Главная // Актуальные документы // ОДМ (Отраслевой дорожный методический документ)СПРАВКА
Источник публикации
М.: ФГБУ "Информавтодор", 2023
Примечание к документу
Текст документа приведен в соответствии с публикацией на сайте https://rosavtodor.gov.ru/ по состоянию на 04.04.2023.
Документ рекомендован к применению с 17.02.2021
Распоряжением Росавтодора от 17.02.2021 N 567-р.
Название документа
"ОДМ 218.3.1.005-2021. Отраслевой дорожный методический документ. Проектирование нежестких дорожных одежд. Методические рекомендации по расчету параметров напряженно-деформированного состояния многослойных конструкций при воздействии колесных нагрузок"
(издан на основании Распоряжения Росавтодора от 17.02.2021 N 567-р)
"ОДМ 218.3.1.005-2021. Отраслевой дорожный методический документ. Проектирование нежестких дорожных одежд. Методические рекомендации по расчету параметров напряженно-деформированного состояния многослойных конструкций при воздействии колесных нагрузок"
(издан на основании Распоряжения Росавтодора от 17.02.2021 N 567-р)
дорожного агентства
от 17 февраля 2021 г. N 567-р
ОТРАСЛЕВОЙ ДОРОЖНЫЙ МЕТОДИЧЕСКИЙ ДОКУМЕНТ
ПРОЕКТИРОВАНИЕ НЕЖЕСТКИХ ДОРОЖНЫХ ОДЕЖД.
МЕТОДИЧЕСКИЕ РЕКОМЕНДАЦИИ
ПО РАСЧЕТУ ПАРАМЕТРОВ НАПРЯЖЕННО-ДЕФОРМИРОВАННОГО
СОСТОЯНИЯ МНОГОСЛОЙНЫХ КОНСТРУКЦИЙ ПРИ ВОЗДЕЙСТВИИ
КОЛЕСНЫХ НАГРУЗОК
ОДМ 218.3.1.005-2021
1 РАЗРАБОТАН автономной некоммерческой организацией "Научно-исследовательский институт транспортно-строительного комплекса" (АНО "НИИ ТСК") совместно с обществом с ограниченной ответственностью "Научно-технический Центр "ГЕОТЕХНОЛОГИИ" (ООО "НТЦ "ГЕОТЕХНОЛОГИИ").
2 ВНЕСЕН Управлением научно-технических исследований и информационного обеспечения Федерального дорожного агентства.
3 ИЗДАН на основании
распоряжения Федерального дорожного агентства от 17.02.2021 N 567-р.
4 ИМЕЕТ РЕКОМЕНДАТЕЛЬНЫЙ ХАРАКТЕР.
5 ВВЕДЕН ВПЕРВЫЕ.
Настоящий отраслевой дорожный методический документ (далее - методический документ) распространяется на проектирование нежестких дорожных одежд (далее - дорожные одежды) автомобильных дорог общего пользования (далее - автомобильные дороги) и устанавливает методические рекомендации по расчету параметров напряженно-деформированного состояния многослойных конструкций нежестких дорожных одежд при воздействии колесных нагрузок.
В настоящем методическом документе использованы нормативные ссылки на следующие документы:
ГОСТ 23558-94 Смеси щебеночно-гравийно-песчаные и грунты, обработанные неорганическими вяжущими материалами, для дорожного и аэродромного строительства
ГОСТ 32960-2014 Дороги автомобильные общего пользования. Нормативные нагрузки, расчетные схемы нагружения
ГОСТ 33100-2014 Дороги автомобильные общего пользования. Правила проектирования автомобильных дорог
ГОСТ Р 58818-2020 Дороги автомобильные с низкой интенсивностью движения. Проектирование, конструирование и расчет
ГОСТ Р 59280-2020 Дороги автомобильные общего пользования. Смеси асфальтобетонные дорожные и асфальтобетон. Метод определения усталостной долговечности при непрямом растяжении
ПНСТ 265-2018 Дороги автомобильные общего пользования. Проектирование нежестких дорожных одежд
ПНСТ 371-2019 Дороги автомобильные общего пользования с низкой интенсивностью движения. Дорожная одежда. Конструирование и расчет
Примечание - При пользовании настоящим методическим документом целесообразно проверить действие ссылочных стандартов в информационной системе общего пользования - на официальном сайте Федерального агентства по техническому регулированию и метрологии в сети Интернет или по ежегодному информационному указателю "Национальные стандарты", который опубликован по состоянию на 1 января текущего года, и по соответствующим ежемесячным указателям, опубликованным в текущем году. Если ссылочный стандарт заменен (изменен), то при пользовании данным методическим документом следует руководствоваться заменяющим (измененным) стандартом. Если ссылочный стандарт отменен без замены, то положение, в котором дана ссылка на него, применяется в части, не затрагивающей эту ссылку.
В настоящем методическом документе применены следующие термины с соответствующими определениями:
3.1 двухслойная конструкция нежесткой дорожной одежды: Нежесткая дорожная одежда, состоящая из одного конструктивного слоя, расположенного на грунте земляного полотна, являющемся полупространством.
3.2 дополнительные слои основания дорожной одежды: Слои между конструктивным нижним слоем основания и рабочим слоем земляного полотна, предусматриваемые для обеспечения требуемой морозоустойчивости и дренирования дорожной конструкции, позволяющие регулировать ее водно-тепловой режим и снижать толщину вышележащих слоев из материалов дорожной одежды.
3.3 дорожная конструкция: Часть автомобильной дороги как транспортного сооружения, включающая земляное полотно и дорожную одежду.
3.4 дорожная одежда: Конструктивный элемент автомобильной дороги, воспринимающий нагрузку от транспортных средств и передающий ее на земляное полотно.
3.5 земляное полотно: Конструктивный элемент, служащий основанием для размещения дорожной одежды, а также технических средств организации дорожного движения и обустройства автомобильной дороги.
3.6 многослойная конструкция нежесткой дорожной одежды: Нежесткая дорожная одежда, состоящая из двух и более конструктивных слоев, расположенных на грунте земляного полотна, являющемся полупространством.
3.7 напряженно-деформированное состояние дорожной одежды: Множество действующих в каждой точке конструкции напряжений и деформаций в фиксируемый момент времени, возникающих из-за приложения к конструкции внешних воздействий.
3.8 нежесткая дорожная одежда: Дорожная одежда, не содержащая в своем составе конструктивных слоев из монолитного цементобетона, сборного железобетона.
3.9 несущее основание дорожной одежды: Несущая часть дорожной одежды, обеспечивающая совместно с покрытием перераспределение и снижение давления на расположенные ниже дополнительные слои основания или грунт земляного полотна.
3.10 нормативная осевая нагрузка: Полная нагрузка от наиболее нагруженной оси условного двухосного автомобиля, к которой приводятся все автомобили с меньшими осевыми нагрузками, устанавливаемая сводами правил для дорожных одежд при заданной капитальности и используемая для определения расчетной нагрузки при расчете дорожной одежды на прочность.
| | ИС МЕГАНОРМ: примечание. В официальном тексте документа, видимо, допущена опечатка: определение нормативной осевой нагрузки в ГОСТ 33100-2014 отсутствует. | |
3.11
осесимметричный штамп: Круговой штамп, нагрузка от которого на однородное, двухслойное или многослойное полупространство зависит от координаты r и не зависит от полярного угла

.
3.12 основание дорожной одежды: Часть конструкции дорожной одежды автомобильной дороги, расположенная под покрытием и обеспечивающая совместно с покрытием перераспределение напряжений в конструкции и снижение их величины в грунте рабочего слоя земляного полотна (подстилающем грунте), а также морозоустойчивость и осушение конструкции.
3.13 покрытие дорожной одежды: Верхняя часть дорожной одежды, состоящая из одного или нескольких слоев, непосредственно воспринимающая усилия от колес транспортных средств и подвергающаяся прямому воздействию атмосферных факторов.
3.14 полупространство: Упругое тело бесконечно больших размеров, ограниченное плоскостью с одной стороны.
3.15 рабочий слой земляного полотна: Верхняя часть земляного полотна в пределах от низа дорожной одежды до уровня, соответствующего 2/3 глубины промерзания конструкции, но не менее 1,5 м, считая от поверхности покрытия.
3.16 расчетная осевая нагрузка: Максимальная нагрузка на наиболее нагруженную ось для двухосных автомобилей или на приведенную ось для многоосных автомобилей, доля которых в составе и интенсивности движения с учетом перспективы изменения к концу межремонтного срока составляет не менее 5%.
3.17 расчетная схема: Многослойное упругое полупространство, равномерно нагруженное по площади круга.
В настоящем методическом документе применены следующие сокращения:
4.1 НДС: Напряженно-деформированное состояние.
4.2 U: Горизонтальное упругое смещение конструкции.
4.3 W: Вертикальное упругое смещение конструкции.
4.4

: Коэффициент поперечного расширения (Пуассона).
4.5 Sупр: Упругий прогиб конструкции.
4.6 Eобщ: Общий модуль упругости конструкции.
4.7

: Нормальное вертикальное напряжение.
4.8

: Нормальное радиальное напряжение.
4.9

: Нормальное тангенциальное напряжение.
4.10

: Касательное напряжение.
4.11

: Максимальное главное напряжение.
4.12

: Минимальное главное напряжение.
4.13 Tакт: Активное напряжение сдвига.
Настоящий методический документ разработан в дополнение к действующим нормативно-техническим документам, посвященным проектированию нежестких дорожных одежд, и может являться базой для уточнения и развития методики расчета нежестких дорожных одежд на прочность при воздействии нагрузок от колес транспортных средств, изложенной в
ПНСТ 265-2018,
нормах [1] и иных нормативно-технических документах, посвященных проектированию нежестких дорожных одежд.
Изложенные в методическом документе алгоритмы определения параметров напряженно-деформированного состояния многослойных конструкций нежестких дорожных одежд (содержащих до семи слоев) позволяют производить расчет без приведения их к упрощенным схемам.
Действующая в Российской Федерации методика проектирования нежестких дорожных одежд (
ПНСТ 265-2018 и
нормы [1]), как и ранее действовавшие методики
[2] для определения параметров НДС многослойных конструкций, допускает приведение ее к упрощенным однослойным, двухслойным либо трехслойным системам. Одним из основных недостатков данного подхода является неизбежная погрешность расчета деформаций и напряжений, возникающих в многослойной конструкции дорожной одежды.
В данном методическом документе приведены алгоритмы расчета напряжений и деформаций для двухслойных и многослойных конструкций дорожных одежд с помощью решения для двухслойного и многослойного полупространства (по алгоритму К.К. Туроверова), являющегося развитием решения Р.М. Раппопорт
[3].
В документе приняты следующие допущения.

Дорожная одежда и грунт земляного полотна при оценке напряженно-деформированного состояния рассматриваются как слоистый массив, ограниченный сверху горизонтальной плоскостью и неограниченно простирающийся вниз.

Зависимость деформации от напряжения для дорожно-строительных материалов и грунтов при расчетных нагрузках, показателях влажности, плотности и температуры является линейной.

В связи с тем что точный учет фактического распределения нагрузки от колеса автомобиля по следу, имеющему форму, близкую к эллипсу, значительно усложняет задачу, при этом основное значение имеет распределение нагрузки в нижних наиболее слабых слоях основания и в грунте земляного полотна, с достаточной для практических целей точностью определено, что при проектировании дорожной одежды принимается схема нагружения конструкции колесом автомобиля в виде одной гибкой круговой площадки диаметром D, равновеликой отпечатку колеса и передающей покрытию равномерно распределенную нагрузку с давлением P.

Расчет нежесткой дорожной одежды производится на воздействие статической нагрузки с учетом многократности ее приложения. Динамическое повышение нагрузки на покрытие при колебаниях автомобилей вследствие возникновения различных неровностей на покрытии учитывается при расчете диаметра следа колеса движущегося автомобиля введением коэффициента динамичности.

Напряженно-деформированное состояние дорожной одежды под действием местной нагрузки (осесимметричной подвижной или статической) определяется решениями теории упругости для слоистого полупространства с учетом условий на контактах слоев (спаянный контакт при совместной работе слоев или гладкий контакт при свободном смещении слоев на контакте).

Влияние продолжительности и повторности действия нагрузок от движущихся автомобилей на напряженно-деформированное состояние дорожных одежд учитывается путем введения в расчет характеристик упруговязких и усталостных свойств материалов и грунтов в зависимости от особенностей работы различных частей дороги - перегонов, перекрестков, остановок и стоянок автомобилей, обочин, остановок городских общественных транспортных средств.

Коэффициент Пуассона в процессе деформирования не меняет сколько-нибудь существенно своего значения.

Силы инерции, действующие на одежду и земляное полотно в процессе деформирования, весьма малы и расчетом не учитываются (задача квазистатическая).
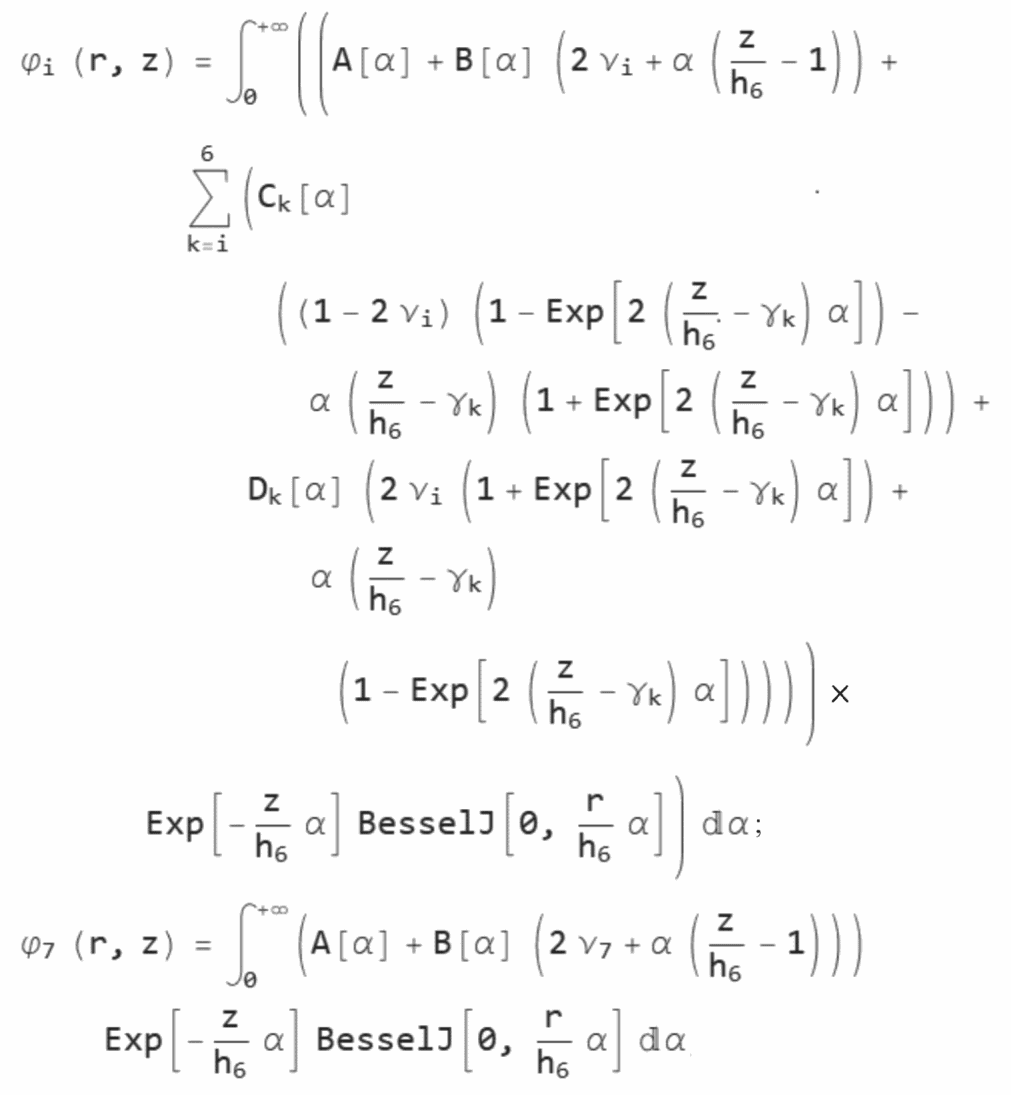
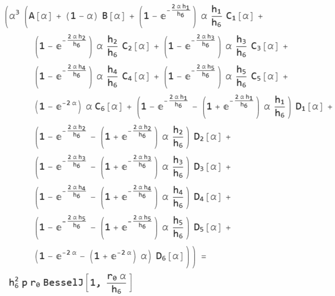
Алгоритмы расчета параметров НДС конструкции нежесткой дорожной одежды разработаны на основе решения осесимметричной задачи теории упругости для многослойной среды (до семи слоев), включая слой подстилающего упругого полупространства, нагруженный осесимметричной нагрузкой в виде кругового штампа произвольного диаметра.
Алгоритмы позволяют вычислить следующие параметры:
- упругий прогиб конструкции Sупр = W[r, z], мм, в расчетной точке (r = 0, z = 0);
- общий модуль упругости конструкции Eобщ, МПа;
- нормальное вертикальное напряжение в расчетной точке

, МПа;
- нормальное радиальное напряжение в расчетной точке

, МПа;
- нормальное тангенциальное напряжение в расчетной точке

, МПа;
- касательное напряжение в расчетной точке

, МПа;
- максимальное главное напряжение в расчетной точке

, МПа;
- минимальное главное напряжение в расчетной точке

, МПа;
- активное напряжение сдвига в расчетной точке Tакт[r, z], МПа.
Принято следующее правило знаков для напряжений: знак "+" соответствует сжатию, знак "-" - растяжению.
Учитывая практическую сложность определения НДС многослойной системы допускается использование математических программных комплексов.
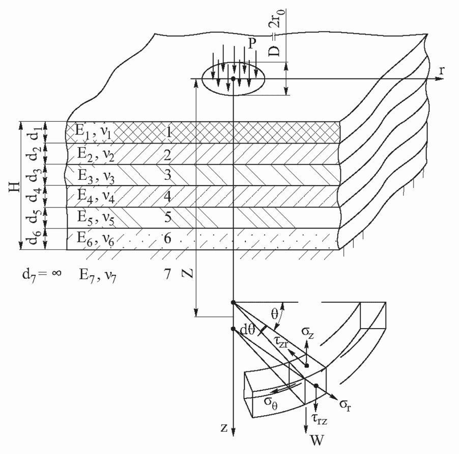
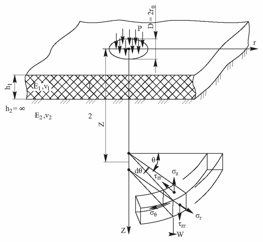
6 Расчет напряжений и смещений в двухслойной и многослойной упругой среде, нагруженной на поверхности осесимметричным штампом с нормальной нагрузкой при спаянном и гладком контактах на границе слоев
6.1 Расчет напряжений и смещений в двухслойной упругой среде, нагруженной на поверхности осесимметричным штампом с нормальной нагрузкой при спаянном и гладком контактах на границе слоев
6.1.1 Математическая постановка задачи
Расчетной схемой является упругое двухслойное полупространство, нагруженное на внешней поверхности нормальной осесимметричной нагрузкой. Вводится цилиндрическая система координат r,

, z
(рисунок 1), в которой ось z направлена вниз и имеет начало отсчета в центре штампа, представляющего нагрузку. Угол

отсчитывается от полуоси r в плоскости z = 0. Первый слой толщиной h
1 ограничен плоскостями z = 0; z = h
1. Второй слой ограничен сверху плоскостью z = h
1 и простирается вниз до бесконечности. Каждый из двух слоев характеризуется модулем упругости E
1 и коэффициентом Пуассона

, i = 1, 2. Нагрузка, действующая на верхний слой, равномерно распределена с интенсивностью p по площади круга радиуса r
0 с центром в начале координат. Из соображений симметрии следует, что все рассматриваемые ниже компоненты напряженного состояния упругой среды зависят (помимо параметров задачи p, E
1, E
2,

,

, h
1, r
0) только от двух координат: r и z.
D - диаметр отпечатка колеса
Рисунок 1 - Расчетная схема двухслойного полупространства
Рассматриваемая задача сводится к отысканию в каждом слое решений

, i = 1, 2 бигармонического уравнения в цилиндрических координатах

(1)
где

- символ, аналогичный оператору Лапласа в прямоугольных координатах.
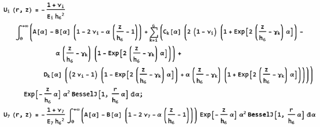
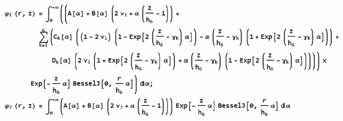
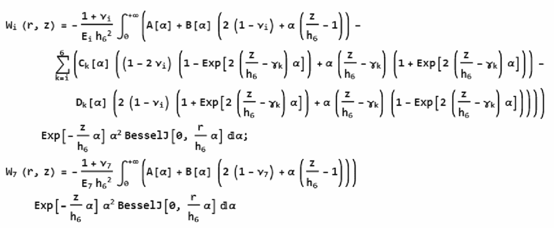
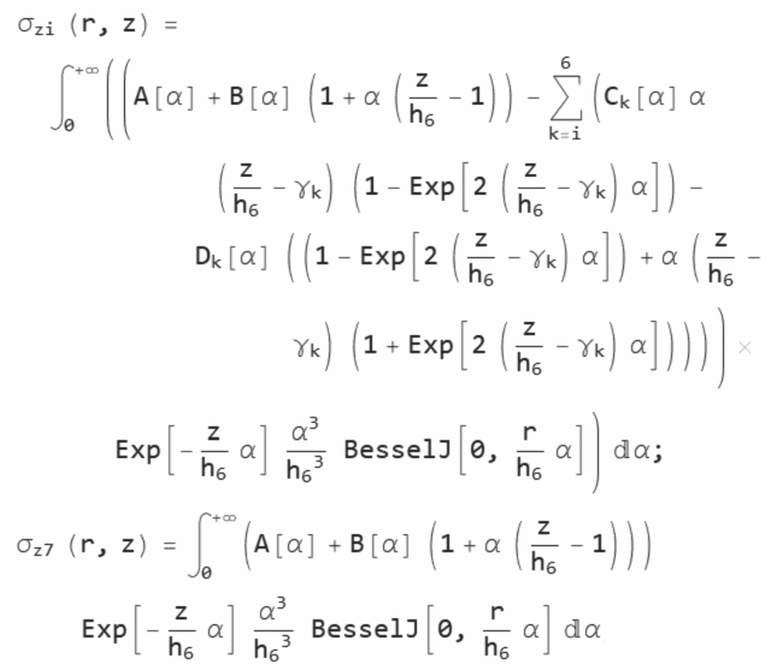
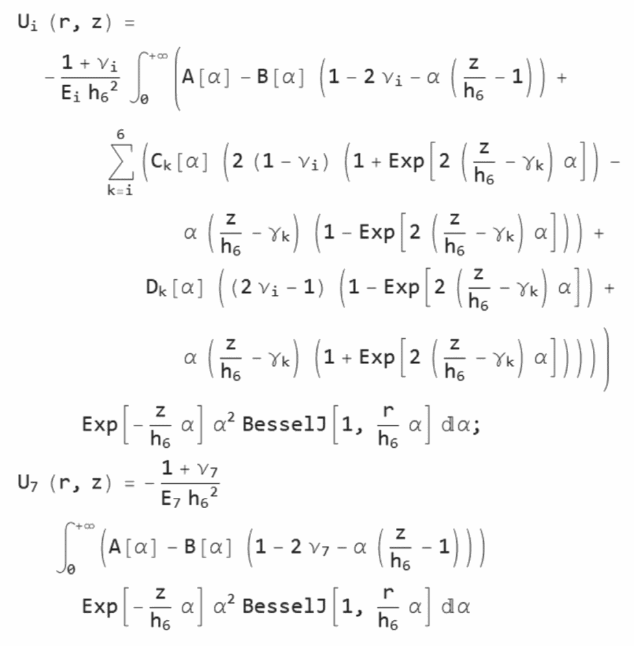
Решения связаны с нормальными напряжениями: вертикальным

, радиальным

, тангенциальным

, касательным напряжением

, горизонтальными и вертикальными смещениями U
i(r, z); W
i(r, z) следующими соотношениями:

(2)

(3)

(4)

(5)

(6)

(7)
i = 1, 2, ..., 7.
Вместе с
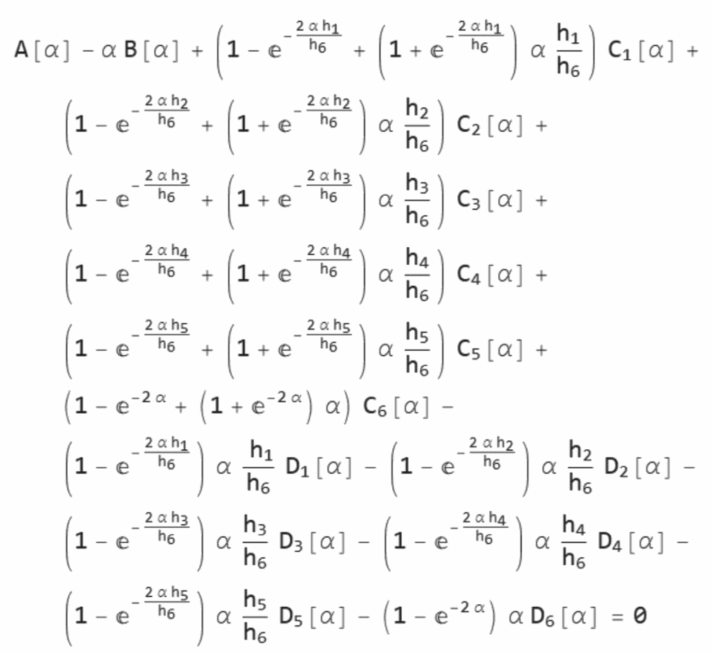
уравнением (1) на поверхности z = 0 предполагаются выполненными граничные условия

(8)

(9)
При спаянном контакте на границе z = h1 смежные слои имеют равные напряжения и смещения

(10)
U
1(r, h
1) = U
2(r, h
1); W
1(r, h
1) = W
2(r, h
1). (11)
При гладком контакте на границе z = h1 смежные слои имеют равные вертикальные и касательные напряжения (при этом касательные напряжения равны нулю) и равные вертикальные смещения

(12)
W
1(r, h
1) = W
2(r, h
1). (13)
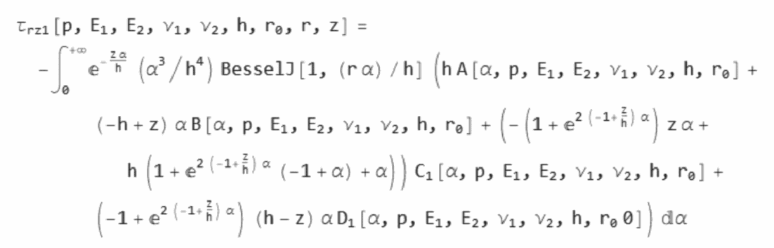
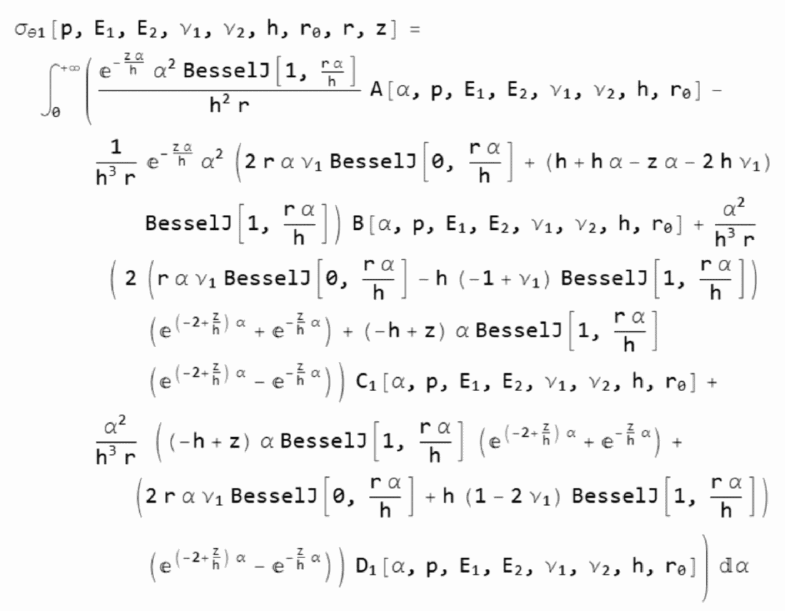
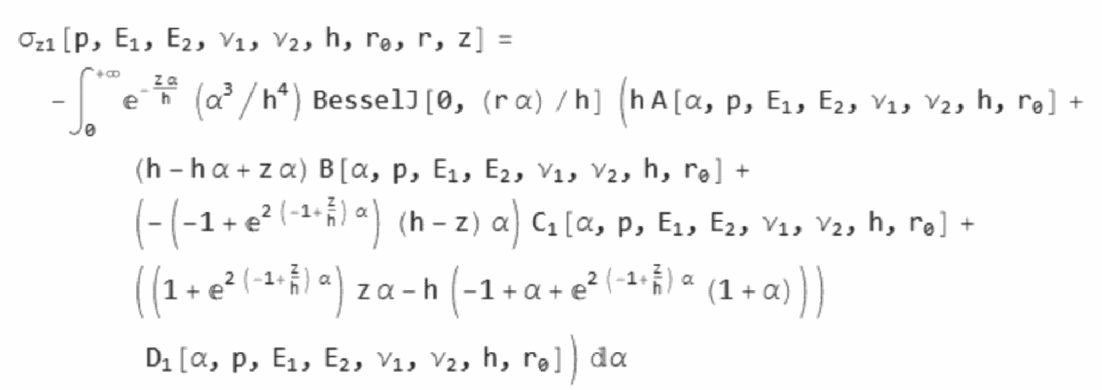
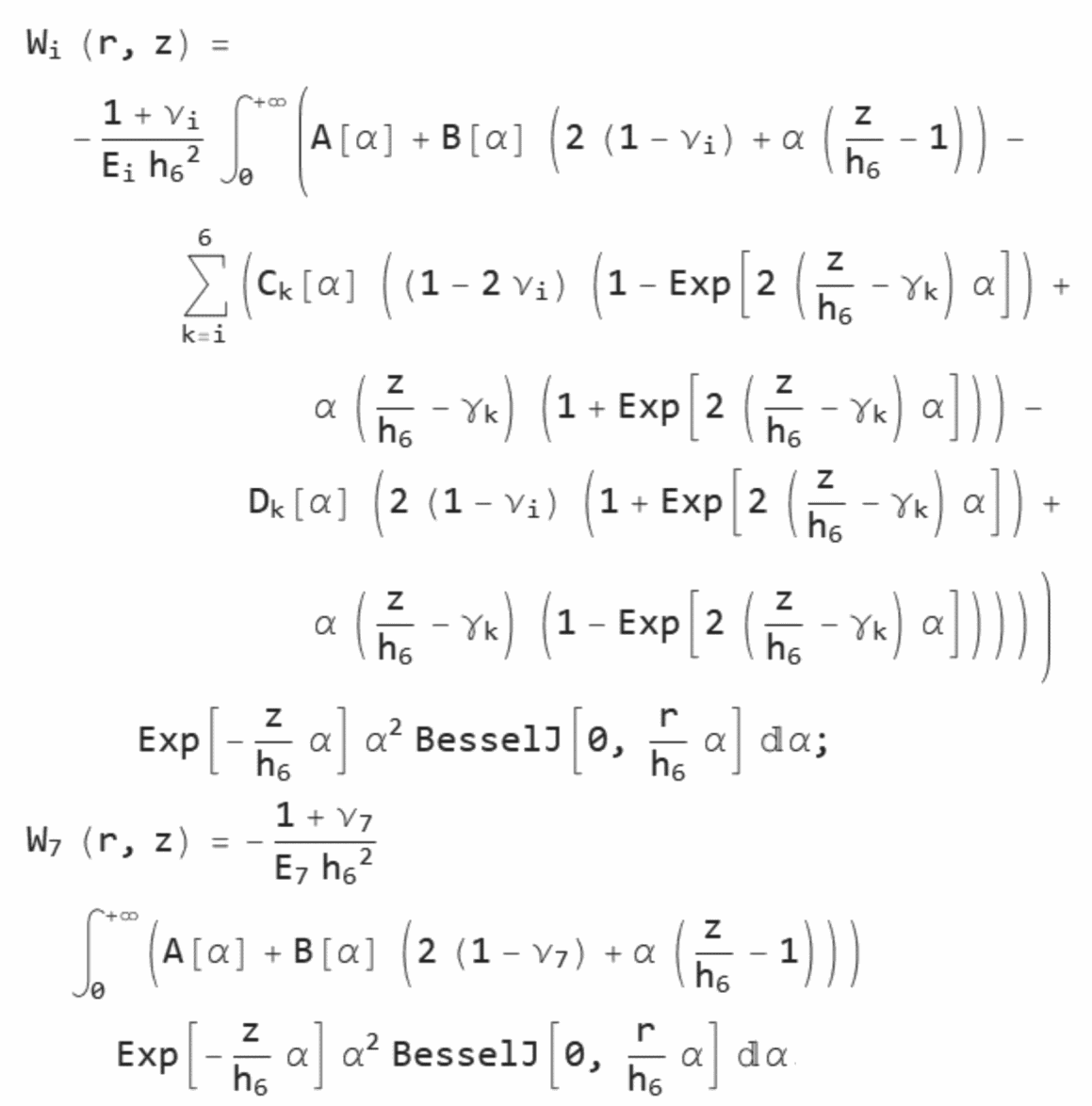
Практическое использование вычисляемых компонентов напряженно-деформированного состояния при расчете нежестких дорожных одежд приведено ниже:
- компонента W[r, z] при r = 0, z = 0 используется при расчете упругого прогиба дорожной одежды Sупр;
- компоненты

,

- при расчете растягивающих напряжений в монолитных слоях. На оси симметрии кругового штампа

, за пределами оси симметрии кругового штампа

;
- компоненты

,

,

,

- при расчете главных напряжений

и

, которые необходимы для вычисления активных напряжений сдвига в грунте земляного полотна и слабосвязных слоях основания нежестких дорожных одежд T
акт[r, z].
Значения коэффициентов поперечного расширения (коэффициентов Пуассона)

материалов и грунтов определяются по данным испытаний в соответствии с требованиями действующих нормативно-технических документов или принимаются в соответствии с действующими нормативно-техническими документами, регламентирующими данный показатель.
При отсутствии данных допускается принимать следующие значения коэффициентов Пуассона:
- для асфальтобетонов равным 0,25 при температуре 0 °C; 0,30 при 10 °C; 0,35 при 20 °C (в соответствии с
ГОСТ Р 59280-2020);
- материалов из щебеночных и гравийных смесей, обработанных вяжущими,

;
- неукрепленных материалов из щебня, щебеночных и гравийных смесей

;
- песков и супесей

;
- суглинков

;
- глин

.
Для практических расчетов при воздействии осесимметричной нагрузки в виде кругового штампа, при отсутствии данных о коэффициентах Пуассона для всех материалов конструктивных слоев, рекомендуется использование номограмм, построенных для коэффициентов Пуассона соответственно верхних и нижних слоев

;

- при расчете конструкции дорожной одежды по допускаемому упругому прогибу;

;

- при расчете на сопротивление монолитных слоев усталостному разрушению от растяжения при изгибе.
При расчете многослойной конструкции в соответствии с
подразделом 6.2 коэффициенты Пуассона каждого слоя принимаются в зависимости от материала слоя (в случае применения асфальтобетона - в зависимости от расчетной температуры).
Условия сопряжения слоев наиболее сильно влияют на напряженное состояние в точках, расположенных на контактной плоскости. Незначительное влияние оказывается на величины вертикальных составляющих напряжения

, но в то же время значительное влияние оказывается на величины горизонтальных составляющих напряжений

и

, а также на величину касательного напряжения

, равного нулю по всей поверхности гладкого контакта. Это обстоятельство оказывает влияние на расчетную величину растягивающих напряжений в монолитном слое, т.е. при гладком контакте на границе слоев растягивающие напряжения в верхнем слое выше, чем при спаянном контакте. Активные напряжения сдвига в нижнем слое двухслойной системы выше при спаянном контакте по сравнению с гладким контактом на границе слоев.
Для расчета на сопротивление монолитных слоев усталостному разрушению от растяжения при изгибе рекомендуется принимать гладкий контакт между нижним слоем из асфальтобетона или другого укрепленного материала и слоем несущего основания дорожной одежды. Спаянные контакты принимаются между слоями из асфальтобетона.
Алгоритмы расчета напряжений и смещений в двухслойной упругой среде, нагруженной на поверхности осесимметричным штампом с нормальной нагрузкой при спаянном контакте на границе слоев, представлены в
приложении А.
Алгоритмы расчета напряжений и смещений в двухслойной упругой среде, нагруженной на поверхности осесимметричным штампом с нормальной нагрузкой при гладком контакте на границе слоев, даны в
приложении Б.
6.1.2 Практические методы расчета напряжений и деформаций, возникающих в двухслойной системе при воздействии осесимметричной нагрузки в виде кругового штампа с помощью решения теории упругости для многослойного полупространства
6.1.2.1 Исходные данные для расчета
Конструирование нежестких дорожных одежд автомобильных дорог общего пользования выполняется в соответствии с требованиями
ПНСТ 265-2018, конструирование нежестких дорожных одежд автомобильных дорог общего пользования с низкой интенсивностью движения с капитальным и облегченным типами дорожных одежд - в соответствии с
ПНСТ 371-2019.
Нормативная осевая нагрузка в соответствии с
ГОСТ 32960-2014 принимается в зависимости от капитальности дорожной одежды:
- при капитальным типе дорожной одежды

;
- облегченном и переходном типах дорожной одежды

.
В соответствии с
подразделом 6.7 ГОСТ Р 58818-2020 при расчетах дорожных одежд для вновь проектируемых дорог с низкой интенсивностью движения категорий IVА-р, IVБ-р, IVА-п, а также IVБ-п следует назначать расчетную нагрузку на одиночную ось двухосного автомобиля

.
Согласно
ГОСТ 32960-2014 расчет нежестких дорожных одежд выполняется на нормативную нагрузку от одного колеса нагрузки АК. Равномерно распределенную нагрузку вдоль направления движения не учитывают. Давление колеса на покрытие от нормативной нагрузки АК при расчете нежестких дорожных одежд следует считать равномерно распределенным по площади отпечатка колеса, принимаемого в форме круга.
Нормативная статическая нагрузка на колесо определяется по зависимости

(14)
- 0,8 МПа - для автомобильных дорог с капитальными дорожными одеждами;
- 0,6 МПа - для автомобильных дорог с облегченными и переходными типами дорожных одежд, а также для автомобильных дорог с низкой интенсивностью движения.
Расчетный диаметр круга, равновеликого отпечатку колеса, при статическом действии нагрузки Dст, м, и динамическом действии нагрузки Dд, м, рассчитывается по формулам

(15)

(16)
где Pст - нагрузка на колесо наиболее нагруженной оси автомобиля, кН;
P - давление колеса на покрытие, МПа;
k
дин _ коэффициент динамичности, принимаемый в соответствии с требованиями
ПНСТ 265-2018 равным 1,3.
Перед началом расчета задаются следующие исходные данные с учетом действующих нормативно-технических документов на проектирование нежестких дорожных одежд и задания на проектирование:
- давление колеса на покрытие P, МПа;
- расчетный диаметр отпечатка колеса Dд при динамическом действии нагрузки (с округлением вычисленного значения до 3-го знака после запятой), м;
- расчетный диаметр отпечатка колеса Dст при статическом действии нагрузки (с округлением вычисленного значения до 3-го знака после запятой), м;
- модули упругости материалов слоев для расчета по упругому прогибу Eiup, МПа;
- коэффициенты Пуассона материалов слоев для расчета по упругому прогибу

;
- модули упругости материалов слоев для расчета на сдвиг при динамическом действии нагрузки Eisd, МПа;
- коэффициенты Пуассона материалов слоев для расчета на сдвиг при динамическом действии нагрузки

;
- модули упругости материалов слоев для расчета монолитных слоев на изгиб Eirast, МПа;
| | ИС МЕГАНОРМ: примечание. Текст дан в соответствии с официальным текстом документа. | |
- модули упругости материалов слоев для расчета на сдвиг при статическом действии нагрузки

, МПа;
- коэффициенты Пуассона материалов слоев для расчета на сдвиг при статическом действии нагрузки

;
- углы внутреннего трения материалов слоев

, град;
- статические углы внутреннего трения материалов слоев

;
- средневзвешенный коэффициент Пуассона конструкции

;
- координата z расчетной точки по вертикальной оси, считая от верха покрытия, м;
- координата r расчетной точки по горизонтальной оси, считая от оси симметрии отпечатка колеса в виде круга, м.
Вычисление параметров напряженно-деформированного состояния двухслойного полупространства, нагруженного осесимметричным штампом, представляет собой трудоемкий вычислительный процесс, в связи с чем целесообразно использование специализированных математических программных комплексов. Учитывая практическую сложность корректного вычисления смещений и ручного поиска точек максимума напряжений при малых значениях относительной толщины верхнего слоя (h/D <= 0,6), для определения напряженно-деформированного состояния двухслойной системы рекомендуется использование соответствующих номограмм.
6.1.2.2 Расчет общего модуля упругости двухслойной системы при воздействии осесимметричной нагрузки в виде кругового штампа
Общий модуль упругости на поверхности верхнего слоя двухслойной системы допускается определять по номограмме, полученной на основе решения теории упругости для двухслойной модели
(рисунок 2). При этом слой конечной толщины h
в с модулем упругости E
в и коэффициентом Пуассона

лежит на упругом полупространстве (неограниченном снизу) с модулем упругости E
н и коэффициентом Пуассона

.
hв - верхний слой конечной толщины; Eв - модуль упругости
верхнего слоя;

- коэффициент Пуассона верхнего слоя;
Eн - модуль упругости упругого полупространства,
не ограниченного снизу (нижнего слоя);

- коэффициент
Пуассона упругого полупространства, не ограниченного снизу
(нижнего слоя)
Рисунок 2 - Расчетная схема двухслойной
системы для расчета общего модуля упругости
Для практических расчетов общего модуля упругости двухслойной системы при воздействии осесимметричной нагрузки в виде кругового штампа рекомендуется использование номограмм с коэффициентами Пуассона слоев:

;

(
рисунки 3,
4). Допускается при соответствующем обосновании использовать номограммы с коэффициентами Пуассона слоев:

;

(
рисунки 5,
6) и

;

(
рисунки 7,
8).
Рисунок 3 - Номограмма для определения
общего модуля упругости Eобщ двухслойной системы
при h
в/D = 0 - 2;

;

(цифры на кривых соответствуют отношению Eобщ/Eв)
Рисунок 4 - Номограмма для определения
общего модуля упругости Eобщ двухслойной системы
при h
в/D = 2 - 4;

;

(цифры на кривых соответствуют отношению Eобщ/Eв)
Рисунок 5 - Номограмма для определения
общего модуля упругости Eобщ двухслойной системы
при h
в/D = 0 - 2;

;

(цифры на кривых соответствуют отношению Eобщ/Eв)
Рисунок 6 - Номограмма для определения
общего модуля упругости Eобщ двухслойной системы
при h
в/D = 2 - 4;

;

(цифры на кривых соответствуют отношению Eобщ/Eв)
Рисунок 7 - Номограмма для определения
общего модуля упругости Eобщ двухслойной системы
при h
в/D = 0 - 2;

;

(цифры на кривых соответствуют отношению Eобщ/Eв)
Рисунок 8 - Номограмма для определения
общего модуля упругости Eобщ двухслойной системы
при h
в/D = 2 - 4;

;

(цифры на кривых соответствуют отношению Eобщ/Eв)
При расчете общего модуля упругости двухслойной конструкции выполняют следующие действия:
- для нижнего слоя назначают модуль упругости E
н, коэффициент Пуассона

;
- для верхнего слоя - модуль упругости для расчета конструкции дорожной одежды по упругому прогибу E
в, коэффициент Пуассона

и толщину h
в;
- вычисляют отношения hв/D; Eн/Eв;
- по номограммам (см.
рисунки 3 -
8) определяют отношение E
общ/E
в;
- вычисляют общий модуль упругости двухслойной конструкции

(17)
6.1.2.3 Расчет активных напряжений сдвига в нижнем слабосвязном слое двухслойной конструкции при воздействии осесимметричной нагрузки в виде кругового штампа
Активные напряжения сдвига T
акт[r, z] в расчетной точке нижнего слабосвязного слоя двухслойной системы определяют по номограмме, полученной на основе решения теории упругости для двухслойной модели
(рисунок 9). При этом слой конечной толщины h
в с модулем упругости E
в и коэффициентом Пуассона

лежит на упругом полупространстве (неограниченном снизу) с модулем упругости E
н, коэффициентом Пуассона

и углом внутреннего трения

. Если конструкция состоит более чем из двух слоев, нижнему слою присваиваются характеристики E
н и

, а верхнему слою - следующие характеристики:
- толщина верхнего слоя принимается равной сумме толщин слоев дорожной одежды и вычисляется по формуле

(18)
где hi - толщина i-го слоя, м.

- угол внутреннего трения нижнего слоя
Рисунок 9 - Расчетная схема двухслойной системы для расчета
активного напряжения сдвига в нижнем слое дорожной одежды
Модуль упругости верхнего слоя рассчитывается по формуле

(19)
где Ei - модуль упругости i-го слоя, МПа.
Коэффициент Пуассона верхнего слоя определяется по формуле

(20)
где

- коэффициент Пуассона i-го слоя.
При вычислении активных напряжений сдвига в расчетной точке нижнего слоя двухслойной конструкции выполняют следующие действия:
- определяют:

расчетный диаметр отпечатка колеса (при динамическом действии нагрузки D = D
д, при статическом действии нагрузки D = D
ст),

модуль упругости E
н и угол внутреннего трения

нижнего слоя,

модуль упругости для расчета конструкции дорожной одежды на сдвигоустойчивость (при динамическом либо статическом действии нагрузки) E
в и толщину h
в верхнего слоя;
- вычисляют отношения hв/D, Eв/Eн;
- по номограммам в зависимости от значения угла внутреннего трения материала нижнего слоя

(
рисунки 10 -
31) находят единичное значение активного напряжения сдвига

(при P
ед = 1,0 МПа) по формуле

(21)
где

- главное максимальное напряжение, МПа;

- главное минимальное напряжение, МПа;

- расчетное значение угла внутреннего трения материала нижнего слоя, град.
Рисунок 10 - Номограмма для определения единичного активного
напряжения сдвига

от временной нагрузки в нижнем слое
двухслойной системы при

в диапазоне h
в/D = 0 - 2
(цифры на кривых соответствуют отношению Eв/Eн)
Рисунок 11 - Номограмма для определения единичного активного
напряжения сдвига

от временной нагрузки в нижнем слое
двухслойной системы при

в диапазоне h
в/D = 2 - 6
(цифры на кривых соответствуют отношению Eв/Eн)
Рисунок 12 - Номограмма для определения единичного активного
напряжения сдвига

от временной нагрузки в нижнем слое
двухслойной системы при

в диапазоне h
в/D = 0 - 2
(цифры на кривых соответствуют отношению Eв/Eн)
Рисунок 13 - Номограмма для определения единичного активного
напряжения сдвига

от временной нагрузки в нижнем слое
двухслойной системы при

в диапазоне h
в/D = 2 - 6
(цифры на кривых соответствуют отношению Eв/Eн)
Рисунок 14 - Номограмма для определения единичного активного
напряжения сдвига

от временной нагрузки в нижнем слое
двухслойной системы при

в диапазоне h
в/D = 0 - 2
(цифры на кривых соответствуют отношению Eв/Eн)
Рисунок 15 - Номограмма для определения единичного активного
напряжения сдвига

от временной нагрузки в нижнем слое
двухслойной системы при

в диапазоне h
в/D = 2 - 6
(цифры на кривых соответствуют отношению Eв/Eн)
Рисунок 16 - Номограмма для определения единичного активного
напряжения сдвига

от временной нагрузки в нижнем слое
двухслойной системы при

в диапазоне h
в/D = 0 - 2
(цифры на кривых соответствуют отношению Eв/Eн)
Рисунок 17 - Номограмма для определения единичного активного
напряжения сдвига

от временной нагрузки в нижнем слое
двухслойной системы при

в диапазоне h
в/D = 2 - 6
(цифры на кривых соответствуют отношению Eв/Eн)
Рисунок 18 - Номограмма для определения единичного активного
напряжения сдвига

от временной нагрузки в нижнем слое
двухслойной системы при

в диапазоне h
в/D = 0 - 2
(цифры на кривых соответствуют отношению Eв/Eн)
Рисунок 19 - Номограмма для определения единичного активного
напряжения сдвига

от временной нагрузки в нижнем слое
двухслойной системы при

в диапазоне h
в/D = 2 - 6
(цифры на кривых соответствуют отношению Eв/Eн)
Рисунок 20 - Номограмма для определения единичного активного
напряжения сдвига

от временной нагрузки в нижнем слое
двухслойной системы при

в диапазоне h
в/D = 0 - 2
(цифры на кривых соответствуют отношению Eв/Eн)
Рисунок 21 - Номограмма для определения единичного активного
напряжения сдвига

от временной нагрузки в нижнем слое
двухслойной системы при

в диапазоне h
в/D = 2 - 6
(цифры на кривых соответствуют отношению Eв/Eн)
Рисунок 22 - Номограмма для определения единичного активного
напряжения сдвига

от временной нагрузки в нижнем слое
двухслойной системы при

в диапазоне h
в/D = 0 - 2
(цифры на кривых соответствуют отношению Eв/Eн)
Рисунок 23 - Номограмма для определения единичного активного
напряжения сдвига

от временной нагрузки в нижнем слое
двухслойной системы при

в диапазоне h
в/D = 2 - 6
(цифры на кривых соответствуют отношению Eв/Eн)
Рисунок 24 - Номограмма для определения единичного активного
напряжения сдвига

от временной нагрузки в нижнем слое
двухслойной системы при

в диапазоне h
в/D = 0 - 2
(цифры на кривых соответствуют отношению Eв/Eн)
Рисунок 25 - Номограмма для определения единичного активного
напряжения сдвига

от временной нагрузки в нижнем слое
двухслойной системы при

в диапазоне h
в/D = 2 - 6
(цифры на кривых соответствуют отношению Eв/Eн)
Рисунок 26 - Номограмма для определения единичного активного
напряжения сдвига

от временной нагрузки в нижнем слое
двухслойной системы при

в диапазоне h
в/D = 0 - 2
(цифры на кривых соответствуют отношению Eв/Eн)
Рисунок 27 - Номограмма для определения единичного активного
напряжения сдвига

от временной нагрузки в нижнем слое
двухслойной системы при

в диапазоне h
в/D = 2 - 6
(цифры на кривых соответствуют отношению Eв/Eн)
Рисунок 28 - Номограмма для определения единичного активного
напряжения сдвига

от временной нагрузки в нижнем слое
двухслойной системы при

в диапазоне h
в/D = 0 - 2
(цифры на кривых соответствуют отношению Eв/Eн)
Рисунок 29 - Номограмма для определения единичного активного
напряжения сдвига

от временной нагрузки в нижнем слое
двухслойной системы при

в диапазоне h
в/D = 2 - 6
(цифры на кривых соответствуют отношению Eв/Eн)
Рисунок 30 - Номограмма для определения единичного активного
напряжения сдвига

от временной нагрузки в нижнем слое
двухслойной системы при

в диапазоне h
в/D = 0 - 2
(цифры на кривых соответствуют отношению Eв/Eн)
Рисунок 31 - Номограмма для определения единичного активного
напряжения сдвига

от временной нагрузки в нижнем слое
двухслойной системы при

в диапазоне h
в/D = 2 - 6
(цифры на кривых соответствуют отношению Eв/Eн)
Главные максимальное и минимальное напряжения вычисляются по зависимостям

(22)

(23)
Для промежуточных значений

значение активного напряжения сдвига

определяется по интерполяции.
В соответствии с расчетной величиной давления колеса на покрытие вычисляют значение активного напряжения сдвига в расчетной точке нижнего слоя

(24)
6.1.2.4 Расчет растягивающих напряжений в верхнем монолитном слое двухслойной конструкции при воздействии осесимметричной нагрузки в виде круглого штампа
Растягивающие напряжения

в расчетной точке верхнего монолитного слоя двухслойной системы определяют по номограмме, полученной на основе решения теории упругости для двухслойной модели
(рисунок 32). При этом слой конечной толщины h
в с модулем упругости E
в и коэффициентом Пуассона

лежит на упругом полупространстве (неограниченном снизу) с модулем упругости E
н, коэффициентом Пуассона

.
Eобщ.н - общий модуль упругости нижнего слоя
Рисунок 32 - Расчетная схема двухслойной системы для расчета
растягивающего напряжения в монолитном слое
Для практических расчетов растягивающих напряжений в верхнем монолитном слое двухслойной системы при воздействии осесимметричной нагрузки в виде кругового штампа рекомендуется использование номограмм с коэффициентами Пуассона слоев:

;

(
рисунки 33,
34). Допускается при соответствующем обосновании использовать номограммы с коэффициентами Пуассона слоев:

;

(
рисунки 35,
36).
Рисунок 33 - Номограмма для определения единичного
растягивающего напряжения при изгибе

от временной
нагрузки в верхнем монолитном слое двухслойной системы
при гладком контакте на границе слоев
(h
в/D = 0,1 - 1,2;

;

)
(цифры на кривых соответствуют отношению Eв/Eн)
Рисунок 34 - Номограмма для определения единичного
растягивающего напряжения при изгибе

от временной
нагрузки в верхнем монолитном слое двухслойной системы
при спаянном контакте на границе слоев
(h
в/D = 0,1 - 1,2;

;

)
(цифры на кривых соответствуют отношению Eв/Eн)
Рисунок 35 - Номограмма для определения единичного
растягивающего напряжения при изгибе

от временной
нагрузки в верхнем монолитном слое двухслойной системы
при гладком контакте на границе слоев
(h
в/D = 0,1 - 1,2;

;

)
(цифры на кривых соответствуют отношению Eв/Eн)
Рисунок 36 - Номограмма для определения единичного
растягивающего напряжения при изгибе

от временной
нагрузки в верхнем монолитном слое двухслойной системы
при спаянном контакте на границе слоев
(h
в/D = 0,1 - 1,2;

;

)
(цифры на кривых соответствуют отношению Eв/Eн)
При вычислении растягивающих напряжений в расчетной точке монолитного слоя конструкции выполняют следующие действия:
- назначается тип контакта на границе слоев: гладкий или спаянный;
- определяется модуль упругости E
н и коэффициент Пуассона

материала нижнего слоя;
- рассчитывается модуль упругости для расчета конструкции дорожной одежды по критерию сопротивления монолитных слоев покрытия усталостному разрушению от растяжения при изгибе E
в, коэффициент Пуассона

и толщина h
в верхнего слоя;
- вычисляются отношения hв/D; Eв/Eн;
- по номограммам (см.
рисунки 33 -
36) в зависимости от типа контакта на границе слоев и расчетного значения коэффициента Пуассона материала верхнего слоя определяется единичное значение растягивающего напряжения

(при давлении P
ед = 1,0 МПа);
- в соответствии с расчетной величиной давления колеса на покрытие вычисляется значение растягивающего напряжения в расчетной точке монолитного слоя по формуле

(25)
где k
в - коэффициент, учитывающий особенности напряженного состояния покрытия, принимаемый в соответствии с требованиями
ПНСТ 265-2018, равный 0,85 для спаренного баллона и 1,0 для однобаллонного колеса.
6.2 Расчет напряжений и смещений в многослойной упругой среде, нагруженной на поверхности осесимметричным круговым штампом с нормальной нагрузкой при спаянном контакте слоев и гладком контакте на двух границах слоев
6.2.1 Математическая постановка задачи
Расчетной схемой является упругое многослойное (до семи слоев) полупространство, нагруженное на внешней поверхности нормальной осесимметричной нагрузкой. Вводится цилиндрическая система координат r,

, z
(рисунок 37), в которой первый слой ограничен плоскостями z = 0; z = h
1 и имеет толщину h
1. Последующие слои с номерами i = 2, 3, ..., 6 располагаются между плоскостями z = h
i-1 и z = h
i и, следовательно, имеют толщину, равную разности d
i = h
i - h
i-1. Последний седьмой слой ограничен сверху плоскостью z = h
6 и простирается вниз до бесконечности. Каждый из семи слоев характеризуется модулем упругости E
i и коэффициентом Пуассона

, i = 1, 2, ..., 7. Нагрузка, действующая на верхний слой, равномерно распределена с интенсивностью P по площади круга радиуса r
0 с центром в начале координат. Из соображений симметрии следует, что все рассматриваемые ниже характеристики упругой среды зависят только от двух координат r и z.
Рисунок 37 - Расчетная схема семислойного полупространства,
нагруженного осесимметричной нагрузкой
Рассматриваемая задача сводится к отысканию в каждом слое решений

, i = 1, 2, ..., 7 бигармонического уравнения

(26)
Уравнения связаны с нормальными напряжениями

,

,

, касательным напряжением

, горизонтальными и вертикальными смещениями U
i(r, z); W
i(r, z) следующими соотношениями:

(27)

(28)

(29)

(30)

(31)

i = 1, 2, ..., 7. (32)
На поверхности z = 0 сохраняются условия согласно уравнениям

(33)

(34)
При спаянных контактах на всех границах z = hi, i = 1, 2, ..., 6 смежные слои имеют равные напряжения и смещения согласно следующим уравнениям:

(35)
U
i(r, h
i) = U
i+1(r, h
i); W
i(r, h
i) = W
i+1(r, h
i). (36)
При спаянных контактах на границах слоев и гладких контактах на границах двух слоев:
- смежные слои имеют равные напряжения и смещения (спаянные контакты) на границах z = hi, i = 1, 4, 5, 6

(37)
U
i(r, h
i) = U
i+1(r, h
i); W
i(r, h
i) = W
i+1(r, h
i); (38)
- предусмотрена возможность задания
условий (37),
(38) спаянного контакта на границах z = h
i; i = 2, 3 и возможность замены
равенств (38) на условия гладкого контакта

W
i(r, h
i) = W
i+1(r, h
i). (39)
Алгоритмы расчета напряжений и смещений в многослойной упругой среде, нагруженной на поверхности осесимметричным штампом с нормальной нагрузкой при спаянном контакте слоев, представлены в
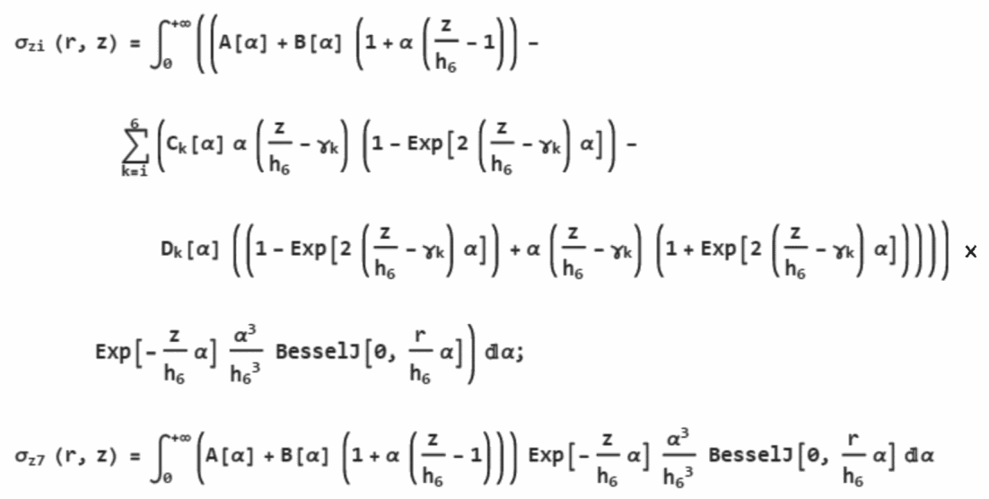
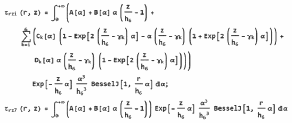
приложении В, при спаянном контакте слоев и гладких контактах на двух границах слоев даны в
приложении Г.
6.2.2 Практические методы расчета напряжений и деформаций, возникающих в многослойной системе при воздействии осесимметричной нагрузки в виде кругового штампа с помощью решения теории упругости для многослойного полупространства
6.2.2.1 Исходные данные
Перед началом расчета необходимо задать следующие исходные данные.

Количество слоев дорожной одежды (рекомендуется от 1 до 6). Предполагается, что при задании максимального количества слоев (6) дорожная одежда подстилается упругим полупространством - слоем 7. В случае необходимости определения параметров напряженно-деформированного состояния многослойной конструкции с количеством слоев, превышающим 7, ее приводят к семислойной системе. Дополнительные слои приводятся к эквивалентному слою. Толщина эквивалентного слоя принимается равной сумме толщин слоев дорожной одежды и вычисляется по
формуле (18); модуль упругости эквивалентного слоя рассчитывается по
формуле (19), коэффициент Пуассона эквивалентного слоя определяется по
формуле (20).
В качестве нижнего слоя, являющегося полупространством, принимается седьмой слой.

Давление колеса на покрытие P, МПа.

Расчетный диаметр отпечатка колеса D
0 при динамическом действии нагрузки, м.

Расчетный диаметр отпечатка колеса D
st при статическом действии нагрузки, м.

Модули упругости материалов слоев для расчета по упругому прогибу E
iup, МПа.

Коэффициенты Пуассона материалов слоев для расчета по упругому прогибу

.

Модули упругости материалов слоев для расчета на сдвиг при динамическом действии нагрузки E
isd, МПа.

Коэффициенты Пуассона материалов слоев для расчета на сдвиг при динамическом действии нагрузки

.

Модули упругости материалов слоев для расчета монолитных слоев на изгиб E
irast, МПа.

Коэффициенты Пуассона материалов слоев для расчета монолитных слоев на изгиб

.

Модули упругости материалов слоев для расчета на сдвиг при статическом действии нагрузки E
ist, МПа.

Коэффициенты Пуассона материалов слоев для расчета на сдвиг при статическом действии нагрузки

.

Углы внутреннего трения материалов слоев

.

Статические углы внутреннего трения материалов слоев

.

Средневзвешенный коэффициент Пуассона дорожной конструкции

. Принимается, что общая толщина дорожной конструкции (дорожная одежда + рабочий слой земляного полотна) равна сумме толщин дорожной одежды и рабочего слоя земляного полотна, но не менее 1,5 м.

Координата z расчетной точки по вертикальной оси, считая от верха покрытия, м.

Координата r расчетной точки по горизонтальной оси, считая от оси симметрии отпечатка колеса в виде круга, м.
Исходные данные по нормативным нагрузкам для расчета берутся в соответствии с
подпунктом 6.1.2.1.
Вычисление параметров напряженно-деформированного состояния многослойного полупространства, нагруженного осесимметричным штампом, представляет собой трудоемкий вычислительный процесс, в связи с чем целесообразно использование специализированных математических программных комплексов.
При малых значениях относительной толщины дорожной одежды (h/D <= 0,6) для определения напряженно-деформированного состояния двухслойной системы рекомендуется выполнение поиска точек максимальных напряжений (активных напряжений сдвига в слабосвязных слоях, растягивающих напряжений в монолитных слоях) либо использование соответствующих номограмм для двухслойных систем.
6.2.2.2 Методика расчета компонентов напряженно-деформированного состояния многослойного полупространства
При расчете напряженно-деформированного состояния многослойного полупространства определяются следующие компоненты:
- упругий прогиб конструкции Sупр = W[r, z], мм, при r = 0, z = 0;
- общий модуль упругости конструкции Eобщ, МПа;
- нормальное вертикальное напряжение в расчетной точке

, МПа;
- нормальное радиальное напряжение в расчетной точке

, МПа;
- нормальное тангенциальное напряжение в расчетной точке

, МПа;
- касательное напряжение в расчетной точке

, МПа;
- максимальное главное напряжение в расчетной точке

, МПа;
- минимальное главное напряжение в расчетной точке

, МПа;
- активное напряжение сдвига в расчетной точке Tакт[r, z], МПа.
Исходные данные для расчета принимаются с учетом действующих нормативно-технических документов, посвященных проектированию нежестких дорожных одежд.
По результатам расчета определяются следующие данные.

Результаты расчета по упругому прогибу (независимо от выбранных координат r и z):
- упругий прогиб конструкции Sупр = W[r, z], мм, при r = 0, z = 0;
- общий модуль упругости конструкции Eобщ, МПа.

Результаты расчета слабосвязных слоев на сдвиг при динамическом действии нагрузки в выбранной точке с координатами r и z:
- нормальное вертикальное напряжение в расчетной точке

, МПа;
- нормальное радиальное напряжение в расчетной точке

, МПа;
- нормальное тангенциальное напряжение в расчетной точке

, МПа;
- касательное напряжение в расчетной точке

, МПа;
- максимальное главное напряжение в расчетной точке

, МПа;
- минимальное главное напряжение в расчетной точке

, МПа;
- активное напряжение сдвига в расчетной точке Tакт[r, z], МПа.

Результаты расчета монолитных слоев на растяжение при изгибе в точке с координатами r и z:
- нормальное радиальное напряжение в расчетной точке

, МПа;
- нормальное тангенциальное напряжение в расчетной точке

, МПа.

Результаты расчета слабосвязных слоев на сдвиг при статическом действии нагрузки в выбранной точке с координатами r и z:
- нормальное вертикальное напряжение в расчетной точке

, МПа;
- нормальное радиальное напряжение в расчетной точке

, МПа;
- нормальное тангенциальное напряжение в расчетной точке

, МПа;
- касательное напряжение в расчетной точке

, МПа;
- максимальное главное напряжение в расчетной точке

, МПа;
- минимальное главное напряжение в расчетной точке

, МПа;
- активное напряжение сдвига в расчетной точке Tакт[r, z], МПа.
Примеры расчета компонентов напряженно-деформированного состояния многослойной дорожной одежды с помощью решения для многослойного полупространства по алгоритму К.К. Туроверова представлены в
приложении Д.
(обязательное)
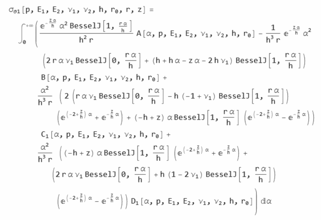
АЛГОРИТМЫ РАСЧЕТА НАПРЯЖЕНИЙ И СМЕЩЕНИЙ В ДВУХСЛОЙНОЙ
УПРУГОЙ СРЕДЕ, НАГРУЖЕННОЙ НА ПОВЕРХНОСТИ ОСЕСИММЕТРИЧНЫМ
ШТАМПОМ С НОРМАЛЬНОЙ НАГРУЗКОЙ ПРИ СПАЯННОМ КОНТАКТЕ СЛОЕВ
А.1 Общие сведения
Следуя методике, предложенной в работе
[4], бигармонические функции

, i = 1, 2 представляются несобственными интегралами, в которых фигурируют следующие функции:

(А.1)

(А.2)
зависящие от переменной интегрирования

и от параметров задачи p, E
1, E
2,

,

, h, r
0 (рисунок А.1).
Рисунок А.1 - Бигармонические функции

, i = 1, 2
Функции

,

,

,

подлежат определению из
условий (2) -
(11). На
рисунке А.1 и далее используются обозначения

,

, для функций Бесселя первого рода нулевого и первого порядков, зависящих от аргумента

.
Несобственные интегралы (см.
рисунок А.1) допускают дифференцирование под знаком интеграла по переменным и после подстановки в
соотношения (2) -
(7) приводят в каждом слое к представлениям для напряжений и смещений, участвующих в граничных
условиях (8) -
(11) и просто формирующих напряженно-деформированное состояние упругой среды (
рисунки А.2 -
А.13):
Рисунок А.2 - Вычисление вертикального напряжения

Рисунок А.3 - Вычисление вертикального напряжения

Рисунок А.4 - Вычисление радиального напряжения

Рисунок А.5 - Вычисление радиального напряжения

Рисунок А.6 - Вычисление тангенциального напряжения

Рисунок А.7 - Вычисление тангенциального напряжения

Рисунок А.8 - Вычисление касательного напряжения

Рисунок А.9 - Вычисление касательного напряжения

Рисунок А.10 - Вычисление горизонтального смещения U1
Рисунок А.11 - Вычисление горизонтального смещения U2
Рисунок А.12 - Вычисление вертикального смещения W1
Рисунок А.13 - Вычисление вертикального смещения W
2
А.2 Общая схема решения задачи
| | ИС МЕГАНОРМ: примечание. В официальном тексте документа, видимо, допущена опечатка: выражение (А.8) отсутствует. | |
Общая схема решения задачи описана
зависимостями (1),
(8) -
(11). Подынтегральные выражения на
рисунке А.1 образованы из решений бигармонического
уравнения (1) таким образом, что
представления (А.2) для нормальных напряжений

, i = 1, 2 и выражения (А.8) для касательных напряжений

, i = 1, 2 при любом выборе функций

,

,

,

(корректном с точки зрения сходимости интегралов) обеспечивают выполнение
условий непрерывности (10) на границе слоев. Четыре искомых функции

,

,

,

подлежат определению из четырех оставшихся граничных
условий (8),
(9),
(11), каждое из которых приводит к линейному алгебраическому уравнению относительно неизвестных функций.
Решение полученной таким образом системы из четырех линейных алгебраических уравнений разбивается на два этапа. Вначале, используя два условия непрерывности горизонтальных и вертикальных смещений
(11) и ступенчатый вид основной матрицы системы уравнений, функции

,

выражаются через две другие функции

,
(рисунок А.14).
Рисунок А.14 - Функции C
1, D
1
Затем, используя соотношения (см.
рисунок А.14) и
условия (8),
(9) на поверхности упругого полупространства, получим систему уравнений для двух оставшихся функций

,

. При этом для ступенчатой правой части
равенства (8) используется интегральное разложение по функциям Бесселя

(А.3)
Решение упомянутой системы двух линейных алгебраических уравнений в символьном виде приводит к следующим формулам для искомых функций (
рисунки А.15,
А.16).
Подстановка выражений, представленных на
рисунках А.15,
А.16, в
рисунок А.14 позволяет получить представления для функций

,

, а затем из формул, данных на
рисунках А.2 -
А.13, - пригодные для численных расчетов интегральные формулы для напряжений и смещений в заданной точке упругой среды.
(обязательное)
АЛГОРИТМЫ РАСЧЕТА НАПРЯЖЕНИЙ И СМЕЩЕНИЙ В ДВУХСЛОЙНОЙ
УПРУГОЙ СРЕДЕ, НАГРУЖЕННОЙ НА ПОВЕРХНОСТИ ОСЕСИММЕТРИЧНЫМ
ШТАМПОМ С НОРМАЛЬНОЙ НАГРУЗКОЙ ПРИ ГЛАДКОМ КОНТАКТЕ СЛОЕВ
Б.1 Общие сведения
Следуя методике, предложенной в работе
[4], бигармонические функции

, i = 1, 2 представляются несобственными интегралами, в которых фигурируют функции

(Б.1)

(Б.2)
зависящие от переменной интегрирования

и от параметров задачи p, E
1, E
2,

,

, h, r
0 (рисунок Б.1).
Рисунок Б.1 - Бигармонические функции

, i = 1, 2
Функции

,

,

,

подлежат определению из
условий (2) -
(9),
(12),
(13). На
рисунке Б.1 и далее используются обозначения

,

для функций Бесселя первого рода нулевого и первого порядков, зависящих от аргумента

.
Несобственные интегралы (см.
рисунок Б.1) допускают дифференцирование под знаком интеграла по переменным и после подстановки в
соотношения (2) -
(7) приводят в каждом слое к представлениям для напряжений и смещений, участвующих в граничных
условиях (12),
(13) и просто формирующих напряженно-деформированное состояние упругой среды (
рисунки Б.2 -
Б.13).
Рисунок Б.2 - Вычисление вертикального напряжения

Рисунок Б.3 Вычисление вертикального напряжения

Рисунок Б.4 - Вычисление радиального напряжения

Рисунок Б.5 - Вычисление радиального напряжения

Рисунок Б.6 - Вычисление тангенциального напряжения

Рисунок Б.7 - Вычисление тангенциального напряжения

Рисунок Б.8 - Вычисление касательного напряжения

Рисунок Б.9 - Вычисление касательного напряжения

Рисунок Б.10 - Вычисление горизонтального смещения U1
Рисунок Б.11 - Вычисление горизонтального смещения U2
Рисунок Б.12 - Вычисление вертикального смещения W1
Рисунок Б.13 - Вычисление вертикального смещения W
2
Б.2 Общая схема решения задачи
Общая схема решения задачи описана
зависимостями (1),
(8),
(9),
(12),
(13). Подынтегральные выражения на
рисунке Б.1 образованы из решений бигармонического
уравнения (1) таким образом, что вычисления, представленные на
рисунке Б.2 для нормальных напряжений

, i = 1, 2, и выражения (см.
рисунок Б.8) для касательных напряжений

, i = 1, 2 при любом выборе функций

,

,

,

(корректном с точки зрения сходимости интегралов), обеспечивают выполнение
условий равенства напряжений (12) на границе слоев. Четыре искомых функции

,

,

,

подлежат определению из трех оставшихся граничных
условий (8),
(9),
(13) и четвертого уравнения, вытекающего из равенства нулю касательных напряжений в
условии (12). Каждое из перечисленных ограничений приводит к линейному алгебраическому уравнению относительно неизвестных функций. Кроме того, приравнивая нулю касательные напряжения на границе слоев, получим, что первая искомая функция тождественно равна нулю:

.
Решение полученной таким образом системы из трех линейных алгебраических уравнений разбивается на два этапа. Вначале, используя два
условия (9) и
(13), выразим функции

,

через оставшуюся функцию
(рисунок Б.14).
Рисунок Б.14 - Функции C
1, D
1
Затем, используя соотношения, приведенные на
рисунке Б.14, и
условие (8) на поверхности упругого полупространства, получим уравнение для оставшейся функции

. При этом для ступенчатой правой части
равенства (8) используется интегральное разложение по функциям Бесселя

(Б.3)
Решение упомянутого уравнения приводит к следующему виду искомой функции
(рисунок Б.15).
Подстановка выражения, данного на
рисунке Б.15, в формулы, указанные на
рисунке Б.14, позволяет получить представления для функций

,

, а затем из формул, представленных на
рисунках Б.2 -
Б.13, - пригодные для численных расчетов интегральные формулы для напряжений и смещений в заданной точке упругой среды.
(обязательное)
АЛГОРИТМЫ РАСЧЕТА НАПРЯЖЕНИЙ И СМЕЩЕНИЙ В МНОГОСЛОЙНОЙ
УПРУГОЙ СРЕДЕ, НАГРУЖЕННОЙ НА ПОВЕРХНОСТИ ОСЕСИММЕТРИЧНЫМ
ШТАМПОМ С НОРМАЛЬНОЙ НАГРУЗКОЙ ПРИ СПАЯННОМ КОНТАКТЕ СЛОЕВ
В.1 Общие сведения
В работе
[4] предложено искать бигармонические функции

, i = 1, 2, ..., 7 в виде несобственных интегралов
(рисунок В.1), подынтегральные функции которых содержат неизвестные функции

,

,

,

, i = 1, 2, ..., 6 от переменной интегрирования

. Упомянутые функции подлежат определению из
условий (27) -
(36).
Рисунок В.1 - Бигармонические функции

,
i = 1, 2, ..., 7
В формулах, представленных на
рисунке В.1 и далее, используются обозначения постоянных

, i = 1, 2, ..., 6 и обозначения

,

для функций Бесселя первого рода нулевого и первого порядков, зависящих от аргумента

.
Несобственные интегралы (см.
рисунок В.1) допускают дифференцирование под знаком интеграла по переменным r, z и после подстановки в
соотношения (23) -
(28) приводят в каждом слое к представлениям для напряжений и смещений, участвующих в граничных
условиях (33) -
(36).
На
рисунках В.2,
В.3 даны вычисления напряжений соответственно вертикальных и касательных; на
рисунках В.4,
В.5 - вычисления смещений соответственно горизонтальных и вертикальных.
Рисунок В.2 - Вычисление вертикальных напряжений

, i = 1, 2, ..., 7
Рисунок В.3 - Вычисление касательных напряжений

, i = 1, 2, ..., 7
Рисунок В.4 - Вычисление горизонтальных смещений
Ui(r, z), i = 1, 2, ..., 7
Рисунок В.5 - Вычисление вертикальных смещений
Wi(r, z), i = 1, 2, ..., 7
В.2 Общая схема решения задачи
Общая схема решения задачи описана
зависимостями (26),
(33) -
(36). Подынтегральные выражения в формулах, представленных на
рисунке В.1, образованы из решений бигармонического
уравнения (26) таким образом, что представления (см.
рисунок В.2) для нормальных напряжений

, i = 1, 2, ..., 7 и выражения, данные на
рисунке В.3, для касательных напряжений

, i = 1, 2, ..., 7 при любом выборе функций

,

,

,

, i = 1, 2, ..., 6 (корректном с точки зрения сходимости интегралов) обеспечивают выполнение
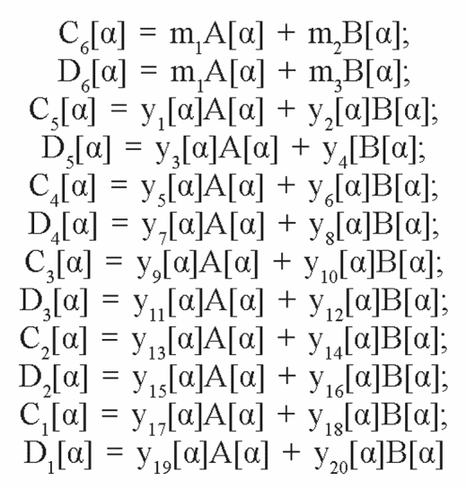
условий непрерывности (35) на границах слоев. Четырнадцать искомых функций

,

,

,

, i = 1, 2, ..., 6 подлежат определению из 14 оставшихся граничных
условий (33),
(34),
(36), каждое из которых приводит к линейному алгебраическому уравнению относительно неизвестных функций.
Непосредственное решение системы 14 линейных алгебраических уравнений для функций

,

,

,

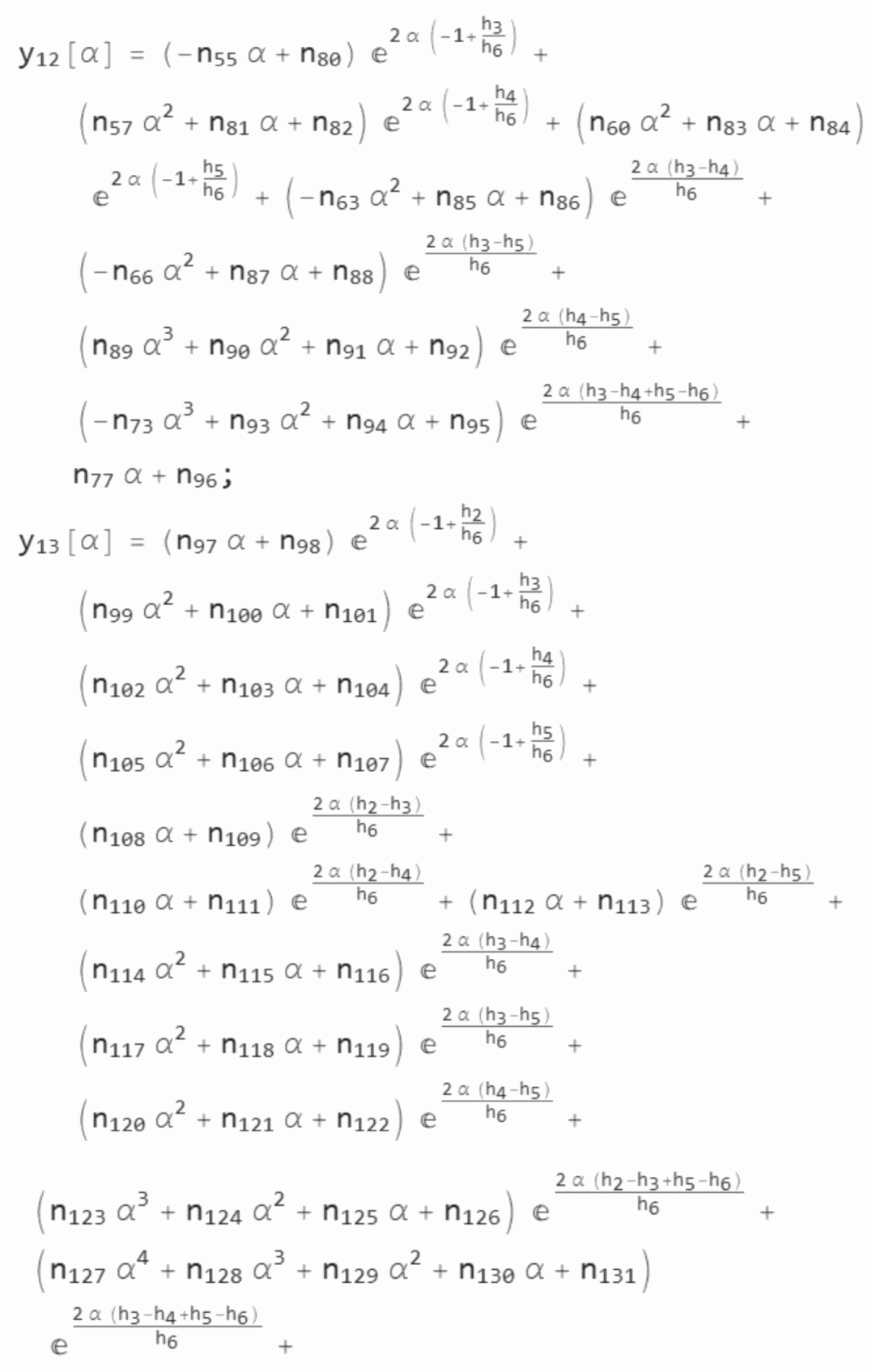
, i = 1, 2, ..., 6 в символьном виде методом Гаусса практически невозможно из-за больших размеров получающихся при этом формул. Поэтому решение упомянутой выше системы разбивается на несколько этапов.
Вначале, используя 12 условий непрерывности горизонтальных и вертикальных смещений
(36) и ступенчатый вид основной матрицы системы уравнений, функции

,

, i = 1, 2, ..., 6 выражаются через две другие функции

,

.
Далее каждое из 12 представлений для функций

,

, i = 1, 2, ..., 6 подвергается специальному преобразованию, целью которого является минимизация вычислительной сложности полученных соотношений. В результате система граничных условий
(36) равносильным образом представляется в виде системы уравнений
(рисунок В.6).
Рисунок В.6 - Система уравнений
Нижние индексы функций

,

, i = 1, 2, ..., 6, стоящих в левых частях уравнений (см.
рисунок В.6), совпадают со значением номера i плоскости z = h
i, на которой ставятся рассматриваемые в уравнениях граничные условия. В формулах, представленных на
рисунке В.6, фигурируют функции

, i = 1, 2, ..., 20, представления которых задаются выражениями
(рисунок В.7). Вычислительная сложность зависимостей (см.
рисунок В.6) уменьшается с увеличением номера границы.
Рисунок В.7 - Представления функций

, i = 1, 2, ..., 20
В правых частях уравнений (см.
рисунок В.6) и в представлениях для функций (см.
рисунок В.7) содержатся также постоянные величины m
k, k = 1, ..., 34 и n
k, k = 1, ..., 784, которые элементарным, но часто весьма громоздким образом выражаются через исходные физические постоянные задачи E
i,

, i = 1, 2, ..., 7. Большое количество упомянутых величин не позволяет представить их в данном документе.
Из граничных
условий (33),
(34) на поверхности полупространства z = 0 к системе (см.
рисунок В.6) добавляются еще два уравнения для искомых функций

,

,

,

, i = 1, 2, ..., 6. При этом для ступенчатой правой части
равенства (33) используется интегральное разложение по функциям Бесселя

(В.1)
Рисунок В.8 - Уравнение, дополняющее систему уравнений,
Рисунок В.9 - Уравнение, дополняющее систему уравнений,
Рисунок В.10 - Функции

,

Рисунок В.11 - Вспомогательные функции
Подстановка выражений (см.
рисунки В.10,
В.11) в формулы, приведенные на
рисунке В.6, позволяет получить представления для других искомых функций

,

, i = 1, 2, ..., 6, а затем из формул, данных на
рисунках В.2 -
В.5, - пригодные для численных расчетов интегральные представления для напряжений и смещений в заданной точке упругой среды.
(обязательное)
АЛГОРИТМЫ РАСЧЕТА НАПРЯЖЕНИЙ И СМЕЩЕНИЙ В МНОГОСЛОЙНОЙ
УПРУГОЙ СРЕДЕ, НАГРУЖЕННОЙ НА ПОВЕРХНОСТИ ОСЕСИММЕТРИЧНЫМ
ШТАМПОМ С НОРМАЛЬНОЙ НАГРУЗКОЙ ПРИ СПАЯННОМ КОНТАКТЕ СЛОЕВ
И ГЛАДКОМ КОНТАКТЕ НА ДВУХ ГРАНИЦАХ СЛОЕВ
В работе
[4] предложено искать бигармонические функции

, i = 1, 2, ..., 7 в виде несобственных интегралов
(рисунок Г.1), подынтегральные функции которых содержат неизвестные функции

,

,

,

, i = 1, 2, ..., 6 от переменной интегрирования

. Упомянутые функции подлежат определению из
условий (27) -
(34),
(37) -
(39).
Рисунок Г.1 - Бигармонические функции

, i = 1, 2, ..., 7
В формулах, представленных на
рисунке Г.1 и далее, используются обозначения постоянных

, i = 1, 2, ..., 6 и обозначения

,

для функций Бесселя первого рода нулевого и первого порядков, зависящих от аргумента

.
Несобственные интегралы (см.
рисунок Г.1) допускают дифференцирование под знаком интеграла по переменным r, z и после подстановки в
соотношения (27) -
(32) приводят в каждом слое к следующим представлениям для напряжений и смещений, участвующих в граничных
условиях (33),
(34),
(37) -
(39).
На
рисунках Г.2,
Г.3 даны вычисления напряжений соответственно вертикальных и касательных; на
рисунках Г.4,
Г.5 - вычисления смещений соответственно горизонтальных и вертикальных.
Рисунок Г.2 - Вычисление вертикальных напряжений

, i = 1, 2, ..., 7
Рисунок Г.3 - Вычисление касательных напряжений

, i = 1, 2, ..., 7
Рисунок Г.4 - Вычисление горизонтальных смещений
Ui(r, z), i = 1, 2, ..., 7
Рисунок Г.5 - Вычисление вертикальных смещений
Wi(r, z), i = 1, 2, ..., 7
Г.2 Общая схема решения задачи
| | ИС МЕГАНОРМ: примечание. В официальном тексте документа, видимо, допущена опечатка: условие (40) отсутствует. | |
Общая схема решения задачи описана
зависимостями (26),
(33) -
(34),
(37) -
(39). Подынтегральные выражения в формулах, представленных на
рисунке В.1, образованы из решений бигармонического
уравнения (26) таким образом, что представления (см.
рисунок Г.2) для нормальных напряжений

, i = 1, 2, ..., 7 и выражения, приведенные на
рисунке Г.3 для касательных напряжений

, i = 1, 2, ..., 7, при любом выборе функций

,

,

,

, i = 1, 2, ..., 6 (корректном с точки зрения сходимости интегралов) обеспечивают выполнение
условий непрерывности (37) на границах слоев. Четырнадцать искомых функций

,

,

,

, i = 1, 2, ..., 6 подлежат определению из двух граничных
условий (33),
(34) и 12
условий (35),
(36) либо
(37),
(38),
(39), (40) в зависимости от установленного типа контакта на границах с номерами i = 2, 3. Выполнение каждого из перечисленных условий приводит к линейному алгебраическому уравнению относительно неизвестных функций

,

,

,

, i = 1, 2, ..., 6. Задание типа контакта осуществляется посредством присваивания значения 1 при спаянном контакте или значения 0 при гладком контакте специальным переменным pk2 и pk3 в уравнениях, соответствующих условиям на границах с номерами i = 2, 3.
Непосредственное решение системы 14 линейных алгебраических уравнений для функций

,

,

,

, i = 1, 2, ..., 6 в символьном виде методом Гаусса практически невозможно из-за больших размеров получающихся при этом формул. Поэтому решение упомянутой выше системы разбивается на несколько этапов.
Вначале, используя 12 условий
(36),
(37), основную матрицу в системе уравнений приводим к ступенчатому виду, который позволяет функции

,

,

, i = 1, 2, ..., 6 и

, i = 1, 4, 5, 6 выразить через две другие функции

,

.
Далее каждое из 12 представлений для перечисленных выше функций подвергается специальному преобразованию, целью которого является минимизация вычислительной сложности полученных соотношений. В результате система граничных условий
(36),
(37) равносильным образом представляется в виде системы уравнений
(рисунок Г.6).
Рисунок Г.6 - Система уравнений
Нижние индексы функций

,

, i = 1, 2, ..., 6, стоящих в обеих частях уравнений (см.
рисунок Г.6), совпадают со значением номера i плоскости z = h
i, на которой ставятся рассматриваемые в уравнениях граничные условия. В формулах, представленных на
рисунке Г.6, фигурируют функции

,

, ...,

, представления которых задаются выражениями
(рисунок Г.7), и функции

,

, ...,
(рисунок Г.8).
Рисунок Г.7 - Представление функций
Рисунок Г.8 - Представление функций
В представлениях для функций (см.
рисунки Г.7,
Г.8) содержатся также постоянные величины m
k, k = 1, ..., 34; n
k, k = 1, ..., 784 и o
k, k = 1, ..., 281, которые элементарным, но часто весьма громоздким образом выражаются через исходные физические постоянные задачи E
i,

, i = 1, 2, ..., 7. Большое количество упомянутых величин не позволяет представить их в данном документе.
Из граничных
условий (33),
(34) на поверхности полупространства z = 0 к системе (см.
рисунок Г.6) добавляются еще два уравнения для искомых функций

,

,

,

, i = 1, 2, ..., 6. При этом для ступенчатой правой части
равенства (33) используется интегральное разложение по функциям Бесселя
Рисунок Г.9 - Уравнения, дополняющие систему уравнений,
Рисунок Г.10 - Функции, определяющие коэффициенты
при неизвестных

,

в системе, приведенной
| | ИС МЕГАНОРМ: примечание. В официальном тексте документа, видимо, допущена опечатка: имеется в виду рисунок Г.11, а не рисунок 11. | |
После подстановки в уравнения (см.
рисунок Г.9) представлений (см.
рисунок Г.10) и решения полученной системы двух уравнений относительно функций

,

получим следующие формулы
(рисунок 11).
Рисунок Г.11 - Формулы, определяющие

,

Подстановка выражений (см.
рисунок Г.11) в формулы (см.
рисунок Г.6) позволяет получить представления для других искомых функций

,

,

, i = 1, 2, ..., 6 и

, i = 1, 4, 5, 6, а затем из формул (см.
рисунки Г.1 -
Г.5) - пригодные для численных расчетов интегральные представления для напряжений и смещений в заданной точке упругой среды.
(справочное)
ПРИМЕРЫ РАСЧЕТА КОМПОНЕНТОВ НАПРЯЖЕННО-ДЕФОРМИРОВАННОГО
СОСТОЯНИЯ МНОГОСЛОЙНОЙ ДОРОЖНОЙ ОДЕЖДЫ С ПОМОЩЬЮ РЕШЕНИЯ
ДЛЯ ДВУХСЛОЙНОГО И МНОГОСЛОЙНОГО ПОЛУПРОСТРАНСТВА
Д.1 Пример N 1
Д.1.1 Исходные данные для расчета дорожной одежды
Исходные данные.
Категория проектируемой дороги - III.
Количество полос движения - 2.
Дорожно-климатическая зона - II.
Подзона - 1.
Тип местности по увлажнению - 1.
Заданная надежность Kн = 0,92 (принимается по согласованию с заказчиком).
Тип дорожной одежды - капитальный.
Слой износа - верхний слой покрытия толщиной 2 см.
Грунт рабочего слоя земляного полотна - пылеватый тяжелый суглинок.
Уровень грунтовых вод, считая от низа дорожной одежды, - 3 м.
Коэффициент уплотнения грунта земляного полотна Kупл = 1,01 - 0,98.
Расчетная нагрузка А-11.5 (P = 0,8 МПа).
Срок работ по капитальному ремонту - 24 года.
Срок работ по ремонту - 12 лет.
Нагрузка на колесо Q = 57,50 кН.
Давление в шине P = 0,80 МПа.
Диаметр штампа колеса D0 = 0,345 м (округлено до 3-го знака).
Диаметр штампа колеса от статической нагрузки Dст = 0,303 м.
Расчетные механические (деформационные и прочностные) характеристики грунта и песка приведены в
таблице Д.1.1.
Таблица Д.1.1
Расчетные механические (деформационные и прочностные)
характеристики грунта
Грунт | Модуль упругости E, МПа | Коэффициент Пуассона  | Угол внутреннего трения  , град | Угол внутреннего трения (статика)  , град |
Суглинок тяжелый пылеватый | 73,17 | 0,35 | 9,00 | 24,00 |
Расчетные характеристики материалов слоев дорожной одежды даны в
таблице Д.1.2.
Таблица Д.1.2
Расчетные характеристики материалов слоев дорожной одежды
Материал слоя | Толщина, см | Модуль упругости/коэффициент Пуассона |
упругий прогиб E iup, МПа/  | сдвиг, динамика E isd, МПа/  | изгиб E irast, МПа/  | сдвиг, статика E ist, МПа/  |
Асфальтобетон SP-12 на битумном вяжущем PG 64-28 | 5 (3) | 3800/0,30 | 2500/0,35 | 5300/0,25 | 400/0,35 |
Асфальтобетон SP-19 на битумном вяжущем PG 58-28 | 5 | 3400/0,30 | 2100/0,35 | 4900/0,25 | 480/0,35 |
Щебеночно-гравийно-песчаная смесь или крупнообломочный грунт, обработанный оптимальными жидкими органическими вяжущими с минеральными вяжущими | 16 | 950/0,25 | 950/0,25 | 950/0,25 | 950/0,25 |
| 65 | 300/0,25 | 300/0,25 | 300/0,25 | 300/0,25 |
Д.1.2 Расчет по упругому прогибу
Расчетный упругий прогиб конструкции Sупр, м, приравнивается к величине вертикального упругого смещения точки, находящейся на поверхности покрытия на оси симметрии кругового штампа: Sупр = W[0, 0].
Общий модуль упругости конструкции Eобщ, МПа, определяется по формуле

(Д.1)
где

- средний коэффициент Пуассона дорожной конструкции при толщине рабочего слоя, равной 1,5 м,
Результат расчета упругого прогиба по решению для многослойного полупространства и общего модуля упругости конструкции представлен в
таблице Д.1.3.
Таблица Д.1.3
Результат расчета упругого прогиба по решению
для многослойного полупространства и общего модуля
упругости конструкции
Наименование показателя | Величина показателя |
Упругий прогиб конструкции Sупр, мм | 0,58012 |
Общий модуль упругости конструкции Eобщ, МПа | 434,92 |
Результат расчета общего модуля упругости по упрощенной методике настоящего методического документа с использованием решения для двухслойного полупространства при

,

дан в
таблице Д.1.4.
Таблица Д.1.4
Результат расчета общего модуля упругости по упрощенной
методике настоящего методического документа с использованием
решения для двухслойного полупространства
при

,

Номер слоя | Материал слоя дорожной одежды | Модуль упругости Ei, МПа | Толщина слоя hi, м | | | | Общий модуль упругости на поверхности слоев  , МПа |
1 | Асфальтобетон SP-12 на битумном вяжущем PG 64-28 | 3800 | 0,03 | 0,086957 | 0,113124 | 0,124582 | 473,41 |
2 | Асфальтобетон SP-19 на битумном вяжущем PG 58-28 | 3400 | 0,05 | 0,144928 | 0,104100 | 0,126432 | 429,87 |
3 | Щебеночно-гравийно-песчаная смесь или крупнообломочный грунт, обработанный оптимальными жидкими органическими вяжущими с минеральными вяжущими | 950 | 0,16 | 0,463768 | 0,220215 | 0,372568 | 353,94 |
4 | Суглинок тяжелый пылеватый, укрепленный комплексным вяжущим (ГОСТ 23558-94) М20 | 300 | 0,65 | 1,88406 | 0,2439 | 0,697347 | 209,20 |
| Суглинок тяжелый пылеватый | 73,17 | | | | | Eгр = 73,17 |
Таблица Д.1.5
Результат расчета общего модуля упругости по методике
Номер слоя | Материал слоя дорожной одежды | Модуль упругости Ei, МПа | Толщина слоя hi, м | | | | Общий модуль упругости на поверхности слоев  , МПа |
1 | Асфальтобетон SP-12 на битумном вяжущем PG 64-28 | 3800 | 0,03 | 0,086957 | 0,114457 | 0,127568 | 484,76 |
2 | Асфальтобетон SP-19 на битумном вяжущем PG 58-28 | 3400 | 0,05 | 0,144928 | 0,103963 | 0,127923 | 434,94 |
3 | Щебеночно-гравийно-песчаная смесь или крупнообломочный грунт, обработанный оптимальными жидкими органическими вяжущими с минеральными вяжущими | 950 | 0,16 | 0,463768 | 0,218948 | 0,372079 | 353,47 |
4 | Суглинок тяжелый пылеватый, укрепленный комплексным вяжущим (ГОСТ 23558-94) М20 | 300 | 0,65 | 1,88406 | 0,2439 | 0,693335 | 208,00 |
| Суглинок тяжелый пылеватый | 73,17 | | | | | |
Д.1.3 Расчет активного напряжения сдвига при динамическом действии нагрузки
Результат расчета активного напряжения сдвига T
акт[0; 0,89] в грунте земляного полотна при динамическом действии нагрузки (в точке с координатами r = 0, z = 0,89 м) по решению для многослойного полупространства представлен в
таблице Д.1.6.
Таблица Д.1.6
Результат расчета активного напряжения сдвига T
акт[0; 0,89]
в грунте земляного полотна при динамическом действии
нагрузки по решению для многослойного полупространства
Наименование параметра | Величина параметра |
Координата расчетной точки по горизонтали r, м | 0 |
Координата расчетной точки по вертикали z, м | 0,89 |
Угол внутреннего трения материала  , град | 9,0 |
Нормальное вертикальное напряжение  , МПа | 0,0180003 |
Нормальное радиальное напряжение  , МПа | -0,00169144 |
Нормальное тангенциальное напряжение  , МПа | -0,0016914 |
Касательное напряжение  , МПа | 1,59981 x 10-9 |
Максимальное главное напряжение  , МПа | 0,0180003 |
Минимальное главное напряжение  , МПа | -0,0016914 |
Активное напряжение сдвига Tакт, МПа | 0,00868 |
Результат расчета активного напряжения сдвига T
акт[0; 0,89] в грунте земляного полотна при динамическом действии нагрузки (в точке с координатами r = 0, z = 0,89 м) по упрощенной методике данного методического документа приведен в
таблице Д.1.7.
Таблица Д.1.7
Результат расчета активного напряжения сдвига T
акт[0; 0,89]
в грунте земляного полотна при динамическом действии
нагрузки по упрощенной методике данного
методического документа
Отношение модулей упругости слоев Eв/Eн | Относительная толщина верхнего слоя hв/D | Угол внутреннего трения нижнего слоя  , град | Единичное значение активного напряжения сдвига  , МПа | Активное напряжение сдвига Tакт, МПа |
8,093 | 2,5797 | 9,0 | 0,01007 | 0,00806 |
Результат расчета активного напряжения сдвига T
акт[0; 0,89] в грунте земляного полотна при динамическом действии нагрузки (в точке с координатами r = 0, z = 0,89 м) по методике
ПНСТ 265-2018 дан в
таблице Д.1.8.
Таблица Д.1.8
Результат расчета активного напряжения сдвига T
акт[0; 0,89]
в грунте земляного полотна при динамическом действии
Отношение модулей упругости слоев Eв/Eн | Относительная толщина верхнего слоя hв/D | Угол внутреннего трения нижнего слоя  , град | Единичное значение активного напряжения сдвига  , МПа | Активное напряжение сдвига Tакт, МПа |
8,093 | 2,5797 | 9,0 | 0,01251 | 0,01000 |
Д.1.4 Расчет растягивающего напряжения в монолитном слое покрытия при воздействии односкатного колеса
Результат расчета растягивающего напряжения

при воздействии односкатного колеса в монолитном слое асфальтобетона SP-19 на битумном вяжущем PG 58-28 (в точке с координатами r = 0, z = 0,08 м) по решению для многослойного полупространства при гладком контакте на границе слоев представлен в
таблице Д.1.9.
Таблица Д.1.9
Результат расчета растягивающего напряжения

в монолитном слое асфальтобетона SP-19 на битумном вяжущем
PG 58-28 по решению для многослойного полупространства
при гладком контакте на границе слоев
Наименование параметра | Величина параметра |
Координата расчетной точки по горизонтали r, м | 0 |
Координата расчетной точки по вертикали z, м | 0,08 |
Нормальное радиальное напряжение  , МПа | -1,861 |
Нормальное тангенциальное напряжение  , МПа | -1,861 |
Результат расчета растягивающего напряжения

при воздействии односкатного колеса в монолитном слое асфальтобетона SP-19 на битумном вяжущем PG 58-28 (в точке с координатами r = 0, z = 0,08 м) по упрощенной методике настоящего методического документа при гладком контакте на границе слоев и

,

приведен в
таблице Д.1.10.
Таблица Д.1.10
Результат расчета растягивающего напряжения

в монолитном слое асфальтобетона SP-19 на битумном вяжущем
PG 58-28 по упрощенной методике настоящего методического
документа при гладком контакте на границе слоев
и

,

Отношение модулей упругости слоев Eв/Eн | Относительная толщина верхнего слоя hв/D | Единичное значение растягивающего напряжения  , МПа | Растягивающее напряжение  , МПа |
14,268 | 0,23188 | -3,042 | -2,434 |
Результат расчета растягивающего напряжения

при воздействии односкатного колеса в монолитном слое асфальтобетона SP-19 на битумном вяжущем PG 58-28 по методике
ПНСТ 265-2018 дан в
таблице Д.1.11.
Таблица Д.1.11
Результат расчета растягивающего напряжения

в монолитном слое асфальтобетона SP-19 на битумном вяжущем
Отношение модулей упругости слоев Eв/Eн | Относительная толщина верхнего слоя hв/D | Единичное значение растягивающего напряжения  , МПа | Растягивающее напряжение  , МПа |
14,2867 | 0,23188 | -2,166 | -1,733 |
Д.1.5 Расчет растягивающего напряжения в монолитном слое основания
Результат расчета растягивающего напряжения

в монолитном слое из щебеночно-гравийно-песчаной смеси или крупнообломочного грунта, обработанного оптимальными жидкими органическими вяжущими с минеральными вяжущими (в точке с координатами r = 0, z = 0,24 м), по решению для многослойного полупространства при спаянном контакте на границе слоев представлен в
таблице Д.1.12.
Таблица Д.1.12
Результат расчета растягивающего напряжения

в монолитном слое из щебеночно-гравийно-песчаной смеси или
крупнообломочного грунта, обработанного оптимальными жидкими
органическими вяжущими с минеральными вяжущими (в точке
с координатами r = 0, z = 0,24 м), по решению
для многослойного полупространства при спаянном контакте
на границе слоев
Наименование параметра | Величина параметра |
Координата расчетной точки по горизонтали r, м | 0,0 |
Координата расчетной точки по вертикали z, м | 0,24 |
Нормальное радиальное напряжение  , МПа | -0,232 |
Нормальное тангенциальное напряжение  , МПа | -0,232 |
Результат расчета растягивающего напряжения

в монолитном слое из щебеночно-гравийно-песчаной смеси или крупнообломочного грунта, обработанного оптимальными жидкими органическими вяжущими с минеральными вяжущими (в точке с координатами r = 0, z = 0,24 м), по методике
ПНСТ 265-2018 приведен в
таблице Д.1.13.
Таблица Д.1.13
Результат расчета растягивающего напряжения в монолитном
слое из щебеночно-гравийно-песчаной смеси или
крупнообломочного грунта, обработанного оптимальными жидкими
органическими вяжущими с минеральными вяжущими (в точке
Относительная толщина верхнего слоя hв/D | Отношение модулей упругости слоев E1/E2 | Отношение модулей упругости слоев E2/E3 | Единичное значение растягивающего напряжения  , МПа | Растягивающее напряжение  , МПа |
0,6957 | 2,368 | 4,541 | -0,440 | -0,352 |
Д.1.6 Расчет активного напряжения сдвига при статическом действии нагрузки
Результат расчета активного напряжения сдвига T
акт[0; 0,89] в грунте земляного полотна при статическом действии нагрузки (в точке с координатами r = 0, z = 0,89 м) по решению для многослойного полупространства представлен в
таблице Д.1.14.
Таблица Д.1.14
Результат расчета активного напряжения сдвига T
акт[0; 0,89]
в грунте земляного полотна при статическом действии нагрузки
по решению для многослойного полупространства
Наименование параметра | Величина параметра |
Координата расчетной точки по горизонтали r, м | 0 |
Координата расчетной точки по вертикали z, м | 0,89 |
Угол внутреннего трения материала  , град | 24,0 |
Нормальное вертикальное напряжение  , МПа | 0,0166733 |
Нормальное радиальное напряжение  , МПа | -0,00126272 |
Нормальное тангенциальное напряжение  , МПа | -0,00126272 |
Касательное напряжение  , МПа | 1,56056 x 10-9 |
Максимальное главное напряжение  , МПа | 0,0166733 |
Минимальное главное напряжение  , МПа | -0,00126272 |
Активное напряжение сдвига Tакт, МПа | 0,0064 |
Результат расчета активного напряжения сдвига T
акт[0; 0,89] в грунте земляного полотна при статическом действии нагрузки (в точке с координатами r = 0, z = 0,89 м) по упрощенной методике данного методического документа приведен в
таблице Д.1.15.
Таблица Д.1.15
Результат расчета активного напряжения сдвига T
акт[0; 0,89]
в грунте земляного полотна при статическом действии нагрузки
по упрощенной методике данного методического документа
Отношение модулей упругости слоев Eв/Eн | Относительная толщина верхнего слоя hв/D | Угол внутреннего трения нижнего слоя  , град | Единичное значение активного напряжения сдвига  , МПа | Активное напряжение сдвига Tакт, МПа |
5,881 | 2,937 | 24,0 | 0,0075 | 0,0060 |
Результат расчета активного напряжения сдвига T
акт[0; 0,89] в грунте земляного полотна при статическом действии нагрузки по методике
ПНСТ 265-2018 дан в
таблице Д.1.16.
Таблица Д.1.16
Результат расчета активного напряжения сдвига T
акт[0; 0,89]
в грунте при статическом действии нагрузки (в точке
Отношение модулей упругости слоев Eв/Eн | Относительная толщина верхнего слоя hв/D | Угол внутреннего трения нижнего слоя  , град | Единичное значение активного напряжения сдвига  , МПа | Активное напряжение сдвига Tакт, МПа |
5,881 | 2,937 | 24,0 | 0,00764 | 0,0061 |
Д.1.7 Сводные результаты расчета параметров напряженно-деформированного состояния конструкции нежесткой дорожной одежды
Сводные результаты расчета напряженно-деформированного состояния конструкции представлены в
таблице Д.1.17.
Таблица Д.1.17
Сводные результаты расчета параметров
напряженно-деформированного состояния конструкции
Наименование параметра | Величина параметра согласно |
данному методическому документу | |
Общий модуль упругости конструкции Eобщ, МПа | 434,92 | 473,41 | 484,76 |
Активное напряжение сдвига в грунте Tакт, МПа: | | | |
при динамическом действии нагрузки | 0,00868 | 0,00806 | 0,0100 |
статическом действии нагрузки | 0,0064 | 0,0060 | 0,0061 |
Растягивающее напряжение в монолитном слое  , МПа: | | | |
покрытия: | | | |
гладкий контакт | -1,861 | - | - |
гладкий контакт  ,  | - | -2,434 | - |
спаянный контакт  ,  | - | - | -1,733 |
основания | -0,232 | - | -0,352 |
В ходе сопоставительного расчета установлено, что:
- расчетный общий модуль упругости конструкции, рассчитанный по решению для многослойного полупространства, ниже рассчитанного по упрощенной методике
ПНСТ 265-2018 на 10,28% и ниже рассчитанного по упрощенной методике данного методического документа на 8,13%;
- активные напряжения сдвига в грунте, рассчитанные по решению для многослойного полупространства, ниже рассчитанных по упрощенной методике
ПНСТ 265-2018 при динамическом действии нагрузки на 13,2%, при статическом действии нагрузки выше на 4,9%;
- растягивающие напряжения в монолитном слое основания, рассчитанные по решению для многослойного полупространства, ниже рассчитанных по упрощенной методике
ПНСТ 265-2018 на 34,09%;
- условия на контактах слоев асфальтобетона и щебеночно-песчано-гравийной смеси оказывают весьма значительное влияние на напряженное состояние монолитного слоя из асфальтобетона. При расчете по номограммам для гладкого контакта растягивающее напряжение в слое асфальтобетона выше на 40,45% по сравнению со спаянным контактом;
- растягивающие напряжения в монолитном слое (асфальтобетоне), рассчитанные по решению для многослойного полупространства, ниже рассчитанных по упрощенной методике данного методического документа (для гладкого контакта на границе слоев) на 23,54%.
Д.2 Пример N 2
Д.2.1 Исходные данные для расчета дорожной одежды
Исходные данные.
Категория проектируемой дороги - II.
Количество полос движения - 2.
Дорожно-климатическая зона - II.
Подзона - 1.
Тип местности по увлажнению - 1.
Заданная надежность Kн = 0,95.
Тип дорожной одежды - капитальный.
Слой износа - верхний слой покрытия толщиной 2 см.
Грунт рабочего слоя земляного полотна - легкий суглинок.
Уровень грунтовых вод, считая от низа дорожной одежды, - 0,96 м.
Коэффициент уплотнения грунта земляного полотна Kупл = 1,03 - 1,00.
Расчетная нагрузка А-11.5 (P = 0,8 МПа).
Срок работ по капитальному ремонту - 24 года.
Срок работ по ремонту - 12 лет.
Нагрузка на колесо Q = 57,50 кН.
Давление в шине P = 0,80 МПа.
Диаметр штампа колеса D0 = 0,345 м.
Диаметр штампа колеса от статической нагрузки Dст = 0,303 м.
Расчетные механические (деформационные и прочностные) характеристики грунта и песка приведены в
таблице Д.2.1.
Таблица Д.2.1
Расчетные механические (деформационные и прочностные)
характеристики грунта и песка
Материал слоя | Модуль упругости E, МПа | Коэффициент Пуассона | Угол внутреннего трения, град | Угол внутреннего трения (статика), град |
Песок средний | 120,00 | 0,30 | 26,00 | 33,00 |
Суглинок легкий | 40,64 | 0,35 | 5,422 | 17,844 |
Расчетные характеристики материалов слоев дорожной одежды представлены в
таблице Д.2.2.
Таблица Д.2.2
Расчетные характеристики материалов слоев дорожной одежды
Материал слоя | Толщина, см | Модуль упругости/коэффициент Пуассона |
упругий прогиб E iup, МПа/  | сдвиг, динамика E isd, МПа/  | изгиб E irast, МПа/  | сдвиг, статика E ist, МПа/  |
Асфальтобетон SMA 12 на битумном вяжущем PG 70-Y | 4 (2) | 5000/0,30 | 3300/0,35 | 6900/0,25 | 390/0,35 |
Асфальтобетон SP-16 на битумном вяжущем PG 64-Y | 7 | 3800/0,30 | 2500/0,35 | 5300/0,25 | 480/0,35 |
Асфальтобетон плотный типа Б на битуме марки БНД 60/90 | 8 | 3200/0,30 | 1800/0,35 | 4500/0,25 | 400/0,35 |
Щебень фракции 31,5 - 63 мм с заклинкой фракционным мелким щебнем | 40 | 350/0,27 | 350/0,27 | 350/0,27 | 350/0,27 |
Песок средний с содержанием пылевато-глинистой фракции 5% | 55 | 120/0,30 | 120/0,30 | 120/0,30 | 120/0,30 |
Д.2.2 Расчет по упругому прогибу
Расчетный упругий прогиб конструкции Sупр, м, приравнивается к величине вертикального упругого смещения точки, находящейся на поверхности покрытия на оси симметрии кругового штампа: Sупр = W[0, 0].
Общий модуль упругости конструкции Eобщ, МПа, определяется по формуле

(Д.2)
где

- средний коэффициент Пуассона конструкции при толщине рабочего слоя, равной 1,5 м,
| | ИС МЕГАНОРМ: примечание. Формула дана в соответствии с официальным текстом документа. | |
Результат расчета упругого прогиба по решению для многослойного полупространства и общего модуля упругости конструкции дан в
таблице Д.2.3.
Таблица Д.2.3
Результат расчета упругого прогиба по решению
для многослойного полупространства и общего
модуля упругости конструкции
Наименование параметра | Величина параметра |
Упругий прогиб конструкции Sупр, мм | 0,711 |
Общий модуль упругости конструкции Eобщ, МПа | 352,15 |
Результат расчета общего модуля упругости по упрощенной методике настоящего методического документа с использованием решения для двухслойного полупространства при

,

приведен в
таблице Д.2.4.
Таблица Д.2.4
Результат расчета общего модуля упругости по упрощенной
методике настоящего методического документа с использованием
решения для двухслойного полупространства
при

,

Номер слоя | Материал слоя дорожной одежды | Модуль упругости Ei, МПа | Толщина слоя hi, м | | | | Общий модуль упругости на поверхности слоев  , МПа |
1 | Асфальтобетон SMA 16 на битумном вяжущем PG 70-Y | 5000,00 | 0,02 | 0,0580 | 0,0911 | 0,09665 | 483,25 |
2 | Асфальтобетон SP-16 на битумном вяжущем PG 64-Y | 3800,00 | 0,07 | 0,2029 | 0,0863 | 0,119803 | 455,25 |
3 | Асфальтобетон плотный типа Б на битуме марки БНД 60/90 | 3200,00 | 0,08 | 0,2319 | 0,0663 | 0,102449 | 327,84 |
4 | Щебень фракции 31,5 - 63 мм с заклинкой фракционным мелким щебнем | 350,00 | 0,40 | 1,1594 | 0,2549 | 0,605811 | 212,03 |
| Песок средней крупности с содержанием пылевато-глинистой фракции 5% | 120,00 | 0,55 | 1,5942 | 0,3386 | 0,743481 | 89,218 |
| Суглинок легкий | 40,64 | - | | | | Eгр = 40,64 |
Таблица Д.2.5
Результат расчета общего модуля упругости
Номер слоя | Материал слоя дорожной одежды | Модуль упругости Ei, МПа | Толщина слоя hi, м | | | | Общий модуль упругости на поверхности слоев  , МПа |
1 | Асфальтобетон SMA 16 на битумном вяжущем PG 70-Y | 5000,00 | 0,02 | 0,0580 | 0,0924 | 0,099908 | 495,31 |
2 | Асфальтобетон SP-16 на битумном вяжущем PG 64-Y | 3800,00 | 0,07 | 0,2029 | 0,0867 | 0,121534 | 461,83 |
3 | Асфальтобетон плотный типа Б на битуме марки БНД 60/90 | 3200,00 | 0,08 | 0,2319 | 0,0658 | 0,102922 | 329,35 |
4 | Щебень фракции 31,5 - 63 мм с заклинкой фракционным мелким щебнем | 350,00 | 0,40 | 1,1594 | 0,2531 | 0,601814 | 210,63 |
| Песок средней крупности с содержанием пылевато-глинистой фракции 5% | 120,00 | 0,55 | 1,5942 | 0,3386 | 0,738307 | 88,60 |
| Суглинок легкий | 40,64 | - | | | | |
Д.2.3 Расчет активного напряжения сдвига при динамическом действии нагрузки
Результат расчета активного напряжения сдвига T
акт[0; 1,12] в грунте земляного полотна при динамическом действии нагрузки (в точке с координатами r = 0, z = 1,12 м) по решению для многослойного полупространства дан в
таблице Д.2.6.
Таблица Д.2.6
Результат расчета активного напряжения сдвига T
акт[0; 1,12]
в грунте земляного полотна при динамическом действии
нагрузки по решению для многослойного полупространства
Наименование параметра | Величина показателя |
Координата расчетной точки по горизонтали r, м | 0 |
Координата расчетной точки по вертикали z, м | 1,12 |
Угол внутреннего трения материала  , град | 5,422 |
Нормальное вертикальное напряжение  , МПа | 0,01005 |
Нормальное радиальное напряжение  , МПа | -0,00129 |
Нормальное тангенциальное напряжение  , МПа | -0,00129 |
Касательное напряжение  , МПа | 7,046 x 10-10 |
Максимальное главное напряжение  , МПа | 0,01005 |
Минимальное главное напряжение  , МПа | -0,00129 |
Активное напряжение сдвига Tакт, МПа | 0,00528 |
Результат расчета активного напряжения сдвига T
акт[0; 1,12] в грунте земляного полотна при динамическом действии нагрузки (в точке с координатами r = 0, z = 1,12 м) по упрощенной методике данного методического документа представлен в
таблице Д.2.7.
Таблица Д.2.7
Результат расчета активного напряжения сдвига T
акт[0; 1,12]
в грунте земляного полотна при динамическом действии
нагрузки по упрощенной методике данного
методического документа
Отношение модулей упругости слоев Eв/Eн | Относительная толщина верхнего слоя hв/D | Угол внутреннего трения нижнего слоя  , град | Единичное значение активного напряжения сдвига  , МПа | Активное напряжение сдвига Tакт, МПа |
12,985 | 3,246 | 5,422 | 0,00508 | 0,00406 |
Результат расчета активного напряжения сдвига T
акт[0; 1,12] в грунте земляного полотна при динамическом действии нагрузки (в точке с координатами r = 0, z = 1,12 м) по методике
ПНСТ 265-2018 приведен в
таблице Д.2.8.
Таблица Д.2.8
Результат расчета активного напряжения сдвига T
акт[0; 1,12]
в грунте земляного полотна при динамическом действии
Отношение модулей упругости слоев Eв/Eн | Относительная толщина верхнего слоя hв/D | Угол внутреннего трения нижнего слоя  , град | Единичное значение активного напряжения сдвига  , МПа | Активное напряжение сдвига Tакт, МПа |
12,985 | 3,246 | 5,422 | 0,00803 | 0,00642 |
Результат расчета активного напряжения сдвига T
акт[0; 0,57] в слое песка средней крупности при динамическом действии нагрузки (в точке с координатами r = 0, z = 0,57 м) по решению для многослойного полупространства представлен в
таблице Д.2.9.
Таблица Д.2.9
Результат расчета активного напряжения сдвига T
акт[0; 0,57]
в слое песка средней крупности при динамическом действии
нагрузки по решению для многослойного полупространства
Наименование параметра | Величина показателя |
Координата расчетной точки по горизонтали r, м | 0 |
Координата расчетной точки по вертикали z, м | 0,57 |
Угол внутреннего трения материала  , град | 26,0 |
Нормальное вертикальное напряжение  , МПа | 0,04111 |
Нормальное радиальное напряжение  , МПа | -0,01038 |
Нормальное тангенциальное напряжение  , МПа | -0,01038 |
Касательное напряжение  , МПа | 6,453 x 10-9 |
Максимальное главное напряжение  , МПа | 0,04111 |
Минимальное главное напряжение  , МПа | -0,01038 |
Активное напряжение сдвига Tакт, МПа | 0,02115 |
Результат расчета активного напряжения сдвига T
акт[0; 0,57] в слое песка средней крупности при динамическом действии нагрузки (в точке с координатами r = 0, z = 0,57 м) по упрощенной методике настоящего методического документа дан в
таблице Д.2.10.
Таблица Д.2.10
Результат расчета активного напряжения сдвига T
акт[0; 0,57]
в слое песка средней крупности при динамическом действии
нагрузки по упрощенной методике настоящего
методического документа
Отношение модулей упругости слоев Eв/Eн | Относительная толщина верхнего слоя hв/D | Угол внутреннего трения нижнего слоя  , град | Единичное значение активного напряжения сдвига  , МПа | Активное напряжение сдвига Tакт, МПа |
10,324 | 1,652 | 26 | 0,01508 | 0,01206 |
Результат расчета активного напряжения сдвига T
акт[0; 0,57] в слое песка средней крупности при динамическом действии нагрузки (в точке с координатами r = 0, z = 0,57 м) по методике
ПНСТ 265-2018 представлен в
таблице Д.2.11.
Таблица Д.2.11
Результат расчета активного напряжения сдвига T
акт[0; 0,57]
в слое песка средней крупности при динамическом действии
Отношение модулей упругости слоев Eв/Eн | Относительная толщина верхнего слоя hв/D | Угол внутреннего трения нижнего слоя  , град | Единичное значение активного напряжения сдвига  , МПа | Активное напряжение сдвига Tакт, МПа |
10,324 | 1,652 | 26 | 0,01323 | 0,01058 |
Д.2.4 Расчет растягивающего напряжения в монолитном слое
Результат расчета растягивающего напряжения

в монолитном слое плотного асфальтобетона при воздействии односкатного колеса (в точке с координатами r = 0, z = 0,17 м) по решению для многослойного полупространства при гладком контакте на границе слоев дан в
таблице Д.2.12.
Таблица Д.2.12
Результат расчета растягивающего напряжения

в монолитном слое плотного асфальтобетона по решению
для многослойного полупространства при гладком контакте
на границе слоев
Наименование параметра | Величина параметра |
Координата расчетной точки по горизонтали r, м | 0,0 |
Координата расчетной точки по вертикали z, м | 0,17 |
Нормальное радиальное напряжение  , МПа | -1,5860 |
Нормальное тангенциальное напряжение  , МПа | -1,5860 |
Результат расчета растягивающего напряжения

в монолитном слое плотного асфальтобетона при воздействии односкатного колеса в точке с координатами r = 0, z = 0,17 м по методике данного методического документа при

,

при гладком контакте на границе слоев приведен в
таблице Д.2.13.
Таблица Д.2.13
Результат расчета растягивающего напряжения

в монолитном слое плотного асфальтобетона по методике
данного методического документа при

,

при гладком контакте на границе слоев
Отношение модулей упругости слоев Eв/Eн | Относительная толщина верхнего слоя hв/D | Единичное значение растягивающего напряжения  , МПа | Растягивающее напряжение  , МПа |
24,108 | 0,4927 | -2,1080 | -1,6860 |
Результат расчета растягивающего напряжения

в монолитном слое плотного асфальтобетона при воздействии односкатного колеса по методике
ПНСТ 265-2018 [1] дан в
таблице Д.2.14.
Таблица Д.2.14
Результат расчета растягивающего напряжения

в монолитном слое плотного асфальтобетона по методике
Отношение модулей упругости слоев Eв/Eн | Относительная толщина верхнего слоя hв/D | Единичное значение растягивающего напряжения  , МПа | Растягивающее напряжение  , МПа |
24,108 | 0,4927 | -1,7797 | -1,4238 |
Д.2.5 Расчет активного напряжения сдвига при статическом действии нагрузки
Результат расчета активного напряжения сдвига T
акт[0; 1,12] в грунте земляного полотна при статическом действии нагрузки (в точке с координатами r = 0, z = 1,12 м) по решению для многослойного полупространства представлен в
таблице Д.2.15.
Таблица Д.2.15
Результат расчета активного напряжения сдвига T
акт[0; 1,12]
в грунте земляного полотна при статическом действии нагрузки
по решению для многослойного полупространства
Наименование параметра | Величина параметра |
Координата расчетной точки по горизонтали r, м | 0 |
Координата расчетной точки по вертикали z, м | 1,12 |
Угол внутреннего трения материала  , град | 17,844 |
Нормальное вертикальное напряжение  , МПа | 0,01007 |
Нормальное радиальное напряжение  , МПа | -0,0009375 |
Нормальное тангенциальное напряжение  , МПа | -0,0009375 |
Касательное напряжение  , МПа | 7,5242 x 10-10 |
Максимальное главное напряжение  , МПа | 0,01007 |
Минимальное главное напряжение  , МПа | -0,0009375 |
Активное напряжение сдвига Tакт, МПа | 0,004312 |
Результат расчета активного напряжения сдвига T
акт[0; 1,12] в грунте земляного полотна при статическом действии нагрузки (в точке с координатами r = 0, z = 1,12 м) по упрощенной методике данного методического документа приведен в
таблице Д.2.16.
Таблица Д.2.16
Результат расчета активного напряжения сдвига T
акт[0; 1,12]
в грунте земляного полотна при статическом действии нагрузки
по упрощенной методике данного методического документа
Отношение модулей упругости слоев Eв/Eн | Относительная толщина верхнего слоя hв/D | Угол внутреннего трения нижнего слоя  , град | Единичное значение активного напряжения сдвига  , МПа | Активное напряжение сдвига Tакт, МПа |
6,139 | 3,696 | 17,844 | 0,00514 | 0,00411 |
Результат расчета активного напряжения сдвига T
акт[0; 1,12] в грунте земляного полотна при статическом действии нагрузки (в точке с координатами r = 0, z = 1,12 м) по методике
ПНСТ 265-2018 дан в
таблице Д.2.17.
Таблица Д.2.17
Результат расчета активного напряжения сдвига T
акт[0; 1,12]
в грунте земляного полотна при статическом действии нагрузки
Отношение модулей упругости слоев Eв/Eн | Относительная толщина верхнего слоя hв/D | Угол внутреннего трения нижнего слоя  , град | Единичное значение активного напряжения сдвига  , МПа | Активное напряжение сдвига Tакт, МПа |
6,139 | 3,696 | 17,844 | 0,00633 | 0,00506 |
Результат расчета активного напряжения сдвига T
акт[0; 0,57] в слое песка средней крупности при статическом действии нагрузки (в точке с координатами r = 0, z = 0,57 м) по решению для многослойного полупространства представлен в
таблице Д.2.18.
Таблица Д.2.18
Результат расчета активного напряжения сдвига T
акт[0; 0,57]
в слое песка средней крупности при статическом действии
нагрузки по решению для многослойного полупространства
Наименование параметра | Величина параметра |
Координата расчетной точки по горизонтали r, м | 0,0 |
Координата расчетной точки по вертикали z, м | 0,57 |
Угол внутреннего трения материала  , град | 33,0 |
Нормальное вертикальное напряжение  , МПа | 0,046536 |
Нормальное радиальное напряжение  , МПа | -0,008421 |
Нормальное тангенциальное напряжение  , МПа | -0,008421 |
Касательное напряжение  , МПа | 8,155 x 10-10 |
Максимальное главное напряжение  , МПа | 0,046536 |
Минимальное главное напряжение  , МПа | -0,008421 |
Активное напряжение сдвига Tакт, МПа | 0,020388 |
Результат расчета активного напряжения сдвига T
акт[0; 0,57] в слое песка средней крупности при статическом действии нагрузки (в точке с координатами r = 0, z = 0,57 м) по упрощенной методике настоящего методического документа приведен в
таблице Д.2.19.
Таблица Д.2.19
Результат расчета активного напряжения сдвига T
акт[0; 0,57]
в слое песка средней крупности при статическом действии
нагрузки по упрощенной методике настоящего
методического документа
Отношение модулей упругости слоев Eв/Eн | Относительная толщина верхнего слоя hв/D | Угол внутреннего трения нижнего слоя  , град | Единичное значение активного напряжения сдвига  , МПа | Активное напряжение сдвига Tакт, МПа |
4,075 | 1,881 | 33 | 0,01813 | 0,01450 |
Результат расчета активного напряжения сдвига T
акт[0; 0,57] в слое песка средней крупности при динамическом действии нагрузки (в точке с координатами r = 0 м, z = 0,57 м) по методике
ПНСТ 265-2018 дан в
таблице Д.2.20.
Таблица Д.2.20
Результат расчета активного напряжения сдвига T
акт[0; 0,57]
в слое песка средней крупности при динамическом действии
Отношение модулей упругости слоев Eв/Eн | Относительная толщина верхнего слоя hв/D | Угол внутреннего трения нижнего слоя  , град | Единичное значение активного напряжения сдвига  , МПа | Активное напряжение сдвига Tакт, МПа |
4,075 | 1,881 | 33 | 0,01352 | 0,01082 |
Д.2.6 Сводные результаты расчета параметров напряженно-деформированного состояния конструкции нежесткой дорожной одежды
Сводные результаты расчета параметров напряженно-деформированного состояния конструкции нежесткой дорожной одежды представлены в
таблице Д.2.21.
Таблица Д.2.21
Сводные результаты расчета напряженно-деформированного
состояния конструкции нежесткой дорожной одежды
Наименование параметра | Величина параметра согласно |
данному методическому документу для полупространства | |
многослойного | двухслойного |
Общий модуль упругости конструкции Eобщ, МПа | 352,15 | 483,25 | 495,31 |
Активное напряжение сдвига при динамическом действии нагрузки Tакт, МПа: | | | |
в грунте | 0,00528 | 0,00406 | 0,00642 |
песке | 0,02115 | 0,01206 | 0,01058 |
Активное напряжение сдвига при статическом действии нагрузки Tакт, МПа: | | | |
в грунте | 0,004312 | 0,00411 | 0,00506 |
песке | 0,020388 | 0,01450 | 0,01082 |
Растягивающее напряжение в монолитном слое покрытия  , МПа: | | | |
гладкий контакт | -1,5860 | - | - |
гладкий контакт  ,  | - | -1,6860 | - |
спаянный контакт  ,  | - | - | -1,4238 |
В ходе сопоставительного расчета установлено, что:
- расчетный общий модуль упругости конструкции, рассчитанный по решению для многослойного полупространства, ниже рассчитанного по упрощенной методике
ПНСТ 265-2018 на 28,90% и ниже рассчитанного по упрощенной методике данного методического документа на 27,12%;
- активные напряжения сдвига в грунте, рассчитанные по решению для многослойного полупространства, ниже рассчитанных по упрощенной методике
ПНСТ 265-2018 при динамическом действии нагрузки на 17,76%, при статическом действии нагрузки на 14,78%;
- активные напряжения сдвига в песке, рассчитанные по решению для многослойного полупространства, выше рассчитанных по упрощенной методике
ПНСТ 265-2018 при динамическом действии нагрузки на 99,91%, при статическом действии нагрузки на 88,43%;
- условия на контактах слоев асфальтобетона и щебня оказывают весьма значительное влияние на напряженное состояние монолитного слоя из асфальтобетона. При расчете по номограммам при гладком контакте растягивающее напряжение в слое асфальтобетона выше на 18,42% по сравнению со случаем спаянного контакта;
- растягивающие напряжения в монолитном слое (асфальтобетоне), рассчитанные по решению для многослойного полупространства, ниже рассчитанных по упрощенной методике данного методического документа (для гладкого контакта на границе слоев) на 5,93%.
| | Проектирование нежестких дорожных одежд |
| | Инструкция по проектированию дорожных одежд нежесткого типа |
| | Раппопорт Р.М. Задача Буссинеска для сложного упругого полупространства. Труды Ленинградского политехнического института им. М.И. Калинина, 1948, N 5 |
| | Туроверов К.К. К вопросу исследования напряженного и деформированного состояния упругого слоистого полупространства. Научные труды Ленинградской ордена Ленина лесотехнической академии им. С.М. Кирова, 1962, N 94 |
|
Ключевые слова: проектирование, нежесткая дорожная одежда, напряженно-деформированное состояние, многослойная конструкция, точное решение, двухслойное полупространство, напряжения, деформация, расчет |
Руководитель
организации-разработчика
АНО "НИИ ТСК"
Первый заместитель
генерального директора
Д.В.МЕДВЕДЕВ
Соисполнители:
Руководитель
организации-соисполнителя
ООО "НТЦ "ГЕОТЕХНОЛОГИИ"
Генеральный директор
Г.В.КИСЕЛЕВ