Главная // Актуальные документы // ПособиеСПРАВКА
Источник публикации
ГУП ЦПП, 2005
Примечание к документу
Название документа
"Пособие по проектированию бетонных и железобетонных конструкций из тяжелого бетона без предварительного напряжения арматуры (к СП 52-101-2003)"
"Пособие по проектированию бетонных и железобетонных конструкций из тяжелого бетона без предварительного напряжения арматуры (к СП 52-101-2003)"
ПО ПРОЕКТИРОВАНИЮ БЕТОННЫХ И ЖЕЛЕЗОБЕТОННЫХ КОНСТРУКЦИЙ
ИЗ ТЯЖЕЛОГО БЕТОНА БЕЗ ПРЕДВАРИТЕЛЬНОГО НАПРЯЖЕНИЯ АРМАТУРЫ
(к СП 52-101-2003)
Содержит указания
СП 52-101-2003 по проектированию бетонных и железобетонных конструкций из тяжелого бетона без предварительного напряжения арматуры; положения, детализирующие эти указания, примеры расчета, а также рекомендации, необходимые для проектирования.
Для инженеров-проектировщиков, а также студентов строительных вузов.
Настоящее Пособие разработано в развитие Свода Правил
СП 52-101-2003 "Бетонные и железобетонные конструкции без предварительного напряжения арматуры".
В Пособии приведены все указания по проектированию
СП 52-101-2003, положения, детализирующие эти указания, примеры расчета элементов, а также рекомендации по проектированию.
Материалы по проектированию редко встречаемых конструкций с ненапрягаемой высокопрочной арматурой (классов A600 и выше) в настоящее Пособие не включены, а приведены в "
Пособии по проектированию предварительно напряженных железобетонных конструкций из тяжелого бетона".
В Пособии не приведены особенности проектирования конструкций отдельных видов зданий и сооружений, связанные с определением усилий в этих конструкциях. Эти вопросы освещены в соответствующих Сводах Правил и пособиях.
Единицы физических величин, приведенные в Пособии: силы выражены в ньютонах (Н) или килоньютонах (кН); линейные размеры - в мм (для сечений) или в м (для элементов или их участков); напряжения, сопротивления, модули упругости - в мегапаскалях (МПа); распределенные нагрузки и усилия - в кН/м или Н/мм. Поскольку 1 МПа = 1 Н/мм2, при использовании в примерах расчета формул, включающих величины в МПа (напряжения, сопротивления и т.п.), остальные величины приводятся только в Н и мм (мм2).
В таблицах нормативные и расчетные сопротивления и модули упругости материалов приведены в МПа и в кгс/см2.
Пособие разработано "ЦНИИПромзданий" (инженер И.К. Никитин, доктора технических наук Э.Н. Кодыш и Н.Н. Трекин) при участии "НИИЖБ" (доктора технических наук А.С. Залесов, Е.А. Чистяков, А.И. Звездов, Т.А. Мухамедиев).
1.1. Рекомендации настоящего Пособия распространяются на проектирование бетонных и железобетонных конструкций зданий и сооружений, выполняемых из тяжелого бетона классов по прочности на сжатие от B10 до B60 без предварительного напряжения арматуры и эксплуатируемых при систематическом воздействии температур не выше 50 °C и не ниже минус 40 °C в среде с неагрессивной степенью воздействия при статическом действии нагрузки.
Рекомендации Пособия не распространяются на проектирование бетонных и железобетонных конструкций гидротехнических сооружений, мостов, тоннелей, труб под насыпями, покрытий автомобильных дорог и аэродромов и некоторых других специальных сооружений.
Примечание. Термин "тяжелый бетон" применен в соответствии с
ГОСТ 25192.
1.2. При проектировании бетонных и железобетонных конструкций, кроме выполнения расчетных и конструктивных требований настоящего Пособия, должны выполняться технологические требования по изготовлению и возведению конструкций, а также должны быть обеспечены условия для надлежащей эксплуатации зданий и сооружений с учетом требований по экологии согласно соответствующим нормативным документам.
1.3. В сборных конструкциях особое внимание должно быть уделено на прочность и долговечность соединений.
1.4. Бетонные элементы применяют:
а) преимущественно в конструкциях, работающих на сжатие при расположении продольной силы в пределах поперечного сечения элемента;
б) в отдельных случаях в конструкциях, работающих на сжатие при расположении продольной силы за пределами поперечного сечения элемента, а также в изгибаемых конструкциях, когда их разрушение не представляет непосредственной опасности для жизни людей и сохранности оборудования (например, элементы, лежащие на сплошном основании).
Конструкции рассматривают как бетонные, если их прочность в стадии эксплуатации обеспечена одним бетоном.
1.5. Расчетная зимняя температура наружного воздуха принимается как средняя температура воздуха наиболее холодной пятидневки в зависимости от района строительства согласно
СНиП 23-01-99. Расчетные технологические температуры устанавливаются заданием на проектирование.
ОСНОВНЫЕ РАСЧЕТНЫЕ ТРЕБОВАНИЯ
1.6. Расчеты бетонных и железобетонных конструкций следует производить по предельным состояниям, включающим:
- предельные состояния первой группы (по полной непригодности к эксплуатации вследствие потери несущей способности);
- предельные состояния второй группы (по непригодности к нормальной эксплуатации вследствие образования или чрезмерного раскрытия трещин, появления недопустимых деформаций и др.).
Расчеты по предельным состояниям первой группы, содержащиеся в настоящем Пособии, включают расчеты по прочности с учетом в необходимых случаях деформированного состояния конструкции перед разрушением.
Расчеты по предельным состояниям второй группы, содержащиеся в настоящем Пособии, включают расчеты по раскрытию трещин и по деформациям.
Расчет бетонных конструкций по предельным состояниям второй группы не производится.
Расчет по предельным состояниям конструкции в целом, а также отдельных ее элементов следует, как правило, производить для всех стадий - изготовления, транспортирования, возведения и эксплуатации, при этом расчетные схемы должны отвечать принятым конструктивным решениям.
1.7. Определение усилий и деформаций от различных воздействий в конструкциях и в образуемых ими системах зданий и сооружений следует производить с учетом возможного образования трещин и неупругих деформаций в бетоне и арматуре (физическая нелинейность), а также с учетом в необходимых случаях деформированного состояния конструкций перед разрушением (геометрическая нелинейность).
Для статически неопределимых конструкций, методика расчета которых с учетом физической нелинейности не разработана, допускается определять усилия в предположении линейной упругости материала.
1.8. Нормативные значения нагрузок и воздействий, коэффициенты сочетаний, коэффициенты надежности по нагрузке, коэффициенты надежности по назначению, а также подразделение нагрузок на постоянные и временные (длительные и кратковременные) принимают согласно
СНиП 2.01.07-85*.
1.9. При расчете элементов сборных конструкций на воздействие усилий, возникающих при их подъеме, транспортировании и монтаже, нагрузку от веса элемента следует принимать с коэффициентом динамичности, равным: 1,60 - при транспортировании, 1,40 - при подъеме и монтаже. В этом случае следует учитывать также коэффициенты надежности по нагрузке.
Допускается принимать более низкие, обоснованные в установленном порядке, значения коэффициентов динамичности, но не ниже 1,25.
2. МАТЕРИАЛЫ ДЛЯ БЕТОННЫХ И ЖЕЛЕЗОБЕТОННЫХ КОНСТРУКЦИЙ
ПОКАЗАТЕЛИ КАЧЕСТВА БЕТОНА
И ИХ ПРИМЕНЕНИЕ ПРИ ПРОЕКТИРОВАНИИ
2.1. Для бетонных и железобетонных конструкций следует предусматривать бетоны следующих классов и марок:
а) классов по прочности на сжатие:
B10; B15; B20; B25; B30; B35; B40; B45; B50; B55; B60;
б) классов по прочности на осевое растяжение:
в) марок по морозостойкости:
F50; F75; F100; F150; F200; F300; F400; F500;
г) марок по водонепроницаемости:
W2; W4; W6; W8; W10; W12.
2.2. Возраст бетона, отвечающий его классу по прочности на сжатие и на осевое растяжение (проектный возраст), назначают при проектировании, исходя из возможных реальных сроков загружения конструкции проектными нагрузками. При отсутствии этих данных класс бетона устанавливают в возрасте 28 суток.
Значение отпускной прочности бетона в элементах сборных конструкций следует назначать в соответствии с
ГОСТ 13015.0 и стандартами на конструкции конкретных видов.
2.3. Класс бетона по прочности на сжатие назначается во всех случаях.
Класс бетона по прочности на осевое растяжение назначается в случаях, когда эта характеристика имеет главенствующее значение и ее контролируют на производстве (например, для бетонных изгибаемых элементов).
Марку по морозостойкости назначают для конструкций, подверженных в процессе эксплуатации попеременному замораживанию и оттаиванию (надземные конструкции, подвергающиеся атмосферным воздействиям, находящиеся во влажном грунте или под водой и др.).
Марку по водонепроницаемости назначают для конструкций, к которым предъявляют требования ограничения водопроницаемости (резервуары, подпорные стены и др.).
2.4. Для железобетонных конструкций рекомендуется принимать класс бетона на сжатие не ниже B15; при этом для сильно нагруженных сжатых стержневых элементов рекомендуется принимать класс бетона не ниже B25.
Для бетонных сжатых элементов не рекомендуется применять бетон класса выше B30.
2.5. Для надземных конструкций, подвергаемых атмосферным воздействиям окружающей среды при расчетной зимней температуре наружного воздуха от минус 5 °C до минус 40 °C, принимают марку бетона по морозостойкости не ниже F75; при этом, если такие конструкции защищены от непосредственного воздействия атмосферных осадков, марку по морозостойкости можно применять не ниже F50.
При расчетной зимней температуре выше минус 5 °C в указанных выше конструкциях марку бетона по морозостойкости не нормируют.
Примечание. Расчетная зимняя температура наружного воздуха принимается согласно
п. 1.5.
НОРМАТИВНЫЕ И РАСЧЕТНЫЕ ХАРАКТЕРИСТИКИ БЕТОНА
2.6. Нормативные значения сопротивления бетона осевому сжатию (призменная прочность)

и осевому растяжению (при назначении класса по прочности на сжатие)

принимают в зависимости от класса бетона B согласно табл. 2.1.
Вид сопротивления | Нормативные сопротивления бетона Rb,n и Rbt,n и расчетные значения сопротивления бетона для предельных состояний второй группы Rb,ser и Rbt,ser, МПа (кгс/см2), при классе бетона по прочности на сжатие |
B10 | B15 | B20 | B25 | B30 | B35 | B40 | B45 | B50 | B55 | B60 |
Сжатие осевое Rb,n, Rb,ser | 7,5 (76,5) | 11,0 (112) | 15,0 (153) | 18,5 (188) | 22,0 (224) | 25,5 (260) | 29,0 (296) | 32,0 (326) | 36,0 (367) | 39,5 (403) | 43,0 (438) |
Растяжение Rbt,n, Rbt,ser | 0,85 (8,7) | 1,10 (11,2) | 1,35 (13,8) | 1,55 (15,8) | 1,75 (17,8) | 1,95 (19,9) | 2,10 (21,4) | 2,25 (22,9) | 2,45 (25,0) | 2,60 (26,5) | 2,75 (28,0) |
При назначении класса бетона по прочности на осевое растяжение

нормативные сопротивления бетона осевому растяжению

в МПа принимают равными числовой характеристике класса бетона на осевое растяжение.
2.7. Расчетные сопротивления бетона осевому сжатию

и осевому растяжению

для предельных состояний первой группы определяют по формулам:

;

, (2.1)
где

- коэффициент надежности по бетону при сжатии, принимаемый равным 1,3;

- коэффициент надежности по бетону при растяжении, принимаемый равным:
1,5 - при назначении класса бетона по прочности на сжатие;
1,3 - при назначении класса бетона по прочности на растяжение.
Расчетные сопротивления бетона

и

(с округлением) в зависимости от класса бетона по прочности на сжатие и осевое растяжение приведены соответственно в табл. 2.2 и
2.3.
Вид сопротивления | Расчетные сопротивления бетона для предельных состояний первой группы Rb и Rbt, МПа (кгс/см2), при классе бетона по прочности на сжатие |
B10 | B15 | B20 | B25 | B30 | B35 | B40 | B45 | B50 | B55 | B60 |
Сжатие осевое, Rb | 6,0 (61,2) | 8,5 (86,6) | 11,5 (117) | 14,5 (148) | 17,0 (173) | 19,5 (199) | 22,0 (224) | 25,0 (255) | 27,5 (280) | 30,0 (306) | 33,0 (336) |
Растяжение осевое, Rbt | 0,56 (5,7) | 0,75 (7,6) | 0,90 (9,2) | 1,05 (10,7) | 1,15 (11,7) | 1,30 (13,3) | 1,40 (14,3) | 1,50 (15,3) | 1,60 (16,3) | 1,70 (17,3) | 1,80 (18,3) |
Расчетные сопротивления бетона на осевое растяжения для предельных состояний первой группы Rbt, МПа (кгс/см2), при классе бетона по прочности на осевое растяжение |
Bt0,8 | Bt1,2 | Bt1,6 | Bt2,0 | Bt2,4 | Bt2,8 | Bt3,2 |
0,62 (6,3) | 0,93 (9,5) | 1,25 (12,7) | 1,55 (15,8) | 1,85 (18,9) | 2,15 (21,9) | 2,45 (25,0) |
Расчетные значения сопротивления бетона осевому сжатию

и осевому растяжению

для предельных состояний второй группы принимают равными соответствующим нормативным сопротивлениям, т.е. вводят в расчет с коэффициентом надежности по бетону

. Значения

и

приведены в
табл. 2.1.
2.8. В необходимых случаях расчетные сопротивления бетона умножаются на следующие коэффициенты условий работы

:
а)

- для бетонных и железобетонных конструкций при действии только постоянных и длительных нагрузок, вводимый к расчетным значениям

и

;
б)

- для бетонных конструкций, вводимый к расчетному значению

;
в)

- для бетонных и железобетонных конструкций, бетонируемых в вертикальном, вводимый к расчетному значению

.
2.9. Значение начального модуля упругости бетона при сжатии и растяжении

принимают в зависимости от класса бетона по прочности на сжатие B согласно табл. 2.4.
Значения начального модуля упругости бетона при сжатии и растяжении Eb·10-3, МПа (кгс/см2), при классе бетона по прочности на сжатие |
B10 | B15 | B20 | B25 | B30 | B35 | B40 | B45 | B50 | B55 | B60 |
19,0 (194) | 24,0 (245) | 27,5 (280) | 30,0 (306) | 32,5 (331) | 34,5 (352) | 36,0 (367) | 37,0 (377) | 38,0 (387) | 39,0 (398) | 39,5 (403) |
2.10. Значения коэффициента поперечной деформации бетона (коэффициента Пуассона) допускается принимать

.
Модуль сдвига бетона G принимают равным 0,4 соответствующего значения

, указанного в
табл. 2.4.
2.11. Значения коэффициента линейной температурной деформации бетона при изменении температуры от минус 40 до плюс 50 °C принимают

.
2.12. Для определения массы железобетонной или бетонной конструкции плотность бетона принимается равной 2400 кг/м3.
Плотность железобетона при содержании арматуры 3% и менее может приниматься равной 2500 кг/м3; при содержании арматуры свыше 3% плотность определяется как сумма масс бетона и арматуры на единицу объема железобетонной конструкции. При этом масса 1 м длины арматурной стали принимается по
Приложению 1, а масса листовой и фасонной стали - по государственным стандартам.
При определении нагрузки от собственного веса конструкции удельный вес ее в кН/м3 допускается принимать равным 0,01 плотности в кг/м3.
2.13. Значения относительных деформаций бетона, характеризующих диаграмму состояния сжатого бетона

и растянутого бетона (

и

), а также значения коэффициента ползучести бетона

приведены в
пп. 4.27 и
4.23.
ПОКАЗАТЕЛИ КАЧЕСТВА АРМАТУРЫ
2.14. Для железобетонных конструкций, проектируемых в соответствии с требованиями настоящего Пособия, следует предусматривать арматуру:
- горячекатаную гладкую арматуру класса A240 (A-I);
- горячекатаную и термомеханически упрочненную периодического профиля классов A300 (A-II), A400 (A-III, A400C), A500 (A500C);
- холоднодеформированную периодического профиля класса B500 (Bp-I, B500C).
В качестве арматуры железобетонных конструкций, устанавливаемой по расчету, рекомендуется преимущественно применять:
арматуру периодического профиля классов A500 и A400;
арматуру периодического профиля класса B500 в сварных каркасах и сетках.
2.15. В конструкциях, эксплуатируемых на открытом воздухе или в неотапливаемых зданиях в районах с расчетной зимней температурой ниже минус 30 °C, не допускается применение арматуры класса A300 марки стали Ст5пс диаметром 18 - 40 мм, а также класса A240 марки стали Ст3кп.
Эти виды арматуры можно применять в конструкциях отапливаемых зданий, расположенных в указанных районах, если в стадии возведения несущая способность конструкций будет обеспечена исходя из расчетного сопротивления арматуры с понижающим коэффициентом 0,7 и расчетной нагрузки с коэффициентом надежности по нагрузке

.
Прочие виды и классы арматуры можно применять без ограничений.
2.16. Для монтажных (подъемных) петель элементов сборных железобетонных и бетонных конструкций следует применять горячекатаную арматуру класса A240 марок стали Ст3сп и Ст3пс, а также класса A300 марки стали 10ГТ.
НОРМАТИВНЫЕ И РАСЧЕТНЫЕ ХАРАКТЕРИСТИКИ АРМАТУРЫ
2.17. Основной прочностной характеристикой арматуры является нормативное значение сопротивления растяжению

, принимаемое в зависимости от класса арматуры по табл. 2.5.
Арматура классов | Номинальный диаметр арматуры, мм | Нормативные значения сопротивления растяжению Rs,n и расчетные значения сопротивления растяжению для предельных состояний второй группы Rs,ser, МПа (кгс/см2) |
A240 | 6 - 40 | 240 (2450) |
A300 | 10 - 70 | 300 (3060) |
A400 | 6 - 40 | 400 (4080) |
A500 | 6 - 40 | 500 (5100) |
B500 | 3 - 12 | 500 (5100) |
2.18. Расчетные значения сопротивления арматуры растяжению

для предельных состояний первой группы определяют по формуле

, (2.2)
где

- коэффициент надежности по арматуре, принимаемый равным:
1,1 - для арматуры классов A240, A300 и A400;
1,15 - для арматуры класса A500;
1,2 - для арматуры класса B500.
Расчетные значения

приведены (с округлением) в табл. 2.6. При этом значения

приняты равными наименьшим контролируемым значениям по соответствующим ГОСТ.
Арматура классов | Расчетные значения сопротивления арматуры для предельных состояний первой группы, МПа (кгс/см2) |
растяжению | сжатию, Rsc |
продольной, Rs | поперечной (хомутов и отогнутых стержней), Rsw |
A240 | 215 (2190) | 170 (1730) | 215 (2190) |
A300 | 270 (2750) | 215 (2190) | 270 (2750) |
A400 | 355 (3620) | 285 (2900) | 355 (3620) |
A500 | 435 (4430) | 300 (3060) | 400 (4080) |
B500 | 415 (4230) | 300 (3060) | 360 (3670) |
Расчетные значения сопротивления арматуры растяжению

для предельных состояний второй группы принимают равными соответствующим нормативным сопротивлениям

(см.
табл. 2.5).
Расчетные значения сопротивления арматуры сжатию

принимают равными расчетным значениям сопротивления арматуры растяжению

, за исключением арматуры класса A500, для которой

, и арматуры класса B500, для которой

(см.
табл. 2.6). При расчете конструкций на действие постоянных и длительных нагрузок значения

для арматуры классов A500 и B500 допускается принимать равными

.
2.19. Расчетные значения сопротивления поперечной арматуры (хомутов и отогнутых стержней)

снижают по сравнению с

путем умножения на коэффициент условий работы

, но принимают не более 300 МПа. Расчетные значения

приведены (с округлением) в
табл. 2.6.
2.20. Значения модуля упругости арматуры

принимают одинаковыми при растяжении и сжатии и равными

.
3. РАСЧЕТ ЭЛЕМЕНТОВ БЕТОННЫХ И ЖЕЛЕЗОБЕТОННЫХ
КОНСТРУКЦИЙ ПО ПРЕДЕЛЬНЫМ СОСТОЯНИЯМ ПЕРВОЙ ГРУППЫ
РАСЧЕТ БЕТОННЫХ ЭЛЕМЕНТОВ ПО ПРОЧНОСТИ
3.1. Бетонные элементы рассчитываются по прочности на действие продольных сжимающих сил, изгибающих моментов и поперечных сил, а также на местное сжатие.
3.2. Бетонные элементы в зависимости от условий их работы и требований, предъявляемых к ним, рассчитывают без учета или с учетом сопротивления бетона растянутой зоны.
Без учета сопротивления бетона растянутой зоны производят расчет внецентренно сжатых элементов, указанных в
п. 1.4, а, принимая, что достижение предельного состояния характеризуется разрушением сжатого бетона.
С учетом сопротивления бетона растянутой зоны производят расчет элементов, указанных в
п. 1.4, б, а также элементов, в которых не допускают трещины по условиям эксплуатации конструкций (элементов, подвергающихся давлению воды, карнизов, парапетов и др.). При этом принимают, что предельное состояние характеризуется достижением предельных усилий в бетоне растянутой зоны.
3.3. Если усилия (момент, поперечная сила или продольная сила)

от постоянных и длительных нагрузок превышает 0,9 усилия от всех нагрузок, включая кратковременные, следует проводить расчет на действие усилий

, принимая расчетные сопротивления бетона

и

с учетом коэффициента

.
3.4. Расчет по прочности бетонных элементов на действие местного сжатия производят согласно указаниям
пп. 3.81 и
3.82.
3.5. В бетонных элементах в случаях, указанных в
п. 5.12, необходимо предусмотреть конструктивную арматуру.
РАСЧЕТ ВНЕЦЕНТРЕННО СЖАТЫХ ЭЛЕМЕНТОВ
3.6. При расчете внецентренно сжатых бетонных элементов следует учитывать случайный эксцентриситет

, принимаемых не менее:
1/600 длины элемента или расстояния между его сечениями, закрепленными от смещения;
1/30 высоты сечения;
10 мм.
Для элементов статически неопределимых конструкций (например, защемленных по концам столбов) значение эксцентриситета продольной силы относительно центра тяжести сечения

принимают равным значению эксцентриситета, полученному из статического расчета, но не менее

.
Для элементов статически определимых конструкций эксцентриситет

принимают равным сумме эксцентриситетов - из статического расчета конструкций и случайного.
3.7. При гибкости элементов

(для прямоугольного сечения при

) необходимо учитывать влияние на их несущую способность прогибов путем умножения значений

на коэффициент

, определяемый согласно
п. 3.10.
3.8. Расчет внецентренно сжатых бетонных элементов при расположении продольной силы в пределах сечения элемента производится без учета сопротивления бетона растянутой зоны следующим образом.
Для элементов прямоугольного, таврового и двутаврового сечения при действии усилия в плоскости симметрии расчет производится из условия

, (3.1)
где

- площадь сжатой зоны бетона, определяемая из условия, что ее центр тяжести совпадает с точкой приложения продольной силы N (с учетом прогиба) (черт. 3.1).
Черт. 3.1. Схема усилий и эпюра напряжений в сечении,
нормальном к продольной оси внецентренно сжатого
бетонного элемента, рассчитываемого по прочности
без учета сопротивления бетона растянутой зоны
1 - центр тяжести площади сжатой зоны

;
2 - то же, площади всего сечения
Для элементов прямоугольного сечения

, (3.2)
Из
условия (3.1) также можно рассчитывать симметричные трапециевидные и треугольные сечения, если наибольшее сжатие приходится на большую сторону сечения.
В остальных случаях расчет производится на основе нелинейной деформационной модели согласно
пп. 3.72 -
3.76, принимая в расчетных зависимостях площадь арматуры равной нулю.
Допускается при косом внецентренном сжатии прямоугольного сечения расчет проводить из
условия (3.1), определяя

по формуле

, (3.3)
где

и

- эксцентриситеты силы N в направлении соответственно размера сечения h и b;

и

- коэффициенты

, определенные согласно
п. 3.10 отдельно для каждого направления.
3.9. Внецентренно сжатые бетонные элементы при расположении продольной силы за пределами поперечного сечения элемента, а также элементы, в которых появление трещин не допускается, независимо от расчета из
условия (3.1), должны быть проверены с учетом сопротивления бетона растянутой зоны из условия

, (3.4)
где

- расстояние от центра тяжести сечения элемента до наиболее растянутого волокна;

. (3.5)
Допускается расчет бетонных элементов с учетом бетона растянутой зоны производить на основе нелинейной деформационной модели согласно
пп. 3.72 -
3.76, принимая в расчетных зависимостях площадь арматуры равной нулю.
3.10. Значение коэффициента

, учитывающего влияние прогиба на значение эксцентриситета продольной силы

, определяется по формуле

, (3.6)
где

- условная критическая сила, определяемая по формуле

, (3.7)
где D - жесткость элемента в предельной по прочности стадии, определяемая по формуле

; (3.8)

- определяется по табл. 3.1.
Характер опирания стен и столбов | Расчетная длина l0 внецентренно сжатых бетонных элементов |
1. С опорами вверху и внизу: | |
а) при шарнирах на двух концах независимо от величины смещения опор | H |
б) при защемлении одного из концов и возможном смещении опор зданий: | |
многопролетных | 1,2H |
однопролетных | 1,5H |
в) при частичном защемлении неподвижных опор | 0,8H |
2. Свободно стоящие | 2H |
Примечание. H - расстояние между перекрытиями и другими горизонтальными опорами (при перекрытиях, монолитно связанных со стеной (столбом) за вычетом толщины перекрытия) или высота свободно стоящей конструкции. |

. (3.8а)

- коэффициент, учитывающий влияние длительного действия нагрузки на прогиб элемента в предельном состоянии, равный

, (3.9)
но не более 2;

- момент относительно растянутой или наименее сжатой грани сечения от действия постоянных, длительных и кратковременных нагрузок;

- то же, от постоянных и длительных нагрузок;

- коэффициент, принимаемый равным

, но не менее 0,15.
Для стен и столбов с упруго неподвижными опорами указанное значение

принимается при расчете сечений в средней трети высоты H. При расчете опорных сечений принимается

, а в других сечениях - по линейной интерполяции.
Если нижняя опора жестко защемлена, то при упругой верхней опоре определенное по
формуле (3.6) значение

принимается для сечений нижнего участка высотой 2/3H.
3.11. Расчет с учетом прогиба внецентренно сжатых бетонных элементов прямоугольного сечения класса не выше B20 при

допускается производить из условия

, (3.10)
где

- определяется по графику (черт. 3.2) в зависимости от значений

и

.
Черт. 3.2. График несущей способности
внецентренно сжатых бетонных элементов
Условные обозначения:

при

;

при

.
3.12. При действии значительных поперечных сил должно выполняться условие

, (3.11)
где

и

- главные растягивающие и главные сжимающие напряжения, определяемые по формуле

, (3.12)

и

- нормальное и касательное напряжение в рассматриваемом волокне сечения, определяемые как для упругого материала.
Для прямоугольного сечения проверка
условия (3.11) проводится для волокна на уровне центра тяжести сечения, а для тавровых и двутавровых сечений на уровне примыкания сжатых полок к стенке сечения.
РАСЧЕТ ИЗГИБАЕМЫХ ЭЛЕМЕНТОВ
3.13. Расчет изгибаемых бетонных элементов следует производить из условия

, (3.13)
где W - момент сопротивления для крайнего растянутого волокна; для прямоугольного сечения

.
Кроме того, для элементов таврового и двутаврового сечений должно выполняться условие

, (3.14)
где

- касательные напряжения, определяемые как для упругого материала на уровне центра тяжести сечения.
Пример 1. Дано: межквартирная бетонная панель толщиной h = 150 мм высотой H = 2,7 м, изготовленная вертикально (в кассете); бетон класса B15 (

,

); полная нагрузка на 1 м стены N = 700 кН, в том числе постоянная и длительная нагрузка

.
Требуется проверить прочность панели.
Расчет производим согласно
п. 3.8 на действие продольной силы, приложенной со случайным эксцентриситетом

, определенным согласно
п. 3.6.
Поскольку

и

, принимаем

. Закрепление панели сверху и снизу принимаем шарнирным, следовательно, расчетная длина

, согласно
табл. 3.1, равна

. Так как отношение

, расчет производим с учетом влияния прогиба согласно
п. 3.10.

.
Поскольку

, принимаем

.
Жесткость D определим по
формуле (3.8а), принимая ширину сечения b = 1 м = 1000 мм:

.
Тогда

;

.
Расчетное сопротивление бетона

согласно
п. 2.8 принимаем с учетом коэффициентов

и

, а учитывая наличие кратковременных нагрузок, принимаем

. Тогда

.
т.е. прочность панели на действие полной нагрузки обеспечена.
Поскольку

, согласно
п. 3.3 проверим прочность панели на действие только постоянных и длительных нагрузок, т.е. при N = 650 кН. В этом случае

, и тогда

и

.
Расчетное сопротивление

принимаем с учетом

:

.

,
т.е. прочность панели обеспечена при любых сочетаниях нагрузок.
РАСЧЕТ ЖЕЛЕЗОБЕТОННЫХ ЭЛЕМЕНТОВ ПО ПРОЧНОСТИ
3.14. Железобетонные элементы рассчитывают по прочности на действие изгибающих моментов, поперечных сил, продольных сил, крутящих моментов и на местное действие нагрузки (местное сжатие, продавливание, отрыв).
РАСЧЕТ ЖЕЛЕЗОБЕТОННЫХ ЭЛЕМЕНТОВ
НА ДЕЙСТВИЕ ИЗГИБАЮЩИХ МОМЕНТОВ
3.15. Расчет по прочности железобетонных элементов на действие изгибающих моментов следует производить для сечений, нормальных к их продольной оси.
Расчет нормальных сечений изгибаемых элементов следует производить на основе нелинейной деформационной модели согласно
пп. 3.72 -
3.76, принимая N = 0.
Расчет прямоугольного, таврового и двутаврового сечений с арматурой, расположенной у перпендикулярных плоскости изгиба граней элемента, при действии момента в плоскости симметрии сечения допускается производить по предельным усилиям согласно
пп. 3.17 -
3.27.
Расчет элементов с такими сечениями на действие косого изгиба в некоторых случаях также допускается производить по предельным усилиям согласно
пп. 3.28 и
3.29.
3.16. Для железобетонных элементов, у которых предельный по прочности изгибающий момент оказывается меньше момента образования трещин (
пп. 4.5 -
4.8), площадь сечения продольной растянутой арматуры должна быть увеличена по сравнению с требуемой из расчета по прочности не менее чем на 15% или должна удовлетворять расчету по прочности на действие момента образования трещин.
3.17. Расчет по прочности нормальных сечений следует производить в зависимости от соотношения между значением относительной высоты сжатой зоны бетона

, определяемым из соответствующих условий равновесия, и значением граничной относительной высоты сжатой зоны

, при котором предельное состояние элемента наступает одновременно с достижением в растянутой арматуре напряжения, равного расчетному сопротивлению

.
Значение

определяют по формуле

, (3.15)
где

- в МПа или по табл. 3.2.
Класс арматуры | A240 | A300 | A400 | A500 | B500 |
Значение  | 0,612 | 0,577 | 0,531 | 0,493 | 0,502 |
Значение  | 0,425 | 0,411 | 0,390 | 0,372 | 0,376 |
3.18. Расчет прямоугольных сечений
(черт. 3.3) производится следующим образом в зависимости от высоты сжатой зоны

: (3.16)
а) при

- из условия

, (3.17)
б) при

- из условия

, (3.18)
Черт. 3.3. Схема усилий и эпюра напряжений в поперечном
прямоугольном сечении изгибаемого железобетонного элемента
Правую часть
условия (3.18) при необходимости можно несколько увеличить путем замены значения

на

, где

, принимая здесь

не более 1.
Если x <= 0, прочность проверяют из условия

. (3.19)
Если вычисленная без учета сжатой арматуры

высота сжатой зоны x меньше 2a', проверяется условие (3.19), где вместо a' подставляется x/2.
3.19. Изгибаемые элементы рекомендуется проектировать так, чтобы обеспечить выполнение условия

. Невыполнение этого условия можно допустить лишь в случаях, когда площадь сечения растянутой арматуры определена из расчета по предельным состояниям второй группы или принята по конструктивным соображениям.
3.20. Проверку прочности прямоугольных сечений с одиночной арматурой производят:
при

из условия

, (3.20)
где x - высота сжатой зоны, равная

;
при

из условия

, (3.21)
при этом несущую способность можно несколько увеличить, используя рекомендацию
п. 3.18, б.
3.21. Подбор продольной арматуры производят следующим образом.
Вычисляют значение

. (3.22)
Если

(см.
табл. 3.2), сжатая арматура по расчету не требуется.
При отсутствии сжатой арматуры площадь сечения растянутой арматуры определяется по формуле

. (3.23)
Если

, требуется увеличить сечение или повысить класс бетона, или установить сжатую арматуру согласно п. 3.22.
3.22. Площади сечения растянутой

и сжатой

арматуры, соответствующие минимуму их суммы, если по расчету требуется сжатая арматура (см.
п. 3.21), определяют по формулам:

; (3.24)

, (3.25)
Если значение принятой площади сечения сжатой арматуры

значительно превышает значение, вычисленное по
формуле (3.24), площадь сечения растянутой арматуры можно несколько уменьшить по сравнению с вычисленной по
формуле (3.25), используя формулу

, (3.26)
где

.
При этом должно выполняться условие

(см.
табл. 3.2).
Тавровые и двутавровые сечения
3.23. Расчет сечений, имеющих полку в сжатой зоне (тавровых, двутавровых и т.п.), производят в зависимости от положения границы сжатой зоны:
а) если граница проходит в полке
(черт. 3.4, а), т.е. соблюдается условие

, (3.27)
расчет производят по
пп. 3.18 и
3.20 как для прямоугольного сечения шириной

;

, (3.28)
где

- площадь сечения свесов полки, равная

,
при этом высоту сжатой зоны определяют по формуле

(3.29)
Черт. 3.4. Положение границы сжатой зоны в тавровом
сечении изгибаемого железобетонного элемента
а - в полке; б - в ребре

, (3.30)
Примечания. 1. При переменной высоте свесов полки допускается принимать значение

равным средней высоте свесов.
2. Ширина сжатой полки

, вводимая в расчет, не должна превышать величин, указанных в
п. 3.26.
3.24. Требуемую площадь сечения сжатой арматуры определяют по формуле

, (3.31)

.
При этом должно выполняться условие

. В случае, если

, площадь сечения сжатой арматуры определяют как для прямоугольного сечения шириной

по
формуле (3.24).
3.25. Требуемую площадь сечения растянутой арматуры определяют следующим образом:
а) если граница сжатой зоны проходит в полке, т.е. соблюдается условие:

, (3.32)
площадь сечения растянутой арматуры определяют как для прямоугольного сечения шириной

согласно
пп. 3.21 и
3.22;
б) если граница сжатой зоны проходит в ребре, т.е.
условие (3.32) не соблюдается, площадь сечения растянутой арматуры определяют по формуле

, (3.33)
где

. (3.34)
При этом должно выполняться условие

(см.
табл. 3.2).
3.26. Значение

, вводимое в расчет, принимают из условия, что ширина свеса полки в каждую сторону от ребра должна быть не более 1/6 пролета элемента и не более:
а) при наличии поперечных ребер или при

- 1/2 расстояния в свету между продольными ребрами;
б) при отсутствии поперечных ребер (или при расстояниях между ними, больших, чем расстояния между продольными ребрами) и при

;
в) при консольных свесах полки
при

;
при

;
при

- свесы не учитывают.
Пример 2. Дано: сечение размером b = 300 мм, h = 600 мм; a = 40 мм; изгибающий момент с учетом кратковременных нагрузок M = 200 кН x м; бетон класса B15

; арматура класса A300

.
Требуется определить площадь сечения продольной арматуры.

.
По
табл. 3.2 находим

. Так как

, сжатая арматура по расчету не требуется.
Требуемую площадь сечения растянутой арматуры определяем по
формуле (3.23)

.
Принимаем

.
Пример 3. Дано: сечение размерами b = 300 мм, h = 800 мм; a = 70 мм; растянутая арматура A400

; площадь ее сечения

; бетон класса B25

; изгибающий момент M = 550 кН x м.
Требуется проверить прочность сечения.
Расчет.

. Проверку прочности производим согласно
п. 3.20:
Определим значение x:

.

,
т.е. прочность сечения обеспечена.
Пример 4. Дано: сечение размерами b = 300 мм, h = 800 мм; a = 50 мм; арматура класса A400

; изгибающий момент M = 780 кН x м; бетон класса B15

.
Требуется определить площадь сечения продольной арматуры.
Расчет.

. Требуемую площадь продольной арматуры определяем согласно
п. 3.21. По
формуле (3.22) находим значение

:

.
Так как

(см.
табл. 3.2), при заданных размерах сечения и класса бетона необходима сжатая арматура.

;

.
Пример 5. Дано: сечение размерами b = 300 мм, h = 700 мм; a = 50 мм; a' = 30 мм; бетон класса B30

; арматура A400

; площадь сечения сжатой арматуры

; изгибающий момент M = 580 кН x м.
Требуется определить площадь сечения растянутой арматуры.
Расчет.

. Расчет производим с учетом наличия сжатой арматуры согласно
п. 3.22.
Вычисляем значение

:

.

.
Принимаем

.
Пример 6. Дано: сечение размерами b = 300 мм, h = 700 мм; a = 70 мм; a' = 30 мм; бетон класса B20

; арматура класса A400

; площадь сечения растянутой арматуры

, сжатой -

; изгибающий момент M = 630 кН x м.
Требуется проверить прочность сечения.
Расчет.

. Проверку прочности сечения производим согласно
п. 3.18.

.
т.е. прочность согласно этому условию не обеспечена. Уточним правую часть
условия (3.18) путем замены значения

на

, где

:
т.е. прочность обеспечена.
Тавровые и двутавровые сечения
Пример 7. Дано: сечение размерами

,

, b = 200 мм, h = 400 мм; a = 80 мм; бетон класса B25

, арматура класса A400

; изгибающий момент M = 260 кН x м.
Требуется определить площадь сечения продольной арматуры.
Расчет.

. Расчет производим согласно
п. 3.25 в предположении, что сжатая арматура по расчету не требуется.
т.е. граница сжатой зоны проходит в полке, и расчет производим как для прямоугольного сечения шириной

согласно
п. 3.21.
Вычисляем значение
т.е. сжатая арматура действительно по расчету не требуется.

.
Принимаем

.
Пример 8. Дано: сечение размерами

,

, b = 200 мм, h = 600 мм; a = 65 мм; бетон класса B15

; арматура класса A400

; изгибающий момент M = 270 кН x м.
Требуется определить площадь сечения растянутой арматуры.
Расчет.

. Расчет производим согласно
п. 3.25 в предположении, что сжатая арматура по расчету не требуется.
Так как
граница сжатой зоны проходит в ребре и площадь сечения растянутой арматуры определим по
формуле (3.33), принимая площадь сечения свесов равной

. Вычисляем значение

при

следовательно, сжатая арматура не требуется.

.
Принимаем

.
Пример 9. Дано: сечение размерами

,

, b = 200 мм, h = 600 мм; a = 70 мм, бетон класса B25

; растянутая арматура класса A400

; площадь ее сечения

;

; изгибающий момент M = 300 кН x м.
Требуется проверить прочность сечения.
Расчет.

. Проверку прочности производим согласно
п. 3.23, принимая

. Так как

, граница сжатой зоны проходит в ребре, и прочность сечения проверяем из
условия (3.28).
Для этого по
формуле (3.29) определим высоту сжатой зоны, приняв площадь свесов равной

:
т.е. прочность сечения обеспечена.
Элементы, работающие на косой изгиб
3.27. Расчет прямоугольных, тавровых, двутавровых и Г-образных сечений элементов, работающих на косой изгиб, допускается производить, принимая форму сжатой зоны по
черт. 3.5; при этом должно выполняться условие

, (3.35)
где

- составляющая изгибающего момента в плоскости оси x (за оси x и y принимаются две взаимно перпендикулярные оси, проходящие через центр тяжести сечения растянутой арматуры параллельно сторонам сечения; для сечения с полкой ось x принимается параллельно плоскости ребра);

; (3.36)

- площадь сечения сжатой зоны бетона, равная

; (3.37)

- площадь наиболее сжатого свеса полки;

- размер сжатой зоны бетона по наиболее сжатой боковой стороне сечения, определяемый по формуле

, (3.38)
где

;

,

- статические моменты площади

относительно соответственно оси x и y;

- угол наклона плоскости действия изгибающего момента к оси x, т.е.

(

- составляющая изгибающего момента в плоскости оси y);

- расстояние от центра тяжести сечения растянутой арматуры до наиболее сжатой боковой грани ребра (стороны).
Черт. 3.5 Форма сжатой зоны в поперечном сечении
железобетонного элемента, работающего на косой изгиб
а - таврового сечения; б - прямоугольного
сечения; 1 - плоскость действия изгибающего момента;
2 - центр тяжести сечения растянутой арматуры
При расчете прямоугольных сечений значения

,

,

принимаются равными нулю.
Если

или

, расчет производится как для прямоугольного сечения шириной

.
Если выполняется условие

(3.39)
(где

- ширина наименее сжатого свеса полки), расчет производится без учета косого изгиба, т.е. по формулам
пп. 3.18 и
3.23 на действие момента

, при этом следует проверить
условие (3.40), принимая

, как при косом изгибе.
При определении значения

по
формуле (3.37) напряжение в растянутом стержне, ближайшем к границе сжатой зоны, не должно быть менее

, что обеспечивается соблюдением условия

, (3.40)

и

- расстояния от рассматриваемого стержня соответственно до наиболее сжатой грани (стороны) и до наиболее сжатой грани, нормальной к оси x (см.
черт. 3.5);

- ширина наиболее сжатого свеса;

- угол наклона прямой, ограничивающей сжатую зону, к оси y;
значение

определяется по формуле

.
Если
условие (3.40) не соблюдается, расчет сечения производится последовательными приближениями, заменяя в
формуле (3.37) для каждого растянутого стержня величину

значениями напряжений, равными

(МПа), но не более

.
При проектировании конструкций не рекомендуется допускать превышение значения

над

более чем на 20%, при этом можно провести только один повторный расчет с заменой в
формуле (3.37) значений

для растянутых стержней, для которых

, на напряжения, равные

. (3.41)
При пользовании
формулой (3.37) за растянутую арматуру площадью

рекомендуется принимать арматуру, располагаемую вблизи растянутой грани, параллельной оси y, а за сжатую арматуру площадью

- арматуру, располагаемую вблизи сжатой грани, параллельно оси y, но по одну наиболее сжатую сторону от оси x (см.
черт. 3.5).
Настоящим пунктом можно пользоваться, если выполняется условие:
для прямоугольных, тавровых и Г-образных сечений с полкой в сжатой зоне

;
для двутавровых, тавровых и Г-образных сечений с полкой в растянутой зоне

,
где

и

- высота и ширина наименее растянутого свеса полки (черт. 3.6).
Черт. 3.6. Тавровое сечение со сжатой зоной,
заходящей в наименее растянутый свес полки
В противном случае расчет производится на основе нелинейной деформационной модели согласно
пп. 3.72 -
3.76, принимая N = 0.
3.28. Требуемое количество растянутой арматуры при косом изгибе для элементов прямоугольного, таврового и Г-образного сечений с полкой в сжатой зоне рекомендуется определять с помощью графиков на
черт. 3.7. Для этого ориентировочно задаются положением центра тяжести сечения растянутой арматуры и по графику определяют значения

, в зависимости от:

;

,
где

и

- статические моменты площади

относительно соответственно оси y и оси x.
Остальные обозначения - см.
п. 3.27.
Черт. 3.7. График несущей способности
прямоугольного, таврового и Г-образного
сечений для элементов, работающих на косой изгиб
Если

, расчет производится как для прямоугольного сечения, принимая

.
Если значение

на графике находится по левую сторону от кривой, отвечающей параметру

, подбор арматуры производится без учета косого изгиба, т.е. согласно
пп. 3.22 и
3.26 на действие момента

.
Требуемая площадь растянутой арматуры при условии ее работы с полным расчетным сопротивлением определяется по формуле

, (3.42)
Центр тяжести фактически принятой растянутой арматуры должен отстоять от растянутой грани не дальше, чем принятый в расчете центр тяжести. В противном случае расчет повторяют, принимая новый центр тяжести сечения растянутой арматуры.
Условием работы растянутой арматуры с полным сопротивлением является выполнение
условия (3.40).
При арматуре класса A400 и ниже
условие (3.40) всегда выполняется, если значение

на графике 3.7 находится внутри области, ограниченной осями координат и кривой, отвечающей параметру

.
Если
условие (3.40) не выполняется, следует поставить (увеличить) сжатую арматуру, либо повысить класс бетона, либо увеличить размеры сечения (особенно наиболее сжатого свеса полки).
Значения

на графике не должны находиться между осью

и кривой, соответствующей параметру

. В противном случае

становится более h, и расчет тогда следует производить согласно
пп. 3.72 -
3.76.
Пример 10. Дано: железобетонный прогон кровли с уклоном 1:4

; сечение и расположение арматуры - по черт. 3.8; бетон класса B25

; растянутая арматура класса A400

;

;

; изгибающий момент в вертикальной плоскости M = 82,6 кН x м.
1 - плоскость действия изгибающего момента;
2 - центр тяжести сечения растянутой арматуры
Требуется проверить прочность сечения.
Расчет. Из черт. 3.8 следует:

;

;

;

.

.
Площадь наиболее сжатого свеса полки и статические моменты этой площади относительно x и y соответственно равны:

;

;

.
Так как

, расчет продолжаем как для таврового сечения.

.

.

.

,
следовательно, расчет продолжаем по формулам косого изгиба.

;

.
Поскольку все стержни одинакового диаметра, новые значения

,

и

будут равны:

;

;

.
Аналогично определим значения

,

,

и

:

;

;

;

;

.

,
т.е. прочность сечения обеспечена.
Пример 11. По данным примера 10 необходимо подобрать площадь растянутой арматуры при моменте в вертикальной плоскости M = 64 кН x м.
Расчет. Составляющие изгибающего момента в плоскости осей y и x равны:

;

.
Определим необходимое количество арматуры согласно
п. 3.28.
Принимая значения

,

,

и

из
примера 10 при

, находим значения

и

:

;

.
Так как

, расчет продолжаем для таврового сечения.
Поскольку точка с координатами

и

на графике
черт. 3.7 находится по правую сторону от кривой, отвечающей параметру

, и по левую сторону от кривой, отвечающей параметру

, расчет продолжаем с учетом косого изгиба и полного расчетного сопротивления арматуры, т.е.
условие (3.40) выполнено.
На графике координатам

и

соответствует значение

. Тогда согласно
формуле (3.42) площадь сечения растянутой арматуры будет равна

.
Принимаем стержни

и располагаем их, как показано на
черт. 3.8.
РАСЧЕТ ЖЕЛЕЗОБЕТОННЫХ ЭЛЕМЕНТОВ ПРИ ДЕЙСТВИИ ПОПЕРЕЧНЫХ СИЛ
3.29. Расчет элементов при действии поперечных сил должен обеспечить прочность:
- по полосе между наклонными сечениями согласно
п. 3.30;
- на действие поперечной силы по наклонному сечению согласно
пп. 3.31 -
3.42;
- на действие момента по наклонному сечению согласно
пп. 3.43 -
3.48.
Расчет железобетонных элементов
по полосе между наклонными сечениями
3.30. Расчет изгибаемых элементов по бетонной полосе между наклонными сечениями производят из условия

, (3.43)
где Q - поперечная сила в нормальном сечении, принимаемая на расстоянии от опоры не менее

.
Расчет железобетонных элементов по наклонным
сечениям на действие поперечных сил
Элементы постоянной высоты, армированные
хомутами, нормальными к оси элемента
3.31. Расчет изгибаемых элементов по наклонному сечению
(черт. 3.9) производят из условия

, (3.44)
где Q - поперечная сила в наклонном сечении с длиной проекции c от внешних сил, расположенных по одну сторону от рассматриваемого наклонного сечения; при вертикальной нагрузке, приложенной к верхней грани элемента, значение Q принимается в нормальном сечении, проходящем на расстоянии c от опоры; при этом следует учитывать возможность отсутствия временной нагрузки на приопорном участке длиной c;

- поперечная сила, воспринимаемая бетоном в наклонном сечении;

- поперечная сила, воспринимаемая хомутами в наклонном сечении.
Черт. 3.9. Схема усилий в наклонном сечении элементов
с хомутами при расчете его на действие поперечной силы
Поперечную силу

определяют по формуле

, (3.45)
где

. (3.46)
Значение

принимают не более

и не менее

.
Значение c определяют согласно
п. 3.32.
Усилие

определяют по формуле

, (3.47)
где

- усилие в хомутах на единицу длины элемента, равное

, (3.48)

- длина проекции наклонной трещины, принимаемая равной c, но не более

.
Хомуты учитывают в расчете, если соблюдается условие

. (3.49)
Можно не выполнять это условие, если в
формуле (3.46) учитывать такое уменьшенное значение

, при котором условие (3.49) превращается в равенство, т.е. принимать

.
3.32. При проверке
условия (3.44) в общем случае задаются рядом наклонных сечений при различных значениях c, не превышающих расстояние от опоры до сечения с максимальным изгибающим моментом и не более

.
При действии на элемент сосредоточенных сил значения c принимают равными расстояниям от опоры до точек приложения этих сил
(черт. 3.10), а также равными

, но не меньше

, если это значение меньше расстояния от опоры до 1-го груза.
Черт. 3.10. Расположение расчетных
наклонных сечений при сосредоточенных силах
1 - наклонное сечение, проверяемое на действие
поперечной силы

; 2 - то же, силы

При расчете элемента на действие равномерно распределенной нагрузки q невыгоднейшее значение c принимают равным

, а если при этом

или

, следует принимать

, где значение

определяют следующим образом:
а) если действует сплошная равномерно распределенная нагрузка q,

;
б) если нагрузка q включает в себя временную нагрузку, которая приводится к эквивалентной по моменту равномерно распределенной нагрузке

(т.е. когда эпюра моментов M от принятой в расчете нагрузки

всегда огибает эпюру M от любой фактической временной нагрузки),

.
При этом в
условии (3.44) значение Q принимают равным

, где

- поперечная сила в опорном сечении.
3.33. Требуемая интенсивность хомутов, выражаемая через

(см.
п. 3.31), определяется следующим образом:
а) при действии на элемент сосредоточенных сил, располагаемых на расстояниях

от опоры, для каждого i-го наклонного сечения с длиной проекции

, не превышающей расстояния до сечения с максимальным изгибающим моментом, значение

определяется следующим образом в зависимости от коэффициента

, принимаемого не более 3:
если

,

; (3.50)
если

,

, (3.51)
где

- меньшее из значений

и 2;

- поперечная сила в i-ом нормальном сечении, расположенном на расстоянии

от опоры;
окончательно принимается наибольшее значение

;
б) при действии на элемент только равномерно распределенной нагрузки q требуемая интенсивность хомутов

определяется в зависимости от

следующим образом:
если

,

; (3.52)
если

,

; (3.53)
при этом, если

,

, (3.54)
В случае, если полученное значение

не удовлетворяет
условию (3.49), его следует вычислять по формуле

(3.55)
и принимать не менее

.
3.34. При уменьшении интенсивности хомутов от опоры к пролету с

до

(например, увеличении шага хомутов) следует проверить
условие (3.44) при значениях c, превышающих

- длину участка с интенсивностью хомутов
(черт. 3.11). При этом значение

принимается равным:
если

,

; (3.56)
если

,

, (3.57)
Черт. 3.11. К расчету наклонных сечений
при изменении интенсивности хомутов
При действии на элемент равномерно распределенной нагрузки длина участка с интенсивностью хомутов

принимается не менее значения

, определяемого в зависимости от

следующим образом:
- если

,

, (3.58)
где

, но не более

,
при этом, если

,

;
если

,

; (3.59)

.
Если для значения

не выполняется
условие (3.49), длина

вычисляется при скорректированных согласно
п. 3.31 значениях

и

; при этом сумма

в
формуле (3.59) принимается не менее нескорректированного значения

.
3.35. Шаг хомутов, учитываемых в расчете, должен быть не более значения:

. (3.60)
Кроме того, хомуты должны отвечать конструктивным требованиям, приведенным в
пп. 5.20 и
5.21.
Элементы переменной высоты с поперечным армированием
3.36. Расчет элементов с наклонными на приопорных участках сжатыми или растянутыми гранями производят согласно
п. 3.31, принимая в качестве рабочей высоты сечения наибольшее значение

в пределах рассматриваемого наклонного сечения (черт. 3.12).
Черт. 3.12. Балки с переменной
высотой сечения и наклонной гранью
3.37. Для балок без отгибов высотой, равномерно увеличивающейся от опоры к пролету, рассчитываемых на действие равномерно распределенной нагрузки q, наклонное сечение проверяют из
условия (3.44) при невыгоднейшем значении c, равном

, (3.61)
при этом, если это значение c меньше

или если

, то невыгоднейшее значение c равно

. (3.62)
Принятое значение c не должно превышать

, а также длину участка балки с постоянным значением

.
Здесь:

- рабочая высота опорного сечения балки;

- угол между сжатой и растянутой гранями балки.
Рабочую высоту принимают равной

.
При уменьшении интенсивности хомутов от

у опоры до

в пролете следует проверить
условие (3.44) при значениях c, превышающих

- длину участка элемента с интенсивностью хомутов

, при этом значение

определяют по
формуле (3.56) либо по
формуле (3.57) п. 3.34 в зависимости от выполнения или невыполнения условия

.
При действии на балку сосредоточенных сил значение c принимают равным расстоянию от опоры до точек приложения этих сил, а также определяют по
формуле (3.62) при

, если это значение c меньше расстояния от опоры до 1-го груза.
3.38. Для консолей без отгибов высотой, равномерно увеличивающейся от свободного конца к опоре
(черт. 3.13), в общем случае проверяют
условие (3.44), задаваясь наклонными сечениями со значениями c, определяемыми по
формуле (3.62) при

и принимаемыми не более расстояния от начала наклонного сечения в растянутой зоне до опоры. При этом за

и Q принимают соответственно рабочую высоту и поперечную силу в начале наклонного сечения в растянутой зоне. Кроме того, если

, проверяют наклонные сечения, проведенные до опоры.
Черт. 3.13. Консоль высотой,
уменьшающейся от опоры к свободному концу
При действии на консоль сосредоточенных сил начало наклонного сечения располагают в растянутой зоне нормальных сечений, проведенных через точки приложения этих сил (см.
черт. 3.13).
При действии равномерно распределенной нагрузки или нагрузки, линейно увеличивающейся к опоре, консоль рассчитывают как элемент с постоянной высотой сечения согласно
пп. 3.31 и
3.32, принимая рабочую высоту

в опорном сечении.
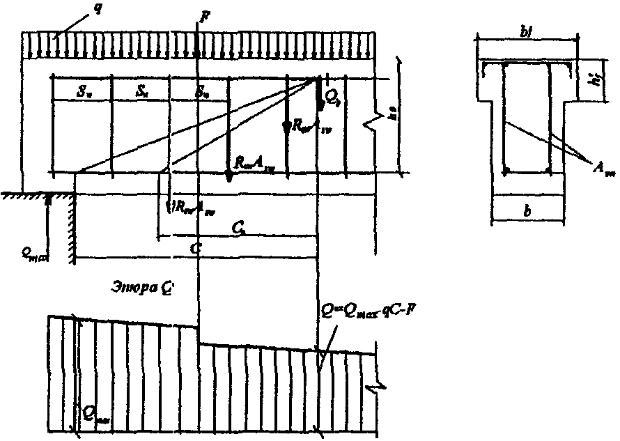
Элементы, армированные отгибами
3.39. Проверку прочности наклонного сечения на действие поперечной силы для элемента с отгибами производят из
условия (3.44) с добавлением к правой его части значения

, (3.63)
где

- площадь сечения отгибов, пересекающих наклонную трещину, расположенную у конца наклонного сечения с длиной проекции, равной c, но не более

(черт. 3.14);

- угол наклона отгибов к продольной оси элемента.
Черт. 3.14. К определению наиболее опасной
наклонной трещины для элементов с отгибами
при расчете на действие поперечной силы
Значения c принимают равными расстояниям от опоры до концов отгибов, а также до мест приложения сосредоточенных сил; кроме того, следует проверить наклонные сечения, заканчивающиеся на расстоянии

от начала предпоследней и последней плоскости отгибов (черт. 3.15).
Черт. 3.15. К определению наклонных
сечений в элементе с отгибами
1 - 4 - расчетные наклонные сечения
3.40. Расстояния между опорой и концом отгиба, ближайшего к опоре

, а также между концом предыдущего и началом последующего отгибов

(черт. 3.16) должно быть не более

.
Черт. 3.16. Расстояния между хомутами, опорой и отгибами
Кроме того, отгибы должны удовлетворять конструктивным требованиям, приведенным в
п. 5.22.
Элементы без поперечной арматуры
3.41. Расчет элементов без поперечной арматуры на действие поперечной силы производится из условий
а)

, (3.64)
где

- максимальная поперечная сила у грани опоры;
б)

, (3.65)
где Q - поперечная сила в конце наклонного сечения, начинающегося от опоры; значение c принимается не более

.
Для сплошных плоских плит с несвободными краями (соединенными с другими элементами или имеющими опоры) и шириной b > 5h допускается принимать

.
При действии на элемент сосредоточенных сил значения c принимаются равными расстояниям от опоры до точек приложения этих сил (черт. 3.17), но не более

.
Черт. 3.17. Расположение невыгоднейших наклонных
сечений в элементах без поперечной арматуры
1 - наклонное сечение, проверяемое на действие
поперечной силы

; 2 - то же, силы

При расчете элемента на действие распределенных нагрузок, если выполняется условие

, (3.66)

, (3.67)
(что соответствует

,

. (3.67а)
Здесь

принимается при действии равномерно распределенной нагрузки в соответствии с
п. 3.32, а при действии сплошной нагрузки с линейно изменяющейся интенсивностью - равной средней интенсивности на приопорном участке длиной, равной четверти пролета балки (плиты) или половины вылета консоли, но не более

.
3.42. Для элементов с переменной высотой сечения при проверке
условия (3.64) значение

принимается в опорном сечении, а при проверке
условия (3.65) - как среднее значение

в пределах наклонного сечения.
Для элементов с высотой сечения, увеличивающейся с увеличением поперечной силы, значение

принимается равным

, а для плоских плит, указанных в
п. 3.41,

, где

- рабочая высота в опорном сечении;

- угол между растянутой и сжатой гранями.
При действии на такой элемент распределенной нагрузки значение c в
условии (3.65) принимается равным

, (3.68)
Расчет железобетонных элементов по наклонным
сечениям на действие моментов
3.43. Расчет железобетонных элементов по наклонным сечениям на действие момента
(черт. 3.18) производят из условия

, (3.69)
где M - момент в наклонном сечении с длиной проекции c на продольную ось элемента, определяемый от всех внешних сил, расположенных по одну сторону от рассматриваемого наклонного сечения, относительно конца наклонного сечения (точка 0), противоположного концу, у которого располагается проверяемая продольная арматура, испытывающая растяжение от момента в наклонном сечении
(черт. 3.19);

- момент, воспринимаемый продольной арматурой, пересекающей наклонное сечение, относительно противоположного конца наклонного сечения;

- момент, воспринимаемый поперечной арматурой, пересекающей наклонное сечение, относительно противоположного конца наклонного сечения (точка 0).
Черт. 3.18. Схема усилий в наклонном сечении
при расчете его по изгибающему моменту
Черт. 3.19. Определение расчетного значения
момента при расчете наклонного сечения
а - для свободно опертой балки; б - для консоли
Момент

определяют по формуле

, (3.70)
где

- усилие в продольной растянутой арматуре, принимаемое равным

, а в зоне анкеровки определяемое согласно
п. 3.45;

- плечо внутренней пары сил, определяемое по формуле

(где b - ширина сжатой грани),
но при наличии сжатой арматуры принимаемое не менее

; допускается также принимать

.
Момент

при поперечной арматуре в виде хомутов, нормальных к продольной оси элемента, определяют по формуле

, (3.71)
Если хомуты в пределах длины c меняют свою интенсивность с

у начала наклонного сечения на

, момент

определяют по формуле:

, (3.72)
где

- длина участка с интенсивностью хомутов

.
Значение c определяют согласно
п. 3.46.
3.44. Расчет на действие момента производят для наклонных сечений, расположенных в местах обрыва продольной арматуры, а также у грани крайней свободной опоры балок и у свободного конца консолей при отсутствии у продольной арматуры специальных анкеров.
Кроме того, рассчитываются наклонные сечения в местах резкого изменения высоты элемента (например, в подрезках).
3.45. При пересечении наклонного сечения с продольной растянутой арматурой, не имеющей анкеров в пределах зоны анкеровки, усилие

определяется по формуле:

, (3.73)
где

- расстояние от конца арматуры до точки пересечения с ней наклонного сечения;

- длина зоны анкеровки, равная

,
где

, (3.74)

- расчетное сопротивление сцепления арматуры с бетоном, равное

,

- коэффициент, учитывающий влияние вида поверхности арматуры и принимаемый равным:
2,5 - для арматуры классов A300, A400, A500;
2,0 - для арматуры класса B500;
1,5 - для арматуры класса A240;

- коэффициент, учитывающий влияние диаметра арматуры и принимаемый равным:
1,0 - при диаметре

,
0,9 - при диаметрах 36 и 40 мм;

- коэффициент, учитывающий влияние поперечного обжатия бетона и поперечной арматуры и принимаемый равным:
а) для крайних свободных опор,
если

- 0,75;
если

или

- 1,0,
здесь

;

,

- опорная реакция и площадь опирания балки;
при этом, если имеется поперечная арматура, охватывающая без приварки продольную арматуру, коэффициент

делится на величину

(где

и s - площадь сечения огибающего хомута и его шаг) принимается не менее 0,7;
б) для свободных концов консоли - 1,0.
В любом случае коэффициент

принимается не менее 15, а длина зоны анкеровки

принимается не менее 200 мм.
Для стержней диаметром менее 36 мм значение

можно принимать по табл. 3.3.
Класс арматуры | Коэффициент  | Относительная длина анкеровки арматуры  при бетоне классов |
B10 | B15 | B20 | B25 | B30 | B35 | B40 | B45 | B50 | B55 | B60 |
A240 | 0,7 | 45 | 33 | 28 | 24 | 22 | 19 | 18 | 17 | 16 | 15 | 15 |
0,75 | 48 | 36 | 36 | 26 | 23 | 21 | 19 | 18 | 17 | 16 | 15 |
1,0 | 64 | 48 | 40 | 34 | 31 | 28 | 26 | 24 | 22 | 21 | 20 |
A300 | 0,7 | 34 | 25 | 21 | 18 | 16 | 15 | 15 | 15 | 15 | 15 | 15 |
0,75 | 36 | 27 | 23 | 19 | 18 | 16 | 15 | 15 | 15 | 15 | 15 |
1,0 | 48 | 36 | 30 | 26 | 23 | 21 | 19 | 18 | 17 | 16 | 15 |
A400 | 0,7 | 44 | 33 | 28 | 24 | 22 | 19 | 18 | 17 | 16 | 15 | 15 |
0,75 | 48 | 36 | 30 | 25 | 23 | 20 | 19 | 18 | 17 | 16 | 15 |
1,0 | 63 | 47 | 39 | 34 | 31 | 27 | 25 | 24 | 22 | 21 | 20 |
A500 | 0,7 | 54 | 41 | 34 | 29 | 26 | 23 | 22 | 20 | 19 | 18 | 17 |
0,75 | 58 | 44 | 36 | 31 | 28 | 25 | 23 | 22 | 20 | 19 | 18 |
1,0 | 78 | 58 | 48 | 41 | 38 | 33 | 31 | 29 | 27 | 26 | 24 |
B500 | 0,7 | 65 | 48 | 40 | 35 | 32 | 28 | 26 | 24 | 23 | 21 | 20 |
0,75 | 69 | 52 | 43 | 37 | 34 | 30 | 28 | 26 | 24 | 23 | 22 |
1,0 | 93 | 69 | 58 | 49 | 45 | 40 | 37 | 35 | 32 | 31 | 29 |
Примечание. При расчете с учетом только постоянных и длительных нагрузок значения  следует делить на  . |
В случае приваривания к продольным растянутым стержням поперечной или распределительной арматуры усилие

увеличивается на величину

, (3.75)
принимаемую не более

.
Здесь:

- количество приваренных стержней по длине

;

- коэффициент, принимаемый по табл. 3.4;

- диаметр привариваемых стержней.
dw | 6 | 8 | 10 | 12 | 14 |
| 200 | 150 | 120 | 100 | 80 |
При этом значение

принимается не более значения, вычисленного по
формуле (3.73) с использованием при определении

коэффициента

.
При устройстве на концах стержней специальных анкеров в виде пластин, шайб, гаек, уголков, высаженных головок и т.п., удовлетворяющих требованиям
п. 5.35, а также при приварке концов стержней к надежно заанкеренным закладным деталям усилие

принимается равным

.
3.46. Для свободно опертых балок невыгоднейшее наклонное сечение начинается от грани опоры и имеет проекцию c, принимаемую не более

и определяемую следующим образом:
а) если на элемент действуют сосредоточенные силы, значения c принимаются равными расстояниям от опоры до точек приложения этих сил, а также равными

, если это значение меньше расстояния до 1-го груза;
б) если на элемент действует равномерно распределенная нагрузка q, значение c определяется по формуле:

, (3.76)
Если хомуты в пределах длины c меняют свою интенсивность с

у начала наклонного сечения на

, значение c определяется по
формуле (3.76) при уменьшении числителя на

, а знаменателя - на

(где

- длина участка с интенсивностью

,

).
Для балок с наклонной сжатой гранью при действии равномерно распределенной нагрузки проверяют наклонные сечения со значениями c, равными

,

, (3.77)
где

- рабочая высота в опорном сечении;

- угол наклона сжатой грани к горизонтали.
При растянутой грани, наклоненной под углом

к горизонтали, в этих формулах значение

заменяется на

.
Для консолей, нагруженных сосредоточенными силами
(черт. 3.19, б), проверяются наклонные сечения, начинающиеся у мест приложения сосредоточенных сил вблизи свободного конца со значениями

(где

- поперечная сила в начале наклонного сечения), но не более

- расстояния от начала наклонного сечения до опоры. При этом, если

, следует принимать

. Если такие консоли имеют наклонную сжатую грань, значение

заменяется на

.
Для консолей, нагруженных только равномерно распределенной нагрузкой q, невыгоднейшее сечение заканчивается в опорном сечении и имеет длину проекции

, (3.78)
но не более

.
В случае, если

, расчет наклонного сечения можно не производить.
Здесь:

- площадь сечения арматуры, доводимой до свободного конца;
При отсутствии поперечной арматуры значение c принимают равным

, где

- рабочая высота в конце наклонного сечения.
3.47. Для обеспечения прочности наклонных сечений на действие момента в элементах постоянной высоты с хомутами продольные растянутые стержни, обрываемые в пролете, должны заводиться за точку теоретического обрыва (т.е. за нормальное сечение, в котором внешний момент становится равным предельному моменту

без учета обрываемой арматуры,
черт. 3.20) на длину не менее величины w, определяемой по формуле

; (3.79)
при этом, если

,

, (3.80)
где Q - поперечная сила в нормальном сечении, проходящем через точку теоретического обрыва;

- диаметр обрываемого стержня.
Черт. 3.20. Обрыв растянутых стержней в пролете
1 - точка теоретического обрыва; 2 - эпюра M
Для балки с наклонной сжатой гранью при

величина w принимается равной

, (3.81)
при этом, если

,

, (3.82)
где

;

- угол наклона грани к горизонтали.
Для балки с наклонной растянутой гранью w определяется аналогично с заменой

на

.
Для элементов без поперечной арматуры значение w принимают равным

.
3.48. Для обеспечения прочности наклонных сечений на действие момента начало отгиба в растянутой зоне должно отстоять от нормального сечения, в котором отгибаемый стержень полностью используется по моменту, не менее чем на

, а конец отгиба должен быть расположен не ближе того нормального сечения, в котором отгиб не требуется по расчету (черт. 3.21).
Черт. 3.21. К определению места отгиба
продольной растянутой арматуры
Расчет наклонных сечений на действие поперечных сил
Пример 12. Дано: ребро ТТ-образной плиты перекрытия с размерами сечения: h = 350 мм, b = 85 мм; a = 35 мм; бетон класса B15 (

,

); ребро армировано плоским каркасом с поперечными стержнями из арматуры класса A400

диаметром 8 мм

шагом

; полная равномерно распределенная нагрузка, действующая на ребро, q = 21,9 кН/м; временная эквивалентная нагрузка

; поперечная сила на опоре

.
Требуется проверить прочность наклонных сечений и бетонной полосы между наклонными сечениями.

,
т.е. прочность полосы обеспечена.
Прочность наклонного сечения по поперечной силе проверим согласно
п. 3.31.

.

.
Согласно
п. 3.32 определим длину проекции невыгоднейшего наклонного сечения c

.
Поскольку

, значение c определяем по формуле

.
Принимаем

. Тогда

.

.

.

,
т.е. прочность наклонных сечений обеспечена.

,
т.е. требование выполнено. Условия
п. 5.21 
и

также выполнены.
Пример 13. Дано: свободно опертая балка перекрытия с размерами сечения: b = 200 мм, h = 400 мм;

; бетон класса B25

; хомуты двухветвевые диаметром 8 мм

с шагом

; арматура класса A240

; временная эквивалентная по моменту нагрузка

, постоянная нагрузка

; поперечная сила на опоре

.
Требуется проверить прочность наклонных сечений.
Расчет. Прочность наклонных сечений проверяем согласно
п. 3.31. По
формуле (3.48) определим интенсивность хомутов

.

.
Согласно
п. 3.32 определяем длину проекции невыгоднейшего наклонного сечения:

.
Поскольку

,
значение c принимаем равным

. Тогда

и

;

;

.

,
т.е. прочность наклонных сечений обеспечена.
Пример 14. Дано: свободно опертая балка перекрытия пролетом l = 5,5 м; полная равномерно распределенная нагрузка на балку q = 50 кН/м; временная эквивалентная нагрузка

; размеры поперечного сечения b = 200 мм, h = 400 мм;

; бетон класса B15

; хомуты из арматуры класса A240

.
Требуется определить диаметр и шаг хомутов у опоры, а также выяснить, на каком расстоянии и как может быть увеличен шаг хомутов.
Расчет. Наибольшая поперечная сила в опорном сечении равна

.
Определим требуемую интенсивность хомутов приопорного участка согласно
п. 3.33, б.

.

.

.

.
Согласно
п. 5.21 шаг хомутов

у опоры должен быть не более

и 300 мм, а в пролете -

и 500 мм. Максимально допустимый шаг у опоры согласно
п. 3.35 равен

.
Принимаем шаг хомутов у опоры

, а в пролете 250 мм. Отсюда

.
Принимаем в поперечном сечении два хомута по 10 мм

.
Таким образом, принятая интенсивность хомутов у опоры и в пролете соответственно равны:

;

.

и

.
Следовательно, значения

и

не корректируем.
Определим, согласно
п. 3.34, длину участка

с интенсивностью хомутов

. Так как

, значение

вычислим по
формуле (3.59), приняв

:

.
Принимаем длину участка с шагом хомутов

равной 0,9 м.
Пример 15. Дано: балка покрытия, нагруженная сосредоточенными силами, как показано на черт. 3.22, а; размеры сечения - по черт. 3.22, б; бетон класса B15

; хомуты из арматуры класса A240

.
Требуется определить диаметр и шаг хомутов, а также выяснить, на каком расстоянии от опоры и как может быть увеличен шаг хомутов.
Расчет.

.
Определим требуемую интенсивность хомутов

согласно
п. 3.33, а, принимая длину проекции сечения c равной расстоянию от опоры до первого груза -

. Тогда

, и следовательно,

.
Определяем

.
Согласно
черт. 3.22 поперечная сила на расстоянии

от опоры равна

. Тогда

, и, следовательно,

определяем по
формуле (3.51):

.
Определим

при значении c, равном расстоянию от опоры до второго груза -

:

; принимаем

.
Поскольку

, принимаем

.

.
Соответствующая поперечная сила равна

. Тогда

,
и, следовательно,

.
Принимаем максимальное значение

. Из условия сварки принимаем диаметр хомутов 8 мм

. Тогда максимально допустимый шаг хомутов на приопорном участке равен

.
Принимаем

. Назначаем шаг хомутов в пролете равным

. Тогда интенсивность хомутов приопорного участка

,
а пролетного участка

.
Зададим длину участка с шагом хомутов

равной расстоянию от опоры до первого груза -

и проверим
условие (3.44) при значении c, равном расстоянию от опоры до второго груза - c = 2850 мм. Но поскольку

, принимаем c = 2430 мм. Значение

определяем согласно
п. 3.34.
Так как

, значение

определяем по
формуле (3.56). При этом, поскольку

,

.
При

.
Поперечная сила на расстоянии c = 2430 мм от опоры
(черт. 3.22) равна

.

,
т.е. прочность этого наклонного сечения обеспечена.
Большее значение c не рассматриваем, поскольку при этом поперечная сила резко уменьшается.
Таким образом, длину участка с шагом хомутов

принимаем равной 1,35 м.
Пример 16. Дано: двухскатная балка пролетом 8,8 м
(черт. 3.23, а); сплошная равномерно распределенная нагрузка на балку q = 46 кН/м; размеры опорного сечения по черт. 3.23, б; бетон класса B20

; хомуты из арматуры класса A400

диаметром 10 мм

шагом

.
Требуется проверить прочность наклонного сечения по поперечной силе.
Расчет. Рабочая высота опорного сечения равна

(см. черт 3.23, б). По
формуле (3.48) определим интенсивность хомутов

.
Определим проекцию невыгоднейшего наклонного сечения c согласно
п. 3.37. Из
черт. 3.23, а имеем

, b = 100 мм,

;

.

.
Рабочая высота поперечного сечения

на расстоянии c = 444 мм от опоры равна

.
Поскольку

,

;

;

.
Проверим
условие (3.44), принимая поперечную силу в конце наклонного сечения равной

;

,
т.е. прочность наклонных сечений по поперечной силе обеспечена.
Пример 17. Дано: консоль размерами по
черт. 3.24, сосредоточенная сила на консоли F = 130 кН, расположенная на расстоянии

от опоры; бетон класса B15

; хомуты двухветвевые диаметром 8 мм

из арматуры класса A240

шагом

.
Требуется проверить прочность наклонных сечений по поперечной силе.
Расчет. Согласно
п. 3.38 проверяем из
условия (3.44) невыгоднейшее наклонное сечение, начинающееся от места приложения сосредоточенной силы, при значении c, определенном по
формуле (3.62) при

и

.
Рабочая высота в месте приложения сосредоточенной силы равна

(см.
черт. 3.24);

.
Значение

равно

;
Поскольку

, оставляем c = 469,4 мм.
Определим рабочую высоту

в конце наклонного сечения

.
Поскольку

,

.

;

;

,
т.е. прочность наклонных сечений по поперечной силе обеспечена.
Пример 18. Дано: сплошная плита днища резервуара без поперечной арматуры размером 3 x 6 м толщиной h = 160 мм, монолитно связанная по периметру с балками; полная равномерно распределенная нагрузка 50 кН/м2; бетон класса B15

.
Требуется проверить прочность плиты на действие поперечной силы.
Расчет.

. Расчет проводим для полосы шириной b = 1,0 м = 1000 мм, пролетом l = 3 м. Тогда q = 50 x 1,0 = 50 кН/м, а поперечная сила на опоре равна

.

.

,
т.е. прочность плиты по поперечной силе обеспечена.
Пример 19. Дано: панель стенки резервуара консольного типа с переменной толщиной от 262 (в заделке) до 120 мм (на свободном конце) вылетом 4,25 м; боковое давление грунта, учитывающее нагрузку от транспортных средств на поверхности грунта, линейно убывает от

в заделке до q = 6 кН/м2 на свободном конце; a = 22 мм; бетон класса B15

.
Требуется проверить прочность панели на действие поперечной силы.
Расчет. Рабочая высота сечения панели в заделке равна

.
Определим

(

- угол между растянутой и сжатой гранями):

.
Проверим условия
п. 3.41. Поперечная сила в заделке равна

.
Расчет производим для полосы панели шириной b = 1,0 м = 1000 мм.

,
т.е. условие выполняется.
Поскольку панели связаны друг с другом, а ширина стенки резервуара заведомо больше 5h, значение

определяем по формуле

.
Средняя интенсивность нагрузки на приопорном участке длиной

равна

.
Поскольку
принимаем

.
Определим рабочую высоту сечения на расстоянии c/2 от опоры (т.е. среднее значение

в пределах длины c):

.
Поперечная сила на расстоянии c = 554 мм от опоры равна:

.

,
т.е. прочность панели по поперечной силе обеспечена.
Расчет наклонных сечений на действие момента
Пример 20. Дано: свободно опертая балка пролетом l = 5,5 м с равномерно распределенной нагрузкой q = 29 кН/м; конструкция приопорного участка балки принята по
черт. 3.25; бетон класса B15

; продольная арматура без анкеров класса A400

площадью сечения

; хомуты из арматуры класса A240

диаметром 8 мм шагом

приварены к продольным стержням.
Требуется проверить прочность наклонных сечений на действие момента.
Расчет.

. Поскольку растянутая арматура не имеет анкеров, расчет наклонных сечений на действие момента необходим.
Принимаем начало наклонного сечения у грани опоры. Отсюда

(см.
черт. 3.25).
Опорная реакция балки равна

,
а площадь опирания балки

, откуда

,

, следовательно,

. Из
табл. 3.3 при классе бетона B15, классе арматуры A400 и

находим

. Тогда длина анкеровки равна

.

.
Поскольку к растянутым стержням в пределах длины

приварены 4 вертикальных и 2 горизонтальных поперечных стержня (см.
черт. 3.25), увеличим усилия

на величину

.

.
Отсюда

.
Определяем максимально допустимое значение

. Из
табл. 3.3 при

находим

; тогда

, т.е. оставляем

.
Определим плечо внутренней пары сил

.
Тогда момент, воспринимаемый продольной арматурой, равен

.

.
Определяем длину проекции невыгоднейшего наклонного сечения по
формуле (3.76), принимая значение

равным опорной реакции балки, т.е.

.

.
Тогда момент, воспринимаемый поперечной арматурой, равен

.
Момент в наклонном сечении определяем как момент в нормальном сечении, расположенном в конце наклонного сечения, т.е. на расстоянии от точки приложения опорной реакции, равной

.

.

,
т.е. прочность наклонных сечений по изгибающему моменту обеспечена.
Пример 21. Дано: ригель многоэтажной рамы с эпюрами моментов и поперечных сил от равномерно распределенной нагрузки q = 228 кН/м по
черт. 3.26; бетон класса B25; продольная и поперечная арматура класса A400 (

,

); поперечное сечение приопорного участка - по черт. 3.26; хомуты трехветвевые диаметром 10 мм

шагом

, равным 150 мм.
Требуется определить расстояние от левой опоры до места обрыва первого стержня верхней арматуры.
Расчет. Из черт. 3.26 имеем:

; a' = 50 мм; площадь сечения верхней растянутой арматуры без учета одного обрываемого стержня

;

. Определим предельный момент, соответствующий этой арматуре по
формуле (3.19), поскольку

, т.е. x < 0:

.
По эпюре моментов определяем расстояние от опоры до места теоретического обрыва первого стержня из уравнения

,
откуда

, где

;

;

.
Поперечная сила в месте теоретического обрыва равна

.
Определим величину


.
Поскольку

, длину w, на которую надо завести обрываемый стержень за точку теоретического обрыва, определяем по
формуле (3.79)

.
Следовательно, расстояние от опоры до места обрыва стержня может быть принято равным x + w = 355 + 761 = 1116 мм.
Определим необходимое расстояние

от места обрыва стержня до опорного сечения, предполагая полное использование этого стержня в опорном сечении. Для этого по
табл. 3.3 при

, классе бетона B25, классе арматуры A400 находим

. Тогда

.
Следовательно, обрываем стержень на расстоянии 1116 мм от опоры.
ВНЕЦЕНТРЕННО СЖАТЫЕ ЭЛЕМЕНТЫ
3.49. При расчете железобетонных элементов на действие сжимающей продольной силы следует учитывать случайный эксцентриситет

, принимаемый не менее:
1/600 длины элемента или расстояния между его сечениями, закрепленными от смещения;
1/30 высоты сечения;
10 мм.
Для элементов статически неопределимых конструкций (в том числе для колонн каркасных зданий) значение эксцентриситета продольной силы относительно центра тяжести приведенного сечения

принимают равным значению эксцентриситета, полученного из статического расчета, но не менее

.
Для элементов статически определимых конструкций (например, фахверковые стойки, стойки ЛЭП и т.п.) эксцентриситет

принимают равным сумме эксцентриситетов - из статического расчета конструкции и случайного.
3.50. Расчет нормальных сечений внецентренно сжатых элементов производят в плоскости эксцентриситета продольной силы (в плоскости изгиба) и отдельно в нормальной к ней плоскости с эксцентриситетом

, равным случайному

(см.
п. 3.49).
Расчет из плоскости изгиба можно не производить, если гибкость элемента

(для прямоугольных сечений -

) в плоскости изгиба превышает гибкость в плоскости, нормальной плоскости изгиба.
Расчет элемента с учетом эксцентриситетов в плоскостях обеих главных осей (косое внецентренное сжатие) следует производить, если оба эти эксцентриситета превышают случайные

.
Во всех случаях эксцентриситеты

определяются с учетом влияния прогиба элемента (см.
пп. 3.53 -
3.55).
3.51. Расчет нормальных сечений внецентренно сжатых элементов в общем случае производят на основе нелинейной деформационной модели согласно
пп. 3.72 -
3.76.
Расчет элементов прямоугольного, таврового и двутаврового сечений с арматурой, расположенной у перпендикулярных плоскости изгиба граней элемента, при направлении эксцентриситета в плоскости симметрии сечения, допускается производить по предельным усилиям согласно
пп. 3.56 -
3.61.
Кроме того, по предельным усилиям можно производить расчет:
- элементов кольцевого и круглого сечений с арматурой, равномерно распределенной по окружности, при числе стержней более 6 согласно
пп. 3.62 -
3.65;
- элементов прямоугольного сечения с арматурой в виде 4-х одинаковых угловых стержней на косое внецентренное сжатие согласно
п. 3.66.
РАСЧЕТ ПРИ ДЕЙСТВИИ ПОПЕРЕЧНЫХ СИЛ
3.52. Расчет внецентренно сжатых элементов при действии поперечных сил производится аналогично расчету изгибаемых элементов в соответствии с
пп. 3.29 -
3.35 и следующих указаний:

, (3.83)
где

, но не менее N;
б) значение поперечной силы, воспринимаемой бетоном в наклонном сечении

, а также правая часть
условия (3.49) умножается на коэффициент

; (3.84)
на этот коэффициент

умножается также связанное с

значение

.
УЧЕТ ВЛИЯНИЯ ПРОГИБА ЭЛЕМЕНТОВ
3.53. Влияние прогиба элемента на момент продольной силы (или ее эксцентриситет

) учитывается, как правило, путем расчета конструкции по деформированной схеме, принимая во внимание неупругие деформации бетона и арматуры, а также наличие трещин.
Допускается производить расчет конструкции по недеформированной схеме, а влияние прогиба элемента учитывать путем умножения моментов на коэффициенты

и

в соответствии с формулой

, (3.85)
где

- момент от вертикальных нагрузок, не вызывающих заметных горизонтальных смещений концов;

- коэффициент, принимаемый равным:
для сечений в концах элемента: при податливой заделке - 1,0;
для прочих сечений - по линейной интерполяции;

- момент от нагрузок, вызывающих горизонтальное смещение концов (ветровых и т.п.);

- момент от вынужденных горизонтальных смещений концов (т.е. смещений, не зависящих от жесткости элемента, например, от температурных деформаций перекрытий и т.п.).
Моменты, используемые в настоящем пункте, допускается определять относительно центра тяжести бетонного сечения.
Примечание. Если вертикальные нагрузки вызывают заметные горизонтальные смещения (например, при несимметричных рамах), то моменты

определяются при фиктивных горизонтальных неподвижных опорах, а моменты от горизонтальных сил, равных реакциям в этих опорах, следует относить к моментам

, т.е. суммировать с моментами от горизонтальных нагрузок.
3.54. Значение коэффициента

при расчете конструкции по недеформированной схеме определяется по формуле

, (3.86)
где

- условная критическая сила, определяемая по формуле

; (3.87)

- расчетная длина элемента, определяемая для коэффициентов

и

согласно соответственно
п. 3.55, а и
п. 3.55, б;
D - жесткость железобетонного элемента в предельной стадии, определяемая по формулам:
для элементов любой формы сечения

; (3.88)
для элементов прямоугольного сечения с арматурой, расположенной у наиболее сжатой и у растянутой (менее сжатой) грани элемента

. (3.89)
I и

- момент инерции соответственно бетонного сечения и сечения всей арматуры относительно центра тяжести бетонного сечения;

- коэффициент, учитывающий влияние длительного действия нагрузки на прогиб элемента и равный

, (3.90)
но не более 2;

и

- моменты внешних сил относительно оси, нормальной к плоскости изгиба и проходящей через центр наиболее растянутого или наименее сжатого (при целиком сжатом сечении) стержня арматуры, соответственно от действия всех нагрузок и от действия постоянных и длительных нагрузок; для элементов, рассчитываемых согласно
пп. 3.56 -
3.61, допускается

и

определять относительно оси, проходящей через центр тяжести всей арматуры S;

- коэффициент, принимаемый равным

, но не менее 0,15 (для кольцевых и круглых сечений значение h заменяется на

);

.
Жесткость D при вычислении коэффициентов

и

определяется с учетом всех нагрузок. В случае необходимости коэффициент

можно снизить, вычисляя жесткость D без учета нагрузок, вызывающих смещение концов.
При гибкости элемента

(для прямоугольных сечений - при

) можно принимать

.
При

следует увеличивать размеры сечения.
3.55. Расчетная длина

принимается равной:
а) при вычислении коэффициента

, а также при расчете элемента на действие продольной силы со случайным эксцентриситетом для элементов:
с шарнирным опиранием на двух концах - 1,0l;
с шарнирным опиранием на одном конце, а на другом конце:
с жесткой заделкой - 0,7l;
с податливой заделкой - 0,9l;
с заделкой на двух концах:
жесткой - 0,5l;
податливой - 0,8l;
с податливой заделкой на одном конце и с жесткой заделкой на другом - 0,7l;
б) при вычислении коэффициента

для элементов:
с шарнирным опиранием на одном конце, а на другом конце:
с жесткой заделкой - 1,5l;
с податливой заделкой - 2,0l;
с заделкой на двух концах:
жесткой - 0,8l;
податливой - 1,2l;
с податливой заделкой на одном конце и с жесткой заделкой на другом - l;
с жесткой заделкой на одном конце и незакрепленным другим концом (консоль) - 2l.
Здесь l - расстояние между концами элемента.
Для конкретных конструкций и сооружений можно принимать иные значения

.
РАСЧЕТ НОРМАЛЬНЫХ СЕЧЕНИЙ ПО ПРЕДЕЛЬНЫМ УСИЛИЯМ
Прямоугольные сечения с симметричной арматурой
3.56. Проверку прочности прямоугольных сечений с симметричной арматурой (когда

) производят из условия

, (3.91)
где M - момент относительно центра тяжести сечения, определяемый с учетом прогиба элементов согласно
пп. 3.53 -
3.55;
x - высота сжатой зоны, принимаемая равной
б) при

-

,
где

определяется по формуле

; (3.92)
здесь

;
Черт. 3.27. Схема усилий в поперечном прямоугольном
сечении внецентренно сжатого элемента
3.57. Требуемое количество симметричной арматуры определяется следующим образом в зависимости от относительной величины продольной силы

:
а) при


, (3.93)
б) при


, (3.94)
где

- относительная высота сжатой зоны, определяемая по
формуле (3.92), где значение

допускается принимать равным

,

;
Если значение a' не превышает

, необходимое количество арматуры можно определять с помощью графика
черт. 3.28, используя формулу
| | ИС МЕГАНОРМ: примечание. Нумерация формул дана в соответствии с официальным текстом документа. | |

, (3.96)
где

определяется по графику черт. 3.28 в зависимости от значений

;

.
Черт. 3.28. Графики несущей способности внецентренно сжатых
элементов прямоугольного сечения с симметричной арматурой
3.58. Расчет сжатых элементов из бетона классов B15 - B35 на действие продольной силы, приложенной с эксцентриситетом, принятым согласно
п. 3.49, равным случайному эксцентриситету

, при

допускается производить из условия

, (3.97)
где

- коэффициент, определяемый по формуле

, (3.98)
но принимаемый не более

.
Здесь

и

- коэффициенты, принимаемые по табл. 3.5 и
3.6.
| Коэффициент  при  |
6 | 8 | 10 | 12 | 14 | 16 | 18 | 20 |
0 | 0,93 | 0,92 | 0,91 | 0,90 | 0,89 | 0,88 | 0,86 | 0,84 |
0,5 | 0,92 | 0,91 | 0,90 | 0,89 | 0,86 | 0,82 | 0,77 | 0,71 |
1,0 | 0,92 | 0,91 | 0,89 | 0,87 | 0,83 | 0,76 | 0,68 | 0,60 |
| Коэффициент  при  |
6 | 8 | 10 | 12 | 14 | 16 | 18 | 20 |
А. При a = a' < 0,15h и при отсутствии промежуточных стержней (см. эскиз) или площади сечения этих стержней менее  |
0 | 0,93 | 0,92 | 0,91 | 0,90 | 0,89 | 0,88 | 0,86 | 0,83 |
0,5 | 0,92 | 0,91 | 0,91 | 0,90 | 0,88 | 0,87 | 0,83 | 0,79 |
1,0 | 0,92 | 0,91 | 0,90 | 0,90 | 0,88 | 0,85 | 0,80 | 0,74 |
Б. При 0,25h > a = a' >= 0,15h или при площади промежуточных стержней (см. эскиз), равной или более  независимо от a |
0 | 0,92 | 0,92 | 0,91 | 0,89 | 0,87 | 0,85 | 0,82 | 0,79 |
0,5 | 0,92 | 0,91 | 0,90 | 0,88 | 0,85 | 0,81 | 0,76 | 0,71 |
1,0 | 0,92 | 0,91 | 0,89 | 0,87 | 0,83 | 0,77 | 0,70 | 0,62 |
|  - продольная сила от действия постоянных и длительных нагрузок; N - продольная сила от всех нагрузок. |

; (3.99)

- площадь сечения всей арматуры в сечении;
Прямоугольные сечения с несимметричной арматурой
3.59. Проверку прочности прямоугольных сечений с несимметричной арматурой производят из
условия (3.91) п. 3.56, определяя высоту сжатой зоны по формуле

; (3.100)
при этом, если

(см.
табл. 3.2), высоту сжатой зоны корректируют, вычисляя по формуле

. (3.101)
3.60. Площади сечения сжатой и растянутой арматуры, соответствующие минимуму их суммы, определяются по формулам:

; (3.102)

, (3.103)
где

и

- определяются по
табл. 3.2 и принимаются не более соответственно 0,4 и 0,55;

.
При отрицательном значении

, вычисленном по
формуле (3.103), площадь сечения арматуры S принимается минимальной по конструктивным требованиям, но не менее величины

, (3.104)
а площадь сечения арматуры S' определяется:
при отрицательном значении

- по формуле

; (3.105)
при положительном значении

- по формуле

. (3.106)
Если принятая площадь сечения сжатой арматуры

значительно превышает ее значение, вычисленное по
формуле (3.102) (например, при отрицательном его значении), площадь сечения растянутой арматуры может быть уменьшена исходя из формулы

, (3.107)
где

,

.
Если сжатая арматура отсутствует или не учитывается в расчете, площадь сечения растянутой арматуры определяется всегда только по
формуле (3.107), при этом должно выполняться условие

.
Двутавровые сечения с симметричной арматурой
3.60. Проверку прочности двутавровых сечений с симметричной арматурой, сосредоточенной в полках (черт. 3.29), производят следующим образом.
Черт. 3.29. Схема усилий в поперечном двутавровом
сечении внецентренно сжатого элемента
Если соблюдается условие

(3.108)
(т.е. граница сжатой зоны проходит в полке), расчет производится как для прямоугольного сечения шириной

в соответствии с
п. 3.56.
Если условие (3.108) не соблюдается (т.е. граница сжатой зоны проходит в ребре), прочность сечения проверяют из условия

, (3.109)
где высоту сжатой зоны x принимают равной
а) при

;
б) при


, (3.110)

- площадь сжатых свесов полки, равная

;
Примечание. При переменной высоте свесов полок значение

принимается равным средней высоте свесов.
3.61. Требуемое количество симметричной арматуры двутавровых сечений определяется следующим образом.
При соблюдении
условия (3.108) подбор арматуры производят как для прямоугольного сечения шириной

согласно
п. 3.57.
Если
условие (3.108) не соблюдается, подбор арматуры производят в зависимости от относительной высоты сжатой зоны, равной

; (3.111)
а) при


; (3.112)
б)


, (3.113)
где относительную высоту сжатой зоны

определяют из
формулы (3.110), вычисляя

по формуле

, (3.114)
при этом

принимается не более 1,0.
3.62. Проверка прочности кольцевых сечений
(черт. 3.30) при соотношении внутреннего и наружного радиусов

и арматуре, равномерно распределенной по окружности (при продольных стержнях не менее 7), производится следующим образом в зависимости от относительной площади сжатой зоны бетона

: (3.115)
а) при

- из условия

; (3.116)
б) при

- из условия

, (3.117)
где

; (3.118)
в) при

- из условия

, (3.119)
где

. (3.120)
Черт. 3.30. Схема, принимаемая при расчете
кольцевого сечения сжатого элемента

- площадь сечения всей продольной арматуры;

;

- радиус окружности, проходящей через центры тяжести стержней продольной арматуры.
Момент M определяется с учетом прогиба элементов согласно
пп. 3.53 -
3.55.
3.63. Проверку прочности, а также определение необходимого количества продольной арматуры для кольцевых сечений, указанных в
п. 3.62, при

и классе арматуры не выше A400 допускается производить с помощью графиков
черт. 3.31, используя формулы:

; (3.121)

, (3.122)
где значения

и

определяются по графику в зависимости от значений соответственно

и

, а также

. При этом момент M определяется с учетом прогиба элемента согласно
пп. 3.53 -
3.55.
Черт. 3.31. Графики несущей способности
внецентренно сжатых элементов кольцевого сечения
3.64. Прочность круглых сечений
(черт. 3.32) с арматурой, равномерно распределенной по окружности (при числе продольных стержней не менее 7), при классе арматуры не выше A400 проверяется из условия

, (3.123)
где r - радиус поперечного сечения;

- относительная площадь сжатой зоны бетона, определяемая следующим образом:
при выполнении условия

(3.124)
из решения уравнения

; (3.125)

; (3.126)

- коэффициент, учитывающий работу растянутой арматуры и принимаемый равным: при выполнении
условия (3.124) 
, но не более 1,0; при невыполнении
условия (3.124) 
;

- площадь сечения всей продольной арматуры;

- радиус окружности, проходящей через центры тяжести стержней продольной арматуры.
Черт. 3.32. Схема, принимаемая при расчете
круглого сечения внецентренно сжатого элемента
Момент M определяется с учетом прогиба элемента согласно
пп. 3.53 -
3.55.
3.65. Проверку прочности, а также определение необходимого количества продольной арматуры для круглых сечений, указанных в
п. 3.64, допускается производить с помощью графиков на
черт. 3.33, используя формулы

; (3.127)

, (3.128)
где значения

и

определяются по графику в зависимости от значений соответственно

и

, а также от

. При этом момент M определяется с учетом прогиба элемента согласно
пп. 3.53 -
3.55.
Условные обозначения:

при


при

Черт. 3.33. Графики несущей способности
внецентренно сжатых элементов круглого сечения
Расчет элементов на косое внецентренное сжатие
3.66. Для элементов прямоугольного сечения с симметричной арматурой в виде 4-х угловых стержней расчет на косое внецентренное сжатие можно производить из условия

, (3.129)
где

и

- моменты от внешней нагрузки относительно центра тяжести сечения в плоскостях симметрии x и y;

и

- предельные моменты в плоскостях симметрии x и y относительно центра сечения, равные правой части
условия (3.91) п. 3.56.
Значения

и

можно также определять с помощью графика на
черт. 3.28 по формуле

, (3.130)
где

определяется по графику на
черт. 3.28 в зависимости от

и

;
b и

- ширина и рабочая высота сечения применительно к направлению рассматриваемого момента;
при этом для соответствующего направления должно выполняться условие

.
если

,

; (3.131)
если

,

, (3.132)
но не более 1,6,
Прямоугольные сечения с симметричной арматурой
Пример 22. Дано: колонна среднего этажа рамного каркаса с сечением размерами b = 400 мм, h = 500 мм; a = a' = 40 мм; бетон класса B25 (

,

); арматура класса A400

; площадь ее сечения

; продольная сила и изгибающие моменты в опорном сечении: от вертикальных нагрузок: всех

,

, постоянных и длительных

,

; от ветровых нагрузок

,

; высота этажа

.
Требуется проверить прочность опорного сечения колонны.
Расчет.

. Расчет ведем с учетом влияния прогиба согласно
п. 3.53. Поскольку рассматриваемое сечение опорное и колонна у этой опоры имеет податливую заделку, принимаем

. Для вычисления коэффициента

принимаем согласно
п. 3.55, б расчетную длину колонны равной

. При этом

, т.е. учет прогиба обязателен.
Усилия от всех нагрузок равны

,

. При этом

, т.е. согласно
п. 3.49 значение момента M не корректируем.
Определяем моменты

и

относительно растянутой арматуры соответственно от всех нагрузок и от постоянных и длительных нагрузок

;

.
Тогда

.
Так как

, принимаем

.

.
Отсюда

.

.
Расчетный момент с учетом прогиба определяем по
формуле (3.85), принимая

.

.
Проверяем прочность сечения согласно
п. 3.56.
Следовательно,

.
т.е. прочность сечения обеспечена.
Пример 23. Дано: сечение колонны среднего этажа рамного каркаса размером b = 400 мм, h = 400 мм;

; бетон класса B25 (

,

); арматура симметричная класса A400

; продольная сила и изгибающие моменты в опорном сечении: от вертикальных нагрузок: всех

,

; постоянных и длительных

,

; от ветровых нагрузок

,

; высота этажа 4,8 м.
Требуется определить площадь сечения арматуры.
Расчет.

. В соответствии с
п. 3.53 принимаем

, а согласно
п. 3.55, б расчетную длину колонны принимаем равной

.
При этом

, т.е. учитываем прогиб колонны.
Усилия от всех нагрузок равны

;

. При этом

, т.е. значение M не корректируем.
Согласно
п. 3.54 определяем коэффициент

.

;

;

.
Так как

, принимаем

.
В первом приближении принимаем

,

.

.
Отсюда

;

;

.
Необходимую площадь сечения арматуры определим согласно
п. 3.57. Для этого вычислим значения:

;

;

.

.
Откуда

.
Поскольку полученное армирование превышает армирование, принятое при определении D, а момент

составляет значительную долю полного момента M = 270 кН x м, значение

определено с некоторым "запасом", который можно уменьшить, повторив расчет, принимая в
формуле (3.89) значение

:

;

;

;

;

;

.
Принимаем значения

, что близко к значению

, использованному при вычислении D.
Пример 24. Дано: колонна нижнего этажа многоэтажного рамного каркаса с сечением размерами b = 400 мм, h = 500 мм; a = a' = 50 мм; бетон класса B25 (

,

); арматура класса A400

с площадью сечения

; продольные силы и изгибающие моменты в нижнем опорном сечении: от вертикальных нагрузок: всех

,

, от постоянных и длительных нагрузок

,

; от ветровых нагрузок

,

; высота этажа 6 м.
Требуется проверить прочность нижнего опорного сечения колонны.
Расчет.

. Расчет ведем с учетом прогиба колонны согласно
п. 3.53. Поскольку у рассматриваемого сечения колонна жестко заделана в фундамент, коэффициент

определяем по
формуле (3.86), принимая расчетную длину колонны согласно
п. 3.55, а равной

.
Жесткость D при определении как коэффициента

, так и коэффициента

вычисляем по
формуле (3.89) с учетом всех нагрузок. Усилия от всех нагрузок равны

,

. При этом

.

;

;

.
Так как

, принимаем

,

.
Отсюда

;

.
Аналогично определим коэффициент

, принимая расчетную длину согласно
п. 3.55, б равной

. Тогда

.

.
Расчетный момент с учетом прогиба равен

.
Проверяем прочность сечения согласно
п. 3.56.
Следовательно, высоту сжатой зоны x определяем с помощью
формулы (3.92). Для этого вычисляем

;

;

;
т.е. прочность сечения обеспечена.
Пример 25. Дано: колонна нижнего этажа связевого каркаса с сечением размерами 400 x 400 мм; a = a' = 50 мм; бетон класса B40 (

,

); продольная арматура класса A500 (

,

); продольные силы и изгибающие моменты в нижнем опорном сечении от вертикальных нагрузок

,

, от постоянных и длительных нагрузок

,

; усилиями от ветровой нагрузки пренебрегаем; высота этажа l = 3,6 м.
Требуется определить площадь сечения продольной арматуры.
Расчет.

. Расчет ведем с учетом прогиба колонны согласно
п. 3.53. Поскольку у рассматриваемого сечения колонна жестко заделана в фундамент, коэффициент

определяем по
формуле (3.85), принимая расчетную длину колонны согласно
п. 3.55, а равной

.
При этом

, т.е. учет прогиба обязателен. Определяем по
формуле (3.89) жесткость D, учитывая все нагрузки, т.е.

и

. Эксцентриситет

, следовательно, момент не корректируем.

;

;

.
Так как

, принимаем

.
В первом приближении принимаем

, тогда

.
Отсюда

;

;

.
Необходимую площадь сечения арматуры определим согласно
п. 3.57. Для этого вычислим значения:

;

;

.
| | ИС МЕГАНОРМ: примечание. В официальном тексте документа, видимо, допущена опечатка: формула (3.95) отсутствует. | |
Из
табл. 3.2 находим

. Так как

, значение

определяем по
формуле (3.94). При этом, поскольку здесь определяющей прочность является сжатая арматура, принимаем

. Значение

определяем по
формуле (3.92), вычисляя

по формуле (3.95) при

, т.е. при

,

;

;

.
Принимаем

.
Пример 26. Дано: колонна среднего этажа связевого каркаса с сечением размерами 400 x 400 мм; бетон класса B25

, продольная арматура класса A400

; продольные силы и изгибающие моменты от вертикальных нагрузок в опорном сечении: от всех нагрузок

,

, от постоянных и длительных нагрузок

,

; высота этажа H = 6 м.
Требуется определить площадь сечения продольной арматуры.
Расчет. Поскольку колонна закреплена с обоих концов шарнирно опертыми ригелями, принимаем согласно
п. 3.59, а расчетную длину колонны равной

. Тогда

, т.е. учет прогиба колонны обязателен.
Эксцентриситет продольной силы от всех нагрузок равен

. Поскольку

, согласно
п. 3.49 случайный эксцентриситет принимаем равным

. Следовательно, расчет колонны производим на действие продольной силы с эксцентриситетом

согласно
п. 3.58.
Из
табл. 3.5 и
3.6 при

, предполагая отсутствие промежуточных стержней при

, находим

и

.

.
Отсюда

.

.
Аналогично определяем

.
Полученное значение

существенно превышает принятое в первом приближении, поэтому еще раз уточняем значение

:

;

;

.
Поскольку полученное значение

близко к принятому во втором приближении, суммарную площадь сечения арматуры принимаем равной

.
Окончательно принимаем

.
Прямоугольные сечения с несимметричной арматурой
Пример 27. Дано: колонна с податливыми заделками по концам сечения с размерами b = 400 мм, h = 500 мм; a = a' = 40 мм; бетон класса B25

, арматура класса A400

; усилия в опорном сечении от вертикальных нагрузок: продольная сила N = 800 кН x м; момент M = 400 кН x м; усилия от ветровых нагрузок отсутствуют.
Требуется определить площадь сечения арматуры S и S'.
Расчет.

. Поскольку момент от ветровой нагрузки отсутствует, а согласно
п. 3.53 
, влияние прогиба элемента на момент отсутствует. Тогда

.

,

.
Поскольку оба значения превышают нуль, их не уточняем.
Пример 28. Дано: колонна одноэтажного промздания: размеры сечения и расположение арматуры - по
черт. 3.34; бетон класса B30 (

,

); арматура класса A400

, площадь сечения

; продольные силы и изгибающие моменты в нижнем опорном сечении: от вертикальных нагрузок: всех

,

, от постоянных и длительных нагрузок

,

; от ветровых нагрузок

,

; высота колонны H = 15 м.
Требуется проверить прочность сечения.
Расчет в плоскости изгиба. Расчет ведем с учетом прогиба колонны согласно
п. 3.53. Поскольку у рассматриваемого сечения колонна жестко заделана в фундамент, коэффициент

определяем по
формуле (3.86), принимая расчетную длину колонны согласно
п. 3.55, а равной

.
Принимаем расчетную толщину полки равной средней высоте свесов

.
Вычислим площадь и момент инерции бетонного сечения:

;

.
Радиус инерции сечения

.
Так как

, учет прогиба колонны обязателен.
Усилия от всех нагрузок:

;

;

.
Определим момент инерции сечения всей арматуры. Центр тяжести арматуры

и

отстоит от ближайшей грани на расстоянии

, откуда

.

.

.
Определим коэффициент

:

;

;

.
Так как

, принимаем

.
Отсюда

;

.
Аналогично определяем коэффициент

, принимая согласно
п. 3.55, б расчетную длину равной

:

,

.
Расчетный момент с учетом прогиба равен

.

,
т.е. расчет производим как для двутаврового сечения.
Площадь сжатых свесов полки равна:

.
Определим высоту сжатой зоны x.
Для этого вычисляем

;

.
т.е. прочность сечения в плоскости изгиба обеспечена.
Расчет из плоскости изгиба. Определим радиус инерции сечения из плоскости изгиба:

;

.
Так как гибкость из плоскости изгиба

заметно превышает гибкость в плоскости изгиба

, согласно
п. 3.50 следует проверить прочность сечения из плоскости изгиба, принимая эксцентриситет

равным случайному эксцентриситету

. Высота сечения при этом равна h = 600 мм. Определяем значение

согласно
п. 3.49.
Поскольку

и

, принимаем

, что при

позволяет производить расчет согласно
п. 3.58; при этом коэффициент

определяем как для прямоугольного сечения, не учитывая "в запас" сечение ребра, т.е. при b = 2 x 215 = 430 мм.
Поскольку число промежуточных стержней

, расположенных вдоль обеих полок, равное 6, превышает 1/3 числа всех стержней

14/3 = 4,67, в расчете используем
табл. 3.6 (разд. Б). Из этой таблицы при

и

находим

.
Следовательно,

.

,
т.е. прочность из плоскости изгиба обеспечена.
Пример 29. Дано: колонна с податливыми заделками по обоим концам; сечение и расположение арматуры - по
черт. 3.34; бетон класса B30

; арматура симметричная класса A400

; продольная сила и момент в опорном сечении от вертикальных нагрузок N = 6000 кН, M = 3000 кН x м, усилия от ветровых нагрузок отсутствуют (

,

).
Требуется определить площадь сечения арматуры для опорного сечения колонн.
Расчет в плоскости изгиба. Согласно
п. 3.53 коэффициент

, а поскольку

, коэффициент

не вычисляем. Следовательно, прогиб элемента в плоскости изгиба не учитываем.

,
т.е. расчет производим как для двутаврового сечения согласно
п. 3.61.
Площадь сжатых свесов полки равна:

.
Определяем значения

,

,

,

,

.

.

;

;

;

;

.

;

.
Отсюда

.
Принимаем

.
Расчет из плоскости изгиба производим аналогично
примеру 28.
Пример 30. Дано: консольная стойка высотой H = 6 м, сечение с внутренним радиусом

, наружным -

; бетон класса B25 (

,

), продольная арматура класса A400

располагается посредине толщины кольца, площадь ее сечения

; продольная сила и момент в заделке: от вертикальных нагрузок:

,

; от ветровых нагрузок:

,

.
Требуется проверить прочность сечения.
Расчет. Внутренний и наружный диаметры равны

,

. Поскольку для консольной стойки эксцентрично приложенная вертикальная сила вызывает смещение верха, в соответствии с
п. 3.53 принимаем

и

. Коэффициент

определяем по
формуле (3.85), принимая согласно
п. 3.55, б расчетную длину стойки равной

.
Усилия от всех нагрузок равны: N = 120 кН,

;

.

;

;

;

.
Поскольку

, принимаем

.
Моменты инерции бетонного сечения и всей арматуры соответственно равны

;

.
Отсюда

.

.
Момент с учетом прогиба равен M = 110 x 1,284 = 141,2 кН x м.
Площадь сечения равна

.

.
т.е. прочность сечения обеспечена.
Пример 31. Дано: колонна нижнего этажа рамного каркаса длиной 4,8 м; сечение диаметром

; a = 35 мм; бетон класса B25 (

,

); продольная арматура класса A400

; площадь ее сечения

; продольные силы и моменты в верхнем опорном сечении: от вертикальных нагрузок

;

; от ветровых нагрузок

,

, кратковременные вертикальные нагрузки отсутствуют.
Требуется проверить прочность верхнего опорного сечения.
| | ИС МЕГАНОРМ: примечание. В официальном тексте документа, видимо, допущена опечатка: пункт 5.55 отсутствует. | |
Расчет. Поскольку рассматриваемое сечение расположено у податливой заделки, согласно
п. 5.53 
. Определяем коэффициент

согласно
п. 5.54. При этом расчетную длину принимаем согласно п. 5.55, б равной

. Усилия от всех нагрузок равны:

,

;

.

.
В связи с отсутствием вертикальных кратковременных нагрузок

,

; тогда

;

.
Так как

, принимаем

.
Момент инерции бетонного сечения и всей арматуры соответственно равны:

.

.
Тогда

;

.
Расчетный момент с учетом прогиба равен

.
на
черт. 3.33. Определим площадь бетонного сечения

.
По значениям

,

и

на графике находим

.

,
т.е. прочность сечения обеспечена.
Элементы, работающие на косое внецентренное сжатие
Пример 33. Дано: прямоугольное сечение колонны с размерами b = 400 мм, h = 500 мм; бетон класса B25

; продольная арматура класса A400

расположена в сечении согласно черт. 3.35; в сечении одновременно действует сила N = 2600 кН и изгибающие моменты: в плоскости, параллельной размеру h,

; в плоскости, параллельной размеру b,

; моменты

и

даны с учетом прогиба колонны.
Требуется проверить прочность сечения.
Расчет. Поскольку арматура задана в виде 4-х угловых стержней, прочность сечения проверяем согласно
п. 3.66. Оси симметрии, параллельные размерам h и b, обозначим x и y. Определим предельные моменты

и

.
При действии момента в плоскости оси x принимаем b = 400 мм,

.

. Поскольку

, расчет можем производить с помощью графика на
черт. 3.28. Для этого определяем

и

.
На графике этим значениям соответствует

. Следовательно,

.
При действии момента в плоскости оси y принимаем b = 500 мм,

. Поскольку

, момент

также можно определить с помощью графика на
черт. 3.28. Значениям

и

на графике соответствует

. Следовательно,

. Определим показатель степени k. Поскольку

, используем
формулу (3.132), вычислив значения

и

.

,
т.е. прочность сечения обеспечена.
Пример 34. Дано: колонна многоэтажного рамного каркаса с сечением размерами b = 400 мм, h = 600 мм; a = a' = 50 мм; бетон класса B25 (

,

); хомуты, расположенные по граням колонны, из арматуры класса A240

диаметром 12 мм

шагом

; изгибающие моменты в верхнем и нижнем опорных сечениях равны

,

и растягивают соответственно левую и правую грани колонны; продольная сила N = 572 кН; длина колонны (расстояние между опорными сечениями) l = 3,3 м.
Требуется проверить прочность колонны на действие поперечной силы.
Поперечная сила в колонне равна

.
Поскольку поперечная сила постоянна по длине колонны, длину проекции наклонного сечения принимаем максимально возможной, т.е. равной

.

.
Поскольку

,

, а после умножения на

.

.
Определяем усилие в хомутах

, принимая

,

.

.
Поскольку
условие (3.49) не выполняется, принимаем

, а следовательно,

.

,
т.е. прочность наклонного сечения по поперечной силе обеспечена.
ЦЕНТРАЛЬНО И ВНЕЦЕНТРЕННО РАСТЯНУТЫЕ ЭЛЕМЕНТЫ
ЦЕНТРАЛЬНО РАСТЯНУТЫЕ ЭЛЕМЕНТЫ
3.67. Расчет по прочности сечений центрально растянутых элементов следует производить из условия

, (3.133)
где

- площадь сечения всей продольной арматуры.
ВНЕЦЕНТРЕННО РАСТЯНУТЫЕ ЭЛЕМЕНТЫ
3.68. Расчет нормальных сечений внецентренно растянутых элементов в общем случае производят на основе нелинейной деформационной модели согласно
пп. 3.72 -
3.76.
Расчет прямоугольных сечений внецентренно растянутых элементов с арматурой, расположенной у перпендикулярных плоскости изгиба граней элемента, при направлении эксцентриситета в плоскости симметрии сечения допускается производить по предельным усилиям согласно пп. 3.69 и
3.70.
3.69. Проверку прочности прямоугольных сечений внецентренно растянутых элементов следует производить в зависимости от положения продольной силы N:
а) если продольная сила N приложена между равнодействующими усилий в арматуре S и S'
(черт. 3.36, а), т.е. при

, - из условий

; (3.134)

; (3.135)
б) если продольная сила N приложена за пределами расстояния между равнодействующими усилий в арматуре S и S'
(черт. 3.36, б), т.е. при

- из условия

, (3.136)
при этом высота сжатой зоны x определяется по формуле

. (3.137)
Черт. 3.36. Схема усилий и эпюра напряжений в сечении,
нормальном к продольной оси внецентренно растянутого
железобетонного элемента, при расчете его по прочности
При симметричном армировании прочность независимо от значения e' проверяют из
условия (3.134).
Примечание. Если при

высота сжатой зоны, определенная без учета сжатой арматуры,

меньше 2a', расчетную несущую способность можно несколько увеличить, произведя расчет по
формулам (3.136) и
(3.137) без учета сжатой арматуры.
3.70. Требуемое количество продольной арматуры определяется следующим образом:
а) при

определяется площадь сечения арматуры S и S' соответственно по формулам:

; (3.138)

; (3.139)
б) при

определяется площадь сечения растянутой арматуры

по формуле:

; (3.140)
где

определяется по формуле

, (3.141)
здесь

. (3.142)
При этом должно выполняться условие

(см.
табл. 3.2). В противном случае следует увеличить сечение сжатой арматуры

, повысить класс бетона или увеличить размеры сечения.
Если

, площадь сечения растянутой арматуры

определяется по
формуле (3.138).
Площадь симметричной арматуры независимо от значения e' подбирается по
формуле (3.138).
Примечание. При

необходимое количество арматуры, определенное по
формуле (3.138), можно снизить, если значение

, определенное по
формуле (3.141) при

, окажется меньше

. В этом случае площадь сечения растянутой арматуры

определяется по
формуле (3.140), используя упомянутое значение

при

.
3.71. Расчет наклонных сечений растянутых элементов при действии поперечных сил производится аналогично расчету изгибаемых элементов в соответствии с
пп. 3.30 -
3.35. При этом значение поперечной силы, воспринимаемой бетоном в наклонном сечении

, а также правая часть
условия (3.49) делится на коэффициент

. (3.143)
На этот же коэффициент

делится связанное с

значение

.
Пример 35. Дано: растянутая ветвь двухветвевой колонны с поперечным сечением размерами b = 500 мм, h = 200 мм; a = a' = 40 мм; продольная арматура класса A400

; площадь ее сечения

; бетон класса B25

; продольная растягивающая сила N = 44 кН; максимальный изгибающий момент M = 43 кН x м.
Требуется проверить прочность нормального сечения.
Расчет.

.

;

;

.
Так как

, а высота сжатой зоны x, определенная без учета сжатой арматуры, т.е. равная

, меньше 2a' = 2 x 40 = 80 мм, согласно примечанию к
п. 3.69 проверим прочность из
условия (3.136), принимая x = 42 мм и

:
т.е. прочность обеспечена.
Пример 36. Дано: прямоугольное сечение размерами b = 1000 мм, h = 200 мм; a = a' = 35 мм; бетон класса B15

; продольная арматура класса A400

; площадь сечения арматуры

; растягивающая сила N = 160 кН; изгибающий момент M = 116 кН x м.
Требуется определить площадь сечения арматуры S.
Расчет.

;

;

;

.
Так как

, определим необходимую площадь сечения растянутой арматуры согласно
п. 3.70, б.
Вычислим значение

.

.
Принимаем

.
Пример 37. Дано: растянутая ветвь двухветвевой колонны с сечением размерами b = 500 мм, h = 200 мм; a = a' = 40 мм; бетон класса B25

; хомуты, расположенные по граням, из арматуры класса A400

; продольная растягивающая сила N = 44 кН; поперечная сила Q = 130 кН; расстояние в свету между перемычками двухветвевой колонны l = 600 мм.
Требуется определить диаметр и шаг хомутов.
Расчет.

. Расчет производим согласно
п. 3.33, а с учетом указаний
п. 3.71.
По
формуле (3.143) определяем коэффициент

, принимая A = bh = 500 x 200 = 100000 мм2:

.
Поскольку в пределах между перемычками поперечная сила постоянна, длину проекции наклонного сечения принимаем максимально возможной, т.е.

.
При

и

определяем

.
Следовательно, требуемую интенсивность хомутов определяем по
формуле (3.48), при этом величину 1,5, характеризующую значение

, делим на

:

.
Максимально допустимый шаг, согласно
п. 3.35, равен

.
Принимаем шаг хомутов

, и тогда

.
Принимаем два хомута диаметром по 10 мм

.
РАСЧЕТ НОРМАЛЬНЫХ СЕЧЕНИЙ НА ОСНОВЕ
НЕЛИНЕЙНОЙ ДЕФОРМАЦИОННОЙ МОДЕЛИ
3.72. При расчете по прочности усилия и деформации в нормальном сечении определяют на основе нелинейной деформационной модели, использующей уравнения равновесия внешних сил и внутренних усилий в сечении элементов, а также следующие положения:
- распределение относительных деформаций бетона и арматуры по высоте сечения элемента принимают по линейному закону (гипотеза плоских сечений, см.
черт. 3.39);
- связь между осевыми сжимающими напряжениями бетона

и относительными его деформациями

принимают в виде двухлинейной диаграммы
(черт. 3.37), согласно которой напряжения

определяются следующим образом:
при

;
при

;
где

- приведенный модуль деформации бетона, равный

;

;

;
- сопротивление бетона растянутой зоны не учитывается (т.е. принимается

), за исключением расчета бетонных элементов, указанных в
п. 1.4, б, а также бетонных элементов, в которых не допускаются трещины; в этих элементах связь между осевыми растягивающими напряжениями бетона

и относительными его деформациями также принимаются в виде двухлинейной диаграммы с заменой

на

;

на

;

на

, где

- см.
табл. 2.2;
- связь между напряжениями арматуры

и относительными ее деформациями

принимают в виде двухлинейной диаграммы
(черт. 3.38), согласно которой напряжения

принимают равными:
при

;
при

,
где

;

;

.
Черт. 3.37. Двухлинейная диаграмма состояния сжатого бетона
Черт. 3.38. Диаграмма состояния растянутой арматуры
3.73. Переход от эпюры напряжений в бетоне к обобщенным внутренним усилиям рекомендуется осуществлять с помощью процедуры численного интегрирования по нормальному сечению. Для этого нормальное сечение в направлении плоскости изгиба (нормальной нейтральной оси) разделяется на участки малой ширины, напряжения в которых принимают равномерно распределенными и соответствующими деформациям на уровне середины ширины участка.
В общем случае положение нейтральной оси и максимальные деформации
(черт. 3.39) определяют из уравнений равновесия внешних и внутренних усилий:

; (3.144)

; (3.145)

, (3.146)
где

и

- моменты внешних сил относительно выбранных координатных осей, действующих в плоскости осей соответственно x и y;

,

,

,

- площадь, координаты центра тяжести i-го участка бетона и напряжение на уровне его центра тяжести;

,

,

,

- площадь, координаты центра тяжести j-го стержня арматуры и напряжение в нем.
Черт. 3.39. Эпюры деформаций и напряжений в сечении,
нормальном к продольной оси железобетонного
элемента, в общем случае расчета по прочности
а) - двухзначная эпюра деформаций
б) - однозначная эпюра деформаций
Напряжения

и

определяются в соответствии с диаграммами на
черт. 3.37 и
3.38.
Растягивающие напряжения арматуры

и бетона

, а также продольную растягивающую силу N рекомендуется учитывать в
уравнениях (3.144) -
(3.146) со знаком "минус".
Координатные оси x и y рекомендуется проводить через центр тяжести бетонного сечения.
3.74. Расчет нормальных сечений железобетонных элементов по прочности производят из условий

; (3.147)

, (3.148)
где

и

- относительные деформации соответственно наиболее сжатого волокна бетона и наиболее растянутого стержня арматуры от действия внешних нагрузок, определяемые из решения
уравнений (3.144) -
(3.146);

и

- предельные значения относительных деформаций соответственно сжатого бетона и растянутой арматуры, принимаемые согласно
п. 3.75.
Для изгибаемых и внецентренно сжатых бетонных элементов, в которых не допускаются трещины, расчет производится с учетом работы растянутого бетона в поперечном сечении элемента из условия

, (3.149)
где

- относительная деформация наиболее растянутого волокна бетона, определяемая из решения
уравнений (3.144) -
(3.146);

- предельное значение относительной деформации растянутого бетона, принимаемое согласно п. 3.75.
3.75. Предельное значение относительных деформаций бетона

принимают при двухзначной эпюре деформаций (сжатие и растяжение) в поперечном сечении элемента равным

(см.
п. 3.72).
При внецентренном сжатии или растяжении элементов и распределении в поперечном сечении элемента деформаций бетона одного знака предельные значения относительных деформаций бетона

определяют в зависимости от отношения относительных деформаций бетона на противоположных сторонах сечения

по формулам

; (3.150)

. (3.151)
Предельное значение относительной деформации растянутой арматуры

принимают равным 0,025.
3.76. Расчет на основе нелинейной деформационной модели производится с помощью компьютерных программ.
При действии в нормальном сечении двух моментов

и

по обеим координатным осям x и y и продольной сжимающей силы компьютерную программу рекомендуется составлять на основе следующего алгоритма:
1. Задаются направлением нейтральной оси: в 1-м приближении это направление определяется как для упругого материала, т.е. принимается угол наклона нейтральной оси к оси y равным

.
2. Определяют характер эпюры деформаций путем сравнения внешней продольной силы N и внутреннего усилия

, определенного по
формуле (3.146) при значениях

в крайних точках, равных

и 0. При

- эпюра однозначная, при

- эпюра двухзначная.
3. При двухзначной эпюре деформаций последовательными приближениями подбирают такую высоту сжатой зоны x, при которой выполняется
равенство (3.146); при этом в крайней сжатой точке принимается

, деформации сжатого бетона каждого i-го участка принимаются равными

, а деформации каждого j-го стержня арматуры -

, где

и

- расстояния от нейтральной оси до центра тяжести соответственно i-го участка бетона и j-го стержня арматуры. В случае, если

, принимается

, и тогда

,

, где

- расстояние между наиболее растянутым стержнем арматуры и наиболее сжатой точкой бетона в направлении, нормальном нейтральной оси. Деформации растянутой арматуры принимаются со знаком "минус".
4. При однозначной эпюре деформаций последовательными приближениями подбирают такое отношение деформаций в крайних точках

, при котором выполняется
равенство (3.146); при этом в крайней сжатой точке всегда принимается деформация

, определенная по
формуле (3.150), деформации сжатого бетона каждого i-го участка принимаются равными

, а деформации каждого j-го стержня -

,где

и

- расстояния от наименее сжатой точки до центра тяжести соответственно i-го участка бетона и j-го стержня арматуры в направлении, нормальном нейтральной оси, h - см.
черт. 3.39, б.
5. По
формулам (3.144) и
(3.145) определяются моменты внутренних усилий

и

. Если оба эти момента оказываются больше или меньше соответствующих внешних моментов

и

относительно тех же осей, то прочность сечения считается обеспеченной или необеспеченной.
Если один из моментов (например,

) меньше соответствующего внешнего момента (т.е.

), а другой больше (т.е.

), задаются другим углом наклона нейтральной оси

(большим, чем ранее принятый) и вновь проводят аналогичный расчет.
При действии растягивающей силы или при ее отсутствии расчет можно производить аналогичным образом. При расчете бетонных элементов с учетом работы растянутого бетона значения

заменяются на

, а

на

(см.
пп. 3.72 и
3.75).
ЭЛЕМЕНТЫ, РАБОТАЮЩИЕ НА КРУЧЕНИЕ С ИЗГИБОМ
ЭЛЕМЕНТЫ ПРЯМОУГОЛЬНОГО СЕЧЕНИЯ
Расчет на совместное действие
крутящего и изгибающего моментов
3.77. Расчет по прочности элемента между пространственными сечениями на действие крутящего момента T производят из условия

, (3.152)
где b и h - соответственно меньший и больший размеры поперечного сечения элемента.
3.78. При совместном действии крутящего и изгибающего моментов рассматривается пространственное сечение со сжатой стороной по грани элемента, перпендикулярной плоскости действия изгибающего момента (черт. 3.40).
Черт. 3.40. Схема усилий в пространственных
сечениях при расчете на действие крутящего и изгибающего
моментов; растянутая арматура у нижней границы элемента
Расчет такого сечения производят из условия

, (3.153)
где

- предельный изгибающий момент, воспринимаемый нормальным сечением и определяемый согласно
п. 3.14;

- предельный крутящий момент, воспринимаемый пространственным сечением и определяемый по формуле

, (3.154)

- крутящий момент, воспринимаемый поперечной арматурой, расположенной у растянутой грани в пределах пространственного сечения, равный

, (3.155)

- крутящий момент, воспринимаемый продольной растянутой арматурой пространственного сечения и равный

. (3.156)
c - длина проекции сжатой стороны пространственного сечения на продольную ось элемента;

; (3.157)
b и h - соответственно ширина грани, растянутой от изгиба, и грани, ей перпендикулярной (см.
черт. 3.40);

; (3.158)

и

- площадь сечения одного поперечного стержня у растянутой от изгиба грани шириной b и шаг этих стержней;

- площадь сечения продольной арматуры у растянутой от изгиба грани шириной b.
Крутящий момент T и изгибающий момент M в
условии (3.153) принимаются в поперечном сечении, расположенном в середине длины проекции c вдоль продольной оси элемента.
Расчет в общем случае производят для пространственных сечений с различными значениями c, принимаемыми не более 2h + b и не более

.
Пространственные сечения рекомендуется располагать следующим образом:
а) для неразрезных или защемленных на опорах балок (ригелей), а также для консолей пространственное сечение располагается у опоры;
б) для любых элементов, нагруженных сосредоточенными силами и крутящими моментами, пространственные сечения располагаются у мест приложения сил со стороны участка с большими крутящими моментами (черт. 3.41).
Черт. 3.41. Расположение расчетных пространственных
сечений в балке, нагруженной сосредоточенными силами
1, 2 - расчетные пространственные сечения;

,

,

- расчетные усилия для пространственного
для пространственного сечения 2
Для этих случаев при вычислении предельного крутящего момента

рекомендуется использовать в
формулах (3.155) и
(3.156) значение длины проекции

, соответствующее минимальному значению

, но при этом моменты T и M определяются исходя из длины проекции, равной

, но не более

, где

- максимальный изгибающий момент в начале пространственного сечения.
Значение

определяется по формуле

, (3.159)
с выполнением указанных ограничений по учету величин

и

.
В частности:

; (3.160)
- при

значение

после подстановки

равно

; (3.161)
в) для элементов, нагруженных равномерно распределенной нагрузкой, если в пролетном сечении с наибольшим изгибающем моментом имеет место крутящий момент, середина проекции c располагается в указанном поперечном сечении; в этом случае невыгоднейшее значение c принимается равным

.
Расчет на совместное действие
крутящего момента и поперечной силы
3.79. Расчет по прочности элемента между пространственными сечениями на действие крутящего момента T и поперечной силы Q производят из условия

, (3.162)
где

- предельный крутящий момент, воспринимаемый элементом между пространственными сечениями и принимаемый равным правой части
условия (3.152);

- предельная поперечная сила, воспринимаемая бетоном между наклонными сечениями и принимаемая равной правой части
условия (3.43) п. 3.30.
Усилия T и Q принимаются в нормальном сечении на расстоянии 2b + h от опоры, где b и h - см.
черт. 3.40.
3.80. При совместном действии крутящего момента и поперечной силы рассматривается пространственное сечение со сжатой стороной по грани элемента, параллельной плоскости действия изгибающего момента (т.е. шириной h, черт. 3.42).
Черт. 3.42. Схемы усилий в пространственных сечениях
при расчете на действие крутящего момента и поперечной
силы; растянутая арматура у боковой грани элемента
Расчет такого сечения производят из условия

, (3.163)
где

- предельная поперечная сила, воспринимаемая наклонным сечением и принимаемая равной правой части
условия (3.44) п. 3.31;

- предельный крутящий момент, воспринимаемый пространственным сечением и определяемый по формуле

; (3.164)

- крутящий момент, воспринимаемый поперечной растянутой арматурой, расположенной у одной из граней шириной h в пределах пространственного сечения, равный

; (3.165)

- крутящий момент, воспринимаемый продольной арматурой, расположенной у одной из граней шириной h, равный

. (3.166)
c - длина проекции сжатой стороны пространственного сечения на продольную ось элемента;

; (3.167)

; (3.168)

и

- площадь сечения одного поперечного стержня у грани шириной h и шаг этих стержней;

- площадь сечения продольной растянутой арматуры, расположенной у одной из граней шириной h.
Крутящий момент T и поперечную силу Q в
условии (3.163) определяют в нормальном сечении, расположенном в середине длины проекции c вдоль продольной оси элемента.
Расчет в общем случае производят для пространственных сечений с различными значениями c, принимаемыми не более 2b + h и не более

.

(3.169)
с выполнением указанных ограничений по учету величин

и

; при этом величины Q и

определяются согласно
п. 3.31 с учетом значений c, принятых согласно
п. 3.32, а усилие T принимается максимальным на рассматриваемом участке.
При использовании значения c, соответствующего
формуле (3.169), значение

можно вычислить по формулам:
при

;
при

;
при

.
Пример 38. Дано: ригель перекрытия торцевой рамы многоэтажного промышленного здания, нагруженный равномерно распределенной нагрузкой q = 154,4 кН/м и равномерно распределенными крутящими моментами t = 34,28 кН x м/м; поперечное сечение ригеля у опоры - см.
черт. 3.43, а; эпюра крутящих моментов от вертикальных нагрузок - см.
черт. 3.43, б; эпюры изгибающих моментов и поперечных сил от невыгоднейшей для опорного сечения комбинации вертикальных нагрузок и ветровой нагрузки - см.
черт. 3.43, в и
г; эпюра изгибающих моментов от невыгоднейшей для пролетного сечения комбинации вертикальных нагрузок - см.
черт. 3.43, д; бетон класса B25 (

,

), продольная и поперечная арматура класса A400 (

,

).
Требуется проверить прочность элемента на действие крутящих и изгибающих моментов, а также на совместное действие крутящих моментов и поперечных сил.
Расчет. Рассматриваем сечение как прямоугольное, не учитывая "в запас" полку ригеля. Размеры этого сечения принимаем равными b = 300 мм, h = 800 мм.
Проверяем
условие (3.152) на действие максимального крутящего момента T = 84 кН x м.

,
т.е. условие выполняется.
Проверим прочность пространственного сечения со сжатой стороной по нижней грани, расположенной у опорного сечения, на совместное действие крутящих и изгибающих моментов из
условия (3.153).
Определяем согласно
п. 3.19 предельный изгибающий момент.

.
Тогда
Определим предельный крутящий момент

.
Горизонтальные поперечные стержни согласно
черт. 3.43, а 
и шагом

. Тогда

;

.

,
а моменты M и T определяем при
т.е.

,

.

,
т.е. прочность на совместное действие изгибающих и крутящих моментов у опоры обеспечена.
Проверяем прочность пространственного сечения со сжатой стороной по боковой грани, на совместное действие крутящих моментов и поперечных сил, располагая это сечение у опоры. Предварительно проверим
условие (3.162), принимая, согласно вычисленному выше,

и вычислив из
условия (3.43) 
.
Значения T и Q определяем в сечении на расстоянии a = 2b + h = 2 x 300 + 800 = 1400 мм = 1,4 м от опоры, т.е.

;

.
Тогда

,
Шаг и диаметр вертикальных хомутов тот же, что для горизонтальных стержней, поэтому

.
Поскольку

, значение

равно

.

.
При двухветвевых хомутах

.
Определим невыгоднейшее значение c согласно
п. 3.32, принимая

. Поскольку

, значение c равно

.
Принимая

, имеем

;

;

.

,
т.е. прочность при совместном действии изгибающих моментов и поперечных сил обеспечена.
Как видно из
черт. 3.43, б и
д, в нормальном сечении с наибольшим пролетным изгибающим моментом имеет место крутящий момент, поэтому следует проверить пространственное сечение, середина проекции которого располагается в этом нормальном сечении, на действие моментов M = 321 кН x м и

.
При этом растянутая сторона пространственного сечения располагается по нижней грани.
Определим предельный изгибающий момент

. Для этой части ригеля средний верхний стержень

оборван, и поэтому согласно
черт. 3.43, а имеем

;

;

; a = 68 мм;

.
Высота сжатой зоны равна

,

.
Горизонтальные поперечные стержни

в этой части ригеля имеют шаг

; отсюда

.

.

,
т.е. прочность этого сечения обеспечена.
РАСЧЕТ ЖЕЛЕЗОБЕТОННЫХ ЭЛЕМЕНТОВ
НА МЕСТНОЕ ДЕЙСТВИЕ НАГРУЗОК
3.81. Расчет элементов на местное сжатие (смятие) при отсутствии косвенной арматуры производят из условия

, (3.170)
где N - местная сжимающая сила от внешней нагрузки;

- площадь приложения сжимающей силы (площадь смятия);

- коэффициент, принимаемый равным:
при равномерно распределенной местной нагрузке по площади смятия - 1,0;
при неравномерно распределенной местной нагрузке по площади смятия (под концами балок, прогонов, перемычек и т.п.) - 0,75;

- расчетное сопротивление бетона сжатию при местном действии нагрузки, определяемое по формуле

, (3.171)
где

, (3.172)
но не менее 2,5 и не менее 1,0;

- максимальная расчетная площадь, устанавливаемая по следующим правилам:
- центры тяжести площадей

и

совпадают;
- границы расчетной площади

отстоят от каждой стороны площади

на расстоянии, равном соответствующему размеру этих сторон
(черт. 3.44);
- при наличии нескольких нагрузок расчетные площади ограничиваются линиями, проходящими через середину расстояний между точками приложения двух соседних нагрузок (черт. 3.44, ж).
Примечание. При местной нагрузке от балок, прогонов и других элементов, работающих на изгиб, учитываемая в расчете глубина опоры при определении

и

принимается не более 20 см.
Черт. 3.44. Схема для расчета элементов на местное
сжатие при расположении местной нагрузки
а - вдали от краев элемента; б - по всей ширине элемента;
в - у края (торца) элемента по всей его ширине; г - у угла
элемента; д - у одного края элемента; е - вблизи одного
края элемента; ж - при наличии нескольких нагрузок
1 - элемент, на который действует местная нагрузка;
2 - площадь смятия

; 3 - максимальная расчетная
площадь

; 4 - центр тяжести площадей

и

; 5 - минимальная зона армирования сетками,
при которой косвенное армирование учитывается в расчете
3.82. Расчет элементов на местное сжатие при наличии косвенной арматуры в виде сварных сеток производят из условия

, (3.173)
где

- приведенное с учетом косвенной арматуры в зоне местного сжатия расчетное сопротивление бетона сжатию, определяемое по формуле

. (3.174)
Здесь:

; (3.175)

- площадь, заключенная внутри контура сеток косвенного армирования, считая по их крайним стержням и принимаемая в формуле (3.175) не более

;

- расчетное сопротивление растяжению косвенной арматуры;

- коэффициент армирования, определяемый по формуле

; (3.176)

,

,

- число стержней, площадь сечения и длина стержня, считая в осях крайних стержней, в направлении x;

,

,

- то же, в направлении y;
s - шаг сеток косвенного армирования.
Значения

,

,

и N принимают согласно
п. 3.81.
Значения местной сжимающей силы, воспринимаемой элементом с косвенным армированием (правая часть
условия 3.173), принимают не более удвоенного значения местной сжимающей силы, воспринимаемого элементом без косвенного армирования (правая часть
условия 3.170).
Сетки косвенного армирования располагаются в пределах расчетной площади

. При этом для схем
черт. 3.44 в и г сетки косвенного армирования располагаются по площади с размерами в каждом направлении не менее суммы двух взаимно перпендикулярных сторон.
Если грузовая площадь располагается у края элемента (см.
черт. 3.44, б - д, ж), при определении значений

и

не учитывается площадь, занятая защитным слоем бетона для крайних стержней сеток.
По глубине сетки располагаются:
- при толщине элемента более удвоенного большего размера грузовой площади - в пределах удвоенного размера грузовой площади;
- при толщине элемента менее удвоенного большего размера грузовой площади - в пределах толщины элемента;
- сетки косвенного армирования должны отвечать конструктивным требованиям, приведенным в
п. 5.27.
Пример 39. Дано: стальная стойка, опираемая на фундамент и центрально нагруженная силой N = 1000 кН (черт. 3.45); фундамент из бетона класса B10

.
Требуется проверить прочность бетона под стойкой на местное сжатие.
Площадь смятия равна

.
Коэффициент

равен

.
Тогда

.
Проверяем
условие (3.170), принимая

как при равномерном распределении местной нагрузки:

,
т.е. прочность бетона на местное сжатие не обеспечена, и поэтому необходимо применить косвенное армирование. Принимаем косвенное армирование в виде сеток из арматуры класса B500 диаметром 4 мм с ячейками 100 x 100 мм и шагом по высоте s = 100 мм

.

.
Коэффициент

равен

.

.

,
т.е. прочность бетона обеспечена.
Сетки устанавливаем на глубину 2 x 300 = 600 мм.
РАСЧЕТ ЭЛЕМЕНТОВ НА ПРОДАВЛИВАНИЕ
3.83. Расчет на продавливание элементов производят для плоских железобетонных элементов (плит) при действии на них (нормально к плоскости элемента) местных концентрированно приложенных усилий - сосредоточенной силы и изгибающего момента.
При расчете на продавливание рассматривают расчетное поперечное сечение, расположенное вокруг зоны передачи усилий на элемент на расстоянии

нормально к его продольной оси, по поверхности которого действуют касательные усилия от сосредоточенной силы и изгибающего момента.
Действующие касательные усилия по площади расчетного поперечного сечения должны быть восприняты бетоном с сопротивлением бетона растяжению

и расположенной по обе стороны от расчетного поперечного сечения на расстоянии

поперечной арматурой с сопротивлением поперечной арматуры растяжению

.
Расчетный контур поперечного сечения принимают: при расположении площадки передачи нагрузки внутри плоского элемента - замкнутым и расположенным вокруг площадки передачи нагрузки
(черт. 3.46, а), при расположении площадки передачи нагрузки у свободного края или угла плоского элемента в виде двух вариантов: замкнутым и расположенным вокруг площадки передачи нагрузки, и незамкнутым, следующим от края плоского элемента
(черт. 3.46, б, в), в этом случае учитывают наименьшую несущую способность из двух вариантов расположения расчетного контура поперечного сечения.
Черт. 3.46. Схема расчетных контуров
поперечного сечения при продавливании
а - площадка приложения нагрузки внутри плоского элемента;
б, в - то же, у края плоского элемента; 1 - площадь
приложения нагрузки; 2 - расчетный контур поперечного
сечения; 2'- второй вариант расположения расчетного
контура; 3 - центр тяжести расчетного контура (место
пересечения осей

и

; 4 - центр тяжести
площадки приложения нагрузки (место пересечения
осей X и Y); 5 - граница (край) плоского элемента
При действии момента

в месте приложения сосредоточенной нагрузки половину этого момента учитывают при расчете на продавливание, а другую половину учитывают при расчете по нормальным сечениям шириной, включающей ширину площадки передачи нагрузки и высоту сечения плоского элемента по обе стороны от площадки передачи нагрузки.
При действии сосредоточенных моментов и силы в условиях прочности соотношение между действующими сосредоточенными моментами M, учитывающими при продавливании, и предельными

принимают не более соотношения между действующим сосредоточенным усилием F и предельным

.
Расчет на продавливание элементов без поперечной арматуры
3.84. Расчет элементов без поперечной арматуры на продавливание при действии сосредоточенной силы производят из условия

, (3.177)
где F - сосредоточенная сила от внешней нагрузки;
u - периметр контура расчетного поперечного сечения, расположенного на расстоянии

от границы площадки опирания сосредоточенной силы F (черт. 3.47);

- рабочая высота элемента, равная среднеарифметическому значению по рабочим высотам для продольной арматуры в направлениях осей x и y.
Черт. 3.47. Схема для расчета железобетонных элементов
без поперечной арматуры на продавливание
1 - расчетное поперечное сечение;
2 - контур расчетного поперечного сечения;
3 - контур площадки приложения нагрузки
При размерах прямоугольной площадки опирания a x b

.
При расположении площадки опирания вблизи свободного края плиты помимо указанного расчета (если при этом контур поперечного сечения не выходит за свободный край плиты) необходимо проверить прочность незамкнутого расчетного поперечного сечения (см.
черт. 3.46, в) на действие внецентренно приложенной сосредоточенной силы относительно центра тяжести контура расчетного сечения из условия

, (3.178)
u - длина контура незамкнутого расчетного сечения, равная

, (3.179)
I - момент инерции контура расчетного сечения, равный

; (3.180)
y - расстояние от центра тяжести контура расчетного сечения до проверяемого волокна, равное

- для волокна у свободного края плиты;

- для волокна у противоположного края плиты;

- эксцентриситет сосредоточенной силы относительно центра тяжести контура расчетного сечения, равный

; (3.181)

- расстояние точки приложения сосредоточенной силы от свободного края плиты;

и

- размеры контура расчетного поперечного сечения,

- размер, параллельный свободному краю плиты.
Сосредоточенная сила F принимается за вычетом нагрузок, приложенных к противоположной грани плиты в пределах площади с размерами, превышающими размеры площадки опирания на

во всех направлениях.
3.85. Расчет элементов без поперечной арматуры на продавливание при совместном действии сосредоточенных сил и изгибающего момента производят из условия

; (3.182)
где отношение

принимается не более F/u;

- момент сопротивления контура расчетного поперечного сечения;
Сосредоточенный момент M, учитываемый в
условии (3.182), равен половине сосредоточенного момента от внешней нагрузки

.
В железобетонном каркасе здания с плоскими перекрытиями момент

равен суммарному изгибающему моменту в сечениях верхней и нижней колонн, примыкающих к перекрытию в рассматриваемом узле, а сила F направлена снизу вверх.
При расположении площадки опирания вблизи свободного края плиты, когда сосредоточенная сила приложена внецентренно относительно контура незамкнутого расчетного поперечного сечения, к моменту M в
условии (3.182) следует добавлять (со своим знаком) момент от внецентренного приложения сосредоточенной силы, равный

, где

- см.
формулу (3.181).
При прямоугольной площадке опирания и замкнутом контуре расчетного поперечного сечения значение

определяют по формуле

, (3.183)
где a и b - размеры площадки опирания соответственно в направлении действия момента и в направлении, нормальном действию момента.
При незамкнутом контуре расчетного поперечного сечения (см.
черт. 3.46, в) значение

принимается равным

, где I и y - см.
п. 3.84.
При действии добавочного момента

в направлении, нормальном направлению действия момента M, левая часть
условия (3.182) увеличивается на

, где

- момент сопротивления контура расчетного сечения в направлении момента

; при этом сумма

также принимается не более F/u.
Расчет на продавливание элементов с поперечной арматурой
3.86. Расчет элементов с поперечной арматурой на продавливание при действии сосредоточенной силы
(черт. 3.48) производят из условия

, (3.184)

- предельное усилие, воспринимаемое поперечной арматурой при продавливании и равное

, (3.185)
но принимаемое не более

,
где

- усилие в поперечной арматуре на единицу длины контура расчетного поперечного сечения, равное при равномерном распределении поперечной арматуры

, (3.186)

- площадь сечения поперечной арматуры с шагом

, расположенная в пределах расстояния

по обе стороны от контура расчетного поперечного сечения (см.
черт. 3.48);

- шаг поперечных стержней в направлении контура поперечного сечения.
Черт. 3.48. Схема для расчета железобетонных
плит с вертикальной равномерно распределенной
поперечной арматурой на продавливание
1 - расчетное поперечное сечение; 2 - контур расчетного
поперечного сечения; 3 - границы зоны, в пределах
которых в расчете учитывается поперечная арматура;
4 - контур расчетного поперечного сечения без
учета в расчете поперечной арматуры;
5 - контур площадки приложения нагрузки
При равномерном расположении поперечной арматуры вдоль контура расчетного поперечного сечения значение u принимается как для бетонного расчетного поперечного сечения согласно
п. 3.84.
При расположении поперечной арматуры сосредоточенно у осей площадки опирания (крестообразное расположение поперечной арматуры, черт. 3.49) периметр контура u для поперечной арматуры принимают по фактическим длинам участка расположения поперечной арматуры

и

на расчетном контуре продавливания [т.е.

].
Черт. 3.49. Схема расчетного контура
поперечного сечения при продавливании
и при крестообразном расположении поперечной арматуры
1 - площадь приложения нагрузки; 2 - контур
расчетного поперечного сечения при учете
поперечного армирования

; 3 - контур расчетного
поперечного сечения без учета поперечного армирования
Поперечную арматуру учитывают в расчете при

не менее

.
За границей расположения поперечной арматуры расчет на продавливание производят согласно
п. 3.48, рассматривая контур расчетного поперечного сечения на расстоянии

от границы расположения поперечной арматуры.
При сосредоточенном расположении поперечной арматуры по осям площадки опирания, кроме того, расчетный контур поперечного сечения бетона принимают по диагональным линиям, следующим от края расположения поперечной арматуры (см.
черт. 3.49).
Поперечная арматура должна удовлетворять конструктивным требованиям, приведенным в
п. 5.26.
3.87. Расчет элементов с поперечной арматурой на продавливание при совместном действии сосредоточенных силы и изгибающего момента (см.
черт. 3.48) производят из условия

, (3.187)
где отношение

принимается не более

;

- предельный сосредоточенный момент, воспринимаемый бетоном в расчетном поперечном сечении и равный

;

- предельный сосредоточенный момент, воспринимаемый поперечной арматурой в расчетном поперечном сечении и равный

,
но принимаемый не более

;

- момент сопротивления контура поперечной арматуры.
При равномерном расположении поперечной арматуры вдоль контура расчетного поперечного сечения значение

принимается равным

.
При расположении поперечной арматуры сосредоточенно у осей площадки опирания
(черт. 3.49) момент сопротивления

определяют по тем же правилам, что и момент сопротивления

, принимая фактические длины участков расположения поперечной арматуры

и

на расчетном контуре продавливания.
При равномерном расположении поперечной арматуры вокруг площади опирания вместо
условия (3.187) можно воспользоваться
условием (3.182) с увеличением правой части на величину

, принимаемой не более

.
При действии добавочного момента

в направлении, нормальном направлению момента M, левая часть
условия (3.187) увеличивается на

, где

и

- предельные сосредоточенные моменты, воспринимаемые соответственно бетоном и поперечной арматурой в расчетном поперечном сечении в направлении действия момента

; при этом сумма

также принимается не более

, а

не более

.
Пример 40. Дано: плита плоского монолитного перекрытия толщиной 220 мм; колонны, примыкающие к перекрытию сверху и снизу, сечением 500 x 800 мм; нагрузка, передающаяся с перекрытия на колонну N = 800 кН; моменты в сечениях колонн по верхней и по нижней граням плиты равны: в направлении размера колонны 500 мм -

,

, в направлении размера колонны 800 мм -

,

; бетон класса B30

.
Требуется проверить плиту перекрытия на продавливание.
Расчет. Усредненную рабочую высоту плиты принимаем равной

.
За сосредоточенную продавливающую силу принимаем нагрузку от перекрытия F = N = 800 кН; за площадь опирания этой силы - сечение колонны a x b = 500 x 800 мм.
Определим геометрические характеристики контура расчетного поперечного сечения согласно
пп. 3.84 и
3.85:
периметр

;
момент сопротивления в направлении момента

(т.е. при a = 500 мм, b = 800 мм)

;
момент сопротивления в направлении момента

(т.е. при a = 800 мм, b = 500 мм)

.
За расчетный сосредоточенный момент в каждом направлении принимаем половину суммы моментов в сечении по верхней и по нижней граням плиты, т.е.

;

.
При этом

, следовательно, момент не корректируем.

,
т.е.
условие (3.182) не выполняется и необходимо установить в плите поперечную арматуру.
Принимаем согласно требованиям
п. 5.26 шаг поперечных стержней

, 1-й ряд стержней располагаем на расстоянии от колонны 75 мм, поскольку

и
(черт. 3.50). Тогда в пределах на расстоянии

по обе стороны от контура расчетного поперечного сечения может разместиться в одном сечении 2 стержня. Принимаем стержни из арматуры класса A240

минимального диаметра 6 мм. Тогда

и

.
1 - 1-е расчетное сечение; 2 - 2-е расчетное сечение
При этом согласно
п. 3.86 предельное усилие, воспринимаемое поперечной арматурой и равное

, должно быть не менее

. Как видим, это требование выполнено.

,
т.е. прочность расчетного сечения с учетом установленной поперечной арматуры обеспечена.
Проверяем прочность расчетного сечения с контуром на расстоянии

за границей расположения поперечной арматуры. Согласно требованиям
п. 5.26 последний ряд поперечных стержней располагается на расстоянии от грузовой площадки (т.е. от колонны), равном

. Тогда контур нового расчетного сечения имеет размеры: a = 500 + 2 x 315 + 190 = 1330 мм; b = 800 + 2 x 315 + 190 = 1620 мм.
Его геометрические характеристики:
u = 2(1320 + 1620 + 2 x 190) = 6640 мм;

;

.
Проверяем
условие (3.182) с учетом момента

. При этом пренебрегаем "в запас" уменьшением продавливающей силы F за счет нагрузки, расположенной на участке с размерами

вокруг колонны.

,
т.е. прочность этого сечения обеспечена.
Пример 41. Дано: плита плоского монолитного перекрытия толщиной 230 мм; колонны, примыкающие к перекрытию сверху и снизу, сечением 400 x 500 мм; нагрузка, передающаяся с перекрытия на колонну N = 150 кН; моменты в сечениях колонн по верхней и по нижней граням плиты в направлении размера колонны 500 мм -

,

; центр сечения колонны расположен на расстоянии

от свободного края плиты (черт. 3.51); бетон класса B25

.
1 - точка приложения силы F; 2 - центр тяжести незамкнутого
контура; 3 - незамкнутый контур расчетного сечения
Требуется проверить плиту перекрытия на продавливание.
Расчет. Усредненную рабочую высоту плиты принимаем равной

.
За сосредоточенную продавливающую силу F, направленную снизу вверх, принимаем нагрузку от перекрытия F = N = 150 кН; за площадь опирания этой силы - сечение колонны a x b = 500 x 400 мм.
Проверим прочность расчетного сечения незамкнутого контура. Размеры этого контура равны:

;

.
Периметр и момент инерции контура равны

;

.
Эксцентриситет силы F

.
При принятых направлениях моментов

и

(см.
черт. 3.51) наиболее напряженное волокно расчетного сечения расположено по краю сечения, наиболее удаленному от свободного края плиты. Это волокно расположено на расстоянии от центра тяжести, равном

.
Тогда момент сопротивления равен:

.
Расчетный момент от колонн равен

.
Момент от эксцентричного приложения силы F равен

. Этот момент противоположен по знаку моменту

, следовательно,
M = 85 - 5,4 = 79,6 кН x м.

,
т.е. прочность сечения с незамкнутым контуром обеспечена.
Проверим прочность сечения замкнутого контура. Определяем его геометрические характеристики:
Периметр

.
Момент сопротивления

.
Момент равен

.

,
т.е. прочность плиты на продавливание обеспечена по всем сечениям.
4. РАСЧЕТ ЭЛЕМЕНТОВ ЖЕЛЕЗОБЕТОННЫХ КОНСТРУКЦИЙ
ПО ПРЕДЕЛЬНЫМ СОСТОЯНИЯМ ВТОРОЙ ГРУППЫ
РАСЧЕТ ЖЕЛЕЗОБЕТОННЫХ ЭЛЕМЕНТОВ ПО РАСКРЫТИЮ ТРЕЩИН
4.1. Расчет железобетонных элементов производят по непродолжительному раскрытию трещин и продолжительному раскрытию трещин.
Непродолжительное раскрытие трещин определяют от совместного действия постоянных и временных (длительных и кратковременных) нагрузок; продолжительные - только от постоянных и временных длительных нагрузок.
4.2. Расчет по раскрытию трещин производят из условия

, (4.1)
где

- ширина раскрытия трещин от действия внешней нагрузки, определяемая согласно
пп. 4.10 -
4.14;

- предельно допустимая ширина раскрытия трещин.
Значения

принимают равными:
а) из условия сохранности арматуры (для любых конструкций)
0,3 мм - при продолжительном раскрытии трещин;
0,4 мм - при непродолжительном раскрытии трещин;
б) из условия ограничения проницаемости конструкций (для конструкций, подверженных непосредственному давлению жидкостей, газов, сыпучих тел)
0,2 мм - при продолжительном раскрытии трещин;
0,3 мм - при непродолжительном раскрытия трещин.
4.3. Расчет по раскрытию трещин не производится, если соблюдается условие

, (4.2)
где M - момент от внешней нагрузки относительно оси, нормальной к плоскости действия момента и проходящей через центр тяжести приведенного поперечного сечения элемента; при этом учитываются все нагрузки (постоянные и временные) с коэффициентом надежности по нагрузке

;

- момент, воспринимаемый нормальным сечением элемента при образовании трещин, определяемый согласно
пп. 4.4 -
4.8.
Для центрально растянутых элементов
условие (4.2) преобразуется в условие

, (4.3)
где

- продольное растягивающее усилие, воспринимаемое элементом при образовании трещин, определяемое согласно
п. 4.9.
ОПРЕДЕЛЕНИЕ МОМЕНТА ОБРАЗОВАНИЯ ТРЕЩИН
4.4. Изгибающий момент

при образовании трещин определяется на основе деформационной модели с учетом неупругих деформаций растянутого бетона согласно
пп. 4.7 и
4.8.
Допускается определять момент

без учета неупругих деформаций бетона согласно
пп. 4.5 и
4.6. Если при этом
условие (4.1) не удовлетворяется, то момент образования трещин следует определять с учетом неупругих деформаций бетона.
4.5. Момент образования трещин без учета неупругих деформаций бетона определяют как для сплошного упругого тела по формуле

, (4.4)
где W - момент сопротивления приведенного сечения для крайнего растянутого волокна бетона;

- расстояние от центра тяжести приведенного сечения элемента до ядровой точки, наиболее удаленной от растянутой зоны, трещинообразование которой проверяется.
Значения W и

определяются согласно п. 4.6.
В
формуле (4.4) знак "плюс" принимают при сжимающей продольной силе N, знак "минус" - при растягивающей силе.
4.6. Момент сопротивления W и расстояние

определяют по формулам:

, (4.5)

, (4.6)
где

- момент инерции приведенного сечения относительно его центра тяжести, определяемый по формуле

; (4.7)
I,

,

- моменты инерции сечения соответственно бетона, растянутой и сжатой арматуры;

- площадь приведенного сечения, равная

, (4.8)

- коэффициент приведения арматуры к бетону;

- расстояние от наиболее растянутого волокна бетона до центра тяжести приведенного сечения элемента.
При

значения W и

допускается определять без учета арматуры.
4.7. Определение момента образования трещин на основе нелинейной деформационной модели производят исходя из положений, приведенных в
пп. 3.72 -
3.75 (черт. 4.1). При этом учитывается работа бетона в растянутой зоне, определяемая двухлинейной диаграммой согласно
п. 3.72. Приведенные модули деформаций сжатого и растянутого бетона в двухлинейной диаграмме принимаются равными соответственно

и

, где

и

.
Черт. 4.1. Схема напряженно-деформированного
состояния сечения элемента при проверке образования
трещин при действии изгибающего момента (а),
изгибающего момента и продольной силы (б)
1 - уровень центра тяжести приведенного сечения
Значение

определяется из решения системы
уравнений (3.144) -
(3.146), принимая относительную деформацию бетона

у растянутой грани равной:
при двухзначной эпюре деформаций в поперечном сечении

;
при однозначной эпюре деформаций

, где

- отношение деформаций бетона на противоположных сторонах сечения.
4.8. Для прямоугольных, тавровых и двутавровых сечений при действии момента в плоскости оси симметрии момент образования трещин с учетом неупругих деформаций растянутого бетона допускается определять по
формуле (4.4) с заменой значения W на

, где

- см. табл. 4.1.
Сечение | Коэффициент  | Форма поперечного сечения |
1. Прямоугольное | 1,30 | |
2. Тавровое с полкой, расположенной в сжатой зоне | 1,30 | |
3. Тавровое с полкой (уширением), расположенной в растянутой зоне: | | |
а) при  независимо от отношения  | 1,25 |
б) при  и  | 1,25 |
в) при  и  | 1,20 |
4. Двутавровое симметричное (коробчатое): | | |
а) при  независимо от отношения  | 1,30 |
б) при  независимо от отношения  | 1,25 |
в) при  и  | 1,25 |
г) при  и  | 1,20 |
д) при  и  | 1,15 |
5. Двутавровое несимметричное, удовлетворяющее условию  : | | |
а) при  независимо от отношения  | 1,30 |
б) при  независимо от отношения  | 1,25 |
в) при  и  | 1,25 |
6. Двутавровое несимметричное, удовлетворяющее условию  : | | |
а) при  независимо от отношения  | 1,25 |
б) при  и  | 1,25 |
в) при  и  | 1,20 |
7. Двутавровое несимметричное, удовлетворяющие условию  | | |
а) при  | 1,35 |
б) при  | 1,30 |
4.9. Усилие

при образовании трещин в центрально растянутых элементах определяют по формуле

, (4.9)
где 20 (МПа) - напряжение во всей арматуре перед образованием трещин в бетоне.
ОПРЕДЕЛЕНИЕ ШИРИНЫ РАСКРЫТИЯ ТРЕЩИН,
НОРМАЛЬНЫХ К ПРОДОЛЬНОЙ ОСИ ЭЛЕМЕНТА
4.10. Ширину раскрытия нормальных трещин определяют по формуле

, (4.10)
где

- напряжение в продольной растянутой арматуре в нормальном сечении с трещиной от соответствующей внешней нагрузки, определяемое согласно
п. 4.11;

- базовое (без учета влияния вида поверхности арматуры) расстояние между смежными нормальными трещинами, определяемое согласно
п. 4.12;

- коэффициент, учитывающий неравномерное распределение относительных деформаций растянутой арматуры между трещинами; допускается принимать

; если при этом
условие (4.1) не удовлетворяется, значение

следует определять согласно
п. 4.13;

- коэффициент, учитывающий продолжительность действия нагрузки и принимаемый равным:
1,0 - при непродолжительном действии нагрузки;
1,4 - при продолжительном действии нагрузки;

- коэффициент, учитывающий профиль продольной арматуры и принимаемый равным:
0,5 - для арматуры периодического профиля (классов A300, A400, A500, B500);
0,8 - для гладкой арматуры (класса A240);

- коэффициент, учитывающий характер нагружения и принимаемый равным:
1,0 - для изгибаемых и внецентренно сжатых элементов;
1,2 - для растянутых элементов.
4.11. Значение напряжения

в растянутой арматуре изгибаемых элементов
(черт. 4.2, а) определяют по формуле

, (4.11)
где

и x - момент инерции и высота сжатой зоны приведенного поперечного сечения, включающего в себя площадь поперечного сечения только сжатой зоны бетона и площади сечения растянутой и сжатой арматуры, умноженные на коэффициент приведения арматуры к бетону

, где

- см.
п. 4.7.
Черт. 4.2. Схемы напряженно-деформированного
состояния элементов с трещинами при действии:
изгибающего момента (а), сжимающей продольной
силы (б), растягивающей продольной силы (в)
1 - уровень центра тяжести приведенного сечения
Коэффициент

можно также определять по формуле

.
Высота сжатой зоны определяется из решения уравнения

, (4.12)
где

,

,

- статические моменты соответственно сжатой зоны бетона, площадей растянутой и сжатой арматуры относительно нейтральной оси.
Для прямоугольных, тавровых и двутавровых сечений напряжение

допускается определять по формуле

, (4.13)
где

- плечо внутренний пары сил, равное

, а коэффициент

определяется по графику на черт. 4.3.
Условные обозначения

при


при

Черт. 4.3. График коэффициента

для
определения плеча внутренней пары сил при
расчете по раскрытию трещин изгибаемых элементов

;

;

, для сечений без сжатой полки

.
Значение напряжения

для внецентренно сжатых элементов, а также для внецентренно растянутых элементов при приложении силы N вне расстояния между арматурами S и S' (
черт. 4.2, б, в) определяют по формуле

, (4.14)
где

- статический момент относительно нейтральной оси; значение

вычисляют по формуле

, (4.15)
а высоту сжатой зоны x определяют из решения уравнения

, (4.16)
где

- момент инерции приведенного сечения относительно нейтральной оси.
Для внецентренно растянутых элементов эксцентриситет e в формуле (4.16) принимают со знаком "минус".
Значение напряжения

для внецентренно растянутых элементов при приложении силы N между центрами тяжести арматуры S и S' (т.е. при

) определяют по формуле

. (4.17)
Для центрально растянутых элементов

. (4.18)
Для внецентренно сжатых элементов прямоугольного сечения напряжение

допускается определять по формуле

, (4.19)
где

- коэффициент, определяемый по табл. 4.2.
| Коэффициенты  |
при  и значениях  , равных | при  и значениях  , равных |
0,01 | 0,05 | 0,10 | 0,20 | >= 0,40 | 0,01 | 0,05 | 0,10 | 0,20 | >= 0,40 |
<= 0,8 | 0,01 | 0,06 | 0,07 | 0,08 | 0,08 | 0,01 | 0,06 | 0,10 | 0,20 | 0,18 |
1,0 | 0,13 | 0,20 | 0,23 | 0,25 | 0,26 | 0,13 | 0,20 | 0,26 | 0,31 | 0,36 |
1,2 | 0,25 | 0,33 | 0,37 | 0,39 | 0,40 | 0,25 | 0,33 | 0,38 | 0,43 | 0,49 |
1,5 | 0,42 | 0,48 | 0,52 | 0,54 | 0,55 | 0,42 | 0,48 | 0,53 | 0,58 | 0,64 |
2,0 | 0,56 | 0,63 | 0,66 | 0,68 | 0,69 | 0,56 | 0,63 | 0,67 | 0,72 | 0,78 |
3,0 | 0,73 | 0,79 | 0,82 | 0,84 | 0,85 | 0,73 | 0,79 | 0,82 | 0,88 | 0,93 |
4,0 | 0,80 | 0,86 | 0,90 | 0,93 | 0,93 | 0,80 | 0,86 | 0,91 | 0,96 | 1,01 |
|
Примечание. При  коэффициенты  определяются линейной интерполяцией. |
Для внецентренно растянутых элементов прямоугольного сечения напряжение

допускается определять по формулам:
б) при

независимо от e'

. (4.21)
При

значение

определяется линейной интерполяцией между значениями

, вычисленными по
формулам (4.20) и (4.21).
Во всех случаях значение

не должно превышать

.
4.12. Значение базового расстояния между трещинами

определяется по формуле

(4.22)
и принимают не менее

и 100 мм и не более

и 400 мм (для элементов с рабочей высотой поперечного сечения не более 1 м).
Здесь

- площадь сечения растянутого бетона, определяемая в общем случае согласно указаниям
п. 4.7. При этом высота растянутой зоны бетона принимается не менее 2a и не более 0,5h. Для прямоугольных, тавровых и двутавровых сечений высоту растянутой зоны бетона допускается определять по формуле (4.23) с учетом указанных ограничений:

, (4.23)
где

- высота растянутой зоны бетона, определяемая как для упругого материала при коэффициенте приведения арматуры к бетону

;
k - поправочный коэффициент, равный:
для прямоугольных сечений и тавровых с полкой в сжатой зоне - 0,90;
для двутавровых (коробчатых) сечений и тавровых с полкой в растянутой зоне - 0,95.
Значение

принимается равным:
для изгибаемых элементов

;
для внецентренно нагруженных элементов

,
где

- статический момент полного приведенного сечения относительно растянутой грани;
знак "плюс" принимается при сжимающей продольной силе N, знак "минус" - при растягивающей силе N.
При различных диаметрах стержней растянутой арматуры значение

принимается равным

, (4.24)
где

,...

- диаметры стержней растянутой арматуры;

,

- число стержней диаметрами соответственно

,

.
4.13. Значение коэффициента

определяют по формуле

, (4.25)
где

- напряжение в продольной растянутой арматуре в сечении сразу после образования нормальных трещин, определяемое по указаниям
п. 4.11, принимая в соответствующих формулах

,

и

, где

и

- расстояния соответственно от центра тяжести растянутой и сжатой арматуры до оси, проходящей через центр тяжести приведенного сечения, принятого при определении

; при этом знак "плюс" принимается при внецентренном сжатии, знак "минус" - при внецентренном растяжении;

- см.
пп. 4.4 -
4.8; N - продольная сила при действии рассматриваемой нагрузки;

- напряжение в продольной растянутой арматуре при действии рассматриваемой нагрузки.
Если

, принимают

.
Для изгибаемых элементов значение коэффициента

допускается определять по формуле

(4.26)
и принимать не менее 0,2.
4.14. Ширину раскрытия трещин принимают равной:
при продолжительном раскрытии

; (4.27)
при непродолжительном раскрытии

, (4.28)
где

- ширина раскрытия трещин, определяемая согласно
п. 4.10 при

и при действии постоянных и длительных нагрузок;

- то же, при

и действии всех нагрузок (т.е. включая кратковременные);

- то же, при

и действии постоянных и длительных нагрузок.
Ширину непродолжительного раскрытия трещин можно также определять по формуле

, (4.28а)
где значения

и

определяются согласно
п. 4.11 при действии соответственно суммы постоянных и длительных нагрузок и всех нагрузок;
При отсутствии требований к конструкции по ограничению проницаемости и при выполнении условия

, (4.29)
можно проверять только продолжительное раскрытие трещин, а при невыполнении условия (4.29) - только непродолжительное раскрытие.
Для изгибаемых элементов в
формулах (4.28а) и
(4.29) значения

,

, и

можно заменить соответственно

, M и

- момент от действия постоянных и длительных нагрузок.
Пример 42. Дано: железобетонная плита перекрытия с размерами поперечного сечения (для половины сечения плиты) по
черт. 4.4; бетон класса B25 (

,

,

); площадь сечения растянутой арматуры класса A400

; полный момент в середине пролета M = 69 кН x м; все нагрузки постоянные и длительные.
Требуется произвести расчет по раскрытию нормальных трещин.
Расчет. Из
черт. 4.4 имеем: b = 85 мм, h = 400 мм, a = 58 мм,

;

.
Определим момент образования трещин

согласно
п. 4.5. Для этого определяем геометрические характеристики приведенного сечения при

и

:

;

;

;

.
Учтем неупругие деформации растянутого бетона путем умножения W на коэффициент

, равный согласно
табл. 4.1 1,30, т.е.

. Тогда

,
т.е. трещины образуются и расчет по раскрытию трещин необходим.
Определим напряжение в арматуре

по
формуле (4.13). Рабочая высота сечения

; коэффициент приведения

. Тогда при

и

из графика на
черт. 4.2 находим коэффициент

и плечо внутренней пары сил равно

.

.
Поскольку высота растянутого бетона, равная

, площадь сечения растянутого бетона принимаем равной

.
Тогда

,
что меньше

и меньше 400 мм, поэтому оставляем

.

.
Определяем по
формуле (4.10) ширину продолжительного раскрытия трещин, принимая

,

и

,

,
что меньше предельно допустимой ширины продолжительного раскрытия трещин, равной согласно
п. 4.2 
.
Пример 43. Дано: железобетонная плита фундамента с размерами поперечного сечения h = 300 мм, b = 1150 мм; a = 42 мм; бетон класса B15 (

,

); рабочая арматура класса A400 с площадью сечения

; момент в расчетном сечении от постоянных и длительных нагрузок

, от кратковременных нагрузок

; фундамент эксплуатируется в неагрессивных условиях (выше верхнего уровня грунтовых вод).
Требуется произвести расчет по раскрытию нормальных трещин.
Расчет. Определим момент образования трещин

согласно
пп. 4.5 -
4.8. Поскольку

, упругий момент сопротивления W определим без учета арматуры, т.е.

.
Учтем неупругие деформации растянутого бетона путем умножения W на коэффициент

, равный согласно
табл. 4.1 1,30, т.е.

. Тогда
т.е. трещины при действии полной нагрузки образуются и расчет по раскрытию трещин необходим.
Проверим
условие (4.29) с заменой напряжений

соответствующими моментами

,
следовательно, проверяем только продолжительное раскрытие трещин. Определяем напряжение в арматуре

по
формуле (4.13), принимая

. Рабочая высота сечения

; коэффициент приведения

. Тогда при

и

из графика на
черт. 4.3 находим

. Плечо внутренней пары сил равно

.

.
Для прямоугольного сечения высота растянутой зоны бетона с учетом неупругих деформаций равна y = 0,5hk = 0,5 x 300 x 0,9 = 135 мм > 2a = 2 x 42 = 84 мм и, кроме того, y = 135 мм < 0,5h = 150 мм, поэтому оставляем y = 135 мм и тогда

.

,
что больше

и более 400 мм, поэтому принимаем

.

.
Определяем по
формуле (4.10) ширину продолжительного раскрытия трещин, принимая

,

и

:

,
что меньше предельно допустимой ширины продолжительного раскрытия трещин, равной

.
Пример 44. Дано: железобетонная колонна промышленного здания, с размерами поперечного сечения h = 500 мм, b = 400 мм; a = a' = 50 мм; бетон класса B15 (

,

,

); рабочая арматура класса A400 с площадью сечения

; усилия от постоянных и длительных нагрузок:

,

; усилия от кратковременной (ветровой) нагрузки:

;

.
Требуется рассчитать колонну по раскрытию трещин.
Расчет. Определяем момент образования трещин

согласно
пп. 4.5 -
4.8.
Поскольку

, определяем значения W и

с учетом арматуры при коэффициенте приведения

. Для прямоугольного сечения с симметричной арматурой

, а момент инерции

равен

.
Тогда

.
Площадь приведенного сечения равна

.
Тогда

.
Учитываем неупругие деформации растянутого бетона путем умножения W на коэффициент

(см.
табл. 4.1), т.е.

.
т.е. трещины при действии всех нагрузок образуются и расчет по раскрытию трещин необходим.
Определяем напряжение в растянутой арматуре при действии всех нагрузок по
формуле (4.19)

.

.
Аналогично определяем напряжение

при действии постоянных и длительных нагрузок, т.е. принимая

и

.

.

.
Определим также напряжение

при действии момента

и силы N = 500 кН.

,
Определяем расстояние между трещинами

согласно
п. 4.12. Для этого вычислим высоту растянутой зоны бетона по
формуле (4.23), принимая k = 0,90, а

,

.
Принимаем y = 100 мм и тогда площадь сечения растянутого бетона равна

, а

.
Принимаем

.

;

,
что меньше предельно допустимой ширины непродолжительного раскрытия трещин, равной 0,4 мм.
РАСЧЕТ ЖЕЛЕЗОБЕТОННЫХ КОНСТРУКЦИЙ ПО ДЕФОРМАЦИЯМ
4.15. Расчет элементов железобетонных конструкций по деформациям производят с учетом эксплуатационных требований, предъявляемых к конструкции.
Расчет по деформациям следует производить на действие:
постоянных, временных длительных и кратковременных нагрузок при ограничении деформаций технологическими или конструктивными требованиями;
постоянных и временных длительных нагрузок при ограничении деформаций эстетико-психологическими требованиями.
4.16. Значения предельно допустимых деформаций элементов принимают согласно
СНиП 2.01.07-85* и нормативным документам на отдельные виды конструкций.
РАСЧЕТ ЖЕЛЕЗОБЕТОННЫХ ЭЛЕМЕНТОВ ПО ПРОГИБАМ
4.17. Расчет железобетонных элементов по прогибам производят из условия

, (4.30)
где f - прогиб железобетонного элемента от действия внешней нагрузки;

- значение предельно допустимого прогиба железобетонного элемента.
Прогибы железобетонных конструкций определяют по общим правилам строительной механики в зависимости от изгибных, сдвиговых и осевых деформационных характеристик железобетонных элементов в сечениях по его длине (кривизны, углов сдвига, относительных продольных деформаций).
В тех случаях, когда прогибы железобетонных элементов, в основном, зависят от изгибных деформаций, значение прогибов определяют по кривизне элемента согласно пп. 4.18 и
4.19.
4.18. Прогиб железобетонных элементов, обусловленный деформацией изгиба, определяют по формуле

, (4.31)
где

- изгибающий момент в сечении x от действия единичной силы, приложенной в сечении, для которого определяется прогиб, в направлении этого прогиба;

- полная кривизна элемента в сечении от внешней нагрузки, при которой определяется прогиб.
В общем случае
формулу (4.31) можно реализовать путем разбиения элемента на ряд участков, определяя кривизну на границах этих участков (с учетом наличия или отсутствия трещин и знака кривизны), и перемножения эпюр моментов

и кривизны

по длине элемента, принимая линейное распределение кривизны в пределах каждого участка. В этом случае при определении прогиба в середине пролета
формула (4.31) приобретает вид

, (4.32)
где

,

- кривизна элемента соответственно на левой и правой опорах;

,

- кривизна элемента в симметрично расположенных сечениях i и i' (при i = i') соответственно слева и справа от оси симметрии (середины пролета, черт. 4.5);

- кривизна элемента в середине пролета;
n - четное число равных участков, на которое разделяют пролет, принимаемое не менее 6;
l - пролет элемента.
Черт. 4.5. Эпюра кривизны в железобетонном
элементе при общем случае определения прогиба
4.19. Для изгибаемых элементов постоянного сечения, имеющих трещины на каждом участке, в пределах которого изгибающий момент не меняет знак, допускается вычислять кривизну для наиболее напряженного сечения и принимать для остальных сечений такого участка кривизны изменяющимися пропорционально значениям изгибающего момента (черт. 4.6).
Черт. 4.6. Эпюры изгибающих моментов и кривизны
в железобетонном элементе постоянного сечения
а - схема расположения нагрузки;
б - эпюра моментов; в - эпюра кривизны
В этом случае для свободно опертых и консольных элементов максимальный прогиб определяют по формуле

, (4.33)
где

- полная кривизна в сечении с наибольшим изгибающим моментом, от нагрузки, при которой определяется прогиб;
S - коэффициент, принимаемый по табл. 4.3.
Схема загружения свободно опертой балки | Коэффициент S | Схема загружения консоли | Коэффициент S |
| | | |
| | | |
| | | |
Примечание. При загружении элемента сразу по нескольким схемам  , где Sl и Ml - соответственно коэффициент S и момент M в середине пролета балки или в заделке консоли для каждой схемы загружения. В этом случае кривизна  определяется при значении M равном  |
Если прогиб, определяемый по
формуле (4.33), превышает допустимый, то для слабо армированных элементов

его значение рекомендуется уточнить за счет учета повышенной жесткости на участках без трещин и учета переменной жесткости на участках с трещинами; для свободно опертых балок, загруженных равномерно распределенной нагрузкой, это соответствует формуле

, (4.34)
где

- полная кривизна в середине пролета, определенная без учета наличия трещин по
формуле (4.37);

;
здесь

;

- максимальный момент от всех нагрузок;

- момент образования трещин, определяемый согласно
пп. 4.4 -
4.8.
Для изгибаемых элементов с защемленными опорами прогиб в середине пролета может определяться по формуле

, (4.35)
где

,

,

- кривизна соответственно в середине пролета, на левой и правой опорах;
S - коэффициент, определяемый по
табл. 4.3 как для свободно опертой балки.
Во всех случаях прогиб принимается не менее прогиба, определенного по кривизнам без учета трещин.
4.20. Для изгибаемых элементов при l/h < 10 необходимо учитывать влияние поперечных сил на их прогиб. В этом случае полный прогиб равен сумме прогибов, обусловленных деформацией изгиба (см.
пп. 4.18 и
4.19) и деформацией сдвига

.
Прогиб

, обусловленный деформацией сдвига, определяют по формуле

, (4.36)
где

- поперечная сила в сечении x от действия единичной силы, приложенной в сечении, для которого определяется прогиб, в направлении этого прогиба;

- угол сдвига элемента в сечении от действия внешней нагрузки, при которой определяется прогиб.
Значение

определяется по указаниям
п. 4.28.
ОПРЕДЕЛЕНИЕ КРИВИЗНЫ ЖЕЛЕЗОБЕТОННЫХ ЭЛЕМЕНТОВ
4.21. Кривизну железобетонных элементов для вычисления их прогибов определяют:
а) для элементов или участков элемента, где в растянутой зоне не образуются нормальные к продольной оси трещины, согласно
п. 4.23;
б) для элементов или участков элемента, где в растянутой зоне имеются трещины, согласно
пп. 4.24 -
4.26.
Элементы или участки элементов рассматривают без трещин, если трещины не образуются (т.е. выполняется
условие 4.2) при действии всех нагрузок (т.е. включая и кратковременные) с коэффициентом надежности по нагрузке

.
Кривизну железобетонных элементов с трещинами и без трещин можно определить на основе деформационной модели согласно
п. 4.27.
4.22. Полную кривизну изгибаемых, внецентренно сжатых и внецентренно растянутых элементов определяют по формуле:
- для участков без трещин в растянутой зоне

, (4.37)
где

и

- кривизны соответственно от непродолжительного действия кратковременных нагрузок и от продолжительного действия постоянных и длительных нагрузок;
- для участков с трещинами в растянутой зоне

, (4.38)
где

- кривизна от непродолжительного действия всех нагрузок, на которые производят расчет по деформациям;

- кривизна от непродолжительного действия постоянных и длительных нагрузок;

- кривизна от продолжительного действия постоянных и длительных нагрузок.
Примечание. При использовании
формулы (4.37) кратковременную нагрузку, включающую в себя согласно
СНиП 2.01.07-85* пониженное значение, следует принимать уменьшенной на это значение, учитываемое в этой формуле как длительная нагрузка.
КРИВИЗНА ЖЕЛЕЗОБЕТОННОГО ЭЛЕМЕНТА
НА УЧАСТКЕ БЕЗ ТРЕЩИН В РАСТЯНУТОЙ ЗОНЕ
4.23. Кривизну железобетонного элемента на участке без трещин определяют по формуле

, (4.39)
где M - изгибающий момент от внешней нагрузки (включая момент от продольной силы N относительно оси, проходящей через центр тяжести приведенного сечения);

- момент инерции приведенного сечения относительно его центра тяжести, определяемый как для сплошного тела по общим правилам сопротивления упругих материалов с учетом всей площади сечения бетона и площадей сечения арматуры с коэффициентом приведения арматуры к бетону, равным

;

- модуль деформации сжатого бетона, принимаемый равным:
при непродолжительном действии нагрузки

; (4.40)
при продолжительном действии нагрузки

, (4.41)
где

- коэффициент ползучести бетона, принимаемый в зависимости от относительной влажности воздуха и класса бетона по табл. 4.4.
Относительная влажность воздуха окружающей среды, % | Значения коэффициента ползучести  при классе бетона на сжатие |
B10 | B15 | B20 | B25 | B30 | B35 | B40 | B45 | B50 | B55 | B60 |
выше 75 (повышенная) | 2,8 | 2,4 | 2,0 | 1,8 | 1,6 | 1,5 | 1,4 | 1,3 | 1,2 | 1,1 | 1,0 |
40 - 75 (нормальная) | 3,9 | 3,4 | 2,8 | 2,5 | 2,3 | 2,1 | 1,9 | 1,8 | 1,6 | 1,5 | 1,4 |
ниже 40 (пониженная) | 5,6 | 4,8 | 4,0 | 3,6 | 3,2 | 3,0 | 2,8 | 2,6 | 2,4 | 2,2 | 2,0 |
Примечание. Относительную влажность воздуха окружающей среды принимают по СНиП 23-01-99 как среднюю месячную относительную влажность наиболее теплого месяца для района строительства. |
КРИВИЗНА ЖЕЛЕЗОБЕТОННОГО ЭЛЕМЕНТА
НА УЧАСТКЕ С ТРЕЩИНАМИ В РАСТЯНУТОЙ ЗОНЕ
4.24. Кривизну изгибаемого железобетонного элемента на участках с трещинами в растянутой зоне определяют по формуле

, (4.42)
где

- момент инерции приведенного сечения относительно его центра тяжести, определяемый по общим правилам сопротивления упругих материалов с учетом площади сечения бетона только сжатой зоны, площадей сечения сжатой арматуры с коэффициентом приведения

и растянутой арматуры с коэффициентом приведения
(черт. 4.7);

- приведенный модуль деформации сжатого бетона, принимаемый равным

, где значение

равно:
при непродолжительном действии нагрузки -

;
при продолжительном действии нагрузки в зависимости от относительной влажности воздуха окружающей среды w, %:
при w > 75% -

;
при 75% >= w >= 40% -

;
при w < 40% -

.
Черт. 4.7. Приведенное поперечное сечение (а) и схема
напряженно-деформированного состояния изгибаемого
элемента с трещинами при расчете его по деформациям

1 - уровень центра тяжести приведенного сечения
Значения коэффициентов приведения арматуры к бетону принимают равными:
для сжатой арматуры -

;
для растянутой арматуры -

,
Коэффициент

можно также определять по формулам:
при непродолжительном действии нагрузки -

;
при продолжительном действии нагрузки и нормальной влажности окружающего воздуха (w = 40 ... 75%) -

;
а коэффициент

- по формуле

.
Высоту сжатой зоны определяют из решения уравнения

, (4.43)
где

,

и

- статические моменты соответственно сжатой зоны бетона, площадей растянутой и сжатой арматуры относительно нейтральной оси.
Для прямоугольных, тавровых и двутавровых сечений высоту сжатой зоны определяют по формуле

, (4.44)
где

;
4.25. Для изгибаемых элементов прямоугольного, таврового и двутаврового сечений, эксплуатируемых при влажности воздуха окружающей среды выше 40%, кривизну на участках с трещинами допускается определять по формуле

, (4.45)
где

- см. табл. 4.5;
| Коэффициенты  при значениях  , равных |
<= 0,07 | 0,10 | 0,15 | 0,20 | 0,30 | 0,40 | 0,50 | 0,60 | 0,70 | 0,80 | 0,90 | 1,00 |
0,0 | 0,60 | 0,55 | 0,49 | 0,45 | 0,38 | 0,34 | 0,30 | 0,27 | 0,25 | 0,23 | 0,22 | 0,20 |
0,2 | 0,69 | 0,65 | 0,59 | 0,55 | 0,48 | 0,43 | 0,39 | 0,36 | 0,33 | 0,31 | 0,29 | 0,27 |
0,4 | 0,73 | 0,69 | 0,65 | 0,61 | 0,55 | 0,50 | 0,46 | 0,42 | 0,40 | 0,37 | 0,35 | 0,33 |
0,6 | 0,75 | 0,72 | 0,68 | 0,65 | 0,59 | 0,55 | 0,51 | 0,47 | 0,45 | 0,42 | 0,40 | 0,38 |
0,8 | 0,76 | 0,74 | 0,71 | 0,69 | 0,62 | 0,58 | 0,54 | 0,51 | 0,48 | 0,46 | 0,44 | 0,42 |
1,0 | 0,77 | 0,75 | 0,72 | 0,70 | 0,65 | 0,61 | 0,57 | 0,54 | 0,52 | 0,49 | 0,47 | 0,45 |
 ;  при продолжительном действии нагрузок  ; при непродолжительном действии нагрузок  . |
Коэффициенты | Коэффициенты  при значениях  , равных |
| | <= 0,07 | 0,07 - 0,1 | 0,1 - 0,2 | 0,2 - 0,4 | 0,4 - 0,6 | 0,6 - 0,8 | 0,8 - 1,0 | <= 0,07 | 0,07 - 0,1 | 0,1 - 0,2 | 0,2 - 0,4 | 0,4 - 0,6 | 0,6 - 0,8 | 0,8 - 1,0 |
| | непродолжительное действие нагрузок | продолжительное действие нагрузок |
0,0 | 0,0 | 0,16 | 0,16 | 0,16 | 0,17 | 0,17 | 0,17 | 0,17 | 0,15 | 0,14 | 0,14 | 0,13 | 0,13 | 0,12 | 0,12 |
0,0 | 0,2 | 0,20 | 0,20 | 0,20 | 0,21 | 0,22 | 0,23 | 0,23 | 0,18 | 0,18 | 0,18 | 0,17 | 0,17 | 0,17 | 0,16 |
0,0 | 0,4 | 0,22 | 0,23 | 0,23 | 0,24 | 0,26 | 0,27 | 0,28 | 0,21 | 0,21 | 0,21 | 0,21 | 0,21 | 0,20 | 0,20 |
0,0 | 0,6 | 0,24 | 0,25 | 0,25 | 0,27 | 0,29 | 0,31 | 0,32 | 0,23 | 0,23 | 0,23 | 0,23 | 0,24 | 0,24 | 0,24 |
0,0 | 0,8 | 0,25 | 0,26 | 0,27 | 0,29 | 0,32 | 0,34 | 0,36 | 0,24 | 0,24 | 0,25 | 0,25 | 0,26 | 0,27 | 0,27 |
0,0 | 1,0 | 0,26 | 0,27 | 0,28 | 0,30 | 0,34 | 0,37 | 0,39 | 0,25 | 0,26 | 0,26 | 0,27 | 0,28 | 0,29 | 0,3 |
0,2 | 0,0 | 0,24 | 0,23 | 0,23 | 0,22 | 0,21 | 0,21 | 0,20 | 0,20 | 0,21 | 0,20 | 0,18 | 0,16 | 0,15 | 0,14 |
0,4 | 0,0 | - | 0,31 | 0,29 | 0,27 | 0,26 | 0,25 | 0,24 | - | 0,27 | 0,26 | 0,22 | 0,19 | 0,18 | 0,17 |
0,6 | 0,0 | - | 0,38 | 0,36 | 0,33 | 0,30 | 0,28 | 0,27 | - | 0,34 | 0,31 | 0,27 | 0,23 | 0,20 | 0,19 |
0,8 | 0,0 | - | - | 0,43 | 0,38 | 0,35 | 0,32 | 0,30 | - | - | 0,37 | 0,31 | 0,26 | 0,23 | 0,21 |
1,0 | 0,0 | - | - | 0,50 | 0,44 | 0,39 | 0,36 | 0,30 | - | - | 0,44 | 0,36 | 0,30 | 0,26 | 0,23 |
0,2 | 0,2 | 0,29 | 0,28 | 0,28 | 0,28 | 0,27 | 0,27 | 0,27 | 0,27 | 0,14 | 0,25 | 0,23 | 0,21 | 0,20 | 0,19 |
0,4 | 0,4 | - | 0,41 | 0,40 | 0,39 | 0,39 | 0,38 | 0,38 | - | 0,26 | 0,36 | 0,33 | 0,31 | 0,29 | 0,28 |
0,6 | 0,6 | - | - | 0,53 | 0,52 | 0,51 | 0,50 | 0,49 | - | 0,38 | 0,48 | 0,44 | 0,41 | 0,38 | 0,37 |
0,8 | 0,8 | - | - | 0,66 | 0,64 | 0,63 | 0,62 | 0,61 | - | - | 0,61 | 0,56 | 0,51 | 0,48 | 0,46 |
1,0 | 1,0 | - | - | - | 0,77 | 0,75 | 0,79 | 0,73 | - | - | - | 0,68 | 0,63 | 0,59 | 0,50 |
4.26. Кривизну внецентренно сжатых элементов, а также внецентренно растянутых элементов при приложении силы N вне расстояния между арматурами S и S' на участках с трещинами в растянутой зоне определяют по формуле

, (4.46)
где

- статический момент указанного в
п. 4.24 приведенного сечения относительно нейтральной оси; значение

вычисляется по формуле

, (4.47)

,

и

- статические моменты соответственно сжатой зоны бетона, сжатой и растянутой арматуры относительно нейтральной оси;

и

- коэффициенты приведения для сжатой и растянутой арматуры, определяемые согласно
п. 4.24;
В
формуле (4.46) знак "плюс" принимается для внецентренно сжатых элементов, знак "минус" - для внецентренно растянутых элементов, поскольку для этих элементов значение

, вычисленное по
формуле (4.47), всегда меньше нуля.
Высоту сжатой зоны внецентренно нагруженных элементов определяют из решения уравнения

, (4.48)
где

- момент инерции приведенного сечения относительно нейтральной оси, равный

, (4.49)

,

,

- моменты инерции соответственно сжатой зоны бетона, сжатой и растянутой арматуры относительно нейтральной оси.

, (4.48а)
ОПРЕДЕЛЕНИЕ КРИВИЗНЫ ЖЕЛЕЗОБЕТОННЫХ ЭЛЕМЕНТОВ
НА ОСНОВЕ НЕЛИНЕЙНОЙ ДЕФОРМАЦИОННОЙ МОДЕЛИ
4.27. Значение кривизны принимают равным:
при двухзначной эпюре деформации по сечению -

;
при однозначной эпюре деформаций сжатого бетона по сечению -

,
где

и

- максимальные и минимальные деформации бетона, определяемые на основе положений, приведенных в
пп. 3.72 -
3.75;
x - высота сжатой зоны в направлении, нормальном к нейтральной оси;
h - высота сечения в направлении, нормальном условной нейтральной оси
(черт 3.39, б);
при однозначной эпюре деформаций растянутой арматуры по сечению -

,
где

и

- абсолютные значения деформаций максимально и минимально растянутых стержней арматуры, определяемые согласно
пп. 3.72 -
3.75;

- расстояние между этими стержнями в направлении, нормальном условной нейтральной оси.
При этом для элемента с трещинами в растянутой зоне напряжения в арматуре, пересекающей трещину, определяется по формуле

, (4.50)
где

- усредненная относительная деформация растянутой арматуры в рассматриваемой стадии расчета, соответствующая линейному закону распределения деформаций по сечению;

- относительная деформация растянутой арматуры в сечении с трещиной сразу после образования трещин (т.е. при действии момента

), равная

, где

- см.
п. 4.13.
При наличии трещин напряженно-деформированное состояние сжатого бетона определяется по двухлинейной диаграмме

с использованием приведенного модуля деформаций сжатого бетона

, определяемого согласно
п. 4.24, и значений

и

, принимаемых по
табл. 4.7.
При отсутствии трещин напряженно-деформированное состояние сжатого бетона определяется по трехлинейной диаграмме
(черт. 4.8), где

,

и

- см.
табл. 4.7;

принимается равным: при непродолжительном действии нагрузки -

, при продолжительном действии нагрузки - см.
формулу (4.41). Напряженно-деформированное состояние растянутого бетона также определяется по трехлинейной диаграмме (см.
черт. 4.8) с заменой

на

,

на

,

на

, где значения

и

- см. табл. 4.7.
Характер действия нагрузки | Относительные деформации бетона |
при сжатии | при растяжении |
| | | | | |
непродолжительное | 2,0 | 3,5 | 1,5 | 0,10 | 0,15 | 0,08 |
продолжительное при относительной влажности окружающего воздуха, % | | | | | | |
выше 75 | 3,0 | 4,2 | 2,4 | 0,21 | 0,27 | 0,19 |
40 - 75 | 3,4 | 4,8 | 2,8 | 0,24 | 0,31 | 0,22 |
ниже 40 | 4,0 | 5,6 | 3,4 | 0,28 | 0,36 | 0,26 |
Черт. 4.8. Трехлинейная диаграмма состояния сжатого бетона
Кривизна на основе нелинейной деформационной модели определяется с помощью компьютерных программ.
При расчете статически неопределимых конструкций с учетом физической нелинейности для отдельных участков элементов используются жесткости, равные

, где M - максимальный момент относительно геометрической оси элемента на рассматриваемом участке,

- соответствующая кривизна, определяемая согласно
п. 4.27.
ОПРЕДЕЛЕНИЕ УГЛОВ СДВИГА ЖЕЛЕЗОБЕТОННОГО ЭЛЕМЕНТА
4.28. Угол деформации сдвига определяется по формуле

, (4.51)
где

- поперечная сила в сечении x от действия внешней нагрузки;

- коэффициент, учитывающий влияние ползучести бетона и принимаемый равным: при продолжительном действии нагрузок

, где

- см.
табл. 4.4; при непродолжительном действии нагрузок

;

- коэффициент, учитывающий влияние трещин на деформации сдвига и принимаемый равным:
- на участках по длине элемента, где отсутствуют нормальные и наклонные к продольной оси элемента трещины, -

;
- на участках, где имеются только наклонные трещины, -

;
- на участках, где имеются только нормальные или нормальные и наклонные трещины, коэффициент

определяется по формуле

, (4.52)
где

и

- соответственно момент и кривизна от внешней нагрузки при непродолжительном ее действии;

- момент инерции полного приведенного сечения при коэффициенте приведения арматуры к бетону

.
Образование наклонных трещин соответствует выполнению условия

. (4.53)
Пример 45. Дано: железобетонная плита перекрытия гражданского здания прямоугольного сечения размерами h = 200 мм, b = 1000 мм;

; пролет l = 5,6 м; бетон класса B15 (

;

,

); растянутая арматура класса A400

с площадью поперечного сечения

; полная равномерно распределенная нагрузка q = 7,0 кН/м, в том числе ее часть от постоянных и длительных нагрузок

; прогиб ограничивается эстетическими требованиями.
Требуется рассчитать плиту по деформациям.
Расчет. Определим кривизну в середине пролета от действия постоянных и длительных нагрузок, так как прогиб ограничивается эстетическими требованиями.
Момент в середине пролета равен

.
Принимаем без расчета, что плита имеет трещины в растянутой зоне, в связи с чем кривизну определим по
формуле (4.45). Коэффициент армирования равен

.
При продолжительном действии нагрузки коэффициент приведения арматуры равен

. Из
табл. 4.5 при

и

находим

, а из
табл. 4.6 при

и

находим соответствующий продолжительному действию нагрузки коэффициент

.
Тогда

.

.
Согласно СНиП 2.01.07-85*
табл. 19, поз. 5 определим предельно допустимый прогиб по эстетическим требованиям для пролета 5,6 м путем линейной интерполяции

, т.е.
условие (4.30) не выполняется.
Уточним прогиб плиты за счет учета переменной жесткости на участке с трещинами путем определения его по
формуле (4.34). Для этого определяем момент трещинообразования

согласно
пп. 4.5 и
4.8.
Вычисляем геометрические характеристики приведенного сечения при коэффициенте приведения

:

;

;

;

.

.
Момент в середине пролета от полной нагрузки равен

.
Тогда при

вычисляем

,

.
Определим кривизну

при

без учета трещин при продолжительном действии нагрузки, принимая из
табл. 4.4 для класса бетона B15

и, следовательно,

.
Поскольку влияние значения

на прогиб незначительно, определяем эту кривизну по
формуле (4.38), не пересчитывая значение

:

.
Тогда
т.е. уточненный прогиб также превышает допустимое значение.
Пример 46. Дано: железобетонная плита покрытия с расчетным пролетом 5,7 м; размеры сечения (для половины сечения плиты) по
черт. 4.9; бетон класса B25 (

,

,

); рабочая арматура класса A400 с площадью сечения

; постоянная и длительная равномерно распределенная нагрузка

; прогиб плиты ограничивается эстетическими требованиями; влажность окружающего воздуха пониженная (w < 40%).
Требуется рассчитать плиту по деформациям.
Расчет. Поскольку приближенная
формула для кривизны (4.45) не распространяется на конструкции, эксплуатируемые при влажности воздуха менее 40%, кривизну определяем по общей
формуле (4.42) как для элементов с трещинами в растянутой зоне.
Момент в середине плиты от постоянных и длительных нагрузок для половины сечения плиты равен:

.
Предварительно определяем момент трещинообразования

согласно
пп. 4.5 и
4.8. Определим геометрические характеристики приведенного сечения при коэффициенте приведения

:

;
Упругий момент сопротивления

.

.

.
Приведенный модуль деформации при продолжительном действии нагрузки и при w < 40% равен

,
и тогда

.
Определяем высоту сжатой зоны по
формуле (4.44), принимая усредненную ширину ребра 85 мм и площадь сжатых свесов, равную

, и рабочую высоту

:

;

;

;

;

.

.
Согласно СНиП 2.01.07-85*
табл. 19, поз. 3 предельно допустимый прогиб по эстетическим требованиям для пролета 5,7 м равен

, т.е.
условие (4.30) выполняется.
5. КОНСТРУКТИВНЫЕ ТРЕБОВАНИЯ
5.1. Для обеспечения несущей способности, пригодности к нормальной эксплуатации и долговечности бетонных и железобетонных конструкций помимо требований, определяемых расчетом, следует выполнять конструктивные требования:
- по геометрическим размерам элементов конструкций;
- по армированию (содержанию и расположению арматуры, толщине защитного слоя бетона, анкеровке и соединениям арматуры);
- по защите конструкций от неблагоприятного влияния воздействий среды.
ГЕОМЕТРИЧЕСКИЕ РАЗМЕРЫ КОНСТРУКЦИЙ
5.2. Минимальные геометрические размеры сечений конструкций следует назначать такими, чтобы обеспечивать:
- возможность надлежащего размещения арматуры (расстояния между стержнями, защитный слой бетона и т.д.), ее анкеровки и совместной работы с бетоном;
- достаточную жесткость конструкций;
- необходимую огнестойкость, водонепроницаемость конструкций, тепло- и звукоизоляцию, коррозионную стойкость, радиационную защиту и т.п.;
- возможность качественного изготовления при бетонировании конструкций.
5.3. Размеры сечений внецентренно сжатых элементов для обеспечения их жесткости рекомендуется принимать такими, чтобы их гибкость

в любом направлении не превышала:
- для железобетонных элементов - 200 (для прямоугольных сечений при

);
- для колонн, являющихся элементами зданий, - 120 (при

);
- для бетонных элементов - 90 (при

).
5.4. Толщина <1> полок монолитных ребристых перекрытий должна приниматься, мм, не менее:
для покрытий ............................................. 40;
для междуэтажных перекрытий жилых и общественных зданий .. 50;
для междуэтажных перекрытий производственных зданий ...... 60.
--------------------------------
<1> Здесь и далее по тексту величины размеров сечений, толщины защитного слоя бетона и др., приведенные в настоящем Пособии, относятся к номинальным значениям при проектировании и указываемым в чертежах. От этих номинальных значений возможны отклонения в натуре, не превышающие величин, указанных в соответствующих государственных стандартах, технических условиях и др.
5.5. В конструкциях зданий и сооружений следует предусматривать их разрезку постоянными и временными температурно-усадочными швами, расстояния между которыми назначают в зависимости от климатических условий, конструктивных особенностей сооружения, последовательности производства работ и т.п.
При возможности неравномерной осадки фундаментов следует предусматривать разделение конструкций осадочными швами.
5.6. Арматура, расположенная внутри сечения конструкции, должна иметь защитный слой бетона (расстояние от поверхности арматуры до соответствующей грани конструкций) чтобы обеспечивать:
- совместную работу арматуры с бетоном;
- анкеровку арматуры в бетоне и возможность устройства стыков арматурных элементов;
- сохранность арматуры от воздействий окружающей среды (в том числе при наличии агрессивных воздействий);
- огнестойкость и огнесохранность.
5.7. Толщину защитного слоя бетона назначают исходя из требований
п. 5.6 с учетом типа конструкций, роли арматуры в конструкциях (продольная рабочая, поперечная, распределительная, конструктивная арматура), условий окружающей среды и диаметра арматуры.
Минимальные значения толщины защитного слоя бетона рабочей арматуры следует принимать по табл. 5.1.
N п/п | Условия эксплуатации конструкций здания | Толщина защитного слоя бетона, мм, не менее |
1. | В закрытых помещениях при нормальной и пониженной влажности | 20 |
2. | В закрытых помещениях при повышенной влажности (при отсутствии дополнительных защитных мероприятий) | 25 |
3. | На открытом воздухе (при отсутствии дополнительных защитных мероприятий) | 30 |
4. | В грунте (при отсутствии дополнительных защитных мероприятий), в фундаментах при наличии бетонной подготовки | 40 |
5. | В монолитных фундаментах при отсутствии бетонной подготовки | 70 |
Для сборных элементов минимальные значения толщины защитного слоя бетона рабочей арматуры, указанные в
табл. 5.1, уменьшают на 5 мм.
Для железобетонных плит из бетона класса B20 и выше, изготовляемых на заводах в металлических формах и защищаемых сверху в сооружении бетонной подготовкой или стяжкой, толщину защитного слоя для верхней арматуры допускается принимать 5 мм.
Для конструктивной арматуры минимальные значения толщины защитного слоя бетона принимают на 5 мм меньше по сравнению с требуемыми для рабочей арматуры.
Во всех случаях толщину защитного слоя бетона следует также принимать не менее диаметра стержня арматуры.
5.8. В изгибаемых, растянутых и внецентренно сжатых (при

) элементах, кроме фундаментов, толщина защитного слоя для растянутой рабочей арматуры, как правило, не должна превышать 50 мм. В защитном слое толщиной свыше 50 мм следует устанавливать конструктивную арматуру в виде сеток. При этом площадь сечения продольной арматуры сеток должна быть не менее 0,05A, шаг поперечной арматуры должен не превышать высоты сечения и соответствовать указаниям
п. 5.18.
МИНИМАЛЬНЫЕ РАССТОЯНИЯ МЕЖДУ СТЕРЖНЯМИ АРМАТУРЫ
5.9. Минимальные расстояния в свету между стержнями арматуры следует принимать такими, чтобы обеспечить совместную работу арматуры с бетоном и качественное изготовление конструкций, связанное с укладкой и уплотнением бетонной смеси, но не менее наибольшего диаметра стержня, а также не менее:
25 мм - при горизонтальном или наклонном положении стержней при бетонировании - для нижней арматуры, расположенной в один или два ряда;
30 мм - то же, для верхней арматуры;
50 мм - то же, при расположении нижней арматуры более чем в два ряда (кроме стержней двух нижних рядов), а также при вертикальном положении стержней при бетонировании.
В элементах или узлах с большим насыщением арматурой или закладными деталями, изготовляемых без применения виброплощадок или вибраторов, укрепленных на опалубке, должно быть обеспечено в отдельных местах расстояние в свету не менее 60 мм для прохождения между арматурными стержнями наконечников глубинных вибраторов, уплотняющих бетонную смесь. Расстояния между такими местами должны быть не более 500 мм.
При стесненных условиях допускается располагать стержни группами - пучками (без зазора между ними). При этом расстояния в свету между пучками должны быть также не менее приведенного диаметра стержня, эквивалентного по площади сечения пучка арматуры, принимаемого равным

, где

- диаметр одного стержня в пучке, n - число стержней в пучке.
5.10. Расстояния в свету между стержнями периодического профиля, указанные в
п. 5.9, определяются по номинальному диаметру без учета выступов и ребер.
Назначая расположение арматуры в сечении со стесненными условиями с учетом примыкающих других арматурных элементов и закладных деталей, следует принимать во внимание диаметры стержней с учетом выступов и ребер
(Прил. 1), а также допускаемые отклонения от номинальных размеров стержней арматуры, сварных сеток и каркасов, закладных деталей, форму и расположение арматуры и закладных деталей в сечении.
5.11. В железобетонных элементах площадь сечения продольной растянутой арматуры, а также сжатой, если она требуется по расчету, в процентах от площади сечения бетона, равной произведению ширины прямоугольного сечения либо ширины ребра таврового (двутаврового) сечения на рабочую высоту сечения,

следует принимать не менее указанной в табл. 5.2.
Условия работы арматуры |  , % |
1. Арматура S в изгибаемых и во внецентренно растянутых элементах при расположении продольной силы за пределами рабочей высоты сечения | 0,10 |
2. Арматура S и S' во внецентренно растянутых элементах при расположении продольной силы между арматурой S и S' | 0,10 |
3. Арматура во внецентренно сжатых элементах при: | |
а) l0/i < 17 (для прямоугольных сечений - при l0/h <= 5) | 0,10 |
б) 17 < l0/i <= 35 (5 < l0/h <= 10) | 0,15 |
в) 35 < l0/i < 83 (10 < l0/h < 25) | 0,20 |
г) l0/i >= 83 (l0/h > 25) | 0,25 |
Примечание: Для внецентренно сжатых элементов при 17 < l0/i < 83 значение  , (%) можно также определять линейной интерполяцией между значениями 0,10 и 0,25 |
В элементах с продольной арматурой, расположенной равномерно по контуру сечения, а также в центрально растянутых элементах минимальную площадь сечения всей продольной арматуры следует принимать вдвое большей указанных в
табл. 5.2 и относить их к полной площади сечения бетона.
Элементы, не удовлетворяющие требованиям минимального армирования, относятся к бетонным элементам.
Требования настоящего пункта не учитываются при назначении площади сечения арматуры, устанавливаемой по контуру плит или панелей из расчета на изгиб в плоскости плиты (панели).
5.12. В бетонных конструкциях следует предусматривать конструктивное армирование:
- в местах резкого изменения размеров сечения элементов;
- в бетонных стенах под и над проемами;
- во внецентренно сжатых элементах, рассчитываемых по прочности без учета работы растянутого бетона, у граней, где возникают растягивающие напряжения; при этом коэффициент армирования

принимают не менее 0,025%.
5.13. В железобетонных линейных конструкциях и плитах наибольшие расстояния между осями стержней продольной арматуры, обеспечивающие эффективное вовлечение в работу бетона, равномерное распределение напряжений и деформаций, а также ограничение ширины раскрытия трещин между стержнями арматуры, должны быть не более:
- в железобетонных балках и плитах:
200 мм - при высоте поперечного сечения h <= 150 мм;
1,5h и 400 мм - при высоте поперечного сечения h > 150 мм;
- в железобетонных колоннах:
400 мм - в направлении, перпендикулярном плоскости изгиба;
500 мм - в направлении плоскости изгиба.
В железобетонных стенах расстояния между стержнями вертикальной арматуры принимают не более 2t и 400 мм (t - толщина стены), а горизонтальной - не более 400 мм.
В многопустотных настилах расстояния между осями рабочих стержней разрешается увеличивать в соответствии с расположением пустот в сечении, но не более чем до 2h.
При армировании неразрезных плит сварными рулонными сетками допускается вблизи промежуточных опор все нижние стержни переводить в верхнюю зону.
Неразрезные плиты толщиной не более 80 мм допускается армировать одинарными плоскими сетками без отгибов.
5.14. В балках и ребрах шириной более 150 мм число продольных рабочих растянутых стержней в поперечном сечении должно быть не менее двух. При ширине элемента 150 мм и менее допускается устанавливать в поперечном сечении один продольный стержень.
5.15. В балках до опоры следует доводить стержни продольной рабочей арматуры с площадью сечения не менее 1/2 площади сечения стержней в пролете и не менее двух стержней.
В плитах до опоры следует доводить стержни продольной рабочей арматуры на 1 м ширины плиты с площадью сечения не менее 1/3 площади сечения стержней на 1 м ширины плиты в пролете и не менее двух стержней.
5.16. В изгибаемых элементах при высоте сечения более 700 мм у боковых граней должны ставиться конструктивные продольные стержни с расстояниями между ними по высоте не более 400 мм и площадью сечения не менее 0,1% площади сечения бетона, имеющего размер, равный по высоте элемента расстоянию между этими стержнями, по ширине - половине ширины ребра элемента, но не более 200 мм (черт. 5.1).
Черт. 5.1. Установка конструктивной продольной
арматуры по высоте сечения балки
5.17. Диаметр продольных стержней внецентренно сжатых линейных элементов монолитных конструкций должен быть не менее 12 мм. В колоннах с размером меньшей стороны сечения 250 мм и более диаметр продольных стержней рекомендуется назначать не менее 16 мм.
В железобетонных стенах диаметр продольных стержней рекомендуется назначать не менее 8 мм.
5.18. Поперечную арматуру следует устанавливать исходя из расчета на восприятие усилий, а также с целью ограничения развития трещин, удержания продольных стержней в проектном положении и закрепления их от бокового выпучивания в любом направлении.
Поперечную арматуру устанавливают у всех поверхностей железобетонных элементов, вблизи которых ставится продольная арматура. При этом расстояния между поперечными стержнями у каждой поверхности элемента должны быть не более 600 мм и не более удвоенной ширины грани элемента. Поперечную арматуру допускается не ставить у граней тонких ребер шириной 150 мм и менее, по ширине которых располагается лишь один продольный стержень.
5.19. Во внецентренно сжатых элементах, несущая способность которых при заданном эксцентриситете продольной силы используется менее чем на 50%, а также в элементах с гибкостью

(например, подколонниках), где по расчету сжатая арматура не требуется, а количество растянутой арматуры не превышает 0,3%, допускается не устанавливать поперечную арматуру, требуемую согласно
п. 5.18, по граням, параллельным плоскости изгиба. При этом армирование по граням, перпендикулярным плоскости изгиба, производится сварными каркасами и сетками с защитным слоем бетона толщиной не менее 50 мм и не менее двух диаметров продольной арматуры.
5.20. Диаметр поперечной арматуры (хомутов) в вязаных каркасах внецентренно сжатых элементов принимают не менее 0,25 наибольшего диаметра продольной арматуры и не менее 6 мм.
Диаметр поперечной арматуры в вязаных каркасах изгибаемых элементов принимают не менее 6 мм.
5.21. В железобетонных элементах, в которых поперечная сила по расчету не может быть воспринята только бетоном, следует предусматривать установку поперечной арматуры с шагом не более

и не более 300 мм.
В сплошных плитах, а также в многопустотных и часторебристых плитах высотой менее 300 мм и в балках (ребрах) высотой менее 150 мм на участке элемента, где поперечная сила по расчету воспринимается только бетоном, поперечную арматуру можно не устанавливать.
В балках и ребрах высотой 150 мм и более, а также в часторебристых плитах высотой 300 мм и более, на участках элемента, где поперечная сила по расчету воспринимается только бетоном, следует предусматривать установку поперечной арматуры с шагом не более

и не более 500 мм.
5.22. Отогнутые стержни арматуры должны предусматриваться в изгибаемых элементах при армировании их вязаными каркасами. Отгибы стержней должны осуществляться по дуге радиусом не менее 10d (черт. 5.2). В изгибаемых элементах на концах отогнутых стержней должны устраиваться прямые участки длиной не менее

, принимаемой согласно указаниям
п. 5.32, но не менее 20d в растянутой и 10d - в сжатой зоне.
Черт. 5.2. Конструкция отгибов арматуры
Прямые участки отогнутых гладких стержней должны заканчиваться крюками.
Расстояние от грани свободной опоры до верхнего конца первого отгиба (считая от опоры) должно быть не более 50 мм.
Угол наклона отгибов к продольной оси элемента следует принимать в пределах 30 - 60°, рекомендуется принимать угол 45°.
5.23. Во внецентренно сжатых линейных элементах, а также в изгибаемых элементах при наличии необходимой по расчету сжатой продольной арматуры, с целью предотвращения выпучивания продольной арматуры следует устанавливать поперечную арматуру с шагом не более 15d и не более 500 мм (d - диаметр сжатой продольной арматуры).
Если насыщение сжатой продольной арматуры, устанавливаемой у одной из граней элемента, более 1,5%, поперечную арматуру следует устанавливать с шагом не более 10d и не более 300 мм.
Расстояния между хомутами внецентренно сжатых элементов в местах стыкования рабочей арматуры внахлестку без сварки должны составлять не более 10d.
5.24. Конструкция хомутов (поперечных стержней) во внецентренно сжатых линейных элементах должна быть такой, чтобы продольные стержни (по крайней мере через один) располагались в местах перегибов, а эти перегибы - на расстоянии не более 400 мм по ширине грани. При ширине грани не более 400 мм и числе продольных стержней у этой грани не более четырех допускается охват всех продольных стержней одним хомутом (черт. 5.3).
Черт. 5.3. Конструкция пространственных
арматурных каркасов в сжатых элементах
5.25. В железобетонных стенах поперечные стержни, нормальные плоскости стены, располагаются на расстояниях по вертикали не более 20d, а по горизонтали не более 600 мм. При этом, если требуемая по расчету продольная арматура имеет насыщение меньше минимального процента армирования (см.
табл. 5.2), поперечные стержни можно располагать на расстояниях по вертикали не более 600 мм, а по горизонтали не более 1000 мм.
При насыщении продольной арматуры железобетонных стен более 2% поперечные стержни должны располагаться на расстояниях по вертикали не более 15d и не более 500 мм, а по горизонтали не более 400 мм и не более 2-х шагов вертикальных стержней.
В этом пункте d - диаметр вертикальных стержней.
5.26. Поперечную арматуру в плитах в зоне продавливания в направлении, перпендикулярном сторонам расчетного контура, устанавливают с шагом не более

и не более 300 мм. Стержни, ближайшие к контуру грузовой площади, располагают не ближе

и не далее

от этого контура. При этом ширина зоны постановки поперечной арматуры (от контура грузовой площади) должна быть не менее

.
Расстояния между стержнями поперечной арматуры в направлении, параллельном сторонам расчетного контура, принимают не более 1/4 длины соответствующей стороны расчетного контура.
5.27. Поперечная арматура в виде сварных сеток косвенного армирования при местном сжатии (смятии) должна удовлетворять следующим требованиям:
а) площади стержней сетки на единицу длины в одном и другом направлении не должны различаться более чем в 1,5 раза;
б) шаг сеток (расстояние между сетками в осях стержней одного направления) следует принимать не менее 60 и не более 150 мм;
в) размеры ячеек сеток в свету должны быть не менее 45 и не более 100 мм;
г) первая сетка располагается на расстоянии 15 - 20 мм от нагруженной поверхности элемента.
5.28. Поперечная арматура, предусмотренная для восприятия поперечных сил и крутящих моментов, должна иметь замкнутый контур с надежной анкеровкой по концам путем приварки или охвата продольной арматуры, обеспечивающей равнопрочность соединений и поперечной арматуры.
5.29. Анкеровку арматуры осуществляют одним из следующих способов или их сочетанием:
- в виде прямого окончания стержня (прямая анкеровка);
- с загибом на конце стержня в виде крюка, отгиба (лапки) или петли;
- с приваркой или установкой поперечных стержней;
- с применением специальных анкерных устройств на конце стержня.
5.30. Прямую анкеровку и анкеровку с лапками допускается применять только для арматуры периодического профиля. Для растянутых гладких стержней следует предусматривать крюки, петли, приваренные поперечные стержни или специальные анкерные устройства.
Лапки, крюки и петли не рекомендуется применять для анкеровки сжатой арматуры, за исключением гладкой арматуры, которая может подвергаться растяжению при некоторых возможных сочетаниях нагрузки.
5.31. При расчете длины анкеровки арматуры следует учитывать способ анкеровки, класс арматуры и ее профиль, диаметр арматуры, прочность бетона и его напряженное состояние в зоне анкеровки, конструктивное решение элемента в зоне анкеровки (наличие поперечной арматуры, положение стержней в сечении элемента и др.).
5.32. Базовую (основную) длину анкеровки, необходимую для передачи усилия в арматуре с полным расчетным значением сопротивления

на бетон, определяют по формуле

, (5.1)
где

и

- соответственно площадь поперечного сечения анкеруемого стержня арматуры и периметр его сечения, определяемые по номинальному диаметру стержня;

- расчетное сопротивление сцепления арматуры с бетоном, принимаемое равномерно распределенным по длине анкеровки и определяемое по формуле

, (5.2)
здесь

- коэффициент, учитывающий влияние вида поверхности арматуры, принимаемый равным:
1,5 - для гладкой арматуры (класса A240);
2,0 - холоднодеформируемой арматуры периодического профиля (класса B500);
2,5 - для горячекатаной и термомеханически упрочненной арматуры периодического профиля (классов A300, A400 и A500);

- коэффициент, учитывающий влияние размера диаметра арматуры, принимаемый равным:
1,0 - при диаметре арматуры

;
0,9 - при диаметре арматуры 36 и 40 мм.
5.33. Требуемую расчетную длину анкеровки арматуры с учетом конструктивного решения элемента в зоне анкеровки определяют по формуле

, (5.3)

,

- площади поперечного сечения арматуры соответственно, требуемая по расчету с полным расчетным сопротивлением и фактически установленная;

- коэффициент, учитывающий влияние на длину анкеровки напряженного состояния бетона и арматуры и конструктивного решения элемента в зоне анкеровки.
При анкеровке стержней периодического профиля с прямыми концами (прямая анкеровка) или гладкой арматуры с крюками или петлями без дополнительных анкерующих устройств для растянутых стержней принимают

, а для сжатых -

.
Допускается уменьшать длину анкеровки в зависимости от количества и диаметра поперечной арматуры и величины поперечного обжатия бетона в зоне анкеровки (например, от опорной реакции), в соответствии с указаниями
п. 3.45.
Значения относительной длины анкеровки

для стержней, работающих с полным расчетным сопротивлением диаметром менее 36 мм, приведены в
табл. 3.3 п. 3.45.
В любом случае фактическую длину анкеровки принимают не менее

, а также не менее

и 200 мм.
5.34. Усилие, воспринимаемое анкеруемым стержнем арматуры

, определяют по формуле

, (5.4)
где

- определяется согласно
п. 5.33 при

;

- расстояние от конца анкеруемого стержня до рассматриваемого поперечного сечения элемента.
5.35. На крайних свободных опорах элементов длина запуска растянутых стержней за внутреннюю грань свободной опоры при выполнении условия

должна составлять не менее

. Если указанное условие не соблюдается, длину запуска арматуры за грань опоры проверяют расчетом согласно
пп. 3.43 -
3.46.
5.36. При невозможности выполнения требований
п. 3.33 должны быть приняты специальные меры по анкеровке продольных стержней:
а) устройство на концах специальных анкеров в виде пластин, шайб, гаек, уголков, высаженных головок и т.п.
(черт. 5.4). В этом случае площадь контакта анкера с бетоном должна удовлетворять условию прочности бетона на смятие (см.
п. 3.81), а толщина анкерующей пластины должна быть не менее 1/5 всей ширины (диаметра) и удовлетворять условиям сварки; длина заделки стержня должна определяться расчетом на выкалывание и приниматься не менее 10d;
б) отгиб анкеруемого стержня на 90° по дуге круга радиусом в свету не менее

[где

- длина прямого участка у начала заделки
(черт. 5.5)] и не менее значений, приведенных в
п. 5.41; на отогнутом участке ставятся дополнительные хомуты против разгибания стержней;
в) приварка на длине заделки

поперечных анкерирующих стержней; в этом случае длина анкеровки

, определенная согласно
п. 5.32, уменьшается на длину

[где

- см.
формулу (3.75) п. 3.45], не более чем на

; если

, гладкие стержни могут выполняться без крюков, при этом значение

не уменьшается.
Черт. 5.4. Анкеровка арматуры путем устройства
на концах специальных анкеров, в виде
а - приваренной пластины; б - обжатой пластины;
в - высаженной головки; г - высаженной головки
с шайбой; д - приваренного стержня к уголку;
е - гайки с шайбой снаружи; ж - гайки внутри
Черт. 5.5. Анкеровка арматуры путем отгиба
5.37. Для соединения арматуры принимают один из следующих типов стыков:
а) стыки внахлестку без сварки:
- с прямыми концами стержней периодического профиля;
- с прямыми концами стержней с приваркой или установкой на длине нахлестки поперечных стержней;
- с загибами на концах (крюки, лапки, петли); при этом для гладких стержней применяют только крюки и петли;
б) сварные и механические стыковые соединения:
- сваркой арматуры;
- с применением специальных механических устройств (стыки с опрессованными муфтами, резьбовыми муфтами и др.).
5.38. На соединения арматуры внахлестку распространяются указания
п. 5.30.
Стыки растянутой или сжатой арматуры должны иметь длину перепуска (нахлестки) не менее значения длины

, определяемого по формуле

, (5.5)

- коэффициент, учитывающий влияние напряженного состояния арматуры, конструктивного решения элемента в зоне соединения стержней, количества стыкуемой арматуры в одном сечении по отношению к общему количеству арматуры в этом сечении, расстояния между стыкуемыми стержнями.
При соединении арматуры периодического профиля с прямыми концами, а также гладких стержней с крюками или петлями без дополнительных анкерующих устройств коэффициент

для растянутой арматуры принимают равным 1,2, а для сжатой арматуры - 0,9. При этом должны быть соблюдены следующие условия:
- относительное количество стыкуемой в одном расчетном сечении элемента рабочей растянутой арматуры периодического профиля должно быть не более 50%, гладкой арматуры (с крюками или петлями) - не более 25%;
- усилие, воспринимаемое всей поперечной арматурой, поставленной в пределах стыка, должно быть не менее половины усилия, воспринимаемого стыкуемой в одном расчетном сечении элемента растянутой рабочей арматурой;
- расстояние между стыкуемыми рабочими стержнями арматуры не должно превышать

(черт. 5.6, а);
- расстояние между соседними стыками внахлестку (по ширине железобетонного элемента) должно быть не менее

и не менее 30 мм (черт. 5.6, б).
Черт. 5.6. Расположение стержней,
стыкуемых внахлестку, и самих стыков
а - расположение стержней в стыке; б - расположение стыков
В качестве одного расчетного сечения элемента, рассматриваемого для определения относительного количества стыкуемой арматуры в одном сечении, принимают участок элемента вдоль стыкуемой арматуры длиной

. Считается, что стыки арматуры расположены в одном расчетном сечении, если центры этих стыков находятся в пределах длины этого участка (черт. 5.6, б).
Допускается увеличивать относительное количество стыкуемой в одном расчетном сечении элемента рабочей растянутой арматуры до 100%, принимая значение коэффициента

равным 2,0. При относительном количестве стыкуемой в одном расчетном сечении арматуры периодического профиля более 50% и гладкой арматуры более 25% значения коэффициента

определяют по линейной интерполяции.
При наличии дополнительных анкерующих устройств на концах стыкуемых стержней (приварка поперечной арматуры, загиб концов стыкуемых стержней периодического профиля и др.) длина перепуска стыкуемых стержней может быть уменьшена, но не более чем на 30%.
В любом случае фактическая длина перепуска должна быть не менее

, не менее

и не менее 250 мм.
5.39. При соединении арматуры с использованием сварки выбор типов сварного соединения и способов сварки производят с учетом условий эксплуатации конструкции, свариваемости стали и требований по технологии изготовления в соответствии с действующими нормативными документами
(ГОСТ 14098-91).
5.40. При использовании для стыков арматуры механических устройств в виде муфт (муфты на резьбе, спрессованные муфты и т.д.) несущая способность муфтового соединения должна быть такой же, что и стыкуемых стержней (соответственно при растяжении или сжатии). Концы стыкуемых стержней следует заводить на требуемую длину в муфту, определяемую расчетом или опытным путем.
При использовании муфт на резьбе должна быть обеспечена требуемая затяжка муфт для ликвидации люфта в резьбе.
5.41. При применении гнутой арматуры (отгибы, загибы концов стержней) минимальный диаметр загиба отдельного стержня должен быть таким, чтобы избежать разрушения или раскалывания бетона внутри загиба арматурного стержня и его разрушения в месте загиба (см.
пп. 5.22,
5.36).
Минимальный диаметр оправки

для арматуры принимают в зависимости от диаметра стержня

не менее:
- для гладких стержней

при

;

при

;
- для стержней периодического профиля

при

;

при

.
ТРЕБОВАНИЯ К БЕТОННЫМ И ЖЕЛЕЗОБЕТОННЫМ КОНСТРУКЦИЯМ
5.42. Размеры сборных бетонных и железобетонных элементов следует назначать с учетом грузоподъемности и габаритных ограничений технологического, транспортного и монтажного оборудования на заводах-изготовителях и на строительных площадках. В необходимых случаях следует учитывать возможность подъема железобетонного изделия вместе с формой.
5.43. Во избежание повреждений от местных концентраций напряжений при резком изменении направлений граней элемента (например, во внутренних углах) рекомендуется предусматривать смягчение очертания в виде уклонов, фасок или закруглений по возможности небольшой величины (до 50 мм), чтобы не требовалось местное армирование (черт. 5.7, а, б, в).
Черт. 5.7. Закругления и фаски
а - закругления в ребристой плите; б - фаска между полкой
и стенкой в тавровой балке; в - сочетание фаски
и закругления в узле фермы; г - смягчение острого
угла в ригеле; д - закругление в отверстии
для пропуска коммуникаций, строповки и т.п.
Во внешних острых углах во избежание откалывания бетона следует устраивать скосы или закругления
(черт. 5.7, г).
5.44. Отверстия в железобетонных элементах для пропуска коммуникаций, строповки и т.п. следует принимать по возможности небольшими и располагать в пределах ячеек арматурных сеток и каркасов так, чтобы не нужно было перерезать арматуру и армировать по месту. Углы отверстий желательно делать плавными (черт. 5.7, д).
5.45. При проектировании бетонных и железобетонных конструкций их очертание следует принимать с учетом устройства и способа использования форм (опалубки).
При применении форм с откидными бортами очертание изделия не должно препятствовать повороту борта (черт. 5.8, а) при распалубке.
Черт. 5.8. Технологические уклоны
а - в форме с откидными бортами; б и в - в неразъемной
форме; г - то же, с применением выпрессовщика;
д и е - при немедленной распалубке; ж - в форме
с глухим бортом; з - то же, с выпрессовщиком
1 - изделие; 2 - форма; 3 - откидной борт;
4 - выпрессовщик; 5 - вкладыш; 6 - формующая рамка
При применении неразъемных форм для возможности извлечения изделия из них должны предусматриваться технологические уклоны не менее 1:10 (
черт. 5.8, б, в). В случае применения неразъемных форм с использованием выпрессовывания уклон должен быть не менее 1:15
(черт. 5.8, г).
При немедленной распалубке с обеспечением фиксированного (во избежание нарушения бетона) вертикального перемещения формующего элемента оснастки (
черт. 5.8, д, е) уклон должен быть не менее 1:50.
При использовании форм с одним неподвижным и одним откидным бортом для возможности вертикального подъема конструкции при распалубке следует переход от большей ширины изделий к меньшей [например, от нижней полки к стенке
(черт. 5.8, ж)] принимать плавным под углом не менее 45°. Это требование можно не учитывать, если форма снабжена выпрессовывающим устройством
(черт. 5.8, з).
Применение выпрессовывания и немедленной распалубки должно согласовываться с изготовителем изделия.
5.46. При проектировании сборных железобетонных изделий следует предусматривать удобные способы захвата их грузозахватными приспособлениями при снятии с формы (распалубке), а также при погрузочно-разгрузочных и монтажных работах.
Способы и места захвата следует назначать с учетом технологии изготовления и монтажа изделия, а также его конструктивных особенностей.
Изделие должно быть проверено расчетом на условия работы при принятом способе и размещении мест захвата.
5.47. В бетонных и железобетонных изделиях следует предусматривать устройства для их строповки: строповочные отверстия (в том числе для инвентарных петель), пазы, уступы и т.п. или стационарные стальные строповочные петли, которые должны быть выполнены из горячекатаной стали согласно
п. 2.16.
Захват изделий рекомендуется предусматривать по возможности без применения устройств, требующих расхода стали, путем создания углублений, пазов, отверстий, уступов и др. (черт. 5.9).
Черт. 5.9. Примеры строповочных устройств без петель
а - при строповке блока; б - строповочные
отверстия в колонне; в - сочетание двух разных
строповочных устройств в одном изделии
1 - грузовые стропы; 2 - вырез для захвата; 3 - отверстия
для захвата; 4 - петли для захвата при извлечении из формы
5.48. При проектировании изделий со строповочными петлями следует применять унифицированные петли. При отсутствии унифицированных петель с требуемыми характеристиками рекомендуется конструировать петли типов, приведенных на черт. 5.10.
Черт. 5.10. Типы строповочных петель
а - свободно размещаемые в изделии из стали классов
A240 и A300; б - размещаемые в стесненных условиях
из стали класса A240; в - то же, из стали A300
Минимальные параметры для петель с прямыми и отогнутыми ветвями типов П1,1 и П2,1 (см. черт. 5.10) приведены в табл. 5.3.
Таблица 5.3
Петли | Обозначения размеров | Размеры |
| d | 6 - 12 | 14; 16 | 18 - 22 | 25 |
R | 30 | 30 | 40 | 60 |
r | 20 | 30 | 40 | 60 |
| 3d |
| 6d |
5.49. Диаметр стержня петли d рекомендуется принимать согласно табл. 5.4 в зависимости от массы изделия, приходящейся на петлю. Масса изделия определяется согласно указаниям
п. 2.12. При подъеме плоских изделий за четыре петли масса изделия считается распределенной на три петли.
Таблица 5.4
Диаметр стержня петли, мм | Масса изделия m, кг, приходящаяся при подъеме на одну петлю из стали классов | Диаметр стержня петли, мм | Масса изделия m, кг, приходящаяся при подъеме на одну петлю из стали классов |
A 240 | A 300 | A 240 | A 300 |
6 | 150 | - | 18 | 2500 | 3100 |
8 | 300 | - | 20 | 3100 | 3900 |
10 | 700 | 900 | 22 | 3800 | 4700 |
12 | 1100 | 1500 | 25 | 4900 | 6100 |
14 | 1500 | 1900 | 28 | 6100 | 7600 |
16 | 2000 | 2500 | 32 | 8000 | 9900 |
Примечания: 1. Значения m соответствуют углу между стропами и горизонтом, равному 45° и более; меньший угол наклона не допускается. Если гарантируется строповка изделия с помощью вертикальных стропов, допускается при подборе диаметра петли уменьшать массу изделия, приходящуюся на петлю, в 1,4 раза. 2. При диаметре стержня петли от 8 до 22 мм включ. допускается увеличивать при специальном обосновании приведенные значения m на 25% |
При подъеме за три петли и более, расположенных на одном торце изделия (например, на стеновой панели), масса изделия принимается распределенной только на две петли, поэтому в этом случае установка более двух петель не рекомендуется.
При применении приспособлений (самобалансирующихся траверс), обеспечивающих самобалансирование усилий между стропами, допускается массу изделия распределять между петлями в соответствии с конструкцией приспособления.
5.50. Высоту проушины петли
(черт. 5.10), соответствующую размерам чалочных крюков грузовых стропов, следует принимать равной, мм:
60 ... при диаметре стержня петли от 6 до 16 мм;
80 ... " " " " 18 и 22 ";
150 ... " " " " от 25 до 32 ".
Длину

и глубину запуска

концов ветвей петли в бетон изделия (см.
черт. 5.10) рекомендуется принимать согласно табл. 5.5.
Таблица 5.5
Нормативная кубиковая прочность бетона в момент первого подъема изделия, МПа | Длина запуска в бетоне ls | Глубина запуска в бетон hb |
От 3 до 7 | 45d (50d) | 35d (40d) |
Св. 5 до 10 | 35d (40d) | 25d (30d) |
" 10 " 20 | 30d (35d) | 20d (25d) |
" 20 " 30 | 25d (30d) | 15d (20d) |
Св. 30 | 20d (25d) | 15d (20d) |
Примечание. Значения, приведенные в скобках, относятся к случаям подъема в вертикальном положении однослойных тонкостенных элементов (типа стеновых панелей из тяжелого бетона) толщиной не более 220 мм. |
При расположении строповочных петель в стандартных углублениях (черт. 5.11, а) значение

можно отсчитывать от верхней поверхности бетонного элемента.
Черт. 5.11. Размеры лунок для заглубленного
расположения проушин строповочных петель
а - замкнутые углубления; б - разомкнутые углубления
(на краях изделия) при диаметре стержня петли 6 - 16 мм:
при диаметре петли 18 - 22 мм:

, a = 40 мм,
Во всех случаях значение

следует принимать не менее 200 мм.
Для петель, выполняемых из арматурной стали

и

и более, значения

и

следует увеличивать на 20%.
Ветви петли из стали класса A240, а также прямые (без отгибов) ветви петель из стали класса A300 должны заканчиваться крюками.
В необходимых случаях допускается располагать ветви под углом одна к другой не более 45°.
Расстояние между боковой поверхностью хвостового участка крюка петли и поверхностью изделия, измеряемое в плоскости крюка, следует принимать не менее 4d
(черт. 5.10, а).
В том случае, если невозможно произвести на необходимую длину запуск концов петли, анкеровку петли необходимо осуществлять различными способами, например приваркой к закладным деталям, заведением за рабочую продольную арматуру и т.д. Надежность принятой анкеровки петли следует подтвердить расчетом или испытаниями.
5.51. Допускается располагать строповочные петли в углублениях так, чтобы их проушины располагались ниже грани бетонного или железобетонного изделия. Это расположение особенно рекомендуется при механизированной отделке поверхности бетона, когда выступающие петли мешают такой отделке. Углубления для петель могут быть замкнутыми (см.
черт. 5.11, а) или разомкнутыми
(черт. 5.11, б). В последнем случае в них не скопляется вода, которая может замерзнуть, а также улучшаются условия фиксации петель. Из условия заведения в проушину чалочного крюка стропа лунку следует располагать со смещением к середине изделия относительно плоскости проушины.
5.52. Соответствие расположения арматуры ее проектному положению должно обеспечиваться применением средств фиксации.
Фиксацию арматуры рекомендуется осуществлять с помощью:
а) устройств однократного использования, остающихся в бетоне;
б) инвентарных приспособлений, извлекаемых из бетона до или после его твердения;
в) специальных деталей, прикрепленных к рабочей поверхности формы или опалубки и не препятствующих извлечению железобетонного элемента из формы или снятию с него опалубки.
5.53. Рекомендуется применять следующие фиксаторы однократного использования:
а) для обеспечения требуемой толщины защитного слоя бетона - по черт. 5.12;
б) для обеспечения требуемого расстояния между отдельными арматурными изделиями или стержнями - по
черт. 5.13;
в) для обеспечения требований, указанных в подпунктах "а" и "б", - по
черт. 5.14.
Черт. 5.12. Фиксаторы однократного использования,
обеспечивающие требуемую толщину S защитного слоя бетона
а - в - с большой поверхностью контакта с формой,
изготовляемые из цементного раствора; г - с малой
поверхностью контакта с формой, изготавливаемый
из цементно-песчаного раствора; д - то же,
из асбестоцемента; е - з - то же, из пластмасс
(перфорированные); и - то же, из алюминиевой
перфорированной полосы; к - м - то же, из арматурной стали;
1 - рабочая поверхность формы; 2 - фиксатор;
3 - фиксируемая арматура; 4 - скрутка из вязальной
проволоки; 5 - вязальная проволока, заделанная
в фиксатор; 6 - возможное эластичное кольцо;
7 - упоры, привариваемые к арматуре
Черт. 5.13. Фиксаторы однократного использования,
обеспечивающие требуемое расстояние
а - в - между отдельными арматурными изделиями;
г - между стержнями; 1 - разделитель из арматурной
стали, устанавливаемый между рядами сеток;
2 - фиксатор-подкладка для обеспечения защитного слоя
бетона; 3 - удлиненные поперечные стержни каркаса,
загибаемые вокруг стержней сетки; 4 - фиксатор
для соединения перекрещивающихся стержней (пространственная
спираль из пружинной проволоки); 5 - место связки
Черт. 5.14. Фиксаторы однократного использования,
обеспечивающие одновременно требуемую толщину
защитного слоя бетона и расстояния между
отдельными арматурными элементами
а - в плоских плитах; б и в - в балках прямоугольного
сечения; г - в элементах кольцевого сечения
1 - фиксатор типа П-образного каркаса; 2 - арматурные
сетки; 3 - рабочая поверхность формы; 4 - фиксатор типа
каркаса-гребенки; 5 - плоский арматурный каркас;
6 - фиксаторы-стержни, дополнительно привариваемые
к каркасам; 7 - фиксатор типа накладной скобы
из арматурной проволоки; 8 - концентрически
расположенные каркасы; 9 - место связки
Вид фиксатора для обеспечения толщины защитного слоя бетона у лицевых граней элементов следует выбирать согласно требованиям табл. 5.6. Не допускается применять в качестве фиксаторов обрезки арматурных стержней, пластин и т.п.
Условия эксплуатации элемента | Вид лицевой грани элемента | Вид фиксаторов |
Растворные, бетонные, асбестоцементные | Пластмассовые (полиэтиленовые) | Стальные |
РМ | РБ | ПМ | ПБ | СЗ | СН |
На открытом воздухе | Чистая бетонная под окраску; облицованная в процессе бетонирования керамической плиткой и др. | + | - | + | - | + | - |
Обрабатываемая механическим способом | + | - | - | - | - | - |
В помещениях с нормальным влажностным режимом | Чистая бетонная | + | - | + | - | + | - |
Бетонная под окраску водными составами | + | x | + | x | + | x |
Бетонная под окраску масляными, эмалевыми и синтетическими красками; бетонная под облицовку | + | + | + | + | + | + |
Бетонная под оклейку обоями | + | + | + | + | + | - |
Примечания. 1. Условные обозначения: Р - растворные, бетонные, асбестоцементные фиксаторы; П - пластмассовые, полиэтиленовые фиксаторы; С - стальные фиксаторы; М - малая поверхность контакта фиксатора с формой (опалубкой); Б - большая поверхность контакта фиксатора с формой (опалубкой); З - фиксаторы, защищенные от коррозии; Н - фиксаторы, не защищенные от коррозии. 2. Знак "+" - допускается; знак "-" - не допускается; знак "x" - допускается, но не рекомендуется. |
В растянутой зоне бетона элементов, эксплуатируемых в условиях агрессивной среды, не допускается устанавливать пластмассовые подкладки под стержни рабочей арматуры или вплотную к ним - под стержни распределительной арматуры. В таких изделиях следует применять преимущественно подкладки из плотного цементно-песчаного раствора, бетона или асбестоцемента.
5.54. В случае применения фиксаторов однократного использования следует в соответствии с требованиями
табл. 5.6 указывать на рабочих чертежах, какие из этих фиксаторов допускаются в данном элементе. Толщину защитного слоя бетона в месте установки фиксатора-подкладки рекомендуется принимать кратной 5 мм.
Для фиксаторов однократного использования, выполняемых из арматурной стали, следует выполнять чертежи. На рабочих чертежах арматурных изделий и в случае необходимости на чертежах общих видов армирования железобетонных элементов следует показывать расположение этих фиксаторов или опорных стержней, а в спецификациях предусматривать расход стали на их изготовление.
Расположение и число неметаллических фиксаторов-подкладок в рабочих чертежах допускается не приводить.
Номинальный диаметр стержня, мм | Расчетная площадь поперечного стержня, мм2, при числе стержней | Теоретическая масса 1 м длины арматуры, кг | Диаметр арматуры классов | Максимальный размер сечения стержня периодического профиля |
1 | 2 | 3 | 4 | 5 | 6 | 7 | 8 | 9 | А240 А400 А500 | А300 | В500 |
3 | 7,1 | 14,1 | 21,2 | 28,3 | 35,3 | 42,4 | 49,5 | 56,5 | 63,6 | 0,052 | - | - | + | - |
4 | 12,6 | 25,1 | 37,7 | 50,2 | 62,8 | 75,4 | 87,9 | 100,5 | 113 | 0,092 | - | - | + | - |
5 | 19,6 | 39,3 | 58,9 | 78,5 | 98,2 | 117,8 | 137,5 | 157,1 | 176,7 | 0,144 | - | - | + | - |
6 | 28,3 | 57 | 85 | 113 | 141 | 170 | 198 | 226 | 254 | 0,222 | + | - | + | 6,75 |
8 | 50,3 | 101 | 151 | 201 | 251 | 302 | 352 | 402 | 453 | 0,395 | + | - | + | 9,0 |
10 | 78,5 | 157 | 236 | 314 | 393 | 471 | 550 | 628 | 707 | 0,617 | + | + | + | 11,3 |
12 | 113,1 | 226 | 339 | 452 | 565 | 679 | 792 | 905 | 1018 | 0,888 | + | + | + | 13,5 |
14 | 153,9 | 308 | 462 | 616 | 769 | 923 | 1077 | 1231 | 1385 | 1,208 | + | + | - | 15,5 |
16 | 201,1 | 402 | 603 | 804 | 1005 | 1206 | 1407 | 1608 | 1810 | 1,578 | + | + | - | 18 |
18 | 254,5 | 509 | 763 | 1018 | 1272 | 1527 | 1781 | 2036 | 2290 | 1,998 | + | + | - | 20 |
20 | 314,2 | 628 | 942 | 1256 | 1571 | 1885 | 2199 | 2513 | 2828 | 2,466 | + | + | - | 22 |
22 | 380,1 | 760 | 1140 | 1520 | 1900 | 2281 | 2661 | 3041 | 3421 | 2,984 | + | + | - | 24 |
25 | 490,9 | 982 | 1473 | 1963 | 2454 | 2945 | 3436 | 3927 | 4418 | 3,84 | + | + | - | 27 |
28 | 615,8 | 1232 | 1847 | 2463 | 3079 | 3685 | 4310 | 4926 | 5542 | 4,83 | + | + | - | 30,5 |
32 | 804,3 | 1609 | 2413 | 3217 | 4021 | 4826 | 5630 | 6434 | 7238 | 6,31 | + | + | - | 34,5 |
36 | 1017,9 | 2036 | 3054 | 4072 | 5089 | 6107 | 7125 | 8143 | 9161 | 7,99 | + | + | - | 39,5 |
40 | 1256,6 | 2513 | 3770 | 5027 | 6283 | 7540 | 8796 | 10053 | 11310 | 9,865 | + | + | - | 43,5 |
45 | 1590,4 | 3181 | 4771 | 6362 | 7952 | 9542 | 11133 | 12723 | 14313 | 12,49 | - | + | - | 49 |
50 | 1963,5 | 3927 | 5891 | 7854 | 9818 | 11781 | 13745 | 15708 | 17672 | 15,41 | - | + | - | 54 |
55 | 2376 | 4752 | 7128 | 9504 | 11880 | 14256 | 16632 | 19008 | 21384 | 18,65 | - | + | - | 59 |
60 | 2827 | 5654 | 8481 | 11308 | 14135 | 16962 | 19789 | 22616 | 25443 | 22,19 | - | + | - | 64 |
70 | 3848 | 7696 | 11544 | 15392 | 19240 | 23088 | 26936 | 30784 | 34632 | 30,46 | - | + | - | 74,0 |
Примечания. 1. Номинальный диаметр стержней для арматурных сталей периодического профиля соответствует номинальному диаметру равновеликих по площади поперечного сечения стержней. Фактические размеры стержней периодического профиля устанавливаются
ГОСТ 5781-82.
2. Знак "+" означает наличие диаметра в сортаменте для арматуры данного класса.
ОСНОВНЫЕ БУКВЕННЫЕ ОБОЗНАЧЕНИЯ
УСИЛИЯ ОТ ВНЕШНИХ НАГРУЗОК И ВОЗДЕЙСТВИЙ
В ПОПЕРЕЧНОМ СЕЧЕНИИ ЭЛЕМЕНТА
M - изгибающий момент;
N - продольная сила;
Q - поперечная сила;
T - крутящий момент.
ХАРАКТЕРИСТИКИ МАТЕРИАЛОВ

- нормативное сопротивление бетона осевому сжатию;

,

- расчетные сопротивления бетона осевому сжатию для предельных состояний соответственно первой и второй групп;

- нормативное сопротивление бетона осевому растяжению;

,

- расчетные сопротивления бетона осевому растяжению для предельных состояний соответственно первой и второй групп;

,

- расчетные сопротивления арматуры растяжению для предельных состояний соответственно первой и второй групп;

- расчетное сопротивление поперечной арматуры растяжению;

- расчетное сопротивление арматуры сжатию для предельных состояний первой группы;

- начальный модуль упругости бетона при сжатии и растяжении;

- модуль упругости арматуры.
ХАРАКТЕРИСТИКИ ПОЛОЖЕНИЯ ПРОДОЛЬНОЙ
АРМАТУРЫ В ПОПЕРЕЧНОМ СЕЧЕНИИ ЭЛЕМЕНТА
S - обозначение продольной арматуры:
а) при наличии сжатой и растянутой от действия внешней нагрузки зон сечения - расположенной в растянутой зоне;
б) при полностью сжатом от действия внешней нагрузки сечении - расположенной у менее сжатой грани сечения;
в) при полностью растянутом от действия внешней нагрузки сечении: для внецентренно растянутых элементов - расположенной у более растянутой грани сечения;
для центрально растянутых элементов - всей в поперечном сечении элемента;
S' - обозначение продольной арматуры:
а) при наличии сжатой и растянутой от действия внешней нагрузки зон сечения - расположенной в сжатой зоне;
б) при полностью сжатом от действия внешней нагрузки сечении - расположенной у более сжатой грани сечения;
в) при полностью растянутом от действия внешней нагрузки сечении внецентренно растянутых элементов - расположенной у менее растянутой грани сечения.
ГЕОМЕТРИЧЕСКИЕ ХАРАКТЕРИСТИКИ
b - ширина прямоугольного сечения; ширина ребра таврового и двутаврового сечений;

,

- ширина полки таврового и двутаврового сечений соответственно в растянутой и сжатой зонах;
h - высота прямоугольного, таврового и двутаврового сечений;

,

- высота полки таврового и двутаврового сечений соответственно в растянутой и сжатой зонах;
a, a' - расстояние от равнодействующей усилий в арматуре соответственно S и S' до ближайшей грани сечения;

- рабочая высота сечения, равная h - a;
x - высота сжатой зоны бетона;

- относительная высота сжатой зоны бетона, равная

;

- расстояние между хомутами, измеренное по длине элемента;

- эксцентриситет продольной силы N относительно центра тяжести приведенного сечения, определяемый с учетом указаний
п. 3.6;
e, e' - расстояния от точки приложения продольной силы N до равнодействующей усилий в арматуре соответственно S и S';
l - пролет элемента;

- расчетная длина элемента, подвергающегося действию сжимающей продольной силы;
i - радиус инерции поперечного сечения элемента относительно центра тяжести сечения;

,

- номинальный диаметр стержней соответственно продольной и поперечной арматуры;

,

- площади сечения арматуры соответственно S и S';

- площадь сечения хомутов, расположенных в одной нормальной к продольной оси элемента плоскости, пересекающей наклонное сечение;

- коэффициент армирования, определяемый как отношение площади сечения арматуры S к площади поперечного сечения элемента

без учета свесов сжатых и растянутых полок;
A - площадь всего бетона в поперечном сечении;

- площадь сечения бетона сжатой зоны;
I - момент инерции сечения всего бетона относительно центра тяжести сечения элемента;

- диаметр кольцевого и круглого сечений.