Главная // Актуальные документы // ПостановлениеСПРАВКА
Источник публикации
ИУС "Государственные стандарты", N 7, 2001
Примечание к документу
Документ введен в действие на территории Российской Федерации с 1 января 2002 года (
Постановление Госстандарта России от 11.04.2001 N 173-ст).
Название документа
"Изменение N 2 ГОСТ 1293.1-83 "Сплавы свинцово-сурьмянистые. Метод определения сурьмы"
(принято Протоколом Межгосударственного совета по стандартизации, метрологии и сертификации от 28.05.1998 N 13)
"Изменение N 2 ГОСТ 1293.1-83 "Сплавы свинцово-сурьмянистые. Метод определения сурьмы"
(принято Протоколом Межгосударственного совета по стандартизации, метрологии и сертификации от 28.05.1998 N 13)
Принято
Протоколом Межгосударственного
совета по стандартизации,
метрологии и сертификации
от 28 мая 1998 г. N 13
ИЗМЕНЕНИЕ N 2 ГОСТ 1293.1-83
"СПЛАВЫ СВИНЦОВО-СУРЬМЯНИСТЫЕ. МЕТОД ОПРЕДЕЛЕНИЯ СУРЬМЫ"
Принято Межгосударственным Советом по стандартизации, метрологии и сертификации (протокол N 13 от 28.05.98)
Зарегистрировано Техническим секретариатом МГС N 2921
За принятие изменения проголосовали:
Наименование государства | Наименование национального органа по стандартизации |
Азербайджанская Республика | Азгосстандарт |
Республика Армения | Армгосстандарт |
Республика Беларусь | Госстандарт Республики Беларусь |
Республика Казахстан | Госстандарт Республики Казахстан |
Кыргызская Республика | Кыргызстандарт |
Российская Федерация | Госстандарт России |
Республика Таджикистан | Таджикгосстандарт |
Туркменистан | Главгосинспекция "Туркменстандартлары" |
Республика Узбекистан | Узгосстандарт |
Украина | Госстандарт Украины |
На обложке и
первой странице под обозначением стандарта исключить обозначение: (СТ СЭВ 3280-81).
"Настоящий стандарт устанавливает два метода определения сурьмы в свинцово-сурьмянистых сплавах: титриметрический метод при массовой доле сурьмы от 0,05 до 20% и атомно-абсорбционный метод при массовой доле сурьмы от 0,05 до 10%".
Раздел 1. Заменить слова: "к методу" на "к методам".
Стандарт дополнить разделом - 1а (после разд. 1):
"1а. ТИТРИМЕТРИЧЕСКИЙ МЕТОД ОПРЕДЕЛЕНИЯ СУРЬМЫ
1а.1. Сущность метода
Метод основан на растворении свинцово-сурьмянистого сплава в серной кислоте, удалении мышьяка кипячением с соляной кислотой и титровании сурьмы бромноватокислым калием потенциометрически или визуально в присутствии индикатора метилового оранжевого".
"Приготовление растворов бромноватокислого калия c (1/6KBrO3) = 0,1; 0,05 и 0,01 моль/дм3".
"3.2. Установка массовой концентрации растворов бромноватокислого калия
Навеску сурьмы массой 0,1000; 0,0500 или 0,0100 г (для установки массовой концентрации растворов бромноватокислого калия c (1/6KBrO3) = 0,1; 0,05 и 0,01 моль/дм3 соответственно) помещают в коническую колбу вместимостью 250 см3, прибавляют 20 см3 серной кислоты и нагревают до растворения. Охлаждают, разбавляют водой и переводят в колбу вместимостью 500 см3, приливают 20 см3 соляной кислоты, разбавляют водой до 200 см3 и кипятят 10 - 15 мин. Охлаждают до 60 °C, прибавляют 2 - 3 капли метилового оранжевого и титруют раствором бромноватокислого калия c (1/6KBrO3) = 0,1; 0,05 и 0,01 моль/дм3 до исчезновения красного окрашивания.
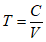
Массовую концентрацию раствора бромноватокислого калия (T) по сурьме в граммах на кубический сантиметр вычисляют по формуле

,
где C - масса навески сурьмы, г;
V - объем раствора бромноватокислого калия, израсходованный на титрование, см3".
Пункт 4.1. Таблица 1. Графа "Масса навески сплава, г". Заменить значения: 5,0 на 5,0000; 2,0 на 2,0000; 0,5 на 0,5000;
головка. Заменить слово: "Титр" на "Массовая концентрация";
"Навеску сплава помещают в коническую колбу вместимостью 500 см3, прибавляют 30 см3 серной кислоты, закрывают колбу стеклянным шариком и нагревают до растворения навески. Для восстановления сурьмы и мышьяка в колбу после охлаждения опускают 1/4 часть беззольного фильтра диаметром 9 см и нагревают до обесцвечивания раствора. К раствору контрольного опыта прибавляют наряду с беззольным фильтром 1 - 2 кристаллика сернокислой меди. Колбу охлаждают, обмывают стенки колбы водой и еще раз нагревают до обесцвечивания раствора. Затем продолжают нагревать еще 20 - 30 мин.
Раствор охлаждают, приливают 100 см3 воды, 100 см3 соляной кислоты и умеренно кипятят для удаления мышьяка и оксида серы (IV), пока объем раствора не уменьшится до 100 см3. Затем добавляют 20 см3 соляной кислоты";
четвертый абзац. Исключить слова: "добавление сернистокислого натрия и"; заменить значение и слова: 30 см
3 на 20 см
3, "сернистого ангидрида" на "оксида серы (IV)";
"5.2. Расхождение результатов параллельных определений d (разность наибольшего и наименьшего результатов параллельных определений) и расхождение результатов анализа D (разность большего и меньшего результатов анализа) при доверительной вероятности P = 0,95 не должны превышать значений абсолютных допускаемых расхождений, приведенных в табл. 2.
Таблица 2
Массовая доля сурьмы, % | Предельное значение погрешности результатов анализа  , % | Расхождение результатов параллельных определений d, % | Расхождение результатов анализа D, % |
От 0,050 до 0,10 включ. | 0,010 | 0,015 | 0,015 |
Св. 0,10 " 0,20 " | 0,02 | 0,02 | 0,02 |
" 0,20 " 0,50 " | 0,02 | 0,03 | 0,03 |
" 0,50 " 1,00 " | 0,04 | 0,05 | 0,05 |
" 1,00 " 2,00 " | 0,06 | 0,08 | 0,08 |
" 2,00 " 5,00 " | 0,08 | 0,10 | 0,10 |
" 5,00 " 10,00 " | 0,16 | 0,20 | 0,20 |
" 10,00 " 20,00 " | 0,24 | 0,30 | 0,30 |
Контроль точности анализа осуществляется с помощью стандартных образцов или другими методами, предусмотренными
ГОСТ 1293.0-83.
Погрешность результатов анализа (при доверительной вероятности P = 0,95) не превышает предельных значений

, приведенных в табл. 2, при выполнении следующих условий: расхождение результатов параллельных определений не превышает допускаемых, результаты контроля точности положительные".
"5.3. Метод применяют при разногласии в оценке качества сплава".
"6. АТОМНО-АБСОРБЦИОННЫЙ МЕТОД ОПРЕДЕЛЕНИЯ СУРЬМЫ
6.1. Сущность метода
Метод основан на растворении пробы в смеси азотной и винной кислот, распылении растворов в воздушно-ацетиленовое пламя и измерении поглощения линии сурьмы 217,6 нм.
6.2. Аппаратура, реактивы и растворы
Атомно-абсорбционный спектрофотометр любой марки.
Воздух, сжатый под давлением 2·105 - 6·103 Па (2 - 6 атм.) в зависимости от используемой аппаратуры.
6.3. Подготовка к анализу
6.3.1. Приготовление стандартных растворов сурьмы
Раствор А: 0,1000 г измельченной в агатовой ступке сурьмы растворяют в 15 см3 азотной кислоты с добавлением 15 г винной кислоты при нагревании. После охлаждения раствор переносят в мерную колбу вместимостью 100 см3, разбавляют до метки водой и перемешивают.
1 см3 раствора А содержит 1 мг сурьмы.
Раствор Б: 10 см3 раствора А переносят в мерную колбу вместимостью 100 см3, добавляют 6 см3 азотной кислоты, доводят до метки водой и перемешивают.
1 см3 раствора Б содержит - 100 мкг сурьмы.
Раствор В: 10 см3 раствора Б переносят в мерную колбу вместимостью 100 см3, добавляют 6 см3 азотной кислоты, доводят водой до метки и перемешивают.
1 см3 раствора В содержит 10 мкг сурьмы.
6.3.2. Построение градуировочного графика
В восемь из девяти мерных колб вместимостью 100 см3 каждая помещают 10; 30 см3 раствора В, 5; 8; 10; 20 см3 раствора Б; 4; 6 см3 раствора А, что соответствует 1; 3; 5; 8; 10; 20; 40 и 60 мкг/см3 сурьмы.
Во все колбы добавляют по 5 см3 азотной и винной кислот, доводят до метки водой и перемешивают.
6.4. Проведение анализа
6.4.1. Массу навески сплава выбирают в зависимости от ожидаемой массовой доли сурьмы в соответствии с табл. 3.
Таблица 3
Массовая доля сурьмы, % | Масса навески сплава, г | Объем мерной колбы, см3 |
От 0,05 до 0,5 включ. | 1,0000 | 100 |
Св. 0,5 " 5 " | 0,2000 | 200 |
" 5 " 10 " | 0,1000 | 200 |
Навеску сплава помещают в коническую колбу вместимостью 250 см3, приливают 5 см3 раствора винной кислоты и 15 см3 раствора азотной кислоты 1:2 (при последующем разбавлении раствора в мерной колбе вместимостью 100 см3) или 10 см3 раствора винной кислоты и 30 см3 раствора азотной кислоты 1:2 (при последующем разбавлении раствора в мерной колбе вместимостью 200 см3) и растворяют при нагревании. Раствор охлаждают, переводят в мерную колбу в соответствии с табл. 3, доводят до метки водой и перемешивают.
Анализируемые и стандартные растворы распыляют в воздушно-ацетиленовое пламя и измеряют значение поглощения линии сурьмы 217,6 нм.
Условия измерения выбирают в соответствии с применяемым прибором.
На спектрофотометрах, имеющих режим работы "концентрация", работают в режиме "концентрация" и результат получают на табло в мкг/см3 или в режиме "поглощение" методом "ограничивающих растворов", или по градуировочному графику.
На остальных спектрофотометрах работают в режиме "поглощение" методом "ограничивающих растворов" или по градуировочному графику.
6.5. Обработка результатов
6.5.1. Массовую долю сурьмы (X) в процентах вычисляют по формуле

,
где C1 - концентрация сурьмы в анализируемом растворе, мкг/см3;
C2 - концентрация сурьмы в растворе контрольного опыта, мкг/см3;
V - объем раствора сплава, см3;
m - масса навески сплава, г.
6.5.2. Абсолютные допускаемые расхождения результатов параллельных определений d (разность наибольшего и наименьшего результатов параллельных определений) и расхождение результатов анализа D (разность большего и меньшего результатов анализа) при доверительной вероятности P = 0,95 не должны превышать значений допускаемых расхождений, приведенных в табл. 4.
Таблица 4
Массовая доля сурьмы, % | Предельное значение погрешности результатов анализа  , % | Расхождение результатов параллельных определений d, % | Расхождение результатов анализа D, % |
От 0,050 до 0,10 включ. | 0,010 | 0,015 | 0,015 |
Св. 0,10 " 0,20 " | 0,02 | 0,02 | 0,02 |
" 0,20 " 0,50 " | 0,02 | 0,03 | 0,03 |
" 0,50 " 1,00 " | 0,04 | 0,05 | 0,05 |
" 1,00 " 2,00 " | 0,06 | 0,10 | 0,10 |
" 2,00 " 4,00 " | 0,12 | 0,15 | 0,15 |
" 4,00 " 6,00 " | 0,16 | 0,20 | 0,20 |
" 6,00 " 8,00 " | 0,20 | 0,25 | 0,25 |
" 8,00 " 10,00 " | 0,24 | 0,30 | 0,30 |
Контроль точности анализа осуществляют с помощью стандартных образцов или другими методами, предусмотренными
ГОСТ 1293.0-83.
Погрешность результатов анализа (при доверительной вероятности P = 0,95) не превышает предельных значений

, приведенных в табл. 4, при выполнении следующих условий: расхождение результатов параллельных определений не превышает допускаемых, результаты контроля точности положительные".