Главная // Актуальные документы // ОСТ (Отраслевой стандарт)СПРАВКА
Источник публикации
В данном виде документ опубликован не был.
Первоначальный текст документа опубликован в издании
М., ВТИ им. Ф.Э. Дзержинского, 1991.
Информацию о публикации документов, создающих данную редакцию, см. в справке к этим документам.
Примечание к документу
С 01.07.2003 в связи с вступлением в силу Федерального
закона от 27.12.2002 N 184-ФЗ отраслевые стандарты не относятся к нормативным документам по стандартизации. До вступления в силу технических регламентов акты федеральных органов исполнительной власти в сфере технического регулирования (в том числе стандарты отраслей) носят рекомендательный характер и подлежат обязательному исполнению только в части, соответствующей целям и условиям, указанным в
п. 1 ст. 46 названного закона, за исключением случаев, предусмотренных
ст. 5.
С 01.07.2016 виды документов по стандартизации установлены
ст. 14 Федерального закона от 29.06.2015 N 162-ФЗ.
Изменение N 1, утв. РАО "ЕЭС России" 30.09.2001, введено в действие с 1 января 2002 года.
Взамен Инструкции по эксплуатационному анализу воды и пара на тепловых электростанциях, в части определения сульфатов (раздел 24).
Название документа
"ОСТ 34-70-953.20-91. Отраслевой стандарт. Воды производственные тепловых электростанций. Методы определение сульфатов"
(утв. и введен в действие Приказом Минэнерго СССР от 20.09.1991 N 100а)
(ред. от 30.09.2001)
"ОСТ 34-70-953.20-91. Отраслевой стандарт. Воды производственные тепловых электростанций. Методы определение сульфатов"
(утв. и введен в действие Приказом Минэнерго СССР от 20.09.1991 N 100а)
(ред. от 30.09.2001)
Утвержден и введен в действие
Приказом Министерства
энергетики и электрификации СССР
от 20 сентября 1991 г. N 100а
ОТРАСЛЕВОЙ СТАНДАРТ
ВОДЫ ПРОИЗВОДСТВЕННЫЕ ТЕПЛОВЫХ ЭЛЕКТРОСТАНЦИЙ.
МЕТОДЫ ОПРЕДЕЛЕНИЯ СУЛЬФАТОВ
ОСТ 34-70-953.20-91
| | Список изменяющих документов | |
Дата введения
1 июля 1992 года
1. Утвержден и введен в действие Приказом Министерства энергетики и электрификации СССР от 20.09.1991 N 100а.
2. Исполнители: Ю.М. Кострикин, докт. техн. наук; Н.М. Калинина, О.М. Штерн; С.Ю. Петрова; В.В. Шведова; Г.К. Корицкий; Л.Н. Федешева (ВТИ им. Ф.Э. Дзержинского).
3. Зарегистрирован в Центральном государственном фонде стандартов и технических условий за N 8435614 от 21.10.1991.
4. Срок первой проверки - 1997 г., периодичность проверки - 5 лет.
5. Взамен Инструкции по эксплуатационному анализу воды и пара на тепловых электростанциях (М., СПО Союзтехэнерго, 1979 г.) в части определения сульфатов (раздел 24).
6. Ссылочные нормативно-технические документы
Обозначение НТД, на которые ссылка | Номер пункта, подпункта, перечисление приложений |
| |
| |
| |
| |
| |
| |
| |
| |
| |
|
| |
| |
|
| |
|
Ссылка исключена с 1 января 2002 года. - Изменение N 1, утв. РАО "ЕЭС России" 30.09.2001. |
ГОСТ 21147-80 | |
|
ГОСТ 24104-88 | |
| |
| |
|
| |
|
ГСО 6693-93-6695-93 "Комплект сульфат-ионов N 4А" | |
|
| |
| |
РД 34.03.201-97 "Правила техники безопасности при эксплуатации тепломеханического оборудования электростанций и тепловых сетей" (М., ЭНАС, 1997) | |
|
ТУ 6-09-2540-72 | |
ТУ 6-09-3719-74 | |
ТУ 19П-36-69 | |
Настоящий стандарт распространяется на производственные воды электростанций и устанавливает гравиметрический и объемный колориметрический методы определения сульфатов в исходной и осветленных водах.
2. АППАРАТУРА, МАТЕРИАЛЫ, РЕАКТИВЫ
Весы лабораторные по ГОСТ 24104 2-го класса точности с наибольшим пределом взвешивания 200 г.
Пипетки - по
ГОСТ 29227, вместимостью 5, 10, 25, 50 и 100 см
3.
Бюретки - по
ГОСТ 29252, вместимостью 10 и 25 см
3.
Цилиндры - по
ГОСТ 1770, вместимостью 50 и 100 см
3.
Колбы - по
ГОСТ 1770, вместимостью 500 и 1000 см
3.
Посуда и оборудование лабораторные стеклянные - по
ГОСТ 25336.
Барий хлористый - по
ГОСТ 4108, с массовой долей 5%.
Барий азотнокислый - по ГОСТ 3777, раствор концентрации

.
Кислота серная, фиксанал - по ТУ 6-09-2540.
Хлорфосфоназо III - по ТУ 19П-36, раствор с массовой долей 0,2%.
Фильтры обеззоленные, "синяя лента" - по ТУ 6-09-1678.
Печь муфельная любого типа, обеспечивающая нагрев в интервале температур 950 - 1100 °C.
Натрий углекислый безводный - по
ГОСТ 83, раствор с массовой долей 1%.
3. ГРАВИМЕТРИЧЕСКИЙ МЕТОД ОПРЕДЕЛЕНИЯ СУЛЬФАТОВ
3.1. Сущность метода состоит в образовании осадка сернокислого бария при взаимодействии ионов бария и сульфатов.
Чувствительность метода - 5 мг

в пробе.
3.2. Приготовление рабочего раствора
Раствор хлористого бария с массовой долей 5%
Растворяют 5 г реактива в 95 см3 дистиллированной воды. Реактив устойчив. Хранят в посуде с закрывающейся крышкой.
3.3. Проведение анализа
3.3.1. Отмеренную порцию анализируемой воды, содержащую сульфаты в интервале от 10 до 200 мг, помещают в химический стакан вместимостью 250 см3, доливают объем до 100 см3 дистиллированной водой, вносят 1 - 2 капли индикатора метилового оранжевого и приливают 5 см3 концентрированной соляной кислоты. Если анализируемая жидкость имела повышенную щелочность, то количество соляной кислоты увеличивают, чтобы избыток кислоты примерно равен 5 см3. Жидкость нагревают до кипения и приливают 5 см3 хлористого бария с массовой долей 5%. Для получения крупных частиц осадка, хорошо фильтрующегося и отмывающегося, в анализируемую жидкость сперва вливают 0,2 - 0,3 см3 хлористого бария, поддерживая ее слабое кипение. Затем через 1 - 2 мин вводят еще примерно 1 см3 раствора хлористого бария, продолжая нагревать жидкость, а затем приливают оставшийся объем этого раствора. Хорошо перемешав, жидкость с образующимся осадком оставляют до следующего дня.
Если в анализируемой воде образовался большой осадок, необходимо проверить полноту осаждения. Для этого к осветлившемуся раствору, не взмучивая осадок, приливают примерно 1 см3 раствора хлористого бария. Отсутствие помутнения свидетельствует о полноте осаждения. Образовавшийся осадок отфильтровывают на два обеззоленных фильтра "синяя лента".
Осторожно, не взмучивая осадка, сливают на фильтр прозрачный осветлившийся раствор. Затем переносят осадок, смывая его струей дистиллированной воды из промывалки и стирая частицы осадка кусочками беззольного фильтра. Смывание осадка проводят холодной дистиллированной водой, а промывают горячей. Полноту промывания контролируют по содержанию хлоридов в фильтре. Обычно для промывания бывает достаточно 200 - 250 мл воды. Чрезмерное промывание приводит к получению заниженных результатов вследствие частичного растворения осадка.
Промытый осадок, вместе с фильтром, переносят во взвешенный прокаленный фарфоровый тигель, подсушивают, озоляют фильтр и прокаливают осадок при 800 - 850 °C. Озоление фильтра следует проводить по возможности без воспламенения, так как образующиеся потоки газов могут захватить и некоторые частички осадка. Прокаленный осадок не гигроскопичен, после охлаждения тигля его взвешивают.
3.4. Обработка результатов
Концентрацию сульфатов

в миллиграммах на килограмм вычисляют по формуле

, (1)
где

- масса сульфата бария с массой тигля, г;

- масса пустого тигля, г;
V - объем анализируемой воды, см3;
0,4115 - коэффициент пересчета массы

на

.
Суммарная погрешность результата определения сульфатов с доверительной вероятностью P = 0,95 указана в табл. 1.
Таблица 1
Масса сульфатов в пробе, мг | 3 | 5 | 10 | 20 | 50 |
Суммарная погрешность определения, % | +/- 20 | +/- 15 | +/- 10 | +/- 5 | +/- 2 |
4. ОБЪЕМНЫЙ МЕТОД ОПРЕДЕЛЕНИЯ СУЛЬФАТОВ
4.1. Сущность метода состоит во взаимодействии сульфатов с ионами бария, которые при полном образовании сернокислого бария в присутствии индикатора хлорфосфоназо III изменяют окрашивание жидкости из фиолетово-розовой в голубую при значении pH в пределах 1 - 3.
Чувствительность метода - 0,5 мг

в пробе.
4.2. Приготовление рабочих растворов
4.2.1. Раствор индикатора хлорфосфоназо III с массовой долей 0,2%
0,2 г индикатора растворяют в 100 см3 очищенной воды. Устойчив в течение двух недель. Хранят в хорошо закрывающейся склянке из темного стекла.
4.2.2. Раствор соляной кислоты концентрации c (HCl) = 2 моль/дм3
Готовят разбавлением концентрированной соляной кислоты примерно в 5 раз.
4.2.3. Раствор серной кислоты концентрации

готовят из фиксанала по инструкции, прилагаемой к набору. Раствор устойчив, хранят в склянке с закрывающейся пробкой.
4.2.4. Раствор нитрата бария концентрации

В мерную колбу вместимостью 1000 см
3 отвешивают 2,6 г

и растворяют в дистиллированной воде. Раствор устойчив. Хранят в склянке с закрывающейся пробкой.
Точную концентрацию приготовленного раствора определяют по серной кислоте концентрации

. Для этого в две конические колбы отмеривают 1 и 2 см
3 раствора серной кислоты, доливают до 10 см
3 очищенной водой, добавляют 0,25 см
3 соляной кислоты концентрации c (HCl) = 2 моль/дм
3, 25 см
3 ацетона и две капли индикатора хлорфосфоназо III. Затем медленно титруют жидкость раствором азотнокислого бария концентрации

до изменения окраски от фиолетово-розовой до сине-голубой.
Содержание сульфатов (T) в миллиграммах, отвечающее 1 см3 раствора азотнокислого бария, вычисляют по формуле

, (2)
где V - объем серной кислоты концентрации

, отмеренный для определения, см
3;

- объем раствора азотнокислого бария, израсходованный на титрование серной кислоты, см
3;
4,803 - 1/10 молярной массы эквивалента

.
4.2.5. Раствор натрия углекислого безводного с массовой долей 1%
Растворяют 1 г этого реактива в 99 см3 очищенной воды. Раствор устойчив. Хранят в полиэтиленовой посуде.
4.3. Проведение анализа
Выполнению определения сульфатов мешает присутствие в анализируемой воде кальция при содержании его 0,25 мг в пробе, влияние которого устраняют осаждением содой. Для этого в коническую колбу вместимостью 250 см
3 помещают 25 см
3 анализируемой воды, доливают примерно до 50 см
3 очищенной водой, нагревают на плитке до кипения и медленно по каплям приливают 10 см
3 раствора натрия углекислого с массовой долей 1%. Пробу кипятят 3 мин, а затем образовавшийся осадок углекислого кальция фильтруют на обеззоленный фильтр "белая лента", собирая фильтрат в мерную колбу вместимостью 100 см
3. Осадок на фильтре промывают 2 раза холодной очищенной водой, собирая промывные воды в ту же колбу, объем доливают до метки, перемешивают и отбирают точно 5 см
3 пипеткой для титрования. К отобранной порции приливают 0,25 см
3 раствора соляной кислоты концентрации c (HCl) = 2 моль/дм
3, 25 см
3 ацетона, две капли индикатора хлорфосфоназо III с массовой долей 0,2% и титруют раствором азотнокислого бария концентрации

до перехода фиолетово-розовой окраски в сине-голубую.
При незначительном содержании кальция в анализируемых водах обработка содой не требуется. Если в анализируемой воде концентрация сульфатов менее 20 мг/кг, необходимо предварительное концентрирование пробы упариванием до примерно 5 см3, а далее проводят анализ, как описано выше.
4.4. Обработка результатов
Концентрацию сульфатов

в миллиграммах на килограмм вычисляют по формуле

, (3)
где

- объем раствора азотнокислого бария, израсходованный на титрование, см
3;
T - точная концентрация раствора азотнокислого бария в миллиграммах сульфат-иона в 1 см3 раствора;

- объем анализируемой воды, взятый для определения сульфатов с предварительным осаждением кальция, см
3;

- объем пробы, взятый для определения сульфатов после осаждения кальция, см
3;
100 - мерная колба, куда собирался фильтрат после осаждения кальция, см3.
Если предварительно кальций не осаждался, то вычисляет

по формуле

, (4)
где V - объем анализируемой воды, взятый для определения, см3.
Суммарная погрешность результата определения сульфатов с применением хлорфосфоназо III с доверительной вероятностью P = 0,95 указана в табл. 2.
Таблица 2
Масса сульфатов в пробе  , мг | 0,5 | 1 | 2 | 5 | 10 | 20 | 50 |
Суммарная погрешность определения, % | +/- 5 | +/- 4 | +/- 2,5 | +/- 1 | +/- 0,5 | +/- 0,4 | +/- 0,2 |
4.5. Техника безопасности
4.5.1. Ацетон легкоиспаряющаяся жидкость и по степени воздействия на организм человека относится к веществам 4-го класса опасности по
ГОСТ 12.1.007.
4.5.2. Предельно допустимая концентрация (ПДК) ацетона в воздухе рабочей зоны производственных помещений - 200 мг/м
3 в соответствии с
ГОСТ 12.1.005.
4.5.3. Ацетон относится к легковоспламеняющимся жидкостям 1-го разряда - особо опасным ЛВЖ.
При работе с ацетоном запрещается использовать электронагревательные приборы с открытой спиралью, а также открытое пламя.
В случае возгорания следует применять в качестве средства пожаротушения тонкораспыленную воду, инертные газы, воздушно-механическую пену.
4.5.4. Ацетон способен вызывать аллергические заболевания, поэтому все работы с применением ацетона следует вести под вытяжным шкафом, проводя не более 4 - 5 анализов в смену.
4.5.5. В случае попадания ацетона на кожу следует немедленно промыть эти места под струей холодной воды в течение 15 мин до полного смывания ацетона.
5. КОЛОРИМЕТРИЧЕСКИЙ МЕТОД ОПРЕДЕЛЕНИЯ СУЛЬФАТОВ
РАО "ЕЭС России" 30.09.2001)
5.1. Условия выполнения измерений
При выполнении измерений следует соблюдать следующие условия:
диапазон концентрации сульфат-аниона в воде 2 - 5 мг/дм3
температура окружающей среды 20 +/- 5 °C
относительная влажность воздуха 45 - 80%
напряжение питания электрической сети 220 +/- 4,4 В
При включении измерительного прибора необходимо соблюдать условия, указанные в "Техническом описании и инструкции по эксплуатации" к прибору.
5.2. Характеристики погрешности измерений
Предел приписанной относительной погрешности измерений массовой концентрации сульфат-аниона в указанном диапазоне 2 - 5 мг/дм
3 составляет 10% (оценку погрешности - см.
приложение А).
5.3. Метод измерения
Измерение концентрации сульфат-аниона в воде выполняют фотометрическим методом с помощью измерения оптической плотности мутных водных растворов, образующихся при взаимодействии сульфат-аниона с хлористым барием.
5.4. Средства измерений. Вспомогательное оборудование, материалы, реактивы
При выполнении измерений применяются следующие средства измерений и другие технические средства:
фотоколориметр типа КФК или прибор аналогичного типа с набором кювет до 100 мм;
весы лабораторные общего назначения 2 класса точности с наибольшим пределом взвешивания 200 г по
ГОСТ 24104;
пипетки измерительные градуированные на 1, 2, 5, 10, 50 см
3 по
ГОСТ 29227;
колбы мерные вместимостью 50, 100, 250, 500 и 1000 см
3 по
ГОСТ 25336;
аммиак водный по ГОСТ 21147;
Допускается использование других типов средств измерений, посуды и реактивов с характеристиками не хуже, чем у перечисленных в
пункте 5.4.
5.5. Подготовка к выполнению измерений
До начала выполнения измерений проводят приготовление рабочих растворов, подготовку фотоколориметра к работе и построение градуировочного графика.
5.5.1. Приготовление рабочих растворов
5.5.1.1. Раствор сульфат-аниона 100 мг/дм3 готовят из стандартного образца, входящего в комплект N 4А ГСО состава водных растворов, соблюдая требования, изложенные в инструкции к ГСО.
10 см3 стандартного раствора с массовой концентрацией сульфат-аниона 1 г/дм3 помещают в мерную колбу вместимостью 100 см3, доливают до метки очищенной водой и перемешивают. Раствор пригоден в день приготовления.
5.5.1.2. Раствор осадительной смеси
В конической колбе вместимостью 300 см
3 растворяют 60 г

; в другой такой же колбе растворяют 30 г борной кислоты. Растворение проводят при слабом нагревании. Затем в мерную колбу вместимостью 1000 см
3 выливают оба раствора, приливают 200 см
3 глицерина, 100 см
3 концентрированной соляной кислоты, все перемешивают, доливают до метки очищенной водой, еще раз хорошо перемешивают и фильтруют. После фильтрования осадительную смесь выдерживают в течение 2-х суток.
Раствор пригоден 1 месяц.
5.5.1.3. Аммиачный раствор трилона Б для мытья посуды
Растворяют 100 г трилона Б в 1000 см3 аммиака с массовой долей 8%.
5.5.2. Подготовка фотоколориметра к работе
Подготовку фотоколориметра к работе проводят в соответствии с "Техническим описанием и инструкцией по эксплуатации" к прибору.
5.5.3. Построение градуировочного графика
В семь мерных колб вместимостью каждая по 100 см
3 вводят 0; 1; 1,5; 2,0; 2,5; 3,0; 3,5 см
3 рабочего раствора сульфат-аниона с концентрацией 0,1 мг/см
3, что соответствует 0; 0,1; 0,15; 0,20; 0,25; 0,30; 0,35 мг

, доливают приблизительно 80 см
3 очищенной воды, перемешивают. Затем в каждую колбу вводят по каплям концентрированную соляную кислоту до pH = 2, после чего медленно, при постоянном перемешивании, приливают точно 10 см
3 осадительной смеси. Содержимое колб доводят до метки очищенной водой, снова перемешивают. Через 10 мин измеряют на фотоколориметре оптическую плотность (A) этих растворов, установив на приборе светофильтры с областью светопропускания 440 нм, а кюветах длиной 30 мм, сравнивая с той колбой, в которую сульфат-анион не вводился.
Для построения градуировочного графика по оси абсцисс откладывают массовую концентрацию (C) сульфат-аниона в пробе в миллиграммах, а по оси ординат - отвечающие им величины оптической плотности (A). По полученным точкам, пользуясь методом наименьших квадратов, проводят прямую.
5.6. Проведение анализа и обработка результатов
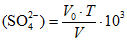
5.6.1. В мерные колбы вместимостью 100 см3 отбирают от 40 до 80 см3, в зависимости от концентрации сульфат-аниона, фильтрованной анализируемой воды, несколькими каплями концентрированной соляной кислоты доводят pH до 2, после чего медленно, при постоянном перемешивании, приливают точно 10 см3 осадительной смеси. Содержимое колб доводят до метки очищенной водой, перемешивают и через 10 мин измеряют оптическую плотность как при построении градуировочного графика. Массовую концентрацию сульфат-аниона находят по градуировочному графику, мг в пробе (Cp). Массовую концентрацию сульфат-аниона в мг/дм3 вычисляют по формуле

, (5)
где V - объем воды, взятый для анализа, см3;
Cp - массовая концентрация сульфат-аниона, мг, полученная по градуировочному графику.
5.6.2. Результат анализа

с доверительными границами погрешности, в мг/дм
3, записывают следующим образом

,
где

- результат измерения, мг/дм
3.
5.7. Контроль погрешности результатов измерений
5.7.1. Оперативный контроль погрешности (точности)
5.7.1.1. Оперативный контроль погрешности проводят с использованием образцов для контроля.
5.7.1.2. Образцом для контроля может служить стандартный раствор сульфат-аниона, приготовленного из ГСО водного раствора.
5.7.1.3. Выполняют измерение концентрации сульфат-аниона в образце для контроля; найденное значение

сравнивают с аттестованным значением

. Расхождение между ними

не должно превышать норматив оперативного контроля погрешности K.
5.7.1.4. Расхождения между найденным и аттестованным значениями концентрации сульфат-аниона в образце для контроля

в мг/дм
3, определяют по формуле

. (6)
5.7.1.5. Норматив оперативного контроля погрешности K в мг/дм3 определяют по формуле

. (7)
5.7.1.6. Точность результатов анализа рабочих проб, полученных за период, в течение которого условия выполнения измерений соответствовали условиям контрольного измерения, считают удовлетворительной, если

.
5.8. Оформление результатов измерений
Результаты измерений записывают в таблицу 1, форма которой приведена ниже.
Таблица 1
N п/п | Дата отбора | Наименование точки отбора | Содержание сульфат-аниона |
Подпись оператора
5.9. Техника безопасности
При выполнении измерений с применением настоящей методики следует соблюдать требования безопасности, указанные в РД 34.03.201 (
раздел 3.7.Б "Требования безопасности при работе в химических лабораториях").
5.10. Требования к квалификации оператора
К выполнению анализа допускаются лица, имеющие среднее техническое образование, опыт работы в химической лаборатории не менее 3 месяцев, освоившие методику выполнения измерений на фотоколориметре в соответствии с "Техническим описанием и инструкцией по эксплуатации", прилагаемой к прибору.
(обязательное)
ОЦЕНКА ПОГРЕШНОСТИ РЕЗУЛЬТАТОВ ИЗМЕРЕНИЯ МАССОВОЙ
КОНЦЕНТРАЦИИ СУЛЬФАТ-АНИОНА В ПРОИЗВОДСТВЕННЫХ ВОДАХ
РАО "ЕЭС России" 30.09.2001)
1. Составляющие погрешности, связанные с отбором пробы,

не учитываются.
2. Составляющие погрешности, связанные с подготовкой пробы
2.1. От неточного определения объема анализируемой пробы

- 0,1%.
3. Составляющие погрешности, связанные с подготовкой растворов для калибровки фотоколориметра
3.1. От неточного определения объема с помощью мерной колбы

- 0,01%.
3.2. От неточного определения объема с помощью пипетки

- 0,02%.
3.3. От потери исходного раствора за счет остатка его на стенках пипетки

- не учитываются.
3.4. От погрешности исходного раствора

- 1%.
4. Составляющие погрешности, связанные с неточностью определения оптической плотности при калибровке фотоколориметра

- 1,3%.
5. Составляющие погрешности, связанные с измерением массовой концентрации сульфат-аниона
5.1. От неточности определения оптической плотности

- 1,3%.
5.2. От оптической неоднородности пробы

- 8%.
5.3. От неточности построения калибровочного графика

- 0,5%.
6. Предел суммарной относительной погрешности измерения концентраций сульфат-аниона определяется по формуле

. (А.1)
С учетом изменений свойств растворов при выполнении измерений принимаем относительную погрешность измерения массовой концентрации сульфат-аниона, равной 10%.