Главная // Актуальные документы // ОДМ (Отраслевой дорожный методический документ)СПРАВКА
Источник публикации
М., 2015
Примечание к документу
Документ утратил силу в связи с изданием
Распоряжения Росавтодора от 05.05.2022 N 1414-р.
Текст документа приведен в соответствии с публикацией на сайте https://rosavtodor.gov.ru/ по состоянию на 20.10.2020.
Документ рекомендован к применению с 01.04.2013
Распоряжением Росавтодора от 01.04.2013 N 413-р.
Название документа
"ОДМ 218.3.027-2013. Отраслевой дорожный методический документ. Рекомендации по применению тканевых композиционных материалов при ремонте железобетонных конструкций мостовых сооружений"
(издан на основании Распоряжения Росавтодора от 01.04.2013 N 413-р)
"ОДМ 218.3.027-2013. Отраслевой дорожный методический документ. Рекомендации по применению тканевых композиционных материалов при ремонте железобетонных конструкций мостовых сооружений"
(издан на основании Распоряжения Росавтодора от 01.04.2013 N 413-р)
от 1 апреля 2013 г. N 413-р
ОТРАСЛЕВОЙ ДОРОЖНЫЙ МЕТОДИЧЕСКИЙ ДОКУМЕНТ
РЕКОМЕНДАЦИИ
ПО ПРИМЕНЕНИЮ ТКАНЕВЫХ КОМПОЗИЦИОННЫХ МАТЕРИАЛОВ
ПРИ РЕМОНТЕ ЖЕЛЕЗОБЕТОННЫХ КОНСТРУКЦИЙ МОСТОВЫХ СООРУЖЕНИЙ
ОДМ 218.3.027-2013
1 РАЗРАБОТАН Федеральным государственным унитарным предприятием "Российский дорожный научно-исследовательский институт" (ФГУП "РОСДОРНИИ").
2 ВНЕСЕН Управлением эксплуатации и сохранности автомобильных дорог Федерального дорожного агентства.
3 ИЗДАН на основании
распоряжения Федерального дорожного агентства от 01.04.2013 N 413-р.
4 ИМЕЕТ РЕКОМЕНДАТЕЛЬНЫЙ ХАРАКТЕР.
5 ВВЕДЕН ВПЕРВЫЕ.
1.1 Настоящий отраслевой методический документ (далее - методический документ) содержит рекомендации по ремонту и усилению эксплуатируемых железобетонных конструкций мостовых сооружений на автомобильных дорогах общего пользования федерального значения с помощью тканевых композиционных материалов (КМ) на основе высокопрочных углеродных волокон с целью увеличения или восстановления несущей способности конструкций (ограничения при их использовании по климатическим условиям приведены в
подразделе 7.2).
1.2 Положения настоящего методического документа предназначены для применения организациями, выполняющими работы по проектированию усиления конструкций и осуществляющими ремонтные работы эксплуатируемых мостовых сооружений.
1.3 Усиление тканевыми композиционными материалами железобетонных конструкций пролетных строений и опор рекомендуется использовать при несоответствии фактической несущей способности требованиям действующих нормативных документов. Фактическую грузоподъемность пролетных строений и несущую способность отдельных элементов пролетных строений и опор определяют с учетом результатов обследования (испытания) конструкций
[1]. Для конструкций с дефектами и повреждениями учитывают влияние дефектов и повреждений на несущую способность и жесткость конструкций.
Увеличение несущей способности элементов конструкций требуется при необходимости пропуска сверхнормативной нагрузки (тяжеловесного транспортного средства) и компенсации утерянной несущей способности (например, из-за уменьшения сечения арматуры в результате коррозии, повреждения бетона, увеличения постоянной нагрузки на сооружение).
Рекомендуемая наиболее рациональная область применения тканевых материалов - пролеты в свету 15 - 20 м для балок с каркасной арматурой и 18 - 33 м для предварительно напряженных балок.
1.4 Усиление с использованием композиционного материала на основе тканей из углеродных волокон позволяет восстановить работоспособное состояние конструкций и повысить долговечность сооружения или его конструктивных частей и элементов. Применение подобных материалов для усиления рекомендуется при снижении несущей способности балок или плит пролетных строений до 50%, а элементов опор - до 30%.
1.5 Помимо усиления (восстановления несущей способности) композиционные материалы на основе тканей рекомендуется использовать для устранения имеющихся повреждений железобетонных конструкций: механических повреждений, трещин в защитном слое бетона конструкций, а также с целью компенсации недостаточной толщины защитного слоя.
В настоящем методическом документе использованы нормативные ссылки на следующие документы:
ГОСТ 12.1.007-76 Система стандартов безопасности труда. Вредные вещества. Классификация и общие требования безопасности
ГОСТ 12.4.011-89 Система стандартов безопасности труда. Средства защиты работающих. Общие требования и классификация
ГОСТ 8736-93 Песок для строительных работ. Технические условия
ГОСТ 9077-82 Кварц молотый пылевидный. Общие технические условия
ГОСТ 10178-85 Портландцемент и шлакопортландцемент. Технические условия
| | ИС МЕГАНОРМ: примечание. В официальном тексте документа, видимо, допущена опечатка: имеется в виду ГОСТ 10587-84, а не ГОСТ 10587-93. | |
ГОСТ 10587-93 Смолы эпоксидно-диановые неотвержденные. Технические условия
ГОСТ 22690-88 Бетоны. Определение прочности механическими методами неразрушающего контроля
| | ИС МЕГАНОРМ: примечание. В официальном тексте документа, видимо, допущена опечатка: имеется в виду ГОСТ 25.601-80, а не ГОСТ 25601-80. | |
ГОСТ 25601-80 Расчеты и испытания на прочность. Методы механических испытаний композиционных материалов с полимерной матрицей (композитов). Метод испытания плоских образцов на растяжение при нормальной, повышенной и пониженной температурах
СП 131.13330.2012 Строительная климатология (актуализированная редакция СНиП 23-01-99*)
В настоящем методическом документе применены следующие термины с соответствующими определениями:
3.1 мостовое сооружение: Искусственное сооружение над различными препятствиями для пропуска разных видов транспортных средств и пешеходов, а также водотоков, селей, скота, коммуникаций различного назначения; к этой группе сооружений относятся мосты, путепроводы, эстакады, виадуки, скотопрогоны, трубопроводы.
3.2 работоспособное состояние конструкций пролетных строений и опор: Состояние, при котором значения всех параметров, характеризующих способность выполнять полностью или частично заданные функции, соответствуют требованиям нормативно-технической или конструкторской (проектной) документации.
3.3 композиционный материал: Материал, состоящий из матрицы, армированной тканевыми материалами с высокопрочными волокнами (наполнитель матрицы представлен трех видов: ленты шириной полос до 300 мм, холсты шириной полос свыше 300 до 500 мм, ткани шириной материала свыше 500 мм).
4 Обозначения и сокращения
В настоящем методическом документе применены следующие обозначения и сокращения:
4.1

: Недостающая поперечная сила (требуемое увеличение несущей способности по поперечной силе).
4.2

: Недостающий момент внутренней пары (требуемое увеличение несущей способности по изгибающему моменту).
4.3

: Недостающий момент инерции сечения (необходим для увеличения жесткости сечения).
4.4 Q, M: Расчетные значения соответственно поперечной силы и изгибающего момента в сечениях балки.
4.5 Rk, Fk: Соответственно расчетное сопротивление и площадь сечения ленты (холста), входящей в состав КМ.
4.6 Rbk: Расчетное сопротивление бетона растяжению.
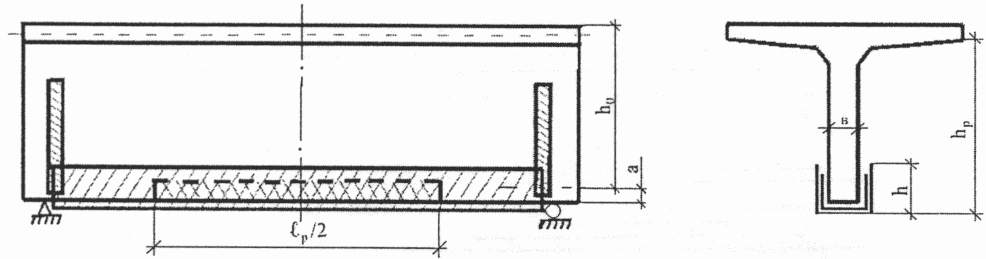
4.7 h, hр: Высота соответственно балки и ребра балки.
4.8 x: Расстояние от верха балки до центра тяжести сжатой зоны бетона.
4.9

: Расчетная длина балки.
4.10 h*: Высота наклейки на балку охватывающего хомута.
4.11 h0: Расстояние от центра сечения ленты, расположенной по низу каркасной балки, до верха балки.
4.12 a: То же, до низа балки (a + h0 = h).
4.13 hпл: Толщина плиты.
4.14 zi: Расстояние от точки пересечения возможной наклонной трещины до точки, расположенной на пересечении наклонной трещины с осью наклеенной ленты.
4.15

: Угол наклона оси отогнутых стержней (пучков) к горизонтали.
4.16 Ek, Eб: Модули упругости соответственно углеродных волокон и бетона (Eа - модуль упругости арматуры балок).
4.17 в: Толщина стенки балки.
4.18

: Удлинение нижних волокон балки при ее изгибе.
4.19 y: Прогиб балки при изгибе.
4.20 k: Коэффициент неравномерности относительного удлинения нижней грани балки по длине.
4.21

: Напряжения в ленте усиления.
4.22

: Главные растягивающие напряжения.
4.23

: Относительное удлинение бетона по низу балок.
4.24 Rbt: Расчетное сопротивление бетона осевому растяжению.
4.25

,

: Соответственно расчетное сопротивление арматурных хомутов и площадь их сечения.
4.26 Rr: Радиус армирования сечения.
4.27 mk, mQ: Коэффициенты условия работ.
4.28

: Коэффициент раскрытия трещин.
4.29

: Угол наклона торца балки при ее изгибе.
5.1 При усилении железобетонных конструкций рекомендуется использовать композиционные материалы, создаваемые непосредственно на ремонтируемом объекте из лент, холстов и тканей, втапливаемых в слои эпоксидного клея. Свойства тканевых материалов определяются типом применяемого волокна. Настоящий методический документ предусматривает использование тканевых материалов, в которых волокна расположены в одном или двух перпендикулярных направлениях (однонаправленные и двунаправленные холсты и ленты). Допускаемый диапазон разброса характеристик лент и холстов на углеродной основе приведен в таблице 1, а характеристики клея - в
таблице 2 [2],
[3].
Таблица 1
Допустимый диапазон разброса характеристик лент и холстов
Наименование показателей | Величина показателей для |
однонаправленных лент | двунаправленных лент и холстов |
Цвет | Черный (наиболее распространенный) |
Вид плетения | Полотно | Саржа |
Ширина, мм | 200 - 300 | 300 - 500 |
Плотность холста, г/м2 | 200 - 400 | 300 - 500 |
Толщина холста, мм | >= 0,1 | >= 0,1 |
Прочность волокон на растяжение, МПа | > 3000 |
Деформация при разрыве, % | >= 1 |
Модуль упругости, МПа | > 200 000 |
Таблица 2
Характеристики эпоксидного клея, рекомендуемого
для применения при наклейке тканевых материалов
Наименование показателей | Величина показателей |
Прочность на растяжение, МПа | Не менее 40 |
Прочность при изгибе, МПа | 25 - 35 |
Модуль упругости при изгибе, ГПа | >= 5 |
Прочность на сдвиг, МПа | >= 10 |
Температура стеклования, °C | Не менее 60 |
| | ИС МЕГАНОРМ: примечание. В официальном тексте документа, видимо, допущена опечатка: имеется в виду ГОСТ 25.601, а не ГОСТ 25601. | |
5.2 Расчетное сопротивление лент (холстов) растяжению определяют по результатам механических испытаний образцов по
ГОСТ 25601-80 с обеспеченностью 0,95 с учетом коэффициентов надежности по назначению (0,95) и по материалу (1,2), а также коэффициента условия работ 0,8. Например, при прочности холста 3000 МПа расчетное сопротивление равно

.
| | ИС МЕГАНОРМ: примечание. В официальном тексте документа, видимо, допущена опечатка: имеется в виду ГОСТ 10587-84, а не ГОСТ 10587-93. | |
5.3 Для приклеивания тканевых материалов могут использоваться отечественные клеевые составы на основе эпоксидных смол (ЭД-10 и др.) по
ГОСТ 10587-93, имеющие сертификат качества и санитарный сертификат. В качестве пластификатора рекомендуется применять фуриловый спирт по
ГОСТ 8728-88, отвердителя - полиэтиленполиамин, наполнителя - цемент марки не ниже М400 по
ГОСТ 10178-85 или молотый песок по
ГОСТ 9077-82.
5.4 Исходными данными для определения нормативных и расчетных значений силовых и деформационных характеристик композиционных материалов являются сертифицированные значения этих характеристик, предоставляемые производителями. Нормативные значения сопротивления растяжению и предельных деформаций клеев и холстов предоставляются производителем по результатам испытаний (с обеспеченностью 0,95). Составы некоторых клеев приведены в
приложении А.
6 Методика расчета и подбора сечения тканевого композиционного материала
6.1 Усиление железобетонных балок пролетных строений эксплуатируемых мостовых сооружений
6.1.1.1 Железобетонные конструкции могут быть усилены при работе на изгиб внешним армированием тканевыми композиционными материалами, располагаемыми в растянутой зоне конструкции и имеющими направления фибры, параллельные максимальным растягивающим усилиям (оси конструкции).
6.1.1.2 Прочность усиленной конструкции в составе эксплуатируемого пролетного строения (измененная несущая способность балки или плиты) определяется по нормальным и наклонным сечениям в соответствии с требованиями
СП 35.13330.2011. Тканевый композиционный материал, расположенный на растянутой грани ребра балки, учитывают в совместной работе с балкой на изгиб при воздействии временной нагрузки, которая будет иметь место после наклейки КМ. При этом используется гипотеза плоских сечений для определения нейтральной оси сечения усиленной конструкции и растяжения по нижним волокнам.
6.1.1.3 До разработки проекта усиления проводится обследование конструкций с выявлением имеющихся повреждений и их влияния на несущую способность по нормальному и наклонному сечениям и на жесткость балок. При этом учитывают фактические прочность бетона в сжатой зоне и коррозию арматуры.
6.1.1.4 Исходные данные для расчетов включают расчетное сопротивление на растяжение КМ с учетом коэффициентов надежности

и m
k, которое определяется по формуле

, (1)
где

- нормативное значение прочности на растяжение, определяемое механическими испытаниями образцов ткани по
ГОСТ 25601-80 с обеспеченностью 0,95, МПа;
mk - коэффициент условия работы, принимаемый для композиционных тканевых материалов на основе углеродных волокон равным 0,8;

- коэффициент надежности по назначению, равный для автодорожных мостов 0,95;

- коэффициент надежности по материалу, принимаемый равным для холстов 1,2 при расчетах по предельному состоянию первой группы и 1,0 при расчетах по предельному состоянию второй группы.
Все расчеты должны быть выполнены в соответствии с требованиями
СП 35.13330.2011.
6.1.2 Расчет сечений по первому предельному состоянию
6.1.2.1 Расчеты по прочности

Основанием для усиления конструкций являются результаты расчета (перерасчета) эксплуатируемой конструкции (в соответствии с требованиями
СП 35.13330.2011) по прочности нормальных и наклонных к оси балки сечений. Расчетами устанавливают недостающее значение несущей способности, по которому определяют требуемое сечение (количество слоев ткани) наклеиваемого композиционного материала, а именно:
-

- недостающее значение изгибающего момента;
-

- недостающее значение поперечной силы.

При проверке по прочности сечений, нормальных к продольной оси изгибаемых железобетонных элементов (балок, плит), находят сечение КМ, наклеенного на нижнюю поверхность балок (плит), по недостающему моменту внутренней пары (недостающей несущей способности

). Чтобы вычислить момент, по которому подбирают сечение КМ, определяют:
- момент от расчетной временной нагрузки, приходящейся на балку (балки) пролетного строения при загружении в соответствии с требованиями
СП 35.13330.2011;
- положение нейтральной оси сечения балки и расстояние (x) от верха балки, которую предполагается усиливать, до центра тяжести сжатой зоны бетона;
- фактическое внутреннее усилие в сечении (правая часть
формулы (7.21) или
(7.22) СП 35.13330.2011);
- значение

.
Величина

определяется по зависимости

, (2)
где Nk - усилие, возникающее в КМ, кН;
hвп - плечо внутренней пары для наклеенного КМ, равное расстоянию от КМ до центра тяжести сжатой зоны сечения, м;
h - высота балки, м.

Учитывая, что усилие N
k зависит от площади поперечного сечения ленты (холста) F
k и напряжений, возникающих в волокнах

,
формула (2) будет иметь вид

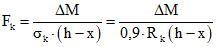
. (3)
Расчет нормальных сечений изгибаемых элементов по прочности предполагает рассмотрение предельного состояния, при котором все элементы в сечении достигли своего предела прочности за исключением материала усиления, предельные напряжения в котором

не должны превышать 0,9 R
k. Указанное требование исключает возможность разрушения бетонного основания, на которое наносится материал усиления и возможное отслоение материала усиления по контакту клей-бетон из-за того, что бетон не может воспринимать деформацию в нем.
Требуемое сечение тканей в середине пролета при расчете на прочность по первому предельному состоянию будет определяться по формуле

. (4)
Принимая во внимание, что относительное удлинение тканевого композиционного материала

не может быть больше удлинения арматуры

, при определении требуемого

следует учитывать разницу в модулях упругости стали E
а и композиционного материала E
k. Тогда
формула (4) примет вид

. (5)

Примеры расположения холстов в разрезной балке приведены на рисунках 1 и
2 при использовании предварительно напряженных балок и на
рисунке 3 - Т-образных балок с обычной арматурой (далее - каркасные балки).
1 - ленты (холсты) усиления; 2 - хомуты
Рисунок 1 - Пример расположения дополнительной арматуры
(холстов или лент) по низу балки с напрягаемой арматурой
1 - КМ усиления; 2 - вертикальные хомуты; 3 - прижимная
планка; 4 - шпилька крепления планки
Рисунок 2 - Закрепление хомутов из КМ
на предварительно напряженных балках
Рисунок 3 - Пример расположения дополнительной арматуры
(обертывающих холстов) по низу каркасной балки
В крайних предварительно напряженных балках пролетного строения концы хомутов могут быть прижаты стальными пластинами к бетону (см.
рисунок 2) для исключения их отслаивания в случае попадания на балку воды, стекающей через водоотводные трубки или с консоли тротуара. Крепление пластин осуществляют с помощью шпильки, вклеенной в отверстие, которое просверлено в бетоне.
Пример расчетного определения количества слоев лент КМ для усиления предварительно напряженной балки длиной 33 м приведен в
подразделе Б.1 приложения Б.

Для случая, предусмотренного на
рисунке 3, определяют расстояние (a), равное расстоянию от низа ребра балки до центра сечения композиционного материала. В
формуле (2) вместо высоты балки h принимают величину (h - a). Количество обертывающих холстов определяется расчетом. На
рисунке 3 приведен вариант с двумя холстами. При необходимости использования трех обертывающих холстов их длины принимают в соответствии с данными, приведенными в подпункте 6.1.3.1
(таблица 4). По концам наружного холста наклеивают вертикальные ленты (хомуты) высотой не менее 0,5·h
р (см.
рисунок 3).
6.1.2.2 Расчет сечений, наклонных к продольной оси

При недостающей прочности сечения, наклонного к продольной оси балки с каркасной арматурой по поперечной силе и изгибающему моменту, определенных в соответствии с требованиями
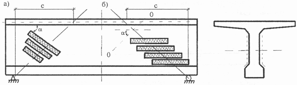
СП 35.13330.2011, применяют ленты и холсты (рисунок 4), расположенные вертикально (параллельно хомутам) или наклонно (параллельно отогнутой арматуре).
а, б - соответственно вертикальное и наклонное
расположение лент
Рисунок 4 - Схемы расположения лент на балке с каркасной
арматурой при недостаточной прочности наклонного сечения
Для случая усиления вертикальными лентами (см.
рисунок 4, а), расположенными параллельно хомутам, необходимую площадь КМ для усиления по изгибающему моменту в наклонном сечении определяют по формуле

, (6)
где zi - расстояние от точки пересечения возможной трещины с осью ленты до точки приложения равнодействующей усилий в сжатой зоне бетона, м;
Fk - площадь сечения ленты на длине пересечения ее возможной трещиной, см2;

- предельное напряжение,

.
В рассмотренном случае рекомендуется применение лент с двунаправленными волокнами.

Для случая усиления наклонными лентами (см.
рисунок 4, б) могут использоваться ленты с однонаправленными волокнами. Ориентация лент - параллельно наклонной арматуре балки. Количество наклонных лент определяется из значения требуемой площади F
k по
формуле (6). При применении в одном элементе усиления двух лент и более загибают лишь внешнюю ленту. При усилении предварительно напряженных балок по наклонному сечению ленты или холсты располагают только в пределах стенки и наклонной плоскости нижнего пояса (рисунок 5).
а - ленты расположены вдоль наклонной арматуры; б - то же,
оси балки; 0-0 - направление расположения отогнутых участков
пучков или стержневой арматуры
Рисунок 5 - Схемы расположения лент или холстов при усилении
предварительно напряженных конструкций по поперечной силе

При необходимости усиления железобетонных балок на действие поперечной силы на длине проекции наклонного сечения (c) (см.
рисунок 4, а) в соответствии с
СП 35.13330.2011 количество и сечение лент определяются величиной недостающей несущей способности

, установленной при обследовании

, (7)
где

- угол наклона стержней (пучков) к продольной оси балки в месте пересечения наклонного сечения (см.
рисунки 4 и
5).
В варианте усиления, представленном на
рисунке 5, а, возможно использование однонаправленных лент или тканей, на
рисунке 5, б - двунаправленных.

Третьей проверкой на прочность наклонного сечения является проверка по главным растягивающим напряжениям
[1]

, (8)
где Q - поперечная сила, т;
в - толщина стенки балки, м;
hр - высота ребра балки, м;
Ek, Eб - модули упругости соответственно холстов (лент) и бетона, кН;
Rbt - расчетное сопротивление бетона осевому растяжению, кН.
6.1.2.3 Расчет на выносливость
Расчет на выносливость проводится для железобетонной плиты проезжей части в случаях, когда существующие плиты имеют повреждения (трещины) либо недостаточное сечение нижней арматуры по сравнению с требованиями типовых проектов или проектной документации. Необходимость усиления плиты определяется из сопоставления проектного (требуемого) приведенного момента инерции сечения с фактическим (на плите длиной 1 м). Снижение момента инерции плиты

компенсируется композиционным материалом при проверке выносливости по арматуре, используя
формулу (7.87) СП 35.13330.2011.
Требуемая для компенсации площадь сечения лент или холстов определяется по формуле

, (9)
где

- величина снижения момента инерции плиты из-за повреждений, см
4;
hпл - толщина плиты.
6.1.3 Расчет сечений по второму предельному состоянию
Вторая группа предельных состояний предусматривает расчет по прогибам и трещиностойкости. Расчетную проверку изгибаемых конструкций по предельному состоянию выполняют в следующей последовательности:
- расчет по прогибам;
- расчет по трещиностойкости.
6.1.3.1 Расчет конструкций по прогибам
Расчет выполняют в том случае, когда прогиб конструкций от нормативной временной нагрузки превышает прогиб, допускаемый
СП 35.13330.2011. Подобная ситуация может иметь место, если в балке появились повреждения, снижающие ее жесткость. Прогиб конструкций (балок, плит, коробчатых пролетных строений) сопровождается удлинением нижних волокон, от величины которого зависит количество слоев лент (холстов) в КМ.
Для разрезной балочной конструкции, имеющей прогиб от нормативной временной нагрузки (y), удлинение

нижних волокон бетона определяют из условия равенства углов

, приведенных на
рисунке 6, по формуле

,
откуда

. (10)
Рисунок 6 - Схема деформации пролетного строения при изгибе
Относительное удлинение нижних волокон

различно по длине балки - равно нулю у опор и максимальное в середине пролета. Изменение величины

отражено формулой

, (11)
где k - коэффициент неравномерности относительного удлинения по низу балки, значения которого для различных сечений приведены в таблице 3.
Таблица 3
Коэффициенты неравномерности относительного удлинения
по низу балки
Сечение по длине балки | Над опорной частью | | | | | | | |
Значение коэффициента неравномерности k | 0 | 1,50 | 1,40 | 1,25 | 1,10 | 1,00 | 0,80 | 0,50 |
Усиление конструкций требуется в случаях, когда прогиб от нормативной временной нагрузки превышает допустимую по
СП 35.13330.2011 величину

. Усиление конструкций из-за превышения допустимого прогиба осуществляют по результатам расчета по изгибающему моменту и жесткости.

Расчет по изгибающему моменту
Определяют, на сколько необходимо увеличить момент внутренней пары сечения

, чтобы прогиб не превышал

. По величине этого момента подбирают сечение КМ по формулам

, (12)
где

. (13)

Расчет по жесткости
Определяют, на сколько должна быть увеличена жесткость сечения балки или плиты, чтобы прогиб конструкции уменьшился до нормативного значения. Недостающая жесткость компенсируется за счет увеличения момента инерции сечения


. (14)
По результатам расчета определяется требуемая площадь сечения лент Fk.
Если для усиления конструкции, исходя из расчетов по прогибам в

, требуется наклейка КМ с одной лентой, то длину КМ допускается принимать равной

. При использовании двух лент и более длину участков, усиленных КМ, принимают по таблице 4.
Таблица 4
Длина лент усиления, используемых в КМ
Общее количество лент | Длина лент, не менее, по слоям |
N 1 | N 2 | N 3 | N 4 |
1 | | - | - | - |
2 | | | - | - |
3 | | | | - |
>= 4 | | | | |
Приведенные в
таблице 4 длины КМ учитывают положение точки теоретического обрыва ленты. Пример расчета по прогибам приведен в
подразделе Б.2 приложения Б.
Результат расчета сопоставляют с результатом расчета по первому предельному состоянию (
пример расчета дан в подразделе Б.1) и окончательно принимают наибольшее количество слоев, требуемых для усиления балки.
6.1.3.2 Расчет конструкций по трещиностойкости
При расчете по образованию трещин в конструкциях, усиленных тканевыми композиционными материалами, пользуются общими требованиями СП 35.13330.2011 (
подразделы 7.102 -
7.104), рассматривая усиленную конструкцию как конструкцию со смешанным армированием на воздействие временной нагрузки. При этом:
- в площадь приведенного поперечного сечения конструкции
[4] входит выражение

;
- момент инерции приведенного сечения включает момент инерции тканевого композиционного материала J
k (относительно нейтральной оси балки)

, где E
б - модуль упругости бетона при сжатии.
Расчет по раскрытию трещин выполняют по
формулам (7.93) и
(7.94) СП 35.13330.2011, используя значения радиуса армирования R
r (
формула (7.100) этого свода правил) и коэффициента раскрытия трещин

для усиливаемой балки. При этом коэффициент раскрытия трещин принимают равным:
- 0,35·Rr - для предварительно напряженных балок;
-

- для каркасных балок.
При определении радиуса армирования R
r площадь сечения лент усиления приводят к площади примененной в конструкции стержневой арматуры или пучков. Коэффициент

в
формуле (7.100) СП 35.13330.2011 принимают равным:
- 1,00 - для балок с гладкой арматурой и арматурой периодического профиля;
- 0,65 - для балок, армированных пучками.
Указанные положения учтены в примере расчета, приведенном в
подразделе Б.3 приложения Б.
6.2 Усиление железобетонных плит пролетных строений
6.2.1 При усилении плит с целью восстановления или увеличения несущей способности используют ленты шириной 250 - 300 мм, наклеиваемые снизу и (или) сбоку (рисунок 7). Возможны две принципиальные технологии усиления. Первая применима при усилении плит, не имеющих повреждений, снижающих несущую способность и предназначенных для повторной эксплуатации в условиях повышенного уровня нагружения. Как правило, в этих случаях проводят и замену продольных швов омоноличивания. Демонтаж плит дает возможность вести усиление без подмостей, разместив усиливаемую плиту на ремонтируемом сооружении. В этом случае для усиления наклеивают ленты снизу и на две боковые поверхности (см. рисунок 7, а). Количество лент определяется расчетом по первому и второму предельным состояниям, принимая во внимание, что усиление производят по недостающему изгибающему моменту, включающему помимо момента от временной нагрузки и момент от постоянной нагрузки от слоев дорожной одежды мостового сооружения.

а - плиты, демонтированные с пролетного строения;
б - плиты в составе пролетного строения;
1 - ленты, наклеиваемые снизу; 2 - ленты с двунаправленными
волокнами, наклеиваемые сбоку
Рисунок 7 - Схемы усиления плит
6.2.2 Вторая технология предусматривает усиление поврежденных плит, т.е. плит с уменьшенной жесткостью из-за наличия различных повреждений. При проверке прочности по наклонному сечению крайних плит горизонтальные волокна в расчет не принимают, а учитывают сечения только вертикальных волокон (в пределах расстояния (c) по
рисунку 4). В этом случае вначале проводят восстановительные работы (инъецирование трещин, заделку сколов, бетонирование поврежденных стенок и др.), а затем выполняют усиление.
6.2.3 Усиление лентами эксплуатируемых сооружений осуществляют, как правило, снизу, проводя работы с подмостей. Для крайних плит с повреждением защитного слоя имеется возможность усиления восстановленного защитного слоя по фасаду. При усилении фасадных поверхностей рекомендуется применять ленты или холсты с двунаправленными волокнами (см.
рисунок 7, б).
6.3 Усиление железобетонных элементов опор
6.3.1 Использование тканевых композиционных материалов при ремонте опор наиболее эффективно при усилении круглых элементов - сплошных бетонных стоек опор или оболочек. Холсты или ленты наматывают на стойку, начиная с верхних участков. При отсутствии горизонтальных трещин в стойках допускается применение однонаправленных тканей.
6.3.2 Усиление круглых стоек за счет создания внешней обоймы из КМ осуществляют в случае, когда необходимо увеличить их несущую способность для повышения грузоподъемности опор. При этом внешняя обойма из КМ выполняет ту же функцию, что и кольцевая арматура, охватывающая вертикальные стержни стоек. Сечение дополнительного армирования с использованием коэффициентов условия работ может быть определено по формуле

, (15)
где

- увеличение вертикальной нагрузки Q на стойку опоры, кН;

;

- соответственно расчетное сопротивление арматуры хомутов, МПа, и площадь их сечения на единице высоты стойки, см
2;
mQ - коэффициент условия работ, равный соотношению модулей упругости стали и лент из углепластика (mQ = 0,8 - 0,85);
mk - коэффициент условия работы композиционного материала, принимаемый равным:
1,0 - для сплошного сечения тела стойки без трещин,
1,1 - то же, при наличии в ней трещин раскрытием до 0,15 мм (mk = 1,15 при раскрытии трещин свыше 0,15 мм),
1,2 - для оболочек, заполненных бетоном,
1,25 - то же, при раскрытии трещин до 0,15 мм (mk = 1,3 при раскрытии трещин свыше 0,15 мм).
6.3.3 Усиление холстами стоек или ригелей прямоугольного сечения наиболее эффективно при увеличении их несущей способности на действие поперечной силы. При расчете усиления сечение композиционного материала принимается с коэффициентом условия работы mQ.
6.3.4 При усилении ригелей, изгибаемых при действии временной нагрузки, необходимость усиления на участках появления растягивающих напряжений определяют по величине возможного удлинения бетона на отдельных участках ригеля. При необходимости усиления прямоугольных элементов опор с использованием холстов подбор их сечений осуществляют с учетом возможной коррозии арматуры из-за недостаточного защитного слоя: при толщине бетона защитного слоя <= 10 мм добавляют один слой холста (ленты) к тому, что требуется по расчету. Углы прямоугольных элементов скругляют.
7 Конструктивные и технологические требования
Перечень работ, выполняемых в процессе усиления, приведен на рисунке 8. Работы отнесены к трем основным видам - подготовительные, работы по усилению и контроль качества работ.
Рисунок 8 - Технологическая схема усиления с использованием
композиционных материалов
7.1 Подготовительные работы
Подготовка к наклейке предусматривает очистку и выравнивание поверхностей конструкций.
7.1.1 Очистка поверхности
7.1.1.1 Очистку поверхности бетона в зависимости от ее состояния выполняют механическим, гидравлическим или комбинированным способом с учетом наличия технологического оборудования.
7.1.1.2 Для механической обработки поверхности используют перфораторы, металлические щетки, пескоструйные и дробеструйные установки. Для гидравлической обработки поверхности применяют водоструйные установки высокого (1 - 5 МПа) давления. Комбинированный способ подготовки железобетонной поверхности предполагает последовательное использование технологического оборудования для механической и гидравлической обработок поверхности или водопескоструйной установки высокого давления воды.
7.1.1.3 Подготовка поверхности бетона заключается в очистке от затвердевшего цементного молока, лакокрасочных покрытий, слоев старых ремонтных и грунтовочных материалов, загрязнений и высолов. Для очистки бетонной поверхности от загрязнений нефтепродуктами, жирами и другими органическими соединениями используют органические растворители (уайт-спирит, сольвент и др.), растворы моющих средств или соды. При применении любого из способов подготовки поверхности участки слабого бетона удаляют с обязательным заглублением в "здоровый" бетон.
7.1.1.4 После удаления поврежденного бетона поверхность подвергают песко- или водоструйной обработке. Для пескоструйной обработки используют только сухой природный песок по
ГОСТ 8736-93. Требования к зерновому составу песка назначают с учетом применяемого технологического оборудования. Расход песка составляет 0,02 - 0,05 м
3/м
2 подготавливаемой поверхности в зависимости от ее состояния.
7.1.1.5 Выступающую на поверхность арматуру следует очистить от продуктов коррозии. При невозможности полной очистки пескоструйным способом допускается использование преобразователей ржавчины, которые наносят на арматуру малярной кистью в два-три приема. По истечении 1 - 3 сут продукты взаимодействия преобразователя и ржавчины тщательно смывают водой, а обработанный участок просушивают воздухом под давлением 1 - 2 атм.
7.1.2 Выравнивание поверхности
7.1.2.1 Чтобы исключить концентрацию напряжений в наклеиваемых лентах и обеспечить в них равномерное распределение растягивающих напряжений, рекомендуется проверять ровность поверхности с помощью метровой рейки. Допускается максимальное отклонение на величину 1 мм на длине 30 см.
7.1.2.2 Если данное требование не соблюдается, то выравнивают поверхность, удалив предварительно выступающие части поверхности абразивным инструментом со срезкой углов 1:5 и закруглением острых кромок (рисунок 9).
а - до подготовки поверхности к наклейке лент;
б - после подготовки поверхности;
1 - выступ; 2 - углубление; 3 - удаленный слабый бетон;
4 - оголенная арматура; 5 - срезка углов выступов;
6 - заполнение впадин клеевым составом; 7 - бетонирование
ниш после удаления слабого бетона
Рисунок 9 - Схемы неровностей в бетонной конструкции
(разрез по стенке)
7.1.2.3 Допускаемая неровность поверхности - не более 5 мм на участке протяженностью 2 м или 1 мм на участке протяженностью 0,3 м. Мелкие дефекты (сколы, раковины, углубления до 5 мм) устраняются с применением полимерцементных составов либо эпоксидных составов с наполнением молотым кварцевым песком. Выравнивание значительных (более 25 см2) участков поверхности производится с использованием полимерцементных ремонтных составов вручную шпателем.
7.1.2.4 Очистку поверхности от краски, масла, жирных пятен, цементной пленки осуществляют путем абразивоструйной обработки или обработки металлическими щетками с последующей промывкой водой под давлением не менее 50 атм.
При разрушении (отслоении) защитного слоя бетона в результате коррозии арматуры обнаженную арматуру очищают от продуктов коррозии, обрабатывают преобразователем ржавчины и после этого восстанавливают защитный слой ремонтными составами.
7.1.2.5 При устройстве обойм и хомутов из холстов в поперечном направлении конструкции на ее наружных углах устаивают фаски с катетом 1 - 2 см либо предусматривают галтель с радиусом 1 - 2 см, а на внутренних углах выполняют галтель радиусом не менее 20 см (рисунок 10).
а - наружный угол, фаска a > 1 см; б - наружный угол,
скругление R > 1 см; в - внутренний угол,
скругление R > 20 см;
1 - углеродная лента; 2 - основание
Рисунок 10 - Подготовка углов конструкции
перед наклейкой холстов
7.1.3 Работа с трещинами
7.1.3.1 Трещины с раскрытием более 0,3 мм инъецируют низковязким эпоксидным составом, трещины с меньшим раскрытием могут быть затерты полимерцементным раствором. После подготовки поверхности на нее наносят мелом линии разметки в соответствии с принятой проектом схемой приклеивания элементов внешнего армирования и определяют прочность бетона на участках, где предполагается наклейка лент, механическими методами неразрушающего контроля по
ГОСТ 22690-88.
7.1.3.2 Рекомендуется, чтобы класс бетона по прочности (при сжатии) усиливаемых балок пролетных строений был не менее В25. Усиление сжатых элементов (колонн) выполняют при классе бетона по прочности не менее В20. Если бетон в зоне усиления не удовлетворяет указанным требованиям, осуществляют его упрочнение (например, с помощью пропитки) либо замену. При замене защитного слоя бетона на новый необходимо проводить проверку когезионной прочности нового бетона (раствора), которая должна быть не меньше расчетного сопротивления бетона осевому растяжению Rbt.
7.2.1 Раскрой холстов производится в удобных для работы условиях в соответствии с принятой проектом схемой наклейки.
Раскрой холстов осуществляется на гладком столе (верстаке), покрытом полиэтиленовой пленкой. Рекомендуется, чтобы стол был снабжен приспособлением для разматывания холстов с бобины. Для резки холстов используют ножницы или острый нож. Нарезанные холсты сматывают в рулон, снабжают этикеткой с указанием номера, размера и количества заготовок и помещают в полиэтиленовый мешок.
7.2.2 При приготовлении клея компоненты А и Б (эпоксидная смола и отвердитель) смешиваются в соотношениях, определяемых техническими условиями. Рекомендуемый максимальный объем разовой навески клеевой смеси составляет 8 л (достаточно для нанесения одного слоя на половину балки длиной 24 м).
Приготовление клея производится в чистой металлической, фарфоровой, стеклянной или полиэтиленовой емкости вместимостью не менее 3 л следующим образом. В емкость отвешивается необходимое количество компонента А, добавляется требуемое по соотношению количество компонента Б и производится их тщательное перемешивание вручную деревянной или алюминиевой лопаткой, либо с помощью низкооборотной дрели с насадкой (до 500 об/мин с целью ограничения аэрации смеси). Емкость закрывают крышкой, снабжают этикеткой с указанием времени приготовления и передают к месту производства работ.
7.2.3 Перед нанесением на бетонное основание слоя клея поверхность бетона продувают сжатым воздухом, после чего наносят на нее праймерный слой с целью пропитки бетона и заполнения мелких неровностей. На высохшую поверхность распределяют первый слой клея с помощью шпателя, кисти или валика с коротким ворсом.
7.2.4 На слой клея укладывают (раскатывают) холст (ленту) с одного края усиливаемой конструкции до другого. В процессе укладки необходимо следить, чтобы внешняя кромка ленты была параллельна линии разметки на бетоне.
Холсты (ленты) раскатывают таким образом, чтобы в них не было складок и излишнего натяжения. После укладки осуществляют прикатку (прижатие) холста (ленты) с помощью шпателя или жесткого резинового валика от центра к краям строго в продольном направлении (вдоль волокон холста), в процессе которой происходит его пропитка.
7.2.5 Перед укладкой второго слоя холста (при многослойной схеме внешнего армирования) на прикатанный первый слой холста наносится следующий слой клея. Укладка и прикатка второго и последующих слоев холста производятся аналогичным образом. После укладки последнего слоя холста на его поверхность наносится финишный слой клея. Расход клея при приклеивании элементов внешнего армирования зависит от качества поверхности конструкции, типа и состава клея, температуры и влажности окружающей среды и указывается в проекте производства работ.
7.2.6 По специфике производства работ можно выделить три области приклеивания холстов:
- на горизонтальные поверхности сверху (например, для усиления плиты над ребром балки или поверхности нижней плиты внутри коробок);
- на горизонтальные поверхности снизу;
- на вертикальные поверхности.
При наклейке на горизонтальные поверхности сверху холст постепенно укладывается без натяжения от центра к краям, разглаживается и прикатывается валиком. Укладка каждого последующего слоя может начинаться сразу же после завершения прикатки предыдущего слоя.
7.2.7 При наклейке на горизонтальные поверхности снизу ("потолочная" наклейка) холст прижимается (фиксируется) с одного конца и затем постепенно укладывается и прикатывается по всей длине. При этом холст можно предварительно нарезать (заготовить) на отрезки проектной длины либо постепенно разматывать с бобины и обрезать в процессе приклеивания. Прикатка холста осуществляется от центра к краям с целью предотвращения образования складок. Как правило, приклеивание холста на потолочную поверхность осуществляется двумя рабочими.
7.2.8 В зависимости от вязкости клея (определяемой в значительной мере температурой окружающей среды) приклеивание холста производится непосредственно вслед за нанесением клея либо после некоторого выдерживания (не превышающего 20 мин), за время которого вязкость клея возрастает, обеспечивая тем самым фиксацию холста на потолочной поверхности (холст не отслаивается после прикатки). Время выдерживания определяется экспериментально путем пробного приклеивания. Рекомендуется, чтобы количество приклеиваемых слоев ткани было не более шести. Если по расчетам необходимое количество слоев лент усиления больше шести, то целесообразно искать альтернативные методы усиления (например, с использованием стальных профилей или пучков).
7.2.9 При выполнении внешнего армирования на вертикальных поверхностях нанесение клея на основание производится сверху вниз. Приклеивание поперечных относительно оси конструкции полос холста осуществляется путем фиксации (прижатия) холста в верхней части и постепенной укладки и разглаживания по высоте с последующей прикаткой.
7.2.10 Приклеивание продольных полос холста на вертикальные поверхности выполняют путем фиксации в крайнем (левом или правом) положении с последующей укладкой и прикаткой его по длине. Время выдерживания перед приклеиванием каждого последующего слоя определяется таким же образом, как и при приклеивании на горизонтальные поверхности.
7.2.11 Выполнение многослойных элементов внешнего армирования на вертикальных поверхностях в продольном и поперечном направлениях ("сетка") производится путем последовательного послойного приклеивания полос холста попеременно в двух направлениях. Операции по приклеиванию холстов могут выполняться при температуре окружающей среды в диапазоне от 5 °C до 35 °C; при этом следят, чтобы температура бетона основания не была ниже 5 °C и выше температуры точки росы на 3 °C.
7.2.12 Клей не наносят на замерзшие поверхности. В случаях, когда температура поверхности бетона ниже допустимого уровня, может иметь место недостаточное насыщение волокон и/или низкая степень отверждения клея, что отрицательно отразится на работе системы внешнего армирования. Для повышения температуры основания могут быть использованы дополнительные локальные источники тепла. Клей не наносят на мокрую поверхность. Влагу удаляют, поверхность вытирают и продувают сжатым воздухом.
Полное отверждение клея в естественных условиях происходит в течение нескольких суток и в значительной мере зависит от температуры окружающей среды. Как правило, время отверждения составляет не более 24 ч при температуре выше 20 °C и не менее 36 ч при температуре от 5 °C до 20 °C.
7.2.13 Для обеспечения безопасности (пожарной, защиты от вандализма) или по эстетическим соображениям элементы внешнего армирования на заключительной стадии работ могут быть дополнены различными покрытиями, совместимыми с эпоксидным связующим (красками на эпоксидной основе, полиуретановыми покрытиями, специальными огнеупорными составами). Для лучшего сцепления этих покрытий с элементом внешнего армирования поверхность последнего после укладки финишного слоя связующего присыпают тонким слоем сухого песка размером частиц 0,5 - 1,5 мм.
7.2.14 Область применения технологии усиления с использованием лент и холстов ограничена по характеристикам клеевого состава, а именно: на территориях с минимальной среднесуточной температурой воздуха наиболее холодных суток (в зимний период) с обеспеченностью 0,95 не ниже -40 °C, а также температурой воздуха теплого периода года с обеспеченностью 0,95 не выше 30 °C по
СП 131.13330.2012.
7.2.15 При раскрытии трещин в балках на момент обследования (т.е. при действии только постоянной нагрузки) на величину, не превышающую указанную в
СП 131.13330.2012 от воздействия временной нагрузки, допускается выполнить лишь поверхностную герметизацию трещин. Эти работы, направленные на повышение долговечности железобетонных балок, рассматриваются как временные, обеспечивающие безопасную эксплуатацию конструкций на период не более 10 лет.
7.2.16 Поверхностная герметизация может выполняться и после вскрытия бетона вдоль трещин на глубину не более толщины защитного слоя и на ширину (15 +/- 5) мм. Вскрытый канал заполняют клеевым составом или полимерраствором. После отверждения клея поверх трещины наклеивают ленту шириной 150 - 200 мм (в зависимости от очертания трещины) с двунаправленными волокнами. Глубинная герметизация предусматривает инъецирование трещин с последующей наклейкой тканевых материалов.
7.2.17 При частом расположении мелких трещин на локальном участке поверхности балки допускается перекрытие этого участка холстами с однонаправленным расположением волокон. Наклейка тканевых материалов наиболее эффективна при наличии силовых трещин в зоне максимальных главных напряжений балок, нейтрализации трещин в сваях-оболочках или круглых сваях, усилении защитного слоя любых железобетонных конструкций.
7.3 Контроль качества работ
Требования к входному, операционному и приемочному контролю углеродных лент и холстов, контролю компонентов для приготовления клея, а также методы испытаний элементов усиления могут устанавливаться и уточняться техническими условиями на системы усиления внешним армированием из композитных материалов. Соблюдение требований по контролю способствует обеспечению надежности усиления несущих конструкций и продлению их срока службы.
7.3.1.1 Входной контроль распространяется на все используемые при производстве работ материалы. До начала работ проверяется наличие сопроводительной документации, производится осмотр состояния упаковки и внешнего вида материалов, проверяется их масса.
7.3.1.2 Углеродные ленты, компоненты для приготовления клея поставляются партиями. Партией считается количество материала одного назначения, изготовленное по одному технологическому режиму из сырья с однородными свойствами и оформленное одним документом о качестве.
7.3.1.3 Документ о качестве обычно содержит следующие данные:
- наименование предприятия-изготовителя;
- дату оформления документа о качестве;
- номер партии;
- наименование продукции;
- количество упаковочных мест;
- результаты испытаний;
- допустимый срок хранения;
- соответствие требованиям технических условий.
В конце документа должна стоять подпись представителя отдела контроля качества предприятия-изготовителя.
7.3.1.4 Перед приготовлением клеевого состава проверяется наличие сопроводительной документации и качество упаковки компонентов. Фактический срок хранения материалов не должен превышать допустимый срок по паспорту.
7.3.2 Операционный контроль
7.3.2.1 При операционном контроле проверяют качество поверхности и наклейки материалов. Качество подготовки железобетонной поверхности оценивают визуально по ее чистоте и влажности (отсутствию влаги на поверхности бетона), а по ровности - с помощью линейки или рейки длиной 1 м. При невыполнении условия ровности поверхности выравнивают. Прочность бетона основания определяется одним из методов неразрушающего контроля прочности в соответствии с
ГОСТ 22690-88 или ультразвуковым методом по
ГОСТ 17624-2012.
7.3.2.2 В процессе приготовления клея контролируется точность дозирования компонентов, однородность массы после перемешивания, отсутствие посторонних включений и сгустков (визуально). При нанесении клея на поверхность бетона визуально, по весовому расходу или с помощью гребенки [
4,
5] контролируют толщину и равномерность слоя, отсутствие непокрытых клеем участков, складок. Отклонение волокон от принятой проектом ориентации не должно превышать 5°. Расход клея на 1 м
2 поверхности должен находиться в пределах 3 - 5 кг на один слой.
7.3.2.3 Перед нанесением клея, в процессе наклейки и отверждения регистрируются температура окружающей среды, влажность, температура на поверхности бетона и продолжительность отверждения. Рекомендуется, чтобы указанные параметры имели значения:
- температура воздуха - не ниже 10 °C,
- влажность воздуха - не более 4%,
- температура поверхности бетона - на 3 °C и более должна превышать температуру точки росы.
7.3.3 Приемочный контроль
7.3.3.1 При приемочном контроле осуществляют визуальную проверку качества наклейки композитов и выявляют дефекты. Выявление внутренних дефектов (непроклеенных мест, отслоений) проводят путем акустического зондирования, легкого постукивания поверхности КМ деревянным молотком либо другим методом неразрушающего контроля.
7.3.3.2 По результатам контроля оценивают влияние непроклея или отслоений на конструкционную целостность усиливаемого элемента. При этом учитываются размер отслоений, их расположение и количество относительно общей площади усиливаемого элемента. Допускается отслоение площадью не более 10 см2, суммарная площадь отслоений - менее 3% общей площади наклеиваемого материала. Участки с отслоением площадью более 10 см2 необходимо ремонтировать путем их вырезания и установки заплатки с таким же количеством слоев ткани.
7.3.3.3 Результаты входного, операционного и приемочного контроля заносятся в сопроводительную документацию производства работ. Целесообразно провести испытание сооружения после усиления с определением достигнутой грузоподъемности.
7.3.3.4 После выполнения работ по поверхностной герметизации трещин рекомендуется в течение шести месяцев в рамках текущего осмотра осуществлять визуальный контроль качества ремонтных работ. При наличии отклеившихся участков герметизирующих холстов выполняют работы по устранению дефектов.
7.3.3.5 После усиления конструкций движение транспортных средств по сооружению может быть частично восстановлено спустя 10 ч (20 ч) при температуре воздуха 15 °C и выше (от 5 °C до 15 °C) <*>.
--------------------------------
<*> Под частичным восстановлением движения подразумевается пропуск транспортных средств общей массой до 24 т. Движение транспортных средств массой свыше 24 т может быть разрешено спустя 24 ч после усиления.
7.3.3.6 При проверке состояния наклеенных лент и холстов целесообразно проверить возможность попадания на вертикальные фасадные поверхности солнечных лучей. Если на элементы усиления могут попадать солнечные лучи, рекомендуется поверхность КМ защитить лакокрасочными материалами, совместимыми с применяемым клеем.
7.3.4 Рекомендации по мониторингу и научному сопровождению
7.3.4.1 Научное сопровождение
При использовании настоящего методического документа (при проектировании и выполнении работ по усилению) целесообразно осуществлять научное сопровождение, предусматривающее контроль и помощь в производстве работ, приводимых ниже.
Стадия проектирования:
- проверка правильности принятых схем усиления (расположения тканевых материалов, последовательности работ);
- корректность расчетов (обоснованность количества слоев тканевых материалов);
- наличие в проектах технологических требований, на которых основывается рабочая документация.
В рабочей документации необходимо предусматривать раздел по технологии усиления, включающий требования по подбору клеевой смеси, технологии работ, отражающей:
- контроль за температурой воздуха;
- требования по определению прочности защитного бетонного слоя и его толщины;
- последовательность работ;
- требования безопасности работ при приготовлении клея и его нанесении на поверхность бетона.
На стадии ремонта производится проверка:

подготовленности бетонной поверхности;

наличия документов по приемке каждой партии клеев, которые должны содержать следующую информацию:
- наименование предприятия-изготовителя,
- дату оформления документов о качестве,
- номер партии,
- штамп и подпись представителя отдела контроля качества предприятия;

наличия документов о качестве тканевых материалов:
- подтверждение размеров холстов и лент (ширины, толщины),
- результаты испытаний тканевых материалов, определяющих фактические данные по прочности и модулю упругости;

условий хранения тканевых материалов;

качества наклейки тканевых материалов на конструкцию и соответствия требованиям рабочей документации.
Сопровождение осуществляется представителями проектной или научной организации.
7.3.4.2 Мониторинг состояния
Мониторинг за состоянием усиленных конструкций в процессе эксплуатации проводится в рамках работ по диагностике или обследованию мостовых сооружений силами научных или проектных организаций. В процессе мониторинга проверяется внешний вид системы усиления, отсутствие дефектов и повреждений, к которым относят:
- повреждение защитного (окрасочного) наружного слоя;
- отслоение кромок наклеенных тканевых материалов;
- загрязнение композиционного материала;
- наличие разрывов или трещин в композиционном материале.
Результаты мониторинга отражаются в отчетах по результатам осмотров конструкций, которые рекомендуется проводить:
- ежегодно в первые два года эксплуатации;
- на 4-й и 6-й годы эксплуатации и далее через три года.
По результатам мониторинга составляют отчет, в котором отражают имеющиеся повреждения (подтверждаются фотографиями).
8 Рекомендации по безопасности работ
8.1.2 Места производства работ обустраивают инвентарными подмостями или лесами и настилами таким образом, чтобы расстояние между настилом и обрабатываемой поверхностью конструкции составляло 1 - 1,2 м, а высота яруса - 2 м. Ширину подмостей или лесов принимают не менее 1 м, что позволяет свободно перемещаться рабочим вдоль всего фронта работ. Ремонтные работы на высоте более 2 м выполняют с подвесных или стоечных подмостей, люлек или других средств, обеспечивающих безопасное выполнение работ. Леса и подмости, применяемые для производства работ на высоте, следует предусматривать прочными, настил не должен иметь зазоров, по периметру лесов и подмостей следует устраивать перила. С целью обеспечения безопасности работ рекомендуется также использовать передвижные инвентарные люльки, специализированные подъемно-транспортные машины и оборудование, машины для инспекции и осмотра сооружений.
8.1.3 Для работников, занятых обработкой бетонной поверхности, предусматривают следующую индивидуальную защиту (в соответствии с
ГОСТ 12.4.011-89 и типовыми отраслевыми нормами):
- защитную каску типа шлема с прозрачным щитком, закрывающим лицо;
- респиратор;
- противогазы марок ППФ-95 или ППФ-95С (на случай аварийного розлива кислот или органических растворителей);
- защитные очки;
- спецодежду, не пропускающую воду, с плотно застегивающимися манжетами и воротом;
- резиновые фартуки, сапоги и перчатки (при работе с кислотами, щелочами, при приготовлении клеевых составов).
8.1.4 Используемое технологическое оборудование должно иметь паспорта. Строительные механизмы и электрический инструмент следует заземлять. Лица, привлекаемые к работе с технологическим оборудованием, должны пройти инструктаж.
8.1.5 Тканевые материалы из углеродных волокон не представляют опасности для здоровья людей в условиях нормальной эксплуатации и при соблюдении правил безопасности работы с ними. Однако при непосредственном выполнении работ по усилению волокна могут привести к раздражению кожи, глаз и слизистых оболочек, поэтому при их применении целесообразно пользоваться индивидуальными средствами защиты.
8.2 Безопасность работы с ремонтными составами
8.2.1 При работе с клеями необходимо пройти вводный инструктаж и инструктаж на рабочем месте по технике безопасности и проходить повторный инструктаж не реже одного раза в три месяца. Процессы, связанные с приготовлением клея, рекомендуется выполнять в изолированных помещениях, снабженных приточно-вытяжной вентиляцией. Разрешается приготавливать клей в небольших количествах (до 20 кг в смену) в общем помещении с легко открывающимися рамами и фрамугами для его проветривания, но на специальных рабочих местах, оборудованных местным отсосом воздуха. В помещении, где работают с эпоксидными составами, запрещается принимать пищу, курить, пользоваться открытым огнем (паяльными лампами, различными горелками, газо- и электросваркой и т.д.).
8.2.2 В летний период рекомендуется приготавливать клей на открытом воздухе. Рабочие при этом должны находиться с наветренной стороны, чтобы ветер уносил от них токсичные пары, выделяющиеся из клея. В местах выполнения работ по приготовлению и применению ремонтных материалов вывешивают инструкции по эксплуатации оборудования, правила по технике безопасности с указанием лиц, ответственных за проведение ремонтных работ. Требования безопасности соблюдают и при подготовке поверхности к нанесению клея на эпоксидной основе. Компоненты клея хранят на складе в герметичных емкостях. Производственный персонал может быть допущен к выполнению работ по подготовке составов, их нанесению на поверхности конструкций только при наличии индивидуальной защиты, соответствующей требованиям
ГОСТ 12.4.011-89.
8.2.3 Все отходы утилизируют согласно существующему законодательству. Около рабочего места рекомендуется иметь чистую воду, свежеприготовленный физиологический раствор (0,6 - 0,9%-й раствор хлористого натрия), чистое сухое полотенце, протирочный материал.
8.2.4 К работе с клеями допускаются лица, прошедшие медицинский осмотр и имеющие допуск. При работе с эпоксидными смолами и их отвердителями требуются аккуратность и строгое соблюдение правил техники безопасности. Необходимо следить за чистотой рук, полотенец, спецодежды, рабочих столов, инструментов и посуды. При работе следует пользоваться защитными очками, спецодежду менять не реже одного раза в неделю.
8.2.5 Тщательное мытье рук производят не только во время перерывов и после окончания работы, но и после случайного загрязнения рук смолой и отвердителем. При попадании на кожный покров эпоксидной смолы или отвердителя необходимо немедленно промыть это место теплой водой и протереть тампоном, смоченным в этиловом спирте. Для защиты кожи рук применяют резиновые перчатки или защитные мази и пасты, силиконовый крем и др. При попадании клея в глаза следует сразу промыть их большим количеством теплой воды и немедленно обратиться к врачу.
8.2.6 Попавшую на рабочее место или инструмент эпоксидную смолу удаляют ацетоном, а затем этот предмет или место вымывают теплой водой с мылом.
8.3 Безопасность работ при инъецировании трещин
8.3.1 Мероприятия по технике безопасности при производстве инъекционных работ и работ по "лечению" трещин в балках пролетных строений, насадках и столбах-оболочках опор мостов должны отвечать требованиям норм
[6].
8.3.2 К инъекционным работам допускаются лица не моложе 18 лет, прошедшие обучение по правилам техники безопасности. Рабочие допускаются к работам после прохождения медицинского осмотра, обучения их способам первой помощи при несчастных случаях.
8.3.3 Работы, связанные с обслуживанием стандартных механизмов и приспособлений, выполняют в соответствии с требованиями типовых инструкций и указаний по технике безопасности для данного оборудования. Растворонагнетатели рекомендуется проверять до начала работ под давлением, в 1,5 раза превышающим предусмотренное проектом (регламентом). Запрещается пользоваться установками, работающими под давлением, при отсутствии или неисправности манометров. Исправность манометров проверяют ежедневно перед началом работы.
8.3.4 Перед началом сверлильных работ проверяют состояние перфораторов, их заземление, опробуют инструмент на холостом ходу.
Во время бурения перфораторами не рекомендуется:
- производить работы без пылеулавливания;
- при заклинке бура придерживать его руками;
- работать без защитных очков;
- извлекать заклинившийся бур без ключа и специального приспособления.
8.3.5 Рабочих, занятых на инъекционных работах, следует снабжать спецодеждой, предусмотренной действующими нормами на спецодежду для бетонщиков.
ТРЕБОВАНИЯ К СОСТАВУ КЛЕЕВОЙ СМЕСИ
А.1 Общие положения
Как правило, подбор и испытания составов клея выполняет производитель композиционных материалов. Результаты контрольных испытаний являются основанием для получения сертификационных документов. Однако на практике могут иметь место случаи, когда закупку материалов осуществляет организация, проводящая усиление конструкций. В этом случае необходимо выполнять требования по подбору состава клеевой смеси и испытанию контрольных образцов.
А.2 Состав клеевой смеси
А.2.1 В качестве основного связующего материала клеевой смеси рекомендуется использовать эпоксидные смолы Э-40, ЭД-5, ЭД-6, ЭД-16, ЭД-20 и другие с аналогичными свойствами. Для отверждения смеси в ее состав входят отвердители (ангидрины и амины), пластификаторы и наполнители. В полевых условиях следует использовать амины, применяемые при холодном отверждении.
А.2.2 Пластификаторы (дибутилфталат и полиэфиры) улучшают пластичность композиции, снижают хрупкость и повышают ударную вязкость и прочность на изгиб и отдир клеевой смеси. Оптимальное количество вводимого пластификатора 10 - 20% по массе смолы.
А.2.3 Наполнители увеличивают объем, повышают теплостойкость, механическую прочность, снижают усадку клеевой смеси и приближают ее коэффициент технического расширения к коэффициенту металлов. В качестве наполнителей могут применяться тонкоизмельченный графит, асбест, маршалит, окись алюминия, серно-кислый барий, слюдяная пыль, алюминиевая пудра, а для повышенной прочности - кварцевый песок, фарфоровая мука, титановые белила, железный порошок.
А.2.4 Отвердители в клеевую смесь следует вводить в строго определенном количестве. Отклонение от правильной дозировки, особенно аминов, ведет к ухудшению свойств отвержденной клеевой смеси.
А.2.5 Рецепты по приготовлению некоторых клеевых смесей холодного отверждения приведены в таблице А.1.
Таблица А.1
Рецепты приготовления клеевых смесей
с использованием эпоксидных смол
Номер рецепта | Наименование компонентов | Состав |
вес. ч. | % |
1 | 2 | 3 | 4 |
1 | Смола ЭД-6 или Э-40 | 100 | 58,0 |
Дибутилфталат | 20 | 11,4 |
Графит | 43 | 24,9 |
Полиэтиленполиамин | 10 | 5,7 |
2 | Смола ЭД-6 или Э-40 | 100 | 34,5 |
Дибутилфталат | 20 | 7,0 |
Железный порошок | 160 | 55,0 |
Полиэтиленполиамин | 10 | 3,5 |
3 | Эпоксидная шпатлевка Э-4020 или Э-4021 | 100 | 47,9 |
Отвердитель N 1 | 8,5 | 4,2 |
Асбест измельченный (пропитанный лаком этиноль) | 100 | 47,9 |
А.2.6 Для подтверждения свойств отвержденных смесей изготавливают образцы (кубы) размерами не более 100 x 100 x 100 мм, которые испытывают на срез. Количество образцов для испытания каждой смеси должно быть не менее трех.
ПРИМЕРЫ РАСЧЕТА
Б.1 Расчет по прочности нормального сечения в середине пролета
Б.1.1 Исходные данные для расчета: балка длиной 33 м

, типовой проект 3.503-12, вып. 4 (приложение В,
конструкция N 10), высота балки h = 1,5 м, положение центра тяжести сжатой зоны x = 15 см.
Требуется усиление балки на долговременный период эксплуатации.
Б.1.2 Для расчета используем формулу (4) настоящего методического документа при определении требуемого сечения КМ в

и

балки. Условно принято, что для указанных сечений фактическая несущая способность снижена на 2000 кН·м

в

и 1000 кН·м

в

. Усиление осуществляется наклейкой лент шириной 25 см с прочностью на растяжение, установленной по результатам натурных испытаний. Расчетное сопротивление холста R
k = 2180 МПа (см.
раздел 5).
Б.1.3 Площадь сечения лент в

балки, определенная из
выражения (4), составляет 0,679 см
2. Получается, что при ширине ленты 25 см и толщине 0,1 мм композитный материал должен иметь в

три слоя углеродных лент. Для сечения в

, где недостающий момент составляет 1000 кН·м, требуется суммарная площадь сечения лент в 2 раза меньше, т.е. 0,386 см
2, что соответствует наклейке двух слоев лент. Учитывая необходимость предусматривать дополнительный участок ленты для ее анкеровки и исключения отслоения (т.е. заводить ленту за точку теоретического обрыва), длину лент усиления в композиционном материале принимают равной (см.
таблицу 4):
- первый слой ленты - на длине

;
- второй слой ленты - на длине

;
- третий слой ленты - на всю длину

.
Б.2 Расчет усиления балки по второму предельному состоянию (по прогибам)
Б.2.1 Исходные данные для расчета: балка длиной 33 м

, типовой проект 3.503-12, вып. 4 (приложение В,
конструкция N 10), из-за повреждений (дефектов) фактический момент инерции сечения снизился с J = 2,018·10
6 см
4 до J
ф = 1,82·10
6 см
4 (на 10%), высота балки h = 1,5 м, положение центра тяжести сжатой зоны x = 8 см, модули упругости композита E
k и бетона E
б равны соответственно 200000 МПа и 30000 МПа

.
Б.2.2 Используя формулу (14), получим площадь сечения

.
Б.2.3 При размерах ленты 300 x 0,1 мм (площадь 0,3 см2) потребуется три слоя лент.
Должны быть применены ленты длиной:
- первый слой - 16,3 м

;
- второй слой - 21,7 м

;
- третий слой - 32,4 м (соответствует расчетной длине пролетного строения).
Б.3 Расчет по раскрытию трещин
Б.3.1 Пример дан для усиленной балки с каркасной арматурой (см.
рисунок 3) по типовому проекту серии 3.503-14 (приложение В,
конструкция N 5), L = 15 м. В середине пролета балка усилена двумя холстами на высоту

и

.
Цель расчета - проверить возможность усиления для пропуска транспортного средства, вызывающего усилия в балке, превышающие несущую способность на 10%.
Б.3.2 Радиус армирования определяем по
формуле (7.100) СП 35.13330.2011, принимая:
-

;
- n - число арматурных элементов, увеличенное на количество плоскостей лент усиления

(для конструкции, представленной на
рисунке 3 
- две плоскости снизу и по две плоскости с каждой стороны ребра);
- d - диаметр стержней армирования с эквивалентной площадью волокон (сечение одной плоскости ленты приводится к стержню диаметром 28 мм, примененному в балке).
Б.3.3 В рассматриваемом примере эквивалентные площади определяются по плоскостям лент усиления - две боковые плоскости высотой 0,2 м; две боковые плоскости высотой 0,15 м; две нижние плоскости шириной 0,16 м (ширина стенки по низу):
-

;

;
-

;

;
-

;

.
Эквивалентные диаметры:
Количество эквивалентных диаметров - два на каждый диаметр.
Сумма произведений n (количество стержней) на d (диаметр стержня) (по
формуле (7.100) СП 35.13330.2011) равна 10·2,8 + 2·(0,75 + 0,62 + 0,67) = 28 + 2·2,04 = 32,08 см, что превышает существующее значение

на 11,5%.
Радиус взаимодействия усиленной конструкции r = 6·d = 6·2,8 = 16,8 см.
Высота балки, равная радиусу взаимодействия и высоте участка расположения арматуры балки, составляет

.
Б.3.4 Площадь зоны взаимодействия для нормального сечения будет равна

,
где

- средняя ширина стенки на участке r, см.

.
Коэффициент раскрытия трещин

.
Ширина раскрытия трещин при напряжении в нижнем ряду арматуры от нормативной нагрузки

и модуле упругости 210000 МПа будет равна

, что меньше допустимой величины

.
Требование по раскрытию трещин выдержано.
ПЕРЕЧЕНЬ ТИПОВЫХ ПРОЕКТОВ ЖЕЛЕЗОБЕТОННЫХ БАЛОЧНЫХ
ПРОЛЕТНЫХ СТРОЕНИЙ
Таблица В.1
Типовые проекты железобетонных балочных пролетных строений
N п/п | Номер типового проекта | Очертание балок и расчетная нагрузка | Основные размеры |
1 | 2 | 3 | 4 |
Балки с обычной арматурой |
1 | Союздорпроект, вып. 56 Д, 1962 г. | | L = 7,5 м Jx = 1,19056·106 см4 a = 15 см b = 130 см c = 20,3 см h = 70 см |
2 | Союздорпроект, вып. 56 Д, 1962 г. | L = 10 м Jx = 1,68591·106 см4 a = 15 см b = 130 см c = 19 см h = 80 см |
3 | Союздорпроект, вып. 56 (дополнение), 1962 г. | L = 12,5 м Jx = 1,97022·106 см4 a = 15 см b = 130 см c = 18,4 см h = 85 см |
4 | Союздорпроект, вып. 56 Д, 1962 г. | L = 15 м Jx = 2,92386·106 см4 a = 15 см b = 130 см c = 16,4 см h = 100 см |
| Союздорпроект, сер. 3.503-14, вып. 5, инв. N 710/5 | | L = 12; 15; 18 м Jx = 2,1102·106 см4 a = 15 см b = 130 см c = 16 см h = 90 см |
Балки с напрягаемой арматурой |
6 | Союздорпроект, сер. 3.503-12, вып. 3, инв. N 384/27, 1969 - 1970 гг. | | L = 24 м Jx = 1,14794·106 см4 a = 15 см b = 180 см c = 62 см d = 18 см h = 120 см |
7 | Союздорпроект, сер. 3.503-12, вып. 3, инв. N 384/27, 1969 - 1970 гг. | L = 33 м Jx = 1,92162·106 см4 a = 15 см b = 180 см c = 62 см d = 18 см h = 150 см |
8 | Союздорпроект, сер. 3.503-12, вып. 3, инв. N 384/27, 1969 - 1970 гг. | L = 33 м Jx = 1,61473·106 см4 a = 15 см b = 180 см c = 62 см d = 18 см h = 140 см |
9 | Союздорпроект, сер. 3.503-12, вып. 4, инв. N 384/28, 1969 - 1970 гг. | | L = 24 м Jx = 1,11077·106 см4 a = 15 см b = 180 см c = 62 см d = 15 см h = 120 см |
| Союздорпроект, сер. 3.503-12, вып. 4, инв. N 384/28, 1969 - 1970 гг. | L = 33 м Jx = 2,01787·106 см4 a = 15 см b = 180 см c = 62 см d = 20 см h = 150 см |
11 | Союздорпроект, сер. 3.503-12, вып. 4, инв. N 384/28, 1969 - 1970 гг. | | L = 42 м Jx = 4,57068·106 см4 a = 15 см b = 180 см c = 62 см d = 20 см h = 210 см |
12 | Союздорпроект, сер. 3.503-12, вып. 2, инв. 384/33, 1969 - 1970 гг. | | L = 12 м; 15 м Jx = 4,21581·106 см4 a = 15 см b = 130 см c = 62 см d = 8 см h = 90 см |
13 | Союздорпроект, сер. 501.5, инв. N 384/6 | | L = 12 м; 15 м Jx = 5,00745·106 см4 a = 15 см b = 180 см c = 62 см d = 10 см h = 90 см |
14 | Союздорпроект, сер. 501.5, инв. N 384/6 | L = 18 м; 24 м Jx = 1,11451·106 см4 a = 15 см b = 180 см c = 62 см d = 150 см h = 120 см |
15 | Союздорпроект, сер. 501.5, инв. N 384/6 | L = 33 м Jx = 2,07912·106 см4 a = 15 см b = 180 см c = 62 см d = 20 см h = 150 см |
16 | Союздорпроект, сер. 3.503-14, вып. 3, инв. N 710/3 | | L = 18; 21 м Jx = 6,96277·106 см4 a = 15 см b = 130 см c = 40 см d = 16 см h = 115 см |
| | Распоряжение Государственной службы дорожного хозяйства от 14 марта 2003 г. N ОС-154р "О введении в действие "Временного руководства по определению грузоподъемности мостовых сооружений на автомобильных дорогах" |
| | Шилин А.А., Пшеничный В. А., Картузов Д.В. Усиление железобетонных конструкций композиционными материалами, 2004 |
| | Руководство по усилению железобетонных конструкций композитными материалами, 2006 |
| | Руководство по усилению железобетонных конструкций композитными материалами, 2012 |
| СТО 2256-002-2011 | Система внешнего армирования из полимерных композитов FibARM для ремонта и усиления строительных конструкций |
| | Инструкция по организации движения и ограждению мест производства дорожных работ |
|
Ключевые слова: мостовые сооружения, усиление, композиционные материалы, долговечность, контроль качества работ |
Руководитель организации-разработчика
Федеральное государственное унитарное предприятие
"Российский дорожный научно-исследовательский институт"
(ФГУП "РОСДОРНИИ")
Генеральный директор ___________________________ К.В. Могильный