Главная // Актуальные документы // Поправка / Поправки
СПРАВКА
Источник публикации
ИУС "Государственные стандарты", N 10, 1998
Примечание к документу
Документ фактически утратил силу на территории Российской Федерации с 1 января 2013 года в связи с изданием Приказа Росстандарта от 30.07.2012 N 205-ст, отменившего ГОСТ 24940-96.
Название документа
"Поправка к ГОСТ 24940-96 "Здания и сооружения. Методы измерения освещенности"


"Поправка к ГОСТ 24940-96 "Здания и сооружения. Методы измерения освещенности"

Ж. СТРОИТЕЛЬСТВО И СТРОЙМАТЕРИАЛЫ
Группа Ж25
ПОПРАВКА К ГОСТ 24940-96
"ЗДАНИЯ И СООРУЖЕНИЯ. МЕТОДЫ ИЗМЕРЕНИЯ ОСВЕЩЕННОСТИ"
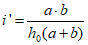
В каком месте
Напечатано
Должно быть
Пункт 5.6.1, Формула (1)