Главная // Актуальные документы // НормыСПРАВКА
Источник публикации
В данном виде документ опубликован не был.
Первоначальный текст документа опубликован в издании
М.: Издательство литературы по строительству, 1972.
Информацию о публикации документов, создающих данную редакцию, см. в справке к этим документам.
Примечание к документу
Документ утратил силу с 1 января 1980 года в связи с изданием
Постановления Госстроя СССР от 27.06.1979 N 100. Взамен введен в действие
СНиП II-4-79.
Изменения и дополнения, утв. Постановлением Госстроя СССР от 27.11.1974 N 227, введены в действие с 1 июля 1975 года.
Взамен СНиП II-В.6 (издания 1954 г.).
Название документа
"СНиП II-А.9-71. Строительные нормы и правила. Часть II, раздел А. Глава 9. Искусственное освещение. Нормы проектирования"
(утв. Госстроем СССР 29.06.1971)
(ред. от 27.11.1974)
"СНиП II-А.9-71. Строительные нормы и правила. Часть II, раздел А. Глава 9. Искусственное освещение. Нормы проектирования"
(утв. Госстроем СССР 29.06.1971)
(ред. от 27.11.1974)
Государственным комитетом
Совета Министров СССР
по делам строительства
29 июня 1971 года
СТРОИТЕЛЬНЫЕ НОРМЫ И ПРАВИЛА
ЧАСТЬ II, РАЗДЕЛ А
ГЛАВА 9
ИСКУССТВЕННОЕ ОСВЕЩЕНИЕ
НОРМЫ ПРОЕКТИРОВАНИЯ
СНиП II-А.9-71
| | Список изменяющих документов Постановлением Госстроя СССР от 27.11.1974 N 227) | |
Срок введения
1 октября 1971 года
Внесены Министерством монтажных и специальных строительных работ СССР.
Утверждены Государственным комитетом Совета Министров СССР по делам строительства 29 июня 1971 года.
Взамен главы II-В.6 СНиП "Искусственное освещение" издания 1954 г. с изменением N 1, утвержденным Приказом Госстроя СССР от 14 января 1958 г. N 9.
Глава СНиП II-А.9-71 "Искусственное освещение. Нормы проектирования" разработана институтом Тяжпромэлектропроект Минмонтажспецстроя СССР совместно с ВНИСИ Минэлектротехпрома, ВЦНИИОТ ВЦСПС и МЭИ Министерства высшего и среднего специального образования СССР с участием НИИСФ Госстроя СССР (в части, относящейся к освещению помещений с недостаточным естественным освещением).
С введением в действие настоящей главы СНиП утрачивают силу:
глава СНиП II-В.6 "Искусственное освещение" издания 1954 г. и соответствующие требования "Правил устройства электроустановок" (ПУЭ);
приложение 6 к "Санитарным нормам проектирования промышленных предприятий" (СН 245-63);
разделы II г, II д "Указаний по проектированию электрического освещения производственных зданий" (СН 203-62);
п. 4 раздела 1 и пп. 39, 50, 51, 52 и 53 раздела V "Указаний по проектированию производственных зданий без фонарей" (СН 176-61).
Глава СНиП II-А.9-71 согласована с Минздравом СССР и ВЦСПС.
Редакторы: инж. Т.С. Ордынская (Госстрой СССР); канд. техн. наук Ц.И. Кроль и д-р техн. наук М.А. Островский (ВНИСИ Минэлектротехпрома); кандидаты техн. наук С.А. Клюев и Г.М. Кнорринг (ГПИ Тяжпромэлектропроект Минмонтажспецстроя СССР); кандидаты техн. наук Т.А. Глаголева и А.С. Шайкевич (ВЦНИИОТ ВЦСПС); доктора техн. наук В.В. Мешков и М.М. Епанешников (МЭИ Министерства высшего и среднего специального образования СССР); канд. техн. наук Я.Н. Киреев (НИИСФ Госстроя СССР).
1.1. Нормы настоящей главы распространяются на проектирование искусственного освещения вновь строящихся и реконструируемых зданий и сооружений промышленных предприятий, а также зданий и сооружений для переработки сельскохозяйственной продукции, общественных и жилых зданий, площадок предприятий, мест производства наружных работ, улиц, дорог и площадей. Проектирование устройств местного освещения, поставляемых комплектно со станками, машинами и производственной мебелью, следует также осуществлять в соответствии с настоящими нормами.
Настоящие нормы не распространяются на проектирование освещения подземных выработок, морских и речных портов, аэродромов, транспортных средств, железнодорожных путей и железнодорожных станций, зданий и сооружений для хранения сельскохозяйственной продукции, животноводческих и птицеводческих ферм, а также на проектирование специального технологического, архитектурного и декоративно-художественного освещения и освещения сцен зрелищных предприятий.
Примечания. 1. При проектировании освещения следует соблюдать требования соответствующих нормативных документов, утвержденных или согласованных с Госстроем СССР.
2. Основные термины, использованные в настоящей главе, приведены в
Приложении 1.
1.2. Настоящие нормы распространяются на проектирование осветительных установок с применением газоразрядных ламп (люминесцентных, ртутных высокого давления с исправленной цветностью типов ДРЛ и ДРИ, ксеноновых) и ламп накаливания.
Примечание. Применение ксеноновых ламп внутри помещений допускается, как исключение, только по согласованию с органами Государственной санитарной инспекции СССР.
1.3. Искусственное освещение может быть двух систем:
а) общего освещения;
б) комбинированного освещения (к общему освещению добавляется местное, концентрирующее световой поток непосредственно на рабочих местах).
Общее освещение подразделяется на:
общее равномерное освещение (при равномерном распределении светового потока без учета расположения оборудования);
общее локализованное освещение (при распределении светового потока с учетом расположения рабочих мест).
Примечание. Применение одного местного освещения внутри зданий не допускается.
1.4. Искусственное освещение может быть двух видов:
а) рабочее;
б) аварийное (для продолжения работы и эвакуации людей).
1.5. Устройство рабочего освещения обязательно во всех помещениях и на освещаемых территориях, улицах и площадях для обеспечения нормальной работы, прохода людей и движения транспорта во время отсутствия или недостатка естественного освещения.
1.6. Аварийное освещение для продолжения работы (в помещениях или местах производства наружных работ) надлежит устраивать, если внезапное отключение рабочего освещения (при аварии) и связанное с этим нарушение нормального обслуживания оборудования и механизмов может вызвать:
а) взрыв, пожар, отравление людей;
б) длительное нарушение технологического процесса;
в) нарушение работы таких объектов, как электрические станции; узлы радиопередачи и связи; диспетчерские пункты; насосные установки водоснабжения; помещения дежурных пожарных постов и тепловые пункты; пункты управления системами водоснабжения, канализации, теплофикации, вентиляции и кондиционирования воздуха для производственных помещений, в которых недопустимо прекращение работ;
г) опасность травматизма в местах большого скопления людей;
д) нарушение нормального обслуживания больных в операционных блоках, кабинетах неотложной помощи в приемных покоях лечебных учреждений.
Наименьшая освещенность рабочих поверхностей, требующих обслуживания при аварийном режиме, должна составлять 5% освещенности, нормируемой для рабочего освещения при системе общего освещения, но не менее 2 лк внутри зданий и не менее 1 лк для площадок предприятий.
Наименьшую освещенность более 30 лк внутри зданий и более 5 лк для площадок предприятий разрешается создавать только при наличии соответствующих обоснований.
1.7. Аварийное освещение для эвакуации людей (в помещениях или местах производства наружных работ) надлежит устраивать:
а) в местах, опасных для прохода людей, а также в основных проходах и на лестницах, служащих для эвакуации людей из производственных и общественных зданий с числом работающих или пребывающих более 50 чел., а также на лестничных клетках жилых домов высотой 6 этажей и более;
б) в производственных помещениях с постоянно работающими в них людьми, где выход людей из помещения при внезапном отключении рабочего освещения (при аварии) связан с опасностью травматизма из-за продолжения работы производственного оборудования, а также в производственных помещениях с числом работающих более 50 чел. (независимо от степени опасности травматизма) и в других помещениях, где могут одновременно находиться более 100 чел.
Аварийное освещение для эвакуации людей должно обеспечивать наименьшую освещенность на полу основных проходов (или на земле) и на ступенях лестниц:
в помещениях - 0,5 лк;
на открытых территориях - 0,2 лк.
1.8. Для аварийного освещения разрешается применять:
а) лампы накаливания;
б) люминесцентные лампы - в помещениях с минимальной температурой воздуха не менее +10 °C и при условии питания ламп во всех режимах переменным током с напряжением на лампах не ниже 90% номинального значения.
Применение ламп типов ДРЛ, ДРИ и ксеноновых для аварийного освещения запрещается.
Светильники аварийного освещения должны отличаться от светильников рабочего освещения типом, размером или специально нанесенными на них знаками.
1.9. Выходы из производственных помещений площадью 150 м2 и более, не имеющих естественного света, и из других помещений, где могут находиться одновременно более 100 чел., должны быть отмечены световыми указателями, присоединенными к сети аварийного освещения.
1.10. Светильники аварийного освещения для продолжения работы и для эвакуации людей из зданий без естественного света, а также светильники для продолжения работы в зданиях с естественным светом должны присоединяться к независимому источнику питания или переключаться на него автоматически при внезапном отключении рабочего освещения (при аварии).
Светильники аварийного освещения для эвакуации людей из зданий с естественным светом должны присоединяться к сети, независимой от сети рабочего освещения, начиная от щита подстанции или от ввода в здание (при наличии только одного ввода). Допускается питание светильников аварийного освещения от сети рабочего освещения при наличии автоматического переключения на источники питания аварийного освещения при внезапном отключении рабочего освещения (при аварии).
1.11. Для охранного освещения площадок предприятий и дежурного освещения помещений следует, по возможности, выделять часть светильников рабочего или аварийного освещения.
Наименьшая освещенность, создаваемая охранным освещением вдоль линии границ охраняемых в ночное время площадок предприятий, должна быть 0,5 лк (на уровне земли в горизонтальной плоскости или на уровне 0,5 м от земли на одной из сторон вертикальной плоскости, перпендикулярной линии границы).
1.12. Наружное освещение должно иметь управление, независимое от управления освещением внутри зданий.
1.13. При проектировании осветительных установок следует вводить коэффициенты запаса, приведенные в табл. 1.
Таблица 1
Коэффициент запаса
N п.п. | Освещаемые объекты | Светильники |
с газоразрядными лампами | с лампами накаливания |
1 | Производственные помещения с воздушной средой, содержащей 10 мг/м3 и более пыли, дыма и копоти: | | |
а) при темной пыли | 2 | 1,7 |
б) " светлой " | 1,8 | 1,5 |
2 | Производственные помещения с воздушной средой, содержащей от 5 до 10 мг/м3 пыли, дыма и копоти: | | |
а) при темной пыли | 1,8 | 1,5 |
б) " светлой " | 1,6 | 1,4 |
3 | Производственные помещения с воздушной средой, содержащей не более 5 мг/м3 пыли, дыма и копоти. Вспомогательные помещения с нормальной воздушной средой и помещения общественных и жилых зданий | 1,5 | 1,3 |
4 | Территории (площадки) промышленных предприятий с воздушной средой, содержащей: | | |
а) более 5 мг/м3 пыли, дыма и копоти | 1,5 | 1,3 |
б) 5 мг/м3 и менее пыли, дыма и копоти | 1,5 | 1,3 |
5 | Улицы; площади; дороги; территории общественных зданий, жилых районов и выставок; парки, бульвары | 1,5 | 1,3 |
Примечания: 1. Коэффициенты запаса установлены с учетом: а) регулярной очистки светильников, используемых для освещения объектов, указанных в поз. 1, - не реже 2 раз в месяц; в поз. 2 - не реже 1 раза в месяц; в поз. 3 и 4а - не реже 1 раза в 3 месяца; в поз. 4б и 5 - не реже 1 раза в 6 месяцев; б) применения закрытых пылезащищенных светильников при наличии воздушной среды, содержащей более 0,5 мг/м3 пыли, дыма и копоти, для освещения объектов, указанных в поз. 5. |
|
2. В помещениях с особым режимом по чистоте воздуха при использовании светильников, обслуживаемых снизу, коэффициенты запаса могут быть снижены до 1,3 - при освещении газоразрядными лампами и до 1,15 - при освещении лампами накаливания. |
1.14. При установлении норм освещенности надлежит руководствоваться шкалой освещенности, приведенной в табл. 2.
Таблица 2
Освещенность в лк | Количество ступеней между значениями освещенности шкалы | Освещенность в лк | Количество ступеней между значениями освещенности шкалы | Освещенность в лк | Количество ступеней между значениями освещенности шкалы |
0,2 | 1 | 50 | 1 | 1000 | 1 |
0,3 | 75 | 1250 |
1 | 1 | 1 |
0,5 | 100 | 1500 |
1 | 1 | 1 |
1 | 150 | 2000 |
1 | 1 | 1 |
2 | 200 | 2500 |
1 | 1 | 1 |
3 | 300 | 3000 |
1 | 1 | 1 |
5 | 400 | 4000 |
1 | 1 | 1 |
10 | 500 | 5000 |
1 | 1 | 1 |
20 | 600 | 6000 |
1 | 1 | 1 |
30 | 750 | 7500 |
1 | 1 | |
50 | 1000 | |
| |
| |
2. ОСВЕЩЕНИЕ ПРОИЗВОДСТВЕННЫХ И ВСПОМОГАТЕЛЬНЫХ
ПОМЕЩЕНИЙ ПРОМЫШЛЕННЫХ ПРЕДПРИЯТИЙ, ЗДАНИЙ И СООРУЖЕНИЙ
ДЛЯ ПЕРЕРАБОТКИ СЕЛЬСКОХОЗЯЙСТВЕННОЙ ПРОДУКЦИИ
2.1. Наименьшая освещенность рабочих поверхностей в производственных помещениях должна соответствовать нормам, приведенным в табл. 3.
Таблица 3
Нормы освещенности рабочих поверхностей
в производственных помещениях
Характеристика зрительной работы | Наименьший размер объекта различения в мм | Разряд зрительной работы | Подразряд зрительной работы | Контраст объекта различения с фоном | Характеристика фона | Освещенность в лк |
система комбинированного освещения | система общего освещения |
1 | 2 | 3 | 4 | 5 | 6 | 7 | 8 |
Наивысшей точности | Менее 0,15 | I | а | Малый | Темный | 5000 | 1500 |
б | Малый Средний | Средний Темный | 4000 | 1250 |
в | Малый Средний Большой | Светлый Средний Темный | 3000 | 1000 |
г | Средний Большой Большой | Светлый Светлый Средний | 1500 | 400 |
Очень высокой точности | От 0,15 до 0,3 | II | а | Малый | Темный | 4000 | 1250 |
| Малый Средний | Средний Темный | 3000 | 750 |
| Малый Средний Большой | Светлый Средний Темный | 2000 | 500 |
| Средний Большой Большой | Светлый Светлый Средний | 1000 | 300 |
Высокой точности | От 0,3 до 0,5 | III | а | Малый | Темный | 2000 | 500 |
б | Малый Средний | Средний Темный | 1000 | 300 |
в | Малый Средний Большой | Светлый Средний Темный | 750 | 300 |
г | Средний Большой Большой | Светлый Светлый Средний | 400 | 200 |
Средней точности | От 0,5 до 1 | IV | а | Малый | Темный | 750 | 300 |
б | Малый Средний | Средний Темный | 500 | 200 |
в | Малый Средний Большой | Светлый Средний Темный | 400 | 150 |
г | Средний Большой Большой | Светлый Светлый Средний | 300 | 150 |
Малой точности | От 1 до 5 | V | а | Малый | Темный | 300 | 200 |
б | Малый Средний | Средний Темный | 200 | 150 |
в | Малый Средний Большой | Светлый Средний Темный | - | 100 |
г | Средний Большой Большой | Светлый Светлый Средний | - | 100 |
Грубая (очень малой точности) | Более 5 | VI | - | Независимо от характеристики фона и контраста объекта с фоном | - | 100 |
Работа с самосветящими материалами и изделиями в горячих цехах | - | VII | - | То же | - | 200 |
Общее наблюдение за ходом производственного процесса: | - | VIII | | | | |
постоянное наблюдение | а | То же | - | 75 |
периодическое наблюдение за состоянием оборудования и коммуникаций при постоянном пребывании людей в помещении | б | То же | - | 50 |
наблюдение за состоянием оборудования и коммуникаций при периодическом пребывании людей в помещении | в | То же | - | 50 |
Работа на складах громоздких предметов и сыпучих материалов: | - | IX | | | | |
на механизированных | а | Независимо от характеристики фона и контраста объекта с фоном | - | 50 |
на немеханизированных | б | То же | - | 50 |
Примечания: 1. При использовании ламп накаливания (в случаях невозможности или технической нецелесообразности применения газоразрядных ламп) в производственных помещениях освещенность рабочих поверхностей следует принимать по нормам, приведенным в Приложении 2. 2. Нормы освещенности установлены при расположении объектов различения на расстоянии не более 0,5 м от глаз работающего. При увеличении расстояния от рассматриваемого объекта до глаз работающего нормы освещенности следует повышать в соответствии с п. 2.2 "а" и Приложением 3. 3. При разработке отраслевых норм искусственного освещения освещенность следует определять по эквивалентным значениям размера объекта различения и его контраста с фоном (при отсутствии данных для определения этих параметров принимать минимальный размер объекта различения и его фотометрический контраст с фоном). |
а) при работах I - VI разрядов, если рассматриваемый объект расположен на расстоянии 0,5 - 1 м от глаз работающего;
б) при работах I - IV разрядов, если напряженная зрительная работа выполняется непрерывно более половины рабочего дня (например, визуальный контроль изделий, проборка нити);
в) при повышенной опасности травматизма в местах, где освещенность при системе общего освещения составляет 150 лк или менее (например, при работах на циркулярных пилах, гильотинных ножницах);
г) при специальных повышенных санитарных требованиях к производственным помещениям (например, в некоторых помещениях предприятий пищевой и химико-фармацевтической промышленности) при нормируемой освещенности от общего освещения 500 лк и менее;
д) в помещениях, специально предназначенных для работы или производственного обучения подростков, при нормируемой освещенности 300 лк и менее.
2.3. Нормы освещенности, приведенные в
табл. 3 и
Приложении 2, следует снижать на одну ступень по шкале
табл. 2 для производственных помещений, где выполняются работы I - VI разрядов:
а) при кратковременном пребывании людей;
б) при наличии оборудования, не требующего постоянного обслуживания.
2.4. При наличии одновременно нескольких признаков, указанных в
пп. 2.2 и
2.3, нормы освещенности, приведенные в
табл. 3 и
Приложении 2, разрешается изменять не более чем на одну ступень по шкале
табл. 2.
2.5. При системе общего освещения производственных помещений, где выполняются работы I - V и VII разрядов, следует использовать, как правило, газоразрядные лампы (люминесцентные лампы, лампы ДРИ и ДРЛ).
2.6. При выполнении работ I - IV, Vа и Vб разрядов следует применять, как правило, систему комбинированного освещения.
Использование системы общего освещения допускается при технической невозможности или нецелесообразности устройства местного освещения.
Общее освещение в системе комбинированного следует выполнять, как правило, газоразрядными лампами независимо от типа источника света, используемого для местного освещения.
2.7. Освещенность рабочей поверхности, создаваемая светильниками общего освещения при системе комбинированного, должна составлять 10% нормируемой для комбинированного освещения, но не менее 150 лк при газоразрядных лампах и 50 лк при лампах накаливания. При этом освещенность от светильников общего освещения более 500 лк при газоразрядных лампах и более 100 л/к при лампах накаливания разрешается создавать при наличии соответствующих обоснований.
2.8. В цехах с полностью автоматизированным технологическим процессом следует предусматривать возможность включения дополнительных светильников общего освещения и стационарных или переносных светильников местного освещения, обеспечивающих необходимые для проведения ремонтно-наладочных работ уровни освещенности, устанавливаемые по
табл. 3 (или по
Приложению 2 в случаях использования ламп накаливания).
2.9. В производственных помещениях при выполнении работ, относящихся к I - VII разрядам, освещенность проходов и участков, где работы не производятся, должна составлять 25% освещенности от общего освещения данных помещений и должна быть не менее 50 лк при газоразрядных лампах и не менее 30 лк при лампах накаливания.
2.10. Для общего освещения производственных помещений без естественного света и с недостаточным по условиям зрительной работы естественным освещением, предназначенных для постоянного пребывания работающих, должны применяться газоразрядные лампы независимо от принятой системы освещения. Использование ламп накаливания допускается только в случаях невозможности применения газоразрядных ламп.
2.11. При системе общего освещения производственных помещений без естественного света, предназначенных для постоянного пребывания работающих, нормы освещенности, приведенные в
табл. 3 (и
Приложении 2), надлежит повышать на одну ступень по
табл. 2, если их повышение не предусматривается в
п. 2.2.
Освещенность рабочей поверхности, создаваемая светильниками общего освещения при системе комбинированного, должна составлять 20% нормируемой для комбинированного освещения по
табл. 3 (или
Приложению 2).
Повышение освещенности от общего освещения при норме освещенности 750 лк и выше при газоразрядных лампах (и 300 лк и выше при лампах накаливания) разрешается только при наличии соответствующих обоснований.
Освещенность от общего освещения (независимо от принятой системы освещения) должна быть не менее 200 лк при газоразрядных лампах и не менее 100 лк при лампах накаливания.
Примечания: 1. В производственных помещениях, где необходимо периодическое наблюдение за механизированным процессом, протекающим внутри аппаратуры, или за состоянием оборудования и коммуникаций, а также на складах выполнение требований
пп. 2.10 и
2.11 не обязательно.
2. В помещениях, где имеются только отдельные единичные рабочие места, предназначенные для постоянного пребывания работающих, следует предусматривать повышение освещенности от общего освещения в соответствии с требованиями настоящего пункта только для этих рабочих мест.
2.12. При работах I - VI разрядов в производственных помещениях с недостаточным по условиям зрительной работы естественным освещением, предназначенных для постоянного пребывания работающих, требования
п. 2.11 распространяются:
а) при боковом естественном освещении - на часть площади помещения, для которой рабочие места удалены от наружной стены с окнами на расстояния, указанные в
Приложении 4 (или превышающие их);
б) при верхнем естественном освещении - на часть площади помещения, для которой отношение площади световых фонарей к площади пола равно или менее значений, приведенных в
Приложении 5.
2.13. Наименьшая освещенность вспомогательных помещений должна соответствовать нормам, приведенным в табл. 4.
Таблица 4
Нормы освещенности вспомогательных помещений
Наименование помещения | Разряд зрительной работы | Подразряд зрительной работы | Освещенность в лк | Поверхность, для которой нормируется освещенность |
Столовые и буфеты, Здравпункты | X | - | 200 | 0,8 м от пола в горизонтальной плоскости |
Помещения для отдыха. Помещения культурного обслуживания | XI | - | 150 | То же |
Проходные (проверка пропусков) | XII | а | 100 | " |
Вестибюли, главные коридоры и гардеробные уличной одежды в вестибюлях | б | 75 | Пол |
Проходы и второстепенные коридоры | в | 50 | " |
Лестницы: | | | |
главные | г | 75 | Ступени и пол площадок |
второстепенные | д | 50 | То же |
Умывальные, уборные, помещения для личной гигиены женщин и для кормления грудных детей, курительные | XIII | а | 75 | Пол |
Душевые и преддушевые; гардеробы для хранения домашней и рабочей одежды; помещения для обеспыливания и сушки рабочей одежды; помещения для обогревания работающих и фотарии; кубовые и сушилки | б | 50 | " |
Примечания: 1. При использовании ламп накаливания нормы освещенности следует снижать на 2 ступени по шкале табл. 2; в помещениях, относящихся к разрядам XIIв и XIIд, допускается снижать освещенность до 10 лк. 2. Искусственное освещение конструкторских бюро следует проектировать в соответствии с требованиями раздела IV настоящих норм. 3. В местах, предназначенных для размещения Досок почета, стенных газет и стендов в вестибюлях и коридорах, разрешается повышать норму освещенности (на стене) до 100 лк при газоразрядных лампах и до 50 лк при лампах накаливания. |
2.14. Для ограничения слепящего действия светильников общего освещения в производственных и вспомогательных помещениях (независимо от принятой системы освещения) показатель ослепленности не должен быть более приведенного в табл. 5, за исключением помещений, указанных в
п. 2.15, для которых показатель ослепленности не ограничивается.
Таблица 5
Показатель ослепленности в производственных
и вспомогательных помещениях
Разряд и подразряд зрительной работы | Показатель ослепленности |
при постоянном пребывании людей в помещении | при периодическом пребывании людей в помещении |
I, II | 20 | - |
III, IV, V, VII | 40 | 60 |
VI, VIIIa; IXа; X, XI; XIIа | 60 | 80 |
Примечание. Показатель ослепленности должен определяться в точках помещения, указанных в Приложении 6. |
2.15. Показатель ослепленности для установок общего освещения (независимо от принятой системы освещения) не ограничивается:
а) для помещений, длина которых не превышает двойной высоты установки светильников над полом;
б) для помещений, высота которых не превышает 2,5 м, при выполнении в них работ VI и VIIIа разрядов (или при временном пребывании в них людей независимо от характера выполняемых работ), а также для всех площадок, предназначенных для прохода людей или для обслуживания технологического и инженерного оборудования, при использовании:
светильников с защитным углом не менее 15° для ламп накаливания мощностью не более 150 Вт, ламп ДРЛ мощностью не более 250 Вт и для люминесцентных ламп суммарной мощностью не более 80 Вт;
светильников с матированными и молочными рассеивателями без отражателей для ламп накаливания мощностью не более 100 Вт;
открытых ламп накаливания в молочной колбе мощностью не более 60 Вт и люминесцентных ламп мощностью не более 40 Вт;
в) для производственных помещений, где выполняются работы VIIIб, VIIIв и IXб разрядов;
г) для вспомогательных помещений со зрительной работой, отнесенной к X, XI и XIIа, XIIб, XIIв разрядам, при использовании светильников с защитным углом не менее 15° или светильников с рассеивателями, габаритная яркость которых в зоне от 60 до 90° не превышает 4 кнт;
д) для помещений со зрительной работой, отнесенной к XIIIа, XIIIб разрядам.
2.16. Светильники на лестницах следует располагать так, чтобы светящие части ламп не были видны под углом до 10° вверх и вниз к горизонту.
Для освещения лестниц допускается использовать открытые люминесцентные лампы суммарной мощностью не более 40 Вт в одном светильнике.
2.17. Для местного освещения должны использоваться светильники с непросвечивающими отражателями, имеющими защитный угол не менее 30°.
Допускается использование светильников местного освещения с отражателями, имеющими защитный угол от 10 до 30°, при расположении их ниже уровня глаз работающего.
2.18. Для ограничения отраженной блескости поверхностей, обладающих диффузным, направленным, направленно-рассеянным и смешанным отражением, при выполнении работ I - IV разрядов средневзвешенная по площади яркость рабочей поверхности не должна превышать значений, приведенных в табл. 6 (формулы для определения средневзвешенной по площади яркости рабочей поверхности указаны в
Приложении 1).
Таблица 6
Допустимая средневзвешенная по площади яркость
рабочей поверхности
Площадь рабочей поверхности в м2 | Допустимая средневзвешенная по площади яркость рабочей поверхности в нт |
Менее 0,01 | 2500 |
От 0,01 до 0,02 | 1800 |
" 0,02 " 0,05 | 1300 |
" 0,05 " 0,15 | 1000 |
" 0,15 " 0,4 | 700 |
" 0,4 и более | 500 |
Примечания: 1. Необходимые меры по ограничению отраженной блескости поверхностей, обладающих направленным, направленно-рассеянным и смешанным отражением, при выполнении осветительных установок для работ I - IV разрядов указаны в Приложении 7. 2. При уровнях освещенности, не превышающих значений, приведенных в табл. 3, проверка средневзвешенной по площади яркости рабочих поверхностей не требуется: а) на поверхностях, обладающих диффузным отражением (за исключением работ Iв разряда в случаях, когда площадь рабочей поверхности превышает 0,4 м2 и коэффициент ее отражения превышает 0,5); б) на поверхностях, обладающих направленным, направленно-рассеянным и смешанным отражением, при условии соблюдения мер, приведенных в Приложении 7. |
2.19. При освещении производственных помещений газоразрядными лампами, питаемыми переменным током промышленной частоты 50 Гц, следует ограничивать глубину пульсации освещенности. Коэффициент пульсации освещенности не должен превышать значений, приведенных в табл. 7.
Таблица 7
Допустимый коэффициент пульсации освещенности
для производственных помещений
Система освещения | Допустимый коэффициент пульсации освещенности в % для разрядов зрительной работы |
I и II | III | IV, V, VI, VII, VIIIa, IXа, X |
Общее освещение | 10 | 15 | 20 |
Комбинированное освещение: | | | |
а) общее | 20 | 20 | 20 |
б) местное | 10 | 15 | 20 |
Примечания: 1. Коэффициент пульсации освещенности не ограничивается для разрядов зрительной работы: б) VIIIa и IXа при кратковременном пребывании людей в помещении и отсутствии в нем возможности возникновения стробоскопического эффекта. 2. Допускается повышение значения коэффициента пульсации освещенности до 30% в помещениях, где выполняются работы VI и VII разрядов, при отсутствии в них условий для возникновения стробоскопического эффекта. |
2.20. Частота и величина допустимых колебаний напряжения на лампах рабочего освещения должны соответствовать п. 2.4 ГОСТ 13109-67* "Электрическая энергия. Нормы качества электрической энергии у ее приемников, присоединенных к электрическим сетям общего назначения".
3. ОСВЕЩЕНИЕ ПЛОЩАДОК ПРОМЫШЛЕННЫХ ПРЕДПРИЯТИЙ
И МЕСТ ПРОИЗВОДСТВА РАБОТ, РАСПОЛОЖЕННЫХ ВНЕ ЗДАНИЙ
3.1. Наименьшая освещенность рабочих поверхностей мест производства работ, расположенных вне зданий, должна соответствовать нормам табл. 8.
Таблица 8
Нормы освещенности рабочих поверхностей мест
производства работ, расположенных вне зданий
Разряд зрительной работы | Характеристика работы | Освещенность в лк |
XIV | Точные работы, при отношении наименьшего размера объекта различения к расстоянию до глаз менее 0,005 | 50 |
XV | Работы средней точности, при отношении наименьшего размера объекта различения к расстоянию до глаз от 0,005 до 0,02 | 30 |
XVI | Работы малой точности, при отношении наименьшего размера объекта различения к расстоянию до глаз от 0,02 до 0,05, а также работы, требующие только общего наблюдения за ходом производственного процесса | 10 |
XVII | Грубые работы, требующие различения объектов при отношении наименьшего их размера к расстоянию до глаз 0,05 и более | 5 |
XVIII | Работы, требующие различения крупных предметов, находящихся в непосредственной близости к работающему, или связанные только с общим обзором рабочих поверхностей | 2 |
Примечание. При наличии опасности травматизма нормы освещенности для работ XVI и XVII разрядов по табл. 8 следует повышать на одну ступень по табл. 2. |
3.2. Наименьшая освещенность площадок предприятий на уровне земли или дорожных покрытий должна соответствовать нормам, приведенным в табл. 9.
Таблица 9
Нормы освещенности площадок предприятий
Разряд зрительной работы | Освещаемые объекты | Освещенность горизонтальной плоскости в лк |
XIX | Автомобильные дороги с интенсивностью движения автомобилей в обоих направлениях (в сутки): | |
а) от 1000 до 3000 (I категория дорог) | 3 |
б) от 200 до 1000 (II категория дорог) | 2 |
в) менее 200 (III категория дорог) | 1 |
XX | Пожарные проезды, дороги для хозяйственных нужд, подъезды к зданиям | 0,5 |
XXI | Пешеходные и велосипедные дорожки с движением: | |
а) интенсивным | 2 |
б) обычным | 1 |
в) незначительным | 0,5 |
XXII | Лестницы и мостики для переходов (на площадках и ступенях) | 3 |
XXIII | Пешеходные дорожки на площадках для отдыха в скверах | 0,5 |
XXIV | Предзаводские участки (площадки, проезды, проходы, стоянки транспорта), не относящиеся к территории города | 2 |
XXV | Железнодорожные пути: | |
а) стрелочные горловины | 2 |
б) отдельные стрелочные переводы | 1 |
в) железнодорожные пути, переезды | 0,5 |
Примечание. Для автомобильных дорог I категории, являющихся продолжением городских улиц и имеющих аналогичные покрытия проезжей части и интенсивность движения транспорта, надлежит также выполнять нормы средней яркости покрытий проезжей части, приведенные в табл. 17. |
3.3. Для освещения площадок промышленных предприятий и мест производства постоянных работ вне зданий следует применять газоразрядные лампы высокого давления с исправленной цветностью (преимущественно типов ДРЛ и ДРИ) и лампы накаливания (галогенные или нормальные общего назначения).
3.4. Отношение наибольшей освещенности проезжей части дорог, проездов, предзаводских площадок и железнодорожных путей к ее наименьшему значению не должно превышать 15:1, а пешеходных дорожек - 25:1.
3.5. Для ограничения слепящего действия установок наружного освещения площадок промышленных предприятий и мест производства работ, расположенных вне зданий, высота установки осветительных приборов должна быть:
а) для автомобильных дорог и железнодорожных путей на площадках предприятий - не менее указанной в
табл. 10;
б) для остальной части площадок промышленных предприятий, а также мест производства работ - не менее 3,5 м над уровнем земли при любых источниках света, если защитный угол светильников равен или более 15°.
Таблица 10
Высота установки светильников наружного освещения
по условиям ограничения слепящего действия
Светильники | Максимальный световой поток ламп в светильниках, установленных на одной опоре, в лм | Наименьшая высота установки светильников в м |
с лампами накаливания и натриевыми лампами | с ртутными лампами ДРЛ и ДРИ | с люминесцентными лампами |
С лампами накаливания, ДРЛ и ДРИ, имеющими условный защитный угол не менее 15°, и для люминесцентных ламп независимо от величины защитного угла | 5000 и менее | 6 | 6 | 6 |
От 5000 до 10000 | 6 | 6 | 6,5 |
" 10000 " 20000 | 6,5 | 7 | 7,5 |
" 20000 " 30000 | 7,5 | 8,5 | 9 |
" 30000 " 40000 | 9 | 10 | 10,5 |
Более 40000 | 10,5 | 11 | 12 |
С лампами накаливания, ДРЛ и ДРИ, имеющими условный защитный угол менее 15°, и широкого светораспределения с зеркальными и призматическими системами | 5000 и менее | 7 | 7,5 | 6 |
От 5000 до 10000 | 8 | 8,5 | 6,5 |
" 10000 " 20000 | 9 | 9,5 | 7,5 |
" 20000 " 30000 | 10,5 | 11 | 9 |
" 30000 " 40000 | 12 | 12,5 | 10,5 |
Более 40000 | 13,5 | 14 | 12 |
Примечания: 1. Высота установки светильников с защитным углом не менее 15° (и светильников с рассеивателями без отражателей) на площадках для прохода людей или обслуживания технологического (или инженерного) оборудования, пешеходных дорожках и у входов в здания не ограничивается. 2. При использовании прожекторов и наклонно установленных осветительных приборов с ксеноновыми лампами отношение осевой силы света (в св) к квадрату высоты установки этих приборов (в м) не должно превышать 300. |
При необходимости применения светильников с защитным углом менее 15° высота их установки должна быть не менее указанной в
табл. 10.
4. ОСВЕЩЕНИЕ ОБЩЕСТВЕННЫХ И ЖИЛЫХ ЗДАНИЙ
4.1. По условиям зрительной работы помещения общественных зданий следует разделять на три группы:
группа I - помещения, предназначенные для выполнения точных зрительных работ при фиксированном направлении линии зрения работающих на рабочую поверхность;
группа II - помещения, в которых осуществляется различение объектов и обзор окружающего пространства;
группа III - помещения, в которых осуществляется обзор окружающего пространства.
4.2. Наименьшая освещенность рабочих поверхностей и объектов различения в помещениях I и II групп должна соответствовать нормам
табл. 3 и
Приложения 2.
4.3. Наименьшая освещенность условной рабочей поверхности в помещениях группы III от общего освещения должна соответствовать нормам, указанным в табл. 11.
Таблица 11
Нормы освещенности помещений общественных зданий
III группы от общего освещения
Разряд зрительной работы и категория требований к освещению | Требования к осветительной установке | Освещенность условной рабочей поверхности в лк |
А0 Высокие | Создание впечатления торжественности и возможности отчетливого различения лиц людей на значительном расстоянии (например, в президиуме залов заседаний, предназначенных для мероприятий республиканского или союзного значения) | 500 |
Б0 Повышенные | Отчетливое различение деталей архитектурно-художественного оформления интерьера и лиц людей на незначительном расстоянии (например, в концертных залах, зрительных залах театров и Дворцов культуры) | 300 |
В0 Нормальные | Создание впечатления насыщенности помещения светом, недопустимость возникновения впечатления "пасмурности" (например, в зрительных залах клубов, фойе театров) | 200 |
Г0 Умеренные | Обеспечение возможности свободной ориентировки в помещении (например, в зрительных залах кинотеатров, вестибюлях административных зданий, общежитий) | 75 |
4.4. Цилиндрическая освещенность помещений (в случаях, когда в этих помещениях по условиям архитектурно-художественного оформления требуется обеспечить впечатление насыщенности помещения светом) приведена в табл. 12.
Таблица 12
Цилиндрическая освещенность помещений
II и III групп общественных зданий
Разряд зрительной работы | Степень насыщенности помещения светом | Цилиндрическая освещенность в лк |
Ац | Большая (например, в залах заседаний, предназначенных для мероприятий союзного и республиканского значения) | 150 |
Бц | Повышенная (например, в зрительных залах и фойе театров, торговых залах универсальных магазинов) | 100 |
Вц | Нормальная (например, в актовых залах, зрительных залах и фойе кинотеатров) | 75 |
Цилиндрическую освещенность следует определять у торцевой стены на центральной продольной оси помещения на уровне 1,5 м от пола.
4.5. Для ограничения слепящего действия установок общего освещения (независимо от принятой системы освещения) в помещениях общественных и жилых зданий (за исключением случаев, приведенных в
п. 4.6) показатель дискомфорта не должен быть более указанного в табл. 13.
Таблица 13
Допустимый показатель дискомфорта
Разряд зрительной работы и категория требований к освещению | Условия зрительной работы | Допустимый показатель дискомфорта |
Ак Высокие | Преимущественное направление линии зрения вверх под углом более 45° к горизонту (в палатах больниц и т.п.) | 25 |
Бк Повышенные | Высокая точность выполняемых зрительных работ (в конструкторских бюро, читальных залах, музеях, картинных галереях и т.п.) | 40 |
Вк Нормальные | Общий обзор окружающего пространства без необходимости отчетливого различения малых объектов (в зрительных залах, фойе, вестибюлях и т.п.) | 60 |
Показатель дискомфорта должен определяться у торцевой стены на центральной продольной оси помещения на высоте 1,5 м от пола.
4.6. Показатель дискомфорта не регламентируется для помещений, длина которых не превышает двойной высоты установки светильников над полом, помещений, предназначенных для кратковременного пребывания людей или прохода, а также для гардеробных, коридоров, санитарных узлов, кладовых и лестниц при условии выполнения
п. 2.16.
4.7. Коэффициент пульсации освещенности для рабочих мест в помещениях I и II групп с длительным пребыванием работающих не должен превышать значений, приведенных в
табл. 7.
4.8. Для осветительных установок в помещениях I и II групп при выполнении зрительных работ I - IV разрядов с поверхностями, обладающими направленным, направленно-рассеянным и смешанным отражением, должны соблюдаться требования
п. 2.18 и необходимые меры по ограничению отраженной блескости независимо от принятой системы освещения.
4.9. Наименьшая освещенность рабочей поверхности при системе общего освещения, цилиндрическая освещенность, а также наибольшие значения показателя дискомфорта и коэффициента пульсации освещенности для помещений общественных и жилых зданий приведены в табл. 14.
Таблица 14
Освещенность рабочих поверхностей при системе общего
освещения, цилиндрическая освещенность, показатель
дискомфорта и коэффициент пульсации освещенности
для помещений общественных и жилых зданий
N п.п. | Наименование помещения и освещаемого оборудования | Группа помещения | Освещенность рабочих поверхностей или объекта различения при системе общего освещения в лк | Цилиндрическая освещенность (у торцевой стены на центральной продольной оси помещения на уровне 1,5 м от пола) в лк | Допустимый показатель дискомфорта (у торцевой стены на центральной продольной оси помещения на уровне 1,5 м от пола) | Допустимый коэффициент пульсации освещенности в % | Плоскость, для которой нормируется минимальная освещенность, приведенная в графе 4 |
| 2 | 3 | 4 | 5 | 6 | 7 | 8 |
I. Административно-конторские помещения |
1 | Кабинеты, рабочие комнаты | I | | - | 40 | 10 | Горизонтальная на уровне 0,8 м от пола |
2 | Машинописные и машиносчетные бюро | I | | - | 40 | 10 | То же |
3 | Проектные, конструкторские и чертежные бюро | I | | - | 40 | 10 | " |
4 | Комнаты ожидания | III | 150 | - | 60 | - | " |
5 | Операционные залы банков, сберегательных касс и почтовых отделений | I | | - | 40 | 10 | " |
6 | Архивы: | I | | | | | |
| а) на рабочих столах | | | - | - | - | " |
| б) на стеллажах | | 75 | - | - | - | Вертикальная на уровне 1 м от пола |
7 | Залы заседаний (за исключением указанных в поз. 19) | II | 200 | | 60 | 15 | Пол |
II. Учебные заведения |
8 | Аудитории, классы, учебные кабинеты: | I | | | 40 | 10 | |
| а) на доске | | 300 | - | | | Вертикальная на доске |
| б) на рабочих столах и партах | | 300 | - | | | Горизонтальная на уровне 0,8 м от пола |
9 | Лаборатории | I | 300 | - | 40 | 10 | Вертикальная на доске Горизонтальная на уровне 0,8 м от пола |
10 | Кабинеты технического черчения и рисования: | I | | | 40 | 10 | |
| а) на доске | | 300 | - | | | Вертикальная |
| б) на рабочих столах | | 500 | - | | | Горизонтальная на уровне 0,8 м от пола |
11 | Кабинеты и комнаты преподавателей | I | | - | 40 | 15 | То же |
12 | Рекреации | III | 150 | - | 60 | 20 | Пол |
13 | Актовые залы | III | 200 | | 60 | 20 | То же |
III. Библиотеки |
14 | Читальные залы | I | | | 40 | 10 | Горизонтальная на уровне 0,8 м от пола |
15 | Комната каталогов | I | 150 | - | 40 | 20 | Вертикальная (для фронта картотеки) |
16 | Зал открытого доступа к книгам (на стеллажах) | I | 75 | - | 40 | 20 | Вертикальная на уровне 1 м от пола |
17 | Книгохранилища (на стеллажах) | I | 75 | - | 60 | - | То же |
18 | Переплетная | I | | - | 40 | 20 | Горизонтальная на уровне 0,8 м от пола |
IV. Театры, кинотеатры, клубы, выставочные залы |
| Залы заседаний, предназначенные для мероприятий республиканского и союзного значения | II | 500 | | 60 | 15 | Горизонтальная на уровне 0,8 м от пола |
20 | Зрительные залы театров и Дворцов культуры, концертные залы | III | 300 | | 60 | - | То же |
21 | Зрительные залы клубов, фойе театров, выставочные залы | III | 200 | | 60 | - | Пол |
22 | Зрительные залы кинотеатров | III | 75 | | 60 | - | Горизонтальная на уровне 0,8 м от пола |
23 | Фойе кинотеатров | III | 150 | | 60 | - | Пол |
24 | Артистическая, гримировочная | I | | - | 40 | 15 | Вертикальная (на лице человека у зеркала) |
V. Санатории и помещения медицинского обслуживания (за исключением помещений больниц и поликлиник) |
25 | Кабинеты врачей | I | | - | 40 | 10 | Горизонтальная на уровне 0,8 м от пола |
26 | Процедурные кабинеты | I | | - | 40 | 15 | То же |
27 | Изоляторы | I | | - | 40 | 15 | " |
28 | Боксы | I | | - | 40 | 15 | " |
29 | Палаты санаториев | II | | - | 25 | 10 | " |
30 | Регистратура | I | | - | 40 | 15 | " |
VI. Детские ясли-сады |
31 | Приемные | II | | - | 40 | 10 | " |
32 | Групповые, игральные, столовые, комнаты для музыкальных и гимнастических занятий | II | 200 | - | 40 | 10 | " |
33 | Спальная веранда, изолятор-комната для заболевших детей | II | 75 | - | 25 | 10 | Пол |
VII. Магазины |
34 | Торговые залы магазинов: книжных, готового платья, белья, обуви, тканей, меховых изделий, головных уборов, парфюмерных, галантерейных, ювелирных, электро- и радиотоваров и продовольственных без самообслуживания | II | 300 | | 60 | 20 | Горизонтальная на уровне 0,8 м от пола |
35 | Торговые залы продовольственных магазинов с самообслуживанием | II | 400 | | 60 | 20 | То же |
36 | Торговые залы магазинов: посудных, мебельных, спортивных товаров, стройматериалов, электробытовых машин, игрушек и канцелярских товаров | II | 200 | | 60 | 20 | " |
VIII. Предприятия общественного питания |
37 | Обеденные залы столовых | II | 200 | | 60 | - | Горизонтальная на уровне 0,8 м от пола |
38 | Заготовочные и моечные | I | 200 | - | 40 | 15 | То же |
39 | Кухни | I | 200 | - | 40 | 15 | " |
IX. Бани, парикмахерские и прачечные |
40 | Раздевальные и моечные в банях, душевых павильонах | II | 75 | - | - | - | Пол |
41 | Парикмахерские залы | I | | - | 40 | 15 | Вертикальная на уровне 1 м от пола |
42 | Помещения для стирки: | I | | | | 20 | |
| а) механической | | 100 | - | 40 | | Пол |
| б) ручной | | 150 | - | 40 | | То же |
43 | Помещения для сушки и глажения: | I | | | 40 | 20 | |
| а) механического | | 200 | - | | | Горизонтальная на уровне 0,8 м от пола |
| б) ручного | | 300 | - | | | " |
X. Вспомогательные помещения |
44 | Вестибюли и гардеробные: | III | | | | | |
| а) в школах, театрах, кинотеатрах и центральных гостиницах | | 150 | | 60 | - | Пол |
| | | 100 | - | 60 | - | То же |
| в) в общежитиях, административных зданиях и общественных зданиях, не указанных в поз. 44 "а", "б" | | 75 | - | 60 | - | " |
45 | Лестницы: | III | | | | | |
| а) в общественных зданиях <***> | | 75 | - | - | - | Горизонтальная (пол площадок и ступени) |
| б) в жилых зданиях <*****>, учреждениях отдыха и гостиницах | | 50 | - | - | - | То же |
46 | Коридоры и проходы <***>: | | | | | | |
| | III | 75 | - | - | - | Пол |
| б) в общественных зданиях, учреждениях отдыха, гостиницах и жилых зданиях (кроме коридоров и проходов в больницах, поликлиниках и внутри квартир) | III | 50 | - | - | - | То же |
47 | Санитарные узлы (кроме санитарных узлов внутри квартир) | III | 75 | - | - | - | " |
48 | | - | 20 | - | - | - | " |
49 | Кладовые и неохлаждаемые камеры <****> | - | 20 | - | - | - | " |
50 | | - | 20 | - | - | - | " |
51 | Лифты | - | 50 | - | - | - | " |
<*> Для дополнительного местного освещения следует предусматривать штепсельные розетки (за исключением детских библиотек, где установка штепсельных розеток не требуется). <**> В тех случаях, когда по условиям архитектурного оформления необходимо обеспечить впечатление насыщенности помещения светом. <***> Для главных лестниц и лифтовых холлов следует принимать нормы освещенности, приведенные в поз. 44 "б", а для главных коридоров и проходов (кроме больниц, поликлиник, гостиниц и учреждений отдыха) - нормы освещенности, приведенные в поз. 46 "а". <****> Для освещения следует применять лампы накаливания при уровнях освещенности, указанных в графе 4. <*****> При освещении лестниц жилых домов лампами накаливания разрешается снижать освещенность до 10 лк. |
4.10. Для освещения общественных зданий следует применять преимущественно люминесцентные лампы белого или тепло-белого света (если нет специальных требований к цветопередаче, для выполнения которых целесообразно использование других типов люминесцентных ламп).
При освещении помещений общественных зданий лампами накаливания нормы освещенности на рабочей поверхности, приведенные в
табл. 3,
11 и
14, следует снижать на две ступени по шкале
табл. 2. При этом освещенность не должна превышать 300 лк.
4.11. Средняя освещенность жилых комнат в квартирах и общежитиях, номеров гостиниц и спальных помещений в учреждениях отдыха, школах-интернатах, пионерских лагерях, детских домах и детских яслях-садах при совместном действии всех светильников, установленных в помещении, должна быть 75 лк, а в кухне квартир и общежитий - 100 лк.
В квартирах наименьшая освещенность пола коридора 50 лк, санитарных узлов - 30 лк.
4.12. Для освещения жилых комнат квартир и общежитий, кухонь, коридоров и санитарных узлов в квартирах и общежитиях следует использовать люминесцентные лампы белого или тепло-белого света и лампы накаливания. Для освещения спальных помещений детских яслей-садов, школ-интернатов и пионерских лагерей следует использовать, как правило, лампы накаливания.
При использовании ламп накаливания нормы освещенности, приведенные в
п. 4.11, следует снижать на две ступени по шкале
табл. 2.
5. НАРУЖНОЕ ОСВЕЩЕНИЕ ГОРОДОВ, ПОСЕЛКОВ ГОРОДСКОГО
ТИПА И СЕЛЬСКИХ НАСЕЛЕННЫХ ПУНКТОВ
Постановлением Госстроя СССР от 27.11.1974 N 227)
5.1. Улицы, дороги и площади городов и поселков городского типа с регулярным транспортным движением в зависимости от предъявляемых требований к их освещению подразделяются на категории в соответствии с табл. 15.
Таблица 15
Категории улиц, дорог и площадей городов и поселков
городского типа с регулярным транспортным движением
Категория улиц, дорог и площадей | Освещаемые объекты |
А | Магистральные улицы общегородского значения, скоростные дороги, площади: главные, вокзальные, транспортные, предмостные и многофункциональных транспортных узлов |
Б | Магистральные улицы районного значения, дороги общегородского значения преимущественно грузового движения, площади перед крупными общественными зданиями и сооружениями (стадионами, театрами, выставками, торговыми центрами, колхозными рынками и другими местами массового посещения) |
В | Улицы и дороги местного значения: жилые улицы, дороги промышленных и коммунально-складских районов, поселковые улицы и дороги |
5.2. Уровень освещения проезжей части улиц, дорог и площадей городов и поселков городского типа с асфальтобетонными покрытиями регламентируется величиной средней яркости покрытия в соответствии с табл. 16.
Таблица 16
Нормы средней яркости покрытия проезжей части улиц,
дорог и площадей городов и поселков городского типа
с асфальтобетонными покрытиями
Категория улиц, дорог и площадей <*> | Наибольшая часовая интенсивность движения в обоих направлениях, единиц/час | Средняя яркость, кд/м2 |
А <**> | более 3000 | 1,6 |
от 1000 до 3000 | 1,2 |
от 500 до 1000 | 0,8 |
менее 500 | 0,6 |
Б | более 2000 | 1,0 |
от 1000 до 2000 | 0,8 |
от 500 до 1000 | 0,6 |
менее 500 | 0,4 |
В | 500 и более | 0,4 |
менее 500 | 0,2 |
<*> Уровень освещения открытых проездов в границах транспортного пересечения в двух и более уровнях следует определять по норме, принятой для освещения основной магистрали, на которой они расположены. <**> Средняя яркость покрытия скоростных дорог принимается 1,6 кд/м2 независимо от интенсивности движения транспорта. |
5.3. Средняя яркость тротуаров, примыкающих к проезжей части улиц, дорог и площадей, должна быть не менее половины средней яркости покрытия проезжей части улиц, дорог и площадей, приведенной в табл. 16.
5.4. Уровень освещения проезжей части улиц, дорог и площадей с переходными и простейшими типами покрытий в городах и поселках городского типа регламентируется величиной средней горизонтальной освещенности, которая для улиц, дорог и площадей категории Б должна быть 6 лк, а для улиц и дорог категории В при переходном типе покрытия 4 лк и при покрытии простейшего типа - 2 лк.
5.5. Уровень освещения непроезжих частей улиц, дорог и площадей, бульваров, скверов, пешеходных улиц, территорий микрорайонов, детских яслей-садов, общеобразовательных школ, школ-интернатов, больниц, госпиталей, санаториев, пансионатов, домов отдыха, парков, садов, стадионов и выставок в городах и поселках городского типа, а также улиц, дорог и площадей сельских населенных пунктов регламентируется величиной средней горизонтальной освещенности на уровне покрытия согласно табл. 17,
18,
19,
20.
Таблица 17
Нормы средней горизонтальной освещенности непроезжих частей
улиц, дорог и площадей, бульваров и скверов, пешеходных улиц
и территорий микрорайонов в городах и поселках
городского типа
Освещаемые объекты | Средняя горизонтальная освещенность, лк |
Непроезжие части площадей категорий А в Б и предзаводские площади | 10 |
Тротуары, отделенные от проезжей части: | |
на улицах категории А | 4 |
на улицах категорий Б и В | |
Посадочные площадки общественного транспорта на улицах всех категорий | 10 |
Пешеходные мостики | 10 |
Автостоянки на улицах всех категорий | 4 |
Пешеходные туннели днем | 100 |
" " вечером и ночью | 40 |
Лестницы пешеходных туннелей вечером и ночью | 20 |
Пешеходные улицы | 4 |
Пешеходные дорожки бульваров и скверов, примыкающих к улицам: | |
категории А | 6 |
категории Б | 4 |
категории В | 2 |
Территории микрорайонов |
Пешеходные аллеи и дороги | 4 |
Внутренние, служебно-хозяйственные и пожарные проезды, тротуары-подъезды | 2 |
Автостоянки, хозяйственные площадки и площадки при мусоросборниках | 2 |
Прогулочные дорожки | 1 |
<*> Норма распространяется также на освещенность тротуаров, примыкающих к проезжей части улиц категорий Б и В, с переходными и простейшими типами покрытий. |
Таблица 18
Нормы средней горизонтальной освещенности территорий детских
яслей-садов, общеобразовательных школ, школ-интернатов,
больниц, госпиталей, санаториев, пансионатов, домов отдыха
Освещаемые объекты | Средняя горизонтальная освещенность, лк |
Детские ясли-сады, общеобразовательные школы и школы-интернаты |
Групповые и физкультурные площадки | 10 |
Площадки для подвижных игр зоны отдыха <*> | 10 |
Проезды и проходы к корпусам и площадкам | 4 |
Больницы и госпитали |
Въезд на территорию, зона приемного отделения | 6 |
Проезды и проходы к лечебным корпусам | 4 |
Прогулочные дорожки и площадки | 4 |
Площадки зоны отдыха | 6 |
Санатории, пансионаты, дома отдыха |
Въезд на территорию | 6 |
Проезды и проходы к спальным корпусам, столовым, кинотеатрам и т.п. зданиям | 4 |
Центральные аллеи парковой зоны | 4 |
Боковые аллеи парковой зоны | 2 |
Площадки зоны тихого отдыха и культурно-массового обслуживания (площадки массового отдыха, площадки перед открытыми эстрадами и т.п.) | 10 |
Площадки для настольных игр, открытые читальни <*> | 10 |
<*> Уровни освещенности на столах для чтения и настольных игр принимаются по действующим нормам для закрытых помещений. |
Таблица 19
Нормы средней горизонтальной освещенности
территорий парков, садов, стадионов и выставок
Освещаемые объекты | Средняя горизонтальная освещенность, лк |
общегородские парки | районные сады | стадионы | выставки |
Главные входы | 6 | 4 | 10 | 10 |
Вспомогательные входы | 2 | 1 | 6 | 6 |
Центральные аллеи | 4 | 2 | 6 | 10 |
Боковые аллеи | 2 | 1 | 4 | 6 |
Площадки массового отдыха, площадки перед входами: в театры, кинотеатры, выставочные павильоны и на открытые эстрады; площадки для настольных игр <*> | 10 | 10 | - | 20 |
Зоны отдыха на территориях выставок | - | - | - | 10 |
<*> Уровни освещенности на столах для чтения и настольных игр принимаются по действующим нормам для закрытых помещений. |
Таблица 20
Нормы средней горизонтальной освещенности улиц,
дорог и площадей сельских населенных пунктов
Освещаемые объекты | Средняя горизонтальная освещенность, лк |
Площади общественных и торговых центров | 4 |
Поселковые улицы: | |
с асфальтобетонными и переходными типами покрытий | 4 |
с покрытиями простейшего типа | 2 |
Поселковые дороги | 2 |
Улицы и дороги местного значения и пешеходные | 1 |
5.6. Уровень освещения участков автомобильных дорог общей сети в пределах поселков городского типа и сельских населенных пунктов нормируется как для улиц категории Б - в зависимости от типа дорожного покрытия по табл. 16 или в соответствии с
п. 5.4.
5.7. Средняя горизонтальная освещенность на уровне поверхности обособленного трамвайного пути должна быть 4 лк.
Уровень освещения трамвайных путей, расположенных на проезжей части улицы, должен соответствовать уровню освещения улицы.
5.8. Средняя горизонтальная освещенность проезжей части городских транспортных туннелей должна быть не ниже величин освещенности, указанных в табл. 21.
Таблица 21
Нормы средней горизонтальной освещенности
проезжей части транспортных туннелей
Режим освещения | Средняя горизонтальная освещенность на уровне дорожного покрытия, лк |
на расстоянии от начала въездного портала, м |
5 | 25 | 50 | 75 | 100 | 125 и более |
Дневной: | | | | | | |
туннели длиной до 100 м <*> | 1000 | 750 | 500 | 200 | 60 | - |
туннели длиной более 100 м | 1000 | 750 | 500 | 300 | 150 | 60 |
Вечерний и ночной | 60 | 60 | 60 | 60 | 60 | 60 |
<*> В туннелях с прямолинейной трассой длиной до 60 м искусственное освещение проектируется с учетом его использования только в темное время суток. |
5.9. Показатель ослепленности для осветительных установок улиц, дорог и транспортных зон площадей категорий А и Б не должен превышать 150.
Для осветительных установок улиц и дорог категории В, а также осветительных установок, уровень освещения которых регламентируется нормами средней освещенности (см.
пп. 5.4 -
5.7), наименьшая высота расположения светильников по условиям ограничения ослепленности должна приниматься по табл. 22.
Таблица 22
Наименьшая высота расположения светильников наружного
освещения на улицах и дорогах категории В и в осветительных
установках, выполняемых по нормам средней освещенности
Характер светораспределения <*> | Максимальный световой поток ламп одного фонаря, лм | Наименьшая высота установки, м |
лампы накаливания | газоразрядные источники света |
полуширокое | менее 5000 | 6,5 | 7,0 |
от 5000 до 10000 | 7,0 | 7,5 |
более 10000 до 20000 | 7,5 | 8,0 |
более 20000 до 30000 | - | 9,0 |
более 30000 до 40000 | - | 10,0 |
более 40000 | - | 11,5 |
широкое | менее 5000 | 7,0 | 7,5 |
от 5000 до 10000 | 8,0 | 8,5 |
более 10000 до 20000 | 9,0 | 9,5 |
более 20000 до 30000 | - | 10,5 |
более 30000 до 40000 | - | 11,5 |
более 40000 | - | 13,0 |
<*> Венчающие светильники рассеянного света должны устанавливаться на высоте не менее 3 м при световом потоке источника света до 6000 лм и на высоте не менее 4 м - при световом потоке источника света более 6000 лм. |
5.10. Отношение максимальной яркости покрытия проезжей части улиц, дорог и площадей к минимальной не должно превышать 3:1 при норме средней яркости выше 0,6 кд/м2 и 5:1 при норме средней яркости 0,6 кд/м2 и ниже.
5.11. Отношение максимальной освещенности к средней должно быть:
а) при норме средней освещенности выше 6 лк не более 3:1;
б) при норме средней освещенности от 4 до 6 лк не более 5:1;
в) при норме средней освещенности ниже 4 лк не более 10:1.
5.12. В установках наружного освещения при средней яркости покрытия 0,4 кд/м2 и выше и средней освещенности 4 лк и выше следует преимущественно применять светильники с газоразрядными источниками света.
5.13. В транспортных туннелях должны применяться светильники с защитным углом не менее 10°. Высота их расположения должна быть не менее 4 м.
5.14. В пешеходных туннелях должны использоваться светильники:
с защитным углом не менее 15° - для люминесцентных ламп суммарной мощностью не более 80 Вт и ламп ДРЛ мощностью не более 125 Вт;
с матированными и молочными рассеивателями без отражателей - для ламп ДРЛ мощностью не более 125 Вт.
ОСНОВНЫЕ ТЕРМИНЫ И ПОЛОЖЕНИЯ
1. Рабочая поверхность - поверхность стола, верстака, части оборудования или изделия, на которой производится работа и на которой нормируется или измеряется освещенность.
Условная рабочая поверхность - условно принятая горизонтальная поверхность, расположенная на высоте 0,8 м от пола.
2. Объект различения - рассматриваемый предмет, отдельная его часть или различаемый дефект (например, нить ткани, точка, линия, знак, пятно, трещина, риска, раковина или другие дефекты изделия, которые требуется различать в процессе работы).
Эквивалентный размер объекта различения

- угловой размер плоского диска, для которого отношение видимости при двух значениях яркости равно отношению видимости рассматриваемого объекта при тех же уровнях яркости.
3. Фон - поверхность, прилегающая непосредственно к объекту различения, на которой он рассматривается.
Фон считается:
светлым при коэффициенте отражения поверхности более 0,4;
средним при коэффициенте отражения поверхности от 0,2 до 0,4;
темным при коэффициенте отражения поверхности менее 0,2.
4. Яркость точки поверхности в данном направлении - отношение силы света в данном направлении бесконечно малого элемента поверхности, заключающего данную точку, к площади ортогональной проекции этого элемента на плоскость, перпендикулярную данному направлению.
Яркость участков рабочих поверхностей следует определять по формулам:
а) для поверхностей, обладающих диффузным отражением

;
б) для поверхностей, обладающих направленным отражением

;
в) для поверхностей, обладающих направленно-рассеянным и смешанным отражением

.
Средневзвешенная по площади яркость рабочей поверхности

(в нт) определяется по формуле

,
где

,

,...,

- яркость отдельных участков рабочей поверхности в направлении к глазу работающего в нт;

,

,...,

- площадь участков рабочей поверхности, для которых определяется яркость в направлении к глазу работающего, в м
2;
E - освещенность рабочей поверхности в лк;

- яркость светящей поверхности светильника в направлении к рабочей поверхности в нт;

- коэффициент диффузного отражения рабочей поверхности;

- коэффициент зеркального отражения рабочей поверхности в направлении к глазу работающего.
5. Фотометрический контраст объекта различения с фоном определяется по формуле

,
где

- яркость объекта различения в нт;

- яркость фона в нт.
Эквивалентный контраст

объекта с фоном - фотометрический контраст K с фоном плоского диска размером

, видимость которого при заданной яркости фона

равна видимости рассматриваемого объекта различения при том же уровне яркости фона

.
Контраст объекта различения с фоном считается:
большим при значениях K более 0,5 (объект и фон резко отличаются по яркости);
средним при значениях K от 0,2 до 0,5 (объект и фон заметно отличаются по яркости);
малым при значениях K менее 0,2 (объект и фон мало отличаются по яркости).
6. Помещением с недостаточным (по условиям зрительной работы) естественным освещением считается помещение, для которого коэффициент естественной освещенности к.е.о. составляет:
при боковом естественном освещении 80% и менее нормируемого минимального значения к.е.о.;
при верхнем естественном освещении 60% и менее нормируемого среднего значения к.е.о.
Нормируемое значение к.е.о. определяется в соответствии с главой СНиП "Естественное освещение. Нормы проектирования".
7. Показатель ослепленности - критерий оценки слепящего действия, создаваемого осветительной установкой, значение которого определяется по формуле

;
где

;
P - показатель ослепленности;
S - коэффициент ослепленности;

- видимость объекта наблюдения при экранировании блеских источников света;

- видимость объекта наблюдения при наличии блеских источников в поле зрения.
8. Отраженная блескость - характеристика отражения светящей поверхности от рабочей поверхности в направлении глаз работающих, определяющая снижение видимости вследствие чрезмерного увеличения яркости рабочей поверхности и вуалирующего действия, снижающего контраст между объектом различения и фоном.
9. Стробоскопический эффект - явление искажения зрительного восприятия вращающихся, движущихся или сменяющихся объектов в мелькающем свете, возникающее при совпадении кратности частотных характеристик движения объектов и изменения светового потока во времени в осветительных установках, выполненных газоразрядными источниками света, питаемыми переменным током.
10. Коэффициент пульсации освещенности - критерий оценки относительной глубины колебаний освещенности в результате изменения во времени светового потока газоразрядных ламп при питании их переменным током.
Коэффициент пульсации освещенности следует определять по формуле

,
где

- коэффициент пульсации освещенности в %;

и

- максимальное и минимальное значения освещенности за период ее колебания в лк;

- среднее значение освещенности за этот же период в лк.
11. Показатель дискомфорта - характеристика качества освещения, определяющая степень дополнительной напряженности зрительной работы, вызванной наличием резкой разницы яркостей одновременно видимых поверхностей в освещаемом помещении.
12. Цилиндрическая освещенность - характеристика насыщенности помещения светом (определяется как средняя плотность светового потока на поверхности вертикально расположенного в помещении цилиндра, радиус и высота которого стремятся к нулю).
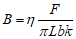
13. Средняя яркость дорожной поверхности B (в нт) для сухих дорожных покрытий в направлении наблюдателя, находящегося на оси движения транспорта, определяется по формуле

,
где

- коэффициент использования по яркости;
F - световой поток ламп в одном фонаре в лм;
L - расстояние между опорами наружного освещения в м;
b - ширина проезжей части в м;
k - коэффициент запаса.
НОРМЫ ОСВЕЩЕННОСТИ РАБОЧИХ ПОВЕРХНОСТЕЙ
В ПРОИЗВОДСТВЕННЫХ ПОМЕЩЕНИЯХ ПРИ ИСПОЛЬЗОВАНИИ
ЛАМП НАКАЛИВАНИЯ
Характеристика зрительной работы | Наименьший размер объекта различения в мм | Разряд зрительной работы | Подразряд зрительной работы | Контраст объекта различения с фоном | Характеристика фона | Освещенность в лк |
система комбинированного освещения | система общего освещения |
1 | 2 | 3 | 4 | 5 | 6 | 7 | 8 |
Наивысшей точности | Менее 0,15 | I | а | Малый | Темный | 4000 | 300 |
б | Малый Средний | Средний Темный | 3000 | 300 |
в | Малый Средний Большой | Светлый Средний Темный | 2000 | 300 |
г | Средний Большой Большой | Светлый Светлый Средний | 1250 | 300 |
Очень высокой точности | От 0,15 до 0,3 | II | а | Малый | Темный | 3000 | 300 |
б | Малый Средний | Средний Темный | 2500 | 300 |
в | Малый Средний Большой | Светлый Средний Темный | 1500 | 300 |
г | Средний Большой Большой | Светлый Светлый Средний | 750 | 200 |
Высокой точности | От 0,3 до 0,5 | III | а | Малый | Темный | 1500 | 300 |
б | Малый Средний | Средний Темный | 750 | 200 |
в | Малый Средний Большой | Светлый Средний Темный | 600 | 200 |
г | Средний Большой Большой | Светлый Светлый Средний | 400 | 150 |
Средней точности | От 0,5 до 1 | IV | а | Малый | Темный | 600 | 200 |
б | Малый Средний | Средний Темный | 500 | 150 |
в | Малый Средний Большой | Светлый Средний Темный | 400 | 100 |
г | Средний Большой Большой | Светлый Светлый Средний | 300 | 100 |
Малой точности | От 1 до 5 | V | а | Малый | Темный | 300 | 150 |
б | Малый Средний | Средний Темный | 200 | 100 |
в | Малый Средний Большой | Светлый Средний Темный | - | 50 |
г | Средний Большой Большой | Светлый Светлый Средний | - | 50 |
Грубая (очень малой точности) | Более 5 | VI | - | Независимо от характеристики фона и контраста объекта с фоном | - | 50 |
Работа с самосветящимися материалами или изделиями в горячих цехах | - | VII | - | То же | - | 150 |
Общее наблюдение за ходом производственного процесса: | - | VIII | | | | |
постоянное наблюдение | а | " | - | 30 |
периодическое наблюдение за состоянием оборудования и коммуникаций при постоянном пребывании людей в помещении | б | " | - | 20 |
наблюдение за состоянием оборудования и коммуникаций при периодическом пребывании людей в помещении | в | " | - | 5 |
Работа на складах громоздких предметов и сыпучих материалов: | - | IX | | | | |
на механизированных | а | " | - | 20 |
на немеханизированных | б | " | - | 5 |
2. На механизированных складах громоздких предметов и сыпучих материалов (разряд IXа) вне зоны действия механизмов разрешается снижать освещенность до 10 лк. 3. При совместном применении газоразрядных ламп и ламп накаливания освещенность рабочих поверхностей при системе комбинированного освещения должна приниматься по нормам для ламп, установленных в светильниках местного освещения. При этом освещенность от светильников общего освещения должна составлять не менее 10% освещенности комбинированного освещения для данного источника света (но не менее 150 лк при газоразрядных лампах и 50 лк при лампах накаливания). Освещенность более 500 лк при газоразрядных лампах и 100 лк при лампах накаливания разрешается создавать только при наличии соответствующих обоснований. |
ОПРЕДЕЛЕНИЕ РАЗРЯДА РАБОТ ПРИ РАССТОЯНИИ ОТ ОБЪЕКТА
РАЗЛИЧЕНИЯ ДО ГЛАЗ РАБОТАЮЩЕГО БОЛЕЕ 1 м
При расстоянии от объекта различения до глаз работающего более 1 м разряд работ по
табл. 3 и
Приложению 2 следует устанавливать с учетом углового размера объекта различения, определяемого отношением минимального размера объекта различения к расстоянию этого объекта до глаз работающего по таблице:
Разряд зрительной работы | Пределы отношения  |
I | Менее 0,45·10-3 |
II | От  до  |
III | "  "  |
IV | "  "  |
V | "  "  |
VI | Более 14·10-3 |
Примечание. l - расстояние от объекта различения до глаз работающего в мм; d - минимальный размер объекта различения в мм. |
РАССТОЯНИЕ В м ОТ НАРУЖНОЙ СТЕНЫ
СО СВЕТОВЫМИ ПРОЕМАМИ ДО РАБОЧИХ МЕСТ
Тип световых проемов | Высота световых проемов в м | Разряд зрительной работы |
I | II | III | IV | V | VI |
Ленточные окна (однорядные) | 2,4 | 4 | 5 | 6 | 6 | 8 | 11 |
3,6 | 6 | 7 | 8 | 10 | 12 | 17 |
4,8 | 9 | 10 | 11 | 13 | 15 | 22 |
6 | 11 | 12 | 14 | 16 | 19 | 28 |
7,2 | 13 | 15 | 17 | 19 | 23 | 33 |
8,4 | 15 | 17 | 19 | 22 | 27 | 39 |
9,6 | 17 | 20 | 22 | 25 | 31 | 44 |
10,8 | 19 | 22 | 25 | 29 | 35 | 50 |
12 | 22 | 25 | 28 | 32 | 38 | 55 |
13,2 | 24 | 27 | 30 | 35 | 42 | 61 |
14,4 | 26 | 30 | 33 | 38 | 46 | 66 |
15,6 | 28 | 32 | 36 | 41 | 50 | 72 |
16,8 | 30 | 34 | 39 | 45 | 54 | 77 |
18 | 32 | 37 | 41 | 48 | 58 | 83 |
Отдельные окна | 2,4 | 3 | 4 | 4 | 5 | 6 | 8 |
3,6 | 5 | 6 | 7 | 7 | 9 | 13 |
4,8 | 7 | 8 | 9 | 10 | 12 | 17 |
6 | 9 | 10 | 11 | 12 | 14 | 21 |
7,2 | 10 | 12 | 13 | 14 | 17 | 25 |
8,4 | 12 | 14 | 15 | 17 | 20 | 29 |
9,6 | 14 | 16 | 18 | 19 | 23 | 34 |
10,8 | 16 | 18 | 20 | 22 | 26 | 38 |
12 | 17 | 20 | 22 | 24 | 29 | 42 |
13,2 | 19 | 22 | 24 | 26 | 32 | 46 |
14,4 | 21 | 24 | 26 | 29 | 35 | 50 |
15,6 | 22 | 27 | 29 | 31 | 37 | 55 |
16,8 | 24 | 29 | 31 | 34 | 40 | 59 |
18 | 26 | 31 | 33 | 36 | 43 | 63 |
Примечания: 1. Расстояния от наружной стены со световыми проемами до рабочих мест рассчитаны для световых проемов с подоконниками высотой не более 1,5 м. 2. Ширина простенков между отдельными окнами принята равной ширине окон. 3. При высоте подоконников более 1,5 м, расположении световых проемов в несколько рядов и ширине простенков между отдельными окнами более, чем указано в примечании 2, расстояние от наружной стены со световыми проемами до удаленных от нее мест с недостаточным естественным освещением следует рассчитывать по нормам главы СНиП "Естественное освещение. Нормы проектирования". |
ОТНОШЕНИЕ ПЛОЩАДИ СВЕТОВЫХ ФОНАРЕЙ К ПЛОЩАДИ
ПОЛА ПРИ ВЕРХНЕМ ЕСТЕСТВЕННОМ ОСВЕЩЕНИИ В %
Тип фонаря верхнего света | Светопропускающий материал фонаря | Разряд зрительной работы |
I | II | III | IV | V | VI |
Прямоугольный | Оконное стекло | 36 | 25 | 18 | 14 | 11 | 7 |
Трапециевидный | То же | 23 | 16 | 12 | 9 | 7 | 5 |
Шед с остеклением | вертикальным | " | 34 | 24 | 17 | 14 | 10 | 7 |
наклонным | " | 28 | 20 | 14 | 11 | 8 | 6 |
Зенитный | штучный | Оргстекло | 20 | 14 | 10 | 8 | 6 | 4 |
Стеклопакеты | 24 | 17 | 12 | 10 | 7 | 5 |
Стеклопластик | 32 | 22 | 16 | 13 | 10 | 6 |
ленточный | Стеклопакеты | 16 | 11 | 8 | 6 | 5 | 3 |
Стеклопластик | 26 | 18 | 13 | 10 | 8 | 5 |
Стекложелезобетон | 38 | 26 | 19 | 15 | 11 | 8 |
МЕСТОПОЛОЖЕНИЕ ТОЧЕК ПОМЕЩЕНИЯ ДЛЯ ОПРЕДЕЛЕНИЯ
ДОПУСТИМОГО ЗНАЧЕНИЯ ПОКАЗАТЕЛЯ ОСЛЕПЛЕННОСТИ
Источники света, используемые в светильниках общего освещения | Преимущественное направление линии зрения работающих в помещении | Местоположение точки помещения для определения наибольшего допустимого значения показателя ослепленности | Направление, в котором определяется показатель ослепленности |
Люминесцентные лампы | Вдоль рядов светильников | Под крайним светильником среднего ряда (при двух рядах - под крайним светильником одного из рядов) | Вдоль рядов светильников |
Поперек рядов светильников | В середине крайнего ряда светильников (у стены) | Поперек рядов светильников |
Нефиксированное | а) В помещениях, где L менее или равно 5h, в середине крайнего ряда светильников (у стены) | Поперек рядов светильников |
б) В помещениях, где L более 5h, под крайним светильником среднего ряда (при двух рядах - под крайним светильником одного из рядов) | Вдоль рядов светильников |
Лампы накаливания или лампы ДРЛ (ДРИ) | Фиксированное | Под крайним светильником среднего ряда (при двух рядах - под крайним светильником одного из рядов) | В направлении линии зрения работающих |
Нефиксированное | Вдоль длинной стороны помещения |
Примечание. L - длина помещения в м; h - высота подвеса светильников над полом в м. |
НЕОБХОДИМЫЕ МЕРЫ ПО ОГРАНИЧЕНИЮ ОТРАЖЕННОЙ
БЛЕСКОСТИ ПОВЕРХНОСТЕЙ, ОБЛАДАЮЩИХ НАПРАВЛЕННЫМ,
НАПРАВЛЕННО-РАССЕЯННЫМ И СМЕШАННЫМ ОТРАЖЕНИЕМ,
ПРИ ВЫПОЛНЕНИИ ОСВЕТИТЕЛЬНЫХ УСТАНОВОК ДЛЯ РАБОТ
I - IV РАЗРЯДОВ
Характеристика работ | Необходимые меры по ограничению отраженной блескости |
источники света в светильнике, предназначенном для освещения рабочей поверхности | светильник | яркость светящей поверхности светильника в кнт | расположение светильника относительно рабочей поверхности и работающего | воспринимаемое соотношение яркости объекта различения и фона |
Работы с металлическими или светлыми пластмассовыми непрозрачными поверхностями (например, различение царапин, рисок и других дефектов на поверхности изделий и деталей) | Люминесцентные лампы | Перекрытый рассеивателем | От 2,5 до 4 | Светящая поверхность светильника должна зеркально отражаться от рабочей поверхности в направлении глаз работающего ( рис. 1, а) | Яркость объекта различения меньше яркости фона |
Работы с темными поверхностями пластмасс, керамики и других материалов (например, выявление дефектов на грампластинках или черных резиновых технических изделиях) | Лампы накаливания | Прямого света, без рассеивателя <1> | От 70 до 100 | Зеркальное отражение светящей поверхности светильника от рабочей поверхности не должно совпадать с линией зрения работающего ( рис. 1, б) | Яркость объекта различения больше яркости фона |
Работы, требующие различения диффузно-отражающих объектов на диффузном фоне через слой прозрачного материала (например, различение показаний измерительных приборов, сборка изделий под прозрачными колпаками, работы с изделиями, покрытыми лаком, различение линий чертежа через кальку) | Любые | Любой | Не нормируется | Зеркальное отражение светящей поверхности светильника от слоя прозрачного материала не должно совпадать с линией зрения работающего (рис. 1, в) | Любое |
Работы с объектами различения и рабочими поверхностями, обладающими направленно-рассеянным или смешанным отражением (например, работы тушью и чтение текста на глянцевой бумаге) | Любые | Любой | Не нормируется | Зеркальное отражение светящей поверхности светильника от рабочей поверхности не должно совпадать с линией зрения работающего ( рис. 1, в) | Любое |
<1> Для местного освещения рекомендуется применять зеркальные лампы местного освещения или зеркальные светильники. |

Рис. 1. Схемы расположения светильника,
рабочей поверхности и работающего
а - при работах с металлами или светлыми пластмассами;
б - при работах с темными пластмассами, керамикой
или другими темными материалами; в - при работах
с диффузными поверхностями, рассматриваемыми
через прозрачный материал, либо поверхностями, обладающими
направленно-рассеянными или смешанным отражением; 1 - глаз
работающего; 2 - направление линии зрения работающего;
3 - светящая поверхность светильника; 4 - рабочая
поверхность; 5 - диффузная рабочая поверхность;
6 - слой прозрачного материала