Главная // Актуальные документы // ПереченьСПРАВКА
Источник публикации
М.: ГПИ и НИИ "Аэропроект", 1982
Примечание к документу
Взамен Руководства по проектированию аэровокзалов аэропортов, утв. Министерством гражданской авиации 03.06.1977.
Название документа
"Руководство по проектированию аэровокзалов аэропортов"
(утв. начальником института Аэропроект 10.12.1981)
"Руководство по проектированию аэровокзалов аэропортов"
(утв. начальником института Аэропроект 10.12.1981)
начальником института Аэропроект
10 декабря 1981 года
РУКОВОДСТВО
ПО ПРОЕКТИРОВАНИЮ АЭРОВОКЗАЛОВ АЭРОПОРТОВ
Руководство по проектированию аэровокзалов аэропортов разработано Государственным проектно-изыскательским и научно-исследовательским институтом Аэропроект в развитие Ведомственных норм технологического проектирования аэровокзалов аэропортов
ВНТП 3-81/МГА.
С введением в действие настоящего Руководства утрачивает силу Руководство по проектированию аэровокзалов аэропортов, утвержденное Министерством гражданской авиации 03.06.1977.
В Руководстве приведены порядок расчета вместимости аэровокзалов и его зон, порядок расчета площадей и строительных объемов, требования к проектированию инженерно-технического оборудования по водоснабжению и водоотведению, отоплению, вентиляции и кондиционированию воздуха, электроснабжению, электрооборудованию и электроосвещению.
Руководство разработали канд. техн. наук В.Г. Локшин, инженеры В.В. Беспальчук, Г.А. Васильева, Э.А. Пульнер, В.А. Мануйлова, И.С. Морщагина, Л.М. Шерман, В.С. Муравьев, Б.П. Мухин, В.А. Мордясов, И.Б. Гринберг, Г.Н. Захарин, Л.Х. Ческес.
Утверждено начальником института Аэропроект 10 декабря 1981 г.
1.1. Настоящее Руководство разработано в развитие Ведомственных норм технологического проектирования аэровокзалов аэропортов и предназначено для использования в качестве методического материала.
1.2. При проектировании аэровокзалов рекомендуется использовать информационно-техническую литературу, указанную в
Приложении 1.
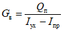
1.3. При назначении проектной пропускной способности вновь строящегося (расширяемого, реконструируемого) аэровокзала следует соблюдать соответствие показателей суммарной пропускной способности всех пассажирских зданий и сооружений с расчетной перспективной предельной пропускной способностью аэропорта, т.е. должно соблюдаться условие:

, (1)
где

- суммарная пропускная способность всех пассажирских зданий и сооружений, пасс./ч;

- предельная пропускная способность аэропорта.
1.4. При решении вопроса о расширении или реконструкции аэровокзального комплекса необходимо оценивать мощность и состояние его элементов: перрона, пассажирских зданий, привокзальной площади на расчетный перспективный период в соответствии с "Рекомендациями по комплексной оценке уровня оснащенности аэропортов зданиями и сооружениями".
1.5. В общем виде потребная пропускная способность проектируемого аэровокзала определяется по формуле

, (2)
где

- максимальный часовой объем пассажирских перевозок, планируемый на заданную перспективу, пасс./ч. Показатель определяется в соответствии с методикой, изложенной в Нормативном документе по технологическому проектированию аэропортов;

- суммарная пропускная способность всех пассажирских зданий аэропорта, функционирующих на период принятия решения и предназначенных для использования на заданную перспективу, пасс./ч. Показатель определяется в соответствии с методикой, изложенной в Рекомендациях по комплексной оценке уровня оснащенности аэропортов зданиями и сооружениями.
На основе значения показателей

назначается пропускная способность проектируемого аэровокзала

в соответствии с Ведомственными нормами технологического проектирования аэровокзалов аэропортов ВНТП 3-81.
2. ТЕХНОЛОГИЧЕСКИЕ И ОБЪЕМНО-ПЛАНИРОВОЧНЫЕ ХАРАКТЕРИСТИКИ
2.1. Расчет площадей операционных помещений и помещений ожидания аэровокзалов производится по специализированным залам или зонам: операционным вылетающих, прилетевших и транзитных пассажиров; ожидания вылетающих, прилетевших и транзитных пассажиров.
2.2. Расчет площади конкретной зоны (кроме зоны ожидания вылетающих пассажиров после прохождения досмотра) производится по формуле

, (3)
где S - рабочая площадь зоны, м2;

- расчетная вместимость зоны, чел.;

,

- доля сидящих и движущихся пассажиров в зоне от расчетной вместимости зоны;

,

- удельная рабочая площадь на одного человека, сидящего в кресле, с учетом местных проходов у кресла и движущегося в зоне, с учетом необходимых дистанций, м2/чел.;

- коэффициент, учитывающий долю площади в магистральных проходах, необходимую для эвакуации сидящих, обмена местами сидящих и движущихся, неполную занятость мест для сидения, а также для свободного передвижения по зоне без столкновений и для ориентации в зоне;

- коэффициент, учитывающий самопроизвольное распределение пассажиров и посетителей между зонами;

- коэффициент, учитывающий поступление в зону пассажиров и посетителей группами, соответствующими вместимости средств городского транспорта и самолетов;

- площадь, занятая в зоне технологическим оборудованием, а также киосками, рекламными информационными материалами, м2; определяется на основании потребной площади для киосков с коэффициентом 1,5;

- коэффициент, учитывающий композиционные особенности зоны и планировочные ограничения: дверные проемы, проходы и смежные залы, конструкции в плане, наружное остекление и другое.
Значения показателей и коэффициентов для аэровокзалов различной пропускной способности, используемых для расчета площадей, приведены в
Приложении 2.
2.3. Площадь зоны ожидания вылетающих пассажиров после прохождения досмотра определяется по формуле

, (4)
где

- площадь зоны ожидания вылетающих пассажиров после прохождения досмотра, м2;

- вместимость самолетов, пассажиры которых одновременно находятся в зоне досмотра, чел.; принимается 100% пассажиров на рейс;
1,7 - удельная площадь, приходящаяся на одного пассажира, м2/чел.
2.4. Основным расчетным параметром для выявления площадей операционных помещений и помещений ожидания аэровокзала является их единовременная вместимость, которая определяется наличием в конкретной зоне того или иного количества пассажиров различных категорий и посетителей и временем обслуживания (пребывания) их в аэровокзале. В общем виде эта зависимость выражается формулой

, (5)
где

- единовременная вместимость зоны аэровокзала, предназначенной для обслуживания каждой группы пассажиров или посетителей, чел.;

- интенсивность потока пассажиров, посетителей на обслуживание (интенсивность потока требований каждой группы пассажиров) или часть пропускной способности аэровокзала, приходящаяся на долю каждой группы пассажиров или посетителей, чел./ч; принимается по ВНТП 3-81;

- среднее время пребывания в аэровокзале каждой группы пассажиров или посетителей, ч; принимается по ВНТП 3-81;

- коэффициент обеспеченности, учитывающий возможность кратковременного переполнения помещений аэровокзала при максимальном часовом объеме пассажирских перевозок; принимается равным 0,80; 0,85; 0,90; 0,95 соответственно для малых, средних, больших и крупных аэровокзалов;

- коэффициент, учитывающий возможность сбоя в обслуживании пассажиров; принимается в соответствии с ВНТП 3-81.
При существенных отличиях фактических данных от данных ВНТП 3-81 следует использовать данные статистического обследования. Вопросы исследования фактических потоков пассажиров и посетителей, а также времени пребывания их в аэровокзале являются весьма длительными и трудоемкими, поэтому рекомендуется использовать данные ВНТП 3-81, которые базируются на большом статистическом материале.
2.5. Ниже изложен порядок расчета единовременной вместимости зон аэровокзала.
Определяются исходные данные: пропускная способность аэровокзала, соотношение групп пассажиров и посетителей (в процентах от пропускной способности аэровокзала), среднее время пребывания каждой группы пассажиров и посетителей в аэровокзале.
Пропускная способность аэровокзала устанавливается заданием на проектирование. Соотношение групп пассажиров и посетителей и среднее время их пребывания в аэровокзале принимается по ВНТП 3-81 или указывается в задании на проектирование аэровокзала.
Рассчитывается удельный вес каждой группы пассажиров и посетителей

в долях от единицы:

, (6)
где

- доля каждой группы пассажиров и посетителей от пропускной способности аэровокзала, %.
Определяется коэффициент пребывания каждой группы пассажиров и посетителей

:

, (7)
где

- время пребывания каждой группы пассажиров в аэровокзале, мин.
Устанавливается коэффициент вместимости каждой группы пассажиров и посетителей

:

. (8)
Рассчитывается коэффициент вместимости каждой категории пассажиров и посетителей

:

, (9)
где

- сумма коэффициентов вместимости групп пассажиров и посетителей, входящих в конкретную категорию.
Определяется единовременная вместимость зон аэровокзала, предназначенных для обслуживания каждой категории пассажиров и посетителей

:

, (10)
где

- пропускная способность аэровокзала, пасс./ч.
Единовременная вместимость аэровокзала определяется двумя путями:
а) как суммарный показатель по формуле

, (11)
где В - единовременная вместимость аэровокзала, чел.;
n - количество групп пассажиров и посетителей, проходящих обслуживание в аэровокзале;
б) через коэффициент вместимости аэровокзала

по формуле

. (12)
Проводится распределение единовременной вместимости зон, предназначенных для обслуживания каждой категории пассажиров и посетителей, в соответствии с техническим назначением этих зон. Ориентировочные показатели распределения единовременной вместимости

по зонам технологического назначения рекомендуется принимать по данным табл. 1.
─────────────┬───────────────────────────────────────────────────────────────────────────
Зоны │ Распределение единовременной вместимости категорий пассажиров
аэровокзала │ и посетителей, %, по технологическим зонам для аэровокзалов
│ пропускной способностью, пасс./ч
├────────────────────────┬─────────────────────────┬────────────────────────
│ 100, 200, 400 │ 600, 800, 1000 │ 1300 и более
├─────┬──────┬─────┬─────┼─────┬──────┬─────┬──────┼─────┬──────┬─────┬─────
│вы- │при- │тран-│посе-│вы- │при- │тран-│посе- │вы- │при- │тран-│посе-
│лета-│летев-│зит- │тите-│лета-│летев-│зит- │тите- │лета-│летев-│зит- │тите-
│ющих │ших │ных │лей │ющих │ших │ных │лей │ющих │ших │ных │лей
─────────────┼─────┼──────┼─────┼─────┼─────┼──────┼─────┼──────┼─────┼──────┼─────┼─────
Операционные:│ │ │ │ │ │ │ │ │ │ │ │
вылетающих │ 50 │ - │ 15 │ 30 │ 70 │ - │ 15 │ 30 │ 70 │ - │ 15 │ 30
пассажиров │ │ │ │ │ │ │ │ │ │ │ │
прилетевших │ - │ 50 │ 15 │ - │ - │ 50 │ 15 │ - │ - │ 50 │ 15 │ -
пассажиров │ │ │ │ │ │ │ │ │ │ │ │
транзитных │ - │ - │ - │ - │ - │ - │ - │ - │ - │ - │ 7 │ -
пассажиров │ │ │ │ │ │ │ │ │ │ │ │
Ожидания: │ │ │ │ │ │ │ │ │ │ │ │
вылетающих │ 50 │ - │ 15 │ 25 │ 30 │ - │ 15 │ 25 │ 30 │ - │ 15 │ 25
пассажиров │ │ │ │ │ │ │ │ │ │ │ │
прилетевших │ - │ 50 │ 10 │ 45 │ - │ 50 │ 10 │ 45 │ - │ 50 │ 10 │ 45
пассажиров │ │ │ │ │ │ │ │ │ │ │ │
транзитных │ - │ - │ 40 │ - │ - │ - │ 40 │ - │ - │ - │ 30 │ -
пассажиров │ │ │ │ │ │ │ │ │ │ │ │
Определяется расчетная вместимость зон

путем суммирования показателей вместимости соответствующих зон в зависимости от категорий пассажиров и посетителей, рассчитанных с учетом показателей распределения
табл. 1. Пример расчета вместимости представлен в
Приложении 3.
2.6. При существенных изменениях удельного веса транзитных пассажиров, следующих с пересадкой с рейса на рейс, в общем объеме перевозок по сравнению с исходными данными, заложенными в ВНТП 3-81 (при прочих равных условиях), вместимость операционного зала и зала длительного ожидания транзитных пассажиров может корректироваться.
При уменьшении (увеличении) потока транзитных пассажиров, следующих с пересадкой с рейса на рейс, по сравнению с данными ВНТП 3-81 следует уменьшать (увеличивать) также площади некоторых помещений аэровокзала в соответствии с табл. 2.
Таблица 2
───────────────────────────────────────┬───────────────────────────────────
Помещения │ Удельная площадь, приходящаяся
│на одного транзитного пассажира, м2
───────────────────────────────────────┼───────────────────────────────────
Камера хранения багажа │ 0,60
Бытовые помещения транзитных пассажиров│ 0,08
Гардероб транзитных пассажиров │ 0,07
───────────────────────────────────────┴───────────────────────────────────
2.7. Строительный объем зданий и сооружений рекомендуется определять в соответствии с методикой, изложенной ниже.
Удельный строительный объем здания аэровокзала определяется отношением суммарной кубатуры помещений (блоков здания) различных групп (I, II, III, IV) к величине пропускной способности аэровокзала

, (13)
где

- сумма величин строительного объема всех четырех групп помещений, м3.
Строительный объем по каждой группе помещений определяется на основании и с учетом следующих показателей: общей площади помещений; величины площади, занятой в плане конструкциями (колонны, стены, перегородки и т.п.); высоты помещений и конструкций перекрытий и покрытий; той части объема здания, которая необходима для размещения коммуникаций (вертикальные стволы шахт, технические этажи, горизонтальные разводки и т.п.); кубатуры, необходимой для получения композиционно-выразительного объемного решения здания. Общий объем здания определяется по формуле
или

, (14)
где

-

- общие площади по всем четырем группам помещений, м2;

-

- коэффициент, учитывающий величину площади, занятой конструкциями (стены, перегородки, колонны и т.п.); принимается по
таблице 1 Приложения 4;

-

- коэффициент, учитывающий высоту этажа, в том числе необходимую высоту помещений в чистоте до низа конструкций (перекрытия и покрытия), м; принимается по
таблице 1 Приложения 4; коэффициент установлен на основании требований СНиП;

- коэффициент, учитывающий объем здания, занятый пространством для коммуникаций (вертикальные и горизонтальные стволы шахт, технические этажи и т.п.); принимается по
табл. 2 Приложения 4; установлен единым для всего здания на основании практики проектирования;

- коэффициент, учитывающий объем здания, необходимый для получения композиционно-выразительного решения; принимается по
табл. 2 Приложения 4; установлен единым для всего здания.
2.8. Объемно-планировочные решения зданий аэровокзалов следует принимать с учетом необходимости:
- обеспечения минимальной площади световых проемов или светопрозрачных ограждений при условии соблюдения норм естественного освещения;
- обеспечения наименьшей площади ограждающих конструкций;
- исключения перепадов высот между отдельными частями (блоками) здания величиной 1,2 м и менее.
2.9. В подвальных этажах допускается размещать камеры хранения, уборные, насосные водопровода и канализации, вентиляционные камеры, камеры для кондиционирования воздуха, машинные отделения лифтов и другие технические и вспомогательные помещения с учетом ограничений, накладываемых противопожарными нормами проектирования, а также требованиями безопасности пребывания пассажиров в аэровокзале.
2.10. Если объемно-планировочное решение аэровокзала предусматривает проведение технологического обслуживания пассажиров в трех-четырех уровнях, следует предусматривать устройство пассажирских лифтов, количество которых принимается по расчету, но не менее двух.
3. ВОДОСНАБЖЕНИЕ И ВОДООТВЕДЕНИЕ
3.1. Аэровокзалы должны быть оборудованы системой постоянного водоснабжения, обеспечивающей хозяйственно-питьевые и противопожарные цели. В качестве источника водоснабжения, как правило, для аэровокзалов следует использовать существующие водопроводные системы городов или близлежащих предприятий, а также подземные воды, удовлетворяющие ГОСТу "Вода питьевая".
3.2. Наружное пожаротушение зданий должно осуществляться от наружных пожарных гидрантов на кольцевой сети или из водоемов. Выбор схемы, расчетные расходы воды на наружное пожаротушение и продолжительность тушения пожара надлежит принимать в соответствии с главой СНиП "Водоснабжение. Наружные сети и сооружения".
Необходимость устройства внутренних противопожарных водопроводов и нормы расхода воды на внутреннее пожаротушение принимать в соответствии с главой СНиП "Внутренний водопровод и канализация зданий".
При блокировке аэровокзала с КДП системы внутреннего пожаротушения проектировать по соответствующим нормам для каждой сблокированной части здания в отдельности.
3.3. Внутренний водопровод в здании должен быть, как правило, хозяйственно-питьевой-противопожарный.
3.4. Для сокращения расходов воды на охлаждение оборудования (холодильные машины пищеблоков, кондиционеры) следует принять системы оборотного водоснабжения, которые при технической возможности должны проектироваться без разрыва струи с подачей воды на охладители, используя остаточный напор.
3.5. Нормы водопотребления предприятий общественного питания, душевых и средств механизированной уборки помещений следует принимать в соответствии со СНиПами "Внутренний водопровод и канализация зданий. Нормы проектирования" и "Предприятия общественного питания. Нормы проектирования".
Нормы водопотребления без указанных выше нужд следует принимать по табл. 3.
Таблица 3
───────────────────────┬─────────────────────────┬─────────────────────────
Потребители │Норма водопотребления, л,│ Коэффициент часовой
│ на одного человека │ неравномерности
│ в сутки │ водопотребления
───────────────────────┼─────────────────────────┼─────────────────────────
Пассажиры и посетители:│ │
малых вокзалов │ 10 │ 3,0
средних, больших │ 15 │ 2,5
и крупных вокзалов │ │
Обслуживающий персонал │ 25 │ 2,5
3.6. На внутреннем водопроводе на каждые 60 - 70 м периметра здания должна предусматриваться установка одного поливочного крана, которая размещается в коверах около зданий или в нишах наружных стен зданий.
3.7. В пассажирских зданиях средних, больших и крупных вокзалов в туалетах для обслуживания пассажиров необходимо предусматривать унитазы со смывными кранами. При этом для обслуживания магистральных и подводящих трубопроводов, вентилей должен быть предусмотрен технологический коридор со специальным входом. Ширина коридора - не менее 1 м.
3.8. Горизонтальную прокладку разводящих сетей внутреннего водопровода следует предусматривать в подвалах и технических этажах, а в случае их отсутствия - в первом этаже в подпольных каналах или подшивных потолках совместно с трубами отопления и горячего водоснабжения. Скрытую прокладку трубопроводов следует предусматривать для помещений, к отделке которых предъявляются повышенные требования. Прокладка магистральных трубопроводов должна осуществляться с уклоном не менее 0,002 в сторону спуска воды.
3.9. Стояки хозяйственно-питьевого, противопожарного и производственного водоснабжения, а также стояки бытовой, производственной и дождевой канализации для обеспечения доступа к запорной арматуре, ревизиям на самотечных трубопроводах и нормальной эксплуатации должны прокладываться в специальных технологических шахтах и нишах. Шахты и ниши должны иметь на каждом этаже двери и люки для обслуживания.
3.10. Трубопроводы в подшивных потолках, бороздах, каналах, шахтах, прокладываемые совместно с теплосетями, а также в помещениях с повышенной влажностью и температурой должны изолироваться от конденсации влаги и нагрева воды.
В случае, если источником водоснабжения аэровокзала служат подземные воды с температурой 7 - 12 °C, все трубопроводы хозяйственно-питьевого и производственного водоснабжения изолируются от конденсации влаги. Трубопроводы противопожарного водоснабжения, в которых нет движения воды, не изолируются. Температура воды в таких трубопроводах равна температуре воздуха помещений.
3.11. Для учета расхода воды на вводах водопровода в здании следует предусматривать измерительные устройства.
3.12. Устройство систем автоматического пожаротушения следует принимать согласно ведомственному перечню помещений, подлежащих оборудованию системами автоматического пожаротушения.
3.13. Внутренняя канализация должна устраиваться во всех зданиях, имеющих внутренний водопровод и проектироваться в соответствии с главой СНиП "Внутренний водопровод и канализация зданий".
Бытовые сточные воды должны, как правило, отводиться в общую канализационную сеть. Отвод бытовых сточных вод на проектируемые очистные сооружения аэровокзальной местной канализации допускается только для служебно-пассажирских зданий некатегорируемых аэропортов МВЛ по согласованию с местными органами санитарно-эпидемиологической службы.
3.14. В вокзалах должны проектироваться следующие сети канализации:
- бытовая - для отведения сточных вод сантехнического оборудования: унитазов, раковин, умывальников, ванн, душей и др.;
- производственная - для отведения стоков от технологического оборудования пищеблока;
- внутренние водостоки - для отведения дождевых и талых вод с кровли здания.
3.15. Технологическое оборудование для приготовления пищевой продукции и мойки посуды следует присоединять к производственной канализационной сети с разрывом струи не менее 20 мм от верха приемной воронки.
3.16. Для очистки производственных сточных вод (до поступления в наружную канализационную сеть) от жиров следует устанавливать на выпуске из соответствующих помещений жироуловитель (для ресторанов или столовой с количеством мест в залах 200 и более).
3.17. Над пассажирскими залами, кухнями, продуктовыми складами, электрощитовыми и приточными вентиляционными камерами размещать канализационные устройства и трубопроводы не разрешается.
3.18. При установке в подвалах сантехнического оборудования, борта которого расположены ниже уровня люка ближайшего смотрового колодца, необходимо его присоединять к отдельной системе канализации (изолированной от системы канализации вышележащих помещений) устройством отдельного выпуска и установкой на нем задвижки с электрифицированным приводом, управляемым автоматически по сигналу датчика, смонтированного на трубопроводе в канализуемом подвале.
3.19. В пассажирских зданиях средних, больших и крупных вокзалов в специальных помещениях для хранения поломоечных машин необходимо устанавливать поливочные краны со смесителями холодной и горячей воды для заправки машин и трапы для сброса отработанной воды. При этом надо предусматривать отдельный выпуск с установкой на нем колодца с отстойной частью.
В душевых помещениях, располагаемых на междуэтажных перекрытиях, необходимо предусматривать установку душевых поддонов.
При скрытой прокладке внутренних водостоков по колоннам в пассажирских помещениях следует применять пластмассовые или стальные трубы.
3.20. В зданиях средних, больших и крупных вокзалов надлежит предусматривать централизованное, постоянно действующее горячее водоснабжение в соответствии с главой СНиП "Горячее водоснабжение".
4. ОТОПЛЕНИЕ, ВЕНТИЛЯЦИЯ И КОНДИЦИОНИРОВАНИЕ ВОЗДУХА
4.1. Отопление следует предусматривать во всех помещениях аэровокзала, кроме холодильных камер, трансформаторных подстанций, помещений распределительных устройств и других помещений, указанных в задании на проектирование систем отопления, вентиляции и кондиционирования (ОВК) воздуха.
| | ИС МЕГАНОРМ: примечание. В официальном тексте документа, видимо, допущена опечатка: стандарт имеет номер ГОСТ 12.1.005-76, а не ГОСТ 12.01.005-76. | |
| | ИС МЕГАНОРМ: примечание. Взамен ГОСТ 12.1.005-76 Постановлением Госстандарта СССР от с N 3388 с 1 января 1989 года введен в действие ГОСТ 12.1.005-88. | |
4.2. Расчетные параметры воздуха в рабочей зоне помещений аэровокзалов принимаются по ГОСТ 12.01.005-76 "Воздух рабочей зоны. Общие санитарно-технические требования" для легкой категории работ, если нет специальных требований в задании на проектирование ОВК.
4.3. В операционных зонах, зонах ожидания и зоне выдачи багажа следует принимать комбинированную систему отопления: центральное водяное отопление с местными нагревательными приборами и воздушное отопление, совмещенное с вентиляцией или кондиционированием воздуха.
В помещении комплектования багажа следует принимать воздушное отопление с помощью тепловых завес и воздуха, поступающего из зоны выдачи багажа.
В остальных помещениях следует применять центральное водяное отопление с местными нагревательными приборами.
Примечание. Для аэровокзалов, возводимых в районах с расчетной температурой наружного воздуха -5 °C и выше (расчетные параметры Б), в операционных зонах, зонах ожидания, выдачи и комплектования багажа следует предусматривать воздушное отопление, совмещенное с вентиляцией или кондиционированием воздуха. В остальных помещениях - местное отопление с помощью электрических нагревательных приборов заводского изготовления или, при обосновании, центральное водяное отопление с местными нагревательными приборами.
4.4. Системы водяного отопления с местными нагревательными приборами следует применять двухтрубные, с нижней разводкой, тупиковые или с попутным движением теплоносителя. Попутное движение теплоносителя в подающей и обратной магистралях следует предусматривать, если расстояние между первым и последним стояком одной циркуляционной ветви равно или превышает 75 м.
4.5. Присоединение систем водяного отопления к тепловым сетям следует принимать в зависимости от располагаемого давления в трубопроводах тепловой сети на вводе в здание.
4.6. В качестве нагревательных приборов следует применять приборы, имеющие большую теплоотдачу на 1 м длины прибора (например, конвекторы типов "Комфорт-20", "Ритм"). Нагревательные приборы должны устанавливаться открыто.
Примечание. Укрытие нагревательных приборов допускается только при соответствующем обосновании, при этом теплоотдача приборов не должна уменьшаться более чем на 15%.
4.7. Температура на поверхности нагревательных приборов не должна превышать 95 °C во всех помещениях аэровокзала.
4.8. Нагревательные приборы следует размещать у наружных стен под окнами. При наличии в аэровокзале витражей нагревательные приборы следует располагать по всей длине светового проема.
4.9. Прокладку магистральных трубопроводов отопления и теплоснабжения калориферов следует предусматривать: в зданиях с подвалом - открыто под потолком подвала; в зданиях без подвала - под полом первого этажа, в каналах. При прокладке трубопроводов в каналах предусматривать съемные плиты в местах установки арматуры, неподвижных опор и в углах поворота каналов, но не менее чем через 30 м.
4.10. В помещениях тепловых пунктов или узлов ввода теплосети следует предусматривать установку ручных насосов для опорожнения трубопроводов систем отопления.
4.11. Мощность системы отопления должна полностью компенсировать теплопотери через наружные ограждения для стационарных условий, при этом теплопоступления от людей, солнечной радиации и электрического освещения не учитываются.
4.12. Расчет теплопотерь на стадии рабочих чертежей производить, руководствуясь главой СНиП "Строительная теплотехника". Расчет теплопотерь на стадии технического проекта производить по укрупненным измерителям. Тепловую характеристику следует определять по формуле

, (15)
где g - удельная тепловая характеристика здания, Вт/м3 x °C;
P - периметр здания, м;
S - площадь застройки, м2;

- коэффициент остекления, отношение площади остекления к площади наружных стен;

,

,

,

- средние коэффициенты теплопередачи соответственно стен, окон, потолка, пола, Вт/м2 x °C;
V - объем здания, м3.
Примечание. Площадь застройки, объем здания и коэффициент остекления принимать по строительной части проекта. Периметр здания определять на уровне земли.
4.13. Температуру приточного воздуха при воздушном отоплении, совмещенном с вентиляцией или кондиционированием воздуха, следует определять по формуле

, (16)
где

- расчетная температура внутреннего воздуха, °C;

- теплопотери здания через наружные ограждения, кВт;

- мощность системы водяного отопления с местными нагревательными приборами, кВт;
c - удельная теплоемкость воздуха, c = 1,01 кДж/кг x °C;

- количество приточного воздуха, кг/с.
4.14. Воздушно-тепловые завесы у входных дверей в аэровокзалы, у ворот и технологических проемов помещений комплектации багажа следует предусматривать при расчетной температуре наружного воздуха в районе строительства -5 °C или ниже (параметры Б).
Воздушно-тепловые завесы следует рассчитывать так, чтобы в зоне дверей, ворот и технологических проемов температура воздуха во время их открывания не опускалась ниже 16 °C.
Температуру воздуха, подаваемого воздушно-тепловыми завесами, следует принимать 45 °C. Скорость выхода воздуха из щелей воздушно-тепловых завес принимать не более 6 м/с у входных дверей и не более 15 м/с у ворот и технологических проемов.
| | ИС МЕГАНОРМ: примечание. Взамен ГОСТ 12.1.005-76 Постановлением Госстандарта СССР от с N 3388 с 1 января 1989 года введен в действие ГОСТ 12.1.005-88. | |
4.15. Во всех помещениях аэровокзала для обеспечения метеорологических условий, установленных ГОСТ 12.1.005-76 и технологическими нормами, следует предусматривать общеобменную и местную приточно-вытяжную вентиляцию с механическим и естественным побуждением. Кондиционирование воздуха следует проектировать в тех случаях, если требуемые метеорологические условия не могут быть обеспечены вентиляцией с механическим побуждением, в том числе с испарительным охлаждением воздуха.
4.16. Количество воздуха, подаваемого в помещения для обеспечения требуемых условий воздушной среды, следует определять по следующим формулам:
при расчете по избыткам явного тепла

, (17)
при расчете с избытком полного тепла

, (18)
где

- количество воздуха, кг/с;

,

- избытки явного и полного тепла, кВт;

,

,

,

, - температура, °C, и теплосодержание (энтальпия), кДж/кг, соответственно приточного и уходящего из помещения воздуха.
4.17. Температуру уходящего воздуха при расположении вытяжных или рециркуляционных решеток выше рабочей зоны для теплого периода года следует определять по формуле

, (19)
где

- расчетная температура воздуха в рабочей зоне помещения, °C;
h - расстояние от пола до центра вытяжных или рециркуляционных решеток, м;

- среднее увеличение (градиент) температуры внутреннего воздуха по высоте помещения, °C/м.
Примечание. Градиент температуры

принимать в зависимости от удельных избытков явного тепла g:
при g < 40 Вт/м3

,
при g = 40 - 80 Вт/м3

,
при g > 80 Вт/м3

.
4.18. При определении избыточного тепла следует учитывать теплопоступление от людей, солнечной радиации, оборудования и электрического освещения. Теплопоступления от людей следует принимать по
Приложению 5, от солнечной радиации - по
Приложению 6.
Теплопоступления от оборудования в горячих цехах предприятий общественного питания следует определять, руководствуясь "Рекомендациями по расчету систем вентиляции и кондиционирования воздуха в горячих цехах предприятий общественного питания", разработанными ЦНИИИЭП инженерного оборудования.
Теплопоступления от электрического освещения следует принимать по данным электротехнической части проекта.
4.19. Количество воздуха, подаваемого в помещения, не имеющие теплоизбытков или других вредностей, следует определять по кратностям воздухообмена, приведенным в
Приложении 7.
4.20. Подачу приточного воздуха, как правило, следует производить в зоны и помещения с постоянным пребыванием людей через отверстия воздухораспределителей, расположенных выше рабочей зоны.
В качестве воздухораспределителей, как правило, следует принимать: при раздаче вертикальными струями - эжекционные потолочные типа ВЭПв (серия 1.494-20); двухструйные шестидиффузорные типа ВДШ (серия 4.904-29); двухструйные с перфорированным диском типа ВДПМ (серия 4.904-53); потолочные двухструйные, универсальные типа ВДУМ (серия 1.494-19); при раздаче горизонтальными струями - эжекционные пристенные типов ВЭП (серия 1.494-5) и ВПЭП (серия 1.494-18); малогабаритные эжекционные панели типа МЭП (серия 1.494-40); воздухоприточные решетки типа РР (серия 1.494-8) и др.
4.21. Температуру и скорость выхода воздуха из воздухораспределителей следует определять расчетом, с тем чтобы в рабочей зоне были обеспечены нормируемые метеорологические условия при наименьших объемах приточного воздуха и наименьшем числе воздухораспределителей. При определении температуры приточного воздуха необходимо учитывать его нагрев в вентиляторе и воздуховодах на 1 °C.
4.22. Количество воздуха, удаляемого из помещений, следует принимать в размере 90% от количества приточного воздуха.
Удаление воздуха из помещений, воздухообмен в которых определен расчетом, следует производить сосредоточенно из верхней зоны. Удаление воздуха из помещений, воздухообмен в которых определен по кратностям, следует производить путем выдавливания в коридор, если площадь помещения меньше 35 м2, и непосредственно из верхней зоны помещения по воздухоотводам, если площадь помещения 35 м2 и более.
4.23. Рециркуляцию воздуха следует применять в операционных зонах, зонах ожидания, зоне выдачи багажа и торговых залах предприятий общественного питания. Централизованная рециркуляция воздуха в служебных и административных помещениях не допускается.
4.24. При применении рециркуляции минимальное количество наружного воздуха должно составлять 70 кг/ч на одного человека, но не менее 20% от общего количества воздуха.
4.25. Для систем кондиционирования воздуха следует применять рециркуляцию с переменным расходом воздуха в течение года. В зависимости от параметров наружного воздуха количество рециркуляционного воздуха должно меняться от 0 до 80%, а наружного соответственно от 100 до 20%.
4.26. Для осуществления рециркуляции с переменным расходом воздуха следует предусматривать самостоятельный вентилятор, на выбросном воздуховоде этого вентилятора следует устанавливать клапан с электрическим приводом, который необходимо блокировать с рециркуляционным клапаном кондиционера.
4.27. Общеобменную вентиляцию или кондиционирование воздуха в помещениях или зонах аэровокзала, не имеющих естественного проветривания, следует проектировать не менее чем от двух приточных установок, обеспечивающих при выходе из строя одной из них производительность не менее 50% расчетного воздухообмена.
При осуществлении общеобменной вентиляции или кондиционировании воздуха в помещениях или зонах аэровокзала, не имеющих естественного проветривания, от одной приточной установки следует предусматривать дополнительно резервный вентилятор, автоматически включающийся при остановке основного вентилятора, или соединить коллектором приточную установку данного помещения или зоны с приточной установкой другого помещения или зоны для обеспечения не менее 50% требуемого воздухообмена при остановке вентилятора основной системы.
Если эти приточные установки предназначены также и для воздушного отопления, то при выходе из строя одной из них необходимо, чтобы производительность оставшейся установки по теплу была достаточной для обеспечения в помещениях заданной температуры в холодный период года (при расчетных параметрах Б).
4.28. Воздухозаборные устройства систем приточной вентиляции и кондиционирования воздуха следует размещать в стенах здания аэровокзала на высоте не менее 2 м от земли.
При размещении воздухозаборных устройств отдельно от здания аэровокзала, в зеленой зоне, расстояние от земли до низа проема следует принимать не менее 1 м.
При размещении воздухозаборных устройств на плоских кровлях и кровлях с уклоном не более 25% на расстоянии более 20 м от наружных стен низ проема следует располагать на высоте не менее 3 м от кровли. При расстоянии менее 20 м от наружных стен низ проема воздухозабора следует располагать на высоте не менее 2 м от кровли.
4.29. Выброс воздуха, удаляемого системами общеобменной вытяжной вентиляции с механическим побуждением в атмосферу, допускается предусматривать через проемы в наружных стенах, если в воздухе не содержатся вредные или неприятно пахнущие вещества. В этом случае при размещении воздухоприемных и выбросных проемов на одном уровне расстояние между ними следует принимать не менее 10 м.
Выброс воздуха, содержащего вредные или неприятно пахнущие вещества (например, из горячих цехов столовых, ресторанов, медпунктов, туалетов и др.) производить через шахты, выведенные выше кровли здания аэровокзала.
4.30. В помещениях вентиляционных камер необходимо предусматривать передвижные или стационарные подъемно-транспортные средства (блоки, тали, монорельсы) для проведения ремонтных работ вентиляционно-отопительного оборудования, если вес единицы оборудования или части его превышает 50 кг.
4.31. В помещениях вентиляционных камер, предназначенных для размещения кондиционеров или приточных установок, необходимо предусматривать гидроизоляцию полов и установку канализационных трапов отвода воды.
4.32. Категории производств по взрывопожарной опасности в производственных и складских помещениях аэровокзалов определяются в технологической части проекта и должны быть приведены в задании на проектирование ОВК.
5. ЭЛЕКТРОСНАБЖЕНИЕ, ЭЛЕКТРООБОРУДОВАНИЕ И ЭЛЕКТРООСВЕЩЕНИЕ
5.1. Электротехническую часть аэровокзала следует проектировать в соответствии со следующими нормативными материалами:
| | ИС МЕГАНОРМ: примечание. В официальном тексте документа, видимо, допущена опечатка: строительные нормы и правила имеют номер СНиП II-85-80, а не СНиП 85-80. | |
"Правила устройства электроустановок"
(ПУЭ-76); "Вокзалы. Нормы проектирования"
(СНиП 85-80); "Нормы технологического проектирования аэровокзалов аэропортов" (ВНТП 3-81); "Естественное и искусственное освещение"
(СНиП II-4-79); "Электротехнические устройства. Правила производства и приемки работ" (СНиП III-33-76); "Наставление по аэродромной службе" (НАС ГА-71); "Инструкция по проектированию и устройству молниезащиты зданий и сооружений"
(СН 305-77); "Инструкция по световой маскировке населенных пунктов и объектов народного хозяйства" (СН 507-78), а также в соответствии с указаниями настоящего Руководства.
5.2. Положения настоящей главы Руководства не распространяются на проектирование электропривода и электрооборудования специальных электротехнических установок (лифты, подъемники, кинотехнологическое оборудование, пожарные насосы, вычислительные устройства и т.п.), а также на проектирование устройств автоматизации санитарно-технических, противопожарных и других технологических установок аэровокзала.
5.3. Применяемые в электротехнических установках оборудование и материалы должны соответствовать требованиям ГОСТа, а также техническим условиям, утвержденным в установленном порядке. При необходимости применения кабелей и проводов с медными жилами, кабелей в свинцовых оболочках, медных шин, а также стальных труб выбор должен быть обоснован.
5.4. Конструкция, исполнение, способ установки и класс изоляции электрооборудования должны соответствовать номинальному напряжению сети и условиям окружающей среды.
5.5. В проектах электрооборудования аэровокзала должно быть предусмотрено индустриальное выполнение электромонтажных работ, а также обеспечены удобство и безопасность обслуживания электроустановок, снижение расхода энергоемкости, экономия труб и кабельной продукции, требования технической эстетики.
Электроснабжение
5.6. Электроприемники аэровокзала по степени обеспечения надежности следует относить:
- к первой категории - средства пожаротушения, охранную и пожарную сигнализацию, средства досмотра пассажиров, заградительные огни, средства связи и оповещения, визуальную информацию;
- ко второй категории - осветительные установки рабочего освещения помещения аэровокзала, освещение аванперрона, телевизионные установки, электрооборудование пищеблока, средства механизации и транспортных устройств, установки для техобслуживания самолетов на перроне;
- к третьей категории - устройства санитарно-технической вентиляции и кондиционирования воздуха, рекламное освещение, электроприемники бытовые и хозяйственного назначения.
Светильники аварийного и эвакуационного освещения должны присоединяться к источнику, независимому по отношению к источнику, питающему рабочее освещение. Светильники эвакуационного освещения допускается присоединять к сети, независимой от сети рабочего освещения, начиная от щита подстанции.
Построение схем электроснабжения и электрооборудования аэровокзала в зависимости от категории надежности электроснабжения должно соответствовать требованиям правил устройств электроустановок
(ПУЭ).
5.7. В аэровокзале разрешается размещать встроенные и пристроенные подстанции, в том числе комплектные.
Встроенные трансформаторные подстанции должны, как правило, размещаться на первых или технических этажах зданий. Допускается размещение встроенных подстанций с трансформаторами сухими и с негорючим наполнением в подвалах, дебаркадерах и подземном пространстве при условии:
- исключения возможности затопления подстанции грунтовыми и паводковыми водами, а также при аварии систем канализации, водяного отопления и водоснабжения;
- обеспечения подъема трансформаторов на поверхность земли с помощью передвижных или стационарных механизмов;
- устройства дороги для подъезда автомашин к месту расположения подстанции или к месту подъема трансформаторов.
Трансформаторы сухие и с негорючим наполнением допускается устанавливать на верхних этажах зданий при условии устройства грузовых лифтов для их транспортировки.
5.8. На встроенных подстанциях следует устанавливать не более двух масляных трансформаторов мощностью до 1000 кВА каждый. Мощность трансформаторов сухих и с негорючим наполнением не ограничивается.
Встроенные подстанции следует, как правило, совмещать в одном строительном объеме с абонентским вводно-распределительным устройством или размещать их в смежных помещениях.
В одном общем помещении с распределительными устройствами напряжением до 1000 В и выше допускается установка двух масляных трансформаторов мощностью до 400 кВА, отделенных один от другого и от остальных помещений несгораемой перегородкой.
5.9. Компенсация реактивной мощности в аэровокзалах должна предусматриваться в соответствии с требованиями "
Правил пользования электрической энергией" и "Указаний по снабжению потребителей электроэнергии реактивной мощностью".
При расчетной активной мощности 250 кВт и менее применение устройств по компенсации активной мощности не требуется.
Определение расчетных электрических нагрузок
5.10. Коэффициенты спроса для расчета групповой сети рабочего и аварийного освещения зданий, а также иллюминационного освещения и реклам следует принимать равными 1.
5.11. Коэффициенты спроса для расчета нагрузок рабочего освещения в питающей сети и на вводах в аэровокзал следует принимать для питающих сетей 0,9; для вводов 0,8.
5.12. Коэффициенты спроса для расчета электрических нагрузок на вводах и в питающих линиях силовых электрических сетей аэровокзала следует принимать по ВНТП 3-81.
Уровни и регулирование напряжений
5.13. Питание стационарных силовых электроприемников и светильников общего освещения аэровокзалов следует, как правило, осуществлять от общих трехфазных трансформаторов с глухозаземленной нейтралью. Напряжение электрической сети для питания указанных электроприемников следует принимать 380/220 В.
5.14. Рабочее напряжение цепей управления и автоматизации должно быть не выше 440 В постоянного тока и 400 В переменного тока.
Цепи, питающие катушки магнитных пускателей (контакторов), должны включаться на линейное напряжение. Включение их на фазное напряжение допускается по технологическим требованиям.
5.15. Отклонение напряжения от номинального на зажимах силовых электроприемников и наиболее удаленных ламп электрического освещения не должно превышать величин, указанных в табл. 4.
Таблица 4
──────────────────────────────────────────────────┬────────────────────────
Потребитель │ Предельно допустимое
│отклонение напряжения, %
──────────────────────────────────────────────────┼────────────────────────
1 │ 2
──────────────────────────────────────────────────┼────────────────────────
Рабочее освещение │ от +5 до -2,5
Аварийное освещение │ +/- 5
Сети освещения при аварийном режиме │ -12
Сети напряжения 12 - 42 В, считая от источника │ -10
питания (например понизительного трансформатора) │
Электродвигатели: │
длительная работа в установившемся режиме │ +/- 5
<*>
длительная работа в установившемся режиме │ -10 <*>
для отдельных, особо удаленных электродвигателей │
при частых пусках │ -10 <*>
при редких пусках │ -15 <*>
--------------------------------
<*> Приведенная величина отклонения напряжения может быть увеличена в зависимости от начального момента приводимого механизма пускового и максимального моментов электродвигателей (приводятся в каталогах), если это подтверждается соответствующим расчетом.
5.16. Для поддержания напряжения на определенном уровне следует широко применять трансформаторы с автоматическим регулированием напряжения под нагрузкой с диапазоном от 15 до 20%. Кроме того, должно быть рассмотрено также применение следующих местных средств регулирования напряжения:
- вольтодобавочных трансформаторов;
- ручного или автоматического регулирования мощности батарей конденсаторов;
- связей на напряжении 380 В между подстанциями, позволяющих отключать часть трансформаторов в режиме наименьших нагрузок.
Электрооборудование
Схемы электрических сетей. Питающие сети
5.17. Схемы электрических сетей должны быть просты, экономичны и строиться исходя из требований, предъявляемых к надежности электроснабжения электроприемников аэровокзала.
5.18. На вводе питающей линии в здание должно быть установлено вводное или вводно-распределительное устройство (одно или несколько). Число этих устройств определяется проектом.
Допускается объединение щита низшего напряжения встроенной в аэровокзал трансформаторной подстанции и вводно-распределительного устройства.
5.19. На вводно-распределительных устройствах и распределительных щитах для потребителей, обособленных в административно-хозяйственном отношении (торговые, коммунальные предприятия, отделения связи, сберегательные кассы и др.), должны устанавливаться отдельные аппараты управления независимо от наличия таких же аппаратов на отходящих питающих линиях или на ответвлениях от них.
5.20. На вводах в распределительные пункты или групповые щитки должны устанавливаться аппараты управления. Если это признано целесообразным по эксплуатационным условиям, могут устанавливаться аппараты, совмещающие функции управления и защиты (например, автоматические выключатели), при этом селективность действия защиты этого аппарата не обязательна.
Аппараты управления допускается не устанавливать на вводах в щитки или в распределительные пункты, присоединенные к одной питающей линии, при их числе до трех включительно.
5.21. Аппараты защиты должны устанавливаться на каждой линии, отходящей от распределительного щита, пункта или щитка.
5.22. Питание силовых электроприемников и рабочего освещения должно осуществляться по самостоятельным питающим линиям и, как правило, от разных вводов. Допускается осуществлять питание силовых электроприемников и рабочего освещения от общих вводов для обеспечения равномерной загрузки вводов и трансформаторных подстанций.
5.23. Для распределения электроэнергии к силовым распределительным пунктам и групповым щиткам сети электрического освещения следует применять магистральную схему питающих сетей.
Радиальные схемы питающих линий следует, как правило, выполнять для присоединения мощных электроприемников и встроенных обособленных объектов.
5.24. Электродвигатели рабочего и резервного пожарных насосов, а также устройства противопожарной автоматики и сигнализации должны питаться отдельными линиями от подстанции или от вводно-распределительного устройства.
Допускается осуществлять питание устройств пожарной сигнализации от щитов аварийного освещения, если они обеспечены питанием по I категории, или от щитов рабочего и аварийного освещения с установкой АВР перед устройствами.
У каждого пожарного крана с недостаточным напором воды должны устанавливаться кнопки включения электродвигателей пожарных насосов или на линиях пожарного водопровода, не имеющих ответвлений к водоразборным кранам, должны быть установлены струйные реле или реле давления, обеспечивающие автоматический запуск электродвигателей пожарных насосов при открывании одного из пожарных кранов.
При дистанционном управлении электродвигателями пожарных насосов в местах дистанционного управления должны устанавливаться только кнопки включения, а непосредственно у насосов - кнопки включения и отключения.
Рабочий и резервный пожарные насосы должны иметь управление, при котором осуществляется автоматический запуск резервного пожарного насоса при отказе рабочего насоса, а также при действующем рабочем насосе, но при недостаточном давлении воды в системе противопожарного водопровода.
При отсутствии резерва электродвигатель пожарного насоса должен питаться двумя линиями, одна из которых должна быть присоединена непосредственно к щиту подстанции или вводно-распределительному устройству. Переключение одной линии на другую следует осуществлять автоматически.
5.25. Питание электроэнергией пожарных насосов, а также устройств противопожарной автоматики и сигнализации I категории по надежности электроснабжения должно быть предусмотрено от двух независимых источников электроснабжения с устройством АВР. Линии от каждого источника по возможности прокладывать по разным трассам.
Прокладка электрических сетей, питающих пожарные насосы и системы противопожарной автоматики и сигнализации, в общих каналах, коробах и трубах с другими электрическими сетями здания не допускается.
Силовые распределительные сети
5.26. Силовые распределительные пункты, щиты и щитки следует располагать в центре нагрузок или с некоторым смещением от центра нагрузок в сторону питания, как правило, на тех же этажах, где размещены присоединенные к ним электроприемники.
Присоединяемые к силовым распределительным пунктам, щитам и щиткам силовые электроприемники должны, как правило, объединяться в группы с учетом их технологического назначения.
5.27. На распределительных пунктах, щитах и щитках в пищеблоках следует устанавливать общий отключающий аппарат, доступный для обслуживания персоналом пищеблока.
5.28. В силовых распределительных сетях пищеблока следует соединить в цепочку не более трех-четырех электроприемников мощностью до 3 кВт и двух мощностью до 5 кВт.
Число соединяемых в цепочку кассовых аппаратов не ограничивается.
Соединение в одну цепочку электроприемников холодильного и технологического оборудования не допускается. Соединение в одну цепочку теплового и механического оборудования допускается как исключение при невозможности принять другое решение.
5.29. Присоединение силовых электроприемников холодильного оборудования предприятий общественного питания, а также присоединение силовых электроприемников технологического (теплового и механического) оборудования предприятий общественного питания должно выполняться по следующим схемам: радиальным, в цепочку с помощью отпаечных коробок с клеммами, в цепочку с помощью штепсельных соединений в защищенном исполнении с заземляющим контактом без разрыва проводов.
Электроприемники, соединяемые в цепочку, должны быть равными или близкими по установленной мощности.
5.30. Аппараты управления силовыми электроприемниками в зависимости от местных условий должны устанавливаться рассредоточенно или группами вблизи управляемых механизмов; в шкафах станций управления, размещаемых возможно ближе к месту расположения управляемых механизмов.
Допускается устанавливать аппараты управления на щитах, располагаемых в изолированных электротехнических помещениях; в навесных или напольных шкафах специальной конструкции, устанавливаемых в нишах строительных элементов здания в местах, удобных для обслуживания.
5.31. Аппараты управления силовыми электроприемниками должны отключать от сети все проводники, находящиеся под напряжением.
При дистанционном управлении должны предусматриваться аппараты, исключающие возможность пуска агрегата или включения линии питания во время их ремонта или осмотра, а также устройства сигнализации для предупреждения персонала о включении агрегата. Условия, при которых не требуется установка аппаратов аварийного отключения и сигнализации, приведены в
пп. V-3-31 и
V-3-40 ПУЭ.
5.32. Питание штепсельных розеток для подключения электрических уборочных машин должно осуществляться от силовой сети. Допускается подключение уборочных машин мощностью от 2 кВт к сети электрического освещения.
Тип штепсельной розетки выбирается по условиям безопасного пользования машинами в зависимости от характеристики помещений
(Приложение 8), в которых устанавливаются розетки и используются уборочные машины.
Распределительные сети освещения
5.33. Групповые щитки следует располагать по возможности в центре нагрузок или с некоторым смещением в сторону питания.
5.34. Питание штепсельных розеток местного освещения следует, как правило, выделять в отдельные групповые линии, если это не связано с существенным увеличением протяженности сети.
5.35. Выключатели должны устанавливаться только на фазных проводах, за исключением случаев, предусмотренных соответствующей главой
ПУЭ для взрывоопасных помещений класса B-I.
При питании многоламповых светильников четырех- или трехпроводными линиями следует предусматривать одновременное отключение всех фазных проводов.
Защита внутренних электрических сетей напряжением до 1000 В
Выбор аппаратов защиты и их размещение
5.36. Все электрические сети аэровокзалов должны иметь защиту от токов короткого замыкания с наименьшим временем отключения. Защита должна обеспечивать отключение аварийного участка при однофазном замыкании в конце защищаемой линии. Кратности токов однофазного короткого замыкания должны быть не ниже указанных в
ПУЭ.
5.37. В аэровокзалах защиту от перегрузки должны иметь:
- сети внутри помещений, выполненные открыто проложенными незащищенными изолированными проводниками с горючей оболочкой;
- осветительные сети во всех помещениях независимо от способа прокладки;
- сети всех видов во взрывоопасных помещениях;
- силовые сети в случаях, когда по условиям технологического процесса или по режиму работы сети может возникать длительная перегрузка проводов и кабелей.
5.38. Защита электрических сетей должна осуществляться предохранителями и автоматическими выключателями.
Допускается защита различных участков одной сети предохранителями и автоматами. При этом предохранители следует устанавливать на головных участках сети.
5.39. Номинальные токи плавких вставок предохранителей и токи установок автоматических выключателей должны быть выбраны таким образом, чтобы обеспечивалась по возможности избирательная работа аппаратов защиты. Номинальные токи защитных аппаратов (плавких вставок предохранителей или тепловых расцепителей автоматических выключателей) следует принимать на две ступени ниже по направлению энергии, чем предыдущего аппарата, если это не приводит к увеличению сечения проводов. Разница в номинальных токах аппаратов защиты не менее чем на одну ступень является обязательной.
При выборе селективных аппаратов должна учитываться отстройка по времени, создаваемая часовым механизмом.
5.40. Автоматические выключатели, имеющие только электромагнитный расцепитель мгновенного действия (отсечку), во внутренних сетях аэровокзала применять, как правило, не следует.
5.41. Номинальные токи плавких вставок предохранителей и нерегулируемых расцепителей, а также токи трогания (срабатывания) регулируемых расцепителей автоматических выключателей следует выбирать наименьшими по расчетным токам цепи. При этом аппараты защиты не должны отключать установку при кратковременных перегрузках, которые имеют место в условиях нормальной эксплуатации (например, при пуске короткозамкнутых электродвигателей).
5.42. Аппараты защиты для групповой осветительной сети, в которой предусматривается одновременное включение группы ламп накаливания каждая мощностью 500 Вт и выше, должны выбираться с учетом тока включения (пусковых токов) группы ламп.
5.43. Аппараты защиты при устройстве взаимного резервирования линий должны выбираться с учетом нагрузок аварийного режима, возникающего в линиях.
5.44. Аппараты защиты должны устанавливаться непосредственно в местах присоединения защищаемых проводников к питающей линии. Допускается в случае необходимости принимать длину участка между питающей линией и защитными аппаратами ответвления до 6 м. Проводники на этом участке могут иметь сечение меньше сечения питающей линии (но не менее сечения проводников после защитного аппарата) при условии, что эти проводники должны быть проложены в трубах или иметь негорючую оболочку.
5.45. Аппараты защиты допускается не устанавливать, если это признается целесообразным по условиям эксплуатации:
- на ответвлении проводников от шин щита к аппаратам, установленным на том же щите, при этом проводники должны выбираться по расчетному току цепи;
- в местах снижения сечения питающей линии по ее длине и на ответвлениях от нее, если защита предыдущего участка линии защищает участок со сниженным сечением или если незащищенные участки линии или ответвления от нее выполнены проводниками сечением не менее половины сечения защищенного участка линии;
- на ответвлении от питающей линии к электроприемникам мощностью до 2 кВт, если питающая их линия защищена аппаратом с уставкой не более 20 А;
- на ответвлении от питающей линии проводников цепей измерения, управления и сигнализации, если эти проводники не выходят за пределы соответствующих машин или щита либо эти проводники выходят за их пределы, но электропроводка выполнена в трубах или имеет негорючую оболочку.
Выбор сечения проводов
5.46. Сечения проводов выбираются в соответствии с
ПУЭ по условиям допустимого нагрева, отклонений и колебаний напряжения, соответствия принятых сечений токам аппаратов защиты и обеспечения правильной работы защиты.
5.47. В питающих и групповых линиях газоразрядных ламп нулевые проводники следует выбирать по рабочему току наиболее нагруженной фазы.
При прокладке трехфазных четырехпроводных линий для питания газоразрядных ламп в трубах, монтируемых скрыто и открыто, допустимую токовую нагрузку на провода следует принимать как для четырех проводов в одной трубе.
В трехфазных питающих и групповых линиях ламп накаливания при равномерной нагрузке фаз и применения трехфазных аппаратов управления освещением допустимую токовую нагрузку на фазные провода следует принимать как для трех проводов в одной трубе, при этом сечение нулевого провода выбирается близким к половине сечения фазного провода.
Токи короткого замыкания
5.48. Вводно-распределительные устройства, щиты и пункты для обеспечения динамической устойчивости шин, изоляторов и других опорных конструкций должны проверяться по режиму короткого замыкания.
В линиях питания электроприемников I категории (по надежности электроснабжения) по режиму короткого замыкания должны также проверяться аппараты защиты и управления.
5.49. Расчет токов короткого замыкания должен производиться из условия, что подведенное к трансформатору напряжение неизменно и равно номинальному значению.
5.50. Расчет токов короткого замыкания следует вести с учетом активных и индуктивных сопротивлений всех элементов короткозамкнутой цепи, а также всех переходных сопротивлений контактов этой цепи (болтовые соединения на шинах, зажимы на вводах и выводах аппаратов, разъемные контакты аппаратов и контакты в месте короткого замыкания).
При отсутствии достоверных данных о полном числе контактов и их переходных сопротивлениях в расчетах токов короткого замыкания следует учитывать активные сопротивления всех контактов путем введения следующих величин: для распределительных щитов на подстанциях - 0,015 Ом; вводно-распределительных устройств - 0,02 Ом; распределительных пунктов, щитов, щитков - 0,025 Ом.
5.51. Расчетные значения коэффициентов для определения ударного тока короткого замыкания следует принимать: на шинах низкого напряжения трансформаторов - 1,3; на шинах вводно-распределительных устройств - 1,1; в удаленных точках сети - 1.
5.52. Элементы цепей, защищенных плавкими предохранителями с токоограничивающим действием, следует проверять на динамическую устойчивость по наибольшему мгновенному значению тока короткого замыкания, пропускаемого предохранителем.
Учет электроэнергии. Измерительные приборы
5.53. Счетчики активной энергии для расчетов с энергосистемой следует устанавливать на вводах в аэровокзал.
По согласованию с энергоснабжающей организацией счетчики могут устанавливаться на стороне высокого напряжения трансформаторной подстанции в том случае, когда подстанция находится в ведении и обслуживании абонента.
5.54. Счетчики реактивной энергии на вводах в аэровокзале следует устанавливать в случаях, когда проектом предусматривается установка устройств по компенсации реактивной мощности в соответствии с требованиями
п. 5.9 настоящего Руководства.
5.55. Расчетные счетчики активной энергии в аэровокзале должны устанавливаться раздельно для каждого самостоятельного абонента (по требованию заказчика).
Вводно-распределительные устройства с приборами учета разных абонентов допускается устанавливать в одном общем помещении.
5.56. Приборы учета электроэнергии должны, как правило, располагаться на вводно-распределительных устройствах.
При установке приборов учета на отдельных панелях в помещении электрощитовых они должны располагаться на таком расстоянии от вводно-распределительного устройства, при котором обеспечивается необходимая точность показания счетчика для расчетов с энергоснабжающей организацией.
Счетчики должны располагаться на высоте от пола 1,4 - 1,6 м до коробки зажимов счетчика, а при установке в закрытых щитах, шкафах и закрытых нишах на высоте 0,8 - 1,7 м.
Вводно-распределительные устройства,
распределительные щиты, пункты и щитки
5.57. Вводные и вводно-распределительные устройства, а также главные распределительные шиты следует, как правило, устанавливать в запирающихся электрощитовых помещениях, расположенных не ниже первого этажа здания. Допускается, как исключение, размещать электрощитовые помещения в сухих подвалах и технических подпольях при условии, что эти помещения выделены несгораемыми перегородками с пределом огнестойкости не менее 1 ч.
В районах, подверженных затоплению, вводные и вводно-распределительные устройства должны устанавливаться выше уровня затопления. Допускается вводные и вводно-распределительные устройства и главные распределительные щиты размещать не в специальных помещениях при соблюдении следующих требований:
- устройства и щиты должны быть расположены в удобных и всегда доступных для обслуживания местах (на лестничных клетках, в отапливаемых тамбурах, вестибюлях, коридорах);
- аппараты защиты и управления должны устанавливаться в металлическом шкафу или в нише стены, снабженными запирающимися дверцами; рукоятки аппаратов управления не должны выводиться наружу или должны быть съемными.
5.58. Электрощитовые помещения, а также вводные и вводно-распределительные устройства и главные распределительные щиты не допускается располагать непосредственно под уборными, ванными комнатами, душевыми, кухнями пищеблоков, моечными и другими помещениями, связанными с мокрым технологическим процессом, а также размещать рядом с помещениями, в которых уровень шума ограничивается нормами.
5.59. Прокладка через электрощитовые помещения трубопроводов систем водоснабжения, отопления и канализации, а также вентиляционных и других коробов разрешается, как исключение, при условии, что они не имеют в пределах щитовых помещений ответвлений, а также люков, задвижек, фланцев, ревизий, вентилей и т.п. Прокладка через щитовые помещения газопроводов и трубопроводов с горючими жидкостями не допускается.
5.60. Распределительные пункты и групповые щитки следует, как правило, устанавливать в нишах стен и запирающихся шкафах. При наличии специальных шахт для прокладки питающих сетей распределительные пункты и групповые щитки допускается устанавливать в этих шахтах с устройством запирающихся входов в шахты с целью доступа к щиткам и пунктам только обслуживающего персонала.
5.61. Вводно-распределительные устройства, щиты и щитки, аппараты управления и учета, штепсельные розетки должны быть по возможности удалены от заземленных частей трубопроводов систем водоснабжения, отопления, канализации и газоснабжения и устанавливаться от них на расстояние не менее 0,5 м.
5.62. Установка распределительных пунктов, щитов, щитков непосредственно в производственных помещениях пищеблоков, торговых и обеденных залах допускается как исключение при невозможности принять иное решение. При установке их в торговых и обеденных залах они должны размещаться в нишах строительных конструкций с запирающимися дверцами и иметь надлежащее архитектурное оформление.
Устройство внутренних электрических сетей
5.63. Кабельные вводы в здания следует выполнять в асбестоцементных трубах (для безнапорных трубопроводов) диаметром 100 мм на глубине не менее 0,5 м от поверхности земли. Прокладку труб следует выполнять с уклоном в сторону улицы. Допускается на расстоянии до 2 м от здания местное заглубление кабеля до отметки пола подполья или подвала, но не более чем на 2 м от уровня земли. Асбестоцементные трубы для ввода кабеля следует закладывать непосредственно до помещения вводно-распределительного устройства. В одну трубу следует затягивать один кабель. Концы асбестоцементных труб, а также сами трубы при прокладке через стену должны герметизироваться для исключения возможности проникновения в помещения влаги и газа.
5.64. Внутренние электрические сети должны, как правило, выполняться проводами и кабелями с алюминиевыми жилами. Питающие линии допускается выполнять шинопроводами при технико-экономическом обосновании.
5.65. Питающие силовые и осветительные сети следует выполнять сменяемыми: открыто - кабелями, прокладываемыми на лотках и с креплением скобами (в подвалах и технически подпольях); скрыто - кабелями на лотках, прокладываемых в подвесных потолках и шахтах, проводами в винипластовых трубах, прокладываемых в подвесных потолках, в бороздах и в подготовке пола.
Проходы кабелей через перекрытия следует выполнять в отрезках стальных труб с последующей герметизацией.
| | ИС МЕГАНОРМ: примечание. Взамен ГОСТ 10704-76 Постановлением Госстандарта СССР от 15.11.1991 N 1743 с 1 января 1993 года введен в действие ГОСТ 10704-91. | |
5.66. Силовые распределительные сети должны, как правило, выполняться сменяемыми: открыто - небронированными кабелями, а также проводами в коробах, на лотках или в винипластовых трубах; скрыто - в винипластовых трубах, прокладываемых в подготовке пола и в штрабах стен, а также в каналах строительных конструкций (без труб). Допускается при длине распределительной линии до 10 м для исключения перехода с винипластовой трубы на стальную выполнять сеть в подготовке пола в стальных тонкостенных трубах по ГОСТ 10704-76.
5.67. Распределительные сети освещения пассажирских и административных помещений должны выполняться скрытыми и сменяемыми в подвесных потолках из несгораемых или трудносгораемых материалов (проводом в винипластовых трубах, кабелем на лотке), в каналах и пустотах строительных конструкций, а также в подготовке пола следующего этажа (в пластмассовых трубах).
Допускается спуски к выключателям и розеткам выполнять несменяемыми проводом АППВС в слое штукатурки или затирки.
Осветительную сеть вспомогательных помещений - вентиляционных камер, бойлерных, узлов ввода, электрощитовых, помещений МОП - рекомендуется выполнять открытой (например, кабелем АВВГ).
В помещениях с нормальной средой допускается прокладка распределительных сетей освещения в электротехнических плинтусах из трудносгораемых материалов.
5.68. Совместная прокладка в одной трубе, одном рукаве, коробе, пучке, замкнутом канале строительной конструкции здания или на одном лотке допускается:
- всех цепей одного агрегата (например, агрегата по обработке картофеля в пищеблоке);
- силовых и контрольных цепей нескольких машин, панелей, щитов, пультов, связанных единым технологическим процессом;
- цепей, питающих сложный светильник;
- цепей нескольких групп одного вида освещения (рабочего или аварийного);
- осветительных сетей напряжением до 42 В с цепями напряжением до 660 В при условии заключения проводов цепей до 42 В в отдельную изоляционную трубку;
- питающих линий осветительной сети и групповых линий рабочего освещения лестничных клеток, коридоров, вестибюлей (при питании от одного ввода).
5.69. Совместная прокладка взаиморезервируемых силовых и осветительных линий, а также линий рабочего и аварийного освещения не разрешается.
5.70. Электропроводки должны быть защищены от воздействия внешней среды:
- в жарких помещениях, а также в местах с температурой выше 40 °C (например, в помещениях тепловых пунктов, бойлерных) провода и кабели должны иметь теплостойкую изоляцию либо токовые нагрузки должны быть снижены в соответствии с
ПУЭ;
- в сырых и особо сырых помещениях изоляции проводов и изолирующие опоры должны сохранять в должной мере свои изолирующие свойства при действии влаги. Опорные и несущие конструкции должны быть влагостойкими;
- в пыльных помещениях не следует применять способы прокладки, при которых на проводах и кабелях может скапливаться пыль, а очистка электропроводки затруднительна;
- провода и кабели с несветостойкой изоляцией не должны применяться в помещениях, где возможно воздействие на них света.
В местах, где возможны механические повреждения, открыто проложенные провода и кабели должны иметь защитные оболочки или быть проложены в неметаллических трубах, коробах или ограждены.
5.71. Электрооборудование в пожароопасных и взрывоопасных помещениях (например, в книгохранилищах и архивах, складских и торговых залах) должно выполняться в соответствии с требованиями
ПУЭ.
5.72. Выключатели для общего освещения должны устанавливаться на высоте 1,5 м, а в помещениях для пребывания детей - 1,8 м.
5.73. Выключатели для помещений с тяжелыми условиями среды: пожароопасных, сырых, влажных и других, как правило, должны устанавливаться в смежных помещениях с нормальной средой.
Не допускается установка выключателей в душевых и преддушевых, уборных, внутри помещений горячих цехов пищеблоков, кладовых.
5.74. В операционных залах, залах ожидания, вестибюлях, холлах и актовых залах следует предусматривать дистанционное (централизованное) управление освещением. Светоограждение здания аэровокзала и реклама (на здании) должны включаться централизованно и автоматически с помощью фотоэлектронных устройств.
5.75. Управление рабочим, аварийным и дежурным освещением конференц-залов и актовых залов должно осуществляться следующим образом:
- при отсутствии эстрады и киноаппаратной - аппаратами, установленными у входных дверей;
- при наличии только эстрады управление рабочим освещением должно производиться аппаратами, установленными на эстраде, а управление дежурным и аварийным освещением - аппаратами, установленными на эстраде и у входных дверей;
- при наличии эстрады и киноаппаратной управление рабочим освещением должно производиться аппаратами, установленными на эстраде и в киноаппаратной, а управление дежурным и аварийным освещением - аппаратами, установленными на эстраде, в киноаппаратной и у входных дверей. При наличии в зале микшерского пункта управление дежурным и аварийным освещением должно производиться аппаратами, установленными на эстраде, в киноаппаратной, у микшерского пункта и у входных дверей.
5.76. В помещениях пребывания детей штепсельные розетки должны устанавливаться на высоте 1,8 м от пола.
Высота установки штепсельных розеток в основных пассажирских помещениях и ресторанах, барах выбирается удобной для присоединения к ним электрических приборов в зависимости от назначения помещений и оформления интерьера, но не выше чем на 1 м от пола.
5.77. В холодильных камерах в качестве выключателя светильника предусматриваются концевые выключатели.
5.78. Штепсельные розетки с защитным контактом для подключения уборочных машин должны устанавливаться в помещениях, в которых необходима механизированная уборка. Штепсельные розетки следует устанавливать на расстоянии, обеспечивающем возможность включения уборочных машин с питающим проводником длиной до 15 м. Допускается устанавливать одну штепсельную розетку на несколько помещений при условии, что указанная выше длина проводника обеспечивает возможность уборки каждого помещения.
5.79. Установка штепсельных розеток в кладовых не допускается.
5.80. Штепсельные розетки в сети аварийного освещения устанавливать не допускается.
5.81. Штепсельные розетки в санузлах, в ванных комнатах, душевых и преддушевых устанавливать не допускается, за исключением штепсельных розеток в санузлах и ванных комнатах, присоединенных через разделяющий трансформатор.
Заземление и защитные меры безопасности
5.82. Защитное заземление в электроустановках аэровокзалов должно соответствовать требованиям
ПУЭ. При этом следует учитывать следующее:
- в помещениях особо опасных и с повышенной опасностью, например, в горячих и других производственных цехах, холодильных камерах, санузлах, вентиляционных камерах, тепловых пунктах, камерах кондиционирования воздуха, компрессорных насосных станций, машинных отделениях лифтовых установок и других аналогичных помещениях все стационарные и переносные электроприемники, не имеющие двойной изоляции, стальные трубы электропроводки, металлические корпуса щитов, щитков, электрошкафов и т.п. должны быть заземлены (в сети с заземленной нейтралью - занулены), а штепсельные розетки напряжением 220 и 380 В для подключения переносных и передвижных электроприемников должны иметь защитные контакты, подключенные к сети заземления;
- во всех помещениях с подвесными потолками, имеющими металлические конструкции и детали, корпуса светильников, встраиваемых в эти потолки, должны заземляться.
5.83. В электроустановках различных назначений и напряжений для заземления должно применяться одно общее заземляющее устройство. Указанное требование не относится к проектированию заземления технологического оборудования и приборов, выполняемых в технологической части проекта (например, заземление оборудования в вычислительных центрах, кинопроекционных в т.п.).
Электроосвещение
Система освещения
5.84. В аэровокзалах, как правило, следует применять систему общего освещения.
По требованиям зрительной работы и архитектуры допускается применение комбинированного освещения (общее + местное).
5.85. Общее освещение в помещениях аэровокзала должно, как правило, выполняться равномерным. Локализованное освещение следует предусматривать в помещениях по требованию интерьеров и в помещениях, в которых на разных участках выполняются работы различной точности, требующие разных уровней освещенности.
5.86. Способы освещения помещений с повышенными требованиями к архитектурно-художественному оформлению интерьера (операционные залы, залы ожидания, холлы, рестораны и т.п.) должны выбираться светотехником совместно с архитектором или художником-конструктором.
Виды освещения
5.87. Для освещения аэровокзала должны предусматриваться следующие виды освещения: рабочее, аварийное для продолжения работы и эвакуационное.
5.88. Аварийное освещение предусматривается для продолжения работы в случае отказа рабочего освещения. При этом освещенность должна составлять не менее 5% уровня, нормируемого для рабочего освещения при системе общего освещения, но не менее 2 лк. Помещения, где должно быть предусмотрено аварийное освещение, приведены в
Приложении 8.
5.89. Эвакуационное освещение должно устраиваться:
- в основных проходах и на лестницах, служащих для эвакуации людей из помещений, где пребывает одновременно более 50 чел.;
- в помещениях, где одновременно могут находиться более 100 чел. (операционные залы, залы ожидания, ресторан, конференц-залы и т.п.), а также в комнатах матери и ребенка и медпункте независимо от числа лиц, пребывающих там;
- в производственных помещениях, где существует опасность травматизма (вентиляционные камеры, бойлерные площадью более 30 м2, горячие цехи пищеблока и т.п.).
Эвакуационное освещение должно обеспечивать на полу основных проходов и на ступенях лестниц освещенность не менее 0,5 лк.
5.90. Выходы из помещений, рассчитанных на одновременное пребывание более 100 чел., должны иметь световые указатели, присоединенные к сети аварийного освещения.
Аварийное освещение следует выполнять светильниками, отличающимися от светильников рабочего освещения типом или размером, или же на них должны быть нанесены специальные знаки.
5.91. Для дежурного освещения следует, как правило, выделять часть светильников рабочего освещения с питанием их от самостоятельной групповой линии или использовать светильники аварийного освещения.
Для дежурного (ночного) освещения спальных помещений комнаты матери и ребенка, изолятора и медпункта следует применять специальные светильники со стеклом синего цвета и экранирующей решеткой, присоединенные к сети аварийного освещения. При установке этих светильников (вблизи от выхода) на высоте, доступной для детей, должно применяться напряжение не более 42 В.
5.92. Входы в здания, номерные знаки и указатели гидрантов должны освещаться светильниками, присоединенными к сети внутреннего освещения. В случае выполнения указателей гидрантов светящейся краской освещать их не требуется.
5.93. Устройство иллюминации здания, подсвет фасадов и зелени аэровокзального комплекса, а также освещение витрин и реклам выполняются по заданию архитектора или художника-конструктора.
5.94. Устройство заградительных огней должно выполняться в соответствии с "Наставлением по аэродромной службе в гражданской авиации СССР" (НАСГА-71).
Освещенность и коэффициент запаса
5.95. Наименьшая освещенность рабочих поверхностей при системе общего освещения и рекомендуемые источники света для помещений аэровокзала, а также группы помещений по условиям зрительной работы приведены в
Приложении 8.
При использовании в помещениях источников света, отличных от указанных в
Приложении 8, освещенность повышается на две ступени по шкале освещенности при использовании люминесцентных ламп вместо ламп накаливания или понижается на две ступени по шкале освещенности при использовании ламп накаливания вместо люминесцентных ламп.
5.96. В рабочих помещениях с недостаточным по условиям работы естественным освещением и предназначенных для постоянного пребывания работающих нормы освещенности, приведенные в
Приложении 8, следует повышать на одну ступень по шкале освещенности.
5.97. Наименьшая освещенность в помещениях для общего освещения, в которых одновременно применяются люминесцентные лампы и лампы накаливания, должна выбираться как для люминесцентных ламп.
5.98. Освещение помещений связи, торговли, коммунально-бытового обслуживания следует выполнять по нормам соответствующих ведомств.
5.99. В помещениях, в которых предусматривается общее локализованное освещение рабочих мест, наименьшая освещенность проходов и участков, где не производится работа, должна составлять не менее 25% освещенности от общего освещения данных помещений и быть не менее 50 лк при люминесцентных лампах и не менее 30 лк при лампах накаливания.
Качество освещения
5.100. Для ограничения слепящего действия установок общего освещения (независимо от принятой системы освещения) в помещениях аэровокзала показатель дискомфорта не должен быть более указанного в
Приложении 8.
5.101. Коэффициент пульсации освещенности в помещениях с длительным пребыванием людей не должен превышать значений, приведенных в
Приложении 8. Для снижения коэффициента пульсации следует применять компенсированные пускорегулирующие аппараты или поочередное включение светильников к разным фазам сети.
5.102. Цилиндрическая освещенность помещений, в которых по условиям архитектурно-художественного оформления требуется обеспечить впечатление насыщенности светом, приведена в
Приложении 8.
Источники света
5.103. Рекомендуемые источники света для общего освещения следует выбирать по
Приложению 8.
5.104. Общее освещение, как правило, следует выполнять источниками света одного типа. Применение источников различных типов допускается для общего освещения помещений с повышенными требованиями к оформлению интерьера, а также для общего и местного освещения всех помещений.
5.105. Общее освещение, если нет специальных требований к цветопередаче, следует выполнять преимущественно люминесцентными лампами типа ЛБ.
Для освещения киосков "Березка" при повышенных требованиях к цветопередаче, например, для освещения текстильных товаров, мехов, картин следует применять лампы типа ЛХБ.
Для освещения столовых, залов заседаний и актовых залов следует применять, как правило, лампы ЛБ и ЛТБ.
Для освещения ресторанов, кафе и баров следует применять, как правило, лампы накаливания. Окончательное решение для выбора источника света принимается архитектором.
Выбор светильников
5.106. Выбор типов светильников следует производить с учетом характера светораспределения светильников, экономической эффективности и условий окружающей среды. Характеристика помещений по условиям окружающей среды дана в
Приложении 8.
5.107. Светильники с лампами накаливания, устанавливаемые над рабочими местами (столами, плитами и т.п.) в помещениях для приготовления и раздачи пищи, должны иметь снизу защитное стекло, а светильники с люминесцентными лампами защитное стекло или решетки, или специальные ламподержатели, конструкция которых исключает возможность выпадения ламп.
5.108. В помещениях с подвесными потолками наряду со встроенными светильниками допускается применять подвесные и потолочные светильники.
5.109. В помещениях санитарной части следует, как правило, применять светильники, снабженные замкнутыми рассеивателями.
5.110. Дополнительное местное освещение отдельных элементов основных пассажирских помещений следует выполнять светильниками с концентрированной кривой силы света или зеркальными лампами накаливания.
Расположение светильников
и освещение отдельных групп помещений
5.111. Расположение светильников при общем равномерном освещении помещений должно удовлетворять следующим требованиям:
- люминесцентные светильники (при числе ламп менее четырех) следует располагать, как правило, непрерывными рядами или рядами с разрывами между торцами светильников, не превышающими 0,5 высоты подвеса их над рабочей поверхностью. Исключения допускаются в случаях, когда соблюдение указанного требования привело бы к применению ламп мощностью менее 40 Вт;
- отношение расстояния между осями соседних светильников (а при расположении светильников сплошными или прерывистыми рядами - между осями рядов светильников) к высоте их подвеса над рабочей поверхностью не должно, как правило, превышать 1,7;
- расстояние от крайнего ряда светильников до стен не должно превышать 1/3 (как исключение, 1/2) расстояния между рядами светильников.
5.112. Ряды люминесцентных светильников следует, как правило, размещать параллельно длинной стороне помещения со световыми проемами. В случаях, когда световые проемы расположены на короткой стороне помещения, допускается любая ориентация рядов светильников.
5.113. В обеденных залах ресторанов и кафе допускается устройство локализованного или местного освещения столов, при этом норма освещенности на столах должна быть 200 лк, а на остальной площади не менее 30 лк при любых источниках света.
5.114. Размещение светильников в актовых залах и конференц-залах не должно препятствовать просмотру кинофильмов.
5.115. В кассовых рефюжах, торговых киосках, а также в местах, где требуется подсветка отдельных элементов различных экспозиций, следует предусматривать систему штепсельных розеток.
5.116. Мероприятия по обеспечению освещения и питания аппаратуры для цветного телевидения и киносъемок должны выполняться на основании отдельного задания заказчика, согласованного с Министерством гражданской авиации, и заданий Гостелерадио Центральной студии документальных фильмов.
5.117. Конструирование специальных осветительных устройств (световых карнизов, ниш, панелей, окон искусственного света, куполов, световых балок и т.п.) должно производиться при соблюдении следующих требований:
- отражающие поверхности при заданных строительных габаритах устройства должны иметь возможно меньшую площадь и сглаженные очертания;
- отражающие поверхности должны иметь коэффициент отражения не менее 0,6 и выполняться из несгораемых материалов, устойчиво сохраняющих первоначальные световые свойства и легко поддающихся очистке;
- в качестве светопропускающих материалов должны применяться стекла или пленки, по характеристикам близкие к диффузным; накладное молочное силикатное стекло, армированное, литое или прессованное матовое стекло и тому подобные материалы;
- распределение яркости по длине стен и потолков над световым карнизом, а также по поверхностям световых потолков и других устройств, закрытых рассеивающими стеклами или экранирующими решетками, должно быть равномерным, чтобы визуально не могло быть обнаружено расположение отдельных источников света;
- экранирующие решетки должны быть выполнены из материалов, отражающих или пропускающих свет диффузно и имеющих сумму коэффициентов отражения и пропускания не менее 0,7. Их защитный угол в направлениях вдоль и поперек помещения должен быть не менее 30° (рекомендуется защитный угол 45°);
- расстояние от колб ламп до светопроницаемых поверхностей должно быть не менее 15 мм.
Требования к строительной части аэровокзала
5.118. В архитектурно-строительной части проекта в соответствии с решениями, принятыми в проекте электрооборудования, должны предусматриваться:
- встроенные трансформаторные подстанции и помещения электрощитовых (см.
п. 5.7 настоящего Руководства);
- ниши для установки щитков, щитов и распределительных устройств;
- помещения для дежурных электриков, мастерских для текущего ремонта и промежуточных кладовых;
- проемы, каналы и борозды в перекрытиях и стенах для осветительных и силовых сетей;
- проемы в подвесных потолках для установки встроенных светильников;
- закладные элементы для подвески светильников;
- при необходимости помещения для агрегатных для техобслуживания самолетов на перроне.
5.119. Архитектурно-строительные чертежи конструкций для монтажа осветительных установок должны разрабатываться на основании заданий, выдаваемых отделом, разрабатывающим электросветотехнический проект, и согласовываться последним.
5.120. В проектах должны быть предусмотрены соответствующие технические средства для безопасного и удобного обслуживания светильников, установленных на высоте более 5 м от уровня пола, а также для обслуживания заградогней, реклам и иллюминационных огней.
Светильники, установленные на высоте 5 м и менее от уровня пола, обслуживаются со стремянок, приставных лестниц и тому подобных технических средств.
5.121. В помещениях с подвесными потолками при установке встроенных светильников верхнего обслуживания должен быть обеспечен безопасный доступ к светильникам обслуживающего персонала при соблюдении следующих условий:
- обеспечение прочности подвесного потолка с учетом нахождения у любого из светильников двух человек с инструментом общей массой 200 кг;
- устройство стационарных или передвижных огражденных мостиков, рассчитанных на нагрузку 200 кг.
5.122. В помещениях, где признается необходимым обеспечение определенной величины цилиндрической освещенности, средневзвешенной по поверхности, коэффициент отражения стен должен быть не менее 40%, а потолка - не менее 50%.
5.123. Для расчетов систем отопления и вентиляции следует принимать, что вся электрическая энергия, потребляемая источниками света, превращается в тепло.
Люминесцентные светильники с решетчатыми затенителями, встроенные в подвесные потолки, 48% тепловой энергии выделяют в освещаемое помещение, а 52% - в пространство над подвесным потолком; люминесцентные светильники с рассеивателями - соответственно 40% и 60%.
5.124. Если в подвальные помещения аэровокзала встроены трансформаторные подстанции, следует решить вопрос о необходимости устройства принудительной вентиляции для обеспечения нормальной работы трансформаторов.
5.125. Помещения распределительных устройств, электрощитовых, помещения дежурных электриков и мастерских текущего ремонта должны иметь естественную вентиляцию. Минимальная температура в помещениях распределительных устройств и электрощитовых без постоянного пребывания персонала должна быть не ниже +5 °C, в электрощитовых с постоянным пребыванием персонала, помещениях дежурных электриков и мастерских текущего ремонта +16 °C.
ДОКУМЕНТОВ ДЛЯ ПРОЕКТИРОВАНИЯ АЭРОВОКЗАЛОВ АЭРОПОРТОВ
1. Руководство по обслуживанию пассажиров на воздушных линиях СССР, М., изд-во "Воздушный транспорт", 1980 г.
2. Рекомендации по комплексной оценке уровня оснащенности аэропортов зданиями и сооружениями, М., Аэропроект, 1982 г.
3. Методика оценки основных технико-экономических показателей аэровокзалов, грузовых складов и цехов бортового питания, М., ОНТИ Аэропроекта, 1974 г.
4. Рекомендации по размещению пунктов специального контроля, М., ОНТИ Аэропроекта, 1978 г.
5. Рекомендации по размещению средств информации в аэровокзалах, М., ОНТИ Аэропроекта, 1974 г.
6. Рекомендации по выбору принципиального технологического решения для аэровокзалов аэропортов различной пропускной способности, М., ОНТИ Аэропроекта, 1976 г.
7. Комплексная номенклатура мебели и мебельного оборудования зданий аэропортов союзных линий (каталог), М., Аэропроект, 1979 г.
8. Табель мебели, мебельного и технологического оборудования, М., Аэропроект, 1981 г.
9. Каталог мебели аэровокзалов, М., ОНТИ Аэропроекта, 1978 г.
10. Методика комплексной оценки проектных решений аэровокзалов, М., ОНТИ Аэропроекта, 1977 г.
11. Руководство по проектированию привокзальных площадей аэропортов, М., ОНТИ Аэропроекта, 1976 г.
12. Рекомендации по определению основных технологических характеристик сооружений пассажирского комплекса аэропорта, М., ОНТИ Аэропроекта, 1977 г.
13. Труды Аэропроекта. Технология, механизация и автоматизация производственных процессов в аэропортах, 1974, вып. 14.
ЗНАЧЕНИЯ ПОКАЗАТЕЛЕЙ И КОЭФФИЦИЕНТОВ, ИСПОЛЬЗУЕМЫХ
ПРИ РАСЧЕТЕ ПЛОЩАДЕЙ ЗАЛОВ ИЛИ ЗОН АЭРОВОКЗАЛОВ
Таблица 1
────────┬──────────────────────────────────────────────────────────────────────────────────
Условные│ Значения показателей и коэффициентов для аэровокзалов
обозна- │ различной пропускной способности, пасс./ч
чения ├─────────────┬─────────────────────┬─────────────────────┬────────────────────────
показа- │ 100 │ 200 │ 400 │ 600
телей и ├─────────────┴─────────────────────┴─────────────────────┴────────────────────────
коэффи- │ по технологическим зонам
циентов ├───────┬─────┬─────────┬───────────┬─────────┬───────────┬─────────┬──────────────
│опера- │ожи- │опера- │ ожидания │опера- │ ожидания │опера- │ ожидания
│ционные│дания│ционные │ │ционные │ │ционные │
├───────┼─────┼────┬────┼───┬───┬───┼────┬────┼───┬───┬───┼────┬────┼────┬────┬────
│ В-П │ В-П │ В │ П │ В │ П │ Т │ В │ П │ В │ П │ Т │ В │ П │ В │ П │ Т
────────┼───────┼─────┼────┼────┼───┼───┼───┼────┼────┼───┼───┼───┼────┼────┼────┼────┼────
В │ 50 │ 30 │ 50 │ 15 │50 │25 │10 │100 │ 30 │100│55 │20 │205 │ 75 │120 │100 │ 60
з │ │ │ │ │ │ │ │ │ │ │ │ │ │ │ │ │
│ │ │ │ │ │ │ │ │ │ │ │ │ │ │ │ │
У │ 0,2 │ 0,7 │0,2 │ - │0,7│0,1│0,9│0,1 │ - │0,7│0,1│0,9│0,2 │ - │0,7 │0,1 │0,9
с │ │ │ │ │ │ │ │ │ │ │ │ │ │ │ │ │
│ │ │ │ │ │ │ │ │ │ │ │ │ │ │ │ │
У │ 0,8 │ 0,3 │0,8 │1,0 │0,3│0,9│0,1│0,8 │1,0 │0,3│0,9│0,1│0,8 │1,0 │0,3 │0,9 │0,1
д │ │ │ │ │ │ │ │ │ │ │ │ │ │ │ │ │
│ │ │ │ │ │ │ │ │ │ │ │ │ │ │ │ │
у │ │ │ │ │ │ │ │ │ │ │ │ │ │ │ │ │
S │ 2,5 │ 2,5 │2,5 │ - │2,5│2,5│2,5│2,5 │ - │2,5│2,5│2,5│2,5 │ - │2,5 │2,5 │2,5
с │ │ │ │ │ │ │ │ │ │ │ │ │ │ │ │ │
│ │ │ │ │ │ │ │ │ │ │ │ │ │ │ │ │
у │ │ │ │ │ │ │ │ │ │ │ │ │ │ │ │ │
S │ 1,75 │ 1,7 │1,75│1,75│1,7│1,7│1,7│1,75│1,75│1,7│1,7│1,7│1,75│1,75│1,7 │1,7 │1,7
д │ │ │ │ │ │ │ │ │ │ │ │ │ │ │ │ │
│ │ │ │ │ │ │ │ │ │ │ │ │ │ │ │ │
K │ 1,1 │ 1,1 │1,1 │1,1 │1,1│1,1│1,1│1,1 │1,1 │1,1│1,1│1,1│1,1 │1,1 │1,1 │1,1 │1,1
э │ │ │ │ │ │ │ │ │ │ │ │ │ │ │ │ │
│ │ │ │ │ │ │ │ │ │ │ │ │ │ │ │ │
K │ 1,2 │ 1,2 │1,2 │1,2 │1,1│1,1│ - │1,2 │1,2 │1,1│1,1│ - │1,2 │1,2 │1,1 │1,1 │ -
р │ │ │ │ │ │ │ │ │ │ │ │ │ │ │ │ │
│ │ │ │ │ │ │ │ │ │ │ │ │ │ │ │ │
K │ 1,2 │ 1,2 │1,2 │2,0 │1,2│1,2│1,2│1,2 │1,5 │1,2│1,2│1,2│1,15│1,15│1,15│1,15│1,15
п │ │ │ │ │ │ │ │ │ │ │ │ │ │ │ │ │
│ │ │ │ │ │ │ │ │ │ │ │ │ │ │ │ │
S │ 14 │ 14 │ 18 │8,0 │18 │ - │ - │ 27 │ 68 │27 │ - │ - │ 36 │ 68 │ 36 │ - │ -
об │ │ │ │ │ │ │ │ │ │ │ │ │ │ │ │ │
│ │ │ │ │ │ │ │ │ │ │ │ │ │ │ │ │
K │ 1,2 │ 1,2 │1,2 │1,2 │1,2│1,2│1,2│1,2 │1,2 │1,2│1,2│1,2│1,15│1,15│1,15│1,15│1,15
к │ │ │ │ │ │ │ │ │ │ │ │ │ │ │ │ │
Таблица 2
────────┬─────────────────────────────────────────────────────────────────────────────────────────────────────
Условные│ Значения показателей и коэффициентов для аэровокзалов различной пропускной способности, пасс./ч
обозна- ├────────────────────────┬────────────────────────┬─────────────────────────┬─────────────────────────
чения │ 800 │ 1000 │ 1300 │ 1500
показа- ├────────────────────────┴────────────────────────┴─────────────────────────┴─────────────────────────
телей и │ по технологическим зонам
коэффи- ├─────────┬──────────────┬─────────┬──────────────┬─────────────┬───────────┬─────────────┬───────────
циентов │опера- │ ожидания │опера- │ ожидания │операционные │ ожидания │операционные │ ожидания
│ционные │ │ционные │ │ │ │ │
├────┬────┼────┬────┬────┼────┬────┼────┬────┬────┼────┬────┬───┼───┬───┬───┼────┬────┬───┼───┬───┬───
│ В │ П │ В │ П │ Т │ В │ П │ В │ П │ Т │ В │ П │ Т │ В │ П │ Т │ В │ П │ Т │ В │ П │ Т
────────┼────┼────┼────┼────┼────┼────┼────┼────┼────┼────┼────┼────┼───┼───┼───┼───┼────┼────┼───┼───┼───┼───
В │280 │100 │150 │140 │ 85 │345 │120 │195 │165 │100 │460 │200 │45 │285│245│210│535 │225 │55 │320│285│245
з │ │ │ │ │ │ │ │ │ │ │ │ │ │ │ │ │ │ │ │ │ │
│ │ │ │ │ │ │ │ │ │ │ │ │ │ │ │ │ │ │ │ │ │
У │0,2 │ - │0,7 │0,1 │0,9 │0,2 │ - │0,7 │0,1 │0,9 │0,2 │ - │ - │0,7│0,1│0,9│0,2 │ - │ - │0,7│0,1│0,9
с │ │ │ │ │ │ │ │ │ │ │ │ │ │ │ │ │ │ │ │ │ │
│ │ │ │ │ │ │ │ │ │ │ │ │ │ │ │ │ │ │ │ │ │
У │0,8 │1,0 │0,3 │0,9 │0,1 │0,8 │1,0 │0,3 │0,8 │0,1 │0,8 │1,0 │1,0│0,3│0,9│0,1│0,8 │1,0 │1,0│0,3│0,9│0,1
д │ │ │ │ │ │ │ │ │ │ │ │ │ │ │ │ │ │ │ │ │ │
│ │ │ │ │ │ │ │ │ │ │ │ │ │ │ │ │ │ │ │ │ │
у │ │ │ │ │ │ │ │ │ │ │ │ │ │ │ │ │ │ │ │ │ │
S │2,5 │ - │2,5 │2,5 │2,5 │2,5 │2,5 │ - │2,5 │2,5 │2,5 │2,5 │ - │ - │2,5│2,5│2,5 │2,5 │ - │2,5│2,5│2,5
с │ │ │ │ │ │ │ │ │ │ │ │ │ │ │ │ │ │ │ │ │ │
│ │ │ │ │ │ │ │ │ │ │ │ │ │ │ │ │ │ │ │ │ │
│ │ │ │ │ │ │ │ │ │ │ │ │ │ │ │ │ │ │ │ │ │
у │ │ │ │ │ │ │ │ │ │ │ │ │ │ │ │ │ │ │ │ │ │
S │1,75│1,75│1,7 │1,7 │1,7 │1,75│1,75│1,7 │1,7 │1,7 │1,75│1,75│1,7│1,7│1,7│1,7│1,75│1,75│1,7│1,7│1,7│1,7
д │ │ │ │ │ │ │ │ │ │ │ │ │ │ │ │ │ │ │ │ │ │
│ │ │ │ │ │ │ │ │ │ │ │ │ │ │ │ │ │ │ │ │ │
│ │ │ │ │ │ │ │ │ │ │ │ │ │ │ │ │ │ │ │ │ │
K │1,1 │1,1 │1,1 │1,1 │1,1 │1,1 │1,1 │1,1 │1,1 │1,1 │1,1 │1,1 │1,1│1,1│1,1│1,1│1,1 │1,1 │1,1│1,1│1,1│1,1
э │ │ │ │ │ │ │ │ │ │ │ │ │ │ │ │ │ │ │ │ │ │
│ │ │ │ │ │ │ │ │ │ │ │ │ │ │ │ │ │ │ │ │ │
K │1,2 │1,2 │1,1 │1,1 │ - │1,2 │1,2 │1,1 │1,1 │ - │1,2 │1,05│1,2│1,1│1,1│ - │1,2 │1,05│1,1│1,1│1,1│ -
р │ │ │ │ │ │ │ │ │ │ │ │ │ │ │ │ │ │ │ │ │ │
│ │ │ │ │ │ │ │ │ │ │ │ │ │ │ │ │ │ │ │ │ │
K │1,15│1,15│1,15│1,15│1,15│1,15│1,15│1,1 │1,15│1,15│1,1 │1,1 │1,1│1,1│1,1│1,1│1,1 │1,1 │1,1│1,1│1,1│1,1
п │ │ │ │ │ │ │ │ │ │ │ │ │ │ │ │ │ │ │ │ │ │
│ │ │ │ │ │ │ │ │ │ │ │ │ │ │ │ │ │ │ │ │ │
S │ 36 │102 │ 36 │ - │ - │ 40 │102 │ 40 │ - │ - │ 54 │102 │10 │54 │ - │ - │ 54 │180 │14 │54 │ - │ -
об │ │ │ │ │ │ │ │ │ │ │ │ │ │ │ │ │ │ │ │ │ │
│ │ │ │ │ │ │ │ │ │ │ │ │ │ │ │ │ │ │ │ │ │
K │1,15│1,15│1,15│1,15│1,15│1,15│1,15│1,15│1,15│1,15│1,1 │1,1 │1,1│1,1│1,1│1,1│1,1 │1,1 │1,1│1,1│1,1│1,1
к │ │ │ │ │ │ │ │ │ │ │ │ │ │ │ │ │ │ │ │ │ │
Таблица 3
────────┬──────────────────────────────────────────────────────────────────
Условные│ Значения показателей и коэффициентов для аэровокзалов
обозна- │ различной пропускной способности, пасс./ч
чения ├───────────────────────────────┬──────────────────────────────────
показа- │ 1800 │ 2000
телей и ├───────────────────────────────┴──────────────────────────────────
коэффи- │ по технологическим зонам
циентов ├────────────────┬──────────────┬─────────────────┬────────────────
│ операционные │ ожидания │ операционные │ ожидания
├─────┬─────┬────┼────┬────┬────┼─────┬─────┬─────┼─────┬─────┬────
│ В │ П │ Т │ В │ П │ Т │ В │ П │ Т │ В │ П │ Т
────────┼─────┼─────┼────┼────┼────┼────┼─────┼─────┼─────┼─────┼─────┼────
В │ 635 │ 275 │ 70 │390 │340 │290 │ 705 │ 305 │ 75 │ 425 │ 370 │320
з │ │ │ │ │ │ │ │ │ │ │ │
│ │ │ │ │ │ │ │ │ │ │ │
У │ 0,2 │ - │ - │0,7 │0,1 │0,9 │ 0,2 │ - │ - │ 0,7 │ 0,1 │0,9
с │ │ │ │ │ │ │ │ │ │ │ │
│ │ │ │ │ │ │ │ │ │ │ │
У │ 0,8 │ 1,0 │1,0 │0,3 │0,9 │0,1 │ 0,8 │ 1,0 │ 1,0 │ 0,3 │ 0,9 │0,1
д │ │ │ │ │ │ │ │ │ │ │ │
│ │ │ │ │ │ │ │ │ │ │ │
у │ │ │ │ │ │ │ │ │ │ │ │
S │ 2,5 │ - │ - │2,5 │2,5 │2,5 │ 2,5 │ - │ - │ 2,5 │ 2,5 │2,5
с │ │ │ │ │ │ │ │ │ │ │ │
│ │ │ │ │ │ │ │ │ │ │ │
у │ │ │ │ │ │ │ │ │ │ │ │
S │1,75 │1,75 │1,7 │1,7 │1,7 │1,7 │1,75 │1,75 │ 1,7 │ 1,7 │ 1,7 │1,7
д │ │ │ │ │ │ │ │ │ │ │ │
│ │ │ │ │ │ │ │ │ │ │ │
K │ 1,1 │ 1,1 │1,1 │1,1 │1,1 │1,1 │ 1,1 │ 1,1 │ 1,1 │ 1,1 │ 1,1 │1,1
э │ │ │ │ │ │ │ │ │ │ │ │
│ │ │ │ │ │ │ │ │ │ │ │
K │ 1,2 │1,05 │1,1 │1,1 │1,1 │ - │ 1,2 │1,05 │ 1,1 │ 1,1 │ 1,1 │ -
р │ │ │ │ │ │ │ │ │ │ │ │
│ │ │ │ │ │ │ │ │ │ │ │
K │ 1,1 │ 1,1 │1,1 │1,1 │1,1 │1,1 │ 1,1 │ 1,1 │ 1,1 │ 1,1 │ 1,1 │1,1
п │ │ │ │ │ │ │ │ │ │ │ │
│ │ │ │ │ │ │ │ │ │ │ │
S │ 81 │ 180 │ 18 │ 81 │ - │ - │ 81 │ 225 │ 22 │ 81 │ - │ -
об │ │ │ │ │ │ │ │ │ │ │ │
│ │ │ │ │ │ │ │ │ │ │ │
K │ 1,1 │ 1,1 │1,1 │1,1 │1,1 │1,1 │ 1,1 │ 1,1 │ 1,1 │ 1,1 │ 1,1 │1,1
к │ │ │ │ │ │ │ │ │ │ │ │
Таблица 4
────────┬──────────────────────────────────────────────────────────────────
Условные│ Значения показателей и коэффициентов для аэровокзалов
обозна- │ различной пропускной способности, пасс./ч
чения ├──────────────────────────────┬───────────────────────────────────
показа- │ 2300 │ 2500
телей и ├──────────────────────────────┴───────────────────────────────────
коэффи- │ по технологическим зонам
циентов ├──────────────┬───────────────┬─────────────────┬─────────────────
│ операционные │ ожидания │ операционные │ ожидания
├────┬────┬────┼────┬────┬─────┼─────┬─────┬─────┼─────┬─────┬─────
│ В │ П │ Т │ В │ П │ Т │ В │ П │ Т │ В │ П │ Т
────────┼────┼────┼────┼────┼────┼─────┼─────┼─────┼─────┼─────┼─────┼─────
В │820 │350 │ 85 │490 │435 │ 375 │ 885 │ 380 │ 95 │ 545 │ 475 │ 405
з │ │ │ │ │ │ │ │ │ │ │ │
│ │ │ │ │ │ │ │ │ │ │ │
У │0,2 │ - │ - │0,7 │0,1 │ 0,9 │ 0,2 │ - │ - │ 0,7 │ 0,1 │ 0,9
с │ │ │ │ │ │ │ │ │ │ │ │
│ │ │ │ │ │ │ │ │ │ │ │
У │0,8 │1,0 │1,0 │0,3 │0,9 │ 0,1 │ 0,8 │ 1,0 │ 1,0 │ 0,3 │ 0,9 │ 0,1
д │ │ │ │ │ │ │ │ │ │ │ │
│ │ │ │ │ │ │ │ │ │ │ │
у │ │ │ │ │ │ │ │ │ │ │ │
S │2,5 │ - │ - │2,5 │2,5 │ 2,5 │ 2,5 │ - │ - │ 2,5 │ 2,5 │ 2,5
с │ │ │ │ │ │ │ │ │ │ │ │
│ │ │ │ │ │ │ │ │ │ │ │
у │ │ │ │ │ │ │ │ │ │ │ │
S │1,75│1,75│1,7 │1,7 │1,7 │ 1,7 │1,75 │1,75 │ 1,7 │ 1,7 │ 1,7 │ 1,7
д │ │ │ │ │ │ │ │ │ │ │ │
│ │ │ │ │ │ │ │ │ │ │ │
K │1,1 │1,1 │1,1 │1,1 │1,1 │ 1,1 │ 1,1 │ 1,1 │ 1,1 │ 1,1 │ 1,1 │ 1,1
э │ │ │ │ │ │ │ │ │ │ │ │
│ │ │ │ │ │ │ │ │ │ │ │
K │1,2 │1,05│1,1 │1,1 │1,1 │ - │ 1,2 │1,05 │ 1,1 │ 1,1 │ 1,1 │ -
р │ │ │ │ │ │ │ │ │ │ │ │
│ │ │ │ │ │ │ │ │ │ │ │
K │1,1 │1,1 │1,1 │1,1 │1,1 │ 1,1 │ 1,1 │ 1,1 │ 1,1 │ 1,1 │ 1,1 │ 1,1
п │ │ │ │ │ │ │ │ │ │ │ │
│ │ │ │ │ │ │ │ │ │ │ │
S │ 90 │225 │ 24 │ 90 │ - │ - │ 90 │ 270 │ 28 │ 90 │ - │ -
об │ │ │ │ │ │ │ │ │ │ │ │
│ │ │ │ │ │ │ │ │ │ │ │
K │1,1 │1,1 │1,1 │1,1 │1,1 │ 1,1 │ 1,1 │ 1,1 │ 1,1 │ 1,1 │ 1,1 │ 1,1
к │ │ │ │ │ │ │ │ │ │ │ │
Примечания: 1. Условные обозначения: В - зона вылетающих пассажиров, П - зона прилетевших пассажиров, Т - зона транзитных пассажиров.
2. Для аэровокзалов пропускной способностью 100, 200, 400 пасс./ч в качестве расчетного принят самолет типа Ан-24 (пассажировместимость 48 чел.), для аэровокзалов пропускной способностью от 600 до 1500 пасс./ч принят самолет типа Ту-154 (пассажировместимость 164 чел.), для аэровокзалов пропускной способностью 1800 пасс./ч принят самолет типа Ту-154 (пассажировместимость 180 чел.), для аэровокзалов пропускной способностью 2000 пасс./ч и выше принят самолет типа Ил-86 (пассажировместимость 350 чел.) с условием, что 70% пассажиров сдают багаж под ответственность Аэрофлота.
ОПРЕДЕЛЕНИЕ ЕДИНОВРЕМЕННОЙ ВМЕСТИМОСТИ АЭРОВОКЗАЛА
И ЕЕ РАСПРЕДЕЛЕНИЕ ПО ЗОНАМ
Исходные данные:
- пропускная способность аэровокзала 2000 пасс./ч;
- состав потока пассажиров и посетителей в расчетный час по группам и среднее время их пребывания в аэровокзале приведены в
табл. 1 Приложения 3.
Расчет вместимости.
1. Определяется удельный вес каждой группы пассажиров и посетителей

по
формуле (6).
2. Рассчитывается коэффициент пребывания каждой группы пассажиров и посетителей в течение часа

по
формуле (7).
3. Устанавливаются коэффициенты вместимости каждой группы

по
формуле (8).
4. Определяются коэффициенты вместимости каждой категории пассажиров и посетителей

по
формуле (9).
5. Определяется коэффициент вместимости аэровокзала

как сумма всех коэффициентов вместимости категорий пассажиров и посетителей

.
6. Рассчитывается единовременная вместимость аэровокзала по
формуле (12).
Для данного случая

;

определен выше и равен 1,441; коэффициент на сбои в обслуживании пассажиров

составляет 1,05;

, отсюда
──────────────┬──────────┬───────────┬──────────┬───────────┬────────────────┬─────────────────
Группы │Удельный │ Удельный │Время │Коэффициент│ Коэффициент │ Коэффициент
и категории │вес │вес каждой │пребывания│пребывания │ вместимости │ вместимости
пассажиров и │пассажиров│ категории │пассажиров│ каждой │каждой категории│ каждой группы
посетителей │и посети- │пассажиров │и посе- │ категории │ пассажиров │ пассажиров
│телей, %, │ и │тителей │пассажиров │ и посетителей │ и посетителей
│от про- │посетителей│в аэро- │ и │ в │ в
│пускной │ в долях │вокзале, │посетителей│ K │ K
│способ- │ единицы │мин │ пр │ i │ j
│ности │ K │ │ K │ │
│ │ i │ │ i │ │
──────────────┼──────────┼───────────┼──────────┼───────────┼────────────────┼─────────────────
1 │ 2 │ 3 │ 4 │ 5 │ 6 │ 7
──────────────┼──────────┼───────────┼──────────┼───────────┼────────────────┼─────────────────
ИС МЕГАНОРМ: примечание.
Расчет в графе 7 дан в соответствии с официальным текстом документа.
Вылетающие: │ │ │ │ │ │0,188+0,60=0,248
оформляющиеся│ 25 │ 0,25 │ 45 │45:60=0,75 │0,25x0,75=0,188 │
по основному │ │ │ │ │ │
методу │ │ │ │ │ │
оформляющиеся│ 12 │ 0,12 │ 30 │30:60=0,5 │0,12x0,5=0,060 │
по упрощенному│ │ │ │ │ │
методу │ │ │ │ │ │
Прилетевшие: │ │ │ │ │ │0,110+0,004=0,114
получающие │ 33 │ 0,33 │ 20 │20:60=0,33 │0,33x0,33=0,110 │
багаж │ │ │ │ │ │
в аэропорту │ │ │ │ │ │
не получающие│ 5 │ 0,05 │ 5 │5:60=0,083 │0,05x0,083=0,004│
багажа │ │ │ │ │ │
Транзитные: │ │ │ │ │ │0,850+0,087=0,937
пересажи- │ 30 │ 0,3 │ 170 │170:60=2,83│0,3x2,83=0,850 │
вающиеся │ │ │ │ │ │
с одного рейса│ │ │ │ │ │
на другой │ │ │ │ │ │
не переса- │ 15 │ 0,15 │ 35 │35:60=0,583│0,15x0,583=0,087│
живающиеся │ │ │ │ │ │
с одного рейса│ │ │ │ │ │
на другой │ │ │ │ │ │
Посетители: │ │ │ │ │ │0,075+0,067=0,142
провожающие │ 10 │ 0,1 │ 45 │45:60=0,75 │0,1x0,75=0,075 │
встречающие │ 10 │ 0,1 │ 40 │40:60=0,667│0,1x0,667=0,067 │
──────────────┼──────────┼───────────┼──────────┼───────────┼────────────────┼─────────────────
Всего...│ 140 │ - │ - │ - │ - │ 1,441
7. Рассчитывается вместимость зон для каждой категории пассажиров и посетителей по
формуле (10)

,
для вылетающих пассажиров
2000 x 0,248 x 1,05 x 0,95 = 494 чел.,
для прилетевших пассажиров
2000 x 0,114 x 1,05 x 0,95 = 228 чел.,
для транзитных пассажиров
2000 x 0,937 x 1,05 x 0,95 = 1867 чел.,
для посетителей
2000 x 0,142 x 1,05 x 0,95 = 285 чел.
8. Проводится расчет единовременной вместимости технологических зон (в зависимости от категории пассажиров и посетителей). Показатели распределения принимаются по данным
табл. 1 настоящего Руководства. Вместимость зон обслуживания вылетающих пассажиров распределяется следующим образом: 70% на вылет операционной зоны и 30% на вылет зоны ожидания, что составит соответственно: 494 x 0,7 = 347 чел. и 494 x 0,3 = 147 чел.
Вместимость зон обслуживания прилетевших пассажиров распределяется следующим образом: 50% на прилет операционной зоны и 50% на прилет зоны ожидания, что составит соответственно: 228 x 0,5 = 114 чел. и 228 x 0,5 = 114 чел.
Вместимость зон обслуживания транзитных пассажиров распределяется следующим образом: 15% на вылет операционной зоны, 15% на прилет операционной зоны, 7% на транзит операционной зоны, 15% на вылет зоны ожидания, 10% на прилет зоны ожидания и 30% на транзит зоны ожидания, что составит соответственно: 1867 x 0,15 = 280 чел., 1867 x 0,15 = 280 чел., 1867 x 0,07 = 130 чел., 1867 x 0,15 = 280 чел., 1867 x 0,10 = 187 чел., 1867 x 0,30 = 560 чел.
Вместимость зон обслуживания посетителей распределяется следующим образом: 30% на вылет операционной зоны, 25% на вылет зоны ожидания, 45% на прилет зоны ожидания, что составит соответственно: 285 x 0,3 = 86 чел., 285 x 0,25 = 71 чел., 285 x 0,45 = 128 чел.
9. Производится суммирование результатов вычислений вместимости зон одного назначения:
- операционная зона:
для вылетающих пассажиров: 347 + 280 + 86 = 713 чел.,
для прилетевших пассажиров: 114 + 280 = 394 чел.,
для транзитных пассажиров 130 чел;
- зона ожидания:
для вылетающих пассажиров: 147 + 28 + 71 = 246 чел.,
для прилетевших пассажиров: 114 + 187 + 128 = 429 чел.,
для транзитных пассажиров 560 чел.
ЗНАЧЕНИЯ КОЭФФИЦИЕНТОВ, ИСПОЛЬЗУЕМЫХ
ПРИ РАСЧЕТЕ СТРОИТЕЛЬНЫХ ОБЪЕМОВ АЭРОВОКЗАЛОВ
──────┬────────────────────────────────────────────────────────────────────
Пока- │ Значения K , K для аэровокзалов пропускной способностью, пасс./ч
затель│ s в
├───────────────┬───────────────┬───────────────┬────────────────────
│ 100 │ 200, 400 │600, 800, 1000 │ 1300, 1500, 1800,
│ │ │ │ 2000, 2300, 2500
├───────────────┴───────────────┴───────────────┴────────────────────
│ для различных групп помещений
<*>
├────┬─────┬────┬────┬─────┬────┬────┬─────┬────┬─────┬───────┬──────
│ I │ II, │ IV │ I │ II, │ IV │ I │ II, │ IV │ I │II, III│ IV
│ │ III │ │ │ III │ │ │ III │ │ │ │
──────┼────┼─────┼────┼────┼─────┼────┼────┼─────┼────┼─────┼───────┼──────
K │1,15│1,20 │1,30│1,15│1,20 │1,30│1,15│1,20 │1,20│1,10 │ 1,15 │ 1,15
s │ │ │ │ │ │ │ │ │ │ │ │
│ │ │ │ │ │ │ │ │ │ │ │
K │6,6 │ 3,3 │3,9 │6,6 │ 3,3 │3,9 │7,2 │ 3,6 │3,9 │ 8,4 │ 3,6 │ 4,8
в │ │ │ │ │ │ │ │ │ │ │ │
--------------------------------
<*> I - помещения основного технологического назначения; II - помещения дополнительного обслуживания; III - административные и бытовые помещения; IV - эксплуатационно-технические помещения.
──────┬────────────────────────────────────────────────────────────────────
Пока- │Значения K , K для аэровокзалов пропускной способностью, пасс./ч
затель│ ком v
├─────┬──────────┬──────────────┬────────────────────────────────────
│ 100 │ 200, 400 │600, 800, 1000│ 1300, 1500, 1800, 2000, 2300, 2500
──────┼─────┼──────────┼──────────────┼────────────────────────────────────
K │1,00 │ 1,05 │ 1,04 │ 1,03
ком │ │ │ │
│ │ │ │
K │1,00 │ 1,00 │ 1,015 │ 1,03
v │ │ │ │
ТЕПЛОПОСТУПЛЕНИЯ ОТ ПАССАЖИРОВ И РАБОТНИКОВ АЭРОВОКЗАЛА
─────────────┬───────────┬─────────────────────┬──────────────┬────────────
Категория │Температура│ Тепловыделения │Влаговыделения│ Выделение
людей │ воздуха │ от одного человека, │ от одного │ CO одним
│ в зоне │ Вт │человека, г/ч │ 2
│пребывания,├──────┬─────┬────────┤ │ человеком,
│ °C │полные│явные│открытые│ │ г/ч
─────────────┼───────────┼──────┼─────┼────────┼──────────────┼────────────
Пассажиры, │ 17 - 19 │ 120 │ 80 │ 40 │ 45 │ 45
посетители │ 20 - 22 │ 115 │ 70 │ 45 │ 50 │
│ 23 - 25 │ 110 │ 60 │ 50 │ 75 │
│ 26 - 28 │ 105 │ 50 │ 55 │ 100 │
│ 29 - 31 │ 100 │ 35 │ 65 │ 130 │
─────────────┼───────────┼──────┼─────┼────────┼──────────────┼────────────
Работники │ 17 - 19 │ 160 │ 100 │ 60 │ 90 │ 90
аэровокзала, │ 20 - 22 │ 155 │ 90 │ 65 │ 110 │
предприятий │ 23 - 25 │ 150 │ 60 │ 90 │ 140 │
общественного│ 26 - 28 │ 150 │ 45 │ 105 │ 160 │
питания │ 29 - 31 │ 150 │ 35 │ 115 │ 180 │
ТЕПЛОПОСТУПЛЕНИЯ ЧЕРЕЗ ПРОЗРАЧНЫЕ НАРУЖНЫЕ ОГРАЖДЕНИЯ
ЗА СЧЕТ ИНСОЛЯЦИИ И ТЕПЛОПЕРЕДАЧИ
───────────┬──────┬────────────────────────────────────────────────────────────────────────────────────────────────────
Расчетная │Ориен-│ Количества тепла от солнечной радиации q и теплопередачи q , Вт/м2
геогра- │тация │ р т
фическая │ ├────────────────────────────────────────────────────────────────────────────────────────────────────
широта │ │ Истинное солнечное время, ч
│ ├──────────┬─────────┬─────────┬─────────┬─────────┬─────────┬─────────┬─────────┬─────────┬─────────
│ │ 7 - 8 │ 8 - 9 │ 9 - 10 │ 10 - 11 │ 11 - 12 │ 12 - 13 │ 13 - 14 │ 14 - 15 │ 15 - 16 │ 16 - 17
│ ├────┬─────┼────┬────┼────┬────┼────┬────┼────┬────┼────┬────┼────┬────┼────┬────┼────┬────┼────┬────
│ │ q │ q │ q │ q │ q │ q │ q │ q │ q │ q │ q │ q │ q │ q │ q │ q │ q │ q │ q │ q
│ │ р │ т │ р │ т │ р │ т │ р │ т │ р │ т │ р │ т │ р │ т │ р │ т │ р │ т │ р │ т
───────────┼──────┼────┼─────┼────┼────┼────┼────┼────┼────┼────┼────┼────┼────┼────┼────┼────┼────┼────┼────┼────┼────
1 │ 2 │ 3 │ 4 │ 5 │ 6 │ 7 │ 8 │ 9 │ 10 │ 11 │ 12 │ 13 │ 14 │ 15 │ 16 │ 17 │ 18 │ 19 │ 20 │ 21 │ 22
───────────┼──────┼────┼─────┼────┼────┼────┼────┼────┼────┼────┼────┼────┼────┼────┼────┼────┼────┼────┼────┼────┼────
40° │ С │59,7│10,2 │53,9│15,7│48,1│21,5│46,4│27,3│45,2│33,1│45,2│37,7│46,4│40,9│48,1│42,3│53,9│42,9│59,7│41,8
Ташкент │ СВ │276 │25,3 │222 │26,7│177 │26,4│53,9│27,8│50,6│33,4│48,7│37,7│48,7│40,9│46,7│42,3│45,5│42,3│42,8│40,6
│ В │454 │33,4 │413 │36,9│302 │37,5│157 │35,4│58,2│34,0│48,7│38,0│46,7│40,9│46,0│42,3│45,5│42,3│40,8│40,6
│ ЮВ │269 │23,2 │303 │31,1│284 │36,3│229 │39,2│ 144│40,4│63,1│38,9│50,6│40,4│47,4│42,3│45,5│42,3│42,2│40,6
│ Ю │53,2│ 9,6 │59,0│16,2│81,8│24,9│113 │33,4│ 140│40,6│140 │45,2│ 113│47,0│81,8│45,8│59,0│43,5│53,2│41,2
│ ЮЗ │42,2│ 9,0 │45,5│15,1│47,4│21,5│50,6│27,6│63,1│34,8│144 │45,0│ 229│52,8│ 284│56,6│303 │58,3│ 269│54,3
│ З │40,8│ 9,0 │45,5│15,1│46,1│21,5│46,7│27,3│49,3│33,4│190 │38,6│ 385│49,1│ 452│58,3│413 │64,1│ 302│65,0
│ СЗ │42,8│ 9,0 │45,5│15,1│46,7│21,5│48,7│27,3│48,7│33,1│50,6│38,0│53,9│41,5│ 177│47,3│222 │53,9│ 276│56,8
───────────┼──────┼────┼─────┼────┼────┼────┼────┼────┼────┼────┼────┼────┼────┼────┼────┼────┼────┼────┼────┼────┼────
44° │ С │ 58 │ 4,4 │53,9│9,0 │48,1│13,9│45,2│18,9│44,7│23,2│44,7│27,0│45,2│29,9│48,1│31,3│53,9│31,7│58,0│30,5
Симферополь│ СВ │309 │14,8 │208 │16,0│88,7│16,0│53,9│18,3│50,6│23,0│48,7│26,4│48,0│29,0│46,7│30,5│45,5│30,5│41,5│28,8
│ В │466 │21,2 │423 │24,4│307 │25,3│157 │20,6│58,9│23,5│48,6│26,4│45,5│29,0│45,5│30,5│44,8│30,5│40,8│28,8
│ ЮВ │292 │13,3 │335 │20,9│321 │25,5│255 │27,8│ 182│29,6│79,3│28,4│50,6│29,3│47,4│30,5│45,5│30,5│41,6│28,8
│ Ю │53,9│ 3,2 │90,5│9,6 │111 │17,2│161 │23,8│ 193│30,2│193 │34,0│ 161│35,4│ 111│34,6│90,5│32,2│53,9│29,3
│ ЮЗ │41,6│ 2,7 │45,5│7,9 │47,4│13,1│50,6│18,3│79,3│24,7│182 │33,4│ 255│38,9│ 321│42,9│335 │43,5│ 292│40,0
│ З │40,8│ 2,7 │44,8│7,9 │45,5│13,1│45,5│18,0│48,6│22,6│58,9│27,3│ 157│31,7│ 307│42,0│423 │47,0│ 466│47,3
│ СЗ │41,5│ 2,7 │45,5│7,9 │46,7│13,1│48,0│18,0│48,7│22,6│52,6│26,7│53,9│29,3│88,7│33,4│208 │38,6│ 309│40,9
───────────┼──────┼────┼─────┼────┼────┼────┼────┼────┼────┼────┼────┼────┼────┼────┼────┼────┼────┼────┼────┼────┼────
48° │ С │56,5│ 8,7 │52,5│13,1│48,0│17,7│45,5│22,0│44,8│26,4│44,8│29,9│45,5│32,2│48,0│39,4│52,5│39,4│56,5│32,8
Волгоград │ СВ │296 │17,7 │191 │19,1│75,6│19,1│53,9│22,6│50,6│26,7│48,6│30,2│48,0│32,5│48,7│33,6│44,8│33,4│40,3│32,2
│ В │469 │23,2 │447 │26,7│342 │27,3│157 │27,3│59,6│27,3│48,6│30,2│45,5│32,2│44,2│33,4│43,5│33,5│40,3│32,2
│ ЮВ │314 │18,3 │360 │24,4│351 │28,8│295 │31,7│ 206│33,1│97,7│32,8│52,5│32,5│49,4│33,6│45,5│33,4│40,3│32,2
│ Ю │55,1│ 8,7 │80,3│14,8│142 │21,8│200 │27,8│ 237│34,2│237 │37,7│ 200│38,6│ 142│37,7│80,3│35,4│55,1│32,8
│ ЮЗ │40,3│ 8,1 │45,5│12,7│49,4│17,7│52,5│22,4│97,7│29,3│203 │36,5│ 295│41,8│ 351│44,7│360 │45,0│ 314│42,3
│ З │40,3│ 8,1 │43,5│12,7│44,2│17,4│45,5│22,0│48,6│26,7│59,6│30,7│ 157│37,5│ 342│43,3│447 │47,3│ 469│47,3
│ СЗ │40,3│ 8,1 │44,8│12,7│46,7│17,7│48,0│22,4│48,6│26,7│50,6│30,2│53,9│32,8│75,6│35,1│191 │39,8│ 296│41,8
───────────┼──────┼────┼─────┼────┼────┼────┼────┼────┼────┼────┼────┼────┼────┼────┼────┼────┼────┼────┼────┼────┼────
52° │ С │53,9│ 3,2 │50,6│6,7 │47,4│10,8│45,5│14,3│44,8│18,0│44,8│20,9│45,5│23,0│47,4│24,1│50,6│24,1│53,9│23,5
Куйбышев │ СВ │289 │13,7 │172 │13,1│65,5│12,2│ 52 │14,8│48,6│18,6│47,4│21,5│46,7│23,5│45,5│24,1│44,2│24,1│40,3│23,2
│ В │478 │20,9 │429 │22,6│305 │22,4│157 │20,3│57,9│19,1│48,6│21,5│45,5│23,2│42,8│24,1│42,8│24,1│40,3│23,2
│ ЮВ │336 │15,1 │383 │20,9│377 │24,7│320 │26,4│ 231│ 27 │119 │25,5│54,6│23,8│51,3│24,4│47,4│24,4│40,8│ 23
│ Ю │57,1│ 3,5 │99,5│9,9 │173 │17,2│240 │23,5│ 280│28,8│280 │31,7│ 240│32,2│ 173│30,5│99,5│27,3│57,1│23,8
│ ЮЗ │40,8│ 2,7 │47,4│ 7 │51,3│ 11 │54,6│15,1│ 119│22,6│231 │29,9│ 320│35,1│ 378│ 38 │384 │38,3│ 336│35,4
│ З │40,3│ 2,9 │42,8│6,7 │42,8│10,8│45,5│14,5│48,6│18,6│57,9│ 22 │ 157│ 29 │ 305│35,7│429 │ 40 │ 478│41,2
│ СЗ │40,3│ 2,9 │44,2│6,7 │45,5│10,8│46,7│14,8│47,4│18,6│48,6│21,5│ 52 │23,5│65,5│25,5│172 │30,5│ 289│ 34
───────────┼──────┼────┼─────┼────┼────┼────┼────┼────┼────┼────┼────┼────┼────┼────┼────┼────┼────┼────┼────┼────┼────
56° │ С │48,7│ 0 │46,4│3,5 │43,5│7,5 │42,8│11,4│41,5│14,8│11,5│17,7│42,8│19,7│43,5│20,6│46,4│20,6│48,7│ 20
Москва │ СВ │277 │ 9,6 │148 │8,7 │54,3│8,2 │46,7│11,4│44,8│14,8│44,2│17,7│43,5│19,7│42,8│20,6│42,2│20,6│40,3│19,5
│ В │480 │17,2 │426 │18,9│198 │18,3│151 │16,8│54,5│15,4│47,4│ 18 │44,1│19,7│42,2│20,6│41,5│20,6│36,3│19,5
│ ЮВ │357 │12,5 │400 │ 18 │400 │ 22 │346 │23,8│ 254│24,1│139 │22,6│57,5│20,6│51,3│20,9│ 48 │20,9│40,3│19,5
│ Ю │59,2│ 0,6 │119 │7,5 │199 │14,8│276 │21,5│ 321│26,4│321 │29,3│ 276│29,9│ 200│27,3│119 │24,7│59,2│20,6
│ ЮЗ │40,3│-0,6 │ 48 │3,8 │51,3│8,2 │57,5│12,2│ 139│19,7│254 │ 27 │ 346│32,2│ 400│35,1│400 │40,9│ 357│32,5
│ З │36,3│-0,6 │41,5│3,5 │42,2│7,5 │44,1│11,4│47,4│15,1│54,5│18,3│ 151│25,3│ 298│31,3│426 │ 36 │ 480│37,1
│ СЗ │40,3│-0,6 │42,2│3,5 │42,8│7,5 │43,5│11,4│44,2│14,8│44,8│17,7│46,7│19,1│54,3│21,2│148 │25,9│ 277│29,6
───────────┼──────┼────┼─────┼────┼────┼────┼────┼────┼────┼────┼────┼────┼────┼────┼────┼────┼────┼────┼────┼────┼────
60° │ С │42,8│ -9 │40,9│-6,4│ 39 │-3,8│38,3│-1,2│37,7│1,5 │37,7│ 3,5│38,3│ 5 │ 39 │5,5 │40,9│ 5,8│42,8│5,2
Таллин │ СВ │261 │-0,9 │126 │-2,7│46,1│-3,5│40,8│-0,9│40,9│1,7 │40,3│ 3,8│40,3│ 5,2│40,3│5,8 │39,7│ 5,6│37,7│ 5
│ В │478 │ 6,1 │418 │6,7 │288 │5,6 │144 │ 3,5│49,6│2,1 │42,2│ 3,8│40,3│ 5,2│38,3│5,6 │37,7│ 5,6│34,3│ 5
│ ЮВ │370 │ 2,3 │416 │6,4 │419 │9,6 │367 │10,4│ 280│10,4│159 │ 8,7│59,7│ 6,4│49,4│6,1 │45,5│ 5,8│ 37 │ 5
│ Ю │58,8│ -8 │139 │-2,3│224 │3,8 │307 │ 8,7│ 364│13,1│364 │15,1│ 307│14,8│ 224│13,1│139 │ 9,9│58,8│6,1
│ З │34,3│-9,3 │37,7│-6,7│38,3│-3,8│40,3│-0,9│42,2│1,7 │ 50 │ 4,1│ 144│ 9,6│ 288│14,8│418 │18,9│ 478│20,3
│ СЗ │37,7│-9,3 │39,7│-6,4│40,3│-3,5│40,3│-0,9│40,3│1,7 │40,8│ 3,8│40,8│ 5,2│46,1│5,8 │126 │ 9,6│ 261│12,8
───────────┼──────┼────┼─────┼────┼────┼────┼────┼────┼────┼────┼────┼────┼────┼────┼────┼────┼────┼────┼────┼────┼────
64° │ С │39,7│-10,4│38,3│ -7 │ 37 │-3,5│36,3│-0,3│36,3│3,2 │36,2│ 5,8│36,3│ 7,5│ 37 │8,7 │38,3│ 8,7│39,7│7,9
Архангельск│ СВ │244 │-2,1 │110 │-3,2│43,5│-3,2│38,9│ 0 │38,9│3,5 │38,9│ 6,1│38,3│ 7,9│37,7│8,7 │37,7│ 8,7│35,7│7,5
│ В │488 │ 6,4 │419 │7,5 │296 │6,7 │135 │ 5 │ 47 │4,1 │ 39 │ 6,1│ 37 │ 7,9│ 35 │8,5 │ 35 │ 8,5│31,8│7,5
│ ЮВ │390 │ 2,7 │445 │8,1 │449 │11,9│394 │13,3│ 307│13,9│184 │13,9│68,8│ 9,9│ 48 │ 9 │43,5│ 9 │ 35 │7,5
│ Ю │72,3│-9,3 │160 │-1,5│246 │5,2 │342 │11,9│ 400│17,2│400 │19,7│ 342│19,7│ 246│17,4│160 │14,3│72,3│12,5
│ ЮЗ │ 35 │-10,8│43,5│-6,7│ 48 │-3,2│66,8│ 2,1│ 184│11,4│307 │16,6│ 394│21,2│ 449│24,1│445 │23,8│ 390│20,9
│ З │31,2│-10,8│ 35 │-7,3│ 35 │-3,8│ 37 │ 0 │ 39 │3,5 │ 47 │ 6,7│ 135│12,8│ 296│18,9│419 │23,2│ 488│24,7
│ СЗ │35,7│-10,8│37,7│ -7 │37,7│-3,5│38,3│ 0 │38,9│3,5 │38,9│ 6,1│38,9│ 7,9│43,5│ 9 │111 │12,5│ 244│16,2
Примечания: 1. Общее количество тепла Q, поступившее в помещение в течение расчетного часа, определяется по формуле

, Вт, где F - площадь окон, м2.
2. При расчете вентиляции

принимать равным нулю.
3. Значения

определены по полному аналитическому методу расчета при следующих условиях: остекление двойное без переплетов, без солнцезащиты, толщина стекла 2,5 мм, загрязнение стекол незначительное. Коэффициенты инсоляции и облучения определены для окна 2 x 1,8 м с глубиной откоса 0,2 м.
4. Значения

определены для указанных окон при коэффициенте пропускания тепла

. Скорость ветра для определения коэффициента теплоотдачи принята для указанных городов при

.
5. При условиях, отличных от указанных, значения

и

необходимо пересчитать.
РАСЧЕТНАЯ ТЕМПЕРАТУРА ВОЗДУХА И КРАТНОСТЬ ВОЗДУХООБМЕНА
В ПОМЕЩЕНИЯХ АЭРОВОКЗАЛА
───────────────────────┬────────────┬────────────────┬─────────────────────
Помещения │ Расчетная │ Кратность │ Примечание
│температура │ воздухообмена │
│ воздуха ├───────┬────────┤
│в помещениях│приток │удаление│
│в холодный │воздуха│воздуха │
│и переходный│ │ │
│ периоды │ │ │
│ года, °C │ │ │
───────────────────────┼────────────┼───────┼────────┼─────────────────────
1 │ 2 │ 3 │ 4 │ 5
───────────────────────┼────────────┼───────┼────────┼─────────────────────
Помещения основного │ │ │ │
технологического │ │ │ │
назначения │ │ │ │
│ │ │ │
Операционные помещения │ 18 │ По │ По │| Не менее 70 кг/ч
или зоны │ │расчету│расчету │} наружного воздуха
Помещения или зоны │ 18 │ " │ " │| на 1 чел.
ожидания │ │ │ │
Залы распределения, │ 10 │ 1 │ 1 │Допускается
переходные галереи │ │ │ │естественная
│ │ │ │вентиляция
│ │ │ │
Помещения обработки │ │ │ │
багажа пассажиров │ │ │ │
│ │ │ │
Зона или помещения │ 18 │ По │ По │Не менее 70 кг/ч
выдачи багажа │ │расчету│расчету │наружного воздуха
│ │ │ │на I чел.
Помещение │ 16 │ 5 │ 5 │Приток из зоны выдачи
комплектования багажа │ │ │ │багажа, вытяжка -
│ │ │ │выдавливанием
Помещение хранения │ 16 │ - │ 1 │
багажных контейнеров │ │ │ │
(обменный фонд) │ │ │ │
Камера хранения багажа │ 16 │ - │ 1 │
и ручной клади │ │ │ │
Помещение хранения │ 16 │ - │ 1 │
невостребованного │ │ │ │
багажа │ │ │ │
Автоматическая камера │ 16 │ 1 │ 2 │
хранения │ │ │ │
Пункты досмотра │ 18 │ 2 │ 2 │
пассажиров и их ручной │ │ │ │
клади │ │ │ │
│ │ │ │
Помещения │ │ │ │
дополнительного │ │ │ │
обслуживания пассажиров│ │ │ │
│ │ │ │
Помещения предприятий │В соответствии с требованиями│
общественного питания │ главы СНиП "Предприятия │
│ общественного питания" │
Помещения │ 18 │ По │ По │| Не менее 70 кг/ч
для интуристов │ │расчету│расчету │} наружного воздуха
Помещение для депутатов│ 18 │ " │ " │| на 1 чел.
Кинозал │ 16 │ " │ " │Не менее 25 кг/ч
│ │ │ │наружного воздуха
│ │ │ │на 1 чел.
Комната матери │ │ │ │
и ребенка: │ │ │ │
приемная │ 18 │ 2 │ - │
спальня │ 20 │ 2 │ 1 │
игровая │ 20 │ 3 │ 2 │
санузел со специальным│ 18 │ - │ 5 │Не менее 120 кг/ч на
оборудованием │ │ │ │единицу оборудования
Игровая комната для │ 20 │ 2 │ 1 │
детей при зоне ожидания│ │ │ │
Медицинский пункт: │ │ │ │
кабинет приема больных│ 20 │ 2,5 │ 2 │| Отдельная
процедурная │ 20 │ 2 │ 3 │} вытяжная
изолятор │ 18 │ 1 │ 2 │| система
Парикмахерская │ 18 │ 2 │ 3 │
Мастерская бытового │ 18 │ 1 │ 2 │
обслуживания │ │ │ │
Отделение связи │ 18 │ 5 │ 5 │
Переговорная │ 18 │ 4 │ 4 │
Сберкасса │ 18 │ 2 │ 2 │
Туалет │ 15 │ - │ 5 │Не менее 120 кг/ч на
│ │ │ │единицу оборудования
│ │ │ │
Административные │ │ │ │
и бытовые помещения │ │ │ │
│ │ │ │
Административные │ │ │ │
помещения: │ │ │ │
оперативной службы │ 18 │ 3,5 │ 2,8 │
фельдсвязи │ 18 │ 3,5 │ 2,8 │
военного коменданта │ 18 │ 3,5 │ 2,8 │
милиции │ 18 │ 3,5 │ 2,8 │
начальника службы │ 18 │ 3,5 │ 2,8 │
организации перевозок │ │ │ │
начальника службы │ 18 │ 3,5 │ 2,8 │
организации │ │ │ │
пассажирских перевозок │ │ │ │
сменного начальника │ 18 │ 3,5 │ 2,8 │
аэровокзала │ │ │ │
начальника аэровокзала│ 18 │ 3,5 │ 2,8 │
начальника смены │ 18 │ 3,5 │ 2,8 │
начальника службы │ 18 │ 3,5 │ 2,8 │
транзита │ │ │ │
дежурного по │ 18 │ 3,5 │ 2,8 │
аэровокзалу │ │ │ │
инспектора по работе │ 18 │ 3,5 │ 2,8 │
с пассажирами │ │ │ │
дежурного по встрече │ 18 │ 3,5 │ 2,8 │
и посадке │ │ │ │
диспетчеров службы │ 18 │ 3,5 │ 2,8 │
коменданта аэровокзала│ 18 │ 3,5 │ 2,8 │
Класс для технической │ 18 │ 3 │ 3 │При вместимости свыше
учебы персонала │ │ │ │100 чел. отдельная
(до 100 чел.) │ │ │ │система вентиляции;
│ │ │ │не менее 50 кг/ч
│ │ │ │наружного воздуха
│ │ │ │на 1 чел.
Помещение │ 18 │ По │ По │
информационного центра │ │расчету│расчету │
Бытовые и подсобные │ │ │ │
помещения: │ │ │ │
гардеробные │ 18 │ 1 │ - │Приток должен
│ │ │ │компенсировать
│ │ │ │вытяжку из душевой
душевые │ 25 │ - │ 10 │Не менее 100 кг/ч на
│ │ │ │единицу оборудования
комнаты гигиены женщин│ 20 │ 2 │ 2 │
комната, хранения │ 16 │ - │ 1,5 │
уборочного инвентаря │ │ │ │
и уборочной техники │ │ │ │
комната обогрева │ 22 │ 5 │ 4 │Не менее 40 кг/ч
│ │ │ │наружного воздуха
│ │ │ │на 1 чел.
кроссовая │ 16 │ - │ 2 │
электрощитовая │ 16 │ - │ 2 │
тепловой пункт │ 16 │ - │ 3 │
(бойлерная) │ │ │ │
ОСВЕЩЕННОСТЬ ПОМЕЩЕНИЙ АЭРОВОКЗАЛА
─────────────────┬──────────┬──────┬────────────┬──────┬──────┬─────────┬───────┬───────┬──────────────┬─────────────
Наименование │Характе- │Группа│Плоскость │Осве- │Источ-│Цилин- │Допус- │Допус- │ Штепсельные │ Примечание
помещения │ристика │поме- │нормирования│щен- │ник │дрическая│тимый │тимый │ розетки │
│помещения │щений │и ее высота │ность,│света │осве- │пока- │коэффи-├──────┬───────┤
│по │ │от пола, м │лк │ │щенность,│затель │циент │назна-│напря- │
│условиям │ │(г - гори- │ │ │лк │диском-│пуль- │чение │жение, │
│среды │ │зонтальная, │ │ │ │форта │сации, │
<6> │В │
│ │ │в - верти- │ │ │ │ │% │ │ │
│ │ │кальная) │ │ │ │ │ │ │ │
─────────────────┼──────────┼──────┼────────────┼──────┼──────┼─────────┼───────┼───────┼──────┼───────┼─────────────
1 │ 2 │ 3 │ 4 │ 5 │ 6 │ 7 │ 8 │ 9 │ 10 │ 11 │ 12
─────────────────┼──────────┼──────┼────────────┼──────┼──────┼─────────┼───────┼───────┼──────┼───────┼─────────────
Помещения │ │ │ │ │ │ │ │ │ │ │
основного │ │ │ │ │ │ │ │ │ │ │
технологического │ │ │ │ │ │ │ │ │ │ │
назначения │ │ │ │ │ │ │ │ │ │ │
│ │ │ │ │ │ │ │ │ │ │
Операционный зал │Нормальное│ I │ Г-0,8 │ 300 │ ЛЛ │ 100
<4> │ 60 │ 15 │Т, МО │ 220 │
<1> │ │ │ │ │ │ │ │ │ТР, ХН│380/220│
Зал ожидания
<2> │ То же │ III │ Г-0,8 │ 200 │ ЛЛ │ 75
<4> │ 60 │ 15 │Т, МО │ 220 │
│ │ │ │ │ │ │ │ │ТР, ХН│380/220│
Пешеходный │Нормальное│ III │ Г-0,0 │ 75 │ ЛЛ │ - │ - │ - │ ХН │380/220│
туннель, закрытый│ │ │ │ │ │ │ │ │ │ │
переход, │ │ │ │ │ │ │ │ │ │ │
перронная галерея│ │ │ │ │ │ │ │ │ │ │
<2> │ │ │ │ │ │ │ │ │ │ │
Накопитель теплый│ То же │ - │ Г-0,0 │ 75 │ ЛЛ │ - │ - │ - │ - │ - │
<2> │ │ │ │ │ │ │ │ │ │ │
Накопитель │ Влажное │ - │ Г-0,0 │ 30 │ ЛН │ - │ - │ - │ - │ - │
неотапливаемый │ │ │ │ │ │ │ │ │ │ │
<2> │ │ │ │ │ │ │ │ │ │ │
Места проверки │Нормальное│ - │ Г-0,8 │ 200 │ ЛЛ │ - │ - │ - │ МО │ 220 │В неотап-
билетов в │ │ │ │ │ │ │ │ │ │ │ливаемых
накопителе
<3> │ │ │ │ │ │ │ │ │ │ │помещениях
│ │ │ │ │ │ │ │ │ │ │освещенность
│ │ │ │ │ │ │ │ │ │ │100 лк
Помещение для │ То же │ - │ Г-0,8 │ 100 │ ЛЛ │ - │ - │ - │ МО │ 220 │
металлоискателя │ │ │ │ │ │ │ │ │ │ │
<3> │ │ │ │ │ │ │ │ │ │ │
Зона досмотра
<3>│ " │ - │ Г-0,8 │ 200 │ ЛЛ │ - │ - │ - │ МО │ 220 │
Справочное бюро │ " │ - │ Г-0,8 │ 200 │ ЛЛ │ - │ - │ - │ МО │ 220 │
<3> │ │ │ │ │ │ │ │ │ │ │
Помещение │ " │ - │ Г-0,8 │ 800 │ ЛЛ │ - │ - │ - │ МО │ 220 │
диспетчера │ │ │ │ │ │ │ │ │ │ │
по транзиту
<3> │ │ │ │ │ │ │ │ │ │ │
Дикторская
<3> │ " │ - │ Г-0,8 │ 300 │ ЛЛ │ - │ - │ - │ МО │ 220 │
Аванперрон │ - │ - │ Г-0,0 │ 30 │ РЛ │ - │ - │ - │ - │ - │
│ │ │ │ │ (ЛН) │ │ │ │ │ │
Помещение приема │Нормальное│ I │ Г-0,0 │ 200 │ ЛЛ │ - │ - │ - │ МО │ 220 │
и выдачи багажа │ │ │ │ │ │ │ │ │ │ │
<3> │ │ │ │ │ │ │ │ │ │ │
Камера хранения │Пожаро- │ I │ В-0,0 │ 100 │ ЛЛ │ - │ - │ - │ - │ - │
<3> │опасное │ │ │ │ │ │ │ │ │ │
Помещение │ То же │ I │ В-0,0 │ 75 │ ЛЛ │ - │ - │ - │ - │ - │
хранения │ │ │ │ │ │ │ │ │ │ │
невостребованного│ │ │ │ │ │ │ │ │ │ │
багажа, багажных │ │ │ │ │ │ │ │ │ │ │
контейнеров │ │ │ │ │ │ │ │ │ │ │
Кроссовая
<3> │Нормальное│ I │ В-0,0 │ 200 │ ЛЛ │ - │ - │ - │ РО │ 36 │
│ │ │ │ │ │ │ │ │ МО │ 220 │
│ │ │ │ │ │ │ │ │ │ │
Помещения │ │ │ │ │ │ │ │ │ │ │
дополнительного │ │ │ │ │ │ │ │ │ │ │
обслуживания │ │ │ │ │ │ │ │ │ │ │
пассажиров │ │ │ │ │ │ │ │ │ │ │
│ │ │ │ │ │ │ │ │ │ │
Торговый зал │ То же │ III │ Г-0,8 │ 100 │ ЛН │ 75
<4> │ 60 │ - │МО, Т,│ 220 │Выбор
ресторана
<2> │ │ │ │ │ │ │ │ │ТР, ХН│380/220│источников
Кафе, бар
<2> │ " │ III │ Г-0,8 │ 100 │ ЛН │ - │ - │ - │ - │ │света
Столовая, буфет │ " │ III │ Г-0,8 │ 200 │ ЛЛ │ - │ 40 │ 15 │ МО │ 220 │производиться
│ │ │ │ │ │ │ │ │ ХН │380/220│по усмотрению
│ │ │ │ │ │ │ │ │ │ │архитекторов
│ │ │ │ │ │ │ │ │ │ │или
│ │ │ │ │ │ │ │ │ │ │художников-
│ │ │ │ │ │ │ │ │ │ │конструкторов
Зона ожидания │Нормальное│ III │ Г-0,8 │ 100 │ ЛН │} - │ 40 │ 15 │ МО │ 220 │
и отдыха │ │ │ │ 200 │ ЛЛ │| │ │ │ ХН │380/220│
пассажиров, │ │ │ │ │ │ │ │ │ │ │
делегаций, │ │ │ │ │ │ │ │ │ │ │
депутатов
<2> │ │ │ │ │ │ │ │ │ │ │
Комната матери │ То же │ II │ Г-0,0 │ 200 │ ЛЛ │ - │ 25 │ 15 │ МО │ 220 │Установка
и ребенка
<1> │ │ │ │ │ │ │ │ │ │ │штепсельных
│ │ │ │ │ │ │ │ │ │ │розеток
│ │ │ │ │ │ │ │ │ │ │на высоте не
│ │ │ │ │ │ │ │ │ │ │менее 1,8 м
│ │ │ │ │ │ │ │ │ │ │от пола
Спальное │ " │ II │ Г-0,5 │ 30 │ ЛН │ - │ - │10
<5> │ - │ - │
помещение комнаты│ │ │ │ │ │ │ │ │ │ │
матери и ребенка │ │ │ │ │ │ │ │ │ │ │
Медицинский пункт│ " │ I │ Г-0,8 │ 300 │ ЛЛ │ - │ 40 │ 15 │ МО │ 220 │
<3> │ │ │ │ │ │ │ │ │ │ │
Мастерская │ " │ I │ Г-0,8 │ 200 │ ЛЛ │ - │ - │ - │ МО │ 220 │
бытового │ │ │ │ │ │ │ │ │ ХН │380/220│
обслуживания │ │ │ │ │ │ │ │ │ │ │
Отделение │ " │ II │ Г-0,8 │ 300 │ ЛЛ │ - │ - │ - │ МО │ 220 │
связи
<3>, │ │ │ │ │ │ │ │ │ │или 127│
сберкасса
<3> │ │ │ │ │ │ │ │ │ │ │
Киноаппаратная │Пожаро- │ I │ Г-0,8 │ 150 │ ЛЛ │ - │ 60 │ 20 │ МО │ 220 │
│опасное │ │ │ │ │ │ │ │ │или 127│
│ │ │ │ │ │ │ │ │ │ │
Административные │ │ │ │ │ │ │ │ │ │ │
и служебные │ │ │ │ │ │ │ │ │ │ │
помещения │ │ │ │ │ │ │ │ │ │ │
│ │ │ │ │ │ │ │ │ │ │
Кабинеты
<3>, │Нормальное│ I │ Г-0,8 │ 300 │ ЛЛ │ - │ - │ - │ МО │ 220 │
техклассы │ │ │ │ │ │ │ │ │ │ │
Помещения │ То же │ I │ Г-0,8 │ 200 │ ЛЛ │ - │ 25 │ 15 │ МО │ 220 │
фельдсвязи
<3>, │ │ │ │ │ │ │ │ │ │ │
военного │ │ │ │ │ │ │ │ │ │ │
коменданта
<3>, │ │ │ │ │ │ │ │ │ │ │
милиции
<3>, │ │ │ │ │ │ │ │ │ │ │
оперативной │ │ │ │ │ │ │ │ │ │ │
группы
<3> │ │ │ │ │ │ │ │ │ │ │
Служебные │Нормальное│ III │ Г-0,8 │ 150 │ ЛЛ │ - │ 25 │ 15 │ МО │ 220 │
помещения │ │ │ │ │ │ │ │ │ │ │
дежурных │ │ │ │ │ │ │ │ │ │ │
контролеров, │ │ │ │ │ │ │ │ │ │ │
кладовщиков, │ │ │ │ │ │ │ │ │ │ │
носильщиков │ │ │ │ │ │ │ │ │ │ │
--------------------------------
<1> Предусматривается аварийное освещение (для продолжения работы) и эвакуационное.
<2> Предусматривается эвакуационное освещение.
<3> Предусматривается аварийное освещение.
<4> В тех случаях, когда по условиям архитектурно-художественного оформления необходимо обеспечить впечатление насыщенности помещения светом.
<5> Значения коэффициента пульсации относятся к случаю применения люминесцентных ламп.
<6> Условные обозначения розеток и штепсельных разъемов для подключения:
Т - телевизоры - 220 В, 50 Гц;
МО - местное освещение - 220 В, 50 Гц;
ТК - техконтроль - 220 В, 50 Гц;
РО - ремонтное освещение - 36 В, 50 Гц;
ХН - хозяйственные нужды (пылесосы, полотеры) - 380/220 В, 50 Гц;
ТР - нагрузки Гостелерадио - 380/220 В, 50 Гц.
Примечание. Освещенности помещений, не указанные в
таблице, принимаются в соответствии с главой
СНиП "Естественное и искусственное освещение".