных, учащенных и регулярных наблюдений используются, кроме того, для установления статистических характеристик и для составления таблиц повторяемости различных градаций скорости (поверхностной, придонной или осредненной по вертикали) по направлениям.
Материалы аэрофотосъемок поплавков подвергаются вначале фотообработке, а затем камеральной обработке, в результате которой определяются векторы скорости в поверхностном слое и составляются схемы распределения течений на створах или по акватории участка водоема.
Наблюдения за течениями в зоне прибрежного мелководья
и на береговых отмелях
10. В зоне прибрежного мелководья проводятся все рассмотренные выше виды наблюдений: регулярные, длительные непрерывные или учащенные, эпизодические на отдельных вертикалях и съемки на створах или участках. Если регулярные и длительные непрерывные наблюдения за течениями проводятся на вертикалях в открытой акватории водоема, то в зоне прибрежного мелководья выполняются лишь эпизодические наблюдения на отдельных вертикалях, съемки на створах и участках. На береговых же отмелях проводится, как правило, один вид наблюдений - эпизодические измерения течений на створах, которые приурочиваются к некоторым типичным гидрометеорологическим ситуациям.
Для длительных непрерывных наблюдений за течениями в характерном месте зоны прибрежного мелководья на треноге, на устройстве типа "колокол" или на подтопленном несущем буе устанавливаются один или несколько самописцев течения. Проверка работы этих самописцев осуществляется через 5 - 10 сут, чем предупреждаются возможности появления длительных пропусков в регистрации, происходящих, например, в результате обрастания корпуса и винта внутриводной растительностью или в результате поломок механизма.
Регулярные наблюдения за течениями проводятся на одной из вертикалей, расположенной в характерном месте зоны прибрежного мелководья и зафиксированной хорошо заякоренным буем, к которому в периоды наблюдений может закрепляться шлюпка или катер. Эта вертикаль в случае значительной удаленности от берегового пункта наблюдений оборудуется также волномерной вехой и максимально-минимальной волномерной вехой.
Регулярные наблюдения за течениями в зоне прибрежного мелководья проводятся 1 - 3 раза за светлое время суток в зависимости от изменчивости течений во времени, технической оснащенности полевой группы плавсредствами и доступности пункта во время волнения. Если в зоне прибрежного мелководья и на водоеме в целом не проводится непрерывная регистрация течений, то в этом же пункте при типичных ситуациях проводятся учащенные наблюдения за течениями, например через 1 - 3 ч.
Число горизонтов измерения принимается равным 3 - 4 при общей глубине до 5 м, 4 - 6 - при общей глубине 5 - 10 м и 5 - 8 - при общей глубине более 8 м. Если регулярные наблюдения в постоянном пункте проводятся длительное время и по ним установлен простой характер распределения течений по вертикали, то число горизонтов измерения на последующий период работ может быть уменьшено в 1,5 - 2 раза.
Съемка течений на створах зоны прибрежного мелководья проводится эпизодически при возникновении на водоеме типичной гидрометеорологической ситуации. На прямолинейном участке берега с плавным рельефом дна измерения проводятся в одном створе на 4 - 6 вертикалях, распределенных и закрепленных буями или вехами, с учетом рельефа дна и предполагаемого места размещения выпуска сточных вод.
На участке с осложненной конфигурацией берега и меняющимся подводным рельефом течения измеряются на 3 - 4 створах, размещенных таким образом, чтобы по данным измерений можно было выявить общие черты и особенности, а также определить количественные характеристики переноса вод при типичных гидрометеорологических ситуациях. При наличии нескольких створов измерения течений на каждом из них проводятся на 4 - 6 вертикалях, а число горизонтов на каждой вертикали принимается таким же, как и на постоянной вертикали при проведении регулярных наблюдений.
Для получения представлений о распределении течений в зоне прибрежного мелководья со сравнительно простым рельефом дна при наличии небольшого числа типичных ситуаций необходимо провести 4 - 6 съемок, а на участках со сложным подводным рельефом и при возможности большого числа ситуаций необходимо 8 - 10 съемок.
Наблюдения за течениями в прибойной зоне проводятся в тех случаях, когда для целей проектирования гидротехнических сооружений необходимы сведения о вдольбереговом транспорте наносов, высотных деформациях дна и плановых деформациях берега или о других процессах.
Течения в прибойной зоне измеряются в створе, оборудованном эстакадой или дистанционным тросовым устройством. На отмелях небольшой ширины в теплые периоды года допускается проведение измерений со шлюпки и вброд. В условиях волнения измерениями охватывается вся отмель от уреза до бровки, а на участках, где отмель плавно сопрягается с подводным склоном, - от уреза до глубины, примерно равной двум высотам максимальных при данном шторме волн.
В пределах береговой отмели назначается 5 - 7 вертикалей. Вертикали размещаются в характерных точках: приурезовой зоне, зоне разбивания и зоне забурунивания волн, внешней границе взмучивания наносов и бровке отмели. Если зоны забурунивания и разбивания волн распластаны, то в пределах каждой из них назначается по две вертикали. При постепенной трансформации волн в пределах всей отмели вертикали распределяются равномерно. На пологих отмелях с несколькими выраженными подводными валами число вертикалей необходимо увеличить до 8 - 12 и располагать их в зонах, характерных в отношении динамических процессов и морфологии дна (на гребнях, на склонах валов и в подвальях).
Поскольку сведения о течениях на отмели необходимы для определения расходов наносов, то измерения скорости проводятся, как правило, одновременно с отборами проб воды на мутность и приурочиваются к определенным гидрометеорологическим ситуациям, представляющим наибольший практический интерес с точки зрения вдольбереговых перемещений наносов и деформаций дна.
Для измерения течений применяются поверхностные и глубинные поплавки, нетоксичные красящие вещества и другие средства. Использовать для измерения течений в прибойной зоне гидрометрические вертушки не рекомендуется, поскольку на их показания существенное влияние оказывают волновые колебательные движения воды. Использование гидрометрической вертушки для измерения течений допускается у приглубых берегов, в зоне ослабленных волновых движений при условии, что прибор опускается не с качающегося и рыскающего на волнах судна, а с неподвижного основания, т.е. с эстакады, тросового устройства или свайного основания.
Поплавочные измерения проводятся привязными или свободно плавающими поплавками (см.
рис. 79). При пользовании привязными поплавками каждое измерение сопровождается определением длины пути перемещения поплавка по вытравленной нити (жилке), времени по секундомеру и направления движения поплавка по компасу или береговым ориентирам. Длина пути и направление перемещения поплавка отсчитываются от неподвижной точки, например от установленной с судна легкой заякоренной вешки или буйка.
В журнал наблюдений заносятся также сведения о местоположении вертикали, глубине воды, горизонте измерения и пр.
Путь движения свободно плавающих поплавков и места пересечения ими створов удобно определять по размеченным тросам, натянутым над поверхностью воды, или по вехам, установленным в соседних створах через определенное расстояние. На отмелях большой ширины для измерений течений может быть использован способ сопровождаемых поплавков, при котором поплавки забрасываются, сопровождаются по пути движения и вылавливаются со шлюпки. Со шлюпки определяются также места пересечения поплавками створов и время движения между створами.
В некоторых случаях возможно использование способа засечек поплавков с берега каким-либо угломерным инструментом или способа определения расстояний до поплавков, сопровождаемых шлюпкой, по дальномеру. По данным наблюдений за свободно плавающими поплавками или другими индикаторами вычерчиваются траектории движения и вычисляются скорости для промежутков между соседними парами створов.
Измерения мутности воды и вдольбереговых перемещений наносов
11. Измерения мутности воды и вдольбереговых перемещений наносов проводятся на тех осваиваемых участках водоемов, где эти явления могут оказать ощутимое влияние на работу проектируемых сооружений, например, путем их занесения или заиления.
Количественная оценка вдольбереговых перемещений наносов осуществляется по расходам взвешенных и донных наносов, вычисленных соответственно по мутности воды и по поступлению твердого материала в наносоуловители, по перемещению береговых аккумулятивных образований и по заносимости сооружений или отрицательных форм рельефа (заливов, бухт, затопленных оврагов, прорезей). Выбор способа измерений зависит от гидролого-морфологических особенностей участка, от вида и интенсивности транспорта наносов, технической оснащенности полевой группы и др.
Наиболее эффективным способом накопления сведений о перемещениях наносов является способ определения расходов по данным о мутности воды и скоростях течения. Такие измерения проводятся в створе, оборудованном эстакадой, тросовым устройством и размеченном тросом или вехами. Вертикали отбора проб на мутность совмещаются со скоростными вертикалями, число и местоположение которых выбирается в соответствии с требованиями
разд. 10 настоящего приложения.
Для отбора проб воды на мутность с целью получения осредненных характеристик используются батометры длительного наполнения: батометр-бутылка на штанге (
рис. 80,
а) и батометр-бутылка в грузе (на тросе) (см.
рис. 80,
б), вакуумный батометр ГР-61. Мгновенные значения мутности в прибойной зоне могут быть определены батометром Жуковского, морскими батометрами и батометрами-дифференциаторами (см.
рис. 80,
в). Осредненная мутность в прибойной зоне определяется по пробам, отбираемым буксируемыми батометрами-интеграторами - плавучим (см.
рис. 80,
г) и придонным (см.
рис. 80,
д).
Рис. 80. Батометры различных типов для отбора проб воды
на мутность
а - батометр-бутылка на штанге; б - батометр-бутылка
в грузе; в - батометр-дифференциатор; г - плавучий
батометр-интегратор; д - донный батометр-интегратор
Батометр-интегратор буксируется в пределах между бровкой береговой отмели и урезом с такой скоростью, чтобы на этом пути заполнялась емкость. Буксировка осуществляется вручную с помощью линя, лебедкой или с помощью троса, переброшенного через блоки, закрепленные на опорах у уреза и у бровки береговой отмели.
При пользовании батометрами длительного наполнения пробы воды можно отбирать детальным способом (в 3 - 5 точках по вертикали) и интеграционно по глубине. Детальные способы отбора проб воды на мутность применяются в случаях действия длительных установившихся штормов, а интеграционные - при неустойчивой штормовой погоде, а также на вертикалях с глубинами до 0,4 м.
Измерения мутности приурочиваются к периодам действия штормов различной силы и различного направления с таким расчетом, чтобы ими освещался возможно более широкий диапазон изменения определяющих факторов.
В тех случаях, когда для целей проектирования гидротехнических сооружений необходимы сведения об изменении мутности в периоды развития волнения и при установившихся штормах, проводятся учащенные, например через 1 - 3 ч, отборы проб со взвешенными наносами на 1 - 2 вертикалях прибрежной зоны. Пробы отбираются в 1 - 2 характерных точках вертикали или интеграционно по глубине.
Расходы донных наносов на отмелях измеряются ловушками (наносоуловителями) наиболее приемлемых для этой цели типов. Возможны два способа установки ловушек - с эстакады или вброд. Ловушки размещают в характерных местах створа и следят за их наполнением. На каждой из вертикалей определяются продолжительность заполнения ловушки и объемы поступающих в нее наносов. Эти данные используются в последующем для вычисления расходов наносов и для определения их распределения по ширине отмели.
На участках, где на отмелях возникают перемещающиеся вдоль берега аккумулятивные формы, например примкнувшие к урезу гряды, расход донных наносов можно оценить по совмещенным планам или продольным профилям. Последовательные съемки рельефа выполняются 2 - 3 раза в течение одного продолжительного шторма или перед штормом и после него. Продольные профили в количестве 4 - 5 располагают равномерно по ширине отмели, примерно параллельно урезу или в характерных частях аккумулятивных образований. В периоды между очередными съемками рельефа проводятся учащенные наблюдения за элементами штормовых волн, за характеристиками течений и ветра, которые необходимы для последующего анализа материалов.
Объем перемещения наносов каждой аккумулятивной формой за периоды между очередными съемками определяется графически, графоаналитическим или аналитическим способами. Располагая сведениями об объемах перемещаемых наносов и зная время между очередными съемками рельефа, легко вычислить расходы наносов (м3/с, м3/ч, м3/сут).
Для получения сведений об объемах перемещений наносов по данным о заносимости гидротехнических сооружений или отрицательных форм рельефа периодически выполняются съемки рельефа в пределах зон аккумуляции. Примеры размещения продольников и поперечников при съемках рельефа показаны на
рис. 81. Съемки рельефа на участках аккумуляции наносов проводятся после отдельных штормов или после серий штормов. На участках со слабым поступлением наносов повторные съемки проводятся через 2 - 4 мес. По данным повторных съемок вычерчиваются совмещенные профили и вычисляются объемы поступивших на участок наносов.
Рис. 81. Схемы размещения створов для оценки поступления
наносов объемным способом
а - коса у изгиба линии берега; б - коса между островом
и берегом; в - косы у входа в залив; г - аккумулятивное
образование у гидротехнического сооружения
Наблюдения за высотными деформациями дна
и плановыми деформациями берега
12. Наблюдения за высотными деформациями дна и плановыми деформациями берега проводятся в пределах участка, охватываемого другими видами наблюдений. В качестве основных створов наблюдений используются створы, по которым проводятся промеры глубин для выявления подводного рельефа и составления планов участка, а также створы, используемые для наблюдения за течениями, мутностью воды, распространением сточных вод и другими явлениями. Если этих створов оказывается недостаточно, то на местности разбиваются и закрепляются дополнительные створы с таким расчетом, чтобы наблюдениями охватывались все характерные в отношении геологии, морфологии и динамического воздействия волн участки берега и отмели.
На участках с однообразным геологическим строением и плавным рельефом дна для наблюдений выбирается 4 - 6 створов, а на участках сложного геологического строения, с разнообразной морфологией и меняющимися вдоль берега условиями подхода волн - 8 - 12 створов. По этим створам периодически, 2 - 4 раза в год, проводятся промеры глубин и нивелировка надводных частей.
На участках берега, где высотные деформации дна береговых отмелей обусловлены перемещениями и изменениями формы подводных валов, промеры глубин приурочивают к периодам сильных штормов и выполняют 5 - 7 раз в год. На основании данных повторных промеров и нивелировок строятся совмещенные профили, которые и используются для определения высотных обратимых и необратимых деформаций дна на различных глубинах по каждому из створов. По совмещенным профилям определяются также необратимые плановые деформации надводного уступа (склона) берега.
На участках водоемов, где наряду с подводными валами возникают такие аккумулятивные формы, как примкнувшие к урезу гряды или косы, промеры по поперечным створам иногда не позволяют выявить возможные величины высотных деформаций дна отмелей. При наличии таких форм эхолотирование необходимо проводить также по продольникам, располагаемым параллельно берегу и охватывающим 3 - 6 соседних форм. Промеры по продольникам приурочиваются к периодам, когда береговые аккумулятивные формы достигают наибольших и наименьших размеров. Высотные деформации дна на различном расстоянии от уреза определяются в этих случаях по совмещенным продольникам.
Дополнительные виды наблюдений
13. Наряду с рассмотренными видами полевых работ и наблюдений в некоторых случаях может возникнуть необходимость изучения других элементов режима водоема. К таким элементам режима относятся химический состав воды, температура воды и воздуха, ледовые явления.
Наблюдения за химическим составом вод проводятся, как правило, в периоды эксплуатации сооружений с целью оценки санитарного состояния вод в районе выпуска, выяснения зоны распространения сточных вод и зоны влияния загрязненных вод.
Пробы воды на химический анализ отбираются 3 - 4 раза в год по каждому из створов участка одновременно с отбором проб донных отложений, измерениями течений и других элементов режима водоема. Для выявления границ зоны загрязнения и оценки распределения концентрации загрязняющих веществ в ее пределах отбор проб проводится на 30 - 50 вертикалях. На каждой вертикали пробы отбираются в 2 - 3 точках: поверхность, дно, (0,5 - 0,6)H при глубинах 10 - 20 м и более или интеграционным способом при глубинах до 10 м. Периоды съемок приурочивают к наиболее типичным ситуациям на водоеме, например к длительным штилям, при которых происходят наибольшие накопления загрязняющих воду веществ у сбросных сооружений, и к штормам различной силы и направлений, приводящим к переносу загрязняющих воду веществ на возможно большие расстояния от выпуска.
На участке выпуска сточных вод проводятся также регулярные или эпизодические отборы одиночных проб воды на химический анализ. Отбор проб осуществляется на 2 - 3 вертикалях, одна из которых располагается у сбросных сооружений, а другие - на расстоянии 300 - 600 м от выпуска в зависимости от количества сточных вод, интенсивности их разбавления и направления перемещения в водоеме.
В тех случаях, когда расход и химический анализ сбросных вод не меняются, одиночные пробы можно отбирать эпизодически, приурочивая их к периодам возникновения на водоеме определенных гидрометеорологических ситуаций, например таких, которые приводят к переносу загрязненных вод к водозаборам, зонам рекреации, к нерестилищам и другим объектам.
Непосредственно на судне, с которого проводится отбор проб, определяются некоторые химические элементы и дается качественная оценка вод.
В стратифицированных водоемах, где на ход разбавления и перенос загрязненных вод оказывают влияние различия плотности воды по глубине, наряду с другими видами работ проводятся регулярные наблюдения за температурой воды и термические съемки. Регулярные наблюдения проводятся 1 - 3 раза в сутки на одной из репрезентативных рейдовых вертикалей, по которой можно получить объективные характеристики изменения распределений температуры по глубине и во времени. Температурными съемками охватывается вся зона возможного распространения загрязненных вод, но измерения проводятся не на всех створах участка, а лишь на 3 - 4 створах, расположенных на концах и в середине участка. Съемки температуры приурочиваются к периодам развития, стабилизации и разрушения стратификации.
Для измерений температуры используются ртутные термометры в оправе, глубоководные термометры (ТГО, микротермометры ГР-2 со шкалой от 0,8 до 1,2 °C, электротермометры, батитермографы ГМ-9 III и др.).
Наблюдения за ледовыми явлениями проводятся в тех случаях, когда намечается строительство гидротехнических сооружений такого типа, на который могут воздействовать какие-либо из ледовых явлений (шуга, торосы, подвижки льда).
Наблюдениями охватываются периоды замерзания, ледостава и вскрытия водоема. Ледовая обстановка оценивается путем:
визуальных и инструментальных наблюдений;
маршрутных обследований с картированием;
ледомерных съемок в пределах участков (при ледоставе); авиаразведок.
Работы выполняются в соответствии с требованиями, предъявляемыми к регулярным стандартным наблюдениям, или только как специальные наблюдения. Регулярные наблюдения проводятся в тех случаях, когда на водоеме нет действующих постов и станций или если проводимые на постах и станциях наблюдения недостаточно полно характеризуют ледовую обстановку на участке предполагаемого строительства сбросных сооружений.
При регулярных стандартных наблюдениях определяются следующие характеристики ледовых явлений:
сроки появления льда, установления ледостава, вскрытия и очищения водоема от льда;
виды ледовых образований;
степень покрытия акватории льдом в период замерзания и очищения водоема;
дрейф льда в период замерзания и вскрытия;
образование внутриводного льда (шуги);
деформации ледяного покрова, торосистость и навалы льда на берега;
толщина льда и снежного покрова на нем;
состояние ледяного покрова и его видимая структура.
К специальным наблюдениям относятся:
маршрутные обследования с картированием ледовой обстановки на участках большой протяженности;
авианаблюдения;
ледомерные наблюдения в пределах всего участка;
измерение количества проносимого вдоль берега льда и шуги;
формирование навалов льда и торосов;
давление льда на сооружения;
термические и динамические деформации ледяного покрова (инструментальные измерения);
физико-механические свойства льда.
ПРОГНОЗ БЕРЕГОВЫХ ДЕФОРМАЦИЙ НА ВОДОХРАНИЛИЩАХ
Пересчет ежемесячных повторяемостей ветра по Справочнику
на повторяемость, отнесенную к безледоставному периоду
и учитывающую штили
1. Исходный материал для определения ветрового режима водохранилища можно получить в Справочнике по климату СССР Госкомгидромета (ч. III, Ветер). В табл. 7 Справочника приводятся помесячные сведения о повторяемости ветров различных градаций скорости раздельно по 8 румбам. Повторяемости выражены в процентах от числа зарегистрированных в данном месяце случаев ветра по четырехразовым наблюдениям, т.е. без учета штилевых наблюдений. Повторяемость штилей, выраженная в процентах от общего числа наблюдений за месяц, приводится отдельно в табл. 1 Справочника.
Для последующих волновых и волноэнергетических расчетов необходимо иметь повторяемость ветров различных градаций скорости раздельно по трем или четырем (в зависимости от ориентации береговой линии относительно сторон горизонта) наветренным румбам, суммированную за весь безледоставный период и выраженную в процентах от общего числа наблюдений (включая и штили) за этот период.
Число случаев

ветра данной градации скорости
W и данного направления

за рассматриваемый месяц получается из повторяемости этого ветра
pW, приведенной в табл. 7 Справочника, путем введения поправки на повторяемость штилей
p0:

(194)
где nбл - полное число наблюдений в данном месяце (включая штили).
Числу случаев

соответствует повторяемость

в данном месяце, отнесенная ко всему безледоставному периоду, %

(195)
В этой формуле число наблюдений в данном месяце nбл следует заменить соответствующим числом дней.
Суммарная повторяемость данного ветра за весь безледоставный период

равна

(196)
Введение в расчет помесячного значения дней наблюдения мотивируется главным образом тем, что при незначительности расхождений в числе nбл в полные безледоставные месяцы эти расхождения могут быть существенными в начальный и конечный неполные месяцы ледоставного периода.
Приведенный в примере пересчет ежемесячных повторяемостей ветра различной скорости и направления на повторяемость этих ветров по 4 наветренным румбам, отнесенную к безледоставному периоду, выполнен применительно к показаниям метеостанции Бугульма N 29 (см. Справочник по климату СССР, ч. III, вып. 12). В качестве наветренных приняты румбы С, СЗ, З и ЮЗ, и безледоставный период принят охватывающим полностью месяцы от мая до ноября включительно (
табл. 20 -
22).
Таблица 20
Скорость ветра, м/с | С | СЗ | З | ЮЗ | Ю-СВ |
0 - 1 | 4,7 | 4,4 | 3,2 | 3,7 | 12,5 |
2 - 5 | 8,9 | 8,1 | 8,3 | 6 | 22,9 |
6 - 9 | 2,4 | 2,3 | 2,1 | 2,5 | 6 |
10 - 13 | 0,1 | 0,3 | 0,3 | 0,3 | 0,93 |
14 - 20 | | | 0,03 | | 0,06 |
Таблица 21
Повторяемость штилей
Месяцы | Повторяемость штилей P0 | Число наблюдений nбл | |
V | 8 | 124 | 0,1333 |
VI | 10 | 120 | 0,1262 |
VII | 12 | 124 | 0,1275 |
VIII | 14 | 124 | 0,1246 |
IX | 9 | 120 | 0,1276 |
X | 8 | 124 | 0,1333 |
XI | 8 | 120 | 0,129 |
|
Таблица 22
Повторяемость ветра,
, % от общей продолжительности
безледоставного периода
W, м/с | С | СЗ | З | ЮЗ | Ю-СВ |
Май p = 0,1333pW |
0 - 1 | 0,3332 | 0,2533 | 0,2666 | 0,3066 | 0,9198 |
2 - 5 | 0,9198 | 1,0131 | 1,0797 | 1,1864 | 2,626 |
6 - 9 | 0,3599 | 0,5865 | 0,5732 | 0,7065 | 1,0264 |
10 - 13 | 0,0933 | 0,0533 | 0,1333 | 0,3332 | 0,3199 |
14 - 20 | 0,004 | 0,0133 | 0,04 | 0,1066 | 0,0706 |
Июнь p = 0,1262pW |
0 - 1 | 0,4038 | 0,3534 | 0,3534 | 0,4291 | 1,0601 |
2 - 5 | 1,1736 | 1,1989 | 1,2368 | 1,0222 | 2,3347 |
6 - 9 | 0,3534 | 0,4291 | 0,5174 | 0,5679 | 0,6689 |
10 - 13 | 0,0379 | 0,0252 | 0,1136 | 0,1262 | 0,1805 |
14 - 20 | 0,0038 | - | 0,0038 | 0,0379 | 0,0252 |
Июль p = 0,1275pW |
0 - 1 | 0,5995 | 0,51 | 0,4208 | 0,3442 | 1,224 |
2 - 5 | 1,2878 | 1,326 | 1,1092 | 0,9562 | 2,6392 |
6 - 9 | 0,2805 | 0,4208 | 0,3952 | 0,3188 | 0,612 |
10 - 13 | 0,0382 | 0,051 | 0,0255 | 0,0892 | 0,1326 |
14 - 20 | - | - | 0,0038 | 0,0038 | 0,0038 |
Август p = 0,1246pW |
0 - 1 | 0,5856 | 0,5482 | 0,3987 | 0,461 | 1,5575 |
2 - 5 | 1,1089 | 1,0093 | 1,0342 | 0,7476 | 2,8533 |
6 - 9 | 0,299 | 0,2866 | 0,2617 | 0,3115 | 0,7476 |
10 - 13 | 0,0125 | 0,0374 | 0,0374 | 0,0374 | 0,1159 |
14 - 20 | - | - | 0,0037 | - | - |
Сентябрь p = 0,1276pW |
0 - 1 | 0,3683 | 0,3556 | 0,4953 | 0,5715 | 0,8039 |
2 - 5 | 0,9271 | 0,9652 | 1,1176 | 1,4986 | 1,8751 |
6 - 9 | 0,2286 | 0,4064 | 0,5715 | 0,889 | 0,8677 |
10 - 13 | 0,0381 | 0,0635 | 0,0762 | 0,3302 | 0,1697 |
14 - 20 | 0,0038 | 0,0127 | 0,0127 | 0,0254 | 0,0421 |
21 - 24 | - | - | - | - | - |
Октябрь p = 0,1333pW |
0 - 1 | 0,3066 | 0,2399 | 0,3066 | 0,2399 | 0,8664 |
2 - 5 | 0,6665 | 0,8798 | 1,1597 | 1,2664 | 1,8662 |
6 - 9 | 0,3066 | 0,4666 | 0,8398 | 1,3463 | 0,9998 |
10 - 13 | 0,0533 | 0,0933 | 0,0933 | 0,4666 | 0,4705 |
14 - 20 | 0,0267 | 0,004 | 0,0267 | 0,12 | 0,16 |
21 - 24 | - | - | - | 0,0040 | 0,004 |
Ноябрь p = 0,1290pW |
0 - 1 | 0,2838 | 0,2193 | 0,3096 | 0,3225 | 0,6708 |
2 - 5 | 0,6579 | 0,6708 | 0,9804 | 1,2900 | 2,322 |
6 - 9 | 0,2064 | 0,258 | 0,5547 | 1,1481 | 1,1059 |
10 - 13 | 0,0258 | 0,0903 | 0,1935 | 0,5547 | 0,516 |
14 - 20 | 0,0039 | - | 0,0387 | 0,1290 | 0,2232 |
21 - 24 | - | - | - | 0,0039 | 0,0039 |
Сумма май - ноябрь |
0 - 1 | 2,8808 | 2,4797 | 2,551 | 2,6748 | 7,1025 |
2 - 5 | 6,7416 | 7,0631 | 7,7176 | 7,9674 | 16,5171 |
6 - 9 | 2,0344 | 2,854 | 3,7135 | 5,2881 | 6,0318 |
10 - 13 | 0,2991 | 0,414 | 0,6726 | 1,9375 | 1,9051 |
14 - 20 | 0,0422 | 0,03 | 0,1294 | 0,2937 | 0,5249 |
21 - 24 | - | - | - | 0,0079 | 0,0079 |
Штиль | - | - | - | - | 9,8691 |
Итого | 11,9981 | 12,8408 | 14,7841 | 18,1694 | 32,0893 |
Всего | | | | | 99,75 |
Волновой режим водохранилища
2. Располагая волновыми характеристиками заданного берегового участка водохранилища и сведениями о повторяемости ветра (прил. 6,
п. 1), можно получить непосредственные характеристики волнового режима этого берегового участка. Такой расчет для условий примера прил. 6,
п. 1 и условных волновых характеристик
(рис. 82) представлен в
табл. 23 данного приложения.
Рис. 82. График к расчету волнового режима водохранилища
Таблица 23
Характеристика волнового режима
| | W, м/с | | |  , м |
Север |
3 - 7,5 | 6,742 | 3 | 9,117 | 0,9598 | 0,08 |
9 - 13,5 | 2,034 | 8,25 | 2,375 | 0,3757 | 0,5 |
15 - 19,5 | 0,299 | 14,25 | 0,341 | -0,4672 | 0,99 |
> 21 | 0,042 | 20,25 | 0,042 | -1,3768 | 1,45 |
Северо-Запад |
3 - 7,5 | 7,063 | 3 | 10,361 | 1,0154 | 0,05 |
9 - 13,5 | 2,854 | 8,25 | 3,298 | 0,5182 | 0,41 |
15 - 19,5 | 0,414 | 14,25 | 0,444 | -0,3526 | 0,8 |
> 21 | 0,03 | 20,25 | 0,03 | -1,5229 | 1,2 |
Запад |
3 - 7,5 | 7,718 | 3 | 12,234 | 1,0876 | 0,05 |
9 - 13,5 | 3,714 | 8,25 | 4,516 | 0,6547 | 0,37 |
15 - 19,5 | 0,673 | 14,25 | 0,802 | -0,0958 | 0,75 |
> 21 | 0,129 | 20,25 | 0,129 | -0,8894 | 1,13 |
Юго-Запад |
3 - 7,5 | 7,967 | 3 | 15,494 | 1,1901 | 0,07 |
9 - 13,5 | 5,288 | 8,25 | 7,527 | 0,8766 | 0,45 |
15 - 19,5 | 1,937 | 14,25 | 2,239 | 0,35 | 0,91 |
21 - 30 | 0,294 | 20,25 | 0,302 | -0,52 | 1,36 |
> 31,5 | 0,008 | 30,75 | 0,008 | -2,0969 | 2,16 |
Вторая колонка этой таблицы взята из суммирующей части
табл. 22. Градации же скорости ветра, приведенные в
графе 1, даны по материалам той же таблицы, но с введением поправочного коэффициента 1,5 на защищенность метеостанции. Повторяемости ветра

пересчитываются в обеспеченности

. В последней колонке приводятся отвечающие этим обеспеченностям высоты волн того же направления

, полученные по волновым характеристикам.
Для расчета береговых переформирований следует иметь энергетические характеристики волнения. Получение этих характеристик облегчается, если эмпирическую связь между высотой волны и ее обеспеченностью представить в аналитическом выражении. Такое выражение находится легко, если вместо непосредственной зависимости

искать зависимость

. Исходя из этого в
табл. 23 наряду с обеспеченностью высот волн приводятся логарифмы обеспеченностей.
Нанесенные по эмпирическим точкам
табл. 23 кривые

имеют слабую выгнутость, обращенную вверх. По форме и общей направленности кривая аппроксимируется некоторым участком параболы вида
построенной в системе координат, смещенной относительно системы

,

с сохранением параллельности осей
(рис. 83). Задача нахождения аппроксимирующего аналитического выражения lg
P =
f(
h) сводится в первую очередь к определению параметра параболы
a, к нахождению по двум заданным точкам эмпирической кривой lg
P1,
h1 и lg
P2,
h2 соответствующих точек параболы
x1y1 и
x2y2, выделяющих или ограничивающих искомый участок кривой, и к последующему переносу найденного отрезка в систему координат lg
P,
h. При выборе исходных данных
h1, lg
P1 и
h2, lg
P2 естественно стремление к возможно более широкому охвату освещенной натурными материалами области. Целесообразно, в частности, принимать lg
P1 соответствующим
h1 = 0.
Рис. 83. График к расчету волнового режима водохранилища
Для решения первой части задачи - определения величин a, x1y1 и x2y2 - используются в качестве известных величин разности lgP2 - lgP1, чему соответствует разность x2 - x1, а также разность h2 - h1, чему соответствует разность y2 - y1. Это дает два уравнения:

(198)

(199)

(200)

(201)
Недостающее пятое уравнение получим, сняв с эмпирической кривой в точке lg
P1,
h1 или в иной системе в точке
x1y1 наклон касательной

и выразив его как производную
функции (197)

(202)

(203)

(204)

(205)

(206)
Подставляем полученное выражение
y2 в
(205)

(207)

(208)

(209)

(210)

(211)

(212)
Для получения непосредственно выраженной зависимости lg
P =
f(
h) осуществляем параллельный перенос координатных осей (см.
рис. 83) по формулам

(213)
Значения

и

находим из сопоставления соответствующих точек
X1y1 и lg
P1,
h1

(214)
Подставляя сюда
x1 по
(212) и
y1 по
(210), учитывая при этом, что
h1 = 0, получаем

(215)

(216)
Подставляем полученные выражения для
x и
y в
формулу (197) и получаем

(217)
или после преобразования

(218)
Эта формула является расчетной. Входящий в нее коэффициент
a определяется по
формуле (209)
где
При пользовании этими формулами следует помнить, что обычно

и

есть величины отрицательные и отрицательной становится величина
a.
Ниже приводятся примеры построения аппроксимирующих зависимостей lg
P =
h(
h) для четырех направлений ветра по материалам
табл. 23. Расчетная
формула (218) обеспечивает точное выполнение условия прохождения кривой через крайние заданные точки. Графическое определение величины

как наклона касательной к кривой, предварительно проведенной по 4 - 5 натурным точкам, обычно оказывается достаточно надежным для хорошего совпадения теоретической кривой и с остальными натурными точками. При отсутствии же удовлетворительного совпадения возникшие расхождения легко устраняются введением поправки в величину

.
Располагая аналитическим
выражением (218), представляющим зависимость обеспеченности
P от высоты волны
h, можно определить высоту волны, возникающей один раз в
T лет. При общем числе наблюдений за ветром за
T лет, равном

, обеспеченность первого случая наиболее высокой волны
Pт равна
Напомним, что здесь

- полное число наблюдений за безледоставный период в течение одного года. Задаваясь значением
T и соответствующим значением lg
Pт,
уравнение (218) можно решать относительно
h. Такое решение для условий примера (см.
п. 1 настоящего приложения) приводится в
табл. 24. Высоты волн, возникающие 1 раз в
T лет, вычислены отдельно по четырем наветренным румбам. Наибольшая волна, возникающая за период
T с учетом всех румбов, определяется выборкой из частных значений. Одновременно с высотой волны в таблице приводятся и соответствующие значения скоростей ветра, определенные по волновым характеристикам.
T, год | 1 | 10 | 25 | 50 | 100 |
P | 0,1168 | 0,01168 | 0,004672 | 0,002336 | 0,001168 |
lgP | -0,9325 | -1,9325 | -2,3305 | -2,6315 | -2,9325 |
Север | |
h, м | 1,237 | 1,6992 | 1,8678 | 1,9906 | 2,1098 |
W, м/с | 17,4 | 22 | 25,5 | 26,8 | 28,1 |
Северо-Запад | |
h, м | 1,0114 | 1,3195 | 1,4287 | 1,5074 | 1,5831 |
W, м/с | 15,6 | 22 | 23,6 | 24,8 | 25,8 |
Запад | |
h, м | 1,1471 | 1,5082 | 1,6374 | 1,7308 | 1,8209 |
W, м/с | 20,7 | 26,3 | 28,3 | 29,7 | 31,3 |
Юго-Запад | |
h, м | 1,6338 | 2,0916 | 2,2548 | 2,3727 | 2,4864 |
W, м/с | 23,8 | 29,9 | 32 | 33,7 | 35,1 |
Наибольшие значения |
h, м | 1,63 | 2,09 | 2,25 | 2,37 | 2,49 |
W, м/с | 23,8 | 29,9 | 32 | 33,7 | 35,1 |
Энергия ветрового волнения
3. Количество энергии, переносимое волной в единицу времени, через единицу протяжения фронта волны, т.е. удельная мощность потока волновой энергии, согласно теории волн малой амплитуды на большой глубине зависит от высоты волны
h и от ее крутизны. Исходя из того, что на водохранилищах разгоны волн относительно невелики, крутизну их можно считать значительной. Тогда удельную мощность потока волновой энергии
E, т/ч, можно рассчитывать по приближенной формуле
E = 795h2,5, (219)
где
h выражено в метрах. Если разгон волны пересекает линию берега под углом

, то мощность потока, отнесенная к единице протяженности береговой линии, будет равна, т/ч

(220)
Мощность потока энергии волн
hi, осредненная по всем направлениям

, определяется как средневзвешенная величина по формуле

(221)
где
pij - плотность вероятности появления среди волн направления

высоты волны
hi. Эта величина может быть получена как производная

из
уравнения (218), переписанного в виде

(222)
отсюда

(223)
Количество энергии
Эi, переносимой волнами
hi всех направлений в течение годового сезона, получается умножением осредненной по направлениям мощности этих волн

по
формуле (221) на продолжительность их действия.
При решении этой задачи следует учитывать, что связь высоты волны
h с временем ее действия дается непрерывной зависимостью и в относительном выражении в процентах. В этих условиях продолжительность действия волны
hi следует относить к бесконечно малому промежутку значений
dh, включающему высоту волны
hi. Продолжительность
dt действия волн этого интервала определяется умножением
dh на плотность вероятности появления волн этой высоты, суммированной по всем направлениям

, и на продолжительность безледоставного периода, выраженную в единицах времени. Продолжительность этого периода
Tбл, выраженная в часах, равна сумме

, включающей все безледоставные месяцы, при
nбл, выражающем число наблюдений каждого полного и неполного месяца

(224)
Умножая осредненную по направлениям мощность волны hi на соответствующий интервал времени dt, получаем количество энергии

(225)

(226)
Полная годовая работа Э всего спектра волн hi, выраженная в конечных разностях, равна

(227)
| | ИС МЕГАНОРМ: примечание. Текст дан в соответствии с официальным текстом документа. | |
Для условий примера (см. п. настоящего приложения) годовая работа, отнесенная к 1 м протяженности береговой линии, равна 39200 т. Зависимость

от
h для этого примера представлена на
рис. 30. Из этого графика видно, что наибольшая часть работы совершается относительно малыми волнами, но имеющими большую повторяемость. Этот частный вывод имеет общее значение. В рассматриваемом случае при высоте волн ежегодной повторяемости, равной 1,6 м, волны высотой 0,7 м и меньше приносят половину всей годовой энергии. Волнами высотой 1,3 м и меньше приносится 90% годовой энергии и лишь 5% энергии - волнами, высота которых больше 1,54 м.
Расчетные формулы
1. Северное направление
Рис. 84. График к расчету энергии ветрового волнения
при направлении ветра
а - северном; б - северо-западном; в - западном;
г - юго-западном
h0 = 0; lgP1 = 1,09; h2 = 1,45; lgP2 = -1,3768.
В первом приближении

.
lgP = -0,3112h2 - 1,250h + 1,0900.
Проверка: при h = 1,45 должны получить lgP = -1,3768:
lgP = 0,3112·2,1025 - 1,250·1,45 + 1,09= -1,3768.
Дальнейший расчет сведен в таблицу:
h, м | h2 | -0,3112h2 | -1,250h | lgP | P |
0 | 0 | 0 | 0 | 1,09 | 12,3 |
0,2 | 0,04 | -0,0124 | -0,25 | 0,841 | 6,934 |
0,4 | 0,16 | -0,0498 | -0,5 | 0,5708 | 3,474 |
0,6 | 0,36 | -0,112 | -0,75 | 0,228 | 1,6905 |
0,8 | 0,64 | -0,1992 | -1 | -0,1092 | 0,7784 |
1 | 1 | -0,3112 | -1,25 | -0,4712 | 0,3379 |
1,2 | 1,44 | -0,4481 | - 1,5 | -0,8581 | 0,1386 |
1,4 | 1,96 | -0,61 | - 1,75 | -1,27 | 0,0537 |
1,6 | 2,56 | -0,7967 | -2 | -1,7067 | 0,01965 |
1,8 | 3,24 | - 1,0083 | -2,25 | -2,1683 | 0,006787 |
2 | 4 | -1,2448 | -2,5 | -2,6548 | 0,002214 |
2,2 | 4,84 | - 1,5062 | -2,75 | -3,1622 | 0,0006883 |
2,4 | 5,76 | - 1,7925 | -3 | -3,7025 | 0,0001984 |
2,6 | 6,76 | -2,1037 | -3,25 | -4,2637 | 0,00002636 |
2. Северо-западное направление
h1 = 0; lgP1 = 1,07; h2 = 1,2 м; lgP2 = -1,5229.
В первом приближении

.
lgP = -0,9589h2 - 1,0101h + 1,07.
Проверка: при h = 1,20 должны получить lgP = -1,5229:
lgP = -1,3808 - 1,2121 + 1,07= -1,5229.
Дальнейший расчет сведен в таблицу:
h, м | h2 | -0,9589h2 | -1,0101h | lgP | P |
0 | 0 | 0 | 0 | 1,07 | 1,75 |
0,2 | 0,04 | -0,0384 | -0,202 | 0,8296 | 6,755 |
0,4 | 0,16 | -0,1534 | -0,404 | 0,5126 | 3,255 |
0,6 | 0,36 | -0,3452 | -0,606 | 0,1188 | 1,315 |
0,8 | 0,64 | -0,6137 | -0,8081 | -0,3518 | 0,4448 |
1 | 1 | -0,9589 | -1,0101 | -0,8889 | 0,1292 |
1,2 | 1,44 | -1,3808 | -1,2121 | -1,5229 | 0,03 |
1,4 | 1,96 | -1,8794 | -1,4141 | -1,2235 | 0,005977 |
1,6 | 2,56 | -2,4548 | -1,6162 | -3,001 | 0,0009977 |
1,8 | 3,24 | -3,1068 | -1,8182 | -3,855 | 0,0001396 |
2 | 4 | -3,8356 | -2,0202 | -4,7858 | 1,637·10-5 |
2,2 | 4,86 | -4,6602 | -2,2222 | -5,8124 | 1,54·10-6 |
2,4 | 5,76 | -5,5233 | -2,4242 | -6,8775 | 1,326·10-7 |
2,6 | 6,76 | -6,4822 | -2,6263 | -8,0385 | 9,152·10-9 |
3. Западное направление
h1 = 0; lgP1 = 1,14; h2 = 1,13; lgP2 = -0,8894.
В первом приближении

.
lgP = -0,6377h2 - 1,0753h + 1,14.
Проверка: при h = 1,13 должно получиться lgP = -0,8894:
lgP = -0,8143 - 1,2151 + 1,14 = -0,8894.
Дальнейший расчет сведен в таблицу:
| | ИС МЕГАНОРМ: примечание. Значение в третьей графе шапки таблицы дано в соответствии с официальным текстом документа. | |
h, м | h2 | -6377h2 | -1,0735h | lgP | P |
0 | 0 | 0 | 0 | 1,14 | 13,8 |
0,2 | 0,04 | -0,0255 | -0,2147 | 0,8998 | 7,94 |
0,4 | 0,16 | -0,102 | -0,4294 | 0,6086 | 4,061 |
0,6 | 0,36 | -0,2296 | -0,6441 | 0,2663 | 1,846 |
0,8 | 0,64 | -0,4081 | -0,8588 | -0,1269 | 0,7467 |
1 | 1 | -0,6377 | -1,0735 | -0,5712 | 0,2684 |
1,2 | 1,44 | -0,9183 | -1,2882 | -1,0665 | 0,09852 |
1,4 | 1,96 | -1,2499 | -1,5029 | -1,6128 | 0,02439 |
1,6 | 2,56 | -1,6325 | -1,7176 | -2,2101 | 6,165·10-3 |
1,8 | 3,24 | -2,0661 | -1,9323 | -2,8584 | 1,385·10-3 |
2 | 4 | -2,5508 | -2,147 | -3,5578 | 2,768·10-4 |
2,2 | 4,84 | -3,0865 | -2,3617 | -4,3082 | 4,918·10-5 |
2,4 | 5,76 | -3,6732 | -2,5764 | -5,1096 | 7,77·10-6 |
2,6 | 6,76 | -4,3108 | -2,7911 | -5,9619 | 1,092·10-6 |
4. Юго-западное направление
h1 = 0; lgP1 = 1,24; h2 = 2,16 м; lgP2 = -2,0969.
В первом приближении

.
lgP = -0,4086h2 - 0,6622h + 1,24.
Проверка: при h = 2,16 должно получиться lgP = -2,0969:
lgP = -1,9064 - 1,4304 + 1,24 = -2,0968.
Дальнейший расчет сведен в таблицу:
h, м | h2 | -0,4086h2 | - 0,6622h | lgP | P |
0 | 0 | 0 | 0 | 1,2411 | 17,38 |
0,2 | 0,04 | -0,0163 | -0,1324 | 1,0913 | 12,34 |
0,4 | 0,16 | -0,0654 | -0,2649 | 0,9097 | 8,123 |
0,6 | 0,36 | -0,1471 | -0,3973 | 0,6956 | 4,961 |
0,8 | 0,64 | -0,2615 | -0,5298 | 0,4487 | 2,81 |
1 | 1 | -0,4086 | -0,6622 | 0,1692 | 1,476 |
1,2 | 1,44 | -0,5884 | -0,7946 | -0,143 | 0,7194 |
1,4 | 1,96 | -0,8008 | -0,9271 | -0,4879 | 0,3252 |
1,6 | 2,56 | -1,046 | -1,0595 | -0,8655 | 0,1363 |
1,8 | 3,24 | -1,3239 | -1,192 | -1,2759 | 0,05298 |
2 | 4 | -1,6344 | -1,3244 | -1,7188 | 0,01911 |
2,2 | 4,84 | -1,9776 | -1,4568 | -2,1944 | 6,391·10-3 |
2,4 | 5,76 | -2,3535 | -1,5893 | -2,7028 | 1,982·10-3 |
2,6 | 6,76 | -2,7621 | -1,7217 | -3,2438 | 5,704·10-4 |
h, м | h2,5 | Север | Северо-Запад | Запад | Юго-Запад | |
P | | P | | P | | P | |
0,2 | 0,0179 | 6,934 | 10,0482 | 6,755 | 20,0277 | 7,94 | 22,4722 | 12,34 | 8,978 | 1,101 |
0,4 | 0,1012 | 3,474 | 5,4177 | 3,255 | 12,3067 | 4,061 | 13,6974 | 8,123 | 7,0798 | 3,896 |
0,6 | 0,2788 | 1,6905 | 2,8206 | 1,315 | 6,0448 | 1,846 | 7,2281 | 4,961 | 5,0384 | 5,891 |
0,8 | 0,5724 | 0,7784 | 1,3841 | 0,4448 | 2,4076 | 0,7467 | 3,329 | 2,81 | 3,2622 | 5,9823 |
1 | 1 | 0,3379 | 0,6379 | 0,1292 | 0,8048 | 0,2684 | 1,3422 | 1,476 | 1,9242 | 4,7091 |
1,2 | 1,5774 | 0,1386 | 0,2769 | 0,03 | 0,2113 | 0,09852 | 0,5461 | 0,7194 | 1,0414 | 3,2742 |
1,4 | 2,3192 | 0,0537 | 0,1132 | 0,005977 | 0,04698 | 0,02439 | 0,1484 | 0,3252 | 0,5132 | 1,9059 |
1,6 | 3,2382 | 0,01965 | 0,0435 | 0,0009977 | 8,654·10-3 | 6,165·10-3 | 4,088·10-2 | 0,1363 | 0,2366 | 1,0674 |
1,8 | 4,3469 | 0,006787 | 0,0158 | 0,0001396 | 1,325·10-3 | 1,385·10-3 | 9,933·10-3 | 0,05298 | 0,09959 | 0,5505 |
2 | 5,6568 | 0,002214 | 0,00539 | 1,637·10-5 | 1,687·10-4 | 2,768·10-4 | 2,135·10-3 | 0,01911 | 0,03857 | 0,2617 |
2,2 | 7,1789 | 0,0006883 | 0,00175 | 1,540·10-6 | 1,713·10-5 | 4,918·10-5 | 4,061·10-4 | 6,391·10-3 | 1,385·10-2 | 0,115 |
2,4 | 8,9254 | 0,0001984 | 0,00053 | 1,326·10-7 | 1,583·10-6 | 7,77·10-6 | 6,837·10-5 | 1,982·10-3 | 4,582·10-3 | 0,0462 |
2,6 | 10,9002 | 0,00002636 | 0,000073 | 9,152·10-9 | 1,167·10-7 | 1,092·10-6 | 1,020·10-5 | 5,704·10-4 | 1,401·10-3 | 0,0028 |
2,8 | 13,1188 | | | | | | | | 28,803 |
Расчет годового поступления волновой энергии для условий
примера 1.
Построение графика
.
Частные выражения

для четырех румбов сведены в таблицу.
Румб | | | Q | | |
Север | 67°30' | 0,3827 | -0,3112 | -1,52 | 0,8812P (-0,6224 - 1,52) |
Северо-Запад | 22°30' | 0,9239 | -0,9589 | -1,0101 | 2,1274P (-1,9178 - 1,0101) |
Запад | 22°30' | 0,9239 | -0,6377 | -1,0753 | 2,1274P (-1,2754 - 1,0753) |
Юго-Запад | 67°30' | 0,3827 | -0,4086 | -0,6622 | 0,8812P (-0,8172 - 0,6622) |
Дальнейший расчет сведен в таблицу. Значения
Pi, соответствующие
hi, выписываются из таблиц
примера 1 (см.
п. 3 данного приложения).
В последней колонке таблицы даются значения

. Суммируя эти значения по всем значениям
h, получаем
4. Характеристики профиля устойчивой береговой отмели
Порода | d, мм | iур | i0 | |
Ил | 0,001 - 0,01 | - | - | |
Пыль | 0,01 - 0,1 | 0,005 | 0,001 | 100 |
Песок | | | | |
мелкий | 0,1 - 0,25 | 0,03 | 0,005 | 70 |
средний | 0,25 - 0,5 | 0,07 | 0,01 | 70 |
крупный | 0,5 - 1 | 0,14 | 0,02 | 70 |
Гравий | | | | |
мелкий | 1 - 2 | 0,19 | 0,03 | 45 |
средний | 2 - 5 | 0,21 | 0,05 | 45 |
крупный | 5 - 10 | 0,25 | 0,08 | 25 |
Галечник | | | | |
мелкий | 10 - 20 | 0,3 | 0,1 | 11 |
средний | 20 - 50 | 0,36 | 0,15 | 6 |
крупный | 50 - 100 | 0,4 | 0,2 | 4 |
Годовая работа волн всех размеров вычисляется по
формуле (227), в которой
Tбл = 5136;

:
Э = 7,95·5136·0,2·28,803 = 235 200 т.
ПРИМЕР РАСЧЕТА БЕРЕГОВЫХ ДЕФОРМАЦИЙ
(определение предельного положения береговой отмели)
5. Первоначальный профиль берегового склона приведен на
рис. 85. Нормальный подпорный уровень устанавливается на отметке 26 м. Сработка водохранилища за безледоставный период

. Высота расчетной волны, выбранной в соответствии с
п. 13.9, в рассматриваемом случае принята
h = 1,6 (см.
рис. 30). В соответствии с
п. 13.8 и исходя из суммарно оцениваемого фракционного состава пород берегового склона принимаются следующие значения характерных уклонов отмели:
iур = 0,07;
iо = 0,001. Коэффициент устойчивости донных отложений на внешнем крае отмели принят

(см.
п. 4), коэффициент аккумуляции

.
Рис. 85. Профиль береговых деформаций
Исходя из принятых значений уклонов
iур и
iо коэффициенты

и

в уравнении, выражающем криволинейную часть профиля
(92)
принимают следующее значение
(95):
При высоте расчетной волны
h = 1,6 и принятом коэффициенте устойчивости

глубина размывающего действия волны
Hо = 2,8 м (см.
рис. 31). Ширина криволинейной части отмели
Bок определяется по
формуле (94), м:
Bок = 49,28·2,82 + 14,28·2,8 = 426,33.
Для получения лучших результатов следует уменьшить объем разрушения и увеличить объем аккумуляции. Это достигается смещением всей линии отмели с сопрягающими откосами в сторону водоема, как это показано пунктиром на
рис. 85. Величина смещения

с достаточной для практики точностью определяется по формуле

(228)
где

- превышение верхней точки расчетного надводного склона (точка a на
рис. 27) над точкой пересечения линии первоначального склона с линией расчетного профиля (точка b на том же рисунке);

- превышение последней точки над наинизшей точкой подводного склона (точка e на
рис. 27);

и

- соответственно объемы разрушения и аккумуляции, полученные расчетом в первом приближении.
В рассматриваемом случае

,

:
Линия смещенного профиля представлена на
рис. 85 пунктиром. После внесения поправки получен коэффициент аккумуляции

. Дальнейшее уточнение практически нецелесообразно. Расчет профиля криволинейной части отмели от уреза воды до глубины
Hо = 2,8 приведен в таблице.
y | y2 | 49,28y2 | 14,28y | x, м |
0,2 | 0,04 | 1,97 | 2,86 | 4,83 |
0,4 | 0,16 | 7,88 | 5,71 | 13,59 |
0,6 | 0,36 | 17,74 | 8,57 | 26,31 |
0,8 | 0,64 | 31,54 | 11,42 | 42,96 |
1 | 1 | 49,28 | 14,28 | 63,56 |
1,5 | 2,25 | 110,88 | 21,42 | 132,3 |
2 | 4 | 197,12 | 28,56 | 225,68 |
2,5 | 6,25 | 308 | 35,7 | 343,7 |
2,8 | 7,84 | 386,35 | 39,98 | 426,33 |
Ширина прямолинейного участка профиля рассчитывается по
формуле (94), м:
Bоп = 6(2·49,28·2,8 + 14,28) = 1800,64.
Полная ширина отмели Bо = Bок + Bоп, м
Bо = 426,33 + 1800,64 = 2226,97.
Положение полученного расчетного профиля и ограничивающих его надводного и подводного склонов относительно профиля первоначального берегового склона определяется путем графического совмещения этих профилей, выполненного с соблюдением заданного коэффициента аккумуляции, равного в рассматриваемом случае

. Первая попытка такого совмещения делается на глаз. На
рис. 85 эта первая попытка показана сплошными линиями.
6. Коэффициенты сопротивляемости горных пород
волновому воздействию (
, т/м2)
Породы | Ненарушенное залегание | Нарушенное состояние |
Плотные скальные | 10000 | 10000 |
Известняки, песчаники, алевролиты слабые | 7000 - 5000 | 7000 - 5000 |
То же, выветренные, сильно трещиноватые | 5000 - 3000 | 5000 - 3000 |
Глины: | | |
плотные | 5000 - 3000 | 1500 |
тощие и трещиноватые | 2000 | 500 - 300 |
Пески: | | |
мелкозернистые, слабо сцементированные | 2000 | 200 |
мелкозернистые, сильно уплотненные | 1000 - 500 | 100 |
слабо уплотненные | 200 | 100 - 50 |
Суглинки | 1000 - 500 | 200 - 100 |
Лессовидные суглинки и супеси | 300 | 100 |
При этой попытке получилось: объем обрушения

; объем аккумуляции

и коэффициент аккумуляции

вместо 0,82.
Пример расчета прогноза береговых деформаций
на заданный срок
Исходные условия. Первоначальный профиль берегового склона представлен на
рис. 86. Нормальный подпорный уровень установлен на отметке 10. Сработка водохранилища за безледоставный период

. Исходя из размеров расчетной волны установлена глубина ее размывающего действия
Hо = 2,8 м. Коэффициент аккумуляции

. В уравнении криволинейной части отмели приняты следующие значения коэффициентов:

;

. Среднее годовое поступление волновой энергии к внешнему краю береговой отмели
Э = 235200 т/год; расчетная сопротивляемость пород берегового склона

.
Рис. 86. Профиль прогноза береговых деформаций
В поставленных выше условиях уравнение линии профиля в криволинейной части отмели имеет вид
x = 49,3y2 + 14,3.
Этому соответствуют следующие значения ширины криволинейной и прямолинейной частей отмели на предельной стадии ее развития:
Bок = 49,3·2,82 + 14,3·2,8 = 426,6 м,
Bоп = 2(2·49,3·2,8 + 14,3) = 580,8 м.
В
табл. 25 приводятся значения ширины этих частей отмели на различных стадиях ее развития
n, вычисленные по формулам
bок = nBок, bоп = nBоп.
| n = 1 | n = 0,75 | n = 0,50 | n = 0,25 |
bок, м | 426,6 | 319,9 | 213,3 | 106,6 |
bоп, м | 580,8 | 435,6 | 290,4 | 145,5 |
 , м 2 | 3886 | 2337 | 1285 | 637,5 |
 , м 2 | 2710 | 1716 | 1097 | 484 |
| 0,558 | 0,73 | 0,85 | 0,76 |
| 13,9 | 12,7 | 11,55 | 11,1 |
| 5,6 | 5,7 | 5,35 | 4,55 |
| 28 | 12,43 | 2,9 | 2,83 |
 , м 2 | 3497 | 2175 | 1318 | 606,1 |
 , м 2 | 2867 | 1787 | 1081 | 496,9 |
| 0,82 | 0,82 | 0,82 | 0,82 |
| 1 | 0,622 | 0,377 | 0,173 |
Путем графического совмещения профилей отмели с профилем начального склона получены в первом приближении значения объемов разрушения

и объемов аккумуляции

на разных стадиях развития отмели. Как показано в
табл. 25, результаты первого приближения не дали нужного совпадения коэффициента аккумуляции

с заданными значениями

. Уточнение во взаимном размещении профилей отмели и первоначального профиля берега достигается введением поправки


Значения

и

- см.
формулу (228). Приведенные в таблице значения

и

, полученные после введения поправки на

, уже удовлетворяют заданным условиям аккумуляции. Стадии
n = 1 соответствуют предельные значения объемов разрушения и аккумуляции, равные в рассматриваемом примере

и

. В последней строке
табл. 25 приведены отношения

, соответствующие приведенным в таблице стадиям развития отмели
n. Связь между величинами
m и
n графически представлена на
рис. 87. На том же графике дана зависимость от
n ежегодного количества волновой энергии
Э, расходуемой на разрушение берегового откоса. На основании этого графика по формуле
определено время

, потребное для перехода процесса из стадии
nn в стадию
nn+1. Расчеты приведены в
табл. 26. Там же приводится суммарное время
t для развития процесса от его начала до состояния
nn. В рассматриваемом примере постоянный множитель

. В последних колонках
табл. 26 дан расчет времени
t для тех же условий, но выполненный по упрощенной
формуле (104):
Рис. 87. График зависимости между величинами m и n
и волновой энергии
n | | | m | mn - mn-1 | | tгод | Упрощенный метод |
1 - n | ln (1 - n) | tгод |
0 | 0,01 | 0,95 | 0 | 0,065 | 1,03 | | 1 | 0 | 0 |
0,1 | 0,065 | 1,03 | 0,9 | -0,1054 | 1,58 |
0,15 | 0,85 | 0,07 | 1,33 |
0,2 | 0,135 | 2,36 | 0,8 | -0,2232 | 3,36 |
0,25 | 0,75 | 0,077 | 1,54 |
0,3 | 0,212 | 3,9 | 0,7 | -0,3567 | 5,36 |
0,35 | 0,65 | 0,078 | 1,8 |
0,4 | 0,29 | 5,7 | 0,6 | -0,5108 | 7,68 |
0,45 | 0,55 | 0,085 | 2,35 |
0,5 | 0,375 | 8,05 | 0,5 | -0,6932 | 10,43 |
0,55 | 0,45 | 0,09 | 3,01 |
0,6 | 0,465 | 11,06 | 0,4 | -0,9163 | 13,78 |
0,65 | 0,35 | 0,1 | 4,3 |
0,7 | 0,565 | 15,36 | 0,3 | -1,204 | 18,11 |
0,75 | 0,25 | 0,1 | 6,02 |
0,8 | 0,675 | 21,38 | 0,2 | -1,609 | 24,2 |
0,85 | 0,15 | 0,14 | 14,03 |
0,9 | 0,815 | 35,41 | 0,1 | -2,302 | 34,62 |
0,95 | 0,05 | 0,185 | 55,65 |
1 | 1 | 91,06 | 0 | | |
На
рис. 88 дано сопоставление расчетов, выполненных путем суммирования конечных разностей и путем интегрирования упрощенной зависимости
m =
n.
Рис. 88. График зависимости между величинами m и n
РАСЧЕТ РАЗБАВЛЕНИЯ СТОЧНЫХ ВОД В РЕКАХ И ВОДОЕМАХ
Теоретические основы методики расчета разбавления
сточных вод
1. В турбулентных потоках явлению пульсации скоростей сопутствует перемешивание водных масс. Загрязняющие вещества, попавшие в речной поток или водоем, имеющий заметное течение, увлекаются течениями и под влиянием турбулентного перемешивания распространяются в смежные струи потока. При этом происходит процесс разбавления загрязненных вод, протекающий в результате перемешивания их с окружающей водной средой.
Разбавление загрязняющих веществ сопровождается размножением и гибелью микроорганизмов, распадом органогенных веществ и т.д. В результате всех этих процессов происходит очищение потоков от загрязняющих веществ, или самоочищение. Таким образом, под самоочищением понимают совокупность гидродинамических, биохимических, химических и физических процессов, приводящих к снижению концентрации загрязняющих веществ, вносимых сточными водами.
Гидравлическое решение задачи о загрязнении и самоочищении предполагает установление характера распространения и степени разбавления устойчивых химических примесей. Это решение может оказать существенную помощь и в выяснении всего комплекса явлений, если удастся установить характеристики биологических процессов, в частности, интенсивности поглощения кислорода, размножения бактерий, распада органических веществ и т.д.
Конечный эффект разбавления в речном потоке может быть определен на основании уравнения баланса вещества, составленного для потока в целом. Достаточно полное перемешивание вод потока со сточными водами осуществляется на значительном расстоянии от места сброса сточных вод. Это расстояние находится в результате расчета разбавления (расчета турбулентной диффузии вещества) в потоке. Теоретически створ полного перемешивания оказывается на бесконечном расстоянии от места выпуска, поэтому принято говорить о створе достаточного перемешивания. Предполагается, что в этом створе достигается достаточная степень однородности водных масс, оцениваемая средним значением концентрации cn сбрасываемых в поток веществ и величинами отклонений концентрации в отдельных точках рассматриваемого створа, которые не должны превышать точность измерения или расчетов. Обычно степень неоднородности водных масс оценивается относительной величиной разности между максимальным и средним значениями концентрации в створе.
Средняя концентрация вещества в потоке на любом заданном расстоянии от выпуска может быть вычислена из уравнения баланса вещества
(109). Расстояние до любого створа и распределение концентраций в любом створе определяются по методу расчета разбавления загрязненных вод.
В основе методов расчета разбавления, рассматриваемых в
пп. 3.1 -
3.8, лежит дифференциальное уравнение турбулентной диффузии. Это уравнение выведено В.М. Маккавеевым и применяется для решения многих задач о распространении и транспорте растворенных и взвешенных веществ в естественных потоках. Уравнение имеет вид

(229)
где c - концентрация загрязняющего вещества в воде;
D - кинематический коэффициент турбулентной вязкости;
t - время, с;
Vx, Vy, Vz - компоненты скорости течения относительно координат x, y, z;
u - гидравлическая крупность взвешенных частиц, м/с.
В зависимости от характера потока и особенностей решаемой задачи уравнение записывается с теми или иными упрощениями. Так, при распространении в потоке не взвешенного, а растворенного вещества уравнение записывается без члена, содержащего u, так как гидравлическая крупность растворенных частиц равна нулю.
Дифференциальное
уравнение (229) используется для вывода расчетных уравнений, которые позволяют вычислить концентрации загрязняющих веществ на различных расстояниях от выпуска.
Известен ряд методов расчета разбавления: методы Таллинского политехнического института (ТПИ), Водгео, ГГИ, Ленинградского инженерно-строительного института (ЛИСИ). Все они были рассмотрены в предшествующие годы. С целью выбора метода, дающего наиболее достоверные результаты, тогда же была выполнена сравнительная оценка методов, которая позволила сделать следующие выводы:
все методы дают приближенные результаты, причем в той или иной мере завышают их;
наиболее полно характеризует загрязненность водного объекта в районе сброса метод ГГИ (метод А.В. Караушева), так как он позволяет получить распределение концентрации в этом районе; кроме того, он достаточно обоснован теоретически.
При выборе метода расчета разбавления сточных вод, сбрасываемых через рассеивающие выпуски, были приняты во внимание перечисленные выше выводы, а также тот факт, что все существующие расчетные методы, исключая метод ЛИСИ (метод Лапшова), разработаны для сосредоточенных выпусков. Оказалось возможным без особых затруднений применить к рассеивающим выпускам метод ГГИ. Поскольку метод, как показано выше, имеет некоторые преимущества перед другими, выбор его в качестве основного для расчетов разбавления сточных вод, сбрасываемых через рассеивающие выпуски, можно считать обоснованным.
Пример расчета
2. Рассеивающий выпуск длиной 54 м находится в центральной части потока, так что крайние оголовки равноудалены от берегов, количество рассеивающих оголовков 24, расстояние между соседними оголовками 2,25 м. Вычислить распределение концентраций консервативных загрязняющих веществ в 500-метровой зоне ниже выпуска при следующих условиях:
Q = 509 м3/с,
Qст = 7,7 м3/с,
H = 1,41 м,
V = 0,61 м/с,
B = 600 м,
D = 0,0063 м2/с,
Kобщ = 1,5,
Dиспр = 0,0094 м2/с,
cст = 100% = 5 мг/л (фенол),
cе = 0,
i = 4.
Расчет начинается с вычисления площади расчетной клетки в поперечном сечении потока, м2:
Поскольку

, их значения получаются из равенства, м:
При полученном значении

между центрами соседних выпусков разместится 6 клеток.
Расстояние между расчетными сечениями

вычисляется по
формуле (129), м
При полученных значениях

,

,

и заданных значениях
cст = 100% и
i = 4 выполняется расчет разбавления сточных вод для условий пространственной задачи.
В клетки начального сечения вписываются значения концентраций, при этом в местах расположения каждого оголовка в 4 клетки вписывается концентрация 100, во все остальные клетки помещается цифра 0, так как
ce = 0
(табл. 27). Разбавление достаточно рассчитывать для двух соседних оголовков, один из которых является крайним, поскольку, имея поля концентрации в районе этих оголовков, можно восстановить распределение концентрации в районе всех остальных оголовков: концентрации у первого и последнего оголовков полностью совпадают, а концентрации между центрами первого и второго, второго и третьего оголовка и т.д. равны соответственно концентрациям между центрами 24 и 23, 23 и 22 оголовков и т.д.
| x = 0 |
| |
0 | 0 | 0 | 0 | 0 | 0 | 0 | 0 | 0 | 0 | 0 | 0 | 0 | 0 | 0 |
0 | 0 | 0 | 0 | 0 | 0 | 0 | 0 | 0 | 0 | 0 | 0 | 0 | 0 | 0 |
0 | 0 | 100 | 100 | 0 | 0 | 0 | 0 | 100 | 100 | 0 | 0 | 0 | 0 | 0 |
0 | 0 | 100 | 100 | 0 | 0 | 0 | 0 | 100 | 100 | 0 | 0 | 0 | 0 | 0 |
Дно | |
| x = 2 |
| |
| | 00 | 0 | 0 | 0 | 0 | 0 | 0 | 0 | 0 | 0 | 0 | 0 | 0 |
| | 25 | 25 | 0 | 0 | 0 | 0 | 25 | 25 | 0 | 0 | 0 | 0 | 0 |
0 | 25 | 500 | 50 | 25 | 0 | 0 | 25 | 50 | 50 | 25 | 0 | 0 | 0 | 0 |
0 | 25 | 75 | 75 | 25 | 0 | 0 | 25 | 75 | 75 | 25 | 0 | 0 | 0 | 0 |
Дно | |
| x = 4 |
| |
0 | 0 | 6,25 | 6,25 | 0 | 0 | 0 | 0 | 6,25 | 6,25 | 0 | 0 | 0 | 0 | 0 |
0 | 12,5 | 18,75 | 18,75 | 12,5 | 0 | 0 | 12,5 | 18,75 | 12,5 | 12,5 | 0 | 0 | 0 | 0 |
6,25 | 18,75 | 43,75 | 43,75 | 18,75 | 6,25 | 6,25 | 18,75 | 43,75 | 43,75 | 18,75 | 6,25 | 0 | 0 | 0 |
6,25 | 31,25 | 56,25 | 56,25 | 31,25 | 6,25 | 6,25 | 31,25 | 56,25 | 56,25 | 31,25 | 6,25 | 0 | 0 | 0 |
Дно | |
| x = 10 |
| |
0 | 0 | 1 | 2,9 | 7,8 | 11 | 11 | 7,8 | 3,9 | 3,9 | 7,8 | 11 | 11 | 7,8 | 3,9 |
0 | 0,45 | 1,45 | 6,9 | 11,8 | 18,2 | 18,2 | 12,2 | 8,3 | 8,3 | 12,2 | 18,2 | 18,2 | 12,2 | 8,3 |
0,1 | 0,6 | 3,9 | 9,3 | 20,5 | 26,1 | 27,1 | 21,1 | 13,2 | 13,2 | 21,1 | 27,1 | 27,1 | 21,1 | 13,2 |
0,1 | 1,1 | 4,4 | 13,2 | 24,4 | 34,2 | 34,3 | 25,5 | 17,6 | 17,6 | 25,5 | 34,3 | 34,3 | 25,5 | 17,6 |
Дно | |
| Укрупняем в 2 раза |
| x = 10 |
| |
0 | 0 | 0 | 0,1 | 3,05 | 12,15 | 12,3 | 6,1 | 12,3 | 12,3 | 6,1 | 12,3 | | | |
0 | 0 | 0 | 0,5 | 7,7 | 26,5 | 27 | 15,3 | 27 | 27 | 15,3 | 27 |
Дно | |
| x = 34 м |
| |
0 | 0 | 0,05 | 0,75 | 3,25 | 7,9 | 12,7 | 15,15 | 15,65 | 15,9 | 15,9 | 15,8 | 15,9 | | |
| 0,05 | 0,15 | 1 | 3,7 | 8,7 | 13,8 | 16,5 | 17,25 | 17,5 | 17,5 | 17,4 | 17,5 |
Дно | |
Переход к плоской задаче.
После того как в расчетной таблице данные по загрязненным водам заняли 60 клеток (в соответствии с указаниями
п. 18.7 их должно быть не менее 50), производится укрупнение клеток.
Вычисляются новые размеры клеток:
Концентрация в укрупненных клетках вычисляется как среднее арифметическое концентраций в каждых 4 объединяемых клетках.
Дальше расчет ведется по той же
зависимости (128) до сечения, где загрязненные воды распространяются по всей глубине потока. Начиная с этого сечения расчет выполняется для условий плоской задачи. В рассматриваемом случае переход к плоской задаче осуществляется в сечении, расположенном в 34 м от выпуска (см.
табл. 27).
При переходе к условиям плоской задачи клетки объединяются по четыре, т.е. каждая новая клетка занимает всю глубину потока, а ширина ее

удваивается

. Концентрация в новых клетках получается как среднее арифметическое концентраций в объединяемых клетках. Новые значения концентраций записываются в первый столбец (
x = 34 м)
табл. 28. При этом в столбец вписаны значения концентраций для половины ширины загрязненной струи (12 оголовков). Вторая ее половина является зеркальным отражением первой.
Расстояние от выпуска x, м |
34 | 101 | 168 | 235 | ... | 436 | 503 |
| | | | | | 0,05 |
| | | | | 0,05 | 0,10 |
| | | | | 0,2 | 0,25 |
| | | 0,05 | | 0,5 | 0,75 |
| | 0,05 | 0,3 | | 1,3 | 1,4 |
| 0,05 | 0,55 | 1,4 | | 2,25 | 2,8 |
0,05 | 1,1 | 2,7 | 2,8 | | 4,35 | 4,3 |
2,2 | 5,4 | 5,1 | 6,1 | | 6,3 | 6,7 |
10,75 | 9,15 | 9,55 | 8,95 | | 9,1 | 8,8 |
16,15 | 13,7 | 12,8 | 12,4 | | 11,25 | 11,3 |
16,7 | 16,4 | 15,2 | 14,65 | | 13,5 | 13,1 |
16,65 | 16,7 | 16,5 | 15,95 | | 14,9 | 14,7 |
16,65 | 16,65 | 16,7 | 16,6 | | 15,85 | 15,65 |
16,7 | 16,65 | 16,65 | 16,65 | | 16,4 | 16,2 |
16,65 | 16,7 | 16,65 | 16,65 | | 16,65 | 16,5 |
16,65 | 16,65 | 16,7 | 16,65 | | 16,65 | 16,6 |
16,7 | 16,65 | 16,65 | 16,7 | | 16,65 | 16,65 |
16,65 | 16,7 | 16,65 | 16,65 | | 16,7 | 16,65 |
16,65 | 16,65 | 16,7 | 16,65 | | 16,65 | 16,7 |
16,7 | 16,65 | 16,65 | 16,7 | | 16,65 | 16,65 |
16,65 | 16,7 | 16,65 | 16,65 | | 16,7 | 16,65 |
Расстояние между расчетными сечениями для условий плоской задачи вычисляется по
зависимости (129)
Начиная с сечения, расположенного в 34 м от начального, расчет ведется по
формуле (131).
В результате расчета получается поле концентраций консервативного загрязняющего вещества в потоке, % от начальной концентрации. Для перехода к концентрациям любого консервативного вещества, мг/л, достаточно знать содержание этого вещества в сточных водах, вычислить величину

и умножить на нее расчетные значения концентрации. В рассматриваемом примере для получения концентраций фенола, мг/л, в 500-метровой зоне ниже выпуска надо умножить цифры
табл. 28 на множитель

. Так,
cмакс на расстоянии 500 м от выпуска составляет 16,7%, а в мг/л она будет равна
cмакс 500 = 16,7·0,05 = 0,64.
Программа для расчета установившегося разбавления
сточных вод в реках и водоемах
3. Программа BROWN предназначена для расчета по методу А.В. Караушева установившегося разбавления загрязняющих веществ при сбросе сточных вод в реки и водоемы через рассеивающие или сосредоточенные выпуски. Алгоритм расчета изложен в
пп. 18.1 -
18.12. Программа написана на языке ФОРТРАН.
Программа позволяет производить расчеты для произвольного числа вариантов с различными исходными данными. Предполагается, что в начальном сечении загрязняющие вещества заполняют 2 расчетные клетки у каждого оголовка. Результатом расчета являются значения концентраций загрязняющего вещества вдоль фронта рассеивания. Предусмотрена выдача на печать значений концентрации в створах, отстоящих один от другого на заданные расстояния.
Исходными данными являются:
j число оголовков, через которые производится выпуск загрязняющих веществ, оно должно удовлетворять условию 1 <= j <= 24 (число 24 выбрано из соображений удобства печати результатов, в принципе, по предлагаемому алгоритму можно производить расчет для произвольного числа оголовков);
расстояние от первого оголовка до берега;
число расчетных клеток между двумя соседними оголовками; в случае расчета для сосредоточенного выпуска вводится произвольное число;
число расчетных шагов по оси x, после которых производится печать значений концентрации;
конечное расстояние, до которого ведется расчет;
ширина реки (при расчетах для рек);
значение начальной концентрации
cн, которое принимается равным 100% или, в случае значительной разницы между скоростью истечения сточной жидкости и скоростью течения, рассчитывается по
формуле (139), где
cст = 100%;
число вариантов расчета.
Список вводимых параметров приведен в
табл. 29. Параметры 5 - 11 вводятся для каждого варианта, остальные параметры - для всей группы вариантов. Порядок ввода исходных данных совпадает с приведенным в таблице.
Таблица 29
Список вводимых параметров программы BROWN
N | Идентификатор | Значение | Тип | Размерность | Примечание |
1 | SНАЧ | cнач | в | % | Формат F4.1 |
2 | XКОН | Конечное расстояние, до которого ведется счет | в | м | Формат F8.1 |
3 | KВАР | Число вариантов | ц | б/р | Формат 13 |
4 | KРЕКА | Переключатель | ц | " | Формат 13, значение 001 при счете для реки, для водоема - любое другое число |
5 | Dz | | в | м | | Вводятся с одной перфокарты по формату 3F8.1 |
6 | Dx | | в | " |
7 | DL | Расстояние от первого оголовка до берега | в | " |
8 | КЛ | Число клеток между соседними оголовками | ц | б/р | Формат 13 |
9 | N | Число оголовков (соответствует j) | ц | " | То же |
10 | M | Число расчетных шагов, после которых производится печать | ц | б/р | Формат 13 |
11 | DLI | Ширина реки B | в | м | Формат F8.1, при счете для водоема не вводится |
Распределение концентраций симметрично относительно осей струй и одинаково во всех струях от створа выпуска до створа, где происходит их слияние или где крайняя струя касается берега. Поэтому для всех расположенных выше створов расчет ведется для симметричной половины одной струи, и на печать выводятся:
в первой строке - x (расстояние от места выпуска до данного створа), z = 0 - индикатор симметричной струи, при нарушении симметрии z > 0;
во второй строке - 23 значения концентрации по ширине струи, последнее число в этой строке - значение концентрации на границе струи;
в третьей строке - расстояния от оси струи до клетки с соответствующей концентрацией, два последних числа в этой строке - соответственно расстояние от оси до границы струи и число клеток от оголовка до границы струи.
При нарушении симметрии расчет ведется для всего фронта рассеивания, в этом случае печатаются: в первой строке - z - расстояние от крайнего оголовка до границы последней струи, во второй строке - максимальные значения концентрации в каждой струе, в третьей строке - минимальные, причем первое число в этой строке соответствует значению концентрации у берега, последнее - на границе струи.
Программы расчета на ЭВМ неустановившегося разбавления
неконсервативного загрязняющего вещества в водоемах
4. Программа OSKAR для расчета неустановившейся диффузии неконсервативных загрязняющих веществ в водоемах (плоская задача, цилиндрические координаты).
С помощью программы OSKAR осуществляется численное решение дифференциального уравнения турбулентной диффузии, записанного в цилиндрических координатах (метод А.В. Караушева).
Алгоритмы расчета изложены в
пп. 22.4 -
22.9. Программа написана на языке ФОРТРАН. Отладка программы производилась на ЭВМ "Минск-32".
Программа позволяет произвести расчет меняющегося во времени распределения неконсервативного загрязняющего вещества вдоль радиусов
r. При расчете для консервативного вещества вводится
kн = 0. Расчет может быть произведен для произвольного числа вариантов с различными значениями
D,
kн и

, удовлетворяющими
неравенству (163). Для всех вариантов задается число расчетных шагов по времени. Значения
D и

определяются соответственно по
формулам (114) и
(158). Расчетные узлы располагаются на расстоянии

, шаг во времени

выбран равным 43200 с (0,5 сут). Для

осуществляется проверка по
условию (164). Если условие не выполняется,

уменьшается вдвое и проверка осуществляется повторно. Эта операция отражена в программе. Через заданное число расчетных шагов производится печать текущего времени и значений концентрации загрязняющего вещества в расчетных узлах (в процентах от концентрации загрязняющего вещества в сточных водах, принимаемой за 100). Расчеты ведутся с точностью до 0,1% первоначальной концентрации.
Список вводимых параметров приведен в
табл. 30, где использованы обозначения: ц - целая величина, в - вещественная, б/р - безразмерный параметр. Параметры вводятся в порядке, указанном в таблице. При этом параметры 1 - 3 вводятся для всех вариантов сразу, число перфокарт с параметрами 4 - 5 и 6 соответствует числу вариантов.
Таблица 30
Список вводимых параметров программы OSKAR
N | Идентификатор | Значение | Тип | Размерность | Примечание |
1 | N | Число вариантов | ц | б/р | Перфорируется на отдельной перфокарте по формату 13 |
2 | K | Число расчетных шагов по времени | ц | " | То же |
3 | KПЕЧ | Число расчетных шагов, после которых осуществляется печать | " | " | " |
4 | D | Коэффициент турбулентной диффузии | в | м2/с | Перфорируется на одной перфокарте (для каждого варианта) по формату 2E8.2 |
5 | BETA | Параметр  схемы | " | " |
6 | AK | Коэффициент неконсервативности | в | с-1 | Перфорируется на отдельной перфокарте для каждого варианта, формат E8.2 |