(2)
(3)
(4)
(5)
(7)Такт работы поточной линии, мин., до | 0,5 | 1,0 | 2,0 | 4,0 | 8,0 и более |
Коэффициент на вспомогательное время K | 0,8 | 0,9 | 1,0 | 1,1 | 1,2 |
(8)
N п/п | Содержание по комплексам | Факторы, определяющие время | N карты, листа и примечания | Сумма индексов (N позиции, индекс) | Поправочные коэффициенты на время | Вспомогательное время на деталь, тыс. долей мин. | ||||||
Расстояние до детали, инструмента, приспособления, механизма, мм | Расстояние перемещения детали, инструмента, приспособления, механизма, мм | Масса детали, инструмента, приспособления, кг | Длина рукоятки инструмента, приспособления или детали, диаметр маховика, мм | Угол поворота или число оборотов рукоятки инструмента, приспособления | Длина продвижения при установке (снятии), мм | |||||||
неперекрываемое | перекрываемое | |||||||||||
1 | 2 | 3 | 4 | 5 | 6 | 7 | 8 | 9 | 10 | 11 | 12 | 13 |
1 | Перемещение необработанной детали из зоны хранения в зону промежуточного расположения на станине | 600 | 600 | 0,8 | 140 | 30,0 | ||||||
2 | Перемещение необработанной детали из зоны промежуточного расположения в зону установки | 300 | 200 | 0,8 | 140 | 16,0 | ||||||
3 | Установка детали в центра | 0,8 | 140 | 7 | Kор3 | 13,6 | ||||||
4 | Закрепление детали рычагом механического зажима | 200 | 200 | 45° | 18,0 | |||||||
5 | Включить вращение шпинделя | 400 | 10,0 | |||||||||
6 | Ожидание вращения шпинделя | 8,0 | ||||||||||
7 | Перемещение абразивного круга в продольном и поперечном направлении двумя руками с помощью маховиков | 400 | 240; | 1/6; | 9; | 18,0; | ||||||
400 | 170 | 1/8 | 16 x 0,5 = 8 | |||||||||
8 | Подвести абразивный круг в продольном направлении | 0 | 7,0 | |||||||||
9 | Подвести абразивный круг в поперечном направлении | 0 | 7,0 | |||||||||
10 | Основное время | |||||||||||
11 | Перемещение (отвод) абразивного круга в продольном и поперечном направлении двумя руками с помощью маховиков | 400 | 240; | 1/6; | 9; | 18,0; | ||||||
400 | 170 | 1/8 | 16 x 0,5 = 8 | |||||||||
12 | Выключить вращение шпинделя кнопкой | 400 | 10,0 | |||||||||
13 | Ожидание остановки вращения шпинделя | 50,0 | ||||||||||
14 | Перемещение индикаторной скобы из зоны хранения в зону контрольных измерений | 200 | 300 | 0,5 | 200 | 6,0 | ||||||
15 | Контроль детали индикаторной скобой | 140 | 11,8 | |||||||||
16 | Перемещение индикаторной скобы из зоны контрольных измерений в зону хранения | 300 | 0,5 | 200 | 3,6 | |||||||
17 | Открепление детали рычагом механического зажима | 400 | 200 | 45° | 20 | |||||||
18 | Снятие детали из центров | 0,7 | 140 | 7 | Корг | 5,6 | ||||||
19 | Перемещение обработанной детали из зоны снятия в зону промежуточного расположения | 200 | 200 | 0,7 | 140 | 22 | ||||||
20 | Перемещение обработанной детали из зоны промежуточного расположения в зону хранения | 400 | 400 | 0,7 | 140 | 26,0 | ||||||
Итого вспомогательного времени | 239,2 | |||||||||||
Поправочный коэффициент на вспомогательное время | 1 | |||||||||||
Вспомогательное время с учетом фактического такта поточной линии | 239,2 | |||||||||||
Основное время, мин. | 0,75 | |||||||||||
Время на техническое обслуживание, мин. | 0,09 | |||||||||||
Время на организационное обслуживание, мин. | 0,017 | |||||||||||
Время на отдых и личные потребности, мин. | 0,049 | |||||||||||
Норма штучного времени, мин. | 1,145 | |||||||||||





(тыс. долей мин.).
(тыс. долей мин.).


соответствует индекс 8, числу трудовых действий в час 624 (произведение числа комплексов трудовых движений 26 на возможное число выполнений операции в течение часа с учетом такта линии 24) - индекс 2, рабочей позе "стоя" - индекс 4.N п/п | Содержание по комплексам | Факторы, определяющие время | N карты, листа и примечания | Сумма индексов (N позиции, индекс) | Поправочные коэффициенты на время | Вспомогательное время на деталь, тыс. долей мин. | ||||||
Расстояние до детали, инструмента, приспособления, механизма, мм | Расстояние перемещения детали, инструмента, приспособления, механизма, мм | Масса детали, инструмента, приспособления, кг | Длина рукоятки инструмента, приспособления или детали, диаметр маховика, мм | Угол поворота или число оборотов рукоятки инструмента, приспособления | Длина продвижения при установке (снятии), мм | |||||||
неперекрываемое | перекрываемое | |||||||||||
1 | 2 | 3 | 4 | 5 | 6 | 7 | 8 | 9 | 10 | 11 | 12 | 13 |
1 | Перемещение 4 деталей в люльке по навесному конвейеру к рабочему месту | 200 | 750 | 150 | 6,3 | |||||||
2 | Перемещение необработанной детали из люльки в зону установки | 1000 | 1300 | 20 | 544 | 42,0 | ||||||
22,0 | ||||||||||||
3 | Установка детали в центра | 20 | 544 | 15 | Kор3 | 35,2 | ||||||
4 | Закрепление детали поворотом маховика задней бабки | 600 | 400 | 3 | 45,0 | |||||||
5 | Поворот накидной крышки (накинуть крышку) | 600 | 200 | 90° | 22,0 | |||||||
6 | Поворот болта к прорези | 300 | 200 | 45° | 18,0 | |||||||
7 | Установка болта в прорезь | 0,05 | 10 | 6,2 | ||||||||
8 | Перемещение гайки к болту | 600 | 600 | 0,02 | 17,0 | |||||||
9 | Наживление гайки на болт | 0,02 | 48 | 44,0 | ||||||||
10 | Перемещение ключа к гайке | 500 | 600 | 1,50 | 700 | 22,0 | ||||||
11 | Закрепление гайки ключом | 48 | 5 | 188,0 | ||||||||
12 | Перемещение ключа в зону хранения | 600 | 1,50 | 700 | 19,0 | |||||||
13 | Включить вращение шпинделя кнопкой | 600 | 13,0 | |||||||||
14 | Ожидание вращения шпинделя | 8,0 | ||||||||||
15 | Включить подачу кнопкой | 100 | 6,5 | |||||||||
16 | Выключить вращение шпинделя кнопкой | 200 | 8,0 | |||||||||
17 | Ожидание остановки вращения шпинделя | 50,0 | ||||||||||
18 | Перемещение ключа к гайке | 200 | 600 | 1,50 | 700 | 20,0 | ||||||
19 | Открепление гайки ключом | 48 | 5 | 188,0 | ||||||||
20 | Перемещение гайки в зону хранения | 600 | 600 | 1,50 | 700 | 19,0 | ||||||
21 | Снятие гайки с болта | 48 | 37,0 | |||||||||
22 | Перемещение гайки в зону хранения | 600 | 600 | 0,02 | 16,0 | |||||||
23 | Поворот болта из прорези | 600 | 200 | 45° | 17,0 | |||||||
24 | Поворот накидной крышки (откинуть крышку) | 300 | 200 | 90° | 16.0 | |||||||
25 | Открепление детали поворотом маховика задней бабки | 600 | 400 | 3 | 45,0 | |||||||
26 | Снятие обработанной детали из центров | 17,30 | 544 | 15 | Kорг | 12,2 | ||||||
27 | Перемещение обработанной детали в люльку | 400 | 1300 | 17,30 | 544 | 10 | 56,0 | |||||
18,0 | ||||||||||||
28 | Перемещение 4 деталей в люльке от рабочего места | 200 | 1000 | 150,00 | 6,3 | |||||||
4,5 | ||||||||||||
Итого вспомогательного времени | 1027,2 | |||||||||||
Поправочный коэффициент на вспомогательное время в зависимости от такта поточной линии | 1,1 | |||||||||||
Вспомогательное время с учетом фактического такта поточной линии | 1129,9 | |||||||||||
Основное время, мин. | 0,850 | |||||||||||
Время на техническое обслуживание, мин. | 0,110 | |||||||||||
Время на организационное обслуживание, мин. | 0,034 | |||||||||||
Время на отдых и личные потребности, мин. | 0,178 | |||||||||||
Норма штучного времени, мин. | 2,302 | |||||||||||




N п/п | Содержание по комплексам | Факторы, определяющие время | N карты, листа и примечания | Сумма индексов (N позиции, индекс) | Поправочные коэффициенты на время | Вспомогательное время на деталь, тыс. долей мин. | ||||||
Расстояние до детали, инструмента, приспособления, механизма, мм | Расстояние перемещения детали, инструмента, приспособления, механизма, мм | Масса детали, инструмента, приспособления, кг | Длина рукоятки инструмента, приспособления или детали, диаметр маховика, мм | Угол поворота или число оборотов рукоятки инструмента, приспособления | Длина продвижения при установке (снятии), мм | |||||||
неперекрываемое | перекрываемое | |||||||||||
1 | 2 | 3 | 4 | 5 | 6 | 7 | 8 | 9 | 10 | 11 | 12 | 13 |
1 | Перемещение необработанной детали из зоны хранения в зону установки | 1000 | 1000 | 14,3 | 544 | 40 | ||||||
22 | ||||||||||||
2 | Установка детали в центра | 14,3 | 544 | 15 | Kор3 | 33 | ||||||
3 | Закрепление детали с помощью педали | 150 | 14 | |||||||||
4 | Срабатывание механизма | 7 | ||||||||||
5 | Включение подачи круга и вращения шпинделя двумя руками с помощью рычагов | 650; 500 | 300; 500 | 45° 30° | 15 x 0,5 = 7,5 | |||||||
6 | Ожидание вращения шпинделя | 8 | ||||||||||
7 | Основное время | |||||||||||
8 | Ожидание остановки вращения шпинделя | 50 | ||||||||||
9 | Перемещение калибр-скобы из зоны хранения в зону контрольных измерений | 300 | 500 | 0,6 | 160 | 9 | ||||||
10 | Контроль детали калибр-скобой | 181 | 0,6 | 160 | 53 | |||||||
11 | Перемещение калибр-скобы из зоны контрольных измерений в зону хранения | 500 | 0,6 | 160 | 6 | |||||||
12 | Открепление детали с помощью педали | 150 | 14 | |||||||||
13 | Срабатывание механизма | 7 | ||||||||||
14 | Снятие обработанной детали из центров | 14,0 | 15 | Kорг | 10 | |||||||
15 | Перемещение обработанной детали на конвейер | 600 | 1000 | 14,0 | 140 | 10 | 54 | |||||
18 | ||||||||||||
16 | Перемещение подвески с деталью по навесному конвейеру | 200 | 1000 | 100 | 25 | |||||||
18 | ||||||||||||
Итого вспомогательного времени | 342,5 | |||||||||||
Поправочный коэффициент на вспомогательное время в зависимости от такта поточной линии | 1 | |||||||||||
Вспомогательное время с учетом фактического такта поточной линии | 342,5 | |||||||||||
Основное время, мин. | 0,600 | |||||||||||
Время на техническое обслуживание, мин. | 0,092 | |||||||||||
Время на организационное обслуживание, мин. | 0,016 | |||||||||||
Время на отдых и личные потребности, мин. | 0,075 | |||||||||||
Норма штучного времени, мин. | 1,126 | |||||||||||
соответствует индекс 6, числу трудовых действий 605 (произведение числа комплексов трудовых движений 11 на возможное выполнение операции в течение часа с учетом такта линии 55) - индекс 2, рабочей позе "стоя" - индекс 4. Сумма индексов составит 6 + 2 + 4 = 12, что соответствует aотл = 8% от оперативного времени.







N п/п | Содержание по комплексам | Факторы, определяющие время | N карты, листа и примечания | Сумма индексов (N позиции, индекс) | Поправочные коэффициенты на время | Вспомогательное время на деталь, тыс. долей мин. | ||||||
Расстояние до детали, инструмента, приспособления, механизма, мм | Расстояние перемещения детали, инструмента, приспособления, механизма, мм | Масса детали, инструмента, приспособления, кг | Длина рукоятки инструмента, приспособления или детали, диаметр маховика, мм | Угол поворота или число оборотов рукоятки инструмента, приспособления | Длина продвижения при установке (снятии), мм | |||||||
неперекрываемое | перекрываемое | |||||||||||
1 | 2 | 3 | 4 | 5 | 6 | 7 | 8 | 9 | 10 | 11 | 12 | 13 |
1 | Застропливание необработанной детали | 0 | 43,0 | |||||||||
2 | Включить подъемник кнопкой | 600 | 13,0 | |||||||||
3 | Перемещение (поднятие) детали с люльки конвейера | 26 | 200 | 25,0 | ||||||||
4 | Выключить подъемник кнопкой | 2,5 | ||||||||||
5 | Перемещение необработанной детали на подвесках от конвейера в зону установки | 100 | 1100 | 100 | 25,0 | |||||||
8,0 | ||||||||||||
6 | Установка детали на штырь с помощью подъемника | 26 | 9,3 | |||||||||
7 | Включить подъемник | 6,5 | ||||||||||
8 | Перемещение (опускание) детали в приспособлении | 90 | 11,0 | |||||||||
9 | Выключить подъемник | 2,5 | ||||||||||
10 | Расстропливание детали | 0 | 19,0 | |||||||||
11 | Закрепление детали рычагом пневматического зажима | 400 | 100 | 90° | 20,0 | |||||||
12 | Срабатывание механизма | 300 | 10,0 | |||||||||
13 | Поворот щитка (в рабочее положение) | 300 | 400 | 120° | 22,0 | |||||||
14 | Включить вращение шпинделя кнопкой | 300 | 9,5 | |||||||||
15 | Ожидание вращения шпинделя | 8,0 | ||||||||||
16 | Основное время | |||||||||||
17 | Выключить вращение шпинделя кнопкой | 200 | 8,0 | |||||||||
18 | Ожидание остановки вращения шпинделя | 50,0 | ||||||||||
19 | Поворот щитка (из рабочего положения) | 300 | 400 | 120° | 18,0 | |||||||
20 | Открепление детали рычагом пневматического зажима | 300 | 100 | 90° | 19,0 | |||||||
21 | Срабатывание механизма | 10 | ||||||||||
22 | Застропливание детали | 0 | 43,0 | |||||||||
23 | Включить подъемник кнопкой | 600 | 13,0 | |||||||||
24 | Перемещение (поднятие) обработанной детали из приспособления | 90 | 25,5 | 11,0 | ||||||||
25 | Выключить подъемник кнопкой | 2,5 | ||||||||||
26 | Перемещение обработанной детали на подвесках к конвейеру | 100 | 1100 | 100 | 25,0 | |||||||
8,0 | ||||||||||||
27 | Включить подъемник кнопкой | 100 | 6,5 | |||||||||
28 | Перемещение (опускание) детали на конвейер | 200 | 25,0 | |||||||||
29 | Выключить подъемник кнопкой | 2,5 | ||||||||||
30 | Расстропливание детали | 0 | 19,0 | |||||||||
Итого вспомогательного времени | 484,8 | |||||||||||
Поправочный коэффициент на вспомогательное время в зависимости от такта поточной линии | 1 | |||||||||||
Вспомогательное время с учетом фактического такта поточной линии | 484,8 | |||||||||||
Основное время, мин. | 0,32 | |||||||||||
Время на техническое обслуживание, мин. | 0,041 | |||||||||||
Время на организационное обслуживание, мин. | 0,014 | |||||||||||
Время на отдых и личные потребности, мин. | 0,056 | |||||||||||
Норма штучного времени, мин. | 0,916 | |||||||||||



N п/п | Содержание по комплексам | Факторы, определяющие время | N карты, листа и примечания | Сумма индексов (N позиции, индекс) | Поправочные коэффициенты на время | Вспомогательное время на деталь, тыс. долей мин. | ||||||
Расстояние до детали, инструмента, приспособления, механизма, мм | Расстояние перемещения детали, инструмента, приспособления, механизма, мм | Масса детали, инструмента, приспособления, кг | Длина рукоятки инструмента, приспособления или детали, диаметр маховика, мм | Угол поворота или число оборотов рукоятки инструмента, приспособления | Длина продвижения при установке (снятии), мм | |||||||
неперекрываемое | перекрываемое | |||||||||||
1 | Перемещение необработанной детали из зоны хранения в зону установки | 1000 | 600 | 0,80 | 140 | 40 | 32,0 | |||||
0,80 | 140 | 15 | 4,0 | |||||||||
2 | Установка детали на оправку | 6,3 | ||||||||||
3 | Закрепление детали винтовым зажимом вручную | 200 | 16 | 2 | 26,0 | |||||||
4 | Закрепление детали эксцентриковым зажимом | 300 | 250 | 180° | 23,0 | |||||||
5 | Включить вращение шпинделя кнопкой | 550 | 12,0 | |||||||||
6 | Ожидание вращения шпинделя | 8,0 | ||||||||||
7 | Основное время | |||||||||||
8 | Ожидание остановки вращения шпинделя | 50,0 | ||||||||||
9 | Открепление детали эксцентриковым зажимом | 700 | 250 | 180° | 26,0 | |||||||
10 | Открепление детали винтовым зажимом вручную | 200 | 16 | 2 | 26,0 | |||||||
11 | Снятие детали с оправки | 0,64 | 15 | 3,5 | ||||||||
12 | Перемещение обработанной детали из зоны установки в зону хранения | 150 | 600 | 0,64 | 140 | 25,0 | ||||||
Итого вспомогательного времени | 241,8 | |||||||||||
Поправочный коэффициент на вспомогательное время | 1,2 | |||||||||||
Вспомогательное время с учетом фактического такта поточной линии | 290,2 | |||||||||||
Основное время, мин. | 4,200 | |||||||||||
Время на техническое обслуживание, мин. | 0,042 | |||||||||||
Время на организационное обслуживание, мин. | 0,081 | |||||||||||
Время на отдых и личные надобности, мин. | 0,180 | |||||||||||
Норма штучного времени | 4,793 | |||||||||||


(тыс. долей мин.).N п/п | Содержание по комплексам | Факторы, определяющие время | N карты, листа и примечания | Сумма индексов (N позиции, индекс) | Поправочные коэффициенты на время | Вспомогательное время на деталь, тыс. долей мин. | ||||||
Расстояние до детали, инструмента, приспособления, механизма, мм | Расстояние перемещения детали, инструмента, приспособления, механизма, мм | Масса детали, инструмента, приспособления, кг | Длина рукоятки инструмента, приспособления или детали, диаметр маховика, мм | Угол поворота или число оборотов рукоятки инструмента, приспособления | Длина продвижения при установке (снятии), мм | |||||||
неперекрываемое | перекрываемое | |||||||||||
1 | 2 | 3 | 4 | 5 | 6 | 7 | 8 | 9 | 10 | 11 | 12 | 13 |
1 | Перемещение деталей к оправке (3 детали) | 1000 | 1000 | 3·0,63 | 103 | 31,0 | ||||||
9,0 | ||||||||||||
28,0 | ||||||||||||
2 | Установка трех деталей на оправку поочередно | 0,63 | 103 | Kор1 | 23,1 | |||||||
3 | Перемещение оправки с деталями в зону установки на станке | 100 | 2200 | 2,69 | 220 | 22,0 | ||||||
8,0 | ||||||||||||
4 | Установка оправки на станок | 2,69 | 220 | Kор2 | 12,7 | |||||||
5 | Закрепление оправки с деталями рычагом пневматического зажима | 100 | 150 | 45° | 16,0 | |||||||
6 | Срабатывание механизма | 10,0 | ||||||||||
7 | Включение подачи с помощью рычага | 700 | 120 | 90° | 15,0 | |||||||
8 | Включение ускоренного перемещения стола с помощью рычага | 150 | 30° | 2,5 | ||||||||
9 | Основное время | |||||||||||
10 | Выключение подачи и ускоренного перемещения двумя руками с помощью рычагов | 700; | 120; | 90°; | 10; | 15,0 | ||||||
300 | 150 | 30° | 11 · 0,5 = 5,5 | |||||||||
11 | Открепление оправки с деталями рычагом пневматического зажима | 700 | 150 | 45° | 20,0 | |||||||
12 | Срабатывание механизма | 10,0 | ||||||||||
13 | Перемещение оправки с деталями в зону хранения обработанных деталей и сбрасывание деталей | 500 | 2200 | 2,66 | 220 | 29,0 | ||||||
8 | ||||||||||||
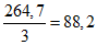
Итого вспомогательного времени | На три детали | 264,7 | ||||||||||
На одну деталь | 88,2 | |||||||||||
Поправочный коэффициент на вспомогательное время в зависимости от такта поточной линии | 0,9 | |||||||||||
Вспомогательное время с учетом фактического такта поточной линии | 79,4 | |||||||||||
Вспомогательное время приводится в расчете на одновременную обработку трех деталей | ||||||||||||
Основное время, мин. | 0,0400 | |||||||||||
Время на техническое обслуживание, мин. | 0,0004 | |||||||||||
Время на организационное обслуживание, мин. | 0,0014 | |||||||||||
Время на отдых и личные надобности, мин. | 0,0065 | |||||||||||
Норма штучного времени, мин. | 0,1270 | |||||||||||



N п/п | Наименование станков | Параметры | Основные размеры по группам станков | Модели станков |
1 | Токарные многорезцовые | Наибольший диаметр обрабатываемого изделия, мм | 125 - 500 | 1Н713, НТ-300Д, 1А720, НТ-100, МК-8929, 1А893 |
2 | Токарные многошпиндельные полуавтоматы | Наибольший диаметр обрабатываемого прутка, мм | 25 - 600 | КА-371, 1240-6, 1-824, А240П-6, МТ-30, 1К-282 |
3 | Револьверные | Наибольший диаметр обрабатываемых деталей, мм из прутка в патроне | 25 - 73, 125 - 420 | 1325Ф30, 1П426ДФЗ, 1К341, 1341, 1А416, РХ-60, 1365, АТ-12, 1Н325, 1425 |
4 | Расточные | Диаметр шпинделя, мм | 14 - 330 | 2А710, 2731П, 2635, 06-3970, 2450, КК-1668, 2Е450АМФ4 |
5 | Вертикально-сверлильные многошпиндельные | Диаметр сверления на количество шпинделей | 2Н106П-2, 10А556 2135, 2С150, 2Г175 | |
6 | Вертикально-сверлильные | Наибольший условный диаметр сверления, мм | 3 - 70 | НС-18, НК-20, 2Н118, 2118, 2А135, С-35, 2Р135Ф2-1, 2Н103П, 2170 |
7 | Горизонтально- и вертикально-фрезерные | Размеры поверхности рабочего стола, мм | 200 x 1600 | 6Н81Г, 6Н11, 6Р80, 6Н13П, ВМ27, 672К, 67К25ПФ2-0 |
8 | Продольно-фрезерные | То же | 320 x 2500 | 6622, ГФ2071, ГФ766, А661, ВК-20 |
9 | Карусельно-фрезерные | Диаметр стола, мм | 750 - 2000 | 6А23, 6М23В, ГФ2064 |
10 | Барабанно-фрезерные | Наибольший диаметр контура, обрабатываемой детали, мм | 100 - 2300 | ГФ398, 6С21В, 602102 |
11 | Шлицефрезерные | Наибольший диаметр обрабатываемой детали, мм | 150 - 500 | 5А352П, 5350А |
12 | Шпоночно-фрезерные вертикальные | Наибольшая ширина фрезеруемого паза, мм | 50 | 6А95, ДФ88А |
13 | Копировально-фрезерные | Диаметр стола, мм, до | 1250 | ГФ583, 6Г676 |
Рабочая поверхность стола, мм | 750 x 1300 | |||
14 | Круглошлифовальные | Наибольший размер шлифования, мм диаметр, длина в наборе | 120 - 300 190 - 1400 | ХШ-2-55, 3131, 3161, 3А423, 3М131, 3Д180, 3Е153, 3А174 |
15 | Внутришлифовальные | Диаметр шлифуемого отверстия, мм | 6 - 800 | 3А255, 3К27А, 3260, 3А230, 3225П, 3А229 |
16 | Плоскошлифовальные с прямоугольным столом | Размеры рабочей поверхности стола (ширина на длину), мм | 125 - 1000 | 3Г71, 3А640, 3Б711, 3701, 3711, 3В732, 3Б722 |
17 | Плоскошлифовальные с круглым столом | Диаметр стола, мм, до | 2500 | 3762, 3Д740, 3А320, 3Б741, 3772Б |
18 | Бесцентровошлифовальные | Диаметр шлифуемого изделия, мм | 8 - 500 | 3Г182, 3186, 3А184, 3Д180, 3867 |
19 | Хонинговальные | Диаметр хонингования, мм | 20 - 800 | 3Н82, 3К83-2С, 3820 |
Ход, мм | 200 - 2000 | |||
20 | Станки для суперфиниша | Диаметр обрабатываемого изделия, мм | 250 - 600 | 3804, ВС-22, 3Д871Б |
Длина обрабатываемого изделия, мм | 30 - 2000 | |||
21 | Вертикально-доводочные | Наибольшие размеры обрабатываемой детали, мм, до | 220 | ОФ26А, ОФ61А, 3804, 3808, СППД2 |
Высота детали, мм | 3 - 100 | |||
22 | Зубошлифовальные | Диаметр обрабатываемых колес, мм | 125 - 1250 | 5А851, 5Д833, 5835, 5892А |
Модуль | 1,5 - 16,0 | |||
23 | Зубофрезерные | Диаметр обрабатываемой детали, мм | 25 - 2000 | 5А326, 5А312, 5Д32, 5К310, Е3-106, СТ-113 |
Модуль | 1 - 20 | |||
24 | Шлицешлифовальные | Диаметр обрабатываемой детали, мм | 11 - 200 | 3450, 3922Е, 3451Б, 3В451ВФ20, 3П451 |
25 | Зубодолбежные | Диаметр обрабатываемого изделия, мм | 80 - 2000 | 5В150, 5А110, 5В12, 5140, 5М14, 5107, 5Б161, МА-75 |
Модуль | 0,2 - 12,0 | |||
26 | Зубошевинговальные | Диаметр обрабатываемого изделия, мм | 125 - 3200 | 5717, 5702А, 5А714, ВС208, 5913, 5717С-1 |
Модуль | 1,5 - 16,0 | |||
27 | Зубозакругляющие | Диаметр обрабатываемого изделия, мм | 320 - 500 | 5А580, 5582, 5Б525 |
Модуль, до | 8 | |||
28 | Зубострогальные для прямозубых конических колес | Модуль | 2,5 - 80,0 | 5282, 5П23, 5230, 5А520П, 5А83 |
29 | Резьбонарезные | Наибольший диаметр нарезаемой резьбы, мм, до | М16 | Р-54, 3А053, 2036, 4А462 |
30 | Резьбофрезерные | Наибольший диаметр нарезаемой резьбы, мм, до | 50 - 140 | КТ85, 5К63, 5М62 |
Длина, мм | 30 - 900 | |||
31 | Гайконарезные | Наибольший диаметр нарезаемой резьбы, мм, до | 2,6 - 30,0 | Р-54, 2062, 4М-27, МФ140 |
32 | Резьбонакатные полуавтоматы | Диаметр нарезаемой резьбы, мм | 2 - 100 | 5936, А9518, НР-3 |
33 | Болтонарезные | Диаметр нарезаемой резьбы, мм, до | 65 | 5Д07, 5А05, 5М5662 |
34 | Горизонтально-протяжные станки | Номинальное тяговое усилие, кг | 10000 - 40000 | 7Б510, 7А540, МП119, МП14, МП186 |
35 | Вертикально-протяжные станки для внутреннего протягивания | Номинальное тяговое усилие, кг | 5000 - 20000 | 7Б705В, 766, 7665, 7Б66-1, 7667 |
36 | Вертикально-протяжные станки для наружного протягивания | Номинальное тяговое усилие, кг | 5000 - 20000 | 774, 776, 7Б75Н067, МП7733, МП7Б65, МП142 |
37 | Заточные автоматы и полуавтоматы (для заточки сверл и шлифования конуса на вершине заготовок) | Диаметр затачиваемых сверл, мм | 6 - 15 | 365Б2, И198М1 |
38 | Центровальные | Наибольший диаметр изделия, мм | 40 - 160 | ВС-150, ВС-110, 2912-1 |
Наибольшая длина изделия, мм | 500 - 2000 | М1Р71М104, М1Р71М | ||
39 | Агрегатные | - | - | 5А799, 4А465, ЗА618, ХА-12992, 10А759, 11А102, 2ХГ874, 9А560 |









Способ укладки деталей: в груду | КАРТА 4.1.1 | ЛИСТ 1 | ||||||||||||||
Содержание комплекса | Обозначение микроэлементов по БСМ | |||||||||||||||
1. | Протянуть руку (руки) к детали (деталям) | ПРN (S) (ОС1; К3) | ||||||||||||||
2. | Взять деталь (детали) | BN (M; Z; LM) (ОС; К3; И) | ||||||||||||||
3. | Переместить деталь (детали) в зону хранения или зону промежуточного положения (на стол, станину, в груду) | ПN (SM; М; LM) (ОС1; К2; И) | ||||||||||||||
4. | Отпустить | OTN (ОС1) | ||||||||||||||
Индекс факторов или сумма индексов для определения времени | Одной рукой | Двумя руками | ||||||||||||||
Масса детали (деталей), кг, 0,1 < M <= 8 | Масса детали (деталей), кг, 1 < M <= 20 | |||||||||||||||
Расстояние перемещения руки к детали (деталям) S, мм, до | Расстояние перемещения детали (деталей) SM, мм, до | Масса детали (деталей) M, кг, до | Время на комплекс t, тыс. доли мин. | Расстояние перемещения рук к детали (деталям) S, мм, до | Расстояние перемещения детали (деталей) SM, мм, до | Масса детали (деталей) M, кг, до | Длина наибольшей стороны детали LM, мм, до | Время на комплекс t, тыс. доли мин. | ||||||||
< | 240 | 240 | 17,5 | 240 | 230 | 1,4 | 130 | 17 | ||||||||
1 | 350 | 300 | 1,5 | 19,0 | 350 | 300 | 2,5 | 250 | 18 | |||||||
2 | 550 | 400 | 8,0 | 20,0 | 500 | 400 | 5,0 | 400 | 19 | |||||||
Перемещение и укладка вручную детали (деталей) на стол (станину, в тару). Способ укладки деталей: в груду | КАРТА 4.1.1 | ЛИСТ 2 | |||||||||||||
Индекс факторов или сумма индексов для определения времени | Одной рукой | Двумя руками | |||||||||||||
Масса детали (деталей), кг, 0,1 < M <= 8 | Масса детали (деталей), кг, 1 < M <= 20 | ||||||||||||||
Расстояние перемещения руки к детали (деталям) S, мм, до | Расстояние перемещения детали (деталей) SM, мм, до | Масса детали (деталей) M, кг, до | Время на комплекс t, тыс. доли мин. | Расстояние перемещения рук к детали (деталям) S, мм, до | Расстояние перемещения детали (деталей) SM, мм, до | Масса детали (деталей) M, кг, до | Длина наибольшей стороны детали LM, мм, до | Время на комплекс t, тыс. доли мин. | |||||||
< | 500 | 21,0 | 700 | 550 | 10,0 | 750 | 20 | ||||||||
< | 22,0 | 750 | 750 | 20,0 | 1300 | 21 | |||||||||
5 | 24,0 | 2000 | 22 | ||||||||||||
6 | 26,0 | 23 | |||||||||||||
> | 25 | ||||||||||||||
8 | 29,0 | 26 | |||||||||||||
9 | 31,0 | 27 | |||||||||||||
10 | 33,0 | 29 | |||||||||||||
11 | 30 | ||||||||||||||
12 | 31 | ||||||||||||||
13 | 33 | ||||||||||||||
Перемещение и укладка вручную детали (деталей) на стол (станину, в тару). Способ укладки деталей: в груду | КАРТА 4.1.1 | ЛИСТ 3 | |||||||
Индекс факторов или сумма индексов для определения времени | Одной рукой | Двумя руками | |||||||
Масса детали (деталей), кг, 0,1 < M <= 8 | Масса детали (деталей), кг, 1 < M <= 20 | ||||||||
Расстояние перемещения руки к детали (деталям) S, мм, до | Расстояние перемещения детали (деталей) SM, мм, до | Масса детали (деталей) M, кг, до | Время на комплекс t, тыс. доли мин. | Расстояние перемещения рук к детали (деталям) S, мм, до | Расстояние перемещения детали (деталей) SM, мм, до | Масса детали (деталей) M, кг, до | Длина наибольшей стороны LM, мм, до | Время на комплекс t, тыс. доли мин. | |
14 | 35 | ||||||||
15 | 36 | ||||||||
16 | 38 | ||||||||
17 | 40 | ||||||||
для труднозахватываемых деталей Koc2 = 1,10 | |
при работе в рукавицах Kиз = 1,08 | |
при перемещении детали (деталей) отбрасыванием | |
Kсп2 = 0,69 | Kсп2 = 0,84 |
t = 2,45S0,166 SM0,219 M0,035 Kос Kи Kсп | t = 2,33S0,138 SM0,169 M0,076 LM0,085 Kос Kи Kсп |
КАРТА 4.1.2 | ЛИСТ 1 | |||||||||
Содержание комплекса | Обозначение микроэлементов по БСМ | |||||||||
1. | Протянуть руку (руки) к детали (деталям) | ПРN (S) (ОС1; К3) | ||||||||
2. | Взять деталь (детали) | BN (М; Z; LM) (ОС; К3; И) | ||||||||
3. | Переместить деталь (детали) в зону хранения или зону промежуточного положения (на станину, конвейер, рольганг, в тару) | ПN (SM; М; LM) (ОС1; К3; И) | ||||||||
4. | Установить деталь на плоскость в ряд (стопу, штабель) | УПN (M; LM) (ОС; ОР1; И) | ||||||||
5. | Отпустить | OTN (ОС1) | ||||||||
Индекс факторов или сумма индексов для определения времени | Одной рукой | Двумя руками | ||||||||
Масса детали (деталей), кг, 0,1 < M <= 4 | Масса детали (деталей), кг, 1 < M <= 20 | |||||||||
Расстояние перемещения руки к деталям S, мм, до | Расстояние перемещения детали (деталей) SM, мм, до | Масса детали (деталей) M, кг, до | Длина наибольшей стороны детали LM, мм, до | Время на комплекс t, тыс. доли мин. | Расстояние перемещения рук к деталям S, мм, до | Расстояние перемещения детали (деталей) SM, мм, до | Масса детали (деталей) M, кг, до | Длина наибольшей стороны детали LM, мм, до | Время на комплекс t, тыс. доли мин. | |
0 | 250 | 250 | 0,15 | 60 | 17 | 250 | 250 | 1,2 | 120 | 17 |
1 | 350 | 300 | 0,30 | 100 | 18 | 400 | 350 | 2,0 | 150 | 18 |
2 | 450 | 400 | 0,50 | 150 | 19 | 600 | 450 | 2,5 | 200 | 19 |
3 | 650 | 500 | 1,00 | 300 | 20 | 750 | 650 | 4,0 | 300 | 20 |
4 | 750 | 600 | 2,00 | 450 | 21 | 750 | 5,0 | 400 | 21 | |
5 | 750 | 4,00 | 500 | 22 | 8,0 | 550 | 22 | |||
6 | 23 | 11,0 | 800 | 23 | ||||||
7 | 24 | 16,0 | 1050 | 24 | ||||||
8 | 25 | 20,0 | 1450 | 25 | ||||||
26 | 2000 | 27 | ||||||||
10 | 28 | 28 | ||||||||
11 | 29 | 29 | ||||||||
30 | 31 | |||||||||
13 | 32 | 32 | ||||||||
14 | 34 | 34 | ||||||||
15 | 35 | 36 | ||||||||
16 | 37 | 38 | ||||||||
Перемещение и укладка вручную детали (деталей) на стол (станину, конвейер, рольганг, в тару). Способ укладки деталей: в ряд (стопу, штабель) | КАРТА 4.1.2 | ЛИСТ 2 | |||||||||
Индекс факторов или сумма индексов для определения времени | Одной рукой | Двумя руками | |||||||||
Масса детали (деталей), кг, 0,1 < M <= 4 | Масса детали (деталей), кг, 1 < M <= 20 | ||||||||||
Расстояние перемещения руки к деталям S, мм, до | Расстояние перемещения детали (деталей) SM, мм, до | Масса детали (деталей) M, кг, до | Длина наибольшей стороны детали LM, мм, до | Время на комплекс t, тыс. доли мин. | Расстояние перемещения рук к деталям S, мм, до | Расстояние перемещения детали (деталей) SM, мм, до | Масса детали (деталей) M, кг, до | Длина наибольшей стороны детали LM, мм, до | Время на комплекс t, тыс. доли мин. | ||
17 | 39 | 39 | |||||||||
18 | 41 | 41 | |||||||||
19 | 43 | 43 | |||||||||
20 | 46 | ||||||||||
21 | 48 | ||||||||||
22 | 50 | ||||||||||
23 | 53 | ||||||||||
24 | 55 | ||||||||||
Поправочные коэффициенты на время для измененных условий работы: | |||||||||||
для труднозахватываемых деталей Kос2 = 1,10 | |||||||||||
при работе в рукавицах Киз = 1,12 | |||||||||||
t = 2,23S0,146 SM0,194 M0,071 LM0,098 Kос Kи | t = 2,11S0,112 SM0,149 M0,133 LM0,155 Kос Kи | ||||||||||
КАРТА 4.1.3 | ЛИСТ 1 | |||||||||
Содержание комплекса | Обозначение микроэлементов по БСМ | |||||||||
1. | Протянуть руку (руки) к детали (деталям) | ПРN (S) (ОС1; К3) | ||||||||
2. | Взять деталь (детали) | BN (М; Z; LM) (ОС; К3; И) | ||||||||
3. | Переместить деталь (детали) в зону хранения (на конвейер, в спецтару) | ПN (SM; M; LM) (ОС1; К3; И) | ||||||||
4. | Установить деталь в гнездо (на штырь, крюк) | УOCN (M; LD; LM) (ОС; ОР1; И) | ||||||||
5. | Отпустить | OTN (OC1) | ||||||||
Индекс факторов или сумма индексов для определения времени | Одной рукой | Двумя руками | ||||||||
Масса детали (деталей), кг, 0,1 < M <= 4 | Масса детали (деталей), кг, 1 < M <= 20 | |||||||||
Расстояние перемещения руки к деталям S, мм, до | Расстояние перемещения детали (деталей) SM, мм, до | Масса детали (деталей) M, кг, до | Длина наибольшей стороны детали LM, мм, до | Время на комплекс t, тыс. доли мин. | Расстояние перемещения рук к деталям S, мм, до | Расстояние перемещения детали (деталей) SM, мм, до | Масса детали (деталей) M, кг, до | Длина наибольшей стороны детали LM, мм, до | Время на комплекс t, тыс. доли мин. | |
0 | 250 | 250 | 0,15 | 25 | 18,0 | 250 | 250 | 1,2 | 120 | 23 |
1 | 350 | 300 | 0,20 | 50 | 19,0 | 450 | 400 | 1,6 | 150 | 24 |
2 | 550 | 400 | 0,40 | 70 | 19,5 | 750 | 600 | 2,0 | 200 | 25 |
3 | 750 | 550 | 0,60 | 100 | 20,0 | 750 | 3,0 | 300 | 26 | |
4 | 750 | 1,00 | 200 | 21,0 | 4,0 | 450 | 27 | |||
5 | 1,50 | 300 | 22,5 | 6,0 | 600 | 29 | ||||
6 | 2,50 | 500 | 24,0 | 8,0 | 800 | 30 | ||||
7 | 4,00 | 25,0 | 11,0 | 1100 | 32 | |||||
8 | 26,0 | 15,0 | 1550 | 33 | ||||||
9 | 27,0 | 20,0 | 2000 | 35 | ||||||
10 | 29,0 | 37 | ||||||||
11 | 30,0 | 39 | ||||||||
12 | 32,0 | 41 | ||||||||
13 | 33,0 | 43 | ||||||||
14 | 35,0 | 45 | ||||||||
15 | 37,0 | 47 | ||||||||
16 | 38,0 | 49 | ||||||||
17 | 40,0 | 52 | ||||||||
18 | 42,0 | 54 | ||||||||
Перемещение и укладка вручную детали (деталей) на конвейер (в спецтару). Способ укладки деталей: в гнезда (на штыри, крюки) | КАРТА 4.1.3 | ЛИСТ 2 | |||||||||
Индекс факторов или сумма индексов для определения времени | Одной рукой | Двумя руками | |||||||||
Масса детали (деталей), кг, 0,1 < M <= 4 | Масса детали (деталей), кг, 1 < M <= 20 | ||||||||||
Расстояние перемещения руки к деталям S, мм, до | Расстояние перемещения детали (деталей) SM, мм, до | Масса детали (деталей) M, кг, до | Длина наибольшей стороны детали LM, мм, до | Время на комплекс t, тыс. доли мин. | Расстояние перемещения рук к деталям S, мм, до | Расстояние перемещения детали (деталей) SM, мм, до | Масса детали (деталей) M, кг, до | Длина наибольшей стороны детали LM, мм, до | Время на комплекс t, тыс. доли мин. | ||
19 | 45,0 | 57 | |||||||||
20 | 47,0 | 60 | |||||||||
21 | 63 | ||||||||||
22 | 66 | ||||||||||
23 | 70 | ||||||||||
Поправочные коэффициенты на время для измененных условий работы: | |||||||||||
для труднозахватываемых деталей | |||||||||||
Kос2 = 1,24 | Kос2 = 1,33 | ||||||||||
при работе в рукавицах Kиз = 1,12 | |||||||||||
t = 3,70S0,119 SM0,163 M0,099 LM0,097 Kос Kи | t = 3,95S0,085 SM0,113 M0,152 LM0,151 Kос Kи | ||||||||||
КАРТА 4.1.4 | ЛИСТ 1 | |||||||
Содержание комплекса | Обозначение микроэлементов по БСМ | |||||||
1. | Перехватить деталь левой рукой | ВП | ||||||
2. | Протянуть правую руку к левой | ПР1 (S) (ОС1; К1) | ||||||
3. | Взять деталь правой рукой из левой | В1 (M; Z; LM) (ОС1; К1; И) | ||||||
4. | Переместить деталь в зону хранения | П1 (SM; M; LM) (ОС1; К3; И) | ||||||
5. | Установить деталь в гнездо (на штырь) | УОС1 (M; LD; LM) (ОС1; ОР1; И) | ||||||
6. | Отпустить | ОТ1 (ОС1) | ||||||
Индекс факторов или сумма индексов для определения времени | Масса детали, кг, 0,01 < M <= 0,1 | Масса детали, кг, 0,1 < M <= 1 | ||||||
Расстояние перемещения руки к деталям S, мм, до | Расстояние перемещения детали (деталей) SM, мм, до | Время на комплекс t, тыс. доли мин. | Расстояние перемещения руки к деталям S, мм, до | Расстояние перемещения детали SM, мм, до | Масса детали M, кг, до | Длина наибольшей стороны детали LM, мм, до | Время на комплекс t, тыс. доли мин. | |
0 | 45 | 45 | 18 | 50 | 40 | 0,15 | 30 | 12,5 |
1 | 120 | 150 | 20 | 100 | 50 | 0,20 | 50 | 13,0 |
2 | 300 | 300 | 22 | 150 | 100 | 0,40 | 100 | 13,5 |
3 | 24 | 250 | 150 | 0,60 | 150 | 14,5 | ||
4 | 27 | 300 | 200 | 1,00 | 250 | 15,0 | ||
5 | 250 | 400 | 15,5 | |||||
6 | 300 | 500 | 16,5 | |||||
7 | 17,5 | |||||||
8 | 18,0 | |||||||
9 | 19,0 | |||||||
10 | 20,0 | |||||||
Раскладка деталей в гнезда (на штыри) при одновременном перемещении нескольких деталей (на одну деталь) | КАРТА 4.1.4 | ЛИСТ 2 | |||||||
Индекс факторов или сумма индексов для определения времени | Масса детали, кг, 0,01 < M <= 0,1 | Масса детали, кг, 0,1 < M <= 1 | |||||||
Расстояние перемещения руки к деталям S, мм, до | Расстояние перемещения детали (деталей) SM, мм, до | Время на комплекс t, тыс. доли мин. | Расстояние перемещения руки к деталям S, мм, до | Расстояние перемещения детали SM, мм, до | Масса детали M, кг, до | Длина наибольшей стороны детали LM, мм, до | Время на комплекс t, тыс. доли мин. | ||
11 | 21,0 | ||||||||
12 | 22,0 | ||||||||
13 | 23,0 | ||||||||
14 | 24,5 | ||||||||
15 | 25,5 | ||||||||
16 | 27,0 | ||||||||
17 | 28,5 | ||||||||
18 | 29,5 | ||||||||
19 | 31,0 | ||||||||
20 | 32,5 | ||||||||
21 | 34,5 | ||||||||
Поправочный коэффициент на время для измененных условий работы | |||||||||
при работе в рукавицах Kос = 1,08 | |||||||||
t = 9,84S0,095 SM0,085 · Kи | t = 5,80S0,083 SM0,123 · M0,097 LM0,088 · Kи | ||||||||
КАРТА 4.1.5 | |||||
Содержание комплекса | Обозначение микроэлементов по БСМ | ||||
1. | Переместить совок (лоток) к деталям | ПN (SM; M1; LM1) (ОС1; К2; К1) | |||
2. | Повернуть совок (лоток) на 90° | ПОВN (М1) (ОС1; И) | |||
3. | Нажать | НРУ | |||
4. | Переместить совок (лоток) в таре с деталями (набрать детали) | ПN (SM150; М1; LM1) (ОС1; К2; И) | |||
5. | Повернуть совок (лоток) на 90° | ПОВN (M) (ОС1; И) | |||
6. | Переместить совок (лоток) с деталями в зону хранения деталей | ПN (SM; M; LM1) (ОС1; К2; И) | |||
7. | Повернуть совок (лоток) на 90° (высыпать детали) | ПОВN (M) (ОС1; И) | |||
8. | Переместить совок (лоток) отбрасыванием (встряхнуть) | ПОТN (SM25; M1; LM1) (ОС; И) | |||
Одной рукой | Двумя руками | ||||
Масса совка (лотка) с деталями, кг, 2 < M <= 5 | Масса совка (лотка) с деталями, кг, 2 < M <= 20 | ||||
Время на комплекс t, тыс. доли мин. | Индекс фактора для определения времени | Масса совка (лотка) с деталями M, кг, до | Время на комплекс t, тыс. доли мин. | ||
62 | 0 | 3 | 52 | ||
1 | 9 | 57 | |||
2 | 20 | 63 | |||
t = 62 | t = 48,86M0,095 | ||||
КАРТА 4.1.6 | ||||
Содержание комплекса | Обозначение микроэлементов по БСМ | |||
1. | Протянуть руки к таре с деталями | ПР2 (S) (ОС1; К2) | ||
2. | Взять тару с деталями | В2 (M; LM1) (ОС1; К1; И) | ||
3. | Переместить тару к бункеру | П2 (SM; М; LM1) (ОС1; К2; И) | ||
4. | Повернуть тару на 90° (высыпать детали) | ПОВ2 (Р) (ОС1; И) | ||
5. | Переместить тару отбрасыванием (встряхнуть) | ПОТ2 (SM25; M1; LM1) (ОС1; И) | ||
6. | Повернуть тару на 90° | ПОВ2 (M1) (ОС1; И) | ||
7. | Переместить тару без деталей в зону хранения | П2 (SM; M1; LM1) (ОС1; К2; И) | ||
8. | Отпустить | ОТ2 (ОС1) | ||
Индекс фактора для определения времени | Масса тары с деталями M, кг, до | Время на комплекс t, тыс. доли мин. | ||
0 | 4 | 46 | ||
1 | 11 | 51 | ||
2 | 20 | 56 | ||
КАРТА 4.1.7 | |||||
N позиции | Грузоподъемность | Скорость, м/мин. | Время на 1 м, t, мин. | ||
подъема или спуска | передвижения | при подъеме или спуске | при передвижении | ||
1 | 125 | 12 - 14 | вручную | 0,083 - 0,072 | - |
8,0 | вручную | 0,125 | - | ||
3 | 250 | 9,0 | вручную | 0,111 | - |
4 | 18 - 20 | вручную | 0,056 - 0,050 | - | |
5 | 30,0 | вручную | 0,033 | - | |
6 | - | 18,5 | - | 0,054 | |
7 | 500 | 8,0 | 30,0 | 0,125 | 0,033 |
8 | 8,5 | вручную | 0,118 | - | |
9 | 12 - 16 | 27,5 - 31 | 0,083 - 0,063 | 0,036 - 0,032 | |
10 | 750 | 8,0 | 30,0 | 0,125 | 0,033 |
11 | 6,0 | 20,0 | 0,167 | 0,050 | |
12 | 7,5 | 30,0 | 0,134 | 0,033 | |
13 | 1000 | - | 20,0 | - | 0,050 |
14 | 8,0 | 30,0 | 0,125 | 0,033 | |
15 | - | 34,0 | - | 0,029 | |
Индекс | 1 | 2 | |||
КАРТА 4.1.8 | ЛИСТ 1 | |||
Содержание комплекса | Обозначение микроэлементов по БСМ | |||
Застропливание на два крюка Крупногабаритные детали | ||||
Сделать шаг | X (S) (СТ1) | |||
Протянуть руку к первому крюку | ПР1 (S) (ОС1; К2) | |||
Взять крюк | B1 (M; Z) (ОС1; К1; И) | |||
Переместить крюк к детали (таре с деталями) | П1 (SM; М; LM) (ОС1; К3; И) | |||
5. | Установить крюк в отверстие детали (тары с деталями) | УОС1 (M; LM; LD) (ОС1; ОР1; И) | ||
Отпустить крюк | ОТ1 (ОС1) | |||
Сделать шаг | X (S) (СТ1) | |||
Протянуть руку ко второму крюку | ПР1 (S) (ОС1; К2) | |||
Взять крюк | В1 (M; Z) (ОС1; К1; И) | |||
Переместить крюк к детали (таре с деталями) | П1 (SM; M; LM) (ОС1; К3; И) | |||
11. | Установить крюк в отверстие детали (тары с деталями) | УОС1 (M; LM; LD) (ОС1; ОР1; И) | ||
Отпустить крюк | ОТ1 (ОС1) | |||
13. | Нажать на кнопку | НРС | ||
14. | Всмотреться | ФВ | ||
Перевести взгляд | ПВ | |||
Всмотреться | ФВ | |||
Застропливание | |||
На один крюк | На два крюка | ||
малогабаритных деталей | крупногабаритных деталей | малогабаритных деталей | крупногабаритных деталей |
Время на комплекс t, тыс. долей мин. | |||
43 | 56 | 65 | 106 |
КАРТА 4.1.8 | ЛИСТ 2 | |||
Содержание комплекса | Обозначение микроэлементов по БСМ | |||
Расстропливание с двух крюков Крупногабаритные детали | ||||
Сделать шаг | X (S) СТ1) | |||
Протянуть руку к первому крюку | ПР1 (S) (ОС1; К2) | |||
Взять крюк | В1 (М; Z) (ОС1; К1; И) | |||
4. | Разъединить крюк с деталью (тарой с деталями) | РС1 (М; LD) (ОС1; ОР1; И) | ||
Отпустить крюк | ОТ1 (ОС1) | |||
Сделать шаг | X (S) (СТ1) | |||
Протянуть руку ко второму крюку | ПР1 (S) (ОС1; К2) | |||
Взять крюк | В1 (M; Z) (ОС1; К1 И) | |||
9. | Разъединить крюк с деталью (тарой с деталями) | РС1 (M; LD) (ОС1; ОР1; И) | ||
Отпустить крюк | ОТ1 (ОС1) | |||
Расстропливание | |||
С одного крюка | С двух крюков | ||
малогабаритных деталей | крупногабаритных деталей | малогабаритных деталей | крупногабаритных деталей |
Время на комплекс t, тыс. долей мин. | |||
19 | 22 | 25 | 37 |
Поправочный коэффициент на время для измененных условий работы | |||
при работе в рукавицах Kиз = 1,08 | |||
КАРТА 4.1.8 | ЛИСТ 3 | |||
Содержание комплекса | Обозначение микроэлементов по БСМ | |||
Застропливание на две петли | ||||
Сделать шаг | X (S) (СТ1) | |||
2. | Протянуть руку к первой петле | ПР2 (S) (ОС1; К2) | ||
3. | Взять петлю | В2 (M; Z; LM) (ОС1; К1; И) | ||
4. | Переместить петлю к детали (таре с деталями) | П2 (SM; M; LM) (ОС1; К2; И) | ||
5. | Переместить (развести) стороны петли | П2 (SM1; M; LM) (ОС1; К2; И) | ||
6. | Установить (надеть) петлю на деталь | УОС2 (M; LM; LD) (ОС1; ОР2; И) | ||
Отпустить петлю | ОТ2 (ОС1) | |||
8. | ||||
9. | Нажать на кнопку | НРС | ||
10. | Всмотреться | ФВ | ||
11. | Перевести взгляд | ПВ | ||
12. | Всмотреться | ФВ | ||
Расстропливание с двух петель | ||||
Сделать шаг | X (S) (СТ1) | |||
2. | Протянуть руки к первой петле | ПР2 (S) (ОС1; К2) | ||
3. | Взять петлю | В2 (M; Z; LM) (ОС1; К1; И) | ||
4. | Снять петлю с детали (тары с деталями) | РС2 (M; LD) (ОС1; ОР1; И) | ||
Отпустить петлю | ОТ2 (ОС1) | |||
6. | ||||
На две петли | ||||
застропливание | расстропливание | |||
Время на комплекс t, тыс. доли мин. | ||||
94 | 38 | |||
Поправочный коэффициент на время для измененных условий работы | ||||
при работе в рукавицах Kиз = 1,08 | ||||
КАРТА 4.1.8 | ЛИСТ 4 | ||
Содержание комплекса | Обозначение микроэлементов по БСМ | ||
Застропливание захватами | |||
1. | Протянуть руки к захватам | ПР2 (S) (ОС1; К2) | |
2. | Взять захваты | В2 (M; Z20; LM) (ОС1; К1; И) | |
3. | Переместить (развести) захваты | П2 (SM; М; LM) (ОС1; К3; И) | |
4. | Установить захваты на деталь (тару с деталями) | УОС2 (M; LM; LD) (ОС1; ОР3; И) | |
5. | Отпустить захваты | ОТ2 (ОС1) | |
6. | Нажать на кнопку | НРС | |
7. | Всмотреться | ФВ | |
Расстропливание из захватов | |||
1. | Протянуть руки к захватам | ПР2 (S) (ОС1; К2) | |
2. | Взять захваты | В2 (M; Z20; LM) (ОС1; К1; И) | |
3. | Переместить (развести) захваты | П2 (SM; М; LM) (ОС1; К2; И) | |
4. | Снять захваты с детали (тары с деталями) | РС2 (M; LD) (ОС1; ОР3; И) | |
5. | Отпустить захваты | ОТ2 (ОС1) | |
Захватами | |||
застропливание | расстропливание | ||
Время на комплекс t, тыс. доли мин. | |||
71 | 46 | ||
Поправочный коэффициент на время для измененных условий работы | |||
при работе в рукавицах Kиз = 1,08 | |||
КАРТА 4.1.9 | |||||||||
Содержание комплекса | Обозначение микроэлементов по БСМ | ||||||||
1. | Протянуть руку (руки) к подвеске (люльке, подъемнику) | ПРN (S) (ОС1; К2; И) | |||||||
2. | Взяться | ВЗN (ОС1; К1; И) | |||||||
3. | Нажать | НРУ | |||||||
4. | Переместить подвеску (люльку, подъемник) в зону рабочего места | ПРГN (SM; M; LM) (ОС1; К2; И) | |||||||
5. | Отпустить | ОТN (ОС1) | |||||||
Индекс факторов или сумма индексов для определения времени | Перемещение люльки (подъемника) без груза | Перемещение детали (деталей) на подвесках (в люльке, подъемнике) | |||||||
Расстояние перемещения руки (рук) к люльке (подъемнику) S, мм, до | Расстояние перемещения люльки (подъемника) SM, мм, до | Время на комплекс t, тыс. доли мин/ | Расстояние перемещения руки (рук) к подвеске (люльке, подъемнику) S, мм, до | Расстояние перемещения детали (деталей) на подвесках (в люльке, подъемнике) SM, мм, до | Масса детали (деталей) с подвеской (люлькой, подъемником) M, кг, до | Время на комплекс t, тыс. доли мин. | |||
400 | 400 | 16 | 350 | 400 | 70 | 22 | |||
1 | 600 | 750 | 18 | 550 | 750 | 270 | 24 | ||
750 | 20 | 750 | 500 | 25 | |||||
3 | 22 | 27 | |||||||
4 | 29 | ||||||||
5 | 31 | ||||||||
t = 2,27S0,207 SM0,138 | t = 3,77S0,157 SM0,106 M0,072 | ||||||||
КАРТА 4.1.10 | |||||
Содержание комплекса | Обозначение микроэлементов по БСМ | ||||
1. | Протянуть руки к тележке | ПР2 (S200) (ОС1; К2; И) | |||
2. | Взяться | ВЗ2 (ОС1; К1; И) | |||
3. | Нажать | НРУ | |||
4. | Переместить тележку | П2 (SM; M; LM) (ОС1; К1; И) | |||
5. | Отпустить | ОТ2 (ОС1) | |||
Индекс фактора для определения времени | Без груза | С грузом | |||
Время на комплекс t, тыс. доли мин. | Масса тележки с грузом M2, кг, до | Время на комплекс t, тыс. доли мин. | |||
0 | 23 | 250 | 33 | ||
1 | 400 | 37 | |||
t = 23 | t = 30,08M0,028 | ||||
КАРТА 4.1.11 | ||||||
Содержание комплекса | Обозначение микроэлементов по БСМ | |||||
1. | Протянуть руку (руки) к детали (таре с деталями) | ПРN (S) (ОС1; К2; И) | ||||
2. | Взяться | ВЗN (ОС1; К1; И) | ||||
3. | Нажать | НРУ | ||||
4. | Переместить деталь (тару с деталями) по рольгангу | ПРГN (SM; M; LM) (ОС1; К2; И) | ||||
5. | Отпустить | ОТN (ОС1) | ||||
Индекс факторов или сумма индексов для определения времени | Расстояние перемещения руки (рук) к детали (таре с деталями) S, мм, до | Расстояние перемещения детали (тары с деталями) SM, мм, до | Масса детали (тары с деталями) M, кг, до | Время на комплекс t, тыс. доли мин. | ||
0 | 350 | 400 | 40 | 14,0 | ||
1 | 450 | 600 | 150 | 15,0 | ||
2 | 600 | 750 | 16,0 | |||
3 | 750 | 17,0 | ||||
4 | 18,5 | |||||
5 | 20,0 | |||||
6 | 21,0 | |||||
t = 1,47S0,247 SM0,141 M0,023 | ||||||
КАРТА 4.1.12 | ||||||
Содержание комплекса | Обозначение микроэлементов по БСМ | |||||
1. | Протянуть руку к детали (таре, приспособлению) | ПР1 (S) (ОС1; К2) | ||||
2. | Взяться за деталь (тару, приспособление) | ВЗ1 (ОС1; К1; И) | ||||
3. | Нажать | НРУ | ||||
4. | Переместить деталь (тару, приспособление) по поверхности | ПП1 (SM; М; LM) (ОС1; К; И) | ||||
5. | Отпустить | ОТ1 (ОС1) | ||||
Индекс факторов или сумма индексов для определения времени | Расстояние перемещения руки к детали (таре, приспособлению) S, мм, до | Расстояние перемещения детали (тары, приспособления) SM, мм, до | Масса детали (тары, приспособления) M, кг, до | Время на комплекс t, тыс. доли мин. | ||
0 | 120 | 120 | 3 | 11,0 | ||
1 | 150 | 150 | 20 | 11,5 | ||
2 | 250 | 250 | 100 | 12,0 | ||
3 | 350 | 350 | 13,0 | |||
4 | 450 | 500 | 14,0 | |||
5 | 650 | 700 | 15,0 | |||
6 | 750 | 750 | 16,0 | |||
7 | 17,0 | |||||
8 | 18,0 | |||||
9 | 19,0 | |||||
10 | 21,0 | |||||
11 | 22,0 | |||||
12 | 23,0 | |||||
13 | 25,0 | |||||
14 | 27,0 | |||||
t = 1,94S0,191 SM0,181 M0,032 | ||||||
КАРТА 4.1.13 | |||||
Содержание комплекса | Обозначение микроэлементов по БСМ | ||||
1. | Протянуть руку (руки) к детали (таре с деталями) | ПРN (S) (ОС1; К2) | |||
2. | Взяться | ВЗN (ОС1; К1; И) | |||
3. | Нажать | НРУ | |||
4. | Переместить деталь (тару с деталями) по склизу | ППN (SM; M; LM) (ОС1; К1; И) | |||
Индекс фактора для определения времени | Масса детали (тары с деталями) M, кг, до | Время на комплекс t, тыс. доли мин. | |||
0 | 15 | 21 | |||
1 | 150 | 23 | |||
t = 19,85M0,031 | |||||
КАРТА 4.1.14 | |||||||||
Содержание комплекса | Обозначение микроэлементов по БСМ | ||||||||
Переход к предмету | |||||||||
1. | Повернуть корпус | ПТ (Y) (П1) | |||||||
2. | Подойти к предмету | X (S) (СТ) | |||||||
3. | Повернуть корпус | ПТ (Y) (П1) | |||||||
Переход с предметом | |||||||||
1. | Повернуть корпус | ПТ (Y; M; LM) (П1) | |||||||
2. | Идти с предметом | X (SM; M; LM) (СТ) | |||||||
3. | Повернуть корпус | ПТ (Y; M; LM) (П1) | |||||||
Индекс факторов или сумма индексов для определения времени | К предмету | С предметом | |||||||
Расстояние перехода к предмету S, мм, до | Время на комплекс t, тыс. доли мин. | Расстояние перемещения предмета SM, мм, до | Масса предмета (усилие перемещения) M, кг, до | Длина наибольшей стороны предмета LM, мм, до | Время на комплекс t, тыс. доли мин. | ||||
1500 | 4 | 1500 | 5 | 500 | 5 | ||||
2250 | 11 | 2250 | 20 | 2000 | 8 | ||||
3000 | 19 | 3000 | 18 | ||||||
3 | 3750 | 26 | 3750 | 22 | |||||
4 | 4500 | 34 | 4500 | 35 | |||||
5 | 5250 | 42 | 5250 | 45 | |||||
6 | 6000 | 49 | 6000 | 56 | |||||
7 | 63 | ||||||||
8 | 68 | ||||||||
Поправочный коэффициент на время для измененных условий работы | |||||||||
при ходьбе по скользкому полу, стесненно Kст2 = 1,50 | |||||||||
t = 0,01 (S - 750) Kст | t = 0,01 (SM - 750) M0,05 LM0,03 Kст | ||||||||
КАРТА 4.2.1 | ЛИСТ 1 | |||||||||
Содержание комплекса | Обозначение микроэлементов по БСМ | |||||||||
1 | Протянуть руку (руки) в зону хранения или зону промежуточного положения | ПРN (S) (ОС1; К) | ||||||||
2. | Взять деталь (детали) из ряда, груды на столе (станине, верхней части суппорта, рольганге, конвейере) | ВN (M; Z; LM) (ОС; К; И) | ||||||||
3. | Переместить деталь (детали) в зону установки | ПN (SM; M; LM) (ОС1; К3; И) | ||||||||
Индекс факторов или сумма индексов для определения времени | Одной рукой | |||||||||
Масса детали (деталей), кг, 0,01 < M <= 0,1 | Масса детали (деталей), кг, 0,1 < M <= 8 | |||||||||
Расстояние перемещения руки к деталям S, мм, до | Расстояние перемещения детали (деталей) SM, мм, до | Время на комплекс t, тыс. доли мин. | Расстояние перемещения руки к деталям S, мм, до | Расстояние перемещения детали (деталей) SM, мм, до | Масса детали (деталей) M, кг, до | Время на комплекс t, тыс. доли мин. | ||||
0 | 125 | 125 | 13,5 | 120 | 110 | 0,2 | 11,5 | |||
1 | 200 | 200 | 15,0 | 200 | 150 | 1,0 | 12,0 | |||
2 | 400 | 350 | 16,5 | 300 | 200 | 4,0 | 13,0 | |||
3 | 700 | 600 | 18,0 | 450 | 250 | 8,0 | 14,0 | |||
4 | 750 | 750 | 20,0 | 700 | 300 | 15,0 | ||||
22,0 | 750 | 400 | 16,0 | |||||||
6 | 24,0 | 500 | 17,0 | |||||||
Перемещение вручную необработанных деталей из зоны хранения или зоны промежуточного положения в зону установки на станке (в приспособлении). Способ хранения деталей: в груде, ряду (стопе, штабеле) | КАРТА 4.2.1 | ЛИСТ 2 | |||||
Индекс факторов или сумма индексов для определения времени | Одной рукой | ||||||
Масса детали (деталей), кг, 0,01 < M <= 0,1 | Масса детали (деталей), кг, 0,1 < M <= 8 | ||||||
Расстояние перемещения руки к деталям S, мм, до | Расстояние перемещения детали (деталей) SM, мм, до | Время на комплекс t, тыс. доли мин. | Расстояние перемещения руки к деталям S, мм, до | Расстояние перемещения детали (деталей) SM, мм, до | Масса детали (деталей) M, кг, до | Время на комплекс t, тыс. доли мин. | |
7 | 26,5 | 650 | 18,0 | ||||
8 | 29,0 | 750 | 19,0 | ||||
9 | 21,0 | ||||||
22,0 | |||||||
11 | 24,0 | ||||||
12 | 25,0 | ||||||
13 | 27,0 | ||||||
14 | 29,0 | ||||||
31,0 | |||||||
16 | 33,0 | ||||||
Поправочные коэффициенты на время для измененных условий работы | |||||||
для мелких (диаметром или толщиной Z <= 5 мм) или для перемешанных деталей Kкз = 1,08 | |||||||
t = 2,66S0,170 SM0,185 Kк | t = 1,91S0,150 SM0,264 M0,044 Kк | ||||||
Перемещение вручную необработанных деталей из зоны хранения или зоны промежуточного положения в зону установки на станке (в приспособлении). Способ хранения деталей: в груде, ряду (стопе, штабеле) | КАРТА 4.2.1 | ЛИСТ 3 | |||
Двумя руками | |||||
Масса детали (деталей), кг, 1 < M <= 20 | |||||
Индекс факторов или сумма индексов для определения времени | Расстояние перемещения рук к деталям S, мм, до | Расстояние перемещения детали (деталей), SM, мм, до | Масса детали (деталей) M, кг, до | Длина наибольшей стороны детали LM, мм, до | Время на комплекс t, тыс. доли мин. |
0 | 120 | 110 | 1,5 | 150 | 11,0 |
1 | 150 | 150 | 3,0 | 250 | 11,5 |
2 | 250 | 200 | 5,0 | 450 | 12,0 |
3 | 350 | 250 | 10,0 | 800 | 13,0 |
4 | 550 | 300 | 20,0 | 1400 | 13,5 |
5 | 750 | 350 | 2000 | 14,0 | |
6 | 450 | 15,0 | |||
7 | 550 | 16,0 | |||
8 | 700 | 16,5 | |||
9 | 750 | 17,0 | |||
10 | 18,0 | ||||
11 | 19,0 | ||||
12 | 20,0 | ||||
13 | 21,0 | ||||
14 | 22,0 | ||||
15 | 23,0 | ||||
16 | 24,0 | ||||
17 | 25,0 | ||||
Перемещение вручную необработанных деталей из зоны хранения или зоны промежуточного положения в зону установки на станке (в приспособлении). Способ хранения деталей: в груде, ряду (стопе, штабеле) | КАРТА 4.2.1 | ЛИСТ 4 | |||
Двумя руками | |||||
Масса детали (деталей), кг, 1 < M <= 20 | |||||
Индекс факторов или сумма индексов для определения времени | Расстояние перемещения рук к деталям S, мм, до | Расстояние перемещения детали (деталей) SM, мм, до | Масса детали (деталей) M, кг, до | Длина наибольшей стороны детали LM, мм, до | Время на комплекс t, тыс. доли мин. |
18 | 27,0 | ||||
19 | 28,0 | ||||
20 | 29,0 | ||||
21 | 31,0 | ||||
22 | 33,0 | ||||
23 | 34,0 | ||||
Поправочные коэффициенты на время для измененных условий работы: | |||||
для труднозахватываемых деталей Kос2 = 1,08 | |||||
при работе в рукавицах Kиз = 1,07 | |||||
для перемешанных деталей Kкз = 1,11 | |||||
t = 1,56S0,132 SM0,212 M0,076 LM0,083 Kос Kи Kк | |||||
КАРТА 4.2.2 | ЛИСТ 1 | |||||||||
Содержание комплекса | Обозначение микроэлементов по БСМ | |||||||||
1. | Протянуть руку (руки) в зону хранения деталей | ПРN (S) (ОС1; К) | ||||||||
2. | Взять деталь | ВN (M; Z; LM) (ОС; К; И) | ||||||||
3. | Вынуть (снять) деталь из гнезда тары (из бункера, со штыря, крюка) | РСN (M; LD) (ОС; ОР1; И) | ||||||||
4. | Переместить деталь (детали) в зону установки | ПN (SM; M; LM) (ОС1; К3; И) | ||||||||
Индекс факторов или сумма индексов для определения времени | Одной рукой | |||||||||
Масса детали (деталей), кг, 0,01 < M <= 0,1 | Масса детали (деталей), кг, 01 < M <= 4 | |||||||||
Расстояние перемещения руки к деталям S, мм, до | Расстояние перемещения детали (деталей) SM, мм, до | Время на комплекс t, тыс. доли мин. | Расстояние перемещения руки к деталям S, мм, до | Расстояние перемещения детали (деталей) SM, мм, до | Масса детали (деталей) M, кг, до | Время на комплекс t, тыс. доли мин. | ||||
0 | 130 | 130 | 15,0 | 130 | 120 | 0,15 | 15 | |||
1 | 250 | 220 | 16,5 | 230 | 150 | 0,30 | 16 | |||
2 | 450 | 400 | 18,0 | 390 | 250 | 0,60 | 17 | |||
3 | 750 | 650 | 20,0 | 660 | 300 | 1,00 | 18 | |||
4 | 750 | 22,0 | 750 | 450 | 2,00 | 19 | ||||
5 | 24,0 | 600 | 4,00 | 20 | ||||||
6 | 26,5 | 750 | 22 | |||||||
7 | 29,0 | 23 | ||||||||
КАРТА 4.2.2 | ЛИСТ 2 | |||||||
Индекс факторов или сумма индексов для определения времени | Одной рукой | |||||||
Масса детали (деталей), кг, 0,01 < M <= 0,1 | Масса детали (деталей), кг, 01 < M <= 4 | |||||||
Расстояние перемещения руки к деталям S, мм, до | Расстояние перемещения детали (деталей) SM, мм, до | Время на комплекс t, тыс. доли мин. | Расстояние перемещения руки к деталям S, мм, до | Расстояние перемещения детали (деталей) SM, мм, до | Масса детали (деталей) M, кг, до | Время на комплекс t, тыс. доли мин. | ||
8 | 25 | |||||||
9 | 26 | |||||||
10 | 28 | |||||||
11 | 30 | |||||||
12 | 32 | |||||||
13 | 34 | |||||||
14 | 36 | |||||||
15 | 38 | |||||||
Поправочные коэффициенты на время для измененных условий работы: | ||||||||
для труднозахватываемых деталей Kос2 = 1,18 | ||||||||
при работе в рукавицах Kиз = 1,06 | ||||||||
для мелких деталей (диаметром или толщиной Z <= 5 мм) Kкз = 1,06 | - | |||||||
t = 3,29S0,158 SM0,172 Kос Kи Kк | t = 4,21S0,120 SM0,198 M0,094 Kос Kи | |||||||
Перемещение вручную необработанных деталей из зоны хранения в зону установки на станке (в приспособлении). Способ хранения деталей: в гнездах тары (в бункере, на штырях, крюках) | КАРТА 4.2.2 | ЛИСТ 3 | |||
Двумя руками | |||||
Масса детали (деталей), кг, 1 < M <= 20 | |||||
Индекс факторов или сумма индексов для определения времени | Расстояние перемещения рук к детали (деталям) S, мм, до | Расстояние перемещения детали (деталей) SM, мм, до | Масса детали (деталей) M, кг, до | Длина наибольшей стороны детали LM, мм, до | Время на комплекс t, тыс. доли мин. |
130 | 120 | 1,2 | 150 | 15 | |
1 | 200 | 150 | 2,0 | 350 | 16 |
2 | 350 | 200 | 2,5 | 750 | 17 |
3 | 550 | 300 | 4,0 | 1650 | 18 |
4 | 750 | 400 | 6,0 | 2000 | 19 |
5 | 550 | 8,0 | 20 | ||
6 | 750 | 12,0 | 21 | ||
7 | 18,0 | 22 | |||
8 | 20,0 | 23 | |||
9 | 24 | ||||
10 | 26 | ||||
11 | 27 | ||||
28 | |||||
13 | 30 | ||||
14 | 31 | ||||
15 | 33 | ||||
16 | 34 | ||||
17 | 36 | ||||
18 | 38 | ||||
Перемещение вручную необработанных деталей из зоны хранения в зону установки на станке (в приспособлении). Способ хранения деталей: в гнездах тары (в бункере, на штырях, крюках) | КАРТА 4.2.2 | ЛИСТ 4 | |||
Двумя руками | |||||
Масса детали (деталей), кг, 1 < M <= 20 | |||||
Индекс факторов или сумма индексов для определения времени | Расстояние перемещения рук к детали (деталям) S, мм, до | Расстояние перемещения детали (деталей) SM, мм, до | Масса детали (деталей) M, кг, до | Длина наибольшей стороны детали LM, мм, до | Время на комплекс t, тыс. доли мин. |
40 | |||||
42 | |||||
21 | 44 | ||||
22 | 46 | ||||
Поправочные коэффициенты на время для измененных условий работы: | |||||
для труднозахватываемых деталей Kос2 = 1,25 | |||||
при работе в рукавицах Kиз = 1,07 | |||||
t = 3,63S0,099 SM0,159 M0,126 LM0,061 Kос Kи | |||||
КАРТА 4.2.3 | ||||||
Содержание комплекса | Обозначение микроэлементов по БСМ | |||||
1. | Протянуть руку в зону хранения деталей | ПР1 (S) (ОС1; К) | ||||
2. | Взять деталь | В1 (M; Z; LM) (ОС1; К1; И1) | ||||
3. | Вынуть (снять) деталь из гнезда тары (со штыря, крюка, из бункера) | РС1 (M; LD) (ОС1; ОР1; И1) | ||||
4. | Перехватить деталь | ВП | ||||
Индекс факторов или сумма индексов для определения времени | Масса детали, кг, 0,01 < M <= 0,1 | Масса детали, кг, 0,1 < M <= 1 | ||||
Расстояние перемещения руки к деталям S, мм, до | Время на комплекс t, тыс. доли мин. | Расстояние перемещения руки к деталям S, мм, до | Масса детали M, кг, до | Время на комплекс t, тыс. доли мин. | ||
0 | 50 | 13 | 50 | 0,2 | 13 | |
1 | 100 | 15 | 100 | 0,5 | 14 | |
2 | 150 | 16 | 200 | 1,0 | 15 | |
3 | 300 | 17 | 300 | 16 | ||
4 | 17 | |||||
5 | 20 | |||||
Поправочные коэффициенты на время для измененных условий работы: | ||||||
для труднозахватываемых деталей Kос2 = 1,33 | ||||||
для мелких деталей (диаметром или толщиной Z <= 5 мм) | - | |||||
Kкз = 1,14 | ||||||
t = 8,35S0,141 Kос Kк | t = 9,52S0,131 M0,081 Kос | |||||
КАРТА 4.2.4 | ||
Содержание комплекса | Обозначение микроэлементов по БСМ | |
1. | Перехватить деталь | ВП |
2. | Протянуть правую руку к деталям в левой руке | ПР1 (S) (ОС1; К) |
3. | Взять деталь | В1 (M; Z; LM) (ОС1; К1; И1) |
4. | Переместить деталь в зону установки | П1 (SM; M; LM) (ОС1; К3; И1) |
Индекс факторов или сумма индексов для определения времени | Масса детали, кг, 0,01 < M <= 0,1 | Масса детали, кг, 0,1 < M <= 1 | |||||
Расстояние перемещения руки к деталям S, мм, до | Расстояние перемещения детали SM, мм, до | Время на комплекс t, тыс. доли мин. | Расстояние перемещения руки к деталям S, мм, до | Расстояние перемещения детали (деталей) SM, мм, до | Время на комплекс t, тыс. доли мин. | ||
0 | 40 | 40 | 10,5 | 50 | 40 | 11 | |
1 | 90 | 70 | 11,5 | 100 | 70 | 12 | |
2 | 200 | 150 | 12,5 | 250 | 100 | 13 | |
300 | 250 | 14,0 | 300 | 200 | 14 | ||
4 | 300 | 15,0 | 300 | 16 | |||
5 | 17,0 | 17 | |||||
6 | 18,5 | 19 | |||||
7 | 20,0 | 21 | |||||
Поправочные коэффициенты на время для измененных условий работы: | |||||||
для труднозахватываемых деталей Kос2 = 1,11 | |||||||
для мелких деталей (диаметром или толщиной Z <= 5 мм) Kкз = 1,28 | - | ||||||
t = 4,10S0,124 SM0,150 Kос Kк | t = 4,05S0,116 SM0,173 Kос | ||||||
КАРТА 4.3.1 | ЛИСТ 1 | ||||||||
Содержание комплекса | Обозначение микроэлементов по БСМ | ||||||||
1. | Протянуть руку (руки) к детали (деталям) | ПРN (S) (ОС1; К) | |||||||
2. | Взять деталь (детали) | BN (К; Z; LM) (ОС; К1; И) | |||||||
3. | Переместить деталь (детали) в зону хранения или зону промежуточного положения (на стол, станину, верхнюю часть суппорта, конвейер, рольганг, тару) | ПN (SM; M; LM) (ОС1; К2; И) | |||||||
4. | Отпустить | OTN (ОС1) | |||||||
Индекс факторов или сумма индексов для определения времени | Одной рукой | ||||||||
Масса детали (деталей), кг, 0,01 < M <= 0,1 | Масса детали (деталей), кг, 0,1 < M <= 8 | ||||||||
Расстояние перемещения руки к деталям S, мм, до | Расстояние перемещения детали (деталей) SM, мм, до | Время на комплекс t, тыс. доли мин. | Расстояние перемещения руки к деталям S, мм, до | Расстояние перемещения детали (деталей) SM, мм, до | Масса детали (деталей) M, кг, до | Длина наибольшей стороны детали LM, мм, до | Время на комплекс t, тыс. доли мин. | ||
0 | 125 | 125 | 11,5 | 120 | 110 | 0,2 | 50 | 11,0 | |
1 | 200 | 200 | 13,0 | 150 | 130 | 0,5 | 100 | 11,5 | |
2 | 350 | 350 | 14,0 | 200 | 160 | 2,0 | 400 | 12,0 | |
3 | 550 | 550 | 15,5 | 300 | 200 | 7,0 | 500 | 12,5 | |
4 | 750 | 750 | 17,0 | 400 | 250 | 8,0 | 13,0 | ||
5 | 19,0 | 600 | 300 | 14,0 | |||||
6 | 20,5 | 750 | 350 | 15,0 | |||||
7 | 23,0 | 450 | 15,5 | ||||||
8 | 25,0 | 550 | 16,0 | ||||||
9 | 700 | 17,0 | |||||||
Перемещение вручную обработанной детали (деталей) из зоны снятия со станка (из приспособления) в зону хранения или зону промежуточного положения. Способ укладки деталей: в груду | КАРТА 4.3.1 | ЛИСТ 2 | |||||||
Индекс факторов или сумма индексов для определения времени | Одной рукой | ||||||||
Масса детали (деталей), кг, 0,01 < M <= 0,1 | Масса детали (деталей), кг, 0,1 < M <= 8 | ||||||||
Расстояние перемещения руки к деталям S, мм, до | Расстояние перемещения детали (деталей) SM, мм, до | Время на комплекс t, тыс. доли мин. | Расстояние перемещения руки к деталям S, мм, до | Расстояние перемещения детали (деталей) SM, мм, до | Масса детали (деталей) M, кг, до | Длина наибольшей стороны детали LM, мм, до | Время на комплекс t, тыс. доли мин. | ||
10 | 750 | 18,0 | |||||||
11 | 19,0 | ||||||||
12 | 20,0 | ||||||||
13 | 21,0 | ||||||||
14 | 22,0 | ||||||||
15 | 23,0 | ||||||||
16 | 24,0 | ||||||||
17 | 25,0 | ||||||||
18 | 27,0 | ||||||||
19 | 28,0 | ||||||||
20 | 29,0 | ||||||||
21 | 31,0 | ||||||||
22 | 32,0 | ||||||||
23 | 34,0 | ||||||||
Поправочные коэффициенты на время для измененных условий работы: | |||||||||
для мелких деталей (диаметром или толщиной Z <= 5 мм) Kкз = 1,07 | - | ||||||||
при перемещении детали (деталей) отбрасыванием Kсп2 = 0,67 | |||||||||
t = 2,01S0,191 SM0,191 Kк Kсп | t = 1,77S0,150 SM0,240 M0,041 LM0,042 Kсп | ||||||||
Перемещение вручную обработанной детали (деталей) из зоны снятия со станка (из приспособления) в зону хранения или зону промежуточного положения. Способ укладки деталей: в груду | КАРТА 4.3.1 | ЛИСТ 3 | |||
Двумя руками | |||||
Масса детали (деталей), кг, 1 < M <= 20 | |||||
Индекс факторов или сумма индексов для определения времени | Расстояние перемещения рук к деталям, S мм, до | Расстояние перемещения детали (деталей) SM, мм, до | Масса детали (деталей) M, кг, до | Длина наибольшей стороны детали LM, мм, до | Время на комплекс t, тыс. доли мин. |
0 | 120 | 110 | 1,5 | 150 | 13,0 |
1 | 150 | 150 | 3,0 | 250 | 13,5 |
2 | 250 | 200 | 5,0 | 450 | 14,0 |
3 | 350 | 250 | 11,0 | 850 | 15,0 |
4 | 550 | 300 | 20,0 | 1600 | 15,5 |
5 | 750 | 400 | 2000 | 16,0 | |
6 | 500 | 17,0 | |||
7 | 650 | 18,0 | |||
8 | 750 | 19,0 | |||
9 | 20,0 | ||||
10 | 21,0 | ||||
11 | 22,0 | ||||
12 | 23,0 | ||||
13 | 24,0 | ||||
14 | 25,0 | ||||
Перемещение вручную обработанной детали (деталей) из зоны снятия со станка (из приспособления) в зону хранения или зону промежуточного положения. Способ укладки деталей: в груду | КАРТА 4.3.1 | ЛИСТ 4 | |||
Двумя руками | |||||
Масса детали (деталей), кг, 1 < M <= 20 | |||||
Индекс факторов или сумма индексов для определения времени | Расстояние перемещения рук к деталям S, мм, до | Расстояние перемещения детали (деталей) SM, мм, до | Масса детали (деталей) M, кг, до | Длина наибольшей стороны детали LM, мм, до | Время на комплекс t, тыс. доли мин. |
15 | 27,0 | ||||
16 | 28,0 | ||||
17 | 30,0 | ||||
18 | 31,0 | ||||
19 | 33,0 | ||||
34,0 | |||||
21 | 36,0 | ||||
22 | 38,0 | ||||
Поправочные коэффициенты на время для измененных условий работы: | |||||
для труднозахватываемых деталей Kос2 = 1,08 | |||||
при работе в рукавицах Kиз = 1,06 | |||||
при перемещении детали (деталей) отбрасыванием Kсп2 = 0,81 | |||||
t = 2,04S0,138 SM0,192 M0,072 LM0,079 Kос Kи Kсп | |||||
КАРТА 4.3.2 | ЛИСТ 1 | ||||||||||
Содержание комплекса | Обозначение микроэлемента по БСМ | ||||||||||
1. | Протянуть руку (руки) в зону снятия деталей | ПPN (S) (ОС1; К) | |||||||||
2. | Взять деталь (детали) | BN (M; Z; LM) (ОС; К1; И) | |||||||||
3. | Переместить деталь (детали) в зону хранения или зону промежуточного положения (на стол, станину, верхнюю часть суппорта, конвейер, рольганг, тару) | ПN (SM; M; LM) (ОС1; К3; И) | |||||||||
4. | Установить деталь (детали) в ряд (стопу, штабель) | УПN (M; LM) (ОС; ОР1; И) | |||||||||
5. | Отпустить | OTN (ОС1) | |||||||||
Индекс факторов или сумма индексов для определения времени | Одной рукой | ||||||||||
Масса детали (деталей), кг, 0,01 < M <= 0,1 | Масса детали (деталей), кг, 0,1 < M <= 4 | ||||||||||
Расстояние перемещения руки к деталям S, мм, до | Расстояние перемещения детали (деталей) SM, мм, до | Длина наибольшей стороны детали LM, мм, до | Время на комплекс t, тыс. доли мин. | Расстояние перемещения руки к деталям S, мм, до | Расстояние перемещения детали (деталей) SM, мм, до | Масса детали (деталей) M, кг, до | Длина наибольшей стороны детали LM, мм, до | Время на комплекс t, тыс. доли мин. | |||
0 | 125 | 125 | 40 | 13,5 | 120 | 120 | 0,12 | 60 | 12,0 | ||
1 | 200 | 225 | 500 | 15,0 | 200 | 150 | 0,20 | 70 | 12,5 | ||
2 | 350 | 400 | 16,0 | 300 | 200 | 0,30 | 90 | 13,0 | |||
3 | 600 | 700 | 18,0 | 450 | 300 | 0,40 | 120 | 14,0 | |||
4 | 750 | 750 | 19,5 | 750 | 400 | 0,50 | 150 | 14,5 | |||
5 | 21,5 | 500 | 0,70 | 200 | 15,5 | ||||||
6 | 24,0 | 700 | 1,00 | 250 | 16,0 | ||||||
7 | 26,0 | 750 | 1,50 | 300 | 17,0 | ||||||
8 | 29,0 | 2,00 | 400 | 18,0 | |||||||
9 | 32,0 | 3,00 | 500 | 19,0 | |||||||
10 | 4,00 | 20,0 | |||||||||
11 | 21,0 | ||||||||||
22,0 | |||||||||||
13 | 23,0 | ||||||||||
Перемещение вручную обработанной детали (деталей) из зоны снятия со станка (из приспособления) в зону хранения или зону промежуточного положения. Способ укладки деталей: в ряд (стопу, штабель) | КАРТА 4.3.2 | ЛИСТ 2 | |||||||
Индекс факторов или сумма индексов для определения времени | Одной рукой | ||||||||
Масса детали (деталей), кг, 0,01 < M <= 0,1 | Масса детали (деталей), кг, 0,1 < M <= 4 | ||||||||
Расстояние перемещения руки к деталям S, мм, до | Расстояние перемещения детали (деталей) SM, мм, до | Длина наибольшей стороны детали LM, мм, до | Время на комплекс t, тыс. доли мин. | Расстояние перемещения руки к деталям S, мм, до | Расстояние перемещения детали (деталей) SM, мм, до | Масса детали (деталей) M, кг, до | Длина наибольшей стороны детали LM, мм, до | Время на комплекс t, тыс. доли мин. | |
14 | 24,0 | ||||||||
15 | 25,0 | ||||||||
16 | 26,0 | ||||||||
17 | 28,0 | ||||||||
18 | 29,0 | ||||||||
19 | 31,0 | ||||||||
20 | 32,0 | ||||||||
21 | 34,0 | ||||||||
22 | 35,0 | ||||||||
23 | 37,0 | ||||||||
24 | 39,0 | ||||||||
25 | 41,0 | ||||||||
26 | 43,0 | ||||||||
27 | 45,0 | ||||||||
28 | 47,0 | ||||||||
29 | 50,0 | ||||||||
30 | 52,0 | ||||||||
Поправочные коэффициенты на время для измененных условий работы: | |||||||||
для труднозахватываемых деталей Kос2 = 1,06 | |||||||||
при работе в рукавицах Kиз = 1,12 | |||||||||
t = 2,48S0,184 SM0,169 ZM0,021 Kос Kи | t = 2,25S0,101 SM0,165 M0,135 LM0,196 Kос Kи | ||||||||
Перемещение вручную обработанной детали (деталей) из зоны снятия со станка (из приспособления) в зону хранения или зону промежуточного положения. Способ укладки деталей: в ряд (стопу, штабель) | КАРТА 4.3.2 | ЛИСТ 3 | |||
Двумя руками | |||||
Масса детали (деталей), кг, 1 < M <= 20 | |||||
Индекс факторов или сумма индексов для определения времени | Расстояние перемещения рук к деталям S, мм, до | Расстояние перемещения детали (деталей) SM, мм, до | Масса детали (деталей) M, кг, до | Длина наибольшей стороны детали LM, мм, до | Время на комплекс t, тыс. доли мин. |
0 | 150 | 120 | 1,1 | 110 | 13,0 |
1 | 250 | 200 | 1,4 | 130 | 14,0 |
500 | 300 | 1,8 | 150 | 14,5 | |
3 | 750 | 450 | 2,2 | 200 | 15,0 |
4 | 650 | 2,7 | 250 | 16,0 | |
5 | 750 | 3,0 | 300 | 17,0 | |
6 | 4,0 | 350 | 17,5 | ||
7 | 5,0 | 400 | 18,0 | ||
8 | 7,0 | 500 | 19,0 | ||
9 | 8,0 | 600 | 20,0 | ||
10 | 10,0 | 700 | 21,0 | ||
11 | 13,0 | 850 | 22,0 | ||
12 | 16,0 | 1050 | 24,0 | ||
13 | 20,0 | 1250 | 25,0 | ||
14 | 1500 | 26,0 | |||
15 | 1800 | 27,0 | |||
Перемещение вручную обработанной детали (деталей) из зоны снятия со станка (из приспособления) в зону хранения или зону промежуточного положения. Способ укладки деталей: в ряд (стопу, штабель) | КАРТА 4.3.2 | ЛИСТ 4 | |||
Двумя руками | |||||
Масса детали (деталей), кг, 1 < M <= 20 | |||||
Индекс факторов или сумма индексов для определения времени | Расстояние перемещения рук к деталям S, мм, до | Расстояние перемещения детали (деталей) SM, мм, до | Масса детали (деталей) M, кг, до | Длина наибольшей стороны детали LM, мм, до | Время на комплекс t, тыс. доли мин. |
16 | 2000 | 29,0 | |||
17 | 30,0 | ||||
18 | 32,0 | ||||
19 | 33,0 | ||||
20 | 35,0 | ||||
21 | 37,0 | ||||
22 | 38,0 | ||||
23 | 40,0 | ||||
24 | 42,0 | ||||
25 | 44,0 | ||||
26 | 47,0 | ||||
27 | 49,0 | ||||
28 | 51,0 | ||||
29 | 54,0 | ||||
30 | 57,0 | ||||
31 | 60,0 | ||||
32 | 63,0 | ||||
33 | 66,0 | ||||
Перемещение вручную обработанной детали (деталей) из зоны снятия со станка (из приспособления) в зону хранения или зону промежуточного положения. Способ укладки деталей: в ряд (стопу, штабель) | КАРТА 4.3.2 | ЛИСТ 5 | |||
Индекс факторов или сумма индексов для определения времени | Двумя руками | ||||
Масса детали (деталей), кг, 1 < M <= 20 | |||||
Расстояние перемещения рук к деталям S, мм, до | Расстояние перемещения детали (деталей) SM, мм, до | Масса детали (деталей) M, кг, до | Длина наибольшей стороны детали LM, мм, до | Время на комплекс t, тыс. доли мин. | |
34 | 69,0 | ||||
35 | 72,0 | ||||
36 | 76,0 | ||||
37 | 80,0 | ||||
Поправочные коэффициенты на время для измененных условий работы: | |||||
для труднозахватываемых деталей Kос2 = 1,08 | |||||
при работе в рукавицах Kиз = 1,16 | |||||
t = 1,65S0,074 SM0,115 M0,219 LM0,261 Kос Kи | |||||
КАРТА 4.3.3 | ЛИСТ 1 | ||||||||||
Содержание комплекса | Обозначение микроэлементов по БСМ | ||||||||||
1. | Протянуть руку (руки) в зону снятия детали (деталей) | ПРN (S) (ОС1; К) | |||||||||
2. | Взять деталь (детали) | BN (M; Z; LM) (ОС; К1; И) | |||||||||
3. | Переместить деталь (детали) в зону хранения или зону промежуточного положения (на стол, станину, верхнюю часть суппорта, конвейер, рольганг, тару) | ПN (SM; M; LM) (ОС1; К3; И) | |||||||||
4. | Установить деталь (детали) в гнездо (на штырь, крюк) | УОСN (M; LD; LM) (ОС; ОР1; И) | |||||||||
5. | Отпустить | OTN (ОС1) | |||||||||
Индекс факторов или сумма индексов для определения времени | Одной рукой | ||||||||||
Масса детали (деталей), кг, 0,01 < M <= 0,1 | Масса детали (деталей), кг, 0,1 < M <= 4 | ||||||||||
Расстояние перемещения руки к деталям S, мм, до | Расстояние перемещения детали (деталей) SM, мм, до | Время на комплекс t, тыс. доли мин. | Расстояние перемещения руки к деталям S, мм, до | Расстояние перемещения детали (деталей) SM, мм, до | Масса детали (деталей) M, кг, до | Длина наибольшей стороны детали LM, мм, до | Длина наибольшей стороны детали (деталей) LD, мм, до | Время на комплекс t, тыс. доли мин. | |||
0 | 130 | 130 | 17,0 | 110 | 110 | 0,10 | 25 | 20 | 12,0 | ||
1 | 250 | 250 | 18,5 | 200 | 140 | 0,15 | 30 | 40 | 12,5 | ||
2 | 500 | 450 | 20,5 | 300 | 180 | 0,20 | 50 | 100 | 13,0 | ||
3 | 750 | 750 | 22,5 | 400 | 200 | 0,30 | 70 | 250 | 13,5 | ||
4 | 25,0 | 600 | 300 | 0,50 | 100 | 14,0 | |||||
5 | 27,0 | 750 | 350 | 0,70 | 150 | 14,5 | |||||
6 | 30,0 | 450 | 0,90 | 200 | 15,0 | ||||||
7 | 600 | 1,20 | 300 | 16,0 | |||||||
8 | 750 | 2,00 | 400 | 16,5 | |||||||
9 | 3,00 | 500 | 17,0 | ||||||||
10 | 4,00 | 18,0 | |||||||||
Перемещение вручную обработанной детали (деталей) из зоны снятия со станка (из приспособления) в зону хранения или зону промежуточного положения. Способ укладки деталей: в гнезда (на штыри, крюки) | КАРТА 4.3.3 | ЛИСТ 2 | |||||||
Индекс факторов или сумма индексов для определения времени | Одной рукой | ||||||||
Масса детали (деталей), кг, 0,01 < M <= 0,1 | Масса детали (деталей), кг, 0,1 < M <= 4 | ||||||||
Расстояние перемещения руки к деталям S, мм, до | Расстояние перемещения детали (деталей) SM, мм, до | Время на комплекс t, тыс. доли мин. | Расстояние перемещения руки к деталям S, мм, до | Расстояние перемещения детали (деталей) SM, мм, до | Масса детали (деталей) M, кг, до | Длина наибольшей стороны детали LM, мм, до | Длина продвижения детали (деталей) LD, мм, до | Время на комплекс t, тыс. доли мин. | |
11 | 18,5 | ||||||||
12 | 19,0 | ||||||||
13 | 20,0 | ||||||||
14 | 21,0 | ||||||||
15 | 22,0 | ||||||||
16 | 22,5 | ||||||||
17 | 23,0 | ||||||||
18 | 24,0 | ||||||||
19 | 25,0 | ||||||||
20 | 26,0 | ||||||||
21 | 27,5 | ||||||||
22 | 29,0 | ||||||||
23 | 30,0 | ||||||||
24 | 31,0 | ||||||||
25 | 32,0 | ||||||||
КАРТА 4.3.3 | ЛИСТ 3 | ||||||||
Индекс факторов или сумма индексов для определения времени | Одной рукой | ||||||||
Масса детали (деталей), кг, 0,01 < M <= 0,1 | Масса детали (деталей), кг, 0,1 < M <= 4 | ||||||||
Расстояние перемещения руки к деталям S, мм, до | Расстояние перемещения детали (деталей) SM, мм, до | Время на комплекс t, тыс. доли мин. | Расстояние перемещения руки к деталям S, мм, до | Расстояние перемещения детали (деталей) SM, мм, до | Масса детали (деталей) M, кг, до | Длина наибольшей стороны детали LM, мм, до | Длина продвижения детали (деталей) LD, мм, до | Время на комплекс t, тыс. доли мин. | |
26 | 33,0 | ||||||||
27 | 35,0 | ||||||||
28 | 36,0 | ||||||||
29 | 38,0 | ||||||||
30 | 39,0 | ||||||||
31 | 40,0 | ||||||||
32 | 42,0 | ||||||||
33 | 44,0 | ||||||||
34 | 46,0 | ||||||||
35 | 47,5 | ||||||||
Поправочные коэффициенты на время для измененных условий работы: | |||||||||
для труднозахватываемых деталей Kос2 = 1,24 | |||||||||
для мелких деталей (диаметром или толщиной Z <= 5 мм) Kкз = 1,06 | - | ||||||||
t = 4,20S0,145 SM0,158 Kос Kк | t = 2,96S0,102 SM0,167 M0,112 LM0,109 LD0,040 Kос | ||||||||
Перемещение вручную обработанной детали (деталей) из зоны снятия со станка (из приспособления) в зону хранения или зону промежуточного положения. Способ укладки деталей: в гнезда (на штыри, крюки) | КАРТА 4.3.3 | ЛИСТ 4 | ||||
Двумя руками | ||||||
Масса детали (деталей), кг, 1 < M <= 20 | ||||||
Индекс факторов или сумма индексов для определения времени | Расстояние перемещения рук к деталям S, мм, до | Расстояние перемещения детали (деталей) SM, мм, до | Масса детали (деталей) M, кг, до | Длина наибольшей стороны детали LM, мм, до | Длина продвижения детали (деталей) LD, мм, до | Время на комплекс t, тыс. доли мин. |
150 | 120 | 1,1 | 110 | 15 | 18,0 | |
1 | 300 | 200 | 1,4 | 140 | 25 | 18,5 |
550 | 300 | 1,7 | 170 | 40 | 19,0 | |
3 | 750 | 450 | 2,0 | 200 | 75 | 20,0 |
4 | 650 | 2,5 | 250 | 150 | 21,0 | |
5 | 750 | 3,0 | 350 | 250 | 22,0 | |
6 | 4,0 | 400 | 22,5 | |||
7 | 5,0 | 500 | 23,5 | |||
8 | 6,0 | 650 | 24,0 | |||
9 | 7,0 | 800 | 25,0 | |||
10 | 9,0 | 950 | 26,0 | |||
11 | 11,0 | 1200 | 27,0 | |||
12 | 14,0 | 1500 | 29,0 | |||
13 | 17,0 | 1850 | 30,0 | |||
14 | 20,0 | 2000 | 31,0 | |||
15 | 32,0 | |||||
16 | 33,0 | |||||
Перемещение вручную обработанной детали (деталей) из зоны снятия со станка (из приспособления) в зону хранения или зону промежуточного положения. Способ укладки деталей: в гнезда (на штыри, крюки) | КАРТА 4.3.3 | ЛИСТ 5 | ||||
Двумя руками | ||||||
Масса детали (деталей), кг, 1 < M <= 20 | ||||||
Индекс факторов или сумма индексов для определения времени | Расстояние перемещения рук к деталям S, мм, до | Расстояние перемещения детали (деталей) SM, мм, до | Масса детали (деталей) M, кг, до | Длина наибольшей стороны детали LM, мм, до | Длина продвижения детали (деталей) LD, мм, до | Время на комплекс t, тыс. доли мин. |
17 | 35,0 | |||||
18 | 36,0 | |||||
38,0 | ||||||
20 | 39,0 | |||||
21 | 41,0 | |||||
22 | 42,0 | |||||
23 | 44,0 | |||||
24 | 46,0 | |||||
25 | 48,0 | |||||
26 | 50,0 | |||||
27 | 52,0 | |||||
54,0 | ||||||
56,0 | ||||||
30 | 58,0 | |||||
31 | 60,0 | |||||
32 | 63,0 | |||||
33 | 65,0 | |||||
34 | 68,0 | |||||
35 | 70,0 | |||||
Перемещение вручную обработанной детали (деталей) из зоны снятия со станка (из приспособления) в зону хранения или зону промежуточного положения. Способ укладки деталей: в гнезда (на штыри, крюки) | КАРТА 4.3.3 | ЛИСТ 6 | ||||
Двумя руками | ||||||
Масса детали (деталей), кг, 1 < M <= 20 | ||||||
Индекс факторов или сумма индексов для определения времени | Расстояние перемещения рук к деталям S, мм, до | Расстояние перемещения детали (деталей) SM, мм, до | Масса детали (деталей) M, кг, до | Длина наибольшей стороны детали LM, мм, до | Длина продвижения детали (деталей) LD, мм, до | Время на комплекс t, тыс. доли мин. |
36 | 73,0 | |||||
37 | 76,0 | |||||
38 | 79,0 | |||||
39 | 82,0 | |||||
40 | 86,0 | |||||
41 | 89,0 | |||||
Поправочные коэффициенты на время для измененных условий работы: | ||||||
для труднозахватываемых деталей Kос2 = 1,44 | ||||||
при работе в рукавицах Kиз = 1,08 | ||||||
t = 3,28S0,059 SM0,094 M0,188 LM0,182 LD0,069 Kос Kи | ||||||
КАРТА 4.3.4 | ||||
Содержание комплекса | Обозначение микроэлементов по БСМ | |||
1. | Протянуть руку к детали в зоне снятия | ПР1 (S) (ОС1; К) | ||
2. | Взять деталь | В1 (M; Z; LM) (ОС2; К1; И) | ||
3. | Перехватить деталь | ВП | ||
Масса детали, кг, 0,01 < M <= 1 | ||||
Индекс фактора для определения времени | Расстояние перемещения руки к детали S, мм, до | Время на комплекс t, тыс. доли мин. | ||
0 | 40 | 10 | ||
1 | 50 | 11 | ||
2 | 100 | 12 | ||
3 | 200 | 13 | ||
4 | 300 | 14 | ||
Поправочные коэффициенты на время для измененных условий работы: | ||||
для труднозахватываемых деталей Kос2 = 1,18 | ||||
для мелких деталей (диаметром или толщиной Z <= 5 мм) Kкз = 1,18 | ||||
t = 5,23S0,139 Kос Kк | ||||
КАРТА 4.3.5 | ЛИСТ 1 | ||||||||
Содержание комплекса | Обозначение микроэлементов по БСМ | ||||||||
1 | Перехватить деталь левой рукой | ВП | |||||||
2. | Протянуть правую руку к деталям в левой руке | ПР1 (S) (ОС1; К) | |||||||
3. | Взять деталь правой рукой | B1 (M; Z; LM) (ОС1; К1; И) | |||||||
4. | Переместить деталь в зону хранения | П1 (SM; M; LM) (ОС1; К3; И) | |||||||
5. | Установить деталь в гнездо (на штырь, крюк) | УОС1 (M; LD; LM) (ОС1; ОР1; И) | |||||||
6. | Отпустить | ОТ1 (ОС1) | |||||||
Индекс факторов или сумма индексов для определения времени | Масса детали (деталей), кг, 0,01 < M <= 0,1 | Масса детали, кг, 0,1 < M <= 1 | |||||||
Расстояние перемещения руки к деталям S, мм, до | Расстояние перемещения детали SM, мм, до | Время на комплекс t, тыс. доли мин. | Расстояние перемещения руки к деталям S, мм, до | Расстояние перемещения детали SM, мм, до | Масса детали M, кг, до | Длина наибольшей стороны детали LM, мм, до | Время на комплекс t, тыс. доли мин. | ||
0 | 45 | 45 | 18,5 | 50 | 40 | 0,13 | 30 | 12,5 | |
1 | 140 | 120 | 20,0 | 100 | 50 | 0,20 | 50 | 13,0 | |
2 | 300 | 300 | 22,0 | 150 | 100 | 0,30 | 100 | 13,5 | |
3 | 24,5 | 250 | 150 | 0,60 | 150 | 14,0 | |||
4 | 27,0 | 300 | 200 | 0,90 | 200 | 15,0 | |||
5 | 250 | 1,00 | 350 | 16,0 | |||||
6 | 300 | 500 | 17,0 | ||||||
7 | 17,5 | ||||||||
8 | 18,0 | ||||||||
9 | 19,0 | ||||||||
10 | 20,0 | ||||||||
Раскладка деталей в гнезда (на штыри) при одновременном перемещении нескольких деталей (на одну деталь) | КАРТА 4.3.5 | ЛИСТ 2 | ||||||
Индекс факторов или сумма индексов для определения времени | Масса детали (деталей), кг, 0,01 < M <= 0,1 | Масса детали, кг, 0,1 < M <= 1 | ||||||
Расстояние перемещения руки к деталям S, мм, до | Расстояние перемещения детали SM, мм, до | Время на комплекс t, тыс. доли мин. | Расстояние перемещения руки к деталям S, мм, до | Расстояние перемещения детали SM, мм, до | Масса детали M, кг, до | Длина наибольшей стороны детали LM, мм, до | Время на комплекс t, тыс. доли мин. | |
11 | 21,0 | |||||||
12 | 22,0 | |||||||
13 | 24,0 | |||||||
14 | 25,0 | |||||||
15 | 26,0 | |||||||
16 | 27,0 | |||||||
17 | 29,0 | |||||||
18 | 30,0 | |||||||
19 | 32,0 | |||||||
20 | 33,0 | |||||||
21 | 35,0 | |||||||
Поправочные коэффициенты на время для измененных условий работы: | ||||||||
для труднозахватываемых деталей Kос2 = 1,28 | ||||||||
при работе в рукавицах Kиз = 1,09 | ||||||||
для мелких деталей (диаметром или толщиной Z <= 5 мм) | - | |||||||
Kкз = 1,09 | ||||||||
t = 9,94S0,086 SM0,096 Kос Kи Kк | t = 6,06S0,081 SM0,120 M0,101 LM0,092 Kос Kи | |||||||
КАРТА 4.4.1 | ЛИСТ 1 | ||
Содержание комплекса | Обозначение микроэлементов по БСМ | ||
1. | Протянуть руку (руки) к детали (приспособлению) | ПРN (S) (ОС1; К2) | |
2. | Взять деталь (приспособление) | BN (M; Z; LM) (OC; К1; И) | |
3. | Повернуть деталь (приспособление) в горизонтальной (вертикальной) плоскости на угол | ПОYN (M; YR; LM) (ОС; И) | |
4. | Отпустить | ОТN (ОС1) | |
Индекс факторов или сумма индексов для определения времени | Одной рукой | |||||||||
Масса детали (деталей), кг, 0,01 < M <= 0,1 | Масса детали (деталей), кг, 01 < M <= 10 | |||||||||
Плоскость поворота | ||||||||||
горизонтальная (вертикальная) | горизонтальная | вертикальная | ||||||||
Расстояние перемещения руки к детали (приспособлению) S, мм, до | Угол поворота детали (приспособления) YR, град., до | Время на комплекс t, тыс. доли мин. | Расстояние перемещения руки к детали (приспособлению) S, мм, до | Масса детали (приспособления) M, кг, до | Угол поворота детали (приспособления) YR, град., до | Время на комплекс t, тыс. доли мин. | Расстояние перемещения руки к детали (приспособлению) S, мм, до | Масса детали (приспособления) M, кг, до | Время на комплекс t, тыс. доли мин. | |
0 | 125 | 45 | 10,0 | 120 | 0,2 | 45 | 11,0 | 130 | 0,2 | 10 |
1 | 200 | 90 | 10,5 | 200 | 1,0 | - | 12,0 | 200 | 0,5 | 11 |
2 | 300 | - | 12,0 | 250 | 3,0 | 90 | 13,0 | 350 | 1,5 | 13 |
3 | 450 | 180 | 13,0 | 400 | 10,0 | 180 | 13,5 | 650 | 4,0 | 14 |
4 | 700 | 14,0 | 550 | 14,0 | 750 | 10,0 | 15 | |||
Поворот (кантование) детали (приспособления) | КАРТА 4.4.1 | ЛИСТ 2 | |||||||||
Одной рукой | |||||||||||
Индекс факторов или сумма индексов для определения времени | Масса детали (приспособления), кг, 0,01 < M <= 0,1 | Масса детали (приспособления), кг, 0,1 < M <= 10 | |||||||||
Плоскость поворота | |||||||||||
горизонтальная (вертикальная) | горизонтальная | вертикальная | |||||||||
Расстояние перемещения руки к детали (приспособлению) S, мм, до | Угол поворота детали (приспособления) YR, град., до | Время на комплекс t, тыс. доли мин. | Расстояние перемещения руки к детали (приспособлению) S, мм, до | Масса детали (приспособления) M, кг, до | Угол поворота детали (приспособления) YR, град., до | Время на комплекс t, тыс. доли мин. | Расстояние перемещения руки к детали (приспособлению) S, мм, до | Масса детали (приспособления) M, кг, до | Время на комплекс t, тыс. доли мин. | ||
5 | 750 | 15,0 | 750 | 15,0 | 17 | ||||||
6 | 17,0 | 16,0 | 18 | ||||||||
7 | 19,0 | 18,0 | 20 | ||||||||
8 | 21,0 | 19,0 | 22 | ||||||||
9 | 20,0 | ||||||||||
10 | 21,0 | ||||||||||
11 | 23,0 | ||||||||||
Поправочные коэффициенты на время для измененных условий работы: | |||||||||||
для труднозахватываемых деталей (приспособлений) Kос2 = 1,10 | |||||||||||
при работе в рукавицах Kиз = 1,09 | |||||||||||
t = 1,90S0,216 YR0,182 Kос Kи | t = 3,56S0,171 M0,046 YR0,137 Kос Kи | t = 5,58S0,181 M0,094 Kос Kи | |||||||||
Поворот (кантование) детали (приспособления) | КАРТА 4.4.1 | ЛИСТ 3 | |||||||
Двумя руками | |||||||||
Масса детали (приспособления), кг, 1 < M <= 70 | |||||||||
Индекс факторов или сумма индексов для определения времени | Плоскость поворота | ||||||||
горизонтальная | вертикальная | ||||||||
Расстояние перемещения руки к детали (приспособлению) S, мм, до | Масса детали (приспособления) M, кг, до | Длина наибольшей стороны детали (приспособления) LM, мм, до | Угол поворота детали (приспособления) YR, град., до | Время на комплекс t, тыс. доли мин. | Расстояние перемещения рук к детали (приспособлению) S, мм, до | Масса детали (приспособления) M, кг, до | Длина наибольшей стороны детали (приспособления) LM, мм, до | Время на комплекс t, тыс. доли мин. | |
0 | 120 | 1,5 | 120 | 45 | 11,5 | 125 | 1,3 | 200 | 14 |
1 | 200 | 2,5 | 150 | - | 12,0 | 200 | 2,0 | 1000 | 15 |
2 | 250 | 5,0 | 250 | 90 | 13,0 | 300 | 3,5 | 2000 | 16 |
3 | 400 | 8,0 | 300 | - | 13,5 | 500 | 6,0 | 17 | |
4 | 550 | 15,0 | 450 | 180 | 14,0 | 750 | 10,0 | 18 | |
5 | 750 | 30,0 | 600 | 15,0 | 16,0 | 20 | |||
6 | 50,0 | 850 | 15,5 | 25,0 | 21 | ||||
7 | 70,0 | 1200 | 16,0 | 45,0 | 22 | ||||
8 | 1700 | 17,0 | 70,0 | 24 | |||||
9 | 2000 | 18,0 | 25 | ||||||
10 | 19,0 | 27 | |||||||
11 | 20,0 | 29 | |||||||
12 | 21,0 | 31 | |||||||
13 | 22,0 | 33 | |||||||
14 | 23,0 | 35 | |||||||
15 | 24,0 | ||||||||
16 | 25,0 | ||||||||
17 | 27,0 | ||||||||
Поворот (кантование) детали (приспособления) | КАРТА 4.4.1 | ЛИСТ 4 | |||||||
Двумя руками | |||||||||
Масса детали (приспособления), кг, 1 < M <= 70 | |||||||||
Индекс факторов или сумма индексов для определения времени | Плоскость поворота | ||||||||
горизонтальная | вертикальная | ||||||||
Расстояние перемещения руки к детали (приспособлению) S, мм, до | Масса детали (приспособления) M, кг, до | Длина наибольшей стороны детали (приспособления) LM, мм, до | Угол поворота детали (приспособления) YR, град., до | Время на комплекс t, тыс. доли мин. | Расстояние перемещения рук к детали (приспособлению) S, мм, до | Масса детали (приспособления) M, кг, до | Длина наибольшей стороны детали (приспособления) LM, мм, до | Время на комплекс t, тыс. доли мин. | |
18 | 28,0 | ||||||||
19 | 29,0 | ||||||||
20 | 31,0 | ||||||||
21 | 32,0 | ||||||||
22 | 34,0 | ||||||||
23 | 36,0 | ||||||||
24 | 37,0 | ||||||||
25 | 39,0 | ||||||||
Поправочные коэффициенты на время для измененных условий работы: | |||||||||
для труднозахватываемых деталей (приспособлений) | |||||||||
Kос2 = 1,12 | |||||||||
при работе в рукавицах Kиз = 1,11 | |||||||||
t = 2,22S0,126 M0,080 LM0,146 YR0,118 Kос Kи | t = 6,05S0,141 M0,127 LM0,045 Kос Kи | ||||||||
КАРТА 4.5.1 | ЛИСТ 1 | |||||||||||
Содержание комплекса | Обозначение микроэлементов по БСМ | |||||||||||
В рабочее положение | ||||||||||||
1. | Протянуть руку в зону хранения инструмента (приспособления) | ПР1 (S) (ОС1; К2; И) | ||||||||||
2. | Взять инструмент (приспособление) | B1 (M; LM; Z) (ОС1; К1; И) | ||||||||||
3. | Вынуть из гнезда (снять со штыря) | PC1 (M; LD) (ОС1; ОР1; И) | ||||||||||
4. | Переместить в рабочее положение | П1 (SM; M; LM) (ОС1; К3; И) | ||||||||||
Из рабочего положения | ||||||||||||
1. | Протянуть руку к инструменту (приспособлению) | ПР1 (S) (ОС1; К2; И) | ||||||||||
2. | Взять инструмент (приспособление) | B1 (M; LM; Z) (ОС1; К1; И) | ||||||||||
3. | Переместить инструмент (приспособление) из рабочего положения в зону хранения | П1 (SM; M; LM) (ОС1; К2; И) | ||||||||||
4. | Положить на стол (установить на плоскость) | УП1 (M; LM) (ОС1; ОР1; И) | ||||||||||
5. | Установить в гнездо (надеть на штырь) | УОС1 (M; LD) (ОС1; ОР1; И) | ||||||||||
6. | Отпустить | ОТ1 (ОС1) | ||||||||||
Индекс факторов или сумма индексов для определения времени | В рабочее положение | Из рабочего положения | ||||||||||
Расстояние перемещения руки к инструменту (приспособлению) S, мм, до | Расстояние перемещения инструмента (приспособления), SM, мм, до | Масса инструмента (приспособления) M, кг, до | Способ хранения инструмента (приспособления) | Расстояние перемещения руки к инструменту (приспособлению) S, мм, до | Расстояние перемещения инструмента (приспособления) SM, мм, до | Масса инструмента (приспособления) M, кг, до | Длина инструмента (приспособления) LM, мм, до | Способ хранения инструмента (приспособления) | ||||
на плоскости | в гнезде, на штыре | на плоскости | в гнезде, на штыре | |||||||||
Время на комплекс t, тыс. доли мин. | Время на комплекс t, тыс. доли мин. | |||||||||||
0 | 130 | 120 | 0,14 | 10,0 | 15 | 130 | 120 | 0,10 | 25 | 9,0 | 12,0 | |
1 | 250 | 150 | 0,30 | 11,0 | 16 | 230 | 160 | 0,15 | 35 | 9,5 | 12,5 | |
2 | 400 | 250 | 0,60 | 11,5 | 17 | 400 | 220 | 0,25 | 55 | 10,0 | 13,0 | |
Перемещение съемного вспомогательного инструмента, приспособлений (втулок, оправок, державок, цанг, хомутиков, съемных планок, шайб и т.п.) | КАРТА 4.5.1 | ЛИСТ 2 | |||||||||
Индекс факторов или сумма индексов для определения времени | В рабочее положение | Из рабочего положения | |||||||||
Расстояние перемещения руки к инструменту (приспособлению) S, мм, до | Расстояние перемещения инструмента (приспособления) SM, мм, до | Масса инструмента (приспособления) M, кг, до | Способ хранения инструмента (приспособления) | Расстояние перемещения руки к инструменту (приспособлению) S, мм, до | Расстояние перемещения инструмента (приспособления) SM, мм, до | Масса инструмента (приспособления) M, кг, до | Длина инструмента (приспособления) LM, мм, до | Способ хранения инструмента (приспособления) | |||
на плоскости | в гнезде, на штыре | на плоскости | в гнезде, на штыре | ||||||||
Время на комплекс t, тыс. доли мин. | Время на комплекс t, тыс. доли мин. | ||||||||||
3 | 700 | 350 | 1,00 | 12,5 | 18 | 710 | 300 | 0,35 | 85 | 10,5 | 14,0 |
4 | 750 | 450 | 2,00 | 13,0 | 20 | 750 | 400 | 0,50 | 150 | 11,0 | 14,5 |
5 | 650 | 5,00 | 14,0 | 21 | 550 | 0,70 | 200 | 11,5 | 15,0 | ||
6 | 750 | 8,00 | 15,0 | 23 | 750 | 1,00 | 300 | 12,0 | 16,0 | ||
16,0 | 24 | 1,50 | 450 | 12,5 | 17,0 | ||||||
17,0 | 26 | 2,00 | 650 | 13,0 | 18,0 | ||||||
18,0 | 27 | 3,00 | 800 | 14,0 | 19,0 | ||||||
20,0 | 29 | 4,00 | 14,5 | 20,0 | |||||||
11 | 21,0 | 31 | 6,00 | 15,0 | 21,0 | ||||||
22,0 | 33 | 8,00 | 16,0 | 22,0 | |||||||
13 | 24,0 | 35 | 17,0 | 23,0 | |||||||
14 | 25,0 | 38 | 18,0 | 24,0 | |||||||
27,0 | 40 | 19,0 | 25,0 | ||||||||
16 | 29,0 | 43 | 20,0 | 27,0 | |||||||
Перемещение съемного вспомогательного инструмента, приспособлений (втулок, оправок, державок, цанг, хомутиков, съемных планок, шайб и т.п.) | КАРТА 4.5.1 | ЛИСТ 3 | |||||||||
Индекс факторов или сумма индексов для определения времени | В рабочее положение | Из рабочего положения | |||||||||
Расстояние перемещения руки к инструменту (приспособлению) S, мм, до | Расстояние перемещения инструмента (приспособления) SM, мм, до | Масса инструмента (приспособления) M, кг, до | Способ хранения инструмента (приспособления) | Расстояние перемещения руки к инструменту (приспособлению) S, мм, до | Расстояние перемещения инструмента (приспособления) SM, мм, до | Масса инструмента (приспособления) M, кг, до | Длина инструмента (приспособления) LM, мм, до | Способ хранения инструмента (приспособления) | |||
на плоскости | в гнезде, на штыре | на плоскости | в гнезде, на штыре | ||||||||
Время на комплекс t, тыс. доли мин. | Время на комплекс t, тыс. доли мин. | ||||||||||
17 | 21 | 28 | |||||||||
18 | 22 | 29 | |||||||||
19 | 23 | 31 | |||||||||
20 | 24 | 32 | |||||||||
21 | 25 | 34 | |||||||||
26 | 36 | ||||||||||
23 | 28 | 37 | |||||||||
24 | 29 | 39 | |||||||||
25 | 30 | 41 | |||||||||
26 | 32 | 43 | |||||||||
27 | 34 | 45 | |||||||||
28 | 35 | 47 | |||||||||
28 | 37 | 50 | |||||||||
30 | 39 | 52 | |||||||||
31 | 41 | 55 | |||||||||
Перемещение съемного вспомогательного инструмента, приспособлений (втулок, оправок, державок, цанг, хомутиков, съемных планок, шайб и т.п.) | КАРТА 4.5.1 | ЛИСТ 4 | |||
Поправочные коэффициенты на время для измененных условий работы: | |||||
для труднозахватываемых предметов | для труднозахватываемых предметов | ||||
- | Kос2 = 1,22 | Kос2 = 1,06 | Kос2 = 1,29 | ||
- | при работе в рукавицах | ||||
Kиз = 1,10 | - | ||||
С плоскости | На плоскость | ||||
t = 1,95S0,148 SM0,247 M0,069 | t = 2,16S0,108 SM0,177 M0,129 LM0,139 Kос Kи | ||||
Из гнезда (со штыря) | В гнездо (на штырь) | ||||
t = 4,66S0,115 SM0,189 M0,093 Kос | t = 3,83S0,087 SM0,155 M0,136 LM0,118 Kос | ||||
КАРТА 4.5.2 | ||||||
Содержание комплекса | Обозначение микроэлементов по БСМ | |||||
1. | Протянуть руку к инструменту (приспособлению) | ПР1 (S) (ОС1; К2) | ||||
2. | Взяться | ВЗ1 (ОС1; К1; И) | ||||
3 | Повернуть в рабочее положение (из рабочего положения) | ПОРY1 (YR; D) (ОС1; К; И) | ||||
4 | Отпустить | ОТ1 (ОС1) | ||||
Индекс факторов или сумма индексов для определения времени | Расстояние перемещения руки к инструменту (приспособлению) S, мм, до | Длина инструмента (приспособления) D, мм, до | Угол поворота инструмента (приспособления) YR, град., до | В рабочее положение | Из рабочего положения | |
Время на комплекс t, тыс. доли мин. | ||||||
0 | 120 | 60 | 60 | 13 | 11,0 | |
1 | 160 | 130 | 90 | 14 | 12,0 | |
2 | 230 | 300 | 135 | 15 | 12,5 | |
3 | 300 | 500 | 180 | 16 | 13,3 | |
4 | 440 | 17 | 14,0 | |||
600 | 18 | 15,0 | ||||
750 | 19 | 16,0 | ||||
20 | 17,0 | |||||
22 | 18,0 | |||||
9 | 23 | 20,0 | ||||
10 | 25 | 21,0 | ||||
11 | 26 | 22,0 | ||||
12 | 28 | 24,0 | ||||
Поправочный коэффициент на время для измененных условий работы | ||||||
при работе в рукавицах Kиз = 1,17 | ||||||
В рабочее положение | Из рабочего положения | |||||
t= 2,36S0,198 D0,081 YR0,127 Kи | t = 2,02S0,198 D0,081 YR0,127 Kи | |||||
КАРТА 4.5.3 | ||||||
Содержание комплекса | Обозначение микроэлементов по БСМ | |||||
1. | Протянуть руку к инструменту (приспособлению) | ПР1 (S) (ОС1; К2) | ||||
2. | Взяться | В31 (ОС1; К1; И) | ||||
3. | Переместить по поверхности | ПП1 (SM; M; LM) (ОС1; К2; И) | ||||
4. | Отпустить | ОТ1 (ОС1) | ||||
Индекс факторов или сумма индексов для определения времени | Расстояние перемещения руки к инструменту (приспособлению) S, мм, до | Расстояние перемещения инструмента (приспособления) SM, мм, до | Масса инструмента (приспособления) M, кг, до | Время на комплекс t, тыс. доли мин. | ||
0 | 120 | 120 | 0,3 | 10,0 | ||
1 | 150 | 150 | 2,0 | 11,0 | ||
2 | 250 | 250 | 8,0 | 12,0 | ||
3 | 350 | 350 | 13,0 | |||
4 | 450 | 500 | 13,5 | |||
5 | 650 | 700 | 14,0 | |||
6 | 750 | 750 | 15,0 | |||
7 | 16,0 | |||||
8 | 17,0 | |||||
9 | 19,0 | |||||
10 | 20,0 | |||||
11 | 21,0 | |||||
12 | 23,0 | |||||
13 | 24,0 | |||||
14 | 26,0 | |||||
t = 2,01S0,9° SM0,183 M0,031 | ||||||
КАРТА 4.6.1 | ЛИСТ 1 | |||||||||
Содержание комплекса | Обозначение микроэлементов по БСМ | |||||||||
1. | Установить деталь (приспособление) на станок (в приспособление) простым наложением (по риске, кромке, упору, с совмещением отверстий) | УПN (M; LM) (ОС; ОР; И) | ||||||||
2. | Отпустить | ОТN (ОС1) | ||||||||
Индекс факторов или сумма индексов для определения времени | Одной рукой | Двумя руками | ||||||||
Масса детали (приспособления), кг, 0,01 < M <= 0,1 | Масса детали (приспособления), кг, 0,1 < M <= 4 | Масса детали (приспособления), кг, 1 < M <= 20 | ||||||||
Длина наибольшей стороны детали (приспособления) LM, мм, до | Время на комплекс t, тыс. доли мин. | Масса детали (приспособления) M, кг, до | Длина наибольшей стороны детали (приспособления) LM, мм, до | Время на комплекс t, тыс. доли мин. | Масса детали (приспособления) M, кг, до | Длина наибольшей стороны детали (приспособления) LM, мм, до | Время на комплекс t, тыс. доли мин. | |||
0 | 25 | 2,1 | 0,10 | 55 | 1,3 | 1,1 | 110 | 1,3 | ||
1 | 35 | 2,3 | 0,20 | 70 | 1,4 | 1,5 | 140 | 1,4 | ||
2 | 50 | 2,6 | 0,25 | 90 | 1,6 | 2,0 | 170 | 1,6 | ||
3 | 85 | 2,8 | 0,30 | 110 | 1,7 | 2,5 | 200 | 1,8 | ||
4 | 150 | 3,0 | 0,40 | 140 | 1,9 | 3,0 | 250 | 2,0 | ||
5 | 250 | 3,4 | 0,60 | 170 | 2,1 | 4,0 | 300 | 2,1 | ||
6 | 500 | 3,7 | 0,90 | 200 | 2,3 | 5,0 | 400 | 2,3 | ||
7 | 1,20 | 250 | 2,6 | 7,0 | 500 | 2,6 | ||||
8 | 1,70 | 350 | 2,8 | 9,0 | 600 | 2,8 | ||||
9 | 2,00 | 400 | 3,1 | 12,0 | 750 | 3,1 | ||||
10 | 3,00 | 500 | 3,4 | 16,0 | 1000 | 3,4 | ||||
Установка детали (приспособления) простым наложением, по риске, кромке, упору, с совмещением отверстий без предварительного ориентирования (симметричные совмещаемые поверхности) | КАРТА 4.6.1 | ЛИСТ 2 | ||||||
Индекс факторов или сумма индексов для определения времени | Одной рукой | Двумя руками | ||||||
Масса детали (приспособления), кг, 0,01 < M <= 0,1 | Масса детали (деталей), кг, 0,1 < M <= 4 | Масса детали (деталей), кг, 1 < M <= 20 | ||||||
Длина наибольшей стороны детали (приспособления) LM, мм, до | Время на комплекс t, тыс. доли мин. | Масса детали (приспособления) M, кг, до | Длина наибольшей стороны детали (приспособления) LM, мм, до | Время на комплекс t, тыс. доли мин. | Масса детали (приспособления) M, кг, до | Длина наибольшей стороны детали (приспособления) LM, мм, до | Время на комплекс t, тыс. доли мин. | |
11 | 4,00 | 3,7 | 20,0 | 1200 | 3,8 | |||
12 | 4,1 | 1500 | 4,1 | |||||
13 | 4,5 | 1750 | 4,6 | |||||
14 | 5,0 | 2000 | 5,0 | |||||
15 | 5,5 | 5,5 | ||||||
16 | 6,0 | 6,0 | ||||||
6,5 | 6,5 | |||||||
18 | 7,0 | 7,0 | ||||||
19 | 8,0 | 8,0 | ||||||
20 | 9,0 | 9,0 | ||||||
21 | 10,0 | 10,0 | ||||||
22 | 11,0 | |||||||
23 | 12,0 | |||||||
24 | 13,0 | |||||||
25 | 14,0 | |||||||
Установка детали (приспособления) простым наложением, по риске, кромке, упору, с совмещением отверстий без предварительного ориентирования (симметричные совмещаемые поверхности) | КАРТА 4.6.1 | ЛИСТ 3 | |
Поправочные коэффициенты на время для измененных условий работы: | |||
для труднозахватываемых деталей Kос2 = 1,08 | |||
при работе в рукавицах Kиз = 1,24 | |||
При совмещении: | |||
простым наложением Kор1 = 1,00 | |||
по риске, кромке, упору | |||
Kор2 = 2,50 | Kор2 = 1,96 | Kор2 = 2,56 | |
совмещением отверстий | |||
Kор3 = 4,30 | Kор3 = 5,22 | Kор3 = 5,52 | |
t = 1,2LM0,202 Kос Kи Kор | t = 0,47M0,284 LM0,429 Kос Kи Kор | t = 0,17M0,364 LM0,450 Kос Kи Kор | |
КАРТА 4.6.2 | ЛИСТ 1 | |||||||
Содержание комплекса | Обозначение микроэлементов по БСМ | |||||||
1. | Повернуть деталь (приспособление) в горизонтальной (вертикальной) плоскости на угол YR | ПОАN (M; YR; LM) (ОС; И) | ||||||
2. | Установить деталь (приспособление) простым наложением (по риске, кромке, упору, с совмещением отверстий) | УПN (M; LM) (ОС; ОР; И) | ||||||
3. | Отпустить | ОТN (ОС1) | ||||||
Индекс факторов или сумма индексов для определения времени | Одной рукой | |||||||
Масса детали (деталей), кг, 0,01 < M <= 0,1 | Масса детали (деталей), кг, 0,1 < M <= 4 | |||||||
Длина наибольшей стороны детали (приспособления) LM, мм, до | Время на комплекс t, тыс. доли мин. | Масса детали (приспособления) M, кг, до | Длина наибольшей стороны детали (приспособления) LM, мм, до | Время на комплекс t, тыс. доли мин. | ||||
Степень ориентирования | Степень ориентирования | |||||||
средняя (частичная симметрия) | большая (отсутствие симметрии) | Средняя (частичная симметрия) | большая (отсутствие симметрии) | |||||
0 | 40 | 6 | 7,5 | 0,15 | 70 | 6,0 | 6,5 | |
1 | 170 | 7 | 8,0 | 0,25 | 100 | 6,5 | 7,0 | |
2 | 500 | 8 | 9,0 | 0,40 | 200 | 7,0 | 8,0 | |
3 | 0,70 | 400 | 8,0 | 9,0 | ||||
4 | 1,20 | 500 | 9,0 | 10,0 | ||||
5 | 2,00 | 9,5 | 11,0 | |||||
6 | 4,00 | 10,0 | 12,0 | |||||
7 | 11,0 | 13,0 | ||||||
8 | 13,0 | 14,0 | ||||||
9 | 14,0 | 16,0 | ||||||
10 | 15,0 | 17,0 | ||||||
Установка детали (приспособления) простым наложением, по риске, кромке, упору, с совмещением отверстий с предварительным ориентированием (частичная симметрия или отсутствие симметрии совмещаемых поверхностей) | КАРТА 4.6.2 | ЛИСТ 2 | |
Поправочные коэффициенты на время для измененных условий работы: | |||
для труднозахватываемых деталей (приспособлений) Kос2 = 1,09 | |||
при работе в рукавицах | |||
Kиз = 1,06 | Kиз = 1,16 | ||
При совмещении: | |||
простым наложением Kор1 = 1,00 | |||
по риске, кромке, упору | |||
Kор2 = 1,60 | Kор2 = 1,41 | ||
с совмещением отверстий | |||
Kор3 = 2,40 | Kор3 = 2,83 | ||
Средняя степень ориентирования | Средняя степень ориентирования | ||
t = 5,1LM0,065 Kос Kи Kор | t = 4,41M0,179 LM0,180 Kос Kи Kор | ||
Большая степень ориентирования | Большая степень ориентирования | ||
t = 6,25LM0,055 Kос Kи Kор | t = 5,20M0,173 LM0,165 Kос Kи Kор | ||
Установка детали (приспособления) простым наложением, по риске, кромке, упору, с совмещением отверстий с предварительным ориентированием (частичная симметрия или отсутствие симметрии совмещаемых поверхностей) | КАРТА 4.6.2 | ЛИСТ 3 | ||
Двумя руками | ||||
Масса детали (приспособления), кг, 1 < M <= 20 | ||||
Индекс факторов или сумма индексов для определения времени | Масса детали (приспособления) M, кг, до | Длина наибольшей стороны детали (приспособления) LM, мм, до | Время на комплекс t, тыс. доли мин. | |
Степень ориентирования | ||||
средняя (частичная симметрия) | большая (отсутствие симметрии) | |||
0 | 1,3 | 110 | 5,0 | 5,0 |
1 | 2,0 | 150 | 5,5 | 6,0 |
2 | 3,0 | 200 | 6,0 | 6,5 |
3 | 5,0 | 250 | 6,5 | 7,0 |
4 | 8,0 | 350 | 7,0 | 8,0 |
5 | 13,0 | 500 | 8,0 | 9,0 |
6 | 20,0 | 650 | 9,0 | 10,0 |
7 | 850 | 10,0 | 11,0 | |
8 | 1100 | 11,0 | 12,0 | |
9 | 1500 | 12,0 | 13,0 | |
10 | 2000 | 13,0 | 14,0 | |
11 | 14,0 | 16,0 | ||
12 | 16,0 | 17,0 | ||
13 | 17,0 | 19,0 | ||
14 | 19,0 | 21,0 | ||
15 | 21,0 | 23,0 | ||
16 | 23,0 | 25,0 | ||
Установка детали (приспособления) простым наложением, по риске, кромке, упору, с совмещением отверстий с предварительным ориентированием (частичная симметрия или отсутствие симметрии совмещаемых поверхностей) | КАРТА 4.6.2 | ЛИСТ 4 | |
Поправочные коэффициенты на время для измененных условий работы: | |||
для труднозахватываемых деталей (приспособлений) Kос2 = 1,09 | |||
при работе в рукавицах Kиз = 1,16 | |||
При совмещении: | |||
простым наложением Kор1 = 1,00 | |||
по риске, кромке, упору Kор2 = 1,71 | |||
с совмещением отверстий Kор3 = 3,05 | |||
Средняя степень ориентирования | t = 0,95М0,212 LM0,363 Kос Kи Kор | ||
Большая степень ориентирования | t = 1,11М0,203 LM0,345 Kос Kи Kор | ||
КАРТА 4.6.3 | ЛИСТ 1 | ||||||||||
Содержание комплекса | Обозначение микроэлементов по БСМ | ||||||||||
1. | Установить деталь (приспособление) на вал (в отверстие) | YOWN (М; LD; LM) (ОС; ОР; И) | |||||||||
2. | Отпустить деталь (приспособление) | OTN (ОС1) | |||||||||
Индекс факторов или сумма индексов для определения времени | Одной рукой | Двумя руками | |||||||||
Масса детали (приспособления), кг, 0,01 < M <= 0,1 | Масса детали (приспособления), кг, 0,1 < M <= 4 | Масса детали (приспособления), кг, 1 < M <= 20 | |||||||||
Свободное соединение | Свободное соединение | ||||||||||
Время на комплекс t, тыс. доли мин. | Масса детали (приспособления) M, кг, до | Длина наибольшей стороны детали (приспособления) LM, мм, до | Длина продвижения вала относительно отверстия LD, мм, до | Время на комплекс t, тыс. доли мин. | Масса детали (приспособления) M, кг, до | Длина наибольшей стороны детали (приспособления) LM, мм, до | Длина продвижения вала относительно отверстия LD, мм, до | Время на комплекс t, тыс. доли мин. | |||
6,2 | 0,11 | 25 | 10 | 6,2 | 1,1 | 110 | 15 | 6,2 | |||
1 | 0,15 | 30 | 20 | 1,5 | 150 | 20 | |||||
2 | 0,20 | 40 | 40 | 2,0 | 200 | 40 | |||||
3 | 0,25 | 50 | 70 | 2,5 | 250 | 60 | |||||
4 | 0,30 | 70 | 120 | 3,0 | 300 | 100 | |||||
5 | 0,40 | 90 | 250 | 4,0 | 400 | 200 | |||||
6 | 0,50 | 100 | 5,0 | 500 | 250 | 6,5 | |||||
7 | 0,70 | 150 | 6,0 | 650 | 7,0 | ||||||
8 | 0,80 | 200 | 7,0 | 800 | 7,5 | ||||||
9 | 1,00 | 250 | 9,0 | 1050 | 8,0 | ||||||
10 | 1,50 | 300 | 11,0 | 1350 | 8,5 | ||||||
11 | 2,00 | 400 | 14,0 | 1750 | 9,0 | ||||||
12 | 2,50 | 500 | 18,0 | 2000 | 9,5 | ||||||
13 | 3,00 | 20,0 | 10,0 | ||||||||
14 | 3,50 | 11,0 | |||||||||
Установка детали (приспособления) с совмещением вала (выступа) и отверстия | КАРТА 4.6.3 | ЛИСТ 2 | ||||||||
Индекс факторов или сумма индексов для определения времени | Одной рукой | Двумя руками | ||||||||
Масса детали (приспособления), кг, 0,01 < M <= 0,1 | Масса детали (приспособления), кг, 0,1 < M <= 4 | Масса детали (приспособления), кг, 1 < M <= 20 | ||||||||
Свободное соединение | Свободное соединение | |||||||||
Время на комплекс t, тыс. доли мин. | Масса детали (приспособления) M, кг, до | Длина наибольшей стороны детали (приспособления) LM, мм, до | Длина продвижения вала относительно отверстия LD, мм, до | Время на комплекс t, тыс. доли мин. | Масса детали (приспособления) M, кг, до | Длина наибольшей стороны детали (приспособления) LM, мм, до | Длина продвижения вала относительно отверстия LD, мм, до | Время на комплекс t, тыс. доли мин. | ||
6,2 | 4,00 | 6,2 | 11,5 | |||||||
6,3 | 12,5 | |||||||||
17 | 6,7 | 13,0 | ||||||||
18 | 7,2 | 14,0 | ||||||||
7,7 | 15,0 | |||||||||
8,2 | 16,0 | |||||||||
21 | 8,7 | 17,0 | ||||||||
9,3 | 18,0 | |||||||||
23 | 10,0 | 20,0 | ||||||||
24 | 10,5 | 21,0 | ||||||||
25 | 11,0 | 22,0 | ||||||||
26 | 12,0 | 24,0 | ||||||||
27 | 13,0 | 25,0 | ||||||||
Установка детали (приспособления) с совмещением вала (выступа) и отверстия | КАРТА 4.6.3 | ЛИСТ 3 | ||||||||
Индекс факторов или сумма индексов для определения времени | Одной рукой | Двумя руками | ||||||||
Масса детали (приспособления), кг, 0,01 < M <= 0,1 | Масса детали (приспособления), кг, 0,1 < M <= 4 | Масса детали (приспособления), кг, 1 < M <= 20 | ||||||||
Свободное соединение | Свободное соединение | |||||||||
Время на комплекс t, тыс. доли мин. | Масса детали (приспособления) M, кг, до | Длина наибольшей стороны детали (приспособления) LM, мм, до | Длина продвижения вала относительно отверстия LD, мм, до | Время на комплекс t, тыс. доли мин. | Масса детали (приспособления) M, кг, до | Длина наибольшей стороны детали (приспособления) LM, мм, до | Длина продвижения вала относительно отверстия LD, мм, до | Время на комплекс t, тыс. доли мин. | ||
28 | 6,2 | 14,0 | 27,0 | |||||||
29 | 15,0 | 29,0 | ||||||||
30 | 16,0 | 31,0 | ||||||||
31 | 17,0 | 33,0 | ||||||||
32 | 18,0 | |||||||||
Поправочные коэффициенты на время для измененных условий работы: | ||||||||||
при плотном соединении | ||||||||||
Kп = 1,4 | Kп = 1,1 | - | ||||||||
при тугом соединении | ||||||||||
Kт = 2,6 | K = 2,0 | - | ||||||||
для труднозахватываемых деталей (приспособлений) Kос2 = 1,70 | ||||||||||
при работе в рукавицах Kиз = 1,09 | ||||||||||
Степень ориентирования: | ||||||||||
без ориентирования (симметричные совмещаемые поверхности) Kор1 = 1,00 | ||||||||||
средняя (частичная симметрия совмещаемых поверхностей) Kор2 = 1,60 | ||||||||||
большая (отсутствие симметрии совмещаемых поверхностей) Kор3 = 2,20 | ||||||||||
t = 6,2Kп Kос Kи Kор | t = 1,5М0,259 LM0,245 LD0,116 Kп Kос Kи Kор | t = 1,01М0,279 LM0,260 LD0,122 Kос Kи Kор |
Установка детали (приспособления) с совмещением вала (выступа) и отверстия | КАРТА 4.6.3 | ЛИСТ 4 | ||||||
Двумя руками | ||||||||
Масса детали (приспособления), кг, 1 < M <= 20 | ||||||||
Индекс факторов или сумма индексов для определения времени | Плотное соединение | Тугое соединение | ||||||
Масса детали (приспособления) M, кг, до | Длина наибольшей стороны детали (приспособления) LM, мм, до | Длина продвижения вала относительно отверстия LD, мм, до | Время на комплекс t, тыс. доли мин. | Масса детали (приспособления) M, кг, до | Длина наибольшей стороны детали (приспособления) LM, мм, до | Длина продвижения вала относительно отверстия LD, мм, до | Время на комплекс t, тыс. доли мин. | |
0 | 1,1 | 150 | 15 | 8,7 | 1,1 | 130 | 15 | 17 |
1 | 1,3 | 200 | 40 | 1,3 | 200 | 50 | ||
2 | 1,6 | 400 | 85 | 1,5 | 350 | 100 | ||
3 | 1,9 | 650 | 200 | 1,8 | 600 | 200 | ||
4 | 2,2 | 1050 | 250 | 2,0 | 1000 | 250 | ||
5 | 2,6 | 1850 | 2,5 | 1650 | ||||
6 | 3,1 | 2000 | 3,0 | 2000 | ||||
7 | 3,7 | 3,5 | ||||||
8 | 4,5 | 9,0 | 4,2 | |||||
9 | 5,5 | 10,0 | 5,0 | 18 | ||||
10 | 6,5 | 10,5 | 6,0 | 19 | ||||
11 | 7,5 | 11,0 | 7,0 | 21 | ||||
12 | 9,0 | 12,0 | 8,0 | 22 | ||||
13 | 11,0 | 13,0 | 10,0 | 24 | ||||
14 | 13,0 | 14,0 | 11,0 | 25 | ||||
15 | 15,0 | 15,0 | 14,0 | 27 | ||||
16 | 18,0 | 15,5 | 16,0 | 29 | ||||
17 | 20,0 | 16,0 | 19,0 | 31 | ||||
18 | 18,0 | 20,0 | 33 | |||||
19 | 19,0 | 35 | ||||||
20 | 20,0 | 37 | ||||||
21 | 21,0 | 40 | ||||||
22 | 23,0 | 42 | ||||||
23 | 24,0 | 45 | ||||||
24 | 26,0 | 48 | ||||||
Установка детали (приспособления) с совмещением вала (выступа) и отверстия | КАРТА 4.6.3 | ЛИСТ 5 | |||||||
Двумя руками | |||||||||
Масса детали (приспособления), кг, 1 < M <= 20 | |||||||||
Индекс факторов или сумма индексов для определения времени | Плотное соединение | Тугое соединение | |||||||
Масса детали (приспособления) M, кг, до | Длина наибольшей стороны детали (приспособления) LM, мм, до | Длина продвижения вала относительно отверстия LD, мм, до | Время на комплекс t, тыс. доли мин. | Масса детали (приспособления) M, кг, до | Длина наибольшей стороны детали (приспособления) LM, мм, до | Длина продвижения вала относительно отверстия LD, мм, до | Время на комплекс t, тыс. доли мин. | ||
25 | 28,0 | 51 | |||||||
26 | 30,0 | 55 | |||||||
27 | 31,0 | 58 | |||||||
28 | 62 | ||||||||
Поправочные коэффициенты на время для измененных условий работы: | |||||||||
для труднозахватываемых деталей (приспособлений) Kос2 = 1,71 | |||||||||
при работе в рукавицах Kиз = 1,10 | |||||||||
Степень ориентирования: | |||||||||
без ориентирования (симметричные совмещаемые поверхности) Kор1 = 1,00 | |||||||||
средняя (частичная симметрия совмещаемых поверхностей) Kор2 = 1,57 | |||||||||
большая (отсутствие симметрии совмещаемых поверхностей) Kор3 = 2,34 | |||||||||
t = 2,64М0,369 LM0,122 LD0,076 Kос Kи Kор | t = 4,77М0,384 LM0,126 LD0,078 Kос Kи Kор | ||||||||
КАРТА 4.6.4 | |||
Содержание комплекса | Обозначение микроэлементов по БСМ | ||
1. | Установить гайку (винт) на резьбу | УОС1 (М; LD; LM) (ОС1; ОР3; И) | |
2. | Навернуть гайку (винт) по резьбе рукой на два оборота | ПООС1 (D) (И; СТ1) | |
3. | Отпустить | ОТ1 (ОС1) | |
Индекс фактора для определения времени | Диаметр резьбы D, мм, до | Время на комплекс t, тыс. доли мин. | |
0 | 10 | 28 | |
1 | 12 | 30 | |
2 | 20 | 33 | |
3 | 30 | 37 | |
4 | 42 | 40 | |
56 | 44 | ||
t = 16,31D0,251 | |||
КАРТА 4.7.1 | ЛИСТ 1 | ||||||
Содержание комплекса | Обозначение микроэлементов по БСМ | ||||||
Снять деталь (приспособление) | PWN (M; LD) (ОС; ОР; И) | ||||||
Одной рукой | Двумя руками | ||||||
Индекс факторов или сумма индексов для определения времени | Масса детали, кг, 0,01 < M <= 0,1 | Масса детали (приспособления), кг, 0,1 < M <= 4 | Масса детали (приспособления), кг, 1 < M <= 20 | ||||
Масса детали (приспособления) M, кг, до | Длина продвижения детали (приспособления) LD, мм, до | Время на комплекс t, тыс. доли мин. | Масса детали (приспособления) M, кг, до | Длина продвижения детали (приспособления) LD, мм, до | Время на комплекс t, тыс. доли мин. | ||
Время на комплекс t, тыс. доли мин. | |||||||
3,5 | 0,12 | 15 | 3,5 | 1,0 | 15 | 3,5 | |
1 | 0,16 | 30 | 1,6 | 30 | |||
2 | 0,20 | 60 | 2,0 | 70 | 4,0 | ||
3 | 0,30 | 130 | 3,0 | 160 | 4,3 | ||
4 | 0,40 | 250 | 4,0 | 250 | 4,7 | ||
5 | 0,60 | 6,0 | 5,2 | ||||
0,80 | 8,0 | 5,7 | |||||
7 | 1,00 | 3,9 | 11,0 | 6,3 | |||
1,50 | 4,3 | 15,0 | 7,0 | ||||
2,00 | 4,7 | 20,0 | 7,6 | ||||
10 | 3,00 | 5,2 | 8,3 | ||||
11 | 4,00 | 5,7 | 9,2 | ||||
Снятие детали (приспособления) со станка (из приспособления) | КАРТА 4.7.1 | ЛИСТ 2 | |||||
Индекс факторов или сумма индексов для определения времени | Масса детали, кг, 0,01 < M <= 0,1 | Масса детали (приспособления), кг, 0,1 < M <= 4 | Масса детали (приспособления), кг, 1 < M <= 20 | ||||
Масса детали (приспособления) M, кг, до | Длина продвижения детали (приспособления) LD, мм, до | Время на комплекс t, тыс. доли мин. | Масса детали (приспособления) M, кг, до | Длина продвижения детали (приспособления) LD, мм, до | Время на комплекс t, тыс. доли мин. | ||
Время на комплекс t, тыс. доли мин. | |||||||
12 | 3,5 | 6,3 | 10,1 | ||||
13 | 6,9 | 11,1 | |||||
14 | 7,6 | ||||||
15 | 8,3 | ||||||
Поправочные коэффициенты на время для измененных условий работы: | |||||||
для труднозахватываемых деталей Kос2 = 1,75 | |||||||
при работе в рукавицах Kиз = 1,10 | |||||||
Степень ориентирования: | |||||||
малая Kор1 = 1 | средняя Kор2 = 1,6 | большая Kор3 = 2,4 | |||||
Плотность соединения: | |||||||
свободное Kс = 1 | плотное Kп = 1,5 | тугое Kт = 3,0 | |||||
t = 3,50Kос Kи Kор x x Kп | t = 2,95M0,300 LD0,130 Kос Kи x x Kор Kп | t = 2,44M0,300 LD0,120 Kос Kи x x Kор Kп | |||||
КАРТА 4.7.2 | |||
Содержание комплекса | Обозначение микроэлементов по БСМ | ||
1. | Свинтить гайку (винт) на два оборота вручную | ПООС1 (D) (Н1; СТ1) | |
2. | Снять гайку (винт) | РС1 (М; LD) (ОС1; ОР3; И) | |
Индекс фактора для определения времени | Диаметр резьбы D, мм, до | Время на комплекс t, тыс. доли мин. | |
0 | 10 | 23 | |
1 | 12 | 25 | |
2 | 16 | 27 | |
3 | 24 | 30 | |
4 | 36 | 33 | |
48 | 37 | ||
6 | 56 | 40 | |
t = 12,39D0,293 | |||
КАРТА 4.8.1 | ЛИСТ 1 | |||||
Содержание комплекса | Обозначение микроэлементов по БСМ | |||||
1. | Протянуть руку к рычагу | ПР1 (S) (ОС1; К1) | ||||
2. | Взяться за рычаг | ВЗ1 (ОС1; К1) | ||||
3. | Нажать | НРУ | ||||
4. | Повернуть рычаг | ПОРА1 (YR; D) (К1; И) | ||||
5. | Отпустить | ОТ1 (ОС1) | ||||
Индекс факторов или сумма индексов для определения времени | Расстояние перемещения руки к рычагу S, мм, до | Длина рычага D, мм, до | Угол поворота рычага YR, град., до | Время на комплекс t, тыс. доли мин. | ||
70 | 150 | 45 | 15 | |||
100 | 400 | 90 | 16 | |||
2 | 200 | 600 | 135 | 17 | ||
Закрепление (открепление) рычагом | КАРТА 4.8.1 | ЛИСТ 2 | ||
Индекс факторов или сумма индексов для определения времени | Расстояние перемещения руки к рычагу S, мм, до | Длина рычага D, мм, до | Угол поворота рычага YR, град., до | Время на комплекс t, тыс. доли мин. |
300 | 180 | 18 | ||
450 | 19 | |||
750 | 20 | |||
6 | 21 | |||
23 | ||||
8 | 24 | |||
26 | ||||
10 | 28 | |||
Поправочный коэффициент на время для измененных условий работы | ||||
при работе в рукавицах Kиз = 1,11 | ||||
t = 4,41S0,130 D0,071 YR0,103 Kи | ||||
КАРТА 4.8.2 | |||
![]() | |||
Содержание комплекса | Обозначение микроэлементов по БСМ | ||
1. Протянуть руку к фиксатору | ПР1 (S) (ОС1; К2) | ||
2. Взяться за фиксатор | ВЗ1 (ОС1; К1; И) | ||
3. Переместить (сжать пружину) | П1 (SM; M; LM) (ОС1; К2; И) | ||
4. Отпустить | ОТ1 (ОС1) | ||
Индекс фактора для определения времени | Расстояние перемещения руки к фиксатору S, мм, до | Время на комплекс t, тыс. доли мин. | |
0 | 60 | 9,0 | |
1 | 90 | 10,0 | |
2 | 140 | 11,0 | |
3 | 200 | 12,0 | |
4 | 300 | 13,0 | |
5 | 650 | 14,5 | |
6 | 700 | 16,0 | |
7 | 750 | 17,5 | |
t = 3,61S0,235 | |||
КАРТА 4.8.3 | ||
![]() | ||
Содержание комплекса | Обозначение микроэлементов по БСМ | |
Один оборот | ||
1. | Протянуть руку к маховику | ПР1 (S) (ОС1; К2) |
2. | Взяться за маховик | ВЗ1 (ОС1; К1; И) |
3. | Повернуть маховик | ПОРА1 (YR; D) (К1; И) |
4. | Нажать | НРУ |
5. | Отпустить | ОТ1 (ОС1) |
Последующий оборот | ||
1. | Повернуть маховик | ПОРА1 (YR 360; D) (К1; И) |
Один оборот | Последующий оборот | ||||||
Индекс факторов и, сумма индексов для определения времени | Расстояние перемещения руки к маховику S, мм, до | Диаметр маховика D, мм, до | Угол поворота маховика YR, град., до | Время на комплекс t, тыс. доли мин. | Диаметр маховика D, мм, до | Время на комплекс t, тыс. доли мин. | |
0 | 70 | 50 | 45 | 16 | 50 | 4,5 | |
1 | 120 | 150 | 90 | 17 | 70 | 5,0 | |
2 | 200 | 500 | 180 | 19 | 100 | 5,5 | |
3 | 400 | 360 | 20 | 150 | 6,0 | ||
4 | 750 | 21 | 200 | 6,5 | |||
5 | 23 | 300 | 7,0 | ||||
24 | 450 | 8,0 | |||||
7 | 26 | 500 | 9,0 | ||||
8 | 27 | ||||||
29 | |||||||
Поправочные коэффициенты на время для измененных условий работы: | |||||||
при работе в рукавицах | |||||||
Kиз = 1,19 | Kиз = 1,35 | ||||||
t = 6,00S0,108 D0,067 YR0,097 Kи | t = 1,73D0,260 Kи | ||||||
КАРТА 4.8.4 | ЛИСТ 1 | |||
![]() | ||||
Содержание комплекса | Обозначение микроэлементов по БСМ | |||
Поворот на угол YR <= 120° | ||||
1. | Протянуть руку к штурвалу | ПР1 (S) (ОС1; К2) | ||
2. | Взяться | ВЗ1 (ОС1; К1; И) | ||
3. | Повернуть штурвал на угол YR | ПОРА1 (YR 120; D) (К1; И) | ||
4. | Нажать | НРУ | ||
5. | Отпустить | ОТ1 (ОС1) | ||
Один оборот штурвала | ||||
1. | Протянуть руку к штурвалу | ПР1 (S) (ОС1; К2) | ||
2. | Взяться | ВЗ1 (ОС1; К1; И) | ||
3. | Повернуть штурвал на 120° | ПОРА1 (YR 120; D) (К1; И) | ||
4. | Отпустить | ОТ1 (ОС1) | ||
5. | Повернуть руку в первоначальное положение на 120° | ПОРА1 (YR 120; D) (К1; И) | ||
6. | Взяться | ВЗ1 (ОС1; К1; И) | ||
7. | Повернуть штурвал на 120° | ПОРА1 (YR 120; D) (К1; И) | ||
8. | Отпустить | ОТ1 (ОС1) | ||
9. | Повернуть руку в первоначальное положение на 120° | ПОРА1 (YR 120; D) (К1; И) | ||
10. | Взяться | ВЗ1 (ОС1; К1; И) | ||
11. | Повернуть штурвал на 120° | ПОРА1 (YR 120; D) (К1; И) | ||
12. | Нажать | НРУ | ||
13. | Отпустить | ОТ1 (ОС1) | ||
Последующий оборот штурвала | ||||
1. | Повернуть руку в первоначальное положение на 120° | ПОРА1 (YR 120; D) (К1; И) | ||
2. | Взяться | ВЗ1 (ОС1; К1; И) | ||
3. | Повернуть штурвал на 120° | ПОРА1 (YR 120; D) (К1; И) | ||
4. | Отпустить | ОТ1 (ОС1) | ||
5. | Повернуть руку в первоначальное положение на 120° | ПОРА1 (YR 120; D) (К1; И) | ||
6. | Взяться | ВЗ1 (ОС1; К1; И) | ||
7. | Повернуть штурвал на 120° | ПОРА1 (YR 120; D) (К1; И) | ||
8. | Отпустить | ОТ1 (ОС1) | ||
9. | Повернуть руку в первоначальное положение на 120° | ПОРА1 (YR 120; D) (К1; И) | ||
10. | Взяться | ВЗ1 (ОС1; К1; И) | ||
11. | Повернуть штурвал на 120° | ПОРА1 (YR 120; D) (К1; И) | ||
12. | Отпустить | ОТ1 (ОС1) | ||
Закрепление (открепление) штурвалом | КАРТА 4.8.4 | ЛИСТ 2 | |||||||||
Индекс факторов или сумма индексов для определения времени | Поворот на угол YR <= 120° | Один оборот на 360° | Последующий оборот на 360° | ||||||||
Расстояние перемещения руки к штурвалу S, мм, до | Диаметр штурвала D, мм, до | Угол поворота штурвала YR, град., до | Время на комплекс t, тыс. доли мин. | Расстояние перемещения руки к штурвалу S, мм, до | Диаметр штурвала D, мм, до | Время на комплекс t, тыс. доли мин. | Диаметр штурвала D, мм, до | Время на комплекс t, тыс. доли мин. | |||
0 | 65 | 150 | 45 | 18,0 | 100 | 120 | 37 | 110 | 25 | ||
1 | 100 | 450 | 90 | 19,0 | 450 | 300 | 40 | 200 | 28 | ||
2 | 200 | 800 | 120 | 20,5 | 750 | 700 | 44 | 350 | 30 | ||
3 | 300 | 22,0 | 800 | 49 | 600 | 34 | |||||
4 | 550 | 23,0 | 54 | 800 | 37 | ||||||
5 | 750 | 25,0 | 59 | ||||||||
6 | 26,5 | ||||||||||
7 | 28,0 | ||||||||||
8 | 30,0 | ||||||||||
9 | 32,0 | ||||||||||
Поправочные коэффициенты на время для измененных условий работы: | |||||||||||
при работе в рукавицах | |||||||||||
Kиз = 1,11 | Kиз = 1,21 | Kиз = 1,31 | |||||||||
t = 6,60S0,120 D0,056 YR0,086 Kи | t = 17,85S0,064 D0,107 Kи | t = 12,4D0,162 Kи | |||||||||
КАРТА 4.8.5 | |||||||
![]() | |||||||
Содержание комплекса | Обозначение микроэлементов по БСМ | ||||||
Один оборот болта | |||||||
1. | Протянуть руку к болту | ПР1 (S) (ОС1; К2) | |||||
2. | Взяться | ВЗ1 (ОС1; К1; И) | |||||
3. | Повернуть болт на один оборот | ПООС1 (D) (И; СТ) | |||||
4. | Отпустить болт | ОТ1 (ОС1) | |||||
Последующий оборот болта | |||||||
1. | Повернуть болт на один оборот | ПООС1 (D) (И; СТ) | |||||
Индекс факторов или сумма индексов для определения времени | Один оборот болта | Последующий оборот болта | |||||
Расстояние перемещения руки к болту S, мм, до | Диаметр резьбы D, мм, до | Время на комплекс t, тыс. доли мин. | Диаметр резьбы D, мм, до | Время на комплекс t, тыс. доли мин. | |||
0 | 130 | 10 | 14 | 10 | 7 | ||
1 | 250 | 16 | 16 | 12 | 8 | ||
400 | 24 | 17 | 16 | 9 | |||
750 | 36 | 19 | 20 | 10 | |||
4 | 56 | 21 | 24 | 11 | |||
5 | 23 | 30 | 12 | ||||
6 | 26 | 36 | 13 | ||||
7 | 28 | 48 | 14 | ||||
Поправочные коэффициенты на время для измененных условий работы | |||||||
Стесненность при повороте болта: | |||||||
стесненно | |||||||
Kст2 = 1,45 | Kст2 = 1,64 | ||||||
очень стесненно | |||||||
Kст3 = 2,04 | Kст3 = 2,50 | ||||||
t = 4,39S0,162 D0,212 Kст | t = 3,09D0,410 Kст | ||||||
КАРТА 4.8.6 | ЛИСТ 1 | |||||
![]() | ||||||
Содержание комплекса | Обозначение микроэлементов по БСМ | |||||
Один оборот ключом | ||||||
1. | Повернуть болт (гайку) ключом на один оборот с усилием | ПООУ1 (D) (И6; СТ) | ||||
Последующий оборот ключом | ||||||
1. | Повернуть болт (гайку) ключом на один оборот свободно | ПООС1 (D) (И6; СТ) | ||||
Индекс фактора для определения времени | Диаметр резьбы D, мм, до | Время на комплекс t, тыс. доли мин. | ||||
Один оборот ключом | Последующий оборот ключом | |||||
0 | 8 | 17 | 13 | |||
1 | 10 | 20 | 15 | |||
2 | 12 | 22 | 16 | |||
3 | 16 | 24 | 18 | |||
4 | 20 | 29 | 21 | |||
5 | 24 | 32 | 23 | |||
6 | 30 | 35 | 26 | |||
Закрепление (открепление) детали гаечным ключом | КАРТА 4.8.6 | ЛИСТ 2 | |||
Индекс фактора для определения времени | Диаметр резьбы D, мм, до | Время на комплекс t, тыс. доли мин. | |||
Один оборот ключом | Последующий оборот ключом | ||||
7 | 36 | 39 | 28 | ||
56 | 48 | 35 | |||
Поправочные коэффициенты на время для измененных условий работы | |||||
Стесненность при повороте ключом: | |||||
стесненно Kст2 = 1,64 | |||||
очень стесненно Kст3 = 2,50 | |||||
Один оборот ключом t = 5,71D0,550 Kст | Последующий оборот ключом t = 4,14D0,550 Kст | ||||
КАРТА 4.8.7 | ЛИСТ | ||
![]() | |||
Содержание комплекса | Обозначение микроэлементов по БСМ | ||
Поворот ключом на угол YR <= 180° | |||
1. | Установить ключ (вороток) на болт (гайку) | УОС2 (M; LD; LM) (ОС1; ОР2; И) | |
2. | Повернуть болт (гайку) ключом (воротком) на угол YR <= 180° | ПОРА2 (YR 180; D) (К1; И) | |
3. | Нажать на рукоятку | НРУ | |
4. | Снять ключ (вороток) с болта (гайки) | РС2 (M; LD) (ОС1; ОР2; И) | |
Один оборот ключом | |||
1. | Установить ключ (вороток) на болт (гайку) | УОС2 (М; LD; LM) (ОС1; ОР2; И) | |
2. | Повернуть болт (гайку) ключом (воротком) на 180° | ПОРА2 (YR 180; D) (К1; И) | |
3. | Перехватить ключ (вороток) | ВП | |
4. | Повернуть болт (гайку) ключом (воротком) на 180° | ПОРА2 (YR 180; D) (К1; И) | |
5. | Нажать на рукоятку | НРУ | |
6. | Снять ключ (вороток) с болта (гайки) | РС2 (M; LD) (ОС1; ОР2; И) | |
Последующий оборот ключом | |||
1. | Повернуть болт (гайку) ключом (воротком) на 180° | ПОРА2 (YR180; D) (К1; И) | |
2. | Перехватить ключ (вороток) | ВП | |
3. | Повернуть болт (гайку) ключом (воротком на 180°) | ПОРА2 (YR180; D) (К1; И) | |
Закрепление (открепление) детали торцовым (коронным) ключом или воротком | КАРТА 4.8.7 | ЛИСТ 2 | ||||||||
Индекс факторов или сумма индексов для определения времени | Поворот на угол YR <= 180° | Один оборот | Последующий оборот | |||||||
Масса ключа (воротка) M, кг, до | Длина рукоятки ключа LM, мм, до | Угол поворота болта (гайки) ключом YR, град., до | Время на комплекс t, тыс. доли мин. | Масса ключа (воротка) M, кг, до | Длина рукоятки ключа LM, мм, до | Диаметр ключа D, мм, до | Время на комплекс t, тыс. доли мин. | Диаметр ключа D, мм, до | Время на комплекс t, тыс. доли мин. | |
0 | 0,12 | 140 | 45 | 21 | 0,15 | 150 | 150 | 32 | 130 | 17 |
1 | 0,20 | 270 | 120 | 22 | 0,20 | 400 | 350 | 35 | 200 | 18 |
2 | 0,30 | 500 | 180 | 23 | 0,40 | 500 | 500 | 37 | 350 | 20 |
3 | 0,40 | 25 | 0,80 | 39 | 500 | 22 | ||||
4 | 0,60 | 27 | 1,40 | 42 | ||||||
5 | 1,00 | 28 | 2,50 | 45 | ||||||
6 | 1,50 | 30 | 48 | |||||||
7 | 2,00 | 32 | 51 | |||||||
8 | 2,50 | 35 | 54 | |||||||
9 | 37 | 58 | ||||||||
10 | 39 | |||||||||
11 | 42 | |||||||||
12 | 45 | |||||||||
Закрепление (открепление) детали торцовым (коронным) ключом или воротком | КАРТА 4.8.7 | ЛИСТ 3 | |
Поправочные коэффициенты на время для измененных условий работы: | |||
при работе в рукавицах | |||
Kиз = 1,13 | Kиз = 1,18 | Kиз = 1,33 | |
t = 15,24M0,157 LM0,098 YR0,063 Kи | t = 21,24M0,110 LM0,071 D0,076 Kи | t = 6,98D0,188 Kи | |
КАРТА 4.8.8 | ЛИСТ 1 | |||
![]() | ||||
Содержание комплекса | Обозначение микроэлементов по БСМ | |||
Один оборот отверткой | ||||
Повернуть винт отверткой на один оборот с усилием | ПООУ1 (D) (И5; СТ) | |||
Последующий оборот отверткой | ||||
Повернуть винт отверткой на один оборот свободно | ПООС1 (D) (И5; СТ) | |||
Индекс фактора для определения времени | Один оборот отверткой | Последующий оборот отверткой | ||
Диаметр резьбы D, мм, до | Время на комплекс t, тыс. доли мин. | Диаметр резьбы D, мм, до | Время на комплекс t, тыс. доли мин. | |
0 | 2 | 16 | 2 | 12 |
1 | 3 | 18 | 3 | 13 |
2 | 4 | 20 | 4 | 14 |
3 | 5 | 22 | 5 | 16 |
4 | 6 | 24 | 6 | 18 |
5 | 8 | 27 | 8 | 19 |
Закрепление (открепление) детали отверткой | КАРТА 4.8.8 | ЛИСТ 2 | |||
Индекс фактора для определения времени | Один оборот отверткой | Последующий оборот отверткой | |||
Диаметр резьбы D, мм, до | Время на комплекс t, тыс. доли мин. | Диаметр резьбы D, мм, до | Время на комплекс t, тыс. доли мин. | ||
6 | 10 | 29 | 10 | 21 | |
7 | 12 | 32 | 12 | 23 | |
8 | 16 | 35 | 16 | 26 | |
Поправочные коэффициенты на время для измененных условий работы | |||||
Стесненность при повороте отверткой: | |||||
стесненно Kст2 = 1,64 | |||||
очень стесненно Kст3 = 2,50 | |||||
t = 12,52D0,400 Kст | t = 9,07D0,400 Kст | ||||
КАРТА 4.8.9 | ||||
Содержание комплекса | Обозначение микроэлементов по БСМ | |||
1. | Переместить молоток (деталь, приспособление) вверх | П1 (SM250; M; LM) (ОС1; К3; И1) | ||
2. | Переместить молоток (деталь, приспособление) вниз (ударить) | П1 (SM250; M; LM) (ОС1; К1; И1) | ||
Индекс факторов или сумма индексов для определения времени | Масса молотка или детали (приспособления) M, кг, до | Длина молотка или детали (приспособления) LM, мм, до | Время на комплекс t, тыс. доли мин. | |
0 | 0,2 | 30 | 12 | |
1 | 0,6 | 70 | 13 | |
2 | 2,0 | 150 | 15 | |
3 | 6,5 | 350 | 16 | |
4 | 8,0 | 500 | 18 | |
5 | 19 | |||
6 | 21 | |||
7 | 23 | |||
8 | 25 | |||
t = 11,38M0,080 LM0,080 | ||||
КАРТА 4.8.10 | |||||||
Содержание комплекса | Обозначение микроэлементов по БСМ | ||||||
1. | Перехватить деталь (приспособление) | ВП | |||||
2. | Повернуть деталь (приспособление) в горизонтальной (вертикальной) плоскости на угол YR | ПОА1 (M; YR) (ОС1; И) | |||||
3. | Отпустить | ОТ1 (ОС1) | |||||
Индекс факторов или сумма индексов для определения времени | В горизонтальной плоскости | В вертикальной плоскости | |||||
Масса детали (приспособления) M, кг, до | Угол поворота детали (приспособления) YR, град., до | Время на комплекс t, тыс. доли мин. | Масса детали (приспособления) M, кг, до | Время на комплекс t, тыс. доли мин. | |||
0 | 0,2 | 45 | 10 | 0,15 | 8 | ||
1 | 1,0 | 90 | 11 | 0,30 | 9 | ||
2 | 4,0 | - | 12 | 0,60 | 10 | ||
3 | 8,0 | 180 | 13 | 1,20 | 11 | ||
4 | 14 | 2,50 | 12 | ||||
5 | 16 | 5,00 | 13 | ||||
6 | 17 | 8,00 | 14 | ||||
Поправочный коэффициент на время для измененных условий работы | |||||||
при работе в рукавицах Kиз = 1,13 | |||||||
t = 5,57M0,065 YR0,186 Kи | t = 10,94М0,134 Kи | ||||||
КАРТА 4.8.11 | |||
Содержание комплекса | Обозначение микроэлементов по БСМ | ||
Один оборот детали | |||
1. Повернуть деталь (приспособление) на один оборот рукой | ПООС1 (D) (И1; СТ1) | ||
2. Отпустить | ОТ1 (ОС1) | ||
Один оборот детали | |||
Индекс фактора для определения времени | Диаметр резьбы D, мм, до | Время на комплекс t, тыс. доли мин. | |
0 | 2 | 5,0 | |
1 | 3 | 5,5 | |
2 | 4 | 6,0 | |
3 | 5 | 7,0 | |
4 | 6 | 7,5 | |
5 | 8 | 8,5 | |
6 | 12 | 9,0 | |
7 | 16 | 10,0 | |
8 | 20 | 11,0 | |
9 | 24 | 12,0 | |
10 | 30 | 14,0 | |
11 | 42 | 15,0 | |
12 | 56 | 16,0 | |
t = 4,09D0,356 | |||
КАРТА 4.8.12 | ||||
Содержание комплекса | Обозначение микроэлементов по БСМ | |||
1. | Установить рычаг в щель | УОП1 (М; LM; LD) (ОС1; ОР1; И) | ||
2. | Нажать рукой на рычаг | НРУ | ||
3. | Повернуть рычаг на 15 - 30° | ПОРА1 (D; YR) (ОС1; И) | ||
Индекс фактора для определения времени | Масса рычага M, кг, до | Время на комплекс t, тыс. доли мин. | ||
0 | 0,2 | 15 | ||
1 | 0,5 | 16 | ||
2 | 1,0 | 18 | ||
t = 18,42M0,095 | ||||
КАРТА 4.9.1 | ЛИСТ 1 | |||
![]() | ||||
Содержание комплекса | Обозначение микроэлементов по БСМ | |||
1. | Протянуть руку к кнопке (тумблеру) | ПР1 (S) (ОС1; К2) | ||
2. | Нажать | НРС | ||
Включить (выключить) станок (приспособление, грузоподъемный механизм) или узел станка, вращение шпинделя, подачу с помощью кнопки | КАРТА 4.9.1 | ЛИСТ 2 | ||
Индекс фактора для определения времени | Расстояние перемещения руки к кнопке (тумблеру) S, мм, до | Время на комплекс t, тыс. доли мин. | ||
60 | 5,0 | |||
1 | 80 | 6,0 | ||
100 | 6,5 | |||
3 | 150 | 7,0 | ||
200 | 8,0 | |||
5 | 250 | 9,0 | ||
300 | 9,5 | |||
400 | 10,0 | |||
550 | 12,0 | |||
750 | 13,0 | |||
t = 1,43S0,337 | ||||
КАРТА 4.9.2 | ЛИСТ 1 | |||||
![]() | ||||||
Содержание комплекса | Обозначение микроэлементов по БСМ | |||||
1. | Протянуть руку к рычагу | ПР1 (S) (ОС1; К1) | ||||
2. | Взяться за рычаг | ВЗ1 (ОС1; К1; И) | ||||
3. | Повернуть рычаг | ПОРА1 (YR; D) (К1; И) | ||||
4. | Отпустить | ОТ1 (ОС1) | ||||
Индекс факторов или сумма индексов для определения времени | Расстояние перемещения руки к рычагу S, мм, до | Длина рычага D, мм, до | Угол поворота рычага YR, град., до | Время на комплекс t, тыс. доли мин. | ||
0 | 60 | 130 | 45 | 7,5 | ||
80 | 200 | 60 | 8,0 | |||
2 | 100 | 300 | 90 | 9,0 | ||
3 | 150 | 500 | 180 | 9,5 | ||
4 | 200 | 10,0 | ||||
5 | 300 | 10,5 | ||||
400 | 11,0 | |||||
7 | 550 | 12,0 | ||||
Включить (выключить) станок (приспособление, грузоподъемный механизм) или узел станка, вращение шпинделя, подачу или переключить направление вращения, изменить параметр режима резания с помощью рычага | КАРТА 4.9.2 | ЛИСТ 2 | ||
Индекс факторов или сумма индексов для определения времени | Расстояние перемещения руки к рычагу S, мм, до | Длина рычага D, мм, до | Угол поворота рычага YR, град., до | Время на комплекс t, тыс. доли мин. |
8 | 750 | 13,0 | ||
9 | 14,0 | |||
15,0 | ||||
11 | 16,0 | |||
12 | 17,0 | |||
13 | 18,0 | |||
14 | 19,0 | |||
Поправочный коэффициент на время для измененных условий работы | ||||
при работе в рукавицах Kиз = 1,19 | ||||
t = 1,21S0,202 D0,139 YR0,124 Kи | ||||
КАРТА 4.9.3 | ЛИСТ 1 | |||||||
![]() | ||||||||
Содержание комплекса | Обозначение микроэлементов по БСМ | |||||||
Один оборот | ||||||||
1. | Протянуть руку к маховику | ПР1 (S) (ОС1; К2) | ||||||
2. | Взяться за маховик | ВЗ1 (ОС1; К1; И) | ||||||
3. | Повернуть маховик | ПОРА1 (YR; D) (К1; И) | ||||||
4. | Отпустить | ОТ1 (ОС1) | ||||||
Индекс факторов или сумма индексов для определения времени | Один оборот | Последующий оборот | ||||||
Расстояние перемещения руки к маховику S, мм, до | Диаметр маховика D, мм, до | Угол поворота маховика YR, град., до | Время на комплекс t, тыс. доли мин. | Диаметр маховика D, мм, до | Время на комплекс t, тыс. доли мин. | |||
0 | 60 | 50 | 45 | 10,0 | 50 | 4,5 | ||
1 | 100 | 100 | 90 | 10,5 | 70 | 5,0 | ||
2 | 150 | 150 | 180 | 11,0 | 100 | 5,5 | ||
3 | 250 | 300 | - | 12,0 | 150 | 6,0 | ||
4 | 300 | 500 | 360 | 13,0 | 200 | 6,5 | ||
5 | 500 | 13,5 | 300 | 7,0 | ||||
6 | 700 | 14,0 | 450 | 8,0 | ||||
7 | 750 | 15,0 | 500 | 9,0 | ||||
Перемещение узлов станка вращением маховика | КАРТА 4.9.3 | ЛИСТ 2 | ||||||
Индекс факторов или сумма индексов для определения времени | Один оборот | Последующий оборот | ||||||
Расстояние перемещения руки к маховику S, мм, до | Диаметр маховика D, мм, до | Угол поворота маховика YR, град., до | Время на комплекс t, тыс. доли мин. | Диаметр маховика D, мм, до | Время на комплекс t, тыс. доли мин. | |||
16,0 | ||||||||
18,0 | ||||||||
10 | 19,0 | |||||||
11 | 20,0 | |||||||
12 | 21,0 | |||||||
13 | 23,0 | |||||||
14 | 24,0 | |||||||
15 | 26,0 | |||||||
Поправочные коэффициенты на время для измененных условий работы: | ||||||||
при работе в рукавицах | ||||||||
Kиз = 1,19 | Kиз = 1,35 | |||||||
t = 2,50S0,137 D0,112 YR0,100 Kи | t = 1,73D0,260 Kи | |||||||
КАРТА 4.9.4 | ||
Содержание комплекса | Обозначение микроэлементов по БСМ | |
1. | Всмотреться | ФВ |
2. | Переместить маховик (штурвал) - довернуть | П1 (S; M; LM) (ОС1; К3; И1) |
Время на комплекс t, тыс. доли мин. | 7 | |
КАРТА 4.9.5 | ||
Содержание комплекса | Обозначение микроэлементов по БСМ | |
1. | Перевести взгляд | ПВ |
2. | Всмотреться в лимб | ФВ |
3. | Переместить маховик - довернуть | П1 (S; M; LM) (ОС1; К3; И1) |
Время на комплекс t, тыс. доли мин. | 11 | |
КАРТА 4.9.6 | ЛИСТ 1 | |||
![]() | ||||
Содержание комплекса | Обозначение микроэлементов по БСМ | |||
Поворот штурвала на угол YR <= 120° | ||||
1. | Протянуть руку к штурвалу | ПР1 (S) (ОС1; К2) | ||
2. | Взяться | ВЗ1 (ОС1; К1; И) | ||
3. | Повернуть штурвал на угол YR | ПОРА1 (YR; D) (К1; И) | ||
4. | Отпустить | ОТ1 (ОС1) | ||
Один оборот штурвала | ||||
1. | Протянуть руку к штурвалу | ПР1 (S) (ОС1; К2) | ||
2. | Взяться | ВЗ1 (ОС1; К1; И) | ||
3. | Повернуть штурвал на 120° | ПОРА1 (YR 120; D) (К1; И) | ||
4. | Отпустить | ОТ1 (ОС1) | ||
5. | Повернуть руку в первоначальное положение на 120° | ПОРА1 (YR 120; D) (К1; И) | ||
6. | Взяться | ВЗ1 (ОС1; К1; И) | ||
7. | Повернуть штурвал на 120° | ПОРА1 (YR 120; D) (К1; И) | ||
8. | Отпустить | ОТ1 (ОС1) | ||
9. | Повернуть руку в первоначальное положение на 120° | ПОРА1 (YR 120; D) (К1; И) | ||
10. | Взяться | ВЗ1 (ОС1; К1; И) | ||
11. | Повернуть штурвал на 120° | ПОРА1 (YR 120; D) (К1; И) | ||
12. | Отпустить | ОТ1 (ОС1) | ||
КАРТА 4.9.6 | ЛИСТ 2 | |||||||||||
Содержание комплекса | Обозначение микроэлементов по БСМ | |||||||||||
Последующий оборот штурвала | ||||||||||||
1. | Повернуть руку в первоначальное положение на 120° | ПОРА1 (YR 120; D) (К1; И) | ||||||||||
2. | Взяться | ВЗ1 (ОС1; К1; И) | ||||||||||
3. | Повернуть штурвал на 120° | ПОРА1 (YR 120; D) (К1; И) | ||||||||||
4. | Отпустить | ОТ1 (ОС1) | ||||||||||
5. | Повернуть руку в первоначальное положение на 120° | ПОРА1 (YR 120; D) (К1; И) | ||||||||||
6. | Взяться | ВЗ1 (ОС1; К1; И) | ||||||||||
7. | Повернуть штурвал на 120° | ПОРА1 (YR 120; D) (К1; И) | ||||||||||
8. | Отпустить | ОТ1 (ОС1) | ||||||||||
9. | Повернуть руку в первоначальное положение на 120° | ПОРА1 (YR 120; D) (К1; И) | ||||||||||
10. | Взяться | ВЗ1 (ОС1; К1; И) | ||||||||||
11. | Повернуть штурвал на 120° | ПОРА1 (YR 120; D) (К1; И) | ||||||||||
12. | Отпустить | ОТ1 (ОС1) | ||||||||||
Индекс факторов или сумма индексов для определения времени | Поворот на угол YR <= 120° | Один оборот на 360° | Последующий оборот на 360° | |||||||||
Расстояние перемещения руки к штурвалу S, мм, до | Диаметр штурвала D, мм, до | Угол поворота штурвала YR, град., до | Время на комплекс t, тыс. доли мин. | Расстояние перемещения руки к штурвалу S, мм, до | Диаметр штурвала D, мм, до | Время на комплекс t, тыс. доли мин. | Диаметр штурвала D, мм, до | Время на комплекс t, тыс. доли мин. | ||||
0 | 60 | 120 | 45 | 10,5 | 100 | 120 | 28 | 110 | 25 | |||
1 | 85 | 250 | 60 | 11,0 | 300 | 250 | 31 | 200 | 28 | |||
2 | 120 | 550 | 90 | 12,0 | 750 | 500 | 34 | 350 | 30 | |||
3 | 200 | 800 | 120 | 13,0 | 800 | 37 | 600 | 34 | ||||
4 | 250 | 14,0 | 41 | 800 | 37 | |||||||
5 | 350 | 15,0 | 45 | |||||||||
6 | 500 | 16,0 | ||||||||||
7 | 700 | 17,0 | ||||||||||
Перемещение узлов станка вращением штурвала | КАРТА 4.9.6 | ЛИСТ 3 | |||||||
Индекс факторов или сумма индексов для определения времени | Поворот на угол YR <= 120° | Один оборот на 360° | Последующий оборот на 360° | ||||||
Расстояние перемещения руки к штурвалу S, мм, до | Диаметр штурвала D, мм, до | Угол поворота штурвала YR, град., до | Время на комплекс t, тыс. доли мин. | Расстояние перемещения руки к штурвалу S, мм, до | Диаметр штурвала D, мм, до | Время на комплекс t, тыс. доли мин. | Диаметр штурвала D, мм, до | Время на комплекс t, тыс. доли мин. | |
8 | 750 | 18 | |||||||
9 | 19 | ||||||||
10 | 20 | ||||||||
11 | 21 | ||||||||
12 | 23 | ||||||||
13 | 24 | ||||||||
14 | 26 | ||||||||
Поправочные коэффициенты на время для измененных условий работы: | |||||||||
при работе в рукавицах | |||||||||
Kиз = 1,18 | Kиз = 1,25 | Kиз = 1,31 | |||||||
t = 2,32S0,182 D0,083 YR0,128 Kи | t = 11,66S0,078 D0,132 Kи | t = 12,4D0,162 Kи | |||||||
КАРТА 4.9.7 | ||||
![]() | ||||
Содержание комплекса | Обозначение микроэлементов по БСМ | |||
1. | Протянуть руку к выключателю | ПР1 (S) (ОС1; К2) | ||
2. | Взяться за выключатель | ВЗ1 (ОС1; К1; И) | ||
3. | Повернуть выключатель | ПОА1 (М0,05; YR 90) (ОС1; И) | ||
Индекс фактора для определения времени | Расстояние перемещения руки к выключателю S, мм, до | Время на комплекс, тыс. доли мин. | ||
0 | 125 | 13 | ||
1 | 200 | 14 | ||
2 | 300 | 16 | ||
3 | 500 | 17 | ||
4 | 750 | 19 | ||
Поправочный коэффициент на время для измененных условий работы | ||||
при работе в рукавицах Kиз = 1,07 | ||||
t = 4,91S0,211 Kи | ||||
КАРТА 4.9.8 | ||||
![]() | ||||
Содержание комплекса | Обозначение микроэлементов по БСМ | |||
1. | Протянуть руку к педали | ПР1 (S) (ОС1; К2) | ||
2. | Нажать рукой педаль | НРС | ||
3. | Переместить педаль | П1 (SM; М0,1; LM) (ОС1; К1; И1) | ||
4. | Убрать руку | ПР1 (S) (ОС1; К1) | ||
Индекс факторов или сумма индексов для определения времени | Расстояние перемещения руки S, мм, до | Расстояние перемещения педали SM, мм, до | Время на комплекс t, тыс. доли мин. | |
0 | 120 | 40 | 11 | |
1 | 200 | 70 | 12 | |
2 | 300 | 100 | 13 | |
3 | 450 | 15 | ||
4 | 700 | 16 | ||
5 | 750 | 18 | ||
6 | 19 | |||
7 | 21 | |||
t = 2,16S0,219 SM0,180 | ||||
КАРТА 4.9.9 | |||||
![]() | |||||
Содержание комплекса | Обозначение микроэлементов по БСМ | ||||
1. | Подойти к механизму управления | X (S) (СТ2) | |||
2. | Нажать на педаль ногой | СТУ | |||
3. | Отпустить педаль | СТС | |||
Индекс фактора для определения времени | Сидя | Стоя | |||
Время на комплекс t, тыс. доли мин. | Расстояние перехода S, мм, до | Время на комплекс t, тыс. доли мин. | |||
11 | 250 | 14 | |||
1 | 380 | 15 | |||
2 | 580 | 17 | |||
3 | 750 | 18 | |||
t = 11 | t = 4,22S0,222 | ||||
КАРТА 4.9.10 | ||
N позиции | Тип механизма | Время на срабатывание t, тыс. доли мин. |
1 | Электрический | - |
Гидравлический | 7 | |
Пневматический диафрагменный | 10 | |
4 | Пневматический поршневой | 13 |
КАРТА 4.9.11 | ||
Ожидание вращения шпинделя t, тыс. долей мин. | 8 | |
Ожидание остановки вращения шпинделя t, тыс. долей мин. | 50 |
КАРТА 4.9.12 | ЛИСТ 1 | |||||||||||||
N позиции | Обрабатываемый материал | Вид подачи | Диаметр сверла, мм, до | Длина сверления, мм, до | ||||||||||
20 | 30 | 40 | 50 | 75 | 100 | 125 | 150 | 175 | 200 | 250 | ||||
Время на комплекс, мин. | ||||||||||||||
Стали углеродистые вязкие, стали жаропрочные | Ручная | 2 | 0,18 | 0,26 | - | - | - | - | - | - | - | - | - | |
2 | 3 | - | 0,18 | 0,26 | - | - | - | - | - | - | - | - | ||
3 | 5 | - | 0,03 | 0,10 | 0,18 | - | - | - | - | - | - | - | ||
4 | 10 | - | - | - | 0,03 | 0,10 | 0,18 | 0,24 | - | - | - | - | ||
5 | 15 | - | - | - | - | 0,03 | 0,08 | 0,11 | 0,15 | 0,20 | 0,24 | - | ||
6 | Механическая | 10 | - | - | - | 0,05 | 0,15 | 0,25 | 0,36 | - | - | - | - | |
7 | 15 | - | - | - | - | 0,05 | 0,11 | 0,18 | 0,24 | 0,30 | 0,36 | - | ||
8 | 20 | - | - | - | - | 0,05 | 0,09 | 0,14 | 0,18 | 0,22 | 0,27 | 0,36 | ||
9 | 25 | - | - | - | - | 0,05 | 0,08 | 0,12 | 0,16 | 0,19 | 0,23 | 0,30 | ||
10 | 30 | - | - | - | - | - | 0,05 | 0,08 | 0,12 | 0,16 | 0,19 | 0,27 | ||
11 | Стали конструкционные, латунь, алюминий | Ручная | 2 | 0,16 | 0,24 | - | - | - | - | - | - | - | - | - |
12 | 3 | - | 0,16 | 0,24 | - | - | - | - | - | - | - | - | ||
13 | 5 | - | 0,03 | 0,09 | 0,15 | - | - | - | - | - | - | - | ||
14 | 10 | - | - | - | 0,03 | 0,09 | 0,15 | 0,21 | - | - | - | - | ||
15 | 15 | - | - | - | 0,03 | 0,06 | 0,09 | 0,12 | 0,15 | 0,18 | 0,21 | - | ||
Индекс | а | б | в | г | д | е | ж | з | и | к | л | |||
Время на вводы и выводы сверла | КАРТА 4.9.12 | ЛИСТ 2 | ||||||||||||
N позиции | Обрабатываемый материал | Вид подачи | Диаметр сверла, мм, до | Длина сверления, мм, до | ||||||||||
20 | 30 | 40 | 50 | 75 | 100 | 125 | 150 | 175 | 200 | 250 | ||||
Время на комплекс, мин. | ||||||||||||||
16 | Стали конструкционные, латунь, алюминий | Механическая | 10 | - | - | - | 0,05 | 0,14 | 0,23 | 0,32 | - | - | - | - |
17 | 15 | - | - | - | 0,05 | 010 | 0,16 | 0,21 | 0,26 | 0,32 | - | - | ||
18 | 20 | - | - | - | 0,05 | 0,08 | 0,12 | 0,16 | 0,20 | 0,24 | 0,32 | - | ||
19 | 25 | - | - | - | 0,05 | 0,07 | 0,10 | 0,13 | 0,15 | 0,18 | 0,26 | - | ||
20 | 30 | - | - | - | - | 0,05 | 0,08 | 0,11 | 0,14 | 0,17 | 0,23 | - | ||
21 | Чугун, бронза | Ручная | 3 | - | 0,06 | 0,10 | - | - | - | - | - | - | - | - |
22 | 5 | - | - | - | 0,09 | - | - | - | - | - | - | - | ||
23 | 10 | - | - | - | 0,03 | 0,07 | 0,11 | 0,15 | - | - | - | - | ||
24 | 15 | - | - | - | - | 0,03 | 0,05 | 0,08 | 0,10 | 0,13 | 0,15 | - | ||
25 | Механическая | 10 | - | - | - | 0,05 | 0,11 | 0,17 | 0,23 | - | - | - | - | |
26 | 15 | - | - | - | - | 0,05 | 0,08 | 0,12 | 0,16 | 0,19 | 0,23 | 0,23 | ||
27 | 20 | - | - | - | - | 0,05 | 0,07 | 0,10 | 0,13 | 0,15 | 0,18 | 0,20 | ||
28 | 25 | - | - | - | - | 0,03 | 0,06 | 0,08 | 0,10 | 0,12 | 0,16 | 0,18 | ||
29 | 30 | - | - | - | - | - | 0,05 | 0,07 | 0,10 | 0,12 | 0,14 | - | ||
Индекс | а | б | в | г | д | е | ж | з | и | к | л | |||
КАРТА 4.9.13 | |||||||||||
N позиции | Обрабатываемый материал | Вид подачи | Диаметр сверления, мм, до | Длина сверления в диаметрах сверла | |||||||
3d | 4d | 5d | 6d | 7d | 8d | 9d | 10d | ||||
Число выводов сверла | |||||||||||
1 | Стали углеродистые вязкие, стали жаропрочные | Ручная | 3 | 1 | 2 | 3 | 4 | 5 | 6 | 8 | 9 |
2 | 5 | - | - | 1 | 1 | 2 | 3 | 5 | 6 | ||
3 | 10 | 1 | 1 | 1 | 1 | 1 | 2 | 3 | 5 | ||
4 | 15 | 1 | 1 | 1 | 1 | 1 | 2 | 4 | 5 | ||
5 | Механическая | 20 | 1 | 1 | 1 | 1 | 2 | 3 | 4 | 5 | |
6 | 25 | 1 | 1 | 1 | 2 | 3 | 5 | - | - | ||
7 | 30 | 1 | 1 | 2 | 3 | 4 | - | - | - | ||
8 | Стали конструкционные, латунь, алюминий | Ручная | 3 | 1 | 1 | 2 | 3 | 4 | 5 | 7 | 8 |
9 | 5 | - | 1 | 1 | 1 | 1 | 2 | 4 | 5 | ||
10 | 10 | 1 | 1 | 1 | 1 | 1 | 1 | 2 | 3 | ||
11 | 15 | 1 | 1 | 1 | 1 | 1 | 1 | 3 | 4 | ||
12 | Механическая | 20 | 1 | 1 | 1 | 1 | 2 | 2 | 3 | 4 | |
13 | 25 | 1 | 1 | 1 | 1 | 2 | 4 | 5 | - | ||
14 | 30 | 1 | 1 | 1 | 2 | 3 | 5 | - | - | ||
15 | Чугун, бронза | Ручная | 5 | - | - | - | 1 | 1 | 1 | 2 | 3 |
16 | 10 | - | - | 1 | 1 | 1 | 1 | 1 | 3 | ||
17 | 15 | - | 1 | 1 | 1 | 1 | 1 | 2 | 3 | ||
18 | Механическая | 20 | - | 1 | 1 | 1 | 2 | 2 | 2 | 3 | |
19 | 25 | 1 | 1 | 1 | 1 | 2 | 3 | - | - | ||
20 | 30 | 1 | 1 | 1 | 1 | 2 | 4 | - | - | ||
Индекс | а | б | в | г | д | е | ж | з | |||
КАРТА 4.9.14 | ЛИСТ 1 | |||||
N позиции | Тип и характеристика станка | Наименование частей станка | Скорость перемещения, м/мин. | |||
1 | Токарные многорезцовые | Наибольший диаметр обрабатываемого изделия, мм | 125 | Суппорт | продольно | 4,00 |
2 | 250 | 3,60 | ||||
3 | 400 | 3,40 | ||||
4 | 500 | 3,00 | ||||
5 | 125 | поперечно | 1,60 | |||
6 | 250 | 1,50 | ||||
7 | 400 | 1,50 | ||||
8 | 500 | 1,30 | ||||
9 | Токарные многошпиндельные полуавтоматы | Наибольший диаметр обрабатываемого прутка, мм | 630 | Суппорт | продольно | 1,98 |
10 | 630 | поперечно | 1,76 | |||
11 | Револьверные | Наибольший диаметр обрабатываемого прутка, мм | 40 | Револьверная головка | 8,00 | |
12 | 80 | 11,00 | ||||
13 | 40 | Суппорт | продольно | 3,00 | ||
14 | 80 | 2,50 | ||||
15 | 40 | поперечно | 1,30 | |||
16 | 80 | 1,00 | ||||
17 | Расточные | Наибольший диаметр растачивания, мм | 250 | Стол | продольно или поперечно | 2,50 |
18 | 250 | Шпиндельная бабка | 2,50 | |||
19 | 250 | Шпиндель | 2,80 | |||
20 | Горизонтально- или вертикально-фрезерные | Размеры поверхности рабочего стола, мм | 500 | Стол | продольно или поперечно | 3,00 |
21 | 800 | 2,80 | ||||
22 | 1250 | 2,40 | ||||
23 | 1600 | 2,30 | ||||
Средние скорости перемещения частей станков | КАРТА 4.9.14 | ЛИСТ 2 | ||||
N позиции | Тип и характеристика станка | Наименование частей станка | Скорость перемещения, м/мин. | |||
24 | Горизонтально- или вертикально-фрезерные | Размеры поверхности рабочего стола, мм | 500 | Стол | вертикально | 1,50 |
25 | 800 | 0,90 | ||||
26 | 1250 | 0,70 | ||||
27 | 1600 | 0,70 | ||||
28 | Продольно фрезерные | Наибольшие размеры поверхности рабочего стола, мм | 2500 | Стол | продольно | 3,00 |
29 | 2500 | Шпиндельные головки | горизонтально или вертикально | 1,40 | ||
30 | Шлицефрезерные | Наибольший диаметр изделия над станиной, мм | 500 | Каретка | обратное перемещение | 1,92 |
31 | Копировально-фрезерные | Размеры поверхности рабочего стола, мм | 320 x 1250 | Стол | продольно или поперечно | 2,40 |
32 | Круглошлифовальные | Наибольшие размеры шлифования, диаметр, мм | 250 | Стол | продольно | 5,00 |
33 | 250 | Шлифовальная бабка | продольно | 5,00 | ||
Средние скорости перемещения частей станков | КАРТА 4.9.14 | ЛИСТ 3 | ||||
N позиции | Тип и характеристика станка | Наименование частей станка | Скорость перемещения, м/мин. | |||
34 | Внутришлифовальные | Наибольший диаметр шлифуемого отверстия, мм | 6 - 800 | Стол | при быстром продольном подводе и отводе | 11,00 |
35 | при правке | 2,00 | ||||
36 | Плоскошлифовальные с прямоугольным столом | Размеры рабочей поверхности стола (ширина x длина) | 125 x 400 200 x 630 320 x 1000 | Стол | продольно | 25,00 |
37 | 125 x 400 200 x 630 320 x 1000 | Шлифовальная бабка | быстрое перемещение | 0,40 | ||
38 | Плоскошлифовальные с круглым столом | Диаметр стола, мм | 400 | Шлифовальная бабка | быстрое вертикальное перемещение | 0,35 |
39 | 800 | 0,32 | ||||
40 | 1000 | 0,22 | ||||
Средние скорости перемещения частей станков | КАРТА 4.9.14 | ЛИСТ 4 | ||||
N позиции | Тип и характеристика станка | Наименование частей станка | Скорость перемещения, м/мин. | |||
41 | Зубофрезерные | Диаметр обрабатываемой детали, мм, модуль 1 - 20 | 25 - 2000 | Фрезерная головка | вертикально- или горизонтально | 0,50 |
42 | 25 - 2000 | Стол или фрезерная стойка | горизонтально | 0,40 | ||
43 | Шлицешлифовальные | Диаметр обрабатываемой детали, мм | 11 - 200 | Каретка | быстрое перемещение | 0,45 |
44 | 11 - 200 | Стол | продольно | 8,00 | ||
45 | Резьбофрезерные, работающие дисковой фрезой | Наибольший диаметр нарезаемой резьбы, мм, до | 50 - 140 | Фрезерная головка | продольно | 3,40 |
46 | Горизонтально-протяжные станки | Номинальное тяговое усилие, кг | 10000 - 40000 | Скорость обратного хода протяжки, м/мин. | 20 | |
47 | Скорость подвода и отвода протяжки м/мин. | 15 | ||||
48 | Вертикально-протяжные станки | Номинальное тяговое усилие, кг | 5000 - 20000 | Наибольшая скорость обратного хода протяжки, м/мин. | 20 | |
КАРТА 4.10.1 | ЛИСТ 1 | ||
![]() | |||
Содержание комплекса | Обозначение микроэлементов по БСМ | ||
Цена деления 0,1 мм | |||
1. | Взяться левой рукой | ВЗ1 (ОС1; К1; И1) | |
2. | Переместить подвижную губку на измеряемый размер | ПП1 (SM3; М10,01; LM150) (ОС1; К3; И1) | |
3. | Установить штангенциркуль на измеряемую поверхность детали | УОС2 (М0,3; LM300; LD) (ОС1; ОР3; И1) | |
4. | Переместить губку до упора к детали | ПП1 (SM3; М10,01; LM150) (ОС1; К3; И1) | |
5. | Всмотреться в шкалу, в нониус | ФВ | |
6. | Снять штангенциркуль с детали | РС2 (М0,3; LD) (ОС1; ОР3; И1) | |
Цена деления 0,05 мм | |||
1. | Взяться левой рукой | ВЗ1 (ОС1; К1; И1) | |
2. | Переместить подвижную губку штангенциркуля на измеряемый размер детали | ПП1 (SM3; М10,01; LM150) (ОС1; К3; И1) | |
3. | Установить штангенциркуль на измеряемую поверхность детали | УОС2 (М0,3; LM300; LD) (ОС1; ОР3; И1) | |
4. | Переместить подвижную губку до упора к детали | ПП1 (SM3; М10,01; LM150) (ОС1; К3; И1) | |
5. | Повернуть зажимной винт три раза | ПОВ1 (М0,01; YR 120) (ОС1; К1) x 3 | |
6. | Перехватить гайку микрометрической подачи | ВП | |
7. | Повернуть гайку шесть раз | П1 (SM10; M0,01; LM6) (ОС1; К1; И1) x 6 | |
8. | Всмотреться в шкалу | ФВ | |
9. | Всмотреться в нониус | ФВ | |
10. | Повернуть зажимной винт три | ПОВ1 (М0,01; YR 120) (ОС1; И1) x 3 | |
11. | Снять штангенциркуль с детали | РС2 (М0,3; LD) (ОС1; ОР3; И1) | |
Штангенциркуль | КАРТА 4.10.1 | ЛИСТ 2 | |
Индекс фактора для определения времени | Цена деления 0,1 мм | Цена деления 0,05 мм | |
Измеряемый размер D, мм, до | Время на комплекс t, тыс. доли мин. | Время на комплекс t, тыс. доли мин. | |
0 | 40 | 22 | 53 |
1 | 120 | 24 | |
2 | 200 | 27 | |
t = 17,1D0,084 | t = 53 | ||
КАРТА 4.10.2 | ЛИСТ 1 | ||
![]() | |||
Содержание комплекса | Обозначение микроэлементов по БСМ | ||
Цена деления 0,1 мм | |||
1. | Установить штангенглубиномер в отверстие детали | УОС1 (M0,3; LM280; LD) (ОС1; ОР3; И1) | |
2. | Взяться левой рукой за основание | ВЗ1 | |
3. | Переместить штангенглубиномер к торцу детали | ПП1 (SM3; M0,3; LM280) (ОС1; К1; И1) | |
4. | Перехватить правой рукой штангу штангенглубиномера | ВП | |
5. | Переместить подвижную штангу до упора | ПП1 (SM3; M0,3; LM280) (ОС1; К1; И1) | |
6. | Всмотреться в шкалу штангенглубиномера | ФВ | |
7. | Вынуть штангенглубиномер из отверстия | РС1 (M0,3; LD) (ОС1; ОР1; И1) | |
Цена деления 0,05 мм | |||
1. | Установить штангенглубиномер в отверстие детали | УОС1 (M0,3; LM280; LD) (ОС1; ОР3; И1) | |
2. | Взяться левой рукой за основание | ВЗ1 | |
3. | Переместить основание к торцу детали | ПП1 (SM3; M0,3; LM280) (ОС1; К1; И1) | |
4. | Перехватить правой рукой штангу штангенглубиномера | ВП | |
5. | Переместить подвижную штангу до упора | ПП1 (SM3; M0,3; LM280) (ОС1; К1; И1) | |
6. | Повернуть зажимной винт три раза | ПОВ1 (M0,01; YR120) (ОС1; И1) x 3 | |
7. | Перехватить гайку микрометрической подачи | ВП | |
8. | Повернуть гайку шесть раз | П1 (SM10; M0,01; LM5) (ОС1; К1; И1) x 6 | |
9. | Всмотреться в шкалу | ФВ | |
10. | Всмотреться в нониус | ФВ | |
11. | Повернуть зажимной винт три раза | ПОВ1 (M0,01; YR120) (ОС1; И1) x 3 | |
12. | Вынуть штангенглубиномер из отверстия | РС1 (M0,3; LD) (ОС1; ОР1; И1) | |
Штангенглубиномер | КАРТА 4.10.2 | ЛИСТ 2 | |
Индекс фактора для определения времени | Цена деления 0,1 мм | Цена деления 0,05 мм | |
Измеряемая глубина LD, мм, до | Время на комплекс t, тыс. доли мин. | Время на комплекс t, тыс. доли мин. | |
0 | 20 | 30 | 67 |
1 | 50 | 33 | |
2 | 170 | 36 | |
3 | 400 | 39 | |
t = 24,4LD0,084 | t = 67 | ||
Применяемое приспособление: приспособление с индикаторной головкой | КАРТА 4.10.3 | |||
![]() | ||||
Содержание комплекса | Обозначение микроэлементов по БСМ | |||
1. | Установить пробку приспособления в отверстие | УОС1 (M; LM; LD50) (ОС1; ОР1; И1) | ||
2. | Перевести взгляд на шкалу | ПВ | ||
3. | Всмотреться | ФВ | ||
4. | Повернуть приспособление в горизонтальной плоскости на 90° | ПОГ1 (M; YR90) (ОС1; И1) | ||
5. | Всмотреться | ФВ | ||
6. | Вынуть пробку из отверстия | РС1 (M; LD50) (ОС1; ОР1; И1) | ||
Индекс фактора для определения времени | Масса приспособления M, кг, до | Время на комплекс t, тыс. доли мин. | ||
0 | 0,1 | 22 | ||
1 | 0,2 | 24 | ||
2 | 0,5 | 27 | ||
t = 29,93M0,101 | ||||
Применяемый инструмент и приспособления: индикаторная головка типа 1ИГ (2ИГ, 1ГР3, 2ГР3); стойка С-I (С-II, С-III, С-IV); штатив (Ш-IIВ, Ш-I, ШМ-IIВ) | КАРТА 4.10.4 | ЛИСТ 1 | |
![]() | |||
Содержание комплекса | Обозначение микроэлементов по БСМ | ||
1. | Протянуть руку к контрольному валику | ПР1 (S) (ОС1; К2; И1) | |
2. | Взять валик | В1 (M1; Z) (ОС1; К1; И1) | |
3. | Переместить валик к детали | П1 (SM1; M2; LM1) (ОС1; К3; И1) | |
4. | Взяться за деталь | В31 | |
5. | Установить валик в отверстие | УОС1 (M1; LM1; LD) (ОС1; ОР1; И1) | |
6. | Переместить валик по отверстию | П1 (SM50; M1; LM1) (ОС1; К2; И1) | |
7. | Отпустить валик | ОТ1 (ОС1) | |
8. | Перехватить правой рукой деталь | ВП | |
9. | Переместить деталь в центр приспособления | П1 (SM200; M; LM) (ОС1; К3; И1) | |
10. | Установить деталь в центр приспособления | УП1 (M; LM) (ОС1; ОР2; И1) | |
11. | Отпустить деталь левой рукой | ОТ1 (ОС1) | |
12. | Перевести взгляд на шкалу | ПВ | |
13. | Повернуть деталь на угол до 180° (до получения наибольшего или наименьшего значения) | ПОВ1 (M) (ОС1; И1) | |
14. | Всмотреться | ФВ | |
15. | Повернуть деталь на угол 180° | ПОВ1 (M) (ОС1; И1) | |
16. | Всмотреться | ФВ | |
Измерение несимметричности поверхностей относительно оси отверстия Применяемый инструмент и приспособления: индикаторная головка типа 1ИГ (2ИГ, 1ГР3, 2ГР3), стойка С-I (С-II, С-III, С-IV), штатив (Ш-IIВ, Ш-I, ШМ-IIВ) | КАРТА 4.10.4 | ЛИСТ 2 | ||||
Содержание комплекса | Обозначение микроэлементов по БСМ | |||||
17. | Провести вычисления | ФВ | ||||
18. | Протянуть левую руку к стопорному рычагу приспособления | ПР1 (S300) (ОС1; К2; И1) | ||||
19. | Нажать | НРС | ||||
20. | Переместить деталь на стол | П1 (SM200; M; LM) (ОС1; ОР1; И1) | ||||
21. | Отпустить рычаг | ОТ1 (ОС1) | ||||
22. | Установить деталь на стол | УП1 (M; LM) (ОС1; ОР1; И1) | ||||
23. | Отпустить деталь | ОТ1 (ОС1) | ||||
24. | Протянуть руку к валику | ПР1 (S200) (ОС1; К2; И1) | ||||
25. | Взять валик | В1 (M1; Z) (ОС1; К1; И1) | ||||
26. | Разъединить (вынуть валик из отверстия) | РС1 (M1; LD) (ОС1; ОР1; И1) | ||||
27. | Переместить валик на место | П1 (SM1; M1; LM1) (ОС1; К2; И1) | ||||
28. | Отпустить валик | ОТ1 (ОС1) | ||||
Индекс факторов или сумма индексов для определения времени | Масса детали M, кг, до | Длина наибольшей стороны детали LM, мм, до | Время на комплекс t, тыс. доли мин. | |||
0 | 0,8 | 150 | 127 | |||
1 | 2,3 | 350 | 140 | |||
2 | 6,0 | 500 | 154 | |||
3 | 10,0 | 170 | ||||
4 | 187 | |||||
5 | 205 | |||||
t = 82,27M0,093 LM0,109 | ||||||
Применяемый инструмент и приспособления: индикаторная головка типа 1ИГ (2ИГ, 1ГР3, 2ГР3), стойка С-I (С-II, С-III, С-IV), штатив Ш-I (Ш-IIВ, ШМ-I, ШМ-IIВ), пинцет контролируемый размер до 5 мм | КАРТА 4.10.5 | ЛИСТ 1 | |
![]() | |||
Содержание комплекса | Обозначение микроэлементов по БСМ | ||
1. | Протянуть руку к пинцету | ПР1 (S1) (ОС1; К2; И1) | |
2. | Взять пинцет | В1 (M0,1; Z15; LM150) (ОС1; К1; И1) | |
3. | Переместить пинцет к контрольному валику | П1 (SM1; M0,1; LM150) (ОС1; К2; И1) | |
4. | Взять валик | В1 (M2; Z2; LM2) (ОС1; К1; И2) | |
5. | Переместить валик к детали | П1 (SM2; M2; LM2) (ОС1; К3; И2) | |
6. | Установить валик в отверстие | УОС1 (M2; LM2; LD) (ОС1; ОР1; И1) | |
7. | Взяться правой рукой за деталь | ВЗ1 (ОС1; К1; И1) | |
8. | Отпустить левой рукой валик | ОТ1 (ОС1) | |
9. | Переместить пинцет | П1 (SM2; M0,1; LM150) (ОС1; К2; И1) | |
10. | Отпустить | ОТ1 (ОС1) | |
11. | Переместить деталь по направляющим подставки | ПП1 (SM; M; LM) (ОС1; К; И1) | |
12. | Перевести взгляд на шкалу | ПВ | |
13. | Всмотреться | ФВ | |
14. | Повернуть деталь на 360° | ПОВ1 (M) (ОС1; И1) x 2 | |
15. | Всмотреться | ФВ | |
16. | Повернуть деталь на 180° (до получения наибольшего или наименьшего значения по шкале) | ПОВ1 (M) (ОС1; И1) | |
17. | Всмотреться | ФВ | |
18. | Повернуть деталь на 180° | ПОВ1 (M) (ОС1; И1) | |
19. | Всмотреться | ФВ | |
20. | Переместить деталь по направляющим подставки | ПП1 (SM; M; LM) (ОС1; К; И1) | |
Измерение несоосности относительно базовой поверхности. Применяемый инструмент и приспособления: индикаторная головка типа 1ИГ (2ИГ, 1ГРЗ, 2ГР3), стойка С-I (С-II, С-III, С-IV), штатив Ш-I (III-IIВ, ШМ-I, ШМ-IIВ), пинцет контролируемый размер до 5 мм | КАРТА 4.10.5 | ЛИСТ 2 | |||
Содержание комплекса | Обозначение микроэлементов по БСМ | ||||
21. | Протянуть руку к валику | ПР1 (S2) (ОС1; К2; И2) | |||
22. | Взять валик | В1 (M2; Z2; LM2) (ОС1; К1; И2) | |||
23. | Разъединить (вынуть валик из отверстия) | РС1 (M2; LD) (OC1; OP1; И2) | |||
24. | Переместить валик на место | П1 (SM2; M2; LM2) (ОС1; К2; И2) | |||
25. | Опустить валик | ОТ1 (ОС1) | |||
26. | Отпустить деталь | ОТ1 (ОС1) | |||
27. | Переместить пинцет на место | П1 (SM1; M0,1; LM150) (ОС1; К2; И1) | |||
28. | Отпустить пинцет | ОТ1 (ОС1) | |||
Индекс фактора для определения времени | Масса детали M, кг, до | Время на комплекс t, тыс. доли мин. | |||
0 | 1 | 137 | |||
1 | 7 | 151 | |||
2 | 10 | 166 | |||
t = 142,22M0,054 | |||||
Применяемый инструмент и приспособления: индикаторная головка типа 1ИГ (2ИГ, 1ГР3, 2ГР3), стойка С-I (С-II, С-III, С-IV), штатив Ш-I (Ш-IIВ, ШМ-I, ШМ-IIВ), пинцет контролируемый размер свыше 5 мм | КАРТА 4.10.6 | ||||
![]() | |||||
Содержание комплекса | Обозначение микроэлементов по БСМ | ||||
1. | Протянуть руку к валику | ПР1 (S1) (ОС2; К2; И1) | |||
2. | Взять валик | В1 (M1; Z1; LM1) (ОС1; К1; И1) | |||
3. | Переместить к отверстию | П1 (SM1; M1; LM1) (ОС1; К3; И1) | |||
4. | Взяться за деталь | ВЗ1 | |||
5. | Установить валик в отверстие | УОС1 (M; LM1; LD1) (ОС1; ОР1; И1) | |||
6. | Отпустить валик | ОТ1 (ОС1) | |||
7. | Переместить деталь по направляющим до упора | ПП1 (SM; M; LM) (ОС1; К; И1) | |||
8. | Перевести взгляд на шкалу | ПВ | |||
9. | Повернуть деталь на 360° | ПОВ1 (M) (ОС1; И1) x 2 | |||
10. | Всмотреться | ФВ | |||
11. | Повернуть деталь на 180° | ПОВ1 (M) (ОС1; И1) | |||
12. | Всмотреться | ФВ | |||
13. | Переместить деталь по направляющим | ПП1 (SM; M; LM) (ОС1; К; И1) | |||
14. | Протянуть руку к валику | ПР1 (S1) (ОС1; К2; И1) | |||
15. | Взять валик | В1 (M1; Z1; LM1) (ОС1; К1; И1) | |||
16. | Разъединить (вынуть валик из отверстия) | РС1 (M1; LD1) (OC1; OP1; И1) | |||
17. | Переместить валик на место | П1 (SM1; M1; LM1) (ОС1; К2; И1) | |||
18. | Отпустить валик | ОТ1 (ОС1) | |||
19. | Отпустить деталь | ОТ1 (ОС1) | |||
Индекс фактора для определения времени | Масса детали M, кг, до | Время на комплекс t, тыс. доли мин. | |||
0 | 1,0 | 95 | |||
1 | 3,5 | 105 | |||
2 | 12,0 | 115 | |||
t = 100,44M0,075 | |||||
Применяемый инструмент и приспособления: индикаторная головка типа 1ИГ (2ИГ, 1ГР3, 2ГР3); стойка С-I (С-II, С-III, С-IV); штатив Ш-I (Ш-IIВ, ШМ-I, ШМ-IIВ) | КАРТА 4.10.7 | |||
![]() | ||||
Содержание комплекса | Обозначение микроэлементов по БСМ | |||
1. | Протянуть руку к детали | ПР1 (S) (ОС1; К2; И1) | ||
2. | Взяться за деталь | ВЗ1 (ОС1; К1; И1) | ||
3. | Повернуть деталь на 360° | ПОВ1 (M) (ОС1; И1) x 2 | ||
4. | Перевести взгляд на шкалу | ПВ | ||
5. | Всмотреться | ФВ | ||
6. | Повернуть деталь на 90° (до получения наибольшего или наименьшего показания на шкале) | ПОВ1 (M) (ОС1; И1) | ||
7. | Всмотреться | ФВ | ||
8. | Повернуть деталь на 90° | ПОВ1 (M) (ОС1; И1) | ||
9. | Всмотреться | ФВ | ||
10. | Провести расчет | ФВ | ||
Индекс фактора для определения времени | Масса детали M, кг, до | Время на комплекс t, тыс. доли мин. | ||
0 | 0,7 | 48 | ||
1 | 1,6 | 53 | ||
2 | 3,5 | 58 | ||
3 | 7,5 | 64 | ||
4 | 10,0 | 70 | ||
t = 52,02M0,123 | ||||
Применяемый инструмент и приспособления: индикаторная головка типа 1ИГ (2ИГ, 1ГР3) стойка С-I (С-II, С-III, С-IV), штатив Ш-I (Ш-IIВ, ШМ-I, ШМ-IIВ) | КАРТА 4.10.8 | |||
![]() | ||||
Содержание комплекса | Обозначение микроэлементов по БСМ | |||
1. | Протянуть руку к детали | ПР1 (S) (ОС1; К2; И1) | ||
2. | Взяться за деталь | ВЗ1 (ОС1; К1; И1) | ||
3. | Повернуть деталь на 360° | ПОВ1 (M) (ОС1; И1) x 2 | ||
4. | Перевести взгляд на шкалу | ПВ | ||
5. | Повернуть деталь на 90° (до получения наибольшего или наименьшего значения по шкале) | ПОВ1 (M) (ОС1; И1) | ||
6. | Всмотреться | ФВ | ||
7. | Повернуть деталь на 90° | ПОВ1 (M) (ОС1; И1) | ||
8. | Всмотреться | ФВ | ||
9. | Повернуть деталь на 90° | ПОВ1 (M) (ОС1; И1) | ||
10. | Всмотреться | ФВ | ||
11. | Взяться рукой за наконечник индикатора | ВЗ1 (ОС1; К1; И1) | ||
12. | Переместить наконечник индикатора вверх на 5 мм | П1 (SM5; M0,01; LM50) | ||
13. | Переместить деталь по направляющим стойки стола на 1/2 длины детали | ПП1 (SM; M; LM) (ОС1; К2; И1) | ||
14. | Отпустить наконечник индикатора | ОТ1 (ОС1) | ||
Индекс фактора для определения времени | Масса детали M, кг, до | Время на комплекс t, тыс. доли мин. | ||
0 | 0,7 | 108 | ||
1 | 1,4 | 119 | ||
2 | 3,0 | 131 | ||
3 | 5,5 | 144 | ||
4 | 10,0 | 159 | ||
t = 119,29M0,139 | ||||
КАРТА 4.10.9 | ЛИСТ 1 | ||||||||
![]() | |||||||||
Содержание комплекса | Обозначение микроэлементов по БСМ | ||||||||
Промер проходной стороной | |||||||||
1. | Установить пробку в отверстие детали | УОП1 (M; LM; LD) (ОС1; ОР1; И1) | |||||||
2. | Разъединить пробку с деталью | РП1 (M; LD) (ОС1; ОР1; И1) | |||||||
Полный промер | |||||||||
1. | Установить пробку проходной стороной в отверстие детали | УОП1 (M; LM; LD) (ОС1; ОР1; И1) | |||||||
2. | Разъединить пробку с деталью | РП1 (M; LD) (ОС1; ОР1; И1) | |||||||
3. | Переместить пробку на расстояние 100 мм | П1 (S100; M; LM;) (ОС1; К1; И1) | |||||||
4. | Повернуть пробку в вертикальной плоскости на 180° | ПОВ1 (M) (ОС1; И1) | |||||||
5. | Перехватить пробку | ВП | |||||||
6. | Переместить пробку непроходной стороной к отверстию детали | П1 (S100; M; LM;) (ОС1; К3; И1) | |||||||
7. | Установить пробку в отверстие детали | УОП1 (M; LM; LD2) (ОС1; ОР1; И1) | |||||||
8. | Нажать ("Непроход") | НРС | |||||||
Индекс факторов или сумма индексов для определения времени | Промер проходной стороной | Полный промер | |||||||
Измеряемый размер D, мм, до | Длина продвижения пробки LD, мм, до | Время на комплекс t, тыс. доли мин. | Измеряемый размер D, мм, до | Длина продвижения пробки LD, мм, до | Время на комплекс t, тыс. доли мин. | ||||
0 | 1,2 | 13 | 3,3 | 1,3 | 15 | 17 | |||
1 | 2,0 | 20 | 3,5 | 2,5 | 55 | 19 | |||
2 | 3,0 | 40 | 4,0 | 5,0 | 185 | 21 | |||
Калибр-пробка гладкий двусторонний | КАРТА 4.10.9 | ЛИСТ 2 | ||||
Индекс факторов или сумма индексов для определения времени | Промер проходной стороной | Полный промер | ||||
Измеряемый размер D, мм, до | Длина продвижения пробки LD, мм, до | Время на комплекс t, тыс. доли мин. | Измеряемый размер D, мм, до | Длина продвижения пробки LD, мм, до | Время на комплекс t, тыс. доли мин. | |
3 | 4,0 | 70 | 4,5 | 10,0 | 200 | 23 |
4 | 6,0 | 120 | 5,0 | 20,0 | 25 | |
5 | 9,0 | 200 | 5,5 | 40,0 | 28 | |
6 | 13,0 | 6,0 | 50,0 | 31 | ||
7 | 20,0 | 6,5 | 34 | |||
8 | 30,0 | 7,0 | 37 | |||
9 | 45,0 | 8,0 | 41 | |||
10 | 50,0 | 9,0 | ||||
11 | 9,5 | |||||
12 | 10,5 | |||||
13 | 11,5 | |||||
14 | 12,5 | |||||
15 | 14,0 | |||||
t = 2,24D0,238 LD0,171 | t = 14,47D0,142 LD0,077 | |||||
КАРТА 4.10.10 | ЛИСТ 1 | ||||||
![]() | |||||||
Содержание комплекса | Обозначение микроэлементов по БСМ | ||||||
Промер проходной пробкой | |||||||
1. | Установить проходную пробку в отверстие детали | УОП1 (M; LM; LD) (ОС1; ОР1; И1) | |||||
2. | Разъединить пробку с деталью | РП1 (M; LD) (ОС1; ОР1; И1) | |||||
Полный промер (двумя пробками) | |||||||
1. | Установить проходную пробку в отверстие детали | УОП1 (M; LM; LD) (ОС1; ОР1; И1) | |||||
2. | Разъединить пробку с деталью | РП1 (M; LD) (ОС1; ОР1; И1) | |||||
3. | Установить непроходную пробку в отверстие детали | УОП1 (M; LM; LD2) (ОС1; ОР1; И1) | |||||
4. | Нажать ("Непроход") | НРС | |||||
Индекс факторов или сумма индексов для определения времени | Измеряемый размер D, мм, до | Длина продвижения пробки по детали LD, мм, до | Время на комплекс t, тыс. доли мин. | ||||
Промер проходной пробкой | Полный промер | ||||||
0 | 55 | 15 | 10,0 | 17,5 | |||
1 | 65 | 30 | 11,0 | 19,0 | |||
2 | 80 | 50 | 12,0 | 21,0 | |||
Калибр-пробка гладкий (проходной, непроходной) | КАРТА 4.10.10 | ЛИСТ 2 | ||
Индекс факторов или сумма индексов для определения времени | Измеряемый размер D, мм, до | Длина продвижения пробки по детали LD, мм, до | Время на комплекс t, тыс. доли мин. | |
Промер проходной пробкой | Полный промер | |||
3 | 90 | 100 | 13,0 | 23,0 |
4 | 100 | 200 | 14,5 | 25,5 |
5 | 16,0 | 28,0 | ||
6 | 17,5 | 31,0 | ||
7 | 19,0 | 34,0 | ||
8 | 21,0 | 38,0 | ||
Промер проходной пробкой t = 0,71D0,591 LD0,141 | ||||
Полный промер t = 1,50D0,546 LD0,140 | ||||
КАРТА 4.10.11 | ЛИСТ 1 | ||
![]() | |||
Содержание комплекса | Обозначение микроэлементов по БСМ | ||
Промер проходной пробкой | |||
1. | Установить проходную пробку в отверстие детали | УОП1 (M; LM; LD) (ОС1; ОР1; И1) | |
2. | Повернуть пробку на 90° | ПОА1 (M; YR90) (ОС1; К1; И1) | |
3. | Разъединить пробку с деталью | РП1 (M; LD) (ОС1; ОР1; И1) | |
Полный промер (двумя пробками) | |||
1. | Установить проходную пробку в отверстие детали | УОП1 (M; LM; LD) (ОС1; ОР1; И1) | |
2. | Повернуть пробку на 90° | ПОА1 (M; YR90) (ОС1; К1; И1) | |
3. | Разъединить пробку с деталью | РП1 (M; LD) (ОС1; ОР1; И1) | |
4. | Установить непроходную пробку в отверстие детали | УОП1 (M; LM; LD2) (ОС1; ОР1; И1) | |
5. | Нажать ("Непроход") | НРС | |
6. | Повернуть пробку на 90° | ПОА1 (M; YR90) (ОС1; И1) | |
7. | Нажать ("Непроход") | НРС | |
Калибр-пробка плоский (проходной, непроходной) | КАРТА 4.10.11 | ЛИСТ 2 | ||
Индекс факторов или сумма индексов для определения времени | Измеряемый размер D, мм, до | Длина продвижения пробки LD, мм, до | Время на комплекс t, тыс. доли мин. | |
Промер проходной пробкой | Полный промер | |||
0 | 85 | 15 | 13,0 | 30,5 |
1 | 110 | 40 | 14,5 | 33,5 |
2 | 140 | 100 | 16,0 | 37,0 |
3 | 175 | 130 | 17,5 | 41,0 |
4 | 220 | 19,5 | 45,0 | |
5 | 300 | 21,5 | 49,0 | |
6 | 23,5 | 54,0 | ||
7 | 26,0 | 60,0 | ||
8 | 28,5 | 66,0 | ||
Промер проходной пробкой t = 1,93D0,394 LD0,099 | ||||
Полный промер t = 4,82D0,377 LD0,096 | ||||
КАРТА 4.10.12 | ||||
![]() | ||||
Содержание комплекса | Обозначение микроэлементов по БСМ | |||
1. | Установить пробку в отверстие детали | УОС1 (M; LM; LD) (ОС1; К3; И1) | ||
2. | Всмотреться | ФВ | ||
3. | Разъединить пробку с деталью | РС1 (M; LD) (ОС1; ОР1; И1) | ||
Индекс фактора для определения времени | Измеряемый размер D, мм, до | Время на комплекс t, тыс. доли мин. | ||
0 | 15 | 9,5 | ||
1 | 20 | 11,0 | ||
2 | 25 | 12,0 | ||
3 | 30 | 13,0 | ||
4 | 40 | 14,0 | ||
5 | 50 | 15,5 | ||
6 | 60 | 17,0 | ||
7 | 75 | 19,0 | ||
8 | 90 | 20,5 | ||
9 | 115 | 23,0 | ||
10 | 125 | 25,0 | ||
t = 3,10D0,430 | ||||
КАРТА 4.10.13 | ||||
![]() | ||||
Содержание комплекса | Обозначение микроэлементов по БСМ | |||
1. | Надеть кольцо на деталь | УОП1 (M; LM; LD) (ОС1; ОР3; И1) | ||
2. | Всмотреться | ФВ | ||
3. | Снять кольцо с детали | РП1 (M; LD) (ОС1; ОР2; И1) | ||
Индекс факторов или сумма индексов для определения времени | Измеряемый размер D, мм, до | Длина продвижения кольца по детали LD, мм, до | Время на комплекс t, тыс. доли мин. | |
0 | 15 | 40 | 17 | |
1 | 18 | 80 | 19 | |
2 | 20 | 150 | 21 | |
3 | 25 | 300 | 23 | |
4 | 30 | 500 | 25 | |
5 | 35 | 28 | ||
6 | 40 | 30 | ||
7 | 45 | 33 | ||
8 | 55 | 37 | ||
9 | 65 | 40 | ||
10 | 75 | 44 | ||
11 | 85 | 49 | ||
12 | 00 | 54 | ||
13 | 120 | 59 | ||
14 | 125 | 65 | ||
15 | 72 | |||
16 | 79 | |||
17 | 87 | |||
18 | 95 | |||
t = 2,19D0,600 LD0,139 | ||||
КАРТА 4.10.14 | |||||||||
![]() | ![]() | ||||||||
Содержание комплекса | Обозначение микроэлементов по БСМ | ||||||||
1. | Установить пробку (втулку) в отверстие (на вал) | УОП1 (M; LM; LD) (ОС1; ОР1; И1) | |||||||
2. | Всмотреться в риску | ФВ | |||||||
3. | Повернуть пробку (втулку) на 5° два раза (покачать) | ПОВ1 (M) (ОС1; И1) x 2 | |||||||
4. | Вынуть (снять) пробку (втулку) | РП1 (M; LD) (ОС1; ОР1; И1) | |||||||
Индекс факторов или сумма индексов для определения времени | Калибр-пробка | Калибр-втулка | |||||||
Измеряемый размер D, мм, до | Длина продвижения пробки по детали LD, мм, до | Время на комплекс t, тыс. доли мин. | Измеряемый размер D, мм, до | Длина продвижения втулки по детали LD, мм, до | Время на комплекс t, тыс. доли мин. | ||||
0 | 12 | 15 | 18 | 6 | 15 | 20 | |||
1 | 20 | 40 | 19 | 10 | 35 | 22 | |||
2 | 40 | 100 | 21 | 18 | 80 | 24 | |||
3 | 70 | 23 | 30 | 100 | 27 | ||||
4 | 125 | 26 | 50 | 29 | |||||
5 | 200 | 28 | 90 | 32 | |||||
6 | 31 | 100 | 35 | ||||||
7 | 34 | 39 | |||||||
8 | 43 | ||||||||
9 | 47 | ||||||||
t = 9,85D0,161 LD0,099 | t = 11,57D0,181 LD0,110 | ||||||||
КАРТА 4.10.15 | ЛИСТ 1 | |||||
![]() | ||||||
Содержание комплекса | Обозначение микроэлементов по БСМ | |||||
Один оборот | ||||||
1. | Установить пробку проходной стороной в отверстие детали | УОС1 (M; LM; LD3) (ОС1; ОР3; И1) | ||||
2. | Повернуть пробку на один оборот | ПООС1 (D) (СТ1; И1) | ||||
3. | Повернуть пробку на один оборот в обратную сторону | ПООС1 (D) (СТ1; И1) | ||||
4. | Переместить пробку от отверстия детали на расстояние 100 мм | П1 (SM100; M; LM) (ОС1; К1; И1) | ||||
5. | Повернуть пробку на угол 180° | ПОВ1 (M) (ОС1; К1; И1) | ||||
6. | Переместить пробку к отверстию детали | П1 (SM100; M; LM) (ОС1; К3; И1) | ||||
7. | Установить пробку непроходной стороной в отверстие детали | УОС1 (M; LM; LD2) (ОС1; ОР3; И1) | ||||
8. | Повернуть пробку на один оборот | ПООС1 (D) (СТ1; И1) | ||||
9. | Повернуть пробку на один оборот в обратную сторону | ПООС1 (D) (СТ1; И1) | ||||
Последующий оборот (проходной стороной) | ||||||
1. | Повернуть пробку на один оборот | ПООС1 (D) (СТ1; И1) | ||||
2. | Повернуть пробку на один оборот в обратную сторону | ПООС1 (D) (СТ1; И1) | ||||
Индекс фактора для определения времени | Один оборот | Последующий оборот | ||||
Диаметр резьбы D, мм, до | Время на комплекс t, тыс. доли мин. | Диаметр резьбы D, мм, до | Время на комплекс t, тыс. доли мин. | |||
0 | 2,5 | 45 | 2,2 | 8 | ||
1 | 4,0 | 49 | 2,8 | 9 | ||
2 | 6,0 | 54 | 3,5 | 10 | ||
3 | 8,0 | 59 | 4,0 | 11 | ||
Калибр-пробка резьбовой двусторонний (полный промер) | КАРТА 4.10.15 | ЛИСТ 2 | ||
Индекс фактора для определения времени | Один оборот | Последующий оборот | ||
Диаметр резьбы D, мм, до | Время на комплекс t, тыс. доли мин. | Диаметр резьбы D, мм, до | Время на комплекс t, тыс. доли мин. | |
4 | 12,0 | 65 | 6,0 | 12 |
5 | 20,0 | 72 | 8,0 | 13 |
6 | 35,0 | 79 | 10,0 | 15 |
7 | 42,0 | 87 | 12,0 | 16 |
8 | 50,0 | 96 | 16,0 | 18 |
9 | 20,0 | 19 | ||
10 | 24,0 | 21 | ||
11 | 30,0 | 23 | ||
12 | 36,0 | 26 | ||
13 | 42,0 | 28 | ||
14 | 50,0 | 31 | ||
t = 38,20D0,226 | t = 6,17D0,410 | |||
Полный промер (проходной и непроходной пробками) | КАРТА 4.10.16 | ЛИСТ 1 | ||||
![]() | ![]() | |||||
Содержание комплекса | Обозначение микроэлементов по БСМ | |||||
Один оборот | ||||||
1. | Установить проходную пробку в отверстие детали | УОС1 (M; LM; LD3) (ОС1; ОР3; И1) | ||||
2. | Повернуть пробку на один оборот | ПООС1 (D) (СТ1; И1) | ||||
3. | Повернуть пробку на один оборот в обратную сторону | ПООС1 (D) (СТ1; И1) | ||||
4. | Установить непроходную пробку в отверстие детали | УОС1 (M; LM; LD3) (ОС1; ОР3; И1) | ||||
5. | Повернуть пробку на один оборот | ПООС1 (D) (СТ1; И1) | ||||
6. | Повернуть пробку на один оборот в обратную сторону | ПООС1 (D) (СТ1; И1) | ||||
Последующий оборот (проходной пробки) | ||||||
1 | Повернуть пробку на один оборот | ПООС1 (D) (СТ1; И1) | ||||
2. | Повернуть пробку на один оборот в обратную сторону | ПООС1 (D) (СТ1; И1) | ||||
Индекс фактора для определения времени | Один оборот | Последующий оборот | ||||
Диаметр резьбы D, мм, до | Время на комплекс t, тыс. доли мин. | Диаметр резьбы D, мм, до | Время на комплекс t, тыс. доли мин. | |||
0 | 2,5 | 37 | 2,2 | 8,0 | ||
1 | 3,0 | 40 | 2,8 | 9,0 | ||
2 | 5,0 | 44 | 3,5 | 10,0 | ||
3 | 6,0 | 49 | 4,0 | 11,0 | ||
Калибр-пробка резьбовой односторонний. Полный промер (проходной и непроходной пробками) | КАРТА 4.10.16 | ЛИСТ 2 | ||
Индекс фактора для определения времени | Один оборот | Последующий оборот | ||
Диаметр резьбы D, мм, до | Время на комплекс t, тыс. доли мин. | Диаметр резьбы D, мм, до | Время на комплекс t, тыс. доли мин. | |
4 | 10,0 | 53 | 5,0 | 12,0 |
5 | 12,0 | 59 | 6,0 | 13,0 |
6 | 20,0 | 65 | 8,0 | 14,5 |
7 | 30,0 | 71 | 12,0 | 16,0 |
8 | 42,0 | 78 | 16,0 | 17,5 |
9 | 50,0 | 86 | 20,0 | 19,0 |
10 | 24,0 | 21,0 | ||
11 | 30,0 | 23,0 | ||
12 | 36,0 | 26,0 | ||
13 | 42,0 | 28,0 | ||
14 | 56,0 | 31,0 | ||
t = 30,40D0,264 | t = 6,17D0,410 | |||
КАРТА 4.10.17 | ЛИСТ 1 | ||||||
![]() | |||||||
Содержание комплекса | Обозначение микроэлементов по БСМ | ||||||
Один оборот (кольцо проходное или непроходное) | |||||||
1. | Установить кольцо на деталь | УОС1 (M; LM; LD3) (ОС1; ОР3; И1) | |||||
2. | Повернуть кольцо на один оборот | ПООС1 (D) (СТ1; И1) | |||||
3. | Повернуть кольцо на один оборот в обратную сторону | ПООС1 (D) (СТ1; И1) | |||||
Последующий оборот (кольцо проходное) | |||||||
1. | Повернуть кольцо на один оборот | ПООС1 (D) (СТ1; И1) | |||||
2. | Повернуть кольцо на один оборот в обратную сторону | ПООС1 (D) (СТ1; И1) | |||||
Индекс фактора для определения времени | Один оборот (кольцо проходное или непроходное) | Последующий оборот (кольцо проходное) | |||||
Диаметр резьбы D, м, до | Время на комплекс t, тыс. доли мин. | Диаметр резьбы D, мм, до | Время на комплекс t, тыс. доли мин. | ||||
0 | 1,2 | 16 | 1,1 | 6,0 | |||
1 | 1,5 | 17 | 1,5 | 7,0 | |||
2 | 2,5 | 19 | 1,8 | 7,5 | |||
3 | 3,0 | 21 | 2,2 | 8,0 | |||
4 | 5,0 | 23 | 3,0 | 9,0 | |||
5 | 8,0 | 25 | 4,0 | 10,0 | |||
6 | 10,0 | 28 | 4,5 | 11,0 | |||
7 | 16,0 | 31 | 5,0 | 12,0 | |||
8 | 20,0 | 34 | 8,0 | 13,0 | |||
Калибр-кольцо резьбовой проходной или непроходной | КАРТА 4.10.17 | ЛИСТ 2 | ||
Индекс фактора для определения времени | Один оборот (кольцо проходное или непроходное) | Последующий оборот (кольцо проходное) | ||
Диаметр резьбы D, мм, до | Время на комплекс t, тыс. доли мин. | Диаметр резьбы D, мм, до | Время на комплекс t, тыс. доли мин. | |
9 | 30,0 | 37 | 10,0 | 15,0 |
10 | 42,0 | 41 | 12,0 | 16,0 |
11 | 64,0 | 45 | 16,0 | 18,0 |
12 | 80,0 | 50 | 20,0 | 19,0 |
13 | 100,0 | 55 | 24,0 | 21,0 |
14 | 30,0 | 23,0 | ||
15 | 36,0 | 26,0 | ||
16 | 48,0 | 28,0 | ||
17 | 56,0 | 31,0 | ||
18 | 72,0 | 34,0 | ||
19 | 80,0 | 38,0 | ||
20 | 100,0 | 42,0 | ||
t = 15,81D0,266 | t = 6,17D0,410 | |||
КАРТА 4.10.18 | ||||||
![]() | ||||||
Содержание комплекса | Обозначение микроэлементов по БСМ | |||||
Промер проходной стороной | ||||||
1. | Установить скобу на деталь | УОС1 (M; LM; LD) (ОС1; ОР2; И1) | ||||
2. | Снять скобу с детали | РС1 (M; LD) (ОС1; ОР2; И1) | ||||
Полный промер | ||||||
1. | Установить скобу проходной стороной на деталь | УОС1 (M; LM; LD) (ОС1; ОР2; И1) | ||||
2. | Снять скобу с детали | РС1 (M; LD) (ОС1; ОР2; И1) | ||||
3. | Повернуть скобу на 180° | ПОВ1 (M) (ОС1; И1) | ||||
4. | Установить скобу непроходной стороной на деталь | УОС1 (M; LM; LD) (ОС1; ОР2; И1) | ||||
5. | Нажать | НРС | ||||
Индекс фактора для определения времени | Промер проходной стороной | Полный промер | ||||
Измеряемый размер D, мм, до | Время на комплекс t, тыс. доли мин. | Измеряемый размер D, мм, до | Время на комплекс t, тыс. доли мин. | |||
0 | 4 | 11,5 | 4,0 | 24,5 | ||
1 | 10 | 12,5 | 7,0 | 27,0 | ||
2 | 24 | 13,5 | 12,5 | 30,0 | ||
3 | 57 | 15,0 | 23,0 | 33,0 | ||
4 | 100 | 16,5 | 41,0 | 36,0 | ||
5 | 76,0 | 40,0 | ||||
6 | 100,0 | 44,0 | ||||
t = 10,05D0,110 | t = 20,71D0,161 | |||||
КАРТА 4.10.19 | ЛИСТ 1 | |||||
![]() | ||||||
Содержание комплекса | Обозначение микроэлементов по БСМ | |||||
1. | Установить скобу на деталь | УОС1 (M; LM; LD) (ОС1; ОР2; И1) | ||||
2. | Нажать ("Непроход") | НРС | ||||
3. | Снять скобу с детали | РС1 (M; LD) (ОС1; ОР2; И1) | ||||
Индекс фактора для определения времени | Измеряемый размер D, мм, до | Время на комплекс t, тыс. доли мин. | ||||
0 | 3,5 | 7,0 | ||||
1 | 4,5 | 7,5 | ||||
2 | 5,5 | 8,5 | ||||
3 | 7,5 | 9,5 | ||||
4 | 9,5 | 10,5 | ||||
5 | 12,5 | 11,5 | ||||
6 | 16,0 | 12,5 | ||||
7 | 21,0 | 13,5 | ||||
8 | 27,5 | 15,0 | ||||
9 | 35,5 | 16,5 | ||||
Калибр-скоба гладкая односторонний двупредельный | КАРТА 4.10.19 | ЛИСТ 2 | ||
Индекс фактора для определения времени | Измеряемый размер D, мм, до | Время на комплекс t, тыс. доли мин. | ||
10 | 46,0 | 18,5 | ||
11 | 60,0 | 20,0 | ||
12 | 78,0 | 22,0 | ||
13 | 101,0 | 24,5 | ||
131,0 | 27,0 | |||
15 | 170,0 | 29,5 | ||
16 | 221,0 | 32,5 | ||
17 | 287,0 | 35,5 | ||
18 | 360,0 | 39,0 | ||
t = 4,72D0,365 | ||||
КАРТА 4.10.20 | ЛИСТ 1 | ||||
![]() | |||||
Содержание комплекса | Обозначение микроэлементов по БСМ | ||||
1. | Установить скобу на деталь | УОС1 (M; LM; LD) (ОС1; ОР3; И1) | |||
2. | Повернуть скобу два раза | ПОВ1 (M) (ОС1; И1) x 2 | |||
3. | Нажать | НРС | |||
4. | Снять скобу с детали | РС1 (M; LD) (ОС1; ОР2; И1) | |||
Индекс фактора для определения времени | Измеряемый размер D, мм, до | Время на комплекс t, тыс. доли мин. | |||
0 | 31 | 9 | |||
1 | 33 | 10 | |||
2 | 35 | 11 | |||
3 | 38 | 12 | |||
4 | 40 | 13 | |||
5 | 43 | 15 | |||
6 | 46 | 16 | |||
7 | 49 | 18 | |||
8 | 52 | 20 | |||
9 | 55 | 22 | |||
Калибр-скоба резьбовой | КАРТА 4.10.20 | ЛИСТ 2 | ||
Индекс фактора для определения времени | Измеряемый размер D, мм, до | Время на комплекс t, тыс. доли мин. | ||
10 | 59 | 24 | ||
11 | 63 | 26 | ||
12 | 67 | 29 | ||
13 | 72 | 32 | ||
14 | 76 | 35 | ||
15 | 81 | 38 | ||
16 | 87 | 42 | ||
17 | 93 | 47 | ||
18 | 100 | 51 | ||
t = 0,06D1,480 | ||||
КАРТА 4.10.21 | |||||
![]() | |||||
Содержание комплекса | Обозначение микроэлементов по БСМ | ||||
1. | Установить скобу на деталь | УОС1 (M0,5; LM200; LD) (ОС1; ОР2; И1) | |||
2. | Переместить скобу по измеряемому размеру два раза (покачать) | П1 (S25; M0,5; LM200) (ОС1; К3; И1) x 2 | |||
Повернуть скобу на 90° | ПОВ1 (M0,5) (ОС1; И1) | ||||
Всмотреться в шкалу | ФВ | ||||
5. | Разъединить (снять) скобу | РС1 (M0,5; LD) (ОС1; ОР2; И1) | |||
Индекс фактора для определения времени | Измеряемый размер D, мм, до | Время на комплекс t, тыс. доли мин. | |||
0 | 1,5 | 10 | |||
1 | 5,0 | 11 | |||
16,0 | 12 | ||||
3 | 50,0 | 13 | |||
4 | 154,0 | 14 | |||
5 | 470,0 | 16 | |||
6 | 600,0 | 17 | |||
t = 9,78D0,085 | |||||
КАРТА 4.10.22 | |||||
![]() | |||||
Содержание комплекса | Обозначение микроэлементов по БСМ | ||||
1. | Установить стержень с наконечниками в отверстие детали | УОС1 (M; LM; LD) (ОС1; ОР1; И1) | |||
2. | Всмотреться в шкалу измерительной головки | ФВ | |||
3. | Повернуть нутромер в вертикальной плоскости на 5° | ПОВ1 (M) (ОС1; И1) | |||
4. | Всмотреться в шкалу | ФВ | |||
5. | Повернуть нутромер в вертикальной плоскости на 10° | ПОВ1 (M) (ОС1; И1) | |||
6. | Всмотреться в шкалу | ФВ | |||
7. | Вынуть нутромер из отверстия детали | РС1 (M; LD) (ОС1; ОР1; И1) | |||
Индекс фактора для определения времени | Длина продвижения нутромера в отверстии LD, мм, до | Время на комплекс t, тыс. доли мин. | |||
0 | 25 | 38 | |||
1 | 170 | 41 | |||
2 | 250 | 43 | |||
t = 32,74LD0,051 | |||||
КАРТА 4.10.23 | |||
![]() | |||
Содержание комплекса | Обозначение микроэлементов по БСМ | ||
1. | Установить стенкомер на измеряемую поверхность | УП2 (M0,5; LM150) (ОС1; ОР2; И1) | |
2. | Нажать подвижной шток стенкомера до упора | НРС | |
3. | Всмотреться в шкалу индикатора | ФВ | |
4. | Отпустить шток | ОТ1 (ОС1) | |
Время на комплекс t, тыс. доли мин. | 10 | ||
КАРТА 4.10.24 | ЛИСТ 1 | ||||||
![]() | ![]() | ||||||
Содержание комплекса | Обозначение микроэлементов по БСМ | ||||||
Шаблон (скоба для длин) односторонний | |||||||
1 | Взяться левой рукой за шаблон (скобу) | ВЗ1 | |||||
2. | Установить шаблон (скобу) на деталь | УП2 (M; LM) (ОС1; ОР2; И1) | |||||
3. | Разъединить шаблон (скобу) с деталью | РС2 (M; LD) (ОС1; ОР2; И1) | |||||
4. | Отпустить шаблон (скобу) левой рукой | ОТ1 (ОС1) | |||||
Шаблон (скоба для длин) двусторонний | |||||||
1. | Взяться левой рукой за шаблон (скобу) | ВЗ1 | |||||
2. | Установить шаблон (скобу) проходной стороной на деталь | УП2 (M; LM) (ОС1; ОР2; И1) | |||||
3. | Разъединить шаблон (скобу) с деталью | РС2 (M; LD) (ОС1; ОР1; И1) | |||||
4. | Переместить шаблон (скобу) от детали | П2 (SM100; M; LD) (ОС1; К2; И1) | |||||
5. | Повернуть шаблон (скобу) на 180° | ПОВ2 (M; YR180) (ОС1; И1) | |||||
6. | Переместить шаблон (скобу) непроходной стороной к детали | П2 (SM100; M; LD) (ОС1; К3; И1) | |||||
7. | Установить шаблон (скобу) на деталь | УП2 (M; LM) (ОС1; ОР2; И1) | |||||
8. | Нажать ("Непроход") | НРС | |||||
Индекс факторов для определения времени | Шаблон (скоба для длин) односторонний | Шаблон (скоба для длин) двусторонний | |||||
Измеряемый размер L, мм, до | Время на комплекс t, тыс. доли мин. | Измеряемый размер L, мм, до | Время на комплекс t, тыс. доли мин. | ||||
0 | 11 | 4,0 | 11 | 12 | |||
1 | 15 | 4,5 | 15 | 14 | |||
2 | 20 | 5,0 | 20 | 15 | |||
3 | 25 | 5,5 | 25 | 16 | |||
4 | 30 | 6,0 | 35 | 18 | |||
5 | 35 | 6,5 | 45 | 20 | |||
Шаблон линейный, угловой или скоба для длин односторонний, двусторонний | КАРТА 4.10.24 | ЛИСТ 2 | ||
Индекс факторов для определения времени | Шаблон (скоба для длин) односторонний | Шаблон (скоба для длин) двусторонний | ||
Измеряемый размер L, мм, до | Время на комплекс t, тыс. доли мин. | Измеряемый размер L, мм, до | Время на комплекс t, тыс. доли мин. | |
6 | 45 | 7,0 | 55 | 22 |
7 | 60 | 8,0 | 70 | 24 |
8 | 70 | 8,5 | 95 | 27 |
9 | 90 | 9,0 | 125 | 29 |
10 | 115 | 10,0 | 160 | 32 |
11 | 150 | 11,0 | 210 | 35 |
12 | 180 | 13,0 | 270 | 39 |
13 | 230 | 14,0 | 350 | 43 |
14 | 290 | 15,0 | 450 | 47 |
15 | 360 | 17,0 | 600 | 52 |
16 | 460 | 18,0 | 800 | 57 |
17 | 580 | 20,0 | 1000 | 63 |
18 | 730 | 22,0 | ||
19 | 925 | 24,0 | ||
20 | 1000 | 27,0 | ||
t = 1,55L0,410 | t = 5,40L0,360 | |||
КАРТА 4.10.25 | |||||
![]() | |||||
Содержание комплекса | Обозначение микроэлементов по БСМ | ||||
1. | Взяться за шаблон | ВЗ1 | |||
2. | Установить шаблон к детали | УП2 (M; LM) (ОС1; ОР3; И1) | |||
3. | Всмотреться в световую щель | ФВ | |||
4. | Перевести взгляд | ПВ | |||
5. | Всмотреться в световую щель | ФВ | |||
6. | Отпустить шаблон левой рукой | ОТ1 (ОС1) | |||
Индекс фактора для определения времени | Измеряемый размер L, мм, до | Время на комплекс t, тыс. доли мин. | |||
0 | 11 | 8,0 | |||
1 | 15 | 9,0 | |||
2 | 20 | 9,5 | |||
3 | 25 | 10,0 | |||
4 | 30 | 11,5 | |||
5 | 40 | 13,0 | |||
6 | 50 | 14,0 | |||
7 | 65 | 15,0 | |||
8 | 85 | 17,0 | |||
9 | 110 | 19,0 | |||
10 | 140 | 20,0 | |||
11 | 180 | 22,0 | |||
12 | 230 | 25,0 | |||
13 | 300 | 27,0 | |||
14 | 400 | 30,0 | |||
15 | 500 | 33,0 | |||
t = 3,30L0,378 | |||||
КАРТА 4.10.26 | ЛИСТ 1 | ||||
![]() | |||||
Содержание комплекса | Обозначение микроэлементов по БСМ | ||||
На один выступ (впадину) | |||||
1. | Взяться за шаблон левой рукой | ВЗ1 | |||
2. | Установить шаблон к детали | УОС2 (M; LM; LD) (ОС1; ОР2; И1) | |||
3. | Всмотреться в световую щель | ФВ | |||
4. | Доустановить шаблон к детали | УОС2 (M; LM; LD) (ОС1; ОР3; И1) | |||
5. | Отпустить шаблон левой рукой | ОТ1 (ОС1) | |||
На каждый следующий выступ (впадину) | |||||
1. | Перевести взгляд | ПВ | |||
2. | Всмотреться в световую щель | ФВ | |||
Индекс фактора для определения времени | Измеряемый размер L, мм, до | Время на комплекс t, тыс. доли мин. | |||
0 | 11 | 13 | |||
1 | 15 | 14 | |||
2 | 20 | 15 | |||
3 | 25 | 17 | |||
4 | 35 | 19 | |||
5 | 45 | 21 | |||
Шаблон фасонный сложного профиля | КАРТА 4.10.26 | ЛИСТ 2 | ||
Индекс фактора для определения времени | Измеряемый размер L, мм, до | Время на комплекс t, тыс. доли мин. | ||
6 | 55 | 23 | ||
7 | 70 | 25 | ||
8 | 95 | 27 | ||
9 | 120 | 30 | ||
10 | 160 | 33 | ||
11 | 200 | 36 | ||
12 | 250 | 40 | ||
13 | 350 | 44 | ||
14 | 450 | 49 | ||
15 | 500 | 53 | ||
t = 5,57L0,361 | ||||
КАРТА 4.10.27 | ||||
![]() | ||||
Содержание комплекса | Обозначение микроэлементов по БСМ | |||
Щуп односторонний | ||||
Промер проходной стороной | ||||
1. | Установить щуп в щель | УОС1 (M0,025; LM200; LD75) (ОС1; ОР2; И1) | ||
2. | Разъединить (вынуть щуп из щели) | РС1 (M0,025; LD100) (ОС1; ОР2; И1) | ||
Полный промер (двумя щупами) | ||||
1. | Установить проходной щуп в щель | УОС1 (M0,025; LM200; LD100) (ОС1; ОР2; И1) | ||
2. | Разъединить (вынуть щуп из щели) | РС1 (M0,025; LD100) (ОС1; ОР2; И1) | ||
3. | Установить непроходной щуп в щель | УОС1 (M0,025; LM200; LD2) (ОС1; ОР2; И1) | ||
4. | Нажать ("Непроход") | НРС | ||
Щуп двусторонний | ||||
Полный промер | ||||
1. | Установить щуп проходной стороной в щель | УОС1 (M0,02; LM200; LD75) (ОС1; ОР2; И1) | ||
2. | Разъединить (вынуть щуп из щели) | РС1 (M0,02; LM200; LD75) (ОС1; ОР2; И1) | ||
3. | Переместить щуп от щели | П1 (SM100; M0,02; LM200) (ОС1; К1, И1) | ||
4. | Повернуть щуп на 180° | ПОВ1 (M0,02) (ОС1; И1) | ||
5. | Переместить щуп к щели | П1 (SM100; M0,02; LM200) (ОС1; К3; И1) | ||
6. | Установить щуп непроходной стороной в щель | УОС1 (M0,02; LM200; LD2) (ОС1; ОР2; И1) | ||
7. | Нажать | НРС | ||
Щуп односторонний | Щуп двусторонний | |||
Промер проходной стороной | Полный промер (двумя щупами) | Полный промер | ||
Время на комплекс t, тыс. доли мин. | ||||
14 | 24 | 39 | ||
t = 14 | t = 24 | t = 39 | ||
КАРТА 4.10.28 | ||||||
![]() | ||||||
Содержание комплекса | Обозначение микроэлементов по БСМ | |||||
Щуп двусторонний | ||||||
Промер проходной стороной | ||||||
1. | Установить щуп в щель | УОС1 (M0,02; M200; LD75) (ОС1; ОР2; И1) | ||||
2. | Нажать | НРС | ||||
3. | Переместить щуп на длину щели | ПП1 (SM; M0,02; LM200) (ОС1; К2; И1) | ||||
4. | Разъединить (вынуть щуп из щели) | РС1 (M0,02; LD75) (ОС1; ОР2; И1) | ||||
Полный промер | ||||||
1. | Установить щуп в щель проходной стороной | УОС1 (M0,02; LM200; LD75) (ОС1; ОР2; И1) | ||||
2. | Нажать | НРС | ||||
3. | Переместить щуп на длину щели | ПП1 (SM; M0,02; LM200) (ОС1; К2; И1) | ||||
4. | Разъединить (вынуть щуп из щели) | РС1 (M0,02; LD75) (ОС1; ОР2; И1) | ||||
5. | Переместить щуп на 100 мм | П1 (SM100; M0,02; LM200) (ОС1; К2; И1) | ||||
6. | Повернуть щуп на 180° | ПОВ1 (M0,02) (ОС1; И1) | ||||
7. | Установить щуп непроходной стороной в щель | УОС1 (M0,02; LM200; LD2) (ОС1; ОР2; И1) | ||||
8. | Нажать ("Непроход") | НРС | ||||
Индекс фактора для определения времени | Промер проходной стороной | Полный промер | ||||
Длина измеряемой поверхности SM, мм, до | Время на комплекс t, тыс. доли мин. | Время на комплекс t, тыс. доли мин. | ||||
0 | 80 | 19 | 45 | |||
1 | 200 | 20 | ||||
2 | 400 | 23 | ||||
3 | 500 | 25 | ||||
t = 11,98SM0,113 | t = 45 | |||||
КАРТА 4.10.29 | |
![]() | |
Содержание комплекса | Обозначение микроэлементов по БСМ |
1. Установить радиусомер к замеряемой поверхности до упора | УП1 (М0,1; LM100) (ОС1; ОР2; И1) |
2. Всмотреться в световой зазор | ФВ |
3. Перевести взгляд | ПВ |
4. Всмотреться в световой зазор | ФВ |
Время на комплекс t, тыс. доли мин. | 14 |
КАРТА 4.10.30 | ||||
![]() | ||||
Содержание комплекса | Обозначение микроэлементов по БСМ | |||
1. Взяться за линейку второй рукой | ВЗ1 | |||
2. Установить линейку | УП2 (M; LM) (ОС1; ОР3; И1) | |||
3. Всмотреться | ФВ | |||
4. Отпустить линейку второй рукой | ОТ1 (ОС1) | |||
Индекс фактора для определения времени | Длина линейки LM, мм, до | Время на комплекс, t, тыс. доли мин. | ||
0 | 150 | 12 | ||
1 | 300 | 15 | ||
2 | 500 | 18 | ||
3 | 1000 | 24 | ||
t = 2,66LM0,315 | ||||
КАРТА 4.10.31 | |
![]() | |
Содержание комплекса | Обозначение микроэлементов по БСМ |
1. Всмотреться в поверхность детали | ФВ |
2. Перевести взгляд на эталон | ПВ |
3. Всмотреться в поверхность эталона | ФВ |
4. Перевести взгляд на деталь | ПВ |
5. Всмотреться в поверхность детали | ФВ |
6. Перевести взгляд на эталон | ПВ |
7. Всмотреться в поверхность эталона | ФВ |
8. Принять решение | |
Время на комплекс t, тыс. доли мин. | 28 |
КАРТА 4.10.32 | ЛИСТ 1 | |||||||||
N позиции | Наименование инструмента | Квалитет или допуск изготовления детали, мм | Цена деления, мм | Измеряемый размер, мм, до | Измеряемая длина, мм, до | |||||
100 | 200 | 300 | 500 | 1000 | ||||||
Число точек контрольного промера | ||||||||||
1 | Калибры для валов - скобы предельные, односторонние, двусторонние, резьбовые | 11 - 13 | - | 50 | 1 | 1 | 2 | 2 | 3 | |
2 | 100 | 1 | 1 | 2 | 2 | 3 | ||||
3 | 300 | 1 | 1 | 1 | 2 | 2 | ||||
4 | 7 - 9 | - | 50 | 2 | 2 | 3 | 3 | 4 | ||
5 | 100 | 2 | 2 | 3 | 3 | |||||
6 | 300 | 2 | 2 | 3 | 3 | 3 | ||||
7 | 5 - 6 | - | 100 | 3 | 3 | 3 | 4 | 4 | ||
8 | Штангенциркуль | - | 0,10 | 50 | 1 | 1 | 2 | 2 | 3 | |
9 | 100 | 1 | 1 | 1 | 2 | 2 | ||||
10 | 200 | 1 | 1 | 2 | 2 | 3 | ||||
11 | - | 0,05 | 100 | 1 | 1 | 1 | 2 | 2 | ||
12 | 200 | 1 | - | - | - | - | ||||
13 | Нутромер или штихмас индикаторный | - | 0,01 | 50 | 2 | 2 | 3 | 3 | 4 | |
14 | 100 | 2 | 2 | 2 | 2 | 3 | ||||
15 | 300 | 2 | 2 | 2 | 3 | 4 | ||||
16 | 500 | 1 | 1 | 2 | 2 | 3 | ||||
Индекс | а | б | в | г | д | |||||
Число точек промеров обрабатываемой поверхности при контрольных измерениях | КАРТА 4.10.32 | ЛИСТ 2 | ||||||||
N позиции | Наименование инструмента | Квалитет или допуск изготовления детали, мм | Цена деления, мм | Измеряемый размер, мм, до | Измеряемая длина, мм, до | |||||
100 | 200 | 300 | 500 | 1000 | ||||||
Число точек контрольного промера | ||||||||||
17 | Скоба, стенкомер индикаторные | - | 0,01 | 50 | 2 | 3 | 3 | 3 | ||
18 | 100 | 2 | 2 | 3 | 3 | 4 | ||||
19 | 300 | 2 | 2 | 2 | 2 | 3 | ||||
20 | 500 | 3 | 3 | 3 | 3 | 4 | ||||
21 | Индикатор для измерения отклонений от геометрической формы | - | 0,01 | 50 | 1 | 1 | 2 | 2 | 3 | |
22 | 100 | 1 | 1 | 1 | 2 | 2 | ||||
23 | 300 | 1 | 1 | 1 | 1 | 2 | ||||
24 | 500 | 1 | 1 | 1 | 1 | 1 | ||||
25 | Калибры гладкие, резьбовые, шлицевые | - | - | Все размеры | 1 | |||||
26 | Штангенглубиномер | - | 0,05 | Все размеры | 1 | |||||
27 | Шаблоны фасонные, радиусомер | - | - | Все размеры | 1 | |||||
28 | Калибры продольные для длин (скобы-шаблоны) | - | - | Все размеры | 1 | |||||
29 | Оптический зубомер | - | - | Все размеры | 1 | |||||
30 | Щуп | - | - | Все размеры | 1 | |||||
Индекс | а | б | в | г | д | |||||
КАРТА 4.10.33 | ЛИСТ 1 | ||||||
N позиции | Виды обрабатываемых поверхностей | Операции и оборудование | Квалитет или допуск изготовления детали, мм | Измеряемый размер, мм, до | Способ достижения размеров обработки | ||
обеспечивается конструктивными размерами режущего инструмента | работа инструментом, установленным на размер | работа с пробными промерами | |||||
1 | Цилиндрические | Точение, растачивание, развертывание, шлифование наружное и внутреннее | 11 - 13 | 50 | 0,20 | 0,25 | 0,6 |
2 | 200 | 0,25 | 0,30 | 0,7 | |||
3 | свыше 200 | 0,30 | 0,40 | 0,8 | |||
4 | 8 - 10 | 50 | 0,30 | 1,0 | |||
5 | 200 | 0,40 | 1,0 | ||||
6 | свыше 200 | 0,50 | 0,60 | 1,0 | |||
7 | Бесцентровое шлифование | 11 - 13 | 100 | - | 0,01 | - | |
8 | 8 - 10 | 1.00 | - | 0,02 | - | ||
9 | Хонингование, суперфиниш | - | - | - | 1,00 | - | |
10 | Плоскости | Шлифование | 0,01 | 200 | - | - | 1,0 |
11 | 0,05 | 50 | - | - | 0,8 | ||
12 | 200 | - | - | 0,9 | |||
13 | свыше 200 | - | - | 1,0 | |||
14 | 0,10 | 50 | - | - | 0,7 | ||
15 | 200 | - | - | 0,8 | |||
16 | свыше 200 | - | - | 0,9 | |||
17 | 0,20 | 50 | - | - | 0,4 | ||
18 | 200 | - | - | 0,6 | |||
19 | свыше 200 | - | - | 0,8 | |||
Индекс | а | б | в | ||||
Периодичность контрольных измерений детали на операцию | КАРТА 4.10.33 | ЛИСТ 2 | |||||||
N позиции | Виды обрабатываемых поверхностей | Операции и оборудование | Квалитет или допуск изготовления детали, мм | Измеряемый размер, мм, до | Способ достижения размеров обработки | ||||
обеспечивается конструктивными размерами режущего инструмента | работа инструментом, установленным на размер | работа с пробными промерами | |||||||
20 | Плоскости | Фрезерование | 0,10 | 50 | - | 0,10 | - | ||
21 | 200 | - | 0,20 | - | |||||
22 | свыше 200 | - | 0,30 | - | |||||
23 | Резьба крепежная | Сверлильные станки | - | 10 | 0,01 | - | - | ||
24 | 25 | 0,02 | - | - | |||||
25 | 50 | 0,03 | - | - | |||||
26 | свыше 50 | 0,04 | - | - | |||||
27 | Резьбонакатные станки | - | 10 | - | 0,01 | - | |||
28 | 25 | - | 0,02 | - | |||||
29 | 50 | - | 0,03 | - | |||||
30 | Болторезные и гайконарезные станки | - | 10 | 0,10 | - | - | |||
31 | 25 | 0,20 | - | - | |||||
32 | 50 | 0,30 | - | - | |||||
33 | свыше 50 | 0,40 | - | - | |||||
34 | Резьбофрезерные станки | - | 100 | - | 0,20 | - | |||
35 | Резьбошлифовальные станки | - | 50 | - | 1,00 | - | |||
36 | Цилиндрические и плоские | Протягивание | 11 - 13 | - | - | 0,02 | - | ||
37 | 8 - 10 | - | - | 0,03 | - | ||||
38 | 6 - 7 | - | - | 0,10 | - | ||||
Индекс | а | б | в | ||||||
КАРТА 4.10.34 | ЛИСТ 1 | ||||||||
N позиции | Вид обработки | Измерительный инструмент | Квалитет или допуск изготовления детали, мм | Измеряемый размер, мм, до | |||||
25 | 50 | 100 | 200 | 300 | |||||
Число пробных измерений | |||||||||
1 | Круглое наружное шлифование | Калибры | 5 - 6 | 1,6 | 2,0 | 2,6 | - | - | |
2 | 7 - 8 | 0,5 | 0,8 | 1,2 | 1,6 | 2,0 | |||
3 | 9 - 10 | 0,2 | 0,4 | 0,5 | 0,8 | 1,0 | |||
4 | 11 - 12 | - | - | - | 0,1 | 0,4 | |||
5 | Универсальные инструменты | 5 - 6 | 0,8 | 1,2 | 1,6 | 2,0 | 2,6 | ||
6 | 7 - 8 | 0,4 | 0,5 | 0,8 | 1,2 | 1,6 | |||
7 | 9 - 10 | 0,2 | 0,3 | 0,4 | 0,6 | 0,8 | |||
8 | 11 - 12 | - | - | - | - | 0,1 | |||
9 | Шлифование отверстий | Калибры | 5 - 6 | 2,0 | 2,4 | 3,2 | - | - | |
10 | 7 - 8 | 0,8 | 1,2 | 1,8 | 2,4 | - | |||
11 | 9 - 10 | 0,5 | 0,8 | 1,0 | 1,2 | - | |||
12 | 11 - 12 | - | 0,4 | 0,5 | 0,8 | - | |||
13 | Универсальные инструменты | 5 - 6 | 1,2 | 1,6 | 2,0 | 2,8 | - | ||
7 - 8 | 0,5 | 0,8 | 1,2 | 1,6 | - | ||||
15 | 9 - 10 | 0,2 | 0,4 | 0,5 | 0,8 | - | |||
16 | 11 - 12 | - | - | - | 0,3 | - | |||
Индекс | а | б | в | г | д | ||||
Число пробных измерений при обработке на шлифовальных и доводочных станках | КАРТА 4.10.34 | ЛИСТ 2 | |||||||
N позиции | Вид обработки | Измерительный инструмент | Квалитет или допуск изготовления детали, мм | Измеряемый размер, мм, до | |||||
25 | 60 | 100 | 200 | 300 | |||||
Число пробных измерений | |||||||||
17 | Плоское шлифование | Все типы инструментов | 0,02 | - | 2,4 | 2,8 | - | - | |
18 | 0,03 | - | 2,0 | 2,4 | 2,8 | - | |||
19 | 0,04 | - | 1,5 | 2,0 | 2,3 | - | |||
20 | 0,05 | - | 1,2 | 1,5 | 1,9 | - | |||
21 | 0,07 | - | 0,5 | 0,9 | 1,0 | - | |||
22 | 0,10 | - | 0,4 | 0,6 | 0,8 | - | |||
23 | 0,15 | - | 0,1 | 0,2 | 0,4 | - | |||
24 | 0,20 | - | 0,1 | 0,1 | 0,2 | - | |||
25 | Хонингование | Все типы инструментов | 5 - 6 | 1,2 | 1,2 | 1,2 | 1,6 | - | |
26 | 7 - 8 | 0,8 | 0,8 | 0,8 | 1,2 | - | |||
27 | Лапингование | Все типы инструментов | 5 - 6 | 0,6 | 2,4 | 2,4 | - | - | |
28 | 7 - 8 | 0,8 | 1,6 | 1,6 | - | - | |||
Индекс | а | б | в | г | д | ||||
КАРТА 4.11.1 | ||||||
Содержание комплекса: набрать смазки, смазать центровые отверстия | ||||||
N позиции | Масса детали (оправки), кг, до | |||||
0,5 | 1,0 | 3,0 | 5,0 | 8,0 | 12,0 | |
Время на комплекс, мин. | ||||||
1 | 0,016 | 0,018 | 0,022 | 0,024 | 0,027 | 0,032 |
Индекс | а | б | в | г | д | е |
КАРТА 4.11.2 | |||||||||
Содержание комплекса: | протянуть руку, взять щетку (крючок) или шланг, провести щеткой (крючком) или шлангом по очищаемой поверхности, отложить щетку (крючок) или шланг | ||||||||
N позиции | Способ очистки | Ширина или диаметр очищаемой поверхности, мм, до | Обрабатываемый материал | Длина очищаемой поверхности, мм, до | |||||
50 | 200 | 300 | 400 | 600 | 1000 | ||||
Время на комплекс, мин. | |||||||||
1 | Сжатым воздухом | 100 | Чугун, сталь | 0,022 | 0,034 | 0,039 | 0,043 | 0,054 | 0,074 |
2 | 200 | 0,030 | 0,044 | 0,049 | 0,054 | 0,062 | 0,082 | ||
3 | Свыше 200 | 0,038 | 0,053 | 0,058 | 0,063 | 0,073 | 0,093 | ||
4 | Щеткой, крючком | 100 | Чугун, сталь | 0,018 | 0,038 | 0,049 | 0,057 | 0,071 | 0,091 |
5 | Бронза, алюминий | 0,021 | 0,041 | 0,053 | 0,062 | 0,078 | 0,102 | ||
6 | 200 | Чугун, сталь | 0,028 | 0,048 | 0,059 | 0,070 | 0,090 | 0,126 | |
7 | Бронза, алюминий | 0,030 | 0,053 | 0,065 | 0,077 | 0,098 | 0,134 | ||
8 | Свыше 200 | Чугун, сталь | 0,035 | 0,059 | 0,077 | 0,093 | 0,112 | 0,160 | |
9 | Бронза, алюминий | 0,037 | 0,065 | 0,084 | 0,102 | 0,123 | 0,175 | ||
10 | Эмульсией | 100 | Чугун, сталь | 0,029 | 0,039 | 0,043 | 0,047 | 0,053 | 0,065 |
11 | 200 | 0,031 | 0,040 | 0,045 | 0,048 | 0,054 | 0,066 | ||
12 | Свыше 200 | 0,033 | 0,042 | 0,046 | 0,049 | 0,055 | 0,067 | ||
Индекс | б | в | г | д | е | ||||
КАРТА 4.11.3 | ||||||||||||
Содержание комплекса: протянуть руку, взять салфетку, протереть приспособление (деталь), отложить салфетку | ||||||||||||
N позиции | Сложность очищаемой поверхности | Диаметр или ширина очищаемой поверхности, мм, до | Вид поверхности | |||||||||
плоская | цилиндрическая | |||||||||||
Длина детали, мм, до | ||||||||||||
100 | 200 | 300 | 500 | 800 | 50 | 100 | 200 | 300 | 500 | |||
Время на комплекс, мин. | ||||||||||||
1 | Простая гладкая | 30 | - | - | - | - | - | 0,057 | 0,070 | 0,087 | 0,099 | 0,116 |
2 | 50 | 0,059 | 0,073 | 0,082 | 0,097 | 0,110 | 0,063 | 0,078 | 0,097 | 0,110 | 0,129 | |
3 | 100 | 0,067 | 0,083 | 0,094 | 0,110 | 0,126 | 0,072 | 0,090 | 0,110 | 0,125 | 0,147 | |
4 | 200 | - | 0,097 | 0,109 | 0,128 | 0,146 | 0,084 | 0,104 | 0,129 | 0,146 | 0,171 | |
5 | 300 | - | - | 0,120 | 0,139 | 0,160 | - | - | - | - | - | |
6 | 500 | - | - | - | - | 0,176 | - | - | - | - | - | |
7 | Сложная с выступами и впадинами | 30 | - | - | - | - | - | 0,074 | 0,091 | 0,114 | 0,129 | 0,150 |
8 | 50 | 0,077 | 0,094 | 0,107 | 0,126 | 0,145 | 0,082 | 0,102 | 0,126 | 0,142 | 0,167 | |
9 | 100 | 0,087 | 0,108 | 0,122 | 0,144 | 0,165 | 0,094 | 0,117 | 0,143 | 0,164 | 0,191 | |
10 | 200 | - | 0,126 | 0,142 | 0,166 | 0,190 | 0,109 | 0,135 | 0,167 | 0,190 | 0,220 | |
11 | 300 | - | - | 0,155 | 0,181 | 0,210 | - | - | - | - | - | |
12 | 500 | - | - | - | 0,200 | 0,230 | - | - | - | - | - | |
Индекс | а | б | в | г | д | е | ж | з | и | к | ||
КАРТА 4.11.4 | |||||
N позиции | Масса очищаемой детали M, кг, до | ||||
1 | 5 | 8 | 12 | свыше 12 | |
Время на комплекс, мин. | |||||
1 | 0,072 | 0,089 | 0,095 | 0,102 | 0,110 |
Индекс | а | б | в | г | д |
КАРТА 4.11.5 | ||||||||||
N позиции | Содержание комплекса | Размер очищаемой поверхности, мм, до | ||||||||
Длина прямоугольного стола или плиты | Диаметр круглого стола | |||||||||
400 | 600 | 800 | 1000 | 1250 | 1600 | 2000 | 900 | 1500 | ||
Время на комплекс, мин. | ||||||||||
1 | Взять шланг, промыть стол эмульсией или содовой водой из шланга, отложить шланг (без протирки салфеткой) | 0,085 | 0,090 | 0,095 | 0,100 | 0,110 | 0,120 | 0,135 | 0,135 | 0,200 |
2 | Взять шланг, промыть стол эмульсией, отложить шланг, взять салфетку, протереть стол, отложить салфетку | 0,280 | 0,290 | 0,300 | 0,310 | 0,325 | 0,340 | 0,360 | 0,360 | 0,550 |
Индекс | а | б | в | г | д | е | ж | з | и | |
КАРТА 4.11.6 | ||
Содержание комплекса: протянуть руку, взять щетку, очистить протяжку от стружки, отложить щетку | ||
N позиции | Длина протяжки, мм, до | Время на комплекс, мин. |
1 | 500 | 0,026 |
2 | 1000 | 0,035 |
3 | Свыше 1000 | 0,055 |
Индекс | а | |
Токарные операционные, многорезцовые, токарные многошпиндельные полуавтоматы, автоматы, расточные и револьверные станки | КАРТА 4.12.1 | ЛИСТ 1 | |||||
N позиции | Наименование инструмента | Способ установки и закрепления | Предельная погрешность установки, мм | Размер инструмента квадратного или цилиндрического сечения, мм, до | |||
10 x 10 | 15 x 15 | 25 x 25 | свыше 25 x 25 свыше | ||||
Время на смену одного инструмента, мин. | |||||||
1 | Резец проходной, расточной | В резцедержатель токарного суппорта | - | 1,0 | 1,3 | 1,5 | 1,7 |
2 | > 0,2 | 1,7 | 2,0 | 2,5 | 3,0 | ||
<= 0,2 | 2,5 | 3,3 | 4,0 | 5,8 | |||
4 | В гнездо револьверной головки | - | 2,0 | 2,5 | - | - | |
5 | Резец фасонный, резьбовой | В резцедержатель токарного суппорта | - | 1,5 | 2,0 | 2,5 | 3,0 |
6 | > 0,2 | 2,0 | 3,0 | 4,0 | 5,0 | ||
7 | <= 0,2 | 3,5 | 5,0 | 6,0 | 7,0 | ||
8 | В гнездо револьверной головки | - | 2,5 | 3,5 | - | - | |
9 | Резец фасочный, радиусный | В резцедержатель токарного суппорта | - | 0,9 | 1,2 | 1,3 | 1,4 |
10 | В гнездо револьверной головки | - | 1,2 | 1,5 | - | - | |
Индекс | а | б | в | г | |||
Смена режущего инструмента (с подналадкой) | Токарные операционные, многорезцовые, токарные многошпиндельные полуавтоматы, автоматы, расточные и револьверные станки | КАРТА 4.12.1 | ЛИСТ | |||||
N позиции | Наименование инструмента | Способ установки и закрепления | Предельная погрешность установки, мм | Размер инструмента квадратного или цилиндрического сечения, мм, до | ||||
10 x 10 | 15 x 15 | 25 x 25 | свыше 25 x 25 свыше | |||||
Время на смену одного инструмента, мин. | ||||||||
11 | Резец подрезной, отрезной, канавочный | В резцедержатель токарного суппорта | - | 0,8 | 1,1 | 1,2 | 1,3 | |
12 | В гнездо револьверной головки | - | 1,2 | 1,5 | - | - | ||
13 | Сверло, развертка, зенкер, сверло центровочное | В гнездо револьверной головки | - | 0,4 | 0,5 | 0,6 | 0,7 | |
14 | Метчик | В гнездо револьверной головки | - | 1,0 | 1,3 | - | - | |
Индекс | а | б | в | г | ||||

Сверлильные одношпиндельные, многошпиндельные станки, полуавтоматы и автоматы | КАРТА 4.12.2 | |||||||
N позиции | Наименование инструмента | Способ установки и закрепления | Диаметр инструмента, мм | |||||
5 | 10 | 20 | 30 | 50 | свыше 50 | |||
Время на смену одного инструмента, мин. | ||||||||
1 | Сверло, зенкер, развертка, зенковка, цековка, метчик | В конус шпинделя | 0,20 | 0,25 | 0,30 | 0,35 | 0,40 | 0,50 |
2 | В конус шпинделя с переходной втулкой | 0,40 | 0,45 | 0,50 | 0,55 | 0,60 | 0,65 | |
3 | В цанговый патрон | 0,50 | 0,55 | 0,60 | 0,65 | 0,80 | - | |
4 | В кулачковый патрон без установки по длине | 0,19 | 0,28 | 0,40 | 0,50 | - | - | |
5 | В кулачковый патрон с установкой по длине | 0,30 | 0,40 | 0,50 | 0,60 | - | - | |
6 | Комбинированные (многоступенчатые) сверла, зенкеры, развертки, центровочные сверла | - | - | - | - | 0,80 | 1,00 | |
Индекс | а | б | в | г | д | е | ||

Фрезерные одношпиндельные, многошпиндельные станки и полуавтоматы | КАРТА 4.12.3 | ЛИСТ 1 | |||||||||
N позиции | Наименование инструмента | Способ установки и закрепления | Число фрез в наладке | Диаметр фрезы, мм, до | |||||||
50 | 80 | 100 | 160 | 200 | 320 | 400 | 500 | ||||
Время на смену комплекта инструмента, мин. | |||||||||||
1 | Фрезы торцовые | В конусе шпинделя с креплением натяжным болтом | 1 | 0,8 | 1,00 | 1,2 | 1,4 | 1,5 | 1,8 | 2,0 | 2,2 |
2 | 2 | 1,4 | 1,70 | 2,0 | 2,4 | 2,6 | 3,1 | 3,4 | 3,7 | ||
3 | 3 | 1,9 | 2,40 | 2,9 | 3,4 | 3,6 | 4,3 | 4,8 | 5,3 | ||
4 | 4 | 2,5 | 3,10 | 3,7 | 4,3 | 4,7 | 5,6 | 6,2 | 6,8 | ||
5 | В конусе шпинделя | 1 | 0,6 | ||||||||
6 | На концевой оправке с креплением болтом или гайкой с торца | 1 | 1,0 | 1,10 | 1,2 | 1,3 | 1,4 | 2,5 | 3,0 | 4,0 | |
7 | Фрезы концевые, пазовые | В самоцентрирующем патроне или конусе шпинделя станка | 1 | 0,6 | 0,65 | - | - | - | - | - | - |
8 | 2 | 0,9 | 1,00 | - | - | - | - | - | - | ||
9 | Набор фрез с оправкой | На шпинделе станка с креплением гайкой | - | 3 | 4,5 | ||||||
10 | Фрезы цилиндрические, червячные | На оправке с креплением гайкой и постановкой колец и кронштейна | 1 | 1,5 | 2,1 | 2,4 | 2,7 | 3,0 | - | - | |
11 | 2 | 2,0 | 2,30 | 2,6 | 3,0 | - | - | - | - | ||
12 | 3 | 2,5 | 2,80 | 3,1 | 3,4 | - | - | - | - | ||
13 | 4 | 3,0 | 3,30 | 3,7 | 4,0 | - | - | - | - | ||
Индекс | а | б | в | г | д | е | ж | з | |||
Смена режущего инструмента (с подналадкой) | Фрезерные одношпиндельные, многошпиндельные станки и полуавтоматы | КАРТА 4.12.3 | ЛИСТ 2 | ||||||||
N позиции | Наименование инструмента | Способ установки и закрепления | Число фрез в накладке | Диаметр фрезы, мм, до | |||||||
50 | 80 | 100 | 160 | 200 | 320 | 400 | 500 | ||||
Время на смену комплекта инструмента, мин. | |||||||||||
14 | Фрезы дисковые, угловые, отрезные, фасонные | На оправке с креплением гайкой с постановкой колец и кронштейна | 1 | 1,5 | 2,00 | 2,5 | 3,0 | 3,5 | 4,0 | - | - |
15 | 2 | 1,9 | 2,40 | 2,9 | 3,4 | 3,9 | 4,4 | - | - | ||
16 | 4 | 2,7 | 3,10 | 3,5 | 3,9 | 4,4 | 4,9 | - | - | ||
17 | 6 | 3,5 | 3,90 | 4,4 | 4,9 | 5,4 | 5,9 | - | - | ||
18 | На оправке с креплением натяжным болтом, постановкой колец и кронштейна | 1 | 2,0 | ||||||||
Индекс | а | б | в | г | д | е | ж | з | |||


Число фрез в наладке | 1 | 2 | 4 | 6 и более |
Поправочный коэффициент | 0,85 | 0,70 | 0,50 |
Хонинговальные станки | КАРТА 4.12.4 | |||
N позиции | Наименование инструмента | Способ установки | Время, мин. | |
1 | Бруски хонинговальные (комплект) | В головку | 12 | |
Индекс | а | |||

Зубофрезерные, зубодолбежные, зубошевинговальные, зубозакругляющие станки | КАРТА 4.12.5 | ||||
N позиции | Наименование инструмента | Способ установки и закрепления | Время, мин. | ||
1 | Фреза червячная | На оправку с креплением гайкой | 3,0 | ||
2 | Передвижка фрезы на новый зуб | 1,0 | |||
3 | Шевер | На оправку с креплением гайкой | 20,0 | ||
4 | Долбяк | На оправку с постановкой шайбы и креплением болтом | 2,5 | ||
5 | Зубозакругляющий зенкер | В кулачковом самоцентрирующем патроне | 0,8 | ||
6 | Шевер-рейка | На стол (подвижной) с креплением болтами | 40,0 | ||

Резьбонарезные, резьбонакатные и протяжные станки | КАРТА 4.12.6 | ||||
N позиции | Наименование инструмента | Способ установки и закрепления | Время, мин. | ||
1 | Плашки резьбонарезные (комплект) | В закрытый паз головки с постановкой кольца | 2,0 | ||
2 | Плашки резьбонарезные | На оправке с креплением гайкой | 8,0 | ||
3 | Резьбонакатные ролики | На оправке с креплением гайкой | 9,0 | ||
4 | Протяжка круглая | Вертикально-протяжной станок | 0,5 | ||
5 | Горизонтально-протяжной станок | 0,3 | |||
6 | Протяжка плоская (наружное протягивание) | С креплением протяжки винтами | 25,0 | ||

Круглошлифовальные станки | КАРТА 4.12.7 | ЛИСТ 1 | ||||||
N позиции | Способ правки | Правящий инструмент | Поверхность правки | Ширина круга или радиус, мм, до | Шероховатость поверхности Ra, мкм | |||
2,50 - 1,25 | 0,63 | |||||||
Время на одну правку, мин. | ||||||||
1 | С установкой правящего инструмента на станке | Алмаз, алмазно-металлический карандаш, твердосплавные диски и ролики | Периферия круга | 40 | 2,00 | |||
2 | 60 | 2,00 | ||||||
3 | 80 | 2,30 | 2,60 | |||||
4 | Торец | <= 10 | 1,50 | 1,60 | ||||
5 | > 10 | 1,70 | 1,80 | |||||
6 | Шлифовальный круг, гофрированные шарошки | Периферия круга | 40 | 1,60 | 1,90 | |||
7 | 60 | 1,80 | 2,20 | |||||
8 | 80 | 2,10 | 2,50 | |||||
9 | Торец | <= 10 | 1,30 | 1,50 | ||||
10 | > 10 | 1,50 | 1,70 | |||||
11 | Без установки правящего инструмента на станке | Алмазно-металлический карандаш, алмаз, твердосплавные диски и ролики | Периферия круга | 40 | 1,40 | 1,60 | ||
12 | 60 | 1,60 | 1,90 | |||||
13 | 80 | 1,80 | 2,20 | |||||
14 | Торец | <= 10 | 1,10 | 1,20 | ||||
15 | > 10 | 1,20 | 1,30 | |||||
Индекс | а | б | ||||||
Правка шлифовального круга | Круглошлифовальные станки | КАРТА 4.12.7 | ЛИСТ 2 | |||||
N позиции | Способ правки | Правящий инструмент | Поверхность правки | Ширина круга или радиус, мм, до | Шероховатость поверхности Ra, мкм | |||
2,50 - 1,25 | 0,63 | |||||||
Время на одну правку, мин. | ||||||||
16 | В державке в руках | Алмазно-металлический карандаш, брусок шлифовальный | Торец | <= 10 | 0,20 | 0,25 | ||
17 | > 10 | 0,25 | 0,30 | |||||
18 | Радиус и торец | Допуск на ради ус, мм, до | 0,2 | 2 | 0,60 | |||
19 | 0,5 | 0,45 | ||||||
20 | 1,0 | 0,30 | ||||||
21 | 0,2 | 5 | 0,75 | |||||
22 | 0,5 | 0,60 | ||||||
23 | 1,0 | 0,46 | ||||||
Индекс | а | б | ||||||

Внутришлифовальные станки | КАРТА 4.12.8 | |||||||||
N позиции | Способ правки | Правящий инструмент | Поверхность правки | Ширина круга или радиус, мм, до | Диаметр шлифовального круга, мм, до | |||||
50 | 150 | |||||||||
Шероховатость поверхности Ra, мкм | ||||||||||
2,50 - 1,25 | 0,63 | 2,50 - 1,25 | 0,63 | |||||||
Время на одну правку, мин. | ||||||||||
1 | Без установки правящего инструмента на станке | Алмаз, алмазно-металлический карандаш | Периферия круга | 20 | 0,80 | 0,90 | 0,90 | 1,00 | ||
2 | 30 | 0,90 | 1,00 | 1,00 | 1,10 | |||||
3 | 40 | 1,00 | 1,10 | 1,10 | 1,20 | |||||
4 | 60 | 1,10 | 1,20 | 1,20 | 1,30 | |||||
5 | Твердосплавные диски, ролики | Периферия круга | 20 | 1,10 | 1,20 | 1,20 | 1,30 | |||
6 | 30 | 1,20 | 1,50 | 1,40 | 1,50 | |||||
7 | 40 | 1,50 | 1,70 | 1,50 | 1,70 | |||||
8 | 60 | 1,70 | 2,00 | 1,80 | 2,10 | |||||
9 | Алмазно-металлический карандаш, брусок шлифовальный | Периферия круга | 20 | 0,40 | 0,45 | 0,45 | 0,55 | |||
10 | 30 | 0,50 | 0,60 | 0,55 | 0,70 | |||||
11 | 40 | 0,65 | 0,75 | 0,70 | 0,85 | |||||
12 | 60 | 0,90 | 1,05 | 0,95 | 1,10 | |||||
13 | Радиус и торец | Допуск на радиус, мм, до | 0,2 | 2 | 0,4 | 0,5 | ||||
14 | 0,5 | 0,3 | 0,4 | |||||||
15 | 0,2 | 0,5 | 0,6 | |||||||
16 | 0,5 | 3 | 0,4 | 0,5 | ||||||
17 | 1,0 | 0,3 | 0,4 | |||||||
18 | 0,2 | 0,6 | 0,7 | |||||||
19 | 0,5 | 5 | 0,5 | 0,6 | ||||||
20 | 1,0 | 0,4 | 0,5 | |||||||
Индекс | а | б | в | г | ||||||

Плоскошлифовальные станки, работающие периферией круга и торцом круга | КАРТА 4.12.9 | ||||||||
N позиции | Способ правки | Правящий инструмент | Поверхность правки | Ширина круга или радиус, мм, до | Шероховатость поверхности Ra, мкм | ||||
2,5 - 1,25 | 0,63 | ||||||||
Время на одну правку, мин. | |||||||||
1 | С установкой правящего инструмента на станке | Алмаз, алмазно-металлический карандаш, твердосплавные ролики, шлифовальный круг, шарошка | Периферия круга | <= 20 | 1,20 | 1,40 | |||
2 | 40 | 1,40 | 1,60 | ||||||
3 | 60 | 1,70 | 1,90 | ||||||
4 | Торец | <= 10 | 1,30 | 1,40 | |||||
5 | > 10 | 1,10 | 1,20 | ||||||
6 | В державке в руках | Алмазно-металлический карандаш, брусок шлифовальный | Периферия круга | <= 20 | 0,44 | 0,55 | |||
7 | 40 | 0,70 | 0,85 | ||||||
8 | 60 | 0,95 | 0,10 | ||||||
9 | Торец | <= 10 | 0,26 | 0,26 | |||||
10 | > 10 | 0,30 | 0,30 | ||||||
11 | Брусок шлифовальный | Радиус и торец | Допуск на радиус, мм, до | 0,2 | 2 | 0,65 | |||
19, | 0,5 | 0,55 | |||||||
13 | 1,0 | 0,35 | |||||||
14 | 0,2 | 5 | 0,80 | ||||||
15 | 0,5 | 0,65 | |||||||
16 | 1,0 | 0,50 | |||||||
Индекс | а | б | |||||||

Бесцентрово-шлифовальные станки | КАРТА 4.12.10 | ||||||||
N позиции | Способ правки | Правящий инструмент | Поверхность правки | Ширина круга или радиус, мм, до | Шероховатость поверхности Ra, мкм | ||||
2,5 - 1,25 | 0,63 | ||||||||
Время на одну правку, мин. | |||||||||
1 | С установкой правящего инструмента на станке | Алмаз, алмазно-металлический карандаш | Периферия круга | 60 | 1,9 | 2,2 | |||
2 | 100 | 2,6 | 3,0 | ||||||
3 | 150 | 2,9 | 4,0 | ||||||
4 | 200 | 4,2 | 4,8 | ||||||
5 | Твердосплавные ролики | 60 | 1,6 | 1,9 | |||||
6 | 100 | 2,1 | 2,6 | ||||||
7 | 150 | 2,7 | 3,3 | ||||||
8 | 200 | 3,3 | 4,4 | ||||||
9 | Металлические диски, шарошки | 60 | 1,4 | - | |||||
10 | 100 | 1,8 | - | ||||||
11 | 150 | 2,3 | - | ||||||
12 | 200 | 2,8 | - | ||||||
13 | В державке в руках | Алмазно-металлический карандаш, брусок шлифовальный | Торец | - | 0,40 | ||||
14 | Радиус и торец | Допуск на радиус, мм, до | 0,2 | 2 | 0,95 | ||||
15 | 0,5 | 0,65 | |||||||
16 | 1,0 | 0,40 | |||||||
17 | 0,2 | 5 | 1,20 | ||||||
18 | 0,5 | 0,85 | |||||||
19 | 1,0 | 0,60 | |||||||
Индекс | а | б | |||||||

Разные станки | КАРТА 4.12.11 | ||
N позиции | Станки | Время на техническое обслуживание рабочего места в процентах от основного времени | |
1 | Хонинговальные суперфинишные и вертикально-доводочные | 4,0 | |
2 | Зубошлифовальные | 6,0 | |
3 | Шлицешлифовальные | 6,5 | |
4 | Резьбошлифовальные | 6,5 | |
5 | Зубострогальные для прямозубых конических колес | 2,5 | |
6 | Зуборезные для конических колес с криволинейным зубом | 2,5 | |
7 | Резьбофрезерные | 2,0 | |
8 | Гайконарезные | 2,0 | |
9 | Болторезные | 2,0 | |
10 | Центровальные | 1,5 | |
Индекс | а | ||

Все станки | КАРТА 4.13.1 | ЛИСТ 1 | ||||
N позиции | Станки | Основные размеры или модели станков | Условия работы | |||
с охлаждением | без охлаждения | |||||
Время на организационное обслуживание рабочего места в процентах от оперативного времени | ||||||
1 | Токарно-центровые операционные | Наибольший диаметр изделия, устанавливаемого над станиной, мм, до | 300 | 1,3 | 1,0 | |
2 | 400 | 1,5 | 1,2 | |||
3 | 600 | 1,4 | ||||
4 | Токарные многорезцовые | - | 1,7 | 1,4 | ||
5 | Токарные многошпиндельные полуавтоматы типа | К371 | 2,4 | 2,1 | ||
6 | 1К282 | 3,1 | 2,9 | |||
7 | Резьботокарные полуавтоматы для коротких резьб | - | 1,3 | 1,0 | ||
8 | Револьверные | - | 1,3 | 1,0 | ||
9 | Расточные | - | 1,4 | |||
10 | Вертикально-сверлильные | - | 1,0 | 0,8 | ||
11 | Вертикально-сверлильные многошпиндельные | - | 2,4 | 2,1 | ||
12 | Горизонтально-сверлильные многошпиндельные | Размер стола, мм | до 200 x 1000 | 1,9 | 1,7 | |
13 | свыше 200 x 1000 | 2,4 | 2,1 | |||
14 | Сверлильные автоматы | - | 3,0 | 2,8 | ||
15 | Горизонтально- и вертикально-фрезерные | - | 1,4 | |||
16 | Продольно-фрезерные | - | 1,9 | 1,7 | ||
17 | Фрезерные полуавтоматы карусельного типа | Диаметр стола, мм, до | 750 | 2,4 | 2,1 | |
18 | 2000 | 3,0 | 2,8 | |||
19 | Фрезерные полуавтоматы барабанного типа | - | 2,4 | 2,1 | ||
20 | Шлицефрезерные | - | 2,1 | 1,7 | ||
21 | Шпоночно-фрезерные вертикальные | - | 1,4 | 1,2 | ||
22 | Копировально-фрезерные | - | 1,9 | 1,7 | ||
23 | Круглошлифовальные | - | 1,3 | |||
Индекс | а | б | ||||
Время на организационное обслуживание рабочего места | Все станки | КАРТА 4.13.1 | ЛИСТ 2 | |||
N позиции | Станки | Основные размеры или модели станков | Условия работы | |||
с охлаждением | без охлаждения | |||||
Время на организационное обслуживание рабочего места в процентах от оперативного времени | ||||||
24 | Внутришлифовальные | - | 2,0 | 1,7 | ||
25 | Плоскошлифовальные с круглым столом | Диаметр стола, мм, до | 900 | 1,8 | 1,5 | |
26 | 2500 | 2,0 | 1,8 | |||
27 | Плоскошлифовальные с прямоугольным столом | Длина стола, мм, до | 1000 | 1.8 | 1,5 | |
28 | 2000 | 2,0 | 1,8 | |||
29 | Бесцентрово-шлифовальные | - | 2,2 | - | ||
30 | Хонинговальные | - | 2,0 | - | ||
31 | Вертикально-доводочные | - | - | 2,0 | ||
32 | Станки для суперфиниша | - | 2,0 | - | ||
33 | Зубошлифовальные | - | 1,8 | 1,5 | ||
34 | Шлицешлифовальные | - | - | |||
35 | Зубофрезерные | - | 1,8 | 1,4 | ||
36 | Зубодолбежные, работающие круглыми долбяками | - | 1,8 | 1,4 | ||
37 | Зубодолбежные, работающие режущей рейкой | - | 1,8 | 1,4 | ||
38 | Зубошевинговальные | - | 1,6 | - | ||
39 | Зубозакругляющие | - | 1,6 | - | ||
40 | Зубострогальные для прямозубых конических колес | - | 1,8 | - | ||
41 | Зуборезные для конических колес с криволинейным зубом | - | 1,3 | - | ||
42 | Резьбофрезерные | - | 1,3 | 1,0 | ||
43 | Гайконарезные | - | 1,0 | 0,8 | ||
44 | Резьбонакатные полуавтоматы | - | 1,0 | 0,8 | ||
45 | Болторезные | - | 1,0 | 0,8 | ||
46 | Протяжные станки для внутреннего протягивания | - | 1,5 | - | ||
47 | Протяжные станки для наружного протягивания | - | 2,0 | - | ||
48 | Центровальные | - | - | 1,0 | ||
49 | Агрегатные | - | 4,3 | - | ||
50 | Настольно-сверлильные | - | - | 1,0 | ||
Индекс | а | б | ||||
КАРТА 4.14.1 | ЛИСТ 1 | |||||
Индекс факторов или сумма индексов для определения времени | Физическая нагрузка | Монотонность | Темп работы | Рабочая поза | Время перерывов на отдых и личные надобности aотл, % от оперативного времени | |
Масса перемещаемых деталей или затрачиваемые усилия M, кг | Время, затрачиваемое на физические усилия, % от времени смены | Оперативное время операции tоп, тыс. доли мин. | Число трудовых действий в час | |||
1 | - | - | 351 - 500 | - | - | 4,0 |
2 | 6 - 10 | < 50 | - | 601 - 1440 | "сидя" | |
3 | - | - | - | - | - | |
4 | 6 - 10 | > 50 | 31 - 350 | - | "стоя" | |
11 - 15 | < 50 | |||||
5 | - | - | - | - | 4,5 | |
6 | 11 - 15 | > 50 | - | 1441 - 2400 | 5,0 | |
16 - 20 | < 50 | - | ||||
7 | - | - | - | - | 5,5 | |
8 | 16 - 20 | > 50 | - | - | 6,0 | |
21 - 25 | < 50 | - | - | |||
9 | 21 - 25 | > 50 | - | более 2400 | 6,5 | |
26 - 30 | < 50 | - | ||||
10 | 26 - 30 | > 50 | - | 7,0 | ||
31 - 35 | < 50 | - | ||||
Все станки | КАРТА 4.14.1 | ЛИСТ 2 | ||||
Индекс факторов или сумма индексов для определения времени | Физическая нагрузка | Монотонность | Темп работы | Рабочая поза | Время перерывов на отдых и личные надобности aотл, % от оперативного времени | |
Масса перемещаемых деталей или затрачиваемые усилия M, кг | Время, затрачиваемое на физические усилия, % от времени смены | Оперативное время операции tоп, тыс. доли мин. | Число трудовых действий в час | |||
11 | - | - | - | - | 7,5 | |
12 | 31 - 35 | > 50 | - | - | 8,0 | |
13 | 8,5 | |||||
14 | 9,0 | |||||
15 | 9,5 | |||||
16 | 10,0 | |||||
17 | 10,5 | |||||
18 | 11,0 | |||||
19 | 11,5 | |||||
20 | 12,0 | |||||
ПРИЛОЖЕНИЕ 5.1 | ЛИСТ 1 | |||||
N п/п | Микроэлемент | Вид | Разновидность | |||
Наименование | Код | Наименование | Код | Наименование | Код | |
1 | Протянуть руку | ПР | - | - | Одну руку | ПР1 |
Две руки | ПР2 | |||||
2 | Переместить | П | В пространстве | П | Одной рукой | П1 |
Двумя руками | П2 | |||||
Отбрасыванием | ПОТ | Одной рукой | ПОТ1 | |||
Двумя руками | ПОТ2 | |||||
По поверхности | ПП | Одной рукой | ПП1 | |||
Двумя руками | ПП2 | |||||
По рольгангу, по роликам подвесного конвейера | ПРГ | Одной рукой | ПРГ1 | |||
Двумя руками | ПРГ2 | |||||
3 | Повернуть предмет | ПО | В горизонтальной плоскости | ПОГ | Одной рукой | ПОГ1 |
Двумя руками | ПОГ2 | |||||
В вертикальной плоскости | ПОВ | Одной рукой | ПОВ1 | |||
Двумя руками | ПОВ2 | |||||
Вокруг оси без усилия | ПООС | Одной рукой | ПООС1 | |||
Вокруг оси с усилием | ПООУ | Одной рукой | ПООУ1 | |||
Классификация и кодовые обозначения микроэлементов | ПРИЛОЖЕНИЕ 5.1 | ЛИСТ 2 | ||||
N п/п | Микроэлемент | Вид | Разновидность | |||
Наименование | Код | Наименование | Код | Наименование | Код | |
4 | Повернуть рукоятку (маховик) | ПОР | В горизонтальной плоскости | ПОРГ | Одной рукой | ПОРГ1 |
Двумя руками | ПОРГ2 | |||||
В вертикальной плоскости | ПОРВ | Одной рукой | ПОРВ1 | |||
Двумя руками | ПОРВ2 | |||||
5 | Установить на плоскость | УП | УП | Одной рукой | УП1 | |
Двумя руками | УП2 | |||||
6 | Установить на вал или в отверстие | УО | Свободное соединение | УОС | Одной рукой | УОС1 |
Двумя руками | УОС2 | |||||
Плотное соединение | УОП | Одной рукой | УОП1 | |||
Двумя руками | УОП2 | |||||
Тугое соединение | УОТ | Одной рукой | УОТ1 | |||
Двумя руками | УОТ2 | |||||
7 | Разъединить | Р | Свободное соединение | РС | Одной рукой | РС1 |
Двумя руками | РС2 | |||||
Плотное соединение | РП | Одной рукой | РП1 | |||
Двумя руками | РП2 | |||||
Тугое соединение | РТ | Одной рукой | РТ1 | |||
Двумя руками | РТ2 | |||||
8 | Взять | Р | Взять | В | Одной рукой | В1 |
Двумя руками | В2 | |||||
Взяться | ВЗ | Одной рукой | ВЗ1 | |||
Двумя руками | ВЗ2 | |||||
Перехватить предмет или передать предмет в другую руку | ВП | - | - | |||
Классификация и кодовые обозначения микроэлементов | ПРИЛОЖЕНИЕ 5.1 | ЛИСТ 3 | ||||
N п/п | Микроэлемент | Вид | Разновидность | |||
Наименование | Код | Наименование | Код | Наименование | Код | |
9 | Отпустить | ОТ | - | ОТ | Одной рукой | ОТ1 |
Двумя руками | ОТ2 | |||||
10 | Нажать рукой | НР | С незначительным усилием | НРС | Одной рукой | НРС1 |
Двумя руками | НРС2 | |||||
Со значительным усилием | НРУ | Одной рукой | НРУ1 | |||
Двумя руками | НРУ2 | |||||
11 | Движение ступни (ноги) | СТ | Без усилия | СТС | - | - |
С усилием | СТУ | - | - | |||
12 | Ходить | Х | - | - | - | - |
13 | Повернуть туловище | ПТ | - | - | - | - |
14 | Сесть | С | - | - | - | - |
15 | Встать из положения сидя | ВС | - | - | - | - |
16 | Нагнуться | Н | До колен | НК | - | - |
До пола | НП | - | - | |||
17 | Выпрямиться из положения нагнувшись | ВН | До колен | ВНК | - | - |
До пола | ВНП | |||||
18 | Всмотреться (фокусировка взгляда) | ФВ | - | - | - | - |
19 | Перевести взгляд | ПВ | - | - | - | - |
Приложение к карте 4.1.1 | ||
Содержание комплекса | Обозначение микроэлементов по БСМ | |
1. | Протянуть руку (руки) к детали (деталям) | ПРN (S) (ОС1; К3) |
2. | Взять деталь (детали) | BN (M; Z; LM) (ОС; К3; И) |
3. | Переместить деталь (детали) в зону хранения или зону промежуточного положения (на стол, станину) в груду | ПN (SM; M; LM) (ОС1; К2; И) |
4. | Отпустить | OTN (ОС1) |
N = | 1, одной рукой, при M <= 8 кг и LM <= 500 мм | |
2, двумя руками, при M <= 20 кг и LM <= 2000 мм | ||
И = | И1, без рукавиц | |
И3, в рукавицах | ||
ОС = | ОС1, для легкозахватываемых деталей | |
ОС2, для труднозахватываемых деталей | ||
К = | Ксп1, при укладке деталей | |
Ксп2, при отбрасывании деталей, при M <= 8 кг |
Приложение к карте 4.1.2 | ||
Содержание комплекса | Обозначение микроэлементов по БСМ | |
1. | Протянуть руку (руки) к детали (деталям) | ПРN (S) (ОС1; К3) |
2. | Взять деталь (детали) | BN (M; Z; LM) (ОС; К3; И) |
3. | Переместить деталь (детали) в зону хранения или зону промежуточного положения (на станину, конвейер, рольганг, в тару) | ПN (SM; M; LM) (ОС1; К3; И) |
4. | Установить деталь на плоскость (уложить в ряд, стопу, штабель) | УПN (M; LM) (ОС; ОР1; И) |
5. | Отпустить | OTN (ОС1) |
N = | 1, одной рукой, при M <= 4 кг и LM <= 500 мм | |
2, двумя руками, при М <= 20 кг и LM <= 2000 мм | ||
И = | И1, без рукавиц | |
И3, в рукавицах | ||
ОС = | ОС1, для легкозахватываемых деталей | |
ОС2, для труднозахватываемых деталей |
Приложение к карте 4.1.3 | ||
Содержание комплекса | Обозначение микроэлементов по БСМ | |
1. | Протянуть руку (руки) к детали (деталям) | ПРN (S) (ОС1; К3) |
2. | Взять деталь (детали) | BN (M; Z; LM) (ОС; К3; И) |
3. | Переместить деталь (детали) в зону хранения (на конвейер, в спецтару) | ПN (SM; M; LM) (ОС1; К3; И) |
4. | Установить деталь в гнездо (на штырь, крюк) | УОСN (M; LD; LM) (ОС; ОР1; И) |
5. | Отпустить | OTN (ОС1) |
N = | 1, одной рукой, при M <= 4 кг и LM <= 500 мм | |
2, двумя руками, при М <= 20 кг и LM <= 2000 мм | ||
И = | И1, без рукавиц | |
И3, в рукавицах | ||
ОС = | ОС1, для легкозахватываемых деталей | |
ОС2, для труднозахватываемых деталей |
Приложение к карте 4.1.4 | ||
Содержание комплекса | Обозначение микроэлементов по БСМ | |
1. | Перехватить деталь левой рукой | ВП |
2. | Протянуть правую руку к левой | ПР1 (S) (ОС1; К1) |
3. | Взять деталь правой рукой из левой | В1 (M; Z; LM) (ОС1; К1; И) |
4. | Переместить деталь в зону хранения | П1 (SM; M; LM) (ОС1; К3; И) |
5. | Установить деталь в гнездо (на штырь) | УОС1 (M; LD; LM) (ОС1; ОР1; И) |
6. | Отпустить | ОТ1 (ОС1) |
И = | И1, без рукавиц | |
И3, в рукавицах |
Приложение к карте 4.1.5 | ||
Содержание комплекса | Обозначение микроэлементов по БСМ | |
1. | Переместить совок (лоток) к деталям | ПN (SM; M1; LM1) (ОС1; К2; K1) |
2. | Повернуть совок (лоток) на 90° | ПОВN (M1) (ОС1; И) |
3. | Нажать | НРУ |
4. | Переместить совок (лоток) в таре с деталями (набрать детали) | ПN (SM150; M1; LM1) (ОС1; К2; И) |
5. | Повернуть совок (лоток) на 90° | ПОВN (M) (ОС1; И) |
6. | Переместить совок (лоток) с деталями в зону хранения деталей | ПN (SM; M; LM1) (ОС1; К2; И) |
7. | Повернуть совок (лоток) на 90° (высыпать детали) | ПОВN (M) (ОС1; И) |
8. | Переместить совок (лоток) отбрасыванием (встряхнуть) | ПОВN (SM25; M1; LM1) (ОС1; И) |
N = | 1, одной рукой, при M <= 5 кг | |
2, двумя руками, при M <= 20 кг | ||
И = | И1, без рукавиц | |
И3, в рукавицах |
Приложение к карте 4.1.6 | ЛИСТ 1 | ||
Содержание комплекса | Обозначение микроэлементов по БСМ | ||
1. | Протянуть руки к таре с деталями | ПР2 (S) (ОС1; К2) | |
2. | Взять тару с деталями | В2 (M; LM1) (ОС1; К1; И) | |
3. | Переместить тару к бункеру | П2 (SM; M; LM1) (ОС1; К2; И) | |
4. | Повернуть тару на 90° (высыпать детали) | ПОВ2 (M) (ОС1; И) | |
5. | Переместить тару отбрасыванием (встряхнуть) | ПОТ2 (SM25; M1; LM1) (ОС1; И) | |
6. | Повернуть тару на 90° | ПОВ2 (M1) (ОС1; И) | |
7. | Переместить тару без деталей в зону хранения | П2 (SM; M1; LM1) (ОС1; К2; И) | |
8. | Отпустить | ОТ2 (ОС1) | |
И = | И1, без рукавиц | |
И3, в рукавицах |
Содержание комплекса | Обозначение микроэлементов по БСМ | |
1. | Переместить тару к станине (столу) | П2 (SM; M1; LM1) (ОС1; К2; И) |
2. | Установить тару на плоскость | УП2 (M1; LM1) (ОС1; ОР1; И) |
3. | Отпустить тару правой рукой | ОТ1 (ОС1) |
4. | Протянуть руку к деталям на станине (столе) | ПР1 (S) (ОС1; К3) |
5. | Установить руку на плоскость станины (стола) | УП1 (MO; LMO) (ОС1; ОР2; И) |
6. | Переместить детали скольжением со станины (стола) в тару (сгрести) | ПП1 (SM; M; LM) (ОС1; К2; И) |
7. | Протянуть руку к таре с деталями | ПР1 (S) (ОС1; К2) |
8. | Взяться за тару с деталями | ВЗ1 (ОС1; К2; И) |
И = | И1, без рукавиц | |
И3, в рукавицах |
Приложение к карте 4.1.8 | ЛИСТ 1 | |||
Содержание комплекса | Обозначение микроэлементов по БСМ | |||
Застропливание на два крюка Крупногабаритные детали | ||||
Сделать шаг | X (S) (СТ1) | |||
Протянуть руку к первому крюку | ПР1 (S) (ОС1; К2) | |||
Взять крюк | В1 (M; Z) (ОС1; К1 И) | |||
Переместить крюк к детали (таре с деталями) | П1 (SM; M; LM) (ОС1; К3; И) | |||
5. | Установить крюк в отверстие детали (тары с деталями) | УОС1 (M; LM; LD) (ОС1; ОР1; И) | ||
Отпустить крюк | ОТ1 (ОС1) | |||
Сделать шаг | X (S) (СТ1) | |||
Протянуть руку ко второму крюку | ПР1 (S) (ОС1; К2) | |||
Взять крюк | В1 (M; Z) (ОС1; К1; И) | |||
Переместить крюк к детали (таре с деталями) | П1 (SM; M; LM) (ОС1; К3; И) | |||
11. | Установить крюк в отверстие детали (тары с деталями) | УОС1 (M; LM; LD) (ОС1; ОР1; И) | ||
Отпустить крюк | ОТ1 (ОС1) | |||
13. | Нажать на кнопку | НРС | ||
14. | Всмотреться | ФВ | ||
Перевести взгляд | ПВ | |||
Всмотреться | ФВ | |||
Содержание комплекса | Обозначение микроэлементов по БСМ | ||
Расстропливание с двух крюков Крупногабаритные детали | |||
Сделать шаг | X (S) (СТ1) | ||
Протянуть руку к первому крюку | ПР1 (S) (ОС1; К2) | ||
Взять крюк | В1 (M; Z) (ОС1; К1; И) | ||
4. | Разъединить крюк с деталью (тарой) | РС1 (M; LD) (ОС1; ОР1; И) | |
Приложение к карте 4.1.8 | ЛИСТ 2 | |||
Содержание комплекса | Обозначение микроэлементов по БСМ | |||
Отпустить крюк | ОТ1 (ОС1) | |||
Сделать шаг | X (S) (СТ1) | |||
Протянуть руку ко второму крюку | ПР1 (S) (ОС1; К2) | |||
Взять крюк | В1 (M; Z) (ОС1; К1; И) | |||
9. | Разъединить крюк с деталью (тарой) | РС1 (M; LD) (ОС1; ОР1; И) | ||
Отпустить крюк | ОТ1 (ОС1) | |||
И = | И1, без рукавиц | |
И3, в рукавицах | ||
S - расстояние до крюка | ||
S = | 300 - 700 мм, для малогабаритных деталей | |
700 - 1200 мм, для крупногабаритных деталей | ||
SM - расстояние перемещения крюка к детали | ||
SM = | 300 - 700 мм, для малогабаритных деталей | |
700 - 750 мм, для крупногабаритных деталей | ||
M - масса крюка | ||
M = | 1 - 2 кг, для малогабаритных деталей | |
2 - 4 мм, для крупногабаритных деталей | ||
Z - размер крюка в месте захвата | ||
Z = | 15 - 25 кг, для малогабаритных деталей | |
25 - 50 мм, для крупногабаритных деталей | ||
LM - длина наибольшей стороны детали | ||
LM = | 500 - 1000 кг, для малогабаритных деталей | |
1000 - 2000 мм, для крупногабаритных деталей | ||
LD - длина продвижения крюка при установке в отверстие | ||
LD = | 100 - 200 мм, для малогабаритных деталей | |
200 - 300 мм, для крупногабаритных деталей | ||
1. | застропливание: | |
а) | на один крюк: | |
малогабаритные детали t = 43; | ||
крупногабаритные детали t = 56; | ||
б) | на два крюка: | |
малогабаритные детали t = 65; | ||
крупногабаритные детали t = 106; | ||
2. | расстропливание: | |
а) | с одного крюка: | |
малогабаритные детали t = 19Kи1; | ||
крупногабаритные детали t = 22Kи1. | ||
б) | с двух крюков: | |
малогабаритные детали t = 25Kи1; | ||
крупногабаритные детали t = 37Kи1. | ||
Приложение к карте 4.1.8 | ЛИСТ 3 | |||
Содержание комплекса | Обозначение микроэлементов по БСМ | |||
Застропливание на две петли | ||||
Сделать шаг | X (S) (СТ1) | |||
2. | Протянуть руки к первой петле | ПР2 (S) (ОС1; К2) | ||
3. | Взять петлю | В2 (M; Z; LM) (ОС1; К1; И) | ||
4. | Переместить петлю к детали (таре с деталями) | П2 (SM; M; LM) (ОС1; К2; И) | ||
5. | Переместить (развести) стороны петли | П2 (SM; M; LM) (ОС1; К2; И) | ||
6. | Установить (надеть) петлю на деталь (тару с деталями) | УОС2 (M; LM; LD) (ОС1; ОР2; И) | ||
Отпустить петлю | ОТ2 (ОС1) | |||
8. | ||||
9. | Нажать на кнопку | НРС | ||
10. | Всмотреться | ФВ | ||
11. | Перевести взгляд | ПВ | ||
12. | Всмотреться | ФВ | ||
Расстропливание с двух петель | ||||
Сделать шаг | X (S) (СТ1) | |||
2. | Протянуть руки к первой петле | ПР2 (S) (ОС1; К2) | ||
3. | Взять петлю | В2 (M; Z; LM) (ОС1; К1; И) | ||
4. | Снять петлю с детали (тары с деталями) | РС2 (M; LD) (ОС1; ОР1; И | ||
Отпустить петлю | ОТ2 (ОС1) | |||
6. | ||||
И = | И1, без рукавиц | |
И3, в рукавицах |
Приложение к карте 4.1.8 | ЛИСТ 4 | ||
Содержание комплекса | Обозначение микроэлементов по БСМ | ||
Застропливание захватами | |||
1. | Протянуть руки к захватам | ПР2 (S) (ОС1; К2) | |
2. | Взять захваты | В2 (M; Z20; LM) (ОС1; К1; И) | |
3. | Переместить (развести) захваты | П2 (SM; M; LM) (ОС1; К3; И) | |
4. | Установить захваты на деталь (тару) | УОС2 (M; LM; LD) (ОС1; ОР3; И) | |
5. | Отпустить захваты | ОТ2 (ОС1) | |
6. | Нажать на кнопку | НРС | |
7. | Всмотреться | ФВ | |
Расстропливание из захватов | |||
1. | Протянуть руки к захватам | ПР2 (S) (ОС1; К2) | |
2. | Взять захваты | В2 (M; Z20; LM) (ОС1; К1; И) | |
3. | Переместить (развести) захваты | П2 (SM; M; LM) (ОС1; К2; И) | |
4. | Снять захваты с детали (тары) | РС2 (M; LD) (ОС1; ОР3; И) | |
5. | Отпустить захваты | ОТ2 (ОС1) | |
И = | И1, без рукавиц | |
И3, в рукавицах |
Приложение к карте 4.1.9 | ||
Содержание комплекса | Обозначение микроэлементов по БСМ | |
1. | Протянуть руку (руки) к подвеске (люльке, подъемнику) | ПРN (S) (ОС1; К2; И) |
2. | Взяться | ВЗN (ОС1; К1; И) |
3. | Нажать | НРУ |
4. | Переместить подвеску (люльку, подъемник) в зону рабочего места | ПРГN (SM; M; LM) (ОС1; К2; И) |
5. | Отпустить | ОТN (ОС1) |
N = | 1, одной рукой | |
2, двумя руками | ||
И = | И1, без рукавиц | |
И3, в рукавицах |
M = | M1 = 25 - 50 кг, масса подвески (люльки, подъемника) | |
M2 = 45 - 500 кг, масса подвески (люльки, подъемника) с деталью (деталями) |
Приложение к карте 4.1.10 | ||
Содержание комплекса | Обозначение микроэлементов по БСМ | |
1. | Протянуть руки к тележке | ПР2 (S200) (ОС1; К2; И) |
2. | Взяться | ВЗ2 (ОС1; К1; И) |
3. | Нажать | НРУ |
4. | Переместить тележку | П2 (SM; M; LM) (ОС1; К1; И) |
5. | Отпустить | ОТ2 (ОС1) |
N = | И1, без рукавиц | |
И3, в рукавицах |
M = | M1 = 40 - 50 кг, масса тележки | |
M2 = 60 - 400 кг, масса тележки с грузом |

Приложение к карте 4.1.11 | |||
Содержание комплекса | Обозначение микроэлементов по БСМ | ||
1. | Протянуть руку (руки) к детали (таре с деталями) | ПРN (S) (ОС1; К2; И) | |
2. | Взяться | ВЗN (ОС1; К1; И) | |
3. | Нажать | НРУ | |
4. | Переместить деталь (тару с деталями) по рольгангу | ПРГN (SM; M; LM) (ОС1; К2; И) | |
5. | Отпустить | ОТN (ОС1) | |
N = | 1, одной рукой | |
2, двумя руками | ||
И = | И1, без рукавиц | |
И3, в рукавицах |
Приложение к карте 4.1.12 | |||
Содержание комплекса | Обозначение микроэлементов по БСМ | ||
1. | Протянуть руку к детали (таре, приспособлению) | ПР1 (S) (ОС1; К2) | |
2. | Взяться за деталь (тару, приспособление) | ВЗ1 (ОС1; К1; И) | |
3. | Нажать | НРУ | |
4. | Переместить деталь (тару, приспособление) по поверхности | ПП1 (SM; M; LM) (ОС1; К; И) | |
5. | Отпустить | ОТ1 (ОС1) | |
И = | И1, без рукавиц | |
И3, в рукавицах | ||
К = | К2, перемещение в приблизительное место | |
К3, перемещение в точное место |
Приложение к карте 4.1.13 | |||
Содержание комплекса | Обозначение микроэлементов по БСМ | ||
1. | Протянуть руку (руки) к детали (таре с деталями) | ПРN (S) (ОС1; К2) | |
2. | Взяться | BЗN (ОС1; К1; И) | |
3. | Нажать | НРУ | |
4. | Переместить деталь (тару с деталями) по склизу | ППN (SM; M; LM) (ОС1; К1; И) | |
N = | 1, одной рукой | |
2, двумя руками | ||
И = | И1, без рукавиц | |
И3, в рукавицах |
Приложение к карте 4.1.14 | |||
Содержание комплекса | Обозначение микроэлементов по БСМ | ||
Переход к предмету | |||
1. | Подойти к предмету | ПТ (Y) (П1) | |
2. | Повернуть корпус | X (S) (СТ) | |
3. | Переместить тележку | ПТ (Y) (П1) | |
Переход с предметом | |||
1. | Повернуть корпус | ПТ (Y; M; LM) (П1) | |
2. | Идти с предметом | X (SM; M; LM) (СТ) | |
3. | Повернуть корпус | ПТ (Y; M; LM) (П1) | |
СТ = | СТ1, свободно, по сухому ровному полу | |
СТ2, по скользкому полу или стесненно |
Приложение к карте 4.2.1 | ||
Содержание комплекса | Обозначение микроэлементов по БСМ | |
1. | Протянуть руку (руки) в зону хранения или зону промежуточного положения | ПРN (S) (ОС1; К) |
2. | Взять деталь (детали) из ряда, груды, на столе (станине, верхней части суппорта, рольганге, конвейере) | BN (M; Z; LM) (ОС; К; И) |
3. | Переместить деталь (детали) в зону установки | ПN (SM; M; LM) (ОС1; К3; И) |
N = | 1, одной рукой, при M <= 8 кг и LM <= 500 мм | |
2, двумя руками, при M <= 20 кг и LM <= 2000 мм | ||
И = | И1, без рукавиц | |
И3, в рукавицах | ||
ОС = | ОС1, для легкозахватываемых деталей | |
ОС2, для труднозахватываемых деталей | ||
К = | К2, при Z > 5 мм детали расположены в ряд | |
К3, при Z <= 5 мм или для перемешанных деталей |
1) одной рукой | а) | масса (кг) 0,01 < M <= 0,1, t = 2,66S0,170 SM0,185 Kк2; |
б) | масса (кг) 0,1 < M <= 8, t = 1,91S0,150 SM0,264 M0,044 Kк2; | |
2) двумя руками | масса (кг) 1< M <= 20, t = 1,56S0,132 SM0,212 M0,076 LM0,083 Kос1 Kи1 Kк2 |
Приложение к карте 4.2.2 | ||
Содержание комплекса | Обозначение микроэлементов по БСМ | |
1. | Протянуть руку (руки) в зону хранения деталей | ПРN (S) (ОС1; К) |
2. | Взять деталь | BN (M; Z; LM) (ОС; К; И) |
3. | Вынуть (снять) деталь из гнезда тары (из бункера, со штыря, крюка) | PCN (M; LD) (ОС; ОР1; И) |
4. | Переместить деталь (детали) в зону установки | ПN (SM; M; LM) (ОС1; К3; И) |
N = | 1, одной рукой, при M <= 4 кг и LM <= 500 мм | |
2, двумя руками, при M <= 20 кг и LM <= 2000 мм | ||
И = | И1, без рукавиц | |
И3, в рукавицах | ||
ОС = | ОС1, для легкозахватываемых деталей | |
ОС2, для труднозахватываемых деталей | ||
К = | К2, при Z > 5 мм | |
К3, при Z <= 5 мм |
1) одной рукой | а) | масса (кг) 0,01 < M <= 0,1, t = 3,29S0,158 SM0,172 Kос1 Kи1 Kк2; |
б) | масса (кг) 0,1 < M <= 4, t = 4,21S0,120 SM0,198 M0,094 Kос1 Kи1; | |
2) двумя руками | масса (кг) 1< M <= 20, t = 3,63S0,098 SM0,158 M0,126 LM0,061 Kос1 Kи1 |
Приложение к карте 4.2.3 | ||
Содержание комплекса | Обозначение микроэлементов по БСМ | |
1 | Протянуть руку в зону хранения деталей | ПР1 (S) (ОС1; К) |
2. | Взять деталь | Вl (M; Z; LM) (ОС1; К1; И1) |
3. | Вынуть (снять) деталь из гнезда (со штыря, крюка, из бункера) | РС1 (M; LD) (ОС1; ОР1; И1) |
4. | Перехватить | ВП |
К = | К2, при Z > 5 мм | |
К3, при Z <= 5 мм |
1) масса (кг) 0,01 < M <= 0,1, | t = 8,35S0,141 Kос1 Kк2; |
2) масса (кг) 0,1< M <= 1, | t = 9,52S0,131 M0,081 Kос1. |
Приложение к карте 4.2.4 | ||
Содержание комплекса | Обозначение микроэлементов по БСМ | |
1. | Перехватить деталь | ВП |
2. | Протянуть правую руку к деталям в левой руке | ПР1 (S) (ОС1; К) |
3. | Взять деталь | В1 (M; Z; LM) (ОС1; К1; И1) |
4. | Переместить деталь в зону установки | П1 (SM; M; LM) (ОС1; К3; И1) |
К = | К2, при Z > 5 мм | |
К3, при Z <= 5 мм |
1) масса (кг) 0,01 < M <= 0,1, | t = 4,10S0,124 SM0,150 Kос1 Kк2; |
2) масса (кг) 0,1< M <= 1, | t = 4,05S0,116 SM0,173 Kос1. |
Приложение к карте 4.3.1 | ||
Содержание комплекса | Обозначение микроэлементов по БСМ | |
1. | Протянуть руку (руки) к детали (деталям) | ПРN (S) (ОС1; К) |
2. | Взять деталь (детали) | ВN (M; Z; LM) (ОС; К1; И) |
3. | Переместить деталь (детали) в зону хранения или промежуточного положения (на стол, станину, конвейер, рольганг, тару) | ПN (SM; M; LM) (ОС1; К2; И) |
4. | Отпустить | ОТN (ОС1) |
N = | 1, одной рукой, при M <= 8 кг и LM <= 500 мм | |
2, двумя руками, при M <= 20 кг и LM <= 2000 мм | ||
И = | И1, без рукавиц | |
И3, в рукавицах | ||
Kсп = | Kсп1, при укладке деталей | |
Kсп2, при отбрасывании деталей, M <= 8 кг | ||
ОС = | ОС1, для легкозахватываемых деталей | |
ОС2 = для труднозахватываемых деталей | ||
К = | К2, при Z > 5 мм, | |
К3, при Z <= 5 мм, M <= 1 кг |
1) одной рукой | а) | масса (кг) 0,01 < M <= 0,1, t = 2,01S0,191 SM0,191 Kк2 Kсп1; |
б) | масса (кг) 0,1 < M <= 8, t = 1,77S0,150 SM0,240 М0,041 LM0,042 Kсп1; | |
2) двумя руками | масса (кг) 1< M <= 20, t = 2,04S0,138 SM0,192 M0,072 LM0,079 Kос1 Kи1 Kсп1 |
Приложение к карте 4.3.2 | ||
Содержание комплекса | Обозначение микроэлементов по БСМ | |
1. | Протянуть руку (руки) в зону снятия деталей | ПРN (S) (ОС1; К) |
2. | Взять деталь (детали) | BN (M; Z; LM) (ОС; К1; И) |
3. | Переместить деталь (детали) в зону хранения или промежуточного положения (на стол, станину, конвейер, рольганг, тару) | ПN (SM; M; LM) (ОС1; К3; И) |
4. | Установить деталь (детали) в ряд (стопу, штабель) | УПN (M; LM) (ОС; ОР1; И) |
5. | Отпустить | ОТN (ОС1) |
N = | 1, одной рукой, при M <= 4 кг и LM <= 500 мм | |
2, двумя руками, при M <= 20 кг и LM <= 2000 мм | ||
И = | И1, без рукавиц | |
И3, в рукавицах | ||
ОС = | ОС1, для легкозахватываемых деталей | |
ОС2, для труднозахватываемых деталей | ||
К = | К2, при Z > 5 мм, | |
К3, при Z <= 5 мм |
1) одной рукой | а) | масса (кг) 0,01 < M <= 0,1, t = 2,48S0,184 SM0,169 LM0,021 Kос1 Kи1; |
б) | масса (кг) 0,1 < M <= 4, t = 2,25S0,101 SM0,165 M0,135 LM0,196 Kос1 Kи1; | |
2) двумя руками | масса (кг) 1< M <= 20, t = 1,65S0,074 SM0,115 M0,219 LM0,261 Kос1 Kи1. |
Приложение к карте 4.3.3 | ||
Содержание комплекса | Обозначение микроэлементов по БСМ | |
1. | Протянуть руку (руки) в зону снятия детали (деталей) | ПРN (S) (ОС1; К) |
2. | Взять деталь (детали) | BN (M; Z; LM) (ОС; К1; И) |
3. | Переместить деталь (детали) в зону хранения или промежуточного положения (на стол, станину, конвейер, рольганг, тару) | ПN (SM; M; LM) (ОС1; К3; И) |
4. | Установить деталь в гнездо (на штырь, крюк) | УОСN (M; LD; LM) (ОС; ОР1; И) |
5. | Отпустить | ОТN (ОС1) |
N = | 1, одной рукой, при M <= 4 кг и LM <= 500 мм | |
2, двумя руками, при M <= 20 кг и LM <= 2000 мм | ||
И = | И1, без рукавиц | |
И3, в рукавицах | ||
ОС = | ОС1, для легкозахватываемых деталей | |
ОС2, для труднозахватываемых деталей | ||
К = | К2, при Z > 5 мм, | |
К3, при Z <= 5 мм |
1) одной рукой | а) | масса (кг) 0,01 < M <= 0,1, t = 4,20S0,145 SM0,158 Kос1 Kк2; |
б) | масса (кг) 0,1 < M <= 4, t = 2,96S0,102 SM0,167 M0,112 LM0,109 LD0,040 Kос1; | |
2) двумя руками | масса (кг) 1< M <= 20, t = 3,28S0,059 SM0,094 M0,188 LM0,182 LD0,009 Kос1 Kи1 |
Приложение к карте 4.3.4 | ||
Содержание комплекса | Обозначение микроэлементов по БСМ | |
1. | Протянуть руку к детали в зоне снятия | ПР1 (S) (ОС1; К) |
2. | Взять деталь | В1 (M; Z; LM) (ОС2; К1; И) |
3. | Перехватить деталь | ВП |
И = | И1, без рукавиц | |
И3, в рукавицах | ||
К = | К2, при Z > 5 мм, | |
К3, при Z <= 5 мм |
Приложение к карте 4.3.5 | ||
Содержание комплекса | Обозначение микроэлементов по БСМ | |
1. | Перехватить деталь левой рукой | ВП |
2. | Протянуть правую руку к деталям в левой руке | ПР1 (S) (ОС1; К) |
3. | Взять деталь правой рукой | В1 (M; Z; LM) (ОС1; К1; И) |
4. | Переместить деталь в зону хранения | П1 (SM; M; LM) (ОС1; К3; И) |
5. | Установить деталь в гнездо (на штырь, крюк) | УОС1 (M; LD; LM) (ОС1; ОР1; И) |
6. | Отпустить | ОТ1 (ОС1) |
И = | И1, без рукавиц | |
И3, в рукавицах | ||
К = | К2, при Z > 5 мм, | |
К3, при Z <= 5 мм |
1) масса (кг) 0,01 < M <= 0,1, | t = 9,94S0,086 SM0,096 Kос1 Kк2 Kи1; |
2) масса (кг) 0,1 < M <= 1, | t = 6,06S0,081 SM0,120 M0,101 LM0,092 Kос1 Kи1. |
Приложение к карте 4.4.1 | ||
Содержание комплекса | Обозначение микроэлементов по БСМ | |
1. | Протянуть руку (руки) к детали (приспособлению) | ПРN (S) (ОС1; К2) |
2. | Взять деталь (приспособление) | BN (M; Z; LM) (ОС; К1; И) |
3. | Повернуть деталь (приспособление) в горизонтальной (вертикальной) плоскости на угол | ПОАN (M; YR; LM) (ОС; И) |
4. | Отпустить | OTN (ОС1) |
N = | 1, одной рукой, при M <= 10 кг и LM <= 500 мм | |
2, двумя руками, при M <= 70 кг и LM <= 2000 мм | ||
А = | Г, поворот в горизонтальной плоскости | |
В, поворот в вертикальной плоскости | ||
И = | И1, без рукавиц | |
И3, в рукавицах | ||
ОС = | ОС1, для легкозахватываемых деталей (приспособлений) | |
ОС2, для труднозахватываемых деталей (приспособлений) |
1) одной рукой | а) | масса (кг) 0,01 < M <= 0,1, плоскость поворота горизонтальная (вертикальная), t = 1,90S0,216 YR0,182 Kос1 Kи1; |
б) | масса (кг) 0,1 < M <= 10, плоскость поворота горизонтальная, t = 3,56S0,171 M0,048 YR0,137 Kос 1 Kи 1; | |
в) | плоскость поворота вертикальная, t = 5,58 S0,181 M0,094 Kос1 Kи1; | |
2) двумя руками | а) | масса (кг) 1< M <= 70, плоскость поворота горизонтальная, t = 2,22 S0,126 M0,080 LM0,146 YR0,118 Kос1 Kи1; |
б) | плоскость поворота вертикальная, t = 6,05S1,141 M0,127 LM0,045 Kос1 Kи1. |
Приложение к карте 4.5.1 | ||
Содержание комплекса | Обозначение микроэлементов по БСМ | |
В рабочее положение | ||
1. | Протянуть руку в зону хранения инструмента | ПР1 (S) (ОС1; К2) |
2. | Взять инструмент | В1 (M; LM; Z) (ОС1; К1; И) |
3. | Вынуть из гнезда (снять со штыря) | РС1 (M; LD) (ОС1; ОР1; И) |
4. | Переместить в рабочее положение | П1 (SM; M; LM) (ОС1; К3; И) |
Из рабочего положения | ||
1. | Протянуть руку к инструменту | ПР1 (S) (ОС1; К2; И) |
2. | Взять инструмент | В1 (M; LM; Z) (ОС1; К1; И) |
3. | Переместить инструмент из рабочего положения в зону хранения | П1 (SM; M; LM) (ОС1; К2; И) |
4. | Положить на стол (установить на плоскость) | УП1 (M; LM) (ОС1; ОР1; И) |
5. | Установить в гнездо (надеть на штырь) | УОС1 (M; LD) (ОС1; ОР1; И) |
6. | Отпустить | ОТ1 (ОС1) |
И = | И1, без рукавиц | |
И3, в рукавицах |
1. | перемещение в рабочее положение | а) | способ хранения на плоскости t = 1,95S0,148 SM0,247 M0,069; |
б) | способ хранения в гнезде (на штыре) t = 4,66S0,115 SM0,189 M0,093 Kос1; | ||
2. | перемещение из рабочего положения | а) | способ хранения на плоскости t = 2,16S0,108 SM0,177 M0,129 LM0,139 Kос1 Kи1; |
б) | способ хранения в гнезде (на штыре) t = 3,83S0,087 SM0,155 M0,136 LM0,118 Kос1. |
Приложение к карте 4.5.2 | ||
Содержание комплекса | Обозначение микроэлементов по БСМ | |
1. | Протянуть руку к инструменту (приспособлению) | ПР1 (S) (ОС1; К2) |
2. | Взяться | ВЗ1 (ОС1; К1; И) |
3. | Повернуть в рабочее положение (из рабочего положения) | ПОРА1 (YR; D) (ОС1; К; И) |
4. | Отпустить | ОТ1 (ОС1) |
А = | Г, поворот в горизонтальной плоскости | |
В, поворот в вертикальной плоскости | ||
И = | И1, без рукавиц | |
И3, в рукавицах | ||
ОС = | ОС1, для легкозахватываемого инструмента (приспособления) | |
ОС2, для труднозахватываемого инструмента (приспособления) | ||
К = | К1, при повороте из рабочего положения | |
К2 при повороте в рабочее положение |
1) поворот в рабочее положение, | t = 2,36S0,198 D0,081 YR0,127 Kи1; |
2) поворот из рабочего положения, | t = 2,02S0,198 D0,081 YR0,127 Kи1. |
Приложение к карте 4.5.3 | ||
Содержание комплекса | Обозначение микроэлементов по БСМ | |
1. | Протянуть руку к предмету | ПР1 (S) (ОС1; К2) |
2. | Взяться | ВЗ1 (ОС1; К1; И) |
3. | Переместить предмет по поверхности | ПП1 (SM; M; LM) (ОС1; К2; И) |
4. | Отпустить | ОТ1 (ОС1) |
И = | И1, без рукавиц | |
И3, в рукавицах |
Приложение к карте 4.6.1 | ||
Содержание комплекса | Обозначение микроэлементов по БСМ | |
1. | Установить деталь (приспособление) на станок (в приспособление) простым наложением (по риске, кромке, упору, с совмещением отверстий) | УПN (M; LM) (ОС; ОР; И) |
2. | Отпустить | ОТN (ОС1) |
N = | 1, одной рукой, при M <= 4 кг и M <= 500 мм | |
2, двумя руками, при M <= 20 кг и M <= 2000 мм | ||
И = | И1, без рукавиц | |
И3, в рукавицах | ||
ОС = | ОС1, для легкозахватыввемых предметов | |
ОС2, для труднозахватываемых предметов | ||
ОР = | ОР1, простым наложением | |
ОР2, по риске, кромке, упору | ||
ОР3, с совмещением отверстий |
1) одной рукой | а) | масса (кг) 0,01 < M <= 0,1, t = 1,2LM0,202 Kос1 Kи1 Kор1; |
б) | масса (кг) 0,1 < M <= 4, t = 0,47M0,284 LM0,429 Kос1 Kи1 Kор1; | |
2) двумя руками | масса (кг) 1 < M <= 20, t = 0,17M0,364 LM0,450 Kос1 Kи1 Kор1 |
Приложение к карте 4.6.2 | ||
Содержание комплекса | Обозначение микроэлементов по БСМ | |
1. | Повернуть деталь (приспособление) в горизонтальной (вертикальной) плоскости на угол | ПОАN (M; YR; LM) (ОС; И) |
2. | Установить деталь (приспособление) простым наложением (по риске, кромке, упору, с совмещением отверстий) | УПN (М; LM) (ОС; ОР; И) |
3. | Отпустить | ОТN (ОС1) |
N = | 1, одной рукой, при M <= 4 кг и M <= 500 мм | |
2, двумя руками, при M <= 20 кг и M <= 2000 мм | ||
А = | Г, поворот в горизонтальной плоскости | |
В, поворот в вертикальной плоскости | ||
И = | И1, без рукавиц | |
И3, в рукавицах | ||
ОС = | ОС1, для легкозахватываемых деталей (приспособлений) | |
ОС2, для труднозахватываемых деталей (приспособлений) | ||
ОР = | ОР1, простым наложением | |
ОР2, по риске, кромке, упору | ||
ОР3, с совмещением отверстий |
YR = | 45°, средняя степень ориентирования (при частичной симметрии совмещаемых поверхностей детали (приспособления) | |
75°, большая степень ориентирования (при отсутствии симметрии совмещаемых поверхностей детали (приспособления) |
Приложение к карте 4.6.3 | ||
Содержание комплекса | Обозначение микроэлементов по БСМ | |
1. | Установить деталь (приспособление) на вал (в отверстие) | YOWN (M; LD; LM) (ОС; ОР; И) |
2. | Отпустить деталь (приспособление) | ОТN (ОС1) |
N = | 1, одной рукой, при M <= 4 кг и LM <= 500 мм | |
2, двумя руками, при M <= 20 кг и LM <= 2000 мм | ||
И = | И1, без рукавиц | |
И3, в рукавицах | ||
ОС = | ОС1, для легкозахватываемых деталей (приспособлений) | |
ОС2, для труднозахватываемых деталей (приспособлений) | ||
ОР = | ОР1, отсутствие ориентирования | |
ОР2, средняя степень ориентирования | ||
ОР3, большая степень ориентирования | ||
W = | С, при свободном соединении | |
П, при плотном соединении | ||
Т, при тугом соединении | ||
M = | 0,1 - 20 кг, масса детали (приспособления) | |
LM = | 20 - 2000 мм, размер наибольшей стороны детали (приспособления) | |
LD = | 10 - 250 мм, длина продвижения вала относительно отверстия | |
1) одной рукой, свободное соединение: | |
а) масса (кг) 0,01 < M <= 0,1, | t = 6,2Kс Kос1 Kи1 Kор1; |
б) масса (кг) 0,1 < M <= 4, | t = 1,5M0,259 LM0,245 LD0,116 Kс1 Kос1 Kи1 Kор1; |
2) двумя руками, масса (кг) 1 < M <= 20: | |
а) свободное соединение, | t = 1,01M0,279 LM0,260 LD0,122 Kос1 Kи1 Kор1; |
б) плотное соединение, | t = 2,64M0,369 LM0,122 LD0,076 Kос1 Kи1 Kор1; |
в) тугое соединение, | t = 4,77M0,384 LM0,126 LD0,078 Kос1 Kи1 Kор1. |
Приложение к карте 4.6.4 | ||
Содержание комплекса | Обозначение микроэлементов по БСМ | |
1. | Установить гайку (винт) на резьбу | УОС1 (M; LD; LM) (ОС1; ОР3; И) |
2. | Навернуть гайку (винт) по резьбе рукой на два оборота | ПООС1 (D) (И; СТ1) |
3. | Отпустить | ОТ1 (ОС1) |
И = | И1, без рукавиц | |
И3, в рукавицах | ||
M = | 0,01 - 0,1 кг, масса гайки (винта) | |
LM = | D, для гайки | |
LD, для винта | ||
D = | 8 - 56 мм, диаметр резьбы | |
LD = | 10 - 50 мм, размер наибольшей стороны гайки (винта) | |
Приложение к карте 4.7.1 | |
Содержание комплекса | Обозначение микроэлементов по БСМ |
Снять деталь (приспособление) | PWN (M; LD) (ОС; ОР; И) |
N = | 1, одной рукой, при M <= 4 кг | |
2, двумя руками, при M <= 20 кг | ||
И = | И1, без рукавиц | |
И3, в рукавицах | ||
ОС = | ОС1, для легкозахватываемых деталей (приспособлений) | |
ОС2, для труднозахватываемых деталей (приспособлений) | ||
ОР = | ОР1, без ориентирования | |
ОР2, средняя степень ориентирования | ||
ОР3, большая степень ориентирования | ||
W = | С, при свободном соединении | |
П, при плотном соединении | ||
Т, при тугом соединении |
1) одной рукой | а) масса (кг) 0,01 < M <= 0,1, t = 3,50Kос1 Kи1 Kор1 Kс; |
б) масса (кг) 0,1 < M <= 4, t = 2,95M0,300 LD0,130 Kос1 Kи1 Kор1 Kс; | |
2) двумя руками | масса (кг) 1 < M <= 20, t = 2,44M0,300 LD0,120 Kос1 Kи1 Kор1 Kс. |
Приложение к карте 4.7.2 | ||
Содержание комплекса | Обозначение микроэлементов по БСМ | |
1. | Свинтить гайку (винт) на два оборота вручную | ПООС1 (D) (И1; СТ1) |
2. | Снять гайку (винт) | РС1 (M; LD) (ОС1; ОР3; И) |
И = | И1, без рукавиц | |
И3, в рукавицах |
Приложение к карте 4.8.1 | |||
Содержание комплекса | Обозначение микроэлементов по БСМ | ||
1. | Протянуть руку к рычагу | ПР1 (S) (ОС1; К1) | |
2. | Взяться за рычаг | ВЗ1 (ОС1; К1) | |
3. | Нажать | НРУ | |
4. | Повернуть рычаг | ПОРА1 (YR; D) (К1; И) | |
5. | Отпустить | ОТ1 (ОС1) | |
А = | Г, поворот в горизонтальной плоскости | |
В, поворот в вертикальной плоскости | ||
И = | И1, без рукавиц | |
И3, в рукавицах |
Приложение к карте 4.8.2 | ||
Содержание комплекса | Обозначение микроэлементов по БСМ | |
1. | Протянуть руку к фиксатору | ПР1 (S) (ОС1; К2) |
2. | Взяться за фиксатор | ВЗ1 (ОС1; К1; И) |
3. | Переместить (сжать пружину) | П1 (SM; M; LM) (ОС1; К2; И) |
4. | Отпустить | ОТ1 (ОС1) |
И = | И1, без рукавиц | |
И3, в рукавицах |
Приложение к карте 4.8.3 | ||
Содержание комплекса | Обозначение микроэлементов по БСМ | |
Один оборот | ||
1. | Протянуть руку к маховику | ПР1 (S) (ОС1; К2) |
2. | Взяться за маховик | ВЗ1 (ОС1; К1; И) |
3. | Повернуть маховик | ПОРА1 (YR; D) (К1; И) |
4. | Нажать | НРУ |
5. | Отпустить | ОТ1 (ОС1) |
Последующий оборот | ||
1. | Повернуть маховик | ПОРА1 (YR; D) (К1; И) |
А = | Г, поворот в горизонтальной плоскости | |
В, поворот в вертикальной плоскости | ||
И = | И1, без рукавиц | |
И3, в рукавицах |
Приложение к карте 4.8.4 | ЛИСТ 1 | |||
Содержание комплекса | Обозначение микроэлементов по БСМ | |||
Поворот на угол YR <= 120° | ||||
1. | Протянуть руку к штурвалу | ПР1 (S) (ОС1; К2) | ||
2. | Взяться | ВЗ1 (ОС1; К1; И) | ||
3. | Повернуть штурвал на угол YR | ПОРА1 (YR; D) (К1; И) | ||
4. | Нажать | НРУ | ||
5. | Отпустить | ОТ1 (ОС1) | ||
Один оборот штурвала | ||||
1. | Протянуть руку к штурвалу | ПР1 (S) (ОС1; К2) | ||
2. | Взяться | ВЗ1 (ОС1; К1; И) | ||
3. | Повернуть штурвал на 120° | ПОРА1 (YR 120; D) (К1; И) | ||
4. | Отпустить | ОТ1 (ОС1) | ||
5. | Повернуть руку в первоначальное положение на 120° | ПОРА1 (YR 120; D) (К1; И) | ||
6. | Взяться | ВЗ1 (ОС1; К1; И) | ||
7. | Повернуть штурвал на 120° | ПОРА1 (YR 120; D) (К1; И) | ||
8. | Отпустить | ОТ1 (ОС1) | ||
9. | Повернуть руку в первоначальное положение на 120° | ПОРА1 (YR 120; D) (К1; И) | ||
10. | Взяться | ВЗ1 (ОС1; К1; И) | ||
11. | Повернуть штурвал на 120° | ПОРА1 (YR 120; D) (К1; И) | ||
12. | Нажать | НРУ | ||
13. | Отпустить | ОТ1 (ОС1) | ||
Приложение к карте 4.8.4 | ЛИСТ 2 | |||
Содержание комплекса | Обозначение микроэлементов по БСМ | |||
Последующий оборот штурвала | ||||
1. | Повернуть руку в первоначальное положение на 120° | ПОРА1 (YR 120; D) (К1; И) | ||
2. | Взяться | ВЗ1 (ОС1; К1; И) | ||
3. | Повернуть штурвал на 120° | ПОРА1 (YR 120; D) (К1; И) | ||
4. | Отпустить | ОТ1 (ОС1) | ||
5. | Повернуть руку в первоначальное положение на 120° | ПОРА1 (YR 120; D) (К1; И) | ||
6. | Взяться | ВЗ1 (ОС1; К1; И) | ||
7. | Повернуть штурвал на 120° | ПОРА1 (YR 120; D) (К1; И) | ||
8. | Отпустить | ОТ1 (ОС1) | ||
9. | Повернуть руку в первоначальное положение на 120° | ПОРА1 (YR 120; D) (К1; И) | ||
10. | Взяться | ВЗ1 (ОС1; К1; И) | ||
11. | Повернуть штурвал на 120° | ПОРА1 (YR 120; D) (К1; И) | ||
12. | Отпустить | ОТ1 (ОС1) | ||
А = | Г, поворот в горизонтальной плоскости | |
В, поворот в вертикальной плоскости | ||
И = | И1, без рукавиц | |
И3, в рукавицах |
1) поворот на угол YR <= 120°, | t = 6,60S0,120 D0,056 YR0,086 Kи1; |
2) один оборот на 360°, | t = 17,85S0,064 D0,107 Kи1; |
3) последующий оборот на 360° | t = 12,4D0,162 Kи1. |
Приложение к карте 4.8.5 | ||
Содержание комплекса | Обозначение микроэлементов по БСМ | |
Один оборот болта | ||
1. | Протянуть руку к болту | ПР1 (S) (ОС1; К2) |
2. | Взяться | ВЗ1 (ОС1; К1; И) |
3. | Повернуть болт на один оборот | ПООС1 (D) (И; СТ) |
4. | Отпустить | ОТ1 (ОС1) |
Последующий оборот болта | ||
1. | Повернуть болт на один оборот | ПООС1 (D) (И; СТ) |
И = | И1, без рукавиц | |
И3, в рукавицах | ||
СТ = | СТ1, свободно | |
СТ2, стесненно | ||
СТ3, очень стесненно |
1) один оборот, | t = 4,39S0,162 D0,212 Kст1; |
2) последующий оборот, | t = 3,09D0,410 Kст1. |
Приложение к карте 4.8.6 | ||
Содержание комплекса | Обозначение микроэлементов по БСМ | |
Один оборот ключом | ||
1. | Повернуть болт (гайку) ключом на один оборот с усилием | ПООУ1 (D) (И6; СТ) |
Последующий оборот ключом | ||
1. | Повернуть болт (гайку) ключом на один оборот свободно | ПООС1 (D) (И6; СТ) |
СТ = | СТ1, свободно | |
СТ2, стесненно | ||
СТ3, очень стесненно |
1) один оборот ключом | t = 5,71D0,0550 Kст1; |
2) последующий оборот ключом | i = 4,14D0,550 Kст1. |
Приложение к карте 4.8.7 | ||
Содержание комплекса | Обозначение микроэлементов по БСМ | |
Поворот ключом на угол YR <= 180° | ||
1. | Установить ключ (вороток) на болт (гайку) | УОС1 (М; LD; LM) (ОС1; |
ОР2; И) | ||
2. | Повернуть болт (гайку) ключом (воротком) на угол YR <= 180° | ПОРА2 (YR; D) (К1; И) |
3. | Нажать на рукоятку | НРУ |
4. | Снять ключ (вороток) с болта (гайки) | РС2 (М; LD) (ОС1; ОР2; И) |
Один оборот ключом | ||
1. | Установить ключ (вороток) на болт (гайку) | УОС1 (М; LD; Ш) (ОС1; |
ОР2; И) | ||
2. | Повернуть болт (гайку) ключом (воротком) на 180° | ПОРА2 (YR 180; D) (К1; И) |
3. | Перехватить ключ (вороток) | ВП |
4. | Повернуть болт (гайку) ключом (воротком) на 180° | ПОРА2 (YR 180; D) (К1; И) |
5. | Нажать на рукоятку | НРУ |
6. | Снять ключ (вороток) с болта (гайки) | РС2 (М; LD) (ОС1; ОР2; И) |
Последующий оборот ключом | ||
1. | Повернуть болт (гайку) ключом (воротком) на 180° | ПОРА2 (YR 180; D) (К1; И) |
2. | Перехватить ключ (вороток) | ВП |
3. | Повернуть болт (гайку) ключом (воротком) на 180° | ПОРА2 (YR 180; D) (К1; И) |
А = | Г, поворот в горизонтальной плоскости | |
В, поворот в вертикальной плоскости | ||
И = | И1, без рукавиц | |
И3, в рукавицах |
1) поворот на угол YR <= 180°, | t = 15,24M0,157 LM0,098 YR0,063 Kи1; |
2) один оборот, | t = 21,24M0,110 LM0,071 D0,076 Kи1; |
3) последующий оборот, | t = 6,98D0,188 Kи1. |
Приложение к карте 4.8.8 | ||
Содержание комплекса | Обозначение микроэлементов по БСМ | |
Один оборот отверткой | ||
1. | Повернуть винт отверткой на один оборот с усилием | ПООУ1 (D) (И5; СТ) |
Последующий оборот отверткой | ||
1. | Повернуть винт отверткой на один оборот свободно | ПООС1 (D) (И5; СТ) |
T = | СТ1, свободно | |
СТ2, стесненно | ||
СТ3, очень стесненно |
1) один оборот, | t = 12,52D0,400 Kст1; |
2) последующий оборот, | t = 9,07D0,400 Kст1. |
Приложение к карте 4.8.9 | ||
Содержание комплекса | Обозначение микроэлементов по БСМ | |
1. | Переместить молоток (деталь, приспособление) вверх | П1 (SM250; M; LM) (ОС1; К3; И1) |
2. | Переместить молоток (деталь, приспособление) вниз (ударить) | П1 (SM250; M; LM) (ОС1; К1; И1) |
Приложение к карте 4.8.10 | ||
Содержание комплекса | Обозначение микроэлементов по БСМ | |
1. | Перехватить деталь (приспособление) | ВП |
2. | Повернуть деталь (приспособление) в горизонтальной (вертикальной) плоскости на угол YR | ПОА1 (М; YR) (ОС1; И) |
3. | Отпустить | ОТ1 (ОС1) |
А = | Г, поворот в горизонтальной плоскости | |
В, поворот в вертикальной плоскости | ||
И = | И1, без рукавиц | |
И3, в рукавицах |
Приложение к карте 4.8.11 | ||
Содержание комплекса | Обозначение микроэлементов по БСМ | |
Один оборот детали | ||
1. | Повернуть деталь (приспособление) на один оборот рукой | ПООС1 (D) (И1; СТ) |
2. | Отпустить | ОТ1 (ОС1) |
Приложение к карте 4.8.12 | ||
Содержание комплекса | Обозначение микроэлементов по БСМ | |
1. | Установить рычаг в щель | УОП1 (M; LM; LD) (ОС1; ОР1; И) |
2. | Нажать рукой на рычаг | НРУ |
3. | Повернуть рычаг на 15 - 30° | ПОРА1 (D; YR) (ОС1; И) |
А = | Г, поворот в горизонтальной плоскости | |
В, поворот в вертикальной плоскости | ||
И = | И1, без рукавиц | |
И3, в рукавицах |

Приложение к карте 4.9.1 | ||
Содержание комплекса | Обозначение микроэлементов по БСМ | |
1. | Протянуть руку к кнопке (тумблеру) | ПР1 (S) (ОС1; К2) |
2. | Нажать | НРС |
Приложение к карте 4.9.2 | ||
Содержание комплекса | Обозначение микроэлементов по БСМ | |
1. | Протянуть руку к рычагу | ПР1 (S) (ОС1; К1) |
2. | Взяться за рычаг | ВЗ1 (ОС1; К1; И) |
3. | Повернуть рычаг | ПОРА1 (YR; D) (К1; И) |
4. | Отпустить | ОТ1 (ОС1) |
А = | Г, поворот в горизонтальной плоскости | |
В, поворот в вертикальной плоскости | ||
И = | И1, без рукавиц | |
И3, в рукавицах |
Приложение к карте 4.9.3 | |
Содержание комплекса | Обозначение микроэлементов по БСМ |
Один оборот | |
1. Протянуть руку к маховику | ПР1 (S) (ОС1; К2) |
2. Взяться за маховик | ВЗ1 (ОС1; К1; И) |
3. Повернуть маховик | ПОРА1 (YR; D) (К1; И) |
4. Отпустить | ОТ1 (ОС1) |
Последующий оборот | |
1. Повернуть маховик | ПОРА1 (YR360; D) (К1; И) |
А = | Г, поворот в горизонтальной плоскости | |
В, поворот в вертикальной плоскости | ||
И = | И1, без рукавиц | |
И3, в рукавицах |
Приложение к карте 4.9.4 | ||
Содержание комплекса | Обозначение микроэлементов по БСМ | |
1. | Всмотреться | ФВ |
2. | Переместить маховик (штурвал) - довернуть | П1 (S; M; LM) (ОС1; К3; И1) |
Приложение к карте 4.9.5 | ||
Содержание комплекса | Обозначение микроэлементов по БСМ | |
1. | Перевести взгляд | ПВ |
2. | Всмотреться в лимб | ФВ |
3. | Переместить маховик - довернуть | П1 (S; M; LM) (ОС1; К3; И1) |
Приложение к карте 4.9.6 | ЛИСТ 1 | ||
Содержание комплекса | Обозначение микроэлементов по БСМ | ||
Поворот штурвала на угол YR <= 120° | |||
1. | Протянуть руку к штурвалу | ПР1 (S) (ОС1; К2) | |
2. | Взяться | ВЗ1 (ОС1; К1; И) | |
3. | Повернуть штурвал на угол YR | ПОРА1 (YR120; D) (К1; И) | |
4. | Отпустить | ОТ1 (ОС1) | |
Один оборот штурвала | |||
1. | Протянуть руку к штурвалу | ПР1 (S) (ОС1; К2) | |
2. | Взяться | ВЗ1 (ОС1; К1; И) | |
3. | Повернуть штурвал на 120° | ПОРА1 (YR120; D) (К1; И) | |
4. | Отпустить | ОТ1 (ОС1) | |
5. | Повернуть руку в первоначальное положение на 120° | ПОРА1 (YR120; D) (К1; И) | |
6. | Взяться | ВЗ1 (ОС1; К1; И) | |
7. | Повернуть штурвал на 120° | ПОРА1 (YR120; D) (К1; И) | |
8. | Отпустить | ОТ1 (ОС1) | |
9. | Повернуть руку в первоначальное положение на 120° | ПОРА1 (YR120; D) (К1; И) | |
10. | Взяться | ВЗ1 (ОС1; К1; И) | |
11. | Повернуть штурвал на 120° | ПОРА1 (YR120; D) (К1; И) | |
12. | Отпустить | ОТ1 (ОС1) | |
Приложение к карте 4.9.6 | ЛИСТ 2 | ||
Содержание комплекса | Обозначение микроэлементов по БСМ | ||
Последующий оборот штурвала | |||
1. | Повернуть руку в первоначальное положение на 120° | ПОРА1 (YR120; D) (К1; И) | |
2. | Взяться | ВЗ1 (ОС1; К1; И) | |
3. | Повернуть штурвал на 120° | ПОРА1 (YR120; D) (К1; И) | |
4. | Отпустить | ОТ1 (ОС1) | |
5. | Повернуть руку в первоначальное положение на 120° | ПОРА1 (YR120; D) (К1; И) | |
6. | Взяться | ВЗ1 (ОС1; К1; И) | |
7. | Повернуть штурвал на 120° | ПОРА1 (YR120; D) (К1; И) | |
8. | Отпустить | ОТ1 (ОС1) | |
9. | Повернуть руку в первоначальное положение на 120° | ПОРА1 (YR120; D) (К1; И) | |
10. | Взяться | ВЗ1 (ОС1; К1; И) | |
11. | Повернуть штурвал на 120° | ПОРА1 (YR120; D) (К1; И) | |
12. | Отпустить | ОТ1 (ОС1) | |
А = | Г, поворот в горизонтальной плоскости | |
В, поворот в вертикальной плоскости | ||
И = | И1, без рукавиц | |
И3, в рукавицах |
Приложение к карте 4.9.7 | |
Содержание комплекса | Обозначение микроэлементов по БСМ |
1. Протянуть руку к выключателю | ПР1 (S) (ОС1; К2) |
2. Взяться за выключатель | ВЗ1 (ОС1; К1; И) |
3. Повернуть выключатель | ПОА1 (М0,05; YR90) (ОС1; И) |
А = | Г, поворот в горизонтальной плоскости | |
В, поворот в вертикальной плоскости | ||
И = | И1, без рукавиц | |
И3, в рукавицах |
Приложение к карте 4.9.8 | |
Содержание комплекса | Обозначение микроэлементов по БСМ |
1. Протянуть руку к педали | ПР1 (S) (ОС1; К2) |
2. Нажать рукой на педаль | НРС |
3. Переместить педаль | П1 (SM; М0,1; LM) (ОС1; К1; И1) |
4. Убрать руку | ПР1 (S) (ОС1; К1) |
Приложение к карте 4.9.9 | |
Содержание комплекса | Обозначение микроэлементов по БСМ |
1. Подойти к механизму управления | X (S) (СТ2) |
2. Нажать на педаль ногой | СТУ |
3. Отпустить | СТС |
Приложение к карте 4.10.1 | ||
Содержание комплекса | Обозначение микроэлементов по БСМ | |
Цена деления 0,1 мм | ||
1. | Взяться левой рукой | ВЗ1 (ОС1; К1; И1) |
2. | Переместить подвижную губку на измеряемый размер | ПП1 (SM3; М10,01; LM150) (ОС1; К3; И1) |
3. | Установить штангенциркуль на измеряемую поверхность детали | УОС2 (М0,3; LM300; LD) (ОС1; ОР3; И1) |
4. | Переместить губку до упора к детали | ПП1 (SM3; М0,01; LM150) (ОС1; К1; И1) |
5. | Всмотреться в шкалу, в нониус | ФЗ |
6. | Снять штангенциркуль с детали | РС2 (М0,3; LD) (ОС1; ОР3; И1) |
Цена деления 0,05 мм | ||
1. | Взяться левой рукой | ВЗ1 (ОС1; К1; И1) |
2. | Переместить подвижную губку штангенциркуля на измеряемый размер детали | ПП1 (SM3; М10,01; LM150) (ОС1; К3; И1) |
3. | Установить штангенциркуль на измеряемую поверхность детали | УОС2 (М0,3; LM300; LD) (ОС1; ОР3; И1) |
4. | Переместить подвижную губку до упора к детали | ПП1 (SM3; М10,01; LM150) (ОС1; К1; И1) |
5. | Повернуть зажимной винт три раза | ПОВ1 (M0,01; YR120) (ОС1; К1) x 3 |
6. | Перехватить гайку микрометрической подачи | ВП |
7. | Повернуть гайку шесть раз | П1 (SM10; M10,01; LM6) (ОС1; К1; И1) x 6 |
8. | Всмотреться в шкалу | ФЗ |
9. | Всмотреться в нониус | ФЗ |
10. | Повернуть зажимной винт три раза | ПОВ1 (M0,01; YR120) (ОС1; И1) x 3 |
11. | Снять штангенциркуль с детали | PC2 (M0,3; LD) (ОС1; ОР3; И1) |
длина продвижения инструментаПриложение к карте 4.10.2 | ||
Содержание комплекса | Обозначение микроэлементов по БСМ | |
Цена деления 0,1 мм | ||
1. | Установить штангенглубиномер в отверстие детали | УОС1 (М0,3; LM280; LD) (ОС1; ОР3; И1) |
2. | Взяться левой рукой за основание | ВЗ1 |
3. | Переместить штангенглубиномер к торцу детали | ПП1 (SM3; М0,3; LM280) (ОС1; К1; И1) |
4. | Перехватить правой рукой штангу штангенглубиномера | ФВ |
5. | Переместить передвижную штангу до упора | ПП1 (SM3; М0,3; LM280) (ОС1; К1; И1) |
6. | Всмотреться в шкалу штангенглубиномера | ФВ |
7. | Вынуть штангенглубиномер из отверстия | РС1 (М0,3; LD) (ОС1; ОР1; И1) |
Цена деления 0,05 мм | ||
1. | Установить штангенглубиномер в отверстие детали | УОС1 (М0,3; LM280; LD) (ОС1; ОР3; И1) |
2. | Взяться левой рукой за основание | ВЗ1 |
3. | Переместить основание к торцу детали | ПП1 (SM3; М0,3; LM280) (ОС1; К1; И1) |
4. | Переместить правой рукой штангу штангенглубиномера | ВП |
5. | Переместить подвижную штангу до упора | ПП1 (SM3; М0,3; LM280) (ОС1; К1; И1) |
6. | Повернуть зажимной винт три раза | ПОВ1 (М0,01; YR120) (ОС1; И1) x 3 |
7. | Перехватить гайку микрометрической подачи | ВП |
8. | Повернуть гайку шесть раз | П1 (SM10; М0,01; LM5) (ОС1; К1; И1) x 6 |
9. | Всмотреться в шкалу | ФВ |
10. | Всмотреться в нониус | ФВ |
11. | Повернуть зажимной винт три раза | ПОВ1 (М0,01; YR120) (ОС1; И1) x 3 |
12. | Вынуть штангенглубиномер из отверстия | PC1 (М0,3; LD) (ОС1; OP1; И1) |
Приложение к карте 4.10.3 | ||
Содержание комплекса | Обозначение микроэлементов по БСМ | |
1. | Установить пробку приспособления в отверстие | УОС1 (M; LM; LD50) (ОС1; ОР1; И1) |
2. | Перевести взгляд на шкалу | ПВ |
3. | Всмотреться | ФВ |
4. | Повернуть приспособление в горизонтальной плоскости на 90° | ПОГ1 (M; YR90) (ОС1; И1) |
5. | Всмотреться | ФВ |
6. | Вынуть пробку из отверстия | РС1 (M; LD50) (ОС1; ОР1; И1) |
Приложение к карте 4.10.4 | ||
Содержание комплекса | Обозначение микроэлементов по БСМ | |
1. | Протянуть руку к контрольному валику | ПР1 (S) (ОС1; К2; И1) |
2. | Взять валик | В1 (M1; Z) (ОС1; К1; И1) |
3. | Переместить валик к детали | П1 (SM1; M1; LM1) (ОС1; К3; И1) |
4. | Взяться за деталь | ВЗ1 |
5. | Установить валик в отверстие | УОС1 (M1; LM1; LD) (ОС1; ОР1 И1) |
6. | Переместить валик по отверстию к детали | П1 (SM50; M1; LM1) (ОС1; К2; И1) |
7. | Отпустить валик | ОТ1 (ОС1) |
8. | Перехватить правой рукой деталь | ВП |
9. | Переместить деталь в центр приспособления | П1 (SM200; M; LM) (ОС1; К3; И1) |
10. | Установить деталь в центр приспособления | УП1 (M; LM) (ОС1; ОР2; И1) |
11. | Отпустить деталь левой рукой | ОТ1 (ОС1) |
12. | Перевести взгляд на шкалу | ПВ |
13. | Повернуть деталь на угол до 180° (до получения наибольшего или наименьшего значения) | ПОВ1 (M) (ОС1; И1) |
14. | Всмотреться | ФВ |
15. | Повернуть деталь на угол 180° | ПОВ1 (M) (ОС1; И1) |
16. | Всмотреться | ФВ |
17. | Провести вычисления | ФВ |
18. | Протянуть левую руку к стопорному рычагу приспособления | ПР1 (S300) (ОС1; К2; И1) |
19. | Нажать | НРС |
20. | Переместить деталь на стол | П1 (SM200; M; LM) (ОС1; ОР1; И1) |
21. | Отпустить рычаг | ОТ1 (ОС1) |
22. | Установить деталь на стол | УП1 (M; LM) (ОС1; ОР1; И1) |
23. | Отпустить деталь | ОТ1 (ОС1) |
24. | Протянуть руку к валику | ПР1 (S200) (ОС1; К2; И1) |
25. | Взять валик | В1 (M; Z) (ОС1; К1; И1) |
26. | Разъединить (вынуть валик из отверстия) | РС1 (M1; LD) (ОС1; ОР1; И1) |
27. | Переместить валик на место | П1 (SM1; M1; LM) (ОС1; К2; И1) |
28. | Отпустить валик | ОТ1 (ОС1) |
Приложение к карте 4.10.5 | ЛИСТ 1 | ||
Содержание комплекса | Обозначение микроэлементов по БСМ | ||
1. | Протянуть руку к пинцету | ПР1 (S1) (ОС1; К2; И1) | |
2. | Взять пинцет | В1 (M0,1; Z15; LM150) (ОС1; К1; И1) | |
3. | Переместить пинцет к контрольному валику | П1 (SM1; M0,1; LM150) (ОС1; К2; И1) | |
4. | Взять валик | В1 (M2; Z2; LM2) (ОС1; К1; И2) | |
5. | Переместить валик к детали | П1 (SM2; M2; LM2) (ОС1; К3; И2) | |
6. | Установить валик в отверстие | УОС1 (M2; LM2; LD) (ОС1; ОР1; И1) | |
7. | Взяться правой рукой за деталь | ВЗ1 (ОС1; К1; И1) | |
8. | Отпустить левой рукой валик | ОТ1 (ОС1) | |
9. | Переместить пинцет | П1 (SM1; M0,1; LM150) (ОС1, К2; И1) | |
10. | Отпустить | ОТ1 (ОС1) | |
11. | Переместить деталь по направляющим подставки | ПП1 (SM; M; LM) (ОС1; К; И1) | |
12. | Перевести взгляд на шкалу | ПВ | |
13. | Всмотреться | ФП | |
14. | Повернуть деталь на 360° | ПОВ1 (M) (ОС1; И1) x 2 | |
15. | Всмотреться | ФВ | |
Приложение к карте 4.10.5 | ЛИСТ 2 | |
Содержание комплекса | Обозначение микроэлементов по БСМ | |
16. | Повернуть деталь на 180° (до получения наибольшего или наименьшего значения по шкале) | ПОВ1 (M) (ОС1; И1) |
17. | Всмотреться | ФВ |
18. | Повернуть деталь на 180° | ПОВ1 (M) (ОС1; И1) |
19. | Всмотреться | ФВ |
20. | Переместить деталь по направляющим подставки | ПП1 (SM; M; LM) (ОС1; К; И1) |
21. | Протянуть руку к валику | ПР1 (S2) (ОС1; К2; И2) |
22. | Взять валик | В1 (M2; Z2; LM2) (ОС1; К1; И2) |
23. | Разъединить (вынуть валик из отверстия) | РС1 (M2; LD) (ОС1; ОР1; И2) |
24. | Переместить валик на место | П1 (SM2; M2; LM2) (ОС1; К2; И2) |
25. | Отпустить валик | ОТ1 (ОС1) |
26. | Отпустить деталь | ОТ1 (ОС1) |
27. | Переместить пинцет на место | П1 (SM1; M0,1; LM150) (ОС1; К2; И1) |
28. | Отпустить пинцет | ОТ1 (ОС1) |
Приложение к карте 4.10.6 | ||
Содержание комплекса | Обозначение микроэлементов по БСМ | |
1. | Протянуть руку к валику | ПР1 (S1) (ОС2; К2; И1) |
2. | Взять валик | В1 (M1; Z1; LM1) (ОС1; К1; И1) |
3. | Переместить к отверстию | П1 (SM1; M1; LM1) (ОС1; К3; И1) |
4. | Взяться за деталь | ВЗ1 |
5. | Установить валик в отверстие | УОС1 (M1; LM1, DL1) (ОС1; ОР1;. И1) |
6. | Отпустить валик | ОТ1 (ОС1) |
7. | Переместить деталь по направляющим до упора | ПП1 (SM; M; LM) (ОС1; К; И1) |
8. | Перевести взгляд на шкалу | ПВ |
9. | Повернуть деталь на 360° | ПОВ1 (M) (ОС1; И1) x 2 |
10. | Всмотреться | ФВ |
11. | Повернуть деталь на 180° | ПОВ1 (M) (ОС1; И1) |
12. | Всмотреться | ФВ |
13. | Переместить деталь по направляющим | ПП1 (SM; M; LM) (ОС1; К; И1) |
14. | Протянуть руку к валику | ПР1 (S1) (ОС1; 2; И1) |
15. | Взять валик | В1 (M1; Z1; LM1) ОС1; К1; И1) |
16. | Разъединить (вынуть валик из отверстия) | РС1 (M1; LD1) (ОС1; ОР1; И1) |
17. | Переместить валик на место | П1 (SM1; M1; LM1) (ОС1; К2; И1) |
18. | Отпустить валик | ОТ1 (ОС1) |
19. | Отпустить деталь | ОТ1 (ОС1) |
Приложение к карте 4.10.7 | ||
Содержание комплекса | Обозначение микроэлементов по БСМ | |
1. | Протянуть руку к детали | ПР1 (S) (ОС1; К2; И1) |
2. | Взяться за деталь | ВЗ1 (ОС1; К1; И1) |
3. | Повернуть деталь на 360° | ПОВ1 (M) (ОС1; И1) x 2 |
4. | Перевести взгляд на шкалу | ПВ |
5. | Всмотреться | ФВ |
6. | Повернуть деталь на 90° (до получения наибольшего или наименьшего показания по шкале) | ПОВ1 (M) (ОС1; И1) |
7. | Всмотреться | ФВ |
8. | Повернуть деталь на 90° | ПОВ1 (M) (ОС1; И1) |
9. | Всмотреться | ФВ |
10. | Провести расчет | ФВ |
Приложение к карте 4.10.8 | ||
Содержание комплекса | Обозначение микроэлементов по БСМ | |
1. | Протянуть правую руку к детали | ПР1 (S) (ОС1; К2; И1) |
2. | Взяться за деталь | ВЗ1 (ОС1; К1; И1) |
3. | Повернуть деталь на 360° | ПОВ1 (M) (ОС1; И1) x 2 |
4. | Перевести взгляд на шкалу | ПВ |
5. | Повернуть деталь на 90° (до получения наибольшего или наименьшего значения по шкале) | ПОВ1 (M) (ОС1; И1) |
6. | Всмотреться | ФВ |
7. | Повернуть деталь на 90° | ПОВ1 (M) (ОС1; И1) |
8. | Всмотреться | ФВ |
9. | Повернуть деталь на 90° | ПОВ1 (M) (ОС1; И1) |
10. | Всмотреться | ФВ |
11. | Взяться рукой за наконечник индикатора | ВЗ1 (ОС1; К1; И1) |
12. | Переместить наконечник индикатора вверх на 5 мм | П1 (SM5; M0,01; LM50) (ОС1; К1; И1) |
13. | Переместить деталь по направляющим стойки стола на 1/2 длины детали | ПП1 (SM; M; LM) (ОС1; К2; И1 |
14. | Отпустить наконечник индикатора | ОТ1 (ОС1) |
Приложение к карте 4.10.9 | ||
Содержание комплекса | Обозначение микроэлементов по БСМ | |
Промер проходной стороной | ||
1. | Установить пробку в отверстие детали | УОП1 (M; LM; LD) (ОС1; ОР1; И1) |
2. | Разъединить пробку с деталью | РП1 (M; LD) (OCl; ОР1; И1) |
Полный промер | ||
1. | Установить пробку проходной стороной в отверстие детали | УОП1 (M; LM; LD) (ОС1; ОР1; И1) |
2. | Разъединить пробку с деталью | РП1 (M; LD) (ОС1; ОР1; И1) |
3. | Переместить пробку на расстояние 100 мм | П1 (S100; M; LM) (OCl; КР; И1) |
4. | Повернуть пробку в вертикальной плоскости на 180° | ПОВ1 (M) (ОС1; И1) |
5. | Перехватить | ВП |
6. | Переместить пробку непроходной стороной к отверстию детали | П1 (S100; M; LM) (ОС1; К3; И1) |
7. | Установить пробку в отверстие детали | УОП1 (M; LM; LD2) (ОС1; ОР1; И1) |
8. | Нажать ("Непроход") | НРС |
Приложение к карте 4.10.10 | ||
Содержание комплекса | Обозначение микроэлементов по БСМ | |
Промер проходной пробкой | ||
1. | Установить проходную пробку в отверстие детали | УОП1 (M; LM; LD) (ОС1; ОР1; И1) |
2. | Разъединить пробку с деталью | РП1 (M; LD) (ОС1; ОР1; И1) |
Полный промер (двумя пробками) | ||
1. | Установить проходную пробку в отверстие детали | УОП1 (M; LM; LD) (ОС1; ОР1; И1) |
2. | Разъединить пробку с деталью | РП1 (M; LD) (ОС1; ОР1; И1) |
3. | Установить непроходную пробку в отверстие детали | УОП1 (M; LM; LD2) (ОС1; ОР1; И1) |
4. | Нажать ("Непроход") | НРС |
Приложение к карте 4.10.11 | ||
Содержание комплекса | Обозначение микроэлементов по БСМ | |
Промер проходной пробкой | ||
1. | Установить проходную пробку в отверстие детали | УОП1 (M; LM; LD) (ОС1; ОР1; И1) |
2. | Повернуть пробку на 90° | ПОА1 (M; YR90) (ОС1; К1; И1) |
3. | Разъединить пробку с деталью | РП1 (M; LD) (ОС1; ОР1; И1) |
Полный промер (двумя пробками) | ||
1. | Установить проходную пробку в отверстие детали | УОП1 (M; LM; LD) (ОС1; L; Р1 И1) |
2. | Повернуть пробку на 90° | ПОА1 (M; YR90) (ОС1; К1; И1) |
3. | Разъединить пробку с деталью | РП1 (M; LD) (ОС1; ОР1; И1) |
4. | Установить непроходную пробку в отверстие детали | УОП1 (M; LM; LD2) (ОС1; ОР1; И1) |
5. | Нажать ("Непроход") | НРС |
6. | Повернуть пробку на 90° | ПОА1 (M; YR90) (ОС1; И1) |
7. | Нажать ("Непроход") | НРС |
A = | Г, поворот в горизонтальной плоскости | |
В, поворот в вертикальной плоскости |
Приложение к карте 4.10.12 | ||
Содержание комплекса | Обозначение микроэлементов по БСМ | |
1. | Установить пробку в отверстие | УОС1 (М; LM; LD) (ОС1; К3; И1) |
2. | Всмотреться | ФВ |
3. | Разъединить пробку с деталью | РС1 (М; LD) (ОС1; ОР1; И1) |
Приложение к карте 4.10.13 | ||
Содержание комплекса | Обозначение микроэлементов по БСМ | |
1. | Надеть кольцо на деталь | УОП1 (М; LM; LD) (ОС1; ОР3; И1) |
2. | Всмотреться | ФВ |
3. | Снять кольцо с детали | РП1 (М; LD) (ОС1; ОР2; И1) |
Приложение к карте 4.10.14 | ||
Содержание комплекса | Обозначение микроэлементов по БСМ | |
1. | Установить пробку (втулку) в отверстие (на вал) | УОП1 (М; LM; LD) (ОС1; ОР1; И1) |
2. | Всмотреться в риску | ФВ |
3. | Повернуть пробку (втулку) на 5° два раза (покачать) | ПОВ1 (М) (ОС1; И1) |
4. | Вынуть (снять) пробку (втулку) | РП1 (М; LD) (ОС1; ОР1; И1) |
Приложение к карте 4.10.15 | ||
Содержание комплекса | Обозначение микроэлементов по БСМ | |
Один оборот | ||
1. | Установить пробку проходной стороной в отверстие детали | УСО1 (M; LM; LD2) (ОС1; ОР3; И1) |
2. | Повернуть пробку на один оборот | ПООС1 (D) (СТ1; И1) |
3. | Повернуть пробку на один оборот в обратную сторону | ПООС1 (D) (СТ1; И1) |
4. | Переместить пробку от отверстия детали на расстояние 100 мм | П1 (SM100; М; LM) (ОС1; К1; И1) |
5. | Повернуть пробку на угол 180° | ПОВ (M) (ОС1; К1; И1) |
6. | Переместить пробку к отверстию детали | П1 (SM100; М; LM) (ОС1; К3; И1) |
7. | Установить пробку непроходной стороной в отверстие детали | УОС1 (М; LM; LD2) (ОС1; ОР3; И1) |
8. | Повернуть пробку на один оборот | ПООС1 (D) (СТ1; И1) |
9. | Повернуть пробку на один оборот в обратную сторону | ПООС1 (D) (СТ1; И1) |
Последующий оборот (проходной стороной) | ||
1. | Повернуть пробку на один оборот | ПООС1 (D) (СТ1; И1) |
2. | Повернуть пробку на один оборот в обратную сторону | ПООС1 (D) (СТ1; И1) |
Приложение к карте 4.10.16 | ||
Содержание комплекса | Обозначение микроэлементов по БСМ | |
Один оборот | ||
1. | Установить проходную пробку в отверстие детали | УОС1 (М; LM; LD3) (ОС1; ОР3; И1) |
2. | Повернуть пробку на один оборот | ПООС1 (D) (СТ1; И1) |
3. | Повернуть пробку на один оборот в обратную сторону | ПООС1 (D) (СТ1; И1) |
4. | Установить непроходную пробку в отверстие детали | УОС1 (M; LM; LD3) (ОС1; ОР3; И1) |
5. | Повернуть пробку на один оборот | ПООС1 (D) (СТ1; И1) |
6. | Повернуть пробку на один оборот в обратную сторону | ПООС1 (D) (СТ1; И1) |
Последующий оборот (проходной пробки) | ||
1. | Повернуть пробку на один оборот | ПООС1 (D) (СТ1; И1) |
2. | Повернуть пробку на один оборот в обратную сторону | ПООС1 (D) (СТ1; И1) |
Приложение к карте 4.10.17 | ||
Содержание комплекса | Обозначение микроэлементов по БСМ | |
Один оборот (кольцо проходное или непроходное) | ||
1. | Установить кольцо на деталь | УОС1 (M; LM; LD3) (ОС1; ОР3; И1) |
2. | Повернуть кольцо на один оборот | ПООС1 (D) (СТ1; И1) |
3. | Повернуть кольцо на один оборот в обратную сторону | ПООС1 (D) (СТ1; И1) |
Последующий оборот (кольцо проходное) | ||
1. | Повернуть кольцо на один оборот | ПООС1 (D) (СТ1; И1) |
2. | Повернуть кольцо на один оборот в обратную сторону | ПООС1 (D) (СТ1; И1) |
Приложение к карте 4.10.18 | ||
Содержание комплекса | Обозначение микроэлементов по БСМ | |
Промер проходной стороной | ||
1. | Установить скобу на деталь | УОС1 (M; LM; LD) (ОС1; ОР2; И1) |
2. | Снять скобу с детали | РС1 (M; LD) (ОС1; ОР2; И1) |
Полный промер | ||
1. | Установить скобу проходной стороной на деталь | УОС1 (M; LM; LD) (ОС1; ОР2; И1) |
2. | Снять скобу с детали | РС1 (M; LD) (ОС1; ОР2; И1) |
3. | Повернуть скобу на 180° | ПОВ1 (M) (ОС1; И1) |
4. | Установить скобу непроходной стороной на деталь | УОС1 (M; LM; LD) (ОС1; ОР2; И1) |
5. | Нажать | НРС |
Приложение к карте 4.10.19 | ||
Содержание комплекса | Обозначение микроэлементов по БСМ | |
1. | Установить скобу на деталь | УОС1 (M; LM; LD) (ОС1; ОР2; И1) |
2. | Нажать ("Непроход") | НРС |
3. | Снять скобу с детали | РС1 (M; LD) (ОС1; ОР2; И1) |
длина продвижения скобыПриложение к карте 4.10.20 | ||
Содержание комплекса | Обозначение микроэлементов по БСМ | |
1. | Установить скобу на деталь | УОС1 (M; LM; LD) (ОС1; ОР3; И1) |
2. | Повернуть скобу два раза | ПОВ1 (M) (ОС1; И1) x 2 |
3. | Нажать | НРС |
4. | Снять скобу с детали | РС1 (M; LD) (ОС1; ОР2; И1) |
длина продвижения скобыПриложение к карте 4.10.21 | ||
Содержание комплекса | Обозначение микроэлементов по БСМ | |
1. | Установить скобу на деталь | УОС1 (М0,5; LM200; LD) (ОС1; ОР2; И1) |
2. | Переместить скобу по измеряемому размеру два раза | П1 (S25; М0,5; LM200) (ОС1; К3; И1) x 2 |
Повернуть скобу на 90° | ПОВ1 (М0,5) (ОС1; И1) | |
Всмотреться в шкалу | ФВ | |
5. | Разъединить (снять) скобу | РС1 (М0,5; LD) (ОС1; ОР2; И1) |
Приложение к карте 4.10.22 | ||
Содержание комплекса | Обозначение микроэлементов по БСМ | |
1. | Установить стержень с наконечником в отверстие детали | УОС1 (M; LM; LD) (ОС1; ОР1; И1) |
2. | Всмотреться в шкалу измерительной головки | ФВ |
3. | Повернуть нутромер в вертикальной плоскости на 5° | ПОВ1 (M) (ОС1; И1) |
4. | Всмотреться в шкалу | ФВ |
5. | Повернуть нутромер в вертикальной плоскости на 10° | ПОВ1 (M) (ОС1; И1) |
6. | Всмотреться в шкалу | ФВ |
7. | Вынуть нутромер из отверстия детали | РС1 (М; LD) (ОС1; ОР1; И1) |
Приложение к карте 4.10.23 | ||
Содержание комплекса | Обозначение микроэлементов по БСМ | |
1. | Установить стенкомер на измеряемую поверхность | УП2 (M0,5; LM150) (ОС1; ОР2; И1) |
2. | Нажать подвижной шток стенкомера до упора | НРС |
3. | Всмотреться в шкалу индикатора | ФВ |
4. | Отпустить шток | ОТ1 (ОС1) |
Приложение к карте 4.10.24 | ||
Содержание комплекса | Обозначение микроэлементов по БСМ | |
Шаблон (скоба для длин) односторонний | ||
1. | Взяться левой рукой за шаблон (скобу) | ВЗ1 |
2. | Установить шаблон (скобу) на деталь | УП2 (M; LM) (ОС1; ОР2; И1) |
3. | Разъединить шаблон (скобу) с деталью | РС2 (M; LD) (ОС1; ОР2; И1) |
4. | Отпустить шаблон (скобу) левой рукой | ОТ1 (ОС1) |
Шаблон (скоба для длин) двусторонний | ||
1. | Взяться левой рукой за шаблон (скобу) | ВЗ1 |
2. | Установить шаблон (скобу) проходной стороной на деталь | УП2 (M; LM) (ОС1; ОР2; И1) |
3. | Разъединить шаблон (скобу) с деталью | РС2 (M; LD) (ОС1; ОР1; И1) |
4. | Переместить шаблон (скобу) от детали | П2 (SM100; M; LD) (ОС1; К2; И1) |
5. | Повернуть шаблон (скобу) на 180° | ПОВ2 (M; YR180) (ОС1; И1) |
6. | Переместить шаблон (скобу) непроходной стороной к детали | П2 (SM100; M; LD) (ОС1; К3; И1) |
7. | Установить шаблон (скобу) на деталь | УП2 (M; LM) (ОС1; ОР2; И1) |
8. | Нажать ("Непроход") | НРС |
Приложение к карте 4.10.25 | ||
Содержание комплекса | Обозначение микроэлементов по БСМ | |
1. | Взяться за шаблон | ВЗ1 |
2. | Установить шаблон к детали | УП2 (M; LM) (ОС1; ОР3; И1) |
3. | Всмотреться в световую щель | ФВ |
4. | Перевести взгляд | ПВ |
5. | Всмотреться в световую щель | ФВ |
6. | Отпустить шаблон левой рукой | ОТ1 (ОС1) |
Приложение к карте 4.10.26 | ||
Содержание комплекса | Обозначение микроэлементов по БСМ | |
На один выступ (впадину) | ||
1. | Взяться за шаблон левой рукой | ВЗ1 |
2. | Установить шаблон к детали | УОС2 (M; LM; LD) (ОС1; ОР2; И1) |
3. | Всмотреться в световую щель | ФВ |
4. | Доустановить шаблон к детали | УОС2 (M; LM; LD) (ОС1; ОР2; И1) |
5. | Отпустить шаблон левой рукой | ОТ1 (ОС1) |
На каждый следующий выступ (впадину) | ||
1. | Перевести взгляд | ПВ |
2. | Всмотреться в световую щель | ФВ |
Приложение к карте 4.10.27 | ||
Содержание комплекса | Обозначение микроэлементов по БСМ | |
Щуп односторонний | ||
Промер проходной стороной | ||
1. | Установить щуп в щель | УОС1 (M0,025; LM200; LD75) (ОС1; ОР2; И1) |
2. | Разъединить (вынуть щуп из щели) | РС1 (M0,025; LD100) (ОС1; ОР2; И1) |
Полный промер (двумя щупами) | ||
1. | Установить проходной щуп в щель | УОС1 (M0,025; LM200; LD100) (ОС1; ОР2; И1) |
2. | Разъединить (вынуть щуп из щели) | РС1 (M0,025; LD100) (ОС1; ОР2; И1) |
3. | Установить непроходной щуп в щель | УОС1 (M0,025; LM200; LD2) (ОС1;ОР2; И1) |
4. | Нажать ("Непроход") | НРС |
Щуп двусторонний | ||
Полный промер | ||
1. | Установить щуп проходной стороной в щель | УОС1 (M0,02; LM200; LD75) (ОС1; ОР2; И1) |
2. | Разъединить (вынуть щуп из щели) | РС1 (M0,02; LM200; LD75) |
3. | Переместить щуп от щели | П1 (SM100; M0,02; LM200) (ОС1; К1;И1) |
4. | Повернуть щуп на 180° | ПОВ1 (M0,02) (ОС1; И1) |
5. | Переместить щуп к щели | П1 (SM100; M0,02; LM200) (ОС1; К3; И1) |
6. | Установить щуп непроходной стороной в щель | УОС1 (M0,02; LM200; LD2) (ОС1; ОР2; И1) |
7. | Нажать | НРС |
Приложение к карте 4.10.28 | ||
Содержание комплекса | Обозначение микроэлементов по БСМ | |
Щуп двусторонний | ||
Промер проходной стороной | ||
1. | Установить щуп в щель | УОС1 (M0,02; LM200; LD75) (ОС1; ОР2; И1) |
2. | Нажать | НРС |
3. | Переместить щуп на длину щели | ПП1 (SM; M0,02; LD200) (ОС1, К2; И1) |
4. | Разъединить (вынуть щуп из щели) | РС1 (M0,02; LD75) (ОС1; ОР2; И1) |
Полный промер | ||
1. | Установить щуп в щель проходной стороной | УОС1 (МО,02; LM200; LD75) (ОС1; ОР2; И1) |
2. | Нажать | НРС |
3. | Переместить щуп на длину щели | ПП1 (SM; M0,02; LM200) (ОС1; К2; И1) |
4. | Разъединить (вынуть щуп из щели) | РС1 (M0,02; LD75) (ОС1; ОР2; И1) |
5. | Переместить щуп на 100 мм | П1 (SM100; M0,02; LM200) (ОС1; К2; И1) |
6. | Повернуть щуп на 180° | ПОВ1 (M0,02) (ОС1; И1) |
7. | Установить щуп непроходной стороной в щель | УОС1 (M0,02; LM200; LD2) (ОС1; ОР2; И1) |
8 | Нажать ("Непроход") | НРС |
Приложение к карте 4.10.29 | ||
Содержание комплекса | Обозначение микроэлементов по БСМ | |
1. | Установить радиусомер к замеряемой поверхности до упора | УП1 (M0,1; LM100) (ОС1; ОР2); И1) |
2. | Всмотреться в световой зазор | ФВ |
3. | Перевести взгляд | ПВ |
4. | Всмотреться в световой зазор | ФВ |
Приложение к карте 4.10.30 | ||
Содержание комплекса | Обозначение микроэлементов по БСМ | |
1. | Взяться за линейку второй рукой | ВЗ1 |
2. | Установить линейку | УП2 (M; LM) (ОС1; ОР3; И1) |
3. | Всмотреться | ФВ |
4. | Отпустить линейку второй рукой | ОТ1 (ОС1) |
Приложение к карте 4.10.31 | ||
Содержание комплекса | Обозначение микроэлементов по БСМ | |
1. | Всмотреться в поверхность детали | ФВ |
2. | Перевести взгляд на эталон | ПВ |
3. | Всмотреться в поверхность эталона | ФВ |
4. | Перевести взгляд на деталь | ПВ |
5. | Всмотреться в поверхность детали | ФВ |
6. | Перевести взгляд на эталон | ПВ |
7. | Всмотреться в поверхность эталона | ФВ |