Главная // Актуальные документы // ПереченьСПРАВКА
Источник публикации
М.: Стройиздат, 1976
Примечание к документу
Название документа
"Руководство по проектированию естественного освещения зданий"
(рекомендовано к изданию Госстроем СССР 19.11.1975)
"Руководство по проектированию естественного освещения зданий"
(рекомендовано к изданию Госстроем СССР 19.11.1975)
секцией ученого совета
Научно-исследовательского
института строительной физики
19 ноября 1975 года
РУКОВОДСТВО
ПО ПРОЕКТИРОВАНИЮ ЕСТЕСТВЕННОГО ОСВЕЩЕНИЯ ЗДАНИЙ
Рекомендовано к изданию секцией ученого совета Научно-исследовательского института строительной физики от 19 ноября 1975 г.
Руководство содержит указания по проектированию естественного освещения производственных и гражданских зданий; методы и примеры расчета естественного освещения помещений; рекомендации по проектированию совмещенного освещения и солнцезащитных устройств.
Руководство рассчитано на архитекторов, инженеров-строителей и проектировщиков промышленных, жилых и гражданских зданий.
Руководство составлено: д-ром техн. наук Н.М. Гусевым и канд. техн. наук Н.Н. Киреевым.
1.1. Настоящее Руководство распространяется на проектирование естественного освещения вновь строящихся и реконструируемых производственных и вспомогательных зданий промышленных и сельскохозяйственных предприятий, предприятий транспорта и связи, складов, а также жилых и общественных зданий.
Руководство не распространяется на проектирование естественного освещения зданий и сооружений, предназначенных для размещения растений, животных, птиц; сооружений для хранения сельскохозяйственной продукции, а также зданий и помещений, использование которых связано с противопоказанием фотохимического воздействия естественного света.
Примечание: 1. При проектировании естественного освещения следует соблюдать требования соответствующих документов, утвержденных или согласованных Госстроем СССР.
2. Основные термины, использованные в настоящем Руководстве, приведены в главе СНиП по проектированию естественного освещения зданий.
1.2. При проектировании естественного освещения зданий надлежит руководствоваться требованиями глав СНиП по проектированию естественного и искусственного освещения зданий и указаниями настоящего Руководства.
1.3. При проектировании естественного освещения зданий должны быть обеспечены:
нормированные значения коэффициента естественной освещенности (к. е. о.) и допустимая неравномерность естественного освещения в помещениях;
защита работающих в помещении людей от слепящего действия прямых солнечных лучей, перегрева летом и охлаждения зимой;
необходимая продолжительность использования естественного освещения помещений, определяемая назначением помещения, режимом труда и особенностями светового климата местности;
удобство и безопасность эксплуатации остекления;
экономичность сооружения и эксплуатации естественного освещения;
пожаробезопасность.
2. ПРОЕКТИРОВАНИЕ ЕСТЕСТВЕННОГО ОСВЕЩЕНИЯ ПОМЕЩЕНИЙ
2.1. Проектирование естественного освещения зданий целесообразно выполнять в такой последовательности:
1-й этап: определение требований к естественному освещению помещений;
выбор систем освещения;
выбор типа светового проема и светопропускающего материала;
выбор средств для ограничения слепящего действия прямого солнечного света;
учет ориентации зданий и световых проемов по сторонам горизонта.
2-й этап: выполнение предварительного расчета естественного освещения помещений (определение необходимой площади световых проемов);
уточнение параметров световых проемов и помещений;
3-й этап: выполнение проверочного расчета естественного освещения помещений;
определение помещений, зон и участков, имеющих недостаточное по нормам естественное освещение;
определение требований к дополнительному искусственному освещению помещений, зон и участков с недостаточным естественным освещением;
определение требований к эксплуатации световых проемов (необходимость устройства подходов к остеклению);
4-й этап: внесение необходимых корректив в проект естественного освещения и повторный проверочный расчет (при необходимости).
2.2. Проектирование естественного освещения зданий должно базироваться на детальном изучении технологических, трудовых или иных функциональных процессов, протекающих в помещениях, а также светоклиматических особенностей места строительства зданий. При этом должны быть определены следующие характеристики зрительной работы, светового климата и требования к естественному освещению:
размеры объектов различения и разряд точности в соответствии с главой СНиП по проектированию естественного освещения зданий;
требуемые значения к. е. о. e в помещениях в зависимости от назначения помещений и характеристик зрительной работы в соответствии с главой СНиП по проектированию естественного освещения зданий;
местонахождение здания на карте светового климата СССР;
нормированное значение к. е. о. eн с учетом характера зрительной работы и светоклиматических особенностей места расположения зданий на территории СССР;
требуемая равномерность естественного освещения;
габариты и расположение оборудования, а также возможное затенение рабочих поверхностей;
желательное направление падения светового потока на рабочую поверхность;
продолжительность использования естественного освещения в течение суток разных месяцев года с учетом назначения помещения, режима работы и светового климата местности;
необходимость защиты помещения от слепящего действия прямого солнечного света;
дополнительные требования к освещению, вытекающие из специфики технологического процесса и архитектурных требований к интерьеру (требования к спектральному составу света, постоянство освещения во времени, ощущение насыщенности светом помещения, распределение яркости в поле зрения, соотношение освещенности на вертикальной и горизонтальной поверхностях).
2.3. При классификации производственных помещений по разрядам точности зрительных работ следует руководствоваться главой СНиП по проектированию естественного освещения зданий.
2.4. Систему естественного освещения зданий (боковое, верхнее или комбинированное) следует выбирать с учетом следующих факторов:
назначения и принятого архитектурно-планировочного, объемно-пространственного и конструктивного решения зданий;
требований к естественному освещению помещений, вытекающих из особенностей технологии и зрительной работы (
пп. 1.3 и
2.2);
климатических и светоклиматических особенностей места строительства;
экономичности естественного освещения (по приведенным затратам).
Примерные схемы естественного освещения зданий приведены на
рис. 1.
Рис. 1. Схемы естественного освещения зданий
а - бокового; б, в, г - верхнего; д - комбинированного.
Треугольником обозначен уровень условной рабочей поверхности
2.5. Верхнее и комбинированное естественное освещение следует применять преимущественно в производственных одноэтажных многопролетных зданиях (3 пролета и более) промышленных и сельскохозяйственных предприятий, а также в одноэтажных общественных зданиях большой площади (крытые рынки, стадионы, выставочные павильоны и т.п.).
2.6. Боковое естественное освещение следует применять в многоэтажных производственных, общественных и жилых зданиях, одноэтажных жилых зданиях, а также в одноэтажных общественных и производственных зданиях, в которых отношение глубины помещений к высоте окон над условной рабочей поверхностью не превышает 8.
2.7. При выборе световых проемов и светопропускающих материалов следует учитывать:
требования к естественному освещению помещений
(п. 2.2);
назначение, объемно-пространственное и конструктивное решение здания;
ориентацию здания по сторонам горизонта;
климатические и светоклиматические особенности места строительства;
необходимость защиты помещений от инсоляции;
степень загрязнения воздуха.
При выборе световых проемов для верхнего естественного освещения следует руководствоваться
табл. 1.
Тип световых проемов | Схема световых проемов | Преимущественная область использования |
по условиям зрительной работы | по условиям климата места строительства | по условиям внутреннего режима |
Двухсторонние фонари с вертикальным остеклением (прямоугольные) | | Для зрительных работ IV - VII разрядов Для производств с вертикальным расположением рабочих поверхностей | Во II - IV строительно-климатических районах При расположении зданий южнее 55° с.ш. остекление фонарей следует ориентировать на С и Ю | Для производств со значительными избытками явного тепла (более 23 вт/м3) |
Двухсторонние фонари с наклонным остеклением (трапециевидные) | | Для зрительных работ II - IV разрядов | Во II (южнее 60° с.ш.) и III строительно-климатических районах. Остекление фонарей следует ориентировать на С и Ю | То же |
Односторонние фонари с вертикальным и наклонным остеклением (шеды) | | Для зрительных работ IV - VI разрядов Для производств с требованиями постоянства условий освещения в течение рабочего дня Для производств, допускающих одностороннее падение светового потока | В III и IV строительно-климатических районах Остекление фонарей следует ориентировать на С | Для производств с нормальной средой Для производств с кондиционированным режимом Для производств с горячей влажной средой |
Светопроемы в плоскости покрытия, ленточные | | Для зрительных работ I - III разрядов Для зданий универсального использования Для зданий большой высоты | Во II - IV строительно-климатических районах При расположении зданий южнее 55° с.ш. заполнение фонарей необходимо выполнять из светорассеивающих или солнцеотражательных стекол | Для производств с нормальной средой |
Световые проемы в плоскости покрытия, отдельные | | Для зрительных работ III - VI и VIII разрядов Для крупнопролетных зданий (при равномерном размещении световых проемов по покрытию) | В I - IV строительно-климатических районах При расположении зданий южнее 55° с.ш. заполнение фонарей необходимо выполнять из светорассеивающих или солнцеотражательных стекол | Для производств с нормальной средой Для производств с кондиционированным режимом |
При выборе светопропускающих материалов для световых проемов следует руководствоваться
табл. 2.
Светопропускающий материал | Область использования | Область, где применение материала не допускается или ограничивается |
по условиям конструкции и расположения светового проема | по условиям климата места строительства | по условиям внутренней среды помещения |
Стекло листовое | Для остекления окон, балконных дверей, фонарей и перегородок. (При использовании в наклонных и горизонтальных световых проемах для верхнего естественного освещения под стеклом необходимо устраивать защитные сетки) | Во всех климатических зонах СССР | В производственных и вспомогательных зданиях промышленных и сельскохозяйственных предприятий, предприятий транспорта и связи, а также в жилых и общественных зданиях | Помещения с агрессивной средой, вызывающей коррозию стекла, и высокой влажностью воздуха |
Стеклопакеты | Для остекления окон, фонарей и световых проемов в плоскости покрытия. (При наклонном и горизонтальном расположении стеклопакетов в световых проемах со стороны помещения следует устраивать защитные сетки) | То же | То же | То же |
Стекло листовое армированное | Для остекления фонарей верхнего света при наклонном и горизонтальном расположении стекла; для остекления окон и дверей при наличии требований повышенной механической прочности остекления | Во всех климатических зонах СССР | В производственных и вспомогательных зданиях промышленных и сельскохозяйственных предприятий, предприятий транспорта и связи, складов и в общественных зданиях | Помещения с агрессивной средой, вызывающей коррозию стекла, и высокой влажностью воздуха |
Стекло теплоотражающее | Для остекления окон и фонарей | В III и IV строительно-климатических районах | В производственных и общественных зданиях с кондиционированным режимом или повышенными требованиями к постоянству температурно-влажностного режима, с постоянным пребыванием людей | Жилые комнаты и кухни жилых домов, и функциональные помещения учреждений для матерей и детей, общеобразовательных школ, учреждений по воспитанию детей и лечебно-профилактические учреждения |
Профильное стекло | Для заполнения световых проемов в стенах и покрытиях | Во всех климатических районах | В производственных и вспомогательных зданиях промышленных и сельскохозяйственных предприятий, предприятий транспорта и связи, складах, а также в общественных зданиях и вспомогательных помещениях жилых зданий | Производственные здания с кранами тяжелого и весьма тяжелого режимов работы, а также внутрицеховые и межцеховые перегородки взрывоопасных помещений и перегородки, ограждающие пути эвакуации |
Пустотелые стеклянные блоки | Для заполнения световых проемов в стенах и покрытиях, а также для устройства внутренних перегородок зданий | В зданиях, располагаемых в районах СССР, характеризующихся резко континентальным климатом - с низкими температурами воздуха и сильными ветрами (IА, IБ, IГ, IIА строительно-климатические районы), а также в южных районах (для защиты помещений от теплового действия солнечной радиации) | В производственных помещениях: с агрессивной средой или высокой влажностью воздуха (например, гидролизные цехи цветной металлургии, фабрики, прачечные и др.) В помещениях производственных и общественных зданий с повышенными гигиеническими требованиями (например, в цехах пищевой промышленности и крытых спортивных сооружениях) В помещениях с повышенными требованиями к пожарной безопасности (например, в гаражах, складах горючих материалов и т.п.) | Жилые комнаты и кухни жилых домов и функциональные помещения учреждений для матерей и детей, общеобразовательных школ, учреждений по воспитанию детей и лечебно-профилактических учреждений, а также взрывоопасные производственные помещения |
Стекло матовое | Для заполнения световых проемов при верхнем естественном освещении | В зданиях, располагаемых в III и IV строительно-климатических районах | В производственных помещениях с постоянным пребыванием работающих, в которых предъявляются повышенные требования к защите от слепящего действия прямого солнечного света | Те части световых проемов, которые должны обеспечивать зрительную связь с наружным пространством |
Стекло узорчатое | Для заполнения световых проемов и остекления перегородок и дверей | Во всех климатических районах СССР | В помещениях, где требуется уменьшить слепящее действие прямого солнечного света | Производственные помещения с умеренным и значительным загрязнением стекла пылью и копотью |
Органическое стекло | Для заполнения световых проемов в покрытиях и стенах | Во всех климатических районах СССР При применении в III и IV строительно-климатических районах должны быть предусмотрены солнцезащитные устройства | В производственных зданиях с выделениями, вызывающими коррозию силикатного стекла; в производственных зданиях с кранами тяжелого и весьма тяжелого режимов работы | Производственные помещения с повышенной пожароопасностью |
Стеклопластик листовой (бесцветный) и панели из стеклопластика | Для заполнения световых проемов, устройства ограждений и перегородок | Во всех климатических районах СССР | В производственных и вспомогательных зданиях промышленных и сельскохозяйственных предприятий, а также в общественных зданиях В зданиях павильонного сборно-разборного типа | То же |
2.8. При проектировании бокового естественного освещения следует учитывать затенение, создаваемое противостоящими зданиями (при разрывах между зданиями меньше нормативных). Учет затенения производится в соответствии с требованиями главы СНиП по проектированию естественного освещения здания и
разделом 3 настоящего Руководства.
2.9. Количество слоев остекления принимается:
в окнах и фонарях производственных зданий - в соответствии с требованиями главы СНиП по проектированию производственных зданий промышленных предприятий;
в жилых и общественных зданиях - в соответствии с требованиями главы СНиП по строительной теплотехнике.
2.10. С целью уменьшения теплопоступлений в помещения от солнечной радиации остекление фонарей следует ориентировать:
в зданиях с двухсторонними фонарями (прямоугольными и трапециевидными) и располагаемыми в III и IV поясах светового климата СССР - на С и Ю;
в зданиях с односторонними фонарями (типа шед) и располагаемыми в IV и V поясах светового климата - на северную четверть горизонта (ССЗ-ССВ).
2.11. При боковом освещении помещений производственных и общественных зданий с повышенными требованиями к постоянству естественного освещения и защите от инсоляции (например, сборочные цехи часовых заводов и прецизионной аппаратуры, помещения сортировки материалов по оттенкам цвета, картинные галереи и т.п.) остекление световых проемов следует ориентировать на северную четверть горизонта (ССЗ-ССВ).
2.12. Выбор устройств для защиты от слепящего действия прямых солнечных лучей следует производить с учетом:
ориентации световых проемов по сторонам горизонта;
направления солнечных лучей относительно человека в помещении, имеющего фиксированную линию зрения (рабочий у станка, ученик за партой, чертежник за чертежной доской и т.п.);
рабочего времени суток и года в зависимости от назначения помещения;
разницы между солнечным временем (по которому построены солнечные карты в
приложении 2) и декретным временем, принятым на территории СССР (переход от декретного времени к солнечному и обратно осуществляется по
формуле 22).
Перечень средств для защиты от слепящего действия прямого солнечного света и область их использования регламентируются главой СНиП по проектированию естественного освещения.
2.13. При односменном рабочем (учебном) процессе и при эксплуатации помещений в основном в первую половину дня (например, лекционные аудитории), когда помещения ориентированы на западную четверть горизонта, применение солнцезащитных средств необязательно.
2.14. Определение геометрических параметров солнцезащитных козырьков, жалюзи и экранов, количества и углов наклона их элементов производится с помощью "защитных углов"

- для горизонтальных элементов и

- для вертикальных элементов устройств
(рис. 2).
Рис. 2. Схема "защитных углов" козырьков, жалюзи и экранов
а - "защитные углы"

в плоскости вертикального разреза
у горизонтальных козырьков и жалюзи; б - "защитные углы"

в плане у вертикальных экранов и жалюзи
"Защитные углы"

, определяющие выносы, количество и угол поворота вертикальных экранов, рассчитываются непосредственно по солнечным картам
приложения 2 с учетом времени эксплуатации здания и требований к защите помещения от слепящего действия прямого солнечного света.
Примечание. Если обеспечение требуемого "защитного угла"

связано с большим выносом горизонтального козырька, следует использовать несколько параллельно расположенных козырьков с меньшим выносом или жалюзи.
2.15. В помещениях производственных и общественных зданий в соответствии с главой СНиП по проектированию естественного освещения допускается предусматривать совмещенное освещение.
Примечания: 1. Совмещенным освещением называют освещение, при котором в светлое время суток одновременно используется естественный и искусственный свет. При этом недостаточное по условиям зрительной работы естественное освещение дополняется искусственным освещением.
2. Совмещенное освещение устраивается только в помещениях с недостаточным естественным освещением, в которых расчетное значение к. е. о. составляет менее 0,9 нормированного значения (eн).
3. Согласно требованиям главы СНиП по проектированию искусственного освещения зданий в производственных помещениях с работами I - VI разрядов, в которых к. е. о. составляет при верхнем естественном освещении 0,6 и менее, при боковом 0,8 и менее нормированного значения к. е. о., нормы искусственной освещенности повышаются на одну ступень по шкале освещенности.
4. По медико-санитарным требованиям при совмещенном освещении допускается снижение к. е. о. при верхнем и комбинированном освещении не менее 3% для помещений с разрядами зрительной работы I - III и не менее 1,5% для помещений с разрядами зрительной работы IV - VI.
5. Совмещенное освещение общественных зданий допускается предусматривать для помещений, указанных в
приложении 3.
2.16. Проектирование совмещенного освещения производственных помещений целесообразно выполнять в следующей последовательности:
а) в соответствии с исходными данными и требованиями главы СНиП по проектированию естественного освещения определяется разряд точности преобладающих в помещении зрительных работ; по разряду работы определяется нормированное значение к. е. о.;
б) в зависимости от места расположения здания на территории СССР определяется нормированное значение к. е. о. с учетом светового климата (eн);
в) выполняется предварительный расчет естественного освещения помещения (определяется необходимая площадь световых проемов или необходимая глубина помещения);
г) если определенная площадь световых проемов при верхнем естественном освещении или необходимая глубина помещения при боковом естественном освещении не могут быть приняты по строительным или технико-экономическим соображениям, то площадь световых проемов уменьшается, а глубина помещения увеличивается до приемлемых значений;
д) выполняется расчет естественного освещения и определяется значение к. е. о., которое получается при уменьшенной площади световых проемов (или увеличенной глубине помещения при боковом освещении);
е) если расчетное значение к. е. о. при верхнем освещении составляет 0,6 и менее нормированного значения (0,8 и менее нормированного значения к. е. о. при боковом освещении), то подготавливается задание группе, проектирующей электрическое освещение, о необходимости повышения на одну ступень нормированной освещенности в помещении (или в зонах помещения с недостаточным естественным освещением).
2.17. В соответствии с требованиями главы СНиП по проектированию естественного освещения зданий целесообразность применения совмещенного освещения в каждом конкретном случае должна подтверждаться технико-экономическими обоснованиями с учетом медико-санитарных требований.
При сравнении зданий с совмещенным и естественным освещением следует принимать тот вариант, который характеризуется минимальными приведенными затратами, определяемыми по формуле
П = р(Кстр + Кв.о + Ко.у + Кл + Ксопр) + Эстр +
+ Эв.о + Эо.у + Эл, (1)
где р - нормативный коэффициент эффективности капитальных вложений, принимаемый равным 0,12;
Кстр - капитальные затраты на строительные конструкции здания, руб./м2;
Кв.о - капитальные затраты на санитарно-технические устройства, руб./м2;
Ко.у - капитальные затраты на устройство осветительной установки, руб./м2;
Кл - капитальные затраты на устройство лифтов, руб./м2;
Ксопр - сопряженные единовременные затраты (долевое участие в строительстве котельных, ТЭЦ, трансформаторных, электросетей и т.п.), руб./м2;
Эстр - годовые эксплуатационные расходы по строительным конструкциям, включающие в себя затраты на восстановление конструкций, капитальный и текущий ремонты, окраску помещений, уборку снега с кровли и фонарей, стоимость очистки и ремонта остекления окон и фонарей, руб./м2;
Эв.о - годовые эксплуатационные расходы на санитарно-техническое оборудование здания, включающие затраты на тепловую и электрическую энергию, стоимость израсходованной воды, текущего ремонта отопительно-вентиляционных устройств, руб./м2;
Эо.у - годовые эксплуатационные расходы на систему искусственного освещения, которые слагаются из стоимости затраченной электроэнергии, сменяемых ламп и чистки осветительных приборов, руб./м2.
Примечание. Технико-экономический расчет должен выполняться в соответствии с "
Инструкцией по определению экономической эффективности капитальных вложений в строительстве".
3. МЕТОДЫ РАСЧЕТА ЕСТЕСТВЕННОГО ОСВЕЩЕНИЯ ЗДАНИЙ
3.1. Достаточность размеров и расположение световых проемов в помещении, а также соблюдение требований норм естественного освещения помещений определяются расчетом, который делится на предварительный и проверочный.
ПРЕДВАРИТЕЛЬНЫЙ РАСЧЕТ ПЛОЩАДИ СВЕТОВЫХ ПРОЕМОВ И К. Е. О. ПРИ БОКОВОМ ОСВЕЩЕНИИ
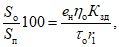
3.2. Для предварительного определения необходимых размеров световых проемов при боковом освещении пользуются формулой

(2)
где Sо - площадь окон, м2;
Sп - площадь пола помещения, м2;
eн - нормированное значение к. е. о. при боковом естественном освещении, %;

- световая характеристика окна;

- общий коэффициент светопропускания светопроема;

(3)

- коэффициент светопропускания материала;

- коэффициент, учитывающий потери света в переплетах светопроема;

- коэффициент, учитывающий потери света в слое загрязнения остекления;

- коэффициент, учитывающий потери света вследствие затенения строительными конструкциями;

- коэффициент, учитывающий потери света в солнцезащитных устройствах;
r1 - коэффициент, учитывающий свет, отраженный от внутренних поверхностей помещения и поверхности участка земли, прилегающей к зданию;
Кзд - коэффициент, учитывающий затенение окон противостоящими зданиями.
Значения коэффициентов
eн,

,

,

,

,

,

,
r1 и
Кзд определяются в соответствии с главой СНиП по проектированию естественного освещения зданий.
Условные обозначения основных размеров помещений и световых проемов при боковом естественном освещении даны на
рис. 3.
Рис. 3. Условные обозначения основных размеров помещений
и световых проемов при боковом естественном освещении
h0 - высота светового проема; d - высота подоконника
над условной рабочей поверхностью; h1 - высота верха окна
над условной рабочей поверхностью; H - высота помещения;
B - глубина помещения; l - расстояние между наружной
стеной и расчетной точкой M; L - ширина помещения
(при двухстороннем боковом освещении); Lп - длина
помещения; a - ширина окна; b - ширина простенка;
Hзд - высота противостоящего здания над подоконником окон
рассматриваемого помещения; P - расстояние между наружной
стеной рассматриваемого помещения и противостоящим зданием
3.3. Предварительный расчет к. е. о. в помещениях производственных и общественных зданий с ленточными и отдельными окнами (ширина отдельных окон равна ширине простенков) при высоте подоконника не более 1,2 м следует производить по
рис. 4 и
5.
Рис. 4. Зависимость к. е. о. (
e, %) в точках
характерного разреза помещения от отношения
l/h1 и типа заполнения ленточного окна
Значения к. е. о.: 1 - при заполнении оконным стеклом
в спаренных переплетах; 2 - при заполнении профильным
стеклом; 3 - при заполнении стекложелезобетоном;
A - точка пересечения вертикали с кривой 2
Рис. 5. Зависимость к. е. о. (
e, %) в точках
характерного разреза помещения от отношения
l/h1 и типа заполнения отдельных окон
Значения к. е. о.: 1 - при заполнении оконным стеклом
в спаренных переплетах; 2 - при заполнении профильным
стеклом; 3 - при заполнении стекложелезобетоном
Расчет к. е. о. при боковом естественном освещении по
рис. 4 выполняется в такой последовательности:
а) по заданным расстоянию от расчетной точки до стены с окнами l и высоте окна h1 находят отношение l/h1;
б) по заданным типу окна и материалу его заполнения на
рис. 4 определяют соответствующую кривую;
в) на кривой находят точку с абсциссой заданного значения l/h1;
г) по ординате найденной точки определяют искомое значение к. е. о.
3.4. Предварительный расчет к. е. о. помещений жилых зданий следует выполнять:
по
рис. 6 - при открытом горизонте;
по
рис. 7 - при наличии противостоящих зданий протяженного типа;
по
рис. 8 - при наличии противостоящих зданий башенного типа.
Рис. 6. Зависимость минимального значения к. е. о.
(eмин, %) в жилых помещениях от глубины заложения
B/h1 и ширины окна a при открытом горизонте
Значения к. е. о.: 1 - при a = 1,2 м;
2 - при a = 2,1 м; 3 - при a = 2,7 м;
M - точка пересечения вертикали с кривой 3
Рис. 7. Зависимость минимального значения
к. е. о. (eмин, %) в жилых помещениях от глубины помещения
B и угла затенения окна противостоящим зданием
протяженного типа
Значения к. е. о.: 1 - при B = 6 м; 2 - при B = 5 м;
3 - при B = 4 м; 4 - при B = 3 м
Рис. 8. Снижение минимального значения к. е. о. в жилых
помещениях в зависимости от углов затенения окна
противостоящими зданиями башенного типа

и

- углы между плоскостью фасада рассматриваемого
здания и линиями, соединяющими середину окна с левым
и правым краями противостоящего здания; z - коэффициент
затенения окна; B - глубина помещения; Lп - длина помещения
Расчет к. е. о. по
рис. 8 производится в такой последовательности:
а) по заданным параметрам помещения и окна с помощью
рис. 6 определяют минимальное значение к. е. о. в помещении в случае открытого горизонта;
б) на плане застройки с помощью транспортира находят углы

,

;
в) по найденным значениям

и

на
рис. 8 вычисляют соответствующие им значения коэффициентов
z1 и
z2;
г) путем деления z2 на z1 определяют значение коэффициента Z, учитывающего затенение окон противостоящим зданием;
д) путем умножения минимального значения к. е. о., найденного в
п. "а", на значение коэффициента
Z вычисляют искомое значение к. е. о. с учетом затенения окон противостоящим зданием.
ПРЕДВАРИТЕЛЬНЫЙ РАСЧЕТ ПЛОЩАДИ СВЕТОВЫХ ПРОЕМОВ И К. Е. О. ПРИ ВЕРХНЕМ ОСВЕЩЕНИИ
3.5. Для предварительного определения необходимой площади светопроемов при верхнем освещении помещений следует пользоваться формулой

(4)
где Sф - площадь фонарей, м2;
Sп - площадь пола помещения, м2;
eн - нормированное значение к. е. о. при верхнем освещении, %;

- световая характеристика фонаря;
Кф - коэффициент, учитывающий отраженный свет от конструктивных элементов фонаря;
r2 - коэффициент, учитывающий отраженный свет от внутренних поверхностей помещений при верхнем освещении.
Значения коэффициентов
eн,

,

,
Кф и
r2 определяются в соответствии с главой СНиП по проектированию естественного освещения.
Условные обозначения основных размеров помещений и световых проемов при верхнем естественном освещении даны на
рис. 9.
Рис. 9. Условные обозначения основных размеров помещений
и световых проемов при верхнем и комбинированном
естественном освещении
hф - высота светового проема фонаря; lф - ширина фонаря;
Hф - высота нижнего края светопроема над уровнем условной
рабочей поверхности; L1 - ширина пролета; L - ширина
помещения; Lо - расстояние между осями соседних фонарей;
hо - высота окна; h1 - высота верхнего края нижнего ряда
окон над условной рабочей поверхностью; h2 - высота верхнего
края верхнего ряда окон над условной рабочей поверхностью;
Lп - длина помещения; Lф - длина фонаря
3.6. В многопролетных производственных помещениях (3 пролета и более), в которых общий коэффициент светопропускания фонарей лежит в пределах от 0,25 до 0,45, а средневзвешенный коэффициент отражения поверхностей в пределах от 0,3 до 0,4 для предварительного расчета необходимых размеров световых проемов можно применять
рис. 10 -
14.
Рис. 10. График для определения среднего значения
к. е. о. (eср, %) в многопролетных производственных
помещениях (три пролета и более) с прямоугольными фонарями
Значения среднего к. е. о.: 1 - при Lп/L1 >= 4
и H/L1 = 0,2 - 0,4; 2 - при Lп/L1 = 2 - 3,9
и H/L1 = 0,2 - 0,4; 3 - при Lп/L1 = 1,0 - 1,9
и H/L1 = 0,2 - 0,4; 4 - при Lп/L1 >= 4 и H/L1 = 0,7 - 1;
5 - при Lп/L1 = 1 - 2 и H/L1 = 0,4 - 0,7; Lп - длина
помещения; H - высота помещения; L1 - ширина пролета;
Sф - суммарная площадь световых проемов;
Sп - площадь пола помещения
Рис. 11. График для определения среднего значения к. е. о.
(eср, %) в многопролетных производственных помещениях (три
пролета и более) с трапециевидными фонарями
Значения к. е. о.: 1 - при Lп/L1 >= 4
и H/L1 = 0,2 - 0,4; 2 - при Lп/L1 = 2 - 3,9
и H/L1 = 0,2 - 0,4; 3 - при Lп/L1 = 1 - 1,9
и H/L1 = 0,2 - 0,4; 4 - при Lп/L1 = 1 - 1,9
и H/L1 = 0,4 - 0,7; 5 - при Lп/L1 = 1 - 1,9
и
H/L1 = 0,7 - 1;
Lп;
L1;
Sф/
Sп - см.
рис. 10
Рис. 12. График для определения среднего значения к. е. о.
(eср, %) в многопролетных производственных помещениях (три
пролета и более) со светопроемами в плоскости покрытия
(зенитными фонарями)
Значения к. е. о.: 1 - при i = 1,8; 2 - при i = 1;
3 - при i = 0,6; 4 - при i = 0,5; 5 - при i = 0,4;
6 - при
i = 0,3;

, где
a - ширина,
b - длина
светового проема в плане; h - высота стенок проема
Рис. 13. График для определения среднего значения к. е. о.
(eср, %) в производственных помещениях с фонарями шед,
имеющими вертикальное остекление
Значения к. е. о.: 1 - при Lп/L1 >= 4 и H/L1 = 0,7 - 1;
2 - при Lп/L1 = 2 - 3,9 и H/L1 = 0,4 - 0,7;
3 - при Lп/L1 = 1,0 - 1,9 и H/L1 = 0,2 - 0,4;
4 - при Lп/L1 = 1 - 1,9 и H/L1 = 0,4 - 0,7;
5 - при Lп/L1 = 0,5 - 1 и H/L1 = 0,7 - 1.
Рис. 14. График для определения среднего значения к. е. о.
(eср, %) в производственных помещениях с фонарями шед,
имеющими наклонное остекление
Значения к. е. о.: 1 - при Lп/L1 >= 4 и H/L1 = 0,4 - 0,7;
2 - при Lп/L1 = 2 - 3,9 и H/L1 = 0,4 - 0,7;
3 - при Lп/L1 = 2 - 3,9 и H/L1 = 0,2 - 0,4;
4 - при Lп/L1 = 1 - 1,9 и H/L1 = 0,4 - 0,7;
5 - при Lп/L1 = 1 - 1,9 и H/L1 = 0,7 - 1.
Расчет площади световых проемов по
рис. 10 -
14 выполняется в следующем порядке:
а) по заданному типу светового проема и количеству пролетов в помещении устанавливают соответствующий рисунок и кривую на нем;
б) на кривой находят точку с ординатой заданного значения eн;
в) по абсциссе найденной точки на соответствующем рисунке определяют искомую площадь световых проемов в процентах от площади пола.
3.7. При заданной площади световых проемов верхнего света приближенное определение среднего значения к. е. о. на условной горизонтальной плоскости в помещении следует производить по
рис. 10 -
14.
Последовательность расчета среднего значения к. е. о.:
а) по заданному типу и площади световых проемов и количеству пролетов в помещении устанавливают соответствующий рисунок и кривую на нем;
б) на кривой находят точку с абсциссой заданного значения площади световых проемов - Sф/Sп;
в) по ординате найденной точки определяют среднее значение к. е. о. в помещении.
ПРОВЕРОЧНЫЙ РАСЧЕТ К. Е. О. ПРИ БОКОВОМ ОСВЕЩЕНИИ
3.8. Проверочный расчет к. е. о. в точках характерного разреза помещения при боковом освещении следует выполнить в соответствии с главой СНиП по проектированию естественного освещения по формуле

(5)
где eб - расчетное значение к. е. о. в точке характерного разреза помещения при боковом освещении;

- геометрический к. е. о. в расчетной точке при боковом освещении;
q - коэффициент, учитывающий неравномерную яркость облачного неба МКО;
R - коэффициент, учитывающий свет, отраженный от противостоящего здания;
K - коэффициент, учитывающий относительную яркость противостоящего здания;
r1 - коэффициент, учитывающий повышение к. е. о. при боковом освещении за счет света, отраженного от внутренних поверхностей помещения и земной поверхности.
Расчет к. е. о. по
формуле (4) следует производить в такой последовательности:
а) график
I (рис. 15) накладывают на поперечный разрез помещения таким образом, чтобы его полюс (центр)
O совместился с расчетной точкой
A (рис. 16), а нижняя линия графика - со следом рабочей поверхности;
б) по графику I подсчитывают количество лучей, проходящих через поперечный разрез светового проема от неба n1 и от противостоящего здания n'1 в расчетную точку A;
в) отмечают номера полуокружностей на графике
I, совпадающих в серединой
C1 участка светопроема, через который из расчетной точки видно небо, и с серединой
C2 участка светопроема, через который из расчетной точки видно противостоящее здание (см.
рис. 16);
г) график
II (рис. 17) накладывают на план помещения таким образом, чтобы его вертикальная ось и горизонталь, номер которой соответствует номеру концентрической полуокружности
(п. "в"), проходили через точку
C1 (см.
рис. 16);
д) подсчитывают количество лучей n2 по графику II, проходящих от неба через световой проем на плане помещения в расчетную точку A;
е) определяют значение геометрического к. е. о.

по формуле

(6)
ж) график
II накладывают на план помещения таким образом, чтобы его вертикальная ось и горизонталь, номер которой соответствует номеру концентрической полуокружности
(п. "в"), проходили через точку
C2;
з) подсчитывают количество лучей n'2 по графику II, проходящих от противостоящего здания через световой проем на плане помещения в расчетную точку A;
и) определяют значение коэффициента R, учитывающего отраженный свет от противостоящего здания, по формуле
R = 0,01n'1n'2; (7)
к) определяют значение угла

, под которым видна середина участка неба из расчетной точки на поперечном разрезе помещения;
л) по значению угла

и заданным параметрам помещения и светового проема в соответствии с главой СНиП по проектированию естественного освещения определяют значения коэффициентов
q,
K,

,
r1 и подставляют их в
формулу (5);
м) вычисляют значение к. е. о. в расчетной точке помещения по
формуле (5).
Рис. 15. График
I для подсчета количества лучей
n1 и n'1, проходящих через световой проем на характерном
поперечном разрезе помещения при боковом освещении (цифры
на полуокружности обозначают количество лучей, на нижней
горизонтальной линии - номера полуокружностей)
Рис. 16. Пример использования графика
I для подсчета
количества лучей n1 от неба и n'1 от противостоящего здания
A - расчетная точка; O - полюс графика I; C1 - середина
участка светового проема, через который из расчетной точки
видно небо; C2 - середина участка светопроема, через
который из расчетной точки видно противостоящее здание
Рис. 17. График
II для подсчета количества лучей
n2 и n'1, проходящих через световой проем на плане
(при боковом освещении) или на продольном разрезе
(при верхнем освещении) помещения (цифры на полуокружности
обозначают количество лучей; на левом и правом краях
графика - номера горизонталей)
Примечание. Графики I и II применимы только для световых проемов прямоугольной формы.
3.9. При наличии в помещении световых проемов в двух взаимно перпендикулярных стенах (помещения, располагаемые в углах здания) расчет к. е. о. в точках характерного разреза производится сначала от световых проемов, расположенных в одной стене, затем от световых проемов в другой стене; полученные значения к. е. о. для каждой точки суммируются.
Пример расчета к. е. о. в точках разреза помещения приведен в приложении 1
(пример 9).
ПРОВЕРОЧНЫЙ РАСЧЕТ К. Е. О. ПРИ ВЕРХНЕМ ОСВЕЩЕНИИ
3.10. Проверочный расчет к. е. о. в точках характерного разреза помещения при верхнем освещении следует выполнять в соответствии с главой СНиП по проектированию освещения по формуле

(8)
где eв - расчетное значение к. е. о. в точке характерного разреза помещения при верхнем освещении;

- геометрический коэффициент естественной освещенности в расчетной точке при верхнем освещении;

- средний геометрический коэффициент естественной освещенности на линии пересечения плоскости характерного разреза помещения и условной рабочей поверхности;
Расчет к. е. о. по
формуле (8) следует производить в такой последовательности:
а) график
III (рис. 18) накладывают на поперечный разрез помещения таким образом, чтобы полюс (центр)
O графика совмещался с расчетной точкой, а нижняя линия графика - со следом рабочей поверхности; количество радиально направленных лучей графика
III, проходящих через поперечный разрез первого проема, определяет значение (
n3)
1, второго проема (
n3)
2, третьего проема (
n3)
3 и т.д.; при этом замечают номера полуокружностей, которые проходят через середину первого, второго, третьего проемов и т.д.
Примечание. Концентрические полуокружности на графике III и соответствующие им параллельные линии на графике II определяют в некотором (одинаковом) масштабе расстояние d от середины светопроема до расчетной точки. При разных масштабах разреза и плана помещения, применяя график II расстояние d, полученное по графику III, умножают на отношение масштаба плана к масштабу разреза помещения;
б) график
II (см.
рис. 17) накладывают на продольный разрез помещения: при этом график располагают так, чтобы его вертикальная ось и горизонталь, номер которой должен соответствовать номеру полуокружности на графике
III (см.
рис. 18), проходили через середину проема (точку
C).
Рис. 18. График
III для подсчета количества лучей
n3,
проходящих через световые проемы на поперечном разрезе
помещения при верхнем освещении (цифры на полуокружности
обозначают количество лучей, на нижней горизонтальной
линии - номера полуокружностей)
Количество лучей по графику II, проходящих через продольный разрез первого проема, определяет значение (n2)1, второго проема - (n2)2, третьего проема - (n2)3 и т.д.;
в) вычисляют значение геометрического к. е. о. в первой точке характерного разреза помещения по формуле

(9)
где k - количество световых проемов;
г) повторяют вычисления в соответствии с
пп. "а",
"б" и
"в" для всех точек характерного разреза помещения до
N включительно (где
N - количество точек, в которых производится расчет к. е. о.);
д) определяют среднее значение геометрического к. е. о.

по формуле

(10)
е) по заданным параметрам помещения и световых проемов в главе СНиП по проектированию естественного освещения определяют значения коэффициентов
r2,
Кф и

;
ж) последовательно для всех точек вычисляют прямую составляющую к. е. о. по формуле

(11)
з) отраженную составляющую, значение которой одинаковое для всех точек, определяют по формуле

(12)
и) определяют расчетное значение к. е. о. в каждой точке характерного разреза с учетом отраженного от поверхностей помещения света путем суммирования составляющих к. е. о.

и

, т.е.

(13)
Пример расчета к. е. о. в точках характерного разреза помещения при верхнем освещении по
формуле (8) приведен в приложении 1
(пример 10).
Примечание. График III применим только для световых проемов прямоугольной формы.
3.11. Проверочный расчет среднего значения к. е. о. в плоскости характерного разреза помещения при верхнем освещении следует выполнять в соответствии с главой СНиП по проектированию естественного освещения по формуле

(14)
где
eв1,
eв2,
eв3, ...,
eвN - значения к. е. о. при верхнем освещении в точках характерного разреза помещения, определяемые в соответствии с
п. 3.10.
Пример расчета среднего значения к. е. о. при верхнем освещении по
формуле (14) приведен в приложении 1
(пример 10).
ПРОВЕРОЧНЫЙ РАСЧЕТ К. Е. О. ПРИ КОМБИНИРОВАННОМ ЕСТЕСТВЕННОМ ОСВЕЩЕНИИ
3.12. Проверочный расчет к. е. о. в точках характерного разреза помещения при комбинированном естественном освещении следует выполнять в соответствии с главой СНиП по проектированию естественного освещения по формуле
где eк - значение к. е. о. в точке характерного разреза помещения при комбинированном естественном освещении;
eб - значение к. е. о. в точке характерного разреза помещения от бокового освещения; определяется в соответствии с
п. 3.8;
eв - значение к. е. о. в точке характерного разреза помещения от верхнего освещения; определяется в соответствии с
п. 3.10.
Примечание. При комбинированном освещении с прямоугольными фонарями, шедами, трапециевидными коэффициент r1, учитывающий повышение к. е. о. за счет света, отраженного от поверхностей помещения и поверхности земли, следует определять по средневзвешенному коэффициенту отражения поверхностей помещения по формуле

(16)
где

- коэффициент отражения глухих частей покрытия и фонарей;

,

- коэффициенты отражения стен и пола;
S1, S2, S3 - площади покрытия (горизонтальной проекции), стен и пола.
3.13. Проверочный расчет среднего значения к. е. о. в плоскости характерного разреза помещения при комбинированном освещении следует выполнять в соответствии с главой СНиП по проектированию естественного освещения по формуле

(17)
где
eк1,
eк2,
eк3, ...,
eкN - значения к. е. о. в точках характерного разреза помещения при комбинированном освещении, определяемые в соответствии с
п. 3.12.
Пример расчета среднего значения к. е. о. при комбинированном естественном освещении по
формуле (17) приведен в приложении 1
(пример 11).
РАСЧЕТ К. Е. О. ОТ СВЕТОВЫХ ПРОЕМОВ, ИМЕЮЩИХ ФОРМУ, ОТЛИЧНУЮ ОТ ПРЯМОУГОЛЬНИКА
3.14. При расчете к. е. о. в помещениях со световыми проемами в наружных стенах круглой, полукруглой или эллиптической формы такие светопроемы следует заменять светопроемами прямоугольной формы одинаковой площади, для чего световой проем описывают прямоугольником
(рис. 19) и затем размеры этого прямоугольника уменьшают в

раз, где
S - площадь светового проема и
Sпр - площадь описанного прямоугольника. Для круга, полукруга и эллипса

.
Рис. 19. Замена круглого (
а), полукруглого
(б) и эллиптического (в) светопроемов
эквивалентными прямоугольными
r - радиус окружности; a - большая
и b - малая полуоси эллипса
3.15. В помещениях со световыми проемами круглой формы в покрытии значение геометрического к. е. о. в процентах следует определять по формуле

(18)
где

- угол, образуемый линиями, проведенными из расчетной точки
M к границам светопроема
(рис. 20).
Рис. 20. Схема для определения к. е. о.
от светопроемов круглой формы в покрытии

- угол, под которым виден диаметр
светопроема из расчетной точки A
3.16. В помещениях со световыми проемами кольцеобразной формы в покрытии значение геометрического к. е. о. в процентах следует определять по формуле

(19)
где

и

- углы, под которыми из расчетной точки
A видны внешняя и внутренняя окружности, ограничивающие световой проем
(рис. 21), град.
Рис. 21. Схема для определения к. е. о. от светопроема
кольцеобразной формы в покрытии

,

- углы, под которыми видны внутренний и наружный
круги кольцеобразного светопроема из расчетной точки A
3.17. В помещениях со световыми проемами, имеющими форму многоугольника, значение геометрического к. е. о. в процентах рассчитывается по формуле

(20)
где n - число сторон многоугольника;

- углы, под которыми видны из освещаемой точки
A стороны многоугольника, в радианах
(рис. 22);

- углы между освещаемой плоскостью и плоскостями, проведенными через точку
A и грани многоугольника.
Рис. 22. Схема для определения к. е. о. от светового
проема, имеющего форму многоугольника

,

, ...,

- углы, под которыми видны из расчетной
точки стороны многоугольника;

- угол между освещаемой
плоскостью и плоскостью, проведенной
через точку A и сторону многоугольника
РАСЧЕТ ВРЕМЕНИ ИСПОЛЬЗОВАНИЯ ЕСТЕСТВЕННОГО ОСВЕЩЕНИЯ В ПОМЕЩЕНИЯХ
3.18. Технико-экономическая оценка различных вариантов естественного и совмещенного освещения помещений должна производиться с учетом реального времени использования естественного освещения в течение года или отдельных его сезонов. Продолжительность использования естественного освещения следует определять между моментами выключения (утром) и включения (вечером) искусственного освещения, когда естественная освещенность становится равной нормированному значению освещенности от установки искусственного освещения.
Согласно требованиям главы СНиП по проектированию искусственного освещения в производственных помещениях с работами I - VI разрядов, в которых к. е. о. составляет при верхнем естественном освещении 0,6 и менее, при боковом естественном освещении 0,8 и менее нормированного значения к. е. о., нормы искусственной освещенности повышаются на одну ступень по шкале освещенности. Поэтому время использования естественного освещения в таких помещениях определяется между моментами, когда естественная освещенность в помещении становится равной повышенной на одну ступень нормированной освещенности от искусственного освещения.
Время использования естественного освещения следует определять на основе предварительного расчета естественной освещенности в помещении последовательно для разных часов рабочего времени и месяцев года.
Пример расчета времени использования естественного освещения в помещениях с недостаточным по нормам естественным освещением приведен в приложении 1
(пример 12).
3.19. Расчет естественной освещенности в помещениях следует производить в зависимости от расположения здания на карте светового климата СССР:
а) по облачному небу - для всех месяцев года при расположении зданий в I, II и III поясах светового климата и для зимней половины года (ноябрь, декабрь, январь, февраль, март, апрель) при расположении зданий в IV и V поясах светового климата;
б) по безоблачному небу - для летней половины года (май, июнь, июль, август, сентябрь, октябрь) при расположении зданий в IV и V поясах светового климата.
Примечание. При расположении здания в IV поясе светового климата восточнее 95° восточной долготы для зимней половины года расчет освещенности следует производить по безоблачному небу, а для летней половины года - по облачному небу.
3.20. Среднюю естественную освещенность в помещении при верхнем освещении от облачного неба в какой-либо момент времени суток следует определять по формуле

(21)
| | ИС МЕГАНОРМ: примечание. Текст дан в соответствии с официальным текстом документа. | |
где

- среднее значение к. е. о., определяется по
формуле (14);

- наружная горизонтальная освещенность при сплошной облачности, принимается по
табл. 14 приложения 4.
Примечание. Значения наружной освещенности в
приложении 4 приведены для местного среднего солнечного времени
Tм. Переход от декретного времени к среднему солнечному производится по формуле

(22)
где Tд - местное декретное время;

- географическая долгота пункта, выраженная в часовой мере (15° = 1 ч).
3.21. Значение естественной освещенности в заданной точке A при боковом освещении в условиях сплошной облачности следует определять по формуле

(23)
где
eб - значение к. е. о. в точке
A помещения при боковом освещении, определяется по
формуле (5).
3.22. Расчет естественной освещенности в помещении от окон при безоблачном небе следует производить по следующим формулам:
а) при отсутствии солнцезащитных средств в светопроемах и противостоящих зданий:

(24)
б) при затенении окон противостоящими зданиями

(25)
в) при наличии солнцезащитных средств в светопроемах

(26)

- геометрический к. е. о., определяемый в соответствии с
п. 3.8;

- коэффициент относительной яркости участка неба, видимого через светопроем, принимается по
табл. 3;
Eв - наружная освещенность на вертикальной поверхности, создаваемая рассеянным светом безоблачного неба, принимается в зависимости от ориентации поверхности фасада здания и времени суток по
табл. 17 приложения 4;
R - коэффициент, учитывающий свет, отраженный от противостоящих зданий (см.
рис. 16), определяется в соответствии с
п. 3.8;

- средний коэффициент отражения противостоящего здания, принимается по
табл. 4;

- наружная суммарная освещенность на вертикальной поверхности, создаваемая рассеянным светом неба, прямым светом Солнца и светом, отраженным от земной поверхности; принимается по
табл. 17 приложения 4.
Ориентация светопроемов | Значение коэффициента  |
Время суток, ч |
5 | 6 | 7 | 8 | 9 | 10 | 11 | 12 | 13 | 14 | 15 | 16 | 17 | 18 | 19 |
В | 2 | 3,1 | 3 | 1,9 | 1,4 | 1,25 | 1,2 | 1,3 | 1,4 | 1,55 | 1,7 | 1,8 | 1,9 | 1,95 | 1,85 |
ЮВ | 1,05 | 1,1 | 1,45 | 2,5 | 2,6 | 1,9 | 1,5 | 1,3 | 1,25 | 1,3 | 1,35 | 1,45 | 1,6 | 1,85 | 1,9 |
Ю | 1,5 | 1,35 | 1,1 | 1,2 | 1,3 | 1,5 | 1,7 | 1,85 | 1,7 | 1,5 | 1,3 | 1,2 | 1,1 | 1,35 | 1,5 |
ЮЗ | 1,9 | 1,85 | 1,6 | 1,45 | 1,35 | 1,3 | 1,25 | 1,3 | 1,5 | 1,9 | 2,6 | 2,5 | 1,45 | 1,1 | 1,05 |
З | 1,85 | 1,95 | 1,9 | 1,8 | 1,7 | 1,55 | 1,4 | 1,3 | 1,2 | 1,25 | 1,4 | 1,9 | 3 | 3,1 | 2 |
СЗ | 1,3 | 1,5 | 1,7 | 1,75 | 1,75 | 1,7 | 1,6 | 1,5 | 1,4 | 1,3 | 1,25 | 1,25 | 1,3 | 1,9 | 2,9 |
С | 1,2 | 1,2 | 1,3 | 1,45 | 1,5 | 1,6 | 1,6 | 1,65 | 1,6 | 1,6 | 1,5 | 1,45 | 1,3 | 1,2 | 1,2 |
СВ | 2,9 | 1,9 | 1,3 | 1,25 | 1,25 | 1,3 | 1,4 | 1,5 | 1,6 | 1,7 | 1,75 | 1,75 | 1,7 | 1,5 | 1,3 |
Отделочный материал на фасаде здания | Средний коэффициент отражения фасадов противостоящих зданий  |
Кирпич серый | 0,22 |
Бетон светлый | 0,26 |
Блоки облицовочные керамические | 0,29 |
Краска цветная светлая атмосферостойкая на бетоне | 0,36 |
Краска белая атмосферостойкая на бетоне | 0,47 |
Пример расчета естественной освещенности в помещении при безоблачном небе по формулам (
24 и
26) приведен в приложении 1
(пример 14).
Рис. 23. Карта часовых поясов СССР
II,
III - XII - номера часовых поясов
3.23. Расчет средней естественной освещенности в помещении от безоблачного неба при верхнем освещении в зависимости от типа светового проема производится по следующим формулам:
а) при световых проемах в плоскости покрытия, имеющих заполнение из светорассеивающих материалов:

(27)
б) при световых проемах в плоскости покрытия, имеющих заполнение из светопрозрачных материалов:

(28)
в) при фонарях шед

(29)
г) при прямоугольных фонарях

(30)

- суммарная наружная освещенность на горизонтальной поверхности, создаваемая безоблачным небом и прямым светом Солнца, принимается по
табл. 16 приложения 4;
Eг - наружная освещенность на горизонтальной поверхности, создаваемая безоблачным небом, принимается по
табл. 16 приложения 4;

- относительная яркость участков безоблачного неба, видимого через светопроемы, принимается по
табл. 5;
E'в и
E"в - наружная освещенность на двух противоположных сторонах вертикальной поверхности; принимается по
табл. 17 приложения 4.
Примечания: 1. Прямой солнечный свет в расчетах освещенности учитывается при наличии в световых проемах солнцезащитных средств или светорассеивающих материалов; в остальных случаях прямой солнечный свет не учитывается.
2. Значения расчетных коэффициентов в
табл. 3 и
5 приведены для местного среднего солнечного времени.
Тип светового проема | Значения коэффициента  |
Время суток, ч |
5 | 6 | 7 | 8 | 9 | 10 | 11 | 12 | 13 | 14 | 15 | 16 | 17 | 18 | 19 |
Прямоугольный фонарь | 1,3 | 1,42 | 1,52 | 1,54 | 1,42 | 1,23 | 1,15 | 1,14 | 1,15 | 1,23 | 1,42 | 1,54 | 1,52 | 1,42 | 1,3 |
В плоскости покрытия | 0,7 | 0,85 | 0,95 | 1,05 | 1,1 | 1,14 | 1,16 | 1,17 | 1,16 | 1,14 | 1,1 | 1,05 | 0,95 | 0,85 | 0,7 |
Шед (ориентированный на СЗ, С, СВ) | 1 | 1,17 | 1,13 | 1,04 | 0,95 | 0,9 | 0,85 | 0,8 | 0,85 | 0,9 | 0,95 | 1,04 | 1,13 | 1,17 | 1 |
ПРИМЕРЫ РАСЧЕТА ЕСТЕСТВЕННОГО ОСВЕЩЕНИЯ ПОМЕЩЕНИЙ
Производственное помещение с ленточным окном в наружной стене имеет глубину 36, длину 48 и высоту 7,2 м. Ленточное окно заполнено профильным стеклом и имеет высоту h1 = 6 м.
Требуется определить расчетное значение к. е. о. в точке характерного разреза помещения, удаленной от наружной стены на расстояние l = 24 м и лежащей на горизонтальной рабочей поверхности на уровне 0,8 м от пола.
Решение
1. По исходным значениям l и h1 определяем, что l/h1 = 4.
2. На
рис. 4 находим кривую
2, на ней точку
A, абсцисса которой равна 4.
3. По ординате найденной точки определяем, что искомое значение к. е. о. = 0,5%.
ПРИМЕР 2
Требуется определить минимальное значение к. е. о. в жилой комнате при следующих исходных данных: глубина комнаты B = 4,13 м, длина комнаты Lп = 3 м, высота окна h1 = 1,5 м, ширина окна a = 2,7 м.
Решение
1. По заданной ширине окна
a = 2,7 м на
рис. 6 находим кривую
3, по которой необходимо вести расчет.
2. Определяем отношение глубины помещения к высоте окна: B/h = 2,75.
3. На кривой 3 находим точку M, абсцисса которой равна 2,75.
4. По ординате точки M определяем, что искомое значение к. е. о. = 2%.
Требуется определить минимальное значение к. е. о. в жилом помещении первого этажа пятиэтажного жилого дома при следующих данных: высота противостоящего здания над подоконником рассматриваемого помещения Hзд = 24 м; расстояние до противостоящего здания P = 40 м; глубина помещения B = 5 м.
Решение
1. Чертим схему расположения противостоящего здания
(рис. 24).
2. На
рис. 24 с помощью транспортира определяем, что угол

.
3. На
рис. 7 по заданной глубине помещения
B = 5 м находим кривую
2.
4. На кривой 2 находим точку O, абсцисса которой равна 31°.
5. По ординате точки O определяем, что искомое значение к. е. о. = 0,45%.
Рис. 24. Схема расположения здания к
примеру 3 приложения 1
Против существующего жилого здания
А намечается построить жилое здание
Б башенного типа
(рис. 25). Жилые комнаты в здании
А имеют глубину 5,3 м, окна шириной 2,1 м и высотой 1,5 м.
Рис. 25. Схема расположения зданий к
примеру 4 приложения 1
Требуется определить, будет ли удовлетворять нормам естественное освещение жилых помещений в здании А после возведения здания Б при условии строительства зданий в III поясе светового климата СССР.
Решение
1. В главе СНиП по проектированию естественного освещения зданий находим, что значение к. е. о. для жилых помещений e = 0,5%, для III пояса светового климата коэффициент светового климата m = 1, коэффициент солнечности C = 1. Отсюда нормированное значение к. е. о.:
eн = 0,5·1·1 = 0,5%.
2. По заданной ширине окон
a = 2,1 м (см.
рис. 6) определяем, что расчет к. е. о. необходимо производить по кривой
2.
3. По заданным глубине помещения B = 5,3 м и высоте окна h1 = 1,5 м определяем отношение B/h1 = 3,54.
4. На кривой
2 рис. 6 находим точку, абсцисса которой равна 3,54.
5. По ординате найденной точки определяем, что расчетное значение к. е. о. при условии открытого горизонта (при отсутствии противостоящего здания
Б) равно 0,8%.
6. Влияние затенения небосвода противостоящим зданием
Б определяем для тех жилых комнат, для которых это затенение будет наибольшим, т.е. для комнат, расположенных в левом торце здания
А (см.
рис. 25). По
рис. 25 определяем, что углы затенения небосвода противостоящим зданиям

и

.
7. По
рис. 8 находим, что углу

соответствует значение коэффициента затенения окна
z1 = 1, а углу

значение коэффициента
z2 = 0,74.
8. Результирующий коэффициент затенения определяем из соотношения
Z = z2/z1 = 0,74.
9. Умножаем значение к. е. о., найденное в
п. 5, на коэффициент затенения
Z и получаем расчетное значение к. е. о. с учетом затенения небосвода противостоящим зданием
Б, т.е.
eз = 0,8·0,74 = 0,592%.
10. Убеждаемся, что полученное расчетное значение к. е. о. превышает его нормированное значение. Следовательно, строительство здания Б сохраняет условия естественного освещения в здании А, удовлетворяющие требованиям главы СНиП по проектированию естественного освещения зданий.
Сборочный цех завода сельскохозяйственных машин в г. Фрунзе (42,9° с.ш.) имеет ширину L = 36 м (два пролета по 18 м), длину Lп = 48 м и высоту H = 6 м. Плиты покрытия опираются на железобетонные фермы высотой сечения 2,7 м. В цехе запроектировано верхнее естественное освещение через световые проемы в плоскости покрытия; световые проемы закрыты колпаками из однослойного светопропускающего бесцветного стеклопластика.
Световые проемы в разрезе имеют форму усеченного конуса, высота которого
h = 0,6, радиус верхнего основания
r = 0,6 м, нижнего основания
R = 0,95 м; стенки светового проема имеют коэффициент отражения

. Коэффициент отражения поверхностей помещения: покрытия

; стен

; пола

.
По условиям зрительной работы цех относится к V разряду норм.
Требуется определить необходимую площадь зенитных фонарей.
Решение
1. Пользуясь главой СНиП по проектированию естественного освещения зданий находим, что V разряду соответствует значение к. е. о. = 3%; г. Фрунзе расположен в V поясе светового климата СССР; для этого пояса коэффициент светового климата m = 0,8, коэффициент солнечности C = 0,75.
По этим данным определяем нормированное значение к. е. о.:
eн = 3·0,8·0,75 = 1,8%.
2. Определяем отношения Lп/L1 = 2,67 и H/L1 = 0,33, а также площадь боковой поверхности Sб, входного Sвх и выходного Sвых отверстий светового проема в плоскости покрытия:
Sвх = 3,14·0,36 = 1,13 м2;
Sвых = 3,14·0,903 = 2,84 м2;
3. По найденным значениям отношений
Lп/
L1,
H/
L1 и (
Sвх +
Sвых)/
Sб в главе СНиП по проектированию естественного освещения зданий находим, что световая характеристика светового проема в плоскости покрытия

. В этой же главе СНиП находим значения:
коэффициента светопропускания стеклопластика

;
коэффициента, учитывающего потери света в переплетах светопроема,

(переплеты отсутствуют);
коэффициента, учитывающего потери света в слое загрязнения остекления,

(умеренное загрязнение остекления);
коэффициента, учитывающего потери света вследствие затенения строительными конструкциями,

(железобетонные фермы высотой сечения 2,7 м);
коэффициента, учитывающего потери света в солнцезащитных устройствах,

(солнцезащитные средства отсутствуют);
коэффициента, учитывающего тип светового проема верхнего света, Кф = 1,1.
4. Определяем общий коэффициент светопропускания по
формуле (3)
5. По заданным размерам помещения вычисляем площади:
пола S1 = 36 x 48 = 1730 м2;
стен S2 = (36 + 36 + 48 + 48)6 = 1010 м2;
потолка S3 = 36 x 48 = 1730 м2.
6. Определяем отношение Hф/L1 = 0,34 и средневзвешенный коэффициент отражения внутренних поверхностей помещения
7. В главе СНиП по проектированию естественного освещения зданий находим, что при
Hф/
L1 = 0,34 и

значение коэффициента, учитывающего повышение к. е. о. при верхнем освещении за счет света, отраженного от поверхностей помещения,
r2 = 1,1.
8. По
формуле (4) вычисляем искомую площадь зенитных фонарей в процентах от площади пола
Естественное освещение механического цеха электромашиностроительного завода осуществляется через прямоугольные фонари. Цех расположен в г. Полтаве (49,6° с.ш.), имеет длину 72 м, ширину 54 м (три пролета по 18 м) и высоту 7,2 м.
По условиям зрительной работы цех относится к IV разряду норм.
Требуется определить необходимую площадь прямоугольных фонарей шириной 12 м.
Решение
1. Пользуясь главой СНиП по проектированию естественного освещения зданий, определяем следующее:
а) при верхнем освещении IV разряду соответствует значение к. е. о., равное 4%;
б) г. Полтава расположен в IV поясе светового климата, для которого коэффициент светового климата m = 0,9, коэффициент солнечности C = 0,8.
2. По формуле (1) той же главы СНиП определяем, что нормированное значение к. е. о. в механическом цехе с учетом его расположения на карте светового климата СССР составляет:
3. Определяем отношение длины помещения к ширине пролета Lп/L1 = 4 и высоты помещения к ширине пролета H/L1 = 0,4.
4. По отношениям
Lп/
L1 = 4 и
H/
L1 = 0,4 на
рис. 10 находим кривую
1 и точку
А на ней с ординатой
eср = 2,9%; проектируя точку
А на ось абсцисс, находим искомую площадь прямоугольных фонарей в процентах от площади пола:
Sф/
Sп = 20.
Прядильный цех в г. Иваново имеет два пролета шириной L1 = 12 м, длину Lп = 36 м, высоту H = 4,8 м, фонари шед с вертикальным односторонним остеклением по металлическим переплетам. Суммарная площадь световых проемов в процентах от площади пола Sф/Sп = 26.
Требуется определить среднее значение к. е. о. по характерному разрезу цеха.
Решение
1. По заданным размерам помещения находим, что Lп/L1 = 3; H/L1 = 0,4.
2. На
рис. 13 найденным значениям
Lп/
L1 и
H/
L1 соответствует кривая
2, на которой находим точку
Б с абсциссой
Sф/
Sп = 26%; на оси ординат этой точке соответствует среднее значение к. е. о. равное 3,5%.
Требуется определить значение к. е. о. в административном помещении на горизонтальной поверхности на уровне 0,8 м от пола в точке
M, расположенной на расстоянии
l = 5,5 м от стены с окнами и лежащей в плоскости характерного разреза. Окна помещения, как это показано на
рис. 26, частично затенены противостоящим зданием, коэффициент отражения которого

.
Помещение имеет длину
Lп = 12 м, глубину
B = 7 м, высоту
H = 3 м; в наружной стене расположены три окна высотой
h1 = 2,1 м, шириной
a = 2,4 м, с двойным остеклением в спаренных переплетах. Коэффициент отражения потолка

, стен

, пола

.
Решение
1. Накладываем график
I (см.
рис. 15) на поперечный разрез помещения (см.
рис. 26), совмещая полюс
O с точкой
M, а нижнюю линию с условной рабочей поверхностью. Замечаем, что от неба в расчетную точку свет проходит только через верхнюю часть окна
ab, а свет, отраженный от противостоящего здания, - через нижнюю часть окна
bf.
Рис. 26. Схема определения количества лучей
на поперечном разрезе помещения
2. Подсчитываем количество лучей по графику I, проходящих через верхнюю часть окна в расчетную точку M от неба, n1 = 2 и через нижнюю часть от здания - n'1 = 1,3.
3. Отмечаем, что через точку C1, находящуюся на расстоянии d1 от точки M, проходит концентрическая полуокружность 28, через точку C2 - концентрическая полуокружность 27.
4. Накладываем график
II на план помещения
(рис. 27) таким образом, чтобы его вертикальная ось и горизонталь
28 проходили через точку
C.
Рис. 27. Схема определения
количества лучей на плане помещения
5. Подсчитываем по графику II количество лучей, проходящих от неба через первый светопроем (n2)1 = 11,5, второй светопроем - (n2)2 = 22 и третий светопроем (n2)3 = 11,5.
6. Определяем значение геометрического к. е. о.:
7. Накладываем график II на план помещения таким образом, чтобы его вертикальная ось и горизонталь 27 проходили через точку C.
8. По графику II подсчитываем количество лучей, проходящих от противостоящего здания через первый светопроем (n'2)1 = 11,6, второй светопроем (n'2)2 = 30 и третий светопроем (n'2)3 = 11,6.
9. Определяем значение коэффициента R, учитывающего отраженный свет от противостоящего здания:
R = 0,01·1,3(11,6 + 30 + 11,6) = 0,69.
10. По указанным размерам помещения подсчитываем площадь потолка S1 = 84 м2, стен S2 = 114 м2 и пола S3 = 84 м2.
11. Определяем средневзвешенный коэффициент отражения поверхностей помещения:
12. Вычисляем отношение
B/
h1 = 3,33,

,
Lп/
B = 1,72
.
13. На поперечном разрезе помещения (см.
рис. 26) определяем, что середина участка неба, видимого из окна, находится под углом

.
14. По значениям

,

и
B/
h1,
l/
B и
Lп/
B в главе СНиП по проектированию естественного освещения зданий находим, что коэффициент
q = 0,7,
К = 0,26,

,
r1 = 2,6.
15. Подставляем найденные значения коэффициентов

,
R,
q,
K,

и
r1 в
формулу (5) и определяем значение к. е. о. в точке
M:
e = (0,9·0,7 + 0,69·0,26)0,48·2,9 = 1,01%.
Жилое помещение расположено в углу здания и имеет два окна в двух взаимно перпендикулярных стенах
(рис. 28).
Рис. 28. Схема определения к. е. о. в помещении с окнами
в двух взаимно перпендикулярных стенах
а - подсчет количества лучей по графику
II (см.
рис. 17),
проходящих через окно в продольной стене, на плане
помещения; б - подсчет количества лучей по графику
I (см.
рис. 15), проходящих через окно в торцевой стене,
на разрезе А-А; в - подсчет количества лучей по графику
I, проходящих через окно в продольной стене на разрезе
Б-Б; C1 - середина окна, расположенного в торцевой стене;
C2 - середина окна, расположенного в продольной стене;

,

- углы, под которыми видна середина окон;
26 - номер
полуокружности по графику I, проходящей через точку C1;
9 - номер полуокружности, проходящей через точку
C2; B - расчетная точка; O - полюс графика
Требуется определить значение к. е. о. в точке
А характерного разреза помещения (разрез
А-
А) на уровне 0,8 м от пола, на расстоянии 1 м от задней стены, при следующих исходных данных: глубина помещения
B = 6 м, ширина помещения
Lп = 3 м, высота помещения
H = 2,6 м, ширина окон
a = 1,2 м, высота окон
h1 = 1,5 м, высота подоконника равна 0,8 м, расстояние расчетной точки от стены с первым окном
l1 = 5 м, от стены со вторым окном
l2 = 1,5 м, коэффициент светопропускания окон

, среднее значение коэффициента отражения внутренних поверхностей помещения

.
Решение
К. е. о. в точке A следует определять для каждого окна отдельно и полученные значения сложить. Расчет целесообразно выполнять в приведенной ниже последовательности.
1. Накладываем график
I (см.
рис. 15) на продольный разрез помещения
А-
А (см.
рис. 28), совмещая полюс графика
O с точкой
B, а нижнюю линию графика
I - с условной рабочей поверхностью. Замечаем, что через середину окна (точку
C1) проходит полуокружность под номером
26.
2. По графику I подсчитываем количество лучей, проходящих от неба через первое окно в расчетную точку A (n1)1 = 1,7.
3. Измеряем угол к горизонту, под которым видна точка
C1 из расчетной точки
B, -

.
4. Накладываем график
II (см.
рис. 21) на план помещения (см.
рис. 28) таким образом, чтобы его вертикальная ось и горизонталь
26 проходили через точку
C1.
5. По графику II на плане помещения подсчитываем количество лучей, проходящих через первое окно в точку B (n2)1 = 14.
6. Определяем значение геометрического к. е. о. для первого окна
7. Вычисляем отношение B/h1 = 4, l1/B = 0,83, Lп/B = 0,5.
8. По значениям

,

,
B/
h1,
l/
B и
L/
B в главе СНиП по проектированию естественного освещения зданий находим, что для первого окна
q = 0,58,
r1 = 2,35.
9. Подставляем найденные значения коэффициентов

,

,
q и
r1 в
формулу (5) и определяем значение к. е. о. в точке
B от первого окна:
eб1 = 0,238·0,5·0,58·2,35 = 0,162%.
10. Накладываем график
I на поперечный разрез помещения
Б-
Б (см.
рис. 28), совмещая полюс графика
O с точкой
A, а нижнюю линию - с условной рабочей поверхностью. Замечаем, что через середину (точку
C2) проекции поперечного разреза второго окна на вертикальную плоскость разреза
Б-
Б проходит полуокружность под номером
9.
11. По графику I на разрезе Б-Б подсчитываем количество лучей, проходящих от неба (условно) через второе окно в расчетную точку B - (n1)2 = 11.
13. Накладываем график
II на план помещения (см.
рис. 28,
а) таким образом, чтобы его вертикаль совпадала со следом поперечного разреза помещения
Б-
Б, а горизонталь
9 проходила через точку
C2.
14. По графику II на плане помещения подсчитываем количество лучей, проходящих от неба через второе окно в точку B (n2)2 = 3,5.
15. Определяем значение геометрического к. е. о. для второго окна
16. Вычисляем отношение Lп/h1 = 2, l2/Lп = 0,5, B/Lп = 2.
17. По значениям

,

,
Lп/
h1,
l2/
Lп,
B/
Lп в главе СНиП по проектированию естественного освещения зданий находим, что для второго окна
q = 0,81,
r1 = 1,2.
18. Подставляем найденные значения коэффициентов

,

,
q и
r1 в
формулу (5) и определяем значения к. е. о. в точке
A от второго окна:
19. Суммарное значение к. е. о. в точке A от обоих окон составит
eб1 + eб2 = 0,349%.
Требуется определить значения к. е. о. в точках характерного разреза и среднее значение к. е. о. в трехпролетном производственном помещении с трапециевидными фонарями
(рис. 29) при следующих исходных данных: ширина пролета
L1 = 24 м (сетка колонн 24 x 12 м), ширина помещения
L = 72 м, длина помещения
Lп = 96 м, высота помещения до низа ферм
H = 12,6 м; ширина фонаря (у основания)
lф = 12 м, высота световых проемов фонаря
hф = 3,5 м; световые проемы фонаря заполнены одинарным армированным стеклом по металлическим переплетам; коэффициенты отражения потолка и ферм

, стен и колонн

, пола

; загрязнение остекления умеренное.
Рис. 29. Схема трехпролетного производственного
помещения с трапециевидными фонарями
1 - 6 - номера световых проемов; C1, C2, ..., C6 - середины
первого - шестого световых проемов; 15, 27, 43 - номера
полуокружностей графика
III (см.
рис. 18),
проходящих через точки C2, C4 и C6
Решение
1. Проводим на разрезе помещения след рабочей плоскости, на котором размечаем расчетные точки, присваивая им номера
1 -
13 (см.
рис. 29).
2. Накладываем график
III (см.
рис. 18) на поперечный разрез помещения, совмещая полюс
O графика с точкой
1, а нижнюю линию - со следом рабочей плоскости (см.
рис. 29).
3. Подсчитываем количество лучей по графику
III, проходящих через второй, четвертый и шестой световые проемы: (
n3)
2 = 3,76, (
n3)
4 = 0,93 и (
n3)
6 = 0,15. Через первый, третий и пятый проемы в точку
1 свет не проходит, поэтому (
n3)
1 = (
n3)
3 = (
n3)
5 = 0. Отмечаем, что через середину второго проема
C2 проходит концентрическая полуокружность
15 графика
III, четвертого и шестого проемов - соответственно концентрические полуокружности
27 и
43.
4. Накладываем график
II (см.
рис. 17) на продольный разрез помещения
(рис. 30) таким образом, чтобы его вертикальная ось и горизонталь
15 (для четвертого и шестого проемов горизонтали
27 и
43) проходили через точку
C.
Рис. 30. Продольный разрез трехпролетного
производственного помещения
C2 - середина светового проема;
По количеству лучей на графике
II, проходящих через световой проем (см.
рис. 30), определяем, что для горизонтали
15 - (
n2)
2 = 93, горизонтали
27 - (
n2)
4 = 75 и горизонтали
43 - (
n2)
6 = 58.
5. Определяем геометрический к. е. о. в первой расчетной точке из соотношения:
6. Повторяем операции, изложенные в
пп. 2,
3,
4 и
5, для всех остальных точек до
13 включительно и записываем результаты расчета в
табл. 6.
N п/п | Номера светопроемов |
1 | 2 | 3 | 4 | 5 | 6 |  , % | | | eв | eср |
n3 | n2 | | n3 | n2 | | n3 | n2 | | n3 | n2 | | n3 | n2 | | n3 | n2 | |
1 | - | - | - | 3,76 | 93 | 3,5 | - | - | - | 0,93 | 75 | 0,70 | - | - | - | 0,15 | 58 | 0,09 | 4,29 | 0,86 | 0,69 | 1,55 | |
2 | 5,6 | 97 | 5,43 | 7,2 | 95 | 6,85 | - | - | - | 1,58 | 80 | 1,26 | - | - | - | 0,26 | 62 | 0,16 | 13,71 | 2,74 | 0,69 | 3,43 | |
3 | 8,3 | 97 | 8,06 | 7,7 | 97 | 7,52 | - | - | - | 2,1 | 85 | 1,76 | - | - | - | 0,44 | 66 | 0,29 | 17,63 | 3,54 | 0,69 | 4,23 | |
4 | 7,1 | 95 | 6,8 | 5,6 | 97 | 5,44 | - | - | - | 3,15 | 89 | 2,8 | - | - | - | 0,68 | 72 | 0,49 | 15,53 | 3,11 | 0,69 | 3,80 | |
5 | 4,36 | 93 | 4,6 | - | - | - | - | - | - | 4,05 | 93 | 3,76 | - | - | - | 1,08 | 77 | 0,83 | 8,65 | 1,73 | 0,69 | 2,42 | |
6 | 3,15 | 88 | 2,74 | - | - | - | 5,6 | 97 | 5,41 | 6,7 | 95 | 6,33 | - | - | - | 1,58 | 80 | 1,26 | 15,94 | 3,19 | 0,69 | 3,88 | |
7 | 2,05 | 85 | 1,74 | - | - | - | 8,9 | 97 | 8,65 | 8,9 | 97 | 8,65 | - | - | - | 2,05 | 85 | 1,74 | 19,04 | 3,82 | 0,69 | 4,51 | |
8 | 1,58 | 80 | 1,26 | - | - | - | 6,7 | 95 | 6,33 | 5,6 | 97 | 5,41 | - | - | - | 3,15 | 88 | 2,74 | 15,94 | 3,19 | 0,69 | 3,88 | 3,47 |
9 | 1,08 | 77 | 0,82 | - | - | - | 4,05 | 93 | 3,76 | - | - | - | - | - | - | 4,36 | 93 | 4,06 | 8,65 | 1,73 | 0,69 | 2,42 | |
10 | 0,68 | 72 | 0,49 | - | - | - | 3,15 | 89 | 2,8 | - | - | - | 5,6 | 97 | 5,44 | 7,1 | 95 | 6,8 | 15,53 | 3,11 | 0,69 | 3,80 | |
11 | 0,44 | 66 | 0,29 | - | - | - | 2,1 | 85 | 1,76 | - | - | - | 7,7 | 97 | 7,52 | 8,3 | 97 | 8,06 | 17,63 | 3,54 | 0,69 | 4,23 | |
12 | 0,26 | 62 | 0,16 | - | - | - | 1,58 | 80 | 1,26 | - | - | - | 7,2 | 95 | 6,86 | 5,6 | 97 | 5,53 | 13,71 | 2,74 | 0,69 | 3,43 | |
13 | 0,15 | 58 | 0,09 | - | - | - | 0,94 | 75 | 0,70 | - | - | - | 3,76 | 93 | 3,5 | - | - | - | 4,29 | 0,86 | 0,69 | 1,55 | |
7. Определяем среднее значение геометрического к. е. о. по характерному разрезу помещения, пользуясь
формулой (10):
8. По заданным параметрам остекления трапециевидного фонаря в главе СНиП по проектированию естественного освещения зданий находим, что коэффициент светопропускания армированного стекла

; коэффициент, учитывающий потери света в металлических одинарных переплетах,

; коэффициент, учитывающий потери света в слое загрязнения стекла,

; коэффициент, учитывающий затенение света железобетонными фермами,

.
Определяем общий коэффициент светопропускания трапециевидного фонаря:
9. Подсчитываем прямую составляющую к. е. о. в точках характерного разреза по
формуле (11):
и записываем результаты расчета в
табл. 6.
10. Вычисляем площадь потолка S1, стен S2 и пола S3:
S1 = 72·96 = 6912 м2;
S2 = 12,6·2(72 + 96) = 4240 м2;
S3 = 72·96 = 6912 м2.
11. Определяем средневзвешенный коэффициент отражения поверхностей помещений:
12. Находим отношение Hф/L1 = 0,61.
13. По заданному типу фонаря и значениям

и
Hф/
L1 в главе СНиП по проектированию естественного освещения зданий находим, что коэффициент, учитывающий тип фонаря
Кф = 1,15, а коэффициент, учитывающий увеличение к. е. о. за счет света, отраженного от поверхностей помещения, -
r2 = 1,1.
14. Определяем отраженную составляющую к. е. о. в точках характерного разреза по
формуле (12):
и записываем результат расчета в
табл. 6.
15. Путем суммирования прямой

и отраженной

составляющих определяем окончательные значения к. е. о. в точках характерного разреза помещения и записываем результаты в
табл. 6.
16. По
формуле (14) определяем среднее значение к. е. о. в плоскости характерного разреза помещения
Требуется определить в плоскости характерного разреза среднее значение к. е. о. в механосборочном цехе, имеющем прямоугольные фонари и ленточное окно в одной из продольных стен
(рис. 31). Ширина помещения (и глубина для бокового освещения)
L =
B = 36 м, длина
Lп = 72 м, высота помещения
H = 7,2 м, высота расположения нижнего края остекления фонарей над рабочей плоскостью
Hф = 9,4 м, высота остекления фонарей
hф = 2,5 м, высота ленточных окон
h1 = 6 м; коэффициент отражения покрытия и глухих частей фонаря

, стен -

, пола -

.
Рис. 31. Схема производственного помещения
с прямоугольными фонарями и ленточным окном
C0 - середина ленточного окна;

- угол, под которым видна
середина ленточного окна из расчетной точки 4;
C2, C4 - середины второго и четвертого световых проемов
Решение
1. Размечаем расчетные точки на характерном разрезе помещения (см.
рис. 31) от
1 до
13 через равные промежутки.
2. Определяем с помощью графиков
I и
II (см.
рис. 15 и
17) значения геометрического к. е. о. от ленточного окна -

и записываем результаты расчетов в
табл. 7 (порядок пользования графиками
I и
II приведен в
п. 3.8).
3. Определяем углы

, под которыми видна середина ленточного окна из расчетных точек, и результаты записываем в
табл. 7.
N точек | l/B | r1 | | q |
1 | 0,02 | 1 | 79 | 1,23 |
2 | 0,1 | 1 | 41 | 0,98 |
3 | 0,19 | 1,05 | 24,5 | 0,79 |
4 | 0,27 | 1,1 | 17 | 0,67 |
5 | 0,36 | 1,15 | 13,5 | 0,63 |
6 | 0,44 | 1,2 | 11,5 | 0,61 |
7 | 0,52 | 1,3 | 9,5 | 0,59 |
8 | 0,6 | 1,5 | 8 | 0,57 |
9 | 0,69 | 1,7 | 7 | 0,56 |
10 | 0,77 | 1,9 | 6,5 | 0,55 |
11 | 0,85 | 2 | 6 | 0,54 |
12 | 0,94 | 2,25 | 5,5 | 0,53 |
13 | 1 | 2,5 | 5 | 0,51 |
4. Находим отношения B/h1 = 9,5, Lп/B = 2.
5. Подсчитываем площадь покрытия S1 = 5832 м2, стен S2 = 2353 м2 и пола S3 = 5832 м2.
6. Определяем средневзвешенный коэффициент отражения поверхностей помещения для бокового освещения по
формуле (16)
7. По исходным и вычисленным значениям

,
B/
h1, Lп/
B и

в главе СНиП по проектированию естественного освещения зданий находим, что общий коэффициент светопропускания окон

. Значения коэффициента
r1, учитывающего увеличение к. е. о. при боковом освещении в точках характерного разреза помещения, в зависимости от отношения
l/B (
l - расстояние точек от стены с ленточным окном) и коэффициента
q, учитывающего неравномерную яркость небосвода, в зависимости от угла

определяем по главе СНиП по проектированию естественного освещения и записываем в
табл. 7.
8. Находим по
формуле (5) значения к. е. о. -
eб, создаваемые в точках характерного разреза помещения ленточным окном и результаты расчета записываем в
табл. 8.
N п/п | Ленточное окно | Фонари | eв | | |
 , % |  , град | q | r1 | eб, % | Номера светопроемов |
1 | 2 | 3 | 4 |
n3 | n2 | | n3 | n2 | | n3 | n2 | | n3 | n2 | |
1 | 40,86 | 79 | 1,23 | 1 | 50 | - | - | - | 1,5 | 9 | 1,35 | - | - | - | 0,1 | 83 | 0,08 | 1,43 | 1,10 | 51,1 |
2 | 23,76 | 41 | 0,98 | 1 | 24,3 | - | - | - | 2 | 94 | 1,88 | - | - | - | 0,3 | 85 | 0,25 | 2,13 | 1,368 | 25,67 |
3 | 13,86 | 24,5 | 0,79 | 1,05 | 10,9 | - | - | - | 2,7 | 96 | 2,59 | - | - | - | 0,4 | 88 | 0,55 | 2,94 | 1,669 | 12,57 |
4 | 6,93 | 17 | 0,67 | 1,1 | 5,2 | - | - | - | 3,5 | 97 | 3,4 | - | - | - | 1 | 9 | 0,9 | 4,3 | 2,19 | 7,39 |
5 | 4,41 | 13,5 | 0,63 | 1,15 | 3,2 | - | - | - | 5 | 98 | 4,9 | - | - | - | 1,45 | 95 | 1,38 | 6,28 | 2,93 | 6,13 |
6 | 2,91 | 11,5 | 0,61 | 1,2 | 2,12 | - | - | - | 5,5 | 98 | 5,4 | - | - | - | 2 | 94 | 1,88 | 7,28 | 3,29 | 5,41 |
7 | 2,11 | 9,5 | 0,59 | 1,3 | 1,62 | 3,6 | 99 | 3,56 | 3,6 | 99 | 3,56 | - | - | - | 2,8 | 96 | 2,68 | 6,24 | 2,91 | 4,53 |
8 | 1,71 | 8 | 0,57 | 1,5 | 1,44 | 5 | 98 | 4,9 | - | - | - | - | - | - | 4 | 92 | 3,87 | 8,77 | 3,86 | 5,3 |
9 | 1,22 | 7 | 0,55 | 1,7 | 1,21 | 5 | 98 | 4,9 | - | - | - | - | - | - | 5 | 98 | 4,9 | 9,8 | 4,25 | 5,46 |
10 | 0,92 | 6,5 | 0,55 | 1,9 | 0,93 | 3 | 97 | 2,9 | - | - | - | - | - | - | 5 | 98 | 4,9 | 7,8 | 3,5 | 4,43 |
11 | 0,79 | 6 | 0,54 | 2 | 0,82 | 2,7 | 96 | 2,59 | - | - | - | 3,6 | 99 | 3,56 | 3,6 | 99 | 3,56 | 6,15 | 2,88 | 3,7 |
12 | 0,59 | 5,5 | 0,53 | 2,25 | 0,67 | 1,9 | 94 | 1,78 | - | - | - | 5 | 98 | 4,9 | - | - | - | 6,68 | 3,08 | 3,75 |
13 | 0,49 | 5 | 0,52 | 2,5 | 0,61 | 1,7 | 92 | 1,56 | - | - | - | 5 | 98 | 4,9 | - | - | - | 6,46 | 2,99 | 3,60 |
9. Определяем с помощью графиков
III и
II (см.
рис. 18 и
17) значения геометрического к. е. о. в точках характерного разреза помещения от прямоугольных фонарей (порядок пользования графиками
III и
II приведен в
п. 3.10) и результаты записываем в
табл. 8.
10. Определяем, что среднее значение геометрического к. е. о.
11. Определяем, что отношение Hф/L1 = 0,785.
12. Определяем средневзвешенный коэффициент отражения поверхностей помещения для верхнего освещения
13. По заданному типу фонаря, отношению
Hф/
L1 и средневзвешенному коэффициенту отражения

в главе СНиП по проектированию естественного освещения зданий находим, что общий коэффициент светопропускания фонарей

; коэффициент, учитывающий повышение к. е. о. за счет света, отраженного от поверхностей помещения,
r2 = 1,1, и коэффициент, учитывающий тип фонаря,
Кф = 1,2.
14. По
формуле (8) определяем значения к. е. о.
eв, создаваемые прямоугольными фонарями в точках характерного разреза помещения и результаты расчета записываем в
табл. 8.
15. Определяем значения к. е. о. при комбинированном освещении
eн в точках характерного разреза помещения путем суммирования значений к. е. о. от окон
eб и от фонарей -
eв и результаты записываем в
табл. 8.
16. По
формуле (17) определяем среднее значение к. е. о. в плоскости характерного разреза помещения:
Требуется определить, как изменится продолжительность использования естественного освещения в марте за средние сутки в производственном цехе с верхним естественным освещением через зенитные фонари и системой общего люминесцентного освещения, если уменьшить запроектированную площадь зенитных фонарей в два раза и перейти на совмещенное освещение.
Производственный цех расположен в Москве, точность зрительных работ выполняемых в цехе, соответствует III разряду норм главы СНиП по проектированию естественного освещения и III разряду подразряда "г" главы СНиП по проектированию искусственного освещения.
Первоначально запроектированная площадь фонарей обеспечивала среднее к. е. о. в цехе, равное 5%; при уменьшении площади фонарей в два раза среднее значение к. е. о. составляет 2,5%. Работа выполняется в две смены с 7 до 21 ч по местному времени.
Решение
1. По карте светового климата СССР в главе СНиП по проектированию естественного освещения зданий убеждаемся, что Москва расположена в III поясе светового климата СССР, следовательно, расчет естественной освещенности в помещении выполняем для условий облачного неба.
2. Из
табл. 14 приложения 4 выписываем в
табл. 9 значение наружной горизонтальной освещенности при сплошной облачности для разных часов дня в марте.
Время суток (местное солнечное время) | Наружная горизонтальная освещенность  , лк | Средняя естественная освещенность в помещении Eср, лк |
при к. е. о. = 5% | при к. е. о. = 2,5% |
7 | 2300 | 115 | 58 |
8 | 5000 | 250 | 125 |
9 | 7000 | 350 | 175 |
10 | 8500 | 425 | 208 |
11 | 10 000 | 500 | 250 |
12 | 10 500 | 525 | 263 |
13 | 10 200 | 510 | 255 |
14 | 9000 | 450 | 225 |
15 | 7000 | 350 | 175 |
16 | 5200 | 260 | 130 |
17 | 3000 | 150 | 75 |
18 | 800 | 40 | 20 |
19 | - | - | - |
20 | - | - | - |
21 | - | - | - |
3. Последовательно подставляя значение

в
формулу (21), получаем для соответствующих моментов времени значения средней освещенности внутри помещения -

. Результаты расчета записываем в
табл. 9.
4. По найденным значениям
Eср строим график
(рис. 32) изменения естественной освещенности в помещении в течение рабочего дня при к. е. о. = 5 и 2,5%.
Рис. 32. График изменения естественной освещенности
в помещении в течение рабочего дня
1 - изменение естественной освещенности в помещении
при к. е. о. = 5%; 2 - изменение естественной освещенности
в помещении при к. е. о. = 2,5%;

- средняя естественная
освещенность в помещении; А - точка, соответствующая времени
выключения искусственного освещения утром; Б - точка,
соответствующая времени включения искусственного
освещения вечером; t - время суток в часах
5. В главе СНиП по проектированию естественного освещения находим, что для производственного цеха, расположенного в Москве, нормированное значение к. е. о. для III разряда работ равно 5%.
В главе СНиП по проектированию искусственного освещения находим, что для работ III разряда подразряда "г" нормируется освещенность, равная 200 лк. При уменьшении площади фонарей в два раза среднее расчетное к. е. о. составляет 0,5 нормированного значения к. е. о.; в этом случае в производственном цехе нормированное значение освещенности от искусственного освещения необходимо повысить на одну ступень, т.е. вместо 200 лк следует принять 300 лк.
6. На ординате графика
рис. 32 находим точку, соответствующую освещенности 200 лк, через которую проводим горизонталь до пересечения с кривой в первой и второй половине дня. Точки
А и
Б пересечения горизонтали с кривой проектируем на ось абсцисс. Точка
а на оси абсцисс соответствует времени:
tа = 7 ч 40 мин, точка
б -
tб = 16 ч 40 мин.
Время использования естественного освещения в цехе при среднем к. е. о., равном 5%, определяется как разность:
tб - tа = 9 ч.
7. На
рис. 32 видим, что горизонталь, соответствующая освещенности 300 лк, не пересекается с кривой изменения естественной освещенности при среднем к. е. о. = 2,5%, это означает, что время использования естественного освещения в цехе с уменьшенной в два раза площадью фонарей равно нулю, т.е. в течение всего рабочего времени в цехе должно работать постоянное дополнительное искусственное освещение.
Требуется определить естественную освещенность и продолжительность использования естественного освещения в течение дня в сентябре при сплошной облачности в трех точках
А,
Б и
В (рис. 33) характерного разреза школьного класса на уровне парт (0,8 м от пола). Точки расположены на следующих расстояниях от наружной стены с окнами
А - 1,5 м,
Б - 3 м и
В - 4,5 м. Расчетное значение к. е. о. в точке
А - eА = 4,5%; в точке
Б -
eБ = 3,3% и в точке В -
eВ = 1,6%. Нормированная освещенность в классной комнате от установки искусственного освещения равна 300 лк. Школа расположена в Харькове (50° с.ш.) и работает в одну смену с 8 до 14 ч (местное солнечное время).
Рис. 33. Схематический поперечный разрез
школьного класса, А, Б, В - расчетные точки
Решение
1) Из
табл. 14 приложения 4 выписываем значения наружной освещенности в течение дня для сентября. Последовательно подставляя значения

в
формулу (21), получаем значения естественной освещенности в заданных точках

,

и

. Результаты расчета записываем в
табл. 10.
Примечание. Поскольку в
табл. 14 приложения 4 для 50° с.ш. наружная освещенность не приведена, находим требуемое значение наружной освещенности методом линейной интерполяции.
Время суток (местное солнечное время) | Наружная горизонтальная освещенность  , лк | Естественная освещенность в точках класса |
 , лк |  , лк |  , лк |
8 | 6000 | 270 | 138 | 96 |
9 | 8000 | 360 | 184 | 128 |
10 | 9600 | 433 | 223 | 154 |
11 | 11 000 | 495 | 253 | 176 |
12 | 11 300 | 510 | 265 | 182 |
13 | 10 600 | 477 | 244 | 170 |
14 | 9400 | 424 | 216 | 150 |
2. По данным
табл. 10, строим график
рис. 34, на котором проводим горизонталь через точку оси ординат, которой соответствует освещенность 300 лк, до пересечения с кривыми освещенности

,

и

.
Рис. 34. График изменения естественной
освещенности (E°, лк) в трех расчетных
точках школьного класса в течение рабочего дня
1 - в точке А; 2 - в точке Б; 3 - в точке В
3. Проектируем точки пересечения горизонтали с кривыми на ось абсцисс; время использования естественного освещения в точке А определяем из соотношения:
t2 - t1 = 14 ч - 8 ч 20 мин = 5 ч 40 мин.
Из
рис. 34 следует, что в точках
Б и
В при сплошной облачности осенью необходимо иметь постоянное дополнительное искусственное освещение, так как в течение всего дня на втором и третьем рядах парт естественная освещенность ниже нормированного значения.
В Ашхабаде для приборостроительного цеха
(рис. 35) глубиной
B = 24 м с ленточным остеклением, ориентированным на запад, запроектировано автоматическое управление системами искусственного освещения и убирающимися жалюзи.
Рис. 35. Схематический разрез
и план приборостроительного цеха
а - разрез цеха; б - план цеха; M - расчетная точка
Для регулирования системы автоматического управления освещением требуется определить естественную освещенность в летний период на сборочной линии, расположенной на расстоянии l = 5 м от окна, в первой половине рабочего дня (с 8 до 12) при отсутствии на окнах жалюзи и второй половине дня (с 12 до 17) при наличии на окнах жалюзи.
Высота ленточного окна
h1 = 3,6 м, остекление двойное по спаренному алюминиевому переплету; между наружным и внутренним слоем стекла вмонтирована система убирающихся жалюзи. Высота цеха
H = 4,8 м, длина
Lп = 36 м, средневзвешенный коэффициент отражения поверхностей

; загрязнение стекол пылью умеренное; противостоящие здания и сооружения перед окнами отсутствуют.
Решение
1. Находим отношения B/h1 = 6,7; l/B = 0,2; Lп/B = 1,5.
2. По исходным параметрам светопроема и отношениям
B/
h1,
l/
B,
Lп/
B в главе СНиП по проектированию естественного освещения зданий находим, что при убранных жалюзи общий коэффициент светопропускания остекления

, при опущенных жалюзи

, коэффициент
r1 = 1,25.
3. Ашхабад на карте
(рис. 23) находится в
IV часовом поясе, следовательно,
N = 4, географическая долгота Ашхабада в часовой мере составляет

. По
формуле (22) переводим декретное время в местное солнечное и записываем результаты расчета в
табл. 11.
Tд | 8 | 9 | 10 | 11 | 12 | 13 | 14 | 15 | 16 | 17 |
т | 654 | 754 | 854 | 954 | 1054 | 1154 | 1254 | 1354 | 1454 | 1554 |
4. С достаточной для практики точностью 54 мин местного солнечного времени округляем до часа. По
табл. 3 находим значения коэффициента

для каждого часа дня в промежутке времени от 7 до 11 ч и записываем их в
табл. 12.
Местное солнечное время Tм | Жалюзи убраны | Жалюзи опущены |
| Eв | Eм | | Eм |
1 | 2 | 3 | 4 | 5 | 6 |
7 | 1,9 | 5500 | 431 | - | - |
8 | 1,8 | 8500 | 631 | - | - |
9 | 1,7 | 10 500 | 736 | - | - |
10 | 1,55 | 13 400 | 856 | - | - |
11 | 1,4 | 17 000 | 981 | - | - |
12 | - | - | - | 20 400 | 543 |
13 | - | - | - | 40 000 | 1064 |
14 | - | - | - | 56 000 | 1490 |
15 | - | - | - | 66 000 | 1756 |
16 | - | - | - | 69 400 | 1607 |
5. В соответствии с
п. 3.8 определяем геометрический коэффициент естественной освещенности

.
| | ИС МЕГАНОРМ: примечание. В официальном тексте документа, видимо, допущена опечатка: имеется в виду таблица 14, а не таблица 4. | |
6. По
табл. 4 приложения 4 находим значения наружной вертикальной рассеянной освещенности для часовых интервалов в промежутке времени от 7 до 11 ч и записываем их в
табл. 12.
7. Естественную освещенность в расчетной точке
M в первой половине рабочего дня при убранных жалюзи определяем по
формуле (24) и результаты записываем в
табл. 12.
8. Находим по
табл. 17 приложения 4 значения суммарной наружной вертикальной освещенности -

для часовых интервалов в промежутке времени от 12 до 16 ч и записываем в
табл. 12.
9. Определяем естественную освещенность в расчетной точке
M во второй половине дня при опущенных жалюзи по
формуле (26) и результаты расчета записываем в
табл. 12.
Требуется определить естественную освещенность в начале (
Tд = 7 ч) и в конце (
Tд = 16 ч) рабочего дня (время декретное) в июне в производственном помещении в Ташкенте с фонарями шед
(рис. 36), ориентированными на северо-восток. Помещение имеет ширину 36 м (2 x 18), длину 72 м (6 x 12) и высоту 6 м; средневзвешенный коэффициент отражения поверхностей помещения равен 0,4. Шед имеет жесткую самонесущую конструкцию из монолитного железобетона и одинарное остекление по металлическим переплетам. Загрязнение остекления незначительное.
Рис. 36. Схематические разрез и план
производственного помещения с фонарями шед
а - поперечный разрез; б - план помещения
Решение
а. По карте светового климата главы СНиП по проектированию естественного освещения зданий находим, что Ташкент расположен в V поясе, следовательно, расчет естественной освещенности для июня производим по безоблачному небу.
б. Определяем отношение Hф/L1 = 0,33.
в. По исходным данным и отношению
Hф/
L1 в главе СНиП по проектированию естественного освещения зданий находим, что общий коэффициент светопропускания фонаря шед

; коэффициент, учитывающий повышение освещенности за счет света, отраженного от поверхностей помещений,
r2 = 1,17; коэффициент, учитывающий тип фонаря,
Кф = 1,4.
г. Переводим заданное декретное время (
Tд) в местное солнечное (
Tм) по
формуле (22):
Ташкент на карте
рис. 27 находится в
V часовом поясе, поэтому
N = 5; географическая долгота Ташкента ~ 69,2°, отсюда
получаем при Tд = 7; TМ1 = 7 - 5 + 4 ч 37 мин - 1 = 5 ч 37 мин;
при Tд = 16 TМ2 = 16 - 5 + 4 ч 37 мин - 1 = 14 ч 37 мин.
д. По
табл. 5 определяем значение

, однако для времени
TМ1 = 5 ч 37 мин значение

отсутствует, поэтому берем ближайшие табличные значения

и

. Линейной интерполяцией определяем
Аналогично находим значение

для
TМ2 = 14 ч 37 мин.
е. С помощью графиков
I и
II (
рис. 20 -
21) определяем среднее значение геометрического коэффициента естественной освещенности в плоскости характерного разреза помещения

.
| | ИС МЕГАНОРМ: примечание. В официальном тексте документа, видимо, допущена опечатка: имеется в виду таблица 14, а не таблица 4. | |
ж. По
табл. 4 приложения 4 находим, что в июне для времени
TМ1 вертикальная освещенность
Eв = 8000 лк, а для времени
TМ2 Eв = 10 700 лк.
Подставляем найденные значения коэффициентов

,
Кф,
r2 и

и наружной вертикальной освещенности
Eв в
формулу (29) получаем для
TМ1 = 5 ч 37 мин:
Eср = 0,01·0,54·1,17·1,4·3,033·8000 = 214 лк;
для TМ2 = 14 ч 37 мин:
Eср = 0,01·0,54·1,17·3,033·10 700 = 286 лк.
Таблица 13
Ориентация светового проема (азимуты, град) | Значения "защитных углов"  , град. |
Географическая широта места расположения здания, град. с.ш. |
35 | 40 | 45 | 50 | 55 | 60 |
70 или 290 | 56 | 59 | 56 | 57 | 58 | 59 |
80 " 280 | 57 | 60 | 58 | 60 | 60 | 60 |
90 " 270 | 59 | 60 | 59 | 61 | 62 | 62 |
100 " 260 | 59 | 61 | 60 | 61 | 64 | 64 |
110 " 250 | 57 | 60 | 60 | 67 | 63 | 64 |
120 " 240 | 56 | 59 | 59 | 61 | 62 | 63 |
130 " 230 | 53 | 57 | 57 | 59 | 60 | 62 |
140 " 220 | 50 | 53 | 53 | 57 | 59 | 60 |
150 " 210 | 44 | 49 | 49 | 52 | 54 | 58 |
160 " 200 | 37 | 41 | 46 | 48 | 44 | 54 |
170 " 190 | 26 | 30 | 36 | 41 | 44 | 49 |
180 | 23 | 29 | 33 | 39 | 43 | 48 |
Пример определения "защитного угла" по
рис. 37 -
41.
Рис. 37. Солнечная карта для расчета солнцезащитных средств
в пределах расположения здания от 32,5 до 37,5° с.ш.
(на внешнем круге приведены азимуты, цифры
на кривых обозначают солнечное время в часах)
Рис. 38. Солнечная карта для расчета солнцезащитных средств
в пределах расположения здания от 42,5 до 47,5° с.ш.
Рис. 39. Солнечная карта для расчета солнцезащитных средств
в пределах расположения здания от 52,5 до 57,5° с.ш.
Рис. 40. Солнечная карта для расчета солнцезащитных средств
в пределах расположения здания от 62,5 до 67,5° с.ш.
Рис. 41. Схема расположения вертикальных экранов в плане,

- "защитный угол" вертикальных экранов
В школьном здании, расположенном в географическом пункте с координатами 60° в.д. и 55° с.ш. (IV часовой пояс) и ориентированном главным фасадом на запад, требуется определить вынос вертикальных экранов, которые должны обеспечивать защиту школьных классов от инсоляции до 17 ч по местному декретному времени.
Решение
Tм = 17 - 4 + 4 - 1 = 16 ч.
| | ИС МЕГАНОРМ: примечание. В официальном тексте документа, видимо, допущена опечатка: рисунок 43 отсутствует. | |
б. На солнечную карту (см. рис. 43) накладываем кальку, на которой проводим линию, соединяющую центр графика с точкой траектории Солнца, соответствующей времени 16 ч.
в. Угол между проведенной линией и линией, соединяющей север и юг на солнечной карте, есть требуемый защитный угол
(рис. 41).
г. На кальке строится схема расположения вертикальных экранов в плане
(рис. 41), которые обеспечивают "защитный угол"

.
ПРИМЕРНЫЙ ПЕРЕЧЕНЬ ПОМЕЩЕНИЙ ОБЩЕСТВЕННЫХ ЗДАНИЙ,
В КОТОРЫХ ДОПУСКАЕТСЯ СОВМЕЩЕННОЕ ОСВЕЩЕНИЕ
1. Торговые залы магазинов.
2. Залы столовых, кафе и ресторанов.
3. Залы музеев и выставок.
4. Пассажирские залы вокзалов и аэропортов.
5. Операционные залы предприятий связи.
6. Залы совещаний.
7. Приемные и комнаты ожидания.
8. Книгохранилища и помещения каталогов библиотек.
9. Помещения для посетителей в предприятиях бытового обслуживания населения.
10. Буфеты.
11. Гардеробные, вестибюли, фойе, холлы и коридоры.
Географ. широта, град. с.ш. | Месяц | Освещенность горизонтальной поверхности при сплошной облачности, клк |
Время суток, ч |
6 | 7 | 8 | 9 | 10 | 11 | 12 | 13 | 14 | 15 | 16 | 17 | 18 | 19 | 20 |
35 | III | - | 3,5 | 7 | 10 | 13 | 15,5 | 16,5 | 16 | 14 | 11 | 8 | 4,2 | 0,8 | - | - |
VI | 4 | 7 | 11 | 15 | 18,5 | 21 | 22 | 21 | 18,5 | 15 | 11 | 7 | 4 | 0,8 | - |
IX | 1 | 4,2 | 8 | 11,5 | 14 | 16 | 17 | 16 | 14 | 10,5 | 7 | 3,7 | - | - | - |
XII | - | - | 2,8 | 5 | 7,5 | 9 | 9,3 | 8,7 | 7 | 5 | 2,5 | - | - | - | - |
45 | III | - | 2,8 | 5,6 | 8,5 | 11 | 12,5 | 13,5 | 13 | 11,8 | 9,3 | 6,6 | 3,5 | 0,8 | - | - |
VI | 5 | 8 | 11 | 14,3 | 17,5 | 19,5 | 20 | 19,5 | 17,5 | 14,3 | 11,5 | 7,5 | 5 | 2,2 | - |
IX | 0,8 | 4 | 7 | 9,5 | 12 | 13,5 | 14 | 13,5 | 11,7 | 9 | 6,3 | 3,4 | - | - | - |
XII | - | - | 1 | 3,3 | 5 | 6 | 6,3 | 6 | 5 | 3 | 0,8 | - | - | - | - |
55 | III | - | 2,3 | 5 | 7 | 8,5 | 10 | 10,5 | 10,2 | 9 | 7 | 5,2 | 3 | 0,8 | - | - |
VI | 5,7 | 8,5 | 11 | 13,2 | 15,3 | 17 | 17,5 | 17 | 15,5 | 13,2 | 11 | 8,5 | 5,7 | 3,5 | 1,3 |
IX | 0,8 | 3,5 | 5,7 | 7 | 9,5 | 11 | 11 | 10,5 | 9,3 | 7,5 | 5,2 | 2,8 | - | - | - |
XII | - | - | - | 1 | 2,2 | 3 | 3,5 | 3 | 2,2 | 0,8 | - | - | - | - | - |
65 | III | - | 2 | 4 | 5 | 6,3 | 7 | 6,5 | 7 | 6,5 | 5,5 | 4 | 2,3 | - | - | - |
VI | 6,5 | 8,2 | 10,5 | 11,6 | 13,5 | 14 | 14,3 | 14 | 13 | 11,6 | 10 | 8,5 | 6,5 | 4,5 | 2,8 |
IX | 0,8 | 2,5 | 4 | 5,6 | 7 | 8 | 8,3 | 8 | 7 | 5,6 | 4 | 2 | 0,5 | - | - |
XII | - | - | - | - | - | - | 0,8 | - | - | - | - | - | - | - | - |
Таблица 15
Географ. широта, град. с.ш. | Месяц | Освещенность различно ориентированных вертикальных поверхностей при сплошной облачности, клк |
Время суток, ч |
5 | 6 | 7 | 8 | 9 | 10 | 11 | 12 | 13 | 14 | 15 | 16 | 17 | 18 | 19 | 20 |
35 | III | - | - | 1,4 | 3,2 | 4,9 | 6,4 | 7,4 | 7,7 | 7,6 | 7,0 | 5,5 | 4,0 | 1,8 | - | - | - |
VI | - | 1,8 | 4,0 | 5,7 | 7,5 | 8,6 | 9,2 | 9,6 | 9,2 | 8,6 | 7,5 | 5,7 | 4,0 | 1,8 | - | - |
IX | - | 1,0 | 2,0 | 4,2 | 5,9 | 7,4 | 8,0 | 8,3 | 8,0 | 7,2 | 5,5 | 4,0 | 1,8 | - | - | - |
XII | - | - | - | 1,4 | 2,4 | 4,0 | 4,5 | 4,7 | 4,4 | 3,8 | 2,4 | 1,4 | - | - | - | - |
45 | III | - | - | 1,2 | 2,4 | 4,2 | 5,3 | 6,0 | 6,4 | 6,2 | 5,7 | 4,4 | 3,2 | 1,6 | - | - | - |
VI | 1,2 | 2,2 | 4,2 | 5,7 | 7,3 | 8,3 | 8,8 | 9,0 | 8,8 | 8,3 | 7,3 | 5,8 | 4,0 | 2,2 | 1,1 | - |
IX | - | 0,6 | 1,9 | 3,8 | 5,1 | 6,2 | 7,1 | 7,3 | 7,1 | 6,0 | 4,9 | 3,4 | 1,7 | 0,1 | - | - |
XII | - | - | - | 0,6 | 1,6 | 2,4 | 3,0 | 3,2 | 3,0 | 2,2 | 1,5 | 0,2 | - | - | - | - |
55 | III | - | - | 1,0 | 1,8 | 3,2 | 4,1 | 4,5 | 4,9 | 4,9 | 4,3 | 3,6 | 2,2 | 2,4 | - | - | - |
VI | 1,6 | 2,8 | 4,3 | 5,6 | 6,8 | 7,6 | 8,1 | 8,3 | 8,1 | 7,7 | 6,8 | 5,6 | 4,3 | 2,6 | 1,6 | - |
IX | - | 0,6 | 1,7 | 3,0 | 4,2 | 5,1 | 5,7 | 5,8 | 5,6 | 4,9 | 4,1 | 2,6 | 1,5 | 0,1 | - | - |
XII | - | - | - | - | 0,6 | 1,2 | 1,5 | 1,6 | 1,5 | 1,2 | 0,4 | - | - | - | - | - |
65 | III | - | - | 0,6 | 1,5 | 1,9 | 2,6 | 3,2 | 3,4 | 3,4 | 3,0 | 2,2 | 1,6 | 1,0 | - | - | - |
VI | 2,0 | 3,2 | 4,3 | 5,3 | 5,9 | 6,8 | 7,2 | 7,3 | 7,1 | 6,8 | 5,9 | 5,3 | 4,3 | 3,2 | 1,9 | 1,4 |
IX | - | 0,6 | 1,4 | 2,0 | 3,0 | 3,8 | 4,2 | 4,3 | 4,2 | 3,8 | 3,0 | 2,0 | 1,3 | - | - | - |
XII | - | - | - | - | - | - | 0 | 0,4 | 0 | - | - | - | - | - | - | - |
Географ. широта, град. с.ш. | Месяц | Освещенность горизонтальной поверхности при ясном небе, клк |
Время суток, ч |
5 | 6 | 7 | 8 | 9 | 10 | 11 | 12 | 13 | 14 | 15 | 16 | 17 | 18 | 19 | 20 |
35 | III | - | - | 3,7 ----- 7,8 | 8,5 ----- 24,0 | 13,3 ----- 44,0 | 16,4 ----- 61,7 | 18,0 ----- 70,6 | 18,5 ----- 75,2 | 18,3 ----- 73,8 | 17,0 ----- 65,2 | 14,5 ----- 49,8 | 10,5 ----- 31,0 | 5,3 ----- 12,6 | 0,6 ----- 1,0 | - | - |
VI | 1,0 ----- 1,7 | 5,3 ----- 12,6 | 10,4 ----- 31,0 | 15,1 ----- 53,8 | 18,1 ----- 72,3 | 20,1 ----- 87,5 | 21,7 ----- 95,0 | 21,5 ----- 99,0 | 21,7 ----- 95,0 | 20,1 ----- 87,5 | 18,1 ----- 72,3 | 15,1 ----- 53,8 | 10,4 ----- 31,0 | 5,3 ----- 12,6 | 1,0 ----- 1,7 | - |
IX | - | 1,8 ----- 3,0 | 6,0 ----- 14,9 | 11,3 ----- 34,1 | 15,7 ----- 56,5 | 17,7 ----- 68,8 | 19,0 ----- 79,6 | 19,5 ----- 83,0 | 19,0 ----- 79,6 | 17,5 ----- 67,8 | 14,8 ----- 51,9 | 10,3 ----- 31,0 | 5,3 ----- 12,6 | 0,6 ----- 0,9 | - | - |
XII | - | - | - | 3,7 ----- 8,0 | 6,9 ----- 17,9 | 10,5 ----- 31,0 | 12,5 ----- 40,0 | 13,0 ----- 42,0 | 12,1 ----- 38,0 | 10,0 ----- 29,5 | 6,9 ----- 17,9 | 3,2 ----- 6,8 | - | - | - | - |
45 | III | - | - | 4,0 ----- 5,9 | 8,5 ----- 18,0 | 12,7 ----- 34,1 | 15,8 ----- 48,0 | 18,0 ----- 58,3 | 18,6 ----- 61,5 | 18,3 ----- 60,0 | 16,9 ----- 53,7 | 13,6 ----- 38,1 | 10,3 ----- 24,0 | 5,9 ----- 10,0 | - | - | - |
VI | 2,9 ----- 5,9 | 6,5 ----- 16,2 | 11,3 ----- 34,1 | 15,3 ----- 53,8 | 17,7 ----- 69,0 | 19,5 ----- 83,1 | 20,6 ----- 90,1 | 21,1 ----- 92,3 | 20,6 ----- 90,1 | 19,5 ----- 83,1 | 17,7 ----- 69,0 | 15,4 ----- 55,0 | 10,5 ----- 31,0 | 6,5 ----- 16,2 | 2,5 ----- 4,8 | - |
IX | - | 1,4 ----- 2,1 | 5,7 ----- 14,0 | 10,0 ----- 29,5 | 13,7 ----- 46,0 | 16,1 ----- 60,0 | 17,1 ----- 66,2 | 17,7 ----- 69,0 | 17,1 ----- 66,2 | 15,9 ----- 58,4 | 13,3 ----- 43,9 | 9,0 ----- 25,9 | 4,9 ----- 11,5 | 0,6 ----- 0,9 | - | - |
XII | - | - | - | 1,9 ----- 2,1 | 5,9 ----- 10,0 | 8,6 ----- 18,0 | 9,9 ----- 22,2 | 10,3 ----- 24,0 | 9,9 ----- 22,2 | 8,0 ----- 16,0 | 5,5 ----- 9,9 | 1,5 ----- 1,6 | - | - | - | - |
55 | III | - | - | 3,0 ----- 4,0 | 6,7 ----- 12,5 | 10,3 ----- 24,0 | 12,3 ----- 38,5 | 14,0 ----- 40,0 | 14,8 ----- 43,9 | 14,8 ----- 43,9 | 13,1 ----- 36,1 | 11,1 ----- 27,7 | 8,1 ----- 16,3 | 4,5 ----- 6,9 | - | - | - |
VI | 4,5 ----- 10,0 | 7,7 ----- 21,0 | 11,7 ----- 36,0 | 14,8 ----- 51,8 | 16,9 ----- 64,0 | 18,3 ----- 73,9 | 19,2 ----- 80,8 | 19,5 ----- 83,1 | 19,2 ----- 80,8 | 18,5 ----- 75,0 | 16,9 ----- 64,0 | 14,8 ----- 51,8 | 11,7 ----- 36,0 | 7,3 ----- 19,4 | 4,5 ----- 10,0 | - |
IX | - | 1,4 ----- 2,1 | 4,9 ----- 11,4 | 8,1 ----- 22,1 | 11,3 ----- 34,1 | 13,7 ----- 46,0 | 15,1 ----- 53,8 | 15,4 ----- 55,0 | 14,9 ----- 51,8 | 13,3 ----- 44,0 | 10,9 ----- 32,5 | 7,3 ----- 19,2 | 4,1 ----- 9,0 | 0,6 ----- 0,9 | - | - |
XII | - | - | - | - | 2,0 ----- 2,1 | 4,0 ----- 6,0 | 5,5 ----- 9,5 | 6,0 ----- 10,0 | 5,5 ----- 9,5 | 4,0 ----- 6,0 | - | - | - | - | - | - |
65 | III | - | - | 2,0 ----- 2,1 | 5,5 ----- 9,0 | 7,1 ----- 14,0 | 9,0 ----- 19,3 | 10,3 ----- 24,0 | 10,7 ----- 25,8 | 10,7 ----- 25,8 | 10,0 ----- 22,1 | 8,1 ----- 16,2 | 5,9 ----- 10,1 | 3,0 ----- 4,0 | - | - | - |
VI | 6,1 ----- 15,0 | 8,6 ----- 24,0 | 11,3 ----- 34,2 | 11,4 ----- 48,0 | 15,7 ----- 56,6 | 16,9 ----- 64,0 | 17,5 ----- 67,8 | 17,7 ----- 69,0 | 17,3 ----- 66,1 | 16,9 ----- 64,0 | 15,7 ----- 56,6 | 14,1 ----- 48,0 | 11,7 ----- 36,1 | 8,6 ----- 24,0 | 5,7 ----- 13,9 | 3,7 ----- 8,0 |
IX | - | 1,4 ----- 2,1 | 3,7 ----- 8,0 | 6,1 ----- 15,0 | 8,2 ----- 22,4 | 10,0 ----- 29,5 | 11,3 ----- 34,3 | 11,7 ----- 36,0 | 11,3 ----- 34,3 | 10,0 ----- 29,5 | 8,2 ----- 22,4 | 6,1 ----- 15,0 | 3,2 ----- 6,7 | - | - | - |
XII | - | - | - | - | - | - | 0,0 ----- 0,0 | 1,8 ----- 1,8 | 0,0 ----- 0,0 | - | - | - | - | - | - | - |
Примечание. Над чертой приведена освещенность от неба, под чертой - суммарная освещенность (от неба и Солнца).
Географ. широта, град. с.ш. | Ориентация поверхности | Месяц | Освещенность различно ориентированных вертикальных поверхностей при ясном небе, клк |
Время суток, ч |
5 | 6 | 7 | 8 | 9 | 10 | 11 | 12 | 13 | 14 | 15 | 16 | 17 | 18 | 19 | 20 |
35 | С | III | - | - | - | 6,5 ----- 6,5 | 9,8 ----- 9,8 | 9,6 ----- 9,6 | 11,3 ----- 11,3 | 11,8 ----- 11,8 | 11,4 ----- 11,4 | 10,1 ----- 10,1 | 10,1 ----- 10,1 | 8,2 ----- 8,2 | 3,7 ----- 3,5 | 0,2 ----- 0,2 | - | - |
VI | 0,5 ----- 4,4 | 5,7 ----- 17,1 | 11,2 ----- 21,5 | 12,4 ----- 15,5 | 13,6 ----- 13,6 | 15,1 ----- 15,1 | 16,5 ----- 16,5 | 16,4 ----- 16,4 | 16,5 ----- 16,5 | 15,0 ----- 15,0 | 13,6 ----- 13,6 | 12,4 ----- 15,4 | 11,2 ----- 21,5 | 5,7 ----- 17,1 | 0,6 ----- 4,4 | - |
IX | - | 1,2 ----- 1,7 | 4,6 ----- 4,6 | 9,2 ----- 9,2 | 9,4 ----- 9,4 | 11,6 ----- 11,6 | 13,0 ----- 13,0 | 13,1 ----- 13,1 | 13,0 ----- 13,0 | 11,4 ----- 11,4 | 10,0 ----- 10,0 | 8,7 ----- 8,7 | 4,1 ----- 4,1 | 0,2 ----- 0,4 | - | - |
XII | - | - | - | 2,3 ----- 2,3 | 4,4 ----- 4,4 | 7,2 ----- 7,2 | 8,5 ----- 8,5 | 8,3 ----- 8,3 | 8,1 ----- 8,1 | 6,8 ----- 6,8 | 4,4 ----- 4,4 | 2,0 ----- 2,0 | - | - | - | - |
35 | СВ | III | - | - | 4,4 ----- 18,6 | 10,4 ----- 28,7 | 14,4 ----- 28,0 | 12,6 ----- 14,8 | 12,4 ----- 12,4 | 12,0 ----- 12,0 | 11,6 ----- 11,6 | 10,0 ----- 10,0 | 8,5 ----- 8,5 | 7,1 ----- 7,1 | 3,1 ----- 3,1 | 0,2 ----- 0,2 | - | - |
VI | 0,8 ----- 8,4 | 8,0 ----- 38,4 | 16,0 ----- 54,0 | 17,5 ----- 53,9 | 17,5 ----- 46,7 | 19,6 ----- 35,8 | 19,2 ----- 46,0 | 17,6 ----- 17,6 | 15,3 ----- 15,3 | 13,7 ----- 13,7 | 11,7 ----- 11,7 | 9,4 ----- 9,4 | 7,7 ----- 7,7 | 3,4 ----- 3,4 | 0,4 ----- 0,4 | - |
IX | - | 2,0 ----- 12,6 | 7,8 ----- 3,0 | 14,3 ----- 36,0 | 13,9 ----- 28,8 | 13,6 ----- 26,2 | 13,9 ----- 13,9 | 13,1 ----- 13,1 | 12,8 ----- 12,8 | 10,4 ----- 10,4 | 8,6 ----- 8,6 | 7,2 ----- 7,2 | 3,1 ----- 3,1 | 0,2 ----- 0,2 | - | - |
XII | - | - | - | 3,2 ----- 6,2 | 5,5 ----- 5,5 | 8,6 ----- 8,6 | 9,4 ----- 9,4 | 9,2 ----- 9,2 | 8,3 ----- 8,3 | 6,7 ----- 6,7 | 4,1 ----- 4,1 | 2,0 ----- 2,0 | - | - | - | - |
35 | В | III | - | - | 5,9 ----- 29,4 | 13,7 ----- 53,4 | 19,3 ----- 61,0 | 16,9 ----- 48,9 | 16,2 ----- 36,6 | 14,8 ----- 17,3 | 12,8 ----- 12,8 | 10,3 ----- 10,3 | 9,4 ----- 9,4 | 7,1 ----- 7,1 | 3,1 ----- 3,1 | 0,2 ----- 0,2 | - | - |
VI | 0,7 ----- 7,8 | 8,2 ----- 39,0 | 17,6 ----- 61,4 | 21,2 ----- 69,4 | 21,3 ----- 66,6 | 22,9 ----- 57,1 | 23,5 ----- 42,0 | 20,4 ----- 20,4 | 16,0 ----- 16,0 | 13,4 ----- 13,4 | 10,9 ----- 10,9 | 8,5 ----- 8,5 | 7,0 ----- 7,0 | 3,1 ----- 3,1 | 0,3 ----- 0,3 | - |
IX | - | 2,5 ----- 16,9 | 10,1 ----- 47,0 | 18,3 ----- 61,9 | 18,4 ----- 61,2 | 17,5 ----- 49,9 | 18,2 ----- 35,9 | 15,4 ----- 15,4 | 13,7 ----- 13,7 | 11,1 ----- 11,1 | 8,7 ----- 8,7 | 7,0 ----- 7,0 | 3,1 ----- 3,1 | 0,2 ----- 0,2 | - | - |
XII | - | - | - | 6,0 ----- 23,8 | 9,1 ----- 35,3 | 13,4 ----- 35,1 | 13,9 ----- 25,1 | 12,0 ----- 13,0 | 9,5 ----- 9,5 | 7,4 ----- 7,4 | 4,5 ----- 4,5 | 2,0 ----- 2,0 | - | - | - | - |
35 | ЮВ | III | - | - | 5,0 ----- 24,3 | 13,3 ----- 51,1 | 20,9 ----- 68,8 | 20,9 ----- 68,4 | 19,8 ----- 67,3 | 19,2 ----- 52,8 | 16,9 ----- 36,5 | 13,4 ----- 16,8 | 11,8 ----- 11,8 | 8,1 ----- 8,1 | 3,3 ----- 3,3 | 0,2 ----- 0,2 | - | - |
VI | 0,5 ----- 2,8 | 6,0 ----- 19,6 | 13,8 ----- 38,6 | 16,8 ----- 48,8 | 18,1 ----- 51,2 | 22,1 ----- 53,9 | 26,6 ----- 50,2 | 24,6 ----- 36,5 | 18,5 ----- 18,5 | 14,6 ----- 14,6 | 11,8 ----- 11,8 | 9,1 ----- 9,1 | 7,3 ----- 7,3 | 3,1 ----- 3,1 | 0,6 ----- 0,6 | - |
IX | - | 1,9 ----- 11,8 | 8,6 ----- 38,2 | 17,5 ----- 58,0 | 19,4 ----- 65,2 | 21,3 ----- 67,4 | 21,6 ----- 60,4 | 20,2 ----- 49,2 | 17,3 ----- 30,1 | 13,1 ----- 13,1 | 10,2 ----- 10,2 | 7,8 ----- 7,8 | 3,2 ----- 3,2 | 0,2 ----- 0,2 | - | - |
XII | - | - | - | 5,9 ----- 29,6 | 11,6 ----- 50,3 | 17,2 ----- 60,2 | 19,1 ----- 59,2 | 17,7 ----- 50,8 | 15,2 ----- 40,3 | 11,0 ----- 21,9 | 5,8 ----- 20,0 | 2,3 ----- 2,3 | - | - | - | - |
35 | Ю | III | - | - | 3,3 ----- 7,1 | 9,4 ----- 22,5 | 16,3 ----- 40,0 | 16,6 ----- 48,6 | 19,0 ----- 59,0 | 21,7 ----- 65,8 | 20,1 ----- 61,9 | 17,4 ----- 52,6 | 16,5 ----- 43,4 | 12,6 ----- 29,6 | 5,0 ----- 12,0 | 0,2 ----- 0,5 | - | - |
VI | 0,3 ----- 0,3 | 3,5 ----- 3,5 | 8,9 ----- 8,9 | 11,4 ----- 11,4 | 14,2 ----- 17,9 | 18,4 ----- 28,9 | 22,7 ----- 38,6 | 28,2 ----- 44,1 | 22,7 ----- 38,6 | 18,1 ----- 27,3 | 14,2 ----- 17,9 | 11,4 ----- 11,4 | 8,9 ----- 8,9 | 3,5 ----- 3,5 | 0,3 ----- 0,3 | - |
IX | - | 1,2 ----- 1,2 | 5,4 ----- 10,1 | 13,0 ----- 26,3 | 14,9 ----- 36,9 | 17,4 ----- 48,7 | 21,3 ----- 59,0 | 23,4 ----- 60,6 | 21,1 ----- 57,7 | 17,0 ----- 46,8 | 15,9 ----- 37,3 | 11,6 ----- 22,8 | 4,6 ----- 7,5 | 0,2 ----- 0,2 | - | - |
XII | - | - | - | 4,5 ----- 19,4 | 9,4 ----- 38,2 | 16,2 ----- 55,8 | 19,3 ----- 64,6 | 21,8 ----- 68,9 | 19,7 ----- 64,3 | 15,4 ----- 53,5 | 9,3 ----- 37,6 | 3,8 ----- 17,3 | - | - | - | - |
35 | ЮЗ | III | - | - | 2,3 ----- 2,3 | 6,3 ----- 6,3 | 10,7 ----- 10,7 | 12,4 ----- 12,4 | 15,4 ----- 29,9 | 18,8 ----- 47,9 | 19,8 ----- 59,5 | 19,6 ----- 65,8 | 20,6 ----- 68,5 | 16,6 ----- 57,7 | 7,6 ----- 34,7 | 0,4 ----- 3,8 | - | - |
VI | 0,3 ----- 0,3 | 3,1 ----- 3,1 | 7,3 ----- 7,3 | 9,1 ----- 9,1 | 11,8 ----- 11,8 | 15,1 ----- 15,1 | 18,5 ----- 18,5 | 24,6 ----- 35,2 | 26,6 ----- 50,2 | 21,9 ----- 52,5 | 18,1 ----- 51,2 | 16,8 ----- 48,8 | 13,8 ----- 38,4 | 6,0 ----- 19,6 | 0,5 ----- 2,8 | - |
IX | - | 0,9 ----- 0,9 | 3,8 ----- 3,8 | 8,5 ----- 8,5 | 10,5 ----- 10,5 | 13,4 ----- 13,4 | 17,7 ----- 32,9 | 20,4 ----- 48,3 | 21,8 ----- 61,7 | 20,9 ----- 67,3 | 19,8 ----- 65,6 | 16,1 ----- 55,2 | 7,3 ----- 32,2 | 0,4 ----- 3,4 | - | - |
XII | - | - | - | 2,6 ----- 2,6 | 5,9 ----- 8,0 | 11,8 ----- 23,8 | 16,0 ----- 40,5 | 17,9 ----- 51,8 | 18,8 ----- 60,0 | 16,5 ----- 59,2 | 11,6 ----- 50,3 | 5,2 ----- 27,1 | - | - | - | - |
35 | З | III | - | - | 2,3 ----- 2,3 | 5,4 ----- 5,4 | 8,9 ----- 8,9 | 9,6 ----- 9,6 | 12,0 ----- 12,0 | 14,1 ----- 14,1 | 16,4 ----- 32,4 | 16,6 ----- 46,8 | 18,6 ----- 59,0 | 16,6 ----- 58,2 | 8,5 ----- 40,3 | 0,5 ----- 6,0 | - | - |
VI | 0,3 ----- 0,3 | 3,1 ----- 3,1 | 7,0 ----- 7,0 | 8,5 ----- 8,5 | 10,9 ----- 10,9 | 13,4 ----- 13,4 | 16,9 ----- 16,9 | 20,4 ----- 20,4 | 23,5 ----- 40,7 | 23,0 ----- 56,0 | 21,3 ----- 66,6 | 21,2 ----- 69,4 | 17,6 ----- 61,4 | 8,2 ----- 38,8 | 0,7 ----- 7,8 | - |
IX | - | 0,9 ----- 0,9 | 3,7 ----- 3,7 | 7,5 ----- 7,5 | 9,0 ----- 9,0 | 11,5 ----- 11,5 | 13,8 ----- 13,8 | 15,8 ----- 17,1 | 18,5 ----- 37,5 | 17,6 ----- 51,6 | 19,1 ----- 62,1 | 17,3 ----- 60,2 | 8,8 ----- 41,2 | 0,5 ----- 5,0 | - | - |
XII | - | - | - | 2,3 ----- 2,3 | 4,5 ----- 4,5 | 7,9 ----- 7,9 | 10,5 ----- 10,5 | 12,2 ----- 13,2 | 14,5 ----- 28,3 | 12,6 ----- 34,6 | 9,1 ----- 35,8 | 4,4 ----- 22,7 | - | - | - | - |
35 | СЗ | III | - | - | 2,3 ----- 2,3 | 5,5 ----- 5,5 | 8,6 ----- 8,6 | 9,5 ----- 9,5 | 11,1 ----- 11,1 | 12,1 ----- 12,1 | 12,5 ----- 12,5 | 12,6 ----- 12,6 | 14,2 ----- 23,4 | 12,7 ----- 30,4 | 6,4 ----- 24,2 | 0,4 ----- 3,3 | - | - |
VI | 0,4 ----- 0,4 | 3,4 ----- 3,4 | 7,7 ----- 7,7 | 9,4 ----- 9,4 | 11,7 ----- 11,7 | 13,7 ----- 13,7 | 15,3 ----- 15,3 | 17,6 ----- 17,6 | 19,2 ----- 21,9 | 19,8 ----- 36,7 | 17,5 ----- 46,4 | 17,5 ----- 53,9 | 16,0 ----- 54,0 | 8,0 ----- 34,4 | 0,3 ----- 7,9 | - |
IX | - | 0,9 ----- 0,9 | 3,7 ----- 3,7 | 7,6 ----- 7,6 | 8,9 ----- 8,9 | 10,7 ----- 10,7 | 12,9 ----- 12,9 | 13,2 ----- 13,2 | 14,0 ----- 14,0 | 13,8 ----- 17,3 | 15,1 ----- 31,6 | 13,5 ----- 36,0 | 6,8 ----- 27,9 | 0,4 ----- 3,7 | - | - |
XII | - | - | - | 2,3 ----- 2,3 | 4,1 ----- 4,1 | 7,1 ----- 7,1 | 8,7 ----- 8,7 | 9,2 ----- 9,2 | 9,1 ----- 9,1 | 8,1 ----- 8,1 | 5,6 ----- 5,6 | 2,9 ----- 6,0 | - | - | - | - |
45 | С | III | - | - | 2,0 ----- 2,0 | 4,9 ----- 4,9 | 8,3 ----- 8,3 | 9,5 ----- 9,5 | 9,3 ----- 9,3 | 9,5 ----- 9,5 | 9,4 ----- 9,4 | 8,9 ----- 8,9 | 8,8 ----- 8,8 | 6,3 ----- 6,3 | 3,1 ----- 3,1 | - | - | - |
VI | 3,3 ----- 13,0 | 6,6 ----- 16,8 | 11,6 ----- 18,8 | 11,4 ----- 11,4 | 12,3 ----- 12,3 | 13,5 ----- 13,5 | 14,3 ----- 14,3 | 14,8 ----- 14,8 | 14,3 ----- 14,3 | 13,5 ----- 13,5 | 12,3 ----- 12,3 | 11,4 ----- 11,4 | 10,7 ----- 17,6 | 6,6 ----- 16,8 | 2,7 ----- 11,0 | - |
IX | - | 0,8 ----- 1,0 | 4,2 ----- 4,2 | 7,8 ----- 7,8 | 9,8 ----- 9,8 | 9,5 ----- 9,5 | 10,2 ----- 10,2 | 10,7 ----- 10,7 | 10,2 ----- 10,2 | 9,4 ----- 9,4 | 9,7 ----- 9,7 | 6,9 ----- 6,9 | 3,6 ----- 3,6 | 0,2 ----- 0,4 | - | - |
XII | - | - | - | 0,6 ----- 0,6 | 2,6 ----- 2,6 | 4,3 ----- 4,3 | 5,0 ----- 5,0 | 5,2 ----- 5,2 | 5,0 ----- 5,0 | 3,8 ----- 3,8 | 2,5 ----- 2,5 | 0,3 ----- 0,3 | - | - | - | - |
45 | СВ | III | - | - | 3,4 ----- 15,3 | 7,8 ----- 23,0 | 12,2 ----- 22,0 | 11,7 ----- 11,7 | 10,5 ----- 10,5 | 9,6 ----- 9,6 | 9,5 ----- 9,5 | 8,5 ----- 8,5 | 8,0 ----- 8,0 | 5,4 ----- 5,4 | 2,6 ----- 2,6 | - | - | - |
VI | 4,4 ----- 24,1 | 9,7 ----- 42,9 | 16,8 ----- 53,1 | 16,8 ----- 48,8 | 16,2 ----- 37,5 | 17,1 ----- 26,1 | 16,3 ----- 16,3 | 15,9 ----- 15,9 | 13,8 ----- 13,8 | 13,1 ----- 13,1 | 11,2 ----- 11,2 | 8,9 ----- 8,9 | 7,6 ----- 7,6 | 4,4 ----- 4,4 | 1,7 ----- 1,7 | - |
IX | - | 1,3 ----- 9,2 | 7,1 ----- 26,8 | 12,0 ----- 30,1 | 14,1 ----- 24,0 | 12,1 ----- 12,1 | 11,5 ----- 11,5 | 11,5 ----- 11,5 | 10,2 ----- 10,2 | 9,2 ----- 9,2 | 8,5 ----- 8,5 | 6,0 ----- 6,0 | 2,9 ----- 2,9 | 0,2 ----- 0,2 | - | - |
XII | - | - | - | 0,9 ----- 2,2 | 3,3 ----- 3,3 | 5,0 ----- 5,0 | 5,6 ----- 5,6 | 5,7 ----- 5,7 | 5,2 ----- 5,2 | 3,8 ----- 3,8 | 2,5 ----- 2,5 | 0,3 ----- 0,3 | - | - | - | - |
45 | В | III | - | - | 4,5 ----- 14,7 | 10,7 ----- 46,6 | 17,1 ----- 55,3 | 17,6 ----- 49,3 | 14,5 ----- 32,7 | 12,7 ----- 34,7 | 11,0 ----- 11,0 | 9,6 ----- 9,6 | 8,4 ----- 8,4 | 5,5 ----- 5,5 | 2,6 ----- 2,6 | - | - | - |
VI | 4,1 ----- 22,4 | 10,3 ----- 40,8 | 19,1 ----- 64,1 | 21,2 ----- 69,4 | 19,9 ----- 64,2 | 21,1 ----- 54,8 | 20,8 ----- 39,1 | 17,9 ----- 17,9 | 14,9 ----- 14,9 | 13,1 ----- 13,1 | 11,0 ----- 11,0 | 8,6 ----- 8,6 | 7,0 ----- 7,0 | 3,8 ----- 3,8 | 1,5 ----- 1,5 | - |
IX | - | 1,6 ----- 12,6 | 9,3 ----- 43,8 | 16,0 ----- 57,0 | 18,9 ----- 59,3 | 16,2 ----- 45,8 | 15,1 ----- 38,1 | 13,4 ----- 13,4 | 11,7 ----- 11,7 | 9,5 ----- 9,5 | 9,0 ----- 9,0 | 5,9 ----- 5,9 | 2,9 ----- 2,9 | 0,2 ----- 0,2 | - | - |
XII | - | - | - | 1,3 ----- 10,0 | 5,7 ----- 23,6 | 8,3 ----- 20,2 | 8,1 ----- 17,2 | 7,3 ----- 7,3 | 6,2 ----- 6,2 | 4,4 ----- 4,4 | 2,5 ----- 2,5 | 0,3 ----- 0,3 | - | - | - | - |
45 | ЮВ | III | - | - | 3,9 ----- 20,9 | 10,7 ----- 46,3 | 18,9 ----- 63,4 | 22,1 ----- 70,3 | 19,0 ----- 63,0 | 17,0 ----- 51,8 | 15,2 ----- 36,8 | 13,1 ----- 20,5 | 10,9 ----- 10,9 | 6,6 ----- 6,5 | 2,7 ----- 2,7 | - | - | - |
VI | 2,9 ----- 8,9 | 7,8 ----- 25,8 | 15,2 ----- 43,2 | 17,5 ----- 53,8 | 18,7 ----- 58,2 | 22,3 ----- 60,6 | 24,2 ----- 56,2 | 22,2 ----- 41,9 | 18,3 ----- 23,6 | 14,5 ----- 14,5 | 11,9 ----- 11,9 | 9,1 ----- 9,1 | 7,3 ----- 7,3 | 3,8 ----- 3,8 | 1,5 ----- 1,5 | - |
IX | - | 1,3 ----- 8,9 | 8,2 ----- 36,6 | 15,8 ----- 56,8 | 21,0 ----- 67,8 | 20,4 ----- 67,3 | 18,8 ----- 61,2 | 17,3 ----- 47,5 | 15,4 ----- 34,0 | 12,6 ----- 14,8 | 11,0 ----- 11,0 | 6,7 ----- 6,7 | 3,0 ----- 3,0 | 0,2 ----- 0,2 | - | - |
XII | - | - | - | 1,6 ----- 12,5 | 7,4 ----- 35,1 | 11,0 ----- 48,2 | 12,2 ----- 46,7 | 11,7 ----- 41,2 | 10,1 ----- 30,7 | 6,7 ----- 17,6 | 3,4 ----- 5,2 | 0,4 ----- 0,4 | - | - | - | - |
45 | Ю | III | - | - | 2,6 ----- 6,2 | 7,7 ----- 22,9 | 14,9 ----- 40,6 | 18,3 ----- 54,9 | 18,9 ----- 63,6 | 20,8 ----- 69,3 | 19,3 ----- 65,5 | 18,0 ----- 56,8 | 16,3 ----- 44,4 | 10,4 ----- 28,7 | 4,4 ----- 11,3 | - | - | - |
VI | 1,9 ----- 1,9 | 4,7 ----- 4,7 | 10,0 ----- 10,0 | 12,4 ----- 15,6 | 15,0 ----- 28,1 | 19,3 ----- 39,8 | 22,2 ----- 48,1 | 20,6 ----- 49,1 | 22,2 ----- 48,1 | 19,4 ----- 39,9 | 15,0 ----- 28,1 | 12,4 ----- 15,6 | 9,2 ----- 9,1 | 4,7 ----- 4,7 | 1,6 ----- 1,6 | - |
IX | - | 0,8 ----- 0,8 | 5,2 ----- 11,5 | 11,7 ----- 27,5 | 16,8 ----- 42,7 | 17,2 ----- 48,8 | 19,2 ----- 63,4 | 21,3 ----- 67,4 | 19,0 ----- 62,3 | 17,0 ----- 52,7 | 16,6 ----- 42,9 | 10,3 ----- 25,3 | 4,3 ----- 8,1 | 0,2 ----- 0,8 | - | - |
XII | - | - | - | 1,2 ----- 8,0 | 6,1 ----- 27,5 | 10,4 ----- 44,5 | 13,3 ----- 53,3 | 14,4 ----- 56,4 | 13,2 ----- 52,6 | 9,8 ----- 43,4 | 5,5 ----- 24,7 | 0,6 ----- 5,5 | - | - | - | - |
45 | ЮЗ | III | - | - | 1,8 ----- 1,8 | 4,8 ----- 4,8 | 9,7 ----- 9,7 | 13,0 ----- 16,0 | 14,4 ----- 33,6 | 16,5 ----- 48,6 | 18,2 ----- 60,4 | 20,7 ----- 52,7 | 20,5 ----- 66,4 | 13,7 ----- 53,4 | 6,5 ----- 30,3 | - | - | - |
VI | 1,8 ----- 1,8 | 3,8 ----- 3,8 | 7,8 ----- 7,8 | 9,4 ----- 9,4 | 11,9 ----- 11,9 | 14,4 ----- 14,4 | 18,3 ----- 23,6 | 22,2 ----- 41,9 | 24,2 ----- 55,0 | 22,4 ----- 60,7 | 18,7 ----- 58,2 | 17,0 ----- 52,8 | 14,1 ----- 41,4 | 7,8 ----- 26,4 | 2,5 ----- 8,7 | - |
IX | - | 0,6 ----- 0,6 | 3,6 ----- 3,6 | 7,7 ----- 7,7 | 10,9 ----- 10,9 | 13,1 ----- 18,6 | 15,6 ----- 36,4 | 17,6 ----- 49,9 | 18,9 ----- 62,2 | 20,7 ----- 68,3 | 21,2 ----- 67,8 | 14,2 ----- 52,4 | 6,7 ----- 30,8 | 3,0 ----- 6,0 | - | - |
XII | - | - | - | 0,7 ----- 0,7 | 3,9 ----- 6,4 | 7,2 ----- 19,1 | 10,2 ----- 32,1 | 11,2 ----- 42,0 | 12,3 ----- 47,7 | 10,3 ----- 46,5 | 6,7 ----- 32,0 | 0,8 ----- 8,7 | - | - | - | - |
45 | З | III | - | - | 1,8 ----- 1,8 | 4,2 ----- 4,2 | 7,7 ----- 7,7 | 9,7 ----- 9,7 | 10,4 ----- 10,4 | 12,3 ----- 12,3 | 14,2 ----- 29,5 | 16,4 ----- 45,7 | 17,9 ----- 54,8 | 13,3 ----- 50,2 | 7,0 ----- 33,9 | - | - | - |
VI | 1,8 ----- 1,8 | 3,8 ----- 3,8 | 7,4 ----- 7,4 | 8,5 ----- 8,5 | 11,0 ----- 11,0 | 13,1 ----- 13,1 | 14,9 ----- 14,9 | 17,9 ----- 17,9 | 18,7 ----- 37,0 | 21,1 ----- 54,8 | 19,9 ----- 64,2 | 21,0 ----- 69,7 | 17,8 ----- 62,0 | 10,3 ----- 46,8 | 3,5 ----- 20,5 | - |
IX | - | 0,6 ----- 0,6 | 3,4 ----- 3,4 | 6,8 ----- 6,8 | 9,1 ----- 9,1 | 9,6 ----- 9,6 | 11,8 ----- 11,8 | 13,7 ----- 14,9 | 15,3 ----- 32,7 | 16,4 ----- 48,4 | 19,1 ----- 58,8 | 14,6 ----- 54,5 | 8,0 ----- 37,8 | 0,5 ----- 5,0 | - | - |
XII | - | - | - | 0,6 ----- 0,6 | 2,6 ----- 2,6 | 4,7 ----- 4,7 | 6,3 ----- 6,3 | 7,4 ----- 8,2 | 8,4 ----- 19,0 | 7,7 ----- 25,7 | 5,2 ----- 21,8 | 0,7 ----- 7,0 | - | - | - | - |
45 | СЗ | III | - | - | 1,8 ----- 1,8 | 4,2 ----- 4,2 | 7,4 ----- 7,4 | 8,5 ----- 8,5 | 9,3 ----- 9,3 | 9,6 ----- 9,6 | 9,6 ----- 9,6 | 11,0 ----- 11,0 | 12,4 ----- 17,9 | 9,5 ----- 23,3 | 5,3 ----- 19,9 | - | - | - |
VI | 2,0 ----- 2,0 | 4,4 ----- 4,4 | 8,2 ----- 8,2 | 9,5 ----- 9,5 | 11,2 ----- 11,2 | 13,1 ----- 13,1 | 13,8 ----- 13,8 | 15,9 ----- 15,9 | 16,3 ----- 16,3 | 17,0 ----- 24,8 | 16,2 ----- 38,7 | 16,2 ----- 48,5 | 15,6 ----- 51,3 | 9,7 ----- 42,9 | 3,6 ----- 21,4 | - |
IX | - | 0,6 ----- 0,6 | 3,4 ----- 3,4 | 6,7 ----- 6,7 | 8,6 ----- 8,6 | 9,4 ----- 9,4 | 10,2 ----- 10,2 | 11,6 ----- 11,6 | 11,6 ----- 10,6 | 12,2 ----- 12,2 | 14,0 ----- 24,7 | 10,9 ----- 29,6 | 6,1 ----- 25,2 | 0,4 ----- 3,7 | - | - |
XII | - | - | - | 0,6 ----- 0,6 | 2,6 ----- 2,6 | 4,1 ----- 4,1 | 5,2 ----- 5,2 | 5,7 ----- 5,7 | 5,7 ----- 5,7 | 4,6 ----- 4,6 | 3,1 ----- 3,1 | 0,5 ----- 0,5 | - | - | - | - |
55 | С | III | - | - | 1,4 ----- 1,4 | 3,4 ----- 3,4 | 5,9 ----- 5,9 | 7,5 ----- 7,5 | 8,5 ----- 8,5 | 8,4 ----- 8,4 | 8,6 ----- 8,6 | 8,1 ----- 8,1 | 6,7 ----- 6,7 | 4,4 ----- 4,4 | 2,2 ----- 2,2 | - | - | - |
VI | 5,0 ----- 17,0 | 7,7 ----- 17,3 | 11,3 ----- 13,1 | 11,0 ----- 11,0 | 10,9 ----- 10,9 | 12,6 ----- 12,6 | 13,8 ----- 13,8 | 13,5 ----- 13,5 | 13,0 ----- 13,0 | 12,1 ----- 12,1 | 10,9 ----- 10,9 | 11,0 ----- 11,1 | 11,3 ----- 13,1 | 7,3 ----- 16,7 | 5,0 ----- 17,0 | - |
IX | - | 0,8 ----- 1,0 | 3,5 ----- 3,5 | 5,9 ----- 5,9 | 8,1 ----- 8,1 | 9,2 ----- 9,2 | 8,6 ----- 8,6 | 8,6 ----- 8,6 | 8,6 ----- 8,6 | 9,1 ----- 9,1 | 7,9 ----- 7,9 | 5,2 ----- 5,2 | 2,9 ----- 2,9 | 0,2 ----- 0,4 | - | - |
XII | - | - | - | - | - | 0,6 ----- 0,6 | 1,8 ----- 1,8 | 2,4 ----- 2,4 | 2,6 ----- 2,6 | 2,4 ----- 2,4 | 1,8 ----- 1,8 | 0,3 ----- 0,3 | - | - | - | - |
55 | СВ | III | - | - | 2,4 ----- 12,0 | 5,8 ----- 17,2 | 8,0 ----- 12,7 | 9,5 ----- 9,5 | 9,6 ----- 9,6 | 9,4 ----- 9,4 | 8,9 ----- 8,9 | 7,8 ----- 7,8 | 6,2 ----- 6,2 | 3,8 ----- 3,8 | 2,0 ----- 2,0 | - | - | - |
VI | 6,9 ----- 33,4 | 11,6 ----- 45,8 | 16,8 ----- 53,7 | 16,4 ----- 44,5 | 14,7 ----- 29,5 | 14,3 ----- 15,5 | 13,8 ----- 13,8 | 13,5 ----- 13,5 | 13,1 ----- 13,1 | 12,1 ----- 12,1 | 9,8 ----- 9,8 | 9,0 ----- 9,0 | 8,4 ----- 8,4 | 4,9 ----- 4,9 | 3,0 ----- 3,0 | - |
IX | - | 1,3 ----- 9,2 | 5,9 ----- 22,3 | 9,2 ----- 23,5 | 11,3 ----- 15,8 | 11,2 ----- 11,2 | 10,0 ----- 10,0 | 9,0 ----- 9,0 | 8,6 ----- 8,6 | 8,5 ----- 8,5 | 7,1 ----- 7,1 | 4,4 ----- 4,4 | 2,5 ----- 2,5 | 0,2 ----- 0,2 | - | - |
XII | - | - | - | - | 0,7 ----- 0,7 | 2,0 ----- 2,0 | 2,5 ----- 2,5 | 2,6 ----- 2,6 | 2,5 ----- 2,5 | 1,8 ----- 1,8 | 0,3 ----- 0,3 | - | - | - | - | - |
55 | В | III | - | - | 3,1 ----- 19,9 | 8,8 ----- 37,8 | 12,5 ----- 45,9 | 14,6 ----- 42,1 | 14,9 ----- 31,6 | 12,7 ----- 14,7 | 10,7 ----- 10,7 | 8,7 ----- 8,7 | 6,6 ----- 6,6 | 3,8 ----- 3,8 | 2,0 ----- 2,0 | - | - | - |
VI | 6,6 ----- 31,7 | 12,5 ----- 51,9 | 19,9 ----- 66,0 | 20,7 ----- 68,5 | 18,5 ----- 61,5 | 18,8 ----- 50,0 | 18,2 ----- 36,0 | 15,6 ----- 15,6 | 13,8 ----- 13,8 | 12,2 ----- 12,2 | 9,8 ----- 9,8 | 8,5 ----- 8,5 | 7,7 ----- 7,7 | 4,4 ----- 4,4 | 2,6 ----- 2,6 | - |
IX | - | 1,6 ----- 6,1 | 7,8 ----- 32,9 | 12,7 ----- 49,2 | 16,6 ----- 56,9 | 17,0 ----- 48,1 | 14,2 ----- 36,6 | 11,8 ----- 11,8 | 10,2 ----- 10,2 | 9,5 ----- 9,5 | 7,5 ----- 7,5 | 4,4 ----- 4,4 | 2,5 ----- 2,5 | 0,2 ----- 0,2 | - | - |
XII | - | - | - | - | 1,2 ----- 8,3 | 3,2 ----- 12,3 | 3,8 ----- 9,2 | 3,5 ----- 3,5 | 2,8 ----- 2,8 | 1,8 ----- 1,8 | 0,3 ----- 0,3 | - | - | - | - | - |
55 | ЮВ | III | - | - | 2,8 ----- 17,1 | 8,1 ----- 38,7 | 14,3 ----- 56,0 | 18,4 ----- 63,0 | 19,5 ----- 62,1 | 18,2 ----- 53,5 | 16,3 ----- 40,0 | 12,9 ----- 22,0 | 8,5 ----- 8,5 | 4,6 ----- 4,6 | 2,0 ----- 2,0 | - | - | - |
VI | 4,7 ----- 13,9 | 9,8 ----- 30,3 | 16,4 ----- 47,8 | 18,1 ----- 58,1 | 19,2 ----- 63,9 | 21,5 ----- 66,2 | 21,6 ----- 59,5 | 20,3 ----- 50,5 | 17,9 ----- 33,2 | 14,2 ----- 14,2 | 11,4 ----- 11,4 | 9,6 ----- 9,6 | 8,3 ----- 8,3 | 4,5 ----- 4,5 | 2,6 ----- 2,6 | - |
IX | - | 1,3 ----- 8,9 | 7,0 ----- 32,4 | 12,8 ----- 51,1 | 19,2 ----- 64,6 | 21,2 ----- 68,5 | 18,8 ----- 61,5 | 16,4 ----- 49,6 | 15,8 ----- 33,3 | 13,4 ----- 19,3 | 9,5 ----- 9,5 | 5,2 ----- 5,2 | 2,5 ----- 2,5 | 0,2 ----- 0,2 | - | - |
XII | - | - | - | - | 1,6 ----- 12,5 | 4,3 ----- 23,9 | 5,8 ----- 27,3 | 5,9 ----- 25,3 | 4,9 ----- 18,1 | 2,9 ----- 8,9 | 0,5 ----- 1,3 | - | - | - | - | - |
55 | Ю | III | - | - | 1,9 ----- 5,2 | 5,9 ----- 19,5 | 11,3 ----- 37,1 | 16,2 ----- 52,5 | 19,8 ----- 64,0 | 22,1 ----- 69,7 | 20,9 ----- 66,9 | 17,7 ----- 56,5 | 13,0 ----- 42,1 | 7,7 ----- 25,7 | 3,2 ----- 9,0 | - | - | - |
VI | 2,9 ----- 2,9 | 5,9 ----- 5,9 | 10,9 ----- 10,9 | 13,7 ----- 22,0 | 15,4 ----- 36,8 | 18,6 ----- 48,6 | 21,4 ----- 58,2 | 23,5 ----- 62,9 | 21,4 ----- 58,2 | 18,9 ----- 49,2 | 15,4 ----- 36,8 | 13,7 ----- 22,0 | 10,9 ----- 10,9 | 5,6 ----- 5,6 | 2,9 ----- 2,9 | - |
IX | - | 0,8 ----- 0,8 | 4,5 ----- 10,9 | 9,5 ----- 26,6 | 15,4 ----- 44,1 | 18,8 ----- 58,5 | 19,9 ----- 66,2 | 21,2 ----- 69,3 | 19,7 ----- 65,5 | 18,7 ----- 57,0 | 14,6 ----- 42,1 | 8,3 ----- 23,9 | 3,7 ----- 7,7 | 0,2 ----- 0,2 | - | - |
XII | - | - | - | - | 1,3 ----- 9,7 | 4,2 ----- 22,8 | 6,4 ----- 31,3 | 7,5 ----- 35,3 | 6,4 ----- 31,2 | 4,1 ----- 22,4 | 0,7 ----- 6,9 | - | - | - | - | - |
55 | ЮЗ | III | - | - | 1,3 ----- 1,3 | 3,5 ----- 3,5 | 7,0 ----- 7,0 | 11,2 ----- 18,2 | 15,4 ----- 35,6 | 17,5 ----- 49,7 | 19,5 ----- 60,3 | 19,4 ----- 63,2 | 16,2 ----- 59,7 | 10,3 ----- 46,5 | 4,7 ----- 24,1 | - | - | - |
VI | 2,6 ----- 2,6 | 4,9 ----- 4,9 | 8,3 ----- 8,3 | 9,6 ----- 9,6 | 11,4 ----- 11,4 | 13,9 ----- 13,9 | 17,9 ----- 33,2 | 20,3 ----- 48,1 | 21,6 ----- 59,5 | 21,9 ----- 66,0 | 19,2 ----- 63,9 | 18,1 ----- 57,3 | 16,4 ----- 47,8 | 9,0 ----- 29,2 | 4,7 ----- 13,9 | - |
IX | - | 0,6 ----- 0,6 | 3,0 ----- 3,0 | 6,0 ----- 6,0 | 10,2 ----- 10,2 | 13,8 ----- 21,7 | 15,6 ----- 39,2 | 16,8 ----- 51,8 | 19,2 ----- 62,9 | 21,6 ----- 69,7 | 18,4 ----- 63,0 | 11,4 ----- 47,9 | 5,6 ----- 26,3 | 0,4 ----- 3,4 | - | - |
XII | - | - | - | - | 0,8 ----- 1,8 | 3,0 ----- 9,7 | 4,8 ----- 18,9 | 6,0 ----- 26,1 | 5,8 ----- 27,1 | 4,4 ----- 24,0 | 0,8 ----- 8,7 | - | - | - | - | - |
55 | З | III | - | - | 1,3 ----- 1,3 | 3,1 ----- 3,1 | 5,6 ----- 5,6 | 7,9 ----- 7,9 | 9,9 ----- 9,9 | 12,0 ----- 12,0 | 14,4 ----- 28,0 | 15,3 ----- 40,6 | 19,6 ----- 45,8 | 9,8 ----- 43,4 | 5,0 ----- 25,3 | - | - | - |
VI | 2,6 ----- 2,6 | 4,7 ----- 4,7 | 7,7 ----- 7,7 | 8,5 ----- 8,5 | 9,8 ----- 9,8 | 12,7 ----- 12,7 | 13,8 ----- 13,8 | 15,6 ----- 15,6 | 18,2 ----- 36,0 | 16,3 ----- 47,7 | 18,5 ----- 61,5 | 20,7 ----- 68,5 | 19,9 ----- 66,0 | 11,8 ----- 50,2 | 6,6 ----- 31,7 | - |
IX | - | 0,6 ----- 0,6 | 2,9 ----- 2,9 | 5,1 ----- 5,1 | 7,8 ----- 7,8 | 9,7 ----- 9,7 | 10,5 ----- 10,5 | 12,2 ----- 14,3 | 15,3 ----- 32,8 | 16,9 ----- 45,8 | 16,2 ----- 52,5 | 11,4 ----- 47,9 | 6,5 ----- 31,6 | 0,5 ----- 5,0 | - | - |
XII | - | - | - | - | 0,6 ----- 0,6 | 1,9 ----- 1,9 | 2,8 ----- 2,8 | 3,6 ----- 4,1 | 3,9 ----- 9,7 | 3,3 ----- 13,0 | 0,6 ----- 5,6 | - | - | - | - | - |
55 | СЗ | III | - | - | 1,3 ----- 1,3 | 3,1 ----- 3,1 | 5,3 ----- 5,3 | 7,1 ----- 7,1 | 8,6 ----- 8,6 | 9,2 ----- 9,2 | 9,8 ----- 9,8 | 9,9 ----- 9,9 | 8,9 ----- 11,3 | 6,7 ----- 18,3 | 3,7 ----- 14,9 | - | - | - |
VI | 3,0 ----- 3,0 | 5,3 ----- 5,3 | 8,4 ----- 8,4 | 9,0 ----- 9,0 | 9,8 ----- 9,8 | 12,7 ----- 12,7 | 13,1 ----- 13,1 | 13,5 ----- 13,5 | 13,8 ----- 13,8 | 14,6 ----- 15,9 | 14,7 ----- 29,5 | 16,4 ----- 44,5 | 16,8 ----- 51,0 | 11,6 ----- 45,3 | 6,9 ----- 33,2 | - |
IX | - | 0,6 ----- 0,6 | 2,9 ----- 2,9 | 5,1 ----- 5,1 | 7,4 ----- 7,4 | 8,6 ----- 8,6 | 8,7 ----- 8,7 | 9,1 ----- 9,1 | 10,0 ----- 10,0 | 11,4 ----- 11,4 | 11,2 ----- 18,2 | 8,2 ----- 23,1 | 5,2 ----- 20,2 | 3,3 ----- 6,6 | - | - |
XII | - | - | - | - | 0,6 ----- 0,6 | 1,8 ----- 1,8 | 2,5 ----- 2,5 | 2,6 ----- 2,6 | 2,5 ----- 2,5 | 2,0 ----- 2,0 | 0,4 ----- 0,4 | - | - | - | - | - |
65 | С | III | - | - | 0,7 ----- 0,7 | 2,6 ----- 2,6 | 3,5 ----- 3,5 | 4,6 ----- 4,6 | 5,4 ----- 5,4 | 5,8 ----- 5,8 | 5,9 ----- 5,9 | 5,2 ----- 5,2 | 4,1 ----- 4,1 | 2,8 ----- 2,8 | 1,4 ----- 1,4 | - | - | - |
VI | 7,0 ----- 22,1 | 8,3 ----- 15,3 | 10,5 ----- 10,5 | 10,5 ----- 10,5 | 9,3 ----- 9,3 | 9,9 ----- 9,9 | 10,5 ----- 10,5 | 10,7 ----- 10,7 | 10,2 ----- 10,2 | 9,9 ----- 9,9 | 9,3 ----- 9,3 | 10,5 ----- 10,5 | 10,9 ----- 10,9 | 8,3 ----- 15,3 | 6,5 ----- 20,6 | 4,4 ----- 18,3 |
IX | - | 0,8 ----- 1,0 | 2,5 ----- 2,5 | 4,0 ----- 4,0 | 5,4 ----- 5,4 | 6,8 ----- 6,8 | 7,5 ----- 7,5 | 7,7 ----- 7,7 | 7,5 ----- 7,5 | 6,8 ----- 6,8 | 5,5 ----- 5,5 | 4,0 ----- 4,0 | 2,2 ----- 2,2 | - | - | - |
XII | - | - | - | - | - | - | 0,1 ----- 0,1 | 0,3 ----- 0,3 | 0,1 ----- 0,1 | - | - | - | - | - | - | - |
65 | СВ | III | - | - | 1,2 ----- 7,0 | 4,2 ----- 12,2 | 4,8 ----- 7,3 | 5,7 ----- 5,7 | 6,2 ----- 6,2 | 6,3 ----- 6,3 | 6,0 ----- 6,0 | 5,0 ----- 5,0 | 3,8 ----- 3,8 | 2,6 ----- 2,6 | 1,3 ----- 1,3 | - | - | - |
VI | 9,5 ----- 44,5 | 12,7 ----- 47,2 | 15,8 ----- 46,7 | 16,2 ----- 38,0 | 13,5 ----- 23,1 | 12,6 ----- 12,6 | 11,9 ----- 11,9 | 11,6 ----- 11,6 | 10,2 ----- 10,2 | 9,8 ----- 9,8 | 8,9 ----- 8,9 | 9,1 ----- 9,1 | 8,3 ----- 8,3 | 5,9 ----- 5,9 | 3,8 ----- 3,8 | 2,5 ----- 2,5 |
IX | - | 1,3 ----- 9,2 | 4,3 ----- 16,8 | 6,4 ----- 17,7 | 7,0 ----- 9,3 | 8,3 ----- 8,3 | 8,5 ----- 8,5 | 8,3 ----- 8,3 | 7,6 ----- 7,6 | 6,6 ----- 6,6 | 4,9 ----- 4,9 | 3,7 ----- 3,7 | 2,0 ----- 2,0 | - | - | - |
XII | - | - | - | - | - | - | 0,1 ----- 0,1 | 0,3 ----- 0,3 | 0,1 ----- 0,1 | - | - | - | - | - | - | - |
65 | В | III | - | - | 1,5 ----- 12,2 | 6,0 ----- 28,9 | 7,8 ----- 34,2 | 9,3 ----- 31,4 | 9,3 ----- 21,7 | 8,2 ----- 10,6 | 7,2 ----- 7,2 | 5,7 ----- 5,7 | 4,1 ----- 4,1 | 2,6 ----- 2,6 | 1,3 ----- 1,3 | - | - | - |
VI | 9,3 ----- 43,4 | 14,2 ----- 55,6 | 19,2 ----- 65,0 | 21,0 ----- 66,0 | 17,8 ----- 59,0 | 16,6 ----- 47,4 | 15,6 ----- 33,2 | 13,5 ----- 13,5 | 11,7 ----- 11,7 | 10,0 ----- 10,0 | 9,1 ----- 9,1 | 8,9 ----- 8,9 | 7,7 ----- 7,7 | 5,3 ----- 5,3 | 3,4 ----- 3,4 | 2,3 ----- 2,3 |
IX | - | 1,6 ----- 12,6 | 5,8 ----- 29,1 | 9,2 ----- 42,2 | 11,3 ----- 41,7 | 12,8 ----- 36,3 | 12,8 ----- 24,4 | 10,9 ----- 10,9 | 9,0 ----- 9,0 | 7,3 ----- 7,3 | 5,3 ----- 5,3 | 3,7 ----- 3,7 | 2,0 ----- 2,0 | - | - | - |
XII | - | - | - | - | - | - | 0,2 ----- 0,2 | 0,4 ----- 0,4 | 0,2 ----- 0,2 | - | - | - | - | - | - | - |
65 | ЮВ | III | - | - | 1,4 ----- 10,7 | 6,3 ----- 30,6 | 9,5 ----- 44,4 | 12,0 ----- 50,9 | 13,2 ----- 50,5 | 12,8 ----- 44,2 | 11,4 ----- 33,7 | 8,5 ----- 19,1 | 5,4 ----- 5,4 | 3,1 ----- 3,1 | 1,3 ----- 1,3 | - | - | - |
VI | 6,7 ----- 19,9 | 11,1 ----- 35,6 | 16,2 ----- 50,6 | 19,3 ----- 62,5 | 19,8 ----- 66,3 | 20,6 ----- 67,8 | 19,0 ----- 61,8 | 17,5 ----- 49,8 | 15,4 ----- 34,0 | 12,6 ----- 12,6 | 10,9 ----- 10,9 | 10,1 ----- 10,1 | 8,4 ----- 8,4 | 5,6 ----- 5,6 | 3,4 ----- 3,4 | 2,3 ----- 2,3 |
IX | - | 1,3 ----- 8,9 | 5,2 ----- 25,5 | 9,6 ----- 45,2 | 13,3 ----- 54,2 | 16,6 ----- 59,3 | 17,4 ----- 57,3 | 16,4 ----- 47,8 | 14,1 ----- 34,2 | 10,2 ----- 16,9 | 6,7 ----- 6,7 | 4,2 ----- 4,2 | 2,0 ----- 2,0 | - | - | - |
XII | - | - | - | - | - | - | 0,3 ----- 0,3 | 0,6 ----- 5,1 | 0,2 ----- 0,2 | - | - | - | - | - | - | - |
65 | Ю | III | - | - | 1,0 ----- 3,5 | 4,6 ----- 16,4 | 7,4 ----- 30,1 | 10,8 ----- 43,6 | 13,8 ----- 53,5 | 15,3 ----- 57,7 | 14,9 ----- 56,0 | 12,4 ----- 48,3 | 8,7 ----- 35,7 | 5,2 ----- 19,4 | 2,0 ----- 6,7 | - | - | - |
VI | 4,1 ----- 4,1 | 6,9 ----- 6,9 | 10,9 ----- 12,7 | 15,1 ----- 30,2 | 15,2 ----- 41,2 | 17,4 ----- 53,1 | 19,1 ----- 62,9 | 21,3 ----- 67,4 | 19,0 ----- 62,3 | 17,4 ----- 53,1 | 15,2 ----- 41,2 | 15,1 ----- 30,2 | 4,3 ----- 13,1 | 6,9 ----- 6,9 | 3,8 ----- 3,8 | 2,3 ----- 2,3 |
IX | - | 0,8 ----- 0,8 | 3,5 ----- 8,9 | 7,12 ----- 3,4 | 10,8 ----- 39,0 | 15,3 ----- 52,9 | 18,5 ----- 62,6 | 19,9 ----- 66,0 | 18,1 ----- 61,2 | 15,1 ----- 51,1 | 10,6 ----- 37,6 | 7,0 ----- 22,7 | 3,1 ----- 7,7 | - | - | - |
XII | - | - | - | - | - | - | 0,3 ----- 0,3 | 0,8 ----- 8,6 | 0,3 ----- 0,3 | - | - | - | - | - | - | - |
65 | ЮЗ | III | - | - | 0,6 ----- 0,6 | 2,8 ----- 2,8 | 4,4 ----- 4,4 | 7,0 ----- 15,0 | 10,5 ----- 29,5 | 12,3 ----- 41,3 | 13,8 ----- 50,1 | 13,1 ----- 52,5 | 10,9 ----- 49,0 | 7,0 ----- 33,7 | 2,9 ----- 17,9 | - | - | - |
VI | 3,7 ----- 3,7 | 5,6 ----- 5,6 | 8,0 ----- 8,0 | 10,1 ----- 10,1 | 10,9 ----- 10,9 | 13,4 ----- 18,0 | 15,7 ----- 34,5 | 17,5 ----- 49,8 | 18,9 ----- 62,2 | 20,6 ----- 67,8 | 19,8 ----- 66,3 | 19,3 ----- 62,5 | 16,8 ----- 51,0 | 11,1 ----- 34,9 | 6,3 ----- 19,2 | 3,3 ----- 7,1 |
IX | - | 0,6 ----- 0,6 | 2,3 ----- 2,3 | 4,2 ----- 4,2 | 6,7 ----- 6,7 | 10,7 ----- 20,8 | 14,5 ----- 37,8 | 16,8 ----- 51,0 | 17,6 ----- 58,7 | 16,8 ----- 60,3 | 13,6 ----- 54,2 | 9,5 ----- 44,5 | 4,6 ----- 23,2 | - | - | - |
XII | - | - | - | - | - | - | 0,3 ----- 0,3 | 0,7 ----- 7,3 | 0,3 ----- 0,3 | - | - | - | - | - | - | - |
65 | З | III | - | - | 0,6 ----- 0,6 | 2,5 ----- 2,5 | 3,4 ----- 3,4 | 4,9 ----- 4,9 | 6,6 ----- 6,6 | 7,7 ----- 7,7 | 9,5 ----- 20,7 | 10,0 ----- 29,9 | 8,7 ----- 35,2 | 6,5 ----- 30,6 | 3,1 ----- 19,6 | - | - | - |
VI | 3,7 ----- 3,7 | 5,3 ----- 5,3 | 7,3 ----- 7,3 | 8,9 ----- 8,9 | 9,1 ----- 9,1 | 10,0 ----- 10,0 | 11,9 ----- 11,9 | 13,5 ----- 13,5 | 15,3 ----- 32,7 | 16,6 ----- 47,4 | 17,8 ----- 59,0 | 20,1 ----- 66,0 | 19,9 ----- 66,4 | 14,2 ----- 55,6 | 8,7 ----- 40,6 | 5,0 ----- 24,3 |
IX | - | 0,6 ----- 0,6 | 2,3 ----- 2,3 | 3,7 ----- 3,7 | 5,3 ----- 5,3 | 7,4 ----- 7,4 | 9,3 ----- 9,3 | 11,3 ----- 13,1 | 13,3 ----- 28,3 | 13,1 ----- 38,7 | 11,5 ----- 43,0 | 9,3 ----- 42,7 | 5,1 ----- 26,7 | - | - | - |
XII | - | - | - | - | - | - | 0,1 ----- 0,1 | 0,5 ----- 2,0 | 0,2 ----- 0,2 | - | - | - | - | - | - | - |
65 | СЗ | III | - | - | 0,6 ----- 0,6 | 2,5 ----- 2,5 | 3,4 ----- 3,4 | 4,3 ----- 4,3 | 5,5 ----- 5,5 | 6,2 ----- 6,2 | 6,5 ----- 6,5 | 6,2 ----- 6,2 | 5,4 ----- 5,4 | 4,4 ----- 11,7 | 2,3 ----- 10,6 | - | - | - |
VI | 4,1 ----- 4,1 | 5,9 ----- 5,9 | 7,9 ----- 7,9 | 9,1 ----- 9,1 | 8,9 ----- 8,9 | 9,8 ----- 9,8 | 10,6 ----- 10,6 | 11,6 ----- 11,6 | 19,9 ----- 19,9 | 12,6 ----- 17,2 | 13,5 ----- 24,2 | 16,2 ----- 38,9 | 16,4 ----- 47,8 | 12,7 ----- 47,2 | 8,8 ----- 41,5 | 5,9 ----- 29,4 |
IX | - | 0,6 ----- 0,6 | 2,3 ----- 2,3 | 3,7 ----- 3,7 | 4,9 ----- 4,9 | 6,7 ----- 6,7 | 7,7 ----- 7,7 | 8,4 ----- 8,4 | 8,6 ----- 8,6 | 8,5 ----- 8,5 | 7,2 ----- 11,0 | 6,6 ----- 19,8 | 3,7 ----- 15,9 | - | - | - |
XII | - | - | - | - | - | - | 0,1 ----- 0,1 | 0,3 ----- 0,3 | 0,1 ----- 0,1 | - | - | - | - | - | - | - |