Главная // Актуальные документы // ПриказСПРАВКА
Источник публикации
Документ опубликован не был
Примечание к документу
В соответствии с
Приказом Росстандарта от 20.10.2022 N 2652 данный документ введен в действие с 01.01.2023.
Название документа
"Государственная поверочная схема для средств измерений угла вращения плоскости поляризации"
(утв. Приказом Росстандарта от 20.10.2022 N 2652)
"Государственная поверочная схема для средств измерений угла вращения плоскости поляризации"
(утв. Приказом Росстандарта от 20.10.2022 N 2652)
агентства по техническому
регулированию и метрологии
от 20 октября 2022 г. N 2652
ГОСУДАРСТВЕННАЯ ПОВЕРОЧНАЯ СХЕМА
ДЛЯ СРЕДСТВ ИЗМЕРЕНИЙ УГЛА ВРАЩЕНИЯ ПЛОСКОСТИ ПОЛЯРИЗАЦИИ
1.1. Настоящий документ распространяется на государственную поверочную схему для средств измерений угла вращения плоскости поляризации оптического излучения в видимой области спектра и устанавливает порядок передачи единицы угла вращения плоскости поляризации от государственного первичного эталона при помощи вторичного и рабочих эталонов средствам измерений с указанием показателей точности и основных методов передачи единицы.
Графическая часть Государственной поверочной схемы для средств измерений угла вращения плоскости поляризации представлена в
Приложении А.
2.1. В настоящем документе использованы следующие сокращения:
ГПЭ - государственный первичный эталон;
СКО - среднее квадратическое отклонение;
НСП - неисключенная систематическая погрешность;
УВПП - угол вращения плоскости поляризации;
ICUMSA - International Commission for Uniform Methods of Sugar Analysis (Международная комиссия по унифицированным методам анализа в сахарной промышленности).
3. Государственный первичный эталон
3.1. Государственный первичный эталон единицы угла вращения плоскости поляризации предназначен для воспроизведения, хранения и передачи единицы угла вращения плоскости поляризации (УВПП) при помощи вторичного и рабочих эталонов средствам измерений.
3.2. Государственный первичный эталон состоит из комплекса следующих средств измерений и оборудования:
цифрового поляриметра со стабилизированным по частоте He-Ne лазером на длине волны 632,9914 нм в вакууме;
мер УВПП в виде пластинок поляриметрических, которые получают единицу УВПП в угловых градусах ° на цифровом поляриметре на длине волны 632,9914 нм в вакууме и это значение пересчитывается на длины волн 589,4400, 546,2271 нм в вакууме по эмпирической формуле, приведенной в
Приложении Б. Также мерам УВПП может присваиваться единица по международной сахарной шкале °Z, принятой международной организацией ICUMSA, в соответствии с формулами, приведенными в
Приложении В.
3.3. Государственный первичный эталон обеспечивает воспроизведение единицы УВПП со следующими метрологическими характеристиками:
диапазон значений УВПП составляет от минус 70° до плюс 70° для излучения с длиной волны 632,9914 нм в вакууме, от минус 76° до плюс 76° для излучения с длиной волны 589,4400 нм в вакууме, от минус 90° до плюс 90° для излучения с длиной волны 546,2271 нм в вакууме;
среднее квадратическое отклонение (СКО) результатов измерений S при 50 независимых измерениях, не более 0,0003°;
граница неисключенной систематической погрешности (НСП)

, не более 0,0007°;
стандартная неопределенность, оцениваемая по типу A, uA, не более 0,0003°;
стандартная неопределенность, оцениваемая по типу B, uB, не более 0,0004°;
суммарная стандартная неопределенность, uC, не более 0,0005°;
расширенная неопределенность Uр при коэффициенте охвата 3 и доверительной вероятности P = 0,99, не более 0,0015°.
3.4. Государственный первичный эталон применяют для передачи единицы УВПП вторичному эталону сличением при помощи компаратора, а также рабочим эталонам 1-го разряда методом прямых измерений.
4.1. В качестве вторичного эталона применяют эталонные установки, представляющие собой поляриметры автоматические, в диапазоне измерений УВПП от минус 76° до плюс 76° для излучения с длиной волны 589,4400 нм в вакууме, от минус 90° до плюс 90° для излучения с длиной волны 546,2271 нм в вакууме.
4.2. СКО суммарной погрешности

вторичного эталона не более 0,0025°.
4.3. Вторичный эталон применяют для передачи единицы УВПП рабочим эталонам 1-го и 2-го разряда методом прямых измерений.
5.1. Рабочие эталоны 1-го разряда
5.1.1. В качестве рабочего эталона 1-го разряда применяют меры УВПП, представляющие собой пластинки поляриметрические, в диапазоне от минус 76° до плюс 76° для излучения с длиной волны 589,4400 нм в вакууме, от минус 90° до плюс 90° для излучения с длиной волны 546,2271 нм в вакууме.
5.1.2. Доверительные границы абсолютной погрешности

рабочего эталона 1-го разряда при доверительной вероятности
P = 0,95 не более 0,003°.
5.1.3. Рабочий эталон 1-го разряда применяют для передачи единицы УВПП средствам измерений в виде высокоточных поляриметров, сахариметров автоматических, цифровых, а также в виде поляриметров, сахариметров автоматических, цифровых, полуавтоматических, круговых и портативных методом прямых измерений.
5.2 Рабочие эталоны 2-го разряда
5.2.1. В качестве рабочего эталона 2-го разряда применяют меры УВПП, представляющие собой пластинки и кюветы поляриметрические, в диапазоне от минус 35° до плюс 35° для излучения с длиной волны 589,4400 нм в вакууме, от минус 41° до плюс 41° для излучения с длиной волны 546,2271 нм в вакууме.
5.2.2. Доверительные границы абсолютной погрешности

рабочего эталона 2-го разряда при доверительной вероятности
P = 0,95 составляют от 0,005° до 0,010°.
5.2.3. Рабочий эталон 2-го разряда применяют для передачи единицы УВПП средствам измерений в виде поляриметров, сахариметров автоматических, цифровых, полуавтоматических, круговых и портативных методом прямых измерений.
В качестве средств измерений применяют:
6.1. Высокоточные поляриметры, сахариметры автоматические, цифровые с диапазонами измерений УВПП от минус 76° до плюс 76° для излучения с длиной волны 589,4400 нм в вакууме, от минус 90° до плюс 90° для излучения с длиной волны 546,2271 нм в вакууме.
Пределы допускаемой абсолютной погрешности

измерений УВПП составляют от 0,003° до 0,008°.
6.2. Поляриметры, сахариметры автоматические, цифровые с диапазонами измерений УВПП от минус 76° до плюс 76° для излучения с длиной волны 589,4400 нм в вакууме, от минус 90° до плюс 90° для излучения с длиной волны 546,2271 нм в вакууме.
Пределы допускаемой абсолютной погрешности

измерений УВПП составляют от 0,008° до 0,010°.
6.3. Поляриметры, сахариметры полуавтоматические, круговые и портативные с диапазонами измерений УВПП от минус 76° до плюс 76° для излучения с длиной волны 589,4400 нм в вакууме, от минус 90° до плюс 90° для излучения с длиной волны 546,2271 нм в вакууме.
Пределы допускаемой абсолютной погрешности

измерений УВПП составляют от 0,01° до 0,20°.
6.4. Поляриметры могут иметь другие или дополнительные шкалы, например, международную сахарную шкалу °Z
(приложение В), принятую международной организацией ICUMSA. Допускается в поляриметрах иметь также шкалу концентрации других веществ в процентах или весовых долях и т.п. В этом случае к поляриметрам должна быть приложена пересчетная таблица угла вращения плоскости поляризации.
ГОСУДАРСТВЕННАЯ ПОВЕРОЧНАЯ СХЕМА
ДЛЯ СРЕДСТВ ИЗМЕРЕНИЙ УГЛА ВРАЩЕНИЯ ПЛОСКОСТИ ПОЛЯРИЗАЦИИ

- длина волны излучения в вакууме
Меры УВПП в виде пластинок поляриметрических представляют собой кварцевую пластинку, установленную в металлическую оправу по ГОСТ 22409-77 "Пластинки поляриметрические. Технические требования". При расчете номинальной толщины кварцевой пластинки необходимо знать зависимость удельного вращения кварца от длины волны.
Зависимость удельного вращения кварца от длины волны при 20 °C, т.е. угол (в угловых градусах), на который поворачивается плоскость поляризации линейно поляризованного света, прошедшего кварцевую пластинку толщиной 1 мм, задается эмпирической формулой, принятой на 22 сессии ICUMSA в 1998 году (см. J. Keitel. Subject 4. Polarimetry and Quartz Plates. ICUMSA Proceeding, 1998, 22nd Session, ISBN:978-0-905003-17-7):
где

- длина волны в мкм. Диапазон применения этой формулы от 407,9 нм до 882,6 нм.
Из этой формулы вычисляют значения удельного вращения кварца в угловых градусах для стандартных длин волн в вакууме 632,9914 нм, 589,4400 нм и 546,2271 нм:
Для пересчета измеренного на длине волны 632,9914 нм УВПП кварцевой пластинки на длины волн 589,4400 нм и 546,2271 нм в вакууме измеренный УВПП надо умножать на следующие коэффициенты:
Для пересчета УВПП с длины волны 546,2271 нм на длину волны 589,4400 нм в вакууме и наоборот надо использовать следующие коэффициенты:
Эти коэффициенты более точные, чем аналогичные коэффициенты, приведенные в ГОСТ 8.239-77 "ГСИ. Пластинки поляриметрические. Методика поверки".
Если во время измерений УВПП температура кварцевой пластинки отличается от 20 °C, то необходимо пересчитать значение ее УВПП для 20 °C по следующей эмпирической формуле, также принятой на 22 сессии ICUMSA в 1998 году:
где a1 = 1,280924·10-4, a2 = 1,0852636·10-5, a3 = -9,0311692·10-7.
Из этой формулы для стандартных длин волн 546,2271 нм, 589,4400 нм и 632,9914 нм в вакууме следуют следующие выражения:
Формула пересчета для длины волны 589 нм более точная, чем приведенная в ГОСТ 8.239-77 "ГСИ. Пластинки поляриметрические. Методика поверки".
МЕЖДУНАРОДНАЯ САХАРНАЯ ШКАЛА
Использован материал, приведенный в Приложении A Международных рекомендаций OIML R 14 "Polarimetric saccharimeters graduated in accordance with ICUMSA International Sugar Scale", редакция 1995 (E), Международного общества законодательной метрологии (International Organization of Legal Metrology).
В.1 Точка 100 °Z Международной сахарной шкалы ICUMSA соответствует углу вращения плоскости поляризации

, которое претерпевает плоскополяризованный свет зеленой линии изотопа
Hg198 (

в вакууме), при прохождении слоя раствора толщиной 200,000 мм, поддерживаемого при
t = 20 °C и содержащего в 100,000 см
3 26,0160 г чистой сахарозы, взвешенной в пустоте и растворенной в чистой воде (нормальный сахарный раствор).
Точка 0 °Z соответствует показаниям сахариметра по чистой воде.
В диапазоне от 0 °Z до 100 °Z шкала градуируется линейно, так как оптическое вращение практически пропорционально значению концентрации раствора.
В данных условиях 100 °Z по международной сахарной шкале соответствуют углу вращения плоскости поляризации
В.2 Для излучения, длина волны которого больше длины волны зеленой линии изотопа
Hg198 (

в вакууме), точка 100 °Z соответствует углу вращения плоскости поляризации

, вычисление которого проводят в условиях, приведенных в
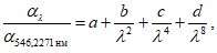
В.1, по формуле
где
a = -1,7982·10
-3;
b = +2,765318·10
5;
c = +6,55736·10
9;
d = +1,03825·10
19;

- длина волны излучения в вакууме, нм.
В.3 Для желтой линии спектра дублета натрия длина волны в вакууме

точка 100 °Z соответствует углу вращения
В.4 Для красного излучения He-Ne лазера с длиной волны

в вакууме точка 100 °Z соответствует углу вращения
В.5 Из приведенных соотношений следуют формулы для пересчета значений УВПП в угловых градусах

в градусы международной сахарной шкалы

для набора стандартных длин волн 546,2271 нм, 589,4400 нм и 632,9914 нм в вакууме:
Эти формулы пересчета из угловых градусов в градусы международной сахарной шкалы более точные, чем аналогичные формулы, приведенные в ГОСТ 8.239-77 "ГСИ. Пластинки поляриметрические. Методика поверки".