Главная // Актуальные документы // ПриказСПРАВКА
Источник публикации
Документ опубликован не был
Примечание к документу
Текст документа приведен в соответствии с публикацией на сайте https://www.rst.gov.ru/portal/gost по состоянию на 09.09.2024.
В соответствии с
Приказом Росстандарта от 06.09.2024 N 2152 данный документ введен в действие с 01.11.2024.
Название документа
"Государственная поверочная схема для средств измерений крутящего момента силы"
(утв. Приказом Росстандарта от 06.09.2024 N 2152)
"Государственная поверочная схема для средств измерений крутящего момента силы"
(утв. Приказом Росстандарта от 06.09.2024 N 2152)
агентства по техническому
регулированию и метрологии
от 6 сентября 2024 г. N 2152
ГОСУДАРСТВЕННАЯ ПОВЕРОЧНАЯ СХЕМА
ДЛЯ СРЕДСТВ ИЗМЕРЕНИЙ КРУТЯЩЕГО МОМЕНТА СИЛЫ
1.1 Государственная поверочная схема для средств измерений крутящего момента силы (далее - ГПС) устанавливает порядок передачи единицы
<1> крутящего момента силы (Н·м) от государственного первичного эталона единицы крутящего момента силы (далее - государственный первичный эталон) вторичным и рабочим эталонам, а также средствам измерений крутящего момента силы с указанием погрешностей и основных методов передачи единицы.
--------------------------------
<1> Передача единицы крутящего момента силы с помощью вторичных и рабочих эталонов осуществляется при аттестации эталонов, при поверке, калибровке, испытаниях средств измерений, аттестации методик измерений, контроле точности измерений, выполняемых по аттестованным методикам (термины и соответствующие определения установлены в
РМГ 29 и
ГОСТ Р 8.563).
Допускается проводить передачу единицы рабочим эталонам и средствам измерений с применением эталонов более высокой точности, чем предусмотрено настоящей ГПС.
Требования к оценке соответствия характеристик установок крутящего момента силы, применяемых в качестве рабочих эталонов 1-го и 2-го разрядов, содержащих специальные рычаги и меры (измерители) силы, обязательным метрологическим требованиям приведены в
приложении Б.
В настоящей ГПС использованы нормативные ссылки на следующие нормативные документы:
ГОСТ Р 8.563-2009 Государственная система обеспечения единства измерений. Методики (методы) измерений;
Приказ Федерального агентства по техническому регулированию и метрологии от 22 октября 2019 г. N 2498 "Об утверждении Государственной поверочной схемы для средств измерений силы";
Приказ Федерального агентства по техническому регулированию и метрологии от 4 июля 2022 г. N 1622 "Об утверждении Государственной поверочной схемы для средств измерений массы";
Приказ Федерального агентства по техническому регулированию и метрологии от 29 декабря 2018 г. N 2840 "Об утверждении Государственной поверочной схемы для средств измерений длины в диапазоне от 1·10
-9 до 100 м и длин волн в диапазоне от 0,2 до 50 мкм";
ГОСТ 33530-2015 (ISO 6789:2003) Инструмент монтажный для нормированной затяжки резьбовых соединений. Ключи моментные. Общие технические условия;
РМГ 29-2013 Государственная система обеспечения единства измерений. Метрология. Основные термины и определения.
Примечание - При использовании Государственной поверочной схемы целесообразно проверять действие ссылочных документов.
3 Государственный первичный эталон
3.1 Государственный первичный эталон предназначен для воспроизведения единицы крутящего момента силы и передачи единицы вторичным и рабочим эталонам, а также средствам измерений в целях обеспечения единства измерений в стране.
3.2 В состав государственного первичного эталона входят эталонные установки и компараторы:
эталонная установка для воспроизведения единицы крутящего момента силы в диапазоне от 0,1 до 200 Н·м;
эталонная установка для воспроизведения единицы крутящего момента силы в диапазоне от 1 до 250 Н·м;
эталонная установка для воспроизведения единицы крутящего момента силы в диапазоне от 20 до 2,5·103 Н·м;
эталонная установка для воспроизведения единицы крутящего момента силы в диапазоне от 200 до 2·104 Н·м;
компараторы (измерители крутящего момента силы в диапазоне от 0,1 до 2·104 Н·м).
3.3 Государственный первичный эталон воспроизводит и хранит единицу в диапазоне от 0,1 до 2·104 Н·м со следующими показателями точности:
3.3.1 Относительное среднее квадратическое отклонение (далее - СКО) результата измерений Sо не превышает 2,0·10-4 в диапазоне от 0,1 до 1 Н·м, 0,8·10-4 в диапазоне от 1 до 2,5·103 Н·м и 1,5·10-4 - в диапазоне от 2,5·103 до 2·104 Н·м при 20 независимых измерениях.
3.3.2 Доверительные границы относительной неисключенной систематической погрешности воспроизведения единицы

при P = 0,95 не превышают 5,0·10
-4 в диапазоне от 0,1 до 1 Н·м, 2·10
-4 в диапазоне от 1 до 2,5·10
3 Н·м и 4·10
-4 - в диапазоне от 2,5·10
3 до 2·10
4 Н·м.
3.3.3 Относительная стандартная неопределенность, оцениваемая по типу A, uAо, не превышает 2,0·10-4 в диапазоне от 0,1 до 1 Н·м, 0,8·10-4 в диапазоне от 1 до 2,5·103 Н·м и 1,5·10-4 - в диапазоне от 2,5·103 до 2·104 Н·м при 20 независимых измерениях.
3.3.4 Относительная стандартная неопределенность, оцениваемая по типу B, uBо, не превышает 3,0·10-4 в диапазоне от 0,1 до 1 Н·м, 1,0·10-4 в диапазоне от 1 до 2,5·103 Н·м и 2,0·10-4 в диапазоне от 2,5·103 до 2·104 Н·м.
3.4 Государственный первичный эталон применяют для передачи единицы крутящего момента силы эталону-копии сличением при помощи компаратора, рабочим эталонам 1-го и 2-го разрядов методом прямых измерений и методом сличения при помощи компаратора и средствам измерений методом прямых измерений.
3.5 Относительное СКО компараторов, используемых для сличений государственного первичного эталона с эталоном-копией и рабочими эталонами 1-го и 2-го разрядов, составляет не более 0,01%.
4.1 В качестве вторичного эталона используют эталон-копию.
4.2 В состав эталона-копии входят эталонная установка и компараторы:
эталонная установка для воспроизведения единицы крутящего момента силы в диапазоне от 0,1 до 2·104 Н·м;
компараторы (измерители крутящего момента силы) в диапазоне от 0,1 до 2·104 Н·м.
4.3 Диапазон значений крутящего момента силы, в котором воспроизводится единица, составляет от 0,1 до 2·104 Н·м.
4.4 Эталон-копия обеспечивает воспроизведение единицы и ее передачу с относительным СКО суммарной погрешности

, не превышающим 0,04%.
4.5 Эталон-копию применяют для передачи единицы крутящего момента силы рабочим эталонам 1-го и 2-го разрядов методом прямых измерений и методом сличения при помощи компаратора и средствам измерений методом прямых измерений.
4.6 Относительное СКО компараторов (измерителей крутящего момента силы), используемых для сличений эталона-копии с рабочими эталонами 1-го и 2-го разрядов, составляет не более 0,01%.
5 Эталоны, заимствованные из других поверочных схем
5.1 В качестве эталонов, заимствованных из других поверочных схем, используют:
рабочие эталоны единицы силы 1-го и 2-го разрядов по Государственной поверочной схеме для средств измерений силы, в диапазоне от 1 Н до 9 МН (
приказ Росстандарта от 22.10.2019 г. N 2498), пределы допускаемой относительной погрешности

;
рабочие эталоны единицы массы 1-го и 2-го разрядов по Государственной поверочной схеме для средств измерений массы (
приказ Росстандарта от 04.07.2022 г. N 1622) в диапазоне номинальных значений от 1·10
-6 до 5·10
3 кг, пределы допускаемых погрешностей

;
рабочие эталоны единицы длины 2-го и 3-го разрядов по Государственной поверочной схеме для средств измерений длины в диапазоне от 1·10
-9 до 100 м и длин волн в диапазоне от 0,2 до 50 мкм, части 2 и 3 (
приказ Росстандарта от 29.12.2018 г. N 2840) в диапазоне от 0 до 10 м, доверительные границы абсолютных погрешностей

при доверительной вероятности 0,99 составляют до (10 + 10·L) мкм, где L - длина, м.
5.2 Эталоны, заимствованные из других поверочных схем, применяют для обеспечения передачи единицы крутящего момента силы рабочим эталонам 1-го и 2-го разрядов в диапазоне от 1·10-4 до 5·106 Н·м методом косвенных измерений.
6.1 Рабочие эталоны 1-го разряда
6.1.1 В качестве рабочих эталонов 1-го разряда используют:
измерители (моментомеры), преобразователи крутящего момента силы в диапазоне измерений от 0,1 до 2·104 Н·м;
установки поверочные в диапазоне измерений от 0,1 до 2·104 Н·м;
установки поверочные в диапазоне измерений от 1·10-4 до 5·106 Н·м.
6.1.2 Пределы допускаемых относительных погрешностей

рабочих эталонов 1-го разряда:
для измерителей (моментомеров), преобразователей крутящего момента силы от 0,05% до 0,25%;
для установок поверочных от 0,05% до 0,25% и от 0,02% до 0,25%.
6.1.3 Рабочие эталоны 1-го разряда применяют для передачи единицы эталонам 2-го разряда и средствам измерений методом прямых измерений и методом сличения при помощи компаратора.
6.1.4 Соотношение пределов допускаемой относительной погрешности рабочих эталонов 1-го разряда и пределов допускаемой относительной погрешности рабочих эталонов 2-го разряда должно составлять не более 0,5.
6.2 Рабочие эталоны 2-го разряда
6.2.1 В качестве рабочих эталонов 2-го разряда используют:
измерители (моментомеры), преобразователи крутящего момента силы в диапазоне измерений от 0,1 до 2·104 Н·м;
измерители (моментомеры), преобразователи крутящего момента силы в общем диапазоне измерений от 1·10-4 до 5·106 Н·м;
установки поверочные, в том числе и установки поверочные, содержащие специальные рычаги, меры массы или динамометры в диапазоне измерений от 0,1 до 2·104 Н·м;
установки поверочные, в том числе и установки поверочные, содержащие специальные рычаги, меры массы или динамометры в диапазонах измерений от 1·10-4 до 5·106 Н·м.
6.2.2 Пределы допускаемых относительных погрешностей

рабочих эталонов 2-го разряда:
для измерителей (моментомеров), преобразователей крутящего момента силы от 0,1% до 2,5%;
для установок поверочных от 0,1% до 2,5%.
6.2.3 Рабочие эталоны 2-го разряда применяют для передачи единицы средствам измерений методом прямых измерений и методом сличения при помощи компаратора.
6.2.4 Соотношение пределов допускаемой относительной погрешности рабочих эталонов 2-го разряда и пределов допускаемой относительной погрешности средств измерений должно составлять не более 0,5.
7.1 В качестве средств измерений используют измерители (моментомеры), преобразователи, каналы измерительные крутящего момента силы, моментомеры стационарные, машины и приборы для испытаний на прочность, гайковерты, винтоверты, ключи и отвертки моментные шкальные, предельные, электронные.
7.2 Значения пределов допускаемых относительных погрешностей

средств измерений приведены в
таблице 1.
Таблица 1
Пределы допускаемых относительных
погрешностей средств измерений
Средства измерений | Диапазон измерений, Н·м | Пределы допускаемой относительной погрешности, % |
Измерители (моментомеры), преобразователи, каналы измерительные крутящего момента силы повышенной точности, ключи электронные | 1·10-4 - 5·106 | от 0,05 |
Моментомеры стационарные | 0,1 - 2·104 | от 0,25 |
Моментомеры стационарные, измерители, преобразователи, каналы измерительные крутящего момента силы | 1·10-4 - 5·106 | от 0,2 |
Машины и приборы для испытаний на прочность | 0,01 - 5·104 | от 0,25 |
Гайковерты, винтоверты, ключи <*> и отвертки <*> моментные шкальные, предельные, электронные | 1·10-4 - 5·106 | от 0,5 |
|
7.3 Соотношение пределов допускаемой относительной погрешности эталонов и пределов допускаемой относительной погрешности средств измерений должно составлять не более 0,5.
ГОСУДАРСТВЕННАЯ ПОВЕРОЧНАЯ СХЕМА
ДЛЯ СРЕДСТВ ИЗМЕРЕНИЙ КРУТЯЩЕГО МОМЕНТА СИЛЫ
(обязательное)
ПО ОЦЕНКЕ СООТВЕТСТВИЯ ХАРАКТЕРИСТИК УСТАНОВОК КРУТЯЩЕГО
МОМЕНТА СИЛЫ, ПРИМЕНЯЕМЫХ В КАЧЕСТВЕ РАБОЧИХ ЭТАЛОНОВ
1-ГО И 2-ГО РАЗРЯДОВ, СОДЕРЖАЩИХ СПЕЦИАЛЬНЫЕ РЫЧАГИ И МЕРЫ
(ИЗМЕРИТЕЛИ) СИЛЫ, ОБЯЗАТЕЛЬНЫМ МЕТРОЛОГИЧЕСКИМ ТРЕБОВАНИЯМ
Б.1 Область применения
В настоящем приложении приведены основные требования к установкам крутящего момента силы, применяемым в качестве рабочих эталонов 1-го и 2-го разрядов, содержащих специальные рычаги и меры (измерители) силы (далее - Установки). Также приведены основные положения методики аттестации Установок, процедура измерений и обработки результатов, которые могут применяться при создании индивидуальных методик аттестации конкретного типа установок.
Подтверждение соответствия Установок установленным в настоящей ГПС требованиям выполняют:
- при аттестации установок в соответствии с утвержденными методиками первичной и периодической аттестации;
- при поверке установок, являющихся средствами измерений утвержденного типа (далее - Установок утвержденного типа) в соответствии с установленными при утверждении типа методиками поверки с учетом положений, описанных далее.
Б.2 Диапазоны воспроизведения величины
Диапазоны воспроизведения единицы крутящего момента силы установок должны соответствовать требованиям настоящей ГПС и описанию типа для Установок утвержденного типа.
Б.3 Относительная погрешность
Относительная погрешность установок

должна соответствовать требованиям, предъявляемым к рабочим эталонам единицы крутящего момента силы в соответствии с настоящей ГПС и описанием типа для Установок утвержденного типа
<1>.
--------------------------------
<1> В некоторых случаях для Установок - средств измерений утвержденного типа нормированы только пределы допускаемой относительной погрешности
воспроизведения единицы крутящего момента силы

.
Б.4 Общие требования к конструкции установок
Установки могут включать в себя наборы мер массы (силы тяжести) или измерители силы и опорные или безопорные рычаги с подвешенными к концам рычагов грузоприемными площадками или закрепленным измерителем силы. Также могут быть снабжены механизмами нагружения поверяемых (калибруемых) средств измерений крутящим моментом силы и другими устройствами, обеспечивающими реализацию основных функций Установок.
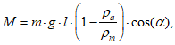
Измерительная модель, положенная в основу воспроизведения крутящего момента силы (КМС) с помощью приложения к рычагу известной длины меры силы известной массы, в общем виде описывается уравнением

(1)
где M - воспроизводимый крутящий момент силы, Н·м;
m - масса груза(ов) вывешенных на рычаге, кг;
g - местное ускорение свободного падения, м/с2;
l - длина рычага, м;

- плотность воздуха, кг/м
3;

- плотность груза, кг/м
3;

- поправка к длине рычага, вызванная отклонением рычага от горизонтального положения;

- угол отклонения рычага от горизонтального положения, рад.
Измерительная модель, положенная в основу воспроизведения крутящего момента силы (КМС) с помощью приложения к рычагу известной длины усилия, которое фиксируется измерителем силы, в общем виде описывается уравнением

(2)
где F - значение силы, измеренное преобразователем силы, Н;

- поправка к длине рычага, вызванная неперпендикулярностью вектора приложения (измерения) силы и плеча действия силы.
Сведения о способах оценки величин, входящих в
(1) и
(2), и о необходимости оценки отдельных составляющих
M приводят в методике аттестации Установки с учетом особенностей ее конструкции или в методиках поверки Установок утвержденного типа.
Б.5 Подтверждение соответствия Установок обязательным метрологическим требованиям при их аттестации
Методики первичной и периодической аттестации должны включать следующие операции аттестации:
| | ИС МЕГАНОРМ: примечание. В официальном тексте документа, видимо, допущена опечатка: имеется в виду таблица Б.1, а не таблица 1. | |
при периодической аттестации в зависимости от диапазона установки выполняются либо операции по
п. 1, либо по
п. 2 таблицы 1.
Таблица Б.1
Операции первичной/периодической аттестации
Операция аттестации | Обязательность проведения при аттестации |
Первичная | Периодическая |
(0,1 - 20000) Н·м | Вне диапазона (0,1 - 20000) Н·м | (0,1 - 20000) Н·м | Вне диапазона (0,1 - 20000) Н·м |
1. Оценка погрешности воспроизведения КМС | да | да | | да |
2. Оценка относительной погрешности измерений КМС сличением при помощи компаратора | | нет | нет |
3. Оценка погрешности измерений КМС косвенным способом | нет | | нет | |
<1> При отсутствии технической возможности операцию не проводят на основании заключения института, в котором хранится ГЭТ 149. В этом случае проводится оценка погрешности воспроизведения КМС косвенным способом. <2> Для эталонов, которые подвергаются оценке соответствия без процедуры сличений с вышестоящим эталоном при помощи компаратора, необходимо проводить сличения с вышестоящим эталоном как минимум в одной точке диапазона не реже чем 1 раз в 5 лет. Результаты сличений должны быть отражены в протоколах аттестации или протоколах поверки. |
Б.5.1 Оценка относительной погрешности воспроизведения КМС
При аттестации необходимо установить значение погрешности воспроизведения крутящего момента силы на основании результатов измерений величин, входящих в
(1) или
(2) в соответствии с положениями
ГОСТ Р 8.736-2011 "ГСИ. Измерения прямые многократные. Методы обработки результатов измерений. Основные положения". В общем виде формулы для вычисления погрешности воспроизведения

представлены ниже.
Значение

для установок, воспроизведение КМС которыми основывается на наложении на рычаг груза известной массы, вычисляется по формуле

(3)
где

- относительная погрешность измерения массы груза, %;

- относительная погрешность измерения ускорения свободного падения, %;

- относительная погрешность измерения длины рычага, %;

- относительная погрешность измерения плотности воздуха, %;

- относительная погрешность измерения плотности материала грузов, %;

- относительная погрешность, связанная с поправкой к длине рычага при отклонении от горизонтального положения, %;

- относительная погрешность, связанная с моментом трения, %;

- относительное отклонение воспроизводимого КМС от номинального значения, %, которое оценивают по формуле

(4)
где MN - номинальное значение КМС, Н·м.
Значение

для установок, воспроизведение КМС которыми основывается на приложении к рычагу усилия, которое определяется преобразователем силы, вычисляется по формуле

(5)
где

- относительная погрешность измерений силы, %.
Сведения о способах оценки величин, входящих в
(3) и
(5), и о необходимости оценки отдельных составляющих

приводят в методике аттестации Установки с учетом особенностей ее конструкции или в методиках поверки Установок утвержденного типа.
Б.5.2 Оценка относительной погрешности измерений КМС сличением при помощи компаратора
Б.5.2.1 Процедура распространяется на Установки, диапазон воспроизведения которых перекрывается диапазоном вышестоящего эталона. Оценка относительной погрешности измерений КМС методом сличения при помощи компаратора проводится не менее чем в 5 точках в следующих случаях:
диапазон воспроизведения Установки находится в пределах, ограниченных крайними точками диапазона вышестоящего эталона;
верхняя граница диапазона (далее - ВПИ) Установки находится выше верхней границы диапазона вышестоящего эталона, но диапазоны воспроизведения перекрываются так, что выполняется условие:
0,2·ВПИ Установки <= ВПИ вышестоящего эталона;
нижняя граница диапазона (далее - НПИ) Установки находится ниже нижней границы диапазона вышестоящего эталона, но диапазоны воспроизведения перекрываются так, что выполняется условие:
2·НПИ вышестоящего эталона <= ВПИ Установки.
Б.5.2.2 Для оценки погрешности, возникающей при передаче единицы величины, проводят сличение с вышестоящим эталоном при помощи компаратора не менее чем в 5 точках диапазона Установки (j = 1 ... J, J >= 5).
Результаты сличения с вышестоящим эталоном должны удовлетворять условию En <= 1. Значение En рассчитывается по формуле
| | ИС МЕГАНОРМ: примечание. Формула дана в соответствии с официальным текстом документа. | |

(6)
где

- относительное смещение показаний компаратора при воспроизведении крутящего момента силы на Установке и вышестоящем эталоне в
j-й точке диапазона, %;

- границы относительной погрешности вышестоящего эталона в
j-й точке диапазона, %;

- границы относительной погрешности Установки в
j-й точке диапазона, %.
Если условие
En <= 1 выполняется, относительную погрешность принимают равной погрешности воспроизведения

.
Если при первичной аттестации получены значения
En > 1, то значение

не учитывает источники погрешности, связанные с передачей единицы величины. Относительную погрешность Установки с учетом этого факта необходимо оценить по формуле

(7)
Б.5.2.3 При периодической аттестации проводят сличение с вышестоящим эталоном при помощи компаратора не менее чем в 3-х точках диапазона Установки. Результаты сличения должны удовлетворять условию En <= 1. Значение En при периодической аттестации рассчитывается по формуле
| | ИС МЕГАНОРМ: примечание. Формула дана в соответствии с официальным текстом документа. | |

(8)
Описание процедуры сличений приводят в методике аттестации Установки с учетом особенностей ее диапазона и конструкции или в методиках поверки Установок утвержденного типа.
Б.5.3 Оценка погрешности измерений КМС косвенным способом
Процедура распространяется на Установки, диапазон воспроизведения которых не удовлетворяет требованиям по
п. Б.5.2.1.
Относительную погрешность воспроизведения КМС оценивают в соответствии с
п. Б.5.1.
Погрешность, связанную с передачей единицы величины

, оценивают в виде относительного СКО среднего значения выходного сигнала измерителя КМС
<2> не менее чем в 5 точках диапазона РЭ (

,
j = 1 ...
J,
J >= 5), равномерно распределенных в его диапазоне и включающие в себя наименьший и наибольший пределы измерений Установки.
--------------------------------
<2> Требования к метрологическим и техническим характеристикам измерителя КМС устанавливаются в методике аттестации при ее разработке и согласовании с учетом метрологических характеристик и особенностей конструкции аттестуемой Установки. ВПИ измерителя КМС должен быть сопоставим с ВПИ Установки. При выборе измерителя КМС следует принимать во внимание соотношение допускаемой погрешности Установки и дрейфа выходного сигнала измерителя КМС за время проведения измерений при аттестации.
Например, для подтверждения относительной погрешности Установки
сигнал измерителя с ВПИ 10 В должен быть стабилен в точке 10% ВПИ в пределах +/- 0,5 мВ с учетом запаса 1:2, т.е. 
.
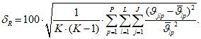
Получают по 4 результата измерений выходного сигнала измерителя КМС (

,
l = 1 ...
L,
L = 4) для каждой ступени нагружения при повороте датчика вокруг своей оси на 90°. Измерения проводят по часовой и против часовой стрелки (

,
p = 1 ...
P,
P = 2).
Всего получают
K результатов измерений (
K =
P·
J·
L,
K >= 40). Значение

вычисляют по формуле

(9)
Относительную погрешность рабочего эталона рассчитывают по формуле

(10)
где

- погрешность воспроизведения по
формуле 1 или
2;
t - коэффициент Стьюдента при P = 0,95 для K-1 степеней свободы.
Б.6 Оценка соответствия метрологических характеристик эталона обязательным метрологическим требованиям
Б.6.1 По результатам первичной аттестации устанавливают относительную погрешность рабочего эталона
. Значение погрешности округляют в большую сторону до ближайшего целого значения старшего разряда. Рекомендуется выбирать значения из ряда 0,02; 0,03; 0,04; 0,05; 0,075; 0,10; 0,15; 0,20; 0,25; 0,3; 0,5 и далее через 0,5. Значение погрешности заносят в паспорт эталона.
Б.6.2 Для оценки соответствия метрологических характеристик Установки обязательным метрологическим требованиям используют установленные значения относительной погрешности. Установку признают пригодной к применению в качестве эталона, если выполнены следующие требования:
метрологические характеристики Установки должны соответствовать требованиям, предъявляемым к рабочим эталонам единицы крутящего момента силы в соответствии с Государственной поверочной схемой для средств измерений крутящего момента силы;
технические характеристики Установки, применяемой в качестве эталона, должны соответствовать требованиям, установленным в Паспорте эталона;
содержание и применение эталона должно соответствовать требованиям, установленным в Правилах содержания и применения эталона (ПРС).
Б.6.3 При периодической аттестации эталон признают пригодным, если относительная погрешность не превышает значения, установленного при первичной аттестации.
Б.6.4 Если при периодической аттестации получены значения
En > 1 либо относительная погрешность превышает значение, полученное при первичной аттестации, то выполняют первичную аттестацию в полном объеме, заново устанавливая значение

, либо выбирают следующее большее значение

из ряда, описанного в
п. Б.6.1, до тех пор, пока не будет выполнено условие
En < 1. Значение погрешности заносят в паспорт эталона.
Б.7 Подтверждение соответствия Установок обязательным метрологическим требованиям при их поверке
Б.7.1 Подтверждение соответствия метрологических характеристик установок крутящего момента силы, являющихся средствами измерений утвержденного типа, применяемых в качестве рабочих эталонов 1-го или 2-го разрядов, содержащих специальные рычаги и меры (измерители) силы, осуществляется при их поверке в качестве эталона.
Для Установок, в методике поверки которых предусмотрена оценка составляющих погрешности, связанных с воспроизведением единицы величины по аналогии с описанным в
п. Б.5.1, но не предусмотрена оценка составляющих погрешности, связанных с передачей единицы КМС до их очередной или первичной поверки, проводят операции по
п. Б.5.2 или
Б.5.3 в зависимости от диапазона Установки. Установленное значение

округляют, как описано в
п. Б.6.1, и приводят его в протоколе поверки (и в свидетельстве о поверке в случае его оформления) помимо погрешности воспроизведения, нормированной в описании типа:
На основании результатов поверки СИ признано пригодным для применения в качестве эталона 1 разряда с относительной погрешностью
по ГПС для средств измерений крутящего момента силы, утвержденной приказом Госстандарта от __.__
2024 г. N ______.
Б.7.2 Для Установок, диапазон воспроизведения которых удовлетворяет требованиям по
п. Б.5.2.1, операции по
п. Б.5.2 допускается проводить однократно и в дальнейшем проводить сличения с вышестоящим эталоном не реже 1 раза в 5 лет как минимум в одной точке диапазона.
При следующих поверках таких Установок в качестве эталона, необходимо проверять наличие протокола сличений как минимум в одной точке диапазона. При наличии такого протокола, дата оформления которого отстоит от даты текущей поверки не более чем на 5 лет, отражающего положительные результаты сличений, а также при положительных результатах текущей поверки, делают вывод о соответствии Установки требованиям ГПС и допускают ее к применению в качестве эталона с погрешностью, оцененной при первичных сличениях.
В случае, если при очередных сличениях получены отрицательные результаты, выполняют процедуры по аналогии с
п. Б.6.4. В дальнейшем используют вновь установленное значение
.
Протокол сличений прилагают к протоколу поверки.
Б.7.3 Для Установок, в методике поверки которых предусмотрена оценка составляющих погрешности, связанных с воспроизведением единицы величины по аналогии с описанным в
п. Б.5.1 и передачей единицы КМС по аналогии с описанным в
п. Б.5.2 или
Б.5.3, оценку соответствия производят по методикам поверки.