Главная // Актуальные документы // ПереченьСПРАВКА
Источник публикации
М.: Стройиздат, 1986
Примечание к документу
Название документа
"Рекомендации по подготовке строительного производства"
"Рекомендации по подготовке строительного производства"
ПО ПОДГОТОВКЕ СТРОИТЕЛЬНОГО ПРОИЗВОДСТВА
Рекомендовано к изданию решением секции организации строительного производства Научно-технического совета ЦНИИОМТП Госстроя СССР.
Определен состав задач по единой системе подготовки строительного производства, связанный с общей организационно-технической подготовкой, подготовкой строительных организаций, строительства объектов и строительно-монтажных работ.
Рассмотрены вопросы применения экономико-математических методов и вычислительной техники в организации и управлении строительным производством.
Для инженерно-технических работников строительно-монтажных организаций, занимающихся подготовкой строительного производства.
Рост объемов строительства, разнообразие строительного производства выдвигают перед строителями первоочередную задачу - повышение уровня организации строительного производства. В связи с этим возникает острая необходимость совершенствования подготовки строительного производства на основе разработки и массового внедрения Единой системы подготовки строительного производства (ЕС ПСП).
Настоящие Рекомендации разработаны на основе исследований, проведенных ЦНИИОМТП и отраслевыми научно-исследовательскими организациями, и содержат требования к основным задачам и мероприятиям по подготовке строительного производства, выполняемым на уровне заказчика, проектных и генподрядных строительных организаций.
Рекомендации подготовлены ЦНИИОМТП Госстроя СССР (кандидаты техн. наук В.В. Шахпаронов, П.П. Олейник, Л.П. Аблязов, Л.В. Киевский, В.С. Попов, инж. В.З. Перльштейн.
В подготовке Рекомендаций принимали участие также БелТНИЛОЭ СБПИ Минвуза СССР (канд. техн. наук И.Т. Хачатрянц), Главмособлстрой при Мособлисполкоме (инж. Б.К. Байков), НИИП Госстроя УССР (кандидаты техн. наук В.С. Балицкий, В.И. Садовский).
1.1. При подготовке строительного производства необходимо учитывать следующие особенности отрасли:
подвижность средств производства и неподвижный характер строительной продукции, что вызывает необходимость заблаговременного принятия решений по обустройству строительной площадки, источникам покрытия потребности в ресурсах, целесообразности создания или наращивания местной производственной базы, подготовки необходимого жилого фонда для строителей и эксплуатационников;
многообразие конструктивных решений и технологических компоновок зданий и сооружений, природно-климатических условий района строительства с необходимостью выделения этапов и узлов для проектирования и строительства, формирования графиков выдачи проектно-сметной документации, разработки специальных организационно-технологических решений и местных норм и др.;
разнообразие организационных форм подрядных строительных организаций (строительных подразделений, парка машин, технико-экономических показателей работы), многочисленность сооружаемых объектов у одного подрядчика от различных заказчиков (особенно в непроизводственном строительстве), что обусловливает необходимость в разработке соответствующей организационно-технологической документации;
длительность инвестиционного цикла, что предопределяет значительный период ПСП, которая для каждого отдельного объекта носит дискретный характер, а применительно к организациям - участникам строительства и городу в целом осуществляется непрерывно.
1.2. При большом разнообразии проектных решений, методов и средств строительства, разнохарактерности систем ПСП необходимым условием коренного совершенствования организационно-технического уровня строительства является унификация и стандартизация мероприятий и задач ПСП на основе массового внедрения достижений научно-технического прогресса и обобщения передового опыта.
Главная задача создаваемой в настоящее время единой системы состоит в том, чтобы через комплекс государственных и отраслевых стандартов обеспечить обязательное выполнение необходимых мероприятий по ПСП для всех организаций - участников строительства.
1.3. Государственные и отраслевые стандарты должны обеспечить обязательное выполнение мероприятий по ПСП для генеральных подрядных и субподрядных строительных организаций, заказчика-застройщика, проектных организаций и органов материально-технического обеспечения и позволить установить в организационно-технологических документах жесткие технологические режимы выполнения СМР, регламентировать применение индустриальных ресурсосберегающих технологий.
Стандарты должны охватывать наиболее общие задачи ПСП, решение которых обеспечивает сокращение продолжительности строительства, высокий качественный уровень разрабатываемой организационно-технологической документации, и допускать возможность развития и конкретизации государственных стандартов через систему отраслевых стандартов, ведомственных положений, инструкций.
Объектами стандартизации при этом могут служить: терминология; структура ПСП; нормативы ПСП; формы документов; ОТД (состав, содержание, порядок разработки, согласования и внедрения); методы организации ПСП; должностные инструкции и положения о службах ПСП.
1.4. Единая система подготовки строительного производства представляет собой установленный государственными стандартами и другими нормативными документами комплекс взаимоувязанных мероприятий и задач организационного, технического, технологического, планово-экономического и социального характера, обеспечивающих планомерное развертывание строительства и ввод в действие производственных мощностей и объектов в эксплуатацию в заданные сроки с высокими технико-экономическими показателями и требуемым качеством строительно-монтажных работ.
1.5. Единая система предназначена для обеспечения целенаправленной деятельности заказчика и всех участников проектирования и строительства, сбалансированности имеющихся и требуемых трудовых и материально-технических ресурсов на запланированный объем строительно-монтажных работ; выбора рациональной организации и технологии производства строительно-монтажных работ.
1.6. Содержание и целевая направленность ЕСПСП выдвигают следующие основные принципы, которые необходимо учитывать при ее создании:
межведомственный характер ПСП, единство применяемых методов, средств и терминологии;
упорядочение и унификация организационно-технологических решений и документооборота;
широкое использование экономико-математических методов и средств вычислительной техники;
обязательность мероприятий по ПСП для исполнения.
1.7. Единая система ПСП включает:
общую организационно-техническую подготовку;
подготовку к строительству объекта;
подготовку строительной организации к строительству объектов;
подготовку к производству строительно-монтажных работ.
1.8. Общая организационно-техническая подготовка включает мероприятия и задачи, которые являются общими и обязательными для обеспечения строительства каждого объекта, деятельности строительных организаций и производства отдельных видов строительно-монтажных работ.
Подготовка к строительству объекта должна обеспечивать своевременность начала его возведения и осуществление на нем комплекса строительно-монтажных работ с высоким организационно-техническим уровнем в заданные сроки.
Подготовка строительной организации осуществляется с целью создания необходимых организационно-экономических условий для эффективной реализации производственной программы при равномерном и полном использовании собственной производственной мощности и мощностей, привлекаемых для строительства специализированных организаций и их подразделений.
Подготовка к производству отдельных видов строительно-монтажных работ направлена на создание необходимого фронта работ для развития специализированных потоков и обеспечение организационно-технологических условий, позволяющих выполнять каждый вид работ эффективными методами и поддерживать заданные параметры функционирования специализированных потоков на отдельных объектах и в строительной системе в целом.
Все направления подготовки взаимосвязаны, взаимодействуют между собой и не могут развиваться изолированно.
| | ИС МЕГАНОРМ: примечание. Нумерация пунктов дана в соответствии с официальным текстом документа. | |
2. ОБЩАЯ ОРГАНИЗАЦИОННО-ТЕХНИЧЕСКАЯ ПОДГОТОВКА
2.1. Общая организационно-техническая подготовка предусматривает выполнение следующих мероприятий:
обеспечение строительства проектно-сметной документацией (ПСД);
составление титульных и внутрипостроечных титульных списков строек;
заключение договоров подряда и субподряда;
оформление финансирования строительства;
выполнение других организационно-технических мероприятий.
2.2. Заказчик должен передать генеральному подрядчику не позднее 1 июля года, предшествующего планируемому, утвержденную в установленном порядке проектно-сметную документацию, а также рабочую документацию на годовой объем работ.
При продолжительности строительства (по нормам) предприятия, здания и сооружения или их очередей до двух лет в состав рабочего проекта включается рабочая документация, а при большей продолжительности - рабочая документация на годовой объем строительно-монтажных работ.
2.3. Раздел "Организация строительства" (в дальнейшем - проект организации строительства) является неотъемлемой частью рабочего проекта (проекта) и составляется одновременно с разработкой других его разделов.
Проект организации строительства является обязательным документом для заказчика, подрядных организаций, а также организаций, осуществляющих финансирование и материально-техническое обеспечение строительства.
2.4. Проект организации строительства разрабатывается с целью обеспечения своевременного ввода в действие производственных мощностей и объектов при наименьших затратах материальных, трудовых и финансовых ресурсов при высоком качестве строительства за счет повышения его организационно-технического уровня.
2.5. Проекты организации строительства являются основой для решения вопросов подготовки строительного производства, распределения объемов капитальных вложений и строительно-монтажных работ по календарным периодам строительства с учетом норм продолжительности строительства и задела в строительстве предприятий, зданий и сооружений и учитываются при обосновании сметной стоимости строительства.
2.6. Проект организации строительства разрабатывается генеральной проектной организацией или по ее заказу другой проектной организацией. Специальные разделы проекта разрабатываются субподрядными проектными организациями, ведущими разработку соответствующих разделов утверждаемой проектно-сметной документации.
2.7. Проект организации строительства предприятия, здания, сооружения должен разрабатываться на полный объем строительства, предусмотренный (проектом) рабочим проектом. При строительстве отдельными очередями проект организации строительства на первую очередь должен разрабатываться с учетом полного объема строительства.
2.8. С целью обеспечения строительной площадки сжатым воздухом, ацетиленом и кислородом в ПОС определяются:
мощности, типы и количество компрессорных установок на строительной площадке;
расход кислорода и ацетилена, м3, по укрупненным показателям на 1 млн. руб. сметной стоимости годового объема строительно-монтажных работ.
С целью обеспечения строительной площадки водой определяются расход воды на хозяйственно-питьевые и производственные нужды, расход воды на пожаротушение, осуществляются выбор источников водоснабжения, системы и схемы водоснабжения.
2.9. Для теплоснабжения строительных площадок определяются потребное количество топлива в кг/ч условного топлива, расход тепла на отопление, горячее водоснабжение и производственно-хозяйственные нужды строительной площадки, производится выбор видов и основных параметров теплоносителей и принципиальной схемы теплоснабжения, а также ориентировочный расчет тепломагистралей с определением рациональной трассы и диаметра прокладываемых труб.
2.10. Для электроснабжения строительной площадки в ПОС определяется потребная мощность трансформаторов. Производится выбор источников и принципиальной схемы электроснабжения с нанесением источников электроснабжения и основных сетей на стройгенплан.
2.11. Обеспечение строительства водой, теплом, паром, сжатым воздухом и электроэнергией, как правило, должно осуществляться от действующих систем, сетей и установок с учетом использования для нужд строительства запроектированных постоянных инженерных сетей и сооружений. Временные источники энергоснабжения следует использовать только в начальный период строительства.
2.12. Внеплощадочные и внутриплощадочные строительно-монтажные работы должны проводиться в объеме и в сроки, установленные документацией по организации работ. Работы подготовительного периода должны быть выполнены до начала строительства объекта, взаимоувязаны между собой и с основными строительными работами, опережать их и обеспечивать фронт работ строительным подразделениям.
2.13. В проекте организации строительства должны приводиться следующие технико-экономические показатели:
общая продолжительность строительства, в том числе подготовительного периода и периода монтажа оборудования, мес;
максимальная численность работающих, чел.;
затраты труда на выполнение строительно-монтажных работ, чел.-дн.
2.14. Проекты организации строительства должны разрабатываться с учетом прогрессивных форм и методов организации, планирования и управления строительством, в том числе узлового, комплектно-блочного и экспедиционно-вахтового методов.
При разработке проектов организации строительства должны учитываться особенности различных отраслей народного хозяйства, природно-климатические особенности районов строительства и другие особые условия.
2.15. В проекте организации строительства должны быть отражены вопросы опережающего развития производственной базы строительной организации и строительства объектов жилищного и социально-бытового назначения и коммунального хозяйства, необходимых для нужд строительства и обеспечения эксплуатационных и строительных кадров.
2.16. Запрещается открытие финансирования строек, не обеспеченных проектами организации строительства, а также осуществление строительно-монтажных работ без утвержденного проекта организации строительства и не допускаются отступления от решений проектов организации строительства без согласования с организацией, разработавшей и утвердившей проект.
2.17. Заказчик проекта согласовывает с генподрядной строительной организацией раздел рабочего проекта (проекта) "Организация строительства", а также сметы, составленные по рабочим чертежам.
Конструктивные решения зданий и сооружений и сводный сметный расчет стоимости строительства представляются заказчиком генподрядчику на заключение.
Генподрядчик представляет заказчику замечания в срок не более 45 дней.
Согласование, проверка и приемка проектно-сметной документации производятся подразделениями генподрядной строительной организации с привлечением работников строительно-монтажных управлений и субподрядных организаций.
ПСД должна быть рассмотрена на техническом совете генподрядной организации с участием представителей генпроектной организации, заказчика, субподрядных организаций, предприятий строительной индустрии, треста (института) Оргтехстрой.
Генподрядная строительная организация готовит с учетом всех замечаний субподрядных организаций заключение, с которым ПСД возвращается заказчику для внесения в нее соответствующих изменений. В случае, если в течение 45 дней со дня получения материалов генподрядной строительной организацией заказчик не получает замечаний, то ПСД считается согласованной и утверждается заказчиком.
2.18. Рабочий проект (проект) до его утверждения должен подвергаться экспертизе в установленном порядке.
Вносимые на стадии экспертизы или утверждения ПСД изменения должны быть предварительно сообщены субподрядным организациям и дополнительно согласованы с ними. Защита перед заказчиком замечаний производится генеральным подрядчиком с привлечением субподрядных организаций.
2.19. При рассмотрении и согласовании ПСД производятся:
проверка соответствия состава и содержания материалов ПСД требованиям инструктивных документов;
проверка соответствия принятых в проекте решений заданию на проектирование;
проверка наличия в составе проекта разработанной документации не менее чем на объем СМР первого года строительства;
согласование ПОС;
рассмотрение и приемка рабочей документации (РД);
проверка и согласование сметной документации.
При рассмотрении ПСД особое внимание следует уделить вопросам повышения технологичности проектных решений объектов с выделением информации о планируемом сокращении затрат и экономии материальных ресурсов.
2.20. Срок согласования сметной документации субподрядными организациями и передача заключения по ним генподрядному ПСМО (тресту) не должен превышать 20 дней. Субподрядные организации представляют генподрядной строительной организации все необходимые технико-экономические обоснования внесенных ими предложений и непосредственно участвуют в их обследовании.
При задержке субподрядной организацией согласования в установленные сроки, генподрядные строительные организации направляют заказчику свои замечания по объектным сметам без учета замечаний субподрядной организации.
В случае выявления ошибок в сметной документации она возвращается заказчику для переработки с заключением.
При несогласии заказчика с замечаниями генподрядной строительной организации, возникающими при согласовании смет на строительство, окончательное решение по разногласиям принимается руководителем министерства-заказчика по согласованию с руководством строительного министерства в месячный срок. При разногласиях между министерствами окончательное решение принимается Госстроем СССР.
Внесение исправлений в сметную документацию входит в обязанности заказчика.
2.21. Дата передачи РД определяется днем вручения комплекта чертежей и смет с отметкой "В производство работ" в установленном количестве экземпляров, а в случае нарушения комплектности передачи - днем вручения последнего документа.
Проверка соответствия утвержденной заказчиком сметной документации и РД условиям производства СМР, выполняемых субподрядными организациями, осуществляется этими организациями.
2.22. Титульные списки строек разрабатываются в соответствии с утвержденными формами.
Титульные списки строек являются основным документом планирования капитальных вложений, финансирования строительства и его материально-технического обеспечения.
Содержание титульных списков должно соответствовать:
государственным заданиям по освоению капитальных вложений и ввода мощностей;
планируемой структуре капитальных вложений по источникам финансирования и статьям бюджета;
планам капитальных вложений и ввода мощностей по министерствам и ведомствам, имеющимся строительно-монтажным мощностям;
планам производства и распределения строительных конструкций и материалов;
состоянию и перспективам развития инженерного оборудования объектов и комплексов, включаемых в титульные списки;
техническому состоянию объектов, включая состояние ПСД и площадок;
нормам продолжительности строительства;
требованиям к ритмичности строительного производства и формированию задела.
Утвержденные титульные списки являются неизменными документами на весь период строительства и обязательными для заказчиков, подрядчиков, плановых, финансовых и снабженческих органов, поставщиков оборудования и конструкций.
2.23. Общие организационно-технические мероприятия осуществляются заказчиком с участием проектных и строительных организаций и включают решение следующих вопросов:
отвод в натуре площадки (трассы) для строительства;
оформление разрешения на право производства работ;
своевременное освобождение отведенных под строительство площадок от расположенных на них зданий, сооружений и строений и переселение граждан, проживающих в этих зданиях;
обеспечение строительства подъездными путями, электро-, водо- и теплоснабжением, системой связи;
организация поставки на строительство оборудования, конструкций, материалов и готовых изделий.
3. ПОДГОТОВКА К СТРОИТЕЛЬСТВУ ОБЪЕКТА
3.1. Подготовка к строительству объекта включает:
разработку проектов производства работ (ППР);
разработку нормативно-технологической документации по комплектации объекта материальными ресурсами.
3.2. Проекты производства работ разрабатываются с целью решения вопросов организации строительного производства, определения наиболее эффективных способов выполнения строительно-монтажных работ, способствующих снижению их себестоимости и трудоемкости, сокращению продолжительности строительства объектов и сроков производства отдельных видов работ, повышению степени использования строительных машин и оборудования, улучшению качества строительно-монтажных работ, а также обеспечения безопасности труда и сохранения окружающей природной среды.
3.3. Проекты производства работ на строительство новых, расширение, реконструкцию и техническое перевооружение действующих предприятий, зданий и сооружений разрабатываются генеральными подрядными строительно-монтажными организациями. На отдельные виды общестроительных, монтажных и специальных строительных работ проекты производства работ разрабатываются организациями, выполняющими эти работы. Проекты производства работ по заказу генеральной подрядной или субподрядной строительно-монтажной организации могут разрабатываться специализированными проектными, проектно-конструкторскими и научно-исследовательскими организациями, а также проектно-технологическими трестами (институтами) Оргтехстрой (Оргстрой).
3.5. Проект производства работ утверждается главным инженером генподрядной строительной организации. На специальные работы ППР утверждаются главными инженерами субподрядных организаций по согласованию с генподрядной строительной организацией.
3.6. Основанием для разработки проекта производства работ является задание на разработку проекта производства работ, выдаваемое (утверждаемое) заказчиком проекта производства работ и содержащее исходные данные об объеме и сроках разработки.
Проект производства работ составляется на основе проекта организации строительства, разработанного в составе рабочего проекта (проекта), а также необходимой рабочей документации.
3.7. Проекты производства работ должны разрабатываться с учетом прогрессивных методов и способов организации строительного производства, внедрения бригадного подряда на основе хозяйственного расчета, применения эффективных технологических процессов, обеспечивающих сокращение трудозатрат и высокий уровень качества строительно-монтажных работ.
3.8. По сложным объектам генподрядные строительные организации до 15 сентября года, предшествующего планируемому, направляют Минстрою союзной республики (главку, объединению, территориальному управлению строительства) проект плана обеспечения объектов строительства проектами производства работ с указанием их ориентировочной стоимости и сроков разработки.
Минстрой союзной республики (главк, объединение, территориальное управление строительства) до 1 октября составляет по всем объектам сводный план разработки ППР с указанием разработчика и после утверждения в пятидневный срок доводит этот план до строительной организации.
На основании утвержденного плана разработки ППР строительные организации заключают договора на разработку ППР с уточнением сроков и стоимости их разработки.
Субподрядные организации представляют генпорядной организации на согласование план разработки ППР на выполняемые ими работы в соответствии со сроками, указанными в сводном плане разработки ППР.
3.9. Проект производства работ по реконструкции или расширению действующего предприятия должен быть согласован с дирекцией предприятия.
Утвержденный проект производства работ должен быть передан на строительную площадку за два месяца до начала работ.
4. ПОДГОТОВКА СТРОИТЕЛЬНОЙ ОРГАНИЗАЦИИ
4.1. Подготовка строительной организации включает в себя решение следующих задач:
разработку документации по организации работ на годовую (двухлетнюю) программу;
разработку годового производственно-экономического плана (стройфинплана) строительной организации;
разработку оперативных производственно-экономических планов на квартал;
разработку системы оперативно-диспетчерского управления строительным производством.
4.2. Документация по организации работ производственной программы <1> строительной организации представляет собой совокупность организационно-технологических документов, направленных на обеспечение своевременного непрерывного и ритмичного ввода в действие объектов строительства при рациональном использовании трудовых и материально-технических ресурсов.
--------------------------------
<1> Документация по организации работ производственной программы далее по тексту именуется документацией по организации работ.
4.3. Документация по организации работ содержит:
календарный план строительства объектов годовой (двухлетней) производственной программы строительно-монтажной организации;
график распределения объемов работ по исполнителям и объектам производственной программы;
график движения строительных бригад по объектам годовой производственной программы;
график движения строительных машин и механизмов по объектам производственной программы;
ведомость поставки технологических комплектов строительных материалов, деталей, конструкций и инженерного оборудования на объекты.
4.4. Календарный план работ является основным документом, обеспечивающим согласование организационных и технологических решений по строительству всех объектов производственной программы строительной организации. Задача календарного планирования состоит в организационной и технологической увязке работ, выполняемых различными подразделениями на различных объектах, с учетом возможностей обеспечения этих работ всеми видами трудовых и материально-технических ресурсов, соблюдения установленных сроков ввода объектов в действие и организации строительного производства непрерывным долговременным потоком.
4.5. Исходными данными для разработки календарного плана работ является:
проект титульных списков;
проект производственной программы строительной организации;
проектно-сметная документация;
достигнутые бригадами технико-экономические показатели;
данные о наличии трудовых ресурсов в строительных подразделениях в разрезе специализированных (комплексных) бригад;
организационно-технологические решения возведения объектов, принятые в проектах организации строительства (ПОС) и проектах производства работ (ППР).
4.6. Разработка календарного плана работ строительной организации (треста, объединения) осуществляется в следующем порядке:
строительная организация, на основе полученных от заказчиков проектов внутрипостроечных титульных списков, составляет проект производственной программы на планируемый год и план распределения объектов и объемов работ по подведомственным строительно-монтажным управлениям (СМУ) с учетом их территориального расположения, специализации и мощности;
в строительно-монтажных управлениях, на основе проекта производственной программы, разрабатываются календарные планы подрядных работ СМУ;
строительная организация, получив от СМУ календарные планы подрядных работ, анализирует их с точки зрения обеспечения ресурсами, а также равномерности и ритмичности их использования в течение планируемого года в целом по строительной организации (тресту).
Расчетные потребности в ресурсах сопоставляются с наличными ресурсами в разрезе бригад, номенклатуры строительных материалов и конструкций, типов (марок) строительных машин и механизмов; в случае превышения потребностей по отдельным видам трудовых, материальных и технических ресурсов разрабатываются мероприятия (рекомендации) по обеспечению строительных подразделений недостающими видами ресурсов, либо производится корректировка календарных планов работ СМУ.
С учетом корректировки формируется календарный план работ строительно-монтажной организации как совокупность взаимоувязанных календарных планов СМУ.
Проект календарного плана работ строительной организации разрабатывается одновременно и в увязке с разработкой проектов титульных списков. Этот процесс носит итеративный характер. Проект титульных списков подлежит утверждению после полной увязки его содержания с решениями календарного плана работ строительной организации.
4.7. Разработка календарного плана подрядных работ СМУ осуществляется в следующем порядке:
выделение и расчет специализированных (комплексных) потоков;
определение достигнутых бригадами технико-экономических показателей;
обработка проектно-сметной документации по всем объектам, включенным в производственную программу;
разработка организационно-технологических моделей объектов;
построение организационно-технологической модели годового плана подрядных работ СМУ (календарного плана работ).
4.8. На основе обработки данных бригадного учета определяются следующие технико-экономические показатели, достигнутые бригадами:
расчетная численность бригады;
средняя выработка в стоимостных показателях, руб. на 1 чел.-дн.;
средняя выработка в натуральных показателях по основным видам работ на 1 чел.-дн.
4.9. В результате обработки проектно-сметной документации формируются следующие данные, характеризующие структуру сметной стоимости и трудоемкости строительства объекта:
перечень видов работ;
сметная стоимость и нормативная трудоемкость по видам работ;
физический объем работ, приведенный к натуральной единице измерения.
Полученные в результате обработки ПСД технико-экономические показатели работ используются для разработки организационно-технологических моделей строительства объектов и графиков движения бригад по объектам.
4.10. На основе анализа исходных данных по каждому объекту в соответствии с проектно-сметной документацией выделяются специализированные потоки, соответствующие подразделениям генподрядной и субподрядных строительно-монтажных организаций, принимающих участие в строительстве данного объекта.
Специализированные потоки рекомендуется выделять по следующим видам работ: земляным; устройству подземных коммуникаций, устройству фундаментов под каркас здания; возведению надземной части здания; устройству фундаментов под оборудование; устройству подготовки под полы; кровельным; плотничным; штукатурным; малярным; облицовочным; чистопольным; работам по благоустройству, электротехническим; теплотехническим; сантехническим; устройству слаботочных сетей; газовой разводки; монтажу термоизделий; монтажу технологического оборудования; монтажу технологических трубопроводов; устройству лифтов.
При выполнении одного вида работ различными подразделениями генподрядной и субподрядной организаций каждому из них выделяются соответствующие спецпотоки. Это дает возможность формирования планов по каждому подразделению генподрядной и субподрядной организаций на планируемый год.
4.11. После закрепления объектов и объемов работ между бригадами ведущей специальности объекты распределяются между бригадами других специальностей. При закреплении объектов за бригадами учитываются: размещение бригад по объектам, строительство которых продолжается в планируемом году, специализация бригады (строительство школ, детских садов, жилых домов и т.д.); ее квалификационный состав; производительность труда и другие показатели, достигнутые бригадой.
4.12. Организационно-технологическая модель представляет собой сетевой или линейный график строительства объекта, в котором предусматривается рациональная разбивка на технологические законченные конструктивные элементы.
В модели отображаются перечень основных работ, последовательность их выполнения и характер взаимосвязи между ними.
Основная задача, которая решается при построении организационно-технологических моделей, состоит во взаимной увязке основных видов работ, выполняемых специализированными потоками при строительстве объектов.
Взаимоувязка работ производится в части организационной и технологической последовательности, совмещенности, направления развития, методов организации строительных процессов и сроков их выполнения. Взаимоувязка строительных процессов (потоков) предполагает согласованное их выполнение во времени разными исполнителями (звеньями, бригадами).
В
прил. 2 приведен рекомендуемый порядок организационно-технологического обоснования производственного плана строительной организации.
4.13. В организационно-технологической модели на основе расчета параметров специализированных потоков устанавливаются: структура модели; интенсивность потребления ресурсов; продолжительность выполнения каждой работы; время начала и окончания каждой работы.
4.14. Разработка организационно-технологической модели годового плана подрядных работ СМУ производится на основе разработанных моделей строительства отдельных объектов в следующем порядке:
устанавливается среднее число исполнителей по определяющему (ведущему) строительному процессу - монтажу строительных конструкций и определяется продолжительность выполнения работ на каждом объекте как отношение трудоемкости к числу исполнителей;
строится график выполнения ведущего процесса;
производится построение графиков суммарной потребности в трудовых ресурсах по каждому виду работ на объектах.
4.15. Организационно-технологическая модель годового плана служит основой для формирования календарного плана работ строительно-монтажной организации (треста), распределения материально-технических и трудовых ресурсов, поставки технологического оборудования, разработки проектов производства работ, графиков работы субподрядных организаций и других документов по организации работ производственной программы.
4.16. На основе сформированного календарного плана работ строительно-монтажной организации составляется график распределения объемов работ по исполнителям и объектам производственной программы с указанием их сметной стоимости.
4.17. График движения основных строительных машин и механизмов по объектам производственной программы строительно-монтажной организации разрабатывается на основе календарного плана.
Закрепление машин и механизмов за объектами и бригадами осуществляется на основе анализа архитектурно-планировочных и конструктивных характеристик возводимых зданий и сооружений.
4.18. График поставки материально-технических ресурсов на объекты с распределением их по исполнителям, поставщикам, объектам и срокам составляется на основе календарного плана работ строительно-монтажной организации.
4.19. Документация по организации работ на годовую программу является организационно-технологической расчетной основой годового производственно-экономического плана (стройфинплана) строительно-монтажной организации.
4.20. Распределение по периодам (квартал, месяц) финансовых, трудовых и материально-технических ресурсов производится на основе календарного плана работ строительно-монтажной организации.
4.21. Основой для разработки оперативных производственно-экономических планов на квартал является утвержденный годовой производственно-экономический план (стройфинплан) строительно-монтажной организации.
Целью разработки квартальных документов ПСП является детальная проработка по месяцам, уточнение и корректировка объемов и сроков производства строительно-монтажных работ и планов материально-технического обеспечения.
4.22. Строительно-монтажная организация за 30 дн. до начала планируемого квартала формирует оперативный производственно-экономический план на квартал с разбивкой по месяцам. Руководителям строительных организаций запрещается производить работы (отвлекать материально-технические и другие ресурсы) на объектах, не предусмотренных квартальными планами.
4.23. На стадии квартального планирования решается следующий комплекс задач по материально-техническому обеспечению и комплектации:
определение потребности в технологических комплектах материальных ресурсов объектов в соответствии с их приоритетом и потребностью в конструкциях, изделиях и материалах;
определение потребности в сырье для промышленных подразделений строительной организации;
формирование нарядов на поставку конструкций от заводов-изготовителей;
разработка наряд-заказов на комплексную поставку сборных конструкций и изделий для объектов строительства по промышленным предприятиям стройиндустрии;
составление плана комплектного изготовления и поставок конструкций, изделий и полуфабрикатов по промышленным подразделениям треста (объединения);
разработка квартальных заказов на материалы для территориальных органов Госснаба СССР.
4.24. Результатами квартального планирования материально-технического обеспечения и комплектации строительной организации являются:
утвержденный график поставок технологических комплектов материально-технических ресурсов;
план изготовления конструкций и изделий по промышленным предприятиям строительной организации;
наряд-заказы на комплектную поставку изделий и конструкций по заводам-изготовителям;
сводный квартальный заказ на поставку материалов;
сводный календарный план комплектации по строительной организации.
4.25. Система оперативно-диспетчерского управления в строительстве создается для обеспечения выполнения оперативных графиков производства строительно-монтажных работ.
Система оперативно-диспетчерского управления включает диспетчерскую службу, сеть диспетчерских пунктов и комплекс технических средств связи.
4.26. Диспетчерская служба создается в установленном порядке на всех уровнях управления строительным производством. Кроме того, может создаваться объединенная диспетчерская служба, в состав которой входят диспетчеры организаций, участвующих в строительстве.
Основой для оперативного диспетчерского контроля и регулирования работ на объектах строительства являются оперативные (недельно-суточные) графики.
Недельно-суточные графики разрабатываются в строительно-монтажных трестах и приравненных к ним организациях (трестах механизации, автотранспортных трестах, ДСК, ССК и т.п.), а также в подведомственных им подразделениях по каждому объекту и строительному подразделению.
4.27. Порядок разработки и утверждения недельно-суточных графиков устанавливается руководством строительно-монтажного треста, производственного строительно-монтажного объединения и приравненных к ним организаций.
4.28. В качестве исходных данных для разработки недельно-суточных графиков должны использоваться:
документация по организации работ на годовую (двухлетнюю) производственную программу;
годовой производственно-экономический план;
оперативные производственно-экономические планы на квартал (с разбивкой по месяцам);
данные о состоянии работ на отдельных объектах к началу планируемого периода;
данные об условиях поставок оборудования, о возможностях и сроках обеспечения трудовыми и материально-техническими ресурсами на планируемый период.
5. ПОДГОТОВКА К ПРОИЗВОДСТВУ СТРОИТЕЛЬНО-МОНТАЖНЫХ РАБОТ
5.1. Подготовка к производству строительно-монтажных работ включает в себя разработку: ППР на отдельные виды работ; типовых технологических карт; карт трудовых процессов; мероприятий по организации труда, в том числе методом бригадного подряда с применением механизированных комплексов, а также документации для осуществления контроля и оценки качества работ; схем комплексной механизации; организации инструментального хозяйства для обеспечения строительных бригад необходимыми средствами малой механизации, измерения и контроля.
5.2. Разработка ППР на отдельные виды работ осуществляется в соответствии с требованиями
разд. 3 Рекомендаций.
5.3. Типовые технологические карты разрабатываются для обеспечения выполнения строительных работ рациональными организационными и технологическими решениями, принимаемыми с учетом новейших достижений науки и техники и передового опыта строителей, с тем чтобы получить продукцию высокого качества с минимальными затратами материально-технических и трудовых ресурсов. Типовые технологические карты разрабатываются строительными организациями с привлечением проектно-технологических трестов Оргтехстрой или научно-исследовательских организаций.
5.4. В типовых технологических картах необходимо предусматривать организационно-технологические решения, которые должны обеспечивать высокие технико-экономические показатели, качество и безопасность выполнения работ; выполнение строительных процессов с применением способов и методов, отвечающих современным требованиям организации, технологии, планирования и управления строительным производством, ритмичное выполнение работ и их максимальное совмещение; комплектную поставку конструкций, изделий, полуфабрикатов и материалов, поставку конструкций и технологического оборудования укрупненными блоками; внедрение комплексной механизации работ с максимальным использованием наиболее производительных машин; применение малой механизации; соблюдение правил производственной санитарии, охраны труда и техники безопасности.
5.5. Привязка типовых технологических карт к конкретным объектам и условиям строительства состоит в уточнении объемов работ, средств механизации, потребности в трудовых и материально-технических ресурсах.
5.6. Технологические карты на строительную площадку передаются в двух экземплярах, один для прораба (мастера), другой вручается строительной бригаде вместе с нарядом на выполнение работ.
5.7. Карты трудовых процессов разрабатываются с целью внедрения в строительное производство высокоэффективных трудовых процессов и регламентации создания на стройках необходимых условий улучшения организации труда рабочих на научной основе.
6. ПРИМЕНЕНИЕ ЭКОНОМИКО-МАТЕМАТИЧЕСКИХ МЕТОДОВ И ВЫЧИСЛИТЕЛЬНОЙ ТЕХНИКИ ДЛЯ РЕШЕНИЯ ЗАДАЧ ПСП
6.1. Наиболее эффективное применение ЭВМ при подготовке строительного производства достигается при комплексной автоматизации решения всех задач в составе автоматизированной системы управления строительным производством.
6.2. Программное обеспечение ЭВМ, используемое на вычислительных центрах Минстроя СССР, Минтяжстроя СССР и Минпромстроя СССР и республиканских строительных министерств и ведомств, позволяет автоматизировать решение следующих задач:
формирование и обработка проектно-сметной документации (
1,
10)
<*>;
разработка документации по выполнению производственной программы строительной организации;
формирование и расчет календарных графиков производства строительно-монтажных работ (
6,
7);
расчет потребности в строительных машинах и механизмах
(11);
разработка годового плана производственно-экономической деятельности строительной организации;
расчет себестоимости строительно-монтажных работ и потребности в материально-технических ресурсах;
расчет нормативной базы строительной организации
(3);
формирование календарного плана производства работ (
2,
4);
расчет графика поставки на объект строительных конструкций, деталей, полуфабрикатов, материалов и оборудования с применением комплектовочных ведомостей
(9);
расчет графика потребности в рабочих кадрах (
4,
6);
расчет графика потребности в основных строительных машинах
(4);
формирование унифицированной нормативно-технологической документации (УНТД) по комплектации объектов материально-техническими ресурсами
(8).
--------------------------------
<*> Номера программ соответствуют приведенным в
прил. 1.
7. УПРАВЛЕНИЕ ПОДГОТОВКОЙ ПРОИЗВОДСТВА В СТРОИТЕЛЬНЫХ ОРГАНИЗАЦИЯХ
7.1. Управление подготовкой строительного производства направлено на реализацию мероприятий и задач ПСП путем координации деятельности подразделений и службы ПСП строительной организации (главка, треста). Общее руководство подготовкой строительного производства должно осуществляться руководителем строительной организации. Координация работ по подготовке строительного производства возлагается на службу ПСП, создаваемую в строительной организации в пределах установленной численности.
Распределение функций подготовки строительного производства между подразделениями и отделом ПСП определяется положением о службе ПСП, разрабатываемым каждой строительной организацией с учетом ее специфики. Службу ПСП целесообразно выделить в самостоятельное подразделение (отдел ПСП) путем перестройки существующих функциональных отделов и перераспределения функций между ними <1>.
--------------------------------
<1> Решение о структуре и количественном составе отдела ПСП принимается в каждом конкретном случае в зависимости от уровня и состава решаемых задач ПСП в строительной организации и условий строительства.
7.2. На основе обобщения передового опыта разработки и внедрения систем ПСП в строительных организациях ряда министерств и ведомств можно рекомендовать следующую структуру и задачи службы ПСП.
Служба ПСП выполняет следующие функции: обработку проектно-сметной документации; подготовку организационно-технологической документации; планирование подрядных работ и материально-технического снабжения; разработку нормативов.
7.3. При рассмотрении вопросов, связанных с подготовкой проектно-сметной документации, решаются следующие задачи:
согласование графиков подготовки и прохождения ПСД;
получение, проверка и обработка ПСД;
организация рассмотрения ПСД в подразделениях (СМУ);
проверка соответствия ПСД современным требованиям и технологическим условиям на проектирование;
составление замечаний на ПСД;
передача проектно-сметной документации специализированным организациям и получение от них замечаний;
подготовка заключений на проектно-сметную документацию;
обеспечение проектно-сметной документацией подразделений треста и субподрядных организаций;
проверка наличия ПСД на объектах, включенных в титульные списки.
7.4. При подготовке организационно-технологической документации решаются следующие задачи:
разработка проектов производства работ;
подготовка заданий на разработку ППР тресту Оргтехстрой или проектным организациям;
разработка документации по организации работ на годовую программу;
проверка и согласование ППР и документации по организации работ, разрабатываемых субподрядными организациями;
разработка и привязка технологических карт;
разработка и привязка схем комплексной механизации;
согласование графиков работы строительных бригад и строительных машин;
рассмотрение предложений ИТР по изменению технологии работ для выдачи соответствующего разрешения;
согласование и увязка документации по организации работ с субподрядными организациями;
обеспечение организационно-технологической документацией подразделений треста (в том числе линейного персонала) и субподрядных организаций;
разработка мероприятий по авторскому надзору за выполнением ППР.
7.5. При планировании подрядных работ служба ПСП:
согласовывает объемы и сроки выполнения работ с субподрядными организациями;
участвует в составлении годового плана строительной организации и разработке оперативных квартальных планов.
7.6. При планировании материально-технического обеспечения служба ПСП участвует в:
проверке в ПСД заказных спецификаций и ведомостей на оборудование, металл, кабельную продукцию и т.д.;
разработке и согласовании лимитно-комплектовочных ведомостей;
разработке технологических комплектов материальных ресурсов;
работе по составлению специфицированных заявок и согласованию поставочных комплектов из расчета на бригаду;
согласовании с соответствующими отделами и службами строительной организации вопросов своевременного обеспечения объектов строительства материально-техническими ресурсами.
7.7. Нормативная база разрабатывается и периодически обновляется по расходу материально-технических ресурсов, по трудовым и сметным затратам, заработной плате.
7.8. Служба ПСП осуществляет руководство группами ПСП, создаваемыми в строительных подразделениях.
Порядок взаимодействия службы ПСП с функциональными и производительными подразделениями устанавливается руководством строительной организации.
В субподрядных (специализированных) организациях служба ПСП организуется с учетом специфики их работы.
В отдельных случаях при строительстве крупных объектов, где участвует большое количество различных организаций, может быть создана временная служба ПСП (на период строительства объекта) в виде координационного центра (штаба) из представителей этих организаций.
ПРОГРАММ, РЕКОМЕНДУЕМЫХ ДЛЯ РЕШЕНИЯ ЗАДАЧ ПСП НА ЭВМ
Программа 1. Обработка сметной документации.
Разработчик: Главсевкавстрой Минуралсибстроя СССР.
Язык разработки: PL/1, Ассемблер.
Применяемая ЭВМ: ЕС-1020.
Назначение: выдача ведомостей сметных объемов работ в агрегированном виде.
N п.п. | Выходная информация | N п.п. | Исходная информация |
1 | Ведомость агрегированных объемов работ | 1 | Сметы |
Программа 2. Календарное планирование на основе сетевых моделей (А-план).
Разработчик: НИИ строительства Госстроя ЭССР, г. Таллин.
Язык разработки: PL/1, Ассемблер.
Применяемая ЭВМ: ЕС-1020.
Назначение: формирование различных вариантов календарного расписания строительно-монтажных работ.
N п.п. | Выходная информация | N п.п. | Исходная информация |
1 | План строительного производства на: а) год; б) квартал; в) месяц для объекта, СМУ, треста | 1 | Оперативная: а) сетевые модели объектов, б) таблицы ограничений |
| | 2 | Постоянная: а) словари этапов строительства объектов; б) физобъемы |
Программа 3. Расчет потребности в материально-технических ресурсах.
Разработчик: ВЦ Минстроя ЛатвССР.
Применяемая ЭВМ: ЕС-1022.
Назначение: расчет пообъектных нормативных потребностей в материалах, технических ресурсах, трудоемкости и заработной плате, а также формирование заказа-заявки потребностей и материальных ресурсах.
Программа 4. Формирование календарных планов СМР на основе сетевых графиков.
Разработчики: трест Оргтехстрой Минстроя ЭССР, г. Таллин НИИ строительства Госстроя ЭССР, г. Таллин; ПТИОМЭС Минсевзапстроя СССР, г. Ярославль.
Язык разработки: PL/1, Ассемблер.
N п.п. | Выходная информация | N п.п. | Исходная информация |
1 | Комплектовочно-технологическая карта (КТК) по видам работ | 1 | Пообъектная информация по инженерным сетям и благоустройству |
2 | Сводная комплектовочно-технологическая карта (СКТК) | 2 | Пообъектная информация по подземной и надземной частям здания |
3 | Нормативные показатели по труду | 3 | Оперативная информация к заказам-заявкам: |
4 | Производственные нормативы продолжительности и стоимости эксплуатации собственных машин и механизмов | 4 | словари материалов, изделий, машин, механизмов, работ и услуг для объектов; |
5 | Сметные показатели | 5 | нормативные карточки; |
6 | Заказы-заявки на материальные ресурсы Главснабу | 6 | нормативные массивы для подземной и надземной частей здания; сведения о нормативных запасах по материальным ресурсам, об остатках на складах |
Применяемая ЭВМ: ЕС-1020.
Назначение: расчет календарных планов СМР на основе сетевых графиков для строительных трестов и управлений.
N п.п. | Выходная информация | N п.п. | Исходная информация |
1 | Годовой и квартальный планы строительства по тресту в разрезе СМУ, бригад, объектов | 1 | Перечень объектов и работ с основными характеристиками |
2 | Таблицы временных характеристик работ сетевых моделей | 2 | Данные о мощности трестов и СМУ: |
3 | Графики загрузки бригад | 3 | словари строек и объектов; |
4 | Графики загрузки машин и механизмов | 4 | словари организаций и подразделений; |
| | 5 | словари работ сетевых моделей; |
| | 6 | словари ресурсов; |
| | 7 | нормы расхода ресурсов |
Программа 5. Планирование и управление на основе сетевых графиков - расчет себестоимости СМР и потребности в ресурсах.
Разработчик: Главсевкавстрой Минуралсибстроя СССР.
Язык разработки: PL/1, Ассемблер.
Применяемая ЭВМ: ЕС-1020.
Назначение: расчет потребности в ресурсах, фонда заработной платы, производительности труда и себестоимости.
N п.п. | Выходная информация | N п.п. | Исходная информация |
1 | Ведомости распределения объемов СМР по исполнителям | 1 | Ведомости сметных объемов работ и ресурсов: |
2 | Потребности в материальных и трудовых ресурсах, машинах и механизмах | | словари строительных материалов; словари видов трудозатрат, затрат работы машин и механизмов |
Программа 6. Формирование календарного плана строительства комплекса объектов.
Разработчик: ЦНИИОМТП Госстроя СССР (ОФАП).
Язык разработки: Фортран-4, Алгол-60.
Применяемая ЭВМ: ЕС-1022, М-222.
Назначение: расчет календарных графиков строительства комплекса объектов. Она позволяет рассчитывать календарные графики, оптимальные по критериям равномерного использования ресурсов; определять оптимальную очередность строительства объектов комплекса, максимальное совмещение видов работ на отдельных объектах и решить обратную задачу - расчет необходимого количества ресурсов при ограничениях на продолжительность строительства. Расчет календарных графиков строительства комплекса объектов на ЭВМ осуществляется в два этапа. На 1-м этапе рассчитывается календарный график строительства отдельных объектов, на 2-м этапе формируется общий календарный график строительства всего комплекса.
N п.п. | Выходная информация | N п.п. | Исходная информация |
| Для отдельного объекта | | Для отдельного объекта |
1 | Продолжительность возведения объекта | 1 | Количество видов работ |
2 | Приведенное время начала работ на объекте | 2 | Число ступеней |
3 | Количество объектов |
3 | Приведенное время окончания работ на объекте | 4 | Минимальное число исполнителей по каждой работе согласно ЕНиР |
4 | Ресурсы типа "мощность", необходимые для выполнения работ | 5 | Технологические последовательности: по номерам работ; по количеству работ на соответствующих ступенях |
5 | Оптимальное время начала потоков на объектах |
6 | Оптимальное время окончания потоков на объектах | 6 | Число осей |
| Для комплекса объектов | 7 | Объемы СМР по видам работ |
1 | Максимальное число исполнителей на каждой работе | 8 | Выработка по каждому виду работ |
2 | Продолжительность строительства объекта | | Для комплекса объектов |
1 | Количество объектов |
3 | Приведенное время начала работ на объекте | 2 | Количество видов работ |
3 | Количество, видов ресурсов |
4 | Приведенное время окончания работ на объекте | 4 | Количество работ, выполняемых одним ресурсом, для каждого ресурса |
5 | Ресурсы, необходимые для выполнения работ типа "мощность" | 5 | Номера работ, выполняемых одним ресурсом |
| | 6 | Имеющиеся в наличии ресурсы |
| | 7 | Мощность строительной организации |
| | 8 | Ресурсы, необходимые для выполнения работ |
Ограничения: количество объектов - не более 99; количество работ на объектах - не более 99; количество видов ресурсов - не более 99.
Программа 7. Формирование календарного плана специализированных работ (Поиск-2).
Разработчик: ИВЦ Главзапстроя Минсевзапстроя СССР.
Язык разработки: Фортран.
Применяемая ЭВМ: ЕС-1022.
Назначение: ежеквартальное формирование календарного плана специализированных работ.
N п.п. | Выходная информация | N п.п. | Исходная информация |
1 | Календарный план производства монтажных работ | 1 | Ведомость объемов работ |
2 | Численный состав бригад: |
2 | Сводные планы работ по управлению и тресту | 3 | словари специальностей, отраслей и направлений строительства |
Программа 8. Формирование унифицированной нормативно-технологической документации для подготовки строительного производства.
Разработчик: ВЦ Минстроя ЛатвССР.
Применяемая ЭВМ: ЕС-1022.
Назначение: обеспечение расчетов пообъектных нормативных данных и формирование заявок на материальные ресурсы. Получение взаимоувязанных нормативных данных в разрезе бригад.
N п.п. | Выходная информация | N п.п. | Исходная информация |
1 | Комплектовочно-технологическая карта | 1 | Оперативная: пообъектная информация о монтажных и общестроительных работах; материальные ресурсы по объектам |
2 | Нормативные показатели по труду |
3 | Сметные и производственные нормативы |
4 | Продолжительности и стоимости эксплуатации машин и механизмов | 2 | Постоянная: словари материалов; словари изделий; словари машин и механизмов; словари объектов; словари работ и услуг |
5 | Заявки на материальные ресурсы |
Программа 9. Определение потребности в материальных ресурсах по технологическим комплектам.
Разработчик: Минсевзапстрой СССР.
Язык разработки: PL/1, Ассемблер.
Применяемая ЭВМ: ЕС-1020.
Назначение: определение годовой, квартальной и месячной потребности в конструкциях, полуфабрикатах и материалах на основе технологических комплектов, заявки на поставку материальных ресурсов, заявки на выполнение расчетов.
N п.п. | Выходная информация | N п.п. | Исходная информация |
1 | Ведомости потребности в материальных ресурсах по объекту, СУ, тресту, главку на месяц, квартал, год | 1 | Массивы единого информационного обеспечения |
2 | Сводные ведомости потребности в материальных ресурсах в разрезе подразделений | | |
Программа 10. Подготовка организационно-технологической документации для формирования плана работ строительства треста.
Разработчик: ВЦ Минстроя ЛатвССР.
Применяемая ЭВМ: ЕС-1022
Назначение: проверка сметной стоимости, расчет потребности в материальных ресурсах, расчет технико-экономических показателей в разрезе объектов и укрупненных видов работ.
N п.п. | Выходная информация | N п.п. | Исходная информация |
1 | Перечень укрупненных работ по объектам | 1 | Оперативная: о выполненных работах; перечень объектов и этапов; директивные сроки |
2 | Расчет труда и заработной платы по объектам |
3 | Сводная спецификация и комплектовочная ведомость на материалы по объектам | 2 | Постоянная: нормативы трудозатрат; нормативы зарплаты; нормативы материальных ресурсов по видам работ; словари организаций; словари исполнителей; словари материалов и изделий |
Программа 11. Расчет потребности в строительных машинах и механизмах.
Разработчик: НИИАСС Госстроя УССР, г. Киев.
Применяемая ЭВМ: БЭСМ-6.
Назначение: для расчетов потребности в строительных машинах и механизмах 30 видов на период перспективного планирования.
Ограничения: количество объектов - 100.
N п.п. | Выходная информация | N п.п. | Исходная информация |
1 | Потребности каждого объекта и генподрядного треста в машинах и механизмах по годам планируемого периода | 1 | Квартальные объемы работ на планируемый период по каждому объекту СМР |
| | 2 | Нормативы для определения потребности в строительных машинах и механизмах |
ОРГАНИЗАЦИОННО-ТЕХНОЛОГИЧЕСКОГО ОБОСНОВАНИЯ
ПРОИЗВОДСТВЕННОЙ ПРОГРАММЫ СТРОИТЕЛЬНОЙ ОРГАНИЗАЦИИ
Годовой план подрядных работ строительной организации (производственная программа) считается удовлетворительным, если он отвечает следующим условиям:
а) потребность в рабочих, оснащенных средствами механизации, для выполнения ведущего процесса в течение планируемого года в каждый момент времени остается постоянной и соответствует имеющимся в строительной организации для этой цели трудовым ресурсам;
б) потребность в рабочих для любых других (неведущих) процессов не превышает заданной величины;
в) сроки ввода в действие объектов не превышают директивных сроков.
Рекомендуется следующий порядок организационно-технологических расчетов при формировании годового плана работ треста.
Пусть в проекте годового плана подрядных работ имеется Ni объектов (зданий, сооружений) (где i = 1, 2, 3..., n) и процессов (основных видов работ, специализированных потоков) Mj (где j = 1, 2, 3..., m), выполняемых собственными силами строительной организации или силами субподрядных организаций, производственные мощности которых полностью используются для выполнения работ в данной генподрядной организации. При этом учитываются сложные процессы, продолжительность которых входит слагаемым в общую продолжительность строительства каждого из объектов.
По каждому из объектов проектом годового плана работ определены директивные сроки ввода их в действие

. Предполагается, что планируемые (директивные) сроки ввода объектов в действие определены как по отдельным объектам, так и по объектам, входящим в состав комплексов (предприятий). Причем при определении

для последних учтены условия и требования по их организационной и технологической увязке внутри комплекса.
Тогда условие а) запишется следующим образом:

(1)
где

- функция, выражающая потребность в трудовых ресурсах на выполнение ведущего процесса, имеющего наибольший удельный вес как по объему (трудоемкости) работ, так и по продолжительности его выполнения;
fв(t) - функция, выражающая (заданное) наличие трудовых ресурсов на выполнение ведущего процесса.
Условие б) запишется:

(2)
где fj(t) - функция, выражающая наличие трудовых ресурсов для любого другого вида работ;

- функция, выражающая потребность трудовых ресурсов для выполнения любого другого вида работ.
Условие в) запишется:
где ti - срок окончания строительства объекта по модели плана;

- директивный срок окончания строительства.
Значения
функций (1),
(2) определяются следующим образом. Производственная мощность треста в плановом периоде, как правило, постоянна и в основном определяется трудовыми ресурсами (численностью рабочих основных профессий), оснащенными средствами механизации и выполняющими определенные виды работ, т.е.

(3)

(4)
где

,

- общее наличие трудовых ресурсов (число рабочих) соответствующей специальности в тресте.
Из условий
функции (1) и заданного плана работ принимаем, что

(5)
где Tп - общий годовой фонд рабочего времени в планируемом году (дни, недели, месяцы и т.д.);

- годовой объем работ по ведущему процессу на объекте, выраженный через трудоемкость;
Rв - число единиц трудового ресурса (рабочих звеньев), необходимых для выполнения данной работы суммарно для всех объектов или интенсивность потребления трудовых ресурсов.
При определении

исходим из следующих условий:
плановый период делится на элементарные промежутки времени (месяц, неделя, день, смена), на протяжении которых все интенсивности потребления ресурсов

отдельными работами на каждом из объектов, считаются постоянными;
продолжительность каждой работы

принимается кратной элементарным промежуткам (дням, сменам), т.е. выражается целым числом. В этом случае

и график потребности в ресурсах (интенсивности) по любому виду работ, кроме ведущего
j = в, относится к числу кусочно-постоянных (ступенчатых) функций, или иначе, изменение необходимой интенсивности потребления ресурсов происходит в моменты, совпадающие с концами элементарных временных промежутков.

(6)
при ограничениях:
В том случае, когда эти условия удовлетворяются, проектируемый план может быть принят.
Если эти условия не удовлетворяются, возможны следующие случаи:
а)

;

;

, где

- заданная величина, ставится вопрос о включении в план подрядных работ дополнительных объектов (объемов работ);
в)

:

;

.
В этих случаях решается вопрос об исключении из плана или отнесении на следующий за плановым периодом срок некоторых объектов или работ, а также пересмотре сроков ввода в действие тех объектов, для которых

. На этой основе разрабатываются предложения по окончательному формированию плана подрядных работ.
Решение задачи по отысканию удовлетворительного проекта плана работ с учетом условий (целей и ограничений) практически сводится к построению исходной и впоследствии оптимизированной организационно-технологической модели годового плана работ. Такие модели разрабатываются на основе сетевых, циклограммных или линейных моделей на отдельные объекты. При этом основное внимание уделяется взаимной увязке строительно-монтажных работ (специализированных потоков).
Увязка работ производится в части организационной и технологической последовательности, совмещения, направления развития, методов организации строительных процессов, продолжительности и сроков их выполнения. Варианты последовательности процессов определяются возможными перестановками в порядке их выполнения и связаны с составом и размещением видов конструкций в здании и сооружении, а также технологической связью конструктивных элементов между собой.
Во всех случаях при выборе последовательности выполнения процессов по возведению объектов необходимо стремиться к обеспечению удобных условий для непрерывной работы отдельных бригад, открытию широкого фронта для общестроительных работ и работ по монтажу технологического оборудования, максимального совмещения их выполнения.
Взаимоувязка смежных <1> процессов представляет собой согласованное их выполнение во времени разными исполнителями (звеньями, бригадами).
--------------------------------
<1> Под смежными процессами в дальнейшем будем принимать организационно-связанные процессы, имеющие общую рабочую зону.
Строительно-монтажные процессы могут выполняться параллельно (независимо друг от друга), последовательно и совмещенно. Совмещенный метод организации строительных процессов в практике строительства получил широкое развитие. Параллельное и последовательное выполнение процессов правильнее рассматривать как крайние формы совмещенного (поточного выполнения). Действительно, если постепенно уменьшить период

, в течение которого смежные процессы выполняются одновременно, т.е. увеличивать организационный перерыв

, в конечном итоге получится чистая последовательность. Если же этот период постепенно увеличивать (т.е. уменьшать организационный перерыв), получится параллельное выполнение процессов.
Последовательное выполнение двух смежных процессов, когда начало последующей работы возможно после полного окончания предшествующей, имеет место в особых случаях. Такой метод увязки процессов, как правило, диктуется конструкцией здания, отсутствием достаточного фронта работ или выполнением предыдущей и последующей работы одними и теми же исполнителями.
Уравнение связи двух смежных процессов, выполняемых последовательно, можно записать следующим образом:

или

, (7)
где

,

- соответственно моменты времени начала
j-го и (
j+1)-го процессов;
Tj - продолжительность j-го процесса;

- величина организационного перерыва между началами
j-го и (
j+1)-го процессов.
Взаимоувязка смежных процессов при совмещенном их выполнении производится двумя различными методами в зависимости от характера образования рабочих зон (фронта работ).
Увязка процессов первым методом осуществляется в том случае, когда рабочая зона каждого последующего процесса непосредственно образуется продукцией предшествующего <1>, а фронтом работ является законченный конструктивный элемент или его часть. Иначе говоря, между конструкциями в этом случае существует непосредственная технологическая связь, а образование рабочих зон (фронта работ) связано с условиями последовательного возникновения отдельных конструкций или их частей.
--------------------------------
<1> Такие процессы называются организационно-связанными, или смежными.
Основное условие увязки процессов первым методом состоит в том, что размеры захваток могут приниматься в широких пределах, от размеров рабочей зоны на единицу (звено) исполнителей до размеров полного фронта работ по процессу, т.е. по всему объекту.
Увязка процессов вторым методом производится в том случае, когда рабочая зона процесса образуется в результате выполнения одного или нескольких предшествующих процессов, продукция которых не является непосредственным фронтом работ. Рабочая зона (фронт работ) образуется в этом случае определенным строительным объемом и связана с условиями последовательного возникновения частей или всего здания (сооружения). Условие увязки процессов вторым методом состоит в том, что размеры захваток ограничиваются требованиями по готовности определенных частей (участков) здания в зависимости от принятых организационных решений по производству работ, например, выполнение отделочных работ, монтаж технологического оборудования с пуском системы отопления по частям здания (сооружения) и т.п.
Под рабочей зоной (фронтом работ) во всех случаях понимается участок здания (сооружения), определяющий пространственные, временные и технологические возможности для размещения и производительной работы в течение установленного промежутка времени принятого числа исполнителей.
Рассмотрим условия увязки первым методом двух организационно-связанных (смежных) строительных процессов.
Пусть имеется два смежных нерасчлененных (простых) процесса (частных потока) с номерами j и (j+1), выполняемых совмещенно. Обозначим через Qj; Qj+1 потребную трудоемкость или объемы работ по каждому из них, через rj; rj+1 соответственно число исполнителей (интенсивность потребления трудовых или машинных ресурсов) на выполнение каждого процесса.
Требуется найти величину организационного перерыва между началами каждого из процессов (или время, в течение которого по
j-му процессу образуется фронт работ для (
j+1)-го процесса), обозначаемую через

, после которого процесс
j+1 мог бы выполняться при заданном числе исполнителей
rj и
rj+1 и заданной трудоемкости выполнения каждого из процессов
Qj и
Qj+1 непрерывно, с необходимым и достаточным фронтом работ в каждый момент времени.
Введем величину q'j,(j+1), характеризующую фронт работ (размер делянки), выраженный через трудоемкость (или объем работ) j-го процесса и потребный для одного исполнителя (звена, бригады, машины) (j+1)-го процесса. Назовем эту величину организационно-технологическим модулем <2>.
Например, q'j,(j+1) = 10 чел. <1> = дн./чел. <2> означает, что для того чтобы обеспечить фронт работ для одного рабочего (или звена) 2-й профессии (выполняющего второй процесс), по первому процессу необходимо выполнить объем работ с трудоемкостью 10 чел.-дн., что составляет, например, 10 м отрытой траншеи и т.д.
--------------------------------
<1> rj - число исполнителей по j-му процессу из общего принятого их числа, которое занято подготовкой фронта работ для всех принятых исполнителей (j+1)-го процесса.
<2> В связи с тем, что рабочая зона и фронт работ для исполнителей (j+1)-го процесса (потока) образуется законченной продукцией организационно-связанного с ним (смежного) j-го процесса (потока), под размером "фронта", определяющим величину организационно-технического модуля, будем понимать объем работ по производству законченной продукции j-м процессом, заключенной в рабочей зоне, необходимой и достаточной для размещения в ней материалов, оборудования, приспособлений и беспрепятственности трудовых движений рабочих одного звена (j+1)-го процесса. Фронт работ в такой рабочей зоне должен быть не менее чем на одну смену.
Тогда за время

по
j-му процессу будет выполнен объем работ с трудоемкостью

, а по (
j+1)-му процессу - 0. За время

по
j-му процессу будет выполнен объем работ с трудоемкостью

, а по (
j+1)-му процессу

. Через время

, таким образом, фронт работ по
j-му процессу, выраженный через трудоемкость
j-го процесса для (
j+1)-го процесса, будет равен

(8)
где

- величина, выраженная через трудоемкость
j-го процесса, на которую за время

фронт работ по
j-му процессу уменьшился за счет того, что (
j+1)-й процесс начал выполняться.
Таким образом, для всех

при

должно быть выполнено неравенство

(9)
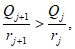
Преобразуя это неравенство, получим

(10)
Исследуя его, получим,
если

или, что то же самое,
т.е. при

;
если

, то есть

,
т.е. при

.
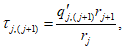
Так как Qj/rj = Tj, Qj+1/rj+1 = Tj+1, условие увязки двух процессов для случая, когда фронт работ не простаивает, можно записать уравнениями связи, которые определяют величину минимального организационного перерыва (готовность захватки) между двумя смежными процессами:

, когда
Tj <
Tj+1, (11)

, когда
Tj >
Tj+1. (12)
Условие увязки процессов вторым методом записывается следующим уравнением связи

при всех

, (13)
где
l - количество участков

,
v = 1, 2, 3, ...,
l).
При этом условии (j+1)-й процесс может выполняться непрерывно на фронте j-го процесса, а простой участков будет минимально возможным.
В этом случае параметры (продолжительность, трудоемкость, интенсивность потребления ресурсов) связаны следующими соотношениями:

(14)

(15)

(16)
Продолжительность выполнения отдельного строительного процесса зависит от многих факторов: количества рабочих, машин и механизмов, состояния погоды и др. Количественные характеристики некоторых из них могут быть установлены и приняты из числа возможных. Такие факторы называются ресурсами типа мощностей (возобновляемыми).
Потребность в возобновляемых ресурсах в данный момент времени характеризуется интенсивностью их потребления и выражается количеством используемых одновременно единиц ресурса (рабочих, машин и механизмов и др.).
Интенсивность потребления ресурсов является основным организационно-технологическим параметром возведения зданий и сооружений, определяющим развитие строительных процессов во времени и продолжительность строительства объекта в целом.
Характер потребления ресурсов отдельными процессами может быть различным, а именно:
а) интенсивность потребления ресурсов данным процессом постоянна. В этом случае продолжительность, объем работ и интенсивность потребления ресурсов процессом связаны отношением
T = Q/r, (17)
где T - продолжительность процесса;
Q - объем работ, чел.-дн. или маш.-смен;
r - интенсивность потребления ресурсов процессом;
б) интенсивность потребления ресурсов процессом может быть задана ступенчатой (кусочно-линейной) функцией

(18)
где ti - моменты времени изменения интенсивности потребления ресурсов.
Объем работ, продолжительность и интенсивность потребления ресурсов процессом связаны при этом зависимостью

при

(19)
где tk - момент времени окончания процесса.
В обоих случаях значения r могут приниматься в интервале
rmin <= r <= rmax,
| | ИС МЕГАНОРМ: примечание. Обозначения даны в соответствии с официальным текстом документа. | |
где rmin, rmax - соответственно минимально и максимально допустимые (технологически) интенсивности потребления ресурсов.
Основная задача, которая возникает при построении организационно-технологических моделей строительного производства, состоит во взаимной увязке отдельных строительных процессов с сопоставлением всех возможных вариантов как при возведении отдельных объектов, так и при производстве основных видов работ, выполняемых сквозными специализированными потоками при строительстве зданий и сооружений различного назначения.
Ниже приводится методика взаимной увязки строительных процессов.
Первый метод увязки строительных процессов. Этот метод применяется, когда размеры захватки при выполнении каждого j-го процесса могут изменяться от размеров одной делянки, т.е. рабочей зоны с фронтом работ на минимальное число исполнителей (наименьшую группу рабочих, необходимых и достаточных для выполнения простого строительного процесса, - звено), до размеров совокупности рабочих зон на звено (делянок) с полным фронтом работ по всему процессу, т.е.
при
qj <=
qjKj <=
Qj или 1 <=
Kj <=
Qj/
qj, (20)
где qjQj - соответственно трудоемкость работ по производству продукции j-го процесса, содержащейся в рабочей зоне на одно звено и в рабочей зоне в целом по всему процессу;
Kj - принятое количество звеньев или число одновременно занятых делянок.
В связи с тем, что рабочая зона и фронт работ последующего (j+1)-го процесса образуются законченной продукцией организационно-связанного с ним (смежного) j-го процесса, размеры захватки для (j+1)-го процесса, выраженные через показатели j-го процесса, будут изменяться в пределах
qj,(j+1) <=
qj,(j+1)Kj+1 <=
Qj
или 1 <= Kj+1 <= Qj/qj,(j+1), (21)
где qj,(j+1) - организационно-технологический модуль смежных процессов j и (j+1), выраженный через трудоемкость работ j-го процесса на S его делянках, образующих рабочую зону (одну делянку) с необходимым и достаточным фронтом работ для одного звена исполнителей (j+1)-го процесса;
Kj+1 - принятое число звеньев или количество одновременно занятых делянок.
Величина qj,(j+1) выражает, таким образом, соотношение размеров рабочих зон звена (делянок) или величин фронта работ, необходимых и достаточных для работы одного звена исполнителей по j-му и (j+1)-му процессу, т.е.
qj,(j+1) = Sqj или fj+1 = Sfj, (22)
где S - число делянок по j-му процессу, образующих одну делянку по (j+1)-му процессу или соотношение фронтов работ в рабочих зонах звеньев (на делянках) fj+1, fj, по (j+1)-му и j-му процессам, выраженных в сопоставимых измерителях (физических объемах, геометрических размерах и т.д.) и устанавливаемых для каждой пары смежных процессов.
Таким образом, максимальное и минимальное количество звеньев (или число одновременно занятых делянок), которое возможно принять для выполнения процесса, определится, из
выражений (20),
(21) и будет равно

(23)

(24)

;

.
Максимальное и минимальное число рабочих равно:

;

; (25)

(26)

(27)
где

,

- число рабочих в звене.
Для того чтобы принятое количество звеньев рабочих было обеспечено фронтом работ до полного окончания процесса, из установленного ряда целых чисел от

до

(от

до

) выбираются такие
Kj и
Kj+1, для которых отношения
| | ИС МЕГАНОРМ: примечание. Формула дана в соответствии с официальным текстом документа. | |

(28)

(29)
были бы целыми числами, т.е. чтобы число захваток, размеры которых определяются
выражениями (20),
(21), было целым числом (где
lj;
lj+1 - число принятых захваток).
Иначе говоря, минимальное число исполнителей равно наименьшей группе рабочих, необходимых и достаточных для выполнения простого строительного процесса (одному звену), а максимальное, которое одновременно можно принять для выполнения процесса, - размеру полной рабочей зоны по всему процессу, деленному на размер рабочей зоны одного звена (делянки). Промежуточное между

и

число исполнителей (количество звеньев
Kj) устанавливается таким образом, чтобы число захваток было целым в соответствии с условием
формул (28),
(29).
С учетом приведенной методики определения набора допустимых значений интенсивности потребления ресурсов (числа исполнителей), при которых сохраняется строительный поток, при
Tj <=
Tj+1 формула (11) запишется следующим образом:

(30)
для Kj <= Kj+1S;

(31)
для Kj >= Kj+1S,
где q'j,(j+1) - величина организационно-технологического модуля j-го и (j+1)-го смежных процессов, отнесенная к одному исполнителю в составе звена (j+1)-го процесса.
| | ИС МЕГАНОРМ: примечание. Формула дана в соответствии с официальным текстом документа. | |

(32)
Продолжительность выполнения процессов определяется по формулам:

;

(33)